BAB II
                           GAMBARAN UMUM PROYEK

2.1. Pemrakarsa
Proyek pembangunan gedung komersial ini diprakarsai oleh PT OFFICE BUILDING yang
berkantor pusat di Jl. Angkasa No. xx, Jakarta Pusat. Perusahaan ini untuk pertama kali didirikan
pada tanggal 18 Maret 200x, berdasarkan akte notaris Anita Meza, SH, dengan nomor 5xx.
Bangunan komersial ini berlokasi di Jl. Angkasa, Kecamatan Kemayoran, Jakarta Pusat.
Berdasarkan akte pendirian tersebut, ruang lingkup kegiatan usaha yang akan dilakukan oleh PT
OFFICE BUILDING selain bergerak di bidang real estate dan developer termasuk pengolahan
pematangan, pengukuran dan penggalian tanah, adalah menjalankan usaha dalam bidang
perdagangan umum, pemborong atau kontraktor, perindustrian umum, pertanian, pengangkutan
umum, usaha di bidang jasa kecuali jasa hukum dan pertambangan.
2.2. Struktur permodalan
Modal dasar perseroan PT OFFICE BUILDING berdasarkan akte pendirian tersebut seluruhnya
bernilai Rp 5.000.000.000,- (lima milyar rupiah) yang terdiri atas 5.000 (lima ribu) lembar saham,
masing-masing mempunyai nilai nominal sebesar Rp 1.000.000,- (satu juta rupiah).
Berdasarkan akte nomor 5xx telah ditempatkan dan disetor sebanyak 1.000 lembar saham atau
senilai Rp 1.000.000.000,- (satu milyar rupiah). Susunan kepemilikan saham tersebut adalah
sebagai berikut :
1.   Tuan Nita P.
     300 lembar saham                Rp     300.000.000,-
2.   Tuan Harneti S
     200 lembar saham                Rp     200.000.000,-
3.   Tuan Harmaizar Z.
     150 lembar saham                Rp     150.000.000,-
4.   Tuan Suryadi M.
     100 lembar saham                Rp     100.000.000,-
5.   Tuan Dicky H.
     150 lembar saham                Rp     150.000.000,-
6.   Tuan Andika H.
     100 lembar saham                Rp   100.000.000,-
     Total                           Rp 1.000.000.000,-

Sisa saham lainnya akan dikeluarkan menurut keperluan modal kerja pada waktu dan syarat yang
ditetapkan oleh Direksi dengan persetujuan Dewan Komisaris.
2.3. Manajemen dan organisasi Proyek
2.3.1.Susunan Pengurus
Susunan dewan pengurus PT OFFICE BUILDING berdasarkan akte pendirian perusahaan tersebut
adalah sebagai berikut :
Presiden Komisaris       : Nita P.
Komisaris                : 1. Harneti S.


Bagian dari buku “Menggali Potensi Wirausaha” Penulis: Harmaizar Zaharuddin                 II - 1
: 2. Suryadi
Presiden Direktur         : Harmaizar Z.
Direktur                  : Dicky Harvinanda
2.3.2. Manajemen Operasional
Untuk mencapai target yang diharapkan sesuai dengan ketetapan perusahaan, seperti jangka waktu
pembangunan, fasilitas gedung berkualitas prima, dan target pemasaran yang akan dicapai dengan
penggunaan biaya serendah mungkin diperlukan suatu manajemen dan organisasi yang baik dan
tepat yang ditunjang oleh penggunaan tenaga kerja berkualitas cukup baik pula.
Pelaksanaan dan pemasaran gedung komersial ini sebaiknya dipimpin oleh seorang General
Manager yang berpengalaman dan mengetahui dengan baik tentang bisnis property secara umum,
khususnya teknik pengelolaan dan pemasaran gedung perkantoran yang termasuk dalam kelompok
Prime Office.
General Manager perlu dibantu oleh seorang asisten general manager dan beberapa orang manajer,
karyawan administrasi, karyawan gedung dan karyawan lainnya. General Manager bertanggung
jawab kepada Direksi atas segala tugas dan tanggung jawab yang dibebankan.
Adapun tugas Presiden Direktur mewakili Direksi dan perseroan dalam menjalankan segala
tindakan baik di dalam maupun di luar perusahaan tentang segala hal yang berhubungan dengan
pelaksanaan kegiatan perusahaan, yang meliputi perencanaan dan pelaksanaan operasi perusahaan.
Selain itu berhak untuk bertindak serta menandatangani atas nama perseroan dan mengikat
perseroan pada pihak lain atau sebaliknya baik mengenai pengurusan maupun pemilikan, namun
dengan pembatasan-pembatasan, seperti mencari sumber dana baik dalam maupun dari luar
perusahaan dan menggunakannya untuk keperluan perseroan harus mendapat persetujuan terlebih
dahulu dari atau ditanda tangani oleh Komisaris atau oleh sekurang-kurangnya 2 orang komisaris.
Presiden Direktur bertanggung jawab kepada Komisaris atas segala tindakan atau kegiatan tersebut
diatas.Sedangkan fungsi Komisaris adalah sebagai wakil pemegang saham untuk mengawasi
jalannya perusahaan.
Organisasi dalam perusahaan property khususnya perusahaan gedung komersial lazimnya dibagi
atas 3 fungsi menurut bidang pekerjaan, yaitu :
1. Bidang Operasi Usaha (Produksi Jasa/Building)
2. Bidang Penunjang (Umum dan Keuangan)
3. Bidang Pemasaran
1. Bidang Operasi Usaha
Bidang operasi usaha ini meliputi bagian-bagian yang menghasilkan pendapatan, yang terdiri dari :
a. Room Departement
Bagian ini bertanggung jawab atas kelancaran tugas-tugas operasi di front dab house keeping,
mengatur segala sesuatu yang berhubungan dengan para penyewa dan melayani segala sesuatu
yang berhubungan dengan kepentingan umum.
Penguasaan teknis dan operasi dari bagian ini sangat menentukan terhadap minat para penyewa
Oleh karena itu terhadap para karyawan yang menangani bagian ini dituntut beberapa kelebihan



Bagian dari buku “Menggali Potensi Wirausaha” Penulis: Harmaizar Zaharuddin                 II - 2
dalam melakukan tugas pelayanan, seperti penguasaan bahasa asing, keramah-tamahan dan sikap
yang baik.
b. House Keeping
Bagian ini mengurus pekerjaan dan tanggung jawab atas segala kelancaran penggunaan fasilitas
yang disediakan, dan keperluan para penyewa dan tamu di ruangan-ruangan umum (public area).
Selain itu tersedianya seragam (uniform) dari setiap karyawan adalah merupakan tanggung jawab
bagian ini.
Bidang perbaikan dan pemeliharaan (repair dan maintenance) pada operasi gedung komersial ini
dikelola oleh enginering department, yang bertanggung jawab terhadap kelestarian dan kelancaran
operasi tanpa mengabaikan prinsip-prinsip efisiensi dalam segi biaya dan pengeluaran. Kebutuhan
tenaga disesuaikan dengan ruang linkup pekerjaan dan tingginya bangunan gedung.
2.Bidang Penunjang
Bidang penunjang, dalam hal ini adalah bidang umum dan keuangan bukanlah bidang yang
menghasilkan pendapatan untuk perusahaan pemilik/pengelola. Bagian yang termasuk bidang
penunjang tersebut adalah sebagai berikut :
a. Accounting Department
Bagian ini melaksanakan segala pencatatan dan pemeriksaan dalam bidang keuangan (financial)
atas semua penerimaan (income), pembayaran (payable) dan segala aktivitas operasional gedung
komersial. Secara berkala bagian ini memuat laporan keuangan yang mencakup pembuatan neraca,
laporan laba-rugi dan rencana anggaran tahunan operasi office rental.
Bagian ini terdiri dari cashier, cost control dan purchasing. Pelaksanaan sistim pengawasan yang
ketat akan sangat menentukan keberhasilan pengamanan kekayaan perusahaan.
b. Bagian Umum
Bagian ini mengurus penerimaan, pembinaan dan pemberhentian karyawan dan memegang peranan
penting dalam hal seleksi karyawan agar calon karyawan dapat bekerja dan berfungsi sebagaimana
yang diharapkan.
Bagian ini pula yang harus menguasai peraturan-peraturan kepegawaian, peraturan-peraturan
Pemerintah khususnya perburuhan, begitu pula dalam pengumpulan data kepegawaian. Guna
meningkatkan ketrampilan dan kemampuan para karyawan, bagian ini menyusun job description
dari masing-masing bidang kerja karyawan dan menjadwalkan program pendidikan. Bagian umum
membawahi bidang-bidang seperti berikut ini.
- Administrasi dan Personalia
- Security/Keamanan
3. Bidang Pemasaran
Kegiatan pemasaran tentunya berkaitan dengan upaya untuk memasarkan seluruh jasa yang dapat
dijual kepada konsumen sesuai dengan kebijaksanaan dan strategi perusahaan yang ditetapkan
seperti sebagai berikut :
 a.    Menyusun rencana dan program-program pemasaran yang terpadu.
 b.    Melakukan usaha-usaha promosi dan penyebar luasan informasi pemasaran secara intensif.


Bagian dari buku “Menggali Potensi Wirausaha” Penulis: Harmaizar Zaharuddin               II - 3
c.    Mengadakan kerjasama dan hubungan baik dengan badan-badan usaha dan instansi-instansi
       yang berkepentingan dengan gedung perkantoran, baik Pemerintah maupun swasta.
 d.    Memelihara dan manambah daya tarik gedung perkantoran serta mendorong minat penyewa
       terhadap fasilitas dan kemudahan-kemudahan yang disediakan.
 e.    Melakukan penelitian dan pengembangan.
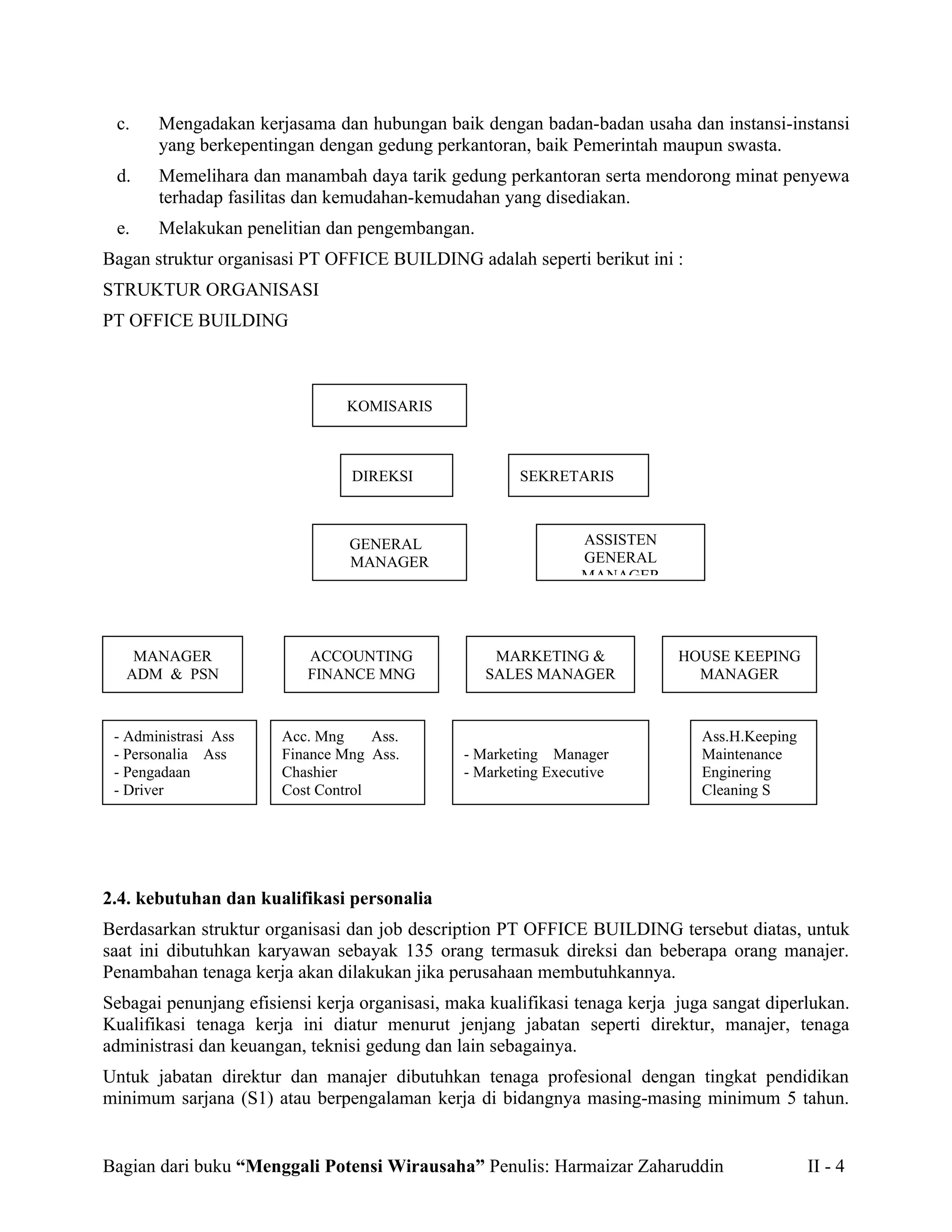
Bagan struktur organisasi PT OFFICE BUILDING adalah seperti berikut ini :
STRUKTUR ORGANISASI
PT OFFICE BUILDING



                                KOMISARIS



                                 DIREKSI               SEKRETARIS



                                GENERAL                         ASSISTEN
                                MANAGER                         GENERAL
                                                                MANAGER




    MANAGER                ACCOUNTING              MARKETING &              HOUSE KEEPING
   ADM & PSN               FINANCE MNG            SALES MANAGER               MANAGER



 - Administrasi Ass    Acc. Mng     Ass.                                       Ass.H.Keeping
 - Personalia Ass      Finance Mng Ass.        - Marketing Manager             Maintenance
 - Pengadaan           Chashier                - Marketing Executive           Enginering
 - Driver              Cost Control                                            Cleaning S




2.4. kebutuhan dan kualifikasi personalia
Berdasarkan struktur organisasi dan job description PT OFFICE BUILDING tersebut diatas, untuk
saat ini dibutuhkan karyawan sebayak 135 orang termasuk direksi dan beberapa orang manajer.
Penambahan tenaga kerja akan dilakukan jika perusahaan membutuhkannya.
Sebagai penunjang efisiensi kerja organisasi, maka kualifikasi tenaga kerja juga sangat diperlukan.
Kualifikasi tenaga kerja ini diatur menurut jenjang jabatan seperti direktur, manajer, tenaga
administrasi dan keuangan, teknisi gedung dan lain sebagainya.
Untuk jabatan direktur dan manajer dibutuhkan tenaga profesional dengan tingkat pendidikan
minimum sarjana (S1) atau berpengalaman kerja di bidangnya masing-masing minimum 5 tahun.


Bagian dari buku “Menggali Potensi Wirausaha” Penulis: Harmaizar Zaharuddin                    II - 4
Untuk jabatan kepala bagian dibutuhkan tenaga profesional dengan tingkat pendidikan minimal
sarjana muda dan berpengalaman kerja di bidangnya minimal 5 tahun.
Untuk tenaga pelaksana (staff) terutama bagian keuangan dibutuhkan tenaga berpendidikan
minimal D-3 Akuntansi, dan staff lainnya minimal SLTA yang pernah mengikuti kursus-kursus dan
berpengalaman kerja di bidangnya minimal 2 tahun.
Untuk tenaga kerja non staff atau tenaga langsung dibutuhkan tenaga dengan pendidikan minimum
SLTP yang telah berpengalaman di bidangnya minimal 1 tahun, dan tenaga dengan pendidikan
minimal SLTA yang belum berpengalaman, namun perlu diadakan pelatihan kerja terlebih dahulu.
Pihak perusahaan harus memberi kesempatan untuk mengikuti pendidikan dan pelatihan kerja
kepada para karyawan baik staff maupun non staff sesuai dengan bidang/fungsinya masing-masing,
guna memperlancar jalannya perusahaan dan meningkatkan profesinalisasi tenaga kerja.
Rencana jumlah karyawan/pegawai dalam mengelola gedung office rental milik PT OFFICE
BUILDING menurut bagian atau tingkatannya adalah sebagai berikut :
Jabatan/Fungsi       Jumlah personil
1.     Excellent Commissioner             1
       Commissioners                      4
       President Director                 1
       Directors                          2
2.     House Keeping & Building Manager 1
       Assistant Building Manager       1
       Maintenance/Cleaning Service     30
       Engineering                      7
       Gardening                        4
       Car Call                         2
       Postel Service                   2
3.     Accounting & Finance Manager       1
       Assistant Acc. & Fin. Manager      1
       Cashiers                           1
       Cost Control                       2
       Purchasing                         1
4.     Secretary                          1
       Administration                     2
5.     HRD Staff                          2
       Security                           30
       Drivers                            3
6.     Marketing & Sales Manager          1
       Assistant Marketing Manager        1
       Marketing Executive                2


                        Total             103



Bagian dari buku “Menggali Potensi Wirausaha” Penulis: Harmaizar Zaharuddin             II - 5
2.5. Legalitas Proyek
Data aspek hukum dan legalitas usaha yang telah dimilki oleh PT OFFICE BUILDING selain surat
akte tanah dan akte pendirian perusahaan, adalah sebagai berikut :
1.   Surat Izin Usaha Perdagangan (SIUP) dari Departemen Perdagangan, Nomor :
     61xx/09-01/XII/93, tertanggal 2 Desember 20xx.
2.   Tanda Daftar Perusahaan (TDP) dari Departemen Perdagangan Nomor : 09051626xxx,
     tertanggal 24 Desember 120xx.
3.   Nomor Pokok Wajib Pajak (NPWP) dari Kantor Pelayanan Pajak Jakarta Pusat Satu,
     Direktorat Jenderal Pajak, Departemen Keuangan, Nomor NPWP : 1.635.xxx.4-025.
Adapun surat-surat lain yang berhubungan dengan kelegalitasan usaha tersebut masih dalam proses
penyelesaian oleh pihak yang berwenang.




Bagian dari buku “Menggali Potensi Wirausaha” Penulis: Harmaizar Zaharuddin              II - 6

File 2 office building

  • 1.
    BAB II GAMBARAN UMUM PROYEK 2.1. Pemrakarsa Proyek pembangunan gedung komersial ini diprakarsai oleh PT OFFICE BUILDING yang berkantor pusat di Jl. Angkasa No. xx, Jakarta Pusat. Perusahaan ini untuk pertama kali didirikan pada tanggal 18 Maret 200x, berdasarkan akte notaris Anita Meza, SH, dengan nomor 5xx. Bangunan komersial ini berlokasi di Jl. Angkasa, Kecamatan Kemayoran, Jakarta Pusat. Berdasarkan akte pendirian tersebut, ruang lingkup kegiatan usaha yang akan dilakukan oleh PT OFFICE BUILDING selain bergerak di bidang real estate dan developer termasuk pengolahan pematangan, pengukuran dan penggalian tanah, adalah menjalankan usaha dalam bidang perdagangan umum, pemborong atau kontraktor, perindustrian umum, pertanian, pengangkutan umum, usaha di bidang jasa kecuali jasa hukum dan pertambangan. 2.2. Struktur permodalan Modal dasar perseroan PT OFFICE BUILDING berdasarkan akte pendirian tersebut seluruhnya bernilai Rp 5.000.000.000,- (lima milyar rupiah) yang terdiri atas 5.000 (lima ribu) lembar saham, masing-masing mempunyai nilai nominal sebesar Rp 1.000.000,- (satu juta rupiah). Berdasarkan akte nomor 5xx telah ditempatkan dan disetor sebanyak 1.000 lembar saham atau senilai Rp 1.000.000.000,- (satu milyar rupiah). Susunan kepemilikan saham tersebut adalah sebagai berikut : 1. Tuan Nita P. 300 lembar saham Rp 300.000.000,- 2. Tuan Harneti S 200 lembar saham Rp 200.000.000,- 3. Tuan Harmaizar Z. 150 lembar saham Rp 150.000.000,- 4. Tuan Suryadi M. 100 lembar saham Rp 100.000.000,- 5. Tuan Dicky H. 150 lembar saham Rp 150.000.000,- 6. Tuan Andika H. 100 lembar saham Rp 100.000.000,- Total Rp 1.000.000.000,- Sisa saham lainnya akan dikeluarkan menurut keperluan modal kerja pada waktu dan syarat yang ditetapkan oleh Direksi dengan persetujuan Dewan Komisaris. 2.3. Manajemen dan organisasi Proyek 2.3.1.Susunan Pengurus Susunan dewan pengurus PT OFFICE BUILDING berdasarkan akte pendirian perusahaan tersebut adalah sebagai berikut : Presiden Komisaris : Nita P. Komisaris : 1. Harneti S. Bagian dari buku “Menggali Potensi Wirausaha” Penulis: Harmaizar Zaharuddin II - 1
  • 2.
    : 2. Suryadi PresidenDirektur : Harmaizar Z. Direktur : Dicky Harvinanda 2.3.2. Manajemen Operasional Untuk mencapai target yang diharapkan sesuai dengan ketetapan perusahaan, seperti jangka waktu pembangunan, fasilitas gedung berkualitas prima, dan target pemasaran yang akan dicapai dengan penggunaan biaya serendah mungkin diperlukan suatu manajemen dan organisasi yang baik dan tepat yang ditunjang oleh penggunaan tenaga kerja berkualitas cukup baik pula. Pelaksanaan dan pemasaran gedung komersial ini sebaiknya dipimpin oleh seorang General Manager yang berpengalaman dan mengetahui dengan baik tentang bisnis property secara umum, khususnya teknik pengelolaan dan pemasaran gedung perkantoran yang termasuk dalam kelompok Prime Office. General Manager perlu dibantu oleh seorang asisten general manager dan beberapa orang manajer, karyawan administrasi, karyawan gedung dan karyawan lainnya. General Manager bertanggung jawab kepada Direksi atas segala tugas dan tanggung jawab yang dibebankan. Adapun tugas Presiden Direktur mewakili Direksi dan perseroan dalam menjalankan segala tindakan baik di dalam maupun di luar perusahaan tentang segala hal yang berhubungan dengan pelaksanaan kegiatan perusahaan, yang meliputi perencanaan dan pelaksanaan operasi perusahaan. Selain itu berhak untuk bertindak serta menandatangani atas nama perseroan dan mengikat perseroan pada pihak lain atau sebaliknya baik mengenai pengurusan maupun pemilikan, namun dengan pembatasan-pembatasan, seperti mencari sumber dana baik dalam maupun dari luar perusahaan dan menggunakannya untuk keperluan perseroan harus mendapat persetujuan terlebih dahulu dari atau ditanda tangani oleh Komisaris atau oleh sekurang-kurangnya 2 orang komisaris. Presiden Direktur bertanggung jawab kepada Komisaris atas segala tindakan atau kegiatan tersebut diatas.Sedangkan fungsi Komisaris adalah sebagai wakil pemegang saham untuk mengawasi jalannya perusahaan. Organisasi dalam perusahaan property khususnya perusahaan gedung komersial lazimnya dibagi atas 3 fungsi menurut bidang pekerjaan, yaitu : 1. Bidang Operasi Usaha (Produksi Jasa/Building) 2. Bidang Penunjang (Umum dan Keuangan) 3. Bidang Pemasaran 1. Bidang Operasi Usaha Bidang operasi usaha ini meliputi bagian-bagian yang menghasilkan pendapatan, yang terdiri dari : a. Room Departement Bagian ini bertanggung jawab atas kelancaran tugas-tugas operasi di front dab house keeping, mengatur segala sesuatu yang berhubungan dengan para penyewa dan melayani segala sesuatu yang berhubungan dengan kepentingan umum. Penguasaan teknis dan operasi dari bagian ini sangat menentukan terhadap minat para penyewa Oleh karena itu terhadap para karyawan yang menangani bagian ini dituntut beberapa kelebihan Bagian dari buku “Menggali Potensi Wirausaha” Penulis: Harmaizar Zaharuddin II - 2
  • 3.
    dalam melakukan tugaspelayanan, seperti penguasaan bahasa asing, keramah-tamahan dan sikap yang baik. b. House Keeping Bagian ini mengurus pekerjaan dan tanggung jawab atas segala kelancaran penggunaan fasilitas yang disediakan, dan keperluan para penyewa dan tamu di ruangan-ruangan umum (public area). Selain itu tersedianya seragam (uniform) dari setiap karyawan adalah merupakan tanggung jawab bagian ini. Bidang perbaikan dan pemeliharaan (repair dan maintenance) pada operasi gedung komersial ini dikelola oleh enginering department, yang bertanggung jawab terhadap kelestarian dan kelancaran operasi tanpa mengabaikan prinsip-prinsip efisiensi dalam segi biaya dan pengeluaran. Kebutuhan tenaga disesuaikan dengan ruang linkup pekerjaan dan tingginya bangunan gedung. 2.Bidang Penunjang Bidang penunjang, dalam hal ini adalah bidang umum dan keuangan bukanlah bidang yang menghasilkan pendapatan untuk perusahaan pemilik/pengelola. Bagian yang termasuk bidang penunjang tersebut adalah sebagai berikut : a. Accounting Department Bagian ini melaksanakan segala pencatatan dan pemeriksaan dalam bidang keuangan (financial) atas semua penerimaan (income), pembayaran (payable) dan segala aktivitas operasional gedung komersial. Secara berkala bagian ini memuat laporan keuangan yang mencakup pembuatan neraca, laporan laba-rugi dan rencana anggaran tahunan operasi office rental. Bagian ini terdiri dari cashier, cost control dan purchasing. Pelaksanaan sistim pengawasan yang ketat akan sangat menentukan keberhasilan pengamanan kekayaan perusahaan. b. Bagian Umum Bagian ini mengurus penerimaan, pembinaan dan pemberhentian karyawan dan memegang peranan penting dalam hal seleksi karyawan agar calon karyawan dapat bekerja dan berfungsi sebagaimana yang diharapkan. Bagian ini pula yang harus menguasai peraturan-peraturan kepegawaian, peraturan-peraturan Pemerintah khususnya perburuhan, begitu pula dalam pengumpulan data kepegawaian. Guna meningkatkan ketrampilan dan kemampuan para karyawan, bagian ini menyusun job description dari masing-masing bidang kerja karyawan dan menjadwalkan program pendidikan. Bagian umum membawahi bidang-bidang seperti berikut ini. - Administrasi dan Personalia - Security/Keamanan 3. Bidang Pemasaran Kegiatan pemasaran tentunya berkaitan dengan upaya untuk memasarkan seluruh jasa yang dapat dijual kepada konsumen sesuai dengan kebijaksanaan dan strategi perusahaan yang ditetapkan seperti sebagai berikut : a. Menyusun rencana dan program-program pemasaran yang terpadu. b. Melakukan usaha-usaha promosi dan penyebar luasan informasi pemasaran secara intensif. Bagian dari buku “Menggali Potensi Wirausaha” Penulis: Harmaizar Zaharuddin II - 3
  • 4.
    c. Mengadakan kerjasama dan hubungan baik dengan badan-badan usaha dan instansi-instansi yang berkepentingan dengan gedung perkantoran, baik Pemerintah maupun swasta. d. Memelihara dan manambah daya tarik gedung perkantoran serta mendorong minat penyewa terhadap fasilitas dan kemudahan-kemudahan yang disediakan. e. Melakukan penelitian dan pengembangan. Bagan struktur organisasi PT OFFICE BUILDING adalah seperti berikut ini : STRUKTUR ORGANISASI PT OFFICE BUILDING KOMISARIS DIREKSI SEKRETARIS GENERAL ASSISTEN MANAGER GENERAL MANAGER MANAGER ACCOUNTING MARKETING & HOUSE KEEPING ADM & PSN FINANCE MNG SALES MANAGER MANAGER - Administrasi Ass Acc. Mng Ass. Ass.H.Keeping - Personalia Ass Finance Mng Ass. - Marketing Manager Maintenance - Pengadaan Chashier - Marketing Executive Enginering - Driver Cost Control Cleaning S 2.4. kebutuhan dan kualifikasi personalia Berdasarkan struktur organisasi dan job description PT OFFICE BUILDING tersebut diatas, untuk saat ini dibutuhkan karyawan sebayak 135 orang termasuk direksi dan beberapa orang manajer. Penambahan tenaga kerja akan dilakukan jika perusahaan membutuhkannya. Sebagai penunjang efisiensi kerja organisasi, maka kualifikasi tenaga kerja juga sangat diperlukan. Kualifikasi tenaga kerja ini diatur menurut jenjang jabatan seperti direktur, manajer, tenaga administrasi dan keuangan, teknisi gedung dan lain sebagainya. Untuk jabatan direktur dan manajer dibutuhkan tenaga profesional dengan tingkat pendidikan minimum sarjana (S1) atau berpengalaman kerja di bidangnya masing-masing minimum 5 tahun. Bagian dari buku “Menggali Potensi Wirausaha” Penulis: Harmaizar Zaharuddin II - 4
  • 5.
    Untuk jabatan kepalabagian dibutuhkan tenaga profesional dengan tingkat pendidikan minimal sarjana muda dan berpengalaman kerja di bidangnya minimal 5 tahun. Untuk tenaga pelaksana (staff) terutama bagian keuangan dibutuhkan tenaga berpendidikan minimal D-3 Akuntansi, dan staff lainnya minimal SLTA yang pernah mengikuti kursus-kursus dan berpengalaman kerja di bidangnya minimal 2 tahun. Untuk tenaga kerja non staff atau tenaga langsung dibutuhkan tenaga dengan pendidikan minimum SLTP yang telah berpengalaman di bidangnya minimal 1 tahun, dan tenaga dengan pendidikan minimal SLTA yang belum berpengalaman, namun perlu diadakan pelatihan kerja terlebih dahulu. Pihak perusahaan harus memberi kesempatan untuk mengikuti pendidikan dan pelatihan kerja kepada para karyawan baik staff maupun non staff sesuai dengan bidang/fungsinya masing-masing, guna memperlancar jalannya perusahaan dan meningkatkan profesinalisasi tenaga kerja. Rencana jumlah karyawan/pegawai dalam mengelola gedung office rental milik PT OFFICE BUILDING menurut bagian atau tingkatannya adalah sebagai berikut : Jabatan/Fungsi Jumlah personil 1. Excellent Commissioner 1 Commissioners 4 President Director 1 Directors 2 2. House Keeping & Building Manager 1 Assistant Building Manager 1 Maintenance/Cleaning Service 30 Engineering 7 Gardening 4 Car Call 2 Postel Service 2 3. Accounting & Finance Manager 1 Assistant Acc. & Fin. Manager 1 Cashiers 1 Cost Control 2 Purchasing 1 4. Secretary 1 Administration 2 5. HRD Staff 2 Security 30 Drivers 3 6. Marketing & Sales Manager 1 Assistant Marketing Manager 1 Marketing Executive 2 Total 103 Bagian dari buku “Menggali Potensi Wirausaha” Penulis: Harmaizar Zaharuddin II - 5
  • 6.
    2.5. Legalitas Proyek Dataaspek hukum dan legalitas usaha yang telah dimilki oleh PT OFFICE BUILDING selain surat akte tanah dan akte pendirian perusahaan, adalah sebagai berikut : 1. Surat Izin Usaha Perdagangan (SIUP) dari Departemen Perdagangan, Nomor : 61xx/09-01/XII/93, tertanggal 2 Desember 20xx. 2. Tanda Daftar Perusahaan (TDP) dari Departemen Perdagangan Nomor : 09051626xxx, tertanggal 24 Desember 120xx. 3. Nomor Pokok Wajib Pajak (NPWP) dari Kantor Pelayanan Pajak Jakarta Pusat Satu, Direktorat Jenderal Pajak, Departemen Keuangan, Nomor NPWP : 1.635.xxx.4-025. Adapun surat-surat lain yang berhubungan dengan kelegalitasan usaha tersebut masih dalam proses penyelesaian oleh pihak yang berwenang. Bagian dari buku “Menggali Potensi Wirausaha” Penulis: Harmaizar Zaharuddin II - 6