Embed presentation
Download as PDF, PPTX








































































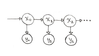
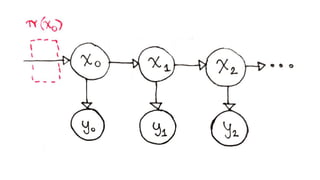
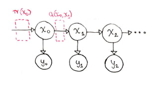
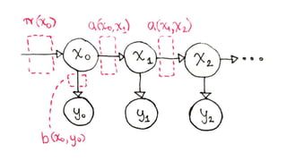
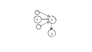
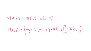
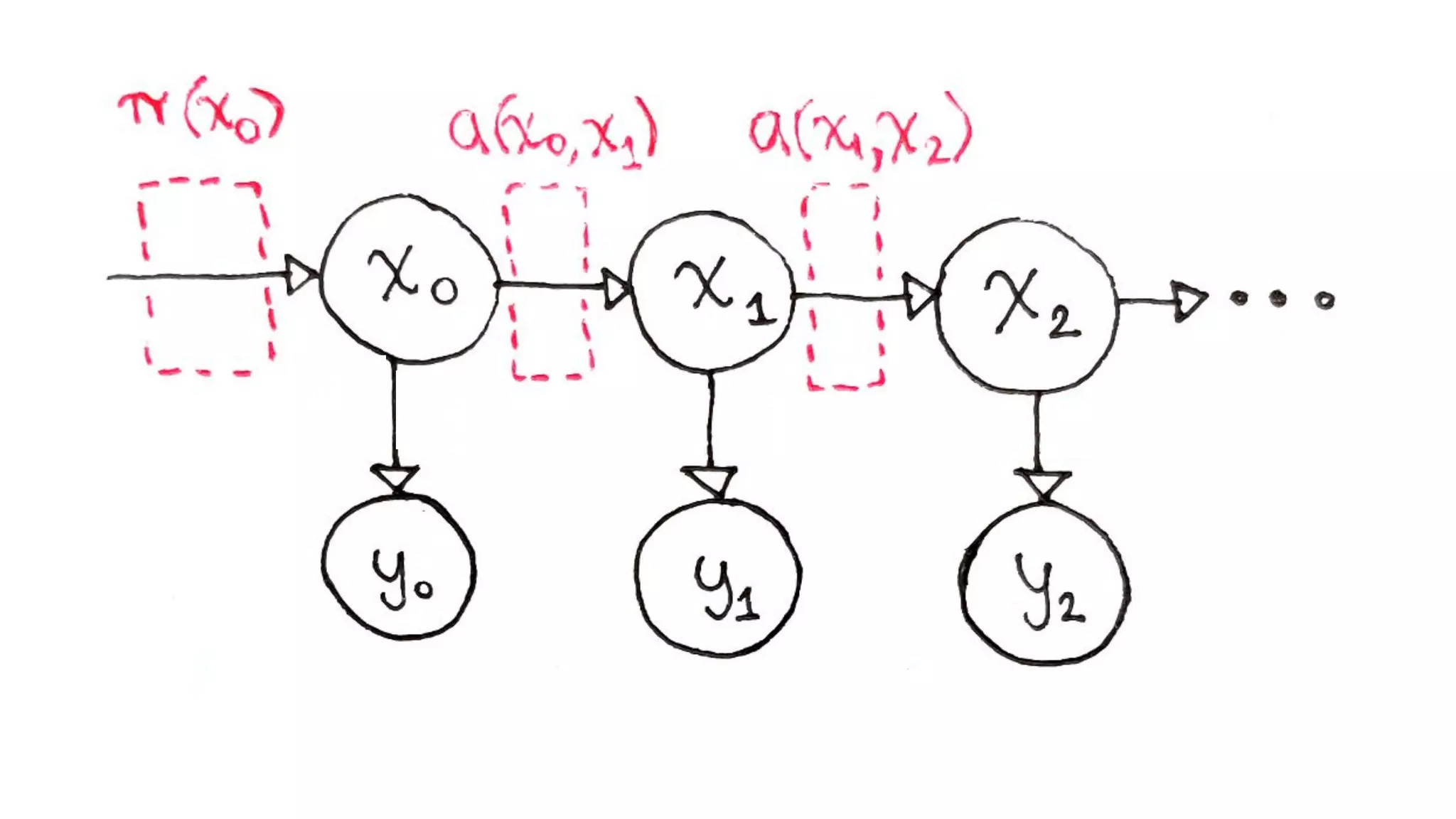
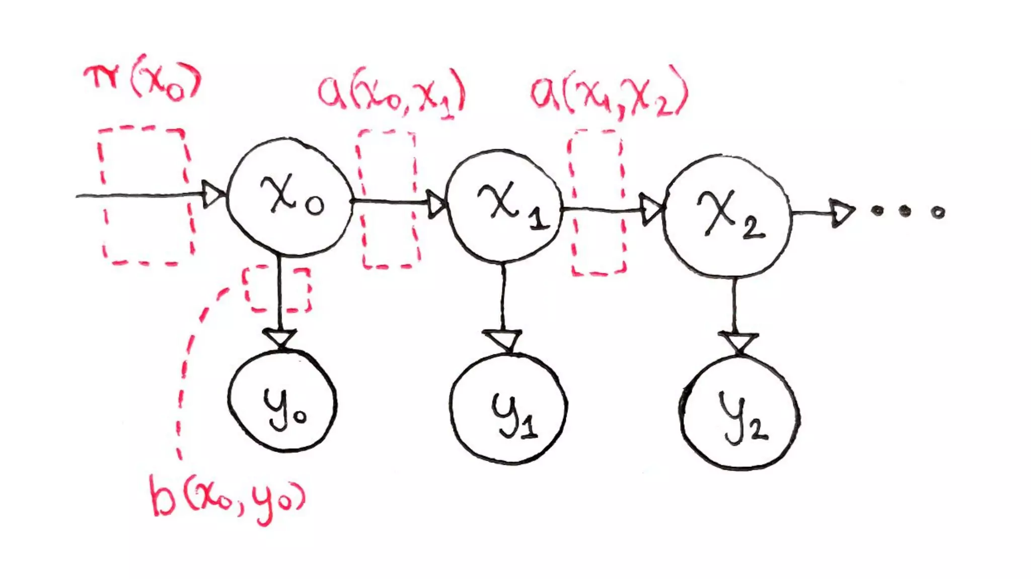
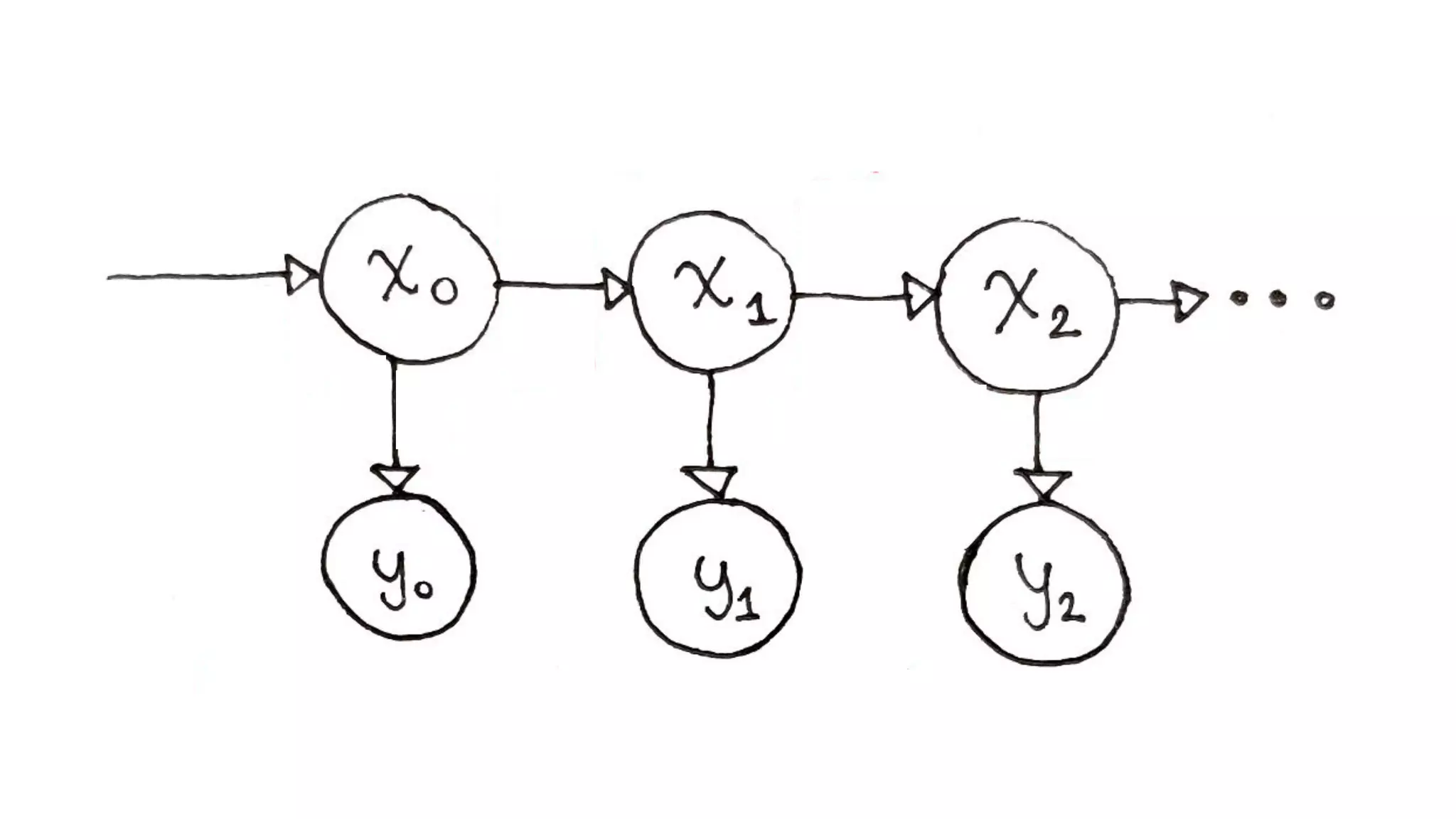
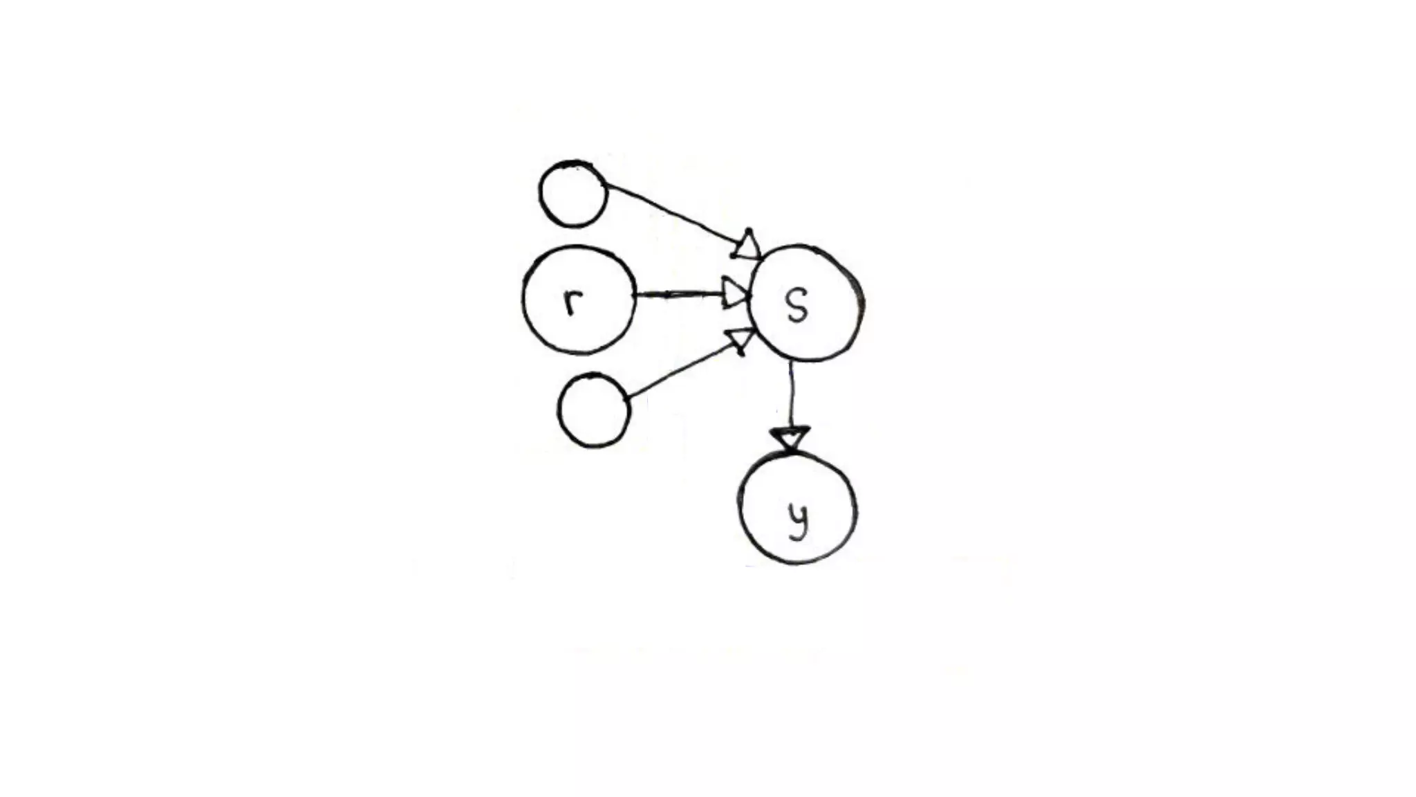
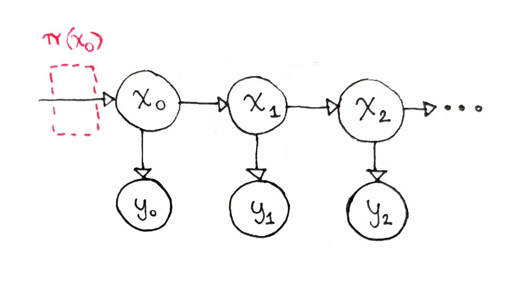
The document discusses the application of Hidden Markov Models (HMMs) in various fields, including speech recognition, biological sequence analysis, and face detection and recognition. Multiple studies from different authors are referenced, highlighting the versatility and effectiveness of HMMs in these applications. Each study contributes to understanding the impact and methodologies of employing HMMs in diverse areas of research.






































































