Direct dyeing 5
29-7-2021
Dr R K MALIK
Classes
• Rate of dyeing initially be controlled or slow
for even dyeing of class B direct dyes
• Factors of rate of dyeing:
• Heat energy – high temperature increases
movement of dye molecules
• Dyeing starts at @ 40 C or RT (room
tempertature) glauber’s salt –sodium sulphate
is added
• Alternate salt: common salt ,NaCl
stilbene
Phthalocyanine
sky blue dyes are synthesised
• Dye SO3Na acquires negative potential dye –
SO3-
• Cell-OH also acquires –Ve potential=Zeta
potential
• Repulsion takes place among dye and fibre.
• Addition of salt neutralises zeta potential of fibre
and dye due to its affinity move towards fibre.
• Dyes having more –SO3Na groups are more
repulsive and hence these dyes are salt
controllable
Class C
• Dyes are having more –So3Na group and dyes
are large of high molecular weight. Movement
of high mol weight dyes is restricted. For
movement heat energy is given i.e., high
temperature. These dyes are salt and
temperature controllable.
Dyeing process
• Chemicals required
• 1 salt
• 2. soda ash
• 3 water softner if water is not soft
• 4. dye fixing agent
Water softnening plant: to remove metal salts like
calcium chloride, magnesium chloride, sulphates.
Presence of such salts reduces solubility of dyes
and dye required in dyeing will be more.
Function of soda ash
• Pinch of soda ash (sodium carbonate) is required for
dissolving direct dyes. Few direct dyes may have –SO3H
groups instead of
-SO3Na groups, soda will help in solubilising such dyes.
Dyeing machine: capacity 100 kg fabric
Calculation: fabric width 60 inch = 1.5 M
GSM grams per sq. M= 100 g, so
1 M fabric =1 x 1.5 =1.5 sq. M
Weight of such fabric per metre=1.5 x 100 g= 150 g
1000m fabric =1000 x 150 /1000=150 kg
• Jigger dyeing machine: 100 kg fabric loaded
• Liquor: 120 L
• MLR=?100:140= 1: 1.4
• Beam dyeing m/c
• 100 kg polyester fabric loaded
• Liquor= 1000 L
• MLR=1:10
Industrial Dyeing method
• Application
• After treatment
• Fixation mechanism
application
• Well scoured and bleached fabric/yarn
• Fabric absorbent uniformly
• 100 kg yarn-hank yarn
• Machine MLR 1:15
• Liquor=1500 L
• Dye 1.5%= 1.5 kg
• Salt : 10g/L=10 x 1500=15 kg
• Soda ash=0.150 kg
• Dye solution preparation
• In a bucket of 14 L add 1.5 kg dye , add TRO
0.150 kg add little warm water and make a
paste so that no lump is formed
• Add soda ash with stirring it
• Add 10 L water with stirring
dye bath
• Soak material with water
• Fill m/c with required amount of water and run it
• Then add dye solution into the machine and run
• Temperature at beginning 40 C
• Raise temp 1 C /min to 95 C- 98 C
• After 10 min
• Add salt for exhaustion
• And further run for 60 min
• Cool to 70 C
• Drain
• Rinse with fresh water
• To remove unfixed dyes and to remove salts
etc
• Fabric neutral
• After-treatment
After treatment
• Dyes bleed as you go for soaping
• To stop , after-treatment is given
• 1 formaldehyde
• 2 treatment with napthol and diazotisation
3 Treatment with chromium salt
4 Treatment with cationic dye fixing agent
Purpose: to increase dye sizes inside fibre
To improve washing, staining fastness
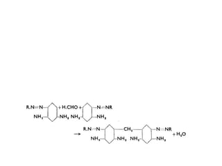
• HCHO
• Crosslinks two dye molecules by methylene linkages
• Cationic dye fixing agent
• R4N+Cl-
• R4N+Cl- + Dye-SO3Na Dye-SO3-NR4
• Acetic acid : 150 g
• 50-100 g
• Water 1500 L
• Time 15 min
• Temp :RT (no heating)
• Sandofix WEI
• Fix D
dye fixation-direct dyes
• Dyes do not react with fibre-cellulosics
• Amorphous region, dye molecules remain in
aggregated forms, few dye molecules due to
its non-polar forces of attraction may form
crystal
• aggregation
Fastness properties
• Washing fastness –very poor but improved by
after-treatment
• Staining fastness- very poor but improved by
after-treatment
• Light fastness: depends on cromophore
• -poor if azo chromophore present
• Very good if phthalocyanine groups present
Direct dyeing 5 29-7-21.pptx
Direct dyeing 5 29-7-21.pptx

Direct dyeing 5 29-7-21.pptx

  • 1.
  • 2.
  • 3.
    • Rate ofdyeing initially be controlled or slow for even dyeing of class B direct dyes • Factors of rate of dyeing: • Heat energy – high temperature increases movement of dye molecules • Dyeing starts at @ 40 C or RT (room tempertature) glauber’s salt –sodium sulphate is added • Alternate salt: common salt ,NaCl
  • 5.
  • 6.
  • 7.
    • Dye SO3Naacquires negative potential dye – SO3- • Cell-OH also acquires –Ve potential=Zeta potential • Repulsion takes place among dye and fibre. • Addition of salt neutralises zeta potential of fibre and dye due to its affinity move towards fibre. • Dyes having more –SO3Na groups are more repulsive and hence these dyes are salt controllable
  • 8.
    Class C • Dyesare having more –So3Na group and dyes are large of high molecular weight. Movement of high mol weight dyes is restricted. For movement heat energy is given i.e., high temperature. These dyes are salt and temperature controllable.
  • 9.
    Dyeing process • Chemicalsrequired • 1 salt • 2. soda ash • 3 water softner if water is not soft • 4. dye fixing agent Water softnening plant: to remove metal salts like calcium chloride, magnesium chloride, sulphates. Presence of such salts reduces solubility of dyes and dye required in dyeing will be more.
  • 10.
    Function of sodaash • Pinch of soda ash (sodium carbonate) is required for dissolving direct dyes. Few direct dyes may have –SO3H groups instead of -SO3Na groups, soda will help in solubilising such dyes. Dyeing machine: capacity 100 kg fabric Calculation: fabric width 60 inch = 1.5 M GSM grams per sq. M= 100 g, so 1 M fabric =1 x 1.5 =1.5 sq. M Weight of such fabric per metre=1.5 x 100 g= 150 g 1000m fabric =1000 x 150 /1000=150 kg
  • 11.
    • Jigger dyeingmachine: 100 kg fabric loaded • Liquor: 120 L • MLR=?100:140= 1: 1.4 • Beam dyeing m/c • 100 kg polyester fabric loaded • Liquor= 1000 L • MLR=1:10
  • 12.
    Industrial Dyeing method •Application • After treatment • Fixation mechanism
  • 13.
    application • Well scouredand bleached fabric/yarn • Fabric absorbent uniformly • 100 kg yarn-hank yarn • Machine MLR 1:15 • Liquor=1500 L • Dye 1.5%= 1.5 kg • Salt : 10g/L=10 x 1500=15 kg • Soda ash=0.150 kg
  • 14.
    • Dye solutionpreparation • In a bucket of 14 L add 1.5 kg dye , add TRO 0.150 kg add little warm water and make a paste so that no lump is formed • Add soda ash with stirring it • Add 10 L water with stirring
  • 15.
    dye bath • Soakmaterial with water • Fill m/c with required amount of water and run it • Then add dye solution into the machine and run • Temperature at beginning 40 C • Raise temp 1 C /min to 95 C- 98 C • After 10 min • Add salt for exhaustion • And further run for 60 min • Cool to 70 C • Drain
  • 16.
    • Rinse withfresh water • To remove unfixed dyes and to remove salts etc • Fabric neutral • After-treatment
  • 17.
    After treatment • Dyesbleed as you go for soaping • To stop , after-treatment is given • 1 formaldehyde • 2 treatment with napthol and diazotisation 3 Treatment with chromium salt 4 Treatment with cationic dye fixing agent Purpose: to increase dye sizes inside fibre To improve washing, staining fastness
  • 18.
    • HCHO • Crosslinkstwo dye molecules by methylene linkages • Cationic dye fixing agent • R4N+Cl- • R4N+Cl- + Dye-SO3Na Dye-SO3-NR4 • Acetic acid : 150 g • 50-100 g • Water 1500 L • Time 15 min • Temp :RT (no heating)
  • 19.
  • 20.
    dye fixation-direct dyes •Dyes do not react with fibre-cellulosics • Amorphous region, dye molecules remain in aggregated forms, few dye molecules due to its non-polar forces of attraction may form crystal • aggregation
  • 21.
    Fastness properties • Washingfastness –very poor but improved by after-treatment • Staining fastness- very poor but improved by after-treatment • Light fastness: depends on cromophore • -poor if azo chromophore present • Very good if phthalocyanine groups present