Embed presentation
Download to read offline









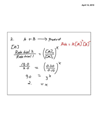
The document discusses the rate law which relates the rate of a chemical reaction to the concentrations of reactants. Specifically, it introduces the basic chemical reaction of reactant A forming a product, and notes that the rate law can be used to calculate the rate of this reaction given the concentrations of A.








