n
A 1Et4LX dx = -2(:a-
6x d.r
[q*qx-:xl)
(q - qx -:*
q u 6X
(a'&a qx-q)
= -)- Ln[¡*+qx-¿{l +c
¿l
I n AtX'
)t'e dx . 1 6 x3dr..
b)
(
J

r *+s
: )e
r)^
f+5
cl I ,"r rr) e
€)-
-3
a)
f r.-,3
-L. _
bt"ás (29 I'r d s
(e>lüx
+C
. {xl
4e
.G)
't x{
e+
=!(6J
él-6
= € +e
JI xz áx
4
-+
-3
gf +v)
L
.3
@
,tEF
(t- +C
4l
1o o.*ñ*on
2
r ee*
z) axus
')
)
(É-,rc.,
--T-)
6.Lntt s lzxrs I I q
L
2
1Ln
z
tuA
€ J
L
In zx+s[ + c
F) 2x r,ts
-2x +E
 dx + [re-¿"
) )zx-5
x + 40 J-nrx-5 + (
.¡ta)
f* (x-{ +dL-'x})¿x = (u["" + jn
^*4
?,o
 zxus ¿6
J ax*s
Í)l'-7t
4
. i)l
¿tdx
r*x /Z
+e I"1 4
g b)
"ltuu*o* = +,5?t
r S-
-4le----[
.
¿Jv
&+ 2-.
-[ 1+4-]=z6 C L G Cr
C: L5
4?
-e J
lfl"
) (i,** :)*. =_ z
4
lyÉ r LxJ l' ^LUT ¿_J l^ =,e
+ r 4 - 2
-6
L=2-3c€
l-= 5-
cG d
Ej)
I
3 "sx+
*
z3xx *, dK
( :x
L e :dx
3J
(-,
= uJ dx -'5* +
-4
=*3 X _SInx+
3X
e +C{
3
b) 5 ¿t xdx
e.xl< ¡ rxr_a
Xe áx=1 e b
or"
zx¿- 4
=Lec{
+C
I
( fr+¿]dx---
),[qFr
C.J
dl {z- áx
Jffia1
=-i
-{
b-^4'(- ax J¿* +
[¿x----
J üts _Fl
1
= -1 .' fq-r''2"4
-?--
r (Ax
' ) '-la*Tl
, f clx
r -w
L*D X.,1
,
(
-"¿
áK
J x-t'tt
fa Intx-zl o L r",{x-ntJ o
iI r" IEl /'=C>
X no ?uee 9en = L F
et 1y!-
q-x¿'
e)
g
:zB-l¿(t+Gxjl'1 Blto-[r*ro]2_ ,L,
4L ^^'
t4
) tx+ gVx:
2-
rl
l: z>F*tsx+z
',¿{Y*3=cl
K=a
{0
h=1
1
lg
k=
q
- rq .+[6
O
O
K=1t3
v f i,3*)
xr 2 áX
2
t,
) (r_xa_=
3
?
,zIt
I
(>
y- -L
e
/1
lraf -S
&3
z
t1
 C*-zx{ {+x +
o
4"A ,(^
B

Examen integrales -Uladech 2013-I

  • 1.
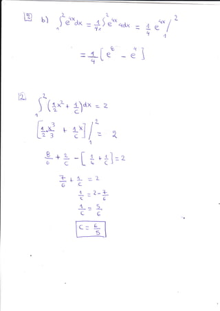
    n A 1Et4LX dx= -2(:a- 6x d.r [q*qx-:xl) (q - qx -:* q u 6X (a'&a qx-q) = -)- Ln[¡*+qx-¿{l +c ¿l I n AtX' )t'e dx . 1 6 x3dr.. b) ( J r *+s : )e r)^ f+5 cl I ,"r rr) e €)- -3 a) f r.-,3 -L. _ bt"ás (29 I'r d s (e>lüx +C . {xl 4e .G) 't x{ e+ =!(6J él-6 = € +e JI xz áx 4 -+ -3 gf +v) L .3 @ ,tEF (t- +C
  • 2.
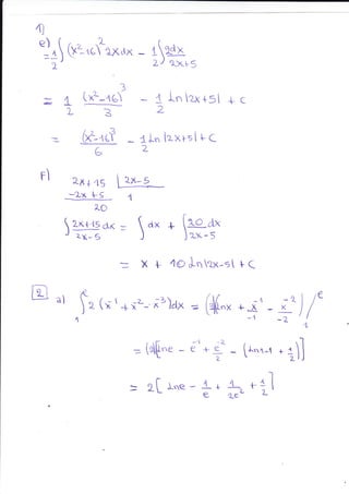
    4l 1o o.*ñ*on 2 r ee* z)axus ') ) (É-,rc., --T-) 6.Lntt s lzxrs I I q L 2 1Ln z tuA € J L In zx+s[ + c F) 2x r,ts -2x +E dx + [re-¿" ) )zx-5 x + 40 J-nrx-5 + ( .¡ta) f* (x-{ +dL-'x})¿x = (u["" + jn ^*4 ?,o zxus ¿6 J ax*s Í)l'-7t 4 . i)l
  • 3.
    ¿tdx r*x /Z +e I"14 g b) "ltuu*o* = +,5?t r S- -4le----[ . ¿Jv &+ 2-. -[ 1+4-]=z6 C L G Cr C: L5 4? -e J lfl" ) (i,** :)*. =_ z 4 lyÉ r LxJ l' ^LUT ¿_J l^ =,e + r 4 - 2 -6 L=2-3c€ l-= 5- cG d
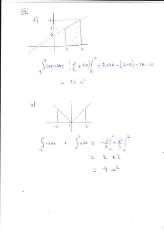
  • 4.
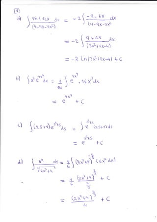
    Ej) I 3 "sx+ * z3xx *,dK ( :x L e :dx 3J (-, = uJ dx -'5* + -4 =*3 X _SInx+ 3X e +C{ 3 b) 5 ¿t xdx e.xl< ¡ rxr_a Xe áx=1 e b or" zx¿- 4 =Lec{ +C I ( fr+¿]dx--- ),[qFr C.J dl {z- áx Jffia1 =-i -{ b-^4'(- ax J¿* + [¿x---- J üts _Fl 1 = -1 .' fq-r''2"4 -?-- r (Ax ' ) '-la*Tl , f clx r -w L*D X.,1 , ( -"¿ áK J x-t'tt fa Intx-zl o L r",{x-ntJ o iI r" IEl /'=C> X no ?uee 9en = L F et 1y!- q-x¿' e)
  • 5.
  • 6.
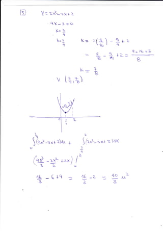
    l: z>F*tsx+z ',¿{Y*3=cl K=a {0 h=1 1 lg k= q - rq.+[6 O O K=1t3 v f i,3*) xr 2 áX 2 t, ) (r_xa_= 3 ? ,zIt I (> y- -L e /1 lraf -S &3 z t1 C*-zx{ {+x + o 4"A ,(^ B