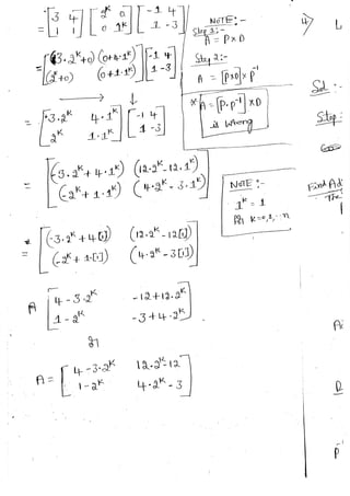
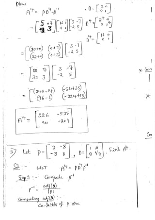
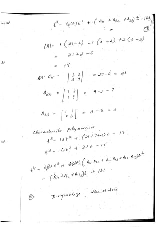
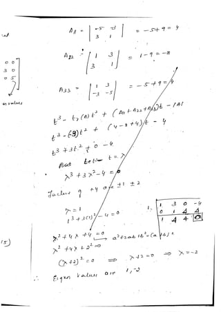
Embed presentation
Downloaded 14 times























































































































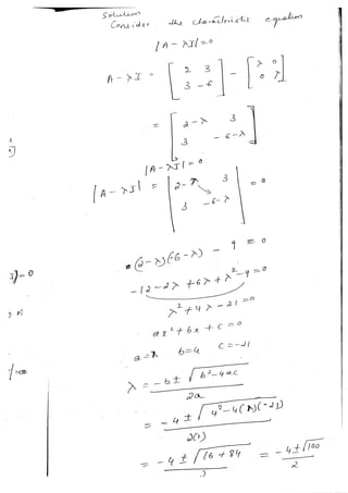
The document discusses the benefits of exercise for mental health. Regular physical activity can help reduce anxiety and depression and improve mood and cognitive functioning. Exercise has also been shown to boost self-esteem and can serve as a healthy way to manage stress.





















































































































