KATA PENGANTAR


     Dalam mewujudkan penyelenggaraan kepemerintahan yang baik, transparan, efektif,
efisien, serta akuntabel, perlu adanya keterbukaan data yang dapat diakses dan merupakan
bagian dari keterbukaan informasi publik.

     Penyusunan program dan kegiatan untuk mewujudkan penyelenggaraan kepemerintahan
yang baik tidak bisa dilepaskan dari data dan informasi, karena berdasarkan Undang-Undang
Nomor 14 Tahun 2008 tentang Keterbukaan Informasi Publik dan Ketentuan Pasal 152 Ayat (1)
dan (2) Undang-Undang Nomor 32 Tahun 2004 tentang Pemerintahan Daerah mengamanatkan
bahwa perencanaan pembangunan didasarkan pada data dan informasi yang akurat dan dapat
dipertanggungjawabkan. Dengan demikian program dan kegiatan yang disusun diharapkan tidak
berdasarkan kepada kepentingan sesaat tetapi disusun berdasarkan kebutuhan.

     Sehubungan dengan hal tersebut maka disusun Database Kota Singkawang Tahun 2011 yang
merupakan kumpulan data dari berbagai SKPD di Lingkungan Pemerintah Kota Singkawang
maupun sumber lainnya yang ada di Kota Singkawang.

      Penyusunan Buku Database ini bertujuan untuk memenuhi kebutuhan data dan informasi
yang diharapkan dapat dipergunakan dalam penyusunan program dan kegiatan. Selain itu juga
sebagai bahan informasi kepada pihak-pihak yang membutuhkan untuk mengetahui apa yang
telah dilaksanakan dan diraih Kota Singkawang.

     Semoga buku ini dapat bermanfaat bagi para pihak yang berkepentingan dan mempunyai
perhatian dalam membangun dan memajukan Kota Singkawang.




                                                     Singkawang,     November 2012

                                                         WALIKOTA SINGKAWANG




                                                       Dr. HASAN KARMAN, S.H, M.M




                                                         Database Kota Singkawang Tahun 2011   |i
DAFTAR ISI


KATA PENGANTAR WALIKOTA SINGKAWANG                                                      i
DAFTAR ISI                                                                             ii
DAFTAR TABEL                                                                          iii
1   Wilayah Singkawang                                                                 1
2   Pemerintahan                                                                       5
3   Keamanan dan Ketertiban                                                            8
4   Kepegawaian                                                                       11
5   Penduduk                                                                          27
6   Pendidikan                                                                        36
7   Kesehatan                                                                         59
8   Keluarga Berencana                                                                80
9   Layanan Publik                                                                    83
10 Rencana Tata Ruang                                                                 91
11 Infrastruktur                                                                      92
12 Perekonomian                                                                   100
13 Keuangan Daerah                                                                115
14 Kekayaan Daerah                                                                134
15 Perindustrian dan Perdagangan                                                  135
16 Koperasi, Usaha Mikro, Kecil dan Menengah                                      143
17 Pertanian dan Ketahanan Pangan                                                 146
18 Kelautan dan Perikanan                                                         175
19 Perhubungan, Pos dan Telekomunikasi                                            184
20 Pariwisata dan Kebudayaan                                                      193
21 Kesejahteraan Sosial, Tenaga Kerja dan Transmigrasi                            197
22 Keagamaan                                                                      208
23 Politik dan Kesatuan Bangsa                                                    218
24 Lingkungan Hidup dan Kebersihan                                                225




                                                Database Kota Singkawang Tahun 2011   | ii
DAFTAR TABEL


Tabel 1.1    Perbandingan Luas Wilayah Kota Singkawang Dengan Luas Wilayah Kabupaten/Kota
             Di Kalimantan Barat                                                                              2
      1.2    Letak Geografi Kecamatan Di Wilayah Kota Singkawang Menurut Garis Lintas dan Bujur               2
      1.3    Batas Administrasi Kota Singkawang Menurut Kecamatan                                             3
      1.4    Luas Wilayah Kota Singkawang Menurut Jenis Tanah                                                 3
      1.5    Luas Wilayah Kota Singkawang Menurut Ketinggian                                                  3
      1.6    Penggunaan Tanah Menurut Kecamatan Di Kota Singkawang                                            4

Tabel 2.1    Organisasi Perangkat Daerah Kota Singkawang Keadaan Tahun 2008 – 2011                            6
      2.2    Produk Hukum dan Penegakan Produk Hukum Di Kota Singkawang Keadaan Tahun 2008-2011               6
      2.3    Hasil Pemeriksaan Inspektorat Kota Singkawang Tahun 2009 – 2011
             Keadaan Per 31 Desember 2011                                                                     6
      2.4    Jumlah RW/RT Di Kota Singkawang Berdasarkan Kecamatan dan Kelurahan
             Keadaan Per 31 Desember 2011                                                                     7

Tabel 3.1    Jumlah Gangguan Kamtibmas Dalam Wilayah Hukum Polres Singkawang
             Periode Tahun 2009 - 2011                                                                        8
      3.2    Data Jumlah Kecelakaan Lalu Lintas Dalam Wilayah Hukum Polres Singkawang
             Periode Tahun 2009 - 2011                                                                        9
      3.3    Jumlah SIM Yang Dikeluarkan Polres Singkawang Periode Januari s/d Desember 2011.............    10

Tabel 4.1    Data Pegawai (PNS/CPNS) Berdasarkan Jenis Kelamin Pada SKPD Di Lingkungan
             Pemerintah Kota Singkawang Keadaan Tahun 2009 – 2011                                            13
      4.2    Jumlah Pegawai Pemerintah Kota Singkawang Berdasarkan Jenis Jabatan
             Keadaan Tahun 2009 – 2011                                                                       15
      4.3    Pegawai Pemerintah Kota Singkawang Berdasarkan Pangkat/Golongan Ruang dan Jenis
             Kelamin Keadaan Tahun 2009 – 2011                                                               16
      4.4    Pegawai Pemerintah Kota Singkawang Berdasarkan Tingkat Pendidikan dan Jenis Kelamin
             Keadaan Tahun 2009 – 2011                                                                       16
      4.5    Jumlah Formasi Jabatan Struktural Di Lingkungan Pemerintah Kota Singkawang Tahun 2008
             2009, 2010 dan 2011                                                                             17
      4.6    Pengisian Formasi Jabatan Struktural Di Lingkungan Pemerintah Kota Singkawang
             Berdasarkan Eselon Keadaan Tahun 2009 – 2011                                                    17
      4.7    Jenis Kelamin Pejabat Struktural Di Lingkungan Pemerintah Kota Singkawang Berdasarkan
             Eselon Keadaan Tahun 2009 – 2011                                                                18
      4.8    Data Pangkat/Golongan Ruang Pejabat Struktural Di Lingkungan Pemerintah
             Kota Singkawang Berdasarkan Eselon Keadaan Tahun 2009 – 2011                                    19
      4.9    Data Pejabat Struktural Di Lingkungan Pemerintah Kota Singkawang Yang Sudah/Belum
             Mengikuti Diklatpim Berdasarkan Eselon dan SKPD Keadaan Tahun 2009 – 2011                       19
      4.10   Data Pendidikan Pejabat Struktural Di Lingkungan Pemerintah Kota Singkawang
             Berdasarkan Eselon Keadaan Tahun 2009 – 2011                                                    20
      4.11   Data Pegawai di Lingkungan Pemerintah Kota Singkawang Yang Mengikuti Tugas Belajar
             / Izin Belajar Keadaan Tahun 2009 – 2011                                                        20
      4.12   Mutasi Pegawai Pemerintah Kota Singkawang Berdasarkan Masuk, Keluar, Berhenti dan
             Meninggal Keadaan Tahun 2009 – 2011                                                             21




                                                                   Database Kota Singkawang Tahun 2011      | iii
4.13   Data Jumlah Pegawai Pemerintah Kota Singkawang Yang Naik Pangkat Berdasarkan SKPD
             dan Periode Usulan Kenaikan Pangkat Yang Disetujui Keadan 31 desember 2011                 21
      4.14   CPNS Yang Diterima Pemerintah Kota Singkawang Dari Jalur Umum Berdasarkan
             Nama Jabatan/ Jenis Formasi dan Pendidikan Tahun Anggaran 2011                             23
      4.15   CPNS Yang Diterima Pemerintah Kota Singkawang Dari Jalur Pegawai Tidak Tetap (PTT)
             Berdasarkan Nama SKPD, Nama Jabatan / Jenis Formasi dan Pendidikan TA 2009 – 2011          25
      4.16   Jumlah Karyawan PDAM Kota Singkawang Berdasarkan Status, Jenis Kelamin dan
             Pendidikan Keadaan Tahun 2009 – 2011                                                       26

Tabel 5.1    Indeks Pembangunan Manusia (IPM) Kota Singkawang Periode Tahun 2008 – 2011                 27
      5.2    Jumlah Penduduk Kota Singkawang Berdasarkan Kelurahan dan Kecamatan
             Tahun 2009 - 2010                                                                          28
      5.3    Jumlah Penduduk Kota Singkawang Berdasarkan Kelurahan dan Kecamatan
             Keadaan 31 Desember 2011                                                                   29
      5.4    Jumlah Penduduk Kota Singkawang Menurut Kelompok Umur Tahun 2009 – 2011                    30
      5.5    Jumlah Penduduk Kota Singkawang Menurut Kelompok Umur Keadaan Tahun 2009 – 2011..... 30
      5.6    Mutasi Penduduk Kota Singkawang (Yang Dilaporkan) Berdasarkan Kecamatan, Jumah
             Penduduk dan Jenis Mutasi Keadaan Tahun 2009 – 2011                                        31
      5.7    Jumlah Penduduk Kota Singkawang Berdasarkan Kecamatan dan Pemeluk Agama
             Keadaan Tahun 2009 – 2011                                                                  32
      5.8    Jumlah WNA Yang Melaporkan Kehadirannya Ke Kantor Imigrasi Klas II Singkawang
             Berdasarkan Bulan Dan Asal Negara Keadaan Per 31 Desember 2011                             33
      5.9    Jumlah Paspor Yang Dikeluarkan Kantor Imigrasi Klas II Singkawang
             Berdasarkan Bulan Dan Halaman Paspor Periode Januari s/d Desember 2011                     33
      5.10   Pembuatan Kartu Penduduk (KTP) Di Kota Singkawang Berdasarkan Bulan Dan Kecamatan
             Keadaan Per 31 Desember 2011                                                               34
      5.11   Akta Pencatatan Sipil Yang Dikeluarkan Berdasarkan Bulan Dan Kecamatan
             Keadaan Per 31 Desember 2011                                                               35

Tabel 6.1    Indikator Pendidikan di Kota Singkawang Periode 2008 – 2011                                38
      6.2    Kondisi Guru Di Kota Singkawang Keadaan Per Tahun Pelajaran 2008 – 2011                    38
      6.3    Status Kepegawaian Guru Di Kota Singkawang Keadaan Per Tahun Pelajaran 2008 – 2011 ……. 39
      6.4    Guru Yang Telah Lulus Sertifikasi di Kota Singkawang Keadaan Tahun Pelajaran 2008/2009
             2009/2010 dan 2010/2011                                                                    39
      6.5    Nama Guru Negeri Yang Diperbantukan Di TK Berdasarkan Jenjang Sekolah Keadaan
             Pada Tahun Pelajaran 2008 – 2011                                                           40
      6.6    Jumlah Pengawas Sekolah Di Kota Singkawang Berdasarkan Jenjang Sekolah Keadaan
             Tahun Pelajaran 2008 – 2011                                                                40
      6.7    Jumlah PAUD Di Kota Singkawang Berdasarkan Kecamatan Keadaan Tahun
             Pelajaran 2008 – 2011                                                                      41
      6.8    Jumlah TK Di Kota Singkawang Berdasarkan Kecamatan Keadaan Tahun Pelajaran 2008–2011 41
      6.9    Jumlah Sekolah dasar/Madrasah Ibtidaiyah Di Kota Singkawang Berdasarkan Kecamatan
             Keadaan Tahun Pelajaran 2008 – 2011                                                        41
      6.10   Hasil Proses Belajar Mengajar SD Negeri, SD Swasta dan Madrasah Ibtidaiyah Di Kota
             Singkawang Berdasarkan Kecamatan Keadaan Tahun Pelajaran 2008 - 2011                       42
      6.11   Jumlah Sekolah Menengah Pertama, Madrasah Tsanawiyah Di Kota Singkawang Berdasarkan
             Kecamatan Keadaan Tahun Pelajaran 2008 – 2011                                              42
      6.12   Hasil Proses Belajar Mengajar Sekolah Menengah Pertama, Madrasah Tsanawiyah
             Di Kota Singkawang Berdasarkan Kecamatan Keadaan Tahun Pelajaran 2008- 2011                43




                                                                 Database Kota Singkawang Tahun 2011   | iv
6.13   Jumlah Sekolah Menengah Atas, Madrasah Aliyah Di Kota Singkawang Berdasarkan Kecamatan
             Keadaan Tahun Pelajaran 2008 – 2011                                                       43
      6.14   Hasil Proses Belajar Mengajar Sekolah Menengah Atas, Madrasah Aliyah Di Kota Singkawang
             Berdasarkan Kecamatan Keadaan Tahun Pelajaran 2008 - 2011                                 44
      6.15   Jumlah Sekolah Menengah Kejuruan Di Kota Singkawang Berdasarkan Kecamatan
             Keadaaan Tahun Pelajaran 2008 – 2011                                                      45
      6.16   Hasil Proses Belajar Mengajar Sekolah Menengah Kejuruan Di Kota Singkawang Berdasarkan
             Kecamatan Keadaan Tahun Pelajaran 2009/2011                                               45
      6.17   Jumlah Lembaga Kursus Yang Ada Di Kota Singkawang Berdasarkan Kecamatan Keadaan
             Per 31 Desember 2011                                                                      46
      6.18   Layanan Kegiatan Kantor Perpustakaan dan Kearsipan Kota Singkawang Periode
             Januari s/d 31 Desember 2011                                                              46
      6.19   Jumlah Buku Yang Ada Di Kantor Perpustakaan dan Kearsipan Kota Singkawang Berdasarkan
             Klasifikasi Buku dan Jumlah Buku Per Ruangan Per 31 Desember 2011                         47
      6.20   Sumbangan Buku Yang Diterima Kantor Arsip dan Perpustakaan Dari Masyarakat
             Keadaan Per 31 Desember 2011                                                              47

Tabel 7.1    Indikator Kesehatan Kota Singkawang Keadaan Tahun 2009 - 2011                             60
      7.2    Jumlah Tenaga Medis, Paramedis, dan Tenaga Kesehatan Lain di Kota Singkawang
             Keadaan Tahun 2009 - 2011                                                                 61
      7.3    Jumlah Tenaga Medis, Bidan dan Para Medis Praktek Di Kota Singkawang
             Keadaan Tahun 2008 - 2011                                                                 62
      7.4    Sarana/Fasilitas Kesehatan Di Kota Singkawang Keadaan Tahun 2009 - 2011                   62
      7.5    Apotek Di Kota Singkawang Keadaan Per 31 Desember 2011                                    63
      7.6    Toko Obat Di Kota Singkawang Keadaan Per 31 Desember 2011                                 63
      7.7    Rumah Sakit Di Singkawang Keadaan Per 31 Desember 2011                                    64
      7.8    Harga Kamar Rumah Sakit Di Kota Singkawang Berdasarkan Kelas
             Keadaan Per 31 Desember 2011                                                              64
      7.9    Jenis Pelayanan Rumah Sakit Di Kota Singkawang Berdasarkan Poliklinik Yang Tersedia
             Keadaan Per 31 Desember 2011                                                              64
      7.10   Fasilitas Pelayanan Penunjang Medis Rumah Sakit Di Kota Singkawang
             Keadaan Per 31 Desember 2011                                                              65
      7.11   Jumlah Tenaga Medis, dan Paramedis Tenaga Kesehatan Lain Di Rumah Sakit
             Di Kota Singkawang Keadaan Tahun 2009 – 2011                                              65
      7.12   Jumlah Pasien RSUD Dr. Abdu Aziz Berdasarkan Jenis Rawatan dan Daerah Asal
             Keadaan Tahun 2008 – 2011                                                                 66
      7.13   10 Jenis Penyakit Rawat Jalan Yang Dominan Di RSUD Dr. Abdul Aziz Singkawang
             Berdasarkan Bulan Dan Jumlah Pasien Sesuai Jenis Penyakit Keadaan Per 31 Desember 2011 67
      7.14   10 Jenis Penyakit Rawat Inap Yang Dominan Di RSUD Dr. Abdul Aziz Singkawang
             Berdasarkan Bulan Dan Jumlah Pasien Sesuai Jenis Penyakit Keadaan Per 31 Desember 2011    67
      7.15   10 Jenis Penyakit Penyebab Kematian Yang Dominan Di RSUD Dr. Abdul Aziz Singkawang
             Berdasarkan Bulan Dan Jumlah Pasien Sesuai Jenis Penyakit Keadaan Per 31 Desember 2011    68
      7.16   Jumlah Donor Darah Di Kota Singkawang Berdasarkan Golongan Darah
             Keadaan Tahun 2009 – 2011                                                                 68
      7.17   Ketersediaan Darah dan Permintaan Darah Di Kota Singkawang Keadaan Tahun 2009-2011        68
      7.18   Jumlah Puskesmas Kecamatan Di Singkawang Keadaan Per 31 Desember 2011                     69
      7.19   Nama Puskesmas dan Jenis Pelayanan Puskesmas Di Kota Singkawang
             Keadaan Per 31 Desember 2011                                                              69
      7.20   Fasilitas Pelayanan Penunjang Medis Di Puskesmas Keadaan Per 31 Desember 2011             69




                                                                 Database Kota Singkawang Tahun 2011   |v
7.21   Tenaga Yang Ada Di Puskesmas Berdasarkan Nama Puskesmas,Jumlah Tenaga Medis dan
             Paramedis Keadaan Tahun 2009 – 2011                                                         70
      7.22   Jumlah Pasien Rawat Jalan dan Rawat Inap Di Puskesmas Kecamatan Di Kota Singkawang
             Keadaan Tahun 2009 – 2011                                                                   70
      7.23   Jenis Penyakit Rawat Jalan Yang Dominan Di Puskesmas Berdasarkan Jenis Penyakit dan
             Jumlah Pasien Setiap Puskesmas Keadaan Tahun 2010 – 2011                                    71
      7.24   Jenis Penyakit Rawat Inap Yang Dominan Pada Puskesmas Di Kota Singkawang Keadaan
             Tahun 2009 – 2011                                                                           72
      7.25   Kasus Demam Berdarah Di Kota Singkawang Keadaan Tahun 2009 – 2011                           72
      7.26   Penderita TBC Paru Yang Ditemukan Di Kota Singkawang Keadaan Tahun 2009 – 2011              73
      7.27   Kasus Campak Pada Balita Yang Terdeteksi Di Kota Singkawang Keadaan Tahun 2009 – 2011       73
      7.28   Imunisasi Campak Pada Bayi Di Kota Singkawang Keadaan Tahun 2009 – 2011                     73
      7.29   Jumlah Kelahiran dan Kematian Bayi dan Balita Di Kota Singkawang
             Keadaan Per 31 Desember 2011                                                                74
      7.30   Jumlah Kematian Neonatal (Baru Lahir) Di Kota Singkawang Keadaan Tahun 2009 – 2011 .....    74
      7.31   Pemantauan Status Gizi Balita Di Kota Singkawang Keadaan Tahun 2009 – 2011                  74
      7.32   Pemantauan Status Gizi Balita Di Kota Singkawang Berdasarkan Kelompok Umur
             Keadaan Per 31 Desember 2011                                                                75
      7.33   Jumlah Bayi Di Kota Singkawang Yang Mendapat Imunisasi dan Jenis Imunisasi
             Keadaan Per 31 Desember 2011                                                                75
      7.34   BBLR Di Singkawang Tahun Tahun 2009 – 2011                                                  75
      7.35   Jumlah Kunjungan Neonatus, Bayi dan Bayi Lahir Yang Ditangani
             Keadaan Per 31 Desember 2011                                                                76
      7.36   Akses Pelayanan Ibu Hamil (K1) dan Cakupan Pelayanan Ibu Hamil (K4) Di Kota Singkawang
             Keadaan Tahun 2009 – 2011                                                                   76
      7.37   Jumlah Wanita Usia Subur Dengan Status Immunisasi TT (WUS Hamil + Tidak Hamil )
             Berdasarkan Kecamatan, Jumlah Ibu Hamil, Jumlah Yang Mendapat Imunisasi TT1 dan TT 2
             Keadaan Tahun 2009 – 2011                                                                   76
      7.38   Jumlah Ibu Hamil Di Kota Singkawang Yang Mendapat Tablet Fe1 dan Fe 2
             Keadaan Tahun 2009 – 2011                                                                   77
      7.39   Jumlah Ibu Bersalin Di Kota Singkawang Ditolong Tenaga Kesehatan
             Keadaan Tahun 2009 – 2011                                                                   77
      7.40   Jumlah Kematian Ibu Maternal Di Kota Singkawang Keadan Tahun 2009 – 2011                    77
      7.41   Jumlah Kematian Ibu Melahirkan di Singkawang dan Penyebabnya Keadaan Tahun 2009–2011 78
      7.42   Data Pos Yandu Yang Ada Di Kota Singkawang Berdasarkan Kecamatan,/Kelurahan dan
             Strata Pos Yandu Keadaan Tahun 2009 – 2011                                                  78

Tabel 8.1    Jumlah PUS, Peserta KB, Peserta KB Baru dan KB Aktif Berdasarkan Kecamatan
             Keadaan Tahun 2009 - 2011                                                                   80
      8.2    Jumlah Peserta KB Aktif dan Persentase Peserta KB Aktif Berdasarkan Kecamatan dan
             Jenis Kontrasepsi Keadaan Per 31 Desember 2011                                              81
      8.3    Pelayanan KB Berdasarkan Kecamatan, Jumlah Peserta KB Baru, Persentase Peserta KB
             Baru dan Alat Kontrasepsi Keadaan Per 31 Desember 2011                                      82

Tabel 9.1    Pelayanan Pemberian Izin Kantor Penanaman Modal dan Pelayanan Terpadu Kota
             Singkawang Berdasarkan Izin Yang Diberikan, Dasar Hukum Pelaksanaan Pemberian Izin
             Keadaan Per 31 Desember 2011                                                                84
      9.2    Izin Yang Dikeluarkan Berdasarkan Jenis Izin dan Bulan Keadaan 31 Desember 2011………..        85




                                                                 Database Kota Singkawang Tahun 2011    | vi
9.3    KTP Tercetak dan Belum Tercetak Menurut Jumlah Penduduk Wajib KTP Kota Singkawang
             Keadaan Per 31 Desember 2011                                                                 86
      9.4    Penerbitan Kartu Tanda Penduduk (KTP)Di Kota Singkawang Berdasarkan Bulan dan
             Kecamatan Keadaan Per 31 Desember 2011                                                       87
      9.5    Akta Catatan Sipil yang Dikeluarkan Berdasarkan Bulan Dan Kecamatan Keadaan
             Per 31 Desember 2011 ……………………………………………………………………………………….                                      88
      9.6    Jumlah Pelayanan dan Pengaduan Pencemaran / Kerusakan Lingkungan Hidup Di Kota
             Singkawang Keadaan Tahun 2009 - 2011                                                         88
      9.7    Kondisi Lampu Penerangan Jalan Umum Kota Singkawang Keadaan Tahun 2009-2011                  89
      9.8    Jumlah SIM Yang Di Keluarkan Polres Singkawang Periode Januari s/d Desember 2011             89
      9.9    Jumlah Paspor Yang Dikeluarkan Kantor Imigrasi Singkawang Berdasarkan Bulan dan
             Halaman Paspor Keadaan Tahun 2009-2011                                                       90

Tabel 10     Tidak Ada Lampiran

Tabel 11.1   Kondisi Jalan Berdasarkan Status Keadaan Per 31 Desember 2011                                93
      11.2   Data Pembangunan Jalan Di Kota Singkawang Berdasarkan Kecamatan/Kelurahan,Nama
             Jalan/Gang, Panjang Jalan, Status Jalan dan Sumber Dana Keadaan Per 31 Desember 2011         93
      11.3   Data Peningkatan Jalan Di Kota Singkawang Berdasarkan Kecamatan/Kelurahan, Nama
             Jalan/Gang, Panjang Jalan, Status Jalan Dan Sumber Dana Keadaan Per 31 Desember 2011         94
      11.4   Data Pembangunan Jembatan Di Kota Singkawang Berdasarkan Kecamatan/Kelurahan,Nama
             Jalan/Gang, Panjang Jalan, Status Jalan Dan Sumber Dana Keadaan Per 31 Desember 2011         94
      11.5   Kondisi Jembatan Berdasarkan Status Keadaan Tahun 2009-2011                                  95
      11.6   Kondisi Saluran Drainase Di Kota Singkawang Berdasarkan Kecamatan/Kelurahan,
             Tempat/Lokasi, Panjang Saluran Drainase, Jenis Saluran Drainase, Tipikal Bangunan Struktur
             Saluran dan Kondisi Keadaan Per 31 Desember 2011                                             95
      11.7   Data Pembangunan Irigasi Di Kota Singkawang Berdasarkan Kecamatan/Kelurahan,
             Tempat/Lokasi, Panjang Saluran Irigasi, Jenis Irigasi dan Sumber Dana Keadaan
             Per 31 Desember 2011                                                                         96
      11.8   Fasilitas Olahraga Yang Ada Di Kota Singkawang Keadaan Per 31 Desember 2011                  99

Tabel 12.1   Perkembangan PDRB Kota Singkawang Atas Dasar Harga Berlaku Tahun 2009-2011                   102
      12.2   Perkembangan PDRB Kota Singkawang Atas Dasar Harga Konstan Tahun 2009-2011                   102
      12.3   PDRB Perkapita Kota Singkawang Atas Dasar Harga Berlaku dan Harga Konstan 2000
             Tahun 2009-2011                                                                              103
      12.4   Pertumbuhan Ekonomi Kota Singkawang Atas Dasar Harga Konstan Tahun 2009-2011                 103
      12.5   Tingkat Inflasi Di Kota Singkawang Tahun 2009-2011                                           103
      12.6   Distribusi Persentase Produk Domestik Bruto Atas Dasar Harga Berlaku Tahun 2009-2011         104
      12.7   Distribusi Persentase Produk Domestik Regional Bruto Atas Dasar Harga Konstan 2000
             Tahun 2009 -2011                                                                             104
      12.8   Simpanan dan Pinjaman Masyarakat Kota Singkawang Di Bank Umum dan BPR Dalam
             Rupiah dan Valuta Asing Periode Januari s/d Desember 2011                                    105
      12.9   Posisi Simpanan Masyarakat Kota Singkawang Di Bank Umum dan BPR Dalam Rupiah dan
             Valuta Asing Berdasarkan Jenis Simpanan Periode Januari s/d Desember 2011                    105
      12.10 Posisi Pinjaman Masyarakat Kota Singkawang Yang Diberikan Bank Umum dan BPR Dalam
             Rupiah dan Valuta Asing Berdasarkan Sektor Ekonomi Periode Januari s/d Desember 2011         106
      12.11 Posisi Pinjaman Masyarakat Kota Singkawang Yang Diberikan Bank Umum dan BPR Dalam
             Rupiah dan Valuta Asing Berdasarkan Jenis Penggunaan Periode Januari s/d Desember 2011       107
      12.12 Posisi Kredit Mikro, Kecil dan Menengah Masyarakat Kota Singkawang Yang Diberikan
             Bank Umum dan BPR Berdasarkan Plafond Kredit Periode Januari s/d Desember 2011               107




                                                                  Database Kota Singkawang Tahun 2011   | vii
12.13 Posisi Kredit Mikro, Kecil dan Menengah Masyarakat Kota Singkawang Yang Diberikan
             Bank Umum dan BPR Berdasarkan Sektor Ekonomi Periode Januari s/d Desember 2011                                                            108
      12.14 Posisi Kredit Mikro, Kecil dan Menengah Masyarakat Kota Singkawang Yang Diberikan
             Bank Umum dan BPR Berdasarkan Jenis Penggunaan Periode Januari s/d Desember 2011                                                          109
      12.15 Penyaluran Pinjaman Melalui Perum Pegadaian Singkawang Berdasarkan Bulan, Jumlah
             Nasabah, Jenis Barang yang Digadai dan Jumlah Pinjaman yang Diberikan Keadaan Per
             31 Desember 2011                                                                                                                          109
      12.16 Pinjaman Masyarakat yang Tidak Dikembalikan Pada Perum Pegadaian Berdasarkan Bulan,
             Jumlah Nasabah, Jenis Barang yang Digadai dan Jumlah Pinjaman Yang Tidak Dikembalikan
             Keadaan Per 31 Desember 2011                                                                                                              110
      12.17 Pengembalian Pinjaman Masyarakat Pada PT. Pengadaian Persero Singkawang Berdasarkan
             Bulan, Jumlah Nasabah, Jenis Barang Yang Digadai dan Jumlah Pinjaman Yang Dikembalikan
             Keadaan Per 31 Desember 2011               ................................................................................................. 110
      12.18 Pengiriman Uang Melalui Kantor Pos Singkawang Berdasarkan Bulan, Jumlah Uang Yang
             Dikirim dan Di Terima Periode Januari s/d Desember 2011                                                                                   111
      12.19 Jumlah Pelanggan PDAM Kota Singkawang Berdasarkan Kategori Pelanggan Keadaan Tahun
             2009,2010 dan 2011                                                                                                                        111
      12.20 Jumlah Distribusi Air Pada PDAM Kota Singkawang Berdasarkan Kategori Pelanggan
             Keadaan 2009,2010 dan 2011                                                                                                                112
      12.21 Sumber Air Baku PDAM Kota Singkawang Berdasarkan Bulan, Sumber Air Baku dan Rata-Rata
            Debit Air Periode Januari s/d Desember 2011                                                                                                112
      12.22 Penerimaan PDAM Singkawang Dari Air Yang Disalurkan Berdasarkan Kategori Pelanggan
             Periode Januari s/d Desember 2011                                                                                                         113
      12.23 Pengeluaran Pada PDAM Kota Singkawang Berdasarkan Jenis Pengeluaran dan Bulan
             Periode Januari s/d Desember 2011                                                                                                         114

Tabel 13.1   Ringkasan APBD Kota Singkawang Tahun Anggaran 2009 - 2011                                                                                 116
      13.2   Ringkasan Perubahan APBD Kota Singkawang Tahun Anggaran 2009 - 2011                                                                       117
      13.3   Rencana dan Realisasi Pendapatan Daerah Kota Singkawang Tahun Anggaran 2009 – 2011…. 118
      13.4   Penerimaan Pajak Daerah Kota Singkawang Berdasarkan Jenis, Target dan Realisasi
             Keadaan Tahun 2009 - 2011                                                                                                                 119
      13.5   Target Dan Realisasi Penerimaan PBB Sektor Perkotaan Di Kota Singkawang
             Keadaan Tahun 2009 - 2011                                                                                                                 121
      13.6   Pajak Pemerintah Provinsi Kalimantan Barat Yang Dipungut Di Singkawang Keadaan
             Per 31 Desember 2011                                                                                                                      122
      13.7   Jumlah Pajak Pemerintah Pusat Yang Dibayar Masyarakat Singkawang Pada Kantor Pelayanan
             Pajak Pratama Singkawang Tahun 2010 dan Tahun 2011............................................................... 122
      13.8   Penerimaan Retrebusi Daerah Kota Singkawang Berdasarkan Jenis, Target dan Realisasi
             Keadaan Tahun 2009 - 2011                                                                                                                 123
      13.9   Alokasi APBD Kota Singkawang Berdasarkan SKPD dan Besarnya Alokasi Anggaran
             Tahun Angaran 2010 - 2011 (Setelah Perubahan)                                                                                             124
      13.10 Pemerintah Kota Singkawang Rekapitulasi Register SP2D Per Bulan Ta 2010 Belanja LS
             dan TLS (Non Gaji) Bulan Januari s/d Desember 2011                                                                                        125
      13.11 Pertanggungjawaban Penggunaan APBD Kota Singkawang Berdasarkan Bulan
             Tahun Anggaran 2009 - 2011                                                                                                                129
      13.12 Pertanggungjawaban Penggunaan APBD Kota Singkawang Berdasarkan SKPD dan Besarnya
             Penyampaian Pertanggungajwaban Per Bulan Tahun Anggaran 2011                                                                              130
      13.13 Realisasi Fisik dan Keuangan Penggunaan APBD Kota Singkawang Berdasarkan SKPD,
             Jumlah Program/Kegiatan dan Pagu Dana Keadaan Tahun 2010 dan 2011                                                                         132




                                                                                   Database Kota Singkawang Tahun 2011                             |   viii
Tabel 14.1   Jumlah Tanah Milik Pemerintah Kota Singkawang Berdasarkan Jumlah Obyek Tanah,
             Luas dan Sertifikat Keadaan Tahun 2009 - 2011                                              134
      14.2   Jumlah Kendaraan Bermotor Milik Pemerintah Kota Singkawang Berdasarkan Jenis,
             Asal / Cara Perolehan dan Kondisi Kendaraan Per 31 Desember 2011                           134

Tabel 15.1   Rekapitulasi Industri Kecil dan Menengah Di Kota Singkawang Keadaan Per 31
             Desember 2011                                                                              135
      15.2   Jumlah Pedagang Di Kota Singkawang Berdasarkan Lokasi Pasar Keadaan Per 31
             Desember 2011                                                                              136
      15.3   Jumlah Pedagang Pasar Beringin Berdasarkan Jenis Dagangan Jumlah Pedagang dan
             Sifat Usaha Keadaan Per 31 Desember 2011                                                   137
      15.4   Jumlah Pedagang Pasar Alianyang Berdasarkan Jenis Dagangan Jumlah Pedagang dan
             Sifat Usaha Keadaan Per 31 Desember 2011                                                   137
      15.5   Jumlah Pedagang Di Luar Pasar Beringin dan Alianyang/Kuala Berdasarkan Jenis Dagangan
             Jumlah Pedagang dan Sifat Usaha Keadaan Per 31 Desember 2011                               138
      15.6   Harga Bahan Kebutuhan Pokok Di Kota Singkawang Berdasarkan Nama Bahan Pokok dan
             Harga Setiap Bulan Keadaan Januari - Desember 2011                                         139
      15.7   Banyaknya Pengusaha Pemilik SIUP Berdasarkan Kecamatan, Klasifikasi Usaha dan Jumlah
             Keadaan Per 31 Oktober 2011                                                                140
      15.8   Gudang Yang Ada Di Singkawang Berdasarkan nama Gudang, Lokasi/Alamat, Pemilik dan
             Luas Keadaan Per 31 Desember 2011                                                          140

Tabel 16.1   Jumlah Koperasi Di Kota Singkawang Berdasarkan Jenis Koperasi Keadaan Tahun 2009-2011 143
      16.2   Perkembangan Usaha Koperasi Di Singkawang Keadaan Tahun 2010 - 2011                        144
      16.3   Jumlah Usaha Mikro, Kecil dan Menengah Di Kota Singkawang Berdasarkan Kelompok Usaha
             Keadaan Tahun 2010 - 2011                                                                  144
      16.4   Jumlah Kelompok Usaha Mikro, Kecil dan Menengah Di Kota Singkawang Berdasarkan
             Jenis Usaha Keadan Tahun 2010 - 2011                                                       145

Tabel 17.1   Jumlah Tenaga Penyuluh Di Kota Singkawang Berdasarkan Jenisnya Keadaan Tahun
             2009-2011                                                                                  147
      17.2   Luas Sawah Di Kota Singkawang Berdasarkan Jenis Pengairan Keadaan Tahun 2009- 2011         147
      17.3   Jumlah Kelompok Tani dan Gapoktan Di Kota Singkawang Berdasarkan BPP dan Kecamatan
             Keadaan Tahun 2009 - 2011                                                                  148
      17.4   Produksi Tanaman Pangan Di Kota Singkawang Berdasarkan Jenis Tanaman Keadaan Tahun
             2009-2011                                                                                  148
      17.5   Produksi Ubi Kayu Di Kota Singkawang Berdasarkan Kecamatan Keadaan Per
             31 Desember 2011                                                                           149
      17.6   Produksi Jagung Di Kota Singkawang Berdasarkan Kecamatan Keadaan Per 31 Desember
             2011                                                                                       149
      17.7   Produksi Padi Sawah Di Kota Singkawang Berdasarkan Kecamatan Keadaan Per 31
             Desember 2011                                                                              149
      17.8   Produksi Padi Gogo Di Kota Singkawang Berdasarkan Kecamatan Keadaan Per 31 Desember
             2011                                                                                       150
      17.9   Produksi Ubi Jalar Di Kota Singkawang Berdasarkan Kecamatan Keadaan Per 31 Desember
             2011                                                                                       150
      17.10 Produksi Kacang Kedelai Di Kota Singkawang Berdasarkan Kecamatan Keadaan Per 31
             Desember 2011                                                                              150
      17.11 Produksi Sayur-Sayuran Di Kota Singkawang Berdasarkan Jenis Tanaman Keadaan Tahun
             2009 - 2011                                                                                151




                                                                  Database Kota Singkawang Tahun 2011   |   ix
17.12 Produksi Sawi Di Kota Singkawang Berdasarkan Kecamatan Keadaan Per 31 Desember 2011      152
17.13 Produksi Lobak Di Kota Singkawang Berdasarkan Kecamatan Keadaan Per 31 Desember
      2011                                                                                     152
17.14 Produksi Kacang Panjang Di Kota Singkawang Berdasarkan Kecamatan Keadaan Per 31
      Desember 2011                                                                            152
17.15 Produksi Cabe Besar Di Kota Singkawang Berdasarkan Kecamatan Keadaan Per 31 Desember
      2011                                                                                     153
17.16 Produksi Cabe Rawit Di Kota Singkawang Berdasarkan Kecamatan Keadaan Per 31 Desember
      2011                                                                                     153
17.17 Produksi Tomat Di Kota Singkawang Berdasarkan Kecamatan Keadaan Per 31 Desember
      2011                                                                                     153
17.18 Produksi Terung Di Kota Singkawang Berdasarkan Kecamatan Keadaan Per 31 Desember
      2011                                                                                     154
17.19 Produksi Ketimun Di Kota Singkawang Berdasarkan Kecamatan Keadaan Per 31 Desember
      2011                                                                                     154
17.20 Produksi Labu Siam Di Kota Singkawang Berdasarkan Kecamatan Keadaan Per 31 Desember
      2011                                                                                     154
17.21 Produksi Kangkung Di Kota Singkawang Berdasarkan Kecamatan Keadaan Per 31 Desember
      2011                                                                                     155
17.22 Produksi Bayam Di Kota Singkawang Berdasarkan Kecamatan Keadaan Per 31 Desember
      2011                                                                                     155
17.23 Produksi Buah-Buahan Di Kota Singkawang Berdasarkan Jenis Tanaman Keadaan Tahun
      2009 – 2011                                                                              156
17.24 Produksi Alpokat Di Kota Singkawang Berdasarkan Kecamatan Keadaan Per 31 Desember
      2011                                                                                     157
17.25 Produksi Belimbing Di Kota Singkawang Berdasarkan Kecamatan Keadaan Per 31 Desember
      2011                                                                                     157
17.26 Produksi Duku/Langsat Di Kota Singkawang Berdasarkan Kecamatan Keadaan Per 31
      Desember 2011                                                                            157
17.27 Produksi Durian Di Kota Singkawang Berdasarkan Kecamatan Keadaan Per 31 Desember
      2011                                                                                     158
17.28 Produksi Jambu Biji Di Kota Singkawang Berdasarkan Kecamatan Keadaan Per 31 Desember
      2011                                                                                     158
17.29 Produksi Jambu Air Di Kota Singkawang Berdasarkan Kecamatan Keadaan Per 31 Desember
      2011                                                                                     158
17.30 Produksi Jeruk Siam Di Kota Singkawang Berdasarkan Kecamatan Keadaan Per 31 Desember
      2011                                                                                     159
17.31 Produksi Jeruk Besar (Bali) Di Kota Singkawang Berdasarkan Kecamatan Keadaan Per 31
      Desember 2011                                                                            159
17.32 Produksi Mangga Di Kota Singkawang Berdasarkan Kecamatan Keadaan Per 31 Desember
      2011                                                                                     159
17.33 Produksi Manggis Di Kota Singkawang Berdasarkan Kecamatan Keadaan Per 31 Desember
      2011                                                                                     160
17.34 Produksi Nangka/Cempedak Di Kota Singkawang Berdasarkan Kecamatan Keadaan Per 31
      Desember 2011                                                                            160
17.35 Produksi Nanas Di Kota Singkawang Berdasarkan Kecamatan Keadaan Per 31 Desember 2011 160
17.36 Produksi Pepaya Di Kota Singkawang Berdasarkan Kecamatan Keadaan Per 31 Desember 2011 161
17.37 Produksi Pisang Di Kota Singkawang Berdasarkan Kecamatan Keadaan Per 31 Desember
      2011                                                                                     161




                                                         Database Kota Singkawang Tahun 2011   |x
17.38 Produksi Rambutan Di Kota Singkawang Berdasarkan Kecamatan Keadaan Per 31
      Desember 2011                                                                            161
17.39 Produksi Sawo Di Kota Singkawang Berdasarkan Kecamatan Keadaan Per 31 Desember
      2011                                                                                     162
17.40 Produksi Sirsak Di Kota Singkawang Berdasarkan Kecamatan Keadaan Per 31 Desember
      2011                                                                                     162
17.41 Produksi Sukun Di Kota Singkawang Berdasarkan Kecamatan Keadaan Per 31 Desember
      2011                                                                                     162
17.42 Produksi Melinjo Di Kota Singkawang Berdasarkan Kecamatan Keadaan Per 31 Desember
      2011                                                                                     163
17.43 Produksi Petai Di Kota Singkawang Berdasarkan Kecamatan Keadaan Per 31 Desember
      2011                                                                                     163
17.44 Produksi Jengkol Di Kota Singkawang Berdasarkan Jenis Tanaman Keadaan
      Per 31 Desember 2011                                                                     163
17.45 Produksi Perkebunan Di Kota Singkawang Berdasarkan Jenis Tanaman Keadaan Tahun
      2009 – 2011                                                                              164
17.46 Produksi Kelapa Di Kota Singkawang Berdasarkan Kecamatan Keadaan Per 31 Desember
      2011                                                                                     165
17.47 Produksi Kelapa Hibrida Di Kota Singkawang Berdasarkan Kecamatan Keadaan Per 31
      Desember 2011                                                                            165
17.48 Produksi Kokoa Di Kota Singkawang Berdasarkan Kecamatan Keadaan Per 31 Desember 2011 165
17.49 Produksi Karet Di Kota Singkawang Berdasarkan Kecamatan Keadaan Per 31 Desember
      2011                                                                                     166
17.50 Produksi Lada Di Kota Singkawang Berdasarkan Kecamatan Keadaan Per 31 Desember
      2011                                                                                     166
17.51 Produksi Kopi Di Kota Singkawang Berdasarkan Kecamatan Keadaan Per 31 Desember
      2011                                                                                     166
17.52 Produksi Kelapa Sawit Di Kota Singkawang Berdasarkan Kecamatan Keadaan Per 31
      Desember 2011                                                                            167
17.53 Produksi Tebu Di Kota Singkawang Berdasarkan Kecamatan Keadaan Per 31 Desember
      2011                                                                                     167
17.54 Jumlah Pengadaan Saprodi Tanaman Pangan Di Kota Singkawang Berdasarkan Kecamatan
      dan Jenis Saprodi Keadaan Tahun 2009 – 2011                                              168
17.55 Luas Serangan Organisme Pengganggu Tumbuhan (OPT) Di Kota Singkawang Berdasarkan
      Jenis Tanaman Keadaan Tahun 2009 – 2011                                                  169
17.56 Distribusi Kawasan Hutan Di Kota Singkawang Berdasarkan Fungsi Kawasan, Luas Hutan
      dan Persentase Keadaan Tahun 2009 – 2011                                                 169
17.57 Luas Kawasan Hutan Di Kota Singkawang Berdasarkan Kecamatan dan Fungsi Hutan
      Keadaan Tahun 2009 - 2010                                                                170
17.58 Luas Kawasan Hutan Di Kota Singkawang Berdasarkan Kecamatan dan Fungsi Hutan
      Keadaan Tahun 2011                                                                       171
17.59 Penyebaran Lahan Kritis Di Kota Singkawang Berdasarkan Kecamatan, Tingkat Kritis dan
      Jumlah Keadaan Tahun 2010 - 2011                                                         171
17.60 Jumlah Ternak Unggas Di Kota Singkawang Berdasarkan Jenis Unggas Keadaan Tahun
      2009-2011                                                                                172
17.61 Jumlah Ternak Unggas yang Dipotong Di Kota Singkawang Berdasarkan Jenis Unggas
      Keadaan Tahun 2009 – 2011                                                                172
17.62 Jumlah Ternak Di Kota Singkawang Berdasarkan Jenis Ternak Keadaan Tahun 2009-2011        172




                                                         Database Kota Singkawang Tahun 2011   |   xi
17.63 Jumlah Ternak yang Dipotong Di Kota Singkawang Berdasarkan Jenis Keadaan Tahun
             2009 – 2011                                                                              173
      17.64 Jumlah Produksi Daging Ternak Di Kota Singkawang Berdasarkan Jenis Keadaan Tahun
             2009 – 2011                                                                              173
      17.65 Jumlah Peternak Layer Di Kota Singkawang Berdasarkan Tahun dan Jumlah Peternak
             Keadaan Tahun 2009 – 2011                                                                173
      17.66 Ketersediaan Kalori, Protein dan Lemak Di Kota Singkawang Keadaan Tahun 2009 - 2011       174
      17.67 Ketersediaan Kalori, Protein dan Lemak Untuk Dikonsumsi Perkapita/Perhari Di Kota
             Singkawang Keadaan Tahun 2009 – 2011                                                     174
      17.68 Produksi Ketersedian Kelompok Komoditi Ikan di Singkawang Keadaan Tahun
             2010 – 2011                                                                              174

Tabel 18.1   Data Umum Kelautan dan Perikanan Kota Singkawang Keadaan Per 31 Desember 2011            176
      18.2   Jumlah Kelompok Pembudidaya Ikan Di Kota Singkawang Berdasarkan Kecamatan Keadaan
             Tahun 2009-2011                                                                          177
      18.3   Jumlah Kelompok Nelayan Di Kota Singkawang Berdasarkan Kecamatan Keadaan
             Tahun 2009-2011                                                                          177
      18.4   Jumlah Kelompok Masyarakat Pengawas Laut Di Singkawang Berdasarkan Kecamatan
             Keadaan Tahun 2009-2011                                                                  177
      18.5   Jumlah Armada Yang Dimiliki Nelayan Singkawang Keadaan Per 31 Desember 2011              178
      18.6   Data Jumlah Alat Tangkap Yang Dimiliki Nelayan Di Kota Singkawang Keadaan Per
             31 Desember 2011                                                                         178
      18.7   Jumlah Fasilitas Prasarana Penunjang Nelayan Di Kota Singkawang Keadaan Per 31
             Desember 2011                                                                            179
      18.8   Jumlah Produksi dan Nilai Produksi Perikanan Laut Di Kota Singkawang Keadaan Tahun
             2009-2011                                                                                179
      18.9   Jumlah Usaha Perikanan Di Kota Singkawang Berdasarkan Jenis Usaha di Kota Singkawang
             Keadaan Tahun 2009-2011                                                                  180
      18.10 Jumlah Produksi Benih Ikan di Kota Singkawang Berdasarkan Jenis Ikan dan Sumber Benih
             Keadaaan Tahun 2009-2011                                                                 180
      18.11 Data Potensi Tambak Di Kota Singkawang Keadaan Per 31 Desember 2011                       181
      18.12 Jumlah Usaha Tambak Di Singkawang Berdasarkan Kecamatan Keadaan Tahun 2009-2011           181
      18.13 Harga Ikan Laut Di Singkawang Berdasarkan Jenis Ikan dan Harga Per Bulan (Dalam Rupiah)
             Keadaan Per 31 Desember 2011                                                             182
      18.14 Daftar Harga Ikan Budi Daya di Kota Singkawang Berdasarkan Jenis Ikan dan Harga Per bulan
             Periode Januari - Desember 2011                                                          182
      18.15 Harga Ikan Perairan Umum Di Singkawang Berdasarkan Jenis Ikan dan Harga Per Bulan
             (Dalam Rupiah) Keadaan Per 31 Desember 2011                                              183
      18.16 Mangrove Yang Ada Di Kota Singkawang Berdasarkan Kecamatan, Luas Kondisi dan
             Yang Telah Direhabilitasi Keadaan Per 31 Desember 2001                                   183


Tabel 19.1   Perusahaan Oto Bus (PO) Yang Ada Di Kota Singkawang Berdasarkan Jumlah PO dan
             Armada/Kendaraan Yang Dimiliki Keadaan Tahun 2009-2011                                   185
      19.2   Trayek Angkutan Umum Yang Ada Di Kota Singkawang Berdasarkan Jenis Trayek, Jumlah
             Trayek dan Jumlah Armada/Kendaraan Keadaan Tahun 2009-2011                               185
      19.3   Data Jumlah Penumpang Yang Datang dan Berangkat Dari Terminal Di Kota Singkawang
             Berdasarkan Bulan dan Nama Terminal Keadaan Tahun 2009-2011                              186
      19.4   Angkutan Sewa Khusus Di Kota Singkawang Berdasarkan Jumlah Perusahaan dan Jumlah
             Armada Keadaan Tahun 2008 – 2011                                                         186




                                                               Database Kota Singkawang Tahun 2011   | xii
19.5   Data Jumlah Penumpang Yang Datang dan Berangkat Menggunakan Angkutan Sewa Khusus
             Berdasarkan Bulan Keadaan Tahun 2009-2011                                                187
      19.6   Pengelolaan Parkir Di Kota Singkawang Berdasarkan Jumlah Titik Parkir dan Jumlah
             Juru Parkir Keadaan Tahun 2008-2011                                                      187
      19.7   Jumlah Pengujian Kendaraan Bermotor Di Unit Pengujian Kendaraan Bermotor Singkawang
             Berdasarkan Jenis Kendaraan Yang Diuji dan Bulan Periode Januari s/d 31 Desember 2011    188
      19.8   Jumlah Izin Trayek Yang Dikeluarkan Keadaan Tahun 2009 - 2011                            188
      19.9   Realisasi Retribusi Bidang Perhubungan Berdasarkan Jenis Retribusi Keadaan Tahun
             2009-2011                                                                                189
      19.10 Jumlah Kapal Yang Bersandar Di Pelabuhan Kuala dan Jumlah Barang Yang Dibongkar/Muat
             Periode Januari s/d 31 Desember 2011                                                     189
      19.11 Jumlah Penumpang Pesawat Udara Dari Kota Singkawang Melalui Bandara Supadio
             Berdasarkan Tujuan Keadaan Tahun 2009 – 2011                                             190
      19.12 Kiriman Surat Melalui Kantor Pos Singkawang Periode Januari s/d 31 Desember 2011          190
      19.13 Kiriman Barang Melalui Kantor Pos Singkawang Periode Januari s/d 31 Desember 2011         191
      19.14 Jumlah Perusahaan Angkutan Barang Melalui Udara (Cargo) dan jasa Titipan Keadaan Tahun
             2009 – 2011                                                                              191
      19.15 Data Jumlah Barang Yang Diangkut Melalui Angkutan Udara (Cargo) Dari Singkawang
             Melalui Bandara Supadio Pontianak Keadaan Tahun 2009 – 2011                              191
      19.16 Jumlah Operator Telekomunikasi/Telekomunikasi Seluler, Menara Telekomunikasi dan
             Pedagang Alat/Perangkat Telekomunikasi Di Kota Singkawang Keadaan Tahun 2009-2011        192
      19.17 Usaha Warung Internet dan Radio Swasta Di Kota Singkawang Keadaan Tahun 2009-2011         192

Tabel 20.1   Jumlah Usaha Sarana Pariwisata Di Kota Singkawang Berdasarkan Jenis Usaha Keadaan
             Tahun 2009 – 2011                                                                        194
      20.2   Jumlah Kunjungan Tamu Hotel Di Kota Singkawang Keadaan Tahun 2009 – 2011                 194
      20.3   Jumlah Usaha Jasa Pariwisata Di Kota Singkawang Berdasarkan Jenis Usaha Keadaan
             Tahun 2009 – 2011                                                                        195
      20.4   Jumlah Usaha Rekreasi dan Hiburan Umum Di Kota Singkawang Berdasarkan Jenis Usaha
             Keadaan Tahun 2009 – 2011                                                                195
      20.5   Jumlah Kunjungan Wisatawan Ke Taman Rekreasi Di Kota Singkawang Keadaan
             Tahun 2009 – 2011                                                                        196
      20.6   Jumlah Kunjungan Wisatawan Ke Kota Singkawang Keadaan Tahun 2009 – 2011                  196
      20.7   Jumlah Sanggar Kesenian dan Pekerja Seni Di Kota Singkawang Keadaan Tahun 2009-2011      196

Tabel 21.1   Sebaran Keluarga Miskin Tingkat Kelurahan Se-Kota Singkawang Keadaan Tahun 2009-2011.. 198
      21.2   Sebaran Keluarga Miskin Di Kota Singkawang Keadaan Tahun 2009 – 2011                     199
      21.3   Sebaran Keluarga Miskin Serta Prevalensinya Di Kota Singkawang Keadaan Tahun
             2009 – 2011                                                                              200
      21.4   Keluarga Sejahtera Di Kota Singkawang Berdasarkan Kecamatan dan Tingkat Kesejahteraan
             Keadaan Tahun 2010 - 2011                                                                201
      21.5   Gugatan Perceraian di Pengadilan Agama Bengkayang di Singkawang Berdasarkan Daerah
             Keadaan Tahun 2009 - 2011                                                                201
      21.6   Faktor-Faktor Penyebab Gugatan Perceraian di Pengadilan Agama Bengkayang di Singkawang
             Keadaan Tahun 2009 – 2011                                                                202
      21.7   Putusan Pengadilan Agama Bengkayang di Singkawang Berdasarkan Bulan, Jenis Keputusan
             dan Daerah Keadaan Tahun 2009 – 2011                                                     203
      21.8   Angkatan Kerja Di Kota Singkawang Berdasarkan Kecamatan, Jenis Pekerjaan, Jumlah yang
             Bekerja dan Jumlah Angkatan Kerja Keadaan Tahun 2010 – 2011                               204




                                                              Database Kota Singkawang Tahun 2011    | xiii
21.9   Jumlah Penduduk Usia Kerja (15 Tahun Keatas) Menurut Angkatan Kerja dan Bukan
             Angkatan Kerja Kota Singkawang Keadaan Tahun 2010 – 2011                                                                     204
      21.10 Pengangguran Di Kota Singkawang Berdasarkan Kecamatan dan Tingkat Pendidikan
             Keadaan Tahun 2010 – 2011                                                                                                    205
      21.11 Pencari Kerja Di Kota Singkawang Berdasarkan Bulan, Pendidikan dan Jenis Kelamin
             Keadaan Tahun 2009 – 2011                                                                                                    205
      21.12 Perbandingan Upah Di Kota Singkawang Berdasarkan Upah Minimum Regional dan Upah
             Minum Kota Periode 2009 – 2011                                                                                               206
      21.13 Banyaknya PHK Di Kota Singkawang Berdasarkan Kecamatan Keadaan Tahun 2009-2011                                                206
      21.14 Jumlah Transmigrasi Yang Di Tempatkan Di Kota Singkawang Berdasarkan Lokasi dan
             Asal Daerah Transimgran Keadaan Tahun 2009 – 2011                                                                            206
      21.15 Transmigran yang Kembali Ke Daerah Asal Berdasarkan Lokasi, Jumlah Transmigrasi Yang
             Kembali dan Jumlah Transmigrasi Pengganti Keadaan Tahun 2009 – 2011                                                          207
      21.16 Transmigran Yang Telah Mendapatkan Lahan Usaha Berdasarkan Lokasi, SP dan
             Jenis Lahan Usaha Keadaan Per 31 Desember 2011                                                                               207

Tabel 22.1   Jumlah Pemuka Agama Di Kota Singkawang Menurut Sebutannya
             Keadaan Tahun 2009-2011                                                                                                      208
      22.2   Jumlah Penyuluh Agama Di Kota Singkawang Berdasarkan Agama
             Keadaan Tahun 2009-2011..................................................................................................    209
      22.3   Data Sarana/Fasilitas Keagamaan Di Kota Singkawang Keadaan Tahun 2010- 2011                                                  209
      22.4   Jumlah Masjid Di Kota Singkawang Berdasarkan Kecamatan dan Kelurahan Keadaan Tahun
             2009-2011                                                                                                                    210
      22.5   Jumlah Surau Di Kota Singkawang Berdasarkan Kecamatan dan Kelurahan Keadaan Tahun
             2009-2011                                                                                                                    210
      22.6   Jumlah Gereja Kristen Katholik Di Kota Singkawang Berdasarkan Kecamatan dan Kelurahan
             Keadaan Tahun 2009-2011                                                                                                      211
      21.7   Jumlah Gereja Kristen Protestan Di Kota Singkawang Berdasarkan Kecamatan dan Kelurahan
             Keadaan Tahun 2009-2011                                                                                                      211
      22.8   Jumlah Vihara Di Kota Singkawang Berdasarkan Kecamatan dan Kelurahan Keadaan Tahun
             2009-2011                                                                                                                    212
      22.9   Jumlah Cetya Di Kota Singkawang Berdasarkan Kecamatan dan Kelurahan Keadaan Tahun
             2009-2011                                                                                                                    212
      22.10 Jumlah Pesantren Yang Ada Di Kota Singkawang Berdasarkan Kecamatan dan Santri
             Keadaan Tahun 2010 – 2011                                                                                                    213
      22.11 Jumlah Taman Pendidikan AL Quran Di Kota Singkawang Berdasarkan Kecamatan dan
             Kelurahan Keadaan Tahun 2009 - 2011                                                                                          213
      22.12 Data Sekolah Minggu Kristen Protestan Di Kota Singkawang Berdasarkan Kecamatan dan
             Kelurahan Keadaan Tahun 2009 - 2011                                                                                          214
      22.13 Jumlah Sekolah Minggu Kristen Katolik Di Kota Singkawang Berdasarkan Kecamatan dan
             Kelurahan Keadaan Tahun 2009 - 2011                                                                                          215
      22.14 Jumlah Sekolah Minggu Buddha Di Kota Singkawang Berdasarkan Kecamatan dan Kelurahan
             Keadaan Tahun 2009 - 2011                                                                                                    216
      22.15 Jumlah Jamaah Haji Kota Singkawang Periode 2009 - 2011                                                                        216
      22.16 Wakaf di Kota Singkawang Keadaan Per 31 Desember 2011                                                                         217
      22.17 Jumlah Pernikahan Yang Tercatat Di KUA Berdasarkan Kecamatan Di Kota Singkawang
             Keadaan Tahun 2009 – 2011                                                                                                    217

Tabel 23.1   Pemilu Legislatif Untuk DPRD Kota Singkawang Berdasarkan Daerah Pemilihan, Jumlah
             Parpol dan Jumlah Caleg Tanggal 9 April 2009                                                                                 220




                                                                                        Database Kota Singkawang Tahun 2011              | xiv
23.2   Partisipasi Masyarakat Singkawang Pada Pemilu Legislatif 9 April 2009 dan Pemilu
             Presiden dan Wakil Presiden 8 Juli 2009                                                   220
      23.3   Hasil Pemilu Presiden dan Wakil Presiden Di Kota Singkawang 8 Juli 2009                   220
      23.4   Nama Partai Politik Yang Menempatkan Calon Legislatif Di DPRD Kota Singkawang Pada
             Pemilu Legislatif 9 April 2009                                                            221
      23.5   Tingkat Pendidikan Anggota DPRD Kota Singkawang Keadaan Per 31 Desember 2011              221
      23.6   Jenis Kelamin Anggota DPRD Kota Singkawang Keadaan Per 31 Desember 2011                   222
      23.7   Jumlah Fraksi Di DPRD Kota Singkawang Berdasarkan Masa Jabatan                            222
      23.8   Jumlah Pimpinan DPRD Kota Singkawang Berdasarkan Masa Jabatan                             222
      23.9   Nama Alat Kelengkapan DPRD Kota Singkawang Keadaan Tahun 2008-2009                        222
      23.10 Keanggotaan Komisi DPRD Kota Singkawang Keadaan Per 31 Desember 2011                       223
      23.11 Jumlah Produk Hukum Yang Dihasilkan DPRD Kota Singkawang Berdasarkan Jenis Keadaan
             Tahun 2008-2011                                                                           223
      23.12 Jumlah Rapat DPRD Kota Singkawang Berdasarkan Jenis Rapat Keadaan Tahun 2008-2011          223
      23.13 Jumlah Public Hearing DPRD Kota Singkawang Berdasarkan Jenis Rapat Keadaan
             Tahun 2008-2011                                                                           223
      23.14 Jumlah Rapat Legislatif Dengan Eksekutif Yang Dilaksanakan DPRD Kota Singkawang Keadaan
             Tahun 2008-2011                                                                           224
      23.15 Jumlah Kunjungan Kerja Anggota DPRD Kota Singkawang Keadaan Tahun 2008-2011                224

Tabel 24.1   Pengujian Limbah Cair Di Kota Singkawang Berdasarkan Jenis Usaha/Lokasi Pengujian
             Keadaan Tahun 2009 – 2011                                                                 225
      24.2   Produksi Sampah Di Kota Singkawang Keadaan Tahun 2009 – 2011                              226
      24.3   TPA Kota Singkawang Berdasarkan Nama TPA, Lokasi, Luas, Pemilik, Sistem Pengolahan
             dan Perkiraan Waktu Pemakaian Keadaan Per 31 Desember 2011                                226
      24.4   Jumlah Tempat Pembuangan Sampah Sementara (TPS) Di Kota Singkawang Berdasarkan
             Kecamatan Keadaan Tahun 2009 – 2011                                                       226
      24.5   Sarana Kebersihan Di Kota Singkawang Berdasarkan Jenis Sarana, Jumlah dan Kondisi
             Keadaan Per 31 Desember 2011                                                              227
      24.6   Jumlah Tenaga Kebersihan Di Kota Singkawang Berdasarkan Status Kepegawaian
             Keadaan Tahun 2009 – 2011                                                                 227
      24.7   Jumlah Taman Di Kota Singkawang Berdasarkan Kecamatan Keadaan Tahun 2009-2011             227
      24.8   Jumlah Taman Pemakaman Umum Islam Di Kota Singkawang Berdasarkan Kecamatan
             Keadaan Tahun 2009 – 2011                                                                 228
      24.9   Jumlah Taman Pemakaman Umum Kristen Protestan Di Kota Singkawang Berdasarkan
             Kecamatan Keadaan Tahun 2009 – 2011                                                       229
      24.10 Jumlah Taman Pemakaman Umum Kristen Katholik Di Kota Singkawang Berdasarkan
             Kecamatan Keadaan Tahun 2009 – 2011                                                       229
      24.11 Jumlah Taman Pemakaman Umum Budha Di Kota Singkawang Berdasarkan Kecamatan
             Keadaan Tahun 2009 – 2011                                                                 230




                                                                 Database Kota Singkawang Tahun 2011   | xv
Wilayah Singkawang




1. Wilayah Singkawang

       Secara geografis Kota Singkawang terletak pada 0°44'55,85”- 01°01'21,51” Lintang
  Utara dan 108°51'47,6”- 109°10'19” Bujur Timur. Adapun batas-batas administrasi
  Singkawang adalah :
      Sebelah Utara berbatasan dengan Kecamatan Selakau Kabupaten Sambas
      Sebelah Selatan berbatasan dengan Kecamatan Sungai Raya Kepulauan Kabupaten
      Bengkayang
      Sebelah Timur berbatasan dengan Kecamatan Samalantan Kabupaten Bengkayang
      Sebelah Barat berbatasan dengan Laut Natuna.

       Kota Singkawang terdiri dari 5 (lima) Kecamatan, 26 (dua puluh enam) Kelurahan
  dengan luas 50.400 Ha atau 0,34% dari luas wilayah Provinsi Kalimantan Barat.
  Sedangkan luas masing-masing kecamatan adalah Kecamatan Singkawang Selatan
  22.448 Ha, Kecamatan Singkawang Timur 16.626 Ha, Kecamatan Singkawang Utara
  6.665 Ha, Kecamatan Singkawang Barat 1.806 Ha dan Kecamatan Singkawang Tengah
  2.855 Ha.

        Jenis tanah yang ada di Kota Singkawang terdiri dari organosol seluas 3.752 Ha,
  allvial seluas 25.338 Ha, podsol seluas 14.276 Ha , latasol seluas 2.998 Ha dan PMK
  seluas 4.046 Ha.

       Ketinggian Kota Singkawang terdiri dari wilayah datar seluas 31.904 Ha dan
  wilayah bukit dan gunung 18.496 Ha. Dengan penggunaan tanah untuk pemukiman 358
  Ha, industri 10 Ha, sawah irigasi non teknis 6.512 Ha, hutan belukar 3.280 Ha, kebun
  campuran 2.629 Ha, perkebunan 22.980 Ha, padang/semak 5.408 Ha dan lain-lain
  250 Ha.




                                                     Database Kota Singkawang Tahun 2011|   1
Wilayah Singkawang




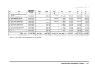
                                              Tabel 1.1
                        Perbandingan Luas Wilayah Kota Singkawang
                 Dengan Luas Wilayah Kabupaten/Kota Di Kalimantan Barat

                                                    Luas Wilayah
          No          Kabupaten/Kota                                  Persentase %
                                                       (Km2)

          1      Kabupaten Ketapang                  31.240,74            21,28

          2      Kabupaten Kapuas Hulu               29.842,00            20,33

          3      Kabupaten Sintang                   21.635,00            14,74

          4      Kabupaten Sanggau                   12.857,70             8,76

          5      Kabupaten Melawi                    10.644,00             7,25

          6      Kabupaten Landak                     9.909,10             6,75

          7      Kabupaten Kubu Raya                  6.985,20             4.75

          8      Kabupaten Sambas                     6.394,70             4,36

          9      Kabupaten Sekadau                    5.444,30             3,71

          10     Kabupaten Bengkayang                 5.397,30             3,68

          11     Kabupaten Kayong Utara               4.568,26             3,11

          12     Kabupaten Pontianak                  1.276,90             0,87

          13     Kota Singkawang                       504,00             0,34

          14     Kota Pontianak                        107,80              0,07

                   Kalimantan Barat                 146.807,00           100,00

          Sumber Data : Kota Singkawang Dalam Angka 2010




                                              Tabel 1.2
                   Letak Geografi Kecamatan Di Wilayah Kota Singkawang
                                  Menurut Garis Lintas dan Bujur


                                               Lintang                         Bujur
No             Kecamatan
                                             (Drj Mnt Ltg)                 (Drj Mnt Ltg)

1.    Singkawang Selatan                 0044’55,85” - 0053’51”       108051’47,6”-10903’22”

2.    Singkawang Timur                   0045’17” - 101’21,51”        108059’45,1”-109010’19”

3.   Singkawang Utara                    0056’05” - 0059’40,6”        108057’58,6”-10902’18”

4.   Singkawang Barat                      0053’0” - 0056’11”         108057’25”-109002’18”

5.   Singkawang Tengah                    0053’09” - 0056’11”         108059’10”-109002’18”

       Kota Singkawang                 0044’55,85” - 101’21,51”      108051’47,6”-109010’19”

Sumber Data : Kota Singkawang Dalam Angka 2010




                                                                   Database Kota Singkawang Tahun 2011|     2
Wilayah Singkawang




                                                       Tabel 1.3
                             Batas Administrasi Kota Singkawang Menurut Kecamatan


No        Kecamatan                    Utara              Selatan                      Barat                     Timur

                                                                                                         Singkawang Timur
1.    Singkawang Selatan       Singkawang Barat     Kab. Bengkayang              Laut Natuna
                                                                                                        dan Kab. Bengkayang
                                                                               Singkawang Utara,
2.    Singkawang Timur           Kab. Sambas        Kab. Bengkayang                                          Kab. Bengkayang
                                                                              Tengah, dan Selatan
                                                    Singkawang Barat,
3.    Singkawang Utara           Kab. Sambas                                     Laut Natuna             Singkawang Timur
                                                    Timur dan Tengah
4.    Singkawang Barat         Singkawang Utara    Singkawang Selatan            Laut Natuna            Singkawang Tengah

5.    Singkawang Tengah        Singkawang Utara     Singkawang Timur           Singkawang Barat          Singkawang Timur

      Kota Singkawang            Kab. Sambas        Kab. Bengkayang              Laut Natuna                 Kab. Bengkayang

Sumber Data : Kota Singkawang Dalam Angka 2010




                                                       Tabel 1.4
                               Luas Wilayah Kota Singkawang Menurut Jenis Tanah

                                                                                  Jenis Tanah
                                     Luas Area
N0             Kecamatan
                                       (Ha)
                                                    Organosol       Allvial             Podsol        Latasol          PMK

 1.    Singkawang Selatan              22,448         1,052         11,784              2,880          2,988          3,744

 2.    Singkawang Timur                16,626         2,200           3,926             10,500           -                -

 3.    Singkawang Utara                 6,665          500            6,165                -             -                -

 4.    Singkawang Barat                 1,806             -             904              600             -               302

 5.    Singkawang Tengah                2,855             -           2,559              296             -                -

           Jumlah                      50,400         3,752         25,338              14,276        2,988           4,046

Sumber Data : Kota Singkawang Dalam Angka 2010




                                                       Tabel 1.5
                                Luas Wilayah Kota Singkawang Menurut Ketinggian

                                                                        Wilayah Datar            Wilayah Bukit dan
         No                Kecamatan              Luas Area (Ha)
                                                                            (Ha)                   Gunung (Ha)

          1.     Singkawang Selatan                  22,448                   15,348                   7,100

          2.     Singkawang Timur                    16,626                    6,126                  10,500

          3.     Singkawang Utara                     6,665                    6,665                     -

          4.     Singkawang Barat                     1,806                    1,206                   600

          5.     Singkawang Tengah                    2,855                    2,559                   296

                      Kota Singkawang                50,400                   31,904                  18,496

         Sumber Data : Kota Singkawang Dalam Angka 2010




                                                                                 Database Kota Singkawang Tahun 2011|            3
Wilayah Singkawang




                                                                      Tabel 1.6
                                   Penggunaan Tanah Menurut Kecamatan Di Kota Singkawang




                            Pemukiman




                                                            Irigasi Non




                                                                                    Campuran
                             Kampung/




                                                                                                                                                  Lain-Lain
                                                                                                                             Perairan



                                                                                                                                        Terbuka
                                                                                                                 Padang/
                                        Industri




                                                                          Belukar
                                                   Pertam
                                                   bangan



                                                               Teknis




                                                                                                                  Semak
                                                               Sawah




                                                                                      Kebun




                                                                                                bunan




                                                                                                                                         Tanah
                                                                                                         Hutan
                                                                           Hutan




                                                                                                Perke




                                                                                                                              Darat
No       Kecamatan




1    Singkawang Selatan       61        10          828      1.679        1.668      499       13,186   1,846    2,671         -                    -


2    Singkawang Timur         47         -          489      1.446        1.033     1.14       6,211    4,900    1,220         -                  140


3    Singkawang Utara         39         -           -       1.337        401        180       2,788     910      900          -          -       110


4    Singkawang Barat       118          -           -        505          54        460        335       -       334          -          -         -


5    Singkawang Tengah        93         -           -       1.545        124        350        460       -       283           -         -         -


        Jumlah             358,0        10         1.317    6.512         3.28      2.629      22.98    7.656    5.408          -         -       250

Sumber Data : Kota Singkawang Dalam Angka 2009




                                                                                               Database Kota Singkawang Tahun 2011|                 4
Pemerintahan




2. Pemerintahan

       Untuk melaksanakan urusan pemerintahan sebagaimana yang telah diatur dalam
  Peraturan Pemerintah Nomor 38 Tahun 2007 tentang Pembagian Urusan Pemerintahan
  Antara Pemerintah, Pemerintah Daerah Provinsi, dan Pemerintah Daerah
  Kabupaten/Kota, Pemerintah Kota Singkawang membentuk Susunan Organisasi
  Perangkat Daerah (SOPD) yang diatur dalam Peraturan Daerah Kota Singkawang
  Nomor 6 Tahun 2008 tentang Pembentukan dan Susunan Organisasi Perangkat Daerah
  Di Lingkungan Pemerintah Kota Singkawang.
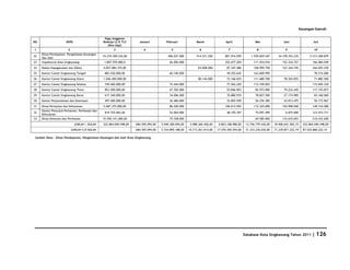
       Berdasarkan Peraturan Daerah tersebut dibentuk 67 SOPD mulai dari Sekretariat
  Daerah, Sekretariat DPRD, Dinas, Lembaga Teknis Daerah, Sat Pol PP, Kecamatan,
  Kelurahan maupun UPT. Dengan demikian SOPD yang dibentuk bertambah 11 jika
  dibandingkan pada tahun 2008 yang hanya terdiri dari 56 SOPD.
       Produk hukum yang dihasilkan pada tahun 2011 terdiri dari 8 Peraturan Daerah,
  23 Peraturan Walikota dan 245 Keputusan Walikota. Pada tahun 2011 berdasarkan hasil
  pemeriksaan yang dilakukan Inspektorat Kota Singkawang pada 120 obyek pemeriksaan
  terdapat 703 temuan serta merekomendasikan 703 temuan tersebut untuk
  ditindaklanjuti. Yang sudah ditindaklanjuti 83 temuan, 3 dalam proses dan 617 temuan
  masih belum ditindaklanjuti. Sedangkan kerugian negara/daerah dari hasil temuan
  tersebut sebesar Rp. 2.455.066.676,83,-. Jumlah kerugian negara/daerah yang sudah
  dikembalikan sebesar Rp. 49.438.297,85,- dan yang masih belum dikembalikan sebesar
  Rp. 2.405.628.378,98,-.
       Dalam menjalankan kewenangan yang ada Pemerintah Kota Singkawang juga
  dibantu organisasi kemasyarakat yang dibentuk dan tumbuh di masyarakat yaitu Rukun
  Warga (RW) maupun Rukun Tetangga (RT). Melalui RW maupun RT berbagai
  program/kegiatan yang ada disosialisasikan dan komunikasikan ke masyarakat. Jumlah
  RW yang ada di Kota Singkawang sebanyak 146 RW dengan 583 RT.




                                                   Database Kota Singkawang Tahun 2011 | 5
Pemerintahan



                                                            Tabel 2.1
                                       Organisasi Perangkat Daerah Kota Singkawang
                                                Keadaan Tahun 2008 - 2011

                                                                   Jumlah Organisasi Perangkat Daerah
                 Nama Organisasi           Tahun 2008            Tahun 2009                    Tahun 2010          Tahun 2011
No
                Perangkat Daerah        Berdasarkan Perda     Berdasarkan Perda             Berdasarkan Perda   Berdasarkan Perda
                                         No 1 Tahun 2004       No 6 Tahun 2008               No 6 Tahun 2008     No 6 Tahun 2008
1         Sekretariat Daerah                    1                              1                     1                  1
2         Sekretariat DPRD                      1                              1                     1                  1
3         Dinas                                 12                            13                    13                  13
4         Lembaga Teknis Daerah
          1. Badan                               2                             5                    5                     5
          2. Inspektorat                                                       1                    1                     1
          3. RSUD                                1                             1                    1                     1
          4. Kantor                                                            3                    3                     3
5         Satuan Polisi Pamong Praja                                           1                    1                     1
6         Kecamatan                             5                              5                    5                     5
7         Kelurahan                             26                            26                   26                     26
8         UPT                                   8                              7                   10                     10
                  Jumlah                        56                            64                   67                     67
Sumber Data : Bagian Organisasi Setda Kota Singkawang



                                                            Tabel 2.2
                            Produk Hukum dan Penegakan Produk Hukum Di Kota Singkawang
                                                Keadaan Tahun 2008 - 2011


          No        Jenis Produk Hukum / Penegakan        Tahun 2008               Tahun 2009    Tahun 2010     Tahun 2011

           1      Peraturan Daerah                                 8                   6                11           8
           2      Peraturan Walikota                              11                   68               33           23
           3      Keputusan Walikota                              206                 275              330          245
           4      Penegakan Perda/Perwako                          7                   41               -            -

          Sumber Data : Diolah Bagian PDE Setda Kota Singkawang



                                                            Tabel 2.3
                           Hasil Pemeriksaan Inspektorat Kota Singkawang Tahun 2009 - 2011
                                                 Keadaan Tahun 2009 - 2011

     No                  Uraian Pemeriksaan                    Tahun 2009                   Tahun 2010           Tahun 2011
     1         Jumlah Obyek Pemeriksaan                                 120                      106                 120
     2         Jumlah Temuan                                            711                     *620                 703
     3         Jumlah Rekomendasi                                       711                     *620                 703
     4         Tindak Lanjut Hasil Pemeriksaan
               1) Sudah Ditindaklanjuti                            *479                         *264                  83
               2) Dalam Proses                                      *26                          *85                  3
               3) Belum Ditindaklanjuti                            *206                         *271                 617
     5         Jumlah Kerugian Negara/Daerah (Rp.)           1,080,935,144.95                709,519,627.42     2,455,066,676.83
     6         Jumlah Yang Telah Dikembalikan (Rp.)           518,609,517.43                 428,282,855.99        49,438,297.85
     7         Sisa (Rp.)                                     562,325,627.52                 281,236,771.43     2,405,628,378.98
     Sumber Data : Diolah Bagian PDE Setda Kota Singkawang




                                                                                        Database Kota Singkawang Tahun 2011 | 6
Pemerintahan




                             Tabel 2.4
              Jumlah RW/RT Di Kota Singkawang
            Berdasarkan Kecamatan dan Kelurahan
                Keadaan Per 31 Desember 2011


                Kecamatan/
No                                       Jumlah RW    Jumlah RT
                 Kelurahan

1    Singkawang Timur                       23           62
     1. Pajintan                             6           20
     2. Sanggau Kulor                        3           11
     3. Nyarumkop                            7           13
     4. Bagak Sahwa                          2            6
     5. Maya Sopa                            5           12
2    Singkawang Tengah                      42           169
     1. Roban                               13            63
     2. Condong                              7            38
     3. Sekip Lama                           7            21
     4. Jawa                                 6            18
     5. Bukit Batu                           4            12
     6. Sungai Wie                           5            17
3    Singkawang Utara                       22           87
     1. Sungai Garam Hilir                   4           12
     2. Naram                                3            8
     3. Sungai Bulan                         4            9
     4. Sungai Rasau                         2            8
     5. Setapuk Kecil                        2           10
     6. Setapuk Besar                        2           28
     7. Semelagi Kecil                       5           12
4    Singkawang Selatan                     23           125
     1. Sagatani                             5            10
     2. Pangmilang                           3            22
     3. Sijangkung                           5            27
     4. Sedau                               10            65
5    Singkawang Barat                      36            140
     1. Pasiran                             19            60
     2. Melayu                              12            60
     3. Tengah                               2             7
     4. Kuala                                3            13
             Total Jumlah                  146           583

Sumber Data : Camat Se Kota Singkawang




                                                 Database Kota Singkawang Tahun 2011 | 7
Keamanan dan Ketertiban




3. Keamanan dan Ketertiban

       Pada tahun 2011 gangguan keamanan dan ketertiban masyarakat yang dilaporkan
  ke Polres Singkawang terdapat kenaikan (1.054 kasus) bila dibandingkan tahun 2010
  berjumlah 1.032 kasus. Dengan demikian jika dirata-ratakan dalam 1 hari di Kota
  Singkawang terjadi 2,89 kasus gangguan keamanan dan ketertiban masyarakat.
       Sedangkan kecelakaan lalu lintas yang terjadi selama tahun 2011 berjumlah 221
  kasus dengan jumlah korban jiwa meninggal 36 orang, luka berat 78 orang dan luka
  ringan 224 orang.



                                                  Tabel 3.1
                                      Jumlah Gangguan Kamtibmas
                                Dalam Wilayah Hukum Polres Singkawang
                                       Periode Tahun 2009 – 2011


                                                          Jumlah Gangguan
                No           Bulan
                                                  2009           2010        2011

                 1   Januari                       141            79          91

                 2   Pebruari                      103            71          75

                 3   Maret                         103            107         91

                 4   April                         102            87          64

                 5   Mei                           112            103         81

                 6   Juni                          105            65          96

                 7   Juli                          99             90          90

                 8   Agustus                       102            98          86

                 9   September                     79             76          80

                10   Oktober                       101            95          85

                11   November                      66             85          115

                12   Desember                      85             76          100

                        Jumlah                    1.198          1.032       1.054

                Sumber Data : Polres Singkawang




                                                                 Database Kota Singkawang Tahun 2011 | 8
Keamanan dan Ketertiban




                                                Tabel 3.2
        Data Jumlah Kecelakaan Lalu Lintas Dalam Wilayah Hukum Polres Singkawang
                                        Periode Tahun 2009 - 2011

                                                           Jumlah Korban
                               Jumlah
                                                                                         Jumlah
                             Kecelakaan        Meninggal        Luka         Luka
 No             Bulan                                                                   Kerugian
                             Lalu Lintas         Dunia          Berat       Ringan        (Rp.)
                               (Kasus)          (Orang)        (orang)     (Orang)

Tahun 2009
 1      Januari                    4               4              -          1          5,200,000
 2      Pebruari                   2               1              1          1          1,300,000
 3      Maret                      4               1              3          4          2,500,000
 4      April                      4               3              -          2          3,400,000
 5      Mei                        1               -              -           -        20,000,000
 6      Juni                       4               4              -          1          1,900,000
 7      Juli                       1               1              -           -         100,000
 8      Agustus                    -               -              -           -             -
 9      September                  9               5              5          8          8,600,000
 10     Oktober                    4               1              1          3          2,500,000
 11     Nopember                   4               2              -          4          1,250,000
 12     Desember                   1               1              -           -         2,000,000
       JUMLAH                     38              23             10          24        48,750,000
Tahun 2010
       JUMLAH                      -               -              -           -             -
Tahun 2011
 1      Januari                   21               4             11          22             -
 2      Pebruari                  21               3              7          20             -
 3      Maret                      9               3              3          9              -
 4      April                     17               4              4          23             -
 5      Mei                       22               1              8          26             -
 6      Juni                      13               1              5          12             -
 7      Juli                      17               1              6          16             -
 8      Agustus                   12               3              5          13             -
 9      September                 16               3              6          18             -
 10     Oktober                   21               3              9          19             -
 11     Nopember                  33               6             11          27             -
 12     Desember                  19               4              2          19             -
       JUMLAH                     221             36             78         224             -
Sumber Data : Polres Singkawang




                                                                      Database Kota Singkawang Tahun 2011 | 9
Keamanan dan Ketertiban




                                              Tabel 3.3
                           Jumlah SIM Yang Dikeluarkan Polres Singkawang
                                  Periode Januari s/d Desember 2011


                                                   Jenis SIM
No          Bulan                                                                         Jumlah
                          C        A      A Umum      B1       B1 Umum   B2   B2 Umum

1    Januari             811       220       3        47          9      2       4         1,096

2    Pebruari            763       212       1        42         15      4       1         1,038

3    Maret               753       232       5        53         16      2       3         1,064

4    April               501       153       6        18         13      1       -          692

5    Mei                 607       188       1        50          8      -       1          855

6    Juni                649       174       3        46         17      1       5          895

7    Juli                702       206       2        60         16      3       1          990

8    Agustus             644       214       1        46          4      3       1          913

9    September           573       197       2        48          7      1       2          830

10   Oktober             569       217       2        38         10      1       2          839

11   Nopember            547       220       1        40         14      5       2          829

12   Desember            818       253       4        42         18      2       1         1,138

      Jumlah            7,937     2,486      31      530         147     25     23        11,179

Sumber Data : Polres Singkawang




                                                                Database Kota Singkawang Tahun 2011 | 10
Kepegawaian




4. Kepegawaian

         Dalam menyelenggarakan kegiatan        pemerintahan, pembangunan dan
  kemasyarakatan peranan Pegawai Negeri Sipil sangat penting. Karena bagi pemerintah
  daerah Pegawai Negeri Sipil merupakan unsur aparatur yang melaksanakan kegiatan
  tersebut dalam upaya mewujudkan tujuan yang akan dicapai sebagaimana yang termuat
  dalam visi dan misi daerah.

         Untuk melaksanakan maksud tersebut tidak bisa dilepaskan dari jumlah Pegawai
  Negeri Sipil yang ada di suatu daerah. Sampai dengan 31 Desember 2011 jumlah
  Pegawai Negeri Sipil (PNS/CPNS) Kota Singkawang sebanyak 4.666 orang terdiri dari
  2.052 laki-laki dan 2.614 perempuan. Jumlah pegawai tersebut tersebar di 67 SKPD
  termasuk di Kelurahan dan Sekretariat KPU Kota Singkawang.

         Pangkat golongan ruang yang tertinggi adalah Pembina Utama Madya (IV/c) 12
  orang. Yang paling banyak adalah pangkat golongan ruang Pembina (IV/a) sebanyak
  1.149 orang. Jika dilihat dari tingkat pendidikan yang terbanyak S1 1.476 orang
  sedangkan S2 sebanyak 88 orang.

         Dengan diberlakukannya Peraturan Daerah Kota Singkawang Nomor 9 Tahun
  2008 tentang Pembentukan dan Susunan Organisasi Perangkat Daerah Kota
  Singkawang, jabatan struktural yang ada sebanyak 675 formasi. Dan sampai 31
  Desember 2011 formasi jabatan struktural dari Eselon II a sampai IV b yang terisi
  sebanyak 597 dan yang masih belum terisi 78 formasi. Sedangkan jenis kelamin pejabat
  struktural 404 laki-laki dan 193 perempuan.

         Untuk pangkat golongan ruang pejabat struktural yang paling tinggi adalah
  Pembina Utama Muda (IV/c) 1 orang pada jabatan eselon II a. Pangkat golongan ruang
  yang paling rendah adalah Penata Muda (III/a) pada jabatan eselon IV b sebanyak 3
  orang. Sedangkan pejabat struktural eselon II yang telah mengikuti Pendidikan dan
  Latihan Tingkat II 6 orang yang belum 2 orang. Pejabat struktural eselon III yang sudah
  mengikuti Pendidikan dan Latihan Tingkat III 46 orang yang belum 12 orang. Dan
  pejabat struktural eselon IV yang sudah mengikuti Pendidikan dan Latihan Tingkat IV
  206 orang yang belum 240 orang. Pendidikan pejabat struktural yang paling banyak
  adalah SLTA sebanyak 237 pejabat baik dari eselon IV a maupun eselon IV b. S2
  sebanyak 68 orang, S1 224 orang, D4 21 orang, D3 39 orang, D2 2 orang dan D1 6 orang.

         Untuk meningkatkan kualitas sumber daya manusia Pegawai Negeri Sipil di
  Lingkungan Pemerintah Kota Singkawang sampai tahun 2010 sebanyak 14 orang telah
  dikirim mengikuti tugas belajar mulai dari D3 sampai S2 dan yang diberikan izin belajar
  sebanyak 146 orang, sedangkan pada tahun 2011 yang dikirim mengikuti tugas belajar
  mulai dari D3 sampai S2 sebanyak 10 orang. Yang diberikan izin belajar pada periode
  yang sama sebanyak 310 orang.



                                                    Database Kota Singkawang Tahun 2011   | 11
Kepegawaian




      Selama tahun 2010 Pemerintah Kota Singkawang menerima pindahan Pegawai
Negeri Sipil dari daerah lain sebanyak 14 orang dan pada tahun 2011 sebanyak 17 orang,
Pegawai Negeri Sipil Kota Singkawang yang pindah ke daerah lain sebanyak 29 orang
pada tahun 2010 dan pada tahun 2011 sebanyak 21 orang. Pada tahun 2011 Pegawai
Negeri Sipil yang pensiun 74 orang, berhenti dengan permintaan sendiri 8 orang,
berhenti dengan tidak hormat 6 orang, dan yang meninggal 4 orang.

       Pada tahun 2011 jumlah Pegawai Negeri Sipil Kota Singkawang yang naik
pangkat sebanyak 913 orang dengan rincian kenaikan pangkat pada periode April 2011
sebanyak 635 orang dan kenaikan pangkat pada periode Oktober 2011 sebanyak 278
orang. Dan ntuk Tahun Anggaran 2011 Pemerintah Kota Singkawang tidak menerima
CPNS.

       Selain Pegawai Negeri Sipil Pemerintah Kota Singkawang juga memiliki
karyawan PDAM yang merupakan satu-satunya BUMD yang ada. Karyawan PDAM
sampai dengan 31 Desember 2011 berjumlah 107 orang, 97 merupakan karyawan tetap
dan 10 orang karyawan honorer.




                                                  Database Kota Singkawang Tahun 2011   | 12
Kepegawaian

                                                                                     Tabel 4.1
                                                         Data Pegawai (PNS/CPNS) Berdasarkan Jenis Kelamin
                                                        Pada SKPD Di Lingkungan Pemerintah Kota Singkawang
                                                                        Keadaan Tahun 2009 - 2011

                                                                                         Tahun 2009                     Tahun 2010                     Tahun 2011
No.                               Nama SKPD
                                                                             Laki-Laki   Perempuan    Jumlah   Laki-Laki Perempuan   Jumlah   Laki-Laki Perempuan   Jumlah
 1                                     2                                        3             4         5         6          7         8         9         10        11
 1.    Sekretariat Daerah                                                       85           48        133       103        60        163        92        52        144
 2.    Sekretariat DPRD                                                         28            6        34        30         12        42        30         13        43
 3.    Staf Ahli Walikota Singkawang                                            2              -        2          -         -          -        3          1         4
 4.    Dinas Pendidikan                                                        788          1,450     2,238      829       1.541     2.370      839       1.568     2.407
 5.    Dinas Kesehatan                                                          29           31        60        30         31        61        29         31        60
 6.    Dinas Sosial, Tenaga Kerja dan Transmigrasi                              23           12        35        25         15        40        24         14        38
 7.    Dinas Kependudukan dan Catatan Sipil                                     18            7        25        20          6        26        22         13        35
 8.    Dinas Perhubungan, Komunikasi dan Informatika                            42            7        49        41          8        49        42          7        49
 9.    Dinas Bina Marga, Sumber Daya Air dan Energi, Sumber Daya Mineral        38            9        47        47          9        56        48         11        59
10.    Dinas Perindustrian, Perdagangan, Koperasi dan UKM                       33           15        48        38         16        54        37         17        54
11.    Dinas Kebudayaan, Pariwisata, Pemuda dan Olahraga                        20           14        34        25         16        41        25         15        40
12.    Dinas Pendapatan, Pengelolaan Keuangan dan Asset                         47           21        68        52         20        72        48         22        70
13.    Dinas Tata Kota, Pertanahan dan Cipta Karya                             31            10        41        30         12        42        27         15        42
14.    Dinas Pertanian dan Kehutanan                                            36           21        57        35         17         52       32         19        51
15.    Dinas Kelautan dan Perikanan                                             25            6         31        30         8         38        30         9        39
16.   Dinas Kebersihan dan Perumahan                                            88            3         91        94         6        100        93         6        99
17.   Badan Perencanaan Pembangunan Daerah                                      20            7         27        21         9         30        26         7        33
18.   Badan Kesatuan Bangsa Politik dan Linmas                                  18            6         24        22         6         28        21         6        27
19.   Badan Pemberdayaan Masyarakat, Perempuan dan KB                           11            16        27        15        19         34        14        23         37
20.    Badan Kepegawaian dan Diklat                                             19            14        33        20        16         36        22        16         38
21.   Badan Lingkungan Hidup                                                    11            4         15        12         9         21        14        11        25
22.   Inspektorat Kota                                                          16            13        29        20        14         34        18        15         33
23.   Rumah Sakit Umum Daerah Kelas B (RSUD) Dr. Abdul Aziz                     91           234       325        90        246       336       100        261       361
24.   Kantor Penyuluh Pertanian, Perikanan, Kehutanan dan Ketahanan Pangan      21            14        35        23        17         40        22        19         41
25.    Kantor Perpustakaan dan Kearsipan                                        3             5         8         3          7        10         5          8        13
26.   Kantor Penanaman Modal dan Pelayanan Terpadu                              7             2         9         9          9        18         9         10        19
27.   UPT Kebersihan                                                            0             0         0         0          0         0         0          0         0
28.   UPT Pasar                                                                 0             0         0         0          0         0         0          0         0
29.   UPT Puskesmas Singkawang Barat                                            8             40        48        8         40         48        9         41        50
30.   UPT Puskesmas Singkawang Tengah                                           20            66        86        23        74         97        22        81        103
31.   UPT Puskesmas Singkawang Timur                                            12            42        54        13        43         56        16        44         60
32.   UPT Puskesmas Singkawang Selatan                                          14            54        68        16        55         71        17        62         79
33.   UPT Puskesmas Singkawang Utara                                            15            44        59        16        50         66        14        58         72
34.   Satuan Polisi Pamong Praja                                                65            11        76        66        10         76        66        10         76




                                                                                                                                     Database Kota Singkawang Tahun 2011     | 13
Kepegawaian

1                                     2                      3       4       5       6       7        8       9        10      11
35.   Sekretariat Komisi Pemilihan Umum                      7       5       12      3       4        7       5        5       10
36.   Kecamatan Singkawang Barat                             25      9       34      24      10      34       24       10      34
37.   Kecamatan Singkawang Timur                             20      2       22      24      4       28       24       4       28
38.   Kecamatan Singkawang Tengah                            19      8       27      17      12      29       17       12      29
39.   Kecamatan Singkawang Selatan                           20      6       26      27      5       32       27       6       33
40.   Kecamatan Singkawang Utara                             20      9       29      21      7       28       25       7       32
41.   Kelurahan Pasiran                                      5       8       13      5       5       10       6        4       10
42.   Kelurahan Melayu                                       4       4       8       4       6       10       5        6       11
43.   Kelurahan Kuala                                        5       2       7       6       2       8        7        2       9
44.   Kelurahan Tengah                                       3       4       7       2       2       4        2        3       5
45.   Kelurahan Jawa                                         3       5       8       3       5       8        2        6       8
46.   Kelurahan Condong                                      7       3       10      6       4       10       5        4       9
47.   Kelurahan Roban                                        7       3       10      7       3       10       7        2       9
48.   Kelurahan Sekip Lama                                   5       2       7       5       4       9        5        6       11
49.   Kelurahan Bukit Batu                                   4       3       7       5       4       9        5        3       8
50.   Kelurahan Sungai Wie                                   3       3       6       5       4       9        5        5       10
51.   Kelurahan Setapuk Kecil                                4       1       5       4       3       7        4        3       7
52.   Kelurahan Setapuk Besar                                5       1       6       7       3       10       4        4       8
53.   Kelurahan Sungai Garam Hilir                           4       3       7       4       6       10       4        4       8
54.   Kelurahan Naram                                        2       4       6       2       6       8        2        5       7
55.   Kelurahan Sungai Rasau                                 2       3       5       3       4       7        3        4       7
56.   Kelurahan Semelagi Kecil                               4       0       4       4       3       7        4        3       7
57.   Kelurahan Sungai Bulan                                 2       2       4       3       3       6        2        2       4
58.   Kelurahan Sijangkung                                   3       1       4       4       3       7        4        3       7
59.   Kelurahan Sedau                                        8       -       8       6       2       8        7        2       9
60.   Kelurahan Pangmilang                                   4       0       4       4       3       7        3        3       6
61.   Kelurahan Sagatani                                     3       1       4       5       3       8        4        3       7
62.   Kelurahan Pajintan                                     3       2       5       5       1       6        5        1       6
63.   Kelurahan Nyarumkop                                    3       1       4       2       4       6        4        1       5
64.   Kelurahan Mayasopa                                     4       -       4       6       2       8        4        2       6
65.   Kelurahan Bagak Sahwa                                  2       0       2       4       2       6        3        3       6
66.   Kelurahan Sanggau Kulor                                4       1       5       6       2       8        6        1       7
67.   Badan Penanggulangan Bencana Daerah Kota Singkawang                            5       2       7        2        0       2
                               JUMLAH                       1,898   2,328   4,226   2.226   2.534   4.578    2.052    2.614   4.666
Sumber Data : BKD Kota Singkawang




                                                                                                    Database Kota Singkawang Tahun 2011   | 14
Kepegawaian



                                                          Tabel 4.2
                                         Jumlah Pegawai Pemerintah Kota Singkawang
                                                  Berdasarkan Jenis Jabatan
                                                 Keadaan Tahun 2009 - 2011

                                                     Tahun 2009                        Tahun 2010                        Tahun 2011
No                  Jenis Jabatan                Pegawai                            Pegawai                        Pegawai
                                                                  Jumlah                            Jumlah                            Jumlah
                                         Laki-Laki    Perempuan            Laki-Laki    Perempuan            Laki-Laki   Perempuan
1    Struktural                            363             138     501        419             187    606
2    Fungsional
     a. Guru                               587          1.242      1.829      700         1492       2.192
     b. Penilik                             3              0        3          2              0       2
     c. Pengawas Sekolah                    15             0        15        15              1       16
     d. Dokter                              7              15       22        18              20      38
     e. Dokter Spesialis                    5              1        6          0              0       0
     g. Apoteker                            1              1        2          2              2       4
     f. Dokter Gigi                         2              0        2          1              3       4
     h. Perawat                             44             126     170        50              159    209
     i. Perawat Gigi                        3              10       13         1              2       3
     j. Bidan                               0              80       80         0              88      88
     k. Arsiparis                           0              0        0          0              0       0
     l. Pengawas Ketenagakerjaan            0              0        0          0              0       0
     m. Penyuluh Pertanian                  14             8        22        12              10      22
     n. Penyuluh Perkebunan                 0              0        0          0              0       0
     o. Penyuluh Perikanan                  0              0        0          2              0       2
     p. Penyuluh Peternakan                 0              0        0          0              0       0
     m. Penyuluh KB                         0              0        0          0              0       0
     q. Auditor                             5              1        6          5              1       6
                                                                                                                Tidak ada data
     r. Pengantar Kerja                     0              0        0          0              0       0
     s. Perantara Hubungan Industrial       0              0        0          0              0       0
     t. Pustakawan                          0              0        0          0              0       0
     u. Pekerja Sosial                      0              0        0          0              0       0
     v. Tenaga Fungsional lainya            0              0        0          0              0       0
3    Staf Umum                             841             661     1.502      795             500   1.295
4    Lainnya                                16             55       71         0              0       0
     a. Asisten Apoteker                    0              13       13         2              15      17
     b. Fisiotrapis                         0              2        2          0              0       0
     c. Nutrisionis                         3              9        12         3              17      20
     d. Perekam Medis                       0              1        1          0              1       1
     e. Pranata Laboratorium Kesehatan      2              14       16         2              18      20
     f. Radiografer                         0              2        2          1              2       3
     g.Refragsionis Optision                1              0        1          1              0       1
     h. Sanitarian                          3              9        12         6              11      17
     i. Teknisi elektromedis                1              0        1          1              0       1
     j. Transfusi Darah                     0              3        3          0              3       3
     k. Instruktur Latihan Kerja            6              2        8          6              2       8
                    Jumlah                 1.896        2.330      4.226     2.044        2.534     4.578
Sumber Data : BKD Kota Singkawang




                                                                                       Database Kota Singkawang Tahun 2011            | 15
Kepegawaian



                                                                 Tabel 4.3
                                               Pegawai Pemerintah Kota Singkawang
                                    Berdasarkan Pangkat/Golongan Ruang dan Jenis Kelamin
                                                      Keadaan Tahun 2009 -2011


             Pangkat/                    Tahun 2009                              Tahun 2010                              Tahun 2011
No
          Golongan Ruang   Laki-Laki      Perempuan    Jumlah       Laki-Laki     Perempuan     Jumlah     Laki-Laki    Perempuan       Jumlah

1               IV/d           1              0           1             2                0           2            0             0         0

2               IV/c           8              0           8            12                0           12        12               0         12

3               IV b           51             8          59            52                9           61        49               9         58

4               IV a          338            573         911          381            697         1.078        389           760          1.149

5               III/d         258            368         626          219            300            519       224           273          497

6               III/c         167            215         382          200            210            410       232           234          466

7               III/b         268            291         559          258            287            545       222           261          483

8               III/a         235            319         554          279            398            677       283           466          749

9               II/d           61            129         190           60            143            203        60           95           155

10              II/c           64            133         197          127            180            307       147           229          376

11              II/b          123            152         275          227            219            446       291           242          533

12              II/a          259            125         384          162               71          233        80           25           105

13              I/d            6              0           6            10                3           13        17           11            28

14              I/c            34             12         46            32               12           44        23               4         27

15              I/b            1              0           1             4                2           6         14               5         19

16              I/a            22             5          27            19                3           22           0             0         0

          Jumlah             1,896          2,330       4,226        2.044          2.534       4.578        2.059         2.614        4.666

Sumber Data : BKD Kota Singkawang




                                                                  Tabel 4.4
                                               Pegawai Pemerintah Kota Singkawang
                                        Berdasarkan Tingkat Pendidikan dan Jenis Kelamin
                                                      Keadaan Tahun 2009 -2011

             Tingkat                     Tahun 2009                             Tahun 2010                             Tahun 2011
     No
            Pendidikan
                            Laki-Laki      Perempuan     Jumlah     Laki-Laki Perempuan       Jumlah      Laki-Laki     Perempuan      Jumlah

     1     S2                  55                 8       63           65           11         76            74            14           88

     2     S1                 490             474         964         639          744        1.383         670            806         1.476

     3     D4                  18                 7       25           24           9          33            28            13           41

     4     D3                 168             298         466         220          340         560          236            370          606

     5     D2                 201             515         716         189          478         667          192            481          673

     6     D1                  41             117         158          40          114         154           41            111          152

     7     SLTA               766             876        1,642        714          802        1.516         672            787         1.459

     8     SLTP                67              24         91           69           27         96            66            25           91

     9     SD                  92                 9       101          84           9          93            73             7           80

           Jumlah            1.898           2.328       4.226      2.044         2.534       4.578       2.052           2.614        4.666
     Sumber Data : BKD Kota Singkawang




                                                                                     Database Kota Singkawang Tahun 2011                 | 16
Kepegawaian



                                                                 Tabel 4.5
                                                   Jumlah Formasi Jabatan Struktural
                                          Di Lingkungan Pemerintah Kota Singkawang
                                                   Tahun 2008, 2009, 2010 dan 2011

                                                                           Jumlah Formasi
        No           Eselon
                                       Tahun 2008              Tahun 2009               Tahun 2010            Tahun 2011
         1            IIa                   1                          1                       1                      1
         2            IIb                   20                     28                          28                  25
         3            IIIa                  83                     49                          51                  47
         4            IIIb                   -                     70                          71                  68
         5            IVa                  231                     355                        365                 347
         6            IVb                  130                     152                        155                 109
               Jumlah                      465                     655                        671                 597

        Sumber Data : Bagian Organisasi Setda Kota Singkawang




                                                                Tabel 4.6
                                                Pengisian Formasi Jabatan Struktural
                                         Di Lingkungan Pemerintah Kota Singkawang
                                                            Berdasarkan Eselon
                                                     Keadaan Tahun 2009 -2011


No       Eselon                        Tahun 2009                          Tahun 2010                         Tahun 2011
                                                      Belum                             Belum                              Belum
                             Formasi      Terisi                Formasi       Terisi                Formasi     Terisi
                                                      Terisi                            Terisi                             Terisi
1            II a              1            1           -          1            1         -            1          1          -

2            II b              28          26           2         28           27         1           29         25          4

3            III a            50 *)        46           4         51           50         1           51         47          4

4          III b               70          62           8         71           70         1           70         68          2

5          IV a              359 *)       292 *)       67         365          347        16          370        344        26

6          IV b               152          74          78         155          111        41          154        112        42

      Jumlah                  660          501         159        671          606        60          675        597        78


Sumber Data : BKD Kota Singkawang
Diolah Bagian PDE Setda Kota Singkawang
Keterangan :
*) Eselon III a dari KPU 1
*) Eselon IV a dari KPU 4




                                                                                         Database Kota Singkawang Tahun 2011             | 17
Kepegawaian



                                                              Tabel 4.7
                                                Jenis Kelamin Pejabat Struktural
                                           Di Lingkungan Pemerintah Kota Singkawang
                                                          Berdasarkan Eselon
                                                     Keadaan Tahun 2009 -2011

                                       Tahun 2009                      Tahun 2010                   Tahun 2011
          Eselon
No                         Laki-Laki         Perempuan         Laki-Laki     Perempuan      Laki-Laki      Perempuan

 1          II a                  1                  0            1                  0         1                  0

 2          II b                 25                  1            26                 1         23                 2

 3          III a               31 *)               15            34                16         32                15

 4          III b                50                 12            59                11         59                 9

 5          IV a                206 *)          86 *)            232                115       226                121

 6          IV b                 50                 24            67                44         63                46

      Jumlah                     363                138          419                187       404                193

Sumber Data : BKD Kota Singkawang
Diolah Bagian PDE Setda Kota Singkawang
Keterangan :
*) Eselon III a dari KPU 1 Lk

*) Eselon IV a dari KPU 3 Lk, 1 Pr




                                                                             Database Kota Singkawang Tahun 2011       | 18
Kepegawaian

                                                                                                                   Tabel 4.8
                                              Pangkat/Golongan Ruang Pejabat Struktural Di Lingkungan Pemerintah Kota Singkawang
                                                                                                         Berdasarkan Eselon
                                                                                                      Keadaan Tahun 2009 -2011
                                                      Tahun 2009                                                                           Tahun 2010                                                                 Tahun 2011
No        Eselon                              Pangkat Golongan Ruang                                                               Pangkat Golongan Ruang                                                 Pangkat Golongan Ruang

                            IV/c       IV/b     IV/a        III/d        III/c     III/b     III/a      IV/d       IV/c     IV/b     IV/a      III/d        III/c   III/b     III/a        IV/c    IV/b      IV/a         III/d    III/c         III/b   III/a
 1            II a           1                                                                           1                                                                                  1
 2            II b           4         17         5                                                                10       15        2                                                     9       15           1
 3            III a                    22        9 *)         15                                                            23        23         4                                                  25           21        1
 4            III b                    12         18          30          2                                                 13        29         24          5                              1       11           27        29
 5            IV a                               4*)       135 *) )       95        58                                                7         142         136      61                                          7        150      166            24
 6            IV b                                                        24        41           9                                               1           30      58        22                                          1           56         49      3
      Jumlah                 5         51        36          180         121        99           9       1         10       51        61        171         171     119        22          11       51           56       181      222            73      3
Sumber Data : BKD Kota Singkawang
Diolah Bagian PDE Setda Kota Singkawang
Keterangan : KPU :   Eselon III a Gol IV/a 1 orang
                      Eselon IV a Gol IVa 1 orang, Gol III/d 3 orang

                                                                                                        Tabel 4.9
                                                                           Data Pejabat Struktural Di Lingkungan Pemerintah Kota Singkawang
                                                                               Yang Sudah/Belum Mengikuti Diklatpim Berdasarkan Eselon
                                                                                              Keadaan Tahun 2009 -2011

                                                      Tahun 2009                                                                           Tahun 2010                                                                             Tahun 2011
No      Eselon                                         Diklatpim                                                                            Diklatpim                                                                              Diklatpim
                              TK II                        TK III                        TK IV                      TK II                      TK III                       TK IV                        TK II                          TK III                        TK IV
                      Sudah           Belum      Sudah          Sudah            Belum       Sudah           Sudah        Belum       Sudah           Belum         Sudah       Belum             Sudah      Belum              Sudah        Belum            Sudah       Belum
 1        II a          1                                                                                      1                                                                                    1
 2       II b          15              11                                                                      7                          11                          1               8             5                 2           16              10             2
 3       III a                                    33 *)             13                                                                    22                         18               10                                          28               1             17
 4       III b                                        23            39                                                                    21                         38               11                                          18              11             40
 5       IV a                                                                    186 *)          107                                                                 190            157                                                                        172            166
 6       IV b                                                                     37             37                                                                  39               72                                                                         34           74
     Jumlah            16              11             56            52           223             144           8            0             54            0           286             258            6                  2           62              22          265             240
Sumber Data : BKD Kota Singkawang
Diolah Bagian PDE Setda Kota Singkawang
Ket : KPU : Eselon III a DiklatPim Tk III 1 orang
            Eselon IV a Diklatpim TK IV 3 orang




                                                                                                                                                                                                  Database Kota Singkawang Tahun 2011                                    | 19
Kepegawaian


                                                                                   Tabel 4.10
                                                  Data Pendidikan Pejabat Struktural Di Lingkungan Pemerintah Kota Singkawang
                                                                               Berdasarkan Eselon
                                                                           Keadaan Tahun 2009 -2011

                                              Tahun 2009                                             Tahun 2010                                                       Tahun 2011
No       Eselon
                       S2      S1       D4       D3    D2       D1         SLTA     S2     S1       D4     D3        D2   D1     SLTA         S2     S1         D4       D3        D2    D1   SLTA
 1         II a                 1                                                          1                                                  1
 2         II b        11      14         1                                         14     12       1                                         13      12
 3        III a        11     33 *)               2                                 14     34               1                       1         13      34
 4        III b        16      38         1       6        1                        15     43       2       9        1                        23      35         2        7          1
 5        IV a         11     89 * )      6      27        5     5        149 * )   16    129       9      26             6       161         17     130         14       29             6     151
 6        IV b                  8         4       1        2                59             13       7       3        1             87         1       13         5        3          1          86
     Jumlah            49     183       12       36        8     5         208      59    232       19     39        2    6       249         68     224         21       39         2   6     237
Sumber Data : BKD Kota Singkawang
Diolah Bagian PDE Setda Kota Singkawang
Ket :KPU Eselon III a Pendidikan S1 1 orang
          Eselon IV a Pendidikan S1 3 orang SLTA 1 orang


                                                                                     Tabel 4.11
                                                               Data Pegawai DI Lingkungan Pemerintah Kota Singkawang
                                                                      Yang Mengikuti Tugas Belajar/Izin Belajar
                                                                             Keadaan Tahun 2009 -2011

                  No         Jenjang Pendidikan                            Tahun 2009                                Tahun 2010                                 Tahun 2010
                                                               Tugas Belajar         Izin Belajar        Tugas Belajar         Izin Belajar        Tugas Belajar          Izin Belajar
                  1.                   SLTA                                                                                         1                      -                    -
                  2.                    D3                           37                   8                     1                  48                      -                    1
                  3.                    D4                           5                    2                     3                  18                      1                    6
                  4.                    S1                           17                  22                     1                  66                      4                   289
                  5.                    S2                           54                  12                     9                  13                      5                   14
                                Jumlah                               113                 44                     14                 146                     10                  310
                  Sumber Data : BKD Kota Singkawang




                                                                                                                                                     Database Kota Singkawang Tahun 2011             | 20
Kepegawaian



                                              Tabel 4.12
                             Mutasi Pegawai Pemerintah Kota Singkawang
                         Berdasarkan Masuk, Keluar, Berhenti dan Meninggal
                                       Keadaan Tahun 2009 -2011

        No                    Uraian                   Tahun 2009       Tahun 2010          Tahun 2011
        1    Mutasi Masuk                                   93                 14               17
        2    Mutasi Keluar                                  12                 29               21
        3    Pensiun                                        52                 64               74
        4    Berhenti Dengan Permintaan Sendiri             2                                   8
        5    Berhenti Dengan Tidak Hormat                   1                  2                6
        6    Meninggal                                      15                 14               4

       Sumber Data : BKD Kota Singkawang




                                         Tabel 4.13
             Data Jumlah Pegawai Pemerintah Kota Singkawang Yang Naik Pangkat
             Berdasarkan SKPD dan Periode Usulan Kenaikan Pangkat Yang Disetujui
                                 Keadaan 31 Desember 2011

                                                                               2010                      2011
No                            Nama SKPD
                                                                       April        Oktober     April      Oktober
1                                  2                                    3             4             5           6
1    Sekretariat Daerah                                                 35            4             34          2
2    Sekretariat DPRD                                                    7            0             8           0
3    Sekretariat KPU                                                     2            0             2           0
     DINAS
4    Pendidikan                                                         211           179        211            178
5    Kesehatan                                                          14             1          14             1
6    Sosial, Tenaga Kerja dan Transmigrasi                               3             1          4              2
7    Kependudukan dan Catatan Sipil                                      3             0           5             1
8    Perhubungan, Komunikasi dan Informatika                            12             0          12             0
9    Bina Marga, Sumber Daya Air dan Energi Sumber Daya Mineral         14             0          14             0
10   Perindustrian, Perdagangan, Koperasi dan UKM                       12             1          12             1
11   Pendapatan, Pengelolaan Keuangan dan Asset                         13             2          11             3
12   Kebudayaan, Pariwisata, Pemuda dan Olahraga                         8             2          7              3
13   Tata Kota, Pertanahan dan Cipta Karya                               7             1          7              1
14   Pertanian dan Kehutanan                                            14             4          15             4
15   Kelautan dan Perikanan                                              5             1           5             1
16   Kebersihan dan Perumahan                                           21             0          20             0
     BADAN
17   Bappeda                                                             7             0          6              0
18   Kesatuan Bangsa dan Linmas                                          5             1          6              0
19   Pemberdayaan Masyarakat, Perempuan dan KB                           3            0           4              1
20   Kepegawaian dan Diklat                                              6             3          4              3
21   Lingkungan Hidup                                                    3             0          4              0
22   Penanggulangan Bencana Daerah                                       2             0          0              0
23   Badan Narkotika Nasional                                            0             0          2              0
24   INSPEKTORAT KOTA                                                   10             2          8              2
25   RSUD ABDUL AZIZ                                                    112           18         109            18
     KANTOR
26   Penyuluh Pertanian, Perikanan, Kehutanan dan Ketahanan Pangan       2             2             2           2
27   Perpustakaan dan Kearsipan                                          1             1             0           1




                                                                     Database Kota Singkawang Tahun 2011                  | 21
Kepegawaian




 1                                   2             3       4       5       6
28     Penanaman Modal dan Pelayanan Terpadu      3        1       3       0
29     SATUAN POL PP                              21       0       21      0
       KECAMATAN
30     Singkawang Tengah                           5       1       5       1
31     Singkawang Barat                            6       2       6       2
32     Singkawang Timur                            6       0       7       0
33     Singkawang Utara                            5       4       6       5
34     Singkawang Selatan                          3       1       3       2
       PUSKESMAS
35     Puskesmas Singkawang Barat                  2        9      2        7
36     Puskesmas Singkawang Tengah                 5       11      7       13
37     Puskesmas Singkawang Timur                  3        5      3        4
38     Puskesmas Singkawang Utara                 11        8      13       8
39     Puskesmas Singkawang Selatan               11        3      12       2
       KELURAHAN
40     Roban                                       3       0       3       0
41     Condong                                     2       0       3       0
42     Sekip Lama                                  1       1       1       1
43     Jawa                                        0       1       1       1
44     Sungai Wie                                  1       0       1       0
45     Bukit Batu                                  0       0       0       0
46     Pasiran                                     1       0       1       0
47     Melayu                                      1       2       1       2
48     Tengah                                      1       0       0       0
49     Kuala                                       2       0       1       0
50     Setapuk Kecil                               0       1       0       1
51     Setapuk Besar                               1       0       1       0
52     Sungai Garam Hilir                          1       1       1       1
53     Naram                                       1       0       0       0
54     Sungai Bulan                                1       0       0       0
55     Sungai Rasau                                2       0       1       0
56     Semelagi Kecil                              1       0       1       0
57     Pangmilang                                  0       0       0       0
58     Sedau                                       1       1       1       1
59     Sijangkung                                  0       0       1       0
60     Sagatani                                    0       0       0       0
61     Sanggau Kulor                               1       1       1       1
62     Nyarumkop                                   0       0       0       0
63     Pajintan                                    1       1       1       1
64     Mayasopa                                    2       0       1       0
65     Bagak Sahwa                                 0       1       0       1
                                Jumlah            637     278     635     278

Sumber Data : BKD Kota Singkawang




                                               Database Kota Singkawang Tahun 2011   | 22
Kepegawaian



                                                     Tabel 4.14
                    CPNS Yang Diterima Pemerintah Kota Singkawang Dari Jalur Umum
                          Berdasarkan Nama Jabatan / Jenis Formasi dan Pendidikan
                                               Tahun Anggaran 2011

                                                                          Tahun Anggaran 2010          Tahun
No                  Nama Jabatan / Jenis Formasi                          Pendidikan                  Anggaran
                                                                                             Jumlah     2011
                                                                     D1    D 2 D 3 D 4/S1
1                                    2                               3      4    5     6       7         8
Tenaga Kependidikan

     1   Guru TK                                                                       3       3
     2   Guru SD
         1)    Guru Penjaskes                                               5                  5
         2)    Guru Kelas                                                  13                 13
         3)    Guru Bahasa Inggris                                                    12      12
     3   Guru SLB Guru Kelas                                                           4       4
     4   Guru SMP
         1)    Guru Penjaskes                                                          2       2
         2)    Guru Bimbingan Konseling                                                5       5
         3)    Guru Teknologi Informasi Komputer                                       7       7
         4)    Guru Teknologi Informasi Komunikasi                                     2       2
         5)    Guru Pendidikan Agama Islam                                             2       2
         6)    Guru Pendidikan Agama Kristen                                           5       5
         7)    Guru Agama Budha                                                        4       4
         8)    Guru Agama Katholik                                                     3       3
     5   Guru SMA                                                                                      NIHIL

         1)    Guru Pendidikan Agama Islam                                             1       1
         2)    Guru Teknologi Informasi Komputer                                       1       1
         3)    Guru SMA Bimbingan Konseling                                            3       3
         Guru SMK
         1)    Guru Tata Boga                                                          1       1
         2)    Guru Pariwisata                                                         1       1
         3)    Guru Pertanian                                                          1       1
         4)    Guru Otomotif                                                           2       2
         5)    Guru SMK Biologi                                                        1       1
         6)    Guru Kimia                                                              1       1
         7)    Guru SMK KKPI/Komputer                                                  1       1
         8)    Guru SMK Administrasi Perkantoran                                       1       1
         9)    Guru SMK Seni                                                           1       1
         10)   Guru SMK Permesinan                                                     1       1
         11)   Guru SMK Ekonomi Pertanian                                              1       1
Tenaga Kesehatan
         1)    Apoteker                                                                2       2
         2)    Asisten Apoteker                                                  3     1       4
         3)    Perawat Gigi                                                      1             1
                                                                                                       NIHIL
         4)    Dokter Umum                                                             3       3
         5)    Rekam Medik                                                             1       1
         6)    Pranata Laboratorium Kesehatan                                    3             3




                                                                     Database Kota Singkawang Tahun 2011     | 23
Kepegawaian



1                                    2                        3     4    5     6      7        8

          7)    Bidan                                                    14          14
          8)    Perawat                                                  17    7     24
          9)    Radiografer                                                    1      1
          10)   Nutrisionis                                              3     1      4      NIHIL

          11)   Sanitarian                                               2            2
          12)   Fisioterapis                                             1     1      2
          13)   Teknisi Transfusi Darah                        1                      1
Tenaga Teknis Lain
          1)    Auditor                                                        1      1
          2)    Pamong Budaya                                                  1      1
          3)    Penata Laporan Keuangan                                        3      3
          4)    Analis Hukum                                                   1      1
          5)    Analis Kependudukan                                            1      1
          6)    Perencana                                                      1      1
          7)    Pengawas Teknis Tata Bangunan dan Perumahan                    3      3
          8)    Pengawas Mutu Hasil Pertanian                                  2      2
          9)    Pengendali Dampak Lingkungan                                   1      1
          10)   Penguji Mutu Hasil Perikanan                                   2      2
          11)   Penerjemah                                               1     1      2
          12)   Penyuluh Pertanian                                             1      1      NIHIL

          13)   Penyuluh Sosial                                                1      1
          14)   Penyusun Program dan Evaluasi                                  4      4
          15)   Perancang Peraturan Perundang-Undangan                         1      1
          16)   Pranata Komputer                                         14    4     18
          17)   Pengawas Teknis Pengairan                                      1      1
          18)   Pengelola Ketenagakerjaan                                      1      1
          19)   Pengawas Sistem Transportasi Darat                       1            1
          20)   Verifikator Keuangan                                     2            2
          21)   Penyuluh Pajak Daerah                                    2            2
          22)   Arsiparis                                                1            1
          23)   Pustakawan                                               1            1
                               Jumlah                         1     18   66   113    198       0

Sumber Data : BKD Kota Singkawang




                                                              Database Kota Singkawang Tahun 2011   | 24
Kepegawaian




                                                   Tabel 4.15
                CPNS Yang Diterima Pemerintah Kota Singkawang Dari Jalur Pegawai Tidak Tetap (PTT)
                          Berdasarkan Nama SKPD, Nama Jabatan / Jenis Formasi dan Pendidikan
                                                  Tahun Anggaran 2009 s/d 2012


                                                 Tahun 2009 (Formasi 2008)                         Tahun 2010 (Formasi 2009)




                                                                                                                                                    (Formasi 2010)




                                                                                                                                                                      (Formasi 2011)
                                                                                                                                                      Tahun 2011




                                                                                                                                                                        Tahun 2012
                                                                      Pendidikan                                        Pendidikan




                                               Diterima




                                                                                                 Diterima
                Nama SKPD




                                                Jml Yg




                                                                                                  Jml Yg
No
         Nama Jabatan/Jenis Formasi




                                                                      SLTA




                                                                                                                        SLTA
                                                               SLTP




                                                                                                                 SLTP
                                                                                            S1




                                                                                                                                              S1
                                                                             D1
                                                                                  D2
                                                                                       D3




                                                                                                                               D1
                                                                                                                                    D2
                                                                                                                                         D3
                                                          SD




                                                                                                            SD
1                         2                      3        4    5       6     7    8    9 10       11        12 13 14 15 16 17 18                      19                20
1    Sekretariat Daerah                         22                                                36
     1   Tenaga Administrasi                                           2                                         3       5                    1
     2   Analis Perencana Jalan dan Jembatan
     3   Penata Administrasi
     4   Pelaksana Tata Usaha
     5   Penata Usaha Arsip
     6   Pengurus Pengolahan Arsip
     7   Pengolah Data/Analis Data
     8   Pramu Kantor
2    Sekretariat DPRD
     1   Tenaga Teknis Listrik
     2   Penterjemah/ Translator
     3   Caraka
     4   Tenaga Administrasi                                                                                     1       1               1    1
     Dinas Bina Marga, Sumber Daya Air dan
3    ESDM
                                                               1       2

     1   Tenaga Administrasi                                                                                                                  1
     2   Analis Lingkungan
     3   Penata Administrasi                                                                                             1
4    Bappeda
     1   Tenaga Administrasi                                           1
5    Dinas Kesehatan
     1   Tenaga Administrasi                                           1                                                 2
                                                                                                                                                   NIHIL             NIHIL
     2   Penata Usaha Arsip
     3   Penghimpun Data
6    Dinas Kebersihan dan Perumahan
     1   Tenaga Administrasi                              2    6       2                                         1       2
7    Dinas Kelautan dan Perikanan
     1   Penata Usaha Surat                                                                                              2
     2   Penghimpun Data
8    Dinas Pendidikan
     1   Penata Usaha Surat                                                                                              2
     2   Pramu Kantor
9    RSUD Kelas B Dr. Abdul Aziz
     1   Pramu Kantor
     2   Tenaga Administrasi                                                                                             2
10   UPT Puskesmas Singkawang Barat
     1   Tenaga Administrasi                                           1
11   UPT Kebersihan
     1   Pengawas Kebersihan Lingkungan
     2   Caraka
     3   Tenaga Administras                                                                                      1
12   Kecamatan Singkawang Barat
     1   Tenaga Administrasi                                           1




                                                                                                 Database Kota Singkawang Tahun 2011                                 | 25
Kepegawaian



1                           2                    3   4    5     6     7   8    9 10       11     12 13 14 15 16 17 18                   19
13   Kecamatan Singkawang Timur
     1   Tenaga Administrasi                              1                                                   1
     2   Tenaga Administrasi Lainnya
14   Kecamatan Singkawang Utara
     1   Tenaga Administrasi                                    2
15   Kecamatan Singkawang Selatan
     1   Pelaksana Tata Usaha
     2   Tenaga Administrasi                                                                                  1
16   Kelurahan Sungai Wie
     Kec. Singkawang Tengah
     1   Pengadministrasian Umum                                                                      1                        1
     2   Pengolah Data/Analis Data
17   Kelurahan Bukit Batu
                                                                                                                                   NIHIL NIHIL
     Kec. Singkawang Tengah
     1   Penghimpun Data
     2   Pramu Kantor
     3   Tenaga Administrasi                                                                                  2
18   Kelurahan Setapuk Besar
     Kec. Singkawang Utara
     1   Penata Usaha Arsip
     2   Pengolah Data/Analis Data
     3   Tenaga Administrasi                                                                          1       1
19   SMK Negeri 3 Singkawang
     1   Penata Administrasi                                                                                  1
                  Jumlah                        22   2    8    12     0        0    0     36          8   23           1       4        0

Sumber Data : BKD Kota Singkawang




                                                                    Tabel 4.16
                                               Jumlah Karyawan PDAM Kota Singkawang
                                           Berdasarkan Status, Jenis Kelamin dan Pendidikan
                                                     Keadaan Tahun 2009 - 2011

                                    Status       Jumah Karyawan                                Pendidikan Terakhir
                      No
                                   Karyawan
                                                 L    P       Total       SD       SMP         SLTA       D1      D2   D3          S1

                     Tahun 2009
                        1       Tetap           89   13       102         11        6           66        1       1        7       10
                        2       Honorer          0    9        9          9         0           0         0       0        0       0
                                  Jumlah        89   22       111         20        6           66        1       1        7       10
                     Tahun 2010
                        1       Tetap           87   13       100         11        6           64        1       1        7       10
                        2       Honorer          9    0        9          9         0           0         0       0        0       0
                                  Jumlah        96   13       109         20        6           64        1       1        7       10
                     Tahun 2011
                        1       Tetap           82   15        97         9         5           65        1       1        5       11
                        2       Honorer         10    0        10         8         0           1         0       0        1       0
                                  Jumlah        92   15       107         17        5           66        1       1        6       11

                     Sumber Data : PDAM Kota Singkawang




                                                                                         Database Kota Singkawang Tahun 2011                     | 26
Penduduk




5. Penduduk

         Penduduk merupakan pelaku sekaligus sasaran pembangunan. Sehingga data
  penduduk merupakan data pokok yang perlu diketahui karakteristiknya, (kuantitas,
  distribusi, komposisi dan kualitas) untuk mengetahui potensi maupun kebutuhan-
  kebutuhan yang diperlukan dalam rangka menuju subyek yang berkualitas.

        Data penduduk yang ditampilkan bersumber dari Badan Pusat Statistik Kota
  Singkawang dan Dinas Kependudukan dan Catatan Sipil Kota Singkawang. Dari kedua
  lembaga tersebut data jumlah penduduk kota Singkawang memang terlihat berbeda
  namun hal tersebut tidak perlu dipertentangkan terlalu jauh. Hal ini bisa terjadi karena
  perbedaan konsep dalam menghitung jumlah penduduk.

         Pada tahun 2011 jumlah penduduk kota Singkawang berdasarkan data dari Dinas
  Kependudukan dan Catatan Sipil Kota Singkawang sebanyak 232.936 jiwa. 119.644 jiwa
  berjenis kelamin laki-laki dan 113.292 jiwa berjenis kelamin perempuan. Sementara
  berdasarkan data dari Badan Pusat Statistik Kota Singkawang jumlah penduduk kota
  Singkawang sebanyak 190.801 jiwa. Penduduk dengan jenis kelamin laki-laki sebanyak
  98.117 jiwa sedangkan jenis kelamin perempuan sebanyak 92.684 jiwa.



                                                             Tabel 5.1
                                  Indeks Pembangunan Manusia (IPM) Kota Singkawang
                                                 Periode Tahun 2008 - 2011
                                    Angka                                            Rata-rata
                                                    Angka          Rata-rata
                                  Harapan                                         Pengeluaran
                 Tahun                           Melek Huruf     Lama Sekolah                       IPM    Peringkat
     No.                         Hidup (eo)                                       Rill Perkapita
                                                                                                           Nasional
                                    (Tahun)        (Persen)         (Tahun)        (Ribuan.Rp)
      1           2008              66.95            89.62           7.30            611.76        68.02     355
      2           2009              67.08            89.65           7.34            616.18        68.47       -
      3           2010              67,21            89,66           7,40            619,65        68,86       -
      4           2011              67,34            89,69           7,44            622,81        69,21       -
      Kalimantan Barat 2008         66.30            89.40           6.70            624.74        68.17      29
      Kalimantan Barat 2009         66.45            89.70           6.75            630.34        68.79      28
      Kalimantan Barat 2010         66,60            90,26           6,82            631,65        69,15      28
      Kalimantan Barat 2011         66,75            90,51           6,89            635,85        69,66       -

     Sumber Data : Kantor Badan Pusat Statistik Singkawang




                                                                            Database Kota Singkawang Tahun 2011    | 27
Penduduk



                                                          Tabel 5.2
                                               Jumlah Penduduk Kota Singkawang
                                             Berdasarkan Kelurahan dan Kecamatan
                                                      Tahun 2009 - 2011

         Kecamatan /                    Tahun 2009                       Tahun 2010                      Tahun 2011
No
          Kelurahan         Laki-Laki   Perempuan    Jumlah    Laki-Laki Perempuan    Jumlah    Laki-Laki Perempuan     Jumlah
1             2                 3           4          5          6          7          8          9         10          11
1    Singkawang Selatan      21.638       18.279     39.917     21.769     19.664     41.433    22.338     20.058       42.396
     1   Sedau               13.824       12.024     25.848     13976      12806      26.782     14341     13063        27.404
     2    Sijangkung          5.166        4.056      9.222      4596       3989       8.585      4717      4068        8.785
     3    Pangmilang          1.224         991       2.215      1851       1625       3.476      1899      1658        3.557
     4    Sagatani            1.424        1.208      2.632      1346       1244       2.590      1381      1269        2.650
2    Singkawang Timur        10.467       8.633      19.100     10.207     9.055      19.262    10.475     9.236        19.711
     1   Pajintan             3.994        3.250      7.244      3414       3042       6.456      3503      3103        6.606
     2    Sanggau Kulor       1.245        1.065      2.310      1276       1145       2.421      1309      1168        2.477
     3   Bagak Sahwa          1.014         905       1.919      1440       1122       2.562      1479      1144        2.623
     4    Nyarungkop          1.844        1.551      3.395      1859       1779       3.638      1908      1815        3.723
     5   Mayasopa             2.370        1.862      4.232      2218       1967       4.185      2276      2006        4.282
3    Singkawang Utara        11.209       9.807      21.016     11.089     10.888     21.977    11.380     11.109       22.489
     1    Sei Garam Hilir     1.857        1.675      3.532      1958       1979       3.937      2010      2018        4.028
     2    Naram               1.138         925       2.063      1043       1011       2.054      1070      1032        2.102
     3    Sei Bulan            992          885       1.877      1102       1081       2.183      1131      1103        2.234
     4   Sei Rasau            1.078         892       1.970      995        919        1.914      1021      938         1.959
     5    Setapuk Kecil       1.144        1.007      2.151      1108       1085       2.193      1137      1107        2.244
     6   Setapuk Besar        3.270        2.814      6.084      3164       3057       6.221      3247      3118        6.365
     7    Semelagi Kecil      1.730        1.609      3.339      1719       1756       3.475      1764      1793        3.557
4    Singkawang Barat        25.303       23.506     48.809     23.757     23.133     46.890    24.379     23.602       47.981
     1   Pasiran              9.712        8.849     18.561     14628      14189      28.817     15010     14478        29.488
     2    Melayu              8.419        7.733     16.152      4600       4514       9.114      4721      4605        9.326
     3   Tengah               1.614        1.561      3.175      848        878        1.726      871       895         1.766
     4   Kuala                5.558        5.363     10.921      3681       3552       7.233      3777      3624        7.401
5    Singkawang Tengah       28.089       25.763     53.852     28.790     28.110     56.900    29.544     28.679       58.223
     1   Roban               14.070       13.033     27.103     13510      13302      26.812     13863     13572        27.435
     2   Condong              4.618        4.181      8.799      4506       4311       8.817      4624      4398        9.022
     3   Sekip Lama           3.864        3.586      7.450      3961       3909       7.870      4065      3988        8.053
     4    Jawa                1.096        1.054      2.150      2016       2070       4.086      2069      2112        4.181
     5   Bukit Batu           2.422        1.442      3.864      2277       2051       4.328      2586      2517        5.103
     6   Sei Wie              2.019        2.467      4.486      2520       2467       4.987      2337      2092        4.429
          Total              96.706       85.988     182.694    95.612     90.850     186.462   98.117     92.684      190.801
Sumber Data : BPS Kota Singkawang




                                                                             Database Kota Singkawang Tahun 2011        | 28
Penduduk



                                                                Tabel 5.3
                                                  Jumlah Penduduk Kota Singkawang
                                             Berdasarkan Kelurahan dan Kecamatan
                                                     Keadaan 31 Desember 2011

                                      Tahun 2009                             Tahun 2010                       Tahun 2011
         Kecamatan /
No
          Kelurahan
                           Laki-Laki Perempuan        Jumlah     Laki-Laki Perempuan      Jumlah    Laki-Laki Perempuan     Jumlah

1                2             3            4            5            6          7          8          9         10           11
1    Singkawang Barat       31.224       30.496        61.720     32.670       31.972     64.642     32.840     32.255      65.095
     1   Kuala               4.068        3.880        7.948         4.531     4.295       8.826     4.618      4.374        8.992
     2   Melayu              6.247        6.341        12.588        6.435     6.547      12.982     6.635      6.743        13.378
     3   Tengah              1.138        1.106        2.244         1.197     1.179       2.376     1.144      1.130        2.274
     4   Pasiran            19.771       19.169        38.940     20.507       19.951     40.458     20.443     20.008       40.451
2    Singkawang Tengah      29.953       28.648        58.601     32.515       31.190     63.705     34.365     32.182      66.547
     1   Condong             5.000        4.856        9.856         5.467     5.232      10.699     5.669      5.482       11.151
     2   Sekip Lama          4.038        3.843        7.881         4.352     4.123       8.475     4.654      4.490        9.144
     3   Bukit Batu          2.390        2.231        4.621         2.523     2.332       4.855     2.728      1.479        4.207
     4   Sei Wei             2.665        2.608        5.273         2.822     2.745       5.567     2.970      2.910        5.880
     5   Jawa                2.076        2.087        4.163         2.257     2.299       4.556     2.265      2.354        4.619
     6   Roban              13.784       13.023        26.807     15.094       14.459     29.553     16.079     15.467      31.546
3    Singkawang Utara       11.820       11.172       22.993      12.408       11.790     24.198     13.244     12.554      25.798
     1   Sei Garam           2.028        1.986        4.014         2.193     2.179       4.372     2.338      2.251        4.589
     2   Naram               1.188        1.069        2.257         1.225     1.116       2.341     1.306      1.203        2.509
     3   Sei Bulan           1.147        1.059        2.206         1.228     1.130       2.358     1.356      1.246        2.602
     4   Sei Rasau           1.106        1.009        2.116         1.183     1.096       2.279     1.240      1.125        2.365
     5   Setapuk Kecil       1.193        1.106        2.299         1.281     1.188       2.469     1.350      1.269        2.619
     6   Setapuk Besar       3.448        3.244        6.692         3.523     3.292       6.815     3.667      3.474        7.141
     7   Semelangi Kecil     1.710        1.699        3.409         1.775     1.789       3.564     1.987      1.986        3.973
4    Singkawang Timur       10.759       9.614        20.373      11.273       10.299     21.572     11.584     10.647      22.231
     1   Pajitan             4.084        3.628        7.712         4.393     4.037       8.430     4.488      4.172        8.660
     2   Sanggau Kulor       1.423        1.293        2.716         1.502     1.400       2.902     1.600      1.453        3.052
     3   Maya Sopa           2.268        1.938        4.206         2.374     2.060       4.434     2.454      2.218        4.672
     4   Nyarungkop          1.879        1.713        3.592         1.872     1.748       3.620     1.858      1.692        3.550
     5   Bagak Sahwa         1.105        1.042        2.147         1.132     1.054       2.186     1.184      1.112        2.296
5    Singkawang Selatan     23.082       21.054       44.136      25.358       23.346     48.704     27.611     25.654      53.265
     1   Sedau              14.538       13.376        27.914     16.148       15.018     31.166     17.752     16.717      34.469
     2   Sijangung           5.470        4.887        10.357        5.804     1.344       7.148     6.172      5.598       11.770
     3   Pangmilang          1.747        1.578        3.325         1.930     5.246       7.176     2.099      1.912        4.011
     4   Sagatani            1.327        1.213        2.540         1.476     1.738       3.214     1.588      1.427        3.015
         Jumlah            106.838      100.984       207.822    114.224      108.597     222.821   119.644    113.292      232.936

Sumber Data : Dinas Kependudukan dan Catatan Sipil Kota Singkawang




                                                                                  Database Kota Singkawang Tahun 2011        | 29
Penduduk



                                                             Tabel 5.4
                                           Jumlah Penduduk Kota Singkawang
                                                 Menurut Kelompok Umur
                                                     Tahun 2009 - 2011

 Kelompok                   Tahun 2009                             Tahun 2010                             Tahun 2011
   Umur
                Laki-Laki   Perempuan       Jumlah     Laki-Laki Perempuan           Jumlah    Laki-Laki Perempuan      Jumlah
    0-4           9.130         9.164       18.294      10.075           9.482       19.557      10.277     9.708        19.985
    5-9          12.385         9.486       21.871      10.354           9.877       20.231      10.631     10.042       20.673
   10 - 14       11.820        10.131       21.951      10.304           9.658       19.962      10.474     9.894        20.368
   15 - 19       10.378         9.936       20.314       9.525           9.335       18.860      10.056     9.499        19.555
   20 - 24        8.176         7.946       16.122       7.987           7.989       15.976      8.493      8.022        16.515
   25 - 29        7.389         6.179       13.568       8.248           7.742       15.990      8.248      7.792        16.040
   30 - 34        6.321         5.875       12.196       7.420           6.658       14.078      7.457      7.044        14.501
   35 - 39        6.545         6.229       12.774       6.658           5.815       12.473      6.581      6.217        12.798
   40 - 44        5.075         4.479        9.554       5.799           5.242       11.041      5.793      5.472        11.265
   45 - 49        5.455         4.472        9.927       5.008           4.738        9.746      5.172      4.886        10.058
   50 - 54        4.163         3.605        7.768       4.508           4.138        8.646      4.460      4.213        8.673
   55 - 59        3.750         2.730        6.480       3.224           3.034        6.258      3.390      3.203        6.593
   60 - 64        2.640         2.199        4.839       2.345           2.402        4.747      2.463      2.327        4.790
   65 - 69        1.503         1.278        2.781       1.833           1.817        3.650      1.883      1.779        3.662
   70 - 74         963          1.046        2.009       1.175           1.321        2.496      1.515      1.431        2.946
    75 +          1.013         1.233        2.246       1.149           1.602        2.751      1.224      1.155        2.379
   Total         96.706        85.988      182.694      95.612       90.850          186.462    98.117      92.684      190.801

Sumber Data : Kantor Badan Pusat Statistik Kota Singkawang


                                                                 Tabel 5.5
                                                Jumlah Penduduk Kota Singkawang
                                                      Menurut Kelompok Umur
                                                             Tahun 2009 - 2011

                 Kelompok            Laki-Laki + Perempuan               Laki-Laki + Perempuan       Laki-Laki + Perempuan
                   Umur                    Tahun 2009                         Tahun 2010                  Tahun 2011
                    0-4                       9.163                              10.543                      13.400
                    5-9                      19.604                              19.662                      21.196
                   10-14                     20.671                              21.808                      22.750
                   15-19                     21.381                              21.701                      21.971
                   20-24                     22.635                              22.878                      22.860
                   25-29                     22.635                              23.543                      24.039
                   30-34                     18.745                              21.556                      23.150
                   35-39                     15.330                              17.748                      18.581
                   40-44                     13.050                              14.409                      15.240
                   45-49                     11.224                              11.767                      11.605
                   50-54                      9.316                              10.571                      11.563
                   55-59                      7.136                               8.113                       8.487
                   60-64                      5.500                               5.832                       6,158
                   65-69                      4.557                               4.959                       4.883
                   70-74                      3.011                               3.450                       3.789
                    75+                       3.864                               4.281                       4.264
                  Jumlah                    207.822                             222.821                     233.936
              Sumber Data : Dinas Kependudukan dan Catatan Sipil Kota Singkawang




                                                                                 Database Kota Singkawang Tahun 2011       | 30
Penduduk



                                                                              Tabel 5.6
                                                       Mutasi Penduduk Kota Singkawang (Yang Dilaporkan)
                                                    Berdasarkan Kecamatan, Jumah Penduduk dan Jenis Mutasi
                                                                  Keadaan Tahun 2009 - 2011


                                               Tahun 2009                                   Tahun 2010                                Tahun 2011
                                               Jenis Mutasi                                 Jenis Mutasi                              Jenis Mutasi
No        Kecamatan
                               Jumlah       Jumlah      Jumlah       Jumlah    Jumlah      Jumlah    Jumlah    Jumlah     Jumlah    Jumlah    Jumlah   Jumlah
                              Kelahiran    Kematian     Datang       Pindah   Kelahiran   Kematian   Datang    Pindah    Kelahiran Kematian   Datang   Pindah

 1    Singkawang Barat           363           -           23         217       738         34        354        596       727       43       1.625    1.857
 2    Singkawang Tengah          309           -           42         306       546         21        622        783       738       20       2.322    1.952
 3    Singkawang Utara           105           -           17          31       169          5        212        159       293        2       1.065     691
 4    Singkawang Timur           108           -            7          43       158          2         76        129       197       10        667      561
 5    Singkawang Selatan         109           -           18         113       662         24        241        299       516       25       1,243     834
         JUMLAH                  994                      107         710       2.273       86       1.505      1.966     2.471      100      6.922    5.895

Sumber Data : Dinas Kependudukan dan Catatan Sipil Kota Singkawang
 - Kelahiran (pokok) dan Kematian berdasarkan penerbitan Akta
 - Kelahiran (pokok) wilayah Kota Skw Th. 2011 = 2.471
 - Kelahiran (pokok) luar wilayah Kota Skw Th. 2011 = 365




                                                                                                                          Database Kota Singkawang Tahun 2011   | 31
Penduduk




                                                                                                                          Tabel 5.7
                                                                                                      Jumlah Penduduk Kota Singkawang
                                                                                                 Berdasarkan Kecamatan dan Pemeluk Agama
                                                                                                             Keadaan Tahun 2009 - 2011


                                                     Tahun 2009                                                            Tahun 2010                                                                        Tahun 2011




                                                                                                                                                        Konghucu




                                                                                                                                                                                                                                          Konghucu
                                                Katholik




                                                                                                                            Katholik




                                                                                                                                                                                                              Katholik
                                                                            Lainnya




                                                                                                                                                                   Lainnya




                                                                                                                                                                                                                                                     Lainnya
                                                                                        Jumlah




                                                                                                                                                                               Jumlah




                                                                                                                                                                                                                                                                 Jumlah
                                     Kristen




                                                                                                                Kristen




                                                                                                                                                                                                   Kristen
No      Kecamatan



                                                                    Budha




                                                                                                                                                Budha




                                                                                                                                                                                                                                  Budha
                                                           Hindu




                                                                                                                                       Hindu




                                                                                                                                                                                                                         Hindu
                            Islam




                                                                                                     Islam




                                                                                                                                                                                          Islam
1            2              3        4           5         6        7        8          9           10          11          12         13       14      15         16         17         18       19          20         21       22      23         24          25

1    Singkawang Barat     18,322    2,850      4,010       36      35,967   535       61,720       18,537      3,580       4,349       25      37,864    35        252       64,642     18,224    3,722      4,364       20      38,607   62         96        65,095


2    Singkawang Tengah    44,104    1,511      1,274       17      11,440   255       58,601       47,560      1,864       1,540       14      12,627    13        87        63,705     50,679    2,066      1,623       12      13,096   17         54        67,547


3    Singkawang Utara     18,714    130          89         3      3,907    149       22,992       19,759       170         88          3      4,094       1       83        24,198     21,218    192         103        12      4,228     2         43        25,798

4    Singkawang Timur      5,283    2,468      7,148        9      5,319    146       20,373        5,583      2,607       7,305        7      5,965       1       104       21,572      5,872    2,722      7,458        3      6,124     1         51        22,231

5    Singkawang Selatan   14,886    2,300      3,441       59      23,293   157       44,136       16,160      2,785       3,822       55      25,802    10        70        48,704     18,387    3,246      4,185       47      27,343   17         40        53,265

      JUMLAH              101,309   9,259      15,962      124     79,926 1,242       207,822      107,599     11,006      17,104      104     86,352    60        596       222,821    114,380 11,948       17,733      94      89,398   99         284       233,936

     Sumber Data : Dinas Kependudukan dan Catatan Sipil Kota Singkawang




                                                                                                                                                                                        Database Kota Singkawang Tahun 2011                            | 32
Penduduk



                                                                     Tabel 5.8
                  Jumlah WNA Yang Melaporkan Kehadirannya Ke Kantor Imigrasi Klas II Singkawang
                                                Berdasarkan Bulan Dan Asal Negara
                                                      Keadaan Per 31 Desember 2011

                                                                     Negara Asal WNA
                                                                                                                                             Jumlah
No      Bulan




                                                                                                BRUNAI




                                                                                                               LESTE




                                                                                                                                      KNDA
                                                                                                                                              Total




                                                                                                                               SING
                                                TWN




                                                                                                                TMR
                                                                                                         HKG
                                                               RRC




                                                                                                                       RUS
                                                                                   MLS

                                                                                          AUS
                     USA




                                    BEL

                                          JER
                             ING




                                                                             IND
                                                        PHI




                                                                       VIE
1     Januari                                                                                                                                  -
2     Pebruari                      1           2                                                                                              3
3     Maret                                                     1      1                                                                       2
4     April           1                         1               1                                                                              3
5     Mei                                                       2                         1                                                    3
6     Juni                                                                            1   2                                                    3
7     Juli                                                      5                                                                              5
8     Agustus                                                   5                                                                              5
9     September                                                 4                                                                              4
10    Oktober                                                                                                                                  -
11    Nopember                                                  1                                                                              1
12    Desember                                                  1                                                                              1
 Jumlah 2011          1       -     1      -    3        -     20      1      -       1   3       -       -      -      -       -     -        30
 Jumlah 2010         11       1     2     3     45       3     13      1     3        4    -      -      6      12     2        6     1       113
 Jumlah 2009         35       1     3     2     33      2       2      1     4        2   1      1       3      6      2        -     -       98
 Jumlah 2008          -       -     5     3     22      1       -       -     -       1    -      -       -      -      -       1     -       33

Sumber Data : Kantor Imigrasi Kelas II Singkawang




                                                      Tabel 5.9
                           Jumlah Paspor Yang Dikeluarkan Kantor Imigrasi Kelas II Singkawang
                                        Berdasarkan Bulan dan Halaman Paspor
                                          Periode Januri s/d Desember 2011

                                                                               SPRI
             No               Bulan                                                                                         Jumlah
                                                         48 Halaman                       24 Halaman
              1     Januari                                   1,101                             0                            1,101
              2     Pebruari                                  1,364                             5                            1,369
              3     Maret                                     1,511                             8                            1,519
              4     April                                     1,143                             6                            1,149
              5     Mei                                       1,232                             12                           1,244
              6     Juni                                      1,228                             4                            1,232
              7     Juli                                      1,136                             0                            1,136
              8     Agustus                                    889                              0                            889
              9     September                                 1,411                             0                            1,411
             10     Oktober                                   1,038                             0                            1,038
             11     Nopember                                  1,037                             0                            1,037
             12     Desember                                  1,070                             6                            1,076
                           Jumlah                             14,160                            41                          14,201
            Sumber Data : Kantor Imigrasi Kelas II Singkawang




                                                                                          Database Kota Singkawang Tahun 2011                      | 33
Penduduk




                                               Tabel 5.10
                         Pembuatan Kartu Tanda Penduduk (KTP) Di Kota Singkawang
                                    Berdasarkan, Bulan dan Kecamatan
                                     Keadaan s/d 31 Desember 2011
                                                               Kecamatan
 No           Bulan         Singkawang       Singkawang      Singkawang         Singkawang   Singkawang      Jumlah
                                Barat          Tengah           Utara              Timur       Selatan
 1    Januari                  17,139           18,366          5,994              4,046       10,455        56,000
 2    Februari                17,823           19,169           6,365             4,286        10,986        58,629
 3    Maret                   19,415           20,863           7,078             4,874        12,273        64,503
 4    April                   20,335           21,946           7,438             5,205        13,059        67,983
 5    Mei                     21,259           23,012           7,763             5,500        13,843        71,377
 6    Juni                    22,055           23,979           8,113             5,732        14,518        74,397
 7    Juli                    22,915           24,876           8,412             6,013        15,123        77,339
 8    Agustus                 23,590           25,555           8,680             6,013        15,674        79,512
 9    September               24,115           26,261           8,901             6,406        16,234        81,917
 10   Oktober                 24,589           26,989           9,098             6,634        16,665        83,975
 11   November                25,174           28,429           9,434             6,871        17,174        87,082
 12   Desember                25,633           29,649           9,709             7,126       17,639         89,756
Jumlah 2011 (kumulatif)       25,633           29,649           9,709             7,126       17,639         89,756
Jumlah 2010 (kumulatif)       16,270           17,226           5,520             3,702        9,594         52,312
Jumlah 2009 (kumulatif)        6,624           6,771            1,633             2,020        5,325         22,373
Jumlah 2008 (kumulatif)        1,048           1,337            1,295             1,368        2,701         7,749

Sumber Data : Dinas Kependudukan dan Catatan Sipil Kota Singkawang
Catatan :
Bulan Januari s/d Mei 2009 dilaksanakan di Kecamatan
Sejak bulan Juni 2009 dilaksanakan di Dinas Kependudukan dan Pencatatan Sipil




                                                                   Database Kota Singkawang Tahun 2011      | 34
Penduduk


                                                                                                                                 Tabel 5.11
                                                                                                     Akta Pencatatan Sipil Yang Dikeluarkan
                                                                                                        Berdasarkan Bulan Dan Kecamatan
                                                                                                            Keadaan Per 31 Desember 2011


                                                                                                                                                               Tahun 2011

                                                Singkawang Barat                                     Singkawang Tengah                                       Singkawang Utara                                        Singkawang Timur                                      Singkawang Selatan




                                                              Perkawinan




                                                                                                                    Perkawinan




                                                                                                                                                                           Perkawinan




                                                                                                                                                                                                                                    Perkawinan




                                                                                                                                                                                                                                                                                         Perkawinan
No            BULAN




                                                                           Perceraian




                                                                                                                                   Perceraian




                                                                                                                                                                                        Perceraian




                                                                                                                                                                                                                                                 Perceraian




                                                                                                                                                                                                                                                                                                      Perceraian
                                    Kelahiran


                                                   Kematian




                                                                                         Kelahiran


                                                                                                         Kematian




                                                                                                                                                 Kelahiran


                                                                                                                                                                Kematian




                                                                                                                                                                                                         Kelahiran


                                                                                                                                                                                                                         Kematian




                                                                                                                                                                                                                                                               Kelahiran


                                                                                                                                                                                                                                                                              Kematian
1     JANUARI                      112              3          4            1           199               1          2               -           75               -          -            -              76               -          2             -          144              2          4             -

2     FEBRUARI                     106              3         10             -          105               1          8               -           50               -         4             -              34               -          8             -           62              3          8             -
3     MARET                        142              6         14             -          136               2          4               -           87               -          -            -              101              1           -            -          137              4         10             -
4     APRIL                        143              5          8             -          120               2          4               -           68               -         2             -              81               -          2             -          158              1          2             -

5     MEI                          183              3         12             -          157               6          6               -           66               -         4             -              83               -           -            -          172              2          6             -

6     JUNI                         185              2          4             -          195               1          4               -           63              1          2             -              78               1           -            -          204              2          2             -

7     JULI                         179              4         18             -          204               3          8               -           83              1          4             -              103              2          2             -          262              3          9            1

8     AGUSTUS                      206              5         16             -          188               1         10               -          105               -         4             -              98               -          2             -          258              1         16             -

9     SEPTEMBER                    177              3          6             -          192               2          2               -           84               -         2             -              107              2           -            -          283              2         13             -

10    OKTOBER                      242              2         15            1           236               -          8               -           89               -         2             -              180              -           -            -          369              2          8             -

11    NOPEMBER                     230              5         17            1           256               1          8               -          167               -         4             -              160              2          2             -          427              3         10             -

12    DESEMBER                     602              4         19             -          779               2         13               -          544               -         4             -              412              2          4             -          1,115            2          7             -

         JUMLAH 2011              2,507            45         143           3           2,767           22          77               -          1,481            2         32             -             1,513            10         22             -          3,591           27         95            1

         JUMLAH 2010              6,864            39         131           2           6,273           13          54               -          3,106            3          7             -             2,846             9         16             -          7,413           22         66             -
         JUMLAH 2009              3,915             -           -            -          3,664             -           -              -          1,889            -           -            -             1,984              -          -            -          3,348             -          -            -

     Sumber Data : Dinas Dukcapil Kota Singkawang

Catatan :
PERKAWINAN, PERCERAIAN, KEMATIAN Bulan Januari s/d Mei 2009 dilaksanakan di Kecamatan
Sejak bulan Juni 2009 dilaksanakan di Dinas Kependudukan dan Pencatatan Sipil




                                                                                                                                                                                                                            Database Kota Singkawang Tahun 2011                                       | 35
Pendidikan




6. Pendidikan

          Indikator mutu pendidikan dapat dilihat dari tingginya angka partisipasi, yang
  terdiri dari Angka Partisipasi Kasar (APK) dan Angka Partisipasi Murni (APM). Pada
  tahun 2011 APK Kota Singkawang untuk jenjang SD-MI 118,46%, SMP-MTS 82,04% dan
  SMA-MA 73,12%. Sedangkan APM untuk SD-MI 42,10%, SMP-MTS 55,68% dan SMA-
  MA 49,58%

         Kebijakan pemerintah untuk meningkatkan kualitas sumberdaya manusia ini
  didasarkan kepada pemikiran bahwa pendidikan tidak sekedar menyiapkan peserta didik
  agar mampu masuk dalam pasaran kerja, namun lebih dari itu, pendidikan merupakan
  salah satu pembangunan watak bangsa (national character building), seperti kejujuran,
  keadilan, keikhlasan, kesederhanaan dan keteladanan.

          Untuk mencapai pemikiran di atas peran guru sangat penting karena guru dapat
  berperan sebagai pendidik, pengajar, pembimbing, pengarah, pelatih, penilai dan
  pengevaluasi dari peserta didik. Jumlah guru yang ada di Kota Singkawang 3.197 orang
  terdiri dari laki-laki 1.111 orang dan perempuan 2.086 orang. Tingkat pendidikan guru
  juga bervariasi untuk Strata 2 sebanyak 20 orang, Strata 1 sebanyak 1.466, D3 sebanyak
  188 orang, D2 sebanyak 684 orang, D1 sebanyak 127 orang dan SLTA sebanyak 712
  orang.

        Sementara itu untuk status kepegawaian guru sebanyak 2.237 orang adalah
  PNS/CPNS Kota Singkawang, 685 orang Guru Tidak tetap, 18 orang Guru Honorer, dan
  213 orang Guru Yayasan. Sedangkan Guru Negeri yang diperbantukan di Sekolah
  Swasta dari jenjang TK sampai SLTA sebanyak 77 orang.

        Sertifikasi Guru adalah proses pemberian sertifikat pendidik kepada guru yang
  telah memenuhi standar profesional guru. Guru profesional merupakan sarat mutlak
  untuk menciptakan sistim dan praktek pendidikan yang berkualitas.

         Pada Tahun Pelajaran 2010/2011 guru yang telah lulus sertifikasi sebanyak 880
  orang teridiri dari guru SD/Madrasah Ibtidaiyah 577 orang, SMP/Madrasah Tsnawiyah
  157 orang, SMA/Madrasah Aliyah 78 orang dan SMK 68 orang.

        Untuk melakukan pengawasan terhadap proses kegiatan belajar mengajar di
  sekolah peranan tenaga pengawas juga mempunyai korelasi yang signifikan pada
  peningkatan mutu pendidikan. Tugas pokok pengawas sekolah/satuan pendidikan adalah
  melakukan penilaian dan pembinaan dengan melaksanakan fungsi-fungsi supervisi, baik
  supervisi akademik maupun supervisi manajerial.

         Jumlah tenaga Pengawas Sekolah yang ada sebanyak 26 orang. Pengawas
  tersebut terdiri dari Pengawas SD 11 orang, Pengawas Madrasah Ibtidaiyah 4 orang,
  Pengawas SMP 2 orang, Pengawas Madrasah Tsanawiyah 1 orang, Pengawas SMA 3




                                                    Database Kota Singkawang Tahun 2011   | 36
Pendidikan




orang, Pengawas Madrasah Aliyah 1 orang,      Pengawas SMK 1 orang dan Pengawas
Pendidikan Non Formal dan Informal 3 orang.

      Jumlah PAUD 61 Unit dengan jumlah ruang kelas 99 dan jumlah kelas 93 orang,
jumlah murid 1.435 orang dan jumlah guru 173 orang. Jumlah TK 39 Unit terdiri 5 TK
Negeri dan 34 Unit TK Swasta. Jumlah Ruang Kelas 124, jumlah Kelas 111. Jumlah
murid 2.085 dan jumlah guru 258 orang.

       Pendidikan dasar yang ada di Kota Singkawang untuk SD/MI pada tahun
pelajaran 2010/2011 sebanyak 98 sekolah yang terdiri dari SD Negeri 75 sekolah, SD
Swasta 17 sekolah, Madrasah Ibtidaiyah Negeri 1 Sekolah dan Madrasah Ibtidaiyah
Swasta 5 sekolah. Jumlah murid SD/MI sebanyak 28.195 dengan jumlah guru sebanyak
1.702 orang.

      Hasil proses belajar mengajar untuk SD/MI jumlah murid yang naik kelas
sebanyak 24.936 murid. Jumlah murid yang tidak naik kelas sebanyak 3.259 murid.
Sedangkan yang lulus ujian UASBN 3.493 murid dan tidak ada murid yang tidak lulus
UASBN.

      Untuk SMP/Madrasah Tsanawiyah pada tahun pelajaran 2010/2011 terdapat 45
sekolah yang terdiri dari SMP Negeri 19 sekolah, SMP Swasta 16 sekolah, Madrasah
Tsanawiyah Negeri 1 sekolah, dan Madrasah Tsanawiyah Swasta 9 sekolah. Jumlah
murid SMP/Madrasah Tsanawiyah 10.022 murid dengan jumlah guru 869 orang.

      Hasil proses belajar mengajar untuk SMP/Madrasah Tsanawiyah jumlah murid
yang naik kelas sebanyak 9.839 murid, tidak naik kelas 183 murid. Yang lulus Ujian
Akhir Nasional 2.707 murid dan yang tidak lulus sebanyak 198 murid.

      Untuk SMA/Madrasah Aliyah pada tahun pelajaran 2010/2011 terdapat 22
sekolah yang terdiri dari SMA Negeri 10 sekolah, SMA Swasta 7 sekolah, Madrasah
Aliyah Negeri 1 dan Madrasah Aliyah Swasta 4 sekolah. Jumlah murid SMA/Madrasah
Aliyah sebanyak 4.693 dengan jumlah guru yang ada sebanyak 531 guru.

       Hasil proses belajar mengajar pada tahun pelajaran 2010/2011 diketahui jumlah
murid yang naik kelas sebanyak 4.656 murid, tidak naik kelas 37 murid. Jumlah murid
yang lulus Ujian Akhir Nasional sebanyak 1.266 murid, jumlah murid yang tidak lulus
lulus Ujian Akhir Nasional sebanyak 9 murid.

        Untuk SMK pada tahun pelajaran 2010/2011 terdapat 10 sekolah yang terdiri
dari SMK Negeri 3 sekolah, SMK Swasta 7 sekolah dengan progam keahlian teknik,
bisnis, manajemen, pariwisata serta teknologi informasi. Jumlah murid sebanyak 3.607
murid dengan jumlah guru 303 orang.

       Hasil proses belajar mengajar SMK pada tahun pelajaran 2010/2011 jumlah murid
yang naik kelas sebanyak 3.585 murid jumlah murid yang tidak naik kelas sebanyak 22
murid. Jumlah murid yang lulus Ujian Akhir Nasional sebanyak 1.018 murid dan yang
tidak lulus Ujian Akhir Nasional sebanyak 35 murid.


                                                 Database Kota Singkawang Tahun 2011   | 37
Pendidikan




                                                                         Tabel 6.1
                                                Indikator Pendidikan di Kota Singkawang
                                                              Periode 2008 - 2011
                                                2008/2009                                2009/2010                                2010/2011
No.            Indikator
                                      SD + MI   SMP + MTs SMA + MA            SD + MI    SMP + MTs SMA + MA           SD + MI     SMP + MTs    SMA + MA
 1    APK                            124,77%      84,60%       69,48%         105,53%     78,18%      65,64%          118,46%      82,04%          73,12%
      Kota                           127,31%      80,63%       67,34%         105,53%     78,18%      65,64%          118,46%      82.04%          73.12%
 2    APM                             94,42%      56,75%       34,01%         83,95%      55,08%      42,71%          94.10%       55.68%          49.58%
 3    Rasio
      - Siswa/Sekolah                 290 : 1     223 : 1      249 : 1        286 : 1     218 : 1     257 : 1         295 : 1      224 : 1         214 : 1
      - Siswa/Kelas                    28 : 1     31 : 1        28 : 1         29 : 1      30 : 1     27 : 1           29 : 1       25 : 1         27 : 1
      - Siswa/Guru                     19 : 1     12 : 1        11 : 1         19 : 1      14 : 1     13 : 1           19 : 1       14 : 1         11 : 1
      - Kelas/Guru                    1,4 : 1     2,5 : 1       2,5 : 1        1,4 : 1     2:1            2:1         1,6 : 1      1,7 : 1         2,5 : 1
 4    Angka Melanjutkan                3.474      2.204              -         3.530       2.908           -           3.645        3.162             -
 5    Tingkat Pelayanan Sekolah            -         -               -            -          -             -             -               -            -
 6    Kepadatan Penduduk                   -         -               -            -          -             -             -               -            -
 7    Putus Sekolah                       209      174            45            220         169           112           202          158             79
 8    Angka Putus Sekolah                 209      174            45            220         169           112           202          158             79

 Sumber Data : Dinas Pendidikan Kota Singkawang




                                                                            Tabel 6.2
                                                            Kondisi Guru Di Kota Singkawang
                                                   Keadaan Per Tahun Pelajaran 2008 - 2011

                                Jenjang                           Jenis Kelamin                           Pendidikan Terakhir
                 No                               Jumlah
                                Sekolah                         Laki        Perempuan      SLTA      D1         D2        D3        S1        S2
                  1      PAUD
                  2      TK                        192           6              186         104       4         48           5      31        0
                  3      SD                         9            0               9           6        0          3           0       0        0
                  4      madrasah Ibtidaiyah      1.502         409            1.093        436      48         540          34    438        6
                  5      SMP                        67          24               43          22       0         23           2      20        0
                  6      Madrasah Tsanawiyah       611          219             392          44      66         53           73    372        3
                  7      SMA                       105          56               49          43       0          7           6      49        0
                  8      Madrasah Aliyah           373          185             188          13       7          3           20    323        7
                  9      SMK                        81          53               28          20       0          3           4      51        3
                          Jumlah Tahun            3.197        1.111           2.086        712      127        684      188      1.466       20
                      Pelajaran 2010 - 2011
                          Jumlah Tahun
                                                  3.669        1.358           2.311        602      705        186      519       987        13
                      Pelajaran 2009 - 2010
                          Jumlah Tahun
                                                  3.553        1.282           2.271        946      154        825      282      1.332       9
                      Pelajaran 2008 - 2009
                 Sumber Data : Dinas Pendidikan Kota Singkawang




                                                                                           Database Kota Singkawang Tahun 2011                     | 38
Pendidikan




                                                                    Tabel 6.3
                                           Status Kepegawaian Guru Di Kota Singkawang
                                              Keadaan Per Tahun Pelajaran 2008 - 2011

                                                                            Status Kepegawaian Guru
                 No           Jenjang Sekolah        PNS/CPNS            PNS/CPNS     Guru      Guru         Guru         Guru
                                                    Singkawang             Pusat      Bantu     PTT         Honorer      Yayasan

                  1      PAUD
                  2      TK                                 42              0          0         83           2            56
                  3      SD                              1.288              0          0         161          4            41
                  4      Madrasah Ibtidaiyah                29              0          0         16           0            20
                  5      SMP                                432             0          0         138          3            30
                  6      Madrasah Tsanawiyah                16              0          0         62           4            21
                  7      SMA                                240             0          0         107          2            22
                  8      Madrasah Aliyah                    24              0          0         49           1            5
                  9      SMK                                166             0          0         69           2            18
                      Jumlah Tahun Pelajaran             2.237              0          0        685           18          213
                           2010 - 2011
                      Jumlah Tahun Pelajaran
                                                         2.240              0          0        644          416          219
                           2009 - 2010
                      Jumlah Tahun Pelajaran
                                                         1.876             163         22       1.056        149          234
                           2008 - 2009
                 Sumber Data : Dinas Pendidikan Kota Singkawang




                                                                    Tabel 6.4
                                       Guru Yang Telah Lulus Sertifikasi di Kota Singkawang
                                                Keadaan Tahun Pelajaran 2008 - 2011


                                       Tahun Pelajaran 2008-2009            Tahun Pelajaran 2009-2010              Tahun Pelajaran 2010-2011

                                                                               Guru Yang
No       Jenjang Pendidikan             Guru Yang Telah                                                            Guru Yang Telah
                                                                                 Telah
                                        Lulus Sertifikasi         Jumlah                          Jumlah           Lulus Sertifikasi    Jumlah
                                                                            Lulus Sertifikasi
                                          L         P                            L         P                         L             P
1    SD/Madrasah Ibtidaiyah              39         59              98          113     222           335          153          424      577
2    SMP/Madrasah Tsanawiyah             30         43              73          43         89         132           58          99       157
3    SMA/ Madrasah Aliyah                28         23              51          42         32          74           42          36        78
4    SMK                                 35         7               42          59         11          70           54          14        68
                              Jumlah    132        132             264          257     354           611          307          573      880

Sumber Data : Dinas Pendidikan Kota Singkawang




                                                                                            Database Kota Singkawang Tahun 2011           | 39
Pendidikan




                                                  Tabel 6.5
                             Nama Guru Negeri Yang Diperbantukan Di TK
                                         Berdasarkan Jenjang Sekolah
                                Keadaan Pada Tahun Pelajaran 2008 - 2011

                                                                   Jumlah Guru Yang Diperbantukan
No       Jenjang Sekolah Yang Diperbantukan                               Tahun Pelajaran
                                                       2008 - 2009           2009 - 2010         2010 - 2011
 1     TK                                                     22                  17                  15
 2     SD Swasta                                              36                  33                  40
 3     SLB                                                    9                   0                   8
 4     Madrasah Ibtidaiyah                                    7                   0                   6
 5     SMP Swasta                                             20                  9                   6
 6     SMA Swasta                                             3                   0                   2
 7     SMK Swasta                                             7                   0                   0
                                            Jumlah          104                  59                   77

Sumber Data : Dinas Pendidikan Kota Singkawang




                                                  Tabel 6.6
                             Jumlah Pengawas Sekolah Di Kota Singkawang
                                         Berdasarkan Jenjang Sekolah
                                  Keadaan Tahun Pelajaran 2008 - 2011

                                                                           Tahun Pelajaran
        No                   Jenjang Sekolah
                                                              2008/2009      2009/2010       2010/2011

         1    SD                                                    10           9              11

         2    Madrasah Ibtidaiyah                                    3           4               4

         3    SMP                                                    1           3               2

         4    Madrasah Tsnawiyah                                     1           2               1

         5    SMA                                                    2           3               3

         6    Madrasah Aliyah                                        1           2               1

         7    SMK                                                    1           1               1

         8    Pendidikan Non Formal dan Informal                     4           2               3

                                Jumlah                              23           26             26

        Sumber Data : Dinas Pendidikan Kota Singkawang dan Kantor Kementerian Agama Kota Singkawang




                                                                         Database Kota Singkawang Tahun 2011      | 40
Pendidikan




                                                                           Tabel 6.7
                                                     Jumlah PAUD Di Kota Singkawang
                                                             Berdasarkan Kecamatan
                                                  Keadaan Tahun Pelajaran 2008 - 2011
                                                                           Jumlah                                 Murid                                Guru
                                                         Jumlah             Ruang      Jumlah
         No                Kecamatan
                                                          PAUD              Kelas       Kelas            L         P         Jmlh            L          P         Jmlh
          1     Singkawang Barat                             15              28          23          163          173          336           2          64         66
          2     Singkawang Timur                              6              9               9       64            73          137           3          21         24
          3     Singkawang Tengah                            17              27          26          185          210          395           2          67         69
          4     Singkawang Utara                             11              16          16          117          144          261           6          46         52
          5     Singkawang Selatan                           12              19          19          145          161          306           4          43         47
          Jumlah Tahun Pelajaran 2010 - 2011                 61             99           93          674          761        1435           17         241        258
          Jumlah Tahun Pelajaran 2009 - 2010                 44             74           72          507          506        1.013          19         154        173
          Jumlah Tahun Pelajaran 2008 - 2009                 38             52           52          359          396         755            5         118        123
         Sumber Data : Dinas Pendidikan Kota Singkawang


                                                                              Tabel 6.8
                                                        Jumlah TK Di Kota Singkawang
                                                           Berdasarkan Kecamatan
                                                     Keadaan Tahun Pelajaran 2008 - 2011
                                                              Status TK                 Jumlah Jumlah                              Murid                           Guru
     No                   Kecamatan                                                      Ruang   Kelas
                                                    Negeri Swasta             Jmlh       Kelas (Rombel)                  L           P       Jmlh            L         P     Jmlh
     1        Singkawang Barat                           0            13          13         48              42          452         425         877         3         83     86
     2        Singkawang Timur                           2            2           4           7              9           65          67          132         0         12     12
     3        Singkawang Tengah                          1            10          11         34              33          332         300         632         0         62     62
     4        Singkawang Utara                           1            2           3           8              7           47          36          83          2         22     24
     5        Singkawang Selatan                         1            7           8          27              20          193         168         361         4         70     74
     Jumlah Tahun Pelajaran 2010 - 2011                  5            34          39         124         111            1.089        996     2.085           9      249      258
     Jumlah Tahun Pelajaran 2009 - 2010                  4            32          36         114         105             978         975     1.953           10     172      182
     Jumlah Tahun Pelajaran 2008 - 2009                  4            29          33         108             95          881         922     1.803           4      134      138
     Sumber Data : Dinas Pendidikan Kota Singkawang


                                                                            Tabel 6.9
                                   Jumlah Sekolah dasar/Madrasah Ibtidaiyah Di Kota Singkawang
                                                              Berdasarkan Kecamatan
                                                   Keadaan Tahun Pelajaran 2008 - 2011
                                               Jenis Sekolah
                                                                                 Jumlah Jumlah                               Murid                                Guru
No            Kecamatan               SD                 MI                       Ruang Kelas
                                                                            Jmlh Kelas (Rombel)
                              Negeri Swasta Negeri Swasta                                                         L            P           Jmlh         L          P        Jmlh
1    Singkawang Barat            14        9         0            1         24         264         296           4.412       4.070         8.482       120         345       465
2    Singkawang Timur            14        1         0            0         15         126         138           1.461       1.350         2.811        86         123       209
3    Singkawang Tengah           17        1         0            3         21         201         270           3.605       3.334         6.939        91         374       465
4    Singkawang Utara            12        0         0            1         13         117         134           1.630       1.481         3.111        66         122       188
5    Singkawang Selatan          18        6         1            0         25         243         266           3.587       3.265         6.852       127         248      375
 Jumlah TP 2010 - 2011           75        17        1            5         98         951        1.104 14.695 13.500 28.195                           490        1.212 1.702
 Jumlah TP 2009 - 2010           75        17        1            5         98         946        1.097 14.747 13.394 28.141                           453        1.137     1.590
 Jumlah TP 2008 - 2009           75        17        1            4         97         871         998        14.793 13.300 28.093                     395        1.113     1.508
Sumber Data : Dinas Pendidikan Kota Singkawang




                                                                                                     Database Kota Singkawang Tahun 2011                                    | 41
Pendidikan

                                                                                      Tabel 6.10
                                            Hasil Proses Belajar Mengajar SD Negeri, SD Swasta dan Madrasah Ibtidaiyah Di Kota Singkawang
                                                                               Berdasarkan Kecamatan
                                                                        Keadaan Tahun Pelajaran 2008 - 2011
                                                  Jenis Sekolah                             Jumlah Murid                  Jumlah Murid                           Jumlah Murid         Jumlah Murid Tidak
No        Kecamatan                    SD                  MI                              Yang Naik Kelas               Tidak Naik Kelas                      Yang Lulus UASBN          Lulus UASBN
                                                                          Jumlah
                              Negeri        Swasta Negeri Swasta                        L          P       Jumlah       L            P      Jumlah             L       P     Jumlah    L       P      Jumlah
1     Singkawang Barat          14            9         0       1           24        3,910      3,840      7,750      502          230       732             499     605     1,104    0       0        0
2     Singkawang Timur          14            1       0         0           15        1,122      1,174     2,296       339          176          515          146     166     312      0       0        0
3     Singkawang Tengah         17            1       0         3           21        3,114      3,079     6,193       491          255          746          436     501     937      0       0        0
4     Singkawang Utara          12            0       0         1           13        1,413      1,361     2,774       217          120          337          169     210     379      0       0        0
5     Singkawang Selatan        18            6       1         0           25        2,957      2,966     5,923       630          299          929          371     390     761      0       0        0
    Jumlah TP 2010 - 2011       75           17      1          5          98         12,516     12,420    24,936     2,179        1,080        3,259       1,621    1,872   3,493     0       0        0
    Jumlah TP 2009 - 2010       75           17      1          5          98         12,646     12,126    24,772     2,110        1,213        3,323       1,712    1,751   3,463     1       0        1
    Jumlah TP 2008 - 2009       75           17      1          4          97         12,490     12,052    24,542     2,303        1,248        3,551       1,540    1,740   3,280    18      21       39

Sumber Data : Dinas Pendidikan Kota Singkawang



                                                                                        Tabel 6.11
                                                          Jumlah Sekolah Menengah Pertama, Madrasah Tsanawiyah Di Kota Singkawang
                                                                                  Berdasarkan Kecamatan
                                                                            Keadaan Tahun Pelajaran 2008 - 2011
                                                                            Sekolah
                                                                                                             Jumlah     Jumlah                           Murid                        Guru
                   No          Kecamatan                       SMP                   MTs                      Ruang      Kelas
                                                                                                  Jumlah      Kelas    (Rombel)
                                                      Negeri     Swasta      Negeri     Swasta                                              L           P           Jumlah        L    P     Jumlah
                   1     Singkawang Barat                 3          8           1         0         12       108            100          1,578        1,559        3,137       93    120     213
                   2     Singkawang Timur                 3          2           0         0         5         45            29            476          409          885        43    57      100
                   3     Singkawang Tengah                5          4           0         5         14       114            103          1,426        1,578        3,004      110    198     308
                   4     Singkawang Utara                 2          0           0         2         4         30            30            390          445          835        29    45      74
                   5     Singkawang Selatan               6          2           0         2         10       114            80            965         1,196        2,161       76    98      174
                           Jumlah TP 2010 - 2011          19         16          1         9         45       411        342              4,835        5,187        10,022     351    518     869
                           Jumlah TP 2009 - 2010          19         16          1         9         45       376        334              4,794        5,259        10,053     330    488     818
                           Jumlah TP 2008 - 2009          19         17          0         9         45       367        319              4,811        5,266        10,077     359    466     825
                   Sumber Data : Dinas Pendidikan Kota Singkawang




                                                                                                                                                            Database Kota Singkawang Tahun 2011        | 42
Pendidikan


                                                                                                Tabel 6.12
                                        Hasil Proses Belajar Mengajar Sekolah Menengah Pertama, Madrasah Tsanawiyah Di Kota Singkawang
                                                                                       Berdasarkan Kecamatan
                                                                               Keadaan Tahun Pelajaran 2008 - 2011

                                                    Sekolah                                                                                              Jumlah Murid
                                                                                                Jumlah Murid                Jumlah Murid                Yang Lulus Ujian       Jumlah Murid Tidak
No            Kecamatan                 SMP                   MTs                              Yang Naik Kelas             Tidak Naik Kelas                                    Lulus Ujian Nasional
                                                                            Jumlah                                                                         Nasional
                                Negeri    Swasta    Negeri      Swasta                 L           P        Jumlah        L          P    Jumlah      L       P      Jumlah    L        P       Jumlah
1       Singkawang Barat           3           8      1             0         12      1,551       1,550      3,101        27         9      36        410     483      893     15       25        40
2       Singkawang Timur           3           2      0             0         5        473        407         880          3         2          5     101     124      225     24       19        43
3      Singkawang Tengah           5           4      0             5         14      1,373       1,560      2,933        53         18     71        360     473      833     30       25        55
4       Singkawang Utara           2           0      0             2         4        380        439         819         10         6      16        91      115      206         7     5        12
5      Singkawang Selatan          6           2      0             2         10       926        1,180      2,106        39         16     55        216     334      550     23       25        48
     Jumlah TP 2010 - 2011         19         16      1             9        45       4,703      5,136       9,839        132        51    183       1,178   1,529    2,707    99       99       198
     Jumlah TP 2009 - 2010         19         16      1             9        45       4,658      5,224       9,882        136        35    171       1,254   1,453    2,707    99       119      218
     Jumlah TP 2008 - 2009         19         17      0             9        45       4,699      5,220       9,919        112        46    158       781      851     1,632    467      500      967

Sumber Data : Dinas Pendidikan Kota Singkawang


                                                                                   Tabel 6.13
                                              Jumlah Sekolah Menengah Atas, Madrasah Aliyah Di Kota Singkawang Berdasarkan Kecamatan
                                                                       Keadaan Tahun Pelajaran 2008 - 2011
                                                                             Sekolah                             Jumlah    Jumlah                    Murid                     Guru
         No                Kecamatan                        SMA                  Aliyah                           Ruang     Kelas
                                                                                                   Jumlah         Kelas   (Rombel)
                                                      Negeri Swasta          Negeri Swasta                                                  L         P      Jumlah     L      P       Jumlah
          1     Singkawang Barat                          2             2         0        0           4          36            43         605       659     1,264     54     57        111
          2     Singkawang Timur                          3             2         0        0           5          24            19         247       282      529      35     24        59
          3     Singkawang Tengah                         1             2         1        3           7          76            67         829      1,084    1,913     118    104       222
          4     Singkawang Utara                          2             1         0        0           3          16            21         196       282      478      37     39        76
          5     Singkawang Selatan                        2             0         0        1           3          18            20         228       281      509      32     31        63
         Jumlah Tahun Pelajaran 2010 - 2011            10               7         1        4           22         170          170        2,105     2,588    4,693     276    255       531
         Jumlah Tahun Pelajaran 2009 - 2010            10               7         1        4           22         187          168        2,121     2,538    4,659     280    256       536
         Jumlah Tahun Pelajaran 2008 - 2009            10               7         1        4           22         173          158        2.279     2.510    4.789     237    211       448
         Sumber Data : Dinas Pendidikan Kota Singkawang




                                                                                                                                                     Database Kota Singkawang Tahun 2011         | 43
Pendidikan




                                                                                         Tabel 6.14
                            Hasil Proses BelajarMengajar Sekolah Menengah Atas, Madrasah Aliyah Di Kota Singkawang Berdasarkan Kecamatan
                                                                          Keadaan Tahun Pelajaran 2008 - 2011

                                                 Sekolah                               Jumlah Murid                Jumlah Murid        Jumlah Murid Yang      Jumlah Murid Tidak
                                   SMA                 Aliyah                         Yang Naik Kelas             Tidak Naik Kelas     Lulus Ujian Nasional   Lulus Ujian Nasional
No       Kecamatan
                                                                    Jumlah
                            Negeri    Swasta     Negeri    Swasta               L           P      Jumlah     L         P     Jumlah    L      P     Jumlah    L      P     Jumlah
1    Singkawang Barat          2         2         0            0     4         587        659      1,246     18        0        18    147    180      327     0      1        1
2    Singkawang Timur          3         2         0            0     5         243        281          524   4         1        5     66     69       135     4      1        5
3    Singkawang Tengah         1         2         1            3     7         822       1,077     1,899     7         7        14    267    294      561     1      2        3
4    Singkawang Utara          2         1         0            0     3         196        282          478   0         0        0     57     69       126     0      0        0
5    Singkawang Selatan        2         0         0            1     3         228        281          509   0         0        0     50     67       117     0      0        0
 Jumlah TP 2010 - 2011        10         7         1            4    22        2,076      2,580     4,656     29        8       37     587    679     1,266   5       4        9
 Jumlah TP 2009 - 2010        19         16        1            9    45        2,088      2,474     4,562     51       25       76     700    769     1,469   59     70       129

 Jumlah TP 2008 - 2009        10         7         1            4    22        2.260      2.509     4.769     19        1       20     289    381      670    273    270      543
Sumber Data : Dinas Pendidikan Kota Singkawang




                                                                                                                                       Database Kota Singkawang Tahun 2011    | 44
Pendidikan




                                                                             Tabel 6.15
                                      Jumlah Sekolah Menengah Kejuruan Di Kota Singkawang
                                                                Berdasarkan Kecamatan
                                                     Keadaaan Tahun Pelajaran 2008 - 2011

                                               SMK                Jumlah           Jumlah                  Murid                                Guru
    No          Kecamatan                                          Ruang            Kelas
                                      Negeri Swasta Jmlh           Kelas          (Rombel)         L         P     Jumlah            L           P       Jumlah
     1      Singkawang Barat           2         5         7           68           106          1,382      908     2,290           139         73        212
     2      Singkawang Timur           0         0         0            0            0             0         0           0           0           0         0
     3      Singkawang Tengah          1         0         1           16            23           316       462         778         28          19         47
     4      Singkawang Utara           0         0         0            0            0             0         0           0           0           0         0
     5      Singkawang Selatan         0         2         2           16            15           266       273         539         26          18         44
         Jumlah TP 2010 - 2011         3         7         10          100          144       1,964        1,643    3,607           193         110       303
         Jumlah TP 2009 - 2010         3         6         9           105          129       1.811        1.509    3.320           194         109       303
         Jumlah TP 2008 - 2009         3         7         10          128          121       1.711        1.489    3.200           184         115       299

    Sumber Data : Dinas Pendidikan Kota Singkawang




                                                                             Tabel 6.16
                       Hasil Proses Belajar Mengajar Sekolah Menengah Kejuruan Di Kota Singkawang
                                                                 Berdasarkan Kecamatan
                                                      Keadaan Tahun Pelajaran 2008 - 2011
                                                                                             Jumlah Murid           Jumlah Murid                     Jumlah Murid
                                                                   Jumlah Murid
                                           SMK                                                Tidak Naik           Yang Lulus Ujian                   Tidak Lulus
No           Kecamatan                                            Yang Naik Kelas
                                                                                                 Kelas                Nasional                       Ujian Nasional
                                 Negeri Swasta        Jmlh        L           P     Jmlh     L         P   Jmlh     L          P         Jmlh        L     P      Jmlh
1        Singkawang Barat         2        5           7        1,361       907    2,268     21        1    22     395        273        668     29       6       35
2        Singkawang Timur         0        0           0          0          0       0       0         0    0       0          0          0          0    0        0
3        Singkawang Tengah        1        0           1         316        462     778      0         0    0      101        125        226         0    0        0
4        Singkawang Utara         0        0           0          0          0       0       0         0    0       0          0          0          0    0        0
5        Singkawang Selatan       0        2           2         266        273     539      0         0    0      62         62         124         0    0        0
 Jumlah TP 2010 - 2011            3        7          10        1,943 1,642        3,585     21        1   22      558        460    1,018       29       6       35
 Jumlah TP 2009 - 2010            3        6           9        1,804 1,507        3,311     7         2    9      419        382        801     51       21      72
 Jumlah TP 2008 - 2009            3        7          10        1.648 1.442        3.090     63    47      110     409        388        797     154 146          300

Sumber Data : Dinas Pendidikan Kota Singkawang




                                                                                                       Database Kota Singkawang Tahun 2011                      | 45
Pendidikan




                                                                         Tabel 6.17
                                       Jumlah Lembaga Kursus Yang Ada dDi Kota Singkawang
                                                           Berdasarkan Kecamatan
                                                    Keadaan Per 31 Desember 2011
                                                 Tahun 2009                                         Tahun 2010                         Tahun 2011
No              Kecamatan               Jumlah                                         Jumlah                                 Jumlah
                                                    Jumlah         Jumlah                             Jumlah      Jumlah                   Jumlah    Jumlah
                                       Lembaga                                        Lembaga                                Lembaga
                                                   Pengajar        Peserta                           Pengajar     Peserta                 Pengajar   Peserta
                                        Kursus                                         Kursus                                 Kursus

 1     Singkawang Barat                   12          30                 806            15             29          813            18        46        1,204

 2     Singkawang Tengah                  15          27                 1431           15             25         1.159           12        20        1,111
 3     Singkawang Timur                   0            0                  0             0               0           0             1          6         172
 4     Singkawang Utara                   0            0                  0             0               0           0             0          0          0

 5     Singkawang Selatan                 5           24                 482            5              17          404            7         14         379
               Jumlah                     32          81            2.719               35             71         2.376           38        86        2,866

Sumber Data : Dinas Pendidikan Kota Singkawang




                                                                         Tabel 6.18
                        Layanan Kegiatan Kantor Perpustakaan dan Kearsipan Kota Singkawang
                                                 Periode Januari s/d 31 Desember 2011

                                                              Pendaftaran Anggota                                                                    Jumlah
                             Jumlah Pengunjung                                                                           Jumlah
                                                                     Baru                              Jumlah                           Jumlah        Buku
                                                                                                                          Judul
                                                                                                      Orang yang                         Buku         yang
No.            Bulan                                                                                                      Buku
                             Pelajar




                                                               Pelajar
                                                    Umum




                                                                                             Umum




                                                                                                      Meminjam                           yang        Dibaca
                                         siswa




                                                                               siswa
                                         Maha




                                                                               Maha




                                                                                                                          yang
                                                                                                         Buku                          Dipinjam        di
                                                                                                                        Dipinjam
                                                                                                                                                     Tempat
 1      Januari              482          177      279         29               13          28              750           1,500         1,500         600
 2      Februari             642          179      285         20                7          36              834           2,502         2,502         667
 3      Maret                620          247      372         43               22          48          1,117             2,234         2,234         894
 4      April                637          230      352         32               11          21          1,105             2,210         2,210         884
 5      Mei                  539          178      335         20                9          42          1,002             2,004         2,004         802
 6      Juni                 541          161      257         28                6          21              945           1,890         1,890         756
 7      Juli                 503          172      307         35               11          26              928           1,856         1,856         742
 8      Agustus              364          154      254         34                9          31              772           1,544         1,544         618
 9      September            399          164      202         23                9          16              714           1,428         1,428         571
10      Oktober              371          226      286         92               16          44              986           1,972         1,972         789
11      November             620          207      352         99                4          27          1,184             2,368         2,368         947
12      Desember             646          190      356         24                9          28              902           1,804         1,804         722

      Tahun 2011            6,364        2,285    3,637       479               126      368            11,239           23,312        23,312        8,991

      Tahun 2010            4.161        563      3.240       346               100      292            5.882            10.286        10.286        15.928

      Tahun 2009            444          753      2.109        86               76       196            3.913            7.844          7.844        3.395

Sumber Data : Kantor Perpustakaan dan Kearsipan Kota Singkawang




                                                                                                        Database Kota Singkawang Tahun 2011                   | 46
Pendidikan




                                                              Tabel 6.19
                    Jumlah Buku Yang Ada Di Kantor Perpustakaan dan Kearsipan Kota Singkawang
                                 Berdasarkan Klasifikasi Buku dan Jumlah Buku Per Ruangan
                                                     Per 31 Desember 2011

                                                                               Jumlah Buku

 No                   Klasifikasi Buku                                                             Ruang              Jumlah
                                                        Ruang Anak         Ruang Umum
                                                                                                 Mahasiswa
                                                        (Eksemplar)        (Eksemplar)
                                                                                                (Eksemplar)

    1   000 - 099     Karya Umum                               232                338              206                 776

    2   100 - 199     Filsafat                                 93                 292              206                 591

    3   200 - 299     Agama                                    682               1,165             328                2,175

    4   300 - 399     Sosial                                   923                649              619                2,191

    5   400 - 499     Bahasa                                   94                 130               91                 315

    6   500 - 599     Umum Murni                               297                259              286                 842

    7   600 - 699     Ilmu Terapan dan Teknologi               237               1,979             562                2,778

    8   700 - 799     Kesenian dan Olahraga                    142                369               84                 595

    9   800 - 899     Kesastraan                               678                939               74                1,691

 10     900 - 999     Sejarah dan Geografi                     167                381               96                 644

                     Jumlah 2011                              3,545              6,501            2,552               12,598

                     Jumlah 2010                              2,806              5,762            2,183               10,751

                     Jumlah 2009                              2,328              4,661            1,401               8,390

 Sumber Data : Kantor Perpustakaan dan Kearsipan Kota Singkawang




                                                               Tabel 6.20
Jumlah Buku Yang Disumbangkan Oleh Masyarakat Untuk Kantor Perpustakaan dan Kearsipan Kota Singkawang
                Berdasarkan Tanggal, Nama Penyumbang, Judul Buku dan Banyaknya Buku
                                                      Per 31 Desember 2011

                             Nama                                                                         Banyaknya
NO       Tanggal                                                      Judul Buku                                             Jumlah
                          Penyumbang                                                                          Buku
1           2                     3                                        4                                   5               6
1       27-01-2011     Hermanto,SE            1. Etos Kerja Pribadi Muslim                                    1 Eks       20 Buku
                                              2. Menyingkap Tabir Manajemen Honda Motor                       1 Eks
                                              3. Statistika                                                   1 Eks
                                              4. Akuntansi Biaya Untuk Manajemen                              1 Eks
                                              5. Metode Ramalan Kuantitatif Untuk Perencanaan                 1 Eks
                                              6. Matematika Ekonomi                                           1 Eks
                                              7. Asas-asas Ilmu Keuangan Negara                               1 Eks
                                              8. Business Forecenting                                         1 Eks
                                              9. Intermediate Accounting                                      1 Eks
                                              10. Ekonomi Internasional                                       1 Eks
                                              11. Jawaban Soal-soal Metoda Statistik                          1 Eks
                                              12. Analisis Keputusan Manajemen                                1 Eks




                                                                                        Database Kota Singkawang Tahun 2011        | 47
Pendidikan




1       2                 3                                     4                            5         6
                                     13. Bisnis Internasional Dalam Lingkungan Yang
                                                                                           1 Eks
                                         Sedang Berubah
                                     14. Garis Besar Tata Niaga Umum di Indonesia          1 Eks
                                     15. Materi Pokok Pengambilan Keputusan Manajerial     1 Eks
                                     16. Ilmu Pengetahuan Sosial Sejarah Nasional dan
                                                                                           1 Eks
                                          Umum
                                     17. Psikologi Industri                                1 Eks
                                     18. LKS Biologi Dalam Kehidupan                       1 Eks
                                     19. Pengantar Evaluasi Proyek                         1 Eks
                                     20. Manajemen Koperasi                                1 Eks
                                     21. Netware                                           1 Eks
                                     22. Pengantar Evaluasi Proyek                         1 Eks
2   25-03-2011   Supadi              1. Membina Hitasukhaya                                10 Eks   47 Buku
                                     2. You & Your Problem                                 3 Eks
                                     3. Keyakinan Umat Buddha                              2 Eks
                                     4. Mengapa berdana                                    7 Eks
                                     5. Wira Usaha Buddhis                                 10 Eks
                                     6. Meditasi Buddhis                                   10 Eks
                                     7. Kisah dan Keajaiban Bulan Purnama Dalam
                                                                                           5 Eks
                                        Perkembagan Agama Buddha
                 Balai Pelestarian   1. Peranan Masyarakat Desa Dalam Perjuangan
3   29-03-2011   Sejarah & Nilai-       Kemerdekaan Kajian Desa Pahandut di                1 Eks    14 Buku
                 nilai Tradisional      Palangkaraya Tahun 1945-1958
                 Wilayah Kerja       2. Identitas Suku Bangsa di Perbatasan Desa Long
                                                                                           1 Eks
                 Kalbar                 Nawang Kec.Kayan Hulu Kab.Meliau, Kal-Tim
                                     3. Wayang Gantung                                     1 Eks
                                     4. Pelabuhan Tarakan Kal-Tim                          1 Eks
                                     5. Pengetahuan Masyarakat terhadap Lingkungan         1 Eks
                                     6. Upacara Masyarakat Dayak WEHEA Antara Peluang
                                                                                           1 Eks
                                        dan Tantangan
                                     7. Kehidupan Sosial Ekonomi Pengusaha Kerupuk
                                                                                           1 Eks
                                        Amplang Kecamatan Berma Kayong, Kab.Ketapang
                                     8. Tebas Dalam Perubahan Petani Jeruk dan
                                                                                           1 Eks
                                        Permasalahan tahun 1955-2008
                                     9. Pengalihan Identitas Produk Karya Keterampilan
                                        Masyarakat Perbatasan Dalam Perdagangan Lintas     1 Eks
                                        Batas Negara
                                     10. Dinamika Industri Keramik Cina di Sakok Kota
                                                                                           1 Eks
                                          Singkaang Tahun 1933-2008
                                     11. Peranan Nilai Budaya Masyarakat Dayak Ngaju
                                                                                           1 Eks
                                          Dalam Memelihara Lingkungan di Prop.Kal-Bar
                                     12. Ibukota Pontianak 1979-1942 Lahir dan
                                                                                           1 Eks
                                          Berkembangnya Sebuah Kota Kolonial.
                                     13. Konsep Pemujaan Masyarakat Dayak Meratus
                                                                                           1 Eks
                                          Terhadap tuhan Yang Maha Esa
                                     14. Kabupaten Hulu Sungai Utara (Suatu Tinjauan
                                                                                           1 Eks
                                          Sejarah)
4   04-04-2011    Elvita Muna        1. Pelajaran Berhitung                                1 Eks    29 Buku
                                     2. Cakap Berbahasa Indonesia 2A Untuk Kelas 2
                                                                                           1 Eks
                                        Caturwulan 1 SLTP
                                     3. Sejarah Untuk Sekolah Lanjutan Tk.Pertama (SLTP)   1 Eks
                                     4. Pegangan Pendidikan Sejarah Perjuangan Bangsa
                                                                                           1 Eks
                                        Indonesiaku
                                     5. Ilmu Pengetahuan Sosial (IPS) Ekonomi dan
                                                                                           1 Eks
                                        Koperasi
                                     6. Cintaku Negeriku                                   1 Eks
                                     7. Evaluasi 1a IPS                                    1 Eks
                                     8. Pendidikan jasmani dan Kesehatan                   1 Eks



                                                                       Database Kota Singkawang Tahun 2011   | 48
Pendidikan




1       2               3                                     4                          5           6
                                 9. Media English International                        1 Eks
                                 10. Kerajinan Tangan dan Kesenian                     1 Eks
                                 11. Tabel Untuk Matematika SMP                        1 Eks
                                 12. Buku Pelajaran Agama Buddha                       1 Eks
                                 13. Ilmu Pengetahuan Sosial Sejarah 1b                1 Eks
                                 14. Bahasa Inggris 3a                                 1 Eks
                                 15. Bahasa Inggris 2a                                 1 Eks
                                 16. Seni Musik                                        1 Eks
                                 17. Pendidikan Jasmani                                1 Eks
                                 18. Comprehensive English                             1 Eks
                                 19. Pendidikan Pancasila dan Kewarganegaraan          1 Eks
                                 20. Renungan Harian                                   1 Eks
                                 21. Pendidikan Pancasila dan Kewarganegaraan
                                                                                       1 Eks
                                     Sekolah Lanjutan Tk.Atas
                                 22. Pandai Berbahasa Indonesia 3                      1 Eks
                                 23. Ilmu Pengetahuan Sosial Geografi                  1 Eks
                                 24. Seni Musik                                        1 Eks
                                 25. Detik-detik Ebtanas Lengkap SMU                   1 Eks
                                 26. Persiapan Menghadapi Ebtanas SMU (IPA)
                                                                                       1 Eks
                                      1999/2000
                                 27. Ekonomi Untuk SMA Kelas III                       1 Eks
                                 28. Pelajaran Bahasa dan Sastra Indonesia             1 Eks
                                 29. Soal dan Penyelesaian matematika dasar            1 Eks
5   31-03-2011   Vihara Vimala   1. Sutta Pitaka Khuddaka Nikaya Buddha Vanisa         1 Eks      68 Buku
                 Chandra Arama   2. Paliva Cana                                        1 Eks
                 Singkawang
                 (Sujudi)        3. Mengapa Berdana                                    2 Eks
                                 4. Saddhu                                             1 Eks
                                 5. Don’t Look Down On The Defilement They Will
                                                                                       1 Eks
                                    Laugh At You
                                 6. The Essen Ac Of Visuddhi Magga Volume 1            1 Eks
                                 7. Majjhina Nikaya Kitab Suci Agama Budha             1 Eks
                                 8. Sattapitakaya Khuddakani                           1 Eks
                                 9. Hidup Penuh Dengan Berkah                          1 Eks
                                 10. Wisdon Of Silence                                 1 Eks
                                 11. Ratana Sutta                                      1 Eks
                                 12. Vyagghapajja Sutta                                1 Eks
                                 13. Tanggung Jawab Bersama                            1 Eks
                                 14. Kisah Sebuah Rakit tua                            1 Eks
                                 15. Raja Dharma Nan Bijaksana                         1 Eks
                                 16. Indahnya Berdana                                  1 Eks
                                 17. Upaya Mencapai Kelahiran Ulang Yang Baik          1 Eks
                                 18. Rencana Pangeran Yang Bijaksana                   1 Eks
                                 19. Ajaran-ajaran Pokok                               1 Eks
                                 20. Fabel Aesop                                       1 Eks
                                 21. Fabel Jataka                                      1 Eks
                                 22. Risalah Tentang Parami-parami Dari Kitab
                                                                                       1 Eks
                                   Komentar Untuk Cariyapitaka
                                 23. Hidup Penuh Dengan Berkah                         1 Eks
                                 24. Jalan Menuju Akhir Dari Penderitaan               1 Eks




                                                                     Database Kota Singkawang Tahun 2011   | 49
Pendidikan




1       2               3                                  4                             5           6
                                 25. Dharma Class Masa Vassa                           1 Eks
                                 26. Aku Siswa Sang Buddha                             2 Eks
                                 27. Dharmapada                                        1 Eks
                                 28. Tipitaka Tematik                                  1 Eks
                                 29.Suttapitaka Khuddakamilaya                         1 Eks
                                 30.Dhamanapada Atthakatha Vol.1                       1 Eks
                                 31. Suttapitaka Khuddakani Kaya Dhama Pada
                                                                                       1 Eks
                                      Atthakatka Vol.3
                                 32. Tuntunan Puja Bakti                               1 Eks
                                 33. Tujuan Hidup Yang Benar                           1 Eks
                                 34. Ty Lee                                            1 Eks
                                 35. Hubungan Modal Religius                           1 Eks
                                 36. Bunga Rampai Dharmadesama                         1 Eks
                                 37. Cara Praktis Mengatasi Stress                     1 Eks
                                 38. Kebebasan Sempurna Pentingnya Sutta-Winaya        1 Eks
                                 39. Samantha Meditation And Vipassama Meditation      1 Eks
                                 40. Riwayat Hidup Buddha Gotama                       2 Eks
                                 41. Risalah Tentang Parami-parami Dari Kitab
                                                                                       1 Eks
                                     Komentar Untuk Cariya Pitaka
                                 42. Tidak Ada Ayah…                                   1 Eks
                                 43. Maha Karuma Dharani Parami dan Sutra Hati         1 Eks
                                 44. Mengapa Kita dilahirkan                           1 Eks
                                 45. Dhanu Ma Class Massa Vassa                        1 Eks
                                 46. Breaking The Link                                 1 Eks
                                 47. Riwayat Hidup Maha Kaccana                        1 Eks
                                 48. Dhanu Ma Class massa Vassa                        1 Eks
                                 49. Indahnya Kebebasan                                1 Eks
                                 50. Light Wisdon Sinar Kebijaksanaan                  1 Eks
                                 51. Meditasi Vipassana                                1 Eks
                                 52. Karma Pencipta Sesungguhnya                       1 Eks
                                 53. Hidup Senang Mati Tenang                          1 Eks
                                 54. Si Cacing dan Kotoran Kesayangannya               1 Eks
                                 55. Horee! Guru Si Cacing Datang                      1 Eks
                                 56. Meditasi Buddhis                                  2 Eks
                                 57. Don't Look Down On The Defilermente They Will
                                                                                       1 Eks
                                     Laugh At You
                                 58. Hanya Kitalah Yang Dapat Menolong Diri Kita
                                                                                       1 Eks
                                     Sendiri
                                 59. Ratthapala Sutta                                  1 Eks
                                 60. Menegenal Lbeih Dekat Jalan Mulia Berunsur
                                                                                       1 Eks
                                     Delapan
                                 61. Karma Pencipta Sesungguhnya                       1 Eks
                                 62. Siswa-siswa Utama Sang Buddha                     1 Eks
                                 63. Keyakinan Umat Buddha                             1 Eks
                                 64. Kamus Umum Buddha Dharma                          1 Eks
                 PT.BPR Sambas   1. Persiapan Menghadapi Ujian Nasional SMK Bisnis
6   15-04-2011                                                                         1 Eks      71 Buku
                 Arta               dan Manajemen 2006
                                 2. Memakai Corel Draw 9                               1 Eks
                                 3. Change To Be Super                                 1 Eks
                                 4. The Paradox Of Excellence                          1 Eks




                                                                     Database Kota Singkawang Tahun 2011   | 50
Pendidikan




1   2   3                               4                            5          6
            5. Himpunan Kemtbah Jum'at Teladan                      1 Eks
            6. Tata Cara Menyembah Allah Dalam Melakukan
                                                                    1 Eks
               Sholat
            7. Mamaku, Mamamu                                       1 Eks
            Nama Anak Muslim Pilihan
            8. Agar Hidup Anda Bahagia                              1 Eks
            9. Hari-hari Indah Ukhuwah Anninda Pakram 1423
                                                                    1 Eks
               Pohon Mimpi
            10. Pemanjat Anugerah Terindah                          1 Eks
            11. Ruang X Istana Pasir Nyanyi Sunyi Serambit Masjid   1 Eks
            12. Mari Menyulap PC Serba Bisa                         1 Eks
            13. 7 Note Book Core Duo                                1 Eks
            14. Haji Bersama Nabi                                   1 Eks
            15. Cina Mags                                           1 Eks
            16. Qisha Shul An Biya (Sejarah 25 Rasul)               1 Eks
            17. Kumpulan Khutbah Jum'at Sepanjang Masa              1 Eks
            18. Manisnya Madu                                       1 Eks
            19. Pembentukan peraturan Perundang-undangan No
                                                                    1 Eks
              Tahun 2004
            20. Kunci Belajar Menuju Sukses                         1 Eks
            21. Bahasa Inggris Untuk Kelas IV                       1 Eks
            22. Etika Islam                                         1 Eks
            23. Etika Makan Islami                                  1 Eks
            24. Adab Menguap & Bersin                               1 Eks
            25. Crayon Shinchan                                     1 Eks
            26. Hukum Ekonomi                                       1 Eks
            27. SMS Dari Rasul                                      1 Eks
            28. Kunci Sukses Beternak                               1 Eks
            29. Ayam Kampung                                        1 Eks
            30. Pake' Mon Aku Memilihmu                             1 Eks
            31. Mimpi Sang Dare                                     1 Eks
            32. Conan                                               1 Eks
            33. Kunci-kunci Rezeki                                  1 Eks
            34. The Wisdom Of Harry Potter                          1 Eks
            35. 36 Teknik Pilihan Manipulasi Foto                   1 Eks
            36. Statistika                                          1 Eks
            37. Profe Adeksi                                        1 Eks
            38. Pelayanan Prima                                     1 Eks
            39. Star Fashion                                        1 Eks
            40. Tempo                                               3 Eks
            41. Lembaran Informasi dan Lembaran Kerja               1 Eks
            42. PPKn Kelas 3 SMP                                    1 Eks
            43. Biologi                                             1 Eks
            44. Lembar Kegiatan Siswa Bahasa Inggris                1 Eks
            45. Konsep-konsep Fisika                                2 Eks
            46. Majalah Pantas                                      8 Eks
            47. 62 Amalan Pembuka Pintu Surga                       1 Eks
            48. Foto Video                                          1 Eks




                                                Database Kota Singkawang Tahun 2011   | 51
Pendidikan




1       2                3                                4                                5         6
                                49. Sekar                                                2 Eks
                                50. Matematika                                           1 Eks
                                51. Bimbingan Menuju Anak Cerdas                         1 Eks
                                52. Ilmu Pengetahuan Alam Kimia                          1 Eks
                                53. Diklat Asisten Instruktur Latihan Kerja Menjahit,
                                                                                         1 Eks
                                     Membordir/Menyulam
                                54. Geografi                                             1 Eks
                                55. Master Sejarah                                       1 Eks
                                56. Trubus                                               1 Eks
                                57. Majalah As-Sunnah                                    1 Eks
                                58. Video                                                1 Eks
                                59. Aneka                                                2 Eks

                 KPN Kota       1. Sifat Sholat Nabi                                     1 Eks    26 Buku
7   26-04-2011
                 Singkawang     2. Ilmu Negara                                           1 Eks
                                3. Sosiologi                                             1 Eks
                                4. Manajemen Koperasi                                    1 Eks
                                5. American English                                      1 Eks
                                6. DPR Dalam Sistem Ketatanegaraan Indonesia             1 Eks
                                7. Jabatan Notaris                                       1 Eks
                                8. Bab-bab Tentang Penemuan Hukum                        1 Eks
                                9. Etika Profesi Hukum                                   1 Eks
                                10. Tradisi Demokrasi                                    1 Eks
                                11. Hak Anda Atas Tanah                                  1 Eks
                                12. Analisis Mengenai Dampak Lingkungan                  1 Eks
                                13. Peraturan Perundang-undangan Lingkungan Hidup        1 Eks
                                14. Lentera Qolbu (3,4)                                  2 Eks
                                15. Al Furqon                                            1 Eks
                                16. Fatwa                                                1 Eks
                                17. As-Sunnah, Kami Ada Bukan Untuk Dibunuh              1 Eks
                                18. As-Syariah                                           1 Eks
                                19.As-Sunnah, Beda Asuransi, Ta'awun Dengan
                                                                                         1 Eks
                                    Konvensional
                                20. As-Sunnah, Membaca Berjanji, Mengagungkan Nabi       1 Eks
                                21. As-Sunnah, Ukhuwah                                   1 Eks
                                22. Al Furqon Menjadi Majhud Sejati, Membedah
                                                                                         4 Eks
                                     Kekafiran, Indahnya Kebersamaan
8   29-04-2011     Estri Asih   1. Bibliografi Beramotasi Buku Bacaan Anak (2003-2007)   1 Eks    102 Buku
                                2. Metode Aktivasi Otak                                  1 Eks
                                3. 40 Peluang Bisnis Makanan dan Minuman Kaki Lima
                                                                                         1 Eks
                                   Modal 2-8 Juta
                                4. Menjawab Pertanyaan Anak Soal Seks                    1 Eks
                                5. Buku Pintar                                           1 Eks
                                6. Kamus Al-Munawan                                      1 Eks
                                7. The Hundred Secret Sense                              1 Eks
                                8. Kamus Idiom Indonesia-Arab                            1 Eks
                                9. Majalah Bobo                                          50 Eks
                                10. Majalah Sekar                                        17 Eks
                                11. Tabloid                                              26 Eks
                                12. Life Lesson                                          1 Eks




                                                                    Database Kota Singkawang Tahun 2011   | 52
Pendidikan




1        2               3                                     4                             5           6
9    29-04-2011      Dessy         1. Dewan Perwakilan Rakyat                              1 Eks      21 Buku
                                   2. Warna Sari                                           1 Eks
                                   3. Hukum Wesel, Cek Dan Aksep di Indonesia              1 Eks
                                   4. Panduan Pemasyarakatan UUD Negara Republik
                                                                                           1 Eks
                                      Indonesia th.1945
                                   5. Rencana Pengembangan Agri Bisnis Jagung di Kota
                                                                                           1 Eks
                                      Singkawang th 2005-2006
                                   6. Petunjuk Pelaksanaan UU nO.22 Th 1999 ttg
                                                                                           1 Eks
                                      Pemerintahan Daerah
                                   7. Materi Sosialisasi Putusan Majelis Permasyarakatan   1 Eks
                                   8. Menuju Pertanian Tangguh                             1 Eks
                                   9. Beberapa Hama dan Penyakit Tanaman Penting
                                                                                           1 Eks
                                      Serta Pengendaliannya
                                   10. Kedelai Tanaman Penuh Gizi                          1 Eks
                                   11. Bercocok Tanam                                      1 Eks
                                   12. Mengerjakan Tanah & Alat-alat Pertanian             1 Eks
                                   13. Dasar-dasar Ilmu Tanah                              1 Eks
                                   14. Majalah Forum                                        4Eks
                                   15. Majalah Gatra                                       4 Eks
10   04-05-2011   BKD Singkawang   1. Kiss The Lovely Face Of God                          1 Eks      26 Buku
                                   2. Penanggulangan Penyalahgunaan Narkoba                1 Eks
                                   3. Sama Peninju                                         1 Eks
                                   4. Para Muda Merokok                                    1 Eks
                                   5. Khotbah Masa Kini                                    1 Eks
                                   6. Fiqh Dakwah                                          1 Eks
                                   7. Pedoman Tugas…                                       1 Eks
                                   8. Khutbah Pembina                                      1 Eks
                                   9. Khutbah Jum'at Harapan Jaman                         2 Eks
                                   10. Risalah Jum'at                                      1 Eks
                                   11. Pengantar Hukum Syariah                             1 Eks
                                   12. Bimbingan Menuju Ke Akhlak Luhur                    1 Eks
                                   13. Sabili                                              1 Eks
                                   14. Panic                                               1 Eks
                                   15. Hipnoterapi Quit Smoking                            1 Eks
                                   16. Bahasa Indonesia                                    2 Eks
                                   17. Ilmu Pengetahuan Sosial                             1 Eks
                                   18. Pendidikan Agama Islam                              1 Eks
                                   19. Bahasa Indonesia Utk SD/MI Kls 4                    1 Eks
                                   20. Ilmu Pengetahuan Alam SD Kls III                    1 Eks
                                   21. Ilmu Pengetahuan Sosial Kls III                     1 Eks
                                   22. Ilmu Pengetahuan Alam SD/MI Kls III                 1 Eks
                                   23. Bahasa Inggris SD Kls III                           1 Eks
                                   24. Ilmu Pengetahuan Sosial Utk SD/Mi Kls 4             1 Eks
11   06-05-2011   Asma'ul Husna    1. Doraemon                                             1 Eks       2 Buku
                                   2. Bravo                                                1 Eks
12   09-05-2011   Adriani, A.Md    1. Kebudayaan dan Pariwisata                            1 Eks       5 Buku
                                   2. Berita Aktual Media Elektronik Hari Ini              1 Eks
                                   3. Pembangunan Daerah                                   1 Eks
                                   4. Profil PNM                                           1 Eks




                                                                         Database Kota Singkawang Tahun 2011   | 53
Pendidikan




1        2                3                                      4                            5           6
                                    5. Media Litbang                                         1 Eks
13   09-05-2011                     1. Mimpi Sang Dare                                      39 Eks     680 Buku
                  Humas dan
                  Protokol Setda    2. Spektakuler 05                                       70 Eks
                  Kota Singkawang
                                    3. Spektakuler 06                                       30 Eks
                                    4. Spektakuler 07                                       268 Eks
                                    5. Spektakuler 08                                       143 Eks
                                    6. Majalah Lainnya                                      130 Eks
14   21-05-2011   Ny.Suwanto        1. IPA Biologi                                           1 Eks     67 Buku
                                    2. Kumpulan Soal Semester II                             3 Eks
                                    3. Batu Menangis                                         1 Eks
                                    4. Keluarga Bobo Yang Riang Gembira                      1 Eks
                                    5. Apa ceritamu Hari Ini?                                1 Eks
                                    6. Selamat Ulang Tahun                                   1 Eks
                                    7. Idola Cilik                                           1 Eks
                                    8. Potret Negeriku                                       1 Eks
                                    9. Majalah Bobo                                         57 Eks
                                    1. Saat-saat Mengharukan Dalam Kehidupan Nabi &
15   06-06-2011   Anita                                                                      1 Eks      5 Buku
                                       Sahabat
                                    2. Rethingking Costuers In Selling                       1 Eks
                                    3. Ketakutan Hilang Penjualan Terbilang                  1 Eks
                                    4. Wanita Dambaan Sorga di Era Modernisasi               1 Eks
                                    5. Fungsi-fungsi Otak Dari Usia 4-15 Th.                 1 Eks
                  Arya Putra
16                                  1. Basis Bahasa Inggris                                  1 Eks     86 Buku
                  Kurniawan
                                    2. Pendidikan Agama Islam                                1 Eks
                                    3. Pendidikan Agama Islam                                1 Eks
                                    4. Bahasa Indonesia                                      1 Eks
                                    5. Seni Budaya utk SMP/MTS Kls VIII                      1 Eks
                                    6. Ilmu Pengetahuan Sosial                               1 Eks
                                    7. Seni Budaya Untuk SMP/MTS                             1 Eks
                                    8. IPS Terpadu                                           1 Eks
                                    9. Pendidikan Agama Islam                                1 Eks
                                    10. Detik-detik Ujian Nasioanl Bahasa Inggris            2 Eks
                                    11. Basis Keuangan Evaluasi Belajar Mandiri              1 Eks
                                    12. Lulus Cepat Tepat UN SMP/MTS                         1 Eks
                                    13. Basis Teknologi Informasi dan Komunikasi Utk
                                                                                             1 Eks
                                         SMP/MTS
                                    14. atihan Soa;-soal Ulangan Semester II                 1 Eks
                                    15. Pendidikan Agama Islam Untuk SMP                     1 Eks
                                    16. Target Utk SMP                                       1 Eks
                                    17. Bahasa Inggris Utk SMP/MTS                           1 Eks
                                    18. Penjaskes (Pendidikan Jasmani, Olahraga dan
                                                                                             1 Eks
                                         Kesehatan)
                                    19. Ilmu Pengetahuan Alam                                1 Eks
                                    20. Bahasa Inggris SMP                                   1 Eks
                                    21. Pendidikan Agama Islam                               1 Eks
                                    22. Sains Kimia Utk Kls VI                               1 Eks
                                    23. Pendidikan Agama Islam                               1 Eks
                                    24. IPS Terpadu                                          1 Eks




                                                                          Database Kota Singkawang Tahun 2011   | 54
Pendidikan




1   2   3                               4                         5           6
            25. Bahasa Indonesia                                1 Eks
            26. Pendidikan Kewarganegaraan                      1 Eks
            27. Siap Lulus Ujian Nasional                       1 Eks
            28. Bahasa Indonesia SMP                            1 Eks
            29. Pendidikan Kewarganegaraan                      1 Eks
            30. Kewarganegaraan                                 1 Eks
            31. Matematika 1,2,3                                1 Eks
            32. Kewarganegaraan                                 1 Eks
            33. Ilmu Pengetahuan Alam                           1 Eks
            34. Kewarganegaraan                                 2 Eks
            35. Pendidikan Agama Islam                          1 Eks
            36. Pengetahuan Sosial Ekonomi                      1 Eks
            37. Contextual English                              1 Eks
            38. Pengetahuan Sosial Sejarah                      1 Eks
            39. Sains Biologi                                   1 Eks
            40. Belajar Bahasa Indonesia                        1 Eks
            41. Contextual English                              1 Eks
            42. Pendidikan Agama Islam                          1 Eks
            43. Ratih Rajin berlatih                            1 Eks
            44. Matematika                                      1 Eks
            45. Sejarah                                         1 Eks
            46. Ratih Geografi                                  1 Eks
            47. Ratih Ekonomi                                   1 Eks
            48. Ratih Pendidikan Seni                           1 Eks
            49. Bahasa Inggris utk SMP/MTS                      2 Eks
            50. Pendidikan Kewarganegaraan                      2 Eks
            51. Pendidikan Agama Islam                          1 Eks
            52. IPA Terpadu                                     1 Eks
            53. IPS Terpadu                                     1 Eks
            54. Teknologi Informasi dan Komunikasi              1 Eks
            55. Basis Seni Budaya                               1 Eks
            56. Pendidikan Kewarganegaraan Untuk Kelas IX       1 Eks
            57. Bahasa Indonesia SMP                            1 Eks
            58. Pengetahuan Sosial Sejarah                      1 Eks
            59. Belajar IPA                                     1 Eks
            60. English In Focus                                1 Eks
            61. IPA Terpadu Utk SMP UTS                         1 Eks
            62. Pendidikan Kewarganegaraan                      1 Eks
            63. Pengetahuan Sosial Geografi                     1 Eks
            64. Teknologi Informasi dan Komunikasi              1 Eks
            65. Fisika Ia, Ib                                   2 Eks
            66. Pengetahuan Sosial Ekonomi                      1 Eks
            67. Seni Budaya Kurikulum Standar Isi KTSP          1 Eks
            68. Mahir Menghadapi Ujian Nasional dan Ujian
                                                                1 Eks
                 Sekolah
            69. Kumpulan Rumus                                  1 Eks
            70. Ilmu Pengetahuan Alam                           1 Eks




                                              Database Kota Singkawang Tahun 2011   | 55
Pendidikan




1        2               3                                  4                            5         6
                               71. Kisi-kisi Soal Matematika, IPA, dan Bahasa Inggris   3 Eks
17   14-06-2011   Nisa         1. Peri-peri Bersayap Pelangi                            1 Eks    1 Buku
                  Setda Kota
18   20-06-2011                1. Statistik                                             2 Eks   43 Buku
                  Singkawang
                               2. Azas-azas Manajemen                                   1 Eks
                               3. Ringkasan Materi Ujian Komprehensif Tertulis          1 Eks
                               4. Modul Pemerintahan Daerah                             1 Eks
                               5. Modul perilaku Organisasi                             2 Eks
                               6. Administrasi Pemerintah Daerah                        1 Eks
                               7. Modul Manajemen Pengantar                             1 Eks
                               8. Petunjuk Teknis Tugas Akhir Program (TAP)
                                                                                        1 Eks
                                  Fakultas Ilmu Sosial dan Ilmu Politik
                               9. Alur Menjawab                                         1 Eks
                               10. Pengembangan Organisasi                              1 Eks
                               11. Pendidikan Kewarganegaraan                           1 Eks
                               12. Dasar-dasar Agama Islam                              1 Eks
                               13. Panduan Windows                                      1 Eks
                               14. Cuplikan Adat dan Budaya Sambas                      1 Eks
                               15. Asal Raja-raja Sambas                                2 Eks
                               16. Metode Penelitian Sosial                             1 Eks
                               17. Kepemimpinan                                         1 Eks
                               18. Kebijakan publik                                     1 Eks
                               19. Modul Administrasi Perpajakan                        1 Eks
                               20. Pengantar Tata Hukum Indonesia                       1 Eks
                               21. Pendidikan Kewiraan                                  1 Eks
                               22. Modul Sistem Hukum Indonesia                         1 Eks
                               23. Administrasi Keuangan                                1 Eks
                               24. Pengantar Ilmu Ekonomi                               1 Eks
                               25. Modul Sistem Hukum Indonesia                         1 Eks
                               26. Manajemen Kepegawaian                                1 Eks
                               27. Kepemimpinan                                         1 Eks
                               28. Teori Organisasi                                     1 Eks
                               29. Kebijakan Publik                                     1 Eks
                               30. Pengantar Statistik Sosial                           1 Eks
                               31. Usaha-usaha Milik Negara & Daerah                    1 Eks
                               32. Metode Penelitian Sosial                             1 Eks
                               33. Logika                                               1 Eks
                               34. Ilmu Budaya Dasar                                    1 Eks
                               35. Pengantar Sosiologi                                  1 Eks
                               36. Pengembangan Organisasi                              1 Eks
                               37. Pengertian dan Ruang Lingkup Kepemimpinan            1 Eks
                               38. Sistem Administrasi Negara Kesatuan Republik
                                                                                        1 Eks
                                    Indonesia
                               39. Sistem Administrasi Negara Indonesia                 1 Eks
                               40. Sistem Hukum Indonesia                               1 Eks
                  Bappeda
19   24-06-2011                1. 25 Ciri Keuarga Sakinah                               1 Eks    9 Buku
                  Singkawang
                               2. Kiat Praktis Manajemen Waktu                          1 Eks
                               3. Majalah Forum                                         1 Eks




                                                                   Database Kota Singkawang Tahun 2011   | 56
Pendidikan




1        2               3                                    4                             5         6
                                    4. Brosur                                             1 Eks
                                    5. Majalah Al-Furqon                                  1 Eks
                                    6. Majalah As-Sunnah                                  1 Eks
                                    7. Majalah Amagiran                                   1 Eks
                                    8. Majalah T&T                                        1 Eks
                                    9. Majalah Elken                                      1 Eks
                  H.Rustam Efendi
20   06-07-2011   (UPT Kebersihan   Buku                                                  63 Eks   63 Buku
                  Singkawang)
21   08-07-2011   Askes             1. Majalah Info Askes                                 13 Eks   13 Buku
22   18-07-2011   GSJA              1. Kerygina                                           2 Eks     2 Buku
23   21-07-2011   Nurhayati         1. Majalah Kartini                                    29 Eks   73 Buku
                                    2. Majalah Hidayatullah                               13 Eks
                                    3. Majalah Femina                                     1 Eks
                                    4. Majalah Anggun                                     1 Eks
                                    5. Tabloid                                            29 Eks
24   22-07-2011      Wulan          1. Majalah Bobo                                       95 Eks   137 Buku
                                    2. Majalah Sekar                                      21 Eks
                                    3. Buku Cerita/Fiksi                                  21 Eks
25   27-07-2011      Ahmadi         1. Buku Manajemen Perkantoran Modern                  1 Eks    20 Buku
                                    2. Buku Pelayanan Prima                               2 Eks
                                    3. Latihan Kesegaran Jasmani, Baris Berbaris, Tata
                                       Cara Upacara Sipil dan Ceramah Tentang Kesehatan   1 Eks
                                       Mental
                                    4. Komunikasi Yang Efektif                            1 Eks
                                    5. Budaya Kerja Organisasi Pemerintah                 1 Eks
                                    6. Pengarah Program Ceramah Umum/Muatan Teknis
                                                                                          1 Eks
                                       Substansif Lembaga
                                    7. Sistem Penyelenggaraan Pemerintahan Negara
                                                                                          1 Eks
                                       Kesatuan Republik Indonesia
                                    8. Manajemen Kepegawaian Negara                       1 Eks
                                    9. Etika Organisasi Pemerintah                        1 Eks
                                    10. Dinamika Keompok                                  1 Eks
                                    11. Membangun Kerjasama Tim (Team Building)           1 Eks
                                    12. Wawasan Kebangsaan Dalam Kerangka Negara
                                                                                          1 Eks
                                        Kesatuan Republik Indonesia
                                    13. Budaya Kerja Organisasi Pemerintah                1 Eks
                                    14. Dinamika Kelompok                                 1 Eks
                                    15. Manajemen Perkantoran Modern                      1 Eks
                                    16. Etika Organisasi Pemerintah                       1 Eks
                                    17. Komunikasi Yang Efektif                           1 Eks
                                    18. Sistem Penyelenggaraan Pemerintah Negara
                                                                                          1 Eks
                                         Kesatuan Republik Indonesia
                                    19. Membangun Kerjasama Tim                           1 Eks
26   02-08-2011      Nindry         1. Majalah Donal Bebek                                29 Eks   52 Buku
                                    2. Majalah Lain-lain                                  23 Eks
27   24-08-2011   Dian Apriyani     1. Buku                                               10 Eks   33 Buku
                                    2. Majalah                                            23 Eks
28   26-10-2011       Resty         1. Tarian Bidadari                                    1 Eks    13 Buku
                                    2. Kala Malam membuat Jeda                            1 Eks
                                    3. Everlasting Love                                   1 Eks




                                                                      Database Kota Singkawang Tahun 2011   | 57
Pendidikan




1          2                 3                                          4                          5                  6
                                          4. Zodiac                                               1 Eks
                                          5. Cewek Itu Bernama Bunga                              1 Eks
                                          6. Assalamualaikum Cantik                               1 Eks
                                          7. Aku Pulang                                           1 Eks
                                          8. The Secret Life Of Water                             1 Eks
                                          9. Bulan Di Langit London                               1 Eks
                                          10. Jangan Cari Pacar Berjilbab                         1 Eks
                                          11. The Hidden Massages In Water                        1 Eks
                                          12. Nora Robert                                         1 Eks
                                          13. Drama
                     Ny.Marlita
29                                        1. Angker Batu                                          1 Eks         16 Buku
                     Kundiana
                                          2. Untaian Duka Taburan Mutiara                         1 Eks
                                          3. Bugar Saat Hamil, Sehat Kala Nifas, Langsing Usai
                                                                                                  1 Eks
                                             Bersalin
                                          4. Mirror                                               1 Eks
                                          5. Rasia Perempuan                                      1 Eks
                                          6. Menjadi Istri Penyejuk Hati                          1 Eks
                                          7. Jodi Picoult                                         1 Eks
                                          8. Quantum Love                                         1 Eks
                                          9. Indonesian Idle                                      1 Eks
                                          10. Black Interview                                     1 Eks
                                          11. Campus Fresh Chicken                                1 Eks
                                          12. 168 Jam Dalam Sandera                               1 Eks
                                          13. Absolute Fear                                       1 Eks
                                          14. Malam Jumat Kliwon                                  1 Eks
                                          15. Copy Cat                                            1 Eks
                                          16. The Rule Of Four                                    1 Eks
30    25-11-2011      Nani Heriani, AB    1. Triple Knock                                         1 Eks          7 Buku
                                          2. Jeritan Dendam di Alam Kubur                         1 Eks
                                          3. Bila Cintaku Berlabuh                                1 Eks
                                          4. Buronan Singo Wulung                                 1 Eks
                                          5. Perjanjian Berdarah                                  1 Eks
                                          6. Mutiara di Balik Pelangi                             1 Eks
                                          7. Humor Setanggi                                       1 Eks
                     Setda Kota
31                                        1. Koran Tribun                                        150 Eks        150 Buku
                     Singkawang
                                          1. Majalah Pertanian (Abdi Tani) Wahana Informasi
32                   Pastiawan                                                                    2 Eks          2 Buku
                                             Pertanian
                                            TOTAL                                                         1903 Buku

Sumber Data : Kantor Perpustakaan dan Kearsipan Kota Singkawang




                                                                             Database Kota Singkawang Tahun 2011          | 58
Kesehatan




7. Kesehatan

        Upaya peningkatan derajat kesehatan di daerah merupakan bagian dari program
  pembangunan kesehatan nasional menuju Indonesia Sehat 2011. Tujuan utamanya
  adalah untuk meningkatkan derajat kesehatan dan kemandirian masyarakat dalam
  pemeliharaan kesehatan, dengan titik berat pada upaya peningkatan kualitas hidup dan
  pencegahan penyakit, disamping pengobatan dan pemulihan. Oleh karena itu program
  pembangunan kesehatan perlu ditingkatkan agar derajat kesehatan masyarakat terus
  meningkat, Angka Kematian Ibu (AKI), Angka Kematian Balita (AKB) semakin
  menurun serta Umur Harapan Hidup yang meningkat, sebagai indikator yang berperan
  dalam Human Proverti Index (HPI)

        Untuk memenuhi sebagaimana yang disebutkan tersebut beberapa upaya telah
  dilakukan Pemerintah Kota Singkawang dalam meningkatkan derajat kesehatan
  masyarakatnya mulai dari fasilitas/prasarana, sarana kesehatan, tenaga medis, para
  medis medis maupun tenaga kesehatan lainnya.

         Jumlah tenaga medis, paramedis, dan tenaga Kesehatan Lain yang ada sebanyak
  1.090 orang terdiri dari dokter umum 68 orang dokter gigi 8, dokter spesialis 18 orang,
  bidan 155 orang dan tenaga para medis 583 orang.

          Sarana/fasilitas kesehatan yang ada di Kota Singkawang pada tahun 2011 terdiri
  atas : 6 rumah sakit yang menyediakan kamar mulai dari kelas VIP Kelas I Kelas II dan
  Kelas III dengan berbagai layanan dan fasilitas penunjang medis yang tersedia sesuai
  dengan kelas/tipe rumah sakit. Jumlah Puskesmas Kecamatan ada 5 dengan 3
  Puskesmas menyediakan layanan rawat inap serta 26 Puskesmas Kelurahan. Jumlah
  apotek yang ada sebanyak 17 apotek serta 21 toko obat.

        Orang yang memberikan donor darah melalui PMI Cabang Singkawang tercatat
  sebanyak 3.219 pendonor dengan jumlah darah yang terkumpul dari berbagai golongan
  sebanyak 3.219 kantong. Persediaan darah selama tahun 2011 sebanyak 3.497 kantong,
  dengan jumlah permintaan 3.195 kantong dan darah yang rusak 36 kantong.

        Dari 5 Puskesmas Kecamatan yang ada jumlah pasien yang menjalani rawat jalan
  sebanyak 182.879 pasien, Sedangkan jumlah pasien yang menjalani rawat inap di
  2 Puskesmas Kecamatan yang memberikan layanan rawat inap sebanyak 1.022 orang.

         Pada tahun 2011 jumlah penderita demam berdarah sebanyak 36 kasus dengan
  jumlah korban meninggal dunia sebanyak 8 orang. Penderita TBC yang ditemukan pada
  tahun 2011 sebanyak 202 penderita, yang diobati 202 penderita. Untuk hasil yang
  diobatai belum dapat diketahui karena pengobatannya memerlukan waktu yang cukup
  panjang. Sedangkan kasus campak yang ditemukan sebanyak 32 kasus sementara
  cakupan imunisasi campak sebesar 91,10%.




                                                    Database Kota Singkawang Tahun 2011   | 59
Kesehatan




       Kelahiran bayi pada tahun 2011 sebanyak 3.783 kelahiran, 3.783 lahir hidup dan
22 lahir mati. Jumlah balita 20.145 dan bayi baru lahir mati (neonatal) 0. Sebab
kematian bayi, 5 karena afeksia, 10 karena BBLR dan 6 sebab lainnya. Dari hasil
pemantauan status gizi balita di Kota Singkawang diketahui 1,09 % berstatus gizi buruk,
10,11% kurang gizi, 63,41% gizi baik dan 24 % gizi lebih.. Pemantauan status gizi balita
di Kota Singkawang yang paling banyak menderita gizi baik sebanyak 1.279, 484 gizi
lebih,dan gizi kurang sebanyak 204, gizi buruk sebanyak 22 kasus.

       Akses pelayanan ibu hamil (K1) 94,1%, cakupan pelayanan ibu hamil (K4) 82,1%.
Dari 4.812 WUS Hamil + Tidak Hamil, jumlah yang mendapat imunisasi TT1 753, yang
mendapat imunisasi TT2 765. Ibu hamil yang mendapat tablet Fe1 sebanyak 4.976 dan
yang mendapat tablet Fe2 sebanyak 3.950. Dari 4.594 persalinan sebanyak 3.715
persalinan atau 80,9% ditolong tenaga kesehatan sedangkan sisanya ditolong tenaga
lainnya. Kematian ibu hamil sebanyak 1 orang yang disebabkan pendarahan 1 orang.



                                                          Tabel 7.1
                                        Indikator Kesehatan Kota Singkawang
                                             Keadaan Tahun 2009 - 2011

     No                 Uraian                   Satuan               2009            2010           2011

     1.    Umur Harapan Hidup                    Tahun          Lk/Pr : t.a.d         tad             tad
     2.    Angka Kematian Bayi                   Orang                29               24              21
     3.    Jumlah Lahir Hidup                     Bayi              3,561            4.262           3.761
           Jumlah Lahir Mati                      Bayi                29               27              22
     4.    Jumlah Balita                         Balita            18,294           19.542          20.145
           Jumlah Balita Mati                    Balita             t.a.d              2               0
     5.    Jumlah Bumil                          Orang              4,107            4.713           4.812
           Jumlah Kematian Ibu Maternal          Orang                3                2               3
     6.    Status Gizi Balita
           – Gizi Buruk                            %                  0.28           0,20            2,48
           – Gizi Kurang                           %                  10.72          11,43           10,11
           – Gizi Baik                             %                  78.11          78,30           63,41
           – Gizi Lebih                            %                    0              0              24
     7.    Jumlah Penderita DBD                  Orang                 942            94              36
     8.    Angka Bebas Jentik                      %                  52.11          47,85           64,69
     9.    Angka Kesakitan TB Baru
           – BTA Positif                         Orang               174              174            202
           – Sembuh                                %                  0                0
     10.   Penderita Diare                       Orang              6,003            6.881           8.599
     11.   Penderita Campak                      Orang               105               51             32
     12.   Penderita ISPA                        Orang             37,766           29.856          29.280
     13.   Angka Kesakitan Malaria
           – Klinis                              Orang                4,433          3.745           399
           – Positif                             Orang                 823            381            204
     11.   Penderita Campak pada Balita          Orang                  71             51             32
     12.   Penderita Gizi Buruk                  Balita                 17             12             22

     Sumber Data : Dinas Kesehatan Kota Singkawang




                                                                         Database Kota Singkawang Tahun 2011    | 60
Kesehatan



                                                                                 Tabel 7.2
                                                Jumlah Tenaga Medis, Paramedis, dan Tenaga Kesehatan Lain di Kota Singkawang
                                                                         Keadaan Tahun 2009 - 2011
                                                      Tahun 2009                                      Tahun 2010                                      Tahun 2011
No           Jenis Tenaga                              Tingkat Pendidikan                              Tingkat Pendidikan                              Tingkat Pendidikan
                                    Jumlah                                            Jumlah                                          Jumlah
                                               SLTA     D1    D3    D4      S1   S2            SLTA    D1    D3    D4       S1   S2            SLTA    D1    D3    D4       S1     S2
1     Dokter Umum                      53                                   53          61                                  61          68                                  68
2     Dokter Gigi                       5                                   5            9                                   9           8                                  8
3     Dokter Spesialis                                                                   0
      a. Bedah                         1                                         1      2                                        2       3                                          3
      b. Penyakit Dalam                2                                         2      3                                        3       3                                          3
      c. Anak                          2                                         2      2                                        2       2                                          2
      d. Obsetri dan Ginekolog         1                                         1      2                                        2       5                                          5
      e. Mata                          1                                         1      1                                        1       1                                          1
      f. Anestesi                                                                        1                                       1       1                                          1
      g. Patologi Klinik                                                                 0                                               0
      h. Orthopedi                                                                       0                                               0
      i. T H T                                                                           0                                               1                                          1
      j. Lainnya                       3                                         3      3                                        3       2                                          2
4     Perawat                         462       141          310            11         441     117          307             17          583    110           427    16      30
5     Perawat Gigi                    10         10                                     31      31                                      30      12            18
6     Bidan                           122        78           44                       126             75    51                         155     8      56     89    2
7     Penata Anestesi                  2                      2                          2                   2                           2                    2
8     Kesehatan Masyarakat            35                      15            20          14                                  14          11                                  11
9     Kesehatan Lingkungan            21                11    10                        34             26    8                          40             11     28    1
10    Farmasi                         53         18           22            13          60      26           15    3        16          66      19     1      29            17
11    Penata Gizi                     40                9     30            1           46             41    4               1          44             7      36            1
12    Fisioterapi                      5                      5                          2                   2                           7                    7
13    Penata Rontgen                   6                      6                          2                   2                           9                    9
14    Rekam Medis                      0                                                 4                   4                           2                    2
15    Tenaga Lainnya                  26         26                                    121     121                                      47      47
             Jumlah                   850       273     20   444         103     10    967     295    142   395    3    118      14    1090    196     75    647    19      135    18
     Sumber Data : Dinas Kesehatan Kota Singkawang




                                                                                                                                      Database Kota Singkawang Tahun 2011         | 61
Kesehatan




                                 Tabel 7.3
              Jumlah Tenaga Medis, Bidan dan Para Medis Praktek
                                   Di Kota Singkawang
                                Keadaan Tahun 2008 - 2011

                                                                             Tahun
    No                 Jenis Tenaga Medis Praktek
                                                          2008          2009    2010         2011
     1     Dokter Umum                                      47           44      59           68
     2     Dokter Gigi                                      11           10      13            8
     3     Dokter Spesialis                                 19           14      17           18
           a. Bedah                                          2           1           2         3
           b. Penyakit Dalam                                 2           2           3         3
           c. Anak                                           3           1           1         2
           d. Obsetri dan Ginekolog                          4           4           4         5
           e. Mata                                           1           1           1         1
           f. Anestesi                                       1           1           1         1
           g. Patologi Klinik                                1           1           1         0
           h. Radiologi                                      1           1           1         0
           i. Orthopedi                                      1           -           -         0
           k. THT                                            1           -           -         1
           i. Jiwa                                           1           1           2         2
           j. Syaraf                                         1           1           1         0
     3     Bidan                                            65           65      69           155
     4     Paramedis                                        165         165      219          583

    Sumber Data : Dinas Kesehatan Kota Singkawang




                                           Tabel 7.4
                       Sarana/Fasilitas Kesehatan Di Kota Singkawang
                                  Keadaan Tahun 2009 - 2011

No            Jenis Sarana/Fasilitas         Tahun 2009     Tahun 2010               Tahun 2011

1        Rumah Sakit                                6              6                     6

2        Puskesmas
         a. Kecamatan                               5              5                     5

         b. Kelurahan                               26             26                    26

2        Apotek                                     15             15                    17

3        Toko Obat                                  23             22                    21

4        Laboratorium Klinik                        -               -                    -

5        Klinik Bersalin                            1              1                     1

6        Balai Pengobatan Swasta                    1              1                     1

Sumber Data : Dinas Kesehatan Kota Singkawang




                                                                 Database Kota Singkawang Tahun 2011   | 62
Kesehatan




                                                        Tabel 7.5
                                               Apotek Di Kota Singkawang
                                             Keadaan Per 31 Desember 2011

No.     Nama Apotek                    Alamat                         Nama Apoteker                     Nama Pemilik

 1    Singkawang           Jl. P. Diponegoro No.55             Drs. A. Kismed. Apt.             Felix Feriyadi. SH
 2    Merdeka              Jl. P. Diponegoro No.132            Yearmiwirinar.S.Si. Apt.         Drs. Suprianto. U. Apt.
 3    Asean                Jl. P. Diponegoro No. 51            Lenny Matrona S.Si. Apt          Tjhang Tjhun Men
 4    Ganesha              Jl. P. Diponegoro No. 75            Drs. Hirson Sembiring. Apt.      Tjhang Fong Fong
 5    Singkawang I         Jl. Yos Sudarso No. 78              Drs. Hery Suryanto, Apt.         Felix Feriyadi. SH
 6    Sehat                Jl. G. M. Situt No. 29              Daud Andreas S.Farm.Apt          Daud Andreas S.Farm.Apt

 7    Sudarso              Jl. Yos Sudarso                     Christina S.Si. Apt.             Christina S.Si. Apt.

 8    Cahaya Kasih         Jl. G.M. Situt. No. 22              Liawati S.Far. Apt               Liawati S.Far. Apt
 9    Mediska              Jl. Dr. Sutomo No. 28               Firman Agus P. S. Farm Apt       Linda
10    Rakyat Elang Mas     Jl. P. Diponegoro No. 98            Arry Hariadi. S, Farm, Apt       Alex Suroto
11    Kita Farma           Jl. P. Diponegoro No.               Bertinessy S.Farm, Apt           Ebbi A Rubini
12    Mitra Farma          Jl. Jend. Sudirman No. 27           Henny Widayanti, S.Far, Apt.     Lisa Elvira Heldi
13    Daun Hijau           Jl. Pasar Turi No. 4                Thomy Alvanius,S.Si.             Thomy Alvanius,S.Si.
14    Roban                Jl. Jend. Sudirman No. 10           Suci Masithah S.Farm. Apt.       Song Hie
15    Yessika              Jl. Ratu Sepudak.( BTN POLRI )      Widia Oktavianti, S.Far, Apt.    A. Syaihus Soleh
16    Dipo Farma           Jl. P. Diponegoro No. 41            Fitriani, S.Farm, Apt            Robert Santoso
17    Citra Farma          Jl. Alianyang No. 48.B              Rita Haryani, S.Si, Apt.         Hasan, S.Pd., MM
Sumber Data : Dinas Kesehatan Kota Singkawang


                                                        Tabel 7.6
                                             Toko Obat Di Kota Singkawang
                                             Keadaan Per 31 Desember 2011

                 No.     Nama Toko Obat                     Alamat                      Nama Pemilik
                    1    RASA                   Jl. P.Diponegoro No.90              ROBERT SANTOSO
                    2    333                    Jl. P.Diponegoro No. 4              BONG WUI KHONG
                    3    1001                   Jl. Budi Utomo No. 118              BUDIMAN TOMIDI
                    4    BINTANG SELAMAT        Jl. Budi Utomo No. 72               TJEN KIE FA
                    5    APOLLO                 Jl. Budi Utomo No. 76               TJIHIA DJUN NEN
                    6    LIVITA                 Jl. Setia Budi No. 136              RUSMIN
                    7    PUSAKA                 Jl. Niaga. No. 35                   LIM DJUI TJHAN
                    8    ABADI                  Jl. Sama-sama                       Drs. Y. WONGSO
                    9    SWALLOW                Komp. Hotel Kalbar No. 2            JUYANTO
                   10    VITAL                  Jl. Hasan Saad No. 10               BONG HON KHIU
                   11    MUJARAB                Jl. Bawal No. 6                     TJHANG TJUN HIAN
                   12    AVON                   Jl. Pasar Turi No. 54               HARIYONO
                   13    MULIA JAYA             Jl. Kurau No. 48                     TJHIN KIM FU
                   14    SINAR BUDI             Jl. Kurau No.41                     DJAU KIM SIU
                   15    GUNUNG JAYA            Jl. Pasar Hulu No. 56               JTJHUNG LIAN DJONG
                   16    BIOVITA                Jl. Jend. Sudirman No. 16           BUDIANTO
                   17    KITA                   Jl. Muslimin Ismail No. 3           LIM MUI NGI
                   18    MENTARI                Jl. Tj. Batu Sakok No. 44 A         HIU CIN KIONG
                   19    SENTOSA                Jl. G.M. Situt No. 12. A            DJAU KIM SEN
                   20    FLORA MEDIKA           Jl. Hasan Saad No. 23               LIM SUN KHIN
                   21    SEHAT                  Jl. Kalimantan                      MULYADI
                 Sumber Data : Dinas Kesehatan Kota Singkawang




                                                                              Database Kota Singkawang Tahun 2011            | 63
Kesehatan




                                                                                     Tabel 7.7
                                                                Rumah Sakit Di Singkawang
                                                           Keadaan Per 31 Desember 2011

     No        Nama Rumah Sakit                                        Alamat                                                       Tipe/Kelas                                       Nama Direktur
     1      RSUD Dr. Abdul Aziz          Jl. Dr. Sutomo No. 28 Singkawang                                                                   B                     Dr. Carlos Dja'afara, M.Kes.
     2      RS. D K T TK. IV             Jl. Perwira.H. 15. Singkawang.                                                               D / IV                      Dr. Andi Eko H.L.
     3      R.S Harapan Bersama          Jl. P. Belitung. No. 61. Singkawang                                                         Pratama                      Dr. Robert Haryanto , MA, C. Ht.
     4      RS Santo Vinsensius          Jl. P. Diponegoro.No. 5 Singkawang                                                          Pratama                      Dr. Husin Basir, M.Sc, M.Kes.
     5      RS Kusta Alverno.            Jl. Gunung Sari No. 70. Singkawang                                                                 D                     Dr. Hj. Edi Hermeni. Sp. Kj.
     6      RS. Jiwa                     Jl.Raya Singkawang-Bengkayang Km.15                                                                A                     Drg. Oskar Primadi, MPH

     Sumber Data : Dinas Kesehatan Kota Singkawang



                                                                                        Tabel 7.8
                                   Harga Kamar Rumah Sakit Di Kota Singkawang Berdasarkan Kelas
                                                            Keadaan Per 31 Desember 2011

                                                                                                         Kelas Kamar Perawatan
                                             VIP                                                Kelas 1                                                     Kelas 2                                      Kelas 3
No       Nama Rumah Sakit
                                          Jumlah           Harga                           Jumlah               Harga                        Jumlah                                Harga                 Jumlah        Harga
                                   Jumlah                               Jumlah                                                        Jumlah                                                 Jumlah
                                          Tempat          Kamar/                           Tempat              Kamar/                        Tempat                               Kamar/                 Tempat       Kamar/
                                   Kamar                                Kamar                                                         Kamar                                                  Kamar
                                           Tidur          Malam                             Tidur              Malam                          Tidur                               Malam                   Tidur       Malam

1     RSUD Dr. Abdul Aziz            -       -              -                    -               8                       -                    -                  30                 -            -         59           -

2     RS. D K T                      7       7         140.000                   -               7              90.000                                           3                65.000                      10      35.000

3     R.S Harapan Bersama            7       7         200.000                   -               7            150.000                                            20               75.000                      17      35.000

4     R.S Vinsensius                14      14         345.000                   9               11           170.000                             6              11               125.000        4            25      75.000

5     RSJ. Buduk                     -       -              -                    -               -                       -                        -              -                   -           -            36      30.000

6     RS. Kusta                      -       -              -                    -               -                       -                        -              -                   -           42       120         Gratis

Sumber Data : Dinas Kesehatan Kota Singkawang



                                                                                     Tabel 7.9
                  Jenis Pelayanan Rumah Sakit Di Kota Singkawang Berdasarkan Poliklinik Yang Tersedia
                                                           Keadaan Per 31 Desember 2011

                                                                          Jenis Pelayanan Berdasarkan Poliklinik Yang Tersedia

                                                                                                          Poliklinik
                                                                                                         Kebidanan dan




          No         Nama Rumah Sakit
                                                                                                           Kandungan




                                                                                                                                                                      Orthopedi
                                                                                     Penyakit




                                                                                                                                       Anestesi

                                                                                                                                                      Patologi




                                                                                                                                                                                                      Lainnya
                                                   Umum




                                                                                      Dalam
                                                                         Bedah




                                                                                                                                                       Klinik
                                                                                                  Anak




                                                                                                                             Mata
                                                                Gigi




                                                                                                                                                                                  THT       KB



           1      RSUD Dr. Abdul Aziz              X            X        X             X          X         X                X         X                X                                   X
           2      RS. D K T                        X                                                                                                                                        X
           3      R.S Harapan Bersama              X            X                                 X         X                                                                               X
           4      R.S Vinsensius                   X            X        X             X          X         X                          X                                                    X
           5      RSJ. Buduk                       X            X                                                                                                                                      jiwa
           6      RS. Kusta                        X

          Sumber Data : Dinas Kesehatan Kota Singkawang




                                                                                                                                    Database Kota Singkawang Tahun 2011                                               | 64
Kesehatan




                                                               Tabel 7.10
                                   Fasilitas Pelayanan Penunjang Medis Rumah Sakit Di Kota Singkawang
                                                      Keadaan Per 31 Desember 2011

                                                RSUD Dr. Abdul                                           R. S Harapan                                R. S
                                                                             R.S D K T                                                                                   R. S. J. Buduk                             R. S Kusta
                                                     Aziz                                                   Bersama                              Vinsensius
       No          Jenis Fasilitas
                                                        Tidak                               Tidak               Tidak                                   Tidak                                      Tidak                                 Tidak
                                                 Ada                        Ada                          Ada                                     Ada                            Ada                              Ada
                                                         Ada                                 Ada                 Ada                                     Ada                                        Ada                                   Ada
        1       Laboratotium Klinik                X                             X                              X                                 X                                    X                                  X
        2       Farmasi (Apotek)                   X                             X                              X                                 X                                    X                                  X
        3       Rehabilitasi Medik                 X                             X                                                     X          X                                    X                                  X
        4       Radiologi                          X                             X                              X                                 X                                    X                                                          X
        5       Bank Darah                         X                                         X                                         X                       X                                     X                                            X
                Instalasi Gawat
        6                                          X                             X                                                     X          X                                    X                                  X
                Darurat
        7       Ventilator                         X                             X                              X                                 X                                                  X                                            X
        8       USG                                X                             X                              X                                 X                                                  X                                            X
        9       EKG                                X                             X                              X                                 X                                    X                                  X
       10       Lainnya                            X                                         X                                         X          X                                                  X                    X

       Sumber Data : Dinas Kesehatan Kota Singkawang




                                                      Tabel 7.11
                Jumlah Tenaga Medis, dan Paramedis Tenaga Kesehatan Lain Di Rumah Sakit Di Kota Singkawang
                                           Keadaan Tahun 2009, 2010 dan 2011
                                                                     Jumlah Tenaga Medis, Paramedis dan Tenaga Kesehatan Lain




                                                                                                                                                                                                                 Kesehatan Lingkungan
                                                                        Dokter




                                                                                                                                                                                                                                                                        Teknis Medis Lain
                                                                                     Spesialis                                                                          Perawat Gigi




                                                                                                                                                                                                    Masyarakat
                                                                                                                                                                                                    Kesehatan
     Nama Rumah
                                                                                                                                                              Perawat




                                                                                                                                                                                                                                        Farmasi
No




                                                                                                                                                                                                                                                               Terapi
                                                                                                         Patologi Klinik




        Sakit                                                                                                                                                                              Bidan




                                                                                                                                                                                                                                                       Gizi
                            Umum




                                                                                                                           Orthopedi
                                                                     Ginikelog
                                                   Penyakit




                                                                                              Anestesi
                                    Gigi




                                                                     Obstetri




                                                                                                                                                   lainnya
                                                    Dalam
                                           Bedah




                                                                                                                                           THT
                                                                                     Mata
                                                              Anak




1           2               3        4     5           6      7        8             9        10         11                12              13      14         15        16                 17         18         19                     20            21       22       23
Tahun 2009
     RSUD Dr.
1                            -       -      -          -      -         -            -         -            -                -             -        -          -          -                 -          -             -                   -             -        -          -
     Abdul Aziz
2    RS. D K T              2        -      -          -      -         -            -         -            -               -              -        -         28          -                4           -            -                   2              1        -          -
     R.S Harapan
3                           3        1      -          -      -        1             -         -            -               -              -        -         33          -                5           -           2                    3              2        1        2
     Bersama
4    R.S Vinsensius         5        -      -          -      -         -            -         -            -               -              -        -         51          -                4                       1                    2              1        1         5
5    RSJ. Buduk             5        -      -          -      -         -            -         -            -               -              -       2         125          -                            1           4                    4              6        1         6
6    RS. Kusta               -       -      -          -      -         -            -         -            -               -              -       1          4           -                1           -            -                    -             -        -          -
Tahun 2010
     RSUD Dr.               17       2                                                                                                                       131         4
1                                           -          -      -         -            -         -            -               -              -        -                                       -          -             -                   -             -        -          -
     Abdul Aziz
2    RS. D K T              7        0      -          -      -         -            -         -            -               -              -        -         35         1                 4           -             -                  2              1        -          -
     R.S Harapan            3        1                                 1                                                                                      35          -                5           -           2                    3              2        1         2
3                                           -          -      -                      -         -            -                -             -        -
     Bersama
4    R.S Vinsensius         6        0      -          -      -         -            -         -            -               -              -        -         49          -                4           -           1                    2              1        1         5
5    RSJ. Buduk             5        2      -          -      -         -            -         -            -               -              -       2         112          -                 -          1           4                    4              6        1         6
6    RS. Kusta              1        0      -          -      -         -            -         -            -               -              -       1          4           -                1           -             -                   -             -        -          -



                                                                                                                                                 Database Kota Singkawang Tahun 2011                                                                          | 65
Kesehatan




1            2          3     4     5    6      7    8    9      10    11   12   13        14    15         16   17    18      19   20   21    22    23
Tahun 2011
    RSUD Dr.
1                      18     1     2    3      1    2    1      1     0    0        1     0     152        4    32     0       6   15   11     4    2
    Abdul Aziz
2   RS. D K T           4     0     1    0      0    0    0      0     0    0        0     0     34         1    3      0       0   5     1     0    0
    R.S Harapan
3                       4     0     0    0      1    2    0      0     0    0        0     0     48         0    15     0       0   2     0     1    0
    Bersama
4   R.S Vinsensius      8     1     0    0      0    1    0      0     0    0        0     0     63         1    6      0       0   2     0     1    0
5   RSJ. Buduk          8     1     0    0      0    0    0      0     0    0        0     1     174        8    0      0       6   4     9     1    1
6   RS. Kusta           1     0     0    0      0    0    0      0     0    0        0     1      4         0    1      0       0   0     0     0    0
Sumber Data : Dinas Kesehatan Kota Singkawang




                                                               Tabel 7.12
                                                 Jumlah Pasien RSUD Dr. Abdu Aziz
                                             Berdasarkan Jenis Rawatan dan Daerah Asal
                                                     Keadaan Tahun 2008 - 2011

                 No     Jenis Rawat / Daerah Asal        Tahun 2008         Tahun 2009          Tahun 2010           Tahun 2011
                 1    Rawat Jalan                             30,842             -                29.563               30.527
                      a.Singkawang                            20,754             -                21.581               21.464
                      b. Sambas                               5,676              -                4.020                4.178
                      c. Bengkayang                           3,804              -                3.373                4.098
                      d. Daerah Lain                           608               -                    589               787
                 2    Rawat Inap                              8,857              -                7.348                8.671
                      a.Singkawang                            5,124              -                4.599                5.341
                      b. Sambas                               1,891              -                1.282                1.435
                      c. Bengkayang                           1,610              -                1.239                1.606
                      d. Daerah Lain                           232               -                    228               289
                 3    Rawat Inap Meninggal                     490               -                    328               374
                      a.Singkawang                             242               -                    182               202
                      b. Sambas                                142               -                     83                88
                      c. Bengkayang                            86                -                     57                70
                      d. Daerah Lain                           20                -                     6                 14
                 4    Rawat Inap Hidup                        8,367              -                7.020                8.297
                      a.Singkawang                            4882               -                4.417                5.134
                      b. Sambas                               1749               -                1.199                1.348
                      c. Bengkayang                           1524               -                1.182                1.536
                      d. Daerah Lain                           212               -                    222               275

                 Sumber Data : RSUD Dr. Abdul Aziz




                                                                                         Database Kota Singkawang Tahun 2011                  | 66
Kesehatan




                                                                  Tabel 7.13
                                10 Jenis Penyakit Rawat Jalan Yang Dominan Di RSUD Dr. Abdul Aziz
                                Berdasarkan Bulan dan Jumlah Pasien Sesuai Dengan Jenis Penyakit
                                                       Keadaan Per 31 Desember 2011

                                                                           Jenis Penyakit
 No.         Bulan                       Pulpitis   DM Non    Gangguan                                            Karies
                           Hypertensi                                      TB Paru     ISPA        Dyspepsia                Dislipedimia        Febris
                                          Gigi      Insulin    Refraksi                                           Dental
 1        Januari             308          200        165        122         152        123           73            66            57              36
 2        Pebruari            269          149        157        131         112        136           57            62            40              49
 3        Maret               301          175        155        214         126        102           65            65            61              35
 4        April               281          190        138        173         110        113           55            57            42              20
 5        Mei                 264          229        170        126         113        86            72            75            39              46
 6        Juni                273          236        161        128         92         90            80            77            56              24
 7        Juli                324          353        164        137         95         88            77            81            51              36
 8        Agustus             218          288        149         95         69         77            66            79            32              35
 9        September           291          244        174         91         85         76            79            41            44              35
 10       Oktober             281          220        179        125         74         97            85            57            28              36
 11       November            350          319        191        128         81         113           67            57            49              34
 12       Desember            283          283        185         95         95         73            70            84            32              36
          Jumlah              3443         2886      1988        1565       1204       1174           846           801           531             422

Sumber Data : RSUD Dr. Abdul Aziz




                                                                   Tabel 7.14
                                 10 Jenis Penyakit Rawat Inap Yang Dominan di RSUD Dr. Abdul Aziz
                                 Berdasarkan Bulan dan Jumlah Pasien Sesuai Dengan Jenis Penyakit
                                                        Keadaan Per 31 Desember 2011

                                                                             Jenis Penyakit
  No.              Bulan                            Trauma                              Infection     Soft Tissue                               Asma
                              Diare     Asphexia              Hypertensi   Gastritis                                  Dyspepsia        HIL
                                                    Kapitis                               Birth         Tumor                                    BR

      1     Januari             33         21          30         22           20             8             12             12           12        14
      2     Pebruari            56          5          32         20           20             3             18             4            4         12
      3     Maret               48         10          19         18           16             6             15             8            8         2
      4     April               69         46          21         19           18             14            12             13           13        8
      5     Mei                 53         39          33         11           13             23             9             11           11        9
      6     Juni                32         45          42         18           12             22            23             10           10        8
      7     Juli                49         25          27         30           14             13            15             16           16        2
      8     Agustus             51         50          31         16           14             13            19             3            3         9
      9     September           53         71          38         13           12             37             8             6            6         11
     10     Oktober             46         71          31         14           18             11            17             12           12        13
     11     November            34         47          43         26           14             23            11             13           13        7
     12     Desember            31         56          34         19            8             2              6             6            6         13
            Jumlah             555         486        381         226         179            175            165            114         114       108

 Sumber Data : RSUD Dr. Abdul Aziz




                                                                                       Database Kota Singkawang Tahun 2011                      | 67
Kesehatan




                                                                  Tabel 7.15
                      10 Jenis Penyakit Penyebab Kematian Yang Dominan Di RSUD Dr. Abdul Aziz
           Berdasarkan Bulan dan Jumlah Pasien Sesuai Dengan Jenis Penyakit Penyebab Kematian
                                     Keadaan Per 31 Desember 2011

                                                                                Jenis Penyakit
  No.           Bulan                                AIDS / HIV                                                                     Meningo
                            Asphexia            SH                   DC        Sepsis     AMI       SNH   HMD      AIDS / HIV
                                                     dg TB Paru                                                                   encephalitis
   1     Januari                    3            1       3           0            1        1         1      0          0               3
   2     Pebruari                   5            2       0           1            0        1         1      1          0               1
   3     Maret                      2            2       1           2            0        0         0      0          1               0
   4     April                      2            3       2           4            0        0         1      3          1               0
   5     Mei                        3            1       0           1            2        1         1      3          2               0
   6     Juni                       1            5       0           2            0        3         1      0          2               1
   7     Juli                       4            3       2           1            2        3         4      0          1               1
   8     Agustus                    2            4       2           1            1        0         3      0          1               1
   9     September                  5            2       1           2            3        0         0      2          1               0
  10     Oktober                    1            2       2           1            2        1         0      0          0               1
  11     November                   1            3       3           0            0        1         1      2          2               1
  12     Desember                   2            1       1           1            2        2         0      2          1               2
         Jumlah                     31          29      17           16         13        13        13     13         12              11

Sumber Data : RSUD Dr. Abdul Aziz


                                                                  Tabel 7.16
                         Jumlah Donor Darah Di Kota Singkawang Berdasarkan Golongan Darah
                                                      Keadaan Tahun 2009 - 2011
                                                        Darah Yang Dihimpun Berdasarkan Golongan
                                         Jumlah                         (Kantong)                                      Jumlah
                 No     Tahun
                                          Donor                                                                       (Kantong)
                                                             A             B                   AB          O
                  1     2009              3,859         1,127             1,032             284           1,312         3,755

                  2     2010              2.996          718              860               250           1.168         2.996

                  3     2011              3.219          839              966               248           1.166         3.219

                 Sumber Data : Markas Cabang PMI Kota Singkawang



                                                                  Tabel 7.17
                                                Ketersediaan Darah dan Permintaan Darah
                                                             Di Kota Singkawang
                                                      Keadaan Tahun 2009 - 2011

                                                         Jumlah                     Jumlah                 Darah
                               No        Tahun         Persediaan                 Permintaan               Rusak
                                                       Darah (ktg)                Darah (ktg)              (ktg)
                                1        2009            4,087                          3,779               69

                                2        2010            2.996                          2.955               25

                                3        2011            3.497                          3.195               36

                               Sumber Data : Markas Cabang PMI Kota Singkawang




                                                                                                Database Kota Singkawang Tahun 2011              | 68
Kesehatan




                                                                Tabel 7.18
                                         Jumlah Puskesmas Kecamatan Di Singkawang
                                                  Keadaan Per 31 Desember 2011
                                                                                           Jenis
                                                                                         Puskesmas                       Jumlah            Nama
                                                                                                         Jumlah
No       Nama Puskesmas                  Alamat                   Wilayah Kerja                                          Tempat            Kepala




                                                                                         Rawat


                                                                                                 Rawat
                                                                                         Jalan
                                                                                                         Kamar




                                                                                                  Inap
                                                                                                                          Tidur          Puskesmas


                              Jl. Raya Pasir Panjang            Kecamatan                                                               Henry Tri
1    Singkawang Selatan       Lirang Kode Pos 79251 telp.       Singkawang                        X            4             7
                                                                                                                                        Purwati, SKM
                              (0562) 3634009                    Selatan
                              Jl. Ratu Sepudak Kode Pos         Kecamatan                         X            3             9          Mulyadi, SKM
2    Singkawang Utara
                              79151 telp. (0562) 632997         Singkawang Utara
                              Jl. Salam Diman No.1 Kode         Kecamatan
3    Singkawang Tengah        Pos 79112 telp. (0562)            Singkawang                X                    -             -          Mursalin, SKM
                              631647                            Tengah
                              Jl. Alianyang Kode Pos            Kecamatan                                                               Kasmono,
4    Singkawang Barat                                                                     X                    -             -
                              79123 telp. (0562) 3307431        Singkawang Barat                                                        SKM
                              Jl. Raya Pajintan No.21           Kecamatan                                                               Edita Acu,
5    Singkawang Timur         Kode Pos 7925 telp. (0562)        Singkawang                        X            5             10
                                                                                                                                        SKM
                              641517                            Timur

Sumber Data : Dinas Kesehatan Kota Singkawang



                                                                Tabel 7.19
                          Nama Puskesmas dan Jenis Pelayanan Puskesmas Di Kota Singkawang
                                                  Keadaan Per 31 Desember 2011
                                                                Jenis Pelayanan Berdasarkan Poliklinik Yang Tersedia

                 No             Nama Puskesmas                                            Poliklinik

                                                                Umum         Gigi       Mata     KIA      KB         Gizi
                  1     Singkawang Selatan                         X          X                    X       X             X
                  2     Singkawang Utara                           X          X                    X       X             X
                  3     Singkawang Tengah                          X          X          X         X       X             X
                  4     Singkawang Barat                           X          X                    X       X             X
                  5     Singkawang Timur                           X          X                    X       X             X

                 Sumber Data : Dinas Kesehatan Kota Singkawang

                                                                Tabel 7.20
                                       Fasilitas Pelayanan Penunjang Medis Di Puskesmas
                                                  Keadaan Per 31 Desember 2011

                                Laboratotium       Farmasi       Rehabilitasi
                                                                                        IGD       Ventilator         USG                EKG
                                   Klinik          (Apotek)        Medik
     No     Nama Puskesmas
                                          Tidak         Tidak          Tidak             Tidak           Tidak            Tidak            Tidak
                                  Ada             Ada            Ada              Ada             Ada              Ada             Ada
                                           Ada          Ada             Ada               Ada            Ada                 Ada            Ada
     1     Singkawang Selatan      X               X                     X          X                     X                   X     X
     2     Singkawang Utara        X               X                     X          X                      X                  X     X
     3     Singkawang Tengah       X               X                     X          X                      X                  X     X
     4     Singkawang Barat        X               X                     X          X                      X                  X     X
     5     Singkawang Timur        X               X                     X          X                      X                  X     X

     Sumber Data : Dinas Kesehatan Kota Singkawang




                                                                                          Database Kota Singkawang Tahun 2011                     | 69
Kesehatan




                                                                 Tabel 7.21
                                                    Tenaga Yang Ada Di Puskesmas
                           Berdasarkan Nama Puskesmas, Jumlah Tenaga Medis dan Paramedis
                                                      Keadaan Tahun 2009 - 2011

                                                     Jumlah Tenaga Medis, Paramedis dan Tenaga Kesehatan Lain
No     Nama Puskesmas            Dokter                                                                                          Teknis
                                                           Perawat              Kesehatan        Kesehatan
                                                Perawat               Bidan                                   Farmasi   Gizi     Medis
                             Umum     Gigi                   Gigi               Masyarakat       Lingkungan
                                                                                                                                  Lain
1    Singkawang Selatan         4         0         23           3      19          2                4            5      6         3
2    Singkawang Utara           6         1         25           3      20          1                4            7      5         2
3    Singkawang Tengah          6         1         25           7      24          1                7            7      4         5
4    Singkawang Barat           5         0         13           2      12          1                5            4      3         2
5    Singkawang Timur           4         1         20           1      21          2                3            6      3         2
             Jumlah 2011        25        3         106          16    96           7               23          29      21        14
             Jumlah 2010        20        3         95           15    82           5               19          23      19         0
             Jumlah 2009        18        2         105          9     85          22                8          23      17        12
Sumber Data : Dinas Kesehatan Kota Singkawang




                                                                 Tabel 7.22
                                              Jumlah Pasien Rawat Jalan dan Rawat Inap
                                          Di Puskesmas Kecamatan Di Kota Singkawang
                                                      Keadaan Tahun 2009 - 2011

                                                Tahun 2009                    Tahun 2010                       Tahun 2011

       N0      Nama Puskesmas                Jumah Pasien                   Jumlah Pasien                    Jumlah Pasien
                                          Rawat        Rawat            Rawat         Rawat               Rawat         Rawat
                                          Jalan         Inap             Jalan         Jalan              Jalan         Jalan
        1    Singkawang Selatan           18,457           283          24.019          539              51.880           709
        2    Singkawang Utara             19,867           112          16.010             94            15.987           307
        3    Singkawang Tengah            100,784            -          92.096               0           74.831              0
        4    Singkawang Timur              8,370             -          6.902              19            25.842              6
        5    Singakwang Barat             28,142             -          14.358               0           14.339              0
                           Jumlah     175,620             395          153.385           652             182.879         1.022

       Sumber Data : Diolah Bagian PDE Setda Kota Singkawang




                                                                                     Database Kota Singkawang Tahun 2011            | 70
Kesehatan




                                                                              Tabel 7.23
                                           Jenis Penyakit Rawat Jalan Yang Dominan Di Puskesmas
                                       Berdasarkan Jenis Penyakit dan Jumlah Pasien Setiap Puskesmas
                                                        Keadaan Tahun 2010 - 2011


                                                                               Tahun 2010                                                          Tahun 2011
                                                                          Nama Puskesmas                                                     Nama Puskesmas




                                                    Singkawang



                                                                 Singkawang



                                                                                  Singkawang



                                                                                               Singkawang



                                                                                                            Singkawang



                                                                                                                         Singkawang



                                                                                                                                      Singkawang



                                                                                                                                                      Singkawang



                                                                                                                                                                   Singkawang



                                                                                                                                                                                Singkawang
No    Jenis Penyakit Rawat Jalan Yang Dominan




                                                      Selatan




                                                                                                                           Selatan
                                                                                    Tengah




                                                                                                                                                        Tengah
                                                                                                  Timur




                                                                                                                                                                      Timur
                                                                    Utara




                                                                                                                                         Utara
                                                                                                               Barat




                                                                                                                                                                                   Barat
 1   ISPA Acut tidak Spesifik                      4.012         7.676           6.540         7.304        4.324        8.281        5.960          6.887         4.901        3.251
 2   Gejala dan tanda umum lainnya                     -            -                -         6.338           -         2.224        1.519          2.576         12.189         74
 3   Hipertensi Primer( esensial )                 1.359         1.192           9.612         2.249        1.179        1.865        1.482          8.395         2.530        1.216
 4   Influensa                                     1.535         971             3.056         5.411        704          1.938        1.329          2.319         5.175        674
 5   Batuk                                             -            -                -            -            -         1.966        1.332          3.325         3.391          37
 6   Rematisme                                     1.415            -            5.107         2.996        518          1.825        511            3.774         2.429        126
 7   Diare dan Gastro Enteritis                    1.498         1.393               -         2.336        396          2.824        1.715          1.342         2.315        403
 8   Demam Yg tidak diketahui sebabnya                 -            -                -            -            -         2.020        1.542          2.122         2.333        490
 9   Sakit Kepala                                      -            -                -            -            -         1.550        886            1.464         3.805          38
10   Tukak Lambung                                     -            -                -            -            -         3.510        1.460            120         1.187        867
11   Gastroduodenitis tidak spesifik                   -            -                -            -            -           95         1.270          4.394          545         191
12   Dermatitis Kontak Alergik Tidak Spesifik          -            -                -            -            -         1.447        1.061          1.523         1.620        431

Sumber Data : Dinas Kesehatan Kota Singkawang




                                                                                                                                             Database Kota Singkawang Tahun 2011                | 71
Kesehatan




                                                                Tabel 7.24
                                      Jenis Penyakit Rawat Inap Yang Dominan
                                         Pada Puskesmas Di Kota Singkawang
                                               Keadaan Tahun 2009 - 2011

                                                            Tahun 2009                                    Tahun 2010                               Tahun 2011
                                                      Nama Puskesmas                                Nama Puskesmas                            Nama Puskesmas
      Jenis Penyakit Rawat Jalan Yang




                                               Singkawang




                                                                Singkawang



                                                                             Singkawang



                                                                                             Singkawang




                                                                                                                Singkawang



                                                                                                                               Singkawang


                                                                                                                                            Singkawang


                                                                                                                                                         Singkawang


                                                                                                                                                                      Singkawang
No




                                                 Selatan




                                                                                               Selatan




                                                                                                                                              Selatan
                 Dominan




                                                                                Timur




                                                                                                                                  Timur




                                                                                                                                                                         Timur
                                                                   Utara




                                                                                                                   Utara




                                                                                                                                                            Utara
1    ISPA                                         -                  -          -               -                  -              -            -             -           -
2    Peny. Sistem Otot & Jar                      -                  -          -               -                  -              -            -             -           -
3    Peny Tek darah tinggi                        -                  -          -               -                  -              -            -             -           -
4    Peny lain Saluran Pernaf Atas                -                  -          -               -                  -              -            -             -           -
5    Peny Kulit Infeksi                           -                  -          -               -                  -              -            -             -           -
6    Peny Kulit Alergi                            -                  -          -               -                  -              -            -             -           -
7    Diare                                        4               15            -               4                 15              -            -             -           -
8    Peny Pulpa & Jar Priapkl                     -                  -          -               -                  -              -            -             -           -
9    Peny Mata Lain                               -                  -          -               -                  -              -            -             -           -
10   Malaria Klinis                               -                  6          -               -                  6              -            -             -           -
11   Peny Lain Saluran Pernaf Bawah               -                  -          -               -                  -              -            -             -           -
Sumber Data : Diolah Bagian PDE Setda Kota Singkawang




                                                                Tabel 7.25
                                     Kasus Demam Berdarah Di Kota Singkawang
                                               Keadaan Tahun 2009 - 2011

                                            Tahun 2009                                    Tahun 2010                                   Tahun 2011
     No           Kecamatan                   Jumlah                                        Jumlah                                       Jumlah
                                      Penderita              Meninggal       Penderita               Meninggal               Penderita             Meninggal
      1      Singkawang Selatan          208                    0                    15                     1                      7                     8
      2      Singkawang Utara             90                    1                    14                                            9                     0
      3      Singkawang Tengah           292                    5                    33                     1                      3                     0
      4      Singkawang Timur             57                     0                    4                                          11                      0
      5      Singkawang Barat            295                    4                    28                     1                      2                     0
                 Jumlah                  942                    10                  94                      3                    36                      8

     Sumber Data : Dinas Kesehatan Kota Singkawang




                                                                                                 Database Kota Singkawang Tahun 2011                                           | 72
Kesehatan




                                                             Tabel 7.26
                                Penderita TBC Paru Yang Ditemukan Di Kota Singkawang
                                                  Keadaan Tahun 2009 - 2011

                                           Tahun 2009                             Tahun 2010                          Tahun 2011
No        Kecamatan
                                               Yang       Yang                       Yang        Yang                    Yang    Yang
                               Penderita                              Penderita                           Penderita
                                              Diobati    Sembuh                     Diobati     Sembuh                  Diobati Sembuh
1    Singkawang Selatan            16           16          10           18           18          -              8         8       -

2    Singkawang Utara              36           36          34           25           25          -              12       12       -

3    Singkawang Tengah             46           46          44           64           64          -              71       71       -

4    Singkawang Timur              27           27          25           19           19          -              15       15       -

5    Singkawang Barat              47           47          46           48           48          -              96       96       -

         Jumlah                   172           172        159           174         174          -          202          202      -


Sumber Data : Dinas Kesehatan Kota Singkawang
Keterangan : Angka kesembuhan penderita TBC tahun 2009 baru bisa diketahui pada akhir tahun 2010 karena pengobatannya Jangka
              Panjang



                                                             Tabel 7.27
                             Kasus Campak Pada Balita Yang Terdeteksi Di Kota Singkawang
                                                  Keadaan Tahun 2009 - 2011


                                                                          Jumlah Penderita (kasus)
                 No               Kecamatan
                                                            Tahun 2009              Tahun 2010           Tahun 2011
                  1        Singkawang Selatan                     18                    18                   9
                  2        Singkawang Utara                       19                       19                4
                  3        Singkawang Tengah                      14                       14                11
                  4        Singkawang Timur                       18                       18                1
                  5        Singkawang Barat                       2                        2                 7
                                Jumlah                            71                       71                32

                Sumber Data : Dinas Kesehatan Kota Singkawang




                                                             Tabel 7.28
                                    Imunisasi Campak Pada Bayi Di Kota Singkawang
                                                  Keadaan Tahun 2009 - 2011

                                                                           Cakupan Imunisasi
                      No         Kecamatan
                                                        Tahun 2009 ( %)        Tahun 2010 (%)     Tahun 2011 (%)
                      1     Singkawang Selatan              98,85                  118,27                96,50
                      2     Singkawang Utara                101,94                 106,42                95,40
                      3     Singkawang Tengah               92,46                  128,33                98,40
                      4     Singkawang Timur                99,57                  122,65                92,00
                      5     Singkawang Barat                69,01                   62,12                73,20
                                Jumlah                      89,27                  105,06                91,10
                      Sumber Data : Dinas Kesehatan Kota Singkawang




                                                                                      Database Kota Singkawang Tahun 2011              | 73
Kesehatan




                                                              Tabel 7.29
                            Jumlah Kelahiran dan Kematian Bayi dan Balita Di Kota Singkawang
                                                   Keadaan Per 31 Desember 2011
                                                           Jumlah Bayi
                                                                                        Jumlah                            Jumlah
                                                                          Lahir                          Jumlah
                 No         Kecamatan              Lahir     Lahir                       Bayi                              Balita
                                                                         Hidup +                          Balita
                                                   Hidup     Mati                        Mati                               Mati
                                                                        Lahir Mati
                  1     Singkawang Selatan          859        2           861               2            4.571               0
                  2     Singkawang Utara            461        5           466               8            2.383               0
                  3     Singkawang Tengah          1.152      15          1.167              8            6.142               0
                  4     Singkawang Timur            363        0           363               2            2.078               0
                  5     Singkawang Barat            948        0           948               1            4.971               0
                               Jumlah 2011         3.783      22          3.805             21           20.145               0
                               Jumlah 2010         4.262      27          4.289             24           19.542               2
                                Jumlah 2009        3,561      15          3,576             29           18,294               tad

                 Sumber Data : Dinas Kesehatan Kota Singkawang




                                                              Tabel 7.30
                                  Jumlah Kematian Neonatal (Baru Lahir) Di Kota Singkawang
                                                      Keadaan Tahun 2009 - 2011

                                                Tahun 2009                       Tahun 2010                               Tahun 2011
     No          Kecamatan                  Penyebab Kematian               Penyebab Kematian                          Penyebab Kematian
                                       Asfiksia     BBLR   Lainnya       Asfiksia     BBLR       Lainnya     Asfiksia          BBLR       Lainnya
      1    Singkawang Selatan               -         -           1         1          1            3              0                0         2
      2    Singkawang Utara                 -         2           -         -          2            -              0                6         2
      3    Singkawang Tengah                1         7           6         -          5            2              4                3         1
      4    Singkawang Timur                 -         1           -         -          2            -              0                1         1
      5    Singkawang Barat                 3         4           4         1          2            5              1                0         0
                            Jumlah          4         14      11            2          12           10             5              10          6

     Sumber Data : Dinas Kesehatan Kota Singkawang



                                                              Tabel 7.31
                                      Pemantauan Status Gizi Balita Di Kota Singkawang
                                                      Keadaan Tahun 2009 - 2011
                                       Tahun 2009                                   Tahun 2010                                      Tahun 2011
No        Kecamatan                     Status Gizi                               Status Gizi (%)                                 Status Gizi (%)
                           Buruk     Kurang       Baik     Lebih      Buruk     Kurang       Baik        Lebih Buruk Kurang Baik                    Lebih
1    Singkawang Selatan     0.45      7.99        77,17    17,05        3,25       9,02       83,88       14,32 0,2   10,62 77,56                   8,42
2    Singkawang Utara         0      11.96        71,83    0,13         7,06        22,32        64,41     3,85 2,11 12,47 65,96                    19,45
3    Singkawang Tengah      0.22      9.63        74,70     3,3         2,93         7,58        80,44     9,05 0,41  4,07  33,40                   61,71
4    Singkawang Timur       0.76     33.03        75,21    2,58         4,84        10,32        70,53      3,56       0,33     14,33     73,29     8,79
5    Singkawang Barat       0.27      2.6         90,68    4,09         4,98        16,01        75,44      6,21       3,24     11,34     77,33     8,10
                 Jumlah     0,28     10,72        78,11    5,16        4,37         12,07    76,13         7,21 1,09           10,11      63,41     24,00

Sumber Data : Dinas Kesehatan Kota Singkawang




                                                                                        Database Kota Singkawang Tahun 2011                         | 74
Kesehatan




                                                          Tabel 7.32
                                        Pemantauan Status Gizi Balita Di Kota Singkawang
                                                   Keadaan Per 31 Desember 2011
                                                                                               Balita
              No           Kecamatan                  Gizi Lebih             Gizi Baik                  Gizi Kurang               Gizi Buruk
                                                 Jumlah           %       Jumlah           %        Jumlah           %       Jumlah        %
               1   Singkawang Selatan             42             8,42       387          77,56          53         10,62          1        0,2
               2   Singkawang Utara               92          19,45         312          65,96          59         12,47          10      2,11
               3   Singkawang Tengah              303         61,71         164           33,4          20         4,07           2       0,41
               4   Singkawang Timur               27             8,79       225          73,29          44         14,33          1       0,33
               5   Singkawang Barat               20             8,10       191          77,33          28         11,34          8       3,24
                      Jumlah 2011                 484         24,00        1.279         63,41          204        10,11          22      1,09

            Sumber Data : Dinas Kesehatan Kota Singkawang




                                                                        Tabel 7.33
                        Jumlah Bayi Di Kota Singkawang Yang Mendapat Imunisasi dan Jenis Imunisasi
                                                      Keadaan Per 31 Desember 2011
                                                                                           Imunisasi
                              Jumlah                                                                                                                           DO
No          Kecamatan                           BCG                   DPT1+HB1             DPT3+HB3                  POLIO3               CAMPAK
                               Bayi                                                                                                                            (%)
                                        Jumlah        %       Jumlah         %           Jumlah         %        Jumlah     %          Jumlah         %
1       Singkawang Selatan     993       1.073        108         911        92            812          82        895        90         958           96       5,2
2       Singkawang Utara       518        523         101         496        96            465          90        476       92          494           95       0,4
3       Singkawang Tengah      1.334     1.291        97         1.159       87           1.191         89       1.201      90          1.313         98      13,3
4       Singkawang Timur       451        459         102         466       103            435          96        430       95          415           92      10,9
5       Singkawang Barat       1.080     1.051        97          912        84            863          80        914        85         791           73      13,3
              Jumlah 2011      4.376     4.397        100        3.944       90           3.766         86       3.916       89         3.971         91       0,7
              Jumlah 2010 4.600         4.262     92,65       4.025        87,50         3.739      81,28 3.750            81,52       3.798     82,6          5,6
              Jumlah 2009 3.778         4.622     122,3       4.141        109,6         3.899      103,2 3.987            105,5       3.969     105,1         4,2

Sumber Data : Dinas Kesehatan Kota Singkawang




                                                             Tabel 7.34
                                                         BBLR Di Singkawang
                                                       Tahun Tahun 2009 - 2011

                                              Tahun 2009                                 Tahun 2010                                Tahun 2011
 No          Kecamatan
                                   Jumlah                  Jumlah             Jumlah                 Jumlah                Jumlah            Jumlah
                                  Bayi Lahir              Bayi BBLR          Bayi Lahir             Bayi BBLR             Bayi Lahir        Bayi BBLR
    1    Singkawang Selatan          695                      6                 695                     6                    857               13
    2    Singkawang Utara               362                  9                     362                       9               456                 19
    3    Singkawang Tengah             1.067                 11                   1.067                     11              1.137                34
    4    Singkawang Timur               410                  14                    410                      14               363                 4
    5    Singkawang Barat              1.027                 6                    1.027                      6               948                 20
             Jumlah                    3.561                 46                   3.561                     46              3.761                90

 Sumber Data : Dinas Kesehatan Kota Singkawang




                                                                                                 Database Kota Singkawang Tahun 2011                         | 75
Kesehatan




                                                           Tabel 7.35
                                    Jumlah Kunjungan Neonatus, Bayi dan Bayi Lahir Yang Ditangani
                                                  Keadaan Per 31 Desember 2011

                                           Neonatus                            Bayi                                       Bayi Lahir
No           Kecamatan                                                                              Jumlah
                                                                  Jumlah                                                   %     BBLR     % BBLR
                                Jumlah        KN           %             Kunjungan          %        Lahir       BBLR
                                                                   Bayi                                                   BBLR Ditangani Ditangani
                                                                                                     Hidup
1        Singkawang Selatan         857       857          100      993        760         76,5       857         13          1,5        13          100
2        Singkawang Utara           456       456          100      518        384         74,1       456         19          4,2        19          100
3        Singkawang Tengah       1.137       1.137         100     1.334      1.137        85,2      1.137        34          3,0        34          100
4        Singkawang Timur           363       363          100      451        339         75,2       363         4           1,1         4          100
5        Singkawang Barat           948       948          100     1.080       748         69,3       948         20          2,1        20          100
                 Jumlah 2011     3.761       3.761         100     4.376      3.368        77,0      3.761        90          2,4        90          100
                 Jumlah 2010     4.289       3.748     87,39       4.367      1.609        36,84     4.262       164       3,85         148         90,2
                 Jumlah 2009     3,576       3,223     90.13       3,778      2,901        76.79     3,561        46       1.29          46          100

Sumber Data : Dinas Kesehatan Kota Singkawang



                                                           Tabel 7.36
                               Akses Pelayanan Ibu Hamil (K1) dan Cakupan Pelayanan Ibu Hamil (K4)
                                                       Di Kota Singkawang
                                                   Keadaan Tahun 2009 - 2011
                                                      Tahun 2009                       Tahun 2010                          Tahun 2011
            No          Kecamatan
                                             Cakupan K1          Cakupan K4    Cakupan K1         Cakupan K4     Cakupan K1           Cakupan K4
            1      Singkawang Selatan              95.51           97.87          82,20             75,90              78,9                  68,1
            2      Singkawang Utara                91.79           85.26          78,60             74,50              90,9                  83,0
            3      Singkawang Tengah               99.92           89.20          110,40            99,50              101,8                 90,2
            4      Singkawang Timur                81.74           84.79          92,60             88,50              80,8                  80,4
            5      Singkawang Barat                95.23           93.09          128,10            124,70             105,5                 85,2
                       Jumlah                      94.67           91.06         103,00             96,50              94,1               82,1

            Sumber Data : Dinas Kesehatan Kota Singkawang



                                                                          Tabel 7.37
                        Jumlah Wanita Usia Subur Dengan Status Immunisasi TT (WUS Hamil + Tidak Hamil )
                    Berdasarkan Kecamatan, Jumlah Ibu Hamil, Jumlah Yang Mendapat Imunisasi TT1 dan TT2
                                                               Keadaan Tahun 2009 - 2011
                                                    Tahun 2009                          Tahun 2010                                  Tahun 2011
                                                 Jumlah
     No            Kecamatan                              Jumlah Yang                  Jumlah Yang Jumlah Yang                      Jumlah Yang Jumlah Yang
                                                  Yang
                                        Jumlah             Mendapat           Jumlah    Mendapat    Mendapat            Jumlah       Mendapat    Mendapat
                                                Mendapat
                                      Ibu Hamil            Imunisasi           WUS      Imunisasi   Imunisasi            WUS         Imunisasi   Imunisasi
                                                Imunisasi
                                                             TT2                          TT1         TT2                              TT1         TT2
                                                  TT1
     1        Singkawang Selatan          8.683       1.646        1.422      8.683         68           382            1.092           296          255
     2           Singkawang Utara         4.670        228         1.027      4.670         13           171             569             -           18
     3        Singkawang Tengah           11.908      1.102        1.192      11.908        329          348            1.467           257          321
     4          Singkawang Timur          4.211        421          359       4.211         92              84           496            75           71
     5           Singkawang Barat         11.008       167          140       11.008        228          186            1.188           125          100
                   Jumlah                 40.480      3.564        4.140      40.480       730          1.171           4.812           753          765
         Sumber Data : Dinas Kesehatan Kota Singkawang
                       Catatan : Tahun 2008 Imunisasi TT1 dan TT 2 hanya diberikan kepada ibu hamil
                                 Tahun 2009 dan 2010 Imunisasi TT1 dan TT2 diberikan kepada WUS (yang hamil dan yang tidak hamil)




                                                                                                 Database Kota Singkawang Tahun 2011                   | 76
Kesehatan




                                                                                                       Tabel 7.38
                           Jumlah Ibu Hamil Di Kota Singkawang Yang Mendapat Tablet Fe1 dan Fe 2
                                                 Keadaan Tahun 2009 - 2011

                                                       Tahun 2009                                                                Tahun 2010                                                                 Tahun 2011
     No          Kecamatan                    Jumlah Yang Jumlah Yang           Jumlah Yang Jumlah Yang           Jumlah Yang Jumlah Yang
                                     Jumlah                            Jumlah                            Jumlah
                                               Mendapat    Mendapat              Mendapat    Mendapat              Mendapat    Mendapat
                                    Ibu Hamil                         Ibu Hamil                         Ibu Hamil
                                               Tablet Fe1 Tablet Fe2             Tablet Fe1 Tablet Fe2             Tablet Fe1 Tablet Fe2
      1      Singkawang Selatan          890                  1.000                             846                1.046                 709                             667                 1.092             1.943                          1.323
      2      Singkawang Utara            475                     441                            417                 556                  441                             422                 569                  862                                 744
      3      Singkawang Tengah           1.222                1.423                           1.238                1.440              1.589                          1.432                   1.467                517                                 472
      4      Singkawang Timur            493                     356                            293                 486                  450                             430                 496                  401                                 399
      5      Singkawang Barat            1.027                1.117                           1.267                1.186              1.519                          1.479                   1.188             1.253                          1.012
                 Jumlah                 4.107                4.337                            4.061                4.714             4.708                         4.430                     4.812             4.976                          3.950

          Sumber Data : Dinas Kesehatan Kota Singkawang



                                                                                                           Tabel 7.39
                                 Jumlah Ibu Bersalin Di Kota Singkawang Ditolong Tenaga Kesehatan
                                                                              Keadaan Tahun 2009 - 2011
                                                       Tahun 2009                                                                 Tahun 2010                                                                 Tahun 2011
                                                       Ibu Bersalin                                                               Ibu Bersalin                                                                Ibu Bersalin
     No          Kecamatan
                                                            Ditolong                                                                     Ditolong                                                                   Ditolong
                                     Jumlah                 Tenaga                                     %           Jumlah                Tenaga                                    %           Jumlah               Tenaga                                  %
                                                           Kesehatan                                                                    Kesehatan                                                                  Kesehatan
      1      Singkawang Selatan          850                          695                        81,76               713                         660                         92,57             1.042                         809                        77,6
      2       Singkawang Utara           458                          362                        79,04               411                         410                         99,76              543                          448                        82,5
      3      Singkawang Tengah          1.168                     1.067                          91,35              1.319                       1.271                        96,36             1.401                        1.144                       81,7
      4       Singkawang Timur           413                          410                        99,27               398                         396                         99,50              474                          365                        77,0
      5       Singkawang Barat          1.078                     1.025                          95,08              1.510                       1.509                        99,93             1.134                         949                        83,7
                Jumlah                  3.967                    3.559                          89,72               4.351                       4.246                        97,59             4.594                        3.715                       80,9

     Sumber Data : Dinas Kesehatan Kota Singkawang



                                                                                                 Tabel 7.40
                                         Jumlah Kematian Ibu Maternal Di Kota Singkawang
                                                                       Keadan Tahun 2009 - 2011

                                           Tahun 2009                                                                 Tahun 2010                                                                       Tahun 2011

                                               Jumlah Kematian                                                        Jumlah Kematian Ibu                                                              Jumlah Kematian Ibu
                                                 Ibu Maternal                                                              Maternal                                                                         Maternal
No          Kecamatan           Jumlah                                                                 Jumlah
                                                                                                                                                                                   Jumlah
                                                       Ibu Bersalin




                                                                                                                                 Ibu Bersalin




                                                                                                                                                                                                             Ibu Bersalin




                                  Ibu                                                                    Ibu
                                           Ibu Hamil




                                                                                                                     Ibu Hamil




                                                                                                                                                                                                Ibu Hamil
                                           Kematian

                                                        Kematian

                                                                      Kematian




                                                                                                                     Kematian


                                                                                                                                  Kematian


                                                                                                                                                 Kematian




                                                                                                                                                                                                Kematian


                                                                                                                                                                                                              Kematian


                                                                                                                                                                                                                             Kematian
                                                                                  Lain-Lain




                                                                                                                                                             Lain-Lain




                                                                                                                                                                                                                                          Lain-Lain
                                                                      Ibu Nifas




                                                                                                                                                 Ibu Nifas




                                                                                                                                                                                                                             Ibu Nifas
                                                                                              Jumlah




                                                                                                                                                                          Jumlah




                                                                                                                                                                                                                                                        Jumlah




                                                                                                                                                                                     Ibu
                                 Hamil                                                                  Hamil
                                                                                                                                                                                    Hamil


1    Singkawang Selatan           890                     1                                    1           1.046       1            1                                     2        1.092           0           1              0          0              1
2    Singkawang Utara             475                                                                       556                                                                        569         0           0              0          0              0
3    Singkawang Tengah           1.222                    1                                    1           1.439                                                                   1.467           0           0              0          0              0
4    Singkawang Timur             493                                                                       486                                                                        496         0           1              0          0              1
5    Singkawang Barat            1.027                    1                                    1           1.186                                                                   1.188           1           0              0          0              1
           Jumlah               4.107                     3                                    3           4.713       1            1                                     2            4.812         1           2              0           0               3

Sumber Data : Dinas Kesehatan Kota Singkawang




                                                                                                                                        Database Kota Singkawang Tahun 2011                                                                           | 77
Kesehatan




                                                                        Tabel 7.41
                                    Jumlah Kematian Ibu Melahirkan Di Singkawang dan Penyebabnya
                                                               Keadaan Tahun 2009 - 2011
                                                   Tahun 2009                           Tahun 2010                              Tahun 2011
         No             Kecamatan               Penyebab Kematian                    Penyebab Kematian                       Penyebab Kematian
                                          Eklamsi   Pendarahan     Lainnya       Eklamsi      Pendarahan   Lainnya    Eklamsi Pendarahan       Lainnya
          1        Singkawang Selatan       -              1           -            -              1         -           0            1          0
          2        Singkawang Utara         -              -           -           -               -         -           0            0          0
          3        Singkawang Tengah        -              1            -           -             -          -           0            0          0
          4        Singkawang Timur         -              -            -           -              -         -           0            0          1
          5        Singkawang Barat         -              -           1            -              -         -           1            0          0
                       Jumlah               0              2           1            0             1          0           1            1          1
         Sumber Data : Dinas Kesehatan Kota Singkawang



                                                                   Tabel 7.42
                                           Data Posyandu Yang Ada Di Kota Singkawang
                                            Berdasarkan Kelurahan dan Strata Posyandu
                                                   Keadaan Tahun 2010 - 2011
                                                     Tahun 2010                                                        Tahun 2011
          Kecamatan/
No                               Jumlah              Strata Pos Yandu               Jumlah      Jumlah               Strata Pos Yandu             Jumlah
           Kelurahan
                               Pos Yandu Pratama Madya          Purnama Mandiri     Kader Pos Yandu        Pratama   Madya     Purnama Mandiri       Kader

1                  2                3        4        5            6         7          8          9         10        11        12       13          14

1    Singkawang Selatan             29       4        19           6         0          145       29          0        28         0       1          145
     1. Sijangkung                  4                 2            2                    20         4          0         4         0       0           20

     2. Sagatani                    5        2        2            1                    25         5          0         5         0       0           25

     3. Pangmilang                  3                 3                                 15         3          0         3         0       0           15
     4. Sedau                       17       2        12           3                    85        17          0        16         0       1           85

2    Singkawang Utara               22       0        15           7         0          110       23          0        16         7       0          115

     1. Sungai Garam Hilir          3                 2            1                    15         3          0         2         1       0           15
     2. Naram                       2                              2                    10         2          0         1         1       0           10

     3. Sungai Bulan                2                 2                                 10         2          0         2         0       0           10

     4. Sungai Rasau                2                 1            1                    10         2          0         1         1       0           10
     5. Setapuk Kecil               3                 2            1                    15         3          0         2         1       0           15

     6. Setapuk Besar               7                 6            1                    35         8          0         7         1       0           40

     7. Semelagi Kecil              3                 2            1                    15         3          0         1         2       0           15
3    Singkawang Tengah              41       11       30           0         0          205       41         11        30         0       0          205

     1.Roban                        18       5        13                                90        18          5        13         0       0           90

     2. Condong                     4        1        3                                 20         4          1         3         0       0           20
     3. Sekip Lama                  6        2        4                                 30         6          2         4         0       0           30

     4. Jawa                        3        1        2                                 15         3          1         2         0       0           15

     5. Sungai Wie                  5                 5                                 25         5          0         5         0       0           25
     6. Bukit Batu                  5        2        3                                 25         5          2         3         0       0           25

4    Singkawang Timur               20       2        16           2         0          100       20          0        18         2       0          100

     1.Sanggau Kulor                2                 2                                 10         2          0         2         0       0           10
     2. Pajintan                    7        1        4            2                    35         7          0         5         2       0           35

     3. Nyarungkop                  4        1        3                                 20         4          0         4         0       0           20

     4.Maya Sopa                    4                 4                                 20         4          0         4         0       0           20
     5. Bagak Sahwa                 3                 3                                 15         3          0         3         0       0           15




                                                                                                Database Kota Singkawang Tahun 2011                  | 78
Kesehatan




  1             2                 3         4   5    6    7   8       9      10     11    12     13       14

  5      Singkawang Barat        22         0   18   3    1   110    22      0      19     2      1       110

             1.Pasiran           11             9    2        55     11      0      11     0      0       55
             2. Melayu            6             5    1        30      6      0      5      1      0       30

             3. Tengah            2             1         1   10      2      0      1      0      1       10

             4. Kuala             3             3             15      3      0      2      1      0       15
        Total Jumlah             134       17   98   18   1   670    135     11    111    11      2       675

Sumber Data : Dinas Kesehatan Kota Singkawang




                                                                    Database Kota Singkawang Tahun 2011   | 79
Keluarga Berencana




8. Keluarga Berencana

            Untuk mengendalikan pertumbuhan penduduk, pemerintah mencanangkan
     program Keluarga Berencana (KB) dengan memberikan sarana pelayanan yang
     diperlukan.

           Pada tahun 2009 di Kota Singkawang terdapat 43.651 Pasangan Usia Subur
     (PUS), 7.515 atau 17,22% merupakan peserta KB baru dan 34.587 atau 79,24%
     merupakan peserta KB Aktif.

          Dari 34.587 peserta KB aktif 3.658 peserta menggunakan IUD, 684 menggunakan
     MOP/MOVW, 759 menggunakan implant, 10.953 menggunakan suntik, 13.647
     menggunakan pil, dan 4.886 menggunakan obat vagita.

          Sedangkan 7.515 peserta KB baru mempergunakan alat kontrasepsi IUD 201,
     MP/MOV 72, Implant 241, suntik 1.975, Pil 2.785, dan kondom 2.241.




                                                              Tabel 8.1
                                    Jumlah PUS, Peserta KB, Peserta KB Baru dan KB Aktif
                                                      Berdasarkan Kecamatan
                                                     Keadaan Tahun 2009 - 2011

                                        Tahun 2009                            Tahun 2010                  Tahun 2011

 No       Kecamatan                   Peserta KB      Peserta KB            Peserta KB   Peserta KB      Peserta Peserta KB
                             Jmlh        Baru            Aktif       Jmlh      Baru         Aktif   Jmlh KB Baru    Aktif
                             PUS                                     PUS                            PUS
                                      Jmlh     %     Jmlh     %             Jmlh   %     Jmlh     %     Jmlh % Jmlh %

 1    Singkawang Selatan    9,161    1,453   15.86   7,240   79.03

 2    Singkawang Utara      5,770    1,318   22.84   5,280   91.51
      Singkawang
 3                         11,386    1,730   15.19   8,133   71.43
      Tengah                                                                       Tad                       Tad
 4    Singkawang Timur      5,270    1,210   2.96    5,119   97.13

 5    Singkawang Barat     12,064    1,804   14.95   8,815   73.07

                   Jumlah 43,651     7,515 17.22 34,587      79.24


 Sumber Data : Dinas Kesehatan Kota Singkawang




                                                                             Database Kota Singkawang Tahun 2011   |   80
Keluarga Berencana


                                                                                             Tabel 8.2
                                                                    Jumlah Peserta KB Aktif dan Persentase Peserta KB Aktif
                                                                         Berdasarkan Kecamatan dan Jenis Kontrasepsi
                                                                                 Keadaan Per 31 Desember 2011


                                                          Jumlah Peserta KB Aktif                                                               % Peserta KB Aktif

                                       MKJP                                  NON MKJP                                       MKJP                              NON MKJP
No       Kecamatan                                                                                       MKJP +                                                                              MKJP +
                                                                                                          NON                                                                                 NON
                                       MOP/                                            Obat    Lain                         MOP/                                             Obat     Lain
                              IUD               Implant    Suntik      PIL     Kondom                     MKJP      IUD            Implant   Suntik    PIL     Kondom                         MKJP
                                       MOW                                            Vagina   nya                          MOW                                             Vagina    nya


1    Singkawang Selatan


2    Singkawang Utara


3    Singkawang Tengah


4    Singkawang Timur


5    Singkawang Barat


            Jumlah 2011                                                                                       Tad


            Jumlah 2010                                                                                       tad


            Jumlah 2009      3,658        684      759    10,953     13,647     4,886    0       0       34,587     10.58   1.98     2.19    31.67    39.46      14.13        0         0       100


            Jumlah 2008      3,348        637      594      9,762     11,787 1,680       0       0       27,808     12.04   2.29     2.14    35.11    42.39          6.04     0         0       100

Sumber Data : Dinas Kesehatan Kota Singkawang




                                                                                                                                               Database Kota Singkawang Tahun 2011           | 81
Keluarga Berencana




                                                                                            Tabel 8.3
                                   Pelayanan KB Berdasarkan Kecamatan, Jumlah Peserta KB Baru, Persentase Peserta KB Baru dan Alat Kontrasepsi
                                                                                 Keadaan Per 31 Desember 2011


                                                           Jumlah Peserta KB Baru                                                         % Peserta KB Baru

                                       MKJP                                NON MKJP                                   MKJP                              NON MKJP
No        Kecamatan                                                                                 MKJP +                                                                          MKJP
                                     MOP/                                           Obat     Lain    NON              MOP/                                          Obat     Lain   + NON
                             IUD                Implant   Suntik   PIL      Kondom                   MKJP      IUD           Implant   Suntik   PIL      Kondom                     MKJP
                                     MOW                                           Vagina    nya                      MOW                                          Vagina    nya

1    Singkawang Selatan


2    Singkawang Utara


3    Singkawang Tengah


4    Singkawang Timur


5    Singkawang Barat


             Jumlah 2011                                                                                     Tad


             Jumlah 2010                                                                                     Tad


             Jumlah 2009      201      72         241     1,975    2,785     2,241    0       0     7,515      2.67   0.96    3.21     26.28    37.06     29.82      0        0      100

             Jumlah 2008      154      55         76      2,293    1,589      146     0       0     4,313      3.57   1.28    1.76     53.16    36.84     3.39       0        0      100


Sumber Data : Dinas Kesehatan Kota Singkawang




                                                                                                                                          Database Kota Singkawang Tahun 2011       | 82
Layanan Publik




9. Layanan Publik

        Baik buruknya kinerja pemerintah salah satunya diukur dari layanan publik yang
 diberikan baik dalam hal perizinan maupun penyediaan fasilitas umum. Upaya untuk
 peningkatan layanan publik merupakan manifestasi konkret dalam tata kelola
 pemerintahan yang baik namun masih banyak yang harus diperbaiki dan disempurnakan
 pemerintah daerah di tengah tantangan dan keterbatasan infrastruktur dan sumber
 daya. Salah satu upaya untuk meningkatkan layanan publik adalah dengan membentuk
 pelayanan terpadu dengan tujuan untuk efisiensi dan mengurangi waktu perjalanan dan
 waktu tunggu.

       Karena itu untuk memberikan layanan publik yang maksimal Pemerintah Kota
 Singkawang telah membentuk Kantor Penanaman Modal dan Pelayanan Terpadu
 dimana salah satu tugas pokoknya adalah pembinaan dan penyelenggaraan pelayanan
 administrasi perizinan dan koordinasi proses pelayanan perizinan.

       Sampai dengan 31 Desember 2011 ada 9 jenis izin yang dikeluarkan Kantor
 Penanaman Modal dan Pelayanan Terpadu. Izin tersebut adalah Izin Mendirikan
 Bangunan (IMB), Izin Usaha Jasa Konstruksi (IUJK), Izin Usaha Industri / Tanda daftar
 Industri (IUI/TDI) dan Izin Perluasan, Izin Reklame, Surat Izin Usaha Perdagangan
 (SIUP), Tanda Daftar Gudang (TDG), Tanda Daftar Perusahaan (TDP), Izin Undang –
 Undang Gangguan (UUG) dan Izin Pengelolaan, Pengusahaan Sarang Burung Walet.

       Jumlah izin yang dikeluarkan pada tahun 2011 sesuai dengan jenisnya adalah
 Izin Undang – Undang Gangguan (UUG) sebanyak 1.115 izin, Izin Mendirikan Bangunan
 (IMB) 1.292 izin, Surat Izin Usaha Perdagangan (SIUP) 488 izin, Tanda Daftar
 Perusahaan 539 izin, Tanda Daftar Gudang 20 izin, Izin Usaha Jasa Konstruksi (IUJK)
 65 izin, Tanda Daftar Perusahaan (TDP) 21 izin, Reklame 170 izin, dan izin
 Pengusahaan, Pengelolaan Sarang Burung Walet 164 izin.

        Selain izin yang dikeluarkan Kantor Penanaman Modal dan Pelayanan Terpadu
 juga ada izin yang masih dikeluarkan dinas teknis. Izin tersebut adalah Izin Trayek yang
 dikeluarkan Dinas Perhubungan, Komunikasi dan Informatika sebanyak 229 izin dan
 Izin Perikanan yang dikeluarkan Dinas Kelautan dan Perikanan sebanyak 36 izin.

       Untuk layanan kependudukan jumlah Kartu Tanda Penduduk yang dikeluarkan
 sebanyak 89.756 lembar, Akta Kelahiran 11.859 lembar, Akta Perkawinan 369 lembar,
 Akta Perceraian 4 lembar dan Akta Kematian 106 lembar.

       Terkait dengan kegiatan usaha masyarakat yang berdampak pada lingkungan
 pada tahun 2010 Badan Lingkungan Hidup telah mengeluarkan 26 Rekomendasi
 Kelayakan Lingkungan. Pada periode yang sama Badan Lingkungan Hidup menerima 5
 pengaduan masyarakat terhadap pencemaran/kerusakan lingkungan.




                                                   Database Kota Singkawang Tahun 2011   |   83
Layanan Publik



            Dalam memberikan rasa aman bagi masyarakat yang berkendaraan di malam hari
     di jalan-jalan utama telah dipasang lampu penerangan jalan. Jumlah lampu penerangan
     jalan umum di Kota Singkawang pada tahun 2009 dipasang pada 80 ruas jalan dengan
     2.269 titik lampu. Lampu dalam keadaan baik 1.668, dan rusak/mati/hilang 606.

           Jumlah Surai Izin Mengemudi yang dikeluarkan Polres Singkawang selama 2011
     sebanyak 11.179 SIM, yang terdiri dai SIM C 7.937 buah, SIM A 2.486 buahm SIM A
     Umum 31 buah, SIM B1 530 buah, SIM B1 Umum 147 buah, SIM B2 25 buah, dan SIM
     B2 Umum 23 buah. Sedangkan paspor yang dikeluarkan Kantor Imigrasi Singkawang
     sebanyak 14.201 paspor, untuk 48 halaman 14.160 paspor dan 24 halaman 41 paspor.




                                                                     Tabel 9.1
               Pelayanan Pemberian Izin Kantor Penanaman Modaldan Pelayanan terpadu Kota Singkawang
                          Berdasarkan Izin Yang Diberikan, Dasar Hukum Pelaksanaan Pemberian Izin
                                                      Keadaaan Per 31 Desember 2011


No       Jenis Izin Yang Diberikan                 Dasar Hukum Pelaksanaan Pelayanan Perizinan                          Keterangan

1                      2                                                    3                                                4
1    Izin Mendirikan Bangunan ( IMB )          PERDA Kota Singkawang Nomor : 04 Tahun 2006 tentang        Komponen Perhitungannya antara lain :
                                               Retribusi Izin Mendirikan Bangunan                         -   Uang Sempadan (Jenis Bangunan x
                                                                                                          -   Letak Bangunan x Tingkat Bangunan)
                                                                                                          -   Advis
                                                                                                          -   Biaya Plat
2    Izin Usaha Jasa Konstruksi (IUJK) :       1     Peraturan Menteri Permukiman dan Prasarana Wilayah
     -   Gred 2                                      Nomor : 369/ KPTS/ M/ 2001 tentang Pemberian Izin
                                                     Usaha Jasa Kontruksi Nasional
     -   Gred 3
     -   Gred 4                                2     Keputusan Walikota Singkawang Nomor: 24 Tahun
     -   Gred 5                                      2003 Tentang Besarnya Tarif Penerbitan Izin Usaha
                                                     Kontruksi/Konsultasi (IUJK) dalam wilayah Kota
     -   Gred 6                                      Singkawang
     -   Gred 7
3    Izin Usaha Industri / Tanda daftar        Peraturan Menteri Perindustrian RI Nomor : 41/M-IND
     Industri (IUI/TDI) dan Izin Perluasan :   /PER/6/2008 tentang Ketentuan dan Tata Cara pemberian
                                               Izin Perluasan dan Tanda Daftar Industri
     -   TDI
     -    IUI
     -   Izin Perluasan
4    Reklame                                   PERDA Kota Singkawang Nomor : 7 Tahun 2003 Tentang
                                               Pajak Reklame
5    Surat Izin Usaha Perdagangan (SIUP) :     Peraturan Menteri perdagangan RI Nomor : 36/M-DAG /        Klasifikasi Berdasarkan Besarnya Modal :
     -   Kecil                                 PER/9/2007 tentang Penerbitan Surat Izin Usaha             -   Kecil :
                                               Perdagangan
     -   Menengah                                                                                         -   200.000.000
     -   Besar                                                                                            -   Menengah :
                                                                                                          -   > 200.000.000 – 500.000.000
                                                                                                          -   Besar :
                                                                                                          -   > 500.000.000
6    Tanda Daftar Gudang (TDG)                 Peraturan Menteri Perdagangan RI Nomor : 16/M-             Klasifikasi BerdasarkanLuasnya Gudang :
     -   Kecil                                 DAG/PER/3/2006 Tentang Penataan dan Pembinaan              -    Kecil :
                                               Pergudangan
     -   Menengah                                                                                         -    36 m2 – 2.500 m2
     -   Besar                                                                                            -    Menengah :
                                                                                                          -    > 2.500 m2 – 10.000 m2
                                                                                                          -    Besar :
                                                                                                          -    > 10.000 m2




                                                                                         Database Kota Singkawang Tahun 2011                |   84
Layanan Publik



      1                       2                                                 3                                                      4
      7      Tanda Daftar Perusahaan (TDP) :        Peraturan Menteri Perdagangan RI Nomor :
             -   Perseroan Terbatas (PT)            37/M-DAG/PER/9/2007 tentang Penyelenggaraan
                                                    Pendaftaran
             -   Koperasi
             -   Persekutuan Komanditer (CV)
             -   Persekutuan Firma (Fa)
             -   Perusahaan Perorangan (PO)
             -   Badan Usaha Lainnya (BUL)
             -   Perusahaan Asing (PA)
      8      Izin Undang – Undang Gangguan          Keputusan Walikota Singkawang Nomor : 52 tahun 2002        Komponen Perhitungannya antara lain :
             (UUG)                                  tentang pemberlakuan Perda Kab Daerah Tk.II Sambas         -        Jenis Usaha
                                                    Nomor : 335 Tahun 1997 tentang Pelaksanaan Pemberian
                                                    Izin UUG.                                                  -        Luas Tempat Usaha
                                                                                                               -        Tarif Lingkungan
                                                                                                               -        Biaya Plat
      9      Pengelolaan, Pengusahaan Sarang        PERDA Kota Singkawang Nomor : 7 Tahun 2006 tentang         Bangunan / Usaha yang telah ada
             Burung Walet :                         Pengelolaan Pengusahaan Sarang Burung Walet                sebelum Perda tentang Walet diterbitkan


          Sumber Data : Kantor Penanaman Modal dan Pelayanan terpadu Kota Singkawang




                                                                        Tabel 9.2
                                               Izin Yang Dikeluarkan Berdasarkan Jenis Izin dan Bulan
                                                            Keadaan Per 31 Desember 2011

                                                                                                                                                    Jumlah
No                     Jenis Izin                   Jan    Peb    Mar    Apr        Mei   Jun     Jul    Ags   Sep          Okt       Nov     Des
                                                                                                                                                     2011
          Izin Undang-Undang Gangguan                39     60     77     63        45    65      86     66        79        170      216     149       1115
1
          (IUUG)
2         Izin Mendirikan Bangunan (IMB)             59     53     85     30        47    192     59     74    273           78       166     176       1292

3         Surat Izin Usaha Perdagangan (SIUP)        28     19     44     27        31    31      37     39        33        64       76       59       488

4         Tanda Daftar Perusahaan                    25     23     48     39        49    31      43     41        40        64       77       59       539

5         Tanda Daftar Gudang                        0       0      2     2          2     7       2       0       1          1        2       1         20

6         Izin Usaha Jasa Konstruksi (IUJK)          0       7      8     9         13     6       12      2       5          1        1       1         65

7         Tanda Daftar Industri (TDI)                1       1      3     2          3     1       3       1       4          1        0       1         21

8         Reklame                                    24     11     15     7         23     9      12     19        18        14       11       7        170
          Izin Pengusahaan, Pengelolaan              0       0      0     0          0     0       45    27        49         9       19       15       164
9
          Sarang Burung Walet
                                           Jumlah   176    174    282     179       213   342     299    269   502          402       568     468       3874

    Sumber Data : Kantor Penanaman Modal dan Pelayanan Terpadu Kota Singkawang




                                                                                               Database Kota Singkawang Tahun 2011                  |   85
Layanan Publik


                                                       Tabel 9.3
                                          KTP Tercetak Dan Belum Cetak
                             Menurut Jumlah Penduduk Wajib KTP Kota Singkawang
                                          Keadaan Per 31 Desember 2011


                                                                                 Sudah
                                                                      Jumlah                Belum      Penduduk
  Kecamatan             Kelurahan         Laki- Laki   Perempuan                 Cetak
                                                                     Penduduk              Cetak Ktp   Wajib Ktp
                                                                                  Ktp

                          Roban              16,079         15,467      31,546    13,878       8,573       22,451

                         Condong              5,669          5,482      11,151     4,907       3,312        8,219

  Singkawang           Sekip Lama             4,654          4,490       9,144     4,157       2,460        6,617
    Tengah                Jawa                2,265          2,354       4,619     2,175       1,220        3,395

                        Bukit Batu            2,728          2,479       5,207     2,014       1,511        3,525

                        Sungai Wie            2,970          2,910       5,880     2,518       1,568        4,086

                         Pasiran             20,443         20,008      40,451    15,382      15,470       30,852

  Singkawang              Melayu              6,635          6,743      13,378     5,724       4,701       10,425
     Barat               Tengah               1,144          1,130       2,274      957          702        1,659

                          Kuala               4,618          4,374       8,992     3,570       2,826        6,396

                         Pajintan             4,488          4,172       8,660     2,982       3,168        6,150

                       Nyarumkop              1,858          1,692       3,550     1,006       1,381        2,387
  Singkawang                                  2,454          2,218       4,672     1,348       1,799        3,147
                        Mayasopa
     Timur
                       Bagak Sahwa            1,184          1,112       2,296      856          705        1,561

                      Sanggau Kulor           1,600          1,453       3,053      934        1,122        2,056

                    Sungai Garam Hilir        2,338          2,251       4,589     2,007       1,211        3,218

                          Naram               1,306          1,203       2,509     1,059         663        1,722

                       Sungai Bulan           1,356          1,246       2,602     1,034         762        1,796
  Singkawang
     Utara             Sungai Rasau           1,240          1,125       2,365      902          760        1,662

                      Setapuk Kecil           1,350          1,269       2,619      968          851        1,819

                      Setapuk Besar           3,667          3,474       7,141     2,538       2,245        4,783

                      Semelagi Kecil          1,987          1,986       3,973     1,201       1,533        2,734

                          Sedau              17,752         16,717      34,469    11,336      13,089       24,425

  Singkawang             Sagatani             1,588          1,427       3,015      870        1,068        1,938
    Selatan             Sijangkung            6,172          5,598      11,770     4,054       4,283        8,337

                       Pangmilang             2,099          1,912       4,011     1,379       1,231        2,610

           Kota Singkawang                 119,644         114,292     233,936    89,756      78,214      167,970

Sumber Data : Dinas Kependudukan dan Catatan Sipil Kota Singkawang




                                                                      Database Kota Singkawang Tahun 2011     |    86
Layanan Publik


                                                          Tabel 9.4
                          Penerbitan Kartu Tanda Penduduk (KTP) Di Kota Singkawang
                                         Berdasarkan, Bulan dan Kecamatan
                                            Keadaan Per 31 Desember 2011

                                                                 Kecamatan
No           Bulan                                                                                           Jumlah
                             Singkawang       Singkawang        Singkawang      Singkawang     Singkawang
                                Barat           Tengah             Utara           Timur         Selatan

1    Januari                       17,139              18,366         5,994            4,046        10,455    56,000

2    Februari                      17,823              19,169         6,365            4,286        10,986    58,629

3    Maret                         19,415              20,863         7,078            4,874        12,273    64,503

4    April                         20,335              21,946         7,438            5,205        13,059    67,983

5    Mei                           21,259              23,012         7,763            5,500        13,843    71,377

6    Juni                          22,055              23,979         8,113            5,732        14,518    74,397

7    Juli                          22,915              24,876         8,412            6,013        15,123    77,339

8    Agustus                       23,590              25,555         8,680            6,013        15,674    79,512

9    September                     24,115              26,261         8,901            6,406        16,234    81,917

10   Oktober                       24,589              26,989         9,098            6,634        16,665    83,975

11   November                      25,174              28,429         9,434            6,871        17,174    87,082

12   Desember                      25,633              29,649         9,709            7,126        17,639    89,756

      Jumlah 2011                  25,633          29,649             9,709            7,126       17,639     89,756

      Jumlah 2010                  16,270          17,226             5,520            3,702         9,594    52,312

      Jumlah 2009                   6,624              6,771          1,633            2,020         5,325    22,373
Sumber Data : Dinas Kependudukan dan Catatan Sipil Kota Singkawang

Catatan :
Bulan Januari s/d Mei 2009 dilaksanakan di Kecamatan
Sejak bulan Juni 2009 dilaksanakan di Dinas Kependudukan dan Catatan Sipil Kota Singkawang




                                                                              Database Kota Singkawang Tahun 2011     |   87
Layanan Publik


                                                                                          Tabel 9.5
                                                                              Akta Catatan Sipil Yang Dikeluarkan
                                                                               Berdasarkan Bulan dan Kecamatan
                                                                                Keadaan Per 31 Desember 2011

                                                                                                                                               Kecamatan
                                       Singkawang                                          Singkawang                                          Singkawang                                          Singkawang                                            Singkawang
                                          Barat                                              Tengah                                               Utara                                               Timur                                                Selatan

No           Bulan




                                                    Perkawinan




                                                                                                        Perkawinan




                                                                                                                                                            Perkawinan




                                                                                                                                                                                                                  Perkawinan




                                                                                                                                                                                                                                                                      Perkawinan
                                                                 Perceraian




                                                                                                                     Perceraian




                                                                                                                                                                         Perceraian




                                                                                                                                                                                                                               Perceraian




                                                                                                                                                                                                                                                                                   Perceraian
                           Kelahiran




                                                                               Kelahiran




                                                                                                                                   Kelahiran




                                                                                                                                                                                       Kelahiran




                                                                                                                                                                                                                                             Kelahiran
                                         Kematian




                                                                                             Kematian




                                                                                                                                                 Kematian




                                                                                                                                                                                                       Kematian




                                                                                                                                                                                                                                                           Kematian
1      Januari             112            3          4            1            199            1          2             -           75              -          -            -           76               -          2             -           144            2          4             -

2      Februari            106            3         10             -           105            1          8             -           50              -         4             -           34               -          8             -           62             3          8             -

3      Maret               142            6         14             -           136            2          4             -           87              -          -            -           101              1           -            -           137            4         10             -

4      April               143            5          8             -           120            2          4             -           68              -         2             -           81               -          2             -           158            1          2             -

5      Mei                 183            3         12             -           157            6          6             -           66              -         4             -           83               -           -            -           172            2          6             -

6      Juni                185            2          4             -           195            1          4             -           63             1          2             -           78               1           -            -           204            2          2             -

7      Juli                179            4         18             -           204            3          8             -           83             1          4             -           103              2          2             -           262            3          9            1

8      Agustus             206            5         16             -           188            1         10             -           105             -         4             -           98               -          2             -           258            1         16             -

9      September           177            3          6             -           192            2          2             -           84              -         2             -           107              2           -            -           283            2         13             -

10     Oktober             242            2         15            1            236             -         8             -           89              -         2             -           180              -           -            -           369            2          8             -

11     November            230            5         17            1            256            1          8             -           167             -         4             -           160              2          2             -           427            3         10             -

12     Desember            602            4         19             -           779            2         13             -           544             -         4             -           412              2          4             -          1,115           2          7             -

     Jumlah 2011          2,507 45                  143           3           2,767 22                  77             -          1,481           2         32             -          1,513 10                    22             -          3,591 27                  95            1

     Jumlah 2010          6,864 39                  131           2           6,273 13                  54             -          3,106           3          7             -          2,846             9         16             -          7,413 22                  66             -

     Jumlah 2009          3,915            -          -            -          3,664            -          -            -          1,889            -          -            -          1,984              -          -            -          3,348            -          -            -

Sumber Data : Dinas Kependudukan dan Catatan Sipil Kota Singkawang




                                                                                                              Tabel 9.6
                                                    Jumlah Pelayanan dan Pengaduan Pencemaran /
                                                    Kerusakan Lingkungan Hidup Di Kota Singkawang
                                                                                       Keadaan Tahun 2009-2011

                                                                               Pemberian Rekomendasi                                                              Pengaduan Pencemaran/
                     No                 Tahun
                                                                                Kelayakan Lingkungan                                                               Kerusakan Lingkungan

                     1                   2009                                                           26                                                                                         5

                     2                   2010                                                           85                                                                                         5

                     3                   2011                                                           tad                                                                                   tad

                     Sumber Data : Badan Lingkungan Hidup Kota Singkawang




                                                                                                                                                            Database Kota Singkawang Tahun 2011                                                                                |   88
Layanan Publik




                                                   Tabel 9.7
                      Kondisi Lampu Penerangan Jalan Umum di Kota Singkawang
                                         Keadaan Tahun 2009 - 2011


No                      Uraian                         Tahun 2009              Tahun 2010          Tahun 2011

 1    Lokasi/Letak Jalan                                   80                     tad                 tad

 2    Jumlah Titik Lampu                                  2,269                   tad                 tad

 3    Lampu Dalam Keadaan Baik                            1,668                   tad                 tad

 4    Lampu Dalam Keadaan Rusak/Mati                       468                    tad                 tad

 5    Lampu Yang Hilang                                    138                    tad                 tad

        Sumber Data : Dinas Bina Marga, SDA dan ESDM Kota Singkawang




                                               Tabel 9.8
                             Jumlah SIM Yang Dikeluarkan Polres Singkawang
                                      Periode Januari s/d Desember 2011

                                                            Jenis SIM
No           Bulan                                                                                      Jumlah
                                  C      A     A Umum       B1         B1 Umum      B2      B2 Umum
1    Januari                  811       220       3         47            9         2          4            1,096
2    Pebruari                 763       212       1         42           15         4          1            1,038
3    Maret                    753       232       5         53           16         2          3            1,064
4    April                    501       153       6         18           13         1          -            692
5    Mei                      607       188       1         50            8         -          1            855
6    Juni                     649       174       3         46           17         1          5            895
7    Juli                     702       206       2         60           16         3          1            990
8    Agustus                  644       214       1         46            4         3          1            913
9    September                573       197       2         48            7         1          2            830
10   Oktober                  569       217       2         38           10         1          2            839
11   Nopember                 547       220       1         40           14         5          2            829
12   Desember                 818       253       4         42           18         2          1            1,138
         Jumlah              7,937     2,486      31        530          147        25        23        11,179

Sumber Data : Polres Singkawang




                                                                        Database Kota Singkawang Tahun 2011         |   89
Layanan Publik




                                        Tabel 9.9
     Jumlah Paspor Yang Dikeluarkan Kantor Imigrasi Kelas II Singkawang
                  Berdasarkan Bulan dan Halaman Paspor
                             Keadaan Tahun 2009 - 2011


                                                    SPRI
No              Bulan                                                     Jumlah
                                    48 Halaman             24 Halaman
1     Januari                          1,101                   0           1,101

2     Pebruari                         1,364                   5           1,369

3     Maret                            1,511                   8           1,519

4     April                            1,143                   6           1,149

5     Mei                              1,232                   12          1,244

6     Juni                             1,228                   4           1,232

7     Juli                             1,136                   0           1,136

8     Agustus                           889                    0            889

9     September                        1,411                   0           1,411

10    Oktober                          1,038                   0           1,038

11    Nopember                         1,037                   0           1,037

12    Desember                         1,070                   6           1,076

       Jumlah 2011                    14,160                  41          14,201

       Jumlah 2010                    15,131                  188         15,319

       Jumlah 2009                    12,204                  114         12,318

Sumber Data : Kantor Imigrasi Kelas II Singkawang




                                                           Database Kota Singkawang Tahun 2011   |   90
Rencana Tata Ruang




10. Rencana Tata Ruang

           Penyelenggaraan penataan ruang bertujuan untuk mewujudkan ruang yang
   aman, nyaman, produktif, sehingga terwujudnya keharmonisan antara lingkungan alam
   dan lingkungan buatan. Adanya keterpaduan dalam penggunaan sumber daya alam dan
   sumber daya buatan dengan memperhatikan sumber daya manusia serta pelindungan
   fungsi ruang dan pencegahan dampak negatif terhadap lingkungan akibat pemanfaatan
   ruang. Untuk memenuhi hal tersebut Pemerintah Kota Singkawang telah menyusun 18
   Dokumen Rencana Tata Ruang yang memuat cakupan wilayah, batasan kawasan secara
   fisik, peruntukan serta luas wilayahnya

   Dokumen yang telah disusun tersebut adalah :
   1.    RDTR BWK-A Tahun 2004-2009.
   2.    RTRK Permukiman Kumuh
   3.    RDTR BWK-E Tahun 2005-2010.
   4.    Rencana Pemetaan Kawasan Pesisir
   5.    Rencana Urban Design Ruang Publik
   6.    Rencana Detail Tata Ruang (RDTR) BWK-B Tahun 2006-2011
   7.    Rencana Teknis Ruang Kawasan (RTRK) Pusat Pertumbuhan
   8.    Urban Design Pasar Turi dan Pasar Beringin
   9.    RTRK Pengembangan Kawasan Pemukiman Nelayan Teluk Karang Kelurahan
         Sedau
   10.   Rencana Penentuan dan Pematokan Ruang Milik Jalan dan garis Sempadan
         Bangunan Kota Singkawang
   11.   Pemasangan Patok Ruang Milik Jalan dan Garis Sempadan Bangunan Kota
         Singkawang
   12.   Koordinasi Penyelenggaraan Pengembangan Perumahan
   13.   Pemasangan Patok Ruang Milik Jalan dan Garis Sempadan Bangunan Kota
         Singkawang
   14.   Penyusunan Rencana Teknis Kawasan Hutan Kota
   15.   Penyusunan Rencana Teknis Kawasan Budaya
   16.   Koordinasi Pengawasan dan Pengendalian Pelaksanaan Kebijakan tentang
         Pembangunan Perumahan
   17.   Survey dan Pemetaan (Penggandaan Citra dan Peta Penggunaan Lahan Kota
         Singkawang
   18.   Penyusunan Master Plan Penataan Ulang Reklame




                                                  Database Kota Singkawang Tahun 2011   |   91
Infrastruktur




11. Infrastruktur

           Karena luasnya pengertian infrastuktur sementara data yang disajikan terbatas
   maka pengertian infrastruktur perlu dibatasi. Infrastruktur yang dimaksud disini adalah
   fasilitas jalan, dan drainase pengendali banjir serta bangunan irigasi serta fasilitas
   olahraga.

         Keberadaan infrastruktur baik jalan, jembatan, saluran drainase maupun irigasi
   sangat besar pengaruhnya dalam menggerakan roda perekonomian masyarakat.
   Pembangunan, pemeliharaan dan peningkatan jalan dapat membuka akses transportasi
   masyarakat dan membuka daerah-daerah yang terisolir. Pembangunan saluran drainase
   diharapkan dapat meminimalisir terjadinya banjir yang sangat merugikan masyarakat
   maupun pemerintah karena rusaknya infrastruktur yang telah dibangun. Dengan
   dibangunnya saluran irigasi produksi pertanian masyarakat diharapkan           dapat
   meningkat sehingga memberikan dampak yang sangat          positif bagi kesejahteraan
   masyarakat khususnya petani menjadi lebih baik.

          Berdasarkan status jalan yang ada di Kota Singkawang sampai dengan
   31 Desember 2011 panjang jalan negara 17,3 km dengan jenis permukaan jalan semua
   aspal. Panjang jalan propinsi 25,51 km jenis permukaan jalan semua aspal. Sedangkan
   panjang jalan kota 457,197 km.

         Dalam tahun anggaran 2011 jalan yang dibangun sebanyak 17 ruas jalan dengan
   panjang 10.682 meter. Jalan yang ditingkatkan sebanyak 14 ruas jalan dengan panjang
   11.631 meter. Sedangkan pemeliharaan jalan dilakukan pada 21 ruas jalan dengan
   panjang 18.170,50 meter.

          Jembatan yang dibangun sebanyak 1 unit dengan panjang 6 meter. Dari 129 unit
   jembatan yang berada pada ruas jalan Negara, Propinsi dan Kota 82 dalam keadaan baik,
   22 rusak ringan dan 25 rusak berat.

         Pembangunan, peningkatan, pembersihan maupun pembangunan penahan tebing
   saluran drainase yang dilaksanakan pada tahun 2011 sepanjang 56.606,4 meter dan
   semua kondisi saluran drainase dalam keadaan baik.

          Sedangkan saluran irigasi yang dibangun pada tahun 2011 56.606,4 meter. terdiri
   dari saluran irigasi sekunder 56.606,4 meter. Saluran irigasi tersebut untuk mengairi
   daerah irigasi seluas 5.778 hektar.

          Fasilitas olahraga yang tersedia baik yang dimiliki Pemerintah Kota Singkawang,
   Instansi Pemerintah Pusat, Pengurus Olahraga maupun pribadi sebanyak 41 buah dari
   12 cabang olahraga.




                                                    Database Kota Singkawang Tahun 2011   |   92
Infrastruktur



                                                               Tabel 11.1

                                                  Kondisi Jalan Berdasarkan Status
                                                  Keadaan Per 31 Desember 2011

                                                                                                                Kondisi Jalan
           No.       Status Jalan      Total Panjang Jalan
                                              (Km)                       Baik (Km)                            Rusak Ringan (Km)      Rusak Berat (Km)

            1      Negara                    17.300                        6.050                                   11.250                   -

            2      Propinsi                  23.510                        2.150                                   21.360                   -

            3      Kota                     457.197                           tad                                      tad                 tad

                    Jumlah                  500.397                                   -                                 -                   -

           Sumber Data : Dinas Bina Marga, SDA dan ESDM Kota Singkawang




                                                               Tabel 11.2
                                          Data Pembangunan Jalan Di Kota Singkawang
         Berdasarkan Kecamatan/Kelurahan, Nama Jalan/Gang, Panjang Jalan Status Jalan dan Sumber Dana
                                                  Keadaan Per 31 Desember 2011

                                                                         Status Jalan                                            Sumber Dana
                                                                                                 Lingkungan




                 Kecamatan/ Kelurahan /            Panjang
                                                                           Propinsi




                                                                                                                 APBD           APBD                    Bantuan
                                                                Negara




 No.
                                                                                          Kota




                    Nama Jalan/Gang                 Jalan                                                        Kota            Prop      APBN           Luar
                                                     (m)                                                         SKW            Kalbar                   Negeri

  1     Singkawang Barat
       1. Jl. Padat Karya II                           655                                √                                                     √
       2. Jl. Tani II                                  150                                √                        √
       3. Jl. Veteran Ujung Sekip Baru                 350                                √                        √
  2     Singkawang Utara
       1. Jl. Hamid Matali                            1,027                               √                                                     √
       2. Jl. Akses Masuk Sekolah Internasional        175                                √                                                     √
       3. Jl. Gunung Kaba'                             970                                √                                                     √
       4. Jl. Setapuk Besar Hulu (Lanjutan)            350                                √                        √
  3     Singkawang Selatan
       1. Jl. Pangkalan Batu                          2,800                               √                                                     √
       2. Jl. Kaliasin Luar RT. 22 dan RT.23            65                                √                        √
       3. Jl. Pasir Marhaban                           214                                √                        √
       4. Jl. Koramil                                  608                                √                        √
       5. Jl. Conglongkong                             480                                √                        √
       6. Jl. Danau Serantangan                       1,700                               √                        √
       7. Jl. Suka Ramai Kopisan Dalam                 234                                √                        √
       8. Jl. Hawai                                    100                                √                        √
  4     Singkawang Timur
       1. Jl. Sahwa                                 604                                   √                                                     √
       2. Jl. Nunga Parong                          200                                   √                        √
                                   Jumlah 2011     10,682
                                    Jumlah 2010    20,601
                                    Jumlah 2009       9,141
Sumber Data : Dinas Bina Marga, SDA dan ESDM Kota Singkawang




                                                                                                         Database Kota Singkawang Tahun 2011              |   93
Infrastruktur




                                                               Tabel 11.3
                                           Data Peningkatan Jalan Di Kota Singkawang
        Berdasarkan Kecamatan/Kelurahan, Nama Jalan/Gang, Panjang Jalan Status Jalan dan Sumber Dana
                                                    Keadaan Per 31 Desember 2011

                                                                                                    Status Jalan                                                                 Sumber Dana




                                                                                                                                                                                                        Bantuan Luar
                                                                         Panjang




                                                                                                                                                                    Singkawang
                                                                                                                                               Lingkungan




                                                                                                                                                                                 APBD Prop
                                                                                                                                                                    ABPD Kota
                                                                                                           Propinsi
No.    Kecamatan/Kelurahan                 Nama Jalan/Gang                Jalan




                                                                                         Negara




                                                                                                                                                                                                           Negeri
                                                                                                                                                                                   Kalbar
                                                                                                                                                                                              APBN
                                                                                                                                 Kota
                                                                          (Km)



1      Singkawang Tengah          1. Jl. Pramuka - Demang Akub               1,200.00                                            √                                                           √
                                  2. Jl. Rawasari                            1,175.00                                            √                                                           √
                                  3. Jl. Lembah Murai                         177.00                                             √                                                           √
                                  4. Jl. Padat Karya Roban                    550.00                                             √                                                           √
                                  5. Jl. Kacang                               450.00                                             √                                                           √
2      Singkawang Barat           1. Jl. Suhada (Lanjutan)                    175.00                                             √                                   √
                                  2. Jl. Kelapa Dua                           825.00                                             √                                                           √
3      Singkawang Utara           1. Jl. H. Bakar                            2,150.00                                            √                                                           √
4      Singkawang Selatan         1. Jl. BLKI                                1,355.00                                            √                                                           √
                                  2. Jl. Perkebunan                          1,692.00                                            √                                                           √
                                  3. Jl. Pesantren Sedau                      552.00                                             √                                                           √
                                  4. Jl. Lirang Dalam                         600.00                                             √                                                           √
5      Singkawang Timur           1. Jl. Transpol                             380.00                                             √                                   √
                                  2. Jl. Robankok                             350.00                                             √                                   √
                                                           Jumlah 2011   11,631.00
                                                           Jumlah 2010   10,292.00
                                                           Jumlah 2009   11,149.00

Sumber Data : Dinas Bina Marga, SDA dan ESDM Kota Singkawang




                                                               Tabel 11.4
                                        Data Pembangunan Jembatan Di Kota Singkawang
        Berdasarkan Kecamatan/Kelurahan, Nama Jalan/Gang, Panjang Jalan Status Jalan dan Sumber Dana
                                                    Keadaan Per 31 Desember 2011

                                                                                                             Status Jalan                                                            Sumber Dana
                                                                                                                                                                                                             Bantuan Luar



                                                                               Panjang
                                                                                                                                                                            Singkawang
                                                                                                                                                            Lingkungan

                                                                                                                                                                             ABPD Kota


                                                                                                                                                                                         APBD Prop
                                                                                                                      Propinsi
                                                                                                  Negara




                                                                                                                                                                                                                Negeri



No. Kecamatan/Kelurahan                    Nama Jembatan/Lokasi               Jembatan
                                                                                                                                                                                           Kalbar

                                                                                                                                                                                                     APBN
                                                                                                                                        Kota




                                                                                 (M)



1     Singkawang Utara           Jembt Jl. H. Bakar RT.03                        6.00                                                   X                                        X
                                                               Jumlah 2011      6.00
                                                               Jumlah 2010      32.00
                                                               Jumlah 2009      26.50

Sumber Data : Dinas Bina Marga, SDA dan ESDM Kota Singkawang




                                                                                   Database Kota Singkawang Tahun 2011                                                                                 |    94
Infrastruktur



                                                         Tabel 11.5
                                          Kondisi Jembatan Berdasarkan Status
                                              Keadaan Tahun 2009 s/d 2011

                                                                                            Kondisi Jembatan
                                                                 Jumlah
                                 Status Jembatan / Berada
           No.     Tahun                                        Jembatan                               Rusak              Rusak
                                          Di Jalan                                  Baik
                                                                  (unit)                               Ringan             Berat
                                                                                   (Unit)
                                                                                                       (Unit)             (Unit)
            1       2009        Negara, Propinsi, Kota                125              76               23                    26

            2       2010        Negara, Propinsi, Kota                128              81               22                    25

            3       2011        Negara, Propinsi, Kota                129              82               22                    25

           Sumber Data : Dinas Bina Marga, SDA dan ESDM Kota Singkawang




                                                          Tabel 11.6
                                         Kondisi Saluran Irigasi Di Kota Singkawang
             Berdasarkan Kecamatan/Kelurahan, Tempat/Lokasi, Panjang Saluran Irigasi, dan Kondisi
                                              Keadaan Per 31 Desember 2011

                                                                                  Panjang Saluran Irigasi / Jenis Saluran
                                                                                                 Irigasi




                                                                                            Sekunder




                                                                                                                                   Jumlah
                                                                                                                Tersier
No.               Kecamatan/Kelurahan                       Tempat/Lokasi        Primer                                                       Kondisi
                                                                                  (M)



                                                                                              (M)




                                                                                                                 (M)




                                                                                                                                    (M)
 1                          2                                     3                4           5                   6                 7             8
A.    PEMBANGUNAN DAN PENINGKATAN JARINGAN IRIGASI
 1.   D.I. KALI ASIN Rt.27/Rw.05                         D.I. KALI ASIN DALAM                                                                     Baik
      Kelurahan Sedau
      Kecamatan Singkawang Selatan
      Pembuatan Bangunan Sadap
      Pembuatan Saluran Pasangan Batu
      Perbaikan Saluran Sekunder                                                            2,000.00                      -        2,000.00
B.    PENGEMBANGAN DAN PENINGKATAN JARINGAN IRIGASI
 1.   D.I. KALI ASIN DALAM                               D.I. KALI ASIN DALAM                                                                     Baik
      Kelurahan Sedau
      Kecamatan Singkawang Selatan
      Pembuatan Bangunan Sadap                                                                  1.00                      -            1.00
      Perkuatan Tebing Bangunan Sadap                                                         150.00                      -          150.00
 2.   D.I. NYARUMKOP SEI. TANGKET                        D.I. NYARUMKOP SEI.                                                                      Baik
      Kelurahan Nyarumkop                                TANGKET
      Kecamatan Singkawang Timur
      Pembuatan Bangunan Sadap                                                                  1.00                      -            1.00
      Perkuatan Tebing Bangunan Sadap                                                          86.00                      -           86.00
      Pembuatan Saluran Pasangan Batu                                                         151.00                      -          151.00
      Perbaikan Saluran Sekunder                                                            3,000.00                      -        3,000.00
 3.   D.I. SAGATANI                                      D.I. SAGATANI                                                                            Baik
      Kelurahan Sagatani
      Kecamatan Singkawang Selatan
      Pembuatan Bangunan Sadap                                                                  1.00                      -            1.00
      Perkuatan Tebing Bangunan Sadap                                                         110.00                      -          110.00
      Pembuatan Saluran Pasangan Batu                                                          20.00                      -           20.00
      Perbaikan Saluran Sekunder                                                            1,000.00                      -        1,000.00
 4.   D.I. BONG MAKONG                                   D.I. BONG MAKONG                                                                         Baik
      Kelurahan Sedau
      Kecamatan Singkawang Selatan
      Pembuatan Bangunan Sadap                                                                  1.00                      -            1.00
      Pembuatan Saluran Pasangan Batu                                                         140.00                      -          140.00




                                                                                Database Kota Singkawang Tahun 2011                           |   95
Infrastruktur



1                               2                        3               4       5         6         7             8
5.    D.I. TAINAM PAJINTAN                      D.I. TAINAM PAJINTAN                                              Baik
      Kelurahan Pajintan
      Kecamatan Singkawang Timur
      Pembuatan Bangunan Sadap                                                     1.00        -       1.00
      Pembuatan Saluran Pasangan Batu                                            141.80        -     141.80
      Perbaikan Saluran Sekunder                                               4,000.00        -   4,000.00
6.    D.I. NYARUMKOP                            D.I. NYARUMKOP                                                    Baik
      Kelurahan Nyarumkop
      Kecamatan Singkawang Timur
      Perbaikan Bangunan Bendung                                                   1.00        -      1.00
      Perkuatan Tebing Bangunan Bendung                                               -        -         -
      Pembuatan Saluran Pasangan Batu                                             40.00        -     40.00
7.    D.I. PASI PANGMILANG                      D.I. PASI PANGMILANG                                              Baik
      Kelurahan Pangmilang
      Kecamatan Singkawang Selatan
      Pembuatan Bangunan Sadap                                                     1.00        -       1.00
      Perkuatan Tebing Bangunan Sadap                                            116.00        -     116.00
      Pembuatan Saluran Pasangan Batu                                             24.40        -      24.40
      Perbaikan Saluran Sekunder                                               1,500.00        -   1,500.00
8.    D.I. LOH ABANG                            D.I. LOH ABANG                                                    Baik
      Kelurahan Sagatani
      Kecamatan Singkawang Selatan
      Perbaikan Bangunan Bendung                                                   1.00        -      1.00
      Perkuatan Tebing Bangunan Sadap                                             94.20        -     94.20
      Pembuatan Saluran Pasangan Batu                                                 -        -         -
C.    REHABILITASI JARINGAN IRIGASI
 1.   D.I. LOH ABANG BAWAH                      D.I. LOH ABANG BAWAH                                              Baik
      Kelurahan Sagatani
      Kecamatan Singkawang Selatan
      Rehabilitasi Saluran Pasangan Batu                                         100.00        -     100.00
      Rehabilitasi Saluran Tanah ( Pembawa )                                   4,000.00        -   4,000.00
      Rehabilitasi Saluran Tanah ( Pembuang )                                  3,000.00        -   3,000.00
2.    D.I. KALI ASIN LUAR                       D.I. KALI ASIN LUAR                                               Baik
      Kelurahan Sedau
      Kecamatan Singkawang Selatan
      Rehabilitasi Saluran Pasangan Batu                                          50.00        -      50.00
      Rehabilitasi Saluran Tanah ( Pembawa )                                   3,300.00        -   3,300.00
      Rehabilitasi Saluran Tanah ( Pembuang )                                  3,700.00        -   3,700.00
3.    D.I. LIRANG                               D.I. LIRANG                                                       Baik
      Kelurahan Sedau
      Kecamatan Singkawang Selatan
      Rehabilitasi Saluran Pasangan Batu                                         100.00        -     100.00
      Rehabilitasi Saluran Tanah ( Pembawa )                                   3,800.00        -   3,800.00
      Rehabilitasi Saluran Tanah ( Pembuang )                                  3,200.00        -   3,200.00
4.    D.I. TELUK KARANG                         D.I. TELUK KARANG                                                 Baik
      Kelurahan Sedau
      Kecamatan Singkawang Selatan
      Rehabilitasi Bangunan Sadap                                                  2.00        -       2.00
      Rehabilitasi Saluran Pasangan Batu                                          40.00        -      40.00
      Rehabilitasi Saluran Tanah ( Pembawa )                                   2,500.00        -   2,500.00
      Rehabilitasi Saluran Tanah ( Pembuang )                                  1,000.00        -   1,000.00
5.    D.I. SIJANGKUNG                           D.I. SIJANGKUNG                                                   Baik
      Kelurahan Sijangkung
      Kecamatan Singkawang Selatan
      Rehabilitasi Bangunan Sadap                                                  1.00        -       1.00
      Rehabilitasi Saluran Pasangan Batu                                          42.00        -      42.00
      Rehabilitasi Saluran Tanah ( Pembawa )                                   3,000.00        -   3,000.00
      Rehabilitasi Saluran Tanah ( Pembuang )                                  2,500.00        -   2,500.00
6.    D.I. PETENGAHAN                           D.I. PETENGAHAN                                                   Baik
      Kelurahan Bagak
      Kecamatan Singkawang Timur
      Rehabilitasi Bangunan Sadap                                                  2.00        -       2.00
      Rehabilitasi Saluran Pasangan Batu                                          40.00        -      40.00
      Rehabilitasi Saluran Tanah ( Pembawa )                                   2,500.00        -   2,500.00
      Rehabilitasi Saluran Tanah ( Pembuang )                                  1,000.00        -   1,000.00
7.    D.I. PASI PANGMILANG BAWAH                D.I. PASI                                                         Baik
      Kelurahan Pangmilang                      PANGMILANG BAWAH




                                                                       Database Kota Singkawang Tahun 2011    |   96
Infrastruktur



1                               2                                     3                 4              5                6                   7                  8
      Kecamatan Singkawang Selatan
      Rehabilitasi Bangunan Sadap                                                                      2.00                 -                 2.00
      Rehabilitasi Saluran Pasangan Batu                                                             120.00                 -               120.00
      Rehabilitasi Saluran Tanah ( Pembawa )                                                       2,500.00                 -             2,500.00
      Rehabilitasi Saluran Tanah ( Pembuang )                                                      2,500.00                 -             2,500.00
 8.   D. I. PAKUNAM                                           D. I. PAKUNAM                                                                                   Baik
      Kelurahan Sedau
      Kecamatan Singkawang Selatan
      Rehabilitasi Bangunan Sadap                                                                      1.00                 -                 1.00
      Rehabilitasi Saluran Pasangan Batu                                                              25.00                 -                25.00
      Rehabilitasi Saluran Tanah ( Pembawa )                                                       2,500.00                 -             2,500.00
      Rehabilitasi Saluran Tanah ( Pembuang )                                                      2,500.00                 -             2,500.00

                           JUMLAH                                                             56,606.40                     -         56,606.40


Sumber Data : Dinas Bina Marga, SDA dan ESDM Kota Singkawang




                                                                Tabel 11.7
                                                Data Pembangunan Irigasi Di Kota Singkawang
                 Berdasarkan Kecamatan/Kelurahan, Tempat/Lokasi, Panjang Saluran Irigasi, Jenis Irigasi
                                                      Keadaan Per 31 Desember 2011

                                                                              Panjang Saluran Irigasi / Jenis Saluran
                                                                                             Irigasi                                               Luas
                                                                                                                                                 Daerah




                                                                                            Sekunder
        No.                         Kecamatan/Kelurahan




                                                                                                                                Jumlah
                                                                                                              Tersier
                                                                              Primer
                                                                               ( M' )                                                            Irigasi




                                                                                              ( M' )




                                                                                                               ( M' )




                                                                                                                                 ( M' )
                                                                                                                                                  ( Ha )

         1                                       2                              4              5                6                 7                   8
         A.    PEMBANGUNAN DAN PENINGKATAN JARINGAN IRIGASI
          1.   D.I. KALI ASIN Rt.27/Rw.05                                                                                                            350.00
               Kelurahan Sedau
               Kecamatan Singkawang Selatan
               Pembuatan Bangunan Sadap
               Pembuatan Saluran Pasangan Batu
               Perbaikan Saluran Sekunder                                                   2,000.00             -          2,000.00
         B.    PENGEMBANGAN DAN PENINGKATAN JARINGAN IRIGASI
          1.   D.I. KALI ASIN DALAM                                                                                                                  350.00
               Kelurahan Sedau
               Kecamatan Singkawang Selatan
               Pembuatan Bangunan Sadap                                                         1.00             -                 1.00
               Perkuatan Tebing Bangunan Sadap                                                150.00             -               150.00
          2.   D.I. NYARUMKOP SEI. TANGKET                                                                                                           401.00
               Kelurahan Nyarumkop
               Kecamatan Singkawang Timur
               Pembuatan Bangunan Sadap                                                         1.00             -              1.00
               Perkuatan Tebing Bangunan Sadap                                                 86.00             -             86.00
               Pembuatan Saluran Pasangan Batu                                                151.00             -            151.00
               Perbaikan Saluran Sekunder                                                   3,000.00             -          3,000.00
          3.   D.I. SAGATANI                                                                                                                         283.00
               Kelurahan Sagatani
               Kecamatan Singkawang Selatan
               Pembuatan Bangunan Sadap                                                         1.00             -              1.00
               Perkuatan Tebing Bangunan Sadap                                                110.00             -            110.00
               Pembuatan Saluran Pasangan Batu                                                 20.00             -             20.00
               Perbaikan Saluran Sekunder                                                   1,000.00             -          1,000.00
          4.   D.I. BONG MAKONG                                                                                                                      200.00
               Kelurahan Sedau
               Kecamatan Singkawang Selatan
               Pembuatan Bangunan Sadap                                                         1.00             -                 1.00
               Pembuatan Saluran Pasangan Batu                                                140.00             -               140.00
          5.   D.I. TAINAM PAJINTAN                                                                                                                  453.00
               Kelurahan Pajintan
               Kecamatan Singkawang Timur
               Pembuatan Bangunan Sadap                                                         1.00             -              1.00
               Pembuatan Saluran Pasangan Batu                                                141.80             -            141.80
               Perbaikan Saluran Sekunder                                                   4,000.00             -          4,000.00




                                                                                 Database Kota Singkawang Tahun 2011                                      |   97
Infrastruktur



1                                    2          4       5        6       7            8
6.    D.I. NYARUMKOP                                                                 401.00
      Kelurahan Nyarumkop
      Kecamatan Singkawang Timur
      Perbaikan Bangunan Bendung                         1.00    -        1.00
      Perkuatan Tebing Bangunan Bendung                     -    -           -
      Pembuatan Saluran Pasangan Batu                   40.00    -       40.00
7.    D.I. PASI PANGMILANG                                                           385.00
      Kelurahan Pangmilang
      Kecamatan Singkawang Selatan
      Pembuatan Bangunan Sadap                            1.00   -         1.00
      Perkuatan Tebing Bangunan Sadap                   116.00   -       116.00
      Pembuatan Saluran Pasangan Batu                    24.40   -        24.40
      Perbaikan Saluran Sekunder                      1,500.00   -     1,500.00
8.    D.I. LOH ABANG                                                                 360.00
      Kelurahan Sagatani
      Kecamatan Singkawang Selatan
      Perbaikan Bangunan Bendung                         1.00    -        1.00
      Perkuatan Tebing Bangunan Sadap                   94.20    -       94.20
      Pembuatan Saluran Pasangan Batu                       -    -           -
C.    REHABILITASI JARINGAN IRIGASI
 1.   D.I. LOH ABANG BAWAH                                                           360.00
      Kelurahan Sagatani
      Kecamatan Singkawang Selatan
      Rehabilitasi Saluran Pasangan Batu                100.00   -       100.00
      Rehabilitasi Saluran Tanah ( Pembawa )          4,000.00   -     4,000.00
      Rehabilitasi Saluran Tanah ( Pembuang )         3,000.00   -     3,000.00
2.    D.I. KALI ASIN LUAR                                                            350.00
      Kelurahan Sedau
      Kecamatan Singkawang Selatan
      Rehabilitasi Saluran Pasangan Batu                 50.00   -        50.00
      Rehabilitasi Saluran Tanah ( Pembawa )          3,300.00   -     3,300.00
      Rehabilitasi Saluran Tanah ( Pembuang )         3,700.00   -     3,700.00
3.    D.I. LIRANG                                                                    250.00
      Kelurahan Sedau
      Kecamatan Singkawang Selatan
      Rehabilitasi Saluran Pasangan Batu                100.00   -       100.00
      Rehabilitasi Saluran Tanah ( Pembawa )          3,800.00   -     3,800.00
      Rehabilitasi Saluran Tanah ( Pembuang )         3,200.00   -     3,200.00
4.    D.I. TELUK KARANG                                                              275.00
      Kelurahan Sedau
      Kecamatan Singkawang Selatan
      Rehabilitasi Bangunan Sadap                         2.00   -         2.00
      Rehabilitasi Saluran Pasangan Batu                 40.00   -        40.00
      Rehabilitasi Saluran Tanah ( Pembawa )          2,500.00   -     2,500.00
      Rehabilitasi Saluran Tanah ( Pembuang )         1,000.00   -     1,000.00
5.    D.I. SIJANGKUNG                                                                425.00
      Kelurahan Sijangkung
      Kecamatan Singkawang Selatan
      Rehabilitasi Bangunan Sadap                         1.00   -         1.00
      Rehabilitasi Saluran Pasangan Batu                 42.00   -        42.00
      Rehabilitasi Saluran Tanah ( Pembawa )          3,000.00   -     3,000.00
      Rehabilitasi Saluran Tanah ( Pembuang )         2,500.00   -     2,500.00
6.    D.I. PETENGAHAN                                                                300.00
      Kelurahan Bagak
      Kecamatan Singkawang Timur
      Rehabilitasi Bangunan Sadap                         2.00   -         2.00
      Rehabilitasi Saluran Pasangan Batu                 40.00   -        40.00
      Rehabilitasi Saluran Tanah ( Pembawa )          2,500.00   -     2,500.00
      Rehabilitasi Saluran Tanah ( Pembuang )         1,000.00   -     1,000.00
7.    D.I. PASI PANGMILANG BAWAH                                                     385.00
      Kelurahan Pangmilang
      Kecamatan Singkawang Selatan
      Rehabilitasi Bangunan Sadap                         2.00   -         2.00
      Rehabilitasi Saluran Pasangan Batu                120.00   -       120.00
      Rehabilitasi Saluran Tanah ( Pembawa )          2,500.00   -     2,500.00
      Rehabilitasi Saluran Tanah ( Pembuang )         2,500.00   -     2,500.00
8.    D. I. PAKUNAM                                                                  250.00
      Kelurahan Sedau
      Kecamatan Singkawang Selatan
      Rehabilitasi Bangunan Sadap                         1.00   -         1.00
      Rehabilitasi Saluran Pasangan Batu                 25.00   -        25.00
      Rehabilitasi Saluran Tanah ( Pembawa )          2,500.00   -     2,500.00




                                                Database Kota Singkawang Tahun 2011       |   98
Infrastruktur



 1                                   2                              4          5             6      7            8
      Rehabilitasi Saluran Tanah ( Pembuang )                                2,500.00        -    2,500.00
                                JUMLAH                                     56,606.40         -   56,606.40   5,778.00

Sumber Data : Dinas Bina Marga, SDA dan ESDM Kota Singkawang




                                                     Tabel 11.8
                         Jumlah Fasilitas/Lapangan Olahraga Di Kota Singkawang
                                         Keadaan Per 31 Desember 2011


                 No                      Nama Fasilitas Olahraga                    Jumlah

                  1     Lapangan Bola Voli                                              4
                  2     Voli Pasir                                                      1
                  3     Lapangan Sepak Bola                                             9
                  4     Tenis Meja                                                      1
                  5     Tenis Lapangan                                                  8
                  6     Lapangan Badminton                                              4
                  7     Lapangan Basket                                                 2
                  8     Lapangan Futsal                                                 8
                  9     Bilyard                                                         1
                  10    Balap Motor                                                     1
                  11    Panjat Tebing                                                   1
                  12    Kolam Renang                                                    1
                                                Jumlah                                  41

                Sumber Data : Dinas Kebudayaan Pariwisata Pemuda dan Olahraga Kota Singkawang




                                                                     Database Kota Singkawang Tahun 2011             |   99
Perekonomian




12. Perekonomian

         PDRB per kapita dapat digunakan sebagai salah satu indikator tingkat
   kemakmuran penduduk suatu daerah/wilayah. PDRB per kapita diperoleh dari hasil bagi
   antara nilai tambah yang dihasilkan oleh seluruh sektor ekonomi di suatu wilayah
   (PDRB) dengan jumlah penduduk.

         Oleh karena itu, besar kecilnya jumlah penduduk berpengaruh terhadap nilai
   PDRB per kapita. Sedangkan besar kecilnya nilai PDRB sangat tergantung pada potensi
   sumber daya alam dan faktor-faktor produksi yang terdapat di daerah tersebut.

         Berdasarkan data dari Badan Pusat Statistik Kantor Kota Singkawang pada
   tahun 2011 untuk Kota Singkawang nilai Produk Domestik Regional Bruto atas dasar
   harga berlaku tercatat sebesar Rp. 2.835.253.800.000,- dengan PDRB per kapita atas
   harga berlaku sebesar Rp. 14.859.742,87,-.

         Menurut komposisi nilai PDRB atas dasar harga berlaku sektor perdagangan,
   hotel dan restoran sebagai penyumbang terbesar dalam perekonomian Kota Singkawang
   mencapai 41,01%. Sektor lainnya yang mengambil peranan terbesar setelah sektor
   perdagangan, hotel dan restoran adalah sektor jasa-jasa sebesar 14,95 %, diikuti sektor
   pertanian 12,18 % dan sektor bangunan sebesar 9,56 %.

         Jumlah simpanan masyarakat Singkawang yang terhimpun baik melalui Bank
   Umum mapun BPR tercatat sebesar Rp. 2.336.965.000.000,- dengan jumlah pinjaman
   yang disalurkan kepada masyarakat sebesar Rp. 1.769.865.000.000,-.

         Berdasarkan jenis penggunaannya pinjaman masyarakat Kota Singkawang
   terbesar digunakan untuk konsumsi Rp. 875.616.000.000,- diikuti untuk modal kerja
   Rp. 729.331.000.000,- dan untuk investasi hanya Rp. 164.918.000.000,-.

         Dari plafond kredit untuk golongan mikro, kecil dan menengah yang diberikan
   sebesar Rp. 426.729.000.000,- terbesar didistribusikan untuk golongan kecil sebesar
   Rp. 222.938.000.000,- diikuti golongan menengah sebesar Rp. 185.946.000.000,- dan
   mikro sebesar Rp. 53.846.000.000,-. Sedangkan penggunaan terbesar untuk konsumsi
   Rp. 0,- untuk modal kerja Rp. 364.665.000.000,- dan untuk investasi hanya
   Rp. 98.064.000.000,-.



                                                     Database Kota Singkawang Tahun 2011| 100
Perekonomian




       Sedangkan    pinjaman    masyarakat    Singkawang       yang   diperoleh   melalui
PT. Pegadaian (persero) pada tahun 2011 sebesar Rp 105.961.218.000,- untuk 40.364
nasabah.   Jumlah pinjaman yang dikembalikan pada tahun yang sama oleh 39.923
nasabah sebesar Rp. 105.402.318.000,-. Sedangkan jumlah pinjaman yang tidak
dikembalikan dari 441 nasabah sebesar Rp. 558.900.000,-.

       Melalui PT. (Persero) Pos Indonesia Cabang Singkawang diketahui selama tahun
2011 jumlah uang yang dikirim ke luar Singkawang sebesar Rp. 7.091.261.312,-. Dengan
rincian uang yang dikirim ke dalam negeri sebesar Rp. 6.834.438.912,- dan uang yang
dikirim ke luar negeri sebesar Rp. 256.822.400,-. Sementara uang yang diterima dari luar
Singkawang pada periode yang sama sebesar Rp. 11.951.067.078,-. Kiriman dari dalam
negeri sebesar Rp. 6.602.106.822,- dan kiriman dari luar negeri sebesar Rp.
5.348.960.256,-.

       Walaupun PDAM Sambas di Singkawang telah diserahkan kepada Pemerintah
Kota Singkawang pada akhir tahun 2008, namun berbagai permasalahan yang ada
sebelumnya berdampak pada belum maksimalnya pelayanan kepada pelanggan, apalagi
memberikan kontribusi dalam peningkatan PAD.

       Jumlah pelanggan PDAM Kota Singkawang tercatat 12.265 pelanggan yang
terbagi atas beberapa kategori sedangkan jumlah air yang didistribusikan selama tahun
2011 sebanyak 1.334.373 M3 yang berasal dari 9 sumber air baku. Pelanggan yang
terbanyak dari kategori non niaga 9.610 pelanggan, air yang didistribusikan sebanyak
900.730 M3. Kategoti niaga 2.382 pelanggan, air yang didistribusikan sebanyak 375.129
M3. Kategori sosial 129 pelanggan, air yang didistribusikan sebanyak 35.860 M3. Kategori
industri 93 pelanggan, air yang didistribusikan sebanyak 22.654 M3. Untuk kategori
khusus 51 pelanggan, air yang didistribusikan sebanyak 13.896 M3.

       Penerimaan    PDAM      Kota    Singkawang     selama     tahun    2011    sebesar
Rp. 7.738.600.732,-, sedangkan pengeluaran sebesar Rp. 8.488.518.952,-. Dengan
demikian PDAM mengalami surplus sebesar Rp. 749.918.220,-.




                                                  Database Kota Singkawang Tahun 2011| 101
Perekonomian




                                         Tabel 12.1
         Perkembangan PDRB Kota Singkawang Atas Dasar Harga Berlaku
                                    Tahun 2009 – 2011
                                      (Jutaan Rupiah)

No            Sektor / Subsektor                 2009            2010*           2011**

1    Pertanian                                  295.413,12      314.838,73       345.455,38
2    Pertambangan dan Penggalian                 40.653,52       42.522,34        45.251,11
3    Industri Pengolahan                        166.952,60      183.396,25       194.906,47
4    Listrik dan Air Minum                       29.763,64       34.392,95        39.644,27
5    Bangunan                                   208.671,75      244.049,28       271.171,36
6    Perdagangan, Hotel dan Restoran            904.168,99     1.028.323,98    1.162.875,48
7    Pengangkutan dan Komunikasi                127.831,55      148.375,34       171.125,17
8    Keuangan, Persewaan dan Jasa               142.568,11      159.502,45       180.815,31
9    Jasa - Jasa                                309.752,66      363.756,56       424.009,25

              Produk Domestik Regional        2.225.775,94     2.519.157,85    2.835.253,80

Sumber Data : Badan Pusat Statistik Kota Singkawang
Keterangan :
*) Angka Sementara
**) Angka Sangat Sementara




                                         Tabel 12.2
         Perkembangan PDRB Kota Singkawang Atas Dasar Harga Konstan
                                    Tahun 2009 - 2011
                                      (Jutaan Rupiah)

No            Sektor / Subsektor                 2009           2010*            2011**

 1    Pertanian                                 164.628,55     169.326,30       175.871,34
 2    Pertambangan dan Penggalian                19.380,65      20.041,34        20.954,47
 3    Industri Pengolahan                        93.138,10      97.344,96       101.877,82
 4    Listrik dan Air Minum                      14.585,56      15.771,68        17.087,75
 5    Bangunan                                   97.238,45     104.096,70       112.773,71
 6    Perdagangan, Hotel dan Restoran           442.863,58     462.604,74       489.864,81
 7    Pengangkutan dan Komunikasi                77.692,61      85.026,76        92.340,36
 8    Keuangan, Persewaan dan Jasa               79.127,05      85.488,90        93.028,83
 9    Jasa - Jasa                               176.846,93     190.388,80       205.754,80
       Produk Domestik Regional              1.165.501,49    1.230.090,19     1.309.553,89

Sumber Data : Badan Pusat Statistik Kota Singkawang
Keterangan :
*) Angka Sementara
**) Angka Sangat Sementara




                                                             Database Kota Singkawang Tahun 2011| 102
Perekonomian




                                      Tabel 12.3
                            PDRB Perkapita Kota Singkawang
               Atas Dasar Harga Berlaku dan Harga Konstan 2000
                                  Tahun 2009 - 2011

                                            PDRB Perkapita
          No        Tahun
                                Harga Berlaku        Harga Konstan 2000
           1        2009        12.183.081,74            6.379.528,02
           2        2010*       13.510.301,57            6.597.002,01
           3        2011**      14.859.742,87            6.863.454,07

          Sumber Data : Badan Pusat Statistik Kota Singkawang
          Keterangan :
          *) Angka Sementara
          **) Angka Sangat Sementara




                                      Tabel 12.4
     Pertumbuhan Ekonomi Kota Singkawang Atas Dasar Harga Konstan
                                  Tahun 2009 - 2011

No                    Sektor / Subsektor                    2009       2010*   2011**

1     Pertanian                                             4,64       2,85    3,87
2     Pertambangan dan Penggalian                            5,5       3,41    4,56
3     Industri Pengolahan                                   3,45       4,52    4,66
4     Listrik dan Air Minum                                 1,64       8,13    8,34
5     Bangunan                                              8,04       7,05    8,34
6     Perdagangan, Hotel dan Restoran                       3,91       4,46    5,89
7     Pengangkutan dan Komunikasi                           7,08       9,44     8,6
8     Keuangan, Persewaan dan Jasa                          4,71       8,04    8,82
9     Jasa - Jasa                                           5,97       7,66    8,07
                              Produk Domestik Regional      4,88       5,54    6,46

Sumber Data : Badan Pusat Statistik Kota Singkawang
Keterangan :
*) Angka Sementara
**) Angka Sangat Sementara




                                      Tabel 12.5
                        Tingkat Inflasi di Kota Singkawang
                                  Tahun 2009 - 2011


          No                  Tahun                  Kumulatif Inflasi
           1                  2009                          1,15

           2                  2010                          7,1

           3                  2011                          6,72

          Sumber Data : Badan Pusat Statistik Kantor Kota Singkawang




                                                           Database Kota Singkawang Tahun 2011| 103
Perekonomian




                                     Tabel 12.6
                               Distribusi Persentase
               Produk Domestik Bruto Atas Dasar Harga Berlaku
                                 Tahun 2009 - 2011

No             Sektor / Subsektor                 2009        2010*     2011**
1     Pertanian                                   13,27       12,50      12,18
2     Pertambangan dan Penggalian                 1,83         1,69       1,60
3     Industri Pengolahan                         7,50         7,28       6,87
4     Listrik dan Air Minum                       1,34         1,37       1,40
5     Bangunan                                    9,38         9,69       9,56
6     Perdagangan, Hotel dan Restoran             40,62       40,82      41,01
7     Pengangkutan dan Komunikasi                 5,74         5,89       6,04
8     Keuangan, Persewaan dan Jasa                6,41         6,33       6,38
9     Jasa - Jasa                                 13,92       14,44      14,95
        Produk Domestik Regional                 100,00       100,00    100,00
Sumber Data : Badan Pusat Statistik Kota Singkawang
Keterangan :
*) Angka Sementara
**) Angka Sangat Sementara




                                     Tabel 12.7
                               Distribusi Persentase
      Produk Domestik Regional Bruto Atas Dasar Harga Konstan 2000
                                 Tahun 2009 - 2011

 No           Sektor / Subsektor                2009         2010*      2011**

 1     Pertanian                                14,13         13,77      13,43
 2     Pertambangan dan Penggalian              1,66          1,63       1,60
 3     Industri Pengolahan                      7,99          7,91       7,78
 4     Listrik dan Air Minum                    1,25          1,28       1,30
 5     Bangunan                                 8,34          8,46       8,61
 6     Perdagangan, Hotel dan Restoran          38,00         37,61      37,41
 7     Pengangkutan dan Komunikasi              6,67          6,91       7,05
 8     Keuangan, Persewaan dan Jasa             6,79          6,95       7,10
 9     Jasa - Jasa                              15,17         15,48      15,71
        Produk Domestik Regional               100,00        100,00     100,00

 Sumber Data : Badan Pusat Statistik Kota Singkawang
 Keterangan :
 *) Angka Sementara
 **) Angka Sangat Sementara




                                                          Database Kota Singkawang Tahun 2011| 104
Perekonomian




                                         Tabel 12.8
                 Simpanan dan Pinjaman Masyarakat Kota Singkawang
                                    Di Bank Umum dan BPR
                             Dalam Rupiah dan Valuta Asing
                          Periode Januari s/d Desember 2011
                                       (dalam Juta Rp)

                                        Simpanan
              NO.         Bulan                          Pinjaman Masyarakat
                                        Masyarakat
                 1      Januari             2.207.131                1.171.334
                 2      Pebruari            2.231.499                1.302.847
                 3      Maret               2.038.341                1.334.259
                 4      April               2.086.659                1.442.137
                 5      Mei                 2.092.008                1.504.849
                 6      Juni                2.126.064                1.540.981
                 7      Juli                2.125.038                1.582.272
                 8      Agustus             2.106.409                1.612.576
                 9      September           2.160.316                1.637.969
                 10     Oktober             2.182.908                1.711.064
                 11     November            2.208.770                1.765.227
                 12     Desember            2.336.965                1.769.865
                      Jumlah 2011          2.336.965                1.769.865
                      Jumlah 2010          2.182.466                1.175.266
                      Jumlah 2009          1.379.889                  949.586
              Sumber Data : Bank Indonesia Cabang Pontianak (Statistik Ekonomi
                            Keuangan Daerah Provinsi Kalimantan Barat Terbitan
                            Januari 2012)




                                 Tabel 12.9
     Posisi Simpanan Masyarakat Kota Singkawang Di Bank Umum dan BPR
                       Dalam Rupiah dan Valuta Asing
                        Berdasarkan Jenis Simpanan
                     Periode Januari s/d Desember 2011
                              (dalam Juta Rp)

                                         Simpanan
No       Bulan             Giro                             Tabungan              Jumlah
                                         Berjangka
1    Januari               205.244            416.503           1.585.384            2.207.131
2    Pebruari              211.639            422.554           1.597.306            2.231.499
3    Maret                 199.403            393.909           1.445.029            2.038.341
4    April                 205.309            394.167           1.487.184            2.086.659
5    Mei                   205.443            397.962           1.488.603            2.092.008
6    Juni                  217.869            398.699           1.509.496            2.126.064
7    Juli                  194.175            404.837           1.526.026            2.125.038
8    Agustus               170.043            407.734           1.528.632            2.106.409
9    September             178.843            430.816           1.550.657            2.160.316
10 Oktober                 188.347            429.387           1.565.174            2.182.908
11 November                177.079            434.686           1.597.006            2.208.770
12 Desember                169.478            427.352           1.740.134            2.336.965
  Jumlah 2011             169.478            427.352           1.740.134            2.336.965
  Jumlah 2010             172.757            410.473           1.599.236            2.182.466
  Jumlah 2009             109.498            336.936             933.455            1.379.889
Sumber Data : Bank Indonesia Cabang Pontianak (Statistik Ekonomi Keuangan Daerah Provinsi
               Kalimantan Barat Terbitan Januari 2012)




                                                             Database Kota Singkawang Tahun 2011| 105
Perekonomian



                                                                                  Tabel 12.10
                                 Posisi Pinjaman Masyarakat Kota Singkawang Yang Diberikan Bank Umum dan BPR Dalam Rupiah dan Valuta Asing
                                                        Berdasarkan Sektor Lapangan Usaha dan Bukan Lapangan Usaha
                                                                      Periode Januari S/D Desember 2011
                                                                                (Dalam Juta Rp)

                                                                                                                      Bulan
No.            Jenis Kegiatan
                                            Jan            Peb          Mar          Apr           Mei          Jun            Jul        Agust           Sep         Okt         Nop         Des
Pinjaman Berdasarkan Lapangan Usaha
      Pertanian, Peternakan,
                                              78.998       82.143        86.934       86.627        91.659      107.954       112.094         111.790     109.245     112.164     113.124     281.448
      Kehutanan & Perikanan
 2    Pertambangan& Penggalian                 2.381        2.389         2.352        2.688         2.265        2.144         2.133           2.065       2.378       2.332       2.283       2.450
 3    Perindustrian                           25.103       24.931        24.844       84.378      110.140       114.477       115.224          34.801      35.114      76.405      84.111      86.520
      Perdagangan, Hotel dan
 4                                           302.950      303.763       303.634      315.662      315.541       349.523       358.078         430.259     434.239     439.303     464.514     404.592
      Restoran
 5    Jasa-jasa                               63.569      115.380       136.711      149.405      159.585       133.835       140.012         141.369     143.830     148.116     148.427      79.984
      - Listrik, Gas dan Air                       -            -             -            -            -             -             -               -           -           -           -           -
      - Konstruksi                             6.271        6.334         7.306        7.523        8.445         7.483         8.118           8.645       9.551       9.863       9.427      11.276
          Pengangkutan dan
      -                                        5.142         4.941        4.267        4.228         4.444        4.623         4.740           5.352       5.176       5.522       5.452       5.724
          komunikasi
          Keuangan, real Estat dan
      -                                       14.413       12.547        12.458       12.283        13.450       15.834        15.396          23.487      22.594      22.221      22.236      22.254
          Jasa Perusahaan
      -     Jasa Sosial Masyarakat                  -            -            -             -            -             -             -              -           -           -           -           -

                Jumlah                      498.828      552.428       578.506      662.794       705.529      735.872        755.793     757.769        762.126     815.926     849.574     894.249

Pinjaman Kepada Bukan Lapangan Usaha
 1    Rumah Tinggal                           57.927       60.280        62.502       63.255        65.478       68.452        69.409          74.137      75.250      92.351     106.992     169.286

 2    Flat dan Apartemen                            -            -            -             -            -             -             -              -           -           -           -         846

 3    Ruko dan Rukan                          41.523       42.141        45.997       49.499        52.557       54.025        56.484          59.847      61.412      64.511      66.905      67.451

 4    Kendaraan Bermotor                     147.491      160.940       167.622      172.023      179.702       173.045       186.993         204.655     222.565     229.843     240.174     237.765
 5    Lainnya                                425.566      487.058       479.632      494.566      501.583       509.587       513.593         516.168     516.616     508.433     501.581     400.269
                Jumlah                      672.506      750.419       755.753      779.344       799.320      805.109        826.479     854.807        875.843     895.138     915.653     875.616

             Jumlah 2011                  1.171.334     1.302.847    1.334.259    1.442.137     1.504.849    1.540.981     1.582.272     1.612.576      1.637.969   1.711.064   1.765.227   1.769.865

             Jumlah 2010                  1.031.070     1.051.023      972.277    1.071.061     1.100.721    1.124.173     1.118.164     1.156.034      1.170.383   1.198.391   1.166.807   1.175.266
             Jumlah 2009                    745.490      744.366       755.618      780.764       788.548      839.862        848.237     861.702        887.429     906.478     925.817     949.586
          Sumber Data : Bank Indonesia Cabang Pontianak (Statistik Ekonomi Keuangan Daerah Provinsi Kalimantan Barat Terbitan Januari 2012)




                                                                                                                                                   Database Kota Singkawang Tahun 2011| 106
Perekonomian




                                    Tabel 12.11
                   Posisi Pinjaman Masyarakat Kota Singkawang
        Yang Diberikan Bank Umum dan BPR Dalam Rupiah dan Valuta Asing
                           Berdasarkan Jenis Penggunaan
                       Periode Januari S/D Desember 2011
                                  (Dalam Juta Rp)

                                                     Peruntukan
No       Bulan
                       Modal Kerja           Investasi        Konsumsi                Jumlah
 1     Januari               396.100              102.728          672.506              1.171.334
 2     Pebruari              446.701              105.727          750.419              1.302.847
 3     Maret                 470.005              108.501          755.753              1.334.259
 4     April                 539.405              123.389          779.344              1.442.137
 5     Mei                   562.775              142.754          799.320              1.504.849
 6     Juni                  587.160              148.711          805.109              1.540.981
 7     Juli                  605.327              150.466          826.479              1.582.272
 8     Agustus               606.477              151.292          854.807              1.612.576
 9     September             611.788              150.338          875.843              1.637.969
10,    Oktober               650.443              165.483          895.138              1.711.064
11     November              682.040              167.534          915.653              1.765.227
12     Desember              729.331              164.918          875.616              1.769.865
      Jumlah 2011           729.331              164.918          875.616              1.769.865
      Jumlah 2010           425.778              101.807          647.681              1.175.266
      Jumlah 2009           428.775               72.070         448.741                 949.586
 Sumber Data : Bank Indonesia Cabang Pontianak (Statistik Ekonomi Keuangan Daerah Provinsi
              Kalimantan Barat Terbitan Januari 2012)




                                      Tabel 12.12
        Posisi Kredit Mikro, Kecil dan Menengah Masyarakat Kota Singkawang
          Yang Diberikan Bank Umum dan BPR Berdasarkan Plafond Kredit
                         Periode Januari S/D Desember 2011
                                    (Dalam Juta Rp)

                                               Kecil               Menengah
                         Mikro
No      Bulan                            ( > Rp. 50 Juta -     ( > Rp. 500 Juta -        Jumlah
                    (sd Rp. 50 Juta)
                                           Rp. 500 Juta)          Rp. 5 Miliar )
 1     Januari                23.902                152.599                101.488         277.988
 2     Pebruari               57.945                169.592                103.614         331.151
 3      Maret                 80.342                184.991                 96.944         362.277
 4       April                94.298                185.378                102.107         381.783
 5       Mei                 101.820                186.473                123.676         411.969
 6       Juni                109.948                212.584                123.807         446.339
 7       Juli                114.153                212.346                130.546         457.045
 8     Agustus               122.957                181.835                177.348         482.140
 9   September               125.574                183.272                176.065         484.911
10,    Oktober               125.549                187.969                165.264         478.782
11    November               125.800                194.661                176.431         496.892
12    Desember                53.846                222.938                185.946         462.729
  Jumlah 2011                53.846                222.938                185.946         426.729
  Jumlah 2010               225.917                534.038                258.656       1.018.611
  Jumlah 2009               190.327                373.638                197.958         761.922

 Sumber Data : Bank Indonesia Cabang Pontianak (Statistik Ekonomi Keuangan Daerah Provinsi
               Kalimantan Barat Terbitan Januari 2012)




                                                               Database Kota Singkawang Tahun 2011| 107
Perekonomian


                                                                                   Tabel 12.13
                                                     Posisi Kredit Mikro, Kecil dan Menengah Masyarakat Kota Singkawang
                                                      Yang Diberikan Bank Umum dan BPR Berdasarkan Sektor Ekonomi
                                                                        Periode Januari S/D Desember 2011
                                                                                    (Dalam Juta Rp)

                                                                                                                Bulan
No.               Uraian
                                         Jan           Peb        Mar         Apr         Mei         Jun           Jul          Agust         Sep         Okt          Nop         Des

 1    Pertanian                           27.629       27.661     27.910      27.552      35.217      35.371        36.210       36.259        36.536       36.886      38.604       41.334

 2    Pertambangan                             197        249        250         233         250         250             250        250           600            600       597            812

 3    Perindustrian                       14.300       14.621     15.093      15.360      17.534      17.175        18.046       17.695        18.886       19.569      20.049       21.205

 4    Perdagangan                        192.910      195.737    205.760     212.312     219.977    246.509        248.861      263.426       261.438      250.710     266.517      296.056

 5    Jasa-jasa
      -   Listrik, Gas dan Air                  0            0          0           0           0           0              0             0           0            0           0            0
      -   Konstruksi                       3.208        3.258      3.311       3.503       4.408       3.721            4.461     5.003         5.907        6.283       5.916        5.851
      -   Pengangkutan                     3.380        3.256      3.008       3.056       3.357       3.652            3.351     3.734         3.692        3.798       3.842        4.074
      -   Jasa Perusahaan                  8.598        7.136      7.590       7.731       9.192      11.909        11.769       20.296        19.738       18.164      18.512       18.923
      -   Jumlah Jasa-jasa                27.767       79.234     99.357     112.036     122.034    127.751        134.096      135.477       138.115      142.771     142.855       74.475
                       Jumlah 2011      277.988       331.151    362.277    381.783     411.969     446.339       457.045       482.140      484.9111     478.782      496.892     462.729

                       Jumlah 2010      689.730       698.400    794.197    881.732     879.060     927.215       925.214       963.953       984.055    1.011.643     990.642    1.018.611

                       Jumlah 2009      612.934       615.004    628.691    645.763     657.339     675.333       680.478       694.449       715.801     734.560      750.076     761.922

Sumber Data : Bank Indonesia Cabang Pontianak(Statistik Ekonomi Keuangan Daerah Provinsi Kalimantan Barat Terbitan Januari 2012)




                                                                                                                                             Database Kota Singkawang Tahun 2011| 108
Perekonomian




                                                 Tabel 12.14
              Posisi Kredit Mikro, Kecil dan Menengah Masyarakat Kota Singkawang
               Yang Diberikan Bank Umum dan BPR Berdasarkan Jenis Penggunaan
                                  Periode Januari S/D Desember 2011
                                               (Dalam Juta Rp)

          No       Bulan          Modal Kerja       Investasi            Konsumsi         Jumlah
          1      Januari               215.195             62.793                   0       277.988
          2      Pebruari              265.106             66.045                   0       331.151
          3      Maret                 292.031             70.247                   0       362.277
          4      April                 381.783             72.162                   0       381.783
          5      Mei                   411.969             82.827                   0       411.969
          6      Juni                  446.339             90.289                   0       446.339
          7      Juli                  457.045             92.701                   0       457.045
          8      Agustus               482.140             99.886                   0       482.140
          9      September             484.911             99.472                   0       484.911
         10,     Oktober               478.782            100.849                   0       478.782
          11     November              496.892            103.808                   0       496.892
          12     Desember              462.729             98.064                   0       462.729
           Jumlah 2011                364.665             98.064                    0      462.729
           Jumlah 2010                282.863          282.863             644.700        1.018.611
           Jumlah 2009                273.639             43.165           445.118         761.922

         Sumber Data : Bank Indonesia Cabang Pontianak (Statistik Ekonomi Keuangan Daerah
                       Provinsi Kalimantan Barat Terbitan Januari 2012)



                                                   Tabel 12.15
                   Penyaluran Pinjaman Melalui PT. Pegadaian Persero Singkawang
                   Berdasarkan Bulan, Jumlah Nasabah, Jenis Barang Yang Digadai
                                    Dan Jumlah Pinjaman Yang Diberikan
                                       Keadaan Per 31 Desember 2011

                                                    Jenis Barang yang Digadai                            Jumlah
                                                                                                        Pinjaman
                        Jumlah     Perhiasan     Kendaraan      Kendaraan     Elekronik    Lainnya        Yang
NO.      Bulan
                        Nasabah      Emas         Roda 2          Roda 4       ( Unit )    ( Unit )     Diberikan
                                     (Ktg)        ( Unit )       ( Unit )                              ( x 1.000 )
 1    Januari             3.313      4.525           12              -                4        1        7.896.308
 2    Februari            2.937      3.994           16              -               11        3        6.868.999
 3    Maret               3.306      4.503           8               -               18        5        7.516.244
 4    April               3.101      4.141           10              1                9        1        7.020.788
 5    Mei                 3.363      4.530           2               3               10        2        8.078.816
 6    Juni                3.168      4.358           10              2                1        4        8.223.554
 7    Juli                3.332      4.564           11              1                7        1        8.605.900
 8    Agustus             3.103      4.171           14              1                6        1        8.604.170
 9    September           3.886      5.617           11              -                8        1       11.406.227
10    Oktober             3.597      4.908           7               1                9        3       10.099.927
11    Nopember            3.699      5.037           11              2                7        4       10.311.658
12    Desember            3.559      4.865           12              -                8        1       11.328.627
  Jumlah 2011            40.364     55.213          124             11              98        27      105.961.218
  Jumlah 2010            25.826     49.864          106             11              114       27       78.301.794
  Jumlah 2009            28.763     45.040          99              14              46        51       65.550.330
Sumber Data : PT. Pegadaian (Persero) Cabang Singkawang




                                                                     Database Kota Singkawang Tahun 2011| 109
Perekonomian




                                                   Tabel 12.16
              Pinjaman Masyarakat Yang Tidak Dikembalikan Pada PT. Pegadaian Persero
                      Berdasarkan Bulan, Jumlah Nasabah, Jenis Barang Yang Digadai
                               Dan Jumlah Pinjaman Yang Tidak Dikembalikan
                                       Keadaan Per 31 Desember 2011

                                                  Jenis Barang yang Tidak Ditebus                          Jumlah
                                                                                                          Pinjaman
                       Jumlah      Perhiasan      Kendaraan     Kendaraan                                   Yang
No.        Bulan                                                              Elekronik     Lainnya
                       Nasabah       Emas           Roda 2        Roda 4                                  Diberikan
                                                                               ( Unit )     ( Unit )
                                     (Ktg)         ( Unit )      ( Unit )                                ( x 1.000 )
1       Januari           46           50            -              -            -             -           55.828
2       Februari          43           48            -              -            -             -           46.038
3       Maret             44           46            -              -            -             1           59.685
4       April             41           46            -              -            2             -           38.345
5       Mei               34           38            -              -            -             -           38.427
6       Juni              30           35            -              -            2             -           39.083
7       Juli              34           38            -              -            -             -           37.783
8       Agustus           31           35            -              -            -             -           29.662
9       September         29           33            -              -            -             -           24.526
10      Oktober           55           59            -              -            -             -           86.667
11      Nopember          45           52            1              -            -             -           95.167
12      Desember           9           11            -              -            -             -            7.689
      Jumlah 2011        441          491            1              -            4             1          558.900
      Jumlah 2010        750          831            0              0            2             0          676.518
      Jumlah 2009        273          530            -              -            -             -          453.330
      Sumber Data : PT. Pegadaian (Persero) Cabang Singkawang




                                                    Tabel 12.17
               Pengembalian Pinjaman Masyarakat Pada PT. Pegadaian Persero Singkawang
                       Berdasarkan Bulan, Jumlah Nasabah, Jenis Barang Yang Digadai
                                   Dan Jumlah Pinjaman Yang Dikembalikan
                                        Keadaan Per 31 Desember 2011
     (Dalam Ribuan)

                                                         Jenis Barang yang Ditebus                           Jumlah
                         Jumlah                                                                             Pinjaman
No.         Bulan        Nasabah      Perhiasan     Kendaraan     Kendaraan                                   Yang
                                                                                Elekronik     Lainnya
                                        Emas          Roda 2        Roda 4                                  Diberikan
                                                                                 ( Unit )     ( Unit )
                                        (Ktg)        ( Unit )      ( Unit )                                ( x 1.000 )
 1      Januari            3.267        4.475             12             -            4             1       7.840.480
 2      Februari           2.894        3.946             16             -           11             3       6.822.961
 3      Maret              3.262        4.457             8              -           18             4       7.456.559
 4      April              3.060        4.095             10             1            7             1       6.982.443
 5      Mei                3.329        4.492             2              3           10             2       8.040.389
 6      Juni               3.138        4.323             10             2           (1)            4       8.184.471
 7      Juli               3.298        4.526             11             1            7             1       8.568.117
 8      Agustus            3.072        4.136             14             1            6             1       8.574.508
 9      September          3.857        5.584             11             -            8             1      11.381.701
10      Oktober            3.542        4.849             7              1            9             3      10.013.260
11      Nopember           3.654        4.985             10             2            7             4      10.216.491
12      Desember           3.550        4.854             12             -            8             1      11.320.938
        Jumlah 2011       39.923       54.722            123            11           94            26     105.402.318
      Sumber Data : PT. Pegadaian (Persero) Cabang Singkawang




                                                                     Database Kota Singkawang Tahun 2011| 110
Perekonomian




                                       Tabel 12.18
                       Pengiriman Uang Melalui Kantor Pos Singkawang
                 Berdasarkan Bulan, Jumlah Uang Yang Dikirim dan Di Terima
                           Periode Januari s/d 31 Desember 2011
                        Pengiriman Uang Dalam Negeri              Pengiriman Uang Luar Negeri
No      Bulan          Uang Yang            Uang Yang            Uang Yang         Uang Yang
                        Dikirim              Diterima             Dikirim           Diterima
                         (Rp)                  (Rp)                (Rp)               (Rp)
1     Januari           901.125.000            794.321.000         21.293.000        241.726.400
2     Februari           432.000.000           550.175.560         15.185.800         457.595.000
3     Maret              569.536.576           570.821.000         13.032.700         445.746.688
4     April              352.950.000           495.250.000         14.935.300         396.720.000
5     Mei                330.910.000           550.001.000         42.755.400         415.698.000
6     Juni               492.532.000           384.750.000         37.829.200         398.575.000
7     Juli               594.712.551           555.788.262         20.053.500         498.817.000
8     Agustus            695.320.003           596.321.000          5.500.000         754.000.000
9     September          953.201.000           701.000.000         15.400.000         498.000.000
10    Oktober            511.026.000           575.211.000         13.520.000         300.055.168
11    November           300.050.000           328.468.000         14.900.000         414.027.000
12    Desember           701.075.782           500.000.000         42.417.500         528.000.000
     Jumlah           6.834.438.912        6.602.106.822         256.822.400       5.348.960.256

Sumber Data : PT. (Persero) Pos Indonesia Cabang Singkawang



                                         Tabel 12.19
                        Jumlah Pelanggan PDAM Kota Singkawang
                             Berdasarkan Kategori Pelanggan
                          Keadaan Tahun 2009, 2010 dan 2011
                                                               Jumlah Pelanggan
No               Katagori Pelanggan
                                                 Tahun 2009       Tahun 2010      Tahun 2011
1     Sosial                                         172              167            129
      a. Sosial Umum                                  63               63             26
      b. Sosial Khusus                               109              104            103
2     Non Niaga                                     9.782            9.708          9.610
      a. Rumah Tangga A                               58               53             50
      b. Rumah Tangga B                             2.294            1.998          1.007
      c. Rumah Tangga C                             7.342            7.583          8.486
      d. Rumah Tangga D                                -                -              -
      f. Instansi Pemerintah                         88                74             67
3     Niaga                                         2.298            2.316          2.382
      a. Niaga Kecil                                 581              590            605
      b. Niaga Menengah                              656              654            674
      c. Niaga Besar                                1.061            1.072          1.103
4     Industri                                        98               98             93
      a. Industri Kecil                               23               21             21
      b. Industri Menengah                           43                32             32
      c. Industri Besar                               32               45             40
5     Khusus                                          52               51             51
      a. Karyawan                                     52               51             51
      b. Pelabuhan
      c. Susut/Hilang Dalam Perjalanan
                                    Jumlah         12.402           12.340          12.265
Sumber Data : PDAM Kota Singkawang




                                                            Database Kota Singkawang Tahun 2011| 111
Perekonomian




                                                  Tabel 12.20
                               Jumlah Distribusi Air Pada PDAM Kota Singkawang
                                       Berdasarkan Kategori Pelanggan
                                    Keadaan Tahun 2009, 2010 dan 2011

                                                                         Jumlah Pemakaian (M3)
       No               Katagori Pelanggan
                                                            Tahun 2009         Tahun 2010          Tahun 2011
        1     Sosial                                          39.236             31.812              35.860
              a. Sosial Umum                                  11.806               6.190              6.024
              b. Sosial Khusus                                27.430              25.622              29.836
        2     Non Niaga                                      931.380             866.190            900.730
              a. Rumah Tangga A                                5.600               5.740              5.651
              b. Rumah Tangga B                               95.132             122.604              91.390
              c. Rumah Tangga C                               758.481            677.117             739.969
              d. Rumah Tangga D                                  -                   -                   -
              f. Instansi Pemerintah                          72.167              60.729              63.720
        3     Niaga                                          386.900             363.687            375.129
              a. Niaga Kecil                                  68.189              64.085              70.264
              b. Niaga Menengah                               100.755             92.056              94.254
              c. Niaga Besar                                  217.956            207.546             210.611
        4     Industri                                        31.719             30.029              22.654
              a. Industri Kecil                                5.786               5.740              5.487
              b. Industri Menengah                             7.966               3.835              3.730
              c. Industri Besar                               17.967              20.454              13.437
        5     Khusus                                          14.271             14.278              13.896
              a. Karyawan                                     14.271              14.278              13.896
              b. Pelabuhan
              c. Susut/Hilang Dalam perjalanan/Air yang
                                                                                 1.588.207          1.410.290
                  tidak dapat dipertanggung jawabkan
        6     Air Tangki                                      14.076
                           Jumlah                           1.417.582            1.305.996         1.334.373

       Sumber Data : PDAM Kota Singkawang



                                                Tabel 12.21
                                   Sumber Air Baku PDAM Kota Singkawang
                          Berdasarkan Bulan, Sumber Air Baku dan Rata-Rata Debit Air
                                     Periode Januari s/d Desember 2011
                               Kapasitas Produksi Sumber Air Baku / Rata-Rata Debit Air (liter/detik) Perbulan
No          Bulan    Hangmoy     Hangmoy Hangmoy                                                                 Bagak
                                                          Eria   Sejangkung Poteng Sedau Pangmilang
                         I           II          III                                                             Sahwa
1    Januari           4,50        3,50        3,00     100,82       1,00      1,09      1,00       0,30          0,50
2    Pebruari          6,50        3,50        3,00      96,64       1,00      1,09      1,00       0,30          0,50
3    Maret             4,50        3,50        4,00      90,73       1,00      2,35      1,00       0,30          0,50
4    April             3,00        3,50        3,00      64,72       1,00      2,00      0,50       0,00          0,50
5    Mei               3,00        3,50        4,00      78,20       1,00      3,00      0,50       1,00          0,50
6    Juni              4,00        4,00        3,00      55,78       1,00      3,00      0,50       0,00          0,50
7    Juli              3,00        3,00        2,50      48,92       1,00      2,00      0,00       0,00          0,25
8    Agustus           4,00        2,00        2,50      66,17       1,50      2,00      0,50       0,00          0,30
9    September         4,00        3,00        3,00      74,58       1,50      2,00      0,00       0,00          0,30
10 Oktober             4,00        5,00        3,00      89,02       1,50      2,00      0,00       0,00          0,30
11 Nopember            7,00        7,00        7,00      94,00       3,50      2,50      2,50       0,00          2,00
12 Desember            7,00        7,00        7,00      94,00       3,50      2,50      2,50       0,00          2,00
Rata-Rata 2011         4,54        4,04        3,75     79,47        1,54      2,13     0,83        0,16          0,68
Rata-Rata 2010         4,38        3,21        2,64     81,12        0,99       1,5     0,87        0,28          0,32
Rata-Rata 2009         5,46        1,63        5,00     58,82        1,46      1,92     1,41         0,5          0,5
     Sumber Data : PDAM Kota Singkawang




                                                                       Database Kota Singkawang Tahun 2011| 112
Perekonomian




                                               Tabel 12.22
                     Penerimaan PDAM Singkawang Dari Air Yang Disalurkan
                                     Berdasarkan Kategori Pelanggan
                                 Periode Januari s/d Desember 2011


                                                  Kategori
                                                                                          Jumlah
No     Bulan
                      Sosial          Non Niaga              Niaga        Industri         (Rp.)
                      (Rp.)             (Rp.)                (Rp.)          (Rp.)
1    Januari         6.006.415         356.517.335       262.306.565       23.902.265     648.732.580
2    Pebruari        3.611.415         351.753.005       268.546.360       23.371.730     647.282.510
3    Maret           6.132.965         374.058.335       295.112.575       21.521.370     696.825.245
4    April           4.289.995         369.154.060       260.909.055       20.974.505     655.327.615
5    Mei             4.191.405         369.639.055       253.624.975       19.746.935     647.202.370
6    Juni            4.407.720         337.751.730       270.343.220       20.692.565     633.195.235
7    Juli            4.724.960         356.879.835       256.004.795       23.195.420     640.805.010
8    Agustus         6.357.163         354.624.750       225.169.125       17.706.855     603.857.893
9    September       5.320.980         307.539.454       226.612.675       21.068.630     560.541.739
10   Oktober         6.703.020         355.229.095       257.033.030       20.441.240     639.406.385
11   Nopember        4.067.215         372.526.191       256.580.590       25.480.825     658.654.821
12   Desember        5.460.570         399.614.963       273.410.361       28.283.435     706.769.329
 Jumlah 2011       61.273.823        4.305.287.808    3.105.653.326      266.385.775    7.738.600.732
 Jumlah 2010       49.193.080        3.723.068.243    2.802.558.420      388.449.550    6.963.269.293
 Jumlah 2009       36.902.608        2.324.514.270    1.750.886.420      191.076.290    4.303.379.588

Sumber Data : PDAM Kota Singkawang




                                                                Database Kota Singkawang Tahun 2011| 113
Perekonomian




                                                                                                        Tabel 12.23
                                                     Pengeluaran Pada PDAM Kota Singkawang Berdasarkan Jenis Pengeluaran dan Bulan
                                                                                      Periode Januari s/d Desember 2011



No               Uraian                 Januari      Pebruari        Maret         April          Mei           Juni          Juli         Agustus       September      Oktober      November      Desember          Jumlah


1    Upah/Gaji Dan Lainnya             466.083.641   470.584.186   512.725.920   490.650.691   527.670.038   568.887.256   566.040.779    809.782.844    570.418.666   541.654.865   576.611.072   540.430.182     6.641.540.140

2    Bahan Kimia                        6.006.000    21.186.000         -        20.209.000     9.009.000    13.016.650     8.984.250     11.108.000     11.198.000    32.172.250         -         6.517.500      139.406.650
3    Bahan Bakar                            -             -             -             -         4.800.000     6.600.000         -         12.600.000          -             -             -              -          24.000.000
4    Listrik, Air & Telepon            41.773.564    43.618.385    41.489.635    39.353.516    32.382.108    34.634.134    29.612.631     25.671.497     75.571.061    115.978.512   54.584.805     58.076.792     592.746.640
5    Alat Tulis Kantor                 15.632.777    17.838.958    14.886.396    19.544.899    22.313.287     7.486.650    18.020.127     20.403.445     25.281.556    27.035.023    24.468.002     25.171.291     238.082.411

6    Pemeliharaan                       5.105.500     5.629.500     1.455.920     5.378.975    27.389.450    109.259.935    5.466.905     92.459.625      4.607.500     1.725.000     2.959.000      1.433.375     262.870.685
7    Pengeliaran Lainnya                7.786.000    15.565.987    14.250.725    16.135.500     8.972.000    10.603.400    16.962.700      5.674.220      3.001.000     5.646.087     1.802.000      4.527.170     110.926.789
     Sewa Gedung, Mesin Dan Alat-
8                                           -             -             -             -             -             -             -              -              -             -             -              -               -
     Alat
9    Pajak Tak Langsung                     -             -             -             -             -             -             -              -              -             -             -              -               -
10   Bunga Atas Pinjaman                    -             -             -             -             -             -             -              -              -             -             -              -               -
     Hadiah, Sumbangan, Derma
11                                      450.000       1.150.000     750.000       2.900.000     4.025.000     1.500.000     3.800.000       465.000       400.000       850.000       1.950.000      450.000        18.690.000
     Sejenisnya
12   Perjalanan Dan Transportasi        4.505.000     3.475.000     3.200.000     6.565.000     3.435.000     3.095.000    11.110.000      7.955.000      2.880.000     8.850.000     5.000.000      7.500.000      67.570.000
13   Dan Lain-Lain
      Rupa-Rupa Biaya Kantor            2.895.000     658.000       5.071.000     789.400       691.000        95.000       4.306.000      2.419.000      3.041.700     1.849.500     2.054.000      614.000        24.483.600
      Rupa-Rupa Urs Langg               395.480       622.500       125.000       3.573.000      64.000           -             -           10.000        137.000       101.000       795.000        2.186.000       8.008.980
      Rupa-Rupa Biaya Umum             182.114.827    2.270.901     2.162.179    12.195.977    114.861.197    1.188.400     1.915.027     11.463.797      4.205.313     2.816.707    12.010.686     12.988.046     360.193.057

                         Jumlah 2011   732.747.789   582.599.417   596.116.775   617.295.958   755.612.080   756.366.425   666.218.419   1.000.012.428   700.741.796   738.678.944   682.234.565   659.894.356     8.488.518.952
                         Jumlah 2010   278.030.938   286.738.522   344.720.350   401.704.574   393.585.338   427.638.860   415.199.234    591.175.102    390.627.042   437.527.917   486.247.447   1.023.333.653   5.557.508.582
                         Jumlah 2009   344.460.810   316.141.956   368.875.495   404.814.240   349.814.928   414.390.227   344.247.536    301.614.011    394.918.226   322.413.942   326.567.880   446.359.338     4.336.618.592


Sumber Data : PDAM Kota Singkawang




                                                                                                                                                         Database Kota Singkawang Tahun 2011| 114
Keuangan Daerah




13. Keuangan Daerah

          Idealnya dalam suatu APBD jumlah pendapatan lebih besar dari pada jumlah
   belanja, minimal jumlah pendapatan dan belanja sama besarnya. Tetapi dalam APBD
   Kota Singkawang Tahun Anggaran 2011 kebutuhan belanja masih lebih besar dari pada
   pendapatan yang diterima dimana jumlah pendapatan Rp. 488.221.392.455,43 sedangkan
   jumlah belanja sebesar Rp.491.203.921.326,-.

         Untuk penggunaan belanja dalam ABPD Kota Singkawang Tahun Anggaran 2011
   sudah    termasuk      ideal.   Karena  jumlah   belanja   tidak   langsung  hanya
   Rp.    274.218.707.715,-      sedangkan   jumlah    belanja    langsung    mencapai
   Rp. 216.985.213.611,-.

         Dalam perubahan APBD Kota Singkawang Tahun Anggaran 2011 terjadi
   peningkatan baik dalam pendapatan maupun dalam belanja. Untuk pendapatan terjadi
   peningkatan yang cukup besar menjadi Rp488.221.392.455,- dan untuk belanja menjadi
   Rp. 491.203.921.326.

          PAD khususnya pajak daerah dan retribusi daerah merupakan sumber
   penerimaan yang signifikan bagi pembiayaan pembangunan di suatu daerah. Jumlah
   penerimaan komponen pajak daerah dan retribusi daerah sangat dipengaruhi oleh
   banyaknya jenis pajak daerah dan retribusi daerah yang diterapkan serta disesuaikan
   dengan peraturan yang berlaku yang terkait dengan penerimaan kedua komponen
   tersebut.

          Dari 9 jenis pajak daerah yang ada pada tahun 2011 terealisasi
   Rp. 5.631.817.937,-. Sedangkan dari 14 Jenis Retribusi Daerah terealisasi sebesar
   Rp. 20.408.033.765,68. Jumlah penerimaan terbesar berasal dari Retribusi Pelayanan
   Kesehatan Rp.16.878.007.635,62. Dan retribusi yang tidak ada realisasinya adalah
   Retribusi Izin Pengelolaan Sarang Burung Walet.




                                                 Database Kota Singkawang Tahun 2011   | 115
Keuangan Daerah




                                                                  Tabel 13.1
                                                  Ringkasan APBD Kota Singkawang
                                                    Tahun Anggaran 2009 - 2011

                                                                      Tahun Anggaran        Tahun Anggaran        Tahun Anggaran
    No                            Uraian
                                                                          2009                  2010                  2011
1           PENDAPATAN                                                370.581.099.897,00    450.938.434.653,92   488.221.392.455,43
1.1         Pendapatan Asli Daerah                                    24.286.099.897,00     28.914.325.215,42     34.672.341.512,43
1.1.1       Pajak Daerah                                               3.946.931.660,00      4.500.000.000,00     11.008.435.000,00
1.1.2       Retribusi Daerah                                          15.165.119.425,00     18.746.306.600,00     17.931.674.700,00
            Hasil Perusahaan Milik Daerah dan Hasil Pengelolaan
1.1.3                                                                   339.000.000,00       754.358.306,37        900.000.000,00
            Kekayaan Daerah yang dipisahkan
1.1.4       Lain-lain Pendapatan Asli Daerah                           4.835.048.812,00      4.913.660.309,05     4.832.231.812,43

1.2         Dana Perimbangan                                          346.295.000.000,00    318.544.629.867,00   368.037.910.476,00
1.2.1       Bagi Hasil Pajak dan Bukan Pajak                          26.823.980.000,00     24.097.323.867,00     22.466.617.476,00
1.2.2       Dana Alokasi Umum                                         262.355.020.000,00    269.526.606.000,00   309.388.293.000,00
1.2.3       Dana Alokasi Khusus                                       57.116.000.000,00     24.920.700.000,00     36.183.000.000,00
1.2.4       Bagi Hasil Pajak dan Bantuan Keuangan dari Propinsi

1.3         Lain-Lain Pendapatan Daerah Yang Sah                      20.529.936.650,00     103.479.479.571,50    85.511.140.467,00
1.3.1       Pendapatan Hibah
            Dana Bagi Hasil Pajak dari Provinsi dan Pemerintah
1.3.3                                                                 12.993.936.650,00     16.818.009.125,00     14.257.705.234,00
            Daerah Lainnya
1.3.4       Dana Penyesuaian dan Otonomi khusus                                             76.765.016.800,00     63.680.558.400,00
            Bantuan Keuangan dari Provinsi dan Pemerintah
1.3.5                                                                  7.536.000.000,00      9.896.453.646,50     7.572.876.833,00
            Daerah Lainnya

2           BELANJA                                                   457.556.201.357,00    494.351.015.990,50   491.203.921.326,00
2.1         BELANJA TIDAK LANGSUNG                                    188.619.789.608,00    253.541.991.294,00   274.218.707.715,00
2.1.1       Belanja Pegawai                                           174.771.909.608,00    229.301.944.625,00   253.775.230.686,00
2.1.2       Belanja Bunga                                                    0,00            1.314.336.569,00     3.496.205.877,00
2.1.3       Belanja Subsidi                                             900.000.000,00              -                   0,00
2.1.4       Belanja Hibah                                              4.509.500.000,00      6.877.000.000,00     6.669.100.000,00
2.1.5       Belanja Bantuan Sosial                                     6.330.380.000,00      7.972.880.000,00     7.455.500.000,00
            Belanja Bantuan Keuangan kepada Prov/Kab/Kota dan
2.1.7                                                                  1.608.000.000,00      7.125.830.100,00     2.072.671.152,00
            Pemerintahan Desa/Kel
2.1.8       Belanja Tidak Terduga                                       500.000.000,00       950.000.000,00        750.000.000,00

2.2         BELANJA LANGSUNG                                          268.936.411.749,00    245.809.024.696,50   216.985.213.611,00
2.2.1       Belanja Pegawai                                           31.373.946.534,00     26.378.721.750,00     26.731.797.425,00
2.2.2       Belanja Barang dan Jasa                                   89.510.780.282,00     77.429.508.395,00     63.938.212.863,00
2.2.3       Belanja Modal                                             148.051.684.933,00    142.000.794.551,50   126.315.203.323,00

                                               SURPLUS / (DEFISIT)   (66.445.168.810,00)   (43.412.581.336,58)   (2.982.528.870,57)

3           PEMBIAYAAN DAERAH
3.1         PENERIMAAN PEMBIAYAAN DAERAH                              71.874.943.154,00     54.353.388.936,58     35.367.661.320,57
            Sisa Lebih Perhitungan Anggaran Tahun Anggaran
3.1.1                                                                 30.395.780.000,00      3.437.238.471,58     13.298.328.224,57
            Sebelumnya
3.1.4       Penerimaan Pinjaman Daerah                                39.243.778.734,00     50.412.688.408,00     21.879.417.086,00
3.1.6       Penerimaan Piutang Daerah                                  2.235.384.420,00      503.462.057,00        189.916.010,00

3.2         PENGELUARAN PEMBIAYAAN DAERAH                              5.429.778.344,00     10.940.807.600,00     32.385.132.450,00
3.2.1       Pembentukan Dana Cadangan                                        0,00                  0,00                 0,00
3.2.2       Penyertaan Modal (Investor) Pemerintah Daerah              1.200.000.000,00      750.000.000,00        800.000.000,00
3.2.3       Pembayaran Pokok Utang                                     4.229.778.344,00     10.190.807.600,00     31.585.132.450,00
                                           PEMBIAYAAN NETTO          66.445.164.810,00     43.412.581.336,58     2.982.528.870,57

    Sumber Data : Dinas Pendapatan, Pengelolaan Keuangan dan Aset Kota Singkawang




                                                                                    Database Kota Singkawang Tahun 2011         | 116
Keuangan Daerah



                                                                                                 Tabel 13. 2
                                                                             Ringkasan Perubahan APBD Kota Singkawang
                                                                                      Tahun Anggaran 2009 - 2011
                                                                                  Tahun Angaran 2009                            Tahun Angaran 2010                          Tahun Angaran 2011
    No                             Uraian
                                                                       Sebelum Perubahan      Setelah Perubahan      Sebelum Perubahan      Setelah Perubahan     Sebelum Perubahan    Setelah Perubahan
    1                                 2                                         3                      4                     5                      6                     7                    8
1        PENDAPATAN                                                     391.111.036.547,00     416.662.612.572,20     393.394.713.260,00    450.938.434.653,00    488.221.392.455,43   502.741.904.518,43
1,1      PENDAPATAN ASLI DAERAH                                           24.286.099.897,00     25.462.976.922,20      28.369.333.660,00     28.914.325.215,42     34.672.341.512,43    35.703.561.865,43
1.1.1    Pendapatan Pajak Daerah                                           3.946.931.660,00      3.946.931.660,00       4.391.403.750,00      4.500.000.000,00     11.008.435.000,00    10.551.275.000,00
1.1.2    Hasil retribusi Daerah                                           15.165.119.425,00     16.165.119.425,00      18.464.269.600,00     18.746.306.600,00     17.931.674.700,00    18.823.674.700,00
1.1.3    Hasil Pengelolaan Kekayaan Daerah yang dipisahkan                  339.000.000,00         515.877.025,20         600.000.000,00        754.358.306,37        900.000.000,00     1.070.825.770,23
1.1.4    Lain- lain Pendapatan Asli Daerah yang sah                        4.835.048.812,00       4.835.048.812,00      4.913.660.310,00      4.913.660.309,05      4.832.231.812,43     5.257.786.395,20

1,2      DANA PERIMBANGAN                                               346.295.000.000,00     346.295.000.000,00     317.506.472.956,00    318.544.629.867,00    368.037.910.476,00   366.494.333.250,00
1.2.1    Bagi Hasil Pajak/Bagi Hasil Bukan Pajak                         26.823.980.000,00      26.823.980.000,00      23.059.166.956,00     24.097.323.867,00     22.466.617.476,00    21.135.771.250,00
1.2.2    Dana Alokasi Umum                                              262.355.020.000,00     262.355.020.000,00     269.526.606.000,00    269.526.606.000,00    309.388.293.000,00   309.175.562.000,00
1.2.3    Dana Alokasi Khusus                                              57.116.000.000,00     57.116.000.000,00      24.920.700.000,00     24.920.700.000,00     36.183.000.000,00    36.183.000.000,00

1,3      LAIN-LAIN PENDAPATAN DAERAH YANG SAH                            20.529.936.650,00      44.904.635.650,00      47.518.906.650,00    103.479.479.571,50     85.511.140.467,00   100.544.009.403,00
1.3.1    Pendapatan Hibah                                                                                     0,00                  0,00                  0,00                                       0,00
         Dana Bagi Hasil Pajak dan Provinsi dan Pemerintah Daerah
1.3.3                                                                     12.993.936.650,00     12.993.936.650,00      12.993.936.650,00     16.818.009.125,00     14.257.705.234,00    15.753.018.730,00
         Lainnya
1.3.4    Dana Penyesuaian dan Otonomi Khusus                                                     21.424.699.000,00     34.524.970.000,00     76.765.016.800,00     63.680.558.400,00    77.218.113.840,00
         Bantuan Keuangan dari Propinsi atau penerimaan Daerah
1.3.5                                                                      7.536.000.000,00     10.486.000.000,00                   0,00                  0,00      7.572.876.833,00     7.572.876.833,00
         Lainnya

2        BELANJA                                                        457.556.201.357,00     488.411.323.287,00     445.227.536.058,00    494.351.015.990,50    491.203.921.326,00   506.882.179.742,00
2,1      BELANJA TIDAK LANGSUNG                                         188.619.789.608,00     187.652.679.935,00     249.700.178.269,00    248.541.991.294,00    274.218.707.715,00   271.538.086.105,00
2.1.1    Belanja Pegawai                                                174.771.909.608,00     174.598.499.935,00     219.253.131.600,00    229.301.944.625,00    253.775.230.686,00   250.270.638.591,00
2.1.2    Belanja Bunga                                                                 0,00        350.000.000,00       1.314.336.569,00      1.314.336.569,00      3.496.205.877,00     2.996.205.877,00
2.1.3    Belanja Subsidi                                                    900.000.000,00         500.000.000,00                   0,00                  0,00                  0,00                 0,00
2.1.4    Belanja Hibah                                                     4.509.500.000,00       3.662.000.000,00     18.784.000.000,00       6.877.000.000,00     6.669.100.000,00     6.924.100.000,00
2.1.5    Belanja Bantuan Sosial                                            6.330.380.000,00       6.434.180.000,00      7.972.880.000,00                   0,00     7.455.500.000,00     7.582.500.000,00
         Belanja Bantuan Keuangan kepada propinsi/Kabupaten/Kota
2.1.7                                                                      1.608.000.000,00       1.608.000.000,00      2.125.830.100,00                   0,00     2.072.671.152,00     2.072.671.152,00
         dan Pemerintahan Desa
2.1.8    Belanja Tidak Terduga                                              500.000.000,00         500.000.000,00         950.000.000,00        700.000.000,00        750.000.000,00     1.691.970.485,00

2,2      BELANJA LANGSUNG                                               268.936.411.749,00     300.758.643.352,00     195.527.357.789,00    245.809.024.696,50    216.985.213.611,00   235.344.093.637,00
2.2.1    Belanja Pegawai                                                31.373.946.534,00      32.443.031.345,00      25.551.122.967,00     26.378.721.750,00     26.731.797.425,00    28.672.300.387,00
2.2.2    Belanja Barang dan Jasa                                        89.510.780.282,00      92.854.842.224,00      69.892.053.067,00     77.429.508.395,00     63.938.212.863,00    72.386.666.719,00
2.2.3    Belanja Modal                                                 148.051.684.933,00     175.460.769.783,00     100.084.181.755,00    142.000.794.551,50     126.315.203.323,00   134.285.126.531,00
                                                   SURPLUS/(DEFISIT)   (66.445.168.810,00)    (71.748.710.714,80)    (51.832.822.792,00)   (43.412.581.336,58)    (2.982.528.870,57)   (4.140.275.223,57)




                                                                                                                                                  Database Kota Singkawang Tahun 2011              | 117
Keuangan Daerah

    1                                   2                                   3                     4                    5                            6                      7                       8
3           PEMBIAYAAN DAERAH                                       77.304.721.498,00     81.608.267.402,80           0,00                        0,00                   0,00
3,1         PENERIMAAN PEMBIAYAAN DAERAH                            71.874.943.154,00     76.678.489.058,80     62.773.630.392,00         54.353.388.936,58       35.367.661.320,57       36.525.407.673,57
            Sisa Lebih Perhitungan Anggaran Tahun Anggaran
3.1.1                                                               30.395.780.000,00     36.757.924.697,80     3.107.694.206,00          3.437.238.471,58        13.298.328.224,57       13.440.066.923,57
            Sebelumnya
3.1.4       Penerimaan Pinjaman Daerah                              39.243.778.734,00     37.685.179.941,00     59.202.244.775,00         50.412.688.408,00       21.879.417.086,00       22.522.760.361,00
3.1.6       Penerimaan Piutang Daerah                                2.235.384.420,00     2.235.384.420,00       463.691.411,00            503.462.057,00          189.916.010,00          562.580.389,00

3,2         PENGELUARAN PEMBIAYAN DAERAH                            5.429.778.344,00      4.929.778.344,00      10.940.807.600,00         10.940.807.600,00       32.385.132.450,00       32.385.132.450,00
3.2.1       Pembentukan Dana Cadangan                                     0,00                  0,00                  0,00                      0,00                    0,00                     0,00
3.2.2       Penyertaan Modal(Investasi) Pemerintah Daerah           1.200.000.000,00       700.000.000,00        750.000.000,00            750.000.000,00          800.000.000,00           800.000.000,00
3.2.3       Pembayaran Pokok Utang                                  4.229.778.344,00      4.229.778.344,00      10.190.807.600,00         10.190.807.600,00       31.585.132.450,00       31.585.132.450,00

                                                PEMBIAYAAN NETTO   66.445.164.810,00     71.748.710.714,80     51.832.822.792,00      43.412.581.336,58          2.982.528.870,57         4.140.275.223,57

    Sumber Data : Dinas Pendapatan, Pengelolaan Keuangan dan Aset Kota Singkawang




                                                                                           Tabel 13. 3
                                                     Penerimaan Pajak Daerah Kota Singkawang Berdasarkan Jenis, Target Dan Realisasi
                                                                                  Keadaan Tahun 2009 - 2001

                                                                                 TAHUN 2009                                  TAHUN 2010                                    TAHUN 2011
        NO                            JENIS PAJAK
                                                                     TARGET ( Rp. )      REALISASI ( Rp. )     TARGET ( Rp. )       REALISASI ( Rp. )         TARGET ( Rp. )          REALISASI ( Rp. )

        1                                     2                             3                     4                  5                        6                      7                       8
        I      PAJAK DAERAH                                           3.946.931.660,00    4.091.543.875,00     4.500.000.000,00      4.590.349.014,00         11.008.435.000,00        5.631.817.937,00

                 1   Pajak Hotel                                        132.909.025,00        172.457.200,00     300.000.000,00           210.664.195,00        300.000.000,00           244.210.706,00

                 2   Pajak Restoran                                      83.869.135,00         75.560.630,00     125.000.000,00            80.919.844,00        168.000.000,00            90.903.092,00
                 3   Pajak Hiburan                                      133.052.700,00        185.375.000,00     200.000.000,00           147.474.500,00        200.000.000,00           166.213.000,00

                 4   Pajak Reklame                                      111.925.800,00        113.467.000,00     116.000.000,00            96.316.075,00        117.160.000,00           160.980.450,00

                 5   Pajak Penerangan Jalan                           3.304.575.000,00    3.405.350.165,00     3.557.803.750,00      3.886.343.000,00          5.200.000.000,00        4.859.295.409,00
                 6   Pajak Bahan Galian Gol.C                           180.600.000,00        139.333.880,00     201.196.250,00           168.631.400,00        201.000.000,00           109.859.780,00

                 7   Pajak Air Bawah Tanah                                                                                                                        55.000.000,00              355.500,00

                 8   Pajak Walet                                                                                                                                500.000.000,00
                 9   Pajak BPHTB                                                                                                                               4.267.275.000,00        4.520.120.889,00




                                                                                                                                                  Database Kota Singkawang Tahun 2011                  | 118
Keuangan Daerah

     1                                   2                                      3                      4                       5                       6                         7                       8

     II     PAJAK BAGI HASIL DG PEMERINTAH PROPINSI                      12.843.757.000,00       9.387.360.925,22       16.648.106.218,00       16.648.106.219,00      14.107.525.584,00          15.531.075.614,45
             1    Bagi Hasil Dari Pajak Kendaraan Bermotor                3.147.500.000,00       2.297.873.065,70        4.781.350.950,00        4.781.350.953,05          3.672.184.870,00        4.106.219.460,02

             2    Bagi Hasil Dari Pajak Kendaraan DiatasAir                   2.731.000,00           1.087.154,48            2.113.912,00            2.113.912,00             2.113.912,00              359.222,00

             3    Bagi Hasil Dari Bea Balik Nama Kendaraan Bermotor       2.592.000.000,00       2.020.202.246,08        3.918.239.593,00        3.918.239.592,74          3.044.918.164,00        4.760.427.489,05
             4    Bagi Hasil Dari Bea Balik Nama Kendaraan Diatas air          215.000,00              90.490,75              175.954,00              175.954,00                175.954,00              132.122,00
                  Bagi Hasil Dari Pajak Bahan Bakar Kendaraan
             5                                                            7.050.000.000,00       5.028.428.425,19        7.888.352.360,00        7.888.352.358,11          7.339.010.322,00        6.622.033.805,00
                  Bermotor
                  Bagi Hasil Dari Pajak Pengambilan dan Pemanfaatan
             6                                                               51.311.000,00          39.679.543,02           57.873.449,00          57.873.449,00             49.122.362,00           41.903.516,38
                  Air Permukaan
             7    Bagi Hasil Sumbangan Pihak Ke Tiga dari Propinsi                                                                                                          150.179.650,00

     III    PAJAK BAGI HASIL DG PEMERINTAH PUSAT                         22.518.730.000,00      20.658.185.009,00       22.781.127.031,00       23.881.717.355,00      18.161.367.476,00          19.400.121.992,00

             1    Pajak Bumi dan Bangunan ( PBB )                        15.585.240.000,00      13.591.037.633,00       14.796.686.404,00       14.812.628.433,00      14.497.945.840,00          15.849.462.410,00
                  Bea Perolehan Hak Atas Tanah dan Bangunan (
             2                                                            5.347.640.000,00       4.959.698.477,00        5.352.388.616,00        6.114.774.838,00                         -
                  BPHTB )
             3    Bagi Hasil PPh Pasal 21 dan PPh Pasal 25/29             1.585.850.000,00       2.107.448.899,00        2.632.052.011,00        2.954.314.084,00          3.663.421.636,00        3.550.659.582,00

                                                 JUMLAH I + II + III    39.309.418.660,00      34.137.089.809,22       43.929.233.249,00    45.120.172.588,00         43.277.328.060,00        40.563.015.543,45

     Sumber Data : Dinas Pendapatan, Pengelolaan Keuangan dan Aset Kota Singkawang




                                                                                                  Tabel 13.4
                                                    Penerimaan Pajak Daerah Kota Singkawang Berdasarkan Jenis, Target Dan Realisasi
                                                                                        Keadaan Tahun 2009 - 2011

                                                                                        Tahun 2009                                     Tahun 2010                                         Tahun 2011
N0                             Jenis Pajak
                                                                          Target ( Rp. )         Realisasi ( Rp. )         Target ( Rp. )          Realisasi ( Rp. )          Target ( Rp. )          Realisasi ( Rp. )
1                                    2                                              3                      4                       5                          6                      7                          8

 I       PAJAK DAERAH                                                       3.946.931.660,00        4.091.543.875,00         4.500.000.000,00        4.590.349.014,00         11.008.435.000,00        5.631.817.937,00

      1     Pajak Hotel                                                      132.909.025,00          172.457.200,00            300.000.000,00          210.664.195,00            300.000.000,00          244.210.706,00

      2     Pajak Restoran                                                    83.869.135,00           75.560.630,00            125.000.000,00              80.919.844,00         168.000.000,00              90.903.092,00

      3     Pajak Hiburan                                                    133.052.700,00          185.375.000,00            200.000.000,00          147.474.500,00            200.000.000,00          166.213.000,00

      4     Pajak Reklame                                                    111.925.800,00          113.467.000,00            116.000.000,00              96.316.075,00         117.160.000,00          160.980.450,00

      5     Pajak Penerangan jalan                                          3.304.575.000,00        3.405.350.165,00         3.557.803.750,00        3.886.343.000,00          5.200.000.000,00        4.859.295.409,00




                                                                                                                                                           Database Kota Singkawang Tahun 2011                      | 119
Keuangan Daerah

1                                    2                                             3                   4                     5                    6                   7                   8

      6   Pajak Bahan galian Gol C                                              180.600.000,00     139.333.880,00        201.196.250,00      168.631.400,00      201.000.000,00      109.859.780,00

      7   Pajak Air Bawah Tanah                                                                                                                                    55.000.000,00         355.500,00

      8   Pajak Walet                                                                                                                                            500.000.000,00                    -

      9   Pajak BPHTB                                                                                                                                           4.267.275.000,00    4.520.120.889,00

 ll   PAJAK BAGI HASIL DENGAN PEMERINTAH PROVINSI                            12.843.757.000,00    9.387.360.925,22     16.648.106.218,00   16.648.106.219,00   14.107.525.584,00   15.531.075.614,45

      1   Bagi Hasil dari Pajak Kendaraan Bermotor                            3.147.500.000,00    2.297.873.065,70      4.781.350.950,00    4.781.350.953,05    3.672.184.870,00    4.106.219.460,02

      2   Bagi Hasil dari Pajak Kendaraan Diatas Air                              2.731.000,00        1.087.154,48          2.113.912,00        2.113.912,00        2.113.912,00         359.222,00

      3   Bagi Hasil dari Bea Balik Nama Kendaraan Bermotor                   2.592.000.000,00    2.020.202.246,08      3.918.239.593,00    3.918.239.592,74    3.044.918.164,00    4.760.427.489,05

      4   Bagi Hasil dari Bea Balik Nama Kendaraan Diatas Air                      215.000,00              90.490,75         175.954,00          175.954,00          175.954,00          132.122,00

      5   Bagi Hasil Pajak Bahan Bakar Kendaraan Bermotor                     7.050.000.000,00    5.028.428.425,19      7.888.352.360,00    7.888.352.358,11    7.339.010.322,00    6.622.033.805,00
          Bagi Hasil dari Pajak Pengambilan dan Pemanfaatan Air
      6                                                                          51.311.000,00      39.679.543,02         57.873.449,00       57.873.449,00        49.122.362,00      41.903.516,38
          Permukaan
      7   Bagi Hasil Sumbangan Pihak Ke Tiga dari Propinsi                                                                                                       150.179.650,00

lll   PAJAK BAGI HASIL DENGAN PEMERINTAH PUSAT                               22.518.730.000,00   20.658.185.009,00     22.781.127.031,00   23.881.717.355,00   18.161.367.476,00   19.400.121.992,00

      1   Pajak Bumi dan Bangunan ( PBB )                                    15.585.240.000,00   13.591.037.633,00     14.796.686.404,00   14.812.628.433,00   14.497.945.840,00   15.849.462.410,00

      2   Bea Perolehan Hak Atas Tanah dan Bangunan ( BPHTB )                 5.347.640.000,00    4.959.698.477,00      5.352.388.616,00    6.114.774.838,00                   -

      3   Bagi Hasil PPh Pasal 21 dan PPh Pasal 25/29                         1.585.850.000,00    2.107.448.899,00      2.632.052.011,00    2.954.314.084,00    3.663.421.636,00    3.550.659.582,00

                                               JUMLAH        l + ll + lll   39.309.418.660,00    34.137.089.809,22     43.929.233.249,00   45.120.172.588,00   43.277.328.060,00   40.563.015.543,45

Sumber Data : Dinas Pendapatan, Pengelolaan Keuangan Dan Aset Kota Singkawang




                                                                                                                                               Database Kota Singkawang Tahun 2011            | 120
Keuangan Daerah




                                                                                                    Tabel 13.5
                                                           Targat Dan Realisasi Penerimaan PBB Sektor Perkotaan Di Kota Singkawang
                                                                                         Keadaan Tahun 2009 - 2011


                                                 Tahun 2009                                                       Tahun 2010                                                    Tahun 2011
No       Kecamatan         Jumlah       Target        Jumlah      Realisasi              Jumlah         Target        Jumlah     Realisasi              Jumlah     Target         Jumlah      Realisasi
                                                                                   %                                                             %                                                            %
                            STTS         (Rp)          STTS        (Rp.)                  STTS           (Rp)          STTS       (Rp.)                  STTS       (Rp)           STTS        (Rp.)
 1    Singkawang Barat      12,809    1,685,330,988     8,170    1,146,983,241   68.06     13,048     1,717,470,815    9,466    1,338,920,014   77.96   13.347   2.344.984.186     8.710     1.755.487.609   67,24

 2    Singkawang Tengah     12,773      526,143,475     6,857     333,419,697    63.37     13,141      544,827,990     7,973     392,310,340    72.01   13.600    773.240.029      8.394      496.023.889    58,22

 3    Singkawang Timur       5,735      118,980,800     1,642      45,436,020    38.19      5,807      121,037,492     2,088      55,830,029    46.13    5.930    149.100.982      1.924      56.186.506     33,61

 4    Singkawang Selatan     9,962      384,102,455     4,393     183,349,276    47.73     10,338      400,160,862     5,513     217,066,322    54.24   11.313    561.889.267      5.308      261.322.577    36,43

 5    Singkawang Utara       7,100      140,013,554     3,331      72,877,172    52.05      7,401      145,554,821     3,098      74,758,263    52.36    7.638    173.314.723      3.086      85.382.584     47,09

           JUMLAH          48,379    2,854,571,272    24,393    1,782,065,406    62.43    49,735     2,929,051,980    28,138   2,078,884,968     303    51.828   4.002.529.187     27.422    2.654.403.165    243

Sumber Data : Dinas Pendapatan, Pengelolaan Keuangan Dan Aset Kota Singkawang




                                                                                                                                                     Database Kota Singkawang Tahun 2011            | 121
Keuangan Daerah




                                                      Tabel 13.6
                        Pajak Pemerintah Provinsi Kalimantan Barat Yang Dipungut Di Singkawang
                                           Keadaan Per 31 Desember 2011


                                                                                           Pajak Pemanfaatan dan
                                          Pajak Kendaraan        Bea Balik Nama
       No.               Bulan                                                          Penggunaan Air Permukaan dan
                                             Bermotor          Kendaraan Bermotor
                                                                                            Air Bawah Permukaan

        1        Januari                     1.443.125.500           1.413.578.500                            4.798.100
        2        Februari                    1.171.906.100           1.224.954.600                            3.624.000
        3        Maret                       1.552.505.900           1.748.885.400                            6.230.200
        4        April                       1.294.645.200           1.594.691.500                            6.835.900
        5        Mei                         1.497.943.600           1.694.574.900                           17.706.400
        6        Juni                        1.395.176.800           1.851.793.400                           12.058.900
        7        Juli                        1.639.147.900           1.883.334.800                           10.387.300
        8        Agustus                     1.584.394.100           1.634.695.800                            5.972.400
        9        September                   1.646.360.100           2.066.196.800                           13.905.200
       10        Oktober                     1.620.298.000           1.486.437.700                            8.053.700
       11        November                    1.459.681.000           1.543.370.600                           10.620.200
       12        Desember                    1.483.521.200           1.359.323.000                            1.311.800
                         Jumlah 2011       17.788.705.400          19.501.837.000                       101.504.100
                         Jumlah 2010        14,313,154,600          13,419,082,000                           92,484,200
                         Jumlah 2009        12,784,017,500           9,716,864,900                       101,990,300
                         Jumlah 2008        11,780,063,200          11,600,459,700                           95,505,000

       Sumber Data : UPPD Dinas Pendapatan Prop Kalbar Singkawang




                                                             Tabel 13.7
                           Jumlah Pajak Pemerintah Pusat Yang Dibayar Masyarakat Singkawang
                                     Pada Kantor Pelayanan Pajak Pratama Singkawang
                                                     Tahun 2010 dan 2011

                                                      2010                                             2011
No.             Bulan                              Jenis Pajak                                      Jenis Pajak
                                    PPN               PPH                 BPHTB            PPN         PPH           BPHTB
 1       Januari                 5.830.383.288     6.348.258.824          217.724.214
 2       Februari                 364.502.437      3.616.475.810          379.754.710
 3       Maret                    638.536.844      3.214.147.945          445.657.829
 4       April                    866.949.674      3.463.073.937          326.536.722
 5       Mei                     1.025.532.088     3.510.335.290          387.703.173
 6       Juni                     807.626.399      4.447.358.434          472.436.462
 7       Juli                     951.179.091      3.265.141.743          283.687.037
 8       Agustus                 2.220.724.987     4.795.540.819          337.279.473
 9       September               1.207.101.823     4.429.143.566          262.691.423
10       Oktober                 2.250.663.068     3.509.868.240          588.472.873
11       Nopember                3.406.529.802     3.934.671.063          476.394.415
12       Desember                7.518.896.923     6.096.469.510      1.071.319.064
         Jumlah              27.088.626.424      50.630.485.181      5.249.657.395         tad         tad            tad

     Sumber Data : Kantor Pelayanan Pajak Pratama Singkawang




                                                                              Database Kota Singkawang Tahun 2011            | 122
Keuangan Daerah

                                                                                        Tabel 13.8
                                            Penerimaan Retrebusi Daerah Kota Singkawang Berdasarkan Jenis, Target dan Realisasi
                                                                                Keadaan Tahun 2009 - 2011


                                                                        Tahun 2009                                     Tahun 2010                                     Tahun 2011
N0                    Jenis Retribusi
                                                            Target ( Rp. )       Realisasi ( Rp. )         Target ( Rp. )        Realisasi ( Rp. )        Target ( Rp. )      Realisasi ( Rp. )

 1    Retribusi Pelayanan Kesehatan                        13,383,280,525.00     11,517,009,139.54        14,612,670,700.00      13,406,041,373.44       14.838.174.700,00   16.878.007.635,62

 2    Retribus Pelayanan Persampahan / Kebersihan             405,000,000.00       331,573,500.00            405,000,000.00         268,169,500.00        495.000.000,00      146.249.500,00
      Retribus Penggantian Biaya Cetak KTP / KK /
 3                                                            248,750,000.00       316,546,000.00            196,100,000.00         256,391,500.00        270.000.000,00      230.292.500,00
      CAPIL
 4    Retribusi Pelayanan Pasar                                91,000,000.00         89,370,000.00            93,700,000.00         117,766,000.00        120.000.000,00      133.813.000,00

 5    Retribusi Pasar Grosir                                   37,090,000.00         30,321,000.00            37,090,000.00          38,461,000.00        40.000.000,00       30.220.000,00

 6    Retribusi Jasa TPI                                        9,975,000.00           196,250.00                           -                        -

 7    Retribusi Jasa Terminal                                  49,678,000.00         48,700,000.00            49,678,000.00          42,250,000.00        60.000.000,00       36.900.000,00

 8    Retribusi Jasa Rmh Potong Hewan                         161,223,900.00       156,300,000.00            161,223,900.00          30,695,000.00        181.000.000,00      251.240.000,00

 9    Retribusi Izin Mendirikan Bangunan ( IMB )              286,012,000.00       234,463,087.69            584,024,000.00       1,169,976,281.37       2.000.000.000,00    2.044.532.594,06

10    Retribusi Izin Gangguan ( UUG )                         197,398,500.00       149,114,125.00            197,398,500.00         249,176,645.00        300.000.000,00      328.740.036,00

11    Retribusi Izin Trayek                                     7,033,000.00          7,450,000.00             7,033,000.00           6,885,000.00         7.500.000,00        6.585.000,00

12    Retribusi Parkir ditepi Jalan Umum                       54,750,000.00         58,900,000.00            68,460,000.00          68,550,000.00        85.000.000,00        70.100.000,00

13    Retribusi Pengujian Kendaraan Bermotor                  233,928,500.00       227,926,000.00            233,928,500.00         228,387,500.00        250.000.000,00      251.353.500,00

14    Retribusi Izin Pengelolaan Sarang Burung Walet        1,000,000,000.00                         -                      -                        -

                           Jumlah                        16,165,119,425.00      13,167,869,102.23        16,646,306,600.00      15,882,749,799.81        18.646.674.700,00   20.408.033.765,68

Sumber Data : Dinas Pendapatan, Pengelolaan Keuangan dan Aset Kota Singkawang




                                                                                                                                          Database Kota Singkawang Tahun 2011           | 123
Keuangan Daerah




                                                             Tabel 13.9
                                                 Alokasi APBD Kota Singkawang
                                    Berdasarkan SKPD Dan Besarnya Alokasi Anggaran
                                    Tahun Angaran 2010 - 2011 (Setelah Perubahan)

                                                                                      Alokasi Anggaran Per SKPD
 Kode
             Nama Satuan Kerja Perangkat Daerah (SKPD)                    Tahun Anggaran 2010         Tahun Anggaran 2011
 SKPD
                                                                              Rp.            %             Rp.             %
1.01.01   Dinas Pendidikan                                            156.222.300.866,00    32,40   182.804.750.769,00   32,40

1.02.01   Dinas Kesehatan                                              23.311.127.933,00    4,83     26.062.324.773,00    4,83

1.02.02   Rumah Sakit Umum Dr. Abdul Azis                              17.648.264.210,00    3,66     33.531.478.701,00    3,66

1.03.01   Dinas Bina Marga, SDA, ESDM                                  43.611.951.712,00    9,04     40.144.814.895,00    9,04

1.03.04   Dinas Tata Kota, Pertanahan dan Cipta Karya                  28.842.551.035,00    5,99     36.882.676.061,00    5,99

1.06.01   Badan Perencanaan Daerah Kota Singkawang                     4.113.186.224,00     0,85     3.952.970.738,00     0,85

1.07.01   Dinas Perhubungan, komunikasi dan informatika                38.483.654.414,00    7,99     3.797.725.972,00     7,99

1.08.01   Badan Lingkungan Hidup                                       2.750.394.796,00     0,57     2.942.032.154,00     0,57

1.08.04   Dinas Kebersihan dan Perumahan                               15.597.896.318,00    3,23     13.667.146.846,00    3,23

1.10.01   Dinas Kependudukan dan Catatan Sipil                         2.490.957.048,00     0,52     3.340.678.902,00     0,52

1.12.01   Badan Pemberdayaan Masyarakat, Perempuan dan KB              3.058.696.157,00     0,63     3.375.350.547,00     0,63

1.13.01   Dinas Sosial, Tenaga Kerja dan Transmigrasi                  3.137.556.090,00     0,65     3.173.692.836,00     0,65

1.15.01   Dinas Perindustrian, Perdagangan, Koperasi dan UKM           4.800.246.658,00     0,99     3.799.903.327,00     0,99

1.16.01   Kantor Penanaman Modal dan Pelayanan Terpadu                 1.547.165.007,00     0,32     1.544.346.248,00     0,32

1.17.01   Dinas Kebudayaan dan Pariwisata Pemuda dan Olah Raga         6.236.623.741,00     1,29     3.873.857.633,00     1,29

1.19.01   Badan Kesatuan Bangsa Politik dan Linmas.                    2.181.756.733,00     0,45     2.076.425.947,00     0,45

1.19.02   Kantor Satuan Polisi Pamong Praja                            3.847.655.476,00     0,80     3.866.928.943,00     0,80

1.20.01   DPRD Kota Singkawang                                         4.182.382.400,00     0,87     3.993.895.090,00     0,87

1.20.05   Dinas Pendapatan, Pengelolaan Keuangan Dan Asset             43.412.581.336,00    9,00     44.902.216.453,00    9,00

1.20.07   Inspektorat Daerah.                                          2.819.594.874,00     0,58     3.448.929.107,00     0,58

1.20.08   Badan Kepegawaian dan Diklat                                 7.363.718.635,00     1,53     6.721.785.522,00     1,53

1.20.09   Kecamatan Singkawang Tengah                                  4.076.182.214,00     0,85     4.337.400.722,00     0,85

1.20.10   Kecamatan Singkawang Utara                                   4.030.913.312,00     0,84     4.140.785.340,00     0,84

1.20.11   Kecamatan Singkawang Selatan                                 2.875.645.977,00     0,60     3.107.692.993,00     0,60

1.20.12   Kecamatan Singkawang Timur                                   2.927.621.717,00     0,61     3.253.666.127,00     0,61

1.20.13   Kecamatan Singkawang Barat                                   3.338.943.265,00     0,69     3.323.129.717,00     0,69

1.26.01   Kantor Perpustakaan dan Kearsipan                             949.951.009,00      0,20      969.547.447,00      0,20

2.01.01   Dinas Pertanian dan Kehutanan                                5.822.042.753,00     1,21     7.926.862.490,00     1,21

          Ketahanan Pangan

2.05.01   Dinas Kelautan dan Perikanan                                 5.335.078.689,00     1,11     17.268.458.939,00    1,11

          Badan Penanggulangan Bencana Daerah                           594.450.000,00      0,12           0,00           0,12

                                                             Jumlah   482.224.661.935,00    100     506.882.179.742,00    100


Sumber Data : Dinas Pendapatan, Pengelolaan Keuangan Dan Aset Kota Singkawang




                                                                               Database Kota Singkawang Tahun 2011         | 124
Keuangan Daerah


                                                                                   Tabel 13.10
                                                                           Pemerintah Kota Singkawang
                                                                  Rekapitulasi Register Sp2d Per Bulan Ta 2011
                                                                           Belanja Ls Dan Tls (Non Gaji)
                                                                       Bulan : Januari S/D Desember 2011

                                              Pagu Anggaran
NO                      SKPD                 Belanja LS & TLS    Januari         Pebruari         Maret            April               Mei             Juni                  Juli
                                                (Non Gaji)
1                          2                        3              4                5               6               7                   8               9                    10
1    Dinas Pendidikan                        76.010.626.330,00             -      114.630.000    3.201.200.000      8.400.000        5.207.808.040    151.420.622          6.269.667.955
2    Dinas Kesehatan                         10.527.176.523,00             -      128.982.000                -     36.710.000         734.262.045     195.414.988           304.642.118
3    RSUD Dr. Abdul Aziz                     21.979.456.553,00             -    1.073.780.000                -   1.477.732.228       1.141.393.400    484.752.773          1.035.452.186
4    Dinas Bina Marga, SDA, ESDM             37.906.151.800,00             -      102.264.000                -               -         34.350.000     232.735.101           769.378.162
     Dinas Tata Kota, Pertanahan dan Cipta
5                                            35.106.422.133,00             -      144.246.000                -    152.169.601         160.465.550     210.322.361           344.352.403
     Karya
     Badan Perencanaan dan Pembangunan
6                                            2.621.689.190,00              -       94.846.000                -    228.114.522         243.708.267     172.504.315           109.876.250
     Daerah
     Dinas Perhubungan, Komunikasi dan
7                                            1.756.080.045,00              -       43.214.000                -    162.808.923         167.048.560      75.097.721           175.310.650
     Informatika
8    Badan Lingkungan Hidup                  1.848.769.000,00              -       63.530.000                -     63.287.961          28.830.000      92.994.655            46.585.000
9    Dinas Kebersihan dan Perumahan          10.202.127.000,00   460.768.000                -     441.750.082     511.612.768         273.374.000     553.501.600           238.800.000
10   Dinas Kependudukan & Catatan Sipil      1.912.374.000,00              -       95.194.000                -     83.015.367          59.354.000                -          222.964.996
     Badan Pemberdayaan Masyarakat,
11                                           1.771.025.000,00              -       46.900.000                -               -        106.089.675     101.194.582            62.887.000
     Perempuan dan KB
     Dinas Sosial, Tenaga Kerja dan
12                                           1.271.144.000,00              -       41.454.000                -     51.076.367         109.971.500      85.941.317           208.830.000
     Transmigrasi
     Dinas Perindustrian, Perdagangan,
13                                           1.775.515.000,00              -      138.100.000                -    124.680.900         203.508.150      75.280.000           186.421.675
     Koperasi dan UKM
     Kantor Penanaman Modal dan Pelayanan
14                                            830.872.500,00               -       34.056.000                -     28.706.888          48.849.950      87.297.734            78.796.699
     Terpadu
     Dinas Kebudayaan, Pariwisata, Pemuda
15                                           2.156.239.500,00              -       74.212.000                -     28.080.000         180.050.000      97.929.000           191.380.250
     dan Olahraga
16   Badan Kesbang, Politik dan Linmas        695.430.350,00               -       41.310.000                -               -         63.340.763                -           63.448.158
17   Kantor Satuan Polisi Pamong Praja       1.360.196.500,00              -                -      43.906.000      43.906.000         175.906.000      43.906.000           172.581.000
18   DPRD                                    3.993.895.090,00    223.827.094      223.827.094     223.827.094     381.327.094         328.827.094     276.327.094           467.927.094
19   Walikota dan Wakil Walikota              350.000.000,00               -                -                -               -                   -    123.400.000            23.700.000
20   Sekretariat Daerah                      14.834.551.775,00             -    1.201.554.000                -   1.100.667.944        432.208.025    1.070.318.989          570.600.135
21   Sekretariat DPRD                        8.869.704.600,00              -      431.226.000                -    760.700.992         783.545.300     514.732.000           636.286.900




                                                                                                                                 Database Kota Singkawang Tahun 2011        | 125
Keuangan Daerah

                                                 Pagu Anggaran
NO                    SKPD                      Belanja LS & TLS       Januari           Pebruari             Maret                April                Mei                 Juni                   Juli
                                                   (Non Gaji)
1                       2                              3                  4                  5                  6                   7                    8                   9                     10
     Dinas Pendapatan, Pengelolaan Keuangan
22                                              74.270.309.234,00                 -       406.037.000         914.531.250         801.916.059         1.939.829.547     34.378.703.235           2.513.500.879
     dan Aset
23   Inspektorat Kota Singkawang                 1.807.570.000,0                  -        66.050.000                    -        252.677.204          111.934.916         152.324.727            166.084.949
24   Badan Kepegawaian dan Diklat               4.857.084.375,00                  -                  -         83.008.000          87.347.486          358.999.750         167.344.195            444.025.250
25   Kantor Camat Singkawang Tengah              883.530.000,00                   -        60.740.000                    -         49.255.645          163.609.995                    -            78.515.000
26   Kantor Camat Singkawang Utara              1.046.450.000,00                  -                  -         80.144.000          72.166.025          111.680.700          78.303.855             71.882.500
27   Kantor Camat Singkawang Selatan             749.460.000,00                   -        72.444.000                    -         77.262.220          112.749.825                    -           115.945.330
28   Kantor Camat Singkawang Timur               853.500.000,00                   -        67.302.000                    -         55.846.903           82.973.000          79.222.445            117.155.873
29   Kantor Camat Singkawang Barat               617.340.000,00                   -        34.006.000                    -         35.880.935           78.827.500          27.174.985             65.160.000
30   Kantor Perpustakaan dan Kearsipan           497.400.000,00                   -        26.484.000                    -         32.855.599           56.276.385          43.013.475             50.173.967
31   Dinas Pertanian dan Kehutanan              5.687.375.000,00                  -        86.520.000                    -        106.612.952          112.325.000         194.998.040            149.316.000
     Kantor Penyuluh Pertanian, Perikanan dan
32                                               819.729.683,00                   -        52.064.000                    -         48.370.397           75.097.499           6.875.000            123.915.711
     Kehutanan
33   Dinas Kelautan dan Perikanan               15.550.141.000,00                 -        75.328.000                    -                   -          69.585.000         133.610.693            210.432.600
                              JUMLAH / BULAN    322.864.690.498,00   684.595.094,00   5.040.300.094,00    4.988.366.426,00    6.863.188.980,00    13.756.779.436,00   39.906.641.502,19     322.864.690.498,00
                            JUMLAH S/D BULAN                         684.595.094,00   5.724.895.188,00   10.713.261.614,00   17.576.450.594,00    31.333.230.030,00   71.239.871.532,19     87.525.868.222,14

 Sumber Data : Dinas Pendapatan, Pengelolaan Keuangan dan Aset Kota Singkawang




                                                                                                                                                 Database Kota Singkawang Tahun 2011              | 126
Keuangan Daerah

                                                                                                                                                               Sisa Pagu Anggaran
NO                         SKPD                       Agustus         September        Oktober         Nopember          Desember              Jumlah                                 %
                                                                                                                                                               LS & TLS (Non Gaji)
1                           2                           11               12              13               14                 16                  17                    18             19

1    Dinas Pendidikan                                 8.315.495.773    3.257.327.900   3.611.340.888   7.868.984.550   24.971.926.040,00   62.978.201.768,00    13.032.424.562,00     82,85

2    Dinas Kesehatan                                   842.344.005      621.900.400     786.829.510    1.396.998.127    5.226.408.952,00   10.274.492.145,00       252.684.378,00     97,60

3    RSUD Dr. Abdul Aziz                              5.225.141.142      66.891.000    2.067.970.888   1.845.312.942    6.641.339.946,00   21.059.766.505,00       919.690.048,00     95,82

4    Dinas Bina Marga, SDA, ESDM                      1.331.724.703     281.784.000    4.291.865.914   6.282.130.773   20.095.963.574,00   33.422.196.227,00     4.483.955.573,00     88,17

5    Dinas Tata Kota, Pertanahan dan Cipta Karya      4.213.325.248    1.034.150.540   2.453.357.010   9.135.313.455   16.962.705.680,00   34.810.407.848,00       296.014.285,00     99,16

6    Badan Perencanaan dan Pembangunan Daerah          359.840.432       83.286.347     167.542.300      184.316.101     857.161.755,00     2.501.196.289,00       120.492.901,00     95,40

7    Dinas Perhubungan, Komunikasi dan Informatika      80.787.270       87.285.500     147.281.414      158.126.575     538.580.331,00     1.635.540.944,00       120.539.101,00     93,14

8    Badan Lingkungan Hidup                            161.385.888                 -    264.258.400      347.181.626     680.088.726,00     1.748.142.256,00       100.626.744,00     94,56

9    Dinas Kebersihan dan Perumahan                    788.276.932      474.024.704    1.164.512.600   1.655.795.078    3.276.454.149,00    9.838.869.913,00       363.257.087,00     96,44

10   Dinas Kependudukan & Catatan Sipil                332.795.500       84.492.498     130.451.375      162.345.404     626.821.822,00     1.797.434.962,00       114.939.038,00     93,99
     Badan Pemberdayaan Masyarakat, Perempuan
11                                                     136.502.165       54.156.700      50.234.000      703.010.136     465.827.899,00     1.726.802.157,00        44.222.843,00     97,50
     dan KB
12   Dinas Sosial, Tenaga Kerja dan Transmigrasi       111.626.420       65.556.500     102.125.875      191.328.367     265.039.272,00     1.232.949.618,00        38.194.382,00     97,00
     Dinas Perindustrian, Perdagangan, Koperasi dan
13                                                      56.530.200       20.663.000     273.744.450      263.856.000     274.189.500,00     1.616.973.875,00       158.541.125,00     91,07
     UKM
     Kantor Penanaman Modal dan Pelayanan
14                                                     119.519.402       19.480.000     130.155.000       14.720.500     252.988.945,00      814.571.118,00         16.301.382,00     98,04
     Terpadu
     Dinas Kebudayaan, Pariwisata, Pemuda dan
15                                                     191.514.870       39.491.000     225.727.200       55.429.200    1.048.919.130,00    2.132.732.650,00        23.506.850,00     98,91
     Olahraga
16   Badan Kesbang, Politik dan Linmas                  34.219.345       58.147.675      89.114.350       99.062.350     185.939.565,00      634.582.206,00         60.848.144,00     91,25

17   Kantor Satuan Polisi Pamong Praja                 344.472.375       43.906.000     136.918.500       42.050.000     309.152.488,00     1.356.704.363,00         3.492.137,00     99,74

18   DPRD                                              324.227.094      324.227.094     324.227.094      324.227.094     324.227.094,00     3.747.025.128,00       246.869.962,00     93,82

19   Walikota dan Wakil Walikota                                  -      52.050.000                -      99.200.000      51.650.000,00      350.000.000,00                      -   100,00

20   Sekretariat Daerah                               1.180.380.263     244.547.440    1.093.084.263     939.753.946    5.685.804.768,00   13.518.919.773,00     1.315.632.002,00     91,13

21   Sekretariat DPRD                                  605.794.882      661.587.250     452.963.200      792.880.525    2.457.299.350,00    8.097.016.399,00       772.688.201,00     91,29
     Dinas Pendapatan, Pengelolaan Keuangan dan
22                                                    2.720.164.649    1.966.995.225   4.292.379.876   3.535.206.644   12.754.940.146,84   66.224.204.511,12     8.046.104.722,88     89,17
     Aset
23   Inspektorat Kota Singkawang                       163.906.725      107.945.100     191.555.755      196.081.957     344.160.806,00     1.752.722.139,00        54.847.861,00     96,97

24   Badan Kepegawaian dan Diklat                      890.719.375      239.857.720     347.226.370      531.001.830     840.842.100,00     3.990.372.076,00       866.712.299,00     82,16




                                                                                                                               Database Kota Singkawang Tahun 2011            | 127
Keuangan Daerah

                                                                                                                                                                                     Sisa Pagu Anggaran
NO                          SKPD                          Agustus            September                Oktober             Nopember             Desember              Jumlah                                 %
                                                                                                                                                                                     LS & TLS (Non Gaji)
1                             2                              11                  12                     13                   14                   16                   17                    18             19

25      Kantor Camat Singkawang Tengah                       72.725.317              3.000.000         151.253.199           54.033.000        163.109.885,00      796.242.041,00         87.287.959,00     90,12

26      Kantor Camat Singkawang Utara                       110.313.335                      -          92.283.500          126.516.113        183.537.852,00      926.827.880,00        119.622.120,00     88,57

27      Kantor Camat Singkawang Selatan                      10.650.000          72.411.580             64.045.000           85.781.165         84.100.750,00      695.389.870,00         54.070.130,00     92,79

28      Kantor Camat Singkawang Timur                                 -          88.839.754             51.120.000           78.913.877        125.984.700,00      747.358.552,00        106.141.448,00     87,56

29      Kantor Camat Singkawang Barat                        37.658.235              8.674.200         112.677.580           17.182.250        128.061.975,00      545.303.660,00         72.036.340,00     88,33

30      Kantor Perpustakaan dan Kearsipan                    32.637.754          34.149.350             38.569.148           43.658.300        105.675.195,00      463.493.173,00         33.906.827,00     93,18

31      Dinas Pertanian dan Kehutanan                       422.837.159         206.762.198            176.272.000          666.987.422      3.292.986.600,00     5.415.617.371,00       271.757.629,00     95,22
        Kantor Penyuluh Pertanian, Perikanan dan
32                                                           98.582.264                      -          82.175.000           77.408.181        160.582.826,00      725.070.878,00         94.658.805,00     88,45
        Kehutanan
33      Dinas Kelautan dan Perikanan                      1.310.357.255        1.606.610.700          1.530.980.700        2.111.949.628     8.522.110.925,00    15.570.965.501,00      (20.824.501,00)    100,13

                   JUMLAH / BULAN                     30.626.455.977,14   11.910.201.375,00      25.094.242.359,00    40.086.743.116,00    117.904.582.746,84   313.148.093.796,12    9.716.596.701,88     96,99

                 JUMLAH S/D BULAN                    118.152.324.199,28   130.062.525.574,28     155.156.767.933,00   195.243.511.049,28   313.148.093.796,12


     Sumber Data : Dinas Pendapatan, Pengelolaan Keuangan dan Aset Kota Singkawang




                                                                                                                                                    Database Kota Singkawang Tahun 2011             | 128
Keuangan Daerah




                                             Tabel 13.11
                         Pertanggungjawaban Penggunaan APBD Kota Singkawang
                                               Berdasarkan Bulan
                                         Tahun Anggaran 2009 - 2011

                                   Tahun Anggaran 2009          Tahun Anggaran 2010    Tahun Anggaran 2011
No              Bulan
                                        (33 SKPD)                    (33 SKPD)              (33 SKPD)

1    Januari                           795,342,052.00               960,964,795.00              -

2    Pebruari                         2,555,295,185.00             8,153,071,308.88      2.246.404.654,00

3    Maret                            5,183,494,719.00            19,877,998,449.36      9.016.258.164,00

4    April                           15,131,255,192.00            28,855,956,136.36     14.071.428.542,00

5    Mei                             22,220,562,824.00            36,499,857,454.36     26.598.388.953,00

6    Juni                            33,687,675,177.00            48,420,502,791.36     68.230.762.247,19

7    Juli                            52,240,990,724.00            61,575,383,097.36     79.928.288.194,14

8    Agustus                         68,811,892,933.00            87,176,733,145.36     114.798.840.985,28

9    September                       95,267,760,203.00            111,509,109,488.36    125.945.823.613,28

10   Oktober                         134,691,423,298.00           137,572,402,575.36    149.917.170.797,28

11   November                        170,075,212,758.83           168,264,287,328.36    189.864.780.464,28

12   Desember                        314,272,533,306.00           300,075,090,041.00    309.903.981.100,12

Sumber Data : Dinas Pendapatan, Pengelolaan Keuangan Dan Aset Kota Singkawang




                                                                       Database Kota Singkawang Tahun 2011   | 129
Keuangan Daerah

                                                                                                  Tabel 13.12
                                                                              Pertanggungjawaban Penggunaan APBD Kota Singkawang
                                                                    Berdasarkan SKPD dan Besarnya Penyampaian Pertanggungajwaban Per Bulan
                                                                                              Tahun Anggaran 2011

      Nama Satuan Kerja Perangkat Daerah
No                                           Januari     Pebruari           Maret             April            Mei               Juni              Juli            Agustus            September           Oktober           November            Desember
                   (SKPD)
1                     2                        3             4                5                6                7                 8                 9                10                  11                 12                 13                  14
1    Dinas Pendidikan                          -        11.057.703,00 3.260.228.080,00 3.293.700.693,00 8.517.633.162,00    8.599.315.641,00 14.880.952.966,00 23.155.922.208,00 26.501.537.758,00 30.060.227.561,00 37.965.490.250,00 62.256.411.441,00

2    Dinas Kesehatan                           -        24.197.445,00     60.534.430,00   125.832.896,00   636.872.045,00    924.213.687,00 1.244.684.942,00    2.083.981.247,00    2.710.560.108,00   3.542.721.918,00   4.843.661.263,00 10.147.384.140,00

3    RSUD dr. ABDUL AZIS                       -       159.411.024,00    297.896.674,00 1.966.128.920,00 3.261.300.688,00   3.862.154.417,00 4.583.280.332,00   9.505.805.745,00    9.684.378.137,00 10.559.874.878,00 12.547.907.956,00 20.696.852.102,00

4    Dinas Bina Marga, SDA, SDM                -                     -    51.553.573,00    65.732.692,00   123.715.001,00    313.800.543,00 1.132.018.703,00    2.420.340.859,00    2.740.238.930,00   7.039.752.601,00 13.018.020.902,00 33.418.992.799,00

     Dinas Tatakota, Pertanahan dan Cipta
5                                              -       101.717.911,00    143.791.201,00   249.481.283,00   423.746.612,00    662.332.225,00    966.345.163,00   5.117.381.251,00    6.188.964.138,00   8.710.594.068,00 17.795.030.061,00 34.809.833.294,00
     Karya
6    Bappeda                                   -        61.483.172,00     72.695.922,00   303.318.789,00   541.558.404,00    715.005.336,00    810.955.900,00   1.171.552.533,00    1.235.395.473,00   1.458.529.444,00   1.643.823.403,00   2.498.911.314,00
      Dinas Perhubungan, Komunikasi dan
7                                              -                     -    37.498.923,00   128.647.678,00   251.089.644,00    408.556.199,00    623.346.124,00    664.507.124,00      790.888.065,00     933.120.685,00    1.041.360.366,00   1.622.841.601,00
     Informatika
8    Badan Lingkungan Hidup                    -        15.538.806,00     46.599.161,00    83.874.433,00   136.309.416,00    204.460.861,00    258.758.054,00    414.495.051,00      436.830.995,00     933.120.685,00    1.027.094.263,00   1.746.455.819,00

9    Dinas Kebersihan dan Perumahan            -       443.080.082,00    743.040.050,00 1.158.641.812,00 1.669.163.450,00   2.027.734.566,00   409.872.009,00   3.162.578.086,00    3.475.962.725,00   4.870.552.364,00   6.541.619.113,00   9.829.085.966,00

10   Dinas Kependudukan dan Catatan Sipil      -         7.876.948,00     72.634.433,00    95.956.427,00   111.752.096,00    236.804.363,00    409.872.009,00    746.847.061,00      814.810.400,00     954.272.615,00    1.124.883.562,00   1.796.594.211,00
     Dinas Pemberdayaan Masyarakat,
11                                             -        17.207.350,00     46.074.675,00    46.651.361,00   151.602.257,00    238.762.408,00    427.757.406,00    357.894.318,00      505.810.633,00     557.473.243,00    1.235.620.407,00   1.720.759.217,00
     Perempuan dan KB
     Dinas Sosial, Tenaga Kerja dan
12                                             -         5.309.859,00     34.759.467,00    66.082.809,00   199.583.184,00    249.781.953,00    496.903.774,00    594.639.526,00      674.059.587,00     716.999.857,00     956.326.018,00    1.205.428.961,00
     Transmigrasi
13   Dinas Perindag, Koperasi dan UKM          -        35.401.900,00    130.632.400,00   199.027.050,00   346.004.100,00    518.768.725,00    642.774.825,00    726.936.675,00      791.501.575,00     988.367.975,00    1.289.551.650,00   1.609.483.800,00
      Kantor Penanaman Modal dan Pelayanan
14                                             -        20.718.822,00     29.206.888,00    43.151.176,00   111.368.572,00    193.581.221,00    270.783.673,00    358.055.620,00      398.279.883,00     545.804.118,00     556.873.848,00     811.809.841,00
     Terpadu
      Dinas Kebudayaan, Pariwisata, Pemuda
15                                             -        53.863.030,00     91.073.030,00   102.053.030,00   238.093.030,00    334.522.030,00    569.912.280,00    673.627.150,00      800.918.150,00    1.026.645.350,00    944.983.550,00    2.132.493.680,00
     dan Olahraga
16   Dinas Kesbang, Politik dan Linmas         -        18.393.182,00     38.866.263,00    34.671.866,00   101.358.921,00    101.358.921,00    161.008.266,00    188.338.694,00      188.338.694,00     349.578.641,00     448.490.856,00     634.581.547,00

17   Kantor Satuan Polisi Pamong Praja         -                     -    43.906.000,00    87.812.000,00   263.718.000,00    307.624.000,00    472.648.000,00    824.677.375,00      855.905.875,00     961.595.875,00    1.040.118.625,00   1.312.798.363,00

18   DPRD Kota                                 -       447.654.188,00    671.481.282,00 1.052.808.376,00 1.381.635.470,00   1.657.962.564,00 2.125.889.658,00   2.721.843.846,00    2.774.343.846,00   3.098.570.940,00   3.422.798.024,00   3.747.025.128,00

19   Walikota / Wakil Walikota                 -                     -                -                -                -    123.400.000,00                 -    147.100.000,00      199.150.000,00     199.150.000,00     298.350.000,00     350.000.000,00

20   Kantor Perpustakaan dan Kearsipan         -         7.429.789,00     26.455.599,00    59.016.984,00    90.202.270,00    157.698.426,00    204.882.180,00    224.591.918,00      266.391.728,00     301.280.283,00     354.013.973,00     461.342.763,00

21   Dinas Pertanian dan Kehutanan             -        19.056.671,00     86.152.952,00   144.149.494,00   305.050.992,00    489.397.851,00    638.887.834,00   1.061.788.349,00    1.199.684.746,00   1.417.582.421,00   2.111.750.366,00   5.415.542.980,00
     Kantor Penyuluh Pertanian, Perikanan,
22                                             -                     -                -    48.370.397,00   123.467.896,00    130.342.896,00    206.258.607,00    352.840.871,00      352.840.871,00     435.015.871,00     460.360.052,00     673.006.878,00
     Kehutanan dan Ketahanan Pangan
23   Dinas Kelautan dan Perikanan              -        11.057.703,00 3.260.228.080,00 3.293.700.693,00 8.517.633.162,00    8.599.315.641,00 14.880.952.966,00 23.155.922.208,00 26.501.537.758,00 30.060.227.561,00 37.965.490.250,00 62.256.411.441,00




                                                                                                                                                                                   Database Kota Singkawang Tahun 2011                       | 130
Keuangan Daerah

      Nama Satuan Kerja Perangkat Daerah
No                                         Januari      Pebruari           Maret            April             Mei               Juni             Juli             Agustus           September           Oktober            November          Desember
                   (SKPD)
1                     2                          3          4                5                6                7                 8                9                 10                  11                 12                 13                14

24   Sekretariat Daerah                      -        14.409.154,00     44.525.391,00    74.988.693,00   144.573.693,00    275.928.873,00    488.461.473,00   1.771.251.150,00   3.394.201.576,00   4.932.873.776,00   7.033.742.283,00   15.561.321.319,00

25   Sekretariat DPRD                        -       608.041.879,00 1.075.916.444,00 1.646.774.267,00                 -   3.045.572.296,00                -   4.688.979.109,00   5.132.409.793,00   6.593.827.203,00   7.637.246.491,00   12.919.609.927,00

     Dinas Pendapatan, Pengelolaan
26                                           -        32.334.255,00    329.168.692,00   770.548.390,00 1.495.777.094,00   2.066.440.800,00 2.747.748.613,00   3.361.068.978,00   4.033.598.141,00   4.491.685.205,00   4.728.688.883,00    7.782.486.523,00
     Keuangan dan Asset
27   Inspektorat Daerah                      -                     - 1.191.234.716,00 1.294.334.962,00 4.056.225.928,00 37.960.203.246,19 41.682.827.398,14 43.528.615.446,28 44.485.830.031,28 47.862.652.314,28 52.474.625.664,28       65.325.109.620,12

28   Badan Kepegawaian dan Diklat            -        35.735.176,00     65.676.204,00   301.372.120,00   425.549.597,00    545.785.484,00    710.528.846,00    912.873.621,00    1.020.838.026,00   1.211.838.333,00   1.398.188.889,00    1.741.861.826,00

29   Camat Singkawang Tengah                 -                     -    80.520.486,00   129.568.065,00   494.065.931,00    630.548.442,00 1.091.327.201,00    2.030.315.090,00   2.224.628.125,00   2.576.917.233,00   3.012.598.975,00    3.986.381.873,00

30   Camat Singkawang Utara                  -        30.442.000,00     50.005.645,00   104.006.640,00   246.702.957,00    266.930.957,00    345.220.957,00    413.362.656,00     423.673.356,00     554.435.741,00     628.695.041,00      791.974.997,00

31   Camat Singkawang Selatan                -                     -    72.166.025,00   143.857.880,00   259.558.580,00    339.017.615,00    411.272.115,00    520.144.128,00     521.423.528,00     614.817.028,00     743.232.648,00      920.658.810,00

32   Camat Singkawang Timur                  -        33.382.220,00     48.647.220,00    93.622.045,00   205.202.045,00    229.167.375,00    315.557.375,00    370.768.955,00     411.018.955,00     507.545.120,00     568.330.120,00      690.820.795,00

33   Camat Singkawang Barat                  -        15.414.903,00     39.310.403,00    98.239.394,00   197.379.348,00    243.407.671,00    356.508.221,00    383.007.975,00     424.037.975,00     520.795.841,00     554.061.852,00      740.815.905,00

                 Jumlah                      -       2.246.404.654,00 9.016.258.164,0014.071.428.542,0026.598.388.953,00 68.230.762.247,19 79.928.288.194,14 114.798.840.985,28125.945.823.613,28149.917.170.797,28189.864.780.464,28     309.903.981.100,12

Sumber Data : Dinas Pendapatan, Pengelolaan Keuangan Dan
Asset




                                                                                                                                                                                 Database Kota Singkawang Tahun 2011                      | 131
Keuangan Daerah


                                                                                                     Tabel 13.13
                                                                  Realisasi Fisik dan Keuangan Penggunaan APBD Kota Singkawang
                                                                    Berdasarkan SKPD, Jumlah Program/Kegiatan dan Pagu Dana
                                                                                        Tahun Anggaran 2010 dan 2011
                                                                                                    Tahun 2010                                                                Tahun 2011
       Kode
NO                                   Nama SKPD                            Jumlah                            Realisasi Keuangan                        Jumlah                           Realisasi Keuangan
     Organisasi                                                                            Pagu Dana                               Realisasi                          Pagu Dana
                                                                                             (Rp.)                                   (%)                                (Rp.)                                 Realisasi
                                                                   Program   Kegiatan                            (Rp)       (%)                Program Kegiatan                          (Rp)         (%)     Fisik (%)
1        2                               3                            4            5            6                 7          8        9          10        11            12               13           14        15

1    1.01.01      Dinas Pendidikan                                    9            93    26.986.655.400 18.013.757.864     66,75    90,40        10        74       42.292.159.490 32.308.275.891    94,80     74,34
2    1.02.01      Dinas Kesehatan                                    18            84     8.717.735.189   8.118.051.248    93,12    88,37        18        63       9.112.136.523    8.790.673.136   92,68     91,38
3    1.02.02      RSUD dr. Abdul Aziz Kelas B                         9            51    18.888.526.671 18.463.977.083     97,75    92,81        9         46       19.004.516.553 18.909.262.102    98,72     97,79
4    1.03.01      Dinas Bina Marga, SDA dan ESDM                     15            45    41.486.567.250 40.968.454.078     98,75    98,60        15        37       37.696.451.800 32.993.121.799    94,37     95,47
5    1.04.01      Dinas Tata Kota, Pertanahan dan Cipta Karya        12            38    26.907.242.343 26.604.926.120     98,88    98,03        13        34       34.915.622.133 34.633.823.294    94,11     92,74
6    1.06.01      Badan Perencanaan dan Pembangunan Daerah           15            42     2.720.270.100   2.605.624.655    95,79    95,91        15        56       2.460.649.190    2.362.091.214   97,10     98,05
7    1.07.01      Dinas Perhubungan, Komunikasi dan Informatika       9            27    36.681.039.195 36.332.190.581     99,05    92,58        9         30       1.533.360.045    1.422.736.471   93,58     96,97
8    1.08.01      Badan Lingkungan Hidup                              6            26     1.763.084.404   1.659.344.825    94,12    97,43        8         29       1.700.788.000    1.625.473.760   97,43     88,12
9    1.08.04      Dinas Kebersihan dan Perumahan                      9            34    12.574.766.500 12.122.946.260     96,41    90,80        12        35       9.678.207.000    7.808.380.961   87,10     94,98
10   1.10.01      Dinas kependudukan dan Catatan Sipil                4            26     1.261.488.052   1.146.083.073    90,85    90,54        5         24       1.758.534.000    3.327.929.865   176,83    479,77
                  Badan Pemberdayaan Masyarakat, Perempuan
11   1.22.01                                                          9            34     1.527.487.810   1.454.863.755    95,25    91,77        16        43       1.629.015.000    1.588.795.217   96,89     96,64
                  dan KB
12   1.13.01      Dinas Sosial Tenaga Kerja dan Transmigrasi         12            39      93.595.500      93.150.000      99,52    99,23        13        31       1.042.180.000    1.296.870.697   112,80    155,73
                  Dinas Perindustrian Perdagangan Koperasi dan
13   1.14.01                                                         13            48     2.725.766.750   2.703.419.075    99,18    98,53        11        29       1.410.335.000    1.383.483.800   99,63     97,58
                  UKM
14   1.16.01      Kantor Penanaman Modal dan Pelayanan Terpadu        5            23     806.195.250      378.752.031     96,60    99,82        6         20        771.472.500     755.027.341     98,56     97,83
                  Dinas Kebudayaan Pariwisata Pemuda dan
15   1.17.01                                                         11            38     4.589.488.745   4.265.806.748    92,95    92,27        12        36       1.976.979.250    1.946.142.680   98,59     98,60
                  Olahraga
                  Badan Kesatuan Bangsa Politik dan Perlindungan
16   1.19.01                                                          7            28     756.168.689      700.287.875     92,61    60,80        8         25        553.590.350     519.261.547     93,70     82,13
                  Masyarakat
17   1.19.03      Satuan Polisi Pamong Praja                          5            24     1.367.293.800   1.320.656.300    96,59    95,51        5         24       1.050.476.500    1.098.818.363   102,53    99,23
18   1.20.03      Sekretariat Daerah                                 29        112       15.636.759.854 14.457.840.464     92,46    85,16        29        69       12.610.413.325 11.712.091.379    88,32     92,75
19   1.20.04      Sekretariat DPRD                                    6            47     8.258.612.250   7.109.517.656    86,09    75,47        6         47       8.978.784.600    7.515.153.325   78,84     74,37
                  Dinas Pendapatan Pengelolaan Keuangan dan
20   1.20.05                                                          4            74    13.178.428.855 11.520.916.198     87,42    84,12        5         69       15.669.606.620 11.049.161.547    82,66     86,72
                  Aset
21   1.20.07      Inspektorat Kota Singkawang                         6            21     1.205.115.627    1.170.366.957   97,12     96,92        8            34    1.557.250.000   1.537.841.826    98,92     98,43




                                                                                                                                                          Database Kota Singkawang Tahun 2011                 | 132
Keuangan Daerah

1        2                           3                         4      5          6               7           8       9     10    11         12             13           14      15
22   1.20.08    Badan Kepegawaian dan Diklat                  6       41   3.491.750.700   3.125.091.967   89,50   96,21   7    46    3.626.524.375   3.377.551.473   84,67   98,71
23   1.20.09    Kecamatan Singkawang Tengah                   15      36   673.728.766     549.060.371     81,50   89,04   10   27     438.970.000    458.826.382     96,37   93,90
24   1.20.10    Kecamatan Singkaawang Utara                   13      32   829.381.742     794.819.740     95,83   91,45   11   28     648.270.000    637.268.810     99,71   99,65
25   1.20.11    Kecamatan Singkawang Selatan                  15      34   691.865.000     686.205.902     99,18   92,86   10   26     487.020.000    463.805.045     99,64   99,99
26   1.20.12    Kecamatan Singkawang Timur                    16      35   692.897.950     931.602.668     91,15   88,81   13   27     546.020.000    531.255.905     98,84   98,91
27   1.20.13    Kecamatan Singkawang Barat                    10      25   480.080.725     365.544.745     76,14   89,85   10   23     310.020.000    275.898.160      98,4   87,72
28   1.24.01    Kantor Perpustakaan dan Arsip                 8       33   522.395.239     482.443.679     92,35   100     8    22     435.000.000    409.752.263     97,29   98,67
29   2.01.01    Dinas Pertanian dan Kehutanan                 15      43   3.438.271.200   3.234.893.016   94,08   100     13   41    5.307.425.000   5.197.075.080   96,02   96,45
                Kantor Penyuluh Pertanian, Perternakan,
30   2.01.02                                                  6       33   1.314.913.905   118.298.216     89,97   92,50   7    20     730.749.683    546.476.878     84,98   90,12
                Kehutanan dan Ketahanan Pangan
31   2.05.01    Dinas Kelautan dan Perikanan                  9       45   3.740.822.375   3.702.990.398   98,99   99,98   11   51    15.371.821.000 15.409.761.319   98,97   98,23

Sumber Data : Bagian Administrasi Pembangunan Setda Kota Singkawang




                                                                                                                                Database Kota Singkawang Tahun 2011           | 133
Kekayaan Daerah




14. Kekayaan Daerah

          Data kekayaan daerah yang ditampilkan disini berupa tanah dan kendaraan
   bermotor. Sampai dengan tahun 2011 jumlah tanah yang dimiliki Pemerintah Kota
   Singkawang sebanyak 148 obyek tanah dengan luas keseluruhan mencapai
   1.723.0760 M². Tanah-tanah tersebut berasal dari pengadaan yang dilakukan Pemerintah
   Kota Singkawang dari tahun 2002 sampai tahun 2011. Dari 148 obyek tanah tersebut
   memiliki sertifikat sebagai bukti kepemilikan tanah 91 obyek dan yang belum 57 obyek
   tanah.

          Untuk kendaraan bermotor yang dimiliki sebanyak 437 unit dengan rincian
   kendaraan roda 2 sebanyak 279 unit, 223 unit berasal dari Pengadaan Pemerintah kota
   Singkawang, 51 unit berasal dari Pemerintah Pusat dan 5 unit dari Pemerintah
   Propionsi. Kendaraan roda 4 sebanyak 120 unit, 110 unit Pengadaan Pemerintah Kota
   Singkawang dan 10 unit penyerahan dari Kabupaten Induk. Untuk kendaraan jenis
   lainnya sebanyak 38 unit, semuanya merupakan pengadaan Pemerintah Kota
   Singkawang.

                                                        Tabel 14.1
                                      Jumlah Tanah Milik Pemerintah Kota Singkawang
                                    Berdasarkan Jumlah Obyek Tanah, Luas dan Sertifikat
                                                Keadaan Tahun 2009 - 2011
                                                                                                        Sertifikat
            No           Tahun            Jumlah Obyek Tanah               Luas
                                                                                             Ada             Tidak Ada
            1            2009                       131                1.647.246 M²          78                 53

            2            2010                       147                1.716.156 M²          91                 56

            3            2011                       148                1.723.076 M²          91                 57

             Sumber Data : Dinas Pendapatan, Pengelolaan Keuangan dan Aset Kota Singkawang



                                                          Tabel 14.2
                                 Jumlah Kendaraan Bermotor Milik Pemerintah Kota Singkawang
                                 Berdasarkan Jenis, Asal/Cara Perolehan dan Kondisi Kendaraan
                                               Keadaan Per 31 Desember 2011

                                                               Asal /Cara Perolehan                             Kondisi Kendaraan
              Jenis                        Penyerahan     Penyerahan       Penyerahan
  No                             Jumlah                                                  Pengadaan
            Kendaraan                          Dari          Dari             Dari                                   Rusak     Rusak
                                                                                           Pemkot             Baik
                                           Pemerintah     Pemerintah       Pemerintah                                Ringan    Berat
                                                                                         Singkawang
                                              Pusat        Propinsi         Kab Induk
   1     Roda 2                   279           51               5                -               223         148        131     -
   2     Roda 4                   120           -                -                10              110         110        55      1
   3     Jenis Lainnya             38           -                -                -                38          29         9      -
       Jumlah Tahun 2011          437          51               5                 10              371         241        195    1
       Jumlah Tahun 2010          421          51               5                 10              355         225        195    1
       Jumlah Tahun 2009          278           1               5                 10              262          99        173    6
  Sumber Data : Dinas Pendapatan, Pengelolaan Keuangan dan Aset Kota Singkawang




                                                                             Database Kota Singkawang Tahun 2011               | 134
Perindustrian dan Perdagangan




15. Perindustrian dan Perdagangan

          Sektor industri khususnya industri besar dan sedang berperan cukup besar
   mendorong pertumbuhan ekonomi. Sifat industri ini yang cenderung padat modal dan
   teknologi berpeluang membentuk nilai tambah yang besar dengan pertumbuhan yang
   tinggi pula.

          Sampai dengan tahun 2011 industri yang ada di Kota Singkawang masih tergolong
   industri kecil dan menengah yang dapat dikelompokkan menjadi 35 bidang usaha dengan
   254 unit usaha. Tenaga kerja yang terserap dari 254 unit usaha tersebut 1.352 orang
   dengan nilai investasi Rp. 31.018.381.000,- dan nilai produksi mencapai
   Rp. 24.545.000.000,-

          Sektor perdagangan baik formal maupun informal memberikan kontribusi yang
   cukup berarti dalam menggerakan roda perekonomian maupun dalam penyerapan tenaga
   kerja. Terdapat 1.020 pedagang di Kota Singkawang baik yang ada di pasar Alianyang,
   pasar Beringin maupun di luar kedua pasar tersebut yang terdiri dari 128 pedagang
   formal dan 892 pedagang informal. Sedangkan jenis barang dagangan dapat
   dikelompokkan menjadi 31 jenis barang dagangan. Omset perhari dari 1.020 pedagang
   tersebut mencapai Rp. 148.515.000,- dengan nilai aset mencapai Rp. 5.390.110.000,-.


                                                             Tabel 15.1
                                 Rekapitulasi Industri Kecil dan Menengah Di Kota Singkawang
                                                 Keadaan Per 31 Desember 2011


                                                       Jumlah
                                          Jumlah                          Kapasitas        Nilai Investasi   Nilai Produksi
      No          Bidang Usaha                         Tenaga
                                           Usaha                          Produksi              (Rp.)              (Rp)
                                                        Kerja

       1                   2                 3           4                   5                   6                 7
       1   Industri Pengolahan Buah          3           13                       72 ton       30,730,000       138,000,000
       2   Industri Kecap                   10           47                459.850 liter      460,627,000       997,000,000
       3   Industri Roti                    15           83                      108 ton      154,188,000       841,000,000
       4   Industri Tahu                     6           13                       29 ton       29,695,000       290,000,000
       5   Industri Terasi                   1           4                        18 ton       16,520,000         87,000,000
       6   Industri Cuka Makanan             7           11                 47.780 liter       40,276,000       261,000,000
       7   Industri Kerupuk                  4           21                       26 ton       25,498,000       290,000,000
       8   Industri Kopi                    14           34                  142.600 kg       208,227,000       602,000,000
       9   Industri Sirop                    6           10                 43.655 liter       35,025,000       319,000,000
      10   Industri Mie                     11           38                      185 ton      140,222,000       693,000,000
      11   Industri Es Balok                 5           19                      500 ton      110,050,000       148,000,000
      12   Industri Makanan Unggas           7           27                      531 ton      730,000,000       539,000,000
      13   Industri Pakaian Jadi            12           39                   9.200 stel      177,500,000     1,035,000,000
      14   Industri Obras                    3           9                 24.400 helai        28,900,000         76,000,000
      15   Industri Percetakan              13           91           1.488.962 lusin       2,678,019,000     1,712,100,000
      16   Industri Kerajinan Emas          39          112                24.024 gram        404,039,000     2,390,100,000
      17   Industri Bahan Bangunan          16          145       10.320 meter kubik          899,282,000     6,676,000,000




                                                                      Database Kota Singkawang Tahun 2011| 203
Perindustrian dan Perdagangan




1                     2                       3            4                5                    6                 7
        Industri Kerajinan dari
18                                            7           14              32.280 buah          40,413,000        281,300,000
        Kayu
        Industri Furniture dari
19                                           13           99              10.976 buah        1,052,648,000     3,281,400,000
        kayu
        Industri Kerajinan Pande
20                                            8           31              22.724 buah         115,200,000        244,000,000
        Besi
21      Industri Keramik                      3           31              29.320 buah          56,890,000        157,000,000
22      Industri Vulkanisir Ban               2           11               9.500 buah          48,500,000        332,000,000
                                                                              250 ton/
23      Industri Pupuk                        2            8                                   62,000,000         97,000,000
                                                                          250.000 liter
24      Industri Kemasan                      1           80               16.000 kodi        377,300,000        131,000,000
25      Industri Minyak Kelapa                3           16                 1.130 ton       1,523,500,000       293,000,000
26      Industri Batu Bata                    4           68             141.200 buah         236,100,000        167,000,000
27      Industri Barang dari Semen            1           10             150.000 buah         127,200,000         43,000,000
        Industri Air Minum Dalam
28                                            7           183       62.000.000 liter        13,274,225,000     1,041,600,000
        Kemasan
        Industri Pembuatan Gigi
29                                            8            9               2.640 buah         446,270,000        208,400,000
        Palsu
30      Industri Cool Storage                 3           15                    260 ton      6,129,000,000       469,000,000
31      Bengkel Las                           7           20              16.248 buah         151,560,000        180,000,000
32      Alat dari Aluminium                   9           18              11.700 buah         108,777,000        195,100,000
33      Minyak Pelumas                        1           15              28.500 Liter       1,000,000,000       180,000,000
        Pengolahan dan
34                                            1            2                 18.000 Kg         20,000,000         25,000,000
        Pengawetan Daging
35      Jamu Tradisional                      2            6                    2.160 Kg       80,000,000        125,000,000

               Jumlah                        254         1,352                             31,018,381,000    24,545,000,000

Sumber Data : Dinas Perindustrian, Perdagangan, Koperasi dan Usaha Kecil Menengah Kota Singkawang




                                                        Tabel 15.2
                                             Jumlah Pedagang Di Kota Singkawang
                                                    Berdasarkan Lokasi Pasar
                                                  Keadaan Per 31 Desember 2011

                                      Jenis          Jumlah         Sifat Usaha                Omset/           Total
 No            Nama Pasar
                                     Dagangan        Pedagang    Formal         Informal        Hari            Asset
    1     Pasar Beringin                12                269       63              206        54,400,000     2,629,450,000

    2     Pasar Alianyang               4                 161                        161       29,965,000      416,500,000
          Di Luar                       15
    3                                                     590       65              525         4,150,000     2,344,160,000
          Beringin/Alianyang

                      Jumlah                           1,020       128              892      148,515,000     5,390,110,000

    Sumber Data : Dinas Perindustrian, Perdagangan, Koperasi dan Usaha Kecil Menengah Kota Singkawang




                                                                      Database Kota Singkawang Tahun 2011| 204
Perindustrian dan Perdagangan




                                                         Tabel 15.3
                                           Jumlah Pedagang Pasar Beringin
                           Berdasarkan Jenis Dagangan Jumlah Pedagang dan Sifat Usaha
                                           Keadaan Per 31 Desember 2011

                                                         Jumlah          Sifat Usaha             Omset/                Total
No                       Jenis Dagangan
                                                        Pedagang      Formal     Informal         Hari              Asset
1      Sembako                                             54           21          33          16,350,000        617,100,000
2      Sayuran                                             44           -          44             8,700,000       394,300,000
3      Makanan dan Minuman                                 32           5          27             4,310,000       141,050,000
4      Pakaian, Sepatu dan Sandal                          42           23         19             8,430,000       536,500,000
5      Palawija                                            25           -          25             3,100,000       259,000,000
       Kelontong, Alat Rumah Tangga dan Mainan
6                                                          27           11         16             6,490,000       374,500,000
       Anak-anak
7      Alat Pertanian                                       1           1           -              200,000         20,000,000
8      Produk Kecantikan                                    1           1           -              300,000         15,000,000
9      Aksesoris                                            7           -           7             1,150,000        62,000,000
10     Bumbu Masak dan Buah-Buahan                          8           -           8              900,000         31,500,000
11     Pedagang Daging, Ikan, Tahu dan Tempe               27           1          26             4,270,000       177,500,000
12     Kaset VCD                                            1           -           1              200,000             1,000,000

                          Jumlah                                269         63       206       54,400,000      2,629,450,000

     Sumber Data : Dinas Perindustrian, Perdagangan, Koperasi dan Usaha Kecil Menengah Kota Singkawang




                                                          Tabel 15.4
                                            Jumlah Pedagang Pasar Alianyang
                             Berdasarkan Jenis Dagangan Jumlah Pedagang dan Sifat Usaha
                                             Keadaan Per 31 Desember 2011

                                               Jumlah            Sifat Usaha            Omset/                 Total
         No             Jenis Dagangan
                                              Pedagang     Formal      Informal          Hari                  Asset
          1      Ikan                            63                       63            18,900,000             189,000,000
          2      Sayuran                         67                         67              7,865,000          111,500,000
          3      Buah - Buahan                   25                         25              2,320,000           77,000,000
          4      Makanan dan Minuman              6                          6               880,000            39,000,000

                         Jumlah                 161                      161            29,965,000            416,500,000

           Sumber Data : Dinas Perindustrian, Perdagangan, Koperasi dan Usaha Kecil Menengah Kota Singkawang




                                                                       Database Kota Singkawang Tahun 2011| 205
Perindustrian dan Perdagangan




                                                     Tabel 15.5
                       Jumlah Pedagang Di Luar Pasar Beringin dan Alianyang/Kuala
                     Berdasarkan Jenis Dagangan Jumlah Pedagang dan Sifat Usaha
                                       Keadaan Per 31 Desember 2011

                                                             Sifat Usaha
No              Jenis Dagangan               Jumlah                                 Omset/               Total
                                            Pedagang                                 Hari                Asset
                                                         Formal     Informal

1      Pedagang Sembako                          6          5          1             2,790,000          167,000,000

2      Pedagang Sayuran                         71          -          71           11,390,000          112,910,000

3      Peadagang Daging                         26          -          26            6,950,000           60,000,000

4      Pedagang Ikan                            16          -          16            1,360,000           20,000,000

5      Pedagang Makanan dan Minuman            261          13        248           17,250,000          275,250,000

6      Pedagang Pakaian                         57          24         33            8,900,000          751,500,000

7      Pedagang Sepatu, Sandal dan Tas          15          15          -            5,280,000          545,000,000

8      Pedagang Aksesoris                       38          -          38            2,400,000           64,000,000

9      Pedagang Kerajinan                        4          1          3               700,000           28,500,000

10     Salon                                     1          1           -              230,000           20,000,000

11     Pedagang Kelapa                           2          1          1               300,000           10,000,000

12     Travel                                    1          1           -              500,000           50,000,000

13     Obat-Obatan                               2          2           -              900,000           80,000,000

14     Ponsel                                    8          1          7               900,000           54,000,000

15     Kelontong                                 1          1           -              250,000           25,000,000

                   Jumlah                      590          65        525          64,150,000     2,344,160,000

    Sumber Data : Dinas Perindustrian, Perdagangan, Koperasi dan Usaha Kecil Menengah Kota Singkawang




                                                                  Database Kota Singkawang Tahun 2011| 206
Perindustrian dan Perdagangan


                                                                                        Tabel 15.6
                                                                Harga Bahan Kebutuhan Pokok Di Kota Singkawang
                                                           Berdasarkan Nama Bahan Pokok dan Harga Setiap Bulan
                                                                           Keadaan Januari - Desember 2011

                                                                                                              Harga (Rp.)
No    Nama Bahan Pokok        Satuan
                                          Januari    Pebruari      Maret       April       Mei        Juni         Juli     Agustus   September   Oktober     November    Desember

1.    Beras Lokal                Kg        7,075       7,300       7,180       7,125      6,875      6,750        7,000     7,000       7,000      7,000        7,000       7,000

2.    Gula Pasir                 Kg       10,000       9,750       9,700       9,750      10,000     10,000       10,000    10,000      9,625      9,500        9,500       11,000

3.    Daging Sapi                Kg       70,000      70,000      70,000       70,000     70,000     70,000       70,000    70,000     70,000     70,000       70,000       70,000

4.    Susu Cap Nona           Kaleng       7,500       7,500       7,500       7,750      7,875      8,000        8,000     8,000       8,000      8,000        8,000       8,000

5.    Ikan Tongkol               Kg       17,000      17,250      19,200       21,000     22,000     19,750       19,750    20,000     21,500     24,000       27,500       19,000

6.    Minyak Goreng              Kg       12,250      12,500      12,500       13,125     12,000     12,000       12,750    14,000     13,750     13,250       12,200       13,000

7.    Telur Ayam Ras             Kg       16,500      17,000      16,600       16,000     16,500     17,750       18,125    22,000     17,750     17,000       17,200       18,250
      Sayur Mayur
8.                              Ikat       8,000       9,500      10,100       8,250      7,750      9,750        10,250    10,000      9,250      7,000        7,200       7,000
      Kol / Kubis
      Palawija
9.                               Kg        8,000       7,625       7,800       7,375      7,500      7,250        7,625     8,000       7,250      7,250        7,400       7,250
      Kacang Kedelai
      Tepung Terigu
10.                              Kg        7,500       7,500       7,300       7,375      7,500      7,500        7,500     7,500       7,500      7,500        7,500       7,500
      Segitiga Biru

11.   Minyak Tanah             Liter       3,750       3,750       3,750       3,750      3,750      3,750        3,750     9,700       9,700      9,700        9,700       9,700

 Sumber Data : Dinas Perindustrian, Perdagangan, Koperasi dan Usaha Kecil Menengah Kota Singkawang




                                                                                                                                      Database Kota Singkawang Tahun 2011| 207
Perindustrian dan Perdagangan




                                                         Tabel 15.7
                                         Banyaknya Pengusaha Pemilik SIUP
                            Berdasarkan Kecamatan, Klasifikasi Usaha dan Jumlah
                                            Keadaan Per 31 Oktober 2011


                                                               Klasifikasi Usaha
     No               Kecamatan                                                                         Jumlah
                                                 Besar     Menengah       Kecil           Mikro
      1        Singkawang Barat                   9               63       231             63             366
      2        Singkawang Tengah                  9               34       215             73             331
      3        Singkawang Utara                   1               4         33             6               44
      4        Singkawang Timur                   1               4         18             4               27
      5        Singkawang Selatan                 2               12        45             22              81
                            Jumlah 2011           9            59          252            168             488
                            Jumlah 2010           13           58          290             0              361
     Catatan : Klasifikasi SIUP Mikro dimulai pada Tahun 2011
     Sumber Data : Kantor Penanaman Modal dan Pelayanan Terpadu Kota Singkawang




                                                         Tabel 15.8
                                            Gudang Yang Ada Di Singkawang
                          Berdasarkan nama Gudang, Lokasi/Alamat, Pemilik dan Luas
                                            Keadaan Per 31 Desember 2011

                                                                                                         Klasifikasi/Luas
No   Nama Gudang                    Lokasi/Alamat Gudang                  Nama Pemilik Gudang
                                                                                                           Gudang (M2)
1          2                                 3                                        4                           5
1                       Jl. S. M. Tsafioeddin, Kel. Pasiran,           NGALIMIN                       Kecil :
                        Kec. Singkawang Barat                                                         a. 140 m2
                                                                                                      b. 70 m2
                        Jl. Tanjung Batu Karang Intan, Kel.            HARTOJO                        Kecil : 1.430,5 m2
2
                        Sedau,
                        Kec. Singkawang Selatan
3                       Jl. Yos Sudarso No. 155, Kel. Kuala,           BONG HIAN FA                   Kecil :
                        Kec. Singkawang Barat                                                         a. 118,75 m2
                                                                                                      b. 124,8 m2
4                       Gang Dwi Tunggal No. 43, Kel. Melayu,          BONG KI PHIN                   Kecil : 80 m2
                        Kec. Singkawang Barat
5                       Jl. Gunung Bawang RT. 30 RW. 12,               SUCIPTO                        Kecil : 524,40 m2
                        Kel. Pasiran, Kec. Singkawang Barat
6                       Jl. Tani RT. 32 Rw. XIII, Kel. Pasiran,        H. RUSLIANSYAH D. T, MBA       Menengah : 4.813 m2
                        Kec. Singkawang Barat
7                       Jl. Kurau No. 16b, Kel. Condong,               SJIA HO TJHUNG                 Kecil : 72 m2
                        Kec. Singkawang Tengah
8                       Jl. Kridasana No. 03, Kel. Pasiran,            DUTONO                         Kecil : 144 m2
                        Kec. Singkawang Barat
9                       Jl. Kridasana No. 03, Kel. Pasiran,            DUTONO                         Kecil : 192 m2
                        Kec. Singkawang Barat
10                      Jl. Kridasana No. 03, Kel. Pasiran,            DUTONO                         Kecil : 96 m2
                        Kec. Singkawang Barat




                                                                            Database Kota Singkawang Tahun 2011| 208
Perindustrian dan Perdagangan




1    2                        3                                 4                    5
11       Jl. Kridasana No. 03, Kel. Pasiran,      DUTONO                   Kecil : 80 m2
         Kec. Singkawang Barat
12       Jl. Sijangkung, Kel. Sijangkung,         WIDIYANTO                Kecil : 163 m2
         Kec. Singkawang Selatan
13       Jl. Setia Budi No. 158, Kel. Condong,    TJHIA KIM SIONG          Kecil : 40 m2
         Kec. Singkawang Tengah
14       Jl. Setia Budi No. 158, Kel. Condong,    TJHIA KIM SIONG          Kecil : 80 m2
         Kec. Singkawang Tengah
15       Jl. Setia Budi No. 158, Kel. Condong,    TJHIA KIM SIONG          Kecil : 400 m2
         Kec. Singkawang Tengah
16       Jl. Kurau No. 19, Kel. Condong,          SUKARYADI                Kecil : 120 m2
         Kec. Singkawang Tengah
17       Jl. Hulu Terminal Bengkayang             SUKARYADI                Kecil : 80 m2
         (Komp. Pertokoan Lt. 1), Kel. Condong,
         Kec. Singkawang Tengah
         Komp. Pasar Baru Blok E No. 37, Kel.     TJUNG TJIN TJUNG         Kecil : 72 m2
18
         Pasiran,
         Kec. Singkawang Barat
         Komp. Pasar Baru Blok E No. 31, Kel.     TJUNG TJIN TJUNG         Kecil : 84 m2
19
         Pasiran,
         Kec. Singkawang Barat
         Komp. Pasar Baru Blok E No. 29, Kel.     TJUNG TJIN TJUNG         Kecil : 84 m2
20
         Pasiran,
         Kec. Singkawang Barat
         Komp. Pasar Baru Blok E No. 33, Kel.     TJUNG TJIN TJUNG         Kecil : 96 m2
21
         Pasiran,
         Kec. Singkawang Barat
22       Jl. Sagatani Norio, Kel. Sijangkung,     TJHAI NYIT KHIM          Kecil : 637,60 m2
         Kec. Singkawang Selatan
23       Jl. Jend. Sudirman RT.013/RW.002         CHIA SUN NYAN            Kecil : 288 m2
         Kel. Roban Kec. Singkawang Barat
24       Jl. Jend. Sudirman RT.013/RW.002         CHIA SUN NYAN            Kecil : 120 m2
         Kel. Roban Kec. Singkawang Barat
25       Jl. P. Antasari Gg. Satelit,             MARIATY                  Kecil : 272 m2
         Kel. Pasiran Kec. Singkawang Barat
26       Jl. GM. Situt No. 24, Kel. Pasiran       MALIANTO                 Kecil : 48 m2
         Kec. Singkawang Barat
27       Jl. Alianyang No. 10, Kel. Pasiran,      BUN KUN FO               Kecil : 150 m2
         Kec. Singkawang Barat
28       Jl. Padang Pasir No. 03, Kel. PasSedau   HIRMANTO                 Kecil : 128 m2
         Kec. Singkawang Selatan
29       Jl. Sejahtera No. 62, Kel. Melayu        LIU LIUARDI              Kecil : 80 m2
         Kec. Singkawang Barat
30       Jl. Alianyang Kel. Pasiran,              LIU LIUARDI              Kecil : 495 m2
         Kec. Singkawang Barat
31       Jl. Alianyang Kel. Pasiran,              LIU LIUARDI              Kecil : 340 m2
         Kec. Singkawang Barat
32       Jl. Gunung Senujuh Kel. Pasiran          BAKIR RIMBA              Kecil : 225 m2
         Kec. Singkawang Barat




                                                       Database Kota Singkawang Tahun 2011| 209
Perindustrian dan Perdagangan




1            2                              3                                     4                    5
33                      Jl. Gunung Senujuh Kel. Pasiran            BAKIR RIMBA               Kecil : 50 m2
                        Kec. Singkawang Barat
34                      Jl. Alianyang Gg. Nalaprana                BAKIR RIMBA               Kecil : 200 m2
                        Kel. Pasiran Kec. Singkawang Barat
35                      Jl. Gn. Bawang Kel. Pasiran                SUCIPTO                   Kecil : 542,40 m2
                        Kec. Singkawang Barat
36                      Jl. Padang Pasir No. 65                    BIE KONG                  Kecil : 64 m2
                        Kel. Sedau Kec. Singkawang Selatan
37                      Jl. Stasiun No.73, Kel. Pasiran            NGALIMIN                  Kecil : 100 m2
                        Kec. Singkawang Barat
38                      Jl. Niaga No. 173, Kel. Melayu             LIE BUI NJAN              Kecil : 124 m2
                        Kec. Singkawang Barat
39                      Jl. Niaga No. 117, Kel. Melayu             DWI HARTONO               Kecil : 48 m2
                        Kec. Singkawang Barat
40                      Jl. Alianyang Gg. Surya Kel. Pasiran,      RISA MAS OEN              Kecil : 189 m2
                        Kec. Singkawang Barat
41                      Jl. Kurau No.19 Kel. Condong               SUKARYADI                 Kecil : 112 m2
                        Kec. Singkawang Tengah
42                      Jl. Pasar Hulu No.16 E-F Kel. Condong      SUKARYADI                 Kecil : 132 m2
                        Kec. Singkawang Tengah

Sumber Data : Kantor Penanaman Modal dan Pelayanan Terpadu Kota Singkawang




                                                                         Database Kota Singkawang Tahun 2011| 210
Koperasi, Usaha Mikro, Kecil dan Menengah




16. Koperasi, Usaha Mikro, Kecil dan Menengah

           Berdasarkan data dari Dinas Perindustrian Perdagangan, Koperasi dan UMKM
   Kota Singkawang diketahui koperasi dan UMKM merupakan populasi pelaku usaha
   yang sangat besar. Koperasi yang ada di Kota Singkawang berjumlah 148 unit yang
   terdiri dari KPN 19 unit, KUD 6 unit, koperasi karyawan 12 unit, koperasi serba usaha
   45 unit, koperasi wredatama 1 unit, koperasi tani 19 unit, koperasi TNI/Polri 6 unit dan
   kopeasi lainnya 40 unit.

          Dari 148 unit koperasi jumlah anggota mencapai 24.616 orang, jumlah manajer 4
   orang, tenaga kerja yang terserap 133 orang. Jumlah modal sendiri seluruh koperasi
   Rp. 22.031.898.121,- jumlah modal luar Rp. 62.007.533.467,- dengan volume usaha
   Rp. 63.081.451.651,- serta sisa hasil usaha (SHU) mencapai Rp. 3.440.871.159,-

          Jumlah usaha mikro, kecil dan menengah di Kota Singkawang mencapai 3.703
   unit usaha, volume usaha sebesar Rp. 443.466.810.000,- dengan jumlah tenaga kerja yang
   diserap mencapai 4.154 orang.

         Dengan peranan yang begitu besar, keberadaan koperasi dan UKM menjadi
   bagian penting dalam memperkokoh ekonomi kerakyatan. Dimana keberadaannya
   sebagai usaha yang padat tenaga kerja ini tidak akan mudah terpengaruh oleh gejolak
   ekonomi global.


                                                   Tabel 16.1
                                   Jumlah Koperasi Di Kota Singkawang
                                         Berdasarkan Jenis Koperasi
                                        Keadaan Tahun 2009 - 2011


               No           Jenis Koperasi          Tahun 2009       Tahun 2010       Tahun 2011

                1    KPN                                 19               19              19
                2    KUD                                  6                6               6
                3    Karyawan                            11               11              12
                4    Serba Usaha                         42               44              45
                5    WredaTama                            1                1               1
                6    Tani                                16               17              19
                7    TNI/Polri                            6                6               6
                8    Lainnya                             40               40              40
                            Jumlah                      141              144              148

               Sumber Data : Dinas Perindustrian, Perdagangan, Koperasi dan Usaha Kecil
                             Menengah Kota Singkawang




                                                                       Database Kota Singkawang Tahun 2011       | 211
Koperasi, Usaha Mikro, Kecil dan Menengah




                                                       Tabel 16.2
                              Perkembangan Usaha Koperasi Di Kota Singkawang
                                            Keadaan Tahun 2010 - 2011


                  No.                  Uraian                   Tahun 2010               Tahun 2011

                   1      Jumlah Koperasi                           144                      148
                   2      Jumlah Anggota (orang)                   19.421                   24.616
                   3      Jumlah Pengurus                           406                      422
                   4      Jumlah Pengawas                           382                      394
                   5      Jumlah Manager (orang)                     4                        4
                   6      Jumlah Tenaga Kerja (orang)               133                      133
                   7      Jumlah Modal Sendiri (Rp.)          12.484.361.729            22.031.898.121
                   8      Jumlah Modal Luar (Rp.)               7.240.167.393           62.007.533.467
                   9      Volume Usaha (Rp.)                  102.769.078.837           63.081.451.651
                  10      Sisa Hasil Usaha (Rp.)                1.721.409.932           3.440.871.159
                  11      Jumlah Koperasi Aktif                      56                       59
                  12      Jumlah Koperasi Kurang Aktif               88                       89

                   Sumber Data : Dinas Perindustrian, Perdagangan, Koperasi dan Usaha Kecil Menengah
                                 Kota Singkawang




                                                       Tabel 16.3
                        Jumlah Usaha Mikro, Kecil dan Menengah Di Kota Singkawang
                                            Berdasarkan Kelompok Usaha
                                            Keadaan Tahun 2010 - 2011

                                                 Tahun 2010                                   Tahun 2011
No     Kelompok Usaha
                                Usaha     Usaha       Usaha                     Usaha      Usaha      Usaha
                                                                  Jumlah                                        Jumlah
                                Mikro     Kecil      Menengah                   Mikro      Kecil     Menengah

1    Perdagangan                1.215       192          40        1.447        1.237        192         40      1.469

2    Industri Pertanian          234         7           1          242          285          7          1        293

3    Industri Non Pertanian      764        109          23         896          771         109         23       903

4    Aneka Usaha                 960        65           1         1.026         972         65          1       1.038

         Jumlah                 3.173       373          25        3.611        3.265        373         25      3.703

Sumber Data : Dinas Perindustrian, Perdagangan, Koperasi dan Usaha Kecil Menengah Kota Singkawang




                                                                            Database Kota Singkawang Tahun 2011          | 212
Koperasi, Usaha Mikro, Kecil dan Menengah




                                                                           Tabel 16.4
                                                Jumlah Kelompok Usaha Mikro, Kecil dan Menengah Di Kota SIngkawang
                                                                    Berdasarkan Jenis Usaha
                                                                   Keadaan Tahun 2010 - 2011

                                                          Tahun 2010                                                         Tahun 2011
No       Jenis Usaha                   Kelompok Usaha                    Volume Usaha         Tenaga            Kelompok Usaha                 Volume Usaha     Tenaga
                            Mikro     Kecil Menengah         Jumlah          (Rp.)             Kerja   Mikro   Kecil  Menengah    Jumlah            (Rp.)        Kerja
1    Bahan Konstruksi         46       37       27             110      90.770.800.000          493      48      37       27        112        90.872.000.000     501
2    Elektronik               47       15                       62       8.060.000.000          134      47      15                  62        7.970.000.000      134
3    Sembako                 433       38       2              473      34.058.000.000          379     436     38        2         476        34.105.000.000     379
4    BBM                     165       12                      177      10.022.000.000           83     165     12         -        177       10.022.000.000      83
5    Daging                  210        3                      213       7.289.000.000           14     220       3        -        223        7.503.000.000      14
6    Pakaian                 186       17                      203      13.019.000.000          202     189     17         -        206       13.027.000.000      204
7    Sepatu                   21        1                       22        995.000.000            12      22       1        -        23         1.000.000.000      12
8    Furniture                73       64       3              140      33.676.000.000          299      74     64        3         141        34.176.000.000     301
9    Kosmetik                 14        1                       15        946.000.000            13      14       1        -        15          826.000.000       13
10   Farmasi                  20        4       8               32      25.480.000.000          106      22       4       8         34        23.805.000.000      98
11   Aneka Usaha             905       57       1              963      51.857.600.000          228     915      57       1         973        51.632.600.000     234
12   Acsessoris               43        2                       45       1.950.000.000           12      45       2        -        47         2.005.000.000      12
13   Optik                    12        6                       18       2.505.000.000           12      12       6        -        18         2.505.000.000      12
14   Industri                392       12       2              406      29.993.836.000          911     400     12        2         414        30.724.836.000     924
15   Otomotif                 97       19       8              124      33.562.500.000          418      97     19        8         124        33.442.600.000     418
16   Jasa                      9        5       9               23      25.510.000.000          112       9       5       9         23        25.510.000.000      112
17   Travel                    7        3       1               11       3.959.000.000           38       7       3       1         11         3.959.000.000      38
18   Percetakan               94       30       1              125      20.394.800.000          269      94     30        1         125        20.189.494.000     269
19   Perhiasan Emas           60       35       2               97      29.798.100.000          186      60      35       2          97        29.798.100.000     186
20   Keramik                  17        5                       22       2.304.800.000           71      16       5        -        21         2.270.800.000      71
21   Peternakan               45                                45       2.439.000.000           2       45       -        -        45         2.439.000.000       2
22   Perikanan                14                                14        480.000.000            2       14       -        -        14          480.000.000        2
23   Kerajinan Kayu           29                                29       1.636.380.000           47      29       -        -        29         1.636.380.000      47
24   Sayuran                 203                               203       5.565.000.000                  243       -        -        243        6.739.000.000
25   Pertanian                12       6           1            19       5.294.000.000           64      12       6       1         19         5.294.000.000       64
26   Perkebunan               19       1                        20       1.260.000.000           24      30       1        -        31         1.535.000.000      24
        J umlah             3.173     373          65         3.611     442.825.816.000        4.131   3.265    373       65       3.703      443.466.810.000    4.154
Sumber Data : Dinas Perindustrian, Perdagangan, Koperasi dan Usaha Kecil Menengah Kota Singkawang




                                                                                                                                 Database Kota Singkawang Tahun 2011       | 213
Pertanian dan Ketahanan Pangan




17. Pertanian dan Ketahanan Pangan

          Kesejahteraan petani dalam arti luas dapat diukur dengan Nilai Tukar Petani
   (NTP) yang merupakan salah satu indikator yang menunjukkan tingkat kesejahteraan
   petani di suatu wilayah.Penghitungan indikator ini didasarkan atas perbandingan antara
   indeks harga yang diterima petani (IT) dengan indeks harga yang dibayar petani (IB)
   yang dinyatakan dalam persentase.Namun untuk Kota Singkawang pada tahun 2011
   masih belum tersedia data NTP.

         Walaupun Singkawang merupakan Pemerintahan Kota namun sektor pertanian
   masih mendominasi kegiatan masyarakatnya. Untuk memberikan bimbingan dan
   penyuluhan kepada petani pada tahun 2011 terdapat 35 tenaga penyuluh pertanian
   dengan status 26 PNS/CPNS dan 9 tenaga honor. Tenaga penyuluh perikanan 5 orang,
   4 PNS/CPNS dan 1 honor.

          Tahun 2011 luas sawah di Kota Singkawang 4.082 ha. Sedangkan kelompok tani
   yang ada di seluruh kecamatan pada tahun 2011 sebanyak 336 kelompok, anggota 9.065
   orang serta 30 Gabungan Kelompok Tani (Gapoktan).

         Produksi pertanian tanaman pangan pada tahun 2011 khususnya padi sawah
   hanya 21.456 ton dari 6.203 ha luas panen, ini meningkat jika dibanding tahun 2010.

          Dari 11 jenis sayuran, produksi masing-masing jenis sayuran berfluktuatif ada
   yang meningkat dan ada juga yang menurun jika dibanding tahun 2010. Jenis sayuran
   yang meningkat produksinyapada tahun 2011 adalah Sawi 8.899,7 ton, Kacang Panjang
   265,2 ton, Cabe Besar 495 ton, Cabe Rawit 214,7 ton, Tomat 97,8 ton, Ketimun 405,0 ton,
   Kangkung 268,3 ton dan Bayam 207,4 ton.

          Produksi buah tahun 2011 juga fluktiatif peningkatannya sesuai dengan jenisnya.
   Namun yang paling menonjol peningkatan produksi buah adalah Mangga mencapai
   200,5 ton, dan sebagian besar jenis buah lainnya mengalami penurunan.

         Untuk tanaman perkebunan dengan 11 jenis tanaman, yang paling dominan
   adalah tanaman Kelapa dan karet. Pada tahun 2010 produksi kelapa mencapai 1.422 ton,
   sedangkan karet 4.860 ton.

          Pengadaan saprodi pada tahun 2011 jika dibanding dengan tahun 2010
   kuantitasnya menurun. Untuk tahun 2011 pengadaan pupuk berupa pestisida cair 106
   liter.

         Selama periode 2011 beberapa tanaman diserang Organisme Pengganggu
   Tumbuhan (OPT). Tanaman yang diserang adalah padidengan luas areal yang diserang
   mencapai 2.238 ha. Terdapat penurunan tanaman yang terkena serangan dibandingkan
   Tahun 2010.




                                                     Database Kota Singkawang Tahun 2011|214
Pertanian dan Ketahanan Pangan




            Dengan luas wilayah 50.400 ha, pada tahun 2011              kota Singkawang
     terdistribusikan atas kawasan hutan lindung 1.828 ha, hutan konservasi 531 ha, hutan
     produksi 4.598 ha, cagar alam (konservasi) 3.420 ha dan areal penggunaan lain 40.023
     ha.

            Jumlah unggas tahun 2011 4.438.503 ekor meningkat dibanding tahun 2010 yang
     mencapai 4.337.586ekor. Sedangkan unggas yang dipotong pada tahun 2011 4.460.376
     ekor. Untuk hewan ternak jumlah pada tahun 2011 sebanyak 23.171 ekor yang terdiri
     dari sapi, kambing dan babi. Jumlah hewan ternak yang dipotong dalam periode yang
     sama20.079 ekor.

           Ketersediaan kelompok bahan makanan di Kota Singkawang pada tahun 2011
     untuk energi nihil, protein nihil , dan lemak nihil. Sedangkan ketersediaan untuk
     dikonsumsi perkapita/perhari untuk kalorinihil, protein nihil dan lemak nihil.


                                                        Tabel 17.1
                                         Jumlah Tenaga Penyuluh Di Kota Singkawang
                                                   Berdasarkan Jenisnya
                                                Keadaan Tahun 2009 - 2011


                                          Tahun 2009                         Tahun 2010                     Tahun 2011
No       Tenaga Penyuluh
                                PNS/CPNS     Honor     Jumlah        PNS/CPNS   Honor     Jumlah    PNS/CPNS   Honor       Jumlah
1      Penyuluh Pertanian           19         22        41             26        4         30         26        9           35
2      Penyuluh Perikanan           2          1         3              4         1             5      4         1           5
3      Penyuluh Kehutanan            -         -          -             -         -             -      -         -           -
           TOTAL                    21         23        44             30        5         35         30       10           40

     Sumber Data : Kantor Penyuluh Pertanian, Perikanan, Kehutanan, dan Ketahanan Pangan Kota Singkawang




                                                        Tabel 17.2
                                               Luas Sawah Di Kota Singkawang
                                                Berdasarkan Jenis Pengairan
                                                   Keadaan Tahun 2009 - 2011

No                 Jenis Pengairan                      Tahun 2009                    Tahun 2010               Tahun 2011

1       Pengairan Teknis (ha)                                   -                           -                          -
2       Pengairan 1/2 Teknis (ha)                              31                          31                         31
3       Pengairan Sederhana (ha)                               909                        1.024                      820
4       Irigasi Desa/Non PU (ha)                               78                          78                        296
5       Lebak/Rawa (ha)                                        636                         88                          -
6       Tadah Hujan (ha)                                      2.589                       2.526                      2.876
7       Pasang Surut (ha)                                      81                          110                        59
                   Jumlah                                     4.324                       3.857                   4.082

          Sumber Data : Dinas Pertanian dan Kehutanan Kota Singkawang




                                                                                  Database Kota Singkawang Tahun 2011|215
Pertanian dan Ketahanan Pangan




                                                                                   Tabel 17.3
                                                              Jumlah Kelompok Tani dan Gapoktan Di Kota Singkawang
                                                                         Berdasarkan BPP dan Kecamatan
                                                                           KeadaanTahun 2009 - 2011
                                                                       Tahun 2009                                      Tahun 2010                            Tahun 2011
                                    BPP/
            No                                              Jumlah      Jumlah                           Jumlah          Jumlah                   Jumlah      Jumlah
                                 Kecamatan                                             Gapoktan                                      Gapoktan                           Gapoktan
                                                            Poktan      Anggota                          Poktan          Anggota                  Poktan      Anggota
             1      BPP Singkawang Selatan                    119         3.841              10           125            3.461           9             125         3.461             9
                    1. Kec. Singkawang Selatan                101            3.361           8            107            3.004           8             107         3.004             8
                    2. Kec. Singkawang Barat                  18              480            2             18             457            1             18           457              1
             2      BPP Singkawang Timur                      129         3.272              10           115            3.114           11            116         3.141             11
                    1. Kec. Singkawang Timur                  96             2.580           7             92            2.444           9             92          2.444             9
                    2. Kec. Singkawang Tengah                 33              692            3             23             670            2             24           697              2
             3      BPP Singkawang Utara                      77          1.649              9             95            2.463           10            95          2.463             10
                    1. Kec. Singkawang Utara                  77             1.649           9             95            2.463           10            95          2.463             10
                           Total Jumlah                       325         8.762              29           335            9.038           30            336         9.065             30

             Sumber Data : Kantor Penyuluh Pertanian, Perikanan, Kehutanan, dan Ketahanan Pangan Kota Singkawang

                                                                                       Tabel 17.4
                                                                      Produksi Tanaman Pangan Di Kota Singkawang
                                                                               Berdasarkan Jenis Tanaman
                                                                               Keadaan Tahun 2009 - 2011
                                               Tahun 2009                                                Tahun 2010                                                Tahun 2011
           Jenis
NO       Tanaman           Luas         Luas                        Rata-Rata         Luas         Luas                      Rata-Rata           Luas         Luas                        Rata-Rata
                                                   Produksi                                                 Produksi                                                       Produksi
          Pangan           Areal       Panen                        Panen Per        Tanam        Panen                    Panen Per Ha         Tanam        Panen                        Panen Per
                                                    (Ton)                                                    (Ton)                                                          (Ton)
                           (Ha)         (Ha)                         Ha (Ton)         (Ha)         (Ha)                        (Ton)             (Ha)         (Ha)                         Ha (Ton)
1      Padi Sawah          6.294       5.227        17.755            3,39           7.006        6.276         21.410           3,41           5.458        6.203          21.456          34,59
2      Padi Gogo            56            79         146              1,84            56           56            113             2,02             -            -              -               -
3      Jagung               678         547         2.911             5,32            573          478          2.460            5,15            888          503           2.502           49,74
4      Ubi Kayu             102         160         2.048             12,79           39           54            710             13,15           26           23             297           129,05
5      Ubi Jalar            31            26         170              6,54            23           28            182             6,50            13           13             84             64,96
6      Kedelai               1            4           4               1,00             1            1             1              1,00            10            2              2             10,00
    Sumber Data : Dinas Pertanian dan Kehutanan Kota Singkawang




                                                                                                                                                         Database Kota Singkawang Tahun 2011|216
Pertanian dan Ketahanan Pangan




                                                  Tabel 17.5
                   Produksi Ubi Kayu Di Kota Singkawang Berdasarkan Kecamatan
                                     Keadaan Per 31 Desember 2011

                                       Luas Tanam          Luas Panen          Produksi        Rata-rata Panen
         No         Kecamatan
                                          (Ha)                (Ha)              (Ton)           Per Ha (Ton)
          1    Singkawang Barat                        -               -              -                          -
          2    Singkawang Tengah                       -               3             38                   127,5
          3    Singkawang Utara                        -             11             141                  128,61
          4    Singkawang Timur                        -               -              -                          -
          5    Singkawang Selatan                      -               9            117                  130,11
                       Jumlah 2011                     -            23             297                  129,05
                       Jumlah 2010                39                54             710                   13,15
                       Jumlah 2009               102                160           2.048                    128
          Sumber Data : Dinas Pertanian dan Kehutanan Kota Singkawang




                                                  Tabel 17.6
                    Produksi Jagung Di Kota Singkawang Berdasarkan Kecamatan
                                     Keadaan Per 31 Desember 2011

                                      Luas Tanam           Luas Panen           Produksi        Rata-Rata Panen
     No            Kecamatan
                                         (Ha)                 (Ha)               (Ton)            Per Ha (Ton)
     1        Singkawang Barat                     -                       -               -                         -
     2        Singkawang Tengah                    -                    9                 41                     45
     3        Singkawang Utara                     -                       -               -                         -
     4        Singkawang Timur                     -                 383            1.912                   49,92
     5        Singkawang Selatan                   -                 111              549                   49,48
                      Jumlah 2011                  -                503             2.502                  49,74
                      Jumlah 2010                573                478             2.460                   5,15
                      Jumlah 2009                678                547             2.911                   5,32
          Sumber Data : Dinas Pertanian dan Kehutanan Kota Singkawang




                                                  Tabel 17.7
                  Produksi Padi Sawah Di Kota Singkawang Berdasarkan Kecamatan
                                     Keadaan Per 31 Desember 2011

                                   Luas Tanam          Luas Panen               Produksi          Rata-Rata Panen
No             Kecamatan
                                      (Ha)                (Ha)                   (Ton)              Per Ha (Ton)
1         Singkawang Barat                   -                  456                  1.721                       37,75
2         Singkawang Tengah                  -                  637                  2.148                       33,71
3         Singkawang Utara                   -                  2,27                 7.465                       32,89
4         Singkawang Timur                   -                 1.619                 6.093                       37,63
5         Singkawang Selatan                 -                 1.221                 4.029                       33,00
                  Jumlah 2011                -                6.203                21.456                        34,59
                  Jumlah 2010           7.006                 6.276                21.410                            3,41
                  Jumlah 2009           6.294                 5.227                17.755                            3,39

          Sumber Data : Dinas Pertanian dan Kehutanan Kota Singkawang




                                                                               Database Kota Singkawang Tahun 2011|217
Pertanian dan Ketahanan Pangan




                                               Tabel 17.8
                Produksi Padi Gogo Di Kota Singkawang Berdasarkan Kecamatan
                                   Keadaan Per 31 Desember 2011

                                                                                                    Rata-Rata
                                   Luas Tanam          Luas Panen         Produksi
 No            Kecamatan                                                                          Penen Per Ha
                                      (Ha)                (Ha)             (Ton)
                                                                                                      (Ton)
    1     Singkawang Barat                     -                    -                       -                     -
    2     Singkawang Tengah                    -                    -                       -                     -
    3     Singkawang Utara                     -                    -                       -                     -
    4     Singkawang Timur                     -                    -                       -                     -
    5     Singkawang Selatan                   -                    -                       -                     -
                   Jumlah 2011                 -                    -                       -                     -
                   Jumlah 2010               56                 56               113                        2,02
                   Jumlah 2009               56                 79               146                        1,84
 Sumber Data : Dinas Pertanian dan Kehutanan Kota Singkawang




                                           Tabel 17.9
                 Produksi Ubi Jalar Di Kota Singkawang Berdasarkan Kecamatan
                                   Keadaan Per 31 Desember 2011

                                   Luas Tanam          Luas Panen         Produksi               Rata-Rata Panen
No            Kecamatan
                                      (Ha)                (Ha)             (Ton)                   Per Ha (Ton)

1        Singkawang Barat                          -                -                   -                             -
2        Singkawang Tengah                         -                3               20                      65,00
3        Singkawang Utara                          -                4               26                      63,87
4        Singkawang Timur                          -                -                   -                             -
5        Singkawang Selatan                        -                6               39                      65,67
                  Jumlah 2011                      -            13                  85                      64,96
                  Jumlah 2010                 23                28              182                          6,50
                  Jumlah 2009                 31                26              170                          6,54
         Sumber Data : Dinas Pertanian dan Kehutanan Kota Singkawang




                                              Tabel 17.10
             Produksi Kacang Kedelai Di Kota Singkawang Berdasarkan Kecamatan
                                   Keadaan Per 31 Desember 2011

                                    Luas Tanam         Luas Panen        Produksi               Rata-Rata Panen
    No          Kecamatan
                                       (Ha)               (Ha)            (Ton)                   Per Ha (Ton)
     1     Singkawang Barat                        -                -               -                         -
     2     Singkawang Tengah                       -                -               -                         -
     3     Singkawang Utara                        -                -               -                         -
     4     Singkawang Timur                        -                -               -                         -
     5     Singkawang Selatan                      -                2            2                        10,00
                    Jumlah 2011                    -                2           2                         10,00
                    Jumlah 2010                1                    1           1                             1
                    Jumlah 2009                1                    4           4                             1
         Sumber Data : Dinas Pertanian dan Kehutanan Kota Singkawang




                                                                        Database Kota Singkawang Tahun 2011|218
Pertanian dan Ketahanan Pangan




                                                                                   Tabel 17.11
                                                                    Produksi Sayur-Sayuran Di Kota Singkawang
                                                                           Berdasarkan Jenis Tanaman
                                                                           Keadaan Tahun 2009 - 2011


                                                   Tahun 2009                                      Tahun 2010                                    Tahun 2011

NO       Jenis Sayuran        Luas          Luas                      Rata-Rata     Luas        Luas                Rata-Rata     Luas    Luas                  Rata-Rata
                                                        Produksi                                       Produksi                                    Produksi
                              Areal        Panen                    Panen Per Ha   Tanam       Panen              Panen Per Ha   Tanam   Panen                Panen Per Ha
                                                         (Ton)                                          (Ton)                                       (Ton)
                              (Ha)          (Ha)                        (Ton)       (Ha)        (Ha)                  (Ton)       (Ha)    (Ha)                    (Ton)

1      Sawi                       444           423        748,6            1,76       527       523      376,1           0,72     559     544       8899,7          16,36
2      Lobak                       51              52      377,2            7,25        37        38      250,9           6,60      47      32        182,1           5,69
3      Kacang panjang             160           213      1.099,6            8,59        82       101      124,1           1,23     145      92        265,2           2,88
4      Cabe besar                  55              63        289            4,58        31        39       27,6           0,71      49      24         495           20,63
5      Cabe rawit                  24              19      127,1            6,68        15        18        22            1,22     126      77        214,7           2,79
6      Tomat                          4             5        40,6           8,12        18        15       84,5           5,63      23      23         97,8           4,25
7      Terung                      43              58      366,7            6,32        32        45        77            1,71      51      23         54,5           2,37
8      Ketimun                    136           160      1.012,6            6,32        78        95      177,2           1,87     124      96        405,0           4,22
9      Labu siam                      4             4      120,5           30,12           1       1        0,4           0,40       3       4          6,3           1,58
10     Kangkung                    50              56      236,2            4,21        43        43        31            0,72      60      56        268,3           4,79
11     Bayam                       44              45      165,2            3,67        55        55       24,4           0,44      61      61        207,4           3,40

     Sumber Data : Dinas Pertanian dan Kehutanan Kota Singkawang




                                                                                                                                   Database Kota Singkawang Tahun 2011|219
Pertanian dan Ketahanan Pangan




                                            Tabel 17.12
                     Produksi Sawi Di Kota Singkawang Berdasarkan Kecamatan
                                     Keadaan Per 31 Desember 2011

                                   Luas Tanam          Luas Panen           Produksi          Rata-Rata Panen
 No             Kecamatan
                                      (Ha)                (Ha)               (Ton)              Per Ha (Ton)
    1      Singkawang Barat                  12                 12                 25,2                     2,1
    2      Singkawang Tengah                508                509              8747,5                    17,19
    3      Singkawang Utara                      -                  -                   -                       -
    4      Singkawang Timur                      -                  -                   -                       -
    5      Singkawang Selatan                39                 23                 127                     5,52
                   Jumlah 2011              559                544            8.899,70                    16,36
                   Jumlah 2010              527                523               376,1                     0,70
                   Jumlah 2009              444                423               748,8                    13,19

         Sumber Data : Dinas Pertanian dan Kehutanan Kota Singkawang




                                                     Tabel 17.13
                     Produksi Lobak Di Kota Singkawang Berdasarkan Kecamatan
                                     Keadaan Per 31 Desember 2011

                                       Luas            Luas Panen           Produksi          Rata-Rata Panen
    No           Kecamatan
                                    Tanam (Ha)            (Ha)               (Ton)              Per Ha (Ton)
     1      Singkawang Barat                     -                  -                   -                       -
     2      Singkawang Tengah                    -                 3                   45                   15
     3      Singkawang Utara                     -                  -                   -                       -
     4      Singkawang Timur                     -                  -                   -                       -
     5      Singkawang Selatan               47                29                137,1                    4,73
                   Jumlah 2011               47                32               182,1                     5,69
                   Jumlah 2010               37                38               250,9                     6,60
                   Jumlah 2009               51                52               377,2                     7,25

          Sumber Data : Dinas Pertanian dan Kehutanan Kota Singkawang




                                                     Tabel 17.14
               Produksi Kacang Panjang Di Kota Singkawang Berdasarkan Kecamatan
                                     Keadaan Per 31 Desember 2011

                                  Luas Tanam           Luas Panen            Produksi          Rata-Rata Panen
No             Kecamatan
                                     (Ha)                 (Ha)                (Ton)              Per Ha (Ton)
1         Singkawang Barat                  12                      12                 33,3                 2,78
2         Singkawang Tengah                  9                      11                  5,3                 0,48
3         Singkawang Utara                   9                          8              36,6                 4,58
4         Singkawang Timur                  18                      18                  46                  2,56
5         Singkawang Selatan                97                      43                 144                  3,35
                 Jumlah 2011              145                       92            265,2                     2,88
                 Jumlah 2010                82                  101               124,1                     1,23
                 Jumlah 2009              160                   213            1.099,60                     8,59

         Sumber Data : Dinas Pertanian dan Kehutanan Kota Singkawang




                                                                            Database Kota Singkawang Tahun 2011|220
Pertanian dan Ketahanan Pangan




                                           Tabel 17.15
                  Produksi Cabe Besar Di Kota Singkawang Berdasarkan Kecamatan
                                  Keadaan Per 31 Desember 2011

                                       Luas Tanam           Luas Panen          Produksi            Rata-Rata Panen
     No            Kecamatan
                                          (Ha)                 (Ha)              (Ton)                Per Ha (Ton)
        1      Singkawang Barat                        -                    -               -                     -
        2      Singkawang Tengah                       4                 6             35                      5,83
        3      Singkawang Utara                        3                 4            148                        37
        4      Singkawang Timur                        1                 4             50                      12,5
        5      Singkawang Selatan                  41                   10            262                      26,2
                      Jumlah 2011                  49               24                495                     20,63
                      Jumlah 2010                  31               39               27,6                      0,71
                      Jumlah 2009                  55               63                289                      4,58

            Sumber Data : Dinas Pertanian dan Kehutanan Kota Singkawang



                                            Tabel 17.16
                   Produksi Cabe Rawit Di Kota Singkawang Berdasarkan Kecamatan
                                      Keadaan Per 31 Desember 2011

                                     Luas Tanam             Luas Panen           Produksi            Rata-Rata Panen
 No               Kecamatan
                                        (Ha)                   (Ha)               (Ton)                Per Ha (Ton)
    1         Singkawang Barat                     4                        3              15,5                 5,17
    2         Singkawang Tengah                    3                        6               9,7                 1,62
    3         Singkawang Utara                     2                        2                   7                3,5
    4         Singkawang Timur                     9                    11                      9               0,82
    5         Singkawang Selatan               108                      55             173,5                    3,15
                     Jumlah 2011              126                       77            214,7                     2,79
                     Jumlah 2010               15                       18                  22                  1,22
                     Jumlah 2009               24                       19            127,1                     6,68

     Sumber Data : Dinas Pertanian dan Kehutanan Kota Singkawang




                                                   Tabel 17.17
                     Produksi Tomat Di Kota Singkawang Berdasarkan Kecamatan
                                      Keadaan Per 31 Desember 2011

                                    Luas Tanam             Luas Panen           Produksi             Rata-Rata Panen
No              Kecamatan
                                       (Ha)                   (Ha)               (Ton)                 Per Ha (Ton)
1           Singkawang Barat                   2                        2              1,8                            0,9
2           Singkawang Tengah                  -                        -                   -                           -
3           Singkawang Utara                   -                        -                   -                           -
4           Singkawang Timur                   -                        -                   -                           -
5           Singkawang Selatan                21                    21                     96                     4,57
                   Jumlah 2011                23                    23                97,8                        4,25
                   Jumlah 2010                18                    15                84,5                        5,63
                   Jumlah 2009                 4                        5             40,6                        8,12

     Sumber Data : Dinas Pertanian dan Kehutanan Kota Singkawang




                                                                                Database Kota Singkawang Tahun 2011|221
Pertanian dan Ketahanan Pangan




                                          Tabel 17.18
              Produksi Terung Di Kota Singkawang Berdasarkan Kecamatan
                               Keadaan Per 31 Desember 2011

                                Luas Tanam         Luas Panen            Produksi          Rata-Rata Panen
No           Kecamatan
                                   (Ha)               (Ha)                (Ton)              Per Ha (Ton)
 1      Singkawang Barat                       -                    -                  -                 -
 2      Singkawang Tengah                   1                   3              2,5                    0,83
 3      Singkawang Utara                    2                   0                  0                     0
 4      Singkawang Timur                    3                   2              6,5                    3,25
 5      Singkawang Selatan                 45               18                45,5                    2,53
                Jumlah 2011               51                23               54,5                     2,37
                Jumlah 2010               32                45                 77                     1,71
                Jumlah 2009               43                58              366,7                     6,32

     Sumber Data : Dinas Pertanian dan Kehutanan Kota Singkawang




                                    Tabel 17.19
             Produksi Ketimun Di Kota Singkawang Berdasarkan Kecamatan
                               Keadaan Per 31 Desember 2011

                               Luas Tanam          Luas Panen            Produksi           Rata-Rata Panen
No          Kecamatan
                                  (Ha)                (Ha)                (Ton)               Per Ha (Ton)
1      Singkawang Barat                  12                 12                42,3                     3,53
2      Singkawang Tengah                   6                    8             51,5                     6,44
3      Singkawang Utara                  12                 12                75,2                     6,27
4      Singkawang Timur                  26                 24                58,5                     2,44
5      Singkawang Selatan                68                 40               177,5                     4,44
               Jumlah 2011              124                 96                405                      4,22
               Jumlah 2010               78                 95               177,2                     1,87
               Jumlah 2009              136               160             1.012,60                     6,32

     Sumber Data : Dinas Pertanian dan Kehutanan Kota Singkawang




                                     Tabel 17.20
            Produksi Labu Siam Di Kota Singkawang Berdasarkan Kecamatan
                           Keadaan Per 31 Desember 2011

                                Luas Tanam         Luas Panen           Produksi           Rata-Rata Panen
No           Kecamatan
                                   (Ha)               (Ha)               (Ton)               Per Ha (Ton)
 1      Singkawang Barat                       -            -                      -                         -
 2      Singkawang Tengah                      -            -                      -                         -
 3      Singkawang Utara                   3                4                 6,3                     1,58
 4      Singkawang Timur                       -            -                      -                         -
 5      Singkawang Selatan                     -            -                      -                         -
               Jumlah 2011                 3                4                6,3                      1,58
               Jumlah 2010                 1                1                0,4                      0,40
               Jumlah 2009                 4                4              120,5                     30,12

     Sumber Data : Dinas Pertanian dan Kehutanan Kota Singkawang




                                                                        Database Kota Singkawang Tahun 2011|222
Pertanian dan Ketahanan Pangan




                                       Tabel 17.21
               Produksi Kangkung Di Kota Singkawang Berdasarkan Kecamatan
                               Keadaan Per 31 Desember 2011

                              Luas Tanam       Luas Panen          Produksi           Rata-Rata Panen
 No          Kecamatan
                                 (Ha)             (Ha)              (Ton)               Per Ha (Ton)
    1    Singkawang Barat               12                12             2,4                       0,2
    2    Singkawang Tengah              32                31           240,5                      7,76
    3    Singkawang Utara                  -                -                 -                         -
    4    Singkawang Timur                  -                -                 -                         -
    5    Singkawang Selatan             16                13            25,4                      1,95
                Jumlah 2011             60                56           268,3                     4,79
                Jumlah 2010             43                43              31                     0,72
                Jumlah 2009             50                56           236,2                     4,21

 Sumber Data : Dinas Pertanian dan Kehutanan Kota Singkawang




                                           Tabel 17.22
                Produksi Bayam Di Kota Singkawang Berdasarkan Kecamatan
                               Keadaan Per 31 Desember 2011


                              Luas Tanam       Luas Panen           Produksi           Rata-Rata Panen
No          Kecamatan
                                 (Ha)             (Ha)               (Ton)               Per Ha (Ton)

1       Singkawang Barat                 12               12                  2,1                  0,18
2       Singkawang Tengah                32               32                  189                  5,91
3       Singkawang Utara                   -                   -                  -                         -
4       Singkawang Timur                   -                   -                  -                         -
5       Singkawang Selatan               17               17              16,3                     0,96
              Jumlah 2011               61                61            207,4                       3,4
              Jumlah 2010               55                55              24,4                     0,44
              Jumlah 2009               44                45            165,2                      3,67

 Sumber Data : Dinas Pertanian dan Kehutanan Kota Singkawang




                                                                   Database Kota Singkawang Tahun 2011|223
Pertanian dan Ketahanan Pangan




                                                                                          Tabel 17.23
                                                                           Produksi Buah-Buahan Di Kota Singkawang
                                                                                   Berdasarkan Jenis Tanaman
                                                                                   Keadaan Tahun 2009 - 2011

                                                       Tahun 2009                                        Tahun 2010                                            Tahun 2011

NO        Jenis Buah-Buahan         Luas       Luas                        Rata-Rata     Luas     Luas                      Rata-Rata     Luas      Luas                           Rata-Rata
                                                         Produksi                                          Produksi                                               Produksi
                                   Tanam      Panen                      Panen Per Ha   Tanam    Panen                    Panen Per Ha   Tanam     Panen                         Panen Per Ha
                                                          (Ton)                                             (Ton)                                                  (Ton)
                                    (Ha)       (Ha)                          (Ton)       (Ha)     (Ha)                        (Ton)       (Ha)      (Ha)                             (Ton)
1      Alpukat                        30,2      16,6           84,1              4,23      28     11,2           113             10,09     19,93      9,8              30,5               3,11
2      Belimbing                       1,9       0,9           11,2             12,44      1,7     1,2            19             15,83      1,64      2,6              10,4               4,00
3      Duku/langsat                  138,2     29,48               194           6,58     136     17,6            87              4,94      123      34,8             222,2               6,39
4      Durian                       520,45      93,6        1.311,5             14,01    520,2    66,8            68              1,02     16,85    214,9             607,0               2,82
5      Jambu biji                      2,5       1,2               10            8,33      2,5     1,8            23             12,78      2,51      1,6                   13            8,13
6      Jambu air                     17,85      7,75           64,1              8,27     18,1     8,8            45              5,11       18       6,6              10,9               1,65
7      Jeruk siam                   285,78    147,64        3.065,4             20,76    279,8   130,2          1.741            13,37    284,96    212,4            3.350,7             15,78
8      Jeruk besar (bali)              2,8      1,05           42,1             40,10      2,3     1,1            34             30,91      2,28           1           25,3              25,30
9      Mangga                        29,35     10,03          194,8             19,42     31,6    15,4            81              5,26     32,19     13,3             200,5              15,08
10     Manggis                        35,4         2               8,2           4,10     35,5     0,2                1           5,00     35,38      1,4                4,5              3,21
11     Nangka/cempedak                46,1      30,2          320,6             10,62      45       31           137              4,42     41,68     18,8              87,4               4,65
12     Nanas                       203,346    72,933       18.728,3            256,79    211,3     142         24.620           173,38    180,19      142           29.841,1            210,15
13     Pepaya                         1,46      1,03           70,5             68,45      1,4     0,9            30             33,33      1,03      0,7                   31           44,29
14     Pisang                       112,64     51,64        7.529,4            145,81    137,4      34           844             24,82    118,25     58,1            2.869,8             49,39
15     Rambutan                      392,1     296,7          3.076             10,37    385,7    12,3            35              2,85    375,62    108,7             240,4               2,21
16     Sawo                           14,5       3,4           27,3              8,03     13,9     3,6            26              7,22     13,52      3,1              17,2               5,55
17     Sirsak                          3,9      0,74               9,6          12,97      3,6       1                9           9,00      3,38      0,7                7,4             10,57
18     Sukun                           7,9      3,37           33,7             10,00       8      4,6            26              5,65       7,9      3,7              13,9               3,76
19     Melinjo                           2      0,85           19,2             22,59      3,5       2            21             10,50      3,28      1,7              19,6              11,53
20     Petai                          60,8       9,8           54,7              5,58      60     18,3            45              2,46     58,82      1,3                5,5              4,23

     Sumber Data : Dinas Pertanian dan Kehutanan Kota Singkawang




                                                                                                                                             Database Kota Singkawang Tahun 2011|224
Pertanian dan Ketahanan Pangan




                                          Tabel 17.24
             Produksi Alpokat Di Kota Singkawang Berdasarkan Kecamatan
                               Keadaan Per 31 Desember 2011

                                 Luas Tanam           Luas Panen            Produksi           Rata-Rata Panen
No           Kecamatan
                                    (Ha)                 (Ha)                (Ton)               Per Ha (Ton)
1      Singkawang Selatan                 16,6                9,6                 29,5                     3,07
2      Singkawang Timur                     3,1                    -                       -                     -
3      Singkawang Utara                       -                    -                       -                     -
4      Singkawang Barat                       -                    -                       -                     -
5      Singkawang Tengah                    0,2               0,2                  1,0                     5,00
                Jumlah 2011              19,93                9,8                30,5                     3,11
                Jumlah 2010               28,2              11,2                  113                    10,09
                Jumlah 2009               30,2              16,6                 84,1                     4,06

     Sumber Data : Dinas Pertanian dan Kehutanan Kota Singkawang




                                     Tabel 17.25
            Produksi Belimbing Di Kota Singkawang Berdasarkan Kecamatan
                           Keadaan Per 31 Desember 2011

                                   Luas Tanam          Luas Panen            Produksi          Rata-Rata Panen
No           Kecamatan
                                      (Ha)                (Ha)                (Ton)              Per Ha (Ton)
 1      Singkawang Selatan                   0,5               0,1                1,9                    19,00
 2      Singkawang Timur                     0,3               2,0                2,3                     1,15
 3      Singkawang Utara                     0,3               0,1                1,5                    15,00
 4      Singkawang Barat                          -                    -               -                     -
 5      Singkawang Tengah                    0,5               0,4                4,7                    11,75
                 Jumlah 2011               1,64                2,6               10,4                    4,00
                 Jumlah 2010                 1,8               1,3               18,6                   14,31
                 Jumlah 2009                 1,9               0,9               11,2                   12,44

     Sumber Data : Dinas Pertanian dan Kehutanan Kota Singkawang




                                    Tabel 17.26
          Produksi Duku/Langsat Di Kota Singkawang Berdasarkan Kecamatan
                          Keadaan Per 31 Desember 2011

                                 Luas Tanam           Luas Panen            Produksi           Rata-Rata Panen
No           Kecamatan
                                    (Ha)                 (Ha)                (Ton)               Per Ha (Ton)
 1      Singkawang Selatan                19,1              14,4                 70,5                     4,90
 2      Singkawang Timur                 103,3              20,0                150,0                     7,50
 3      Singkawang Utara                   0,1                 -                       -                     -
 4      Singkawang Barat                     -                 -                       -                     -
 5      Singkawang Tengah                  0,5               0,4                  1,7                     4,25
                 Jumlah 2011              123               34,8                222,2                     6,39
                 Jumlah 2010              136               17,6                 86,9                     4,94
                 Jumlah 2009            138,2              29,48                  194                     6,58

     Sumber Data : Dinas Pertanian dan Kehutanan Kota Singkawang




                                                                           Database Kota Singkawang Tahun 2011|225
Pertanian dan Ketahanan Pangan




                                             Tabel 17.27
                 Produksi Durian Di Kota Singkawang Berdasarkan Kecamatan
                                  Keadaan Per 31 Desember 2011

                                  Luas Tanam        Luas Panen           Produksi        Rata-Rata Panen
No            Kecamatan
                                     (Ha)              (Ha)               (Ton)            Per Ha (Ton)
1        Singkawang Selatan               101,0             91,9              449,0                  4,89
2        Singkawang Timur                 402,0            121,8              145,0                  1,19
3        Singkawang Utara                  12,3                    -                -
4        Singkawang Barat                     -                    -                -                      -
5        Singkawang Tengah                  1,6              1,2               13,0                 10,83
                 Jumlah 2011             16,85             214,9             607,0                  2,82
                 Jumlah 2010             520,3              66,9               67,6                 1,01
                 Jumlah 2009            520,45              93,6            1.311,5                14,01

        Sumber Data : Dinas Pertanian dan Kehutanan Kota Singkawang




                                        Tabel 17.28
               Produksi Jambu Biji Di Kota Singkawang Berdasarkan Kecamatan
                              Keadaan Per 31 Desember 2011

                                   Luas Tanam       Luas Panen          Produksi        Rata-Rata Panen
No             Kecamatan
                                      (Ha)             (Ha)              (Ton)            Per Ha (Ton)
    1     Singkawang Selatan                 0,0            0,04              0,5                  12,5
    2     Singkawang Timur                   1,1             0,7              5,1                   7,28
    3     Singkawang Utara                   0,3             0,1              2,0                    20
    4     Singkawang Barat                   0,3             0,1              0,4                     4
    5     Singkawang Tengah                  0,8             0,7              5,0                  7,14
                   Jumlah 2011              2,51             1,6             13,0                  8,13
                   Jumlah 2010               2,5             1,8             22,6                 12,56
                   Jumlah 2009               2,5             1,2               10                  8,33

        Sumber Data : Dinas Pertanian dan Kehutanan Kota Singkawang




                                        Tabel 17.29
               Produksi Jambu Air Di Kota Singkawang Berdasarkan Kecamatan
                             Keadaan Per 31 Desember 2011

                                    Luas Tanam      Luas Panen         Produksi         Rata-Rata Panen
 No             Kecamatan
                                       (Ha)            (Ha)             (Ton)             Per Ha (Ton)
    1     Singkawang Selatan                  2,6            0,5              1,7                   3,4
    2     Singkawang Timur                    2,8            2,1              4,0                   1,9
    3     Singkawang Utara                    1,4            0,3              2,1                   7,0
    4     Singkawang Barat                    8,3            0,8              0,5                  0,62
    5     Singkawang Tengah                   3,0            3,0              2,6                  0,87
                   Jumlah 2011                18            6,6             10,9                   1,65
                   Jumlah 2010              18,2            8,9             44,7                   5,02
                   Jumlah 2009             17,85           7,75             64,1                   8,27

        Sumber Data : Dinas Pertanian dan Kehutanan Kota Singkawang




                                                                       Database Kota Singkawang Tahun 2011|226
Pertanian dan Ketahanan Pangan




                                             Tabel 17.30
              Produksi Jeruk Siam Di Kota Singkawang Berdasarkan Kecamatan
                                  Keadaan Per 31 Desember 2011

                                   Luas Tanam          Luas Panen         Produksi         Rata-Rata Panen
No             Kecamatan
                                      (Ha)                (Ha)             (Ton)             Per Ha (Ton)
1         Singkawang Selatan                28,4              23,5             409,2                  17,4
2         Singkawang Timur                   2,0               1,8              23,7                  13,2
3         Singkawang Utara                 252,8             185,5           2.880,4                  15,5
4         Singkawang Barat                   0,1               0,1                  2,2                 22
5         Singkawang Tengah                  1,6               1,6              35,2                    22
                  Jumlah 2011            284,96             212,4           3.350,7                  15,78
                  Jumlah 2010             279,8             130,1              1741                  13,38
                  Jumlah 2009            285,78            147,64           3.065,4                  20,76

        Sumber Data : Dinas Pertanian dan Kehutanan Kota Singkawang




                                         Tabel 17.31
           Produksi Jeruk Besar (Bali) Di Kota Singkawang Berdasarkan Kecamatan
                              Keadaan Per 31 Desember 2011

                                    Luas Tanam         Luas Panen        Produksi         Rata-Rata Panen
No              Kecamatan
                                       (Ha)               (Ha)            (Ton)             Per Ha (Ton)
    1      Singkawang Selatan                 0,9              0,1             0,8                      8
    2      Singkawang Timur                   0,3              0,2             4,3                    21,5
    3      Singkawang Utara                   0,2              0,1             1,8                     18
    4      Singkawang Barat                        -                 -              -                       -
    5      Singkawang Tengah                  0,8              0,7            18,4                    26,3
                   Jumlah 2011              2,28               1,0            25,3                  25,30
                   Jumlah 2010               2,4               1,2            33,8                  28,17
                   Jumlah 2009               2,3              1,05            42,1                  40,09

        Sumber Data : Dinas Pertanian dan Kehutanan Kota Singkawang




                                             Tabel 17.32
                 Produksi Mangga Di Kota Singkawang Berdasarkan Kecamatan
                                  Keadaan Per 31 Desember 2011

                                   Luas Tanam          Luas Panen        Produksi         Rata-Rata Panen
No             Kecamatan
                                      (Ha)                (Ha)            (Ton)             Per Ha (Ton)
1        Singkawang Selatan                  9,5              6,5            101,4                     15,6
2        Singkawang Timur                    9,5              3,3              29,2                     8,8
3        Singkawang Utara                    1,6              0,4               3,4                     8,5
4        Singkawang Barat                    1,8              0,6               4,3                    7,17
5        Singkawang Tengah                   9,9              2,5             62,2                     24,9
                  Jumlah 2011             32,19              13,3            200,5                   15,08
                  Jumlah 2010              31,6              15,5               81                    5,23
                  Jumlah 2009             29,35             10,03            194,8                   19,42

        Sumber Data : Dinas Pertanian dan Kehutanan Kota Singkawang




                                                                         Database Kota Singkawang Tahun 2011|227
Pertanian dan Ketahanan Pangan




                                      Tabel 17.33
              Produksi Manggis Di Kota Singkawang Berdasarkan Kecamatan
                           Keadaan Per 31 Desember 2011
                                 Luas Tanam          Luas Panen             Produksi          Rata-Rata Panen
No          Kecamatan
                                    (Ha)                (Ha)                 (Ton)              Per Ha (Ton)
1      Singkawang Selatan                  2,1                   1,2              2,2                    1,83
2      Singkawang Timur                   32,7                        -                   -                     -
3      Singkawang Utara                    0,4                        -           0,3                           -
4      Singkawang Barat                         -                     -                   -                     -
5      Singkawang Tengah                   0,3                   0,3              2,0                    6,67
                Jumlah 2011             35,38                    1,4              4,5                    3,21
                Jumlah 2010               35,6                   0,2              0,6                    3,00
                Jumlah 2009               35,4                        2           8,2                    4,10

     Sumber Data : Dinas Pertanian dan Kehutanan Kota Singkawang




                                  Tabel 17.34
       Produksi Nangka/Cempedak Di Kota Singkawang Berdasarkan Kecamatan
                         Keadaan Per 31 Desember 2011


                                Luas Tanam          Luas Panen             Produksi           Rata-Rata Panen
No          Kecamatan
                                   (Ha)                (Ha)                 (Ton)               Per Ha (Ton)
1      Singkawang Selatan                13,1              4,9                  38,1                      7,77
2      Singkawang Timur                  22,4             10,2                  40,0                      3,92
3      Singkawang Utara                   1,7              0,5                   4,2                       8,4
4      Singkawang Barat                   0,6              0,2                   1,1                       5,5
5      Singkawang Tengah                  3,9              3,0                   4,0                      1,33
               Jumlah 2011             41,68              18,8                  87,4                     4,65
               Jumlah 2010             137,2             29,07                 137,2                     4,72
               Jumlah 2009              46,1              30,2                 320,6                    10,62

     Sumber Data : Dinas Pertanian dan Kehutanan Kota Singkawang




                                      Tabel 17.35
               Produksi Nanas Di Kota Singkawang Berdasarkan Kecamatan
                            Keadaan Per 31 Desember 2011

                                 Luas Tanam          Luas Panen            Produksi           Rata-Rata Panen
No          Kecamatan
                                    (Ha)                (Ha)                (Ton)               Per Ha (Ton)
 1      Singkawang Selatan                      -           0,04                 7,0                      175
 2      Singkawang Timur                        -                 -                   -                     -
 3      Singkawang Utara                180,1              142,0            29.831,2                   210,08
 4      Singkawang Barat                        -                 -                   -                     -
 5      Singkawang Tengah                       -           0,01                 2,9                      290
               Jumlah 2011             180,19             142,0             29.841,1                  210,15
               Jumlah 2010           211,067            142,047             24620,3                   173,33
               Jumlah 2009           203,346             72,933             18.728,3                  256,79

     Sumber Data : Dinas Pertanian dan Kehutanan Kota Singkawang




                                                                          Database Kota Singkawang Tahun 2011|228
Pertanian dan Ketahanan Pangan




                                     Tabel 17.36
              Produksi Pepaya Di Kota Singkawang Berdasarkan Kecamatan
                           Keadaan Per 31 Desember 2011

                                 Luas Tanam         Luas Panen        Produksi          Rata-Rata Panen
No           Kecamatan
                                    (Ha)               (Ha)            (Ton)              Per Ha (Ton)
1      Singkawang Selatan                 0,4               0,2             7,4                       37
2      Singkawang Timur                   0,2               0,1             4,5                       45
3      Singkawang Utara                   0,1              0,05             3,4                       68
4      Singkawang Barat                        -                 -                  -                      -
5      Singkawang Tengah                  0,4               0,4            15,7                     39,25
                Jumlah 2011              1,03               0,7            31,0                    44,29
                Jumlah 2010               1,4             1,04             30,4                    29,23
                Jumlah 2009              1,46             1,03             70,5                    68,44

     Sumber Data : Dinas Pertanian dan Kehutanan Kota Singkawang




                                      Tabel 17.37
              Produksi Pisang Di Kota Singkawang Berdasarkan Kecamatan
                            Keadaan Per 31 Desember 2011
                                   Luas            Luas Panen        Produksi           Rata-Rata Panen
No           Kecamatan
                                Tanam (Ha)            (Ha)            (Ton)               Per Ha (Ton)
1       Singkawang Selatan              18,5              8,4            214,9                     25,58
2       Singkawang Timur                10,8              4,0            179,0                     44,75
3       Singkawang Utara                88,2             45,2          2.450,7                     54,22
4       Singkawang Barat                 0,2             0,03              1,6                     53,33
5       Singkawang Tengah                0,5              0,5             23,6                      47,2
                Jumlah 2011          118,25              58,1         2.869,8                      49,39
                Jumlah 2010           137,3            33,94            843,6                      24,86
                Jumlah 2009                -                -                   -                         -

     Sumber Data : Dinas Pertanian dan Kehutanan Kota Singkawang




                                    Tabel 17.38
            Produksi Rambutan Di Kota Singkawang Berdasarkan Kecamatan
                          Keadaan Per 31 Desember 2011

                                Luas Tanam          Luas Panen        Produksi           Rata-Rata Panen
No          Kecamatan
                                   (Ha)                (Ha)            (Ton)               Per Ha (Ton)
1      Singkawang Selatan                89,5             81,7            143,2                      1,75
2      Singkawang Timur                   9,5              5,0             23,5                       4,7
3      Singkawang Utara                 270,5             15,4             63,8                      4,14
4      Singkawang Barat                   0,3              2,0              2,7                      1,35
5      Singkawang Tengah                  5,8              4,6              7,2                      1,56
               Jumlah 2011            375,62             108,7            240,4                     2,21
               Jumlah 2010             385,7              12,5                      8               0,64
               Jumlah 2009             392,1             296,7            3.076                    10,37

     Sumber Data : Dinas Pertanian dan Kehutanan Kota Singkawang




                                                                     Database Kota Singkawang Tahun 2011|229
Pertanian dan Ketahanan Pangan




                                        Tabel 17.39
                  Produksi Sawo Di Kota Singkawang Berdasarkan Kecamatan
                               Keadaan Per 31 Desember 2011

                                    Luas Tanam          Luas Panen        Produksi       Rata-Rata Panen
 No             Kecamatan
                                       (Ha)                (Ha)            (Ton)           Per Ha (Ton)
    1      Singkawang Selatan                 1,1              0,6              2,4                 4,00
    2      Singkawang Timur                   0,7              0,5              2,3                 4,60
    3      Singkawang Utara                   8,5              0,9              4,4                 4,89
    4      Singkawang Barat                   2,0              0,1                   -                 -
    5      Singkawang Tengah                  1,3              1,0              8,1                  8,1
                    Jumlah 2011            13,52               3,1             17,2                 5,55
                    Jumlah 2010                14              3,7             25,8                 6,97
                    Jumlah 2009              14,5              3,4             27,3                 8,03

        Sumber Data : Dinas Pertanian dan Kehutanan Kota Singkawang




                                         Tabel 17.40
                 Produksi Sirsak Di Kota Singkawang Berdasarkan Kecamatan
                               Keadaan Per 31 Desember 2011

                                    Luas Tanam          Luas Panen        Produksi       Rata-Rata Panen
No              Kecamatan
                                       (Ha)                (Ha)            (Ton)           Per Ha (Ton)
 1        Singkawang Selatan                  0,4              0,03             0,2                  6,67
 2        Singkawang Timur                    0,7               0,2             1,5                   7,5
 3        Singkawang Utara                    0,3               0,1             1,4                   14
 4        Singkawang Barat                         -                 -               -                     -
 5        Singkawang Tengah                   2,0               0,3             4,3                  14,3
                   Jumlah 2011               3,38              0,7              7,4                10,57
                   Jumlah 2010                3,6             0,91               9                  9,89
                   Jumlah 2009                3,9             0,74              9,6                12,97

        Sumber Data : Dinas Pertanian dan Kehutanan Kota Singkawang




                                        Tabel 17.41
                 Produksi Sukun Di Kota Singkawang Berdasarkan Kecamatan
                              Keadaan Per 31 Desember 2011

                                   Luas Tanam          Luas Panen         Produksi        Rata-Rata Panen
No             Kecamatan
                                      (Ha)                (Ha)             (Ton)            Per Ha (Ton)
1         Singkawang Selatan                 3,9              1,0                6,8                 6,80
2         Singkawang Timur                   1,5              1,0                2,0                 2,00
3         Singkawang Utara                   0,9              0,5                1,9                 3,80
4         Singkawang Barat                   0,4              0,2                0,2                 1,00
5         Singkawang Tengah                  1,2              1,1                3,0                 2,72
                  Jumlah 2011                7,9              3,7              13,9                  3,76
                  Jumlah 2010                  8             4,72              25,7                  5,44
                  Jumlah 2009                7,9             3,37              33,7                 10,00

        Sumber Data : Dinas Pertanian dan Kehutanan Kota Singkawang




                                                                         Database Kota Singkawang Tahun 2011|230
Pertanian dan Ketahanan Pangan




                                          Tabel 17.42
                 Produksi Melinjo Di Kota Singkawang Berdasarkan Kecamatan
                                Keadaan Per 31 Desember 2011

                                Luas Tanam           Luas Panen           Produksi           Rata-Rata Panen
    No         Kecamatan
                                   (Ha)                 (Ha)               (Ton)               Per Ha (Ton)
     1    Singkawang Selatan              0,6               0,3                 3,0                      10,0
     2    Singkawang Timur                0,9               0,4                 4,7                     11,75
     3    Singkawang Utara                0,2               0,1                 0,8                      8,00
     4    Singkawang Barat                   -                -                      -                         -
     5    Singkawang Tengah               1,6               1,0                11,1                      11,1
                  Jumlah 2011           3,28                1,7                19,6                    11,53
                  Jumlah 2010            3,5               2,07                21,3                    10,29
                  Jumlah 2009                2             0,85                19,2                    22,59

 Sumber Data : Dinas Pertanian dan Kehutanan Kota Singkawang



                                          Tabel 17.43
                  Produksi Petai Di Kota Singkawang Berdasarkan Kecamatan
                                Keadaan Per 31 Desember 2011

                                Luas Tanam            Luas Panen            Produksi          Rata-Rata Panen
No            Kecamatan
                                   (Ha)                  (Ha)                (Ton)              Per Ha (Ton)
 1       Singkawang Selatan                4,2               1,0                      4,1                  4,1
 2       Singkawang Timur                 52,3              10,0                     60,0                  6,0
 3       Singkawang Utara                  1,2               0,1                      0,5                  5,0
 4       Singkawang Barat                        -                -                      -                         -
 5       Singkawang Tengah                 1,1               1,0                     13,4                 13,4
                 Jumlah 2011            58,82               12,1                     78,0                6,45
                 Jumlah 2010             59,9               18,3                     44,7                2,44
                 Jumlah 2009             60,8                9,8                     54,7                5,58

 Sumber Data : Dinas Pertanian dan Kehutanan Kota Singkawang



                                          Tabel 17.44
                 Produksi Jengkol Di Kota Singkawang Berdasarkan Kecamatan
                               Keadaan Per 31 Desember 2011

                                Luas Tanam            Luas Panen            Produksi           Rata-Rata Panen
No            Kecamatan
                                   (Ha)                  (Ha)                (Ton)               Per Ha (Ton)

1        Singkawang Selatan                  -                        -                  -                             -
2        Singkawang Timur                 4,2                 1,0                     4,0                      4,0
3        Singkawang Utara                    -                0,1                     0,4                      4,0
4        Singkawang Barat                    -                        -                  -                             -
5        Singkawang Tengah                0,2                 0,2                     1,1                      5,5
                 Jumlah 2011            4,40                  1,3                    5,5                  4,23
                 Jumlah 2010              4,6                 1,1                    3,2                  2,91

 Sumber Data : Dinas Pertanian dan Kehutanan Kota Singkawang




                                                                          Database Kota Singkawang Tahun 2011|231
Pertanian dan Ketahanan Pangan




                                                                                Tabel 17.45
                                                                  Produksi Perkebunan Di Kota Singkawang
                                                                        Berdasarkan Jenis Tanaman
                                                                        Keadaan Tahun 2009 - 2011

                                              Tahun 2009                                  Tahun 2010                                     Tahun 2011
           Jenis Buah-
  NO                                       Luas                Rata-Rata                Luas                                           Luas                  Rata-Rata
             Buahan         Luas Areal              Produksi              Luas Areal            Produksi Rata-Rata Panen Luas Areal               Produksi
                                          Panen              Panen Per Ha              Panen                                          Panen                Panen Per Ha
                               (Ha)                  (Ton)                   (Ha)                (Ton)     Per Ha (Ton)     (Ha)                   (Ton)
                                           (Ha)                  (Ton)                  (Ha)                                           (Ha)                    (Ton)
   1    Kelapa                  2.695       1.598      1.399          0,88     2.697    1.598     1.405           0,88       2.721     1.615        1.422          880
   2    Kelapa Hibrida             42          17         11          0,65        40       17        12           0,71         40        17            14          824
   3    Kemiri                     88          45         33          0,73         0        0          0             0           -            -         -            -
   4    Coklat/Cocoa              435         336         83          0,25       438      315       190           0,60        434       193           136          705
   5    Pinang                     39           6             4       0,67        39        6          4          0,67         39         6             5          833
   6    Karet                  10.270       6.202      4.846          0,78    10.270    6.202     4.850           0,78     10.474      6.326        4.860          768
   7    Cengkeh                      7          5             1       0,20         8        5          1          0,20          8         5             1          200
   8    Lada                       77          55         68          1,24        77       55        68           1,24         77        54            60        1.111
   9    Kopi                       22          13         17          1,31        22       13        18           1,38         22        13            15        1.154
  10    Kelapa sawit            2.369        756         201          0,27     5.953    1.677     2.345           1,40       5.953     1.877        1.925        1.026
  11    Tebu                         5          5             5       0,20         5        3          1          0,33          5         5             2          400

Sumber Data : Dinas Pertanian dan Kehutanan Kota Singkawang




                                                                                                                                Database Kota Singkawang Tahun 2011|232
Pertanian dan Ketahanan Pangan




                                            Tabel 17.46
              Produksi Kelapa Di Kota Singkawang Berdasarkan Kecamatan
                               Keadaan Per 31 Desember 2011

                              Belum                            Tua /                     Produksi
No       Kecamatan                           Menghasilkan                   Jumlah
                           Menghasilkan                        Rusak                      (Ton)

1    Singkawang Barat                 139              327            354       820             284
2    Singkawang Tengah                  6               60              -        66              44
3    Singkawang Utara                 241            1.215            339     1.795           1.084
4    Singkawang Timur                   -               20              -        20              11
5    Singkawang Selatan                 -               10             50        60                 1
           Jumlah 2011               386            1.615            720      2.721           1.422
           Jumlah 2010               386            1.615            720      2.721           1.411
           Jumlah 2009               362            1.598            735      2.695           1.899

     Sumber Data : Dinas Pertanian dan Kehutanan Kota Singkawang



                                     Tabel 17.47
         Produksi Kelapa Hibrida Di Kota Singkawang Berdasarkan Kecamatan
                               Keadaan Per 31 Desember 2011


                              Belum                            Tua /                     Produksi
No       Kecamatan                           Menghasilkan                   Jumlah
                           Menghasilkan                        Rusak                      (Ton)

1    Singkawang Barat                   -                 5             -         5                 5
2    Singkawang Tengah                  -                 -             -            -              -
3    Singkawang Utara                   -               12             23        35                 9
4    Singkawang Timur                   -                 -             -            -              -
5    Singkawang Selatan                 -                 -             -            -              -
           Jumlah 2011                  -               17            23        40               14
           Jumlah 2010                  -               17            23        40               13
           Jumlah 2009                  2               17            23        42               11

     Sumber Data : Dinas Pertanian dan Kehutanan Kota Singkawang



                                 Tabel 17.48
          Produksi Kakao Di Kota Singkawang Berdasarkan Kecamatan
                       Keadaan Per 31 Desember 2011


                              Belum                            Tua /                     Produksi
No       Kecamatan                           Menghasilkan                   Jumlah
                           Menghasilkan                        Rusak                      (Ton)

1    Singkawang Barat                 140              147              4       287              98
2    Singkawang Tengah                 36               25              -        14              22
3    Singkawang Utara                  65                 5             -        70                 5
4    Singkawang Timur                   -                 -             -            -              -
5    Singkawang Selatan                 -                 -             -        16              11
           Jumlah 2011               241              193               -      434             136
           Jumlah 2010               160              619              4       686             202
           Jumlah 2009                 99             336               -      435               83

     Sumber Data : Dinas Pertanian dan Kehutanan Kota Singkawang




                                                                   Database Kota Singkawang Tahun 2011|233
Pertanian dan Ketahanan Pangan




                                      Tabel 17.49
           Produksi Karet Di Kota Singkawang Berdasarkan Kecamatan
                        Keadaan Per 31 Desember 2011


                              Belum                            Tua /                     Produksi
No       Kecamatan                          Menghasilkan                    Jumlah
                           Menghasilkan                        Rusak                      (Ton)

1    Singkawang Barat                 412              549            293     1.254             168
2    Singkawang Tengah              1.418            5.764          2.011     9.193           4.688
3    Singkawang Utara                 331               13              5       349                 4
4    Singkawang Timur                   -                -              -            -              -
5    Singkawang Selatan                13                -              -        13                 -
           Jumlah 2011             2.174            6.326           2.309    10.809           4.860
           Jumlah 2010             1.742            6.226           2.506    10.474           4.855
           Jumlah 2009             1.638            6.202           2.430    10.270           4.846

     Sumber Data : Dinas Pertanian dan Kehutanan Kota Singkawang




                                 Tabel 17.50
           Produksi Lada Di Kota Singkawang Berdasarkan Kecamatan
                        Keadaan Per 31 Desember 2011


                              Belum                            Tua /                     Produksi
No       Kecamatan                          Menghasilkan                    Jumlah
                           Menghasilkan                        Rusak                      (Ton)

1    Singkawang Barat                   7               14              1        22              17
2    Singkawang Tengah                  6               28              2        36              34
3    Singkawang Utara                   3                8              -        11                 6
4    Singkawang Timur                   -                -              -            -              -
5    Singkawang Selatan                 -                5              3         8                 4
           Jumlah 2011                 16               54             7        77               60
           Jumlah 2010                 16               54             7        77               68
           Jumlah 2009                 16               55             6        77               68

     Sumber Data : Dinas Pertanian dan Kehutanan Kota Singkawang



                                   Tabel 17.51
            Produksi Kopi Di Kota Singkawang Berdasarkan Kecamatan
                         Keadaan Per 31 Desember 2011


                              Belum                            Tua /                     Produksi
No       Kecamatan                          Menghasilkan                    Jumlah
                           Menghasilkan                        Rusak                      (Ton)

1    Singkawang Barat                   -                1              -         1                 1
2    Singkawang Tengah                  6                8              -        14              10
3    Singkawang Utara                   3                4              -         7                 4
4    Singkawang Timur                   -                -              -            -              -
5    Singkawang Selatan                 -                -              -            -              -
           Jumlah 2011                  9               13              -       22               15
           Jumlah 2010                  9               13              -       22               19
           Jumlah 2009                  9               13              -       22               17

     Sumber Data : Dinas Pertanian dan Kehutanan Kota Singkawang




                                                                   Database Kota Singkawang Tahun 2011|234
Pertanian dan Ketahanan Pangan




                                           Tabel 17.52
               Produksi Kelapa Sawit Di Kota Singkawang Berdasarkan Kecamatan
                                 Keadaan Per 31 Desember 2011


                                    Belum                             Tua /                     Produksi
No           Kecamatan                           Menghasilkan                      Jumlah
                                 Menghasilkan                         Rusak                      (Ton)

1        Singkawang Barat               3.399            1.857                -       5.256          1.662
2        Singkawang Tengah                430                 -               -         430                -
3        Singkawang Utara                 146               20                -         166            263
4        Singkawang Timur                   -                 -               -             -              -
5        Singkawang Selatan               101                 -               -         101                -
               Jumlah 2011             4.276            1.877                 -       5.953          1.925
               Jumlah 2010             4.276            1.677                 -       5.953           953
               Jumlah 2009             1.613              756             40          2.369               80

         Sumber Data : Dinas Pertanian dan Kehutanan Kota Singkawang




                                                Tabel 17.53
                       Produksi Tebu Di Kota Singkawang Berdasarkan Kecamatan
                                   Keadaan Per 31 Desember 2011

                                      Luas Tanam      Luas Panen        Produksi       Rata-Rata Panen
     No          Kecamatan
                                         (Ha)            (Ha)            (Ton)           Per Ha (Ton)
     1      Singkawang Barat                     0                0               0                   0
     2      Singkawang Tengah                    0                0               0                   0
     3      Singkawang Utara                     0                0               0                0,00
     4      Singkawang Timur                     0                0               0                0,00
     5      Singkawang Selatan                   5                5               2                 400
                     Jumlah 2011                 5                5               2                 400
                     Jumlah 2010                 5                3               1                0,33
                     Jumlah 2009                 5                3               1                0,33

         Sumber Data : Dinas Pertanian dan Kehutanan Kota Singkawang




                                                                       Database Kota Singkawang Tahun 2011|235
Pertanian dan Ketahanan Pangan




                                                                              Tabel 17.54
                                             Jumlah Pengadaan Saprodi Tanaman Pangan Di Kota Singkawang
                                                          Berdasarkan Kecamatan dan Jenis Saprodi
                                                                      Keadan Tahun 2009 -2011


                                              Tahun 2009                                    Tahun 2010                                         Tahun 2011
                                              Jenis Saprodi                                 Jenis Saprodi                                     Jenis Saprodi
No           Kecamatan                                    Pestisida                                       Pestisida                                       Pestisida
                                 Pupuk    Benih                               Pupuk    Benih                                   Pupuk   Benih
                                  (kg)     (kg)    Cair Padat                  (kg)     (kg)     Cair     Padat                 (kg)    (kg)     Cair     Padat
                                                               Jumlah                                                 Jumlah                                          Jumlah
                                                  (liter) (kg)                                  (liter)    (kg)                                 (liter)    (kg)

1       Singkawang Barat          2.800     210      42       14         56    1.050     175        7          7         14        -      -          -         -           -

2       Singkawang Tengah         3.200     160      48       16         64        -        -        -         -          -        -      -          -         -           -

3       Singkawang Utara         18.800     610     207       69        276    3.900     275       26         26         52        -      -          -         -           -

4       Singkawang Timur          8.400     530     126       42        168    1.950     300       13         13         26        -      -          -         -           -

5       Singkawang Selatan       73.400   1.090   676,5   225,5         902    5.850     350       39         39         78        -      -          -         -           -

6       Stock Singkawang         58.200       -   580,5   193,5         774        -        -    220          50        270        -      -       106          -           -

          Jumlah                 2.240    2.600 1.680      560        2.240   12.750   1.100     305        135         440        -      -       106          -           -

     Sumber Data : Dinas Pertanian dan Kehutanan Kota Singkawang




                                                                                                                                          Database Kota Singkawang Tahun 2011|236
Pertanian dan Ketahanan Pangan




                                                     Tabel 17.55
                          Luas Serangan Organisme Pengganggu Tumbuhan (OPT)
                               Di Kota Singkawang Berdasarkan Jenis Tanaman
                                            Keadaan Tahun 2009 - 2011

                               Tahun 2009                       Tahun 2009                        Tahun 2010
          Jenis
No
        Tanaman           Luas Yang                       Luas Yang                          Luas Yang
                                            Fuso (Ha)                         Fuso (Ha)                     Fuso (Ha)
                         Terkena (ha)                    Terkena (ha)                       Terkena (ha)

1      Padi                      3.818              44             2.283             8             2.238           10

2      Karet                     4.123               -             4.806              -                -            -

3      Lada                         77               -                    -           -                -            -

4      Kelapa                      564               -                627             -                -            -

              Jumlah             8.582             44            7.716               8            2.238            10

        Sumber Data : Dinas Pertanian dan Kehutanan Kota Singkawang




                                                     Tabel 17.56
                                 Distribusi Kawasan Hutan Di Kota Singkawang
                          Berdasarkan Fungsi Kawasan, Luas Hutan dan Persentase
                                            Keadaan Tahun 2009 - 2011

                                            Tahun 2009                 Tahun 2010                  Tahun 2011
No            Fungsi Kawasan                       Persentase                  Persentase                  Persentase
                                         Luas                      Luas                         Luas
                                                       (%)                         (%)                         (%)

1      Hutan Lindung                      3.249          6,45         3.565          7,07         1.828          3,63

2      Hutan konservasi                  797,79          1,58          798           1,58           531          1,05

3      Hutan Produksi                4.598,28            9,12         4.598          9,12         4.598          9,12

4      Cagar Alam (Konservasi)           3.419,7         6,78         3.420          6,79         3.420          6,79

5      Areal penggunaan lain             38.335           76       38.019           75,44        40.023         79,41

                Jumlah                   50.400          100     50.400               100        50.400          100

     *) Hutan Lindung Berdasarkan RTRWK Singkawang 2003 – 2013
        Sumber Data : Dinas Pertanian dan Kehutanan Kota Singkawang




                                                                              Database Kota Singkawang Tahun 2011|237
Pertanian dan Ketahanan Pangan




                                                                                          Tabel 17.57
                                                                           Luas Kawasan Hutan Di Kota Singkawang
                                                                        Berdasarkan Kecamatan dan Fungsi Hutan
                                                                                  Keadaan Tahun 2009 - 2010


                                                                Tahun 2009                                                                        Tahun 2010

                                                         Fungsi Hutan                                                                      Fungsi Hutan
No       Kecamatan                                                                                      Luas                                                                         Luas
                                                                 Hutan          Hutan        Area       Hutan                                     Hutan        Hutan      Area       Hutan
                             Hutan    Hutan                                                                         Hutan      Hutan    Cagar
                                             Cagar Alam         Produksi       Produksi   Penggunaan     (Ha)                                    Produksi     Produksi Penggunaan     (Ha)
                            Konversi Lindung                                                                       Konversi   Lindung   Alam
                                                                 Tetap         Terbatas      Lain                                                 Tetap       Terbatas    Lain

1    Singkawang Barat               -      160              -              -          -        1.626        160           -        95       -             -         -       1.531        95

2    Singkawang Tengah              -       86              -              -          -        2.769        86,0          -        48       -             -         -       3.157        48

3    Singkawang Utara               -         -             -       311,36            -        6.354     311,36           -       235       -         311           -       5.992       546

4    Singkawang Timur               -      134      1.740,99         4.287            -       10.467    6.161,91          -         -   1.741       4.287           -      10.934     6.028

5    Singkawang Selatan           798    2.869         1.679               -          -       17.119      5.346        798      3.196   1.679             -         -      19.970     5.673

        Jumlah                 797,9     3.249      3.419,7     4.598,28              -      38.335      12.065        798     3.574    3.420      4.598            -      41.584    12.390

      Sumber Data : Dinas Pertanian dan Kehutanan Kota Singkawang




                                                                                                                                                Database Kota Singkawang Tahun 2011|238
Pertanian dan Ketahanan Pangan




                                                                    Tabel 17.58
                                              Luas Kawasan Hutan Di Kota Singkawang
                                              Berdasarkan Kecamatan dan Fungsi Hutan
                                                          Keadaan Tahun 2011


                                                                                        Tahun 2011

                                                                              Fungsi Hutan
     No           Kecamatan                                                                                                                   Luas
                                                                                    Hutan            Hutan              Area                 Hutan
                                        Hutan            Hutan        Cagar
                                                                                   Produksi         Produksi         Penggunaan               (Ha)
                                       Konversi         Lindung       Alam
                                                                                    Tetap           Terbatas            Lain

     1      Singkawang Barat                    45              -             -             -                -                  1.446             1.531

     2      Singkawang Tengah                     -             -             -             -                -                  3.109             3.157

     3      Singkawang Utara                      -             -             -           311                -                  5.757             6.303

     4      Singkawang Timur                      -             -      1.741            4.287                -                 10.934            16.962

     5      Singkawang Selatan                 486        1.828        1.679                -           798                    16.774            22.447

                 Jumlah                        531       1.828         3.420            4.598           798                            -    501.400

          Sumber Data : Dinas Pertanian dan Kehutanan Kota Singkawang




                                                                    Tabel 17.59
                                           Penyebaran Lahan Kritis Di Kota Singkawang
                                     Berdasarkan Kecamatan, Tingkat Kritis dan Jumlah
                                                        Keadaan Tahun 2010 - 2011

                                                     Tahun 2010                                                       Tahun 2011
                                           Tingkat Kritis                                                        Tingkat Kritis
No         Kecamatan
                            Agak               Tidak     Sangat Potensial Jumlah            Agak                   Tidak      Sangat Potensial Jumlah
                                     Kritis                                                            Kritis
                            Kritis             Kritis     Kritis  Kritis                    Kritis                 Kritis      Kritis  Kritis

1 Singkawang Barat             *       *         *          *           *           *           *        *            *         *           *             *
2 Singkawang Tengah            *       *         *          *           *           *           *        *            *         *           *             *
3 Singkawang Utara             *       *         *          *           *           *           *        *            *         *           *             *
4 Singkawang Timur             *       *         *          *           *           *           *        *            *         *           *             *
5 Singkawang Selatan           *       *         *          *           *           *           *        *            *         *           *             *
           Jumlah           16.636 54          3.751     31.892       805         53.138 16.636         54        3.751       31.892       805       53.138

Sumber Data : Dinas Pertanian dan Kehutanan Kota Singkawang




                                                                                            Database Kota Singkawang Tahun 2011|239
Pertanian dan Ketahanan Pangan




                                         Tabel 17.60
                       Jumlah Ternak Unggas Di Kota Singkawang
                                Berdasarkan Jenis Unggas
                               Keadaan Tahun 2009 - 2011


No        Jenis Unggas          Tahun 2009            Tahun 2010                  Tahun 2011
1      Ayam Buras                       435.251                 474.826                 499.688
2      Ayam Petelur                 1.682.687                 1.833.407               2.071.177
3      Ayam Pedaging                1.824.195                 1.984.692               1.856.875
4      Itik                              10.816                  11.344                     10.763
5      Burung Puyuh                      13.528                  33.317                          -
                     Jumlah        3.966.477                  4.337.586               4.438.503

     Sumber Data : Dinas Pertanian dan Kehutanan Kota Singkawang




                                         Tabel 17.61
              Jumlah Ternak Unggas yang Dipotong Di Kota Singkawang
                                Berdasarkan Jenis Unggas
                               Keadaan Tahun 2009 - 2011

No     Jenis Unggas Yang Dipotong           Tahun 2009          Tahun 2010          Tahun 2011

1     Ayang Buras                                    17.232           26.266            499.688
2     Ayam Petelur                                  428.740          428.740           2.071.177
3     Ayam Pedaging                               1.011.350          868.725           1.856.875
4     Itik                                           10.337           20.622                10.763
5     Burung Puyuh                                   10.150               9.225             21.873
                               Jumlah             1.477.809       1.353.578           4.460.376

     Sumber Data : Dinas Pertanian dan Kehutanan Kota Singkawang




                                         Tabel 17.62
                          Jumlah Ternak Di Kota Singkawang
                                Berdasarkan Jenis Ternak
                               Keadaan Tahun 2009 - 2011


        No     Jenis Ternak       Tahun 2009           Tahun 2010           Tahun 2011

         1    Sapi                          6.516                 6.811             5.918
         2    Kambing                       2.705                 3.217             3.234
         3    Babi                         20.250                19.226            14.019
                      Jumlah              29.471                29.254             23.171

     Sumber Data : Dinas Pertanian dan Kehutanan Kota Singkawang




                                                                Database Kota Singkawang Tahun 2011|240
Pertanian dan Ketahanan Pangan




                                           Tabel 17.63
                        Jumlah Ternak yang Dipotong Di Kota Singkawang
                                       Berdasarkan Jenis
                                  Keadaan Tahun 2009 - 2011

     No    Jenis Ternak           Tahun 2009                  Tahun 2010              Tahun 2011

      1    Sapi                            2.772                        3.035                3.905
      2    Kambing                             590                         660                832
      3    Babi                           15.272                       15.927               15.342
                    Jumlah               18.634                       19.622               20.079

      Sumber Data : Dinas Pertanian dan Kehutanan Kota Singkawang




                                      Tabel 17.64
                    Jumlah Produksi Daging Ternak Di Kota Singkawang
                                   Berdasarkan Jenis
                              Keadaan Tahun 2009 - 2011
                                        Tahun 2009                Tahun 2010              Tahun 2011
No          Jenis Daging
                                      Produksi (Ton)             Produksi (Ton)         Produksi (Ton)
1    Daging Sapi                                     496,59                530,732                 604.229
2    Daging Kerbau                                        -                       -                      -
3    Daging Kambing                                    7,08                  7,920                   9.984
4    Daging Domba                                         -                       -                      -
5    Daging Kuda                                          -                       -                      -
6    Daging Babi                                2.714,47               2.724,696              3.382.560
7    Daging Ayam Buras                                30,68                 42,063                  46.280
8    Daging Ayang Pedaging                      3.594,57               3.704,320              4.159.474
9    Daging Ayam Petelur                        2.074,98               1.745,736              1.855.494
10   Daging itik                                      15,76                 24,746                  28.068
11   Daging Burung Puyuh                              0,563                  0,461                   0,484

      Sumber Data : Dinas Pertanian dan Kehutanan Kota Singkawang




                                         Tabel 17.65
                           Jumlah Peternak Layer Di Kota Singkawang
                            Berdasarkan Tahun dan Jumlah Peternak
                                  Keadaan Tahun 2009 - 2011

                   No     Tahun    Jumlah Peternak               Jumlah Populasi

                   1      2009            46                                 1.520.000
                   2      2010            44                                 1.833.400
                   3      2011            46                                 1.820.000

                   Sumber Data : Dinas Pertanian dan Kehutanan Kota Singkawang




                                                                     Database Kota Singkawang Tahun 2011|241
Pertanian dan Ketahanan Pangan




                                               Tabel 17.66
                       Ketersediaan Kalori, Protein dan Lemak Di Kota Singkawang
                                      Keadaan Tahun 2009 - 2011

                                                 Energi            Protein               Lemak
                  No         Tahun
                                              (Kalori/hari)      (gram/hari)          (gram/hari)
                  1          2009               2.528,16              73,94              54,48
                  2          2010               2.756,75              82,17              68,76
                  3          2011              Tidak Ada            Tidak Ada          Tidak Ada

              Sumber Data : Kantor Penyuluh Pertanian Perikanan, Kehutanan dan Ketahanan
                               Pangan Kota Singkawang




                                            Tabel 17.67
                               Ketersediaan Kalori, Protein dan Lemak
                        Untuk Dikonsumsi Perkapita/Perhari Di Kota Singkawang
                                     Keadaan Tahun 2009 - 2011

                                         Kalori                   Protein                     Lemak
         No        Tahun
                                      Kkal            %       Grm             %         Grm           %
          1           2009              2.703,43      100     79,71           100        68,88         100
          2           2010              2.756,75      100     82,17           100        68,76         100
          3           2011             Tidak Ada                 Tidak Ada                 Tidak Ada

      Sumber Data : Kantor Penyuluh Pertanian Perikanan, Kehutanan dan Ketahanan Pangan Kota Singkawang




                                                   Tabel 17.68
              Produksi Ketersedian Kelompok Komoditi Telur di Kota Singkawang
                                         Keadan Tahun 2010 - 2011

                                                Tahun 2010                                Tahun 2011
No         Jenis Telur                                Ketersedian Bhn             Produksi     Ketersedian Bhn
                                    Produksi (Ton)
                                                           (Ton)                   (Ton)            (Ton)
1    Telur Ayam Buras                     129.498                129.498              136.279                136.279
2    Telur Ayam Ras                    20.052,889             20.052,889            22.653.496            22.653.496
3    Telur Itik                              28.360                 28.360             26.908                 26.908
4    Telur Puyuh                             0,0990                 0,0990               1.312                 1.312

      Sumber Data : Dinas Pertanian dan Kehutanan Kota Singkawang




                                                                         Database Kota Singkawang Tahun 2011|242
Kelautan dan Perikanan




18. Kelautan dan Perikanan

          Dari data kelautan dan perikanan tahun 2011 luas laut Singkawang 177,65 km²,
   dengan panjang garis pantai 27,60 km. Potensi Penangkapan laut 1.630.600 ton dan
   potensi budidaya 666 ha.

          Untuk mengeksplorasi sumber daya kelautan dan perikanan di Kota Singkawang
   terdapat 42 kelompok pembudidaya ikan dengan 452 anggota. Kelompok nelayan yang
   ada berjumlah 73 kelompok dengan 485 anggota, untuk kelompok masyarakat pengawas
   laut berjumlah 8 kelompok dengan 139 anggota.

         Dari 1.026 nelayan jumlah armada yang dimiliki perahu tanpa motor 291, motor
   temple 103, kapal motor ukuran 0-5 GT 112, ukuran 6-10 GT 124, ukuran 11-30 GT 99
   dan tanpa perahu 50. Alat tangkap yang dimiliki nelayan Singkawang terdiri dari jaring
   insang hanyut 229, jaring insang tetap 32, jaring 156, rawai 105, pancing 176, sero 8,
   sungkur 120, bubu 36 dan alat tangkap lainnya 12.

          Untuk mendukung operasional nelayan fasilitas prasarana penunjang yang ada
   terdiri dari pabrik es 3 unit usaha dengan kapasitas produksi 18 ton per hari serta
   Stasion Pengisian Diesel Nelayan (SPDN) 1 unit usaha dengan kapasitas 65.000 liter per
   hari.

          Produksi perikanan laut di Kota Singkawang pada tahun 2011 sebanyak 608,60
   ton menurun 154,9 ton dibanding tahun 2010 yang mencapai 763,5 ton. Nilai produksi
   perikanan laut juga mengalami penurunan Rp. 2.796.269.000,- dari Rp. 18.186.049.000,-
   pada tahun 2010 menjadi Rp. 15.389.780.000,- pada tahun 2011.

          Jumlah usaha perikanan yang ada di Kota Singkawang diklasifikasikan
   berdasarkan jenisnya terdiri dari Pengumpul dan Pengangkut Hasil Perikanan 20 usaha,
   Pengolahan Hasil Perikanan 48 usaha, Kelompok Pengolah dan Pemasar Hasil Perikanan
   56 kelompok dan Pemasaran Hasil Perikanan 23 usaha.




                                                   Database Kota Singkawang Tahun 2011 | 243
Kelautan dan Perikanan




                                            Tabel 18.1
                    Data Umum Kelautan dan Perikanan Kota Singkawang
                                  Keadaan Per 31 Desember 2011

Data Umum
1. Luas Wilayah                                           50.400    Ha
2. Luas Wilayah Pesisir                                   49.539    Ha
    a. Daratan                                            33.774    Ha
    b. Lautan                                             15.765    Ha
3. Pulau kecil                                                  1   Buah
4. Luas Laut                                              177,65    Km2
5. Panjang Garis Pantai                                    27,60    Km
6. Hutan Mangrove                                         101,51    Ha
7. Rawa                                                 3.118,90    Ha
8. Danau                                                  252,97    Ha
9. Daerah Aliran Sungai (DAS)                             61.000    Ha
10. Terumbu Karang                                              -   Ha
11. Potensi Penangkapan
    a. Laut                                            1.630.600    Ton
         -   ZEEI                                      1.252.400    Ton
         -   Perairan Indonesia                          378.200    Ton
                                                                               (Data Citra Alos Avnir
    b. Perairan Umum Kota Singkawang                         182    Ton         30 September 2009)
    c. Produksi Perikanan Tangkap Rata-rata
                                                          693,50    Ton
       Tahun 2004 - 2009
    d. MSY (Model Fox)                                       717    Ton
    e. Upaya Optimum (UO)                                  3.514    Ton
    f. Jumlah Kapal (Tahun 2010)                             219    Buah
12. Potensi Budidaya                                         666    Ha
    a. Laut                                                  250    Ha
    b. Tambak                                                175    Ha
    c. Kolam                                                 141    Ha
    d. Keramba                                               100    Ha
13. Produksi Perikanan Budidaya (Tahun 2010)
    a. Laut (KJA)                                           0,00    Ton
    b. Tambak                                             200,00    Ton
    c. Kolam                                              236,39    Ton
    d. Keramba Jaring Apung (KJA) Air Tawar                21,60    Ton
    e.   Keramba Jaring Tancap (KJT) Air Tawar              1,80    Ton

 Sumber Data : Dokumen Awal Rencana Zonasi Wilayah Pesisir dan Pulau-pulau Kecil (RZWP–3K)
               Kota Singkawang Tahun 2011.




                                                                Database Kota Singkawang Tahun 2011 | 244
Kelautan dan Perikanan




                                                            Tabel 18.2
                                   Jumlah Kelompok Pembudidaya Ikan Kota Singkawang
                                                   Berdasarkan Kecamatan
                                                  Keadaan Tahun 2009 - 2011

                                              Tahun 2009                         Tahun 2010                   Tahun 2011
 No               Kecamatan
                                       Jumlah         Jumlah        Jumlah              Jumlah      Jumlah            Jumlah
                                      Kelompok        Anggota      Kelompok             Anggota    Kelompok           Anggota
  1           Singkawang Selatan          9             104              10               114             12               140
  2           Singkawang Timur           24             277              26               290             20               216
  3           Singkawang Utara            3                24            2                    9           5                    39
  4           Singkawang Tengah           1                13            1                13              4                    41
  5           Singkawang Barat            1                18            1                18              1                    16
                 Jumlah                  38             436              40               444            42                452

Sumber Data : Dinas Kelautan dan Perikanan Kota Singkawang




                                                     Tabel 18.3
                                      Jumlah Kelompok Nelayan Di Kota Singkawang
                                                   Berdasarkan Kecamatan
                                                  Keadaan Tahun 2009 - 2011

                                              Tahun 2009                     Tahun 2010                   Tahun 2011
      No            Kecamatan           Jumlah                     Jumlah                          Jumlah
                                                      Jumlah                           Jumlah                       Jumlah
                                       Kelompok                   Kelompok                        Kelompok
                                                      Anggota                          Anggota                      Anggota
                                        Nelayan                    Nelayan                         Nelayan
      1        Singkawang Selatan          9               51         9                   51          9                51
      2        Singkawang Timur               -             -            -                -          -                     -
      3        Singkawang Utara            18              188       22                  231         23               241
      4        Singkawang Tengah              9            63        16                   71         16                71
      5        Singkawang Barat            18              83        25                  122         25               122
                   Jumlah                 54               385       72                  475         73               485

 Sumber Data : Dinas Kelautan dan Perikanan Kota Singkawang




                                                            Tabel 18.4
                              Jumlah Kelompok Masyarakat Pengawas Laut Di Singkawang
                                                   Berdasarkan Kecamatan
                                                  Keadaan Tahun 2009 - 2011

                                             Tahun 2009                 Tahun 2010                     Tahun 2011
      No             Kecamatan           Jumlah                     Jumlah                         Jumlah
                                                     Jumlah                     Jumlah                         Jumlah
                                        Kelompok                   Kelompok                       Kelompok
                                                     Anggota                    Anggota                        Anggota
                                         Nelayan                    Nelayan                        Nelayan
          1     Singkawang Selatan          2          34              2          34                  2          34
          2     Singkawang Timur              2            32            2                32         2                32
          3     Singkawang Utara              2            24            3                40         3                53
          4     Singkawang Tengah             -             -                -                -       -                -
          5     Singkawang Barat              1            20            1                20         1                20
                    Jumlah                    7            110           8                126        8               139

 Sumber Data : Dinas Kelautan dan Perikanan Kota Singkawang




                                                                                    Database Kota Singkawang Tahun 2011 | 245
Kelautan dan Perikanan




                                                                                      Tabel 18.5
                                                                     Jumlah Armada Yang Dimiliki Nelayan Singkawang
                                                                             Keadaan Per 31 Desember 2011

                                                      Tahun 2009                                                    Tahun 2010                                                            Tahun 2011

                             Nelayan                                  Kapal Motor                                                    Kapal Motor




                                                                                              Nelayan




                                                                                                                                                        Nelayan
                                                         Tempel




                                                                                                                          Tempel




                                                                                                                                                                                          Tempel
                             Jumlah




                                                                                              Jumlah




                                                                                                                                                        Jumlah
                                       Perahu




                                                Perahu




                                                                                                        Perahu




                                                                                                                 Perahu




                                                                                                                                                                  Perahu




                                                                                                                                                                             Perahu
                                                                                                                                                                                                   Kapal Motor Dengan Ukuran



                                       Tanpa

                                                Tanpa




                                                                                                        Tanpa


                                                                                                                 Tanpa




                                                                                                                                                                  Tanpa


                                                                                                                                                                             Tanpa
                                                 Motor




                                                          Motor




                                                                                                                  Motor




                                                                                                                           Motor




                                                                                                                                                                              Motor




                                                                                                                                                                                           Motor
No        Kecamatan                                                  Dengan Ukuran                                                  Dengan Ukuran

                                                                    0-5 GT     6-10 GT                                             0-5 GT     6-10 GT                                              0-5 GT 6-10 GT   11-30 GT

1    Singkawang Selatan       227        2       124      89          18           7           232          2     126      91       18          7        234       10         118          38       19       19        17
2    Singkawang Utara         345        2       159      40          62           3           352          2     162      41       63          3        355       11         154          28       32       44        27
3    Singkawang Barat         383       11        11      97         121           4           391       11        11      99       123         4        395       22          19          37       52       52        47
4    Singkawang Tengah         5         5        -        -          -            -           39           -      -        -        8          -         42        7          -            -       9         9         8
         Jumlah              960        20       294     201         201           14      1.013         15       300     231       213        14       1.026      50         291         103      112      124        99

         Sumber Data : Dinas Kelautan dan Perikanan Kota Singkawang



                                                                                             Tabel 18.6
                                                                  Data Jumlah Alat Tangkap Yang Dimiliki Nelayan Di Kota Singkawang
                                                                                   Keadaan Per 31 Desember 2011
                                                                                                                       Jenis Alat Tangkap Yang Dimiliki
                                                                           Jumlah
                                No              Kecamatan                                Jaring Insang                         Pancing             Perangkap
                                                                           Nelayan                               Jaring                                                         Lainnya
                                                                                        Hanyut Tetap                      Rawai Pancing Sero Sungkur Bubu
                                   1    Singkawang Selatan                   234         104            11         19       10        104           -     29            36            4
                                   2    Singkawang Utara                     355          89            5          2        34           55         4     75            -             4
                                   3    Singkawang Barat                     395          35            16        128       53           8          4     16            -             5
                                   4    Singkawang Tengah                    42           -             -          7         8           9          -      -            -             -
                                             Jumlah 2011                   1.026         229            32        156      105        176           8    120            36          12
                                             Jumlah 2010                   1.014         259            34        182      107        193           8    134            41          13
                                             Jumlah 2009                     960         254            34        155      101        185           8    131            40          13

                                         Sumber Data : Dinas Kelautan dan Perikanan Kota Singkawang




                                                                                                                                                                   Database Kota Singkawang Tahun 2011                  | 246
Kelautan dan Perikanan




                                                         Tabel 18.7
                         Jumlah Fasilitas Prasarana Penunjang Nelayan Di Kota Singkawang
                                             Keadaan Per 31 Desember 2011


                                             Tahun 2009                     Tahun 2010                     Tahun 2011
No        Jenis Fasilitas Perasana    Jumlah         Kapasitas       Jumlah         Kapasitas       Jumlah         Kapasitas
                                       Usaha         Produksi         Usaha         Produksi         Usaha         Produksi
                                       (Unit)          /Hari          (Unit)          /Hari          (Unit)          /Hari
1         Pabrik Es                      3             18 ton           3             18 ton           3             18 ton

2         SPDN                           1          12.000 liter        1           65.000 liter       1          65.000 liter

 Sumber Data : Dinas Kelautan dan Perikanan Kota Singkawang




                                                         Tabel 18.8
                        Jumlah Produksi dan Nilai Produksi Perikanan Laut Di Kota Singkawang
                                                Keadaan Tahun 2009 - 2011

                                          Tahun 2009                        Tahun 2010                  Tahun 2011

    No.             Jenis Ikan                         Nilai                          Nilai                         Nilai
                                     Produksi                       Produksi                       Produksi
                                                     Produksi                       Produksi                      Produksi
                                      (Ton)                          (Ton)                          (Ton)
                                                       (Rp.)                          (Rp.)                         (Rp.)
     1       Manyung                      96,9       2.628.850         103,0         2.987.500         84,9       2.413.020
     2       Cucut/Hiu                    29,7         292.190          30,4           352.850         16,0         214.540
     3       Pari                         47,2         543.510          45,9           568.350         34,4         550.880
     4       Bawal Hitam                  19,1         501.900          20,4           627.450         16,9         549.530
     5       Bawal Putih                  21,0         841.650          28,0           987.100         23,2         815.020
     6       Layang/Kaben                       -               -             -                -             -                -
     7       Selar                              -               -             -                -             -                -
     8       Talang-talang                      -               -             -                -             -                -
     9       Merah/Bambangan              43,1       1.577.700          63,3         1.685.500         55,3       1.549.980
     10      Kurisi                       10,6         252.410          11,3           278.650             6,2      115.700
     11      Parang-parang                33,8         657.500          33,5           824.300         23,4         620.140
     12      Tamban                             -               -             -                -             -                -
     13      Kembung                         5,0        85.000                -                -             -                -
     14      Tenggiri                     79,1       2.208.450          99,0         3.019.950         83,8       2.752.300
     15      Tongkol                      42,8         926.380          49,4         1.146.400         34,1         837.280
     16      Ikan Lainnya                       -               -       85,3         1.276.550        102,3       1.720.450
     17      Kuwe                         12,8         149.800          14,8           200.349         11,7         193.360
     18      Udang Putih                  35,8         838.250          37,2          967.200          21,9         593.900
     19      Udang Dogol                  28,6         991.850          29,1         1.088.100         23,1         974.200
     20      Udang Lainnya                25,9         498.200          32,9           827.100         16,1         413.580
     21      Sotong                       21,3         488.200          20,8           568.000         18,0         446.760
     22      Cumi-cumi                    13,5         229.650          16,2           248.400         10,1         193.640
     23      Gulamah                      39,7         456.600          43,0           532.300         27,2         435.500
     24      Ikan Campuran                80,7         868.800                -                -             -                -
             Jumlah/Total               686,6       15.036.890         763,5       18.186.049        608,60      15.389.780

     Sumber Data : Dinas Kelautan dan Perikanan Kota Singkawang




                                                                                  Database Kota Singkawang Tahun 2011 | 247
Kelautan dan Perikanan




                                                                                          Tabel 18.9
                                                                           Jumlah Usaha Perikanan Di Kota Singkawang
                                                                                    Berdasarkan Jenis Usaha
                                                                                  Keadaan Tahun 2009 - 2011
                                                                                                                                Jumlah Usaha/Kelompok
                             No                                Jenis Usaha
                                                                                                      Tahun 2009                   Tahun 2010       Tahun 2011
                              1           Pengumpul dan Pengangkut Hasil Perikanan                               25                      20                           20
                              2           Pengolahan Hasil Perikanan                                             40                      44                           48
                              3       Kelompok Pengolah dan Pemasar Hasil Perikanan                              46                      53                           56
                              4       Pemasaran Hasil Perikanan                                                  20                      20                           23

                                    Sumber Data : Dinas Kelautan dan Perikanan Kota Singkawang



                                                                                           Tabel 18.10
                                                                       Jumlah Produksi Benih Ikan di Kota Singkawang
                                                                         Berdasarkan Jenis Ikan dan Sumber Benih
                                                                                Keadaan Tahun 2009 - 2011
                                                           Tahun 2009                                                   Tahun 2010                                                  Tahun 2010
                                                    Rata-rata Produksi ( ekor )                                  Rata-rata Produksi ( ekor )                                 Rata-rata Produksi ( ekor )
                                                 BBIP (Multi




                                                                                                                       BBIP (Multi




                                                                                                                                                                                BBIP (Multi
                                  BBI Bagak




                                                                                                     BBI Bagak




                                                                                                                                                                 BBI Bagak
                                                                Backyard




                                                                                Hatchery




                                                                                                                                     Backyard

                                                                                                                                                Hatchery




                                                                                                                                                                                              Backyard


                                                                                                                                                                                                         Hatchery
 No           Jenis Ikan
                                   Sahwa




                                                                                                      Sahwa




                                                                                                                                                                  Sahwa
                                                    Fish)




                                                                  BWM




                                                                                  BMW




                                                                                                                          Fish)



                                                                                                                                       BWM

                                                                                                                                                  BMW




                                                                                                                                                                                   Fish)



                                                                                                                                                                                                BWM


                                                                                                                                                                                                           BMW
                                                                                             UPR




                                                                                                                                                           UPR




                                                                                                                                                                                                                      UPR
  1    Mas                     130.000                -            -               -          -        72                   -           -          -       85      65               -            -          -         68
  2    Lele                    132.000                -            -               -       240.000    236                  -            -          -       400    420               -            -          -        1.574
  3    Nila                       72.000              -            -               -          -        81                   -           -          -       75     110               -            -          -         118
  4    Udang Galah                    -         200.000        500.000        1.200.000       -          -                 -            -          -        -        -               -           -          -         99
  5    Udang Windu                    -               -            -               -          -          -            100.295           -          -        -        -         100.400           -          -          -
  6    Udang Vanname                  -               -            -               -          -          -         8.222.200            -          -        -        -        8.222.350          -          -          -
  7    Ikan Hias                      -               -            -               -          -          -                  -           -          -        -        -              -            -          -        5.000
  8    Ikan Lainnya                   -               -            -               -          -          -                  -           -          -        -        -                           -          -          -
           Jumlah             334.000           200.000        500.000        1.200.000    240.000    389          8.322.495            -          -       560    595        8.322.750           -          -        6.859

Sumber Data : Dinas Kelautan dan Perikanan Kota Singkawang




                                                                                                                                                                         Database Kota Singkawang Tahun 2011                     | 248
Kelautan dan Perikanan




                                                     Tabel 18.11
                                        Data Potensi Tambak Kota Singkawang
                                           Keadan Per 31 Desember 2011

                                       Tahun 2009                         Tahun 2010                   Tahun 2011
No           Kecamatan             Luas        Luas                   Luas        Luas             Luas        Luas
                                  Potensi  Pemanfaatan               Potensi  Pemanfaatan         Potensi  Pemanfaatan
                                   (Ha)        (Ha)                   (Ha)        (Ha)             (Ha)         (Ha)
1       Singkawang Utara               175              40            175             40            175               40

2       Singkawang Selatan              -               -              -              -              -                -

3       Singkawang Timur                -               -              -              -              -                -

4       Singkawang Barat                -               -              -              -              -                -

5       Singkawang Tengah               -               -              -              -              -                -

               Jumlah                  175              40            175             40            175               40

    Sumber Data : Dinas Kelautan dan Perikanan Kota Singkawang




                                                              Tabel 18.12
                                              Jumlah Usaha Tambak di Singkawang
                                                      Berdasarkan Kecamatan
                                                     Keadaan Tahun 2009 - 2011

                                             Tahun 2009                       Tahun 2010                      Tahun 2011

No          Kecamatan                          Luas         Jumlah              Luas       Jumlah               Luas       Jumlah
                                Jumlah         Areal        Tenaga   Jumlah     Areal      Tenaga   Jumlah      Areal      Tenaga
                                 Usaha        Tambak         Kerja    Usaha    Tambak       Kerja    Usaha     Tambak       Kerja
                                               (Ha)          (org)              (Ha)        (org)               (Ha)        (org)

1      Singkawang Selatan          -             -            -        -          -          -            -       -          -

2      Singkawang Timur            -             -            -        -          -          -            -       -          -

3      Singkawang Utara            2            20            40       2         20          45           2      20          45

4      Singkawang Tengah           -             -            -        -          -          -            -       -          -

5      Singkawang Barat            -             -            -        -          -          -            -       -          -

           Jumlah                  2            20           40        2         20         45            2      20         45

    Sumber Data : Dinas Kelautan dan Perikanan Kota Singkawang




                                                                               Database Kota Singkawang Tahun 2011 | 249
Kelautan dan Perikanan




                                                            Tabel 18.13
                                                   Harga Ikan Laut Di Singkawang
                                     Berdasarkan Jenis Ikan dan Harga Per Bulan (Dalam Rupiah)
                                                  Keadaan Per 31 Desember 2011

                                                                           Harga Rata-Rata (Rp.) Per Bulan
No.          Jenis Ikan
                          Januari   Pebruari     Maret       April         Mei         Juni          Juli       Agustus September Oktober November Desember
 1    Bawal Hitam          32.000     32.000     32.000      32.500       32.500       32.500       32.700       32.700   32.700       33.000   33.000     33.000
 2    Bawal Putih          35.000     35.000     35.000      35.600       35.600       35.600       35.800       35.800   35.800       34.000   34.000     34.000
 3    Cumi-cumi            18.500     18.500     18.500      19.000       19.000       19.000       19.200       19.200   19.200       26.000   26.000     26.000
 4    Gulamah              15.000     15.000     15.000      16.000       16.000       16.000       16.200       16.200   16.200       17.000   17.000     17.000
 5    Cucut                12.500     12.500     12.500      13.000       13.000       13.000       13.200       13.200   13.200       15.000   15.000     15.000
 6    Kurisi               24.500     24.500     24.500      25.000       25.000       25.000       25.200       25.200   25.200       26.000   26.000     26.000
 7    Kuwe                 16.000     16.000     16.000      16.500       16.500       16.500       16.700       16.700   16.700       17.000   17.000     17.000
 8    Manyung              28.000     28.000     28.000      28.500       28.500       28.500       28.700       28.700   28.700       28.500   28.500     28.500
 9    Merah/Bambangan      27.000     27.000     27.000      27.500       27.500       27.500       27.700       27.700   27.700       30.000   30.000     30.000
10    Parang-parang        26.000     26.000     26.000      26.000       26.000       26.000       26.200       26.200   26.200       28.000   28.000     28.000
11    Pari                 15.000     15.000     15.000      16.000       16.000       16.000       16.200       16.200   16.200       17.000   17.000     17.000
12    Sotong               24.000     24.000     24.000      25.000       25.000       25.000       25.200       25.200   25.200       25.000   25.000     25.000
13    Tenggiri             32.000     32.000     32.000      32.600       32.600       32.600       32.800       32.800   32.800       34.000   34.000     34.000
14    Tongkol              25.000    25.000      25.000      24.000       24.000       24.000       24.200       24.200   24.200       25.000   25.000     25.000
15    Udang Dogol          40.000     40.000     40.000      42.000       42.000       42.000       42.200       42.200   42.200       45.000   45.000     45.000
16    Udang Putih          27.000     27.000     27.000      28.000       28.000       28.000       28.200       28.200   28.200       25.000   25.000     25.000
17    Ikan Lainnya         14.000     14.000     14.000      14.500       14.500       14.500       19.000       19.000   19.000       20.000   20.000     20.000
18    Udang Lainnya        25.000     25.000     25.000      27.000       27.000       27.000       27.200       27.200   27.200       24.000   24.000     24.000

      Sumber Data : Dinas Kelautan dan Perikanan Kota Singkawang


                                                                 Tabel 18.14
                                               Daftar Harga Ikan Budi Daya di Kota Singkawang
                                                Berdasarkan Jenis Ikan dan Harga Per bulan
                                                      Periode Januari - Desember 2011

                                                                           Harga Rata-Rata (Rp.) Per Bulan
No       Jenis ikan
                          Januari   Pebruari     Maret        April        Mei          Juni         Juli       Agustus September Oktober Nopember Desember

 1     Mas                 30.000    28.100      25.700       22.700       21.700       21.700       21.700      22.450    23.450      25.450    27.450    29.600
 2     Nila                20.000    18.100      15.700       12.700       11.700       11.700       11.700      12.450    13.450      15.450    17.450    19.600
 3     Lele                17.000    15.100      12.700        9.700        8.700        8.700        8.700       9.450    10.450      12.450    14.450    16.600
 4     Bawal Air Tawar     20.000    18.100      15.700       12.700       11.700       11.700       11.700      12.450    13.450      15.450    17.450    19.600
 5     Jelawat             45.000    43.100      40.700       37.700       36.700       36.700       36.700      37.450    38.450      40.450    42.450    44.600
 6     Gurame                   -         -              -            -            -            -           -         -         -           -         -         -
 7     Patin               20.000    18.100      15.700       12.700       11.700       11.700       11.700      12.450    13.450      15.450    17.450    19.600
 8     Udang Galah              -         -              -            -            -            -           -         -         -           -         -         -
 9     Udang Vanamae       45.000    43.100      40.700       37.700       36.700       36.700       36.700      37.450    38.450      40.450    42.450    44.600
 10    Udang Windu              -         -              -            -            -            -           -         -         -           -         -         -
 11    Kerapu                   -         -              -            -            -            -           -         -         -           -         -         -
 12    Toman                    -         -              -            -            -            -           -         -         -           -         -         -
 13    Gabus                    -         -              -            -            -            -           -         -         -           -         -         -
 14    Betutu             125.000   123.100     120.700      117.700      116.700      116.700      116.700     117.450   118.450     120.450   122.450   124.600
 15    Ikan Lainnya        17.000    15.100      12.700        9.700        8.700        8.700        8.700       9.450    10.450      12.450    14.450    16.600

      Sumber Data : Dinas Kelautan dan Perikanan Kota Singkawang




                                                                                                Database Kota Singkawang Tahun 2011 | 250
Kelautan dan Perikanan




                                                                      Tabel 18.15
                                                 Harga Ikan Perairan Umum Di Singkawang
                                      Berdasarkan Jenis Ikan dan Harga Per Bulan (Dalam Rupiah)
                                                          Keadaan Per 31 Desember 2011

                                                                       Harga Rata-Rata (Rp.) Per Bulan
No.     Jenis Ikan
                           Januari    Pebruari   Maret      April          Mei   Juni      Juli       Agustus September Oktober November Desember

 1     Belida              42.500      42.500    42.500     43.800    43.800     43.800   44.000      44.000       44.000   44.500   44.500   44.500

 2     Betutu              26.500      26.500    26.500     26.800    26.800     26.800   26.900      26.900       26.900   27.000   27.000   27.000

 3     Gabus                9.500       9.500     9.500      9.700     9.700      9.700    9.500       9.500        9.500    9.600    9.600    9.600

 4     Gurame              16.000      16.000    16.000     16.000    16.000     16.000   16.000      16.000       16.000   16.200   16.200   16.200

 5     Jambal              34.000      34.000    34.000     34.200    34.200     34.200   34.500      34.500       34.500   34.800   34.800   34.800

 6     Lais                37.000      37.000    37.000     37.300    37.300     37.300   37.500      37.500       37.500   38.000   38.000   38.000

 7     Lele                17.000      17.000    17.000     17.000    17.000     17.000   17.200      17.200       17.200   17.500   17.500   17.500

 8     Sepat Siam          11.500      11.500    11.500     11.600    11.600     11.600   11.500      11.500       11.500   11.700   11.700   11.700

 9     Tambakan            18.000      18.000    18.000     18.500    18.500     18.500   18.600      18.600       18.600   18.800   18.800   18.800

10     Toman               14.500      14.500    14.500     14.800    14.800     14.800   15.000      15.000       15.000   15.500   15.500   15.500

11     Udang Galah         65.000      65.000    65.000     65.500    65.500     65.500   65.800      65.800       65.800   66.500   66.500   66.500

12     Ikan Lainnya        18.000      18.000    18.000     18.200    18.200     18.200   18.500      18.500       18.500   18.700   18.700   18.700

13     Udang Lainnya       25.000      25.000    25.000     26.000    26.000     26.000   26.300      26.300       26.300   26.500   26.500   26.500

     Sumber Data : Dinas Kelautan dan Perikanan Kota Singkawang




                                                                     Tabel 18.16
                                                 Mangrove Yang Ada Di Kota Singkawang
                             Berdasarkan Kecamatan, Luas Kondisi dan yang Telah Direhabilitasi
                                                     Keadaan Per 31 Desember 2011

                                                                                        Kondisi Mangrove                Mangrove Yang
                                                                      Luas
                                                                                            Rusak         Rusak              Telah
          No.                        Kecamatan                      Mangrove      Baik
                                                                                            Ringan        Berat          Direhabilitasi
                                                                      (Ha)        (Ha)
                                                                                             (Ha)          (Ha)               (Ha)
              1       Kecamatan Singkawang Utara                      523           -             -            -               -
              2       Kecamatan Singkawang Barat                       -            -             -            -               -
              3       Kecamatan Singkawang Tengah                      -            -             -            -               -
              4       Kecamatan Singkawang Selatan                     -            -             -            -               -

                  Sumber Data : Dinas Kelautan dan Perikanan Kota Singkawang




                                                                                           Database Kota Singkawang Tahun 2011 | 251
Perhubungan, Pos dan Telekomunikasi




19. Perhubungan, Pos dan Telekomunikasi

         Walaupun pertambahan jumlah sepeda motor saat ini demikian pesat namun
   keberadaan angkutan umum masih tetap berjalan dalam melayani kebutuhan
   masyarakat khususnya untuk jarak jauh. Karenanya kendaraan angkutan umum yang
   bernaung dalam Perusahaan Otobus (PO) saat ini masih tetap eksis.

          Pada tahun 2011 jumlah Perusahaan Otobus (PO) yang ada di Singkawang
   sebanyak 16 perusahaan didukung 295 unit armada/kendaraan untuk melayani 6 trayek
   dalam kota dan 12 trayek antar kota. Untuk trayek dalam kota dilayani 80 kendaraan
   dan trayek luar kota dilayani 111 kendaraan.

           Untuk melayani kebutuhan transportasi antar kota masyarakat Singkawang juga
   terdapat Angkutan Sewa Khusus yang biasa disebut masyarakat Singkawang dengan
   istilah “Taxi” yaitu angkutan antar kota yang menjemput penumpang dari depan rumah
   dan mengantarkannya ke depan rumah di kota tujuan. Ada 18 perusahaan Angkutan
   Sewa Khusus yang ada di Singkawang didukung 95 armada/kendaraan untukmelayani
   trayek Singkawang Pontianak.

          Untuk pengelolaan parkir terdapat 75 titik parkir dengan 185 juru parkir yang
   terdaftar. Sedangkan untuk pengujian kendaraan bermotor dilakukan 5 orang petugas
   dengan kendaraan yang diuji sebanyak 4.207 unit kendaraan selama tahun 2011.

         Dari 4 jenis retribusi daerah bidang perhubungan yang dipungut, pada tahun
   2011 berhasil dipungut Rp. 372.938.500,- atau meningkat Rp. 26.866.000,- dibanding
   tahun 2010 yang sebesar Rp. 346.072.500,-.

          Kapal yang bersandar di Pelabuhan Kuala pada tahun 2011 hanya 186 kapal dan
   membongkar muatan sebanyak 6.212,300 ton. Sedangkan barang yang dimuat/dibawa
   keluar sebanyak 3.946,499 ton.

         Karena Singkawang tidak memiliki Bandara maka penumpang yang akan
   bepergian dengan menggunakan moda transportasi udara masih melalui Bandara
   Supadio Pontianak. Dalam tahun 2011 jumlah penumpang pesawat dari Singkawang
   melalui Bandara Supadio Pontianak sebanyak 39.166 orang dengan tujuan domestik
   38.789 orang dan tujuan internasional 377 orang. Dengan demikian selama tahun 2011
   dalam 1 hari rata-rata jumlah penumpang pesawat dari Singkawang melalui Bandara
   Supadio Pontianak sebanyak 107 penumpang.

          Dari data yang disampaikan PT (Persero) Pos Indonesia Cabang Singkawang pada
   tahun 2011 surat yang dikirim sebanyak 333.398 lembar dimana 332.113 lembar surat
   dalam negeri dan 1.285 lembar surat dikirim ke luar negeri. Sedangkan surat yang
   diterima sebanyak 412.267 lembar, 411.643 lembar diterima dari dalam negeri dan 624
   lembar surat diterima dari luar negeri.




                                                  Database Kota Singkawang Tahun 2011|   252
Perhubungan, Pos dan Telekomunikasi



      Selain melalui pos masyarakat Singkawang yang mengirim barang dapat melalui
perusahaan swasta yang melayani pengiriman melalui udara (cargo udara). Ada 23
perusahaan yang ada dengan jumlah barang yang dikirim sebanyak 140.512 kg.

       Untuk kebutuhan telekomunikasi masyarakat Singkawang dilayani 4 operator
telepon/telepon seluler didukung 38 menara telekomunikasi serta pada tahun 2011
pedagang alat/perangkat telekomunikasi memiliki 93 warung internet, dan 6 radio
swasta.



                                                  Tabel 19.1
                            Perusahaan Oto Bus (PO) Yang Ada Di Kota Singkawang
                     Berdasarkan Jumlah PO dan Armada/Kendaraan Yang Dimiliki
                                          Keadaan Tahun 2009 - 2011

           No                    Uraian                  Tahun 2009          Tahun 2010   Tahun 2011

           1     Jumlah Perusahaan Oto Bus (PO)                     18               18            16
           2     Jumlah/Jenis Armada/Kendaraan
                 1. Bis                                            101              101             93
                 2. Minibis                                        129              127             90
                 3. Oplet                                          164              164            112

           Sumber Data : Dinas Perhubungan, Komunikasi dan Informatika Kota Singkawang




                                               Tabel 19.2
                            Trayek Angkutan Umum Yang Ada Di Kota Singkawang
               Berdasarkan Jenis Trayek, Jumlah Trayek dan Jumlah Armada/Kendaraan
                                          Keadaan Tahun 2009 - 2011

                                            Tahun 2009               Tahun 2010              Tahun 2011
   No           Jenis Trayek                       Jumlah                     Jumlah                Jumlah
                                      Jumlah                    Jumlah                    Jumlah
                                                   Armada/                    Armada/               Armada/
                                      Trayek                    Trayek                    Trayek
                                                  Kendaraan                  Kendaraan             Kendaraan
   1    Dalam Kota                           6            123            6          125        6          80
        Antar Kota Dalam Propinsi
   2                                        12            158        12             165       12          111
        (AKDP)
    Sumber Data : Dinas Perhubungan, Komunikasi dan Informatika Kota Singkawang




                                                                      Database Kota Singkawang Tahun 2011|        253
Perhubungan, Pos dan Telekomunikasi



                                                                  Tabel 19.3
                                       Data Jumlah Penumpang Yang Datang dan Berangkat
                                                     Dari Terminal Di Kota Singkawang
                                               Berdasarkan Bulan dan Nama Terminal
                                                       Keadaan Tahun 2009 - 2011

                                    Tahun 2009                               Tahun 2010                            Tahun 2011

No.      Bulan          Terminal              Terminal               Terminal           Terminal            Terminal          Terminal
                         Pasiran             Bengkayang               Pasiran          Bengkayang            Pasiran         Bengkayang
                    Datang Berangkat Datang           Berangkat   Datang   Berangkat Datang    Berangkat Datang Berangkat Datang Berangkat
 1    Januari       13.127        13.003     7.965      7.844
 2    Pebruari      14.423        14.299     8.977      8.856
 3    Maret         12.125        12.001     7.122      7.001
 4    April         12.213        12.089     7.912      7.791
 5    Mei           11.895        11.771     7.458      7.337
 6    Juni          12.895        12.771     7.842      7.721
 7    Juli          13.765        13.641     8.134      8.013
 8    Agustus       13.876        13.752     8.214      8.093
 9    September     12.453        12.329     9.232      9.111
10    Oktober       14.118        13.994     9.783      9.662
11    November      12.855        12.731     7.919      7.798
12    Desember      13.241        13.117     8.240      8.119
          Jumlah 156.986         155.498    98.798     97.346                    tad                                   tad

      Sumber Data : Dinas Perhubungan, Komunikasi dan Informatika Kota Singkawang




                                                                Tabel 19.4
                                        Angkutan Sewa Khusus Di Kota Singkawang
                                    Berdasarkan Jumlah Perusahaan dan Jumlah Armada
                                               Keadaan Tahun 2008 - 2011


                          No        Tahun       Jumlah Perusahaan            Jumlah Armada/Kendaraan

                             1       2008                 12                              38

                             2       2009                 12                              38

                             3       2010                 12                              38

                             4       2011                 18                              95

                        Sumber Data : Dinas Perhubungan, Komunikasi dan Informatika Kota Singkawang




                                                                                   Database Kota Singkawang Tahun 2011|            254
Perhubungan, Pos dan Telekomunikasi



                                            Tabel 19.5
                       Data Jumlah Penumpang Yang Datang dan Berangkat
                              Menggunakan Angkutan Sewa Khusus
                         Berdasarkan Bulan Keadaan Tahun 2009- 2011

                              Tahun 2009                    Tahun 2010               Tahun 2011
No.       Bulan            Jumlah Penumpang           Jumlah Penumpang          Jumlah Penumpang
                          Datang      Berangkat       Datang     Berangkat      Datang    Berangkat
 1     Januari            8.916         9.142
 2     Pebruari           5.582         5.808
 3     Maret              3.868         4.094
 4     April              3.961         4.187
 5     Mei                4.120         4.346
 6     Juni               3.289         3.515
 7     Juli               3.759         3.985
 8     Agustus            4.032         4.258
 9     September          4.091         4.317
10     Oktober            4.348         4.574
11     November           4.309         4.535
12     Desember           6.178         6.404
      Jumlah              56.453       59.165                  tad                       tad

Sumber Data : Dinas Perhubungan, Komunikasi dan Informatika Kota Singkawang




                                            Tabel 19.6
                             Pengelolaan Parkir Di Kota Singkawang
                  Berdasarkan Jumlah Titik Parkir dan Jumlah Juru Parkir
                                   Keadaan Tahun 2008 - 2011


                  No      Tahun       Jumlah Titik Parkir       Jumlah Juru Parkir

                  1        2008                 75                       180

                  2        2009                 75                       180

                  3        2010                 75                       185

                  4        2011                 75                       185

                  Sumber Data : Dinas Perhubungan, Komunikasi dan Informatika Kota Singkawang




                                                                 Database Kota Singkawang Tahun 2011|        255
Perhubungan, Pos dan Telekomunikasi




                                                                 Tabel 19.7
                                              Jumlah Pengujian Kendaraan Bermotor
                                      Di Unit Pengujian Kendaraan Bermotor Singkawang
                                      Berdasarkan Jenis Kendaraan Yang Diuji dan Bulan
                                                  Keadan Per 31 Desember 2011
                                                         Banyaknya Kendaraan Yang Diuji Pada Bulan
No      Jenis Kendaraan                                                                                                        Jumlah
                               Jan        Peb      Mar     Apr     Mei     Jun       Jul   Ags      Sep   Okt      Nov   Des
 I    Mobil Penumpang
      Oplet                      8         9        5       1       5       6         6    11       5         4    6     3       69
      Taxsi                      -         -        -        -      -       -         -     -        -        -     -     -       -
      ST. Wagon                  1         2        9       12      6      10         1    4        12        9    11    14      91
II    Mobil BIS
      Mini Bis                  11        15       16       10      3      10        4     9        16        11   4     12     121
      BIS                       25        26       18       21      27     30        29    28       21        14   27    28     294
III   Mobil Barang
      Pick Up                  138        136      137     121      140    129       128   126      126   100      170   142   1.593
      Pick Up Double Cabin      1          5        5       2        5      1         3     4        7      3       7     2      45
      Truck                    101         85      115     105       98     98       117    98      111    91      117   100   1.236
      Dump Truck                22         21       32      26       34     16        31    29       23    24       37    28    323
      Bst. Wagon/Box            33         38       34      33       26     36        25    33       37    19       39    38    391
      Tangki                    5          3        6        -       8       3        2     3        3      1       6     2      42
      Tronton                    -          -        -       -        -      -         -    1         -     -       1      -      2
      Head Traktor               -          -        -       -        -      -         -     -        -     -        -     -      -
      Lain - lain                -          -        -       -        -      -         -     -        -     -        -     -      -
        Jumlah 2011            345        340      377     331     352     339       346   346      361   276      425   369   4.207
        Jumlah 2010            325        239      356     355     349     319       374   324      325   337      314   398   4015
        Jumlah 2009            264        341      373     305     361     330       318   275      315   349      380   291   3.902
Sumber Data : Dinas Perhubungan, Komunikasi dan Informatika Kota Singkawang




                                                                Tabel 19.8
                                               Jumlah Izin Trayek Yang Dikeluarkan
                                                   Keadaan Tahun 2009 - 2011

                          No          Bulan          Tahun 2009           Tahun 2010             Tahun 2011

                          1    Januari                     12                   12                   25
                          2    Pebruari                    14                   14                   26
                          3    Maret                       14                   14                   20
                          4    April                       22                   22                   17
                          5    Mei                         16                   16                   15
                          6    Juni                        32                   32                   17
                          7    Juli                        23                   23                   24
                          8    Agustus                     17                   17                   20
                          9    September                   16                   16                   20
                          10   Oktober                     21                   21                   15
                          11   November                    21                   21                   19
                          12   Desember                    63                   63                   11
                               Jumlah                     271                 271                   229

                       Sumber Data : Dinas Perhubungan, Komunikasi dan Informatika Kota Singkawang




                                                                                      Database Kota Singkawang Tahun 2011|        256
Perhubungan, Pos dan Telekomunikasi




                                             Tabel 19.9
                               Realisasi Retribusi Bidang Perhubungan
                                    Berdasarkan Jenis Retribusi
                                    Keadaan Tahun 2009 - 2011

No             Jenis Retribusi                   Tahun 2009          Tahun 2010            Tahun 2011

1    Retribusi Parkir                              58.627.000         68.550.000              78.100.000
     Retribusi Pengujian Kendaraan
2                                                 227.926.000        228.387.500             251.353.500
     Bermotor
3    Retribusi Terminal                            48.700.000         42.250.000              36.900.000

4    Retribusi Izin Trayek                          7.450.000           6.885.000              6.585.000

Sumber Data : Dinas Perhubungan, Komunikasi dan Informatika Kota Singkawang




                                            Tabel 19.10
                         Jumlah Kapal Yang Bersandar Di Pelabuhan Kuala
                              dan Jumlah Barang Yang Dibongkar / Muat
                               Periode Januari s/d 31 Desember 2011

                                  Jumlah Kapal     Jumlah Barang Yang     Jumlah Barang Yang
        No.           Bulan        Yang Sandar       Dibawa Masuk/          Dibawa Keluar /
                                      (Unit)         Bongkar (Ton)            Muat (Ton)
         1     Januari                14                 385,900                392,900
         2     Pebruari               14                 666,800                329,200
         3     Maret                  18                 667,100                278,225
         4     April                  16                 522,200                335,175
         5     Mei                    21                 919,500                561,600
         6     Juni                   18                 506,800                394,700
         7     Juli                   15                 762,700                351,500
         8     Agustus                13                 170,300                  83,300
         9     September              10                 122,900                141,500
        10     Oktober                17                 678,000                469,075
        11     November               20                 527,400                375,990

        12     Desember               10                 282,700                233,334
             Jumlah 2011              186              6.212,300               3.946,499
             Jumlah 2010              188              6.372,000                   4.835
             Jumlah 2009              182              7.816,000                   5.586
             Jumlah 2008              170              7.556,000                   5.585

        Sumber Data : Dinas Perhubungan, Komunikasi dan Informatika Kota Singkawang




                                                                   Database Kota Singkawang Tahun 2011|     257
Perhubungan, Pos dan Telekomunikasi



                                                                     Tabel 19.11
                     Jumlah Penumpang Pesawat Udara Dari Kota Singkawang
                                     Melalui Bandara Supadio Berdasarkan Tujuan
                                                        Keadaan Tahun 2009 - 2011


                                     Tahun 2009                                     Tahun 2010                                  Tahun 2011
                                       Tujuan                                         Tujuan                                      Tujuan




                                         Luar Negeri




                                                                                       Luar Negeri




                                                                                                                                      Luar Negeri
                          Domestik




                                                                         Domestik




                                                                                                                     Domestik
No.      Bulan




                                                            Jumlah




                                                                                                        Jumlah




                                                                                                                                                     Jumlah
 1      Januari         3.117             28               3.145        2.519           28             2.547        2.605              39           2.644
 2      Pebruari        4.609             31               4.640        3.644           31             3.675        3.621              39           3.660
 3       Maret          3.509             35               3.544        3.749           44             3.793        3.824              27           3.851
 4       April          2.578             28               2.606        3.388           20             3.408        2.806              31           2.837
 5        Mei           2.523             32               2.555        3.121           29             3.150        2.571              25           2.596
 6        Juni          3.140             30               3.170        3.216           28             3.244        2.665              38           2.703
 7        Juli          3.326             21               3.347        3.154           15             3.169        3.046              26           3.072
 8      Agustus         3.123               9              3.132        3.438           32             3.470        3.365              35           3.400
 9     September        3.049               5              3.054        3.128           14             3.142        3.473              30           3.503
10      Oktober         3.216             17               3.233        4.533           29             4.562        3.942              28           3.970
11     November         2.817               7              2.824        3.530           23             3.553        3.128              27           3.155
12     Desember         2.943             24               2.967           0              0               0         3.743              32           3.775
      Jumlah           37.950            267              38.217       37.420         293             37.713       38.789             377           39.166

 Sumber Data : Dinas Perhubungan, Komunikasi dan Informatika Kota Singkawang



                                                                     Tabel 19.12
                                     Kiriman Surat Melalui Kantor Pos Singkawang
                                        Periode Januari s/d 31 Desember 2011

                                                        Surat Dalam Negeri                                  Surat Luar Negeri
         No          Bulan                         Dikirim              Diterima                      Dikirim           Diterima
                                                  (Lembar)              (Lembar)                     (Lembar)           (Lembar)
         1          Januari                            32.113              49.358                      142                      53
         2          Februari                           25.465              34.305                      37                       45
         3           Maret                             20.386              38.502                      83                       52
         4           April                             27.465              30.165                      31                       27
         5            Mei                              26.093              20.915                      78                       59
         6            Juni                             24.937              33.137                      87                       64
         7            Juli                             21.586              34.291                      112                      70
         8          Agustus                            30.501              29.989                      156                      41
         9         September                           38.917              58.081                      183                      68
         10         Oktober                            30.305              21.753                      97                       38
         11        November                            28.381              21.036                      91                       32
         12        Desember                            25.964              40.111                      188                      75
                 Jumlah                                332.113           411.643                      1.285                     624

          Sumber Data : PT (Persero) Pos Indonesia Cabang Singkawang




                                                                                                     Database Kota Singkawang Tahun 2011|                     258
Perhubungan, Pos dan Telekomunikasi



                                                                 Tabel 19.13
                                        Kiriman Barang Melalui Kantor Pos Singkawang
                                              Periode Januari s/d 31 Desember 2011

                                                        Surat Dalam Negeri                 Surat Luar Negeri
                         No           Bulan
                                                       Dikirim         Diterima          Dikirim        Diterima
                                                        (Kg)             (Kg)             (Kg)            (Kg)
                          1     Januari               2.200.000        4.531.000         142.000            254.000
                          2     Februari              1.800.000        2.321.000         139.000            186.800
                          3     Maret                 3.010.000        4.199.200         151.000            195.850
                          4     April                 1.580.000        3.850.000         143.500            235.900
                          5     Mei                   2.458.000        3.761.000         138.900            156.700
                          6     Juni                  3.000.400        4.000.050         128.400            345.500
                          7     Juli                  1.140.000        4.230.000         139.800            201.250
                          8     Agustus               3.450.000        4.976.000         290.800            166.440
                          9     September             3.010.000        4.932.250         275.000            121.000
                         10     Oktober               1.380.000        3.500.400         102.500            145.000
                         11     November              1.171.000        4.239.500         90.000             94.000
                         12     Desember              1.000.600        5.850.000         101.500            140.000
                               Jumlah                 25.200.000       50.390.400    1.842.400          2.242.440

                         Sumber Data : PT (Persero) Pos Indonesia Cabang Singkawang




                                                                 Tabel 19.14
                              Jumlah Perusahaan Angkutan Barang Melalui Udara (Cargo)
                                                               dan Jasa Titipan
                                                      Keadaan Tahun 2009 - 2011

              No                        Uraian                          Tahun 2009         Tahun 2010           Tahun 2011

               1      Jumlah Perusahaan                                             20                 18                      23
               2      Jumlah Barang Yang Dibawa (kg)                          109.066              108.058              140.512

               Sumber Data : Dinas Perhubungan, Komunikasi dan Informatika Kota Singkawang




                                                                   Tabel 19.15
               Data Jumlah Barang Yang Diangkut Melalui Angkutan Udara (Cargo) Dari Singkawang
                                     Melalui Bandara Supadio Pontianak
                                        Keadaaan Tahun 2009 – 2011

                                                                                    B u l a n (Kg)                                               Jumlah
         Kota
No                        Kota Tujuan
      keberangkatan                             Jan      Feb     Mar    Apr   Mei   Juni     Juli    Agst     Sep     Okt     Nov      Des        (Kg)

1        Pontianak     All for cargo to CGK

              Jumlah 2011                                                                     tda

              Jumlah 2010                      10.248 10.248 10.486 9.948 9.110 9.338 10.340 9.690 9.400              9.250   10.000         -    108.058

              Jumlah 2009                      14.810 10.853 8.480 8.650 9.965 9.041         8.817 7.283 8.878        8.507    5.866 7.916        109.066

     Sumber Data : Dinas Perhubungan, Komunikasi dan Informatika Kota Singkawang




                                                                                         Database Kota Singkawang Tahun 2011|                        259
Perhubungan, Pos dan Telekomunikasi



                                                Tabel 19.16
       Jumlah Operator Telekomunikasi/Telekomunikasi Seluler, Menara Telekomunikasi
                 dan Pedagang Alat/Perangkat Telekomunikasi Di Kota Singkawang
                                        Keadaan Tahun 2009 - 2011

No                             Uraian                              Tahun 2009       Tahun 2010     Tahun 2011

1    Jumlah Operator Telekomunikasi/ Telekomunikasi Seluler              4               4             4

2    Jumlah Menara Telekomunikasi                                       32              37             38

3    Pedagang Alat/Perangkat Telekomunikasi                            201              167           215

Sumber Data : Dinas Perhubungan, Komunikasi dan Informatika Kota Singkawang




                                                    Tabel 19.17
                                     Usaha Warung Internet, Radio Swasta
                                               Di Kota Singkawang
                                          Keadaan Tahun 2009 - 2011

               No          Jenis Usaha            Tahun 2009         Tahun 2010         Tahun 2011

                1    Warung Internet                   27                    93               93

                2    Radio Swasta                      7                     6                6

                Sumber Data : Dinas Perhubungan, Komunikasi dan Informatika Kota Singkawang




                                                                   Database Kota Singkawang Tahun 2011|         260
Pariwisata dan Kebudayaan




20. Pariwisata dan Kebudayaan

        Sebagai kota tujuan wisata di Kalimantan Barat Kota Singkawang memiliki
  berbagai sarana penunjang untuk memberikan kemudahan kepada para wisatawan
  yang datang maupun sebagai obyek daya tarik wisata.

        Secara umum sarana penunjang yang ada di Kota Singkawang dapat
  dikategorikan 3 jenis usaha yaitu usaha sarana pariwisata, usaha jasa pariwisata, dan
  usaha rekreasi dan hiburan umum.

        Untuk usaha sarana pariwisata yang meliputi hotel pada tahun 2011 terdapat 23
  hotel dengan 695 kamar dan rumah kost sebanyak 47 unit usaha. Sedangkan
  restoran/rumah makan terdapat 112 unit usaha serta 298 usaha warung minum/warung
  kopi.

       Pada tahun 2011 jumlah kunjungan tamu hotel sebanyak 87.437 orang,
  kunjungan tamu naik 15.007 orang jika dibanding tahun 2010 yang sebanyak 72.430

        Usaha jasa pariwisata sesuai dengan kegiatan usahanya seharusnya mampu
  menjadi penggerak dalam memperkenalkan atau mempromosikan pariwisata yang ada
  di Singkawang. Sampai tahun 2011 usaha jasa pariwisata yang ada di Singkawang
  berjumlah 32 unit usaha dimana sebagian besar yaitu 31 unit usaha bergerak pada biro
  perjalanan wisata, dan 1 Pramuwisata. Sedangkan usaha jasa pariwisata lainnya
  sampai saat ini masih belum ada di Kota Singkawang.

        Sedangkan usaha rekreasi dan hiburan umum yang terdapat 10 jenis usaha
  dengan 128 unit usaha. Salah satu usaha rekreasi dan hiburan umum yang menjadi
  kebanggaan masyarakat Kota Singkawang adalah taman rekreasi yang menawarkan
  panorama pantai, pegunungan maupun taman bunga, Pada tahun 2011 terdapat 7
  usaha taman rekreasi dengan jumlah pengunjung sebanyak 543.433 orang. Jumlah ini
  mengalami kenaikan 59.025 orang jika dibanding tahun 2010 yang jumlahnya 484.408
  orang.

        Sebagai kota tujuan wisata maka berbagai produk maupun potensi daya tarik
  wisata diharapkan dapat mendorong kedatangan wisatawan ke Kota Singkawang.
  Dengan kehadiran wisatawan diharapkan dapat memberikan dampak yang signifikan
  pada peningkatan kesejahteraan masyarakat juga pada peningkatan Pendapatan Asli
  Daerah melalui pajak yang dapat dipungut.

       Untuk jumlah sanggar kesenian pada tahun 2011 tidak mengalami perubahan
  masih sama dengan jumlah sanggar kesenian pada tahun 2010 yaitu sebanyak 26
  sanggar, Jumlah pekerja seni sebanyak 35 orang dan kelompok kesenian tradisional 6
  kelompok kesenian tradisional.




                                                 Database Kota Singkawang Tahun 2011   | 261
Pariwisata dan Kebudayaan




                                       Tabel 20.1
              Jumlah Usaha Sarana Pariwisata Di Kota Singkawang
                                 Berdasarkan Jenis Usaha
                             Keadaan Tahun 2009 - 2011

No                 Jenis Usaha          Tahun 2009     Tahun 2010     Tahun 2011

1         Hotel                             21              22            23

          1. Jumlah Kamar                   595            695           695

          2. Jumlah Tempat Tidur            907            990           990

2         Rumah Kost                        37              41            47

3         Restoran/Rumah Makan              83             106           112

4         Warung Kopi                       149            298           t.a.d

 Sumber Data : Dinas Kebudayaan, Pariwisata, Pemuda dan Olahraga Kota Singkawang




                                       Tabel 20.2
              Jumlah Kunjungan Tamu Hotel Di Kota Singkawang
                             Keadaan Tahun 2009 - 2011

     No             Bulan          Tahun 2009       Tahun 2010      Tahun 2011

     1      Januari                       5.053            6.057         9.040

     2      Pebruari                      7.187            7.243         8.619

     3      Maret                         4.727            5.946         7.255

     4      April                         4.379            5.646         7.690

     5      Mei                           4.672            5.096         7.368

     6      Juni                          4.965            5.765         8.391

     7      Juli                          5.199            5.972         8.601

     8      Agustus                       4.827            4.886         6.782

     9      September                     4.644            5.664         7.781

     10     Oktober                       4.683            5.252         7.337

     11     November                      3.008            6.702         7.561

     12     Desember                      1.062            8.201         8.371

             Jumlah                     54.406           72.430         87.437

Sumber Data : Dinas Kebudayaan, Pariwisata, Pemuda dan Olahraga Kota Singkawang




                                                        Database Kota Singkawang Tahun 2011        | 262
Pariwisata dan Kebudayaan




                                          Tabel 20.3
                    Jumlah Usaha Jasa Pariwisata Di Kota Singkawang
                                    Berdasarkan Jenis Usaha
                                  Keadaan Tahun 2009 - 2011

No                    Jenis Usaha             Tahun 2009      Tahun 2010    Tahun 2011

 1       Biro Perjalanan Wisata                     6               31             31

 2       Agen Biro Perjalanan Wisata                1               1               -

 3       Cabang Biro Perjalanan Wisata              -               -               -

 4       Ticketing                                  17                              -

 5       Lainnya                                    6                               -

 6       Pramuwisata                                -               -         1 (HPI)

 7       Pengatur Wisata                            -               -               -

Sumber Data : Dinas Kebudayaan, Pariwisata, Pemuda dan Olahraga Kota Singkawang




                                          Tabel 20.4
          Jumlah Usaha Rekreasi dan Hiburan Umum Di Kota Singkawang
                                    Berdasarkan Jenis Usaha
                                  Keadaan Tahun 2009 - 2011

 No                 Jenis Usaha            Tahun 2009      Tahun 2010      Tahun 2011

     1    Taman Rekreasi                       6                6              7

     2    Billiar                              20              20

     3    Café                                 11              12              40

     4    Diskotik                             2                2              2

     5    Karaoke                              21              21              30

     6    Studio Foto                          7                7              7

     7    Permainan Ketangkasan                3                3              3

     8    Salon                                30              30              30

     9    Gedung Pertemuan                     -                -              4

 10       Pusat Kebugaran                      -                -              5

 Sumber Data : Dinas Kebudayaan, Pariwisata, Pemuda dan Olahraga Kota Singkawang




                                                           Database Kota Singkawang Tahun 2011            | 263
Pariwisata dan Kebudayaan




                                          Tabel 20.5
                   Jumlah Kunjungan Wisatawan Ke Taman Rekreasi
                                      Di Kota Singkawang
                                   Keadaan Tahun 2009 - 2011

        No                Bulan        Tahun 2009      Tahun 2010        Tahun 2011

         1        Januari                58.196          59.746             98.333
         2        Pebruari               25.603          105.735            64.538
         3        Maret                  13.835          29.419             15.621
         4        April                  13.216          27.527             57.532
         5        Mei                    27.782          25.032             54.868
         6        Juni                   25.955          27.646             63.882
         7        Juli                   29.281          29.274             28.562
         8        Agustus                15.638          15.519             20.327
         9        September              65.127          74.457             57.699
        10        Oktober                13.496          15.523             19.804
        11        November               22.218          24.100             26.395
        12        Desember               18.194          50.430             35.873
                   Jumlah                328.541         484.408           543.433

         Sumber Data : Dinas Kebudayaan, Pariwisata, Pemuda dan Olahraga Kota Singkawang




                                          Tabel 20.6
                            Jumlah Wisatawan Ke Kota Singkawang
                                   Keadaan Tahun 2009 - 2011

                                                    Jumlah Wisatan
             No           Tahun
                                      Nusantara       Mancanegara          Jumlah

             1            2009         385.398            436              385.834
             2            2010         484.408                             484.408
             3            2011         636.813           1.317             638.130

         Sumber Data : Dinas Kebudayaan, Pariwisata, Pemuda dan Olahraga Kota Singkawang




                                          Tabel 20.7
                          Jumlah Sanggar Kesenian dan Pekerja Seni
                                      Di Kota Singkawang
                                   Keadaan Tahun 2009 - 2011

No                        Uraian                 Tahun 2009        Tahun 2010   Tahun 2011

1      Sanggar Kesenian                                  26                26           26
       Jumlah Anggota                                   984               984          984
2      Pekerja Seni                                      36                35           35
3      Kelompok Kesenian Tradisional                          -             6            6

     Sumber Data : Dinas Kebudayaan, Pariwisata, Pemuda dan Olahraga Kota Singkawang




                                                                  Database Kota Singkawang Tahun 2011   | 264
Kesejahteraan Sosial, Tenaga Kerja dan Transmigrasi




21. Kesejahteraan Sosial, Tenaga Kerja dan Transmigrasi

          Salah satu indikator dalam menilai keberhasilan atau kegagalan pembangunan
   adalah peningkatan PDRB dan berkurangnya jumlah kemiskinan. Namun untuk
   menentukan jumlah keluarga miskin merupakan suatu yang tidak mudah walaupun
   sudah ada beberapa kriteria untuk menentukannya. Akibatnya identifikasi keluarga
   yang tergolong miskin seringkali tidak tepat sasaran. Apalagi jika penentuan keluarga
   miskin terkait dengan bantuan yang akan diberikan maka kecenderungannya jumlah
   keluarga miskin akan bertambah.

          Hal ini juga yang terjadi di Singkawang dimana pada tahun 2011 jumlah keluarga
   miskin mencapai 14.062 KK dari 39.537 KK atau prelevansinya 35,57%. Keluarga miskin
   tersebut dikelompokan hampir miskin 11.054 KK, miskin 1.836 KK dan fakir miskin
   1.172 KK.

          Selain keluarga miskin untuk mengetahui tingkat pendapatan masyarakat
   dikenal dengan istilah keluarga pra sejahtera dan keluarga sejahtera yang digolongkan
   dalam beberapa kelompok. Dalam tahun 2011 di Kota Singkawang jumlah Keluarga
   Sejahtera I dengan alasan ekonomi 13.061 KK, Keluarga Sejahtera II 21.247 KK,
   Keluarga Sejahtera III 14.370 KK dan Kelaurga Sejahtera III 5.320 KK.

          Dari data Pengadilan Agama Bengkayang di Singkawang pada tahun 2011 untuk
   Kota Singkawang terdapat 231 pengajuan cerai dengan rincian 78 pengajuan cerai talak
   dan 217 pengajuan cerai gugat. Faktor penyebab pengajuan gugatan perceraian adalah
   ketidakharmonisan 178 gugatan, dan 68 gugatan faktor-faktor lainnya. Jumlah
   keputusan yang dikeluarkan khusus untuk yang diajukan masyarakat Singkawang
   sebanyak 331 keputusan. Yang paling banyak adalah cerai gugat sebanyak 177
   keputusan diikuti cerai talak 78 keputusan.

          Jumlah angkatan kerja Kota Singkawang pada Tahun 2011 sebanyak 117.971
   orang, jumlah penganggur 61.440 orang, jumlah yang bekerja 56.531 orang.

          Walaupun Singkawang berbentuk Pemerintah Kota namun juga menerima
   transmigrasi dari luar Kalimantan Barat. Sampai dengan Tahun 2010 telah
   ditempatkan transmigrasi sebanyak 442 KK atau 1.830 jiwa baik yang berasal dari
   luar Kalimantan Barat maupun transmigrasi penduduk lokal.




                                                  Database Kota Singkawang Tahun 2011       |   265
Kesejahteraan Sosial, Tenaga Kerja dan Transmigrasi




                                                            Tabel 21.1
                            Sebaran Keluarga Miskin Tingkat Kelurahan se-Kota Singkawang
                                                  Keadaan Tahun 2009 - 2011

                                      Tahun 2009                         Tahun 2010                     Tahun 2011
         Kecamatan /
No.                                                Jumlah                             Jumlah                        Jumlah
          Kelurahan          Hampir
                                    Miskin
                                           Fakir
                                                  Keluarga
                                                              Hampir
                                                                       Miskin
                                                                              Fakir
                                                                                     Keluarga
                                                                                              Hampir
                                                                                                     Miskin
                                                                                                            Fakir
                                                                                                                   Keluarga
                             Miskin        Miskin             Miskin          Miskin          Miskin        Miskin
                                                   Miskin                             Miskin                        Miskin

1     Singkawang Barat       1,264   165    151      1,580     1,264     164   151    1,579    1,264   164    151        1,579

      Kuala                   241     49     70       360       241      49     69      359     241     49     69         359

      Melayu                  183     16     12       211       183      16     12      211     183     16     12         211
      Tengah                  122     17      0       139       122      17      0      139     122     17      0         139
      Pasiran                 718     83     69       870       718      82     70      870     718     82     70         870

2     Singkawang Tengah 3,060        427    343      3,830     3,060     427   343    3,830    3,060   427    343        3,830

      Condong                 495     51     11       557       495      51     11      557     495     51     11         557

      Sekip Lama              396     80     31       507       396      80     31      507     396     80     31         507

      Bukit Batu              243     34     63       340       243      34     63      340     243     34     63         340

      Sei Wie                 191     38     33       262       191      38     33      262     191     38     33         262

      Jawa                    117     10      7       134       117      10      7      134     117     10      7         134

      Roban                  1,618    214   198      2,030     1,618     214   198     2,030   1,618    214    198       2,030

3     Singkawang Utara       1,673   393    240      2,306     1,673     393   240    2,306    1,673   393    240        2,306

      Sei Garam               174     26     10       210       174      26     10      210     174     26     10         210

      Naram                   155     22      9       186       155      22      9      186     155     22      9         186

      Sei Bulan               185     25     17       227       185      25     17      227     185     25     17         227

      Sei Rasau               123     30      7       160       123      30      7      160     123     30      7         160

      Setapuk Kecil           125     30     84       239       125      30     84      239     125     30     84         239

      Setapuk Besar           633     212    61       906       633      212    61      906     633     212    61         906

      Semelagi Kecil          278     48     52       378       278      48     52      378     278     48     52         378

4     SingkawangTimur         931    504    175      1,610     2,069     432   175    2,676    2,069   432    175        2,676

      Pajintan                556     280    86       922       556      208    86      850     556     208    86         850

      Sanggau Kulor           230     33      8       271       230      33      8      271     230     33      8         271

      Mayasopa                 45     45     14       104       583      45     14      642     583     45     14         642

      Bagak Sahwa              60     60     27       147       281      60     27      368     281     60     27         368

      Nyarumkop                40     86     40       166       419      86     40      545     419     86     40         545

5     Singkawang Selatan 2,988       420    263      3,671     2,988     420   263    3,671    2,988   420    263        3,671

      Sedau                  1,482    252   207      1,941     1,482     252   207     1,941   1,482    252    207       1,941

      Sijangkung              501     66     16       583       501      66     16      583     501     66     16         583

      Pangmilang              631     32     11       674       631      32     11      674     631     32     11         674

      Sagatani                374     70     29       473       374      70     29      473     374     70     29         473

                   Jumlah    9,916 1,909 1,172 12,997         11,054 1,836 1,172 14,062 11,054 1,836 1,172 14,062

Sumber Data : Dinas Sosial, Tenaga Kerja dan Transmigrasi Kota Singkawang




                                                                       Database Kota Singkawang Tahun 2011           |   266
Kesejahteraan Sosial, Tenaga Kerja dan Transmigrasi




                                              Tabel 21.2
                          Sebaran Keluarga Miskin Di Kota Singkawang
                                    Keadaan Tahun 2009 - 2011

                                      Tahu 2009                  Tahun 2010               Tahun 2011
          Kecamatan /
No.                                                                                    Jumlah
           Kelurahan           Jumlah KK        Jumlah        Jumlah        Jumlah                Jumlah
                                                                                         KK
                                 Miskin           KK         KK Miskin        KK                    KK
                                                                                       Miskin

 1    Singkawang Barat               1,579        10,969

      Kuala                             359         1,618

      Melayu                            211         2,604

      Tengah                            139           453

      Pasiran                           870         6,294

 2    Singkawang Tengah              3,830        12,221

      Condong                           557         2,440

      Sekip Lama                        507         1,490

      Bukit Batu                        340           726

      Sei Wie                           262           865

      Jawa                              134           821

      Roban                           2,030         5,879

 3    Singkawang Utara               2,306         4,765

      Sei Garam                         210           709
      Naram                             186           459

      Sei Bulan                         227           400
                                                                tad           tad        tad        tad
      Sei Rasau                         160           411

      Setapuk Kecil                     239           558

      Setapuk Besar                     906         1,401

      Semelagi Kecil                    378           827

 4    Singkawang Timur               2,676         3,745

      Pajintan                          850         1,253

      Sanggau Kulor                     271           506

      Mayasopa                          642           716

      Bagak Sahwa                       368           481

      Nyarumkop                         545           789

 5    Singkawang Selatan             3,671         7,837

      Sedau                           1,941         4,629

      Sijangkung                        583         1,533

      Pangmilang                        674           805

      Sagatani                          473           607

              Jumlah                14,062        39,537

Sumber Data : Dinas Sosial, Tenaga Kerja dan Transmigrasi Kota Singkawang




                                                                  Database Kota Singkawang Tahun 2011          |   267
Kesejahteraan Sosial, Tenaga Kerja dan Transmigrasi




                                                          Tabel 21.3
                           Sebaran Keluarga Miskin Serta Prevalensinya Di Kota Singkawang
                                                  Keadaan Tahun 2009 - 2011


                                         Tahun 2009                        Tahun 2010                    Tahun 2011
         Kecamatan /
No.
          Kelurahan           Jumlah      Jumlah    Prevalensi Jumlah       Jumlah   Prevalensi Jumlah    Jumlah    Prevalensi
                             KK Miskin      KK          %      KK Miskin      KK         %      KK Miskin   KK          %
 1    Singkawang Barat         1,579       10,969     14.40%

      Kuala                     359        1,618      22.19%

      Melayu                    211        2,604      8.10%

      Tengah                    139         453       30.68%

      Pasiran                   870        6,294      13.82%

 2    Singkawang Tengah        3,830       12,221     31.34%

      Condong                   557        2,440      22.83%

      Sekip Lama                507        1,490      34.03%

      Bukit Batu                340         726       46.83%

      Sei Wie                   262         865       30.29%

      Jawa                      134         821       16.32%
      Roban                    2,030       5,879      34.53%

 3    Singkawang Utara         2,306       4,765      48.39%

      Sei Garam                 210         709        30%

      Naram                     186         459        41%

      Sei Bulan                 227         400        57%                    tad                             tad

      Sei Rasau                 160         411        39%

      Setapuk Kecil             239         558        43%

      Setapuk Besar             906        1,401       65%

      Semelagi Kecil            378         827        46%

 4    Singkawang Timur         2,676       3,745      71.46%

      Pajintan                  850        1,253       68%

      Sanggau Kulor             271         506        54%

      Mayasopa                  642         716        90%

      Bagak Sahwa               368         481        77%

      Nyarumkop                 545         789        69%

 5    Singkawang Selatan       3,671       7,837      46.84%

      Sedau                    1,941       4,629       42%

      Sijangkung                583        1,533       38%

      Pangmilang                674         805        84%

      Sagatani                  473         607        78%
      Jumlah                  14,062      39,537      35.57%

Sumber Data : Badan Pemberdayaan Masyarakat, Perempuan dan Keluarga Berencana Kota Singkawang




                                                                       Database Kota Singkawang Tahun 2011          |   268
Kesejahteraan Sosial, Tenaga Kerja dan Transmigrasi




                                           Tabel 21.4
                           Keluarga Sejahtera Di Kota Singkawang
                      Berdasarkan Kecamatan dan Tingkat Kesejahteraan
                                Keadaan Tahun 2010 - 2011


                                Keluarga Sejahtera I
                                                                                          Keluarga
                                                           Keluarga       Keluarga
                                               Bukan                                      Sejahtera
No          Kecamatan           Alasan                     Sejahtera      Sejahtera
                                               Alasan                                      III Plus
                               Ekonomi                       II (KK)       III (KK)
                                              Ekonomi                                        (KK)
                                 (KK)
                                                (KK)
1    Singkawang Barat            2073              0            6423        5471            2245

2    Singkawang Tengah           2475              0            3862        4161            1989

3    Singkawang Utara            2491              0            3237        2516            718

4    Singkawang Timur            3047              0            4074         426            191

5    Singkawang Selatan          2975              0            3642        1796            177

      Jumlah 2011               13061              0        21238           14370           5320

      Jumlah 2010               4,783          5,520        17,609         16,898          4,451

Sumber Data : Badan Pemberdayaan Masyarakat, Perempuan dan Keluarga Berencana Kota Singkawang




                                           Tabel 21.5
           Gugatan Perceraian di Pengadilan Agama Bengkayang di Singkawang
                                      Berdasarkan Daerah
                                Keadaan Tahun 2009 - 2011

                                        Jenis Gugatan Percerain Yang Diajukan
      NO        BULAN                 Singkawang                        Bengkayang
                             Cerai Talak     Cerai Gugat    Cerai Talak       Cerai Gugat
       1      Januari            7                  7              -                  -

       2      Pebruari           11                 9              -                  -

       3      Maret              7                 16              1                  1

       4      April              5                 25              4                  2

       5      Mei                5                 14              -                  5

       6      Juni               8                 24              2                  1

       7      Juli               10                18              1                  5

       8      Agustus            8                 21              -                  -

       9      September          1                 25              4                  4

       10     Oktober            6                 14              1                  6

       11     Nopember           3                 22              2                  2

       12     Desember           7                 22              -                  -

           Jumlah 2011           78                217             15                26

           Jumlah 2010           45                132             11                43

           Jumlah 2009           39                146             13                45

      Sumber Data : Pengadilan Agama Bengkayang di Singkawang




                                                            Database Kota Singkawang Tahun 2011          |   269
Kesejahteraan Sosial, Tenaga Kerja dan Transmigrasi




                                                                                                  Tabel 21.6
      Faktor-Faktor Penyebab Gugatan Perceraian di Pengadilan Agama Bengkayang di Singkawang
                                                                        Keadaan Tahun 2009 - 2011


                                              Faktor-Faktor Penyebab Gugatan Perceraian

                                                                                Meninggalkan                                                                                               Terus-menerus
                                            Moral
                                                                                 Kewajiban                                                                                                   berselisih




                                                                                                                      Kawin dibawah umur




                                                                                                                                                                                                                                  Jumlah
                                                                                                                                                                    Cacat Biologis
                                                                                                                                           Penganiayaan

                                                                                                                                                          Dihukum
No




                                                                                                    Tanggung Jawab
                           Poligami Tidak




                                                                                                                                                                                                              Keharmonisan
                                              Krisis Akhlak




                                                                                                                                                                                               Pihak Ketiga
                                                                          Kawin Paksa
              Bulan




                                                                                                                                                                                                                Tidak Ada
                                                                                                                                                                                                Gangguan
                                                                                                       Tidak ada
                                                              Cemburu



                                                                                        Ekonomi




                                                                                                                                                                                     Politis
                                Sehat


1    Januari                    -               -              -            -           1               2                -                   -             -          -               -            3            13                19

2    Pebruari                   -               -              -            -           1                -               -                   -             -          -               -            -            12                13

3    Maret                      -               -              -            -            -              1                -                   -             -          -               -            -              6               7

4    April                      -               -              -            -            -              1                -                   -             -          -               -            2            12                15

5    Mei                        -               -              -            -           2               1                -                   -             -          -               -            2            17                22

6    Juni                       -               -              -            -            -              2                -                   -             -          -               -            -            19                21

7    Juli                       -               -              -            -            -              3                -                   -             -          -               -            3            26                32

8    Agustus                    -               -              -            -            -              5                -                   -             -          -               -            4            15                26

9    September                  -              2               -            -           1               3                -                   -             -          -               -            1              5               10

10   Oktober                    -               -              -            -           1               7                -                   -             -          -               -            4            12                24

11   Nopember                   -               -              -            -            -              6                -                   -             -          -               -            2            16                24

12   Desember                   -               -              -            -            -              5                -                   -             -          -               -            3            25                33

             Jumlah 2011        -              2               -            -           6             49                 -                   -             -          -               -          24           178                246

             Jumlah 2010        -              8               -            -           4             49                 -                   -             -          -               -          43           126                230

             Jumlah 2009        -              5               -            -           3             65                 -                   -             -         1                -          19             98               191

Sumber Data : Pengadilan Agama Bengkayang di Singkawang




                                                                                                                     Database Kota Singkawang Tahun 2011                                                                     |   270
Kesejahteraan Sosial, Tenaga Kerja dan Transmigrasi




                                                                                                       Tabel 21.7
                                    Putusan Pengadilan Agama Bengkayang di Singkawang
                                                  Berdasarkan Bulan, Jenis Keputusan dan Daerah
                                                                            Keadaan Tahun 2009 - 2011

                                                                                                                    Jenis Gugatan Yang Dikabulkan

                                                                        Singkawang                                                                                                                         Bengkayang




                                                                                                                Penunjukan Orang




                                                                                                                                                                                                                                                  Penunjukan Orang
                                                                                                                 lain sebagai Wali




                                                                                                                                                                                                                                                   lain sebagai Wali
                                                     Harta Bersama




                                                                                                                                                                                       Harta Bersama
                                                                                  Izin Poligami




                                                                                                                                                                                                                    Izin Poligami
                                    Cerai Gugat




                                                                                                                                                                         Cerai Gugat
                     Cerai Talak




                                                                                                                                                           Cerai Talak
                                                                                                  Isbat Nikah




                                                                                                                                                                                                                                    Isbat Nikah
No           Bulan




                                                                                                                                     Wali Adhal




                                                                                                                                                                                                                                                                       Wali Adhal
                                                                     Penetapan




                                                                                                                                                                                                       Penetapan
                                                                     Ahli Waris




                                                                                                                                                                                                       Ahli Waris
                                                                                                                                                  Jumlah




                                                                                                                                                                                                                                                                                     Jumlah
1      Januari        7              7                 -                2            -             1                  -                -          17         -             -              -               -            -              -                 -                -             0

2      Pebruari      11              9                 -                -            -              -                 -               1           21         -             -              -               -            -              -                 -                -             0

3      Maret          7             16                 -                -            -             1                  1                -          25        1             1               -               -            -              -                 -                -             2

4      April          5             25                 -                1            -             1                  1                -          33        4             2               -               -            -              -                 -                -             6

5      Mei            5             14                 2                -            -             1                  -               1           23         -            5               -               -            -              -                 -                -             5

6      Juni           8             24                 -                1            -             1                  -                -          34        2             1               -               -            -              -                 -                -             3

7      Juli          10             18                 -                2            -              -                 -                -          30        1             5               -               -            -              -                 -                -             6

8      Agustus        8             21                 -                3            -             2                  1                -          35         -             -              -               -            -              -                 -                -             0

9      September      1             25                1                 -            -              -                 2                -          29        4             4               -               -            -              -                 -                -             8

10     Oktober        6             14                 -                1            -             1                  1                -          23        1             6               -               -            -              -                 -                -             7

11     Nopember       3             22                 -                3            -              -                 -                -          28        2             2               -               -            -              -                 -                -             4

12     Desember       7             22                 -                2            -             1                  1                -          33         -             -              -               -            -              -                 -                -             0

     Jumlah 2011     78            217                3               15           0               9                 7                2           331      15            26             0                 0          0               0                 0                0            41

     Jumlah 2010     45            132                1                 2            -             4                 8                 -          192      11            43               -               -            -             1                  -                -           55

     Jumlah 2009     39            146                 -                9          2               3                 2                2           203      13            45               -               -            -              -                 -                -           58

Sumber Data : Pengadilan Agama Bengkayang di Singkawang




                                                                                                                                                   Database Kota Singkawang Tahun 2011                                                                                 |            271
Kesejahteraan Sosial, Tenaga Kerja dan Transmigrasi




                                                                                          Tabel 21.8
                                                              Angkatan Kerja Di Kota Singkawang
                Berdasarkan Kecamatan, Jenis Pekerjaan, Jumlah yang Bekerja dan Jumlah Angkatan Kerja
                                                                       Keadaan tahun 2010 - 2011

                                                                                                            Pekerja (Di Sektor)




                                  Penganggur




                                                                                                                                                 Jasa Perusahaan
                                                                                                                                dan Komunikasi


                                                                                                                                                  Persewaan dan
                                                                dan Air Bersih




                                                                                                                                 Pengangkutan
                                                                                                                                                                                                     Jumlah Jumlah




                                                                                                                dan Restoran
                                                                                                                Perdagangan
                                                                 Pengolahan
                                                                 Listrik, Gas




                                                                                                                                                    Keuangan,
                                                  Pertanian




                                                                                           Bangunan




                                                                                                                                                                       Jasa-Jasa
No           Kecamatan                                                                                                                                                                                yang Angkatan




                                                                   Industri




                                                                                                                   Hotel
                                                                                                                                                                                    PNS        TKI   Bekerja Kerja




 1       Singkawang Barat       16.072          500              17          5            106                     177               523              53                129         1.000       33     2.453          18.615

 2       Singkawang Timur        6.721         2.782               7         3             13                     458               27              554               1.325         721        32     5.922          12.643

 3       Singkawang Tengah      17.804         1.311            131          85           1.433                   187           1.115             11.010              3.700         523        226    19.721         37.525

 4       Singkawang Utara        6.989         4.328            258          6            236                     562               65              203               2.804         672        207    9.341          16.330

 5       Singkawang Selatan     13.854         10.800           167          5            145                     581               70            1.256               5.336         550        94     19.004         32.858

          Jumlah 2011           61.440         19.721            580         104          1.933                   1.965             1.800         13.076              13.294        3.466      592    56.531         117.971

          Jumlah 2010           56,057         14,757            537         39            841                    4,040             382            3,592              41,329        7,488      460    73,005         129,062

Sumber Data : Dinas Sosial, Tenaga Kerja dan Transmigrasi Kota Singkawang




                                                           Tabel 21.9
                            Jumlah Penduduk Usia Kerja (15 Tahun Keatas) Menurut Angkatan Kerja dan
                                                              Bukan Angkatan Kerja Kota Singkawang
                                                                           Keadaan Tahun 2010 - 2011

                                                    Angkatan Kerja                                          Bukan Angkatan Kerja                                                                          TKI        Jmlh
                                                                                                                                                                             Jml
                                  Penduduk




                                                                                                                                                                           Penddk
                                   Jumlah




                                                                                                                       Rmh Tangga


                                                                                                                                       Pendapatan
                                                 Penganggur




                                                                                                                                                                            Usia            Jmlh
                                                                                                                                        Penerima
                                                                                                                        Mengurus
                                                                                                      Sekolah




     No        Kecamatan
                                                                                 Jumlah




                                                                                                                                                             Jumlah
                                                                 Bekerja




                                                                                                                                                                            Kerja           Anak
                                                                                                                                          lain




                                                                                                                                                                             >15                      L         P     L+P
                                                                                                                                                                             Thn


     1     Singkawang Barat                    16.072          2.453         11.463          11.453                  10.887                 576         11.463                 30.078       2.555    12         21    33

     2     Singkawang Timur                    6.721           5.922         4.340            4.340                   3.852                 190          4.042                 16.685       18.642   10         22    32

     3     Singkawang Tengah                   17.804          19.721        10.321          10.321                   8.670                 901          9.571                 47.096       55.886   91     135       226

     4     Singkawang Utara                    6.989           9.341         4.321            4.321                   2.880                 190          3.070                 19.400       21.996   88     119       207

     5     Singkawang Selatan                  13.854          19.004        6.670            6.670                   5.992                 188          6.180                 39.038       42.379   23         71    94

                 Jumlah 2011                   61.440          56.531        37.115          37.105                  32.281               2.045         34.326               152.297       141.458   224    368       592

                 Jumlah 2010 207,822 56,057 72,545 128,602 36,311                                                    30,472               1,695         68,478               197,080        10,282   180    280       460


     Sumber Data : Dinas Sosial, Tenaga Kerja dan Transmigrasi Kota Singkawang




                                                                                                                                     Database Kota Singkawang Tahun 2011                                         |   272
Kesejahteraan Sosial, Tenaga Kerja dan Transmigrasi




                                                                          Tabel 21.10
                                                      Pengangguran Di Kota Singkawang
                                             Berdasarkan Kecamatan dan Tingkat Pendidikan
                                                             Keadaan Tahun 2010 - 2011

                                                                                 Tingkat Pendidikan
                No         Kecamatan                                                                                                              Jumlah
                                                     > SD            SD           SLTP           SLTA            Akademi            PT
                1    Singkawang Barat                1.672      3.923            4.004           2.634                506           332            13.071
                2    Singkawang Timur                3.456      3.356            2.987           1.970                422           202            12.393
                3    Singkawang Tengah               2.991      4.562            3.822           2.996                411           389            15.171
                4    Singkawang Utara                4.904      3.907            3.035           2.975                301           280            15.402
                5    Singkawang Selatan              3.022      3.992            3.800           1.990                312           332            13.448
                                Jumlah 2011      16.045         19.740           17.648          12.565           1.952            1.535           69.485
                                Jumlah 2010      12,672         15,074           15,275          10,421           1,342            1,273           56,057

                Sumber Data : Dinas Sosial, Tenaga Kerja dan Transmigrasi Kota Singkawang




                                                                            Tabel 21.11
                                                            Pencari Kerja Di Kota Singkawang
                                               Berdasarkan Bulan, Pendidikan dan Jenis Kelamin
                                                                     Keadaan 2009 - 2011

                           SD         SLTP           SLTA       SMU/SMK                DI             DII             DIII               SI            Jumlah
                                                                                                                                                                         Jumlah
No.     Bulan
                                                                                                                                                                          Total
                      Lk        Pr   Lk   Pr     Lk      Pr     Lk         Pr     Lk        Pr   Lk         Pr   Lk          Pr    Lk         Pr      Lk      Pr

1     Januari          -        -    -    1      1          -    1         2       -        -     -         -     -          -      -         1        -      -            6

2     Februari         -        -    1    -      1          -    1          -      -        -     -         -     -          -      -         1        -      -            4

3     Maret            -        1    1    1      -          2    -          -      1        -     -         -     -          -      -         1        -      -            7

4     April            2        2    3    3      -          1    2         2       -        -     -         -     1          -      -         -        -      -           16

5     Mei              -        -    -    2      1          2    2         1       -        -     -         -     -          2      8         4        -      -           22

6     Juni             -        -    1    -      2          2    1          -      -        -     -         -     -          1      3         1        -      -           11

7     Juli             -        -    -    -      2          -    3         3       -        -     -         -     -          -      -         -        -      -            8

8     Agustus          -        -    -    -      6          1    1          -      -        -     -         -     2          4      3         10       -      -           27

9     September        -        -         3      2          1    4          -      -        -     -         -     -          1      5         13       -      -           29

10    Oktober          -        2    -    -      4          1    2          -      -        -     -         -     7          16     3         5        -      -           40

11    November         -        2    -    -      1          1    -          -      -        -     -         -     2          6      2         1        -      -           15

12    Desember         -        3    -    1      4          -    1         2       -        -     -         -     2          4      3         2        -      -           22

 Jumlah 2011           2        10   6    11     24      11      18        10      1         -    -          -   14          34     27        39       -       -          207

 Jumlah 2010           5        21   11   11     7          4   478        382     2        6    22      114     180         279   353        511    1,058   1,328       2.386

 Jumlah 2009           5        21   11   11     7          4   478        382     2        6    22      114     180         279   353        511    1,058   1,328       2.386

Sumber Data : Dinas Sosial, Tenaga Kerja dan Transmigrasi Kota Singkawang




                                                                                                      Database Kota Singkawang Tahun 2011                            |   273
Kesejahteraan Sosial, Tenaga Kerja dan Transmigrasi




                                                  Tabel 21.12
                              Perbandingan Upah Di Kota Singkawang
                  Berdasarkan Upah Minimum Regional dan Upah Minum Kota
                                          Periode 2009 - 2011
                                    Upah Minimum Regional                       Upah Minimum Kota
           No.      Tahun
                                            (Rp.)                                     (Rp.)
            1        2009                         -                                  778,500

            2        2010                         -                                  778,500

            3        2011                         -                                  848.500

           Sumber Data : Dinas Sosial, Tenaga Kerja dan Transmigrasi Kota Singkawang




                                                  Tabel 21.13
                                 Banyaknya PHK Di Kota Singkawang
                                        Berdasarkan Kecamatan
                                       Keadaan Tahun 2009-2011


                                                  Tahun 2009            Tahun 2010              Tahun 2011
      No.              Kecamatan
                                                      Lk          Pr    Lk           Pr         Lk         Pr

       1         Singkawang Utara                     -           -     -            -          0          0

       2         Singkawang Selatan                   9           -     9            -          1          0

       3         Singkawang Tengah                    1           -     1            -          1          2

       4         Singkawang Barat                     1           -     1            -          3          2

       5         Singkawang Timur                     -           -      -           -          1          0

                                     Jumlah           11          0     11           0          6          4




                                                      Tabel 21.14
                    Jumlah Transmigrasi Yang Di Tempatkan Di Kota Singkawang
                            Berdasarkan Lokasi dan Asal Daerah Transimgran
                                        Keadaan Tahun 2009 - 2011

                                                           Jumlah Transmigrasi
                                                                                                           Jumlah
No         Lokasi Transmigrasi                Luar Daerah                   Lokal/Sisipan
                                          KK                Jiwa        KK               Jiwa        KK         Jiwa
1    Transmigrasi SP I
     Kel. Pangmilang                      Tad                tad        tad               tad        tad            tad
     Kec. Singkawang Selatan
2    Transmigrasi SP 2
     Kel. Pangmilang                      tad                tad        tad               tad        tad            tad
     Kec. Singkawang Selatan
           Jumlah 2011                        -               -             -              -          -              -

           Jumlah 2010                    217                778        225          1,052           442        1,830
           Jumlah 2009                    214                748        225          1,040           439        1,788
Sumber Data : Dinas Sosial, Tenaga Kerja dan Transmigrasi Kota Singkawang




                                                                       Database Kota Singkawang Tahun 2011                |   274
Kesejahteraan Sosial, Tenaga Kerja dan Transmigrasi




                                                          Tabel 21.15
                                      Transmigran yang Kembali Ke Daerah Asal
         Berdasarkan Lokasi, Jumlah Transmigrasi Yang Kembali dan Jumlah Transmigrasi Pengganti
                                                Keadaan Tahun 2009 - 2011

                                            Tahun 2009                      Tahun 2010                       Tahun 2011
                                       Jumlah yang    Jumah            Jumlah yang       Jumah       Jumlah yang      Jumah
  No.        Lokasi Transmigrasi                                        Kembali ke    Transmigrasi    Kembali ke   Transmigrasi
                                        Kembali ke Transmigrasi
                                       Daerah Asal pengganti           Daerah Asal     pengganti     Daerah Asal    pengganti
                                          (KK)         (KK)               (KK)            (KK)          (KK)           (KK)

     1     Transmigrasi SP 1

           Kel. Pangmilang                 91             91              45             45             Tad           Tad

           Kec. Singkawang Selatan

     2     Transmigrasi SP 2

           Kel. Pangmilang                 141            141             68             68             tad           tad

           Kec. Singkawang Selatan

                Jumlah                     232            232             113            113             -                -

  Sumber Data : Dinas Sosial, Tenaga Kerja dan Transmigrasi Kota Singkawang




                                                          Tabel 21.16
                                Transmigran yang Telah Mendapatkan Lahan Usaha
                                     Berdasarkan Lokasi, SP dan Jenis Lahan Usaha

                                            Keadaan Per 31 Desember 2011

                                                                   Lahan
                             Jumlah       Lahan Usaha
No           Lokasi                                              Pekarangan                          Keterangan
                               KK
                                        Sudah     Belum         Sudah     Belum

                                                                                     Lahan usaha sebanyak 15 Ha / 15 KK
1.       Pangmilang SP 1       192        192        -           192           -
                                                                                     Bermasalah ( dikuasai Penduduk setempat )

                                                                                      Lahan usaha sebanyak 150 Ha / 150 KK
2.       Pangmilang SP 2       247        97        150          247           -
                                                                                     ( Pembagiannya tidak jelas )

          Jumlah               439       289       150          439            -


Sumber Data : Dinas Sosial, Tenaga Kerja dan Transmigrasi Kota Singkawang




                                                                          Database Kota Singkawang Tahun 2011                 |   275
Keagamaan




22. Keagamaan

         Walaupun Indonesia bukan negara agama tetapi bidang agama cukup mendapat
   perhatian dari pemerintah. Sehingga tidak heran jika sering kita lihat berbagai
   kegiatan keagamaan di masyarakat difasilitasi pemerintah baik dalam pembangunan
   rumah ibadah, fasilitas/prasarana fisik keagamaan lainnya maupun pengembangan
   sumber daya manusianya.

         Rumah ibadah di Kota Singkawang cukup tersedia bagi pemeluk umat
   beragama untuk menjalankan kewajibannya beribadah. Untuk keadaan tahun 2011 di
   Kota Singkawang Masjid berjumlah 116, surau 76, Gereja Kristen Protestan 73, Gereja
   Katholik 21, vihara 22 dan Cetya 267 buah.

         Dalam upaya menanamkan nilai-nilai keagamaan sejak dini kepada pemeluknya
   pendidikan non formal keagamaan juga tersedia. Seperti Taman Pendidikan Al Quran
   yang berjumlah 81, Sekolah Minggu Kristen Protestan 72, Sekolah Minggu Kristen
   Katholik 21 dan Sekolah Minggu Budha 10 sekolah. Sedangkan pendidikan formal
   keagamaan yang ada adalah pesantren sebanyak 10 pesantren.

         Pada tahun 2011 terdapat 12 Penyuluh Agama Islam, 2 Penyuluh Agama Kristen
   Protestan, 2 Penyuluh Agama Kristen Katholik dan 1 Penyuluh Agama Budha.
   Sedangkan pemuka agama formal yang ada di masyarakat terdiri dari Ulama 10 orang,
   Imam 220 orang , Khatib 378 orang, Pendeta 45 orang, Pastor 11 orang, Bruder 8 orang,
   Suster 50 orang, Pandhita 14 orang dan Bikhu 1 orang.

          Jumlah jamaah haji Kota Singkawang tahun 2011 sebanyak 138 orang terdiri
   dari 66 orang laki-laki dan 72 perempuan. Jumlah umat Islam yang tercatat
   memberikan waqaf selama tahun 2011 sebanyak 2 orang. Dan masyarakat yang
   tercatat menikah di KUA se Kota Singkawang sebanyak 983 pasangan.


                                                        Tabel 22.1
                          Jumlah Pemuka Agama Di Kota Singkawang Menurut Sebutannya
                                               Keadaan Tahun 2009 - 2011

                                            Islam              Kristen            Katolik                   Buddha
      No        Kelurahan
                                  Ulama     Imam     Khatib    Pendeta   Pastor   Bruder    Suster   Pandita    Bikhu
      1.   Singkawang Tengah        6        80       120         9        -         -        -         -            -
      2.   Singkawang Timur         1        22        66        11        7        2         4         -            -
      3.   Singkawang Selatan       1        46        84         9        -         -        -        3             1
      4.   Singkawang Utara         1        44        66         -        -         -        -         -            -
      5.   Singkawang Barat         1        28        42        16        4        6        46        11            0
                  Jumlah 2011       10       220      378        45        11       8        50        14            1
                  Jumlah 2010       10       220      378        36        11       8        50        18            2
                  Jumlah 2009       7        310      220        59        8        16       52        18            1
      Sumber Data : Kantor Kementerian Agama Kota Singkawang




                                                                      Database Kota Singkawang Tahun 2011        | 276
Keagamaan




                                                                           Tabel 22.2
                                    Jumlah Penyuluh Agama Di Kota Singkawang
                                                                 Berdasarkan Agama
                                                        Keadaan Tahun 2009 - 2011

               No             Jenis Penyuluh Agama                                         Tahun 2009           Tahun 2010                 Tahun 2011

               1       Penyuluh Agama Islam                                                         9                   12                          12

               2       Penyuluh Agama Kristen/Protestan                                             2                    2                              2

               3       Penyuluh Agama Kristen Katholik                                              2                    2                              2

               4       Penyuluh Agama Budha                                                         2                    1                              1

               Sumber Data : Kantor Kementerian Agama Kota Singkawang




                                                        Tabel 22.3
                                 Data Sarana / Fasilitas Keagamaan Di Kota Singkawang
                                              Keadaan Tahun 2010 - 2011

                                                                  Tahun 2010                                                                  Tahun 2011

                                                        Kecamatan                                                                    Kecamatan

No.     Jenis Sarana/Fasilitas
                                    Singkawang

                                                 Singkawang

                                                              Singkawang

                                                                           Singkawang




                                                                                                                 Singkawang


                                                                                                                              Singkawang


                                                                                                                                           Singkawang


                                                                                                                                                            Singkawang
                                                                                        Singkawan




                                                                                                                                                                         Singkawan
                                                                                                    Jumlah                                                                           Jumlah
                                                   Selatan




                                                                                                                                Selatan
                                                                             Tengah




                                                                                                                                                              Tengah
                                                                 Timur




                                                                                                                                              Timur
                                       Utara




                                                                                                                    Utara
                                                                                          Barat




                                                                                                                                                                           Barat
1.    Masjid                          22           28           11           40          14             115        23           29           11               39          14          116

2.    Surau                           16           22            6           22          10             76         16           22            6               22          10          76

3.    Gereja Kristen Protestan         0           26           18            9          20             73          0           26           19               10          18          73

4.    Gereja Katolik                   0            5           13            1            2            21          0            5           13                1            2         21

5.    Vihara                           1            7            1            3          10             22          1            7            1                3          10          22

6.    Cetya                           11           76           21           45         114             267        11           76           21               45         114          267

 7    Pesantren                        1            3            1            6            1            12          1            3            0                6            0         10

 8    TPA                             12           17            9           23          10             71         14           18            8               27          14          81
      Sekolah Minggu Kristen
 9                                     0           25           17            9          18             69          0           26           19               10          17          72
      Protestan
      Sekolah Minggu Kristen
10                                     0            5           13            1            2            21          0            5           13                1            2         21
      Katholik
11    Sekolah Minggu Buddha            0            5            0            0            5            10          0            5            0                0            5         10

Sumber Data : Kantor Kementerian Agama Kota Singkawang




                                                                                                             Database Kota Singkawang Tahun 2011                                        | 277
Keagamaan




                           Tabel 22.4                                            Tabel 22.5
           Jumlah Masjid Di Kota Singkawang                            Jumlah Surau Di Kota Singkawang
         Berdasarkan Kecamatan dan Kelurahan                      Berdasarkan Kecamatan dan Kelurahan
                 Keadaan Tahun 2009 - 2011                               Keadaan Tahun 2009 - 2011
          Kecamatan /           Tahun    Tahun     Tahun                 Kecamatan /          Tahun   Tahun     Tahun
No                                                           No
           Kelurahan            2009     2010      2011                   Kelurahan           2009    2010      2011

1    Singkawang Utara            22        22        23      1     Singkawang Utara            10      16        16

     1   Sei Garam Hilir          3         3            3         1     Sei Garam Hilir        2       2         2

     2   Semelagi Kecil           3         3            3         2     Semelagi Kecil         2       3         3

     3   Setapuk Besar            7         7            8         3     Setapuk Besar          2       5         5

     4   Setapuk Kecil            3         3            3         4     Setapuk Kecil          1       1         1

     5   Sei Rasau                2         2            2         5     Sei Rasau              1       1         1

     6   Sei Bulan                2         2            2         6     Sei Bulan              2       2         2

     7   Naram                    2         2            2         7     Naram                  -       2         2

2    Singkawang Selatan          28        28        29      2     Singkawang Selatan          3       22        22

     1   Sedau                   18        18        18            1     Sedau                  2      16        16

     2   Pangmilang               3         3            3         2     Pangmilang             -       2         3

     3   Sagatani                 2         2            3         3     Sagatani               -       1         2

     4   Sijangkung               5         5            5         4     Sijangkung             1       3         1

3    Singkawang Timur            14        11        11      3     Singkawang Timur            4        2         6

     1   Pajintan                 2         2            2         1     Maya Sopa              2       5         5

     2   Bagak Sahwa              2         2            2         2     Nyarumkop              1       -         -

     3   Sanggau Kulor            1         1            1         3     Pajintan               1       -         -

     4   Nyarumkop                6         4            4         4     Sanggau Kulor          -       -         -

     5   Maya Sopa                3         2            2         5     Bagak Sahwa            -       1         1

4    Singkawang Tengah           41        40        39      4     Singkawang Tengah           8       22        22

     1   Condong                  6         6            6         1     Roban                  1       3         3

     2   Sekip Lama               5         5            5         2     Condong                1       5         5

     3   Bukit Batu               4         2            2         3     Sekip Lama             2       6         6

     4   Sei Wie                  3         3            3         4     Jawa                   3       3         3

     5   Jawa                     3         3            3         5     Sei Wie                1       1         1

     6   Roban                   20        21        20            6     Bukit Batu             -       4         4

5    Singkawang Barat            14        14        14      5     Singkawang Barat            8       10        10

     1   Kuala                    3         3            3         1     Pasiran                5       6         6

     2   Melayu                   2         2            2         2     Tengah                 2       2         2

     3   Tengah                   1         1            1         3     Kuala                  1       2         2

     4   Pasiran                  8         8            8         4     Melayu                 -       -         -

                      Jumlah     119       115       116                             Jumlah    33      76        76
Sumber Data : Kantor Kementerian Agama Kota Singkawang       Sumber Data : Kantor Kementerian Agama Kota Singkawang




                                                                 Database Kota Singkawang Tahun 2011          | 278
Keagamaan




                                                                                            Tabel 22.7
                    Tabel 22.6                                     Jumlah Gereja Kristen Protestan Di Kota Singkawang
 Jumlah Gereja Kristen Katholik Di Kota Singkawang                         Berdasarkan Kecamatan dan Kelurahan
         Berdasarkan Kecamatan dan Kelurahan                                        Keadaan Tahun 2009 - 2011
               Keadaan Tahun 2009 - 2011
                                                                            Kecamatan /          Tahun      Tahun         Tahun
             Kecamatan /           Tahun     Tahun       Tahun   No
   No                                                                        Kelurahan           2009       2010          2011
              Kelurahan            2009      2010        2011
                                                                  1     Singkawang Selatan         26         26           26
    1   Singkawang Selatan           5         5          5
                                                                       1    Sedau                  10         10            9
        1    Sijangkung              2         2           2
                                                                       2    Pangmilang             2           2            3
        2    Pangmilang              2         2           2
                                                                       3    Sagatani               4           4            5
        3    Sagatani                1         1           1
                                                                       4    Sijangkung             10         10            9
    2   Singkawang Timur            12         13         13
                                                                  2    Singkawang Timur            18         18           19
        1    Pajintan                4         2           2
                                                                       1    Pajintan               5           5            5
        2    Maya Sopa               2         3           3
                                                                       2    Maya Sopa              8           8            9
        3    Sanggau Kulor           2         2           2
                                                                       3    Sanggau Kulor          4           4            4
        4    Nyarumkop               2         4           4
                                                                       4    Nyarumkop              1           1            1
        5    Bagak Sahwa             2         2           2
                                                                  3    Singkawang Tengah           9           9           10
    3   Singkawang Tengah            1         1          1
                                                                       1    Roban                  8           8            8
        1    Roban                   1         1           1
                                                                       2    Sekip Lama             1           1            1
    4   Singkawang Barat             2         2          2
                                                                       3    Condong                -           -            1
        1    Pasiran                 2         2           2
                                                                  4    Singkawang Barat            20         20           18
                          Jumlah    20         21         21
                                                                       1    Pasiran                18         18           16
Sumber Data : Kantor Kementerian Agama Kota Singkawang
                                                                       2    Kuala                  2           2            2

                                                                            Jumlah                 73         73           73
                                                                 Sumber Data : Kantor Kementerian Agama Kota Singkawang




                                                                           Database Kota Singkawang Tahun 2011        | 279
Keagamaan




                                                                                      Tabel 22.9
                       Tabel 22.8
                                                                       Jumlah Cetya Di Kota Singkawang
        Jumlah Vihara Di Kota Singkawang
                                                                    Berdasarkan Kecamatan dan Kelurahan
      Berdasarkan Kecamatan dan Kelurahan
                                                                          Keadaan Tahun 2009 - 2011
            Keadaan Tahun 2009 - 2011

                                                                      Kecamatan /          Tahun     Tahun          Tahun
            Kecamatan /           Tahun   Tahun    Tahun   No
 No                                                                    Kelurahan           2009      2010           2011
             Kelurahan            2009    2010     2011
                                                           1    Singkawang Utara            11         11            11
 1      Singkawang Utara            1      1         1
                                                                1    Sei Garam               5          5             5
        1   Naram                   1       1        1
                                                                2    Sei Rasau               2          2             2
 2      Singkawang Selatan          7      7         7
                                                                3    Naram                   1          1             1
        1   Sedau                   3       3        3
                                                                4    Setapuk Kecil           1          1             1
        2   Sijangkung              4       1        1
                                                                5    Setapuk Besar           1          1             1
        3   Sagatani                -       3        3
                                                                6    Semelagi Kecil          1          1             1
 3      Singkawang Timur            1      1         1
                                                           2    Singkawang Selatan          77         76            76
        1   Pajintan                1       1        1
                                                                1    Sedau                   54        53            53
 4      Singkawang Tengah           2      3         3
                                                                2    Sijangkung              23        20            20
        1   Roban                   2       3        3
                                                                3    Sagatani                -          3             3
 5      Singkawang Barat            8      10        10
                                                           3    Singkawang Timur            20         21            21
        1   Melayu                  2       2        2
                                                                1    Pajintan                19        16            16
        2   Pasiran                 7       8        8
                                                                2    Nyarumkop               1          1             1
                         Jumlah     19     22        22
                                                                3    Sanggau Kulor           -          3             3
Sumber Data : Kantor Kementerian Agama Kota Singkawang
                                                                4    Maya Sopa               -          1             1

                                                           4    Singkawang Tengah           45         45            45

                                                                1    Roban                   35        35            35

                                                                2    Sekip Lama              2          2             2

                                                                3    Sei Wie                 2          2             2

                                                                4    Condong                 5          5             5

                                                                5    Bukit Batu              1          1             1

                                                           5    Singkawang Barat            114        114           114

                                                                1    Pasiran                 94        94            94

                                                                2    Melayu                  13        13            13

                                                                3    Kuala                   7          7             7

                                                                                 Jumlah     267        267           267

                                                           Sumber Data : Kantor Kementerian Agama Kota Singkawang




                                                                    Database Kota Singkawang Tahun 2011        | 280
Keagamaan




                                                                Tabel 22.10
                                       Jumlah Pesantren Yang Ada Di Kota Singkawang
                                               Berdasarkan Kecamatan dan Santri
                                                     Keadaan Tahun 2010 - 2011


                                                       Tahun 2010                                                Tahun 2011

     No          Kecamatan
                                                                           Santri                                                   Santri
                                    Jumlah           Jumlah                                      Jumlah       Jumlah
                                   Pesantren          Santri                      Tidak         Pesantren      Santri                     Tidak
                                                                    Mukim                                                    Mukim
                                                                                  Mukim                                                   Mukim
     1       Singkawang Tengah            6          1.320           647            788            6            1.846         903            943

     2       Singkawang Selatan           3           249            115            106            3            196           83             113

     3       Singkawang Timur             1            32             0             18             0             0             0              0

     4       Singkawang Utara             1            35            24             11             1             85           85              0

     5       Singkawang Barat             1            45            35              0             0             0             0              0

                Jumlah                  12           1.681           821            923            10         2.127          1.071        1.056

     Sumber Data : Kantor Kementerian Agama Kota Singkawang




                                                                Tabel 22.11
                                 Jumlah Taman Pendidikan AL Quran Di Kota Singkawang
                                              Berdasarkan Kecamatan dan Kelurahan
                                                  Keadaan Tahun 2009 - 2011


                                          Tahun 2009                                 Tahun 2010                               Tahun 2011
             Kecamatan /
No
              Kelurahan          Jumlah       Jumlah        Jumlah         Jumlah         Jumlah       Jumlah      Jumlah          Jumlah         Jumlah
                                  TPA          Guru          Murid          TPA            Guru         Murid       TPA             Guru           Murid
1                 2                3             4              5            6              7            8              9            10            11

1        Singkawang Utara          12           50             676          12             51           700             14           79           1.071

         1   Sei-Garam             1             6             88            1              7            90             2            14            166

         2   Sei-Bulan             1             3             26            1              3            30             2            9              98

         3   Naram                 1             4             41            1              4            40             1            5              95

         4   Sei-Rasau             1             5             55            1              5            60             1            10            113

         5   Setapuk Kecil         1             4             28            1              4            30             1            5              54

         6   Setapuk Besar         6            24             390           6              24          400             6            29            478

         7   Semelagi Kecil        1             4             48            1              4            50             1            7              67

2        Singkawang Selatan        17           79             926          17             79           895             18           85            931

         1   Sedau                 11           55             623           11             55          602             13           61            707

         2   Sijangkung            1             3             42            1              3            35             1            4              29

         3   Pangmilang            3            14             192           3              14          190             3            16            141

         4   Sagatani              2             7             69            2              7            68             1            4              54




                                                                                         Database Kota Singkawang Tahun 2011                       | 281
Keagamaan




1                2                3          4           5          6           7           8         9          10         11
3    Singkawang Timur             9          39         298         9          39         304         8          45        406

     1    Pajintan                1          6          60          1           6          63         1          4          35

     2    Sanggau Kulor           1          8          59          1           8          57         1          7          45

     3    Maya Sopa               2          5          30          2           5          32         2          17         183

     4    Nyarumkop               3          10         77          3          10          79         1          4          21

     5    Bagak Sahwa             2          10         72          2          10          73         3          13         122

4    Singkawang Tengah           22          97        1.333        23         97         1.336      27         148        1.599

     1    Roban                  13          55         926         13         55          930       15          72         711

     2    Sekip Lama              3          10         58          3          10          60         6          36         328

     3    Condong                 2          12         100         2          12          102        -           -          -

     4    Jawa                    1          7          65          2           7          65         2          14         172

     5    Bukit Batu              3          13         184         3          13          179        3          23         371

     6    Sei. Wie                -           -          -          -           -           -         1          3          17

5    Singkawang Barat            10          53         638         10         53         645        14          74        771

     1    Pasiran                 8          41         528         8          41          530       12          63         646

     2    Melayu                  2          12         110         2          12          115        2          11         125

     3    Kuala                   -           -          -          -           -           -         -           -          -

                      Jumlah     70         318        3.871        71         319        3.880      81         431        4.778

Sumber Data : Kantor Kementerian Agama Kota Singkawang




                                                             Tabel 22.12
                               Data Sekolah Minggu Kristen Protestan Di Kota Singkawang
                                           Berdasarkan Kecamatan dan Kelurahan
                                                  Keadaan Tahun 2009 - 2011


                                           Tahun 2009                        Tahun 2010                       Tahun 2011
          Kecamatan/
No
           Kelurahan             Jumlah      Jumlah     Jumlah     Jumlah      Jumlah     Jumlah    Jumlah      Jumlah     Jumlah
                                 Sekolah      Guru       Murid     Sekolah      Guru       Murid    Sekolah      Guru       Murid
1                 2                   3           4          5          6           7           8     9           10        11
1     Singkawang Tengah               10          74     846            9        79        900        10          83        875

     1.     Roban                     8           63     685            8        73         837           8       73        768

     2.     Sekip Lama                1           6          60         1           6       63            1       7          70

     3.     Sei Wie                   1           5      101             -          -           -         -           -      -

     4.     Condong                   -           -          -           -          -           -         1       3          37

2    Singkawang Barat                 18      130       1.524        18         138       1.707       17         137       1.736

     1.     Pasiran                   16      122       1.429           16      127        1.584      15         125       1.602

     2.     Kuala                     2           8          95         2        11         123           2       12        134




                                                                             Database Kota Singkawang Tahun 2011            | 282
Keagamaan




1                  2               3           4          5        6           7          8        9           10        11
3    Singkawang Selatan            27         142       1.639      25         145       1.700      26         160       1.907

     1.       Sedau                12          70        737       11          73        881       9           66        799

     2.       Sijangkung           10          43        499       9           44        503       9           51        633

     3.       Sagatani             3           20        304       3           19        218       5           31        359

     4.       Pangmilang           2           9          99       2           9          98       3           12        116

4    Singkawang Timur              17          73        892       17          87       1.056      19          85       1.205

     1.       Sanggau kulor        4           17        232       4           21        281       5           25        392

     2.       Pajintan             5           31        399       5           39        493       5           28        476

     3.       Mayasopa             7           23        240       7           25        261       8           30        312

      4.      Nyarumkop            1           2          21       1           2          21       1           2          25

                        Jumlah     72         419       4.901      69         449       5.363      72         465       5.723

Sumber Data : Kantor Kementerian Agama Kota Singkawang




                                                   Tabel 22.13
                              Jumlah Sekolah Minggu Kristen Katolik Di Kota Singkawang
                                           Berdasarkan Kecamatan dan Kelurahan
                                               Keadaan Tahun 2009 - 2011

                                           Tahun 2009                      Tahun 2010                      Tahun 2011
No           Kelurahan
                                 Jumlah      Jumlah     Jumlah   Jumlah      Jumlah     Jumlah   Jumlah      Jumlah     Jumlah
                                 Sekolah      Guru       Murid   Sekolah      Guru       Murid   Sekolah      Guru       Murid
1    Singkawang Barat              2           16        387       2           17        387       2           17        387

     1     Pasiran                 2           16        387        2          17        387       2           17        387

2        Singkawang Tengah         1           6         97        1           4         97        1           4         97

     1     Roban                   1           6          97        1          4          97       1           4          97

3        Singkawang Selatan        5           25        554       6           37        669       5           37        669

     1     Sijangkung              2           8         197        2          12        197       2           12        197

     2     Pangmilang              2           10        195        2          13        195       2           13        195

     3     Sagatani                1           7         162        1          7         162       1           7         162

     4     Sedau                    -          -          -         1          5         115       1           5         115

4        Singkawang Timur          12          95       2.031      13          97       2.126      13          97       2.052

     1     Sanggau Kulor           2           14        232        2          12        232       2           12        232

     2     Nyarumkop               2           22        500        5          36        905       5           36        941

     3     Bagak Sahwa             2           18        383        2          15        383       2           15        273

     4     Mayasopa                2           16        299        2          16        299       2           16        299

     5     Pajintan                4           25        617        2          18
Database Kota Singkawang 2011
Database Kota Singkawang 2011
Database Kota Singkawang 2011
Database Kota Singkawang 2011
Database Kota Singkawang 2011
Database Kota Singkawang 2011
Database Kota Singkawang 2011
Database Kota Singkawang 2011
Database Kota Singkawang 2011
Database Kota Singkawang 2011
Database Kota Singkawang 2011
Database Kota Singkawang 2011
Database Kota Singkawang 2011
Database Kota Singkawang 2011
Database Kota Singkawang 2011
Database Kota Singkawang 2011
Database Kota Singkawang 2011
Database Kota Singkawang 2011
Database Kota Singkawang 2011
Database Kota Singkawang 2011
Database Kota Singkawang 2011
Database Kota Singkawang 2011
Database Kota Singkawang 2011
Database Kota Singkawang 2011
Database Kota Singkawang 2011
Database Kota Singkawang 2011
Database Kota Singkawang 2011
Database Kota Singkawang 2011
Database Kota Singkawang 2011
Database Kota Singkawang 2011
Database Kota Singkawang 2011
Database Kota Singkawang 2011
Database Kota Singkawang 2011
Database Kota Singkawang 2011
Database Kota Singkawang 2011
Database Kota Singkawang 2011
Database Kota Singkawang 2011
Database Kota Singkawang 2011
Database Kota Singkawang 2011
Database Kota Singkawang 2011
Database Kota Singkawang 2011
Database Kota Singkawang 2011
Database Kota Singkawang 2011
Database Kota Singkawang 2011
Database Kota Singkawang 2011
Database Kota Singkawang 2011
Database Kota Singkawang 2011
Database Kota Singkawang 2011
Database Kota Singkawang 2011
Database Kota Singkawang 2011
Database Kota Singkawang 2011
Database Kota Singkawang 2011
Database Kota Singkawang 2011
Database Kota Singkawang 2011
Database Kota Singkawang 2011
Database Kota Singkawang 2011
Database Kota Singkawang 2011
Database Kota Singkawang 2011
Database Kota Singkawang 2011
Database Kota Singkawang 2011
Database Kota Singkawang 2011
Database Kota Singkawang 2011
Database Kota Singkawang 2011
Database Kota Singkawang 2011
Database Kota Singkawang 2011
Database Kota Singkawang 2011
Database Kota Singkawang 2011
Database Kota Singkawang 2011
Database Kota Singkawang 2011
Database Kota Singkawang 2011
Database Kota Singkawang 2011
Database Kota Singkawang 2011
Database Kota Singkawang 2011
Database Kota Singkawang 2011
Database Kota Singkawang 2011
Database Kota Singkawang 2011
Database Kota Singkawang 2011
Database Kota Singkawang 2011
Database Kota Singkawang 2011
Database Kota Singkawang 2011
Database Kota Singkawang 2011
Database Kota Singkawang 2011
Database Kota Singkawang 2011
Database Kota Singkawang 2011
Database Kota Singkawang 2011
Database Kota Singkawang 2011
Database Kota Singkawang 2011
Database Kota Singkawang 2011
Database Kota Singkawang 2011
Database Kota Singkawang 2011
Database Kota Singkawang 2011
Database Kota Singkawang 2011
Database Kota Singkawang 2011
Database Kota Singkawang 2011
Database Kota Singkawang 2011
Database Kota Singkawang 2011
Database Kota Singkawang 2011
Database Kota Singkawang 2011
Database Kota Singkawang 2011
Database Kota Singkawang 2011
Database Kota Singkawang 2011
Database Kota Singkawang 2011
Database Kota Singkawang 2011
Database Kota Singkawang 2011
Database Kota Singkawang 2011
Database Kota Singkawang 2011
Database Kota Singkawang 2011
Database Kota Singkawang 2011
Database Kota Singkawang 2011
Database Kota Singkawang 2011
Database Kota Singkawang 2011
Database Kota Singkawang 2011
Database Kota Singkawang 2011
Database Kota Singkawang 2011
Database Kota Singkawang 2011
Database Kota Singkawang 2011
Database Kota Singkawang 2011
Database Kota Singkawang 2011
Database Kota Singkawang 2011
Database Kota Singkawang 2011
Database Kota Singkawang 2011
Database Kota Singkawang 2011
Database Kota Singkawang 2011
Database Kota Singkawang 2011
Database Kota Singkawang 2011
Database Kota Singkawang 2011
Database Kota Singkawang 2011
Database Kota Singkawang 2011
Database Kota Singkawang 2011
Database Kota Singkawang 2011
Database Kota Singkawang 2011
Database Kota Singkawang 2011
Database Kota Singkawang 2011
Database Kota Singkawang 2011
Database Kota Singkawang 2011
Database Kota Singkawang 2011
Database Kota Singkawang 2011
Database Kota Singkawang 2011
Database Kota Singkawang 2011
Database Kota Singkawang 2011
Database Kota Singkawang 2011
Database Kota Singkawang 2011
Database Kota Singkawang 2011
Database Kota Singkawang 2011
Database Kota Singkawang 2011
Database Kota Singkawang 2011
Database Kota Singkawang 2011
Database Kota Singkawang 2011
Database Kota Singkawang 2011
Database Kota Singkawang 2011
Database Kota Singkawang 2011
Database Kota Singkawang 2011
Database Kota Singkawang 2011
Database Kota Singkawang 2011
Database Kota Singkawang 2011
Database Kota Singkawang 2011
Database Kota Singkawang 2011
Database Kota Singkawang 2011
Database Kota Singkawang 2011
Database Kota Singkawang 2011
Database Kota Singkawang 2011
Database Kota Singkawang 2011
Database Kota Singkawang 2011
Database Kota Singkawang 2011
Database Kota Singkawang 2011
Database Kota Singkawang 2011
Database Kota Singkawang 2011
Database Kota Singkawang 2011
Database Kota Singkawang 2011
Database Kota Singkawang 2011
Database Kota Singkawang 2011
Database Kota Singkawang 2011
Database Kota Singkawang 2011
Database Kota Singkawang 2011
Database Kota Singkawang 2011
Database Kota Singkawang 2011
Database Kota Singkawang 2011
Database Kota Singkawang 2011
Database Kota Singkawang 2011
Database Kota Singkawang 2011
Database Kota Singkawang 2011
Database Kota Singkawang 2011
Database Kota Singkawang 2011
Database Kota Singkawang 2011
Database Kota Singkawang 2011
Database Kota Singkawang 2011
Database Kota Singkawang 2011
Database Kota Singkawang 2011
Database Kota Singkawang 2011
Database Kota Singkawang 2011
Database Kota Singkawang 2011
Database Kota Singkawang 2011
Database Kota Singkawang 2011
Database Kota Singkawang 2011
Database Kota Singkawang 2011
Database Kota Singkawang 2011
Database Kota Singkawang 2011
Database Kota Singkawang 2011
Database Kota Singkawang 2011
Database Kota Singkawang 2011
Database Kota Singkawang 2011
Database Kota Singkawang 2011
Database Kota Singkawang 2011
Database Kota Singkawang 2011
Database Kota Singkawang 2011
Database Kota Singkawang 2011
Database Kota Singkawang 2011
Database Kota Singkawang 2011
Database Kota Singkawang 2011
Database Kota Singkawang 2011
Database Kota Singkawang 2011
Database Kota Singkawang 2011
Database Kota Singkawang 2011
Database Kota Singkawang 2011
Database Kota Singkawang 2011
Database Kota Singkawang 2011
Database Kota Singkawang 2011
Database Kota Singkawang 2011
Database Kota Singkawang 2011
Database Kota Singkawang 2011
Database Kota Singkawang 2011
Database Kota Singkawang 2011
Database Kota Singkawang 2011
Database Kota Singkawang 2011
Database Kota Singkawang 2011
Database Kota Singkawang 2011
Database Kota Singkawang 2011
Database Kota Singkawang 2011
Database Kota Singkawang 2011
Database Kota Singkawang 2011
Database Kota Singkawang 2011
Database Kota Singkawang 2011
Database Kota Singkawang 2011
Database Kota Singkawang 2011
Database Kota Singkawang 2011
Database Kota Singkawang 2011
Database Kota Singkawang 2011
Database Kota Singkawang 2011
Database Kota Singkawang 2011
Database Kota Singkawang 2011
Database Kota Singkawang 2011
Database Kota Singkawang 2011
Database Kota Singkawang 2011
Database Kota Singkawang 2011
Database Kota Singkawang 2011
Database Kota Singkawang 2011
Database Kota Singkawang 2011
Database Kota Singkawang 2011
Database Kota Singkawang 2011
Database Kota Singkawang 2011
Database Kota Singkawang 2011
Database Kota Singkawang 2011
Database Kota Singkawang 2011
Database Kota Singkawang 2011
Database Kota Singkawang 2011
Database Kota Singkawang 2011
Database Kota Singkawang 2011
Database Kota Singkawang 2011
Database Kota Singkawang 2011
Database Kota Singkawang 2011
Database Kota Singkawang 2011
Database Kota Singkawang 2011
Database Kota Singkawang 2011
Database Kota Singkawang 2011
Database Kota Singkawang 2011
Database Kota Singkawang 2011
Database Kota Singkawang 2011
Database Kota Singkawang 2011
Database Kota Singkawang 2011
Database Kota Singkawang 2011
Database Kota Singkawang 2011
Database Kota Singkawang 2011
Database Kota Singkawang 2011
Database Kota Singkawang 2011
Database Kota Singkawang 2011
Database Kota Singkawang 2011
Database Kota Singkawang 2011
Database Kota Singkawang 2011
Database Kota Singkawang 2011
Database Kota Singkawang 2011
Database Kota Singkawang 2011
Database Kota Singkawang 2011
Database Kota Singkawang 2011
Database Kota Singkawang 2011
Database Kota Singkawang 2011
Database Kota Singkawang 2011
Database Kota Singkawang 2011
Database Kota Singkawang 2011
Database Kota Singkawang 2011
Database Kota Singkawang 2011
Database Kota Singkawang 2011
Database Kota Singkawang 2011
Database Kota Singkawang 2011
Database Kota Singkawang 2011
Database Kota Singkawang 2011
Database Kota Singkawang 2011
Database Kota Singkawang 2011
Database Kota Singkawang 2011
Database Kota Singkawang 2011
Database Kota Singkawang 2011
Database Kota Singkawang 2011
Database Kota Singkawang 2011
Database Kota Singkawang 2011
Database Kota Singkawang 2011
Database Kota Singkawang 2011
Database Kota Singkawang 2011
Database Kota Singkawang 2011
Database Kota Singkawang 2011
Database Kota Singkawang 2011
Database Kota Singkawang 2011
Database Kota Singkawang 2011
Database Kota Singkawang 2011
Database Kota Singkawang 2011
Database Kota Singkawang 2011
Database Kota Singkawang 2011
Database Kota Singkawang 2011
Database Kota Singkawang 2011
Database Kota Singkawang 2011
Database Kota Singkawang 2011
Database Kota Singkawang 2011
Database Kota Singkawang 2011
Database Kota Singkawang 2011
Database Kota Singkawang 2011
Database Kota Singkawang 2011
Database Kota Singkawang 2011
Database Kota Singkawang 2011
Database Kota Singkawang 2011
Database Kota Singkawang 2011
Database Kota Singkawang 2011
Database Kota Singkawang 2011
Database Kota Singkawang 2011
Database Kota Singkawang 2011
Database Kota Singkawang 2011
Database Kota Singkawang 2011
Database Kota Singkawang 2011
Database Kota Singkawang 2011
Database Kota Singkawang 2011
Database Kota Singkawang 2011
Database Kota Singkawang 2011
Database Kota Singkawang 2011
Database Kota Singkawang 2011
Database Kota Singkawang 2011
Database Kota Singkawang 2011
Database Kota Singkawang 2011
Database Kota Singkawang 2011
Database Kota Singkawang 2011
Database Kota Singkawang 2011
Database Kota Singkawang 2011
Database Kota Singkawang 2011
Database Kota Singkawang 2011
Database Kota Singkawang 2011
Database Kota Singkawang 2011
Database Kota Singkawang 2011
Database Kota Singkawang 2011
Database Kota Singkawang 2011
Database Kota Singkawang 2011
Database Kota Singkawang 2011
Database Kota Singkawang 2011
Database Kota Singkawang 2011
Database Kota Singkawang 2011
Database Kota Singkawang 2011
Database Kota Singkawang 2011
Database Kota Singkawang 2011
Database Kota Singkawang 2011
Database Kota Singkawang 2011
Database Kota Singkawang 2011
Database Kota Singkawang 2011
Database Kota Singkawang 2011
Database Kota Singkawang 2011
Database Kota Singkawang 2011
Database Kota Singkawang 2011
Database Kota Singkawang 2011
Database Kota Singkawang 2011
Database Kota Singkawang 2011
Database Kota Singkawang 2011
Database Kota Singkawang 2011
Database Kota Singkawang 2011
Database Kota Singkawang 2011
Database Kota Singkawang 2011
Database Kota Singkawang 2011
Database Kota Singkawang 2011
Database Kota Singkawang 2011
Database Kota Singkawang 2011
Database Kota Singkawang 2011
Database Kota Singkawang 2011
Database Kota Singkawang 2011
Database Kota Singkawang 2011
Database Kota Singkawang 2011
Database Kota Singkawang 2011
Database Kota Singkawang 2011
Database Kota Singkawang 2011
Database Kota Singkawang 2011
Database Kota Singkawang 2011
Database Kota Singkawang 2011
Database Kota Singkawang 2011
Database Kota Singkawang 2011
Database Kota Singkawang 2011
Database Kota Singkawang 2011
Database Kota Singkawang 2011
Database Kota Singkawang 2011
Database Kota Singkawang 2011
Database Kota Singkawang 2011
Database Kota Singkawang 2011
Database Kota Singkawang 2011
Database Kota Singkawang 2011
Database Kota Singkawang 2011
Database Kota Singkawang 2011
Database Kota Singkawang 2011
Database Kota Singkawang 2011
Database Kota Singkawang 2011
Database Kota Singkawang 2011
Database Kota Singkawang 2011
Database Kota Singkawang 2011
Database Kota Singkawang 2011
Database Kota Singkawang 2011
Database Kota Singkawang 2011
Database Kota Singkawang 2011
Database Kota Singkawang 2011
Database Kota Singkawang 2011
Database Kota Singkawang 2011
Database Kota Singkawang 2011
Database Kota Singkawang 2011
Database Kota Singkawang 2011
Database Kota Singkawang 2011
Database Kota Singkawang 2011
Database Kota Singkawang 2011
Database Kota Singkawang 2011
Database Kota Singkawang 2011

Database Kota Singkawang 2011

  • 2.
    KATA PENGANTAR Dalam mewujudkan penyelenggaraan kepemerintahan yang baik, transparan, efektif, efisien, serta akuntabel, perlu adanya keterbukaan data yang dapat diakses dan merupakan bagian dari keterbukaan informasi publik. Penyusunan program dan kegiatan untuk mewujudkan penyelenggaraan kepemerintahan yang baik tidak bisa dilepaskan dari data dan informasi, karena berdasarkan Undang-Undang Nomor 14 Tahun 2008 tentang Keterbukaan Informasi Publik dan Ketentuan Pasal 152 Ayat (1) dan (2) Undang-Undang Nomor 32 Tahun 2004 tentang Pemerintahan Daerah mengamanatkan bahwa perencanaan pembangunan didasarkan pada data dan informasi yang akurat dan dapat dipertanggungjawabkan. Dengan demikian program dan kegiatan yang disusun diharapkan tidak berdasarkan kepada kepentingan sesaat tetapi disusun berdasarkan kebutuhan. Sehubungan dengan hal tersebut maka disusun Database Kota Singkawang Tahun 2011 yang merupakan kumpulan data dari berbagai SKPD di Lingkungan Pemerintah Kota Singkawang maupun sumber lainnya yang ada di Kota Singkawang. Penyusunan Buku Database ini bertujuan untuk memenuhi kebutuhan data dan informasi yang diharapkan dapat dipergunakan dalam penyusunan program dan kegiatan. Selain itu juga sebagai bahan informasi kepada pihak-pihak yang membutuhkan untuk mengetahui apa yang telah dilaksanakan dan diraih Kota Singkawang. Semoga buku ini dapat bermanfaat bagi para pihak yang berkepentingan dan mempunyai perhatian dalam membangun dan memajukan Kota Singkawang. Singkawang, November 2012 WALIKOTA SINGKAWANG Dr. HASAN KARMAN, S.H, M.M Database Kota Singkawang Tahun 2011 |i
  • 3.
    DAFTAR ISI KATA PENGANTARWALIKOTA SINGKAWANG i DAFTAR ISI ii DAFTAR TABEL iii 1 Wilayah Singkawang 1 2 Pemerintahan 5 3 Keamanan dan Ketertiban 8 4 Kepegawaian 11 5 Penduduk 27 6 Pendidikan 36 7 Kesehatan 59 8 Keluarga Berencana 80 9 Layanan Publik 83 10 Rencana Tata Ruang 91 11 Infrastruktur 92 12 Perekonomian 100 13 Keuangan Daerah 115 14 Kekayaan Daerah 134 15 Perindustrian dan Perdagangan 135 16 Koperasi, Usaha Mikro, Kecil dan Menengah 143 17 Pertanian dan Ketahanan Pangan 146 18 Kelautan dan Perikanan 175 19 Perhubungan, Pos dan Telekomunikasi 184 20 Pariwisata dan Kebudayaan 193 21 Kesejahteraan Sosial, Tenaga Kerja dan Transmigrasi 197 22 Keagamaan 208 23 Politik dan Kesatuan Bangsa 218 24 Lingkungan Hidup dan Kebersihan 225 Database Kota Singkawang Tahun 2011 | ii
  • 4.
    DAFTAR TABEL Tabel 1.1 Perbandingan Luas Wilayah Kota Singkawang Dengan Luas Wilayah Kabupaten/Kota Di Kalimantan Barat 2 1.2 Letak Geografi Kecamatan Di Wilayah Kota Singkawang Menurut Garis Lintas dan Bujur 2 1.3 Batas Administrasi Kota Singkawang Menurut Kecamatan 3 1.4 Luas Wilayah Kota Singkawang Menurut Jenis Tanah 3 1.5 Luas Wilayah Kota Singkawang Menurut Ketinggian 3 1.6 Penggunaan Tanah Menurut Kecamatan Di Kota Singkawang 4 Tabel 2.1 Organisasi Perangkat Daerah Kota Singkawang Keadaan Tahun 2008 – 2011 6 2.2 Produk Hukum dan Penegakan Produk Hukum Di Kota Singkawang Keadaan Tahun 2008-2011 6 2.3 Hasil Pemeriksaan Inspektorat Kota Singkawang Tahun 2009 – 2011 Keadaan Per 31 Desember 2011 6 2.4 Jumlah RW/RT Di Kota Singkawang Berdasarkan Kecamatan dan Kelurahan Keadaan Per 31 Desember 2011 7 Tabel 3.1 Jumlah Gangguan Kamtibmas Dalam Wilayah Hukum Polres Singkawang Periode Tahun 2009 - 2011 8 3.2 Data Jumlah Kecelakaan Lalu Lintas Dalam Wilayah Hukum Polres Singkawang Periode Tahun 2009 - 2011 9 3.3 Jumlah SIM Yang Dikeluarkan Polres Singkawang Periode Januari s/d Desember 2011............. 10 Tabel 4.1 Data Pegawai (PNS/CPNS) Berdasarkan Jenis Kelamin Pada SKPD Di Lingkungan Pemerintah Kota Singkawang Keadaan Tahun 2009 – 2011 13 4.2 Jumlah Pegawai Pemerintah Kota Singkawang Berdasarkan Jenis Jabatan Keadaan Tahun 2009 – 2011 15 4.3 Pegawai Pemerintah Kota Singkawang Berdasarkan Pangkat/Golongan Ruang dan Jenis Kelamin Keadaan Tahun 2009 – 2011 16 4.4 Pegawai Pemerintah Kota Singkawang Berdasarkan Tingkat Pendidikan dan Jenis Kelamin Keadaan Tahun 2009 – 2011 16 4.5 Jumlah Formasi Jabatan Struktural Di Lingkungan Pemerintah Kota Singkawang Tahun 2008 2009, 2010 dan 2011 17 4.6 Pengisian Formasi Jabatan Struktural Di Lingkungan Pemerintah Kota Singkawang Berdasarkan Eselon Keadaan Tahun 2009 – 2011 17 4.7 Jenis Kelamin Pejabat Struktural Di Lingkungan Pemerintah Kota Singkawang Berdasarkan Eselon Keadaan Tahun 2009 – 2011 18 4.8 Data Pangkat/Golongan Ruang Pejabat Struktural Di Lingkungan Pemerintah Kota Singkawang Berdasarkan Eselon Keadaan Tahun 2009 – 2011 19 4.9 Data Pejabat Struktural Di Lingkungan Pemerintah Kota Singkawang Yang Sudah/Belum Mengikuti Diklatpim Berdasarkan Eselon dan SKPD Keadaan Tahun 2009 – 2011 19 4.10 Data Pendidikan Pejabat Struktural Di Lingkungan Pemerintah Kota Singkawang Berdasarkan Eselon Keadaan Tahun 2009 – 2011 20 4.11 Data Pegawai di Lingkungan Pemerintah Kota Singkawang Yang Mengikuti Tugas Belajar / Izin Belajar Keadaan Tahun 2009 – 2011 20 4.12 Mutasi Pegawai Pemerintah Kota Singkawang Berdasarkan Masuk, Keluar, Berhenti dan Meninggal Keadaan Tahun 2009 – 2011 21 Database Kota Singkawang Tahun 2011 | iii
  • 5.
    4.13 Data Jumlah Pegawai Pemerintah Kota Singkawang Yang Naik Pangkat Berdasarkan SKPD dan Periode Usulan Kenaikan Pangkat Yang Disetujui Keadan 31 desember 2011 21 4.14 CPNS Yang Diterima Pemerintah Kota Singkawang Dari Jalur Umum Berdasarkan Nama Jabatan/ Jenis Formasi dan Pendidikan Tahun Anggaran 2011 23 4.15 CPNS Yang Diterima Pemerintah Kota Singkawang Dari Jalur Pegawai Tidak Tetap (PTT) Berdasarkan Nama SKPD, Nama Jabatan / Jenis Formasi dan Pendidikan TA 2009 – 2011 25 4.16 Jumlah Karyawan PDAM Kota Singkawang Berdasarkan Status, Jenis Kelamin dan Pendidikan Keadaan Tahun 2009 – 2011 26 Tabel 5.1 Indeks Pembangunan Manusia (IPM) Kota Singkawang Periode Tahun 2008 – 2011 27 5.2 Jumlah Penduduk Kota Singkawang Berdasarkan Kelurahan dan Kecamatan Tahun 2009 - 2010 28 5.3 Jumlah Penduduk Kota Singkawang Berdasarkan Kelurahan dan Kecamatan Keadaan 31 Desember 2011 29 5.4 Jumlah Penduduk Kota Singkawang Menurut Kelompok Umur Tahun 2009 – 2011 30 5.5 Jumlah Penduduk Kota Singkawang Menurut Kelompok Umur Keadaan Tahun 2009 – 2011..... 30 5.6 Mutasi Penduduk Kota Singkawang (Yang Dilaporkan) Berdasarkan Kecamatan, Jumah Penduduk dan Jenis Mutasi Keadaan Tahun 2009 – 2011 31 5.7 Jumlah Penduduk Kota Singkawang Berdasarkan Kecamatan dan Pemeluk Agama Keadaan Tahun 2009 – 2011 32 5.8 Jumlah WNA Yang Melaporkan Kehadirannya Ke Kantor Imigrasi Klas II Singkawang Berdasarkan Bulan Dan Asal Negara Keadaan Per 31 Desember 2011 33 5.9 Jumlah Paspor Yang Dikeluarkan Kantor Imigrasi Klas II Singkawang Berdasarkan Bulan Dan Halaman Paspor Periode Januari s/d Desember 2011 33 5.10 Pembuatan Kartu Penduduk (KTP) Di Kota Singkawang Berdasarkan Bulan Dan Kecamatan Keadaan Per 31 Desember 2011 34 5.11 Akta Pencatatan Sipil Yang Dikeluarkan Berdasarkan Bulan Dan Kecamatan Keadaan Per 31 Desember 2011 35 Tabel 6.1 Indikator Pendidikan di Kota Singkawang Periode 2008 – 2011 38 6.2 Kondisi Guru Di Kota Singkawang Keadaan Per Tahun Pelajaran 2008 – 2011 38 6.3 Status Kepegawaian Guru Di Kota Singkawang Keadaan Per Tahun Pelajaran 2008 – 2011 ……. 39 6.4 Guru Yang Telah Lulus Sertifikasi di Kota Singkawang Keadaan Tahun Pelajaran 2008/2009 2009/2010 dan 2010/2011 39 6.5 Nama Guru Negeri Yang Diperbantukan Di TK Berdasarkan Jenjang Sekolah Keadaan Pada Tahun Pelajaran 2008 – 2011 40 6.6 Jumlah Pengawas Sekolah Di Kota Singkawang Berdasarkan Jenjang Sekolah Keadaan Tahun Pelajaran 2008 – 2011 40 6.7 Jumlah PAUD Di Kota Singkawang Berdasarkan Kecamatan Keadaan Tahun Pelajaran 2008 – 2011 41 6.8 Jumlah TK Di Kota Singkawang Berdasarkan Kecamatan Keadaan Tahun Pelajaran 2008–2011 41 6.9 Jumlah Sekolah dasar/Madrasah Ibtidaiyah Di Kota Singkawang Berdasarkan Kecamatan Keadaan Tahun Pelajaran 2008 – 2011 41 6.10 Hasil Proses Belajar Mengajar SD Negeri, SD Swasta dan Madrasah Ibtidaiyah Di Kota Singkawang Berdasarkan Kecamatan Keadaan Tahun Pelajaran 2008 - 2011 42 6.11 Jumlah Sekolah Menengah Pertama, Madrasah Tsanawiyah Di Kota Singkawang Berdasarkan Kecamatan Keadaan Tahun Pelajaran 2008 – 2011 42 6.12 Hasil Proses Belajar Mengajar Sekolah Menengah Pertama, Madrasah Tsanawiyah Di Kota Singkawang Berdasarkan Kecamatan Keadaan Tahun Pelajaran 2008- 2011 43 Database Kota Singkawang Tahun 2011 | iv
  • 6.
    6.13 Jumlah Sekolah Menengah Atas, Madrasah Aliyah Di Kota Singkawang Berdasarkan Kecamatan Keadaan Tahun Pelajaran 2008 – 2011 43 6.14 Hasil Proses Belajar Mengajar Sekolah Menengah Atas, Madrasah Aliyah Di Kota Singkawang Berdasarkan Kecamatan Keadaan Tahun Pelajaran 2008 - 2011 44 6.15 Jumlah Sekolah Menengah Kejuruan Di Kota Singkawang Berdasarkan Kecamatan Keadaaan Tahun Pelajaran 2008 – 2011 45 6.16 Hasil Proses Belajar Mengajar Sekolah Menengah Kejuruan Di Kota Singkawang Berdasarkan Kecamatan Keadaan Tahun Pelajaran 2009/2011 45 6.17 Jumlah Lembaga Kursus Yang Ada Di Kota Singkawang Berdasarkan Kecamatan Keadaan Per 31 Desember 2011 46 6.18 Layanan Kegiatan Kantor Perpustakaan dan Kearsipan Kota Singkawang Periode Januari s/d 31 Desember 2011 46 6.19 Jumlah Buku Yang Ada Di Kantor Perpustakaan dan Kearsipan Kota Singkawang Berdasarkan Klasifikasi Buku dan Jumlah Buku Per Ruangan Per 31 Desember 2011 47 6.20 Sumbangan Buku Yang Diterima Kantor Arsip dan Perpustakaan Dari Masyarakat Keadaan Per 31 Desember 2011 47 Tabel 7.1 Indikator Kesehatan Kota Singkawang Keadaan Tahun 2009 - 2011 60 7.2 Jumlah Tenaga Medis, Paramedis, dan Tenaga Kesehatan Lain di Kota Singkawang Keadaan Tahun 2009 - 2011 61 7.3 Jumlah Tenaga Medis, Bidan dan Para Medis Praktek Di Kota Singkawang Keadaan Tahun 2008 - 2011 62 7.4 Sarana/Fasilitas Kesehatan Di Kota Singkawang Keadaan Tahun 2009 - 2011 62 7.5 Apotek Di Kota Singkawang Keadaan Per 31 Desember 2011 63 7.6 Toko Obat Di Kota Singkawang Keadaan Per 31 Desember 2011 63 7.7 Rumah Sakit Di Singkawang Keadaan Per 31 Desember 2011 64 7.8 Harga Kamar Rumah Sakit Di Kota Singkawang Berdasarkan Kelas Keadaan Per 31 Desember 2011 64 7.9 Jenis Pelayanan Rumah Sakit Di Kota Singkawang Berdasarkan Poliklinik Yang Tersedia Keadaan Per 31 Desember 2011 64 7.10 Fasilitas Pelayanan Penunjang Medis Rumah Sakit Di Kota Singkawang Keadaan Per 31 Desember 2011 65 7.11 Jumlah Tenaga Medis, dan Paramedis Tenaga Kesehatan Lain Di Rumah Sakit Di Kota Singkawang Keadaan Tahun 2009 – 2011 65 7.12 Jumlah Pasien RSUD Dr. Abdu Aziz Berdasarkan Jenis Rawatan dan Daerah Asal Keadaan Tahun 2008 – 2011 66 7.13 10 Jenis Penyakit Rawat Jalan Yang Dominan Di RSUD Dr. Abdul Aziz Singkawang Berdasarkan Bulan Dan Jumlah Pasien Sesuai Jenis Penyakit Keadaan Per 31 Desember 2011 67 7.14 10 Jenis Penyakit Rawat Inap Yang Dominan Di RSUD Dr. Abdul Aziz Singkawang Berdasarkan Bulan Dan Jumlah Pasien Sesuai Jenis Penyakit Keadaan Per 31 Desember 2011 67 7.15 10 Jenis Penyakit Penyebab Kematian Yang Dominan Di RSUD Dr. Abdul Aziz Singkawang Berdasarkan Bulan Dan Jumlah Pasien Sesuai Jenis Penyakit Keadaan Per 31 Desember 2011 68 7.16 Jumlah Donor Darah Di Kota Singkawang Berdasarkan Golongan Darah Keadaan Tahun 2009 – 2011 68 7.17 Ketersediaan Darah dan Permintaan Darah Di Kota Singkawang Keadaan Tahun 2009-2011 68 7.18 Jumlah Puskesmas Kecamatan Di Singkawang Keadaan Per 31 Desember 2011 69 7.19 Nama Puskesmas dan Jenis Pelayanan Puskesmas Di Kota Singkawang Keadaan Per 31 Desember 2011 69 7.20 Fasilitas Pelayanan Penunjang Medis Di Puskesmas Keadaan Per 31 Desember 2011 69 Database Kota Singkawang Tahun 2011 |v
  • 7.
    7.21 Tenaga Yang Ada Di Puskesmas Berdasarkan Nama Puskesmas,Jumlah Tenaga Medis dan Paramedis Keadaan Tahun 2009 – 2011 70 7.22 Jumlah Pasien Rawat Jalan dan Rawat Inap Di Puskesmas Kecamatan Di Kota Singkawang Keadaan Tahun 2009 – 2011 70 7.23 Jenis Penyakit Rawat Jalan Yang Dominan Di Puskesmas Berdasarkan Jenis Penyakit dan Jumlah Pasien Setiap Puskesmas Keadaan Tahun 2010 – 2011 71 7.24 Jenis Penyakit Rawat Inap Yang Dominan Pada Puskesmas Di Kota Singkawang Keadaan Tahun 2009 – 2011 72 7.25 Kasus Demam Berdarah Di Kota Singkawang Keadaan Tahun 2009 – 2011 72 7.26 Penderita TBC Paru Yang Ditemukan Di Kota Singkawang Keadaan Tahun 2009 – 2011 73 7.27 Kasus Campak Pada Balita Yang Terdeteksi Di Kota Singkawang Keadaan Tahun 2009 – 2011 73 7.28 Imunisasi Campak Pada Bayi Di Kota Singkawang Keadaan Tahun 2009 – 2011 73 7.29 Jumlah Kelahiran dan Kematian Bayi dan Balita Di Kota Singkawang Keadaan Per 31 Desember 2011 74 7.30 Jumlah Kematian Neonatal (Baru Lahir) Di Kota Singkawang Keadaan Tahun 2009 – 2011 ..... 74 7.31 Pemantauan Status Gizi Balita Di Kota Singkawang Keadaan Tahun 2009 – 2011 74 7.32 Pemantauan Status Gizi Balita Di Kota Singkawang Berdasarkan Kelompok Umur Keadaan Per 31 Desember 2011 75 7.33 Jumlah Bayi Di Kota Singkawang Yang Mendapat Imunisasi dan Jenis Imunisasi Keadaan Per 31 Desember 2011 75 7.34 BBLR Di Singkawang Tahun Tahun 2009 – 2011 75 7.35 Jumlah Kunjungan Neonatus, Bayi dan Bayi Lahir Yang Ditangani Keadaan Per 31 Desember 2011 76 7.36 Akses Pelayanan Ibu Hamil (K1) dan Cakupan Pelayanan Ibu Hamil (K4) Di Kota Singkawang Keadaan Tahun 2009 – 2011 76 7.37 Jumlah Wanita Usia Subur Dengan Status Immunisasi TT (WUS Hamil + Tidak Hamil ) Berdasarkan Kecamatan, Jumlah Ibu Hamil, Jumlah Yang Mendapat Imunisasi TT1 dan TT 2 Keadaan Tahun 2009 – 2011 76 7.38 Jumlah Ibu Hamil Di Kota Singkawang Yang Mendapat Tablet Fe1 dan Fe 2 Keadaan Tahun 2009 – 2011 77 7.39 Jumlah Ibu Bersalin Di Kota Singkawang Ditolong Tenaga Kesehatan Keadaan Tahun 2009 – 2011 77 7.40 Jumlah Kematian Ibu Maternal Di Kota Singkawang Keadan Tahun 2009 – 2011 77 7.41 Jumlah Kematian Ibu Melahirkan di Singkawang dan Penyebabnya Keadaan Tahun 2009–2011 78 7.42 Data Pos Yandu Yang Ada Di Kota Singkawang Berdasarkan Kecamatan,/Kelurahan dan Strata Pos Yandu Keadaan Tahun 2009 – 2011 78 Tabel 8.1 Jumlah PUS, Peserta KB, Peserta KB Baru dan KB Aktif Berdasarkan Kecamatan Keadaan Tahun 2009 - 2011 80 8.2 Jumlah Peserta KB Aktif dan Persentase Peserta KB Aktif Berdasarkan Kecamatan dan Jenis Kontrasepsi Keadaan Per 31 Desember 2011 81 8.3 Pelayanan KB Berdasarkan Kecamatan, Jumlah Peserta KB Baru, Persentase Peserta KB Baru dan Alat Kontrasepsi Keadaan Per 31 Desember 2011 82 Tabel 9.1 Pelayanan Pemberian Izin Kantor Penanaman Modal dan Pelayanan Terpadu Kota Singkawang Berdasarkan Izin Yang Diberikan, Dasar Hukum Pelaksanaan Pemberian Izin Keadaan Per 31 Desember 2011 84 9.2 Izin Yang Dikeluarkan Berdasarkan Jenis Izin dan Bulan Keadaan 31 Desember 2011……….. 85 Database Kota Singkawang Tahun 2011 | vi
  • 8.
    9.3 KTP Tercetak dan Belum Tercetak Menurut Jumlah Penduduk Wajib KTP Kota Singkawang Keadaan Per 31 Desember 2011 86 9.4 Penerbitan Kartu Tanda Penduduk (KTP)Di Kota Singkawang Berdasarkan Bulan dan Kecamatan Keadaan Per 31 Desember 2011 87 9.5 Akta Catatan Sipil yang Dikeluarkan Berdasarkan Bulan Dan Kecamatan Keadaan Per 31 Desember 2011 ………………………………………………………………………………………. 88 9.6 Jumlah Pelayanan dan Pengaduan Pencemaran / Kerusakan Lingkungan Hidup Di Kota Singkawang Keadaan Tahun 2009 - 2011 88 9.7 Kondisi Lampu Penerangan Jalan Umum Kota Singkawang Keadaan Tahun 2009-2011 89 9.8 Jumlah SIM Yang Di Keluarkan Polres Singkawang Periode Januari s/d Desember 2011 89 9.9 Jumlah Paspor Yang Dikeluarkan Kantor Imigrasi Singkawang Berdasarkan Bulan dan Halaman Paspor Keadaan Tahun 2009-2011 90 Tabel 10 Tidak Ada Lampiran Tabel 11.1 Kondisi Jalan Berdasarkan Status Keadaan Per 31 Desember 2011 93 11.2 Data Pembangunan Jalan Di Kota Singkawang Berdasarkan Kecamatan/Kelurahan,Nama Jalan/Gang, Panjang Jalan, Status Jalan dan Sumber Dana Keadaan Per 31 Desember 2011 93 11.3 Data Peningkatan Jalan Di Kota Singkawang Berdasarkan Kecamatan/Kelurahan, Nama Jalan/Gang, Panjang Jalan, Status Jalan Dan Sumber Dana Keadaan Per 31 Desember 2011 94 11.4 Data Pembangunan Jembatan Di Kota Singkawang Berdasarkan Kecamatan/Kelurahan,Nama Jalan/Gang, Panjang Jalan, Status Jalan Dan Sumber Dana Keadaan Per 31 Desember 2011 94 11.5 Kondisi Jembatan Berdasarkan Status Keadaan Tahun 2009-2011 95 11.6 Kondisi Saluran Drainase Di Kota Singkawang Berdasarkan Kecamatan/Kelurahan, Tempat/Lokasi, Panjang Saluran Drainase, Jenis Saluran Drainase, Tipikal Bangunan Struktur Saluran dan Kondisi Keadaan Per 31 Desember 2011 95 11.7 Data Pembangunan Irigasi Di Kota Singkawang Berdasarkan Kecamatan/Kelurahan, Tempat/Lokasi, Panjang Saluran Irigasi, Jenis Irigasi dan Sumber Dana Keadaan Per 31 Desember 2011 96 11.8 Fasilitas Olahraga Yang Ada Di Kota Singkawang Keadaan Per 31 Desember 2011 99 Tabel 12.1 Perkembangan PDRB Kota Singkawang Atas Dasar Harga Berlaku Tahun 2009-2011 102 12.2 Perkembangan PDRB Kota Singkawang Atas Dasar Harga Konstan Tahun 2009-2011 102 12.3 PDRB Perkapita Kota Singkawang Atas Dasar Harga Berlaku dan Harga Konstan 2000 Tahun 2009-2011 103 12.4 Pertumbuhan Ekonomi Kota Singkawang Atas Dasar Harga Konstan Tahun 2009-2011 103 12.5 Tingkat Inflasi Di Kota Singkawang Tahun 2009-2011 103 12.6 Distribusi Persentase Produk Domestik Bruto Atas Dasar Harga Berlaku Tahun 2009-2011 104 12.7 Distribusi Persentase Produk Domestik Regional Bruto Atas Dasar Harga Konstan 2000 Tahun 2009 -2011 104 12.8 Simpanan dan Pinjaman Masyarakat Kota Singkawang Di Bank Umum dan BPR Dalam Rupiah dan Valuta Asing Periode Januari s/d Desember 2011 105 12.9 Posisi Simpanan Masyarakat Kota Singkawang Di Bank Umum dan BPR Dalam Rupiah dan Valuta Asing Berdasarkan Jenis Simpanan Periode Januari s/d Desember 2011 105 12.10 Posisi Pinjaman Masyarakat Kota Singkawang Yang Diberikan Bank Umum dan BPR Dalam Rupiah dan Valuta Asing Berdasarkan Sektor Ekonomi Periode Januari s/d Desember 2011 106 12.11 Posisi Pinjaman Masyarakat Kota Singkawang Yang Diberikan Bank Umum dan BPR Dalam Rupiah dan Valuta Asing Berdasarkan Jenis Penggunaan Periode Januari s/d Desember 2011 107 12.12 Posisi Kredit Mikro, Kecil dan Menengah Masyarakat Kota Singkawang Yang Diberikan Bank Umum dan BPR Berdasarkan Plafond Kredit Periode Januari s/d Desember 2011 107 Database Kota Singkawang Tahun 2011 | vii
  • 9.
    12.13 Posisi KreditMikro, Kecil dan Menengah Masyarakat Kota Singkawang Yang Diberikan Bank Umum dan BPR Berdasarkan Sektor Ekonomi Periode Januari s/d Desember 2011 108 12.14 Posisi Kredit Mikro, Kecil dan Menengah Masyarakat Kota Singkawang Yang Diberikan Bank Umum dan BPR Berdasarkan Jenis Penggunaan Periode Januari s/d Desember 2011 109 12.15 Penyaluran Pinjaman Melalui Perum Pegadaian Singkawang Berdasarkan Bulan, Jumlah Nasabah, Jenis Barang yang Digadai dan Jumlah Pinjaman yang Diberikan Keadaan Per 31 Desember 2011 109 12.16 Pinjaman Masyarakat yang Tidak Dikembalikan Pada Perum Pegadaian Berdasarkan Bulan, Jumlah Nasabah, Jenis Barang yang Digadai dan Jumlah Pinjaman Yang Tidak Dikembalikan Keadaan Per 31 Desember 2011 110 12.17 Pengembalian Pinjaman Masyarakat Pada PT. Pengadaian Persero Singkawang Berdasarkan Bulan, Jumlah Nasabah, Jenis Barang Yang Digadai dan Jumlah Pinjaman Yang Dikembalikan Keadaan Per 31 Desember 2011 ................................................................................................. 110 12.18 Pengiriman Uang Melalui Kantor Pos Singkawang Berdasarkan Bulan, Jumlah Uang Yang Dikirim dan Di Terima Periode Januari s/d Desember 2011 111 12.19 Jumlah Pelanggan PDAM Kota Singkawang Berdasarkan Kategori Pelanggan Keadaan Tahun 2009,2010 dan 2011 111 12.20 Jumlah Distribusi Air Pada PDAM Kota Singkawang Berdasarkan Kategori Pelanggan Keadaan 2009,2010 dan 2011 112 12.21 Sumber Air Baku PDAM Kota Singkawang Berdasarkan Bulan, Sumber Air Baku dan Rata-Rata Debit Air Periode Januari s/d Desember 2011 112 12.22 Penerimaan PDAM Singkawang Dari Air Yang Disalurkan Berdasarkan Kategori Pelanggan Periode Januari s/d Desember 2011 113 12.23 Pengeluaran Pada PDAM Kota Singkawang Berdasarkan Jenis Pengeluaran dan Bulan Periode Januari s/d Desember 2011 114 Tabel 13.1 Ringkasan APBD Kota Singkawang Tahun Anggaran 2009 - 2011 116 13.2 Ringkasan Perubahan APBD Kota Singkawang Tahun Anggaran 2009 - 2011 117 13.3 Rencana dan Realisasi Pendapatan Daerah Kota Singkawang Tahun Anggaran 2009 – 2011…. 118 13.4 Penerimaan Pajak Daerah Kota Singkawang Berdasarkan Jenis, Target dan Realisasi Keadaan Tahun 2009 - 2011 119 13.5 Target Dan Realisasi Penerimaan PBB Sektor Perkotaan Di Kota Singkawang Keadaan Tahun 2009 - 2011 121 13.6 Pajak Pemerintah Provinsi Kalimantan Barat Yang Dipungut Di Singkawang Keadaan Per 31 Desember 2011 122 13.7 Jumlah Pajak Pemerintah Pusat Yang Dibayar Masyarakat Singkawang Pada Kantor Pelayanan Pajak Pratama Singkawang Tahun 2010 dan Tahun 2011............................................................... 122 13.8 Penerimaan Retrebusi Daerah Kota Singkawang Berdasarkan Jenis, Target dan Realisasi Keadaan Tahun 2009 - 2011 123 13.9 Alokasi APBD Kota Singkawang Berdasarkan SKPD dan Besarnya Alokasi Anggaran Tahun Angaran 2010 - 2011 (Setelah Perubahan) 124 13.10 Pemerintah Kota Singkawang Rekapitulasi Register SP2D Per Bulan Ta 2010 Belanja LS dan TLS (Non Gaji) Bulan Januari s/d Desember 2011 125 13.11 Pertanggungjawaban Penggunaan APBD Kota Singkawang Berdasarkan Bulan Tahun Anggaran 2009 - 2011 129 13.12 Pertanggungjawaban Penggunaan APBD Kota Singkawang Berdasarkan SKPD dan Besarnya Penyampaian Pertanggungajwaban Per Bulan Tahun Anggaran 2011 130 13.13 Realisasi Fisik dan Keuangan Penggunaan APBD Kota Singkawang Berdasarkan SKPD, Jumlah Program/Kegiatan dan Pagu Dana Keadaan Tahun 2010 dan 2011 132 Database Kota Singkawang Tahun 2011 | viii
  • 10.
    Tabel 14.1 Jumlah Tanah Milik Pemerintah Kota Singkawang Berdasarkan Jumlah Obyek Tanah, Luas dan Sertifikat Keadaan Tahun 2009 - 2011 134 14.2 Jumlah Kendaraan Bermotor Milik Pemerintah Kota Singkawang Berdasarkan Jenis, Asal / Cara Perolehan dan Kondisi Kendaraan Per 31 Desember 2011 134 Tabel 15.1 Rekapitulasi Industri Kecil dan Menengah Di Kota Singkawang Keadaan Per 31 Desember 2011 135 15.2 Jumlah Pedagang Di Kota Singkawang Berdasarkan Lokasi Pasar Keadaan Per 31 Desember 2011 136 15.3 Jumlah Pedagang Pasar Beringin Berdasarkan Jenis Dagangan Jumlah Pedagang dan Sifat Usaha Keadaan Per 31 Desember 2011 137 15.4 Jumlah Pedagang Pasar Alianyang Berdasarkan Jenis Dagangan Jumlah Pedagang dan Sifat Usaha Keadaan Per 31 Desember 2011 137 15.5 Jumlah Pedagang Di Luar Pasar Beringin dan Alianyang/Kuala Berdasarkan Jenis Dagangan Jumlah Pedagang dan Sifat Usaha Keadaan Per 31 Desember 2011 138 15.6 Harga Bahan Kebutuhan Pokok Di Kota Singkawang Berdasarkan Nama Bahan Pokok dan Harga Setiap Bulan Keadaan Januari - Desember 2011 139 15.7 Banyaknya Pengusaha Pemilik SIUP Berdasarkan Kecamatan, Klasifikasi Usaha dan Jumlah Keadaan Per 31 Oktober 2011 140 15.8 Gudang Yang Ada Di Singkawang Berdasarkan nama Gudang, Lokasi/Alamat, Pemilik dan Luas Keadaan Per 31 Desember 2011 140 Tabel 16.1 Jumlah Koperasi Di Kota Singkawang Berdasarkan Jenis Koperasi Keadaan Tahun 2009-2011 143 16.2 Perkembangan Usaha Koperasi Di Singkawang Keadaan Tahun 2010 - 2011 144 16.3 Jumlah Usaha Mikro, Kecil dan Menengah Di Kota Singkawang Berdasarkan Kelompok Usaha Keadaan Tahun 2010 - 2011 144 16.4 Jumlah Kelompok Usaha Mikro, Kecil dan Menengah Di Kota Singkawang Berdasarkan Jenis Usaha Keadan Tahun 2010 - 2011 145 Tabel 17.1 Jumlah Tenaga Penyuluh Di Kota Singkawang Berdasarkan Jenisnya Keadaan Tahun 2009-2011 147 17.2 Luas Sawah Di Kota Singkawang Berdasarkan Jenis Pengairan Keadaan Tahun 2009- 2011 147 17.3 Jumlah Kelompok Tani dan Gapoktan Di Kota Singkawang Berdasarkan BPP dan Kecamatan Keadaan Tahun 2009 - 2011 148 17.4 Produksi Tanaman Pangan Di Kota Singkawang Berdasarkan Jenis Tanaman Keadaan Tahun 2009-2011 148 17.5 Produksi Ubi Kayu Di Kota Singkawang Berdasarkan Kecamatan Keadaan Per 31 Desember 2011 149 17.6 Produksi Jagung Di Kota Singkawang Berdasarkan Kecamatan Keadaan Per 31 Desember 2011 149 17.7 Produksi Padi Sawah Di Kota Singkawang Berdasarkan Kecamatan Keadaan Per 31 Desember 2011 149 17.8 Produksi Padi Gogo Di Kota Singkawang Berdasarkan Kecamatan Keadaan Per 31 Desember 2011 150 17.9 Produksi Ubi Jalar Di Kota Singkawang Berdasarkan Kecamatan Keadaan Per 31 Desember 2011 150 17.10 Produksi Kacang Kedelai Di Kota Singkawang Berdasarkan Kecamatan Keadaan Per 31 Desember 2011 150 17.11 Produksi Sayur-Sayuran Di Kota Singkawang Berdasarkan Jenis Tanaman Keadaan Tahun 2009 - 2011 151 Database Kota Singkawang Tahun 2011 | ix
  • 11.
    17.12 Produksi SawiDi Kota Singkawang Berdasarkan Kecamatan Keadaan Per 31 Desember 2011 152 17.13 Produksi Lobak Di Kota Singkawang Berdasarkan Kecamatan Keadaan Per 31 Desember 2011 152 17.14 Produksi Kacang Panjang Di Kota Singkawang Berdasarkan Kecamatan Keadaan Per 31 Desember 2011 152 17.15 Produksi Cabe Besar Di Kota Singkawang Berdasarkan Kecamatan Keadaan Per 31 Desember 2011 153 17.16 Produksi Cabe Rawit Di Kota Singkawang Berdasarkan Kecamatan Keadaan Per 31 Desember 2011 153 17.17 Produksi Tomat Di Kota Singkawang Berdasarkan Kecamatan Keadaan Per 31 Desember 2011 153 17.18 Produksi Terung Di Kota Singkawang Berdasarkan Kecamatan Keadaan Per 31 Desember 2011 154 17.19 Produksi Ketimun Di Kota Singkawang Berdasarkan Kecamatan Keadaan Per 31 Desember 2011 154 17.20 Produksi Labu Siam Di Kota Singkawang Berdasarkan Kecamatan Keadaan Per 31 Desember 2011 154 17.21 Produksi Kangkung Di Kota Singkawang Berdasarkan Kecamatan Keadaan Per 31 Desember 2011 155 17.22 Produksi Bayam Di Kota Singkawang Berdasarkan Kecamatan Keadaan Per 31 Desember 2011 155 17.23 Produksi Buah-Buahan Di Kota Singkawang Berdasarkan Jenis Tanaman Keadaan Tahun 2009 – 2011 156 17.24 Produksi Alpokat Di Kota Singkawang Berdasarkan Kecamatan Keadaan Per 31 Desember 2011 157 17.25 Produksi Belimbing Di Kota Singkawang Berdasarkan Kecamatan Keadaan Per 31 Desember 2011 157 17.26 Produksi Duku/Langsat Di Kota Singkawang Berdasarkan Kecamatan Keadaan Per 31 Desember 2011 157 17.27 Produksi Durian Di Kota Singkawang Berdasarkan Kecamatan Keadaan Per 31 Desember 2011 158 17.28 Produksi Jambu Biji Di Kota Singkawang Berdasarkan Kecamatan Keadaan Per 31 Desember 2011 158 17.29 Produksi Jambu Air Di Kota Singkawang Berdasarkan Kecamatan Keadaan Per 31 Desember 2011 158 17.30 Produksi Jeruk Siam Di Kota Singkawang Berdasarkan Kecamatan Keadaan Per 31 Desember 2011 159 17.31 Produksi Jeruk Besar (Bali) Di Kota Singkawang Berdasarkan Kecamatan Keadaan Per 31 Desember 2011 159 17.32 Produksi Mangga Di Kota Singkawang Berdasarkan Kecamatan Keadaan Per 31 Desember 2011 159 17.33 Produksi Manggis Di Kota Singkawang Berdasarkan Kecamatan Keadaan Per 31 Desember 2011 160 17.34 Produksi Nangka/Cempedak Di Kota Singkawang Berdasarkan Kecamatan Keadaan Per 31 Desember 2011 160 17.35 Produksi Nanas Di Kota Singkawang Berdasarkan Kecamatan Keadaan Per 31 Desember 2011 160 17.36 Produksi Pepaya Di Kota Singkawang Berdasarkan Kecamatan Keadaan Per 31 Desember 2011 161 17.37 Produksi Pisang Di Kota Singkawang Berdasarkan Kecamatan Keadaan Per 31 Desember 2011 161 Database Kota Singkawang Tahun 2011 |x
  • 12.
    17.38 Produksi RambutanDi Kota Singkawang Berdasarkan Kecamatan Keadaan Per 31 Desember 2011 161 17.39 Produksi Sawo Di Kota Singkawang Berdasarkan Kecamatan Keadaan Per 31 Desember 2011 162 17.40 Produksi Sirsak Di Kota Singkawang Berdasarkan Kecamatan Keadaan Per 31 Desember 2011 162 17.41 Produksi Sukun Di Kota Singkawang Berdasarkan Kecamatan Keadaan Per 31 Desember 2011 162 17.42 Produksi Melinjo Di Kota Singkawang Berdasarkan Kecamatan Keadaan Per 31 Desember 2011 163 17.43 Produksi Petai Di Kota Singkawang Berdasarkan Kecamatan Keadaan Per 31 Desember 2011 163 17.44 Produksi Jengkol Di Kota Singkawang Berdasarkan Jenis Tanaman Keadaan Per 31 Desember 2011 163 17.45 Produksi Perkebunan Di Kota Singkawang Berdasarkan Jenis Tanaman Keadaan Tahun 2009 – 2011 164 17.46 Produksi Kelapa Di Kota Singkawang Berdasarkan Kecamatan Keadaan Per 31 Desember 2011 165 17.47 Produksi Kelapa Hibrida Di Kota Singkawang Berdasarkan Kecamatan Keadaan Per 31 Desember 2011 165 17.48 Produksi Kokoa Di Kota Singkawang Berdasarkan Kecamatan Keadaan Per 31 Desember 2011 165 17.49 Produksi Karet Di Kota Singkawang Berdasarkan Kecamatan Keadaan Per 31 Desember 2011 166 17.50 Produksi Lada Di Kota Singkawang Berdasarkan Kecamatan Keadaan Per 31 Desember 2011 166 17.51 Produksi Kopi Di Kota Singkawang Berdasarkan Kecamatan Keadaan Per 31 Desember 2011 166 17.52 Produksi Kelapa Sawit Di Kota Singkawang Berdasarkan Kecamatan Keadaan Per 31 Desember 2011 167 17.53 Produksi Tebu Di Kota Singkawang Berdasarkan Kecamatan Keadaan Per 31 Desember 2011 167 17.54 Jumlah Pengadaan Saprodi Tanaman Pangan Di Kota Singkawang Berdasarkan Kecamatan dan Jenis Saprodi Keadaan Tahun 2009 – 2011 168 17.55 Luas Serangan Organisme Pengganggu Tumbuhan (OPT) Di Kota Singkawang Berdasarkan Jenis Tanaman Keadaan Tahun 2009 – 2011 169 17.56 Distribusi Kawasan Hutan Di Kota Singkawang Berdasarkan Fungsi Kawasan, Luas Hutan dan Persentase Keadaan Tahun 2009 – 2011 169 17.57 Luas Kawasan Hutan Di Kota Singkawang Berdasarkan Kecamatan dan Fungsi Hutan Keadaan Tahun 2009 - 2010 170 17.58 Luas Kawasan Hutan Di Kota Singkawang Berdasarkan Kecamatan dan Fungsi Hutan Keadaan Tahun 2011 171 17.59 Penyebaran Lahan Kritis Di Kota Singkawang Berdasarkan Kecamatan, Tingkat Kritis dan Jumlah Keadaan Tahun 2010 - 2011 171 17.60 Jumlah Ternak Unggas Di Kota Singkawang Berdasarkan Jenis Unggas Keadaan Tahun 2009-2011 172 17.61 Jumlah Ternak Unggas yang Dipotong Di Kota Singkawang Berdasarkan Jenis Unggas Keadaan Tahun 2009 – 2011 172 17.62 Jumlah Ternak Di Kota Singkawang Berdasarkan Jenis Ternak Keadaan Tahun 2009-2011 172 Database Kota Singkawang Tahun 2011 | xi
  • 13.
    17.63 Jumlah Ternakyang Dipotong Di Kota Singkawang Berdasarkan Jenis Keadaan Tahun 2009 – 2011 173 17.64 Jumlah Produksi Daging Ternak Di Kota Singkawang Berdasarkan Jenis Keadaan Tahun 2009 – 2011 173 17.65 Jumlah Peternak Layer Di Kota Singkawang Berdasarkan Tahun dan Jumlah Peternak Keadaan Tahun 2009 – 2011 173 17.66 Ketersediaan Kalori, Protein dan Lemak Di Kota Singkawang Keadaan Tahun 2009 - 2011 174 17.67 Ketersediaan Kalori, Protein dan Lemak Untuk Dikonsumsi Perkapita/Perhari Di Kota Singkawang Keadaan Tahun 2009 – 2011 174 17.68 Produksi Ketersedian Kelompok Komoditi Ikan di Singkawang Keadaan Tahun 2010 – 2011 174 Tabel 18.1 Data Umum Kelautan dan Perikanan Kota Singkawang Keadaan Per 31 Desember 2011 176 18.2 Jumlah Kelompok Pembudidaya Ikan Di Kota Singkawang Berdasarkan Kecamatan Keadaan Tahun 2009-2011 177 18.3 Jumlah Kelompok Nelayan Di Kota Singkawang Berdasarkan Kecamatan Keadaan Tahun 2009-2011 177 18.4 Jumlah Kelompok Masyarakat Pengawas Laut Di Singkawang Berdasarkan Kecamatan Keadaan Tahun 2009-2011 177 18.5 Jumlah Armada Yang Dimiliki Nelayan Singkawang Keadaan Per 31 Desember 2011 178 18.6 Data Jumlah Alat Tangkap Yang Dimiliki Nelayan Di Kota Singkawang Keadaan Per 31 Desember 2011 178 18.7 Jumlah Fasilitas Prasarana Penunjang Nelayan Di Kota Singkawang Keadaan Per 31 Desember 2011 179 18.8 Jumlah Produksi dan Nilai Produksi Perikanan Laut Di Kota Singkawang Keadaan Tahun 2009-2011 179 18.9 Jumlah Usaha Perikanan Di Kota Singkawang Berdasarkan Jenis Usaha di Kota Singkawang Keadaan Tahun 2009-2011 180 18.10 Jumlah Produksi Benih Ikan di Kota Singkawang Berdasarkan Jenis Ikan dan Sumber Benih Keadaaan Tahun 2009-2011 180 18.11 Data Potensi Tambak Di Kota Singkawang Keadaan Per 31 Desember 2011 181 18.12 Jumlah Usaha Tambak Di Singkawang Berdasarkan Kecamatan Keadaan Tahun 2009-2011 181 18.13 Harga Ikan Laut Di Singkawang Berdasarkan Jenis Ikan dan Harga Per Bulan (Dalam Rupiah) Keadaan Per 31 Desember 2011 182 18.14 Daftar Harga Ikan Budi Daya di Kota Singkawang Berdasarkan Jenis Ikan dan Harga Per bulan Periode Januari - Desember 2011 182 18.15 Harga Ikan Perairan Umum Di Singkawang Berdasarkan Jenis Ikan dan Harga Per Bulan (Dalam Rupiah) Keadaan Per 31 Desember 2011 183 18.16 Mangrove Yang Ada Di Kota Singkawang Berdasarkan Kecamatan, Luas Kondisi dan Yang Telah Direhabilitasi Keadaan Per 31 Desember 2001 183 Tabel 19.1 Perusahaan Oto Bus (PO) Yang Ada Di Kota Singkawang Berdasarkan Jumlah PO dan Armada/Kendaraan Yang Dimiliki Keadaan Tahun 2009-2011 185 19.2 Trayek Angkutan Umum Yang Ada Di Kota Singkawang Berdasarkan Jenis Trayek, Jumlah Trayek dan Jumlah Armada/Kendaraan Keadaan Tahun 2009-2011 185 19.3 Data Jumlah Penumpang Yang Datang dan Berangkat Dari Terminal Di Kota Singkawang Berdasarkan Bulan dan Nama Terminal Keadaan Tahun 2009-2011 186 19.4 Angkutan Sewa Khusus Di Kota Singkawang Berdasarkan Jumlah Perusahaan dan Jumlah Armada Keadaan Tahun 2008 – 2011 186 Database Kota Singkawang Tahun 2011 | xii
  • 14.
    19.5 Data Jumlah Penumpang Yang Datang dan Berangkat Menggunakan Angkutan Sewa Khusus Berdasarkan Bulan Keadaan Tahun 2009-2011 187 19.6 Pengelolaan Parkir Di Kota Singkawang Berdasarkan Jumlah Titik Parkir dan Jumlah Juru Parkir Keadaan Tahun 2008-2011 187 19.7 Jumlah Pengujian Kendaraan Bermotor Di Unit Pengujian Kendaraan Bermotor Singkawang Berdasarkan Jenis Kendaraan Yang Diuji dan Bulan Periode Januari s/d 31 Desember 2011 188 19.8 Jumlah Izin Trayek Yang Dikeluarkan Keadaan Tahun 2009 - 2011 188 19.9 Realisasi Retribusi Bidang Perhubungan Berdasarkan Jenis Retribusi Keadaan Tahun 2009-2011 189 19.10 Jumlah Kapal Yang Bersandar Di Pelabuhan Kuala dan Jumlah Barang Yang Dibongkar/Muat Periode Januari s/d 31 Desember 2011 189 19.11 Jumlah Penumpang Pesawat Udara Dari Kota Singkawang Melalui Bandara Supadio Berdasarkan Tujuan Keadaan Tahun 2009 – 2011 190 19.12 Kiriman Surat Melalui Kantor Pos Singkawang Periode Januari s/d 31 Desember 2011 190 19.13 Kiriman Barang Melalui Kantor Pos Singkawang Periode Januari s/d 31 Desember 2011 191 19.14 Jumlah Perusahaan Angkutan Barang Melalui Udara (Cargo) dan jasa Titipan Keadaan Tahun 2009 – 2011 191 19.15 Data Jumlah Barang Yang Diangkut Melalui Angkutan Udara (Cargo) Dari Singkawang Melalui Bandara Supadio Pontianak Keadaan Tahun 2009 – 2011 191 19.16 Jumlah Operator Telekomunikasi/Telekomunikasi Seluler, Menara Telekomunikasi dan Pedagang Alat/Perangkat Telekomunikasi Di Kota Singkawang Keadaan Tahun 2009-2011 192 19.17 Usaha Warung Internet dan Radio Swasta Di Kota Singkawang Keadaan Tahun 2009-2011 192 Tabel 20.1 Jumlah Usaha Sarana Pariwisata Di Kota Singkawang Berdasarkan Jenis Usaha Keadaan Tahun 2009 – 2011 194 20.2 Jumlah Kunjungan Tamu Hotel Di Kota Singkawang Keadaan Tahun 2009 – 2011 194 20.3 Jumlah Usaha Jasa Pariwisata Di Kota Singkawang Berdasarkan Jenis Usaha Keadaan Tahun 2009 – 2011 195 20.4 Jumlah Usaha Rekreasi dan Hiburan Umum Di Kota Singkawang Berdasarkan Jenis Usaha Keadaan Tahun 2009 – 2011 195 20.5 Jumlah Kunjungan Wisatawan Ke Taman Rekreasi Di Kota Singkawang Keadaan Tahun 2009 – 2011 196 20.6 Jumlah Kunjungan Wisatawan Ke Kota Singkawang Keadaan Tahun 2009 – 2011 196 20.7 Jumlah Sanggar Kesenian dan Pekerja Seni Di Kota Singkawang Keadaan Tahun 2009-2011 196 Tabel 21.1 Sebaran Keluarga Miskin Tingkat Kelurahan Se-Kota Singkawang Keadaan Tahun 2009-2011.. 198 21.2 Sebaran Keluarga Miskin Di Kota Singkawang Keadaan Tahun 2009 – 2011 199 21.3 Sebaran Keluarga Miskin Serta Prevalensinya Di Kota Singkawang Keadaan Tahun 2009 – 2011 200 21.4 Keluarga Sejahtera Di Kota Singkawang Berdasarkan Kecamatan dan Tingkat Kesejahteraan Keadaan Tahun 2010 - 2011 201 21.5 Gugatan Perceraian di Pengadilan Agama Bengkayang di Singkawang Berdasarkan Daerah Keadaan Tahun 2009 - 2011 201 21.6 Faktor-Faktor Penyebab Gugatan Perceraian di Pengadilan Agama Bengkayang di Singkawang Keadaan Tahun 2009 – 2011 202 21.7 Putusan Pengadilan Agama Bengkayang di Singkawang Berdasarkan Bulan, Jenis Keputusan dan Daerah Keadaan Tahun 2009 – 2011 203 21.8 Angkatan Kerja Di Kota Singkawang Berdasarkan Kecamatan, Jenis Pekerjaan, Jumlah yang Bekerja dan Jumlah Angkatan Kerja Keadaan Tahun 2010 – 2011 204 Database Kota Singkawang Tahun 2011 | xiii
  • 15.
    21.9 Jumlah Penduduk Usia Kerja (15 Tahun Keatas) Menurut Angkatan Kerja dan Bukan Angkatan Kerja Kota Singkawang Keadaan Tahun 2010 – 2011 204 21.10 Pengangguran Di Kota Singkawang Berdasarkan Kecamatan dan Tingkat Pendidikan Keadaan Tahun 2010 – 2011 205 21.11 Pencari Kerja Di Kota Singkawang Berdasarkan Bulan, Pendidikan dan Jenis Kelamin Keadaan Tahun 2009 – 2011 205 21.12 Perbandingan Upah Di Kota Singkawang Berdasarkan Upah Minimum Regional dan Upah Minum Kota Periode 2009 – 2011 206 21.13 Banyaknya PHK Di Kota Singkawang Berdasarkan Kecamatan Keadaan Tahun 2009-2011 206 21.14 Jumlah Transmigrasi Yang Di Tempatkan Di Kota Singkawang Berdasarkan Lokasi dan Asal Daerah Transimgran Keadaan Tahun 2009 – 2011 206 21.15 Transmigran yang Kembali Ke Daerah Asal Berdasarkan Lokasi, Jumlah Transmigrasi Yang Kembali dan Jumlah Transmigrasi Pengganti Keadaan Tahun 2009 – 2011 207 21.16 Transmigran Yang Telah Mendapatkan Lahan Usaha Berdasarkan Lokasi, SP dan Jenis Lahan Usaha Keadaan Per 31 Desember 2011 207 Tabel 22.1 Jumlah Pemuka Agama Di Kota Singkawang Menurut Sebutannya Keadaan Tahun 2009-2011 208 22.2 Jumlah Penyuluh Agama Di Kota Singkawang Berdasarkan Agama Keadaan Tahun 2009-2011.................................................................................................. 209 22.3 Data Sarana/Fasilitas Keagamaan Di Kota Singkawang Keadaan Tahun 2010- 2011 209 22.4 Jumlah Masjid Di Kota Singkawang Berdasarkan Kecamatan dan Kelurahan Keadaan Tahun 2009-2011 210 22.5 Jumlah Surau Di Kota Singkawang Berdasarkan Kecamatan dan Kelurahan Keadaan Tahun 2009-2011 210 22.6 Jumlah Gereja Kristen Katholik Di Kota Singkawang Berdasarkan Kecamatan dan Kelurahan Keadaan Tahun 2009-2011 211 21.7 Jumlah Gereja Kristen Protestan Di Kota Singkawang Berdasarkan Kecamatan dan Kelurahan Keadaan Tahun 2009-2011 211 22.8 Jumlah Vihara Di Kota Singkawang Berdasarkan Kecamatan dan Kelurahan Keadaan Tahun 2009-2011 212 22.9 Jumlah Cetya Di Kota Singkawang Berdasarkan Kecamatan dan Kelurahan Keadaan Tahun 2009-2011 212 22.10 Jumlah Pesantren Yang Ada Di Kota Singkawang Berdasarkan Kecamatan dan Santri Keadaan Tahun 2010 – 2011 213 22.11 Jumlah Taman Pendidikan AL Quran Di Kota Singkawang Berdasarkan Kecamatan dan Kelurahan Keadaan Tahun 2009 - 2011 213 22.12 Data Sekolah Minggu Kristen Protestan Di Kota Singkawang Berdasarkan Kecamatan dan Kelurahan Keadaan Tahun 2009 - 2011 214 22.13 Jumlah Sekolah Minggu Kristen Katolik Di Kota Singkawang Berdasarkan Kecamatan dan Kelurahan Keadaan Tahun 2009 - 2011 215 22.14 Jumlah Sekolah Minggu Buddha Di Kota Singkawang Berdasarkan Kecamatan dan Kelurahan Keadaan Tahun 2009 - 2011 216 22.15 Jumlah Jamaah Haji Kota Singkawang Periode 2009 - 2011 216 22.16 Wakaf di Kota Singkawang Keadaan Per 31 Desember 2011 217 22.17 Jumlah Pernikahan Yang Tercatat Di KUA Berdasarkan Kecamatan Di Kota Singkawang Keadaan Tahun 2009 – 2011 217 Tabel 23.1 Pemilu Legislatif Untuk DPRD Kota Singkawang Berdasarkan Daerah Pemilihan, Jumlah Parpol dan Jumlah Caleg Tanggal 9 April 2009 220 Database Kota Singkawang Tahun 2011 | xiv
  • 16.
    23.2 Partisipasi Masyarakat Singkawang Pada Pemilu Legislatif 9 April 2009 dan Pemilu Presiden dan Wakil Presiden 8 Juli 2009 220 23.3 Hasil Pemilu Presiden dan Wakil Presiden Di Kota Singkawang 8 Juli 2009 220 23.4 Nama Partai Politik Yang Menempatkan Calon Legislatif Di DPRD Kota Singkawang Pada Pemilu Legislatif 9 April 2009 221 23.5 Tingkat Pendidikan Anggota DPRD Kota Singkawang Keadaan Per 31 Desember 2011 221 23.6 Jenis Kelamin Anggota DPRD Kota Singkawang Keadaan Per 31 Desember 2011 222 23.7 Jumlah Fraksi Di DPRD Kota Singkawang Berdasarkan Masa Jabatan 222 23.8 Jumlah Pimpinan DPRD Kota Singkawang Berdasarkan Masa Jabatan 222 23.9 Nama Alat Kelengkapan DPRD Kota Singkawang Keadaan Tahun 2008-2009 222 23.10 Keanggotaan Komisi DPRD Kota Singkawang Keadaan Per 31 Desember 2011 223 23.11 Jumlah Produk Hukum Yang Dihasilkan DPRD Kota Singkawang Berdasarkan Jenis Keadaan Tahun 2008-2011 223 23.12 Jumlah Rapat DPRD Kota Singkawang Berdasarkan Jenis Rapat Keadaan Tahun 2008-2011 223 23.13 Jumlah Public Hearing DPRD Kota Singkawang Berdasarkan Jenis Rapat Keadaan Tahun 2008-2011 223 23.14 Jumlah Rapat Legislatif Dengan Eksekutif Yang Dilaksanakan DPRD Kota Singkawang Keadaan Tahun 2008-2011 224 23.15 Jumlah Kunjungan Kerja Anggota DPRD Kota Singkawang Keadaan Tahun 2008-2011 224 Tabel 24.1 Pengujian Limbah Cair Di Kota Singkawang Berdasarkan Jenis Usaha/Lokasi Pengujian Keadaan Tahun 2009 – 2011 225 24.2 Produksi Sampah Di Kota Singkawang Keadaan Tahun 2009 – 2011 226 24.3 TPA Kota Singkawang Berdasarkan Nama TPA, Lokasi, Luas, Pemilik, Sistem Pengolahan dan Perkiraan Waktu Pemakaian Keadaan Per 31 Desember 2011 226 24.4 Jumlah Tempat Pembuangan Sampah Sementara (TPS) Di Kota Singkawang Berdasarkan Kecamatan Keadaan Tahun 2009 – 2011 226 24.5 Sarana Kebersihan Di Kota Singkawang Berdasarkan Jenis Sarana, Jumlah dan Kondisi Keadaan Per 31 Desember 2011 227 24.6 Jumlah Tenaga Kebersihan Di Kota Singkawang Berdasarkan Status Kepegawaian Keadaan Tahun 2009 – 2011 227 24.7 Jumlah Taman Di Kota Singkawang Berdasarkan Kecamatan Keadaan Tahun 2009-2011 227 24.8 Jumlah Taman Pemakaman Umum Islam Di Kota Singkawang Berdasarkan Kecamatan Keadaan Tahun 2009 – 2011 228 24.9 Jumlah Taman Pemakaman Umum Kristen Protestan Di Kota Singkawang Berdasarkan Kecamatan Keadaan Tahun 2009 – 2011 229 24.10 Jumlah Taman Pemakaman Umum Kristen Katholik Di Kota Singkawang Berdasarkan Kecamatan Keadaan Tahun 2009 – 2011 229 24.11 Jumlah Taman Pemakaman Umum Budha Di Kota Singkawang Berdasarkan Kecamatan Keadaan Tahun 2009 – 2011 230 Database Kota Singkawang Tahun 2011 | xv
  • 17.
    Wilayah Singkawang 1. WilayahSingkawang Secara geografis Kota Singkawang terletak pada 0°44'55,85”- 01°01'21,51” Lintang Utara dan 108°51'47,6”- 109°10'19” Bujur Timur. Adapun batas-batas administrasi Singkawang adalah : Sebelah Utara berbatasan dengan Kecamatan Selakau Kabupaten Sambas Sebelah Selatan berbatasan dengan Kecamatan Sungai Raya Kepulauan Kabupaten Bengkayang Sebelah Timur berbatasan dengan Kecamatan Samalantan Kabupaten Bengkayang Sebelah Barat berbatasan dengan Laut Natuna. Kota Singkawang terdiri dari 5 (lima) Kecamatan, 26 (dua puluh enam) Kelurahan dengan luas 50.400 Ha atau 0,34% dari luas wilayah Provinsi Kalimantan Barat. Sedangkan luas masing-masing kecamatan adalah Kecamatan Singkawang Selatan 22.448 Ha, Kecamatan Singkawang Timur 16.626 Ha, Kecamatan Singkawang Utara 6.665 Ha, Kecamatan Singkawang Barat 1.806 Ha dan Kecamatan Singkawang Tengah 2.855 Ha. Jenis tanah yang ada di Kota Singkawang terdiri dari organosol seluas 3.752 Ha, allvial seluas 25.338 Ha, podsol seluas 14.276 Ha , latasol seluas 2.998 Ha dan PMK seluas 4.046 Ha. Ketinggian Kota Singkawang terdiri dari wilayah datar seluas 31.904 Ha dan wilayah bukit dan gunung 18.496 Ha. Dengan penggunaan tanah untuk pemukiman 358 Ha, industri 10 Ha, sawah irigasi non teknis 6.512 Ha, hutan belukar 3.280 Ha, kebun campuran 2.629 Ha, perkebunan 22.980 Ha, padang/semak 5.408 Ha dan lain-lain 250 Ha. Database Kota Singkawang Tahun 2011| 1
  • 18.
    Wilayah Singkawang Tabel 1.1 Perbandingan Luas Wilayah Kota Singkawang Dengan Luas Wilayah Kabupaten/Kota Di Kalimantan Barat Luas Wilayah No Kabupaten/Kota Persentase % (Km2) 1 Kabupaten Ketapang 31.240,74 21,28 2 Kabupaten Kapuas Hulu 29.842,00 20,33 3 Kabupaten Sintang 21.635,00 14,74 4 Kabupaten Sanggau 12.857,70 8,76 5 Kabupaten Melawi 10.644,00 7,25 6 Kabupaten Landak 9.909,10 6,75 7 Kabupaten Kubu Raya 6.985,20 4.75 8 Kabupaten Sambas 6.394,70 4,36 9 Kabupaten Sekadau 5.444,30 3,71 10 Kabupaten Bengkayang 5.397,30 3,68 11 Kabupaten Kayong Utara 4.568,26 3,11 12 Kabupaten Pontianak 1.276,90 0,87 13 Kota Singkawang 504,00 0,34 14 Kota Pontianak 107,80 0,07 Kalimantan Barat 146.807,00 100,00 Sumber Data : Kota Singkawang Dalam Angka 2010 Tabel 1.2 Letak Geografi Kecamatan Di Wilayah Kota Singkawang Menurut Garis Lintas dan Bujur Lintang Bujur No Kecamatan (Drj Mnt Ltg) (Drj Mnt Ltg) 1. Singkawang Selatan 0044’55,85” - 0053’51” 108051’47,6”-10903’22” 2. Singkawang Timur 0045’17” - 101’21,51” 108059’45,1”-109010’19” 3. Singkawang Utara 0056’05” - 0059’40,6” 108057’58,6”-10902’18” 4. Singkawang Barat 0053’0” - 0056’11” 108057’25”-109002’18” 5. Singkawang Tengah 0053’09” - 0056’11” 108059’10”-109002’18” Kota Singkawang 0044’55,85” - 101’21,51” 108051’47,6”-109010’19” Sumber Data : Kota Singkawang Dalam Angka 2010 Database Kota Singkawang Tahun 2011| 2
  • 19.
    Wilayah Singkawang Tabel 1.3 Batas Administrasi Kota Singkawang Menurut Kecamatan No Kecamatan Utara Selatan Barat Timur Singkawang Timur 1. Singkawang Selatan Singkawang Barat Kab. Bengkayang Laut Natuna dan Kab. Bengkayang Singkawang Utara, 2. Singkawang Timur Kab. Sambas Kab. Bengkayang Kab. Bengkayang Tengah, dan Selatan Singkawang Barat, 3. Singkawang Utara Kab. Sambas Laut Natuna Singkawang Timur Timur dan Tengah 4. Singkawang Barat Singkawang Utara Singkawang Selatan Laut Natuna Singkawang Tengah 5. Singkawang Tengah Singkawang Utara Singkawang Timur Singkawang Barat Singkawang Timur Kota Singkawang Kab. Sambas Kab. Bengkayang Laut Natuna Kab. Bengkayang Sumber Data : Kota Singkawang Dalam Angka 2010 Tabel 1.4 Luas Wilayah Kota Singkawang Menurut Jenis Tanah Jenis Tanah Luas Area N0 Kecamatan (Ha) Organosol Allvial Podsol Latasol PMK 1. Singkawang Selatan 22,448 1,052 11,784 2,880 2,988 3,744 2. Singkawang Timur 16,626 2,200 3,926 10,500 - - 3. Singkawang Utara 6,665 500 6,165 - - - 4. Singkawang Barat 1,806 - 904 600 - 302 5. Singkawang Tengah 2,855 - 2,559 296 - - Jumlah 50,400 3,752 25,338 14,276 2,988 4,046 Sumber Data : Kota Singkawang Dalam Angka 2010 Tabel 1.5 Luas Wilayah Kota Singkawang Menurut Ketinggian Wilayah Datar Wilayah Bukit dan No Kecamatan Luas Area (Ha) (Ha) Gunung (Ha) 1. Singkawang Selatan 22,448 15,348 7,100 2. Singkawang Timur 16,626 6,126 10,500 3. Singkawang Utara 6,665 6,665 - 4. Singkawang Barat 1,806 1,206 600 5. Singkawang Tengah 2,855 2,559 296 Kota Singkawang 50,400 31,904 18,496 Sumber Data : Kota Singkawang Dalam Angka 2010 Database Kota Singkawang Tahun 2011| 3
  • 20.
    Wilayah Singkawang Tabel 1.6 Penggunaan Tanah Menurut Kecamatan Di Kota Singkawang Pemukiman Irigasi Non Campuran Kampung/ Lain-Lain Perairan Terbuka Padang/ Industri Belukar Pertam bangan Teknis Semak Sawah Kebun bunan Tanah Hutan Hutan Perke Darat No Kecamatan 1 Singkawang Selatan 61 10 828 1.679 1.668 499 13,186 1,846 2,671 - - 2 Singkawang Timur 47 - 489 1.446 1.033 1.14 6,211 4,900 1,220 - 140 3 Singkawang Utara 39 - - 1.337 401 180 2,788 910 900 - - 110 4 Singkawang Barat 118 - - 505 54 460 335 - 334 - - - 5 Singkawang Tengah 93 - - 1.545 124 350 460 - 283 - - - Jumlah 358,0 10 1.317 6.512 3.28 2.629 22.98 7.656 5.408 - - 250 Sumber Data : Kota Singkawang Dalam Angka 2009 Database Kota Singkawang Tahun 2011| 4
  • 21.
    Pemerintahan 2. Pemerintahan Untuk melaksanakan urusan pemerintahan sebagaimana yang telah diatur dalam Peraturan Pemerintah Nomor 38 Tahun 2007 tentang Pembagian Urusan Pemerintahan Antara Pemerintah, Pemerintah Daerah Provinsi, dan Pemerintah Daerah Kabupaten/Kota, Pemerintah Kota Singkawang membentuk Susunan Organisasi Perangkat Daerah (SOPD) yang diatur dalam Peraturan Daerah Kota Singkawang Nomor 6 Tahun 2008 tentang Pembentukan dan Susunan Organisasi Perangkat Daerah Di Lingkungan Pemerintah Kota Singkawang. Berdasarkan Peraturan Daerah tersebut dibentuk 67 SOPD mulai dari Sekretariat Daerah, Sekretariat DPRD, Dinas, Lembaga Teknis Daerah, Sat Pol PP, Kecamatan, Kelurahan maupun UPT. Dengan demikian SOPD yang dibentuk bertambah 11 jika dibandingkan pada tahun 2008 yang hanya terdiri dari 56 SOPD. Produk hukum yang dihasilkan pada tahun 2011 terdiri dari 8 Peraturan Daerah, 23 Peraturan Walikota dan 245 Keputusan Walikota. Pada tahun 2011 berdasarkan hasil pemeriksaan yang dilakukan Inspektorat Kota Singkawang pada 120 obyek pemeriksaan terdapat 703 temuan serta merekomendasikan 703 temuan tersebut untuk ditindaklanjuti. Yang sudah ditindaklanjuti 83 temuan, 3 dalam proses dan 617 temuan masih belum ditindaklanjuti. Sedangkan kerugian negara/daerah dari hasil temuan tersebut sebesar Rp. 2.455.066.676,83,-. Jumlah kerugian negara/daerah yang sudah dikembalikan sebesar Rp. 49.438.297,85,- dan yang masih belum dikembalikan sebesar Rp. 2.405.628.378,98,-. Dalam menjalankan kewenangan yang ada Pemerintah Kota Singkawang juga dibantu organisasi kemasyarakat yang dibentuk dan tumbuh di masyarakat yaitu Rukun Warga (RW) maupun Rukun Tetangga (RT). Melalui RW maupun RT berbagai program/kegiatan yang ada disosialisasikan dan komunikasikan ke masyarakat. Jumlah RW yang ada di Kota Singkawang sebanyak 146 RW dengan 583 RT. Database Kota Singkawang Tahun 2011 | 5
  • 22.
    Pemerintahan Tabel 2.1 Organisasi Perangkat Daerah Kota Singkawang Keadaan Tahun 2008 - 2011 Jumlah Organisasi Perangkat Daerah Nama Organisasi Tahun 2008 Tahun 2009 Tahun 2010 Tahun 2011 No Perangkat Daerah Berdasarkan Perda Berdasarkan Perda Berdasarkan Perda Berdasarkan Perda No 1 Tahun 2004 No 6 Tahun 2008 No 6 Tahun 2008 No 6 Tahun 2008 1 Sekretariat Daerah 1 1 1 1 2 Sekretariat DPRD 1 1 1 1 3 Dinas 12 13 13 13 4 Lembaga Teknis Daerah 1. Badan 2 5 5 5 2. Inspektorat 1 1 1 3. RSUD 1 1 1 1 4. Kantor 3 3 3 5 Satuan Polisi Pamong Praja 1 1 1 6 Kecamatan 5 5 5 5 7 Kelurahan 26 26 26 26 8 UPT 8 7 10 10 Jumlah 56 64 67 67 Sumber Data : Bagian Organisasi Setda Kota Singkawang Tabel 2.2 Produk Hukum dan Penegakan Produk Hukum Di Kota Singkawang Keadaan Tahun 2008 - 2011 No Jenis Produk Hukum / Penegakan Tahun 2008 Tahun 2009 Tahun 2010 Tahun 2011 1 Peraturan Daerah 8 6 11 8 2 Peraturan Walikota 11 68 33 23 3 Keputusan Walikota 206 275 330 245 4 Penegakan Perda/Perwako 7 41 - - Sumber Data : Diolah Bagian PDE Setda Kota Singkawang Tabel 2.3 Hasil Pemeriksaan Inspektorat Kota Singkawang Tahun 2009 - 2011 Keadaan Tahun 2009 - 2011 No Uraian Pemeriksaan Tahun 2009 Tahun 2010 Tahun 2011 1 Jumlah Obyek Pemeriksaan 120 106 120 2 Jumlah Temuan 711 *620 703 3 Jumlah Rekomendasi 711 *620 703 4 Tindak Lanjut Hasil Pemeriksaan 1) Sudah Ditindaklanjuti *479 *264 83 2) Dalam Proses *26 *85 3 3) Belum Ditindaklanjuti *206 *271 617 5 Jumlah Kerugian Negara/Daerah (Rp.) 1,080,935,144.95 709,519,627.42 2,455,066,676.83 6 Jumlah Yang Telah Dikembalikan (Rp.) 518,609,517.43 428,282,855.99 49,438,297.85 7 Sisa (Rp.) 562,325,627.52 281,236,771.43 2,405,628,378.98 Sumber Data : Diolah Bagian PDE Setda Kota Singkawang Database Kota Singkawang Tahun 2011 | 6
  • 23.
    Pemerintahan Tabel 2.4 Jumlah RW/RT Di Kota Singkawang Berdasarkan Kecamatan dan Kelurahan Keadaan Per 31 Desember 2011 Kecamatan/ No Jumlah RW Jumlah RT Kelurahan 1 Singkawang Timur 23 62 1. Pajintan 6 20 2. Sanggau Kulor 3 11 3. Nyarumkop 7 13 4. Bagak Sahwa 2 6 5. Maya Sopa 5 12 2 Singkawang Tengah 42 169 1. Roban 13 63 2. Condong 7 38 3. Sekip Lama 7 21 4. Jawa 6 18 5. Bukit Batu 4 12 6. Sungai Wie 5 17 3 Singkawang Utara 22 87 1. Sungai Garam Hilir 4 12 2. Naram 3 8 3. Sungai Bulan 4 9 4. Sungai Rasau 2 8 5. Setapuk Kecil 2 10 6. Setapuk Besar 2 28 7. Semelagi Kecil 5 12 4 Singkawang Selatan 23 125 1. Sagatani 5 10 2. Pangmilang 3 22 3. Sijangkung 5 27 4. Sedau 10 65 5 Singkawang Barat 36 140 1. Pasiran 19 60 2. Melayu 12 60 3. Tengah 2 7 4. Kuala 3 13 Total Jumlah 146 583 Sumber Data : Camat Se Kota Singkawang Database Kota Singkawang Tahun 2011 | 7
  • 24.
    Keamanan dan Ketertiban 3.Keamanan dan Ketertiban Pada tahun 2011 gangguan keamanan dan ketertiban masyarakat yang dilaporkan ke Polres Singkawang terdapat kenaikan (1.054 kasus) bila dibandingkan tahun 2010 berjumlah 1.032 kasus. Dengan demikian jika dirata-ratakan dalam 1 hari di Kota Singkawang terjadi 2,89 kasus gangguan keamanan dan ketertiban masyarakat. Sedangkan kecelakaan lalu lintas yang terjadi selama tahun 2011 berjumlah 221 kasus dengan jumlah korban jiwa meninggal 36 orang, luka berat 78 orang dan luka ringan 224 orang. Tabel 3.1 Jumlah Gangguan Kamtibmas Dalam Wilayah Hukum Polres Singkawang Periode Tahun 2009 – 2011 Jumlah Gangguan No Bulan 2009 2010 2011 1 Januari 141 79 91 2 Pebruari 103 71 75 3 Maret 103 107 91 4 April 102 87 64 5 Mei 112 103 81 6 Juni 105 65 96 7 Juli 99 90 90 8 Agustus 102 98 86 9 September 79 76 80 10 Oktober 101 95 85 11 November 66 85 115 12 Desember 85 76 100 Jumlah 1.198 1.032 1.054 Sumber Data : Polres Singkawang Database Kota Singkawang Tahun 2011 | 8
  • 25.
    Keamanan dan Ketertiban Tabel 3.2 Data Jumlah Kecelakaan Lalu Lintas Dalam Wilayah Hukum Polres Singkawang Periode Tahun 2009 - 2011 Jumlah Korban Jumlah Jumlah Kecelakaan Meninggal Luka Luka No Bulan Kerugian Lalu Lintas Dunia Berat Ringan (Rp.) (Kasus) (Orang) (orang) (Orang) Tahun 2009 1 Januari 4 4 - 1 5,200,000 2 Pebruari 2 1 1 1 1,300,000 3 Maret 4 1 3 4 2,500,000 4 April 4 3 - 2 3,400,000 5 Mei 1 - - - 20,000,000 6 Juni 4 4 - 1 1,900,000 7 Juli 1 1 - - 100,000 8 Agustus - - - - - 9 September 9 5 5 8 8,600,000 10 Oktober 4 1 1 3 2,500,000 11 Nopember 4 2 - 4 1,250,000 12 Desember 1 1 - - 2,000,000 JUMLAH 38 23 10 24 48,750,000 Tahun 2010 JUMLAH - - - - - Tahun 2011 1 Januari 21 4 11 22 - 2 Pebruari 21 3 7 20 - 3 Maret 9 3 3 9 - 4 April 17 4 4 23 - 5 Mei 22 1 8 26 - 6 Juni 13 1 5 12 - 7 Juli 17 1 6 16 - 8 Agustus 12 3 5 13 - 9 September 16 3 6 18 - 10 Oktober 21 3 9 19 - 11 Nopember 33 6 11 27 - 12 Desember 19 4 2 19 - JUMLAH 221 36 78 224 - Sumber Data : Polres Singkawang Database Kota Singkawang Tahun 2011 | 9
  • 26.
    Keamanan dan Ketertiban Tabel 3.3 Jumlah SIM Yang Dikeluarkan Polres Singkawang Periode Januari s/d Desember 2011 Jenis SIM No Bulan Jumlah C A A Umum B1 B1 Umum B2 B2 Umum 1 Januari 811 220 3 47 9 2 4 1,096 2 Pebruari 763 212 1 42 15 4 1 1,038 3 Maret 753 232 5 53 16 2 3 1,064 4 April 501 153 6 18 13 1 - 692 5 Mei 607 188 1 50 8 - 1 855 6 Juni 649 174 3 46 17 1 5 895 7 Juli 702 206 2 60 16 3 1 990 8 Agustus 644 214 1 46 4 3 1 913 9 September 573 197 2 48 7 1 2 830 10 Oktober 569 217 2 38 10 1 2 839 11 Nopember 547 220 1 40 14 5 2 829 12 Desember 818 253 4 42 18 2 1 1,138 Jumlah 7,937 2,486 31 530 147 25 23 11,179 Sumber Data : Polres Singkawang Database Kota Singkawang Tahun 2011 | 10
  • 27.
    Kepegawaian 4. Kepegawaian Dalam menyelenggarakan kegiatan pemerintahan, pembangunan dan kemasyarakatan peranan Pegawai Negeri Sipil sangat penting. Karena bagi pemerintah daerah Pegawai Negeri Sipil merupakan unsur aparatur yang melaksanakan kegiatan tersebut dalam upaya mewujudkan tujuan yang akan dicapai sebagaimana yang termuat dalam visi dan misi daerah. Untuk melaksanakan maksud tersebut tidak bisa dilepaskan dari jumlah Pegawai Negeri Sipil yang ada di suatu daerah. Sampai dengan 31 Desember 2011 jumlah Pegawai Negeri Sipil (PNS/CPNS) Kota Singkawang sebanyak 4.666 orang terdiri dari 2.052 laki-laki dan 2.614 perempuan. Jumlah pegawai tersebut tersebar di 67 SKPD termasuk di Kelurahan dan Sekretariat KPU Kota Singkawang. Pangkat golongan ruang yang tertinggi adalah Pembina Utama Madya (IV/c) 12 orang. Yang paling banyak adalah pangkat golongan ruang Pembina (IV/a) sebanyak 1.149 orang. Jika dilihat dari tingkat pendidikan yang terbanyak S1 1.476 orang sedangkan S2 sebanyak 88 orang. Dengan diberlakukannya Peraturan Daerah Kota Singkawang Nomor 9 Tahun 2008 tentang Pembentukan dan Susunan Organisasi Perangkat Daerah Kota Singkawang, jabatan struktural yang ada sebanyak 675 formasi. Dan sampai 31 Desember 2011 formasi jabatan struktural dari Eselon II a sampai IV b yang terisi sebanyak 597 dan yang masih belum terisi 78 formasi. Sedangkan jenis kelamin pejabat struktural 404 laki-laki dan 193 perempuan. Untuk pangkat golongan ruang pejabat struktural yang paling tinggi adalah Pembina Utama Muda (IV/c) 1 orang pada jabatan eselon II a. Pangkat golongan ruang yang paling rendah adalah Penata Muda (III/a) pada jabatan eselon IV b sebanyak 3 orang. Sedangkan pejabat struktural eselon II yang telah mengikuti Pendidikan dan Latihan Tingkat II 6 orang yang belum 2 orang. Pejabat struktural eselon III yang sudah mengikuti Pendidikan dan Latihan Tingkat III 46 orang yang belum 12 orang. Dan pejabat struktural eselon IV yang sudah mengikuti Pendidikan dan Latihan Tingkat IV 206 orang yang belum 240 orang. Pendidikan pejabat struktural yang paling banyak adalah SLTA sebanyak 237 pejabat baik dari eselon IV a maupun eselon IV b. S2 sebanyak 68 orang, S1 224 orang, D4 21 orang, D3 39 orang, D2 2 orang dan D1 6 orang. Untuk meningkatkan kualitas sumber daya manusia Pegawai Negeri Sipil di Lingkungan Pemerintah Kota Singkawang sampai tahun 2010 sebanyak 14 orang telah dikirim mengikuti tugas belajar mulai dari D3 sampai S2 dan yang diberikan izin belajar sebanyak 146 orang, sedangkan pada tahun 2011 yang dikirim mengikuti tugas belajar mulai dari D3 sampai S2 sebanyak 10 orang. Yang diberikan izin belajar pada periode yang sama sebanyak 310 orang. Database Kota Singkawang Tahun 2011 | 11
  • 28.
    Kepegawaian Selama tahun 2010 Pemerintah Kota Singkawang menerima pindahan Pegawai Negeri Sipil dari daerah lain sebanyak 14 orang dan pada tahun 2011 sebanyak 17 orang, Pegawai Negeri Sipil Kota Singkawang yang pindah ke daerah lain sebanyak 29 orang pada tahun 2010 dan pada tahun 2011 sebanyak 21 orang. Pada tahun 2011 Pegawai Negeri Sipil yang pensiun 74 orang, berhenti dengan permintaan sendiri 8 orang, berhenti dengan tidak hormat 6 orang, dan yang meninggal 4 orang. Pada tahun 2011 jumlah Pegawai Negeri Sipil Kota Singkawang yang naik pangkat sebanyak 913 orang dengan rincian kenaikan pangkat pada periode April 2011 sebanyak 635 orang dan kenaikan pangkat pada periode Oktober 2011 sebanyak 278 orang. Dan ntuk Tahun Anggaran 2011 Pemerintah Kota Singkawang tidak menerima CPNS. Selain Pegawai Negeri Sipil Pemerintah Kota Singkawang juga memiliki karyawan PDAM yang merupakan satu-satunya BUMD yang ada. Karyawan PDAM sampai dengan 31 Desember 2011 berjumlah 107 orang, 97 merupakan karyawan tetap dan 10 orang karyawan honorer. Database Kota Singkawang Tahun 2011 | 12
  • 29.
    Kepegawaian Tabel 4.1 Data Pegawai (PNS/CPNS) Berdasarkan Jenis Kelamin Pada SKPD Di Lingkungan Pemerintah Kota Singkawang Keadaan Tahun 2009 - 2011 Tahun 2009 Tahun 2010 Tahun 2011 No. Nama SKPD Laki-Laki Perempuan Jumlah Laki-Laki Perempuan Jumlah Laki-Laki Perempuan Jumlah 1 2 3 4 5 6 7 8 9 10 11 1. Sekretariat Daerah 85 48 133 103 60 163 92 52 144 2. Sekretariat DPRD 28 6 34 30 12 42 30 13 43 3. Staf Ahli Walikota Singkawang 2 - 2 - - - 3 1 4 4. Dinas Pendidikan 788 1,450 2,238 829 1.541 2.370 839 1.568 2.407 5. Dinas Kesehatan 29 31 60 30 31 61 29 31 60 6. Dinas Sosial, Tenaga Kerja dan Transmigrasi 23 12 35 25 15 40 24 14 38 7. Dinas Kependudukan dan Catatan Sipil 18 7 25 20 6 26 22 13 35 8. Dinas Perhubungan, Komunikasi dan Informatika 42 7 49 41 8 49 42 7 49 9. Dinas Bina Marga, Sumber Daya Air dan Energi, Sumber Daya Mineral 38 9 47 47 9 56 48 11 59 10. Dinas Perindustrian, Perdagangan, Koperasi dan UKM 33 15 48 38 16 54 37 17 54 11. Dinas Kebudayaan, Pariwisata, Pemuda dan Olahraga 20 14 34 25 16 41 25 15 40 12. Dinas Pendapatan, Pengelolaan Keuangan dan Asset 47 21 68 52 20 72 48 22 70 13. Dinas Tata Kota, Pertanahan dan Cipta Karya 31 10 41 30 12 42 27 15 42 14. Dinas Pertanian dan Kehutanan 36 21 57 35 17 52 32 19 51 15. Dinas Kelautan dan Perikanan 25 6 31 30 8 38 30 9 39 16. Dinas Kebersihan dan Perumahan 88 3 91 94 6 100 93 6 99 17. Badan Perencanaan Pembangunan Daerah 20 7 27 21 9 30 26 7 33 18. Badan Kesatuan Bangsa Politik dan Linmas 18 6 24 22 6 28 21 6 27 19. Badan Pemberdayaan Masyarakat, Perempuan dan KB 11 16 27 15 19 34 14 23 37 20. Badan Kepegawaian dan Diklat 19 14 33 20 16 36 22 16 38 21. Badan Lingkungan Hidup 11 4 15 12 9 21 14 11 25 22. Inspektorat Kota 16 13 29 20 14 34 18 15 33 23. Rumah Sakit Umum Daerah Kelas B (RSUD) Dr. Abdul Aziz 91 234 325 90 246 336 100 261 361 24. Kantor Penyuluh Pertanian, Perikanan, Kehutanan dan Ketahanan Pangan 21 14 35 23 17 40 22 19 41 25. Kantor Perpustakaan dan Kearsipan 3 5 8 3 7 10 5 8 13 26. Kantor Penanaman Modal dan Pelayanan Terpadu 7 2 9 9 9 18 9 10 19 27. UPT Kebersihan 0 0 0 0 0 0 0 0 0 28. UPT Pasar 0 0 0 0 0 0 0 0 0 29. UPT Puskesmas Singkawang Barat 8 40 48 8 40 48 9 41 50 30. UPT Puskesmas Singkawang Tengah 20 66 86 23 74 97 22 81 103 31. UPT Puskesmas Singkawang Timur 12 42 54 13 43 56 16 44 60 32. UPT Puskesmas Singkawang Selatan 14 54 68 16 55 71 17 62 79 33. UPT Puskesmas Singkawang Utara 15 44 59 16 50 66 14 58 72 34. Satuan Polisi Pamong Praja 65 11 76 66 10 76 66 10 76 Database Kota Singkawang Tahun 2011 | 13
  • 30.
    Kepegawaian 1 2 3 4 5 6 7 8 9 10 11 35. Sekretariat Komisi Pemilihan Umum 7 5 12 3 4 7 5 5 10 36. Kecamatan Singkawang Barat 25 9 34 24 10 34 24 10 34 37. Kecamatan Singkawang Timur 20 2 22 24 4 28 24 4 28 38. Kecamatan Singkawang Tengah 19 8 27 17 12 29 17 12 29 39. Kecamatan Singkawang Selatan 20 6 26 27 5 32 27 6 33 40. Kecamatan Singkawang Utara 20 9 29 21 7 28 25 7 32 41. Kelurahan Pasiran 5 8 13 5 5 10 6 4 10 42. Kelurahan Melayu 4 4 8 4 6 10 5 6 11 43. Kelurahan Kuala 5 2 7 6 2 8 7 2 9 44. Kelurahan Tengah 3 4 7 2 2 4 2 3 5 45. Kelurahan Jawa 3 5 8 3 5 8 2 6 8 46. Kelurahan Condong 7 3 10 6 4 10 5 4 9 47. Kelurahan Roban 7 3 10 7 3 10 7 2 9 48. Kelurahan Sekip Lama 5 2 7 5 4 9 5 6 11 49. Kelurahan Bukit Batu 4 3 7 5 4 9 5 3 8 50. Kelurahan Sungai Wie 3 3 6 5 4 9 5 5 10 51. Kelurahan Setapuk Kecil 4 1 5 4 3 7 4 3 7 52. Kelurahan Setapuk Besar 5 1 6 7 3 10 4 4 8 53. Kelurahan Sungai Garam Hilir 4 3 7 4 6 10 4 4 8 54. Kelurahan Naram 2 4 6 2 6 8 2 5 7 55. Kelurahan Sungai Rasau 2 3 5 3 4 7 3 4 7 56. Kelurahan Semelagi Kecil 4 0 4 4 3 7 4 3 7 57. Kelurahan Sungai Bulan 2 2 4 3 3 6 2 2 4 58. Kelurahan Sijangkung 3 1 4 4 3 7 4 3 7 59. Kelurahan Sedau 8 - 8 6 2 8 7 2 9 60. Kelurahan Pangmilang 4 0 4 4 3 7 3 3 6 61. Kelurahan Sagatani 3 1 4 5 3 8 4 3 7 62. Kelurahan Pajintan 3 2 5 5 1 6 5 1 6 63. Kelurahan Nyarumkop 3 1 4 2 4 6 4 1 5 64. Kelurahan Mayasopa 4 - 4 6 2 8 4 2 6 65. Kelurahan Bagak Sahwa 2 0 2 4 2 6 3 3 6 66. Kelurahan Sanggau Kulor 4 1 5 6 2 8 6 1 7 67. Badan Penanggulangan Bencana Daerah Kota Singkawang 5 2 7 2 0 2 JUMLAH 1,898 2,328 4,226 2.226 2.534 4.578 2.052 2.614 4.666 Sumber Data : BKD Kota Singkawang Database Kota Singkawang Tahun 2011 | 14
  • 31.
    Kepegawaian Tabel 4.2 Jumlah Pegawai Pemerintah Kota Singkawang Berdasarkan Jenis Jabatan Keadaan Tahun 2009 - 2011 Tahun 2009 Tahun 2010 Tahun 2011 No Jenis Jabatan Pegawai Pegawai Pegawai Jumlah Jumlah Jumlah Laki-Laki Perempuan Laki-Laki Perempuan Laki-Laki Perempuan 1 Struktural 363 138 501 419 187 606 2 Fungsional a. Guru 587 1.242 1.829 700 1492 2.192 b. Penilik 3 0 3 2 0 2 c. Pengawas Sekolah 15 0 15 15 1 16 d. Dokter 7 15 22 18 20 38 e. Dokter Spesialis 5 1 6 0 0 0 g. Apoteker 1 1 2 2 2 4 f. Dokter Gigi 2 0 2 1 3 4 h. Perawat 44 126 170 50 159 209 i. Perawat Gigi 3 10 13 1 2 3 j. Bidan 0 80 80 0 88 88 k. Arsiparis 0 0 0 0 0 0 l. Pengawas Ketenagakerjaan 0 0 0 0 0 0 m. Penyuluh Pertanian 14 8 22 12 10 22 n. Penyuluh Perkebunan 0 0 0 0 0 0 o. Penyuluh Perikanan 0 0 0 2 0 2 p. Penyuluh Peternakan 0 0 0 0 0 0 m. Penyuluh KB 0 0 0 0 0 0 q. Auditor 5 1 6 5 1 6 Tidak ada data r. Pengantar Kerja 0 0 0 0 0 0 s. Perantara Hubungan Industrial 0 0 0 0 0 0 t. Pustakawan 0 0 0 0 0 0 u. Pekerja Sosial 0 0 0 0 0 0 v. Tenaga Fungsional lainya 0 0 0 0 0 0 3 Staf Umum 841 661 1.502 795 500 1.295 4 Lainnya 16 55 71 0 0 0 a. Asisten Apoteker 0 13 13 2 15 17 b. Fisiotrapis 0 2 2 0 0 0 c. Nutrisionis 3 9 12 3 17 20 d. Perekam Medis 0 1 1 0 1 1 e. Pranata Laboratorium Kesehatan 2 14 16 2 18 20 f. Radiografer 0 2 2 1 2 3 g.Refragsionis Optision 1 0 1 1 0 1 h. Sanitarian 3 9 12 6 11 17 i. Teknisi elektromedis 1 0 1 1 0 1 j. Transfusi Darah 0 3 3 0 3 3 k. Instruktur Latihan Kerja 6 2 8 6 2 8 Jumlah 1.896 2.330 4.226 2.044 2.534 4.578 Sumber Data : BKD Kota Singkawang Database Kota Singkawang Tahun 2011 | 15
  • 32.
    Kepegawaian Tabel 4.3 Pegawai Pemerintah Kota Singkawang Berdasarkan Pangkat/Golongan Ruang dan Jenis Kelamin Keadaan Tahun 2009 -2011 Pangkat/ Tahun 2009 Tahun 2010 Tahun 2011 No Golongan Ruang Laki-Laki Perempuan Jumlah Laki-Laki Perempuan Jumlah Laki-Laki Perempuan Jumlah 1 IV/d 1 0 1 2 0 2 0 0 0 2 IV/c 8 0 8 12 0 12 12 0 12 3 IV b 51 8 59 52 9 61 49 9 58 4 IV a 338 573 911 381 697 1.078 389 760 1.149 5 III/d 258 368 626 219 300 519 224 273 497 6 III/c 167 215 382 200 210 410 232 234 466 7 III/b 268 291 559 258 287 545 222 261 483 8 III/a 235 319 554 279 398 677 283 466 749 9 II/d 61 129 190 60 143 203 60 95 155 10 II/c 64 133 197 127 180 307 147 229 376 11 II/b 123 152 275 227 219 446 291 242 533 12 II/a 259 125 384 162 71 233 80 25 105 13 I/d 6 0 6 10 3 13 17 11 28 14 I/c 34 12 46 32 12 44 23 4 27 15 I/b 1 0 1 4 2 6 14 5 19 16 I/a 22 5 27 19 3 22 0 0 0 Jumlah 1,896 2,330 4,226 2.044 2.534 4.578 2.059 2.614 4.666 Sumber Data : BKD Kota Singkawang Tabel 4.4 Pegawai Pemerintah Kota Singkawang Berdasarkan Tingkat Pendidikan dan Jenis Kelamin Keadaan Tahun 2009 -2011 Tingkat Tahun 2009 Tahun 2010 Tahun 2011 No Pendidikan Laki-Laki Perempuan Jumlah Laki-Laki Perempuan Jumlah Laki-Laki Perempuan Jumlah 1 S2 55 8 63 65 11 76 74 14 88 2 S1 490 474 964 639 744 1.383 670 806 1.476 3 D4 18 7 25 24 9 33 28 13 41 4 D3 168 298 466 220 340 560 236 370 606 5 D2 201 515 716 189 478 667 192 481 673 6 D1 41 117 158 40 114 154 41 111 152 7 SLTA 766 876 1,642 714 802 1.516 672 787 1.459 8 SLTP 67 24 91 69 27 96 66 25 91 9 SD 92 9 101 84 9 93 73 7 80 Jumlah 1.898 2.328 4.226 2.044 2.534 4.578 2.052 2.614 4.666 Sumber Data : BKD Kota Singkawang Database Kota Singkawang Tahun 2011 | 16
  • 33.
    Kepegawaian Tabel 4.5 Jumlah Formasi Jabatan Struktural Di Lingkungan Pemerintah Kota Singkawang Tahun 2008, 2009, 2010 dan 2011 Jumlah Formasi No Eselon Tahun 2008 Tahun 2009 Tahun 2010 Tahun 2011 1 IIa 1 1 1 1 2 IIb 20 28 28 25 3 IIIa 83 49 51 47 4 IIIb - 70 71 68 5 IVa 231 355 365 347 6 IVb 130 152 155 109 Jumlah 465 655 671 597 Sumber Data : Bagian Organisasi Setda Kota Singkawang Tabel 4.6 Pengisian Formasi Jabatan Struktural Di Lingkungan Pemerintah Kota Singkawang Berdasarkan Eselon Keadaan Tahun 2009 -2011 No Eselon Tahun 2009 Tahun 2010 Tahun 2011 Belum Belum Belum Formasi Terisi Formasi Terisi Formasi Terisi Terisi Terisi Terisi 1 II a 1 1 - 1 1 - 1 1 - 2 II b 28 26 2 28 27 1 29 25 4 3 III a 50 *) 46 4 51 50 1 51 47 4 4 III b 70 62 8 71 70 1 70 68 2 5 IV a 359 *) 292 *) 67 365 347 16 370 344 26 6 IV b 152 74 78 155 111 41 154 112 42 Jumlah 660 501 159 671 606 60 675 597 78 Sumber Data : BKD Kota Singkawang Diolah Bagian PDE Setda Kota Singkawang Keterangan : *) Eselon III a dari KPU 1 *) Eselon IV a dari KPU 4 Database Kota Singkawang Tahun 2011 | 17
  • 34.
    Kepegawaian Tabel 4.7 Jenis Kelamin Pejabat Struktural Di Lingkungan Pemerintah Kota Singkawang Berdasarkan Eselon Keadaan Tahun 2009 -2011 Tahun 2009 Tahun 2010 Tahun 2011 Eselon No Laki-Laki Perempuan Laki-Laki Perempuan Laki-Laki Perempuan 1 II a 1 0 1 0 1 0 2 II b 25 1 26 1 23 2 3 III a 31 *) 15 34 16 32 15 4 III b 50 12 59 11 59 9 5 IV a 206 *) 86 *) 232 115 226 121 6 IV b 50 24 67 44 63 46 Jumlah 363 138 419 187 404 193 Sumber Data : BKD Kota Singkawang Diolah Bagian PDE Setda Kota Singkawang Keterangan : *) Eselon III a dari KPU 1 Lk *) Eselon IV a dari KPU 3 Lk, 1 Pr Database Kota Singkawang Tahun 2011 | 18
  • 35.
    Kepegawaian Tabel 4.8 Pangkat/Golongan Ruang Pejabat Struktural Di Lingkungan Pemerintah Kota Singkawang Berdasarkan Eselon Keadaan Tahun 2009 -2011 Tahun 2009 Tahun 2010 Tahun 2011 No Eselon Pangkat Golongan Ruang Pangkat Golongan Ruang Pangkat Golongan Ruang IV/c IV/b IV/a III/d III/c III/b III/a IV/d IV/c IV/b IV/a III/d III/c III/b III/a IV/c IV/b IV/a III/d III/c III/b III/a 1 II a 1 1 1 2 II b 4 17 5 10 15 2 9 15 1 3 III a 22 9 *) 15 23 23 4 25 21 1 4 III b 12 18 30 2 13 29 24 5 1 11 27 29 5 IV a 4*) 135 *) ) 95 58 7 142 136 61 7 150 166 24 6 IV b 24 41 9 1 30 58 22 1 56 49 3 Jumlah 5 51 36 180 121 99 9 1 10 51 61 171 171 119 22 11 51 56 181 222 73 3 Sumber Data : BKD Kota Singkawang Diolah Bagian PDE Setda Kota Singkawang Keterangan : KPU : Eselon III a Gol IV/a 1 orang Eselon IV a Gol IVa 1 orang, Gol III/d 3 orang Tabel 4.9 Data Pejabat Struktural Di Lingkungan Pemerintah Kota Singkawang Yang Sudah/Belum Mengikuti Diklatpim Berdasarkan Eselon Keadaan Tahun 2009 -2011 Tahun 2009 Tahun 2010 Tahun 2011 No Eselon Diklatpim Diklatpim Diklatpim TK II TK III TK IV TK II TK III TK IV TK II TK III TK IV Sudah Belum Sudah Sudah Belum Sudah Sudah Belum Sudah Belum Sudah Belum Sudah Belum Sudah Belum Sudah Belum 1 II a 1 1 1 2 II b 15 11 7 11 1 8 5 2 16 10 2 3 III a 33 *) 13 22 18 10 28 1 17 4 III b 23 39 21 38 11 18 11 40 5 IV a 186 *) 107 190 157 172 166 6 IV b 37 37 39 72 34 74 Jumlah 16 11 56 52 223 144 8 0 54 0 286 258 6 2 62 22 265 240 Sumber Data : BKD Kota Singkawang Diolah Bagian PDE Setda Kota Singkawang Ket : KPU : Eselon III a DiklatPim Tk III 1 orang Eselon IV a Diklatpim TK IV 3 orang Database Kota Singkawang Tahun 2011 | 19
  • 36.
    Kepegawaian Tabel 4.10 Data Pendidikan Pejabat Struktural Di Lingkungan Pemerintah Kota Singkawang Berdasarkan Eselon Keadaan Tahun 2009 -2011 Tahun 2009 Tahun 2010 Tahun 2011 No Eselon S2 S1 D4 D3 D2 D1 SLTA S2 S1 D4 D3 D2 D1 SLTA S2 S1 D4 D3 D2 D1 SLTA 1 II a 1 1 1 2 II b 11 14 1 14 12 1 13 12 3 III a 11 33 *) 2 14 34 1 1 13 34 4 III b 16 38 1 6 1 15 43 2 9 1 23 35 2 7 1 5 IV a 11 89 * ) 6 27 5 5 149 * ) 16 129 9 26 6 161 17 130 14 29 6 151 6 IV b 8 4 1 2 59 13 7 3 1 87 1 13 5 3 1 86 Jumlah 49 183 12 36 8 5 208 59 232 19 39 2 6 249 68 224 21 39 2 6 237 Sumber Data : BKD Kota Singkawang Diolah Bagian PDE Setda Kota Singkawang Ket :KPU Eselon III a Pendidikan S1 1 orang Eselon IV a Pendidikan S1 3 orang SLTA 1 orang Tabel 4.11 Data Pegawai DI Lingkungan Pemerintah Kota Singkawang Yang Mengikuti Tugas Belajar/Izin Belajar Keadaan Tahun 2009 -2011 No Jenjang Pendidikan Tahun 2009 Tahun 2010 Tahun 2010 Tugas Belajar Izin Belajar Tugas Belajar Izin Belajar Tugas Belajar Izin Belajar 1. SLTA 1 - - 2. D3 37 8 1 48 - 1 3. D4 5 2 3 18 1 6 4. S1 17 22 1 66 4 289 5. S2 54 12 9 13 5 14 Jumlah 113 44 14 146 10 310 Sumber Data : BKD Kota Singkawang Database Kota Singkawang Tahun 2011 | 20
  • 37.
    Kepegawaian Tabel 4.12 Mutasi Pegawai Pemerintah Kota Singkawang Berdasarkan Masuk, Keluar, Berhenti dan Meninggal Keadaan Tahun 2009 -2011 No Uraian Tahun 2009 Tahun 2010 Tahun 2011 1 Mutasi Masuk 93 14 17 2 Mutasi Keluar 12 29 21 3 Pensiun 52 64 74 4 Berhenti Dengan Permintaan Sendiri 2 8 5 Berhenti Dengan Tidak Hormat 1 2 6 6 Meninggal 15 14 4 Sumber Data : BKD Kota Singkawang Tabel 4.13 Data Jumlah Pegawai Pemerintah Kota Singkawang Yang Naik Pangkat Berdasarkan SKPD dan Periode Usulan Kenaikan Pangkat Yang Disetujui Keadaan 31 Desember 2011 2010 2011 No Nama SKPD April Oktober April Oktober 1 2 3 4 5 6 1 Sekretariat Daerah 35 4 34 2 2 Sekretariat DPRD 7 0 8 0 3 Sekretariat KPU 2 0 2 0 DINAS 4 Pendidikan 211 179 211 178 5 Kesehatan 14 1 14 1 6 Sosial, Tenaga Kerja dan Transmigrasi 3 1 4 2 7 Kependudukan dan Catatan Sipil 3 0 5 1 8 Perhubungan, Komunikasi dan Informatika 12 0 12 0 9 Bina Marga, Sumber Daya Air dan Energi Sumber Daya Mineral 14 0 14 0 10 Perindustrian, Perdagangan, Koperasi dan UKM 12 1 12 1 11 Pendapatan, Pengelolaan Keuangan dan Asset 13 2 11 3 12 Kebudayaan, Pariwisata, Pemuda dan Olahraga 8 2 7 3 13 Tata Kota, Pertanahan dan Cipta Karya 7 1 7 1 14 Pertanian dan Kehutanan 14 4 15 4 15 Kelautan dan Perikanan 5 1 5 1 16 Kebersihan dan Perumahan 21 0 20 0 BADAN 17 Bappeda 7 0 6 0 18 Kesatuan Bangsa dan Linmas 5 1 6 0 19 Pemberdayaan Masyarakat, Perempuan dan KB 3 0 4 1 20 Kepegawaian dan Diklat 6 3 4 3 21 Lingkungan Hidup 3 0 4 0 22 Penanggulangan Bencana Daerah 2 0 0 0 23 Badan Narkotika Nasional 0 0 2 0 24 INSPEKTORAT KOTA 10 2 8 2 25 RSUD ABDUL AZIZ 112 18 109 18 KANTOR 26 Penyuluh Pertanian, Perikanan, Kehutanan dan Ketahanan Pangan 2 2 2 2 27 Perpustakaan dan Kearsipan 1 1 0 1 Database Kota Singkawang Tahun 2011 | 21
  • 38.
    Kepegawaian 1 2 3 4 5 6 28 Penanaman Modal dan Pelayanan Terpadu 3 1 3 0 29 SATUAN POL PP 21 0 21 0 KECAMATAN 30 Singkawang Tengah 5 1 5 1 31 Singkawang Barat 6 2 6 2 32 Singkawang Timur 6 0 7 0 33 Singkawang Utara 5 4 6 5 34 Singkawang Selatan 3 1 3 2 PUSKESMAS 35 Puskesmas Singkawang Barat 2 9 2 7 36 Puskesmas Singkawang Tengah 5 11 7 13 37 Puskesmas Singkawang Timur 3 5 3 4 38 Puskesmas Singkawang Utara 11 8 13 8 39 Puskesmas Singkawang Selatan 11 3 12 2 KELURAHAN 40 Roban 3 0 3 0 41 Condong 2 0 3 0 42 Sekip Lama 1 1 1 1 43 Jawa 0 1 1 1 44 Sungai Wie 1 0 1 0 45 Bukit Batu 0 0 0 0 46 Pasiran 1 0 1 0 47 Melayu 1 2 1 2 48 Tengah 1 0 0 0 49 Kuala 2 0 1 0 50 Setapuk Kecil 0 1 0 1 51 Setapuk Besar 1 0 1 0 52 Sungai Garam Hilir 1 1 1 1 53 Naram 1 0 0 0 54 Sungai Bulan 1 0 0 0 55 Sungai Rasau 2 0 1 0 56 Semelagi Kecil 1 0 1 0 57 Pangmilang 0 0 0 0 58 Sedau 1 1 1 1 59 Sijangkung 0 0 1 0 60 Sagatani 0 0 0 0 61 Sanggau Kulor 1 1 1 1 62 Nyarumkop 0 0 0 0 63 Pajintan 1 1 1 1 64 Mayasopa 2 0 1 0 65 Bagak Sahwa 0 1 0 1 Jumlah 637 278 635 278 Sumber Data : BKD Kota Singkawang Database Kota Singkawang Tahun 2011 | 22
  • 39.
    Kepegawaian Tabel 4.14 CPNS Yang Diterima Pemerintah Kota Singkawang Dari Jalur Umum Berdasarkan Nama Jabatan / Jenis Formasi dan Pendidikan Tahun Anggaran 2011 Tahun Anggaran 2010 Tahun No Nama Jabatan / Jenis Formasi Pendidikan Anggaran Jumlah 2011 D1 D 2 D 3 D 4/S1 1 2 3 4 5 6 7 8 Tenaga Kependidikan 1 Guru TK 3 3 2 Guru SD 1) Guru Penjaskes 5 5 2) Guru Kelas 13 13 3) Guru Bahasa Inggris 12 12 3 Guru SLB Guru Kelas 4 4 4 Guru SMP 1) Guru Penjaskes 2 2 2) Guru Bimbingan Konseling 5 5 3) Guru Teknologi Informasi Komputer 7 7 4) Guru Teknologi Informasi Komunikasi 2 2 5) Guru Pendidikan Agama Islam 2 2 6) Guru Pendidikan Agama Kristen 5 5 7) Guru Agama Budha 4 4 8) Guru Agama Katholik 3 3 5 Guru SMA NIHIL 1) Guru Pendidikan Agama Islam 1 1 2) Guru Teknologi Informasi Komputer 1 1 3) Guru SMA Bimbingan Konseling 3 3 Guru SMK 1) Guru Tata Boga 1 1 2) Guru Pariwisata 1 1 3) Guru Pertanian 1 1 4) Guru Otomotif 2 2 5) Guru SMK Biologi 1 1 6) Guru Kimia 1 1 7) Guru SMK KKPI/Komputer 1 1 8) Guru SMK Administrasi Perkantoran 1 1 9) Guru SMK Seni 1 1 10) Guru SMK Permesinan 1 1 11) Guru SMK Ekonomi Pertanian 1 1 Tenaga Kesehatan 1) Apoteker 2 2 2) Asisten Apoteker 3 1 4 3) Perawat Gigi 1 1 NIHIL 4) Dokter Umum 3 3 5) Rekam Medik 1 1 6) Pranata Laboratorium Kesehatan 3 3 Database Kota Singkawang Tahun 2011 | 23
  • 40.
    Kepegawaian 1 2 3 4 5 6 7 8 7) Bidan 14 14 8) Perawat 17 7 24 9) Radiografer 1 1 10) Nutrisionis 3 1 4 NIHIL 11) Sanitarian 2 2 12) Fisioterapis 1 1 2 13) Teknisi Transfusi Darah 1 1 Tenaga Teknis Lain 1) Auditor 1 1 2) Pamong Budaya 1 1 3) Penata Laporan Keuangan 3 3 4) Analis Hukum 1 1 5) Analis Kependudukan 1 1 6) Perencana 1 1 7) Pengawas Teknis Tata Bangunan dan Perumahan 3 3 8) Pengawas Mutu Hasil Pertanian 2 2 9) Pengendali Dampak Lingkungan 1 1 10) Penguji Mutu Hasil Perikanan 2 2 11) Penerjemah 1 1 2 12) Penyuluh Pertanian 1 1 NIHIL 13) Penyuluh Sosial 1 1 14) Penyusun Program dan Evaluasi 4 4 15) Perancang Peraturan Perundang-Undangan 1 1 16) Pranata Komputer 14 4 18 17) Pengawas Teknis Pengairan 1 1 18) Pengelola Ketenagakerjaan 1 1 19) Pengawas Sistem Transportasi Darat 1 1 20) Verifikator Keuangan 2 2 21) Penyuluh Pajak Daerah 2 2 22) Arsiparis 1 1 23) Pustakawan 1 1 Jumlah 1 18 66 113 198 0 Sumber Data : BKD Kota Singkawang Database Kota Singkawang Tahun 2011 | 24
  • 41.
    Kepegawaian Tabel 4.15 CPNS Yang Diterima Pemerintah Kota Singkawang Dari Jalur Pegawai Tidak Tetap (PTT) Berdasarkan Nama SKPD, Nama Jabatan / Jenis Formasi dan Pendidikan Tahun Anggaran 2009 s/d 2012 Tahun 2009 (Formasi 2008) Tahun 2010 (Formasi 2009) (Formasi 2010) (Formasi 2011) Tahun 2011 Tahun 2012 Pendidikan Pendidikan Diterima Diterima Nama SKPD Jml Yg Jml Yg No Nama Jabatan/Jenis Formasi SLTA SLTA SLTP SLTP S1 S1 D1 D2 D3 D1 D2 D3 SD SD 1 2 3 4 5 6 7 8 9 10 11 12 13 14 15 16 17 18 19 20 1 Sekretariat Daerah 22 36 1 Tenaga Administrasi 2 3 5 1 2 Analis Perencana Jalan dan Jembatan 3 Penata Administrasi 4 Pelaksana Tata Usaha 5 Penata Usaha Arsip 6 Pengurus Pengolahan Arsip 7 Pengolah Data/Analis Data 8 Pramu Kantor 2 Sekretariat DPRD 1 Tenaga Teknis Listrik 2 Penterjemah/ Translator 3 Caraka 4 Tenaga Administrasi 1 1 1 1 Dinas Bina Marga, Sumber Daya Air dan 3 ESDM 1 2 1 Tenaga Administrasi 1 2 Analis Lingkungan 3 Penata Administrasi 1 4 Bappeda 1 Tenaga Administrasi 1 5 Dinas Kesehatan 1 Tenaga Administrasi 1 2 NIHIL NIHIL 2 Penata Usaha Arsip 3 Penghimpun Data 6 Dinas Kebersihan dan Perumahan 1 Tenaga Administrasi 2 6 2 1 2 7 Dinas Kelautan dan Perikanan 1 Penata Usaha Surat 2 2 Penghimpun Data 8 Dinas Pendidikan 1 Penata Usaha Surat 2 2 Pramu Kantor 9 RSUD Kelas B Dr. Abdul Aziz 1 Pramu Kantor 2 Tenaga Administrasi 2 10 UPT Puskesmas Singkawang Barat 1 Tenaga Administrasi 1 11 UPT Kebersihan 1 Pengawas Kebersihan Lingkungan 2 Caraka 3 Tenaga Administras 1 12 Kecamatan Singkawang Barat 1 Tenaga Administrasi 1 Database Kota Singkawang Tahun 2011 | 25
  • 42.
    Kepegawaian 1 2 3 4 5 6 7 8 9 10 11 12 13 14 15 16 17 18 19 13 Kecamatan Singkawang Timur 1 Tenaga Administrasi 1 1 2 Tenaga Administrasi Lainnya 14 Kecamatan Singkawang Utara 1 Tenaga Administrasi 2 15 Kecamatan Singkawang Selatan 1 Pelaksana Tata Usaha 2 Tenaga Administrasi 1 16 Kelurahan Sungai Wie Kec. Singkawang Tengah 1 Pengadministrasian Umum 1 1 2 Pengolah Data/Analis Data 17 Kelurahan Bukit Batu NIHIL NIHIL Kec. Singkawang Tengah 1 Penghimpun Data 2 Pramu Kantor 3 Tenaga Administrasi 2 18 Kelurahan Setapuk Besar Kec. Singkawang Utara 1 Penata Usaha Arsip 2 Pengolah Data/Analis Data 3 Tenaga Administrasi 1 1 19 SMK Negeri 3 Singkawang 1 Penata Administrasi 1 Jumlah 22 2 8 12 0 0 0 36 8 23 1 4 0 Sumber Data : BKD Kota Singkawang Tabel 4.16 Jumlah Karyawan PDAM Kota Singkawang Berdasarkan Status, Jenis Kelamin dan Pendidikan Keadaan Tahun 2009 - 2011 Status Jumah Karyawan Pendidikan Terakhir No Karyawan L P Total SD SMP SLTA D1 D2 D3 S1 Tahun 2009 1 Tetap 89 13 102 11 6 66 1 1 7 10 2 Honorer 0 9 9 9 0 0 0 0 0 0 Jumlah 89 22 111 20 6 66 1 1 7 10 Tahun 2010 1 Tetap 87 13 100 11 6 64 1 1 7 10 2 Honorer 9 0 9 9 0 0 0 0 0 0 Jumlah 96 13 109 20 6 64 1 1 7 10 Tahun 2011 1 Tetap 82 15 97 9 5 65 1 1 5 11 2 Honorer 10 0 10 8 0 1 0 0 1 0 Jumlah 92 15 107 17 5 66 1 1 6 11 Sumber Data : PDAM Kota Singkawang Database Kota Singkawang Tahun 2011 | 26
  • 43.
    Penduduk 5. Penduduk Penduduk merupakan pelaku sekaligus sasaran pembangunan. Sehingga data penduduk merupakan data pokok yang perlu diketahui karakteristiknya, (kuantitas, distribusi, komposisi dan kualitas) untuk mengetahui potensi maupun kebutuhan- kebutuhan yang diperlukan dalam rangka menuju subyek yang berkualitas. Data penduduk yang ditampilkan bersumber dari Badan Pusat Statistik Kota Singkawang dan Dinas Kependudukan dan Catatan Sipil Kota Singkawang. Dari kedua lembaga tersebut data jumlah penduduk kota Singkawang memang terlihat berbeda namun hal tersebut tidak perlu dipertentangkan terlalu jauh. Hal ini bisa terjadi karena perbedaan konsep dalam menghitung jumlah penduduk. Pada tahun 2011 jumlah penduduk kota Singkawang berdasarkan data dari Dinas Kependudukan dan Catatan Sipil Kota Singkawang sebanyak 232.936 jiwa. 119.644 jiwa berjenis kelamin laki-laki dan 113.292 jiwa berjenis kelamin perempuan. Sementara berdasarkan data dari Badan Pusat Statistik Kota Singkawang jumlah penduduk kota Singkawang sebanyak 190.801 jiwa. Penduduk dengan jenis kelamin laki-laki sebanyak 98.117 jiwa sedangkan jenis kelamin perempuan sebanyak 92.684 jiwa. Tabel 5.1 Indeks Pembangunan Manusia (IPM) Kota Singkawang Periode Tahun 2008 - 2011 Angka Rata-rata Angka Rata-rata Harapan Pengeluaran Tahun Melek Huruf Lama Sekolah IPM Peringkat No. Hidup (eo) Rill Perkapita Nasional (Tahun) (Persen) (Tahun) (Ribuan.Rp) 1 2008 66.95 89.62 7.30 611.76 68.02 355 2 2009 67.08 89.65 7.34 616.18 68.47 - 3 2010 67,21 89,66 7,40 619,65 68,86 - 4 2011 67,34 89,69 7,44 622,81 69,21 - Kalimantan Barat 2008 66.30 89.40 6.70 624.74 68.17 29 Kalimantan Barat 2009 66.45 89.70 6.75 630.34 68.79 28 Kalimantan Barat 2010 66,60 90,26 6,82 631,65 69,15 28 Kalimantan Barat 2011 66,75 90,51 6,89 635,85 69,66 - Sumber Data : Kantor Badan Pusat Statistik Singkawang Database Kota Singkawang Tahun 2011 | 27
  • 44.
    Penduduk Tabel 5.2 Jumlah Penduduk Kota Singkawang Berdasarkan Kelurahan dan Kecamatan Tahun 2009 - 2011 Kecamatan / Tahun 2009 Tahun 2010 Tahun 2011 No Kelurahan Laki-Laki Perempuan Jumlah Laki-Laki Perempuan Jumlah Laki-Laki Perempuan Jumlah 1 2 3 4 5 6 7 8 9 10 11 1 Singkawang Selatan 21.638 18.279 39.917 21.769 19.664 41.433 22.338 20.058 42.396 1 Sedau 13.824 12.024 25.848 13976 12806 26.782 14341 13063 27.404 2 Sijangkung 5.166 4.056 9.222 4596 3989 8.585 4717 4068 8.785 3 Pangmilang 1.224 991 2.215 1851 1625 3.476 1899 1658 3.557 4 Sagatani 1.424 1.208 2.632 1346 1244 2.590 1381 1269 2.650 2 Singkawang Timur 10.467 8.633 19.100 10.207 9.055 19.262 10.475 9.236 19.711 1 Pajintan 3.994 3.250 7.244 3414 3042 6.456 3503 3103 6.606 2 Sanggau Kulor 1.245 1.065 2.310 1276 1145 2.421 1309 1168 2.477 3 Bagak Sahwa 1.014 905 1.919 1440 1122 2.562 1479 1144 2.623 4 Nyarungkop 1.844 1.551 3.395 1859 1779 3.638 1908 1815 3.723 5 Mayasopa 2.370 1.862 4.232 2218 1967 4.185 2276 2006 4.282 3 Singkawang Utara 11.209 9.807 21.016 11.089 10.888 21.977 11.380 11.109 22.489 1 Sei Garam Hilir 1.857 1.675 3.532 1958 1979 3.937 2010 2018 4.028 2 Naram 1.138 925 2.063 1043 1011 2.054 1070 1032 2.102 3 Sei Bulan 992 885 1.877 1102 1081 2.183 1131 1103 2.234 4 Sei Rasau 1.078 892 1.970 995 919 1.914 1021 938 1.959 5 Setapuk Kecil 1.144 1.007 2.151 1108 1085 2.193 1137 1107 2.244 6 Setapuk Besar 3.270 2.814 6.084 3164 3057 6.221 3247 3118 6.365 7 Semelagi Kecil 1.730 1.609 3.339 1719 1756 3.475 1764 1793 3.557 4 Singkawang Barat 25.303 23.506 48.809 23.757 23.133 46.890 24.379 23.602 47.981 1 Pasiran 9.712 8.849 18.561 14628 14189 28.817 15010 14478 29.488 2 Melayu 8.419 7.733 16.152 4600 4514 9.114 4721 4605 9.326 3 Tengah 1.614 1.561 3.175 848 878 1.726 871 895 1.766 4 Kuala 5.558 5.363 10.921 3681 3552 7.233 3777 3624 7.401 5 Singkawang Tengah 28.089 25.763 53.852 28.790 28.110 56.900 29.544 28.679 58.223 1 Roban 14.070 13.033 27.103 13510 13302 26.812 13863 13572 27.435 2 Condong 4.618 4.181 8.799 4506 4311 8.817 4624 4398 9.022 3 Sekip Lama 3.864 3.586 7.450 3961 3909 7.870 4065 3988 8.053 4 Jawa 1.096 1.054 2.150 2016 2070 4.086 2069 2112 4.181 5 Bukit Batu 2.422 1.442 3.864 2277 2051 4.328 2586 2517 5.103 6 Sei Wie 2.019 2.467 4.486 2520 2467 4.987 2337 2092 4.429 Total 96.706 85.988 182.694 95.612 90.850 186.462 98.117 92.684 190.801 Sumber Data : BPS Kota Singkawang Database Kota Singkawang Tahun 2011 | 28
  • 45.
    Penduduk Tabel 5.3 Jumlah Penduduk Kota Singkawang Berdasarkan Kelurahan dan Kecamatan Keadaan 31 Desember 2011 Tahun 2009 Tahun 2010 Tahun 2011 Kecamatan / No Kelurahan Laki-Laki Perempuan Jumlah Laki-Laki Perempuan Jumlah Laki-Laki Perempuan Jumlah 1 2 3 4 5 6 7 8 9 10 11 1 Singkawang Barat 31.224 30.496 61.720 32.670 31.972 64.642 32.840 32.255 65.095 1 Kuala 4.068 3.880 7.948 4.531 4.295 8.826 4.618 4.374 8.992 2 Melayu 6.247 6.341 12.588 6.435 6.547 12.982 6.635 6.743 13.378 3 Tengah 1.138 1.106 2.244 1.197 1.179 2.376 1.144 1.130 2.274 4 Pasiran 19.771 19.169 38.940 20.507 19.951 40.458 20.443 20.008 40.451 2 Singkawang Tengah 29.953 28.648 58.601 32.515 31.190 63.705 34.365 32.182 66.547 1 Condong 5.000 4.856 9.856 5.467 5.232 10.699 5.669 5.482 11.151 2 Sekip Lama 4.038 3.843 7.881 4.352 4.123 8.475 4.654 4.490 9.144 3 Bukit Batu 2.390 2.231 4.621 2.523 2.332 4.855 2.728 1.479 4.207 4 Sei Wei 2.665 2.608 5.273 2.822 2.745 5.567 2.970 2.910 5.880 5 Jawa 2.076 2.087 4.163 2.257 2.299 4.556 2.265 2.354 4.619 6 Roban 13.784 13.023 26.807 15.094 14.459 29.553 16.079 15.467 31.546 3 Singkawang Utara 11.820 11.172 22.993 12.408 11.790 24.198 13.244 12.554 25.798 1 Sei Garam 2.028 1.986 4.014 2.193 2.179 4.372 2.338 2.251 4.589 2 Naram 1.188 1.069 2.257 1.225 1.116 2.341 1.306 1.203 2.509 3 Sei Bulan 1.147 1.059 2.206 1.228 1.130 2.358 1.356 1.246 2.602 4 Sei Rasau 1.106 1.009 2.116 1.183 1.096 2.279 1.240 1.125 2.365 5 Setapuk Kecil 1.193 1.106 2.299 1.281 1.188 2.469 1.350 1.269 2.619 6 Setapuk Besar 3.448 3.244 6.692 3.523 3.292 6.815 3.667 3.474 7.141 7 Semelangi Kecil 1.710 1.699 3.409 1.775 1.789 3.564 1.987 1.986 3.973 4 Singkawang Timur 10.759 9.614 20.373 11.273 10.299 21.572 11.584 10.647 22.231 1 Pajitan 4.084 3.628 7.712 4.393 4.037 8.430 4.488 4.172 8.660 2 Sanggau Kulor 1.423 1.293 2.716 1.502 1.400 2.902 1.600 1.453 3.052 3 Maya Sopa 2.268 1.938 4.206 2.374 2.060 4.434 2.454 2.218 4.672 4 Nyarungkop 1.879 1.713 3.592 1.872 1.748 3.620 1.858 1.692 3.550 5 Bagak Sahwa 1.105 1.042 2.147 1.132 1.054 2.186 1.184 1.112 2.296 5 Singkawang Selatan 23.082 21.054 44.136 25.358 23.346 48.704 27.611 25.654 53.265 1 Sedau 14.538 13.376 27.914 16.148 15.018 31.166 17.752 16.717 34.469 2 Sijangung 5.470 4.887 10.357 5.804 1.344 7.148 6.172 5.598 11.770 3 Pangmilang 1.747 1.578 3.325 1.930 5.246 7.176 2.099 1.912 4.011 4 Sagatani 1.327 1.213 2.540 1.476 1.738 3.214 1.588 1.427 3.015 Jumlah 106.838 100.984 207.822 114.224 108.597 222.821 119.644 113.292 232.936 Sumber Data : Dinas Kependudukan dan Catatan Sipil Kota Singkawang Database Kota Singkawang Tahun 2011 | 29
  • 46.
    Penduduk Tabel 5.4 Jumlah Penduduk Kota Singkawang Menurut Kelompok Umur Tahun 2009 - 2011 Kelompok Tahun 2009 Tahun 2010 Tahun 2011 Umur Laki-Laki Perempuan Jumlah Laki-Laki Perempuan Jumlah Laki-Laki Perempuan Jumlah 0-4 9.130 9.164 18.294 10.075 9.482 19.557 10.277 9.708 19.985 5-9 12.385 9.486 21.871 10.354 9.877 20.231 10.631 10.042 20.673 10 - 14 11.820 10.131 21.951 10.304 9.658 19.962 10.474 9.894 20.368 15 - 19 10.378 9.936 20.314 9.525 9.335 18.860 10.056 9.499 19.555 20 - 24 8.176 7.946 16.122 7.987 7.989 15.976 8.493 8.022 16.515 25 - 29 7.389 6.179 13.568 8.248 7.742 15.990 8.248 7.792 16.040 30 - 34 6.321 5.875 12.196 7.420 6.658 14.078 7.457 7.044 14.501 35 - 39 6.545 6.229 12.774 6.658 5.815 12.473 6.581 6.217 12.798 40 - 44 5.075 4.479 9.554 5.799 5.242 11.041 5.793 5.472 11.265 45 - 49 5.455 4.472 9.927 5.008 4.738 9.746 5.172 4.886 10.058 50 - 54 4.163 3.605 7.768 4.508 4.138 8.646 4.460 4.213 8.673 55 - 59 3.750 2.730 6.480 3.224 3.034 6.258 3.390 3.203 6.593 60 - 64 2.640 2.199 4.839 2.345 2.402 4.747 2.463 2.327 4.790 65 - 69 1.503 1.278 2.781 1.833 1.817 3.650 1.883 1.779 3.662 70 - 74 963 1.046 2.009 1.175 1.321 2.496 1.515 1.431 2.946 75 + 1.013 1.233 2.246 1.149 1.602 2.751 1.224 1.155 2.379 Total 96.706 85.988 182.694 95.612 90.850 186.462 98.117 92.684 190.801 Sumber Data : Kantor Badan Pusat Statistik Kota Singkawang Tabel 5.5 Jumlah Penduduk Kota Singkawang Menurut Kelompok Umur Tahun 2009 - 2011 Kelompok Laki-Laki + Perempuan Laki-Laki + Perempuan Laki-Laki + Perempuan Umur Tahun 2009 Tahun 2010 Tahun 2011 0-4 9.163 10.543 13.400 5-9 19.604 19.662 21.196 10-14 20.671 21.808 22.750 15-19 21.381 21.701 21.971 20-24 22.635 22.878 22.860 25-29 22.635 23.543 24.039 30-34 18.745 21.556 23.150 35-39 15.330 17.748 18.581 40-44 13.050 14.409 15.240 45-49 11.224 11.767 11.605 50-54 9.316 10.571 11.563 55-59 7.136 8.113 8.487 60-64 5.500 5.832 6,158 65-69 4.557 4.959 4.883 70-74 3.011 3.450 3.789 75+ 3.864 4.281 4.264 Jumlah 207.822 222.821 233.936 Sumber Data : Dinas Kependudukan dan Catatan Sipil Kota Singkawang Database Kota Singkawang Tahun 2011 | 30
  • 47.
    Penduduk Tabel 5.6 Mutasi Penduduk Kota Singkawang (Yang Dilaporkan) Berdasarkan Kecamatan, Jumah Penduduk dan Jenis Mutasi Keadaan Tahun 2009 - 2011 Tahun 2009 Tahun 2010 Tahun 2011 Jenis Mutasi Jenis Mutasi Jenis Mutasi No Kecamatan Jumlah Jumlah Jumlah Jumlah Jumlah Jumlah Jumlah Jumlah Jumlah Jumlah Jumlah Jumlah Kelahiran Kematian Datang Pindah Kelahiran Kematian Datang Pindah Kelahiran Kematian Datang Pindah 1 Singkawang Barat 363 - 23 217 738 34 354 596 727 43 1.625 1.857 2 Singkawang Tengah 309 - 42 306 546 21 622 783 738 20 2.322 1.952 3 Singkawang Utara 105 - 17 31 169 5 212 159 293 2 1.065 691 4 Singkawang Timur 108 - 7 43 158 2 76 129 197 10 667 561 5 Singkawang Selatan 109 - 18 113 662 24 241 299 516 25 1,243 834 JUMLAH 994 107 710 2.273 86 1.505 1.966 2.471 100 6.922 5.895 Sumber Data : Dinas Kependudukan dan Catatan Sipil Kota Singkawang - Kelahiran (pokok) dan Kematian berdasarkan penerbitan Akta - Kelahiran (pokok) wilayah Kota Skw Th. 2011 = 2.471 - Kelahiran (pokok) luar wilayah Kota Skw Th. 2011 = 365 Database Kota Singkawang Tahun 2011 | 31
  • 48.
    Penduduk Tabel 5.7 Jumlah Penduduk Kota Singkawang Berdasarkan Kecamatan dan Pemeluk Agama Keadaan Tahun 2009 - 2011 Tahun 2009 Tahun 2010 Tahun 2011 Konghucu Konghucu Katholik Katholik Katholik Lainnya Lainnya Lainnya Jumlah Jumlah Jumlah Kristen Kristen Kristen No Kecamatan Budha Budha Budha Hindu Hindu Hindu Islam Islam Islam 1 2 3 4 5 6 7 8 9 10 11 12 13 14 15 16 17 18 19 20 21 22 23 24 25 1 Singkawang Barat 18,322 2,850 4,010 36 35,967 535 61,720 18,537 3,580 4,349 25 37,864 35 252 64,642 18,224 3,722 4,364 20 38,607 62 96 65,095 2 Singkawang Tengah 44,104 1,511 1,274 17 11,440 255 58,601 47,560 1,864 1,540 14 12,627 13 87 63,705 50,679 2,066 1,623 12 13,096 17 54 67,547 3 Singkawang Utara 18,714 130 89 3 3,907 149 22,992 19,759 170 88 3 4,094 1 83 24,198 21,218 192 103 12 4,228 2 43 25,798 4 Singkawang Timur 5,283 2,468 7,148 9 5,319 146 20,373 5,583 2,607 7,305 7 5,965 1 104 21,572 5,872 2,722 7,458 3 6,124 1 51 22,231 5 Singkawang Selatan 14,886 2,300 3,441 59 23,293 157 44,136 16,160 2,785 3,822 55 25,802 10 70 48,704 18,387 3,246 4,185 47 27,343 17 40 53,265 JUMLAH 101,309 9,259 15,962 124 79,926 1,242 207,822 107,599 11,006 17,104 104 86,352 60 596 222,821 114,380 11,948 17,733 94 89,398 99 284 233,936 Sumber Data : Dinas Kependudukan dan Catatan Sipil Kota Singkawang Database Kota Singkawang Tahun 2011 | 32
  • 49.
    Penduduk Tabel 5.8 Jumlah WNA Yang Melaporkan Kehadirannya Ke Kantor Imigrasi Klas II Singkawang Berdasarkan Bulan Dan Asal Negara Keadaan Per 31 Desember 2011 Negara Asal WNA Jumlah No Bulan BRUNAI LESTE KNDA Total SING TWN TMR HKG RRC RUS MLS AUS USA BEL JER ING IND PHI VIE 1 Januari - 2 Pebruari 1 2 3 3 Maret 1 1 2 4 April 1 1 1 3 5 Mei 2 1 3 6 Juni 1 2 3 7 Juli 5 5 8 Agustus 5 5 9 September 4 4 10 Oktober - 11 Nopember 1 1 12 Desember 1 1 Jumlah 2011 1 - 1 - 3 - 20 1 - 1 3 - - - - - - 30 Jumlah 2010 11 1 2 3 45 3 13 1 3 4 - - 6 12 2 6 1 113 Jumlah 2009 35 1 3 2 33 2 2 1 4 2 1 1 3 6 2 - - 98 Jumlah 2008 - - 5 3 22 1 - - - 1 - - - - - 1 - 33 Sumber Data : Kantor Imigrasi Kelas II Singkawang Tabel 5.9 Jumlah Paspor Yang Dikeluarkan Kantor Imigrasi Kelas II Singkawang Berdasarkan Bulan dan Halaman Paspor Periode Januri s/d Desember 2011 SPRI No Bulan Jumlah 48 Halaman 24 Halaman 1 Januari 1,101 0 1,101 2 Pebruari 1,364 5 1,369 3 Maret 1,511 8 1,519 4 April 1,143 6 1,149 5 Mei 1,232 12 1,244 6 Juni 1,228 4 1,232 7 Juli 1,136 0 1,136 8 Agustus 889 0 889 9 September 1,411 0 1,411 10 Oktober 1,038 0 1,038 11 Nopember 1,037 0 1,037 12 Desember 1,070 6 1,076 Jumlah 14,160 41 14,201 Sumber Data : Kantor Imigrasi Kelas II Singkawang Database Kota Singkawang Tahun 2011 | 33
  • 50.
    Penduduk Tabel 5.10 Pembuatan Kartu Tanda Penduduk (KTP) Di Kota Singkawang Berdasarkan, Bulan dan Kecamatan Keadaan s/d 31 Desember 2011 Kecamatan No Bulan Singkawang Singkawang Singkawang Singkawang Singkawang Jumlah Barat Tengah Utara Timur Selatan 1 Januari 17,139 18,366 5,994 4,046 10,455 56,000 2 Februari 17,823 19,169 6,365 4,286 10,986 58,629 3 Maret 19,415 20,863 7,078 4,874 12,273 64,503 4 April 20,335 21,946 7,438 5,205 13,059 67,983 5 Mei 21,259 23,012 7,763 5,500 13,843 71,377 6 Juni 22,055 23,979 8,113 5,732 14,518 74,397 7 Juli 22,915 24,876 8,412 6,013 15,123 77,339 8 Agustus 23,590 25,555 8,680 6,013 15,674 79,512 9 September 24,115 26,261 8,901 6,406 16,234 81,917 10 Oktober 24,589 26,989 9,098 6,634 16,665 83,975 11 November 25,174 28,429 9,434 6,871 17,174 87,082 12 Desember 25,633 29,649 9,709 7,126 17,639 89,756 Jumlah 2011 (kumulatif) 25,633 29,649 9,709 7,126 17,639 89,756 Jumlah 2010 (kumulatif) 16,270 17,226 5,520 3,702 9,594 52,312 Jumlah 2009 (kumulatif) 6,624 6,771 1,633 2,020 5,325 22,373 Jumlah 2008 (kumulatif) 1,048 1,337 1,295 1,368 2,701 7,749 Sumber Data : Dinas Kependudukan dan Catatan Sipil Kota Singkawang Catatan : Bulan Januari s/d Mei 2009 dilaksanakan di Kecamatan Sejak bulan Juni 2009 dilaksanakan di Dinas Kependudukan dan Pencatatan Sipil Database Kota Singkawang Tahun 2011 | 34
  • 51.
    Penduduk Tabel 5.11 Akta Pencatatan Sipil Yang Dikeluarkan Berdasarkan Bulan Dan Kecamatan Keadaan Per 31 Desember 2011 Tahun 2011 Singkawang Barat Singkawang Tengah Singkawang Utara Singkawang Timur Singkawang Selatan Perkawinan Perkawinan Perkawinan Perkawinan Perkawinan No BULAN Perceraian Perceraian Perceraian Perceraian Perceraian Kelahiran Kematian Kelahiran Kematian Kelahiran Kematian Kelahiran Kematian Kelahiran Kematian 1 JANUARI 112 3 4 1 199 1 2 - 75 - - - 76 - 2 - 144 2 4 - 2 FEBRUARI 106 3 10 - 105 1 8 - 50 - 4 - 34 - 8 - 62 3 8 - 3 MARET 142 6 14 - 136 2 4 - 87 - - - 101 1 - - 137 4 10 - 4 APRIL 143 5 8 - 120 2 4 - 68 - 2 - 81 - 2 - 158 1 2 - 5 MEI 183 3 12 - 157 6 6 - 66 - 4 - 83 - - - 172 2 6 - 6 JUNI 185 2 4 - 195 1 4 - 63 1 2 - 78 1 - - 204 2 2 - 7 JULI 179 4 18 - 204 3 8 - 83 1 4 - 103 2 2 - 262 3 9 1 8 AGUSTUS 206 5 16 - 188 1 10 - 105 - 4 - 98 - 2 - 258 1 16 - 9 SEPTEMBER 177 3 6 - 192 2 2 - 84 - 2 - 107 2 - - 283 2 13 - 10 OKTOBER 242 2 15 1 236 - 8 - 89 - 2 - 180 - - - 369 2 8 - 11 NOPEMBER 230 5 17 1 256 1 8 - 167 - 4 - 160 2 2 - 427 3 10 - 12 DESEMBER 602 4 19 - 779 2 13 - 544 - 4 - 412 2 4 - 1,115 2 7 - JUMLAH 2011 2,507 45 143 3 2,767 22 77 - 1,481 2 32 - 1,513 10 22 - 3,591 27 95 1 JUMLAH 2010 6,864 39 131 2 6,273 13 54 - 3,106 3 7 - 2,846 9 16 - 7,413 22 66 - JUMLAH 2009 3,915 - - - 3,664 - - - 1,889 - - - 1,984 - - - 3,348 - - - Sumber Data : Dinas Dukcapil Kota Singkawang Catatan : PERKAWINAN, PERCERAIAN, KEMATIAN Bulan Januari s/d Mei 2009 dilaksanakan di Kecamatan Sejak bulan Juni 2009 dilaksanakan di Dinas Kependudukan dan Pencatatan Sipil Database Kota Singkawang Tahun 2011 | 35
  • 52.
    Pendidikan 6. Pendidikan Indikator mutu pendidikan dapat dilihat dari tingginya angka partisipasi, yang terdiri dari Angka Partisipasi Kasar (APK) dan Angka Partisipasi Murni (APM). Pada tahun 2011 APK Kota Singkawang untuk jenjang SD-MI 118,46%, SMP-MTS 82,04% dan SMA-MA 73,12%. Sedangkan APM untuk SD-MI 42,10%, SMP-MTS 55,68% dan SMA- MA 49,58% Kebijakan pemerintah untuk meningkatkan kualitas sumberdaya manusia ini didasarkan kepada pemikiran bahwa pendidikan tidak sekedar menyiapkan peserta didik agar mampu masuk dalam pasaran kerja, namun lebih dari itu, pendidikan merupakan salah satu pembangunan watak bangsa (national character building), seperti kejujuran, keadilan, keikhlasan, kesederhanaan dan keteladanan. Untuk mencapai pemikiran di atas peran guru sangat penting karena guru dapat berperan sebagai pendidik, pengajar, pembimbing, pengarah, pelatih, penilai dan pengevaluasi dari peserta didik. Jumlah guru yang ada di Kota Singkawang 3.197 orang terdiri dari laki-laki 1.111 orang dan perempuan 2.086 orang. Tingkat pendidikan guru juga bervariasi untuk Strata 2 sebanyak 20 orang, Strata 1 sebanyak 1.466, D3 sebanyak 188 orang, D2 sebanyak 684 orang, D1 sebanyak 127 orang dan SLTA sebanyak 712 orang. Sementara itu untuk status kepegawaian guru sebanyak 2.237 orang adalah PNS/CPNS Kota Singkawang, 685 orang Guru Tidak tetap, 18 orang Guru Honorer, dan 213 orang Guru Yayasan. Sedangkan Guru Negeri yang diperbantukan di Sekolah Swasta dari jenjang TK sampai SLTA sebanyak 77 orang. Sertifikasi Guru adalah proses pemberian sertifikat pendidik kepada guru yang telah memenuhi standar profesional guru. Guru profesional merupakan sarat mutlak untuk menciptakan sistim dan praktek pendidikan yang berkualitas. Pada Tahun Pelajaran 2010/2011 guru yang telah lulus sertifikasi sebanyak 880 orang teridiri dari guru SD/Madrasah Ibtidaiyah 577 orang, SMP/Madrasah Tsnawiyah 157 orang, SMA/Madrasah Aliyah 78 orang dan SMK 68 orang. Untuk melakukan pengawasan terhadap proses kegiatan belajar mengajar di sekolah peranan tenaga pengawas juga mempunyai korelasi yang signifikan pada peningkatan mutu pendidikan. Tugas pokok pengawas sekolah/satuan pendidikan adalah melakukan penilaian dan pembinaan dengan melaksanakan fungsi-fungsi supervisi, baik supervisi akademik maupun supervisi manajerial. Jumlah tenaga Pengawas Sekolah yang ada sebanyak 26 orang. Pengawas tersebut terdiri dari Pengawas SD 11 orang, Pengawas Madrasah Ibtidaiyah 4 orang, Pengawas SMP 2 orang, Pengawas Madrasah Tsanawiyah 1 orang, Pengawas SMA 3 Database Kota Singkawang Tahun 2011 | 36
  • 53.
    Pendidikan orang, Pengawas MadrasahAliyah 1 orang, Pengawas SMK 1 orang dan Pengawas Pendidikan Non Formal dan Informal 3 orang. Jumlah PAUD 61 Unit dengan jumlah ruang kelas 99 dan jumlah kelas 93 orang, jumlah murid 1.435 orang dan jumlah guru 173 orang. Jumlah TK 39 Unit terdiri 5 TK Negeri dan 34 Unit TK Swasta. Jumlah Ruang Kelas 124, jumlah Kelas 111. Jumlah murid 2.085 dan jumlah guru 258 orang. Pendidikan dasar yang ada di Kota Singkawang untuk SD/MI pada tahun pelajaran 2010/2011 sebanyak 98 sekolah yang terdiri dari SD Negeri 75 sekolah, SD Swasta 17 sekolah, Madrasah Ibtidaiyah Negeri 1 Sekolah dan Madrasah Ibtidaiyah Swasta 5 sekolah. Jumlah murid SD/MI sebanyak 28.195 dengan jumlah guru sebanyak 1.702 orang. Hasil proses belajar mengajar untuk SD/MI jumlah murid yang naik kelas sebanyak 24.936 murid. Jumlah murid yang tidak naik kelas sebanyak 3.259 murid. Sedangkan yang lulus ujian UASBN 3.493 murid dan tidak ada murid yang tidak lulus UASBN. Untuk SMP/Madrasah Tsanawiyah pada tahun pelajaran 2010/2011 terdapat 45 sekolah yang terdiri dari SMP Negeri 19 sekolah, SMP Swasta 16 sekolah, Madrasah Tsanawiyah Negeri 1 sekolah, dan Madrasah Tsanawiyah Swasta 9 sekolah. Jumlah murid SMP/Madrasah Tsanawiyah 10.022 murid dengan jumlah guru 869 orang. Hasil proses belajar mengajar untuk SMP/Madrasah Tsanawiyah jumlah murid yang naik kelas sebanyak 9.839 murid, tidak naik kelas 183 murid. Yang lulus Ujian Akhir Nasional 2.707 murid dan yang tidak lulus sebanyak 198 murid. Untuk SMA/Madrasah Aliyah pada tahun pelajaran 2010/2011 terdapat 22 sekolah yang terdiri dari SMA Negeri 10 sekolah, SMA Swasta 7 sekolah, Madrasah Aliyah Negeri 1 dan Madrasah Aliyah Swasta 4 sekolah. Jumlah murid SMA/Madrasah Aliyah sebanyak 4.693 dengan jumlah guru yang ada sebanyak 531 guru. Hasil proses belajar mengajar pada tahun pelajaran 2010/2011 diketahui jumlah murid yang naik kelas sebanyak 4.656 murid, tidak naik kelas 37 murid. Jumlah murid yang lulus Ujian Akhir Nasional sebanyak 1.266 murid, jumlah murid yang tidak lulus lulus Ujian Akhir Nasional sebanyak 9 murid. Untuk SMK pada tahun pelajaran 2010/2011 terdapat 10 sekolah yang terdiri dari SMK Negeri 3 sekolah, SMK Swasta 7 sekolah dengan progam keahlian teknik, bisnis, manajemen, pariwisata serta teknologi informasi. Jumlah murid sebanyak 3.607 murid dengan jumlah guru 303 orang. Hasil proses belajar mengajar SMK pada tahun pelajaran 2010/2011 jumlah murid yang naik kelas sebanyak 3.585 murid jumlah murid yang tidak naik kelas sebanyak 22 murid. Jumlah murid yang lulus Ujian Akhir Nasional sebanyak 1.018 murid dan yang tidak lulus Ujian Akhir Nasional sebanyak 35 murid. Database Kota Singkawang Tahun 2011 | 37
  • 54.
    Pendidikan Tabel 6.1 Indikator Pendidikan di Kota Singkawang Periode 2008 - 2011 2008/2009 2009/2010 2010/2011 No. Indikator SD + MI SMP + MTs SMA + MA SD + MI SMP + MTs SMA + MA SD + MI SMP + MTs SMA + MA 1 APK 124,77% 84,60% 69,48% 105,53% 78,18% 65,64% 118,46% 82,04% 73,12% Kota 127,31% 80,63% 67,34% 105,53% 78,18% 65,64% 118,46% 82.04% 73.12% 2 APM 94,42% 56,75% 34,01% 83,95% 55,08% 42,71% 94.10% 55.68% 49.58% 3 Rasio - Siswa/Sekolah 290 : 1 223 : 1 249 : 1 286 : 1 218 : 1 257 : 1 295 : 1 224 : 1 214 : 1 - Siswa/Kelas 28 : 1 31 : 1 28 : 1 29 : 1 30 : 1 27 : 1 29 : 1 25 : 1 27 : 1 - Siswa/Guru 19 : 1 12 : 1 11 : 1 19 : 1 14 : 1 13 : 1 19 : 1 14 : 1 11 : 1 - Kelas/Guru 1,4 : 1 2,5 : 1 2,5 : 1 1,4 : 1 2:1 2:1 1,6 : 1 1,7 : 1 2,5 : 1 4 Angka Melanjutkan 3.474 2.204 - 3.530 2.908 - 3.645 3.162 - 5 Tingkat Pelayanan Sekolah - - - - - - - - - 6 Kepadatan Penduduk - - - - - - - - - 7 Putus Sekolah 209 174 45 220 169 112 202 158 79 8 Angka Putus Sekolah 209 174 45 220 169 112 202 158 79 Sumber Data : Dinas Pendidikan Kota Singkawang Tabel 6.2 Kondisi Guru Di Kota Singkawang Keadaan Per Tahun Pelajaran 2008 - 2011 Jenjang Jenis Kelamin Pendidikan Terakhir No Jumlah Sekolah Laki Perempuan SLTA D1 D2 D3 S1 S2 1 PAUD 2 TK 192 6 186 104 4 48 5 31 0 3 SD 9 0 9 6 0 3 0 0 0 4 madrasah Ibtidaiyah 1.502 409 1.093 436 48 540 34 438 6 5 SMP 67 24 43 22 0 23 2 20 0 6 Madrasah Tsanawiyah 611 219 392 44 66 53 73 372 3 7 SMA 105 56 49 43 0 7 6 49 0 8 Madrasah Aliyah 373 185 188 13 7 3 20 323 7 9 SMK 81 53 28 20 0 3 4 51 3 Jumlah Tahun 3.197 1.111 2.086 712 127 684 188 1.466 20 Pelajaran 2010 - 2011 Jumlah Tahun 3.669 1.358 2.311 602 705 186 519 987 13 Pelajaran 2009 - 2010 Jumlah Tahun 3.553 1.282 2.271 946 154 825 282 1.332 9 Pelajaran 2008 - 2009 Sumber Data : Dinas Pendidikan Kota Singkawang Database Kota Singkawang Tahun 2011 | 38
  • 55.
    Pendidikan Tabel 6.3 Status Kepegawaian Guru Di Kota Singkawang Keadaan Per Tahun Pelajaran 2008 - 2011 Status Kepegawaian Guru No Jenjang Sekolah PNS/CPNS PNS/CPNS Guru Guru Guru Guru Singkawang Pusat Bantu PTT Honorer Yayasan 1 PAUD 2 TK 42 0 0 83 2 56 3 SD 1.288 0 0 161 4 41 4 Madrasah Ibtidaiyah 29 0 0 16 0 20 5 SMP 432 0 0 138 3 30 6 Madrasah Tsanawiyah 16 0 0 62 4 21 7 SMA 240 0 0 107 2 22 8 Madrasah Aliyah 24 0 0 49 1 5 9 SMK 166 0 0 69 2 18 Jumlah Tahun Pelajaran 2.237 0 0 685 18 213 2010 - 2011 Jumlah Tahun Pelajaran 2.240 0 0 644 416 219 2009 - 2010 Jumlah Tahun Pelajaran 1.876 163 22 1.056 149 234 2008 - 2009 Sumber Data : Dinas Pendidikan Kota Singkawang Tabel 6.4 Guru Yang Telah Lulus Sertifikasi di Kota Singkawang Keadaan Tahun Pelajaran 2008 - 2011 Tahun Pelajaran 2008-2009 Tahun Pelajaran 2009-2010 Tahun Pelajaran 2010-2011 Guru Yang No Jenjang Pendidikan Guru Yang Telah Guru Yang Telah Telah Lulus Sertifikasi Jumlah Jumlah Lulus Sertifikasi Jumlah Lulus Sertifikasi L P L P L P 1 SD/Madrasah Ibtidaiyah 39 59 98 113 222 335 153 424 577 2 SMP/Madrasah Tsanawiyah 30 43 73 43 89 132 58 99 157 3 SMA/ Madrasah Aliyah 28 23 51 42 32 74 42 36 78 4 SMK 35 7 42 59 11 70 54 14 68 Jumlah 132 132 264 257 354 611 307 573 880 Sumber Data : Dinas Pendidikan Kota Singkawang Database Kota Singkawang Tahun 2011 | 39
  • 56.
    Pendidikan Tabel 6.5 Nama Guru Negeri Yang Diperbantukan Di TK Berdasarkan Jenjang Sekolah Keadaan Pada Tahun Pelajaran 2008 - 2011 Jumlah Guru Yang Diperbantukan No Jenjang Sekolah Yang Diperbantukan Tahun Pelajaran 2008 - 2009 2009 - 2010 2010 - 2011 1 TK 22 17 15 2 SD Swasta 36 33 40 3 SLB 9 0 8 4 Madrasah Ibtidaiyah 7 0 6 5 SMP Swasta 20 9 6 6 SMA Swasta 3 0 2 7 SMK Swasta 7 0 0 Jumlah 104 59 77 Sumber Data : Dinas Pendidikan Kota Singkawang Tabel 6.6 Jumlah Pengawas Sekolah Di Kota Singkawang Berdasarkan Jenjang Sekolah Keadaan Tahun Pelajaran 2008 - 2011 Tahun Pelajaran No Jenjang Sekolah 2008/2009 2009/2010 2010/2011 1 SD 10 9 11 2 Madrasah Ibtidaiyah 3 4 4 3 SMP 1 3 2 4 Madrasah Tsnawiyah 1 2 1 5 SMA 2 3 3 6 Madrasah Aliyah 1 2 1 7 SMK 1 1 1 8 Pendidikan Non Formal dan Informal 4 2 3 Jumlah 23 26 26 Sumber Data : Dinas Pendidikan Kota Singkawang dan Kantor Kementerian Agama Kota Singkawang Database Kota Singkawang Tahun 2011 | 40
  • 57.
    Pendidikan Tabel 6.7 Jumlah PAUD Di Kota Singkawang Berdasarkan Kecamatan Keadaan Tahun Pelajaran 2008 - 2011 Jumlah Murid Guru Jumlah Ruang Jumlah No Kecamatan PAUD Kelas Kelas L P Jmlh L P Jmlh 1 Singkawang Barat 15 28 23 163 173 336 2 64 66 2 Singkawang Timur 6 9 9 64 73 137 3 21 24 3 Singkawang Tengah 17 27 26 185 210 395 2 67 69 4 Singkawang Utara 11 16 16 117 144 261 6 46 52 5 Singkawang Selatan 12 19 19 145 161 306 4 43 47 Jumlah Tahun Pelajaran 2010 - 2011 61 99 93 674 761 1435 17 241 258 Jumlah Tahun Pelajaran 2009 - 2010 44 74 72 507 506 1.013 19 154 173 Jumlah Tahun Pelajaran 2008 - 2009 38 52 52 359 396 755 5 118 123 Sumber Data : Dinas Pendidikan Kota Singkawang Tabel 6.8 Jumlah TK Di Kota Singkawang Berdasarkan Kecamatan Keadaan Tahun Pelajaran 2008 - 2011 Status TK Jumlah Jumlah Murid Guru No Kecamatan Ruang Kelas Negeri Swasta Jmlh Kelas (Rombel) L P Jmlh L P Jmlh 1 Singkawang Barat 0 13 13 48 42 452 425 877 3 83 86 2 Singkawang Timur 2 2 4 7 9 65 67 132 0 12 12 3 Singkawang Tengah 1 10 11 34 33 332 300 632 0 62 62 4 Singkawang Utara 1 2 3 8 7 47 36 83 2 22 24 5 Singkawang Selatan 1 7 8 27 20 193 168 361 4 70 74 Jumlah Tahun Pelajaran 2010 - 2011 5 34 39 124 111 1.089 996 2.085 9 249 258 Jumlah Tahun Pelajaran 2009 - 2010 4 32 36 114 105 978 975 1.953 10 172 182 Jumlah Tahun Pelajaran 2008 - 2009 4 29 33 108 95 881 922 1.803 4 134 138 Sumber Data : Dinas Pendidikan Kota Singkawang Tabel 6.9 Jumlah Sekolah dasar/Madrasah Ibtidaiyah Di Kota Singkawang Berdasarkan Kecamatan Keadaan Tahun Pelajaran 2008 - 2011 Jenis Sekolah Jumlah Jumlah Murid Guru No Kecamatan SD MI Ruang Kelas Jmlh Kelas (Rombel) Negeri Swasta Negeri Swasta L P Jmlh L P Jmlh 1 Singkawang Barat 14 9 0 1 24 264 296 4.412 4.070 8.482 120 345 465 2 Singkawang Timur 14 1 0 0 15 126 138 1.461 1.350 2.811 86 123 209 3 Singkawang Tengah 17 1 0 3 21 201 270 3.605 3.334 6.939 91 374 465 4 Singkawang Utara 12 0 0 1 13 117 134 1.630 1.481 3.111 66 122 188 5 Singkawang Selatan 18 6 1 0 25 243 266 3.587 3.265 6.852 127 248 375 Jumlah TP 2010 - 2011 75 17 1 5 98 951 1.104 14.695 13.500 28.195 490 1.212 1.702 Jumlah TP 2009 - 2010 75 17 1 5 98 946 1.097 14.747 13.394 28.141 453 1.137 1.590 Jumlah TP 2008 - 2009 75 17 1 4 97 871 998 14.793 13.300 28.093 395 1.113 1.508 Sumber Data : Dinas Pendidikan Kota Singkawang Database Kota Singkawang Tahun 2011 | 41
  • 58.
    Pendidikan Tabel 6.10 Hasil Proses Belajar Mengajar SD Negeri, SD Swasta dan Madrasah Ibtidaiyah Di Kota Singkawang Berdasarkan Kecamatan Keadaan Tahun Pelajaran 2008 - 2011 Jenis Sekolah Jumlah Murid Jumlah Murid Jumlah Murid Jumlah Murid Tidak No Kecamatan SD MI Yang Naik Kelas Tidak Naik Kelas Yang Lulus UASBN Lulus UASBN Jumlah Negeri Swasta Negeri Swasta L P Jumlah L P Jumlah L P Jumlah L P Jumlah 1 Singkawang Barat 14 9 0 1 24 3,910 3,840 7,750 502 230 732 499 605 1,104 0 0 0 2 Singkawang Timur 14 1 0 0 15 1,122 1,174 2,296 339 176 515 146 166 312 0 0 0 3 Singkawang Tengah 17 1 0 3 21 3,114 3,079 6,193 491 255 746 436 501 937 0 0 0 4 Singkawang Utara 12 0 0 1 13 1,413 1,361 2,774 217 120 337 169 210 379 0 0 0 5 Singkawang Selatan 18 6 1 0 25 2,957 2,966 5,923 630 299 929 371 390 761 0 0 0 Jumlah TP 2010 - 2011 75 17 1 5 98 12,516 12,420 24,936 2,179 1,080 3,259 1,621 1,872 3,493 0 0 0 Jumlah TP 2009 - 2010 75 17 1 5 98 12,646 12,126 24,772 2,110 1,213 3,323 1,712 1,751 3,463 1 0 1 Jumlah TP 2008 - 2009 75 17 1 4 97 12,490 12,052 24,542 2,303 1,248 3,551 1,540 1,740 3,280 18 21 39 Sumber Data : Dinas Pendidikan Kota Singkawang Tabel 6.11 Jumlah Sekolah Menengah Pertama, Madrasah Tsanawiyah Di Kota Singkawang Berdasarkan Kecamatan Keadaan Tahun Pelajaran 2008 - 2011 Sekolah Jumlah Jumlah Murid Guru No Kecamatan SMP MTs Ruang Kelas Jumlah Kelas (Rombel) Negeri Swasta Negeri Swasta L P Jumlah L P Jumlah 1 Singkawang Barat 3 8 1 0 12 108 100 1,578 1,559 3,137 93 120 213 2 Singkawang Timur 3 2 0 0 5 45 29 476 409 885 43 57 100 3 Singkawang Tengah 5 4 0 5 14 114 103 1,426 1,578 3,004 110 198 308 4 Singkawang Utara 2 0 0 2 4 30 30 390 445 835 29 45 74 5 Singkawang Selatan 6 2 0 2 10 114 80 965 1,196 2,161 76 98 174 Jumlah TP 2010 - 2011 19 16 1 9 45 411 342 4,835 5,187 10,022 351 518 869 Jumlah TP 2009 - 2010 19 16 1 9 45 376 334 4,794 5,259 10,053 330 488 818 Jumlah TP 2008 - 2009 19 17 0 9 45 367 319 4,811 5,266 10,077 359 466 825 Sumber Data : Dinas Pendidikan Kota Singkawang Database Kota Singkawang Tahun 2011 | 42
  • 59.
    Pendidikan Tabel 6.12 Hasil Proses Belajar Mengajar Sekolah Menengah Pertama, Madrasah Tsanawiyah Di Kota Singkawang Berdasarkan Kecamatan Keadaan Tahun Pelajaran 2008 - 2011 Sekolah Jumlah Murid Jumlah Murid Jumlah Murid Yang Lulus Ujian Jumlah Murid Tidak No Kecamatan SMP MTs Yang Naik Kelas Tidak Naik Kelas Lulus Ujian Nasional Jumlah Nasional Negeri Swasta Negeri Swasta L P Jumlah L P Jumlah L P Jumlah L P Jumlah 1 Singkawang Barat 3 8 1 0 12 1,551 1,550 3,101 27 9 36 410 483 893 15 25 40 2 Singkawang Timur 3 2 0 0 5 473 407 880 3 2 5 101 124 225 24 19 43 3 Singkawang Tengah 5 4 0 5 14 1,373 1,560 2,933 53 18 71 360 473 833 30 25 55 4 Singkawang Utara 2 0 0 2 4 380 439 819 10 6 16 91 115 206 7 5 12 5 Singkawang Selatan 6 2 0 2 10 926 1,180 2,106 39 16 55 216 334 550 23 25 48 Jumlah TP 2010 - 2011 19 16 1 9 45 4,703 5,136 9,839 132 51 183 1,178 1,529 2,707 99 99 198 Jumlah TP 2009 - 2010 19 16 1 9 45 4,658 5,224 9,882 136 35 171 1,254 1,453 2,707 99 119 218 Jumlah TP 2008 - 2009 19 17 0 9 45 4,699 5,220 9,919 112 46 158 781 851 1,632 467 500 967 Sumber Data : Dinas Pendidikan Kota Singkawang Tabel 6.13 Jumlah Sekolah Menengah Atas, Madrasah Aliyah Di Kota Singkawang Berdasarkan Kecamatan Keadaan Tahun Pelajaran 2008 - 2011 Sekolah Jumlah Jumlah Murid Guru No Kecamatan SMA Aliyah Ruang Kelas Jumlah Kelas (Rombel) Negeri Swasta Negeri Swasta L P Jumlah L P Jumlah 1 Singkawang Barat 2 2 0 0 4 36 43 605 659 1,264 54 57 111 2 Singkawang Timur 3 2 0 0 5 24 19 247 282 529 35 24 59 3 Singkawang Tengah 1 2 1 3 7 76 67 829 1,084 1,913 118 104 222 4 Singkawang Utara 2 1 0 0 3 16 21 196 282 478 37 39 76 5 Singkawang Selatan 2 0 0 1 3 18 20 228 281 509 32 31 63 Jumlah Tahun Pelajaran 2010 - 2011 10 7 1 4 22 170 170 2,105 2,588 4,693 276 255 531 Jumlah Tahun Pelajaran 2009 - 2010 10 7 1 4 22 187 168 2,121 2,538 4,659 280 256 536 Jumlah Tahun Pelajaran 2008 - 2009 10 7 1 4 22 173 158 2.279 2.510 4.789 237 211 448 Sumber Data : Dinas Pendidikan Kota Singkawang Database Kota Singkawang Tahun 2011 | 43
  • 60.
    Pendidikan Tabel 6.14 Hasil Proses BelajarMengajar Sekolah Menengah Atas, Madrasah Aliyah Di Kota Singkawang Berdasarkan Kecamatan Keadaan Tahun Pelajaran 2008 - 2011 Sekolah Jumlah Murid Jumlah Murid Jumlah Murid Yang Jumlah Murid Tidak SMA Aliyah Yang Naik Kelas Tidak Naik Kelas Lulus Ujian Nasional Lulus Ujian Nasional No Kecamatan Jumlah Negeri Swasta Negeri Swasta L P Jumlah L P Jumlah L P Jumlah L P Jumlah 1 Singkawang Barat 2 2 0 0 4 587 659 1,246 18 0 18 147 180 327 0 1 1 2 Singkawang Timur 3 2 0 0 5 243 281 524 4 1 5 66 69 135 4 1 5 3 Singkawang Tengah 1 2 1 3 7 822 1,077 1,899 7 7 14 267 294 561 1 2 3 4 Singkawang Utara 2 1 0 0 3 196 282 478 0 0 0 57 69 126 0 0 0 5 Singkawang Selatan 2 0 0 1 3 228 281 509 0 0 0 50 67 117 0 0 0 Jumlah TP 2010 - 2011 10 7 1 4 22 2,076 2,580 4,656 29 8 37 587 679 1,266 5 4 9 Jumlah TP 2009 - 2010 19 16 1 9 45 2,088 2,474 4,562 51 25 76 700 769 1,469 59 70 129 Jumlah TP 2008 - 2009 10 7 1 4 22 2.260 2.509 4.769 19 1 20 289 381 670 273 270 543 Sumber Data : Dinas Pendidikan Kota Singkawang Database Kota Singkawang Tahun 2011 | 44
  • 61.
    Pendidikan Tabel 6.15 Jumlah Sekolah Menengah Kejuruan Di Kota Singkawang Berdasarkan Kecamatan Keadaaan Tahun Pelajaran 2008 - 2011 SMK Jumlah Jumlah Murid Guru No Kecamatan Ruang Kelas Negeri Swasta Jmlh Kelas (Rombel) L P Jumlah L P Jumlah 1 Singkawang Barat 2 5 7 68 106 1,382 908 2,290 139 73 212 2 Singkawang Timur 0 0 0 0 0 0 0 0 0 0 0 3 Singkawang Tengah 1 0 1 16 23 316 462 778 28 19 47 4 Singkawang Utara 0 0 0 0 0 0 0 0 0 0 0 5 Singkawang Selatan 0 2 2 16 15 266 273 539 26 18 44 Jumlah TP 2010 - 2011 3 7 10 100 144 1,964 1,643 3,607 193 110 303 Jumlah TP 2009 - 2010 3 6 9 105 129 1.811 1.509 3.320 194 109 303 Jumlah TP 2008 - 2009 3 7 10 128 121 1.711 1.489 3.200 184 115 299 Sumber Data : Dinas Pendidikan Kota Singkawang Tabel 6.16 Hasil Proses Belajar Mengajar Sekolah Menengah Kejuruan Di Kota Singkawang Berdasarkan Kecamatan Keadaan Tahun Pelajaran 2008 - 2011 Jumlah Murid Jumlah Murid Jumlah Murid Jumlah Murid SMK Tidak Naik Yang Lulus Ujian Tidak Lulus No Kecamatan Yang Naik Kelas Kelas Nasional Ujian Nasional Negeri Swasta Jmlh L P Jmlh L P Jmlh L P Jmlh L P Jmlh 1 Singkawang Barat 2 5 7 1,361 907 2,268 21 1 22 395 273 668 29 6 35 2 Singkawang Timur 0 0 0 0 0 0 0 0 0 0 0 0 0 0 0 3 Singkawang Tengah 1 0 1 316 462 778 0 0 0 101 125 226 0 0 0 4 Singkawang Utara 0 0 0 0 0 0 0 0 0 0 0 0 0 0 0 5 Singkawang Selatan 0 2 2 266 273 539 0 0 0 62 62 124 0 0 0 Jumlah TP 2010 - 2011 3 7 10 1,943 1,642 3,585 21 1 22 558 460 1,018 29 6 35 Jumlah TP 2009 - 2010 3 6 9 1,804 1,507 3,311 7 2 9 419 382 801 51 21 72 Jumlah TP 2008 - 2009 3 7 10 1.648 1.442 3.090 63 47 110 409 388 797 154 146 300 Sumber Data : Dinas Pendidikan Kota Singkawang Database Kota Singkawang Tahun 2011 | 45
  • 62.
    Pendidikan Tabel 6.17 Jumlah Lembaga Kursus Yang Ada dDi Kota Singkawang Berdasarkan Kecamatan Keadaan Per 31 Desember 2011 Tahun 2009 Tahun 2010 Tahun 2011 No Kecamatan Jumlah Jumlah Jumlah Jumlah Jumlah Jumlah Jumlah Jumlah Jumlah Lembaga Lembaga Lembaga Pengajar Peserta Pengajar Peserta Pengajar Peserta Kursus Kursus Kursus 1 Singkawang Barat 12 30 806 15 29 813 18 46 1,204 2 Singkawang Tengah 15 27 1431 15 25 1.159 12 20 1,111 3 Singkawang Timur 0 0 0 0 0 0 1 6 172 4 Singkawang Utara 0 0 0 0 0 0 0 0 0 5 Singkawang Selatan 5 24 482 5 17 404 7 14 379 Jumlah 32 81 2.719 35 71 2.376 38 86 2,866 Sumber Data : Dinas Pendidikan Kota Singkawang Tabel 6.18 Layanan Kegiatan Kantor Perpustakaan dan Kearsipan Kota Singkawang Periode Januari s/d 31 Desember 2011 Pendaftaran Anggota Jumlah Jumlah Pengunjung Jumlah Baru Jumlah Jumlah Buku Judul Orang yang Buku yang No. Bulan Buku Pelajar Pelajar Umum Umum Meminjam yang Dibaca siswa siswa Maha Maha yang Buku Dipinjam di Dipinjam Tempat 1 Januari 482 177 279 29 13 28 750 1,500 1,500 600 2 Februari 642 179 285 20 7 36 834 2,502 2,502 667 3 Maret 620 247 372 43 22 48 1,117 2,234 2,234 894 4 April 637 230 352 32 11 21 1,105 2,210 2,210 884 5 Mei 539 178 335 20 9 42 1,002 2,004 2,004 802 6 Juni 541 161 257 28 6 21 945 1,890 1,890 756 7 Juli 503 172 307 35 11 26 928 1,856 1,856 742 8 Agustus 364 154 254 34 9 31 772 1,544 1,544 618 9 September 399 164 202 23 9 16 714 1,428 1,428 571 10 Oktober 371 226 286 92 16 44 986 1,972 1,972 789 11 November 620 207 352 99 4 27 1,184 2,368 2,368 947 12 Desember 646 190 356 24 9 28 902 1,804 1,804 722 Tahun 2011 6,364 2,285 3,637 479 126 368 11,239 23,312 23,312 8,991 Tahun 2010 4.161 563 3.240 346 100 292 5.882 10.286 10.286 15.928 Tahun 2009 444 753 2.109 86 76 196 3.913 7.844 7.844 3.395 Sumber Data : Kantor Perpustakaan dan Kearsipan Kota Singkawang Database Kota Singkawang Tahun 2011 | 46
  • 63.
    Pendidikan Tabel 6.19 Jumlah Buku Yang Ada Di Kantor Perpustakaan dan Kearsipan Kota Singkawang Berdasarkan Klasifikasi Buku dan Jumlah Buku Per Ruangan Per 31 Desember 2011 Jumlah Buku No Klasifikasi Buku Ruang Jumlah Ruang Anak Ruang Umum Mahasiswa (Eksemplar) (Eksemplar) (Eksemplar) 1 000 - 099 Karya Umum 232 338 206 776 2 100 - 199 Filsafat 93 292 206 591 3 200 - 299 Agama 682 1,165 328 2,175 4 300 - 399 Sosial 923 649 619 2,191 5 400 - 499 Bahasa 94 130 91 315 6 500 - 599 Umum Murni 297 259 286 842 7 600 - 699 Ilmu Terapan dan Teknologi 237 1,979 562 2,778 8 700 - 799 Kesenian dan Olahraga 142 369 84 595 9 800 - 899 Kesastraan 678 939 74 1,691 10 900 - 999 Sejarah dan Geografi 167 381 96 644 Jumlah 2011 3,545 6,501 2,552 12,598 Jumlah 2010 2,806 5,762 2,183 10,751 Jumlah 2009 2,328 4,661 1,401 8,390 Sumber Data : Kantor Perpustakaan dan Kearsipan Kota Singkawang Tabel 6.20 Jumlah Buku Yang Disumbangkan Oleh Masyarakat Untuk Kantor Perpustakaan dan Kearsipan Kota Singkawang Berdasarkan Tanggal, Nama Penyumbang, Judul Buku dan Banyaknya Buku Per 31 Desember 2011 Nama Banyaknya NO Tanggal Judul Buku Jumlah Penyumbang Buku 1 2 3 4 5 6 1 27-01-2011 Hermanto,SE 1. Etos Kerja Pribadi Muslim 1 Eks 20 Buku 2. Menyingkap Tabir Manajemen Honda Motor 1 Eks 3. Statistika 1 Eks 4. Akuntansi Biaya Untuk Manajemen 1 Eks 5. Metode Ramalan Kuantitatif Untuk Perencanaan 1 Eks 6. Matematika Ekonomi 1 Eks 7. Asas-asas Ilmu Keuangan Negara 1 Eks 8. Business Forecenting 1 Eks 9. Intermediate Accounting 1 Eks 10. Ekonomi Internasional 1 Eks 11. Jawaban Soal-soal Metoda Statistik 1 Eks 12. Analisis Keputusan Manajemen 1 Eks Database Kota Singkawang Tahun 2011 | 47
  • 64.
    Pendidikan 1 2 3 4 5 6 13. Bisnis Internasional Dalam Lingkungan Yang 1 Eks Sedang Berubah 14. Garis Besar Tata Niaga Umum di Indonesia 1 Eks 15. Materi Pokok Pengambilan Keputusan Manajerial 1 Eks 16. Ilmu Pengetahuan Sosial Sejarah Nasional dan 1 Eks Umum 17. Psikologi Industri 1 Eks 18. LKS Biologi Dalam Kehidupan 1 Eks 19. Pengantar Evaluasi Proyek 1 Eks 20. Manajemen Koperasi 1 Eks 21. Netware 1 Eks 22. Pengantar Evaluasi Proyek 1 Eks 2 25-03-2011 Supadi 1. Membina Hitasukhaya 10 Eks 47 Buku 2. You & Your Problem 3 Eks 3. Keyakinan Umat Buddha 2 Eks 4. Mengapa berdana 7 Eks 5. Wira Usaha Buddhis 10 Eks 6. Meditasi Buddhis 10 Eks 7. Kisah dan Keajaiban Bulan Purnama Dalam 5 Eks Perkembagan Agama Buddha Balai Pelestarian 1. Peranan Masyarakat Desa Dalam Perjuangan 3 29-03-2011 Sejarah & Nilai- Kemerdekaan Kajian Desa Pahandut di 1 Eks 14 Buku nilai Tradisional Palangkaraya Tahun 1945-1958 Wilayah Kerja 2. Identitas Suku Bangsa di Perbatasan Desa Long 1 Eks Kalbar Nawang Kec.Kayan Hulu Kab.Meliau, Kal-Tim 3. Wayang Gantung 1 Eks 4. Pelabuhan Tarakan Kal-Tim 1 Eks 5. Pengetahuan Masyarakat terhadap Lingkungan 1 Eks 6. Upacara Masyarakat Dayak WEHEA Antara Peluang 1 Eks dan Tantangan 7. Kehidupan Sosial Ekonomi Pengusaha Kerupuk 1 Eks Amplang Kecamatan Berma Kayong, Kab.Ketapang 8. Tebas Dalam Perubahan Petani Jeruk dan 1 Eks Permasalahan tahun 1955-2008 9. Pengalihan Identitas Produk Karya Keterampilan Masyarakat Perbatasan Dalam Perdagangan Lintas 1 Eks Batas Negara 10. Dinamika Industri Keramik Cina di Sakok Kota 1 Eks Singkaang Tahun 1933-2008 11. Peranan Nilai Budaya Masyarakat Dayak Ngaju 1 Eks Dalam Memelihara Lingkungan di Prop.Kal-Bar 12. Ibukota Pontianak 1979-1942 Lahir dan 1 Eks Berkembangnya Sebuah Kota Kolonial. 13. Konsep Pemujaan Masyarakat Dayak Meratus 1 Eks Terhadap tuhan Yang Maha Esa 14. Kabupaten Hulu Sungai Utara (Suatu Tinjauan 1 Eks Sejarah) 4 04-04-2011 Elvita Muna 1. Pelajaran Berhitung 1 Eks 29 Buku 2. Cakap Berbahasa Indonesia 2A Untuk Kelas 2 1 Eks Caturwulan 1 SLTP 3. Sejarah Untuk Sekolah Lanjutan Tk.Pertama (SLTP) 1 Eks 4. Pegangan Pendidikan Sejarah Perjuangan Bangsa 1 Eks Indonesiaku 5. Ilmu Pengetahuan Sosial (IPS) Ekonomi dan 1 Eks Koperasi 6. Cintaku Negeriku 1 Eks 7. Evaluasi 1a IPS 1 Eks 8. Pendidikan jasmani dan Kesehatan 1 Eks Database Kota Singkawang Tahun 2011 | 48
  • 65.
    Pendidikan 1 2 3 4 5 6 9. Media English International 1 Eks 10. Kerajinan Tangan dan Kesenian 1 Eks 11. Tabel Untuk Matematika SMP 1 Eks 12. Buku Pelajaran Agama Buddha 1 Eks 13. Ilmu Pengetahuan Sosial Sejarah 1b 1 Eks 14. Bahasa Inggris 3a 1 Eks 15. Bahasa Inggris 2a 1 Eks 16. Seni Musik 1 Eks 17. Pendidikan Jasmani 1 Eks 18. Comprehensive English 1 Eks 19. Pendidikan Pancasila dan Kewarganegaraan 1 Eks 20. Renungan Harian 1 Eks 21. Pendidikan Pancasila dan Kewarganegaraan 1 Eks Sekolah Lanjutan Tk.Atas 22. Pandai Berbahasa Indonesia 3 1 Eks 23. Ilmu Pengetahuan Sosial Geografi 1 Eks 24. Seni Musik 1 Eks 25. Detik-detik Ebtanas Lengkap SMU 1 Eks 26. Persiapan Menghadapi Ebtanas SMU (IPA) 1 Eks 1999/2000 27. Ekonomi Untuk SMA Kelas III 1 Eks 28. Pelajaran Bahasa dan Sastra Indonesia 1 Eks 29. Soal dan Penyelesaian matematika dasar 1 Eks 5 31-03-2011 Vihara Vimala 1. Sutta Pitaka Khuddaka Nikaya Buddha Vanisa 1 Eks 68 Buku Chandra Arama 2. Paliva Cana 1 Eks Singkawang (Sujudi) 3. Mengapa Berdana 2 Eks 4. Saddhu 1 Eks 5. Don’t Look Down On The Defilement They Will 1 Eks Laugh At You 6. The Essen Ac Of Visuddhi Magga Volume 1 1 Eks 7. Majjhina Nikaya Kitab Suci Agama Budha 1 Eks 8. Sattapitakaya Khuddakani 1 Eks 9. Hidup Penuh Dengan Berkah 1 Eks 10. Wisdon Of Silence 1 Eks 11. Ratana Sutta 1 Eks 12. Vyagghapajja Sutta 1 Eks 13. Tanggung Jawab Bersama 1 Eks 14. Kisah Sebuah Rakit tua 1 Eks 15. Raja Dharma Nan Bijaksana 1 Eks 16. Indahnya Berdana 1 Eks 17. Upaya Mencapai Kelahiran Ulang Yang Baik 1 Eks 18. Rencana Pangeran Yang Bijaksana 1 Eks 19. Ajaran-ajaran Pokok 1 Eks 20. Fabel Aesop 1 Eks 21. Fabel Jataka 1 Eks 22. Risalah Tentang Parami-parami Dari Kitab 1 Eks Komentar Untuk Cariyapitaka 23. Hidup Penuh Dengan Berkah 1 Eks 24. Jalan Menuju Akhir Dari Penderitaan 1 Eks Database Kota Singkawang Tahun 2011 | 49
  • 66.
    Pendidikan 1 2 3 4 5 6 25. Dharma Class Masa Vassa 1 Eks 26. Aku Siswa Sang Buddha 2 Eks 27. Dharmapada 1 Eks 28. Tipitaka Tematik 1 Eks 29.Suttapitaka Khuddakamilaya 1 Eks 30.Dhamanapada Atthakatha Vol.1 1 Eks 31. Suttapitaka Khuddakani Kaya Dhama Pada 1 Eks Atthakatka Vol.3 32. Tuntunan Puja Bakti 1 Eks 33. Tujuan Hidup Yang Benar 1 Eks 34. Ty Lee 1 Eks 35. Hubungan Modal Religius 1 Eks 36. Bunga Rampai Dharmadesama 1 Eks 37. Cara Praktis Mengatasi Stress 1 Eks 38. Kebebasan Sempurna Pentingnya Sutta-Winaya 1 Eks 39. Samantha Meditation And Vipassama Meditation 1 Eks 40. Riwayat Hidup Buddha Gotama 2 Eks 41. Risalah Tentang Parami-parami Dari Kitab 1 Eks Komentar Untuk Cariya Pitaka 42. Tidak Ada Ayah… 1 Eks 43. Maha Karuma Dharani Parami dan Sutra Hati 1 Eks 44. Mengapa Kita dilahirkan 1 Eks 45. Dhanu Ma Class Massa Vassa 1 Eks 46. Breaking The Link 1 Eks 47. Riwayat Hidup Maha Kaccana 1 Eks 48. Dhanu Ma Class massa Vassa 1 Eks 49. Indahnya Kebebasan 1 Eks 50. Light Wisdon Sinar Kebijaksanaan 1 Eks 51. Meditasi Vipassana 1 Eks 52. Karma Pencipta Sesungguhnya 1 Eks 53. Hidup Senang Mati Tenang 1 Eks 54. Si Cacing dan Kotoran Kesayangannya 1 Eks 55. Horee! Guru Si Cacing Datang 1 Eks 56. Meditasi Buddhis 2 Eks 57. Don't Look Down On The Defilermente They Will 1 Eks Laugh At You 58. Hanya Kitalah Yang Dapat Menolong Diri Kita 1 Eks Sendiri 59. Ratthapala Sutta 1 Eks 60. Menegenal Lbeih Dekat Jalan Mulia Berunsur 1 Eks Delapan 61. Karma Pencipta Sesungguhnya 1 Eks 62. Siswa-siswa Utama Sang Buddha 1 Eks 63. Keyakinan Umat Buddha 1 Eks 64. Kamus Umum Buddha Dharma 1 Eks PT.BPR Sambas 1. Persiapan Menghadapi Ujian Nasional SMK Bisnis 6 15-04-2011 1 Eks 71 Buku Arta dan Manajemen 2006 2. Memakai Corel Draw 9 1 Eks 3. Change To Be Super 1 Eks 4. The Paradox Of Excellence 1 Eks Database Kota Singkawang Tahun 2011 | 50
  • 67.
    Pendidikan 1 2 3 4 5 6 5. Himpunan Kemtbah Jum'at Teladan 1 Eks 6. Tata Cara Menyembah Allah Dalam Melakukan 1 Eks Sholat 7. Mamaku, Mamamu 1 Eks Nama Anak Muslim Pilihan 8. Agar Hidup Anda Bahagia 1 Eks 9. Hari-hari Indah Ukhuwah Anninda Pakram 1423 1 Eks Pohon Mimpi 10. Pemanjat Anugerah Terindah 1 Eks 11. Ruang X Istana Pasir Nyanyi Sunyi Serambit Masjid 1 Eks 12. Mari Menyulap PC Serba Bisa 1 Eks 13. 7 Note Book Core Duo 1 Eks 14. Haji Bersama Nabi 1 Eks 15. Cina Mags 1 Eks 16. Qisha Shul An Biya (Sejarah 25 Rasul) 1 Eks 17. Kumpulan Khutbah Jum'at Sepanjang Masa 1 Eks 18. Manisnya Madu 1 Eks 19. Pembentukan peraturan Perundang-undangan No 1 Eks Tahun 2004 20. Kunci Belajar Menuju Sukses 1 Eks 21. Bahasa Inggris Untuk Kelas IV 1 Eks 22. Etika Islam 1 Eks 23. Etika Makan Islami 1 Eks 24. Adab Menguap & Bersin 1 Eks 25. Crayon Shinchan 1 Eks 26. Hukum Ekonomi 1 Eks 27. SMS Dari Rasul 1 Eks 28. Kunci Sukses Beternak 1 Eks 29. Ayam Kampung 1 Eks 30. Pake' Mon Aku Memilihmu 1 Eks 31. Mimpi Sang Dare 1 Eks 32. Conan 1 Eks 33. Kunci-kunci Rezeki 1 Eks 34. The Wisdom Of Harry Potter 1 Eks 35. 36 Teknik Pilihan Manipulasi Foto 1 Eks 36. Statistika 1 Eks 37. Profe Adeksi 1 Eks 38. Pelayanan Prima 1 Eks 39. Star Fashion 1 Eks 40. Tempo 3 Eks 41. Lembaran Informasi dan Lembaran Kerja 1 Eks 42. PPKn Kelas 3 SMP 1 Eks 43. Biologi 1 Eks 44. Lembar Kegiatan Siswa Bahasa Inggris 1 Eks 45. Konsep-konsep Fisika 2 Eks 46. Majalah Pantas 8 Eks 47. 62 Amalan Pembuka Pintu Surga 1 Eks 48. Foto Video 1 Eks Database Kota Singkawang Tahun 2011 | 51
  • 68.
    Pendidikan 1 2 3 4 5 6 49. Sekar 2 Eks 50. Matematika 1 Eks 51. Bimbingan Menuju Anak Cerdas 1 Eks 52. Ilmu Pengetahuan Alam Kimia 1 Eks 53. Diklat Asisten Instruktur Latihan Kerja Menjahit, 1 Eks Membordir/Menyulam 54. Geografi 1 Eks 55. Master Sejarah 1 Eks 56. Trubus 1 Eks 57. Majalah As-Sunnah 1 Eks 58. Video 1 Eks 59. Aneka 2 Eks KPN Kota 1. Sifat Sholat Nabi 1 Eks 26 Buku 7 26-04-2011 Singkawang 2. Ilmu Negara 1 Eks 3. Sosiologi 1 Eks 4. Manajemen Koperasi 1 Eks 5. American English 1 Eks 6. DPR Dalam Sistem Ketatanegaraan Indonesia 1 Eks 7. Jabatan Notaris 1 Eks 8. Bab-bab Tentang Penemuan Hukum 1 Eks 9. Etika Profesi Hukum 1 Eks 10. Tradisi Demokrasi 1 Eks 11. Hak Anda Atas Tanah 1 Eks 12. Analisis Mengenai Dampak Lingkungan 1 Eks 13. Peraturan Perundang-undangan Lingkungan Hidup 1 Eks 14. Lentera Qolbu (3,4) 2 Eks 15. Al Furqon 1 Eks 16. Fatwa 1 Eks 17. As-Sunnah, Kami Ada Bukan Untuk Dibunuh 1 Eks 18. As-Syariah 1 Eks 19.As-Sunnah, Beda Asuransi, Ta'awun Dengan 1 Eks Konvensional 20. As-Sunnah, Membaca Berjanji, Mengagungkan Nabi 1 Eks 21. As-Sunnah, Ukhuwah 1 Eks 22. Al Furqon Menjadi Majhud Sejati, Membedah 4 Eks Kekafiran, Indahnya Kebersamaan 8 29-04-2011 Estri Asih 1. Bibliografi Beramotasi Buku Bacaan Anak (2003-2007) 1 Eks 102 Buku 2. Metode Aktivasi Otak 1 Eks 3. 40 Peluang Bisnis Makanan dan Minuman Kaki Lima 1 Eks Modal 2-8 Juta 4. Menjawab Pertanyaan Anak Soal Seks 1 Eks 5. Buku Pintar 1 Eks 6. Kamus Al-Munawan 1 Eks 7. The Hundred Secret Sense 1 Eks 8. Kamus Idiom Indonesia-Arab 1 Eks 9. Majalah Bobo 50 Eks 10. Majalah Sekar 17 Eks 11. Tabloid 26 Eks 12. Life Lesson 1 Eks Database Kota Singkawang Tahun 2011 | 52
  • 69.
    Pendidikan 1 2 3 4 5 6 9 29-04-2011 Dessy 1. Dewan Perwakilan Rakyat 1 Eks 21 Buku 2. Warna Sari 1 Eks 3. Hukum Wesel, Cek Dan Aksep di Indonesia 1 Eks 4. Panduan Pemasyarakatan UUD Negara Republik 1 Eks Indonesia th.1945 5. Rencana Pengembangan Agri Bisnis Jagung di Kota 1 Eks Singkawang th 2005-2006 6. Petunjuk Pelaksanaan UU nO.22 Th 1999 ttg 1 Eks Pemerintahan Daerah 7. Materi Sosialisasi Putusan Majelis Permasyarakatan 1 Eks 8. Menuju Pertanian Tangguh 1 Eks 9. Beberapa Hama dan Penyakit Tanaman Penting 1 Eks Serta Pengendaliannya 10. Kedelai Tanaman Penuh Gizi 1 Eks 11. Bercocok Tanam 1 Eks 12. Mengerjakan Tanah & Alat-alat Pertanian 1 Eks 13. Dasar-dasar Ilmu Tanah 1 Eks 14. Majalah Forum 4Eks 15. Majalah Gatra 4 Eks 10 04-05-2011 BKD Singkawang 1. Kiss The Lovely Face Of God 1 Eks 26 Buku 2. Penanggulangan Penyalahgunaan Narkoba 1 Eks 3. Sama Peninju 1 Eks 4. Para Muda Merokok 1 Eks 5. Khotbah Masa Kini 1 Eks 6. Fiqh Dakwah 1 Eks 7. Pedoman Tugas… 1 Eks 8. Khutbah Pembina 1 Eks 9. Khutbah Jum'at Harapan Jaman 2 Eks 10. Risalah Jum'at 1 Eks 11. Pengantar Hukum Syariah 1 Eks 12. Bimbingan Menuju Ke Akhlak Luhur 1 Eks 13. Sabili 1 Eks 14. Panic 1 Eks 15. Hipnoterapi Quit Smoking 1 Eks 16. Bahasa Indonesia 2 Eks 17. Ilmu Pengetahuan Sosial 1 Eks 18. Pendidikan Agama Islam 1 Eks 19. Bahasa Indonesia Utk SD/MI Kls 4 1 Eks 20. Ilmu Pengetahuan Alam SD Kls III 1 Eks 21. Ilmu Pengetahuan Sosial Kls III 1 Eks 22. Ilmu Pengetahuan Alam SD/MI Kls III 1 Eks 23. Bahasa Inggris SD Kls III 1 Eks 24. Ilmu Pengetahuan Sosial Utk SD/Mi Kls 4 1 Eks 11 06-05-2011 Asma'ul Husna 1. Doraemon 1 Eks 2 Buku 2. Bravo 1 Eks 12 09-05-2011 Adriani, A.Md 1. Kebudayaan dan Pariwisata 1 Eks 5 Buku 2. Berita Aktual Media Elektronik Hari Ini 1 Eks 3. Pembangunan Daerah 1 Eks 4. Profil PNM 1 Eks Database Kota Singkawang Tahun 2011 | 53
  • 70.
    Pendidikan 1 2 3 4 5 6 5. Media Litbang 1 Eks 13 09-05-2011 1. Mimpi Sang Dare 39 Eks 680 Buku Humas dan Protokol Setda 2. Spektakuler 05 70 Eks Kota Singkawang 3. Spektakuler 06 30 Eks 4. Spektakuler 07 268 Eks 5. Spektakuler 08 143 Eks 6. Majalah Lainnya 130 Eks 14 21-05-2011 Ny.Suwanto 1. IPA Biologi 1 Eks 67 Buku 2. Kumpulan Soal Semester II 3 Eks 3. Batu Menangis 1 Eks 4. Keluarga Bobo Yang Riang Gembira 1 Eks 5. Apa ceritamu Hari Ini? 1 Eks 6. Selamat Ulang Tahun 1 Eks 7. Idola Cilik 1 Eks 8. Potret Negeriku 1 Eks 9. Majalah Bobo 57 Eks 1. Saat-saat Mengharukan Dalam Kehidupan Nabi & 15 06-06-2011 Anita 1 Eks 5 Buku Sahabat 2. Rethingking Costuers In Selling 1 Eks 3. Ketakutan Hilang Penjualan Terbilang 1 Eks 4. Wanita Dambaan Sorga di Era Modernisasi 1 Eks 5. Fungsi-fungsi Otak Dari Usia 4-15 Th. 1 Eks Arya Putra 16 1. Basis Bahasa Inggris 1 Eks 86 Buku Kurniawan 2. Pendidikan Agama Islam 1 Eks 3. Pendidikan Agama Islam 1 Eks 4. Bahasa Indonesia 1 Eks 5. Seni Budaya utk SMP/MTS Kls VIII 1 Eks 6. Ilmu Pengetahuan Sosial 1 Eks 7. Seni Budaya Untuk SMP/MTS 1 Eks 8. IPS Terpadu 1 Eks 9. Pendidikan Agama Islam 1 Eks 10. Detik-detik Ujian Nasioanl Bahasa Inggris 2 Eks 11. Basis Keuangan Evaluasi Belajar Mandiri 1 Eks 12. Lulus Cepat Tepat UN SMP/MTS 1 Eks 13. Basis Teknologi Informasi dan Komunikasi Utk 1 Eks SMP/MTS 14. atihan Soa;-soal Ulangan Semester II 1 Eks 15. Pendidikan Agama Islam Untuk SMP 1 Eks 16. Target Utk SMP 1 Eks 17. Bahasa Inggris Utk SMP/MTS 1 Eks 18. Penjaskes (Pendidikan Jasmani, Olahraga dan 1 Eks Kesehatan) 19. Ilmu Pengetahuan Alam 1 Eks 20. Bahasa Inggris SMP 1 Eks 21. Pendidikan Agama Islam 1 Eks 22. Sains Kimia Utk Kls VI 1 Eks 23. Pendidikan Agama Islam 1 Eks 24. IPS Terpadu 1 Eks Database Kota Singkawang Tahun 2011 | 54
  • 71.
    Pendidikan 1 2 3 4 5 6 25. Bahasa Indonesia 1 Eks 26. Pendidikan Kewarganegaraan 1 Eks 27. Siap Lulus Ujian Nasional 1 Eks 28. Bahasa Indonesia SMP 1 Eks 29. Pendidikan Kewarganegaraan 1 Eks 30. Kewarganegaraan 1 Eks 31. Matematika 1,2,3 1 Eks 32. Kewarganegaraan 1 Eks 33. Ilmu Pengetahuan Alam 1 Eks 34. Kewarganegaraan 2 Eks 35. Pendidikan Agama Islam 1 Eks 36. Pengetahuan Sosial Ekonomi 1 Eks 37. Contextual English 1 Eks 38. Pengetahuan Sosial Sejarah 1 Eks 39. Sains Biologi 1 Eks 40. Belajar Bahasa Indonesia 1 Eks 41. Contextual English 1 Eks 42. Pendidikan Agama Islam 1 Eks 43. Ratih Rajin berlatih 1 Eks 44. Matematika 1 Eks 45. Sejarah 1 Eks 46. Ratih Geografi 1 Eks 47. Ratih Ekonomi 1 Eks 48. Ratih Pendidikan Seni 1 Eks 49. Bahasa Inggris utk SMP/MTS 2 Eks 50. Pendidikan Kewarganegaraan 2 Eks 51. Pendidikan Agama Islam 1 Eks 52. IPA Terpadu 1 Eks 53. IPS Terpadu 1 Eks 54. Teknologi Informasi dan Komunikasi 1 Eks 55. Basis Seni Budaya 1 Eks 56. Pendidikan Kewarganegaraan Untuk Kelas IX 1 Eks 57. Bahasa Indonesia SMP 1 Eks 58. Pengetahuan Sosial Sejarah 1 Eks 59. Belajar IPA 1 Eks 60. English In Focus 1 Eks 61. IPA Terpadu Utk SMP UTS 1 Eks 62. Pendidikan Kewarganegaraan 1 Eks 63. Pengetahuan Sosial Geografi 1 Eks 64. Teknologi Informasi dan Komunikasi 1 Eks 65. Fisika Ia, Ib 2 Eks 66. Pengetahuan Sosial Ekonomi 1 Eks 67. Seni Budaya Kurikulum Standar Isi KTSP 1 Eks 68. Mahir Menghadapi Ujian Nasional dan Ujian 1 Eks Sekolah 69. Kumpulan Rumus 1 Eks 70. Ilmu Pengetahuan Alam 1 Eks Database Kota Singkawang Tahun 2011 | 55
  • 72.
    Pendidikan 1 2 3 4 5 6 71. Kisi-kisi Soal Matematika, IPA, dan Bahasa Inggris 3 Eks 17 14-06-2011 Nisa 1. Peri-peri Bersayap Pelangi 1 Eks 1 Buku Setda Kota 18 20-06-2011 1. Statistik 2 Eks 43 Buku Singkawang 2. Azas-azas Manajemen 1 Eks 3. Ringkasan Materi Ujian Komprehensif Tertulis 1 Eks 4. Modul Pemerintahan Daerah 1 Eks 5. Modul perilaku Organisasi 2 Eks 6. Administrasi Pemerintah Daerah 1 Eks 7. Modul Manajemen Pengantar 1 Eks 8. Petunjuk Teknis Tugas Akhir Program (TAP) 1 Eks Fakultas Ilmu Sosial dan Ilmu Politik 9. Alur Menjawab 1 Eks 10. Pengembangan Organisasi 1 Eks 11. Pendidikan Kewarganegaraan 1 Eks 12. Dasar-dasar Agama Islam 1 Eks 13. Panduan Windows 1 Eks 14. Cuplikan Adat dan Budaya Sambas 1 Eks 15. Asal Raja-raja Sambas 2 Eks 16. Metode Penelitian Sosial 1 Eks 17. Kepemimpinan 1 Eks 18. Kebijakan publik 1 Eks 19. Modul Administrasi Perpajakan 1 Eks 20. Pengantar Tata Hukum Indonesia 1 Eks 21. Pendidikan Kewiraan 1 Eks 22. Modul Sistem Hukum Indonesia 1 Eks 23. Administrasi Keuangan 1 Eks 24. Pengantar Ilmu Ekonomi 1 Eks 25. Modul Sistem Hukum Indonesia 1 Eks 26. Manajemen Kepegawaian 1 Eks 27. Kepemimpinan 1 Eks 28. Teori Organisasi 1 Eks 29. Kebijakan Publik 1 Eks 30. Pengantar Statistik Sosial 1 Eks 31. Usaha-usaha Milik Negara & Daerah 1 Eks 32. Metode Penelitian Sosial 1 Eks 33. Logika 1 Eks 34. Ilmu Budaya Dasar 1 Eks 35. Pengantar Sosiologi 1 Eks 36. Pengembangan Organisasi 1 Eks 37. Pengertian dan Ruang Lingkup Kepemimpinan 1 Eks 38. Sistem Administrasi Negara Kesatuan Republik 1 Eks Indonesia 39. Sistem Administrasi Negara Indonesia 1 Eks 40. Sistem Hukum Indonesia 1 Eks Bappeda 19 24-06-2011 1. 25 Ciri Keuarga Sakinah 1 Eks 9 Buku Singkawang 2. Kiat Praktis Manajemen Waktu 1 Eks 3. Majalah Forum 1 Eks Database Kota Singkawang Tahun 2011 | 56
  • 73.
    Pendidikan 1 2 3 4 5 6 4. Brosur 1 Eks 5. Majalah Al-Furqon 1 Eks 6. Majalah As-Sunnah 1 Eks 7. Majalah Amagiran 1 Eks 8. Majalah T&T 1 Eks 9. Majalah Elken 1 Eks H.Rustam Efendi 20 06-07-2011 (UPT Kebersihan Buku 63 Eks 63 Buku Singkawang) 21 08-07-2011 Askes 1. Majalah Info Askes 13 Eks 13 Buku 22 18-07-2011 GSJA 1. Kerygina 2 Eks 2 Buku 23 21-07-2011 Nurhayati 1. Majalah Kartini 29 Eks 73 Buku 2. Majalah Hidayatullah 13 Eks 3. Majalah Femina 1 Eks 4. Majalah Anggun 1 Eks 5. Tabloid 29 Eks 24 22-07-2011 Wulan 1. Majalah Bobo 95 Eks 137 Buku 2. Majalah Sekar 21 Eks 3. Buku Cerita/Fiksi 21 Eks 25 27-07-2011 Ahmadi 1. Buku Manajemen Perkantoran Modern 1 Eks 20 Buku 2. Buku Pelayanan Prima 2 Eks 3. Latihan Kesegaran Jasmani, Baris Berbaris, Tata Cara Upacara Sipil dan Ceramah Tentang Kesehatan 1 Eks Mental 4. Komunikasi Yang Efektif 1 Eks 5. Budaya Kerja Organisasi Pemerintah 1 Eks 6. Pengarah Program Ceramah Umum/Muatan Teknis 1 Eks Substansif Lembaga 7. Sistem Penyelenggaraan Pemerintahan Negara 1 Eks Kesatuan Republik Indonesia 8. Manajemen Kepegawaian Negara 1 Eks 9. Etika Organisasi Pemerintah 1 Eks 10. Dinamika Keompok 1 Eks 11. Membangun Kerjasama Tim (Team Building) 1 Eks 12. Wawasan Kebangsaan Dalam Kerangka Negara 1 Eks Kesatuan Republik Indonesia 13. Budaya Kerja Organisasi Pemerintah 1 Eks 14. Dinamika Kelompok 1 Eks 15. Manajemen Perkantoran Modern 1 Eks 16. Etika Organisasi Pemerintah 1 Eks 17. Komunikasi Yang Efektif 1 Eks 18. Sistem Penyelenggaraan Pemerintah Negara 1 Eks Kesatuan Republik Indonesia 19. Membangun Kerjasama Tim 1 Eks 26 02-08-2011 Nindry 1. Majalah Donal Bebek 29 Eks 52 Buku 2. Majalah Lain-lain 23 Eks 27 24-08-2011 Dian Apriyani 1. Buku 10 Eks 33 Buku 2. Majalah 23 Eks 28 26-10-2011 Resty 1. Tarian Bidadari 1 Eks 13 Buku 2. Kala Malam membuat Jeda 1 Eks 3. Everlasting Love 1 Eks Database Kota Singkawang Tahun 2011 | 57
  • 74.
    Pendidikan 1 2 3 4 5 6 4. Zodiac 1 Eks 5. Cewek Itu Bernama Bunga 1 Eks 6. Assalamualaikum Cantik 1 Eks 7. Aku Pulang 1 Eks 8. The Secret Life Of Water 1 Eks 9. Bulan Di Langit London 1 Eks 10. Jangan Cari Pacar Berjilbab 1 Eks 11. The Hidden Massages In Water 1 Eks 12. Nora Robert 1 Eks 13. Drama Ny.Marlita 29 1. Angker Batu 1 Eks 16 Buku Kundiana 2. Untaian Duka Taburan Mutiara 1 Eks 3. Bugar Saat Hamil, Sehat Kala Nifas, Langsing Usai 1 Eks Bersalin 4. Mirror 1 Eks 5. Rasia Perempuan 1 Eks 6. Menjadi Istri Penyejuk Hati 1 Eks 7. Jodi Picoult 1 Eks 8. Quantum Love 1 Eks 9. Indonesian Idle 1 Eks 10. Black Interview 1 Eks 11. Campus Fresh Chicken 1 Eks 12. 168 Jam Dalam Sandera 1 Eks 13. Absolute Fear 1 Eks 14. Malam Jumat Kliwon 1 Eks 15. Copy Cat 1 Eks 16. The Rule Of Four 1 Eks 30 25-11-2011 Nani Heriani, AB 1. Triple Knock 1 Eks 7 Buku 2. Jeritan Dendam di Alam Kubur 1 Eks 3. Bila Cintaku Berlabuh 1 Eks 4. Buronan Singo Wulung 1 Eks 5. Perjanjian Berdarah 1 Eks 6. Mutiara di Balik Pelangi 1 Eks 7. Humor Setanggi 1 Eks Setda Kota 31 1. Koran Tribun 150 Eks 150 Buku Singkawang 1. Majalah Pertanian (Abdi Tani) Wahana Informasi 32 Pastiawan 2 Eks 2 Buku Pertanian TOTAL 1903 Buku Sumber Data : Kantor Perpustakaan dan Kearsipan Kota Singkawang Database Kota Singkawang Tahun 2011 | 58
  • 75.
    Kesehatan 7. Kesehatan Upaya peningkatan derajat kesehatan di daerah merupakan bagian dari program pembangunan kesehatan nasional menuju Indonesia Sehat 2011. Tujuan utamanya adalah untuk meningkatkan derajat kesehatan dan kemandirian masyarakat dalam pemeliharaan kesehatan, dengan titik berat pada upaya peningkatan kualitas hidup dan pencegahan penyakit, disamping pengobatan dan pemulihan. Oleh karena itu program pembangunan kesehatan perlu ditingkatkan agar derajat kesehatan masyarakat terus meningkat, Angka Kematian Ibu (AKI), Angka Kematian Balita (AKB) semakin menurun serta Umur Harapan Hidup yang meningkat, sebagai indikator yang berperan dalam Human Proverti Index (HPI) Untuk memenuhi sebagaimana yang disebutkan tersebut beberapa upaya telah dilakukan Pemerintah Kota Singkawang dalam meningkatkan derajat kesehatan masyarakatnya mulai dari fasilitas/prasarana, sarana kesehatan, tenaga medis, para medis medis maupun tenaga kesehatan lainnya. Jumlah tenaga medis, paramedis, dan tenaga Kesehatan Lain yang ada sebanyak 1.090 orang terdiri dari dokter umum 68 orang dokter gigi 8, dokter spesialis 18 orang, bidan 155 orang dan tenaga para medis 583 orang. Sarana/fasilitas kesehatan yang ada di Kota Singkawang pada tahun 2011 terdiri atas : 6 rumah sakit yang menyediakan kamar mulai dari kelas VIP Kelas I Kelas II dan Kelas III dengan berbagai layanan dan fasilitas penunjang medis yang tersedia sesuai dengan kelas/tipe rumah sakit. Jumlah Puskesmas Kecamatan ada 5 dengan 3 Puskesmas menyediakan layanan rawat inap serta 26 Puskesmas Kelurahan. Jumlah apotek yang ada sebanyak 17 apotek serta 21 toko obat. Orang yang memberikan donor darah melalui PMI Cabang Singkawang tercatat sebanyak 3.219 pendonor dengan jumlah darah yang terkumpul dari berbagai golongan sebanyak 3.219 kantong. Persediaan darah selama tahun 2011 sebanyak 3.497 kantong, dengan jumlah permintaan 3.195 kantong dan darah yang rusak 36 kantong. Dari 5 Puskesmas Kecamatan yang ada jumlah pasien yang menjalani rawat jalan sebanyak 182.879 pasien, Sedangkan jumlah pasien yang menjalani rawat inap di 2 Puskesmas Kecamatan yang memberikan layanan rawat inap sebanyak 1.022 orang. Pada tahun 2011 jumlah penderita demam berdarah sebanyak 36 kasus dengan jumlah korban meninggal dunia sebanyak 8 orang. Penderita TBC yang ditemukan pada tahun 2011 sebanyak 202 penderita, yang diobati 202 penderita. Untuk hasil yang diobatai belum dapat diketahui karena pengobatannya memerlukan waktu yang cukup panjang. Sedangkan kasus campak yang ditemukan sebanyak 32 kasus sementara cakupan imunisasi campak sebesar 91,10%. Database Kota Singkawang Tahun 2011 | 59
  • 76.
    Kesehatan Kelahiran bayi pada tahun 2011 sebanyak 3.783 kelahiran, 3.783 lahir hidup dan 22 lahir mati. Jumlah balita 20.145 dan bayi baru lahir mati (neonatal) 0. Sebab kematian bayi, 5 karena afeksia, 10 karena BBLR dan 6 sebab lainnya. Dari hasil pemantauan status gizi balita di Kota Singkawang diketahui 1,09 % berstatus gizi buruk, 10,11% kurang gizi, 63,41% gizi baik dan 24 % gizi lebih.. Pemantauan status gizi balita di Kota Singkawang yang paling banyak menderita gizi baik sebanyak 1.279, 484 gizi lebih,dan gizi kurang sebanyak 204, gizi buruk sebanyak 22 kasus. Akses pelayanan ibu hamil (K1) 94,1%, cakupan pelayanan ibu hamil (K4) 82,1%. Dari 4.812 WUS Hamil + Tidak Hamil, jumlah yang mendapat imunisasi TT1 753, yang mendapat imunisasi TT2 765. Ibu hamil yang mendapat tablet Fe1 sebanyak 4.976 dan yang mendapat tablet Fe2 sebanyak 3.950. Dari 4.594 persalinan sebanyak 3.715 persalinan atau 80,9% ditolong tenaga kesehatan sedangkan sisanya ditolong tenaga lainnya. Kematian ibu hamil sebanyak 1 orang yang disebabkan pendarahan 1 orang. Tabel 7.1 Indikator Kesehatan Kota Singkawang Keadaan Tahun 2009 - 2011 No Uraian Satuan 2009 2010 2011 1. Umur Harapan Hidup Tahun Lk/Pr : t.a.d tad tad 2. Angka Kematian Bayi Orang 29 24 21 3. Jumlah Lahir Hidup Bayi 3,561 4.262 3.761 Jumlah Lahir Mati Bayi 29 27 22 4. Jumlah Balita Balita 18,294 19.542 20.145 Jumlah Balita Mati Balita t.a.d 2 0 5. Jumlah Bumil Orang 4,107 4.713 4.812 Jumlah Kematian Ibu Maternal Orang 3 2 3 6. Status Gizi Balita – Gizi Buruk % 0.28 0,20 2,48 – Gizi Kurang % 10.72 11,43 10,11 – Gizi Baik % 78.11 78,30 63,41 – Gizi Lebih % 0 0 24 7. Jumlah Penderita DBD Orang 942 94 36 8. Angka Bebas Jentik % 52.11 47,85 64,69 9. Angka Kesakitan TB Baru – BTA Positif Orang 174 174 202 – Sembuh % 0 0 10. Penderita Diare Orang 6,003 6.881 8.599 11. Penderita Campak Orang 105 51 32 12. Penderita ISPA Orang 37,766 29.856 29.280 13. Angka Kesakitan Malaria – Klinis Orang 4,433 3.745 399 – Positif Orang 823 381 204 11. Penderita Campak pada Balita Orang 71 51 32 12. Penderita Gizi Buruk Balita 17 12 22 Sumber Data : Dinas Kesehatan Kota Singkawang Database Kota Singkawang Tahun 2011 | 60
  • 77.
    Kesehatan Tabel 7.2 Jumlah Tenaga Medis, Paramedis, dan Tenaga Kesehatan Lain di Kota Singkawang Keadaan Tahun 2009 - 2011 Tahun 2009 Tahun 2010 Tahun 2011 No Jenis Tenaga Tingkat Pendidikan Tingkat Pendidikan Tingkat Pendidikan Jumlah Jumlah Jumlah SLTA D1 D3 D4 S1 S2 SLTA D1 D3 D4 S1 S2 SLTA D1 D3 D4 S1 S2 1 Dokter Umum 53 53 61 61 68 68 2 Dokter Gigi 5 5 9 9 8 8 3 Dokter Spesialis 0 a. Bedah 1 1 2 2 3 3 b. Penyakit Dalam 2 2 3 3 3 3 c. Anak 2 2 2 2 2 2 d. Obsetri dan Ginekolog 1 1 2 2 5 5 e. Mata 1 1 1 1 1 1 f. Anestesi 1 1 1 1 g. Patologi Klinik 0 0 h. Orthopedi 0 0 i. T H T 0 1 1 j. Lainnya 3 3 3 3 2 2 4 Perawat 462 141 310 11 441 117 307 17 583 110 427 16 30 5 Perawat Gigi 10 10 31 31 30 12 18 6 Bidan 122 78 44 126 75 51 155 8 56 89 2 7 Penata Anestesi 2 2 2 2 2 2 8 Kesehatan Masyarakat 35 15 20 14 14 11 11 9 Kesehatan Lingkungan 21 11 10 34 26 8 40 11 28 1 10 Farmasi 53 18 22 13 60 26 15 3 16 66 19 1 29 17 11 Penata Gizi 40 9 30 1 46 41 4 1 44 7 36 1 12 Fisioterapi 5 5 2 2 7 7 13 Penata Rontgen 6 6 2 2 9 9 14 Rekam Medis 0 4 4 2 2 15 Tenaga Lainnya 26 26 121 121 47 47 Jumlah 850 273 20 444 103 10 967 295 142 395 3 118 14 1090 196 75 647 19 135 18 Sumber Data : Dinas Kesehatan Kota Singkawang Database Kota Singkawang Tahun 2011 | 61
  • 78.
    Kesehatan Tabel 7.3 Jumlah Tenaga Medis, Bidan dan Para Medis Praktek Di Kota Singkawang Keadaan Tahun 2008 - 2011 Tahun No Jenis Tenaga Medis Praktek 2008 2009 2010 2011 1 Dokter Umum 47 44 59 68 2 Dokter Gigi 11 10 13 8 3 Dokter Spesialis 19 14 17 18 a. Bedah 2 1 2 3 b. Penyakit Dalam 2 2 3 3 c. Anak 3 1 1 2 d. Obsetri dan Ginekolog 4 4 4 5 e. Mata 1 1 1 1 f. Anestesi 1 1 1 1 g. Patologi Klinik 1 1 1 0 h. Radiologi 1 1 1 0 i. Orthopedi 1 - - 0 k. THT 1 - - 1 i. Jiwa 1 1 2 2 j. Syaraf 1 1 1 0 3 Bidan 65 65 69 155 4 Paramedis 165 165 219 583 Sumber Data : Dinas Kesehatan Kota Singkawang Tabel 7.4 Sarana/Fasilitas Kesehatan Di Kota Singkawang Keadaan Tahun 2009 - 2011 No Jenis Sarana/Fasilitas Tahun 2009 Tahun 2010 Tahun 2011 1 Rumah Sakit 6 6 6 2 Puskesmas a. Kecamatan 5 5 5 b. Kelurahan 26 26 26 2 Apotek 15 15 17 3 Toko Obat 23 22 21 4 Laboratorium Klinik - - - 5 Klinik Bersalin 1 1 1 6 Balai Pengobatan Swasta 1 1 1 Sumber Data : Dinas Kesehatan Kota Singkawang Database Kota Singkawang Tahun 2011 | 62
  • 79.
    Kesehatan Tabel 7.5 Apotek Di Kota Singkawang Keadaan Per 31 Desember 2011 No. Nama Apotek Alamat Nama Apoteker Nama Pemilik 1 Singkawang Jl. P. Diponegoro No.55 Drs. A. Kismed. Apt. Felix Feriyadi. SH 2 Merdeka Jl. P. Diponegoro No.132 Yearmiwirinar.S.Si. Apt. Drs. Suprianto. U. Apt. 3 Asean Jl. P. Diponegoro No. 51 Lenny Matrona S.Si. Apt Tjhang Tjhun Men 4 Ganesha Jl. P. Diponegoro No. 75 Drs. Hirson Sembiring. Apt. Tjhang Fong Fong 5 Singkawang I Jl. Yos Sudarso No. 78 Drs. Hery Suryanto, Apt. Felix Feriyadi. SH 6 Sehat Jl. G. M. Situt No. 29 Daud Andreas S.Farm.Apt Daud Andreas S.Farm.Apt 7 Sudarso Jl. Yos Sudarso Christina S.Si. Apt. Christina S.Si. Apt. 8 Cahaya Kasih Jl. G.M. Situt. No. 22 Liawati S.Far. Apt Liawati S.Far. Apt 9 Mediska Jl. Dr. Sutomo No. 28 Firman Agus P. S. Farm Apt Linda 10 Rakyat Elang Mas Jl. P. Diponegoro No. 98 Arry Hariadi. S, Farm, Apt Alex Suroto 11 Kita Farma Jl. P. Diponegoro No. Bertinessy S.Farm, Apt Ebbi A Rubini 12 Mitra Farma Jl. Jend. Sudirman No. 27 Henny Widayanti, S.Far, Apt. Lisa Elvira Heldi 13 Daun Hijau Jl. Pasar Turi No. 4 Thomy Alvanius,S.Si. Thomy Alvanius,S.Si. 14 Roban Jl. Jend. Sudirman No. 10 Suci Masithah S.Farm. Apt. Song Hie 15 Yessika Jl. Ratu Sepudak.( BTN POLRI ) Widia Oktavianti, S.Far, Apt. A. Syaihus Soleh 16 Dipo Farma Jl. P. Diponegoro No. 41 Fitriani, S.Farm, Apt Robert Santoso 17 Citra Farma Jl. Alianyang No. 48.B Rita Haryani, S.Si, Apt. Hasan, S.Pd., MM Sumber Data : Dinas Kesehatan Kota Singkawang Tabel 7.6 Toko Obat Di Kota Singkawang Keadaan Per 31 Desember 2011 No. Nama Toko Obat Alamat Nama Pemilik 1 RASA Jl. P.Diponegoro No.90 ROBERT SANTOSO 2 333 Jl. P.Diponegoro No. 4 BONG WUI KHONG 3 1001 Jl. Budi Utomo No. 118 BUDIMAN TOMIDI 4 BINTANG SELAMAT Jl. Budi Utomo No. 72 TJEN KIE FA 5 APOLLO Jl. Budi Utomo No. 76 TJIHIA DJUN NEN 6 LIVITA Jl. Setia Budi No. 136 RUSMIN 7 PUSAKA Jl. Niaga. No. 35 LIM DJUI TJHAN 8 ABADI Jl. Sama-sama Drs. Y. WONGSO 9 SWALLOW Komp. Hotel Kalbar No. 2 JUYANTO 10 VITAL Jl. Hasan Saad No. 10 BONG HON KHIU 11 MUJARAB Jl. Bawal No. 6 TJHANG TJUN HIAN 12 AVON Jl. Pasar Turi No. 54 HARIYONO 13 MULIA JAYA Jl. Kurau No. 48 TJHIN KIM FU 14 SINAR BUDI Jl. Kurau No.41 DJAU KIM SIU 15 GUNUNG JAYA Jl. Pasar Hulu No. 56 JTJHUNG LIAN DJONG 16 BIOVITA Jl. Jend. Sudirman No. 16 BUDIANTO 17 KITA Jl. Muslimin Ismail No. 3 LIM MUI NGI 18 MENTARI Jl. Tj. Batu Sakok No. 44 A HIU CIN KIONG 19 SENTOSA Jl. G.M. Situt No. 12. A DJAU KIM SEN 20 FLORA MEDIKA Jl. Hasan Saad No. 23 LIM SUN KHIN 21 SEHAT Jl. Kalimantan MULYADI Sumber Data : Dinas Kesehatan Kota Singkawang Database Kota Singkawang Tahun 2011 | 63
  • 80.
    Kesehatan Tabel 7.7 Rumah Sakit Di Singkawang Keadaan Per 31 Desember 2011 No Nama Rumah Sakit Alamat Tipe/Kelas Nama Direktur 1 RSUD Dr. Abdul Aziz Jl. Dr. Sutomo No. 28 Singkawang B Dr. Carlos Dja'afara, M.Kes. 2 RS. D K T TK. IV Jl. Perwira.H. 15. Singkawang. D / IV Dr. Andi Eko H.L. 3 R.S Harapan Bersama Jl. P. Belitung. No. 61. Singkawang Pratama Dr. Robert Haryanto , MA, C. Ht. 4 RS Santo Vinsensius Jl. P. Diponegoro.No. 5 Singkawang Pratama Dr. Husin Basir, M.Sc, M.Kes. 5 RS Kusta Alverno. Jl. Gunung Sari No. 70. Singkawang D Dr. Hj. Edi Hermeni. Sp. Kj. 6 RS. Jiwa Jl.Raya Singkawang-Bengkayang Km.15 A Drg. Oskar Primadi, MPH Sumber Data : Dinas Kesehatan Kota Singkawang Tabel 7.8 Harga Kamar Rumah Sakit Di Kota Singkawang Berdasarkan Kelas Keadaan Per 31 Desember 2011 Kelas Kamar Perawatan VIP Kelas 1 Kelas 2 Kelas 3 No Nama Rumah Sakit Jumlah Harga Jumlah Harga Jumlah Harga Jumlah Harga Jumlah Jumlah Jumlah Jumlah Tempat Kamar/ Tempat Kamar/ Tempat Kamar/ Tempat Kamar/ Kamar Kamar Kamar Kamar Tidur Malam Tidur Malam Tidur Malam Tidur Malam 1 RSUD Dr. Abdul Aziz - - - - 8 - - 30 - - 59 - 2 RS. D K T 7 7 140.000 - 7 90.000 3 65.000 10 35.000 3 R.S Harapan Bersama 7 7 200.000 - 7 150.000 20 75.000 17 35.000 4 R.S Vinsensius 14 14 345.000 9 11 170.000 6 11 125.000 4 25 75.000 5 RSJ. Buduk - - - - - - - - - - 36 30.000 6 RS. Kusta - - - - - - - - - 42 120 Gratis Sumber Data : Dinas Kesehatan Kota Singkawang Tabel 7.9 Jenis Pelayanan Rumah Sakit Di Kota Singkawang Berdasarkan Poliklinik Yang Tersedia Keadaan Per 31 Desember 2011 Jenis Pelayanan Berdasarkan Poliklinik Yang Tersedia Poliklinik Kebidanan dan No Nama Rumah Sakit Kandungan Orthopedi Penyakit Anestesi Patologi Lainnya Umum Dalam Bedah Klinik Anak Mata Gigi THT KB 1 RSUD Dr. Abdul Aziz X X X X X X X X X X 2 RS. D K T X X 3 R.S Harapan Bersama X X X X X 4 R.S Vinsensius X X X X X X X X 5 RSJ. Buduk X X jiwa 6 RS. Kusta X Sumber Data : Dinas Kesehatan Kota Singkawang Database Kota Singkawang Tahun 2011 | 64
  • 81.
    Kesehatan Tabel 7.10 Fasilitas Pelayanan Penunjang Medis Rumah Sakit Di Kota Singkawang Keadaan Per 31 Desember 2011 RSUD Dr. Abdul R. S Harapan R. S R.S D K T R. S. J. Buduk R. S Kusta Aziz Bersama Vinsensius No Jenis Fasilitas Tidak Tidak Tidak Tidak Tidak Tidak Ada Ada Ada Ada Ada Ada Ada Ada Ada Ada Ada Ada 1 Laboratotium Klinik X X X X X X 2 Farmasi (Apotek) X X X X X X 3 Rehabilitasi Medik X X X X X X 4 Radiologi X X X X X X 5 Bank Darah X X X X X X Instalasi Gawat 6 X X X X X X Darurat 7 Ventilator X X X X X X 8 USG X X X X X X 9 EKG X X X X X X 10 Lainnya X X X X X X Sumber Data : Dinas Kesehatan Kota Singkawang Tabel 7.11 Jumlah Tenaga Medis, dan Paramedis Tenaga Kesehatan Lain Di Rumah Sakit Di Kota Singkawang Keadaan Tahun 2009, 2010 dan 2011 Jumlah Tenaga Medis, Paramedis dan Tenaga Kesehatan Lain Kesehatan Lingkungan Dokter Teknis Medis Lain Spesialis Perawat Gigi Masyarakat Kesehatan Nama Rumah Perawat Farmasi No Terapi Patologi Klinik Sakit Bidan Gizi Umum Orthopedi Ginikelog Penyakit Anestesi Gigi Obstetri lainnya Dalam Bedah THT Mata Anak 1 2 3 4 5 6 7 8 9 10 11 12 13 14 15 16 17 18 19 20 21 22 23 Tahun 2009 RSUD Dr. 1 - - - - - - - - - - - - - - - - - - - - - Abdul Aziz 2 RS. D K T 2 - - - - - - - - - - - 28 - 4 - - 2 1 - - R.S Harapan 3 3 1 - - - 1 - - - - - - 33 - 5 - 2 3 2 1 2 Bersama 4 R.S Vinsensius 5 - - - - - - - - - - - 51 - 4 1 2 1 1 5 5 RSJ. Buduk 5 - - - - - - - - - - 2 125 - 1 4 4 6 1 6 6 RS. Kusta - - - - - - - - - - - 1 4 - 1 - - - - - - Tahun 2010 RSUD Dr. 17 2 131 4 1 - - - - - - - - - - - - - - - - - Abdul Aziz 2 RS. D K T 7 0 - - - - - - - - - - 35 1 4 - - 2 1 - - R.S Harapan 3 1 1 35 - 5 - 2 3 2 1 2 3 - - - - - - - - - Bersama 4 R.S Vinsensius 6 0 - - - - - - - - - - 49 - 4 - 1 2 1 1 5 5 RSJ. Buduk 5 2 - - - - - - - - - 2 112 - - 1 4 4 6 1 6 6 RS. Kusta 1 0 - - - - - - - - - 1 4 - 1 - - - - - - Database Kota Singkawang Tahun 2011 | 65
  • 82.
    Kesehatan 1 2 3 4 5 6 7 8 9 10 11 12 13 14 15 16 17 18 19 20 21 22 23 Tahun 2011 RSUD Dr. 1 18 1 2 3 1 2 1 1 0 0 1 0 152 4 32 0 6 15 11 4 2 Abdul Aziz 2 RS. D K T 4 0 1 0 0 0 0 0 0 0 0 0 34 1 3 0 0 5 1 0 0 R.S Harapan 3 4 0 0 0 1 2 0 0 0 0 0 0 48 0 15 0 0 2 0 1 0 Bersama 4 R.S Vinsensius 8 1 0 0 0 1 0 0 0 0 0 0 63 1 6 0 0 2 0 1 0 5 RSJ. Buduk 8 1 0 0 0 0 0 0 0 0 0 1 174 8 0 0 6 4 9 1 1 6 RS. Kusta 1 0 0 0 0 0 0 0 0 0 0 1 4 0 1 0 0 0 0 0 0 Sumber Data : Dinas Kesehatan Kota Singkawang Tabel 7.12 Jumlah Pasien RSUD Dr. Abdu Aziz Berdasarkan Jenis Rawatan dan Daerah Asal Keadaan Tahun 2008 - 2011 No Jenis Rawat / Daerah Asal Tahun 2008 Tahun 2009 Tahun 2010 Tahun 2011 1 Rawat Jalan 30,842 - 29.563 30.527 a.Singkawang 20,754 - 21.581 21.464 b. Sambas 5,676 - 4.020 4.178 c. Bengkayang 3,804 - 3.373 4.098 d. Daerah Lain 608 - 589 787 2 Rawat Inap 8,857 - 7.348 8.671 a.Singkawang 5,124 - 4.599 5.341 b. Sambas 1,891 - 1.282 1.435 c. Bengkayang 1,610 - 1.239 1.606 d. Daerah Lain 232 - 228 289 3 Rawat Inap Meninggal 490 - 328 374 a.Singkawang 242 - 182 202 b. Sambas 142 - 83 88 c. Bengkayang 86 - 57 70 d. Daerah Lain 20 - 6 14 4 Rawat Inap Hidup 8,367 - 7.020 8.297 a.Singkawang 4882 - 4.417 5.134 b. Sambas 1749 - 1.199 1.348 c. Bengkayang 1524 - 1.182 1.536 d. Daerah Lain 212 - 222 275 Sumber Data : RSUD Dr. Abdul Aziz Database Kota Singkawang Tahun 2011 | 66
  • 83.
    Kesehatan Tabel 7.13 10 Jenis Penyakit Rawat Jalan Yang Dominan Di RSUD Dr. Abdul Aziz Berdasarkan Bulan dan Jumlah Pasien Sesuai Dengan Jenis Penyakit Keadaan Per 31 Desember 2011 Jenis Penyakit No. Bulan Pulpitis DM Non Gangguan Karies Hypertensi TB Paru ISPA Dyspepsia Dislipedimia Febris Gigi Insulin Refraksi Dental 1 Januari 308 200 165 122 152 123 73 66 57 36 2 Pebruari 269 149 157 131 112 136 57 62 40 49 3 Maret 301 175 155 214 126 102 65 65 61 35 4 April 281 190 138 173 110 113 55 57 42 20 5 Mei 264 229 170 126 113 86 72 75 39 46 6 Juni 273 236 161 128 92 90 80 77 56 24 7 Juli 324 353 164 137 95 88 77 81 51 36 8 Agustus 218 288 149 95 69 77 66 79 32 35 9 September 291 244 174 91 85 76 79 41 44 35 10 Oktober 281 220 179 125 74 97 85 57 28 36 11 November 350 319 191 128 81 113 67 57 49 34 12 Desember 283 283 185 95 95 73 70 84 32 36 Jumlah 3443 2886 1988 1565 1204 1174 846 801 531 422 Sumber Data : RSUD Dr. Abdul Aziz Tabel 7.14 10 Jenis Penyakit Rawat Inap Yang Dominan di RSUD Dr. Abdul Aziz Berdasarkan Bulan dan Jumlah Pasien Sesuai Dengan Jenis Penyakit Keadaan Per 31 Desember 2011 Jenis Penyakit No. Bulan Trauma Infection Soft Tissue Asma Diare Asphexia Hypertensi Gastritis Dyspepsia HIL Kapitis Birth Tumor BR 1 Januari 33 21 30 22 20 8 12 12 12 14 2 Pebruari 56 5 32 20 20 3 18 4 4 12 3 Maret 48 10 19 18 16 6 15 8 8 2 4 April 69 46 21 19 18 14 12 13 13 8 5 Mei 53 39 33 11 13 23 9 11 11 9 6 Juni 32 45 42 18 12 22 23 10 10 8 7 Juli 49 25 27 30 14 13 15 16 16 2 8 Agustus 51 50 31 16 14 13 19 3 3 9 9 September 53 71 38 13 12 37 8 6 6 11 10 Oktober 46 71 31 14 18 11 17 12 12 13 11 November 34 47 43 26 14 23 11 13 13 7 12 Desember 31 56 34 19 8 2 6 6 6 13 Jumlah 555 486 381 226 179 175 165 114 114 108 Sumber Data : RSUD Dr. Abdul Aziz Database Kota Singkawang Tahun 2011 | 67
  • 84.
    Kesehatan Tabel 7.15 10 Jenis Penyakit Penyebab Kematian Yang Dominan Di RSUD Dr. Abdul Aziz Berdasarkan Bulan dan Jumlah Pasien Sesuai Dengan Jenis Penyakit Penyebab Kematian Keadaan Per 31 Desember 2011 Jenis Penyakit No. Bulan AIDS / HIV Meningo Asphexia SH DC Sepsis AMI SNH HMD AIDS / HIV dg TB Paru encephalitis 1 Januari 3 1 3 0 1 1 1 0 0 3 2 Pebruari 5 2 0 1 0 1 1 1 0 1 3 Maret 2 2 1 2 0 0 0 0 1 0 4 April 2 3 2 4 0 0 1 3 1 0 5 Mei 3 1 0 1 2 1 1 3 2 0 6 Juni 1 5 0 2 0 3 1 0 2 1 7 Juli 4 3 2 1 2 3 4 0 1 1 8 Agustus 2 4 2 1 1 0 3 0 1 1 9 September 5 2 1 2 3 0 0 2 1 0 10 Oktober 1 2 2 1 2 1 0 0 0 1 11 November 1 3 3 0 0 1 1 2 2 1 12 Desember 2 1 1 1 2 2 0 2 1 2 Jumlah 31 29 17 16 13 13 13 13 12 11 Sumber Data : RSUD Dr. Abdul Aziz Tabel 7.16 Jumlah Donor Darah Di Kota Singkawang Berdasarkan Golongan Darah Keadaan Tahun 2009 - 2011 Darah Yang Dihimpun Berdasarkan Golongan Jumlah (Kantong) Jumlah No Tahun Donor (Kantong) A B AB O 1 2009 3,859 1,127 1,032 284 1,312 3,755 2 2010 2.996 718 860 250 1.168 2.996 3 2011 3.219 839 966 248 1.166 3.219 Sumber Data : Markas Cabang PMI Kota Singkawang Tabel 7.17 Ketersediaan Darah dan Permintaan Darah Di Kota Singkawang Keadaan Tahun 2009 - 2011 Jumlah Jumlah Darah No Tahun Persediaan Permintaan Rusak Darah (ktg) Darah (ktg) (ktg) 1 2009 4,087 3,779 69 2 2010 2.996 2.955 25 3 2011 3.497 3.195 36 Sumber Data : Markas Cabang PMI Kota Singkawang Database Kota Singkawang Tahun 2011 | 68
  • 85.
    Kesehatan Tabel 7.18 Jumlah Puskesmas Kecamatan Di Singkawang Keadaan Per 31 Desember 2011 Jenis Puskesmas Jumlah Nama Jumlah No Nama Puskesmas Alamat Wilayah Kerja Tempat Kepala Rawat Rawat Jalan Kamar Inap Tidur Puskesmas Jl. Raya Pasir Panjang Kecamatan Henry Tri 1 Singkawang Selatan Lirang Kode Pos 79251 telp. Singkawang X 4 7 Purwati, SKM (0562) 3634009 Selatan Jl. Ratu Sepudak Kode Pos Kecamatan X 3 9 Mulyadi, SKM 2 Singkawang Utara 79151 telp. (0562) 632997 Singkawang Utara Jl. Salam Diman No.1 Kode Kecamatan 3 Singkawang Tengah Pos 79112 telp. (0562) Singkawang X - - Mursalin, SKM 631647 Tengah Jl. Alianyang Kode Pos Kecamatan Kasmono, 4 Singkawang Barat X - - 79123 telp. (0562) 3307431 Singkawang Barat SKM Jl. Raya Pajintan No.21 Kecamatan Edita Acu, 5 Singkawang Timur Kode Pos 7925 telp. (0562) Singkawang X 5 10 SKM 641517 Timur Sumber Data : Dinas Kesehatan Kota Singkawang Tabel 7.19 Nama Puskesmas dan Jenis Pelayanan Puskesmas Di Kota Singkawang Keadaan Per 31 Desember 2011 Jenis Pelayanan Berdasarkan Poliklinik Yang Tersedia No Nama Puskesmas Poliklinik Umum Gigi Mata KIA KB Gizi 1 Singkawang Selatan X X X X X 2 Singkawang Utara X X X X X 3 Singkawang Tengah X X X X X X 4 Singkawang Barat X X X X X 5 Singkawang Timur X X X X X Sumber Data : Dinas Kesehatan Kota Singkawang Tabel 7.20 Fasilitas Pelayanan Penunjang Medis Di Puskesmas Keadaan Per 31 Desember 2011 Laboratotium Farmasi Rehabilitasi IGD Ventilator USG EKG Klinik (Apotek) Medik No Nama Puskesmas Tidak Tidak Tidak Tidak Tidak Tidak Tidak Ada Ada Ada Ada Ada Ada Ada Ada Ada Ada Ada Ada Ada Ada 1 Singkawang Selatan X X X X X X X 2 Singkawang Utara X X X X X X X 3 Singkawang Tengah X X X X X X X 4 Singkawang Barat X X X X X X X 5 Singkawang Timur X X X X X X X Sumber Data : Dinas Kesehatan Kota Singkawang Database Kota Singkawang Tahun 2011 | 69
  • 86.
    Kesehatan Tabel 7.21 Tenaga Yang Ada Di Puskesmas Berdasarkan Nama Puskesmas, Jumlah Tenaga Medis dan Paramedis Keadaan Tahun 2009 - 2011 Jumlah Tenaga Medis, Paramedis dan Tenaga Kesehatan Lain No Nama Puskesmas Dokter Teknis Perawat Kesehatan Kesehatan Perawat Bidan Farmasi Gizi Medis Umum Gigi Gigi Masyarakat Lingkungan Lain 1 Singkawang Selatan 4 0 23 3 19 2 4 5 6 3 2 Singkawang Utara 6 1 25 3 20 1 4 7 5 2 3 Singkawang Tengah 6 1 25 7 24 1 7 7 4 5 4 Singkawang Barat 5 0 13 2 12 1 5 4 3 2 5 Singkawang Timur 4 1 20 1 21 2 3 6 3 2 Jumlah 2011 25 3 106 16 96 7 23 29 21 14 Jumlah 2010 20 3 95 15 82 5 19 23 19 0 Jumlah 2009 18 2 105 9 85 22 8 23 17 12 Sumber Data : Dinas Kesehatan Kota Singkawang Tabel 7.22 Jumlah Pasien Rawat Jalan dan Rawat Inap Di Puskesmas Kecamatan Di Kota Singkawang Keadaan Tahun 2009 - 2011 Tahun 2009 Tahun 2010 Tahun 2011 N0 Nama Puskesmas Jumah Pasien Jumlah Pasien Jumlah Pasien Rawat Rawat Rawat Rawat Rawat Rawat Jalan Inap Jalan Jalan Jalan Jalan 1 Singkawang Selatan 18,457 283 24.019 539 51.880 709 2 Singkawang Utara 19,867 112 16.010 94 15.987 307 3 Singkawang Tengah 100,784 - 92.096 0 74.831 0 4 Singkawang Timur 8,370 - 6.902 19 25.842 6 5 Singakwang Barat 28,142 - 14.358 0 14.339 0 Jumlah 175,620 395 153.385 652 182.879 1.022 Sumber Data : Diolah Bagian PDE Setda Kota Singkawang Database Kota Singkawang Tahun 2011 | 70
  • 87.
    Kesehatan Tabel 7.23 Jenis Penyakit Rawat Jalan Yang Dominan Di Puskesmas Berdasarkan Jenis Penyakit dan Jumlah Pasien Setiap Puskesmas Keadaan Tahun 2010 - 2011 Tahun 2010 Tahun 2011 Nama Puskesmas Nama Puskesmas Singkawang Singkawang Singkawang Singkawang Singkawang Singkawang Singkawang Singkawang Singkawang Singkawang No Jenis Penyakit Rawat Jalan Yang Dominan Selatan Selatan Tengah Tengah Timur Timur Utara Utara Barat Barat 1 ISPA Acut tidak Spesifik 4.012 7.676 6.540 7.304 4.324 8.281 5.960 6.887 4.901 3.251 2 Gejala dan tanda umum lainnya - - - 6.338 - 2.224 1.519 2.576 12.189 74 3 Hipertensi Primer( esensial ) 1.359 1.192 9.612 2.249 1.179 1.865 1.482 8.395 2.530 1.216 4 Influensa 1.535 971 3.056 5.411 704 1.938 1.329 2.319 5.175 674 5 Batuk - - - - - 1.966 1.332 3.325 3.391 37 6 Rematisme 1.415 - 5.107 2.996 518 1.825 511 3.774 2.429 126 7 Diare dan Gastro Enteritis 1.498 1.393 - 2.336 396 2.824 1.715 1.342 2.315 403 8 Demam Yg tidak diketahui sebabnya - - - - - 2.020 1.542 2.122 2.333 490 9 Sakit Kepala - - - - - 1.550 886 1.464 3.805 38 10 Tukak Lambung - - - - - 3.510 1.460 120 1.187 867 11 Gastroduodenitis tidak spesifik - - - - - 95 1.270 4.394 545 191 12 Dermatitis Kontak Alergik Tidak Spesifik - - - - - 1.447 1.061 1.523 1.620 431 Sumber Data : Dinas Kesehatan Kota Singkawang Database Kota Singkawang Tahun 2011 | 71
  • 88.
    Kesehatan Tabel 7.24 Jenis Penyakit Rawat Inap Yang Dominan Pada Puskesmas Di Kota Singkawang Keadaan Tahun 2009 - 2011 Tahun 2009 Tahun 2010 Tahun 2011 Nama Puskesmas Nama Puskesmas Nama Puskesmas Jenis Penyakit Rawat Jalan Yang Singkawang Singkawang Singkawang Singkawang Singkawang Singkawang Singkawang Singkawang Singkawang No Selatan Selatan Selatan Dominan Timur Timur Timur Utara Utara Utara 1 ISPA - - - - - - - - - 2 Peny. Sistem Otot & Jar - - - - - - - - - 3 Peny Tek darah tinggi - - - - - - - - - 4 Peny lain Saluran Pernaf Atas - - - - - - - - - 5 Peny Kulit Infeksi - - - - - - - - - 6 Peny Kulit Alergi - - - - - - - - - 7 Diare 4 15 - 4 15 - - - - 8 Peny Pulpa & Jar Priapkl - - - - - - - - - 9 Peny Mata Lain - - - - - - - - - 10 Malaria Klinis - 6 - - 6 - - - - 11 Peny Lain Saluran Pernaf Bawah - - - - - - - - - Sumber Data : Diolah Bagian PDE Setda Kota Singkawang Tabel 7.25 Kasus Demam Berdarah Di Kota Singkawang Keadaan Tahun 2009 - 2011 Tahun 2009 Tahun 2010 Tahun 2011 No Kecamatan Jumlah Jumlah Jumlah Penderita Meninggal Penderita Meninggal Penderita Meninggal 1 Singkawang Selatan 208 0 15 1 7 8 2 Singkawang Utara 90 1 14 9 0 3 Singkawang Tengah 292 5 33 1 3 0 4 Singkawang Timur 57 0 4 11 0 5 Singkawang Barat 295 4 28 1 2 0 Jumlah 942 10 94 3 36 8 Sumber Data : Dinas Kesehatan Kota Singkawang Database Kota Singkawang Tahun 2011 | 72
  • 89.
    Kesehatan Tabel 7.26 Penderita TBC Paru Yang Ditemukan Di Kota Singkawang Keadaan Tahun 2009 - 2011 Tahun 2009 Tahun 2010 Tahun 2011 No Kecamatan Yang Yang Yang Yang Yang Yang Penderita Penderita Penderita Diobati Sembuh Diobati Sembuh Diobati Sembuh 1 Singkawang Selatan 16 16 10 18 18 - 8 8 - 2 Singkawang Utara 36 36 34 25 25 - 12 12 - 3 Singkawang Tengah 46 46 44 64 64 - 71 71 - 4 Singkawang Timur 27 27 25 19 19 - 15 15 - 5 Singkawang Barat 47 47 46 48 48 - 96 96 - Jumlah 172 172 159 174 174 - 202 202 - Sumber Data : Dinas Kesehatan Kota Singkawang Keterangan : Angka kesembuhan penderita TBC tahun 2009 baru bisa diketahui pada akhir tahun 2010 karena pengobatannya Jangka Panjang Tabel 7.27 Kasus Campak Pada Balita Yang Terdeteksi Di Kota Singkawang Keadaan Tahun 2009 - 2011 Jumlah Penderita (kasus) No Kecamatan Tahun 2009 Tahun 2010 Tahun 2011 1 Singkawang Selatan 18 18 9 2 Singkawang Utara 19 19 4 3 Singkawang Tengah 14 14 11 4 Singkawang Timur 18 18 1 5 Singkawang Barat 2 2 7 Jumlah 71 71 32 Sumber Data : Dinas Kesehatan Kota Singkawang Tabel 7.28 Imunisasi Campak Pada Bayi Di Kota Singkawang Keadaan Tahun 2009 - 2011 Cakupan Imunisasi No Kecamatan Tahun 2009 ( %) Tahun 2010 (%) Tahun 2011 (%) 1 Singkawang Selatan 98,85 118,27 96,50 2 Singkawang Utara 101,94 106,42 95,40 3 Singkawang Tengah 92,46 128,33 98,40 4 Singkawang Timur 99,57 122,65 92,00 5 Singkawang Barat 69,01 62,12 73,20 Jumlah 89,27 105,06 91,10 Sumber Data : Dinas Kesehatan Kota Singkawang Database Kota Singkawang Tahun 2011 | 73
  • 90.
    Kesehatan Tabel 7.29 Jumlah Kelahiran dan Kematian Bayi dan Balita Di Kota Singkawang Keadaan Per 31 Desember 2011 Jumlah Bayi Jumlah Jumlah Lahir Jumlah No Kecamatan Lahir Lahir Bayi Balita Hidup + Balita Hidup Mati Mati Mati Lahir Mati 1 Singkawang Selatan 859 2 861 2 4.571 0 2 Singkawang Utara 461 5 466 8 2.383 0 3 Singkawang Tengah 1.152 15 1.167 8 6.142 0 4 Singkawang Timur 363 0 363 2 2.078 0 5 Singkawang Barat 948 0 948 1 4.971 0 Jumlah 2011 3.783 22 3.805 21 20.145 0 Jumlah 2010 4.262 27 4.289 24 19.542 2 Jumlah 2009 3,561 15 3,576 29 18,294 tad Sumber Data : Dinas Kesehatan Kota Singkawang Tabel 7.30 Jumlah Kematian Neonatal (Baru Lahir) Di Kota Singkawang Keadaan Tahun 2009 - 2011 Tahun 2009 Tahun 2010 Tahun 2011 No Kecamatan Penyebab Kematian Penyebab Kematian Penyebab Kematian Asfiksia BBLR Lainnya Asfiksia BBLR Lainnya Asfiksia BBLR Lainnya 1 Singkawang Selatan - - 1 1 1 3 0 0 2 2 Singkawang Utara - 2 - - 2 - 0 6 2 3 Singkawang Tengah 1 7 6 - 5 2 4 3 1 4 Singkawang Timur - 1 - - 2 - 0 1 1 5 Singkawang Barat 3 4 4 1 2 5 1 0 0 Jumlah 4 14 11 2 12 10 5 10 6 Sumber Data : Dinas Kesehatan Kota Singkawang Tabel 7.31 Pemantauan Status Gizi Balita Di Kota Singkawang Keadaan Tahun 2009 - 2011 Tahun 2009 Tahun 2010 Tahun 2011 No Kecamatan Status Gizi Status Gizi (%) Status Gizi (%) Buruk Kurang Baik Lebih Buruk Kurang Baik Lebih Buruk Kurang Baik Lebih 1 Singkawang Selatan 0.45 7.99 77,17 17,05 3,25 9,02 83,88 14,32 0,2 10,62 77,56 8,42 2 Singkawang Utara 0 11.96 71,83 0,13 7,06 22,32 64,41 3,85 2,11 12,47 65,96 19,45 3 Singkawang Tengah 0.22 9.63 74,70 3,3 2,93 7,58 80,44 9,05 0,41 4,07 33,40 61,71 4 Singkawang Timur 0.76 33.03 75,21 2,58 4,84 10,32 70,53 3,56 0,33 14,33 73,29 8,79 5 Singkawang Barat 0.27 2.6 90,68 4,09 4,98 16,01 75,44 6,21 3,24 11,34 77,33 8,10 Jumlah 0,28 10,72 78,11 5,16 4,37 12,07 76,13 7,21 1,09 10,11 63,41 24,00 Sumber Data : Dinas Kesehatan Kota Singkawang Database Kota Singkawang Tahun 2011 | 74
  • 91.
    Kesehatan Tabel 7.32 Pemantauan Status Gizi Balita Di Kota Singkawang Keadaan Per 31 Desember 2011 Balita No Kecamatan Gizi Lebih Gizi Baik Gizi Kurang Gizi Buruk Jumlah % Jumlah % Jumlah % Jumlah % 1 Singkawang Selatan 42 8,42 387 77,56 53 10,62 1 0,2 2 Singkawang Utara 92 19,45 312 65,96 59 12,47 10 2,11 3 Singkawang Tengah 303 61,71 164 33,4 20 4,07 2 0,41 4 Singkawang Timur 27 8,79 225 73,29 44 14,33 1 0,33 5 Singkawang Barat 20 8,10 191 77,33 28 11,34 8 3,24 Jumlah 2011 484 24,00 1.279 63,41 204 10,11 22 1,09 Sumber Data : Dinas Kesehatan Kota Singkawang Tabel 7.33 Jumlah Bayi Di Kota Singkawang Yang Mendapat Imunisasi dan Jenis Imunisasi Keadaan Per 31 Desember 2011 Imunisasi Jumlah DO No Kecamatan BCG DPT1+HB1 DPT3+HB3 POLIO3 CAMPAK Bayi (%) Jumlah % Jumlah % Jumlah % Jumlah % Jumlah % 1 Singkawang Selatan 993 1.073 108 911 92 812 82 895 90 958 96 5,2 2 Singkawang Utara 518 523 101 496 96 465 90 476 92 494 95 0,4 3 Singkawang Tengah 1.334 1.291 97 1.159 87 1.191 89 1.201 90 1.313 98 13,3 4 Singkawang Timur 451 459 102 466 103 435 96 430 95 415 92 10,9 5 Singkawang Barat 1.080 1.051 97 912 84 863 80 914 85 791 73 13,3 Jumlah 2011 4.376 4.397 100 3.944 90 3.766 86 3.916 89 3.971 91 0,7 Jumlah 2010 4.600 4.262 92,65 4.025 87,50 3.739 81,28 3.750 81,52 3.798 82,6 5,6 Jumlah 2009 3.778 4.622 122,3 4.141 109,6 3.899 103,2 3.987 105,5 3.969 105,1 4,2 Sumber Data : Dinas Kesehatan Kota Singkawang Tabel 7.34 BBLR Di Singkawang Tahun Tahun 2009 - 2011 Tahun 2009 Tahun 2010 Tahun 2011 No Kecamatan Jumlah Jumlah Jumlah Jumlah Jumlah Jumlah Bayi Lahir Bayi BBLR Bayi Lahir Bayi BBLR Bayi Lahir Bayi BBLR 1 Singkawang Selatan 695 6 695 6 857 13 2 Singkawang Utara 362 9 362 9 456 19 3 Singkawang Tengah 1.067 11 1.067 11 1.137 34 4 Singkawang Timur 410 14 410 14 363 4 5 Singkawang Barat 1.027 6 1.027 6 948 20 Jumlah 3.561 46 3.561 46 3.761 90 Sumber Data : Dinas Kesehatan Kota Singkawang Database Kota Singkawang Tahun 2011 | 75
  • 92.
    Kesehatan Tabel 7.35 Jumlah Kunjungan Neonatus, Bayi dan Bayi Lahir Yang Ditangani Keadaan Per 31 Desember 2011 Neonatus Bayi Bayi Lahir No Kecamatan Jumlah Jumlah % BBLR % BBLR Jumlah KN % Kunjungan % Lahir BBLR Bayi BBLR Ditangani Ditangani Hidup 1 Singkawang Selatan 857 857 100 993 760 76,5 857 13 1,5 13 100 2 Singkawang Utara 456 456 100 518 384 74,1 456 19 4,2 19 100 3 Singkawang Tengah 1.137 1.137 100 1.334 1.137 85,2 1.137 34 3,0 34 100 4 Singkawang Timur 363 363 100 451 339 75,2 363 4 1,1 4 100 5 Singkawang Barat 948 948 100 1.080 748 69,3 948 20 2,1 20 100 Jumlah 2011 3.761 3.761 100 4.376 3.368 77,0 3.761 90 2,4 90 100 Jumlah 2010 4.289 3.748 87,39 4.367 1.609 36,84 4.262 164 3,85 148 90,2 Jumlah 2009 3,576 3,223 90.13 3,778 2,901 76.79 3,561 46 1.29 46 100 Sumber Data : Dinas Kesehatan Kota Singkawang Tabel 7.36 Akses Pelayanan Ibu Hamil (K1) dan Cakupan Pelayanan Ibu Hamil (K4) Di Kota Singkawang Keadaan Tahun 2009 - 2011 Tahun 2009 Tahun 2010 Tahun 2011 No Kecamatan Cakupan K1 Cakupan K4 Cakupan K1 Cakupan K4 Cakupan K1 Cakupan K4 1 Singkawang Selatan 95.51 97.87 82,20 75,90 78,9 68,1 2 Singkawang Utara 91.79 85.26 78,60 74,50 90,9 83,0 3 Singkawang Tengah 99.92 89.20 110,40 99,50 101,8 90,2 4 Singkawang Timur 81.74 84.79 92,60 88,50 80,8 80,4 5 Singkawang Barat 95.23 93.09 128,10 124,70 105,5 85,2 Jumlah 94.67 91.06 103,00 96,50 94,1 82,1 Sumber Data : Dinas Kesehatan Kota Singkawang Tabel 7.37 Jumlah Wanita Usia Subur Dengan Status Immunisasi TT (WUS Hamil + Tidak Hamil ) Berdasarkan Kecamatan, Jumlah Ibu Hamil, Jumlah Yang Mendapat Imunisasi TT1 dan TT2 Keadaan Tahun 2009 - 2011 Tahun 2009 Tahun 2010 Tahun 2011 Jumlah No Kecamatan Jumlah Yang Jumlah Yang Jumlah Yang Jumlah Yang Jumlah Yang Yang Jumlah Mendapat Jumlah Mendapat Mendapat Jumlah Mendapat Mendapat Mendapat Ibu Hamil Imunisasi WUS Imunisasi Imunisasi WUS Imunisasi Imunisasi Imunisasi TT2 TT1 TT2 TT1 TT2 TT1 1 Singkawang Selatan 8.683 1.646 1.422 8.683 68 382 1.092 296 255 2 Singkawang Utara 4.670 228 1.027 4.670 13 171 569 - 18 3 Singkawang Tengah 11.908 1.102 1.192 11.908 329 348 1.467 257 321 4 Singkawang Timur 4.211 421 359 4.211 92 84 496 75 71 5 Singkawang Barat 11.008 167 140 11.008 228 186 1.188 125 100 Jumlah 40.480 3.564 4.140 40.480 730 1.171 4.812 753 765 Sumber Data : Dinas Kesehatan Kota Singkawang Catatan : Tahun 2008 Imunisasi TT1 dan TT 2 hanya diberikan kepada ibu hamil Tahun 2009 dan 2010 Imunisasi TT1 dan TT2 diberikan kepada WUS (yang hamil dan yang tidak hamil) Database Kota Singkawang Tahun 2011 | 76
  • 93.
    Kesehatan Tabel 7.38 Jumlah Ibu Hamil Di Kota Singkawang Yang Mendapat Tablet Fe1 dan Fe 2 Keadaan Tahun 2009 - 2011 Tahun 2009 Tahun 2010 Tahun 2011 No Kecamatan Jumlah Yang Jumlah Yang Jumlah Yang Jumlah Yang Jumlah Yang Jumlah Yang Jumlah Jumlah Jumlah Mendapat Mendapat Mendapat Mendapat Mendapat Mendapat Ibu Hamil Ibu Hamil Ibu Hamil Tablet Fe1 Tablet Fe2 Tablet Fe1 Tablet Fe2 Tablet Fe1 Tablet Fe2 1 Singkawang Selatan 890 1.000 846 1.046 709 667 1.092 1.943 1.323 2 Singkawang Utara 475 441 417 556 441 422 569 862 744 3 Singkawang Tengah 1.222 1.423 1.238 1.440 1.589 1.432 1.467 517 472 4 Singkawang Timur 493 356 293 486 450 430 496 401 399 5 Singkawang Barat 1.027 1.117 1.267 1.186 1.519 1.479 1.188 1.253 1.012 Jumlah 4.107 4.337 4.061 4.714 4.708 4.430 4.812 4.976 3.950 Sumber Data : Dinas Kesehatan Kota Singkawang Tabel 7.39 Jumlah Ibu Bersalin Di Kota Singkawang Ditolong Tenaga Kesehatan Keadaan Tahun 2009 - 2011 Tahun 2009 Tahun 2010 Tahun 2011 Ibu Bersalin Ibu Bersalin Ibu Bersalin No Kecamatan Ditolong Ditolong Ditolong Jumlah Tenaga % Jumlah Tenaga % Jumlah Tenaga % Kesehatan Kesehatan Kesehatan 1 Singkawang Selatan 850 695 81,76 713 660 92,57 1.042 809 77,6 2 Singkawang Utara 458 362 79,04 411 410 99,76 543 448 82,5 3 Singkawang Tengah 1.168 1.067 91,35 1.319 1.271 96,36 1.401 1.144 81,7 4 Singkawang Timur 413 410 99,27 398 396 99,50 474 365 77,0 5 Singkawang Barat 1.078 1.025 95,08 1.510 1.509 99,93 1.134 949 83,7 Jumlah 3.967 3.559 89,72 4.351 4.246 97,59 4.594 3.715 80,9 Sumber Data : Dinas Kesehatan Kota Singkawang Tabel 7.40 Jumlah Kematian Ibu Maternal Di Kota Singkawang Keadan Tahun 2009 - 2011 Tahun 2009 Tahun 2010 Tahun 2011 Jumlah Kematian Jumlah Kematian Ibu Jumlah Kematian Ibu Ibu Maternal Maternal Maternal No Kecamatan Jumlah Jumlah Jumlah Ibu Bersalin Ibu Bersalin Ibu Bersalin Ibu Ibu Ibu Hamil Ibu Hamil Ibu Hamil Kematian Kematian Kematian Kematian Kematian Kematian Kematian Kematian Kematian Lain-Lain Lain-Lain Lain-Lain Ibu Nifas Ibu Nifas Ibu Nifas Jumlah Jumlah Jumlah Ibu Hamil Hamil Hamil 1 Singkawang Selatan 890 1 1 1.046 1 1 2 1.092 0 1 0 0 1 2 Singkawang Utara 475 556 569 0 0 0 0 0 3 Singkawang Tengah 1.222 1 1 1.439 1.467 0 0 0 0 0 4 Singkawang Timur 493 486 496 0 1 0 0 1 5 Singkawang Barat 1.027 1 1 1.186 1.188 1 0 0 0 1 Jumlah 4.107 3 3 4.713 1 1 2 4.812 1 2 0 0 3 Sumber Data : Dinas Kesehatan Kota Singkawang Database Kota Singkawang Tahun 2011 | 77
  • 94.
    Kesehatan Tabel 7.41 Jumlah Kematian Ibu Melahirkan Di Singkawang dan Penyebabnya Keadaan Tahun 2009 - 2011 Tahun 2009 Tahun 2010 Tahun 2011 No Kecamatan Penyebab Kematian Penyebab Kematian Penyebab Kematian Eklamsi Pendarahan Lainnya Eklamsi Pendarahan Lainnya Eklamsi Pendarahan Lainnya 1 Singkawang Selatan - 1 - - 1 - 0 1 0 2 Singkawang Utara - - - - - - 0 0 0 3 Singkawang Tengah - 1 - - - - 0 0 0 4 Singkawang Timur - - - - - - 0 0 1 5 Singkawang Barat - - 1 - - - 1 0 0 Jumlah 0 2 1 0 1 0 1 1 1 Sumber Data : Dinas Kesehatan Kota Singkawang Tabel 7.42 Data Posyandu Yang Ada Di Kota Singkawang Berdasarkan Kelurahan dan Strata Posyandu Keadaan Tahun 2010 - 2011 Tahun 2010 Tahun 2011 Kecamatan/ No Jumlah Strata Pos Yandu Jumlah Jumlah Strata Pos Yandu Jumlah Kelurahan Pos Yandu Pratama Madya Purnama Mandiri Kader Pos Yandu Pratama Madya Purnama Mandiri Kader 1 2 3 4 5 6 7 8 9 10 11 12 13 14 1 Singkawang Selatan 29 4 19 6 0 145 29 0 28 0 1 145 1. Sijangkung 4 2 2 20 4 0 4 0 0 20 2. Sagatani 5 2 2 1 25 5 0 5 0 0 25 3. Pangmilang 3 3 15 3 0 3 0 0 15 4. Sedau 17 2 12 3 85 17 0 16 0 1 85 2 Singkawang Utara 22 0 15 7 0 110 23 0 16 7 0 115 1. Sungai Garam Hilir 3 2 1 15 3 0 2 1 0 15 2. Naram 2 2 10 2 0 1 1 0 10 3. Sungai Bulan 2 2 10 2 0 2 0 0 10 4. Sungai Rasau 2 1 1 10 2 0 1 1 0 10 5. Setapuk Kecil 3 2 1 15 3 0 2 1 0 15 6. Setapuk Besar 7 6 1 35 8 0 7 1 0 40 7. Semelagi Kecil 3 2 1 15 3 0 1 2 0 15 3 Singkawang Tengah 41 11 30 0 0 205 41 11 30 0 0 205 1.Roban 18 5 13 90 18 5 13 0 0 90 2. Condong 4 1 3 20 4 1 3 0 0 20 3. Sekip Lama 6 2 4 30 6 2 4 0 0 30 4. Jawa 3 1 2 15 3 1 2 0 0 15 5. Sungai Wie 5 5 25 5 0 5 0 0 25 6. Bukit Batu 5 2 3 25 5 2 3 0 0 25 4 Singkawang Timur 20 2 16 2 0 100 20 0 18 2 0 100 1.Sanggau Kulor 2 2 10 2 0 2 0 0 10 2. Pajintan 7 1 4 2 35 7 0 5 2 0 35 3. Nyarungkop 4 1 3 20 4 0 4 0 0 20 4.Maya Sopa 4 4 20 4 0 4 0 0 20 5. Bagak Sahwa 3 3 15 3 0 3 0 0 15 Database Kota Singkawang Tahun 2011 | 78
  • 95.
    Kesehatan 1 2 3 4 5 6 7 8 9 10 11 12 13 14 5 Singkawang Barat 22 0 18 3 1 110 22 0 19 2 1 110 1.Pasiran 11 9 2 55 11 0 11 0 0 55 2. Melayu 6 5 1 30 6 0 5 1 0 30 3. Tengah 2 1 1 10 2 0 1 0 1 10 4. Kuala 3 3 15 3 0 2 1 0 15 Total Jumlah 134 17 98 18 1 670 135 11 111 11 2 675 Sumber Data : Dinas Kesehatan Kota Singkawang Database Kota Singkawang Tahun 2011 | 79
  • 96.
    Keluarga Berencana 8. KeluargaBerencana Untuk mengendalikan pertumbuhan penduduk, pemerintah mencanangkan program Keluarga Berencana (KB) dengan memberikan sarana pelayanan yang diperlukan. Pada tahun 2009 di Kota Singkawang terdapat 43.651 Pasangan Usia Subur (PUS), 7.515 atau 17,22% merupakan peserta KB baru dan 34.587 atau 79,24% merupakan peserta KB Aktif. Dari 34.587 peserta KB aktif 3.658 peserta menggunakan IUD, 684 menggunakan MOP/MOVW, 759 menggunakan implant, 10.953 menggunakan suntik, 13.647 menggunakan pil, dan 4.886 menggunakan obat vagita. Sedangkan 7.515 peserta KB baru mempergunakan alat kontrasepsi IUD 201, MP/MOV 72, Implant 241, suntik 1.975, Pil 2.785, dan kondom 2.241. Tabel 8.1 Jumlah PUS, Peserta KB, Peserta KB Baru dan KB Aktif Berdasarkan Kecamatan Keadaan Tahun 2009 - 2011 Tahun 2009 Tahun 2010 Tahun 2011 No Kecamatan Peserta KB Peserta KB Peserta KB Peserta KB Peserta Peserta KB Jmlh Baru Aktif Jmlh Baru Aktif Jmlh KB Baru Aktif PUS PUS PUS Jmlh % Jmlh % Jmlh % Jmlh % Jmlh % Jmlh % 1 Singkawang Selatan 9,161 1,453 15.86 7,240 79.03 2 Singkawang Utara 5,770 1,318 22.84 5,280 91.51 Singkawang 3 11,386 1,730 15.19 8,133 71.43 Tengah Tad Tad 4 Singkawang Timur 5,270 1,210 2.96 5,119 97.13 5 Singkawang Barat 12,064 1,804 14.95 8,815 73.07 Jumlah 43,651 7,515 17.22 34,587 79.24 Sumber Data : Dinas Kesehatan Kota Singkawang Database Kota Singkawang Tahun 2011 | 80
  • 97.
    Keluarga Berencana Tabel 8.2 Jumlah Peserta KB Aktif dan Persentase Peserta KB Aktif Berdasarkan Kecamatan dan Jenis Kontrasepsi Keadaan Per 31 Desember 2011 Jumlah Peserta KB Aktif % Peserta KB Aktif MKJP NON MKJP MKJP NON MKJP No Kecamatan MKJP + MKJP + NON NON MOP/ Obat Lain MOP/ Obat Lain IUD Implant Suntik PIL Kondom MKJP IUD Implant Suntik PIL Kondom MKJP MOW Vagina nya MOW Vagina nya 1 Singkawang Selatan 2 Singkawang Utara 3 Singkawang Tengah 4 Singkawang Timur 5 Singkawang Barat Jumlah 2011 Tad Jumlah 2010 tad Jumlah 2009 3,658 684 759 10,953 13,647 4,886 0 0 34,587 10.58 1.98 2.19 31.67 39.46 14.13 0 0 100 Jumlah 2008 3,348 637 594 9,762 11,787 1,680 0 0 27,808 12.04 2.29 2.14 35.11 42.39 6.04 0 0 100 Sumber Data : Dinas Kesehatan Kota Singkawang Database Kota Singkawang Tahun 2011 | 81
  • 98.
    Keluarga Berencana Tabel 8.3 Pelayanan KB Berdasarkan Kecamatan, Jumlah Peserta KB Baru, Persentase Peserta KB Baru dan Alat Kontrasepsi Keadaan Per 31 Desember 2011 Jumlah Peserta KB Baru % Peserta KB Baru MKJP NON MKJP MKJP NON MKJP No Kecamatan MKJP + MKJP MOP/ Obat Lain NON MOP/ Obat Lain + NON IUD Implant Suntik PIL Kondom MKJP IUD Implant Suntik PIL Kondom MKJP MOW Vagina nya MOW Vagina nya 1 Singkawang Selatan 2 Singkawang Utara 3 Singkawang Tengah 4 Singkawang Timur 5 Singkawang Barat Jumlah 2011 Tad Jumlah 2010 Tad Jumlah 2009 201 72 241 1,975 2,785 2,241 0 0 7,515 2.67 0.96 3.21 26.28 37.06 29.82 0 0 100 Jumlah 2008 154 55 76 2,293 1,589 146 0 0 4,313 3.57 1.28 1.76 53.16 36.84 3.39 0 0 100 Sumber Data : Dinas Kesehatan Kota Singkawang Database Kota Singkawang Tahun 2011 | 82
  • 99.
    Layanan Publik 9. LayananPublik Baik buruknya kinerja pemerintah salah satunya diukur dari layanan publik yang diberikan baik dalam hal perizinan maupun penyediaan fasilitas umum. Upaya untuk peningkatan layanan publik merupakan manifestasi konkret dalam tata kelola pemerintahan yang baik namun masih banyak yang harus diperbaiki dan disempurnakan pemerintah daerah di tengah tantangan dan keterbatasan infrastruktur dan sumber daya. Salah satu upaya untuk meningkatkan layanan publik adalah dengan membentuk pelayanan terpadu dengan tujuan untuk efisiensi dan mengurangi waktu perjalanan dan waktu tunggu. Karena itu untuk memberikan layanan publik yang maksimal Pemerintah Kota Singkawang telah membentuk Kantor Penanaman Modal dan Pelayanan Terpadu dimana salah satu tugas pokoknya adalah pembinaan dan penyelenggaraan pelayanan administrasi perizinan dan koordinasi proses pelayanan perizinan. Sampai dengan 31 Desember 2011 ada 9 jenis izin yang dikeluarkan Kantor Penanaman Modal dan Pelayanan Terpadu. Izin tersebut adalah Izin Mendirikan Bangunan (IMB), Izin Usaha Jasa Konstruksi (IUJK), Izin Usaha Industri / Tanda daftar Industri (IUI/TDI) dan Izin Perluasan, Izin Reklame, Surat Izin Usaha Perdagangan (SIUP), Tanda Daftar Gudang (TDG), Tanda Daftar Perusahaan (TDP), Izin Undang – Undang Gangguan (UUG) dan Izin Pengelolaan, Pengusahaan Sarang Burung Walet. Jumlah izin yang dikeluarkan pada tahun 2011 sesuai dengan jenisnya adalah Izin Undang – Undang Gangguan (UUG) sebanyak 1.115 izin, Izin Mendirikan Bangunan (IMB) 1.292 izin, Surat Izin Usaha Perdagangan (SIUP) 488 izin, Tanda Daftar Perusahaan 539 izin, Tanda Daftar Gudang 20 izin, Izin Usaha Jasa Konstruksi (IUJK) 65 izin, Tanda Daftar Perusahaan (TDP) 21 izin, Reklame 170 izin, dan izin Pengusahaan, Pengelolaan Sarang Burung Walet 164 izin. Selain izin yang dikeluarkan Kantor Penanaman Modal dan Pelayanan Terpadu juga ada izin yang masih dikeluarkan dinas teknis. Izin tersebut adalah Izin Trayek yang dikeluarkan Dinas Perhubungan, Komunikasi dan Informatika sebanyak 229 izin dan Izin Perikanan yang dikeluarkan Dinas Kelautan dan Perikanan sebanyak 36 izin. Untuk layanan kependudukan jumlah Kartu Tanda Penduduk yang dikeluarkan sebanyak 89.756 lembar, Akta Kelahiran 11.859 lembar, Akta Perkawinan 369 lembar, Akta Perceraian 4 lembar dan Akta Kematian 106 lembar. Terkait dengan kegiatan usaha masyarakat yang berdampak pada lingkungan pada tahun 2010 Badan Lingkungan Hidup telah mengeluarkan 26 Rekomendasi Kelayakan Lingkungan. Pada periode yang sama Badan Lingkungan Hidup menerima 5 pengaduan masyarakat terhadap pencemaran/kerusakan lingkungan. Database Kota Singkawang Tahun 2011 | 83
  • 100.
    Layanan Publik Dalam memberikan rasa aman bagi masyarakat yang berkendaraan di malam hari di jalan-jalan utama telah dipasang lampu penerangan jalan. Jumlah lampu penerangan jalan umum di Kota Singkawang pada tahun 2009 dipasang pada 80 ruas jalan dengan 2.269 titik lampu. Lampu dalam keadaan baik 1.668, dan rusak/mati/hilang 606. Jumlah Surai Izin Mengemudi yang dikeluarkan Polres Singkawang selama 2011 sebanyak 11.179 SIM, yang terdiri dai SIM C 7.937 buah, SIM A 2.486 buahm SIM A Umum 31 buah, SIM B1 530 buah, SIM B1 Umum 147 buah, SIM B2 25 buah, dan SIM B2 Umum 23 buah. Sedangkan paspor yang dikeluarkan Kantor Imigrasi Singkawang sebanyak 14.201 paspor, untuk 48 halaman 14.160 paspor dan 24 halaman 41 paspor. Tabel 9.1 Pelayanan Pemberian Izin Kantor Penanaman Modaldan Pelayanan terpadu Kota Singkawang Berdasarkan Izin Yang Diberikan, Dasar Hukum Pelaksanaan Pemberian Izin Keadaaan Per 31 Desember 2011 No Jenis Izin Yang Diberikan Dasar Hukum Pelaksanaan Pelayanan Perizinan Keterangan 1 2 3 4 1 Izin Mendirikan Bangunan ( IMB ) PERDA Kota Singkawang Nomor : 04 Tahun 2006 tentang Komponen Perhitungannya antara lain : Retribusi Izin Mendirikan Bangunan - Uang Sempadan (Jenis Bangunan x - Letak Bangunan x Tingkat Bangunan) - Advis - Biaya Plat 2 Izin Usaha Jasa Konstruksi (IUJK) : 1 Peraturan Menteri Permukiman dan Prasarana Wilayah - Gred 2 Nomor : 369/ KPTS/ M/ 2001 tentang Pemberian Izin Usaha Jasa Kontruksi Nasional - Gred 3 - Gred 4 2 Keputusan Walikota Singkawang Nomor: 24 Tahun - Gred 5 2003 Tentang Besarnya Tarif Penerbitan Izin Usaha Kontruksi/Konsultasi (IUJK) dalam wilayah Kota - Gred 6 Singkawang - Gred 7 3 Izin Usaha Industri / Tanda daftar Peraturan Menteri Perindustrian RI Nomor : 41/M-IND Industri (IUI/TDI) dan Izin Perluasan : /PER/6/2008 tentang Ketentuan dan Tata Cara pemberian Izin Perluasan dan Tanda Daftar Industri - TDI - IUI - Izin Perluasan 4 Reklame PERDA Kota Singkawang Nomor : 7 Tahun 2003 Tentang Pajak Reklame 5 Surat Izin Usaha Perdagangan (SIUP) : Peraturan Menteri perdagangan RI Nomor : 36/M-DAG / Klasifikasi Berdasarkan Besarnya Modal : - Kecil PER/9/2007 tentang Penerbitan Surat Izin Usaha - Kecil : Perdagangan - Menengah - 200.000.000 - Besar - Menengah : - > 200.000.000 – 500.000.000 - Besar : - > 500.000.000 6 Tanda Daftar Gudang (TDG) Peraturan Menteri Perdagangan RI Nomor : 16/M- Klasifikasi BerdasarkanLuasnya Gudang : - Kecil DAG/PER/3/2006 Tentang Penataan dan Pembinaan - Kecil : Pergudangan - Menengah - 36 m2 – 2.500 m2 - Besar - Menengah : - > 2.500 m2 – 10.000 m2 - Besar : - > 10.000 m2 Database Kota Singkawang Tahun 2011 | 84
  • 101.
    Layanan Publik 1 2 3 4 7 Tanda Daftar Perusahaan (TDP) : Peraturan Menteri Perdagangan RI Nomor : - Perseroan Terbatas (PT) 37/M-DAG/PER/9/2007 tentang Penyelenggaraan Pendaftaran - Koperasi - Persekutuan Komanditer (CV) - Persekutuan Firma (Fa) - Perusahaan Perorangan (PO) - Badan Usaha Lainnya (BUL) - Perusahaan Asing (PA) 8 Izin Undang – Undang Gangguan Keputusan Walikota Singkawang Nomor : 52 tahun 2002 Komponen Perhitungannya antara lain : (UUG) tentang pemberlakuan Perda Kab Daerah Tk.II Sambas - Jenis Usaha Nomor : 335 Tahun 1997 tentang Pelaksanaan Pemberian Izin UUG. - Luas Tempat Usaha - Tarif Lingkungan - Biaya Plat 9 Pengelolaan, Pengusahaan Sarang PERDA Kota Singkawang Nomor : 7 Tahun 2006 tentang Bangunan / Usaha yang telah ada Burung Walet : Pengelolaan Pengusahaan Sarang Burung Walet sebelum Perda tentang Walet diterbitkan Sumber Data : Kantor Penanaman Modal dan Pelayanan terpadu Kota Singkawang Tabel 9.2 Izin Yang Dikeluarkan Berdasarkan Jenis Izin dan Bulan Keadaan Per 31 Desember 2011 Jumlah No Jenis Izin Jan Peb Mar Apr Mei Jun Jul Ags Sep Okt Nov Des 2011 Izin Undang-Undang Gangguan 39 60 77 63 45 65 86 66 79 170 216 149 1115 1 (IUUG) 2 Izin Mendirikan Bangunan (IMB) 59 53 85 30 47 192 59 74 273 78 166 176 1292 3 Surat Izin Usaha Perdagangan (SIUP) 28 19 44 27 31 31 37 39 33 64 76 59 488 4 Tanda Daftar Perusahaan 25 23 48 39 49 31 43 41 40 64 77 59 539 5 Tanda Daftar Gudang 0 0 2 2 2 7 2 0 1 1 2 1 20 6 Izin Usaha Jasa Konstruksi (IUJK) 0 7 8 9 13 6 12 2 5 1 1 1 65 7 Tanda Daftar Industri (TDI) 1 1 3 2 3 1 3 1 4 1 0 1 21 8 Reklame 24 11 15 7 23 9 12 19 18 14 11 7 170 Izin Pengusahaan, Pengelolaan 0 0 0 0 0 0 45 27 49 9 19 15 164 9 Sarang Burung Walet Jumlah 176 174 282 179 213 342 299 269 502 402 568 468 3874 Sumber Data : Kantor Penanaman Modal dan Pelayanan Terpadu Kota Singkawang Database Kota Singkawang Tahun 2011 | 85
  • 102.
    Layanan Publik Tabel 9.3 KTP Tercetak Dan Belum Cetak Menurut Jumlah Penduduk Wajib KTP Kota Singkawang Keadaan Per 31 Desember 2011 Sudah Jumlah Belum Penduduk Kecamatan Kelurahan Laki- Laki Perempuan Cetak Penduduk Cetak Ktp Wajib Ktp Ktp Roban 16,079 15,467 31,546 13,878 8,573 22,451 Condong 5,669 5,482 11,151 4,907 3,312 8,219 Singkawang Sekip Lama 4,654 4,490 9,144 4,157 2,460 6,617 Tengah Jawa 2,265 2,354 4,619 2,175 1,220 3,395 Bukit Batu 2,728 2,479 5,207 2,014 1,511 3,525 Sungai Wie 2,970 2,910 5,880 2,518 1,568 4,086 Pasiran 20,443 20,008 40,451 15,382 15,470 30,852 Singkawang Melayu 6,635 6,743 13,378 5,724 4,701 10,425 Barat Tengah 1,144 1,130 2,274 957 702 1,659 Kuala 4,618 4,374 8,992 3,570 2,826 6,396 Pajintan 4,488 4,172 8,660 2,982 3,168 6,150 Nyarumkop 1,858 1,692 3,550 1,006 1,381 2,387 Singkawang 2,454 2,218 4,672 1,348 1,799 3,147 Mayasopa Timur Bagak Sahwa 1,184 1,112 2,296 856 705 1,561 Sanggau Kulor 1,600 1,453 3,053 934 1,122 2,056 Sungai Garam Hilir 2,338 2,251 4,589 2,007 1,211 3,218 Naram 1,306 1,203 2,509 1,059 663 1,722 Sungai Bulan 1,356 1,246 2,602 1,034 762 1,796 Singkawang Utara Sungai Rasau 1,240 1,125 2,365 902 760 1,662 Setapuk Kecil 1,350 1,269 2,619 968 851 1,819 Setapuk Besar 3,667 3,474 7,141 2,538 2,245 4,783 Semelagi Kecil 1,987 1,986 3,973 1,201 1,533 2,734 Sedau 17,752 16,717 34,469 11,336 13,089 24,425 Singkawang Sagatani 1,588 1,427 3,015 870 1,068 1,938 Selatan Sijangkung 6,172 5,598 11,770 4,054 4,283 8,337 Pangmilang 2,099 1,912 4,011 1,379 1,231 2,610 Kota Singkawang 119,644 114,292 233,936 89,756 78,214 167,970 Sumber Data : Dinas Kependudukan dan Catatan Sipil Kota Singkawang Database Kota Singkawang Tahun 2011 | 86
  • 103.
    Layanan Publik Tabel 9.4 Penerbitan Kartu Tanda Penduduk (KTP) Di Kota Singkawang Berdasarkan, Bulan dan Kecamatan Keadaan Per 31 Desember 2011 Kecamatan No Bulan Jumlah Singkawang Singkawang Singkawang Singkawang Singkawang Barat Tengah Utara Timur Selatan 1 Januari 17,139 18,366 5,994 4,046 10,455 56,000 2 Februari 17,823 19,169 6,365 4,286 10,986 58,629 3 Maret 19,415 20,863 7,078 4,874 12,273 64,503 4 April 20,335 21,946 7,438 5,205 13,059 67,983 5 Mei 21,259 23,012 7,763 5,500 13,843 71,377 6 Juni 22,055 23,979 8,113 5,732 14,518 74,397 7 Juli 22,915 24,876 8,412 6,013 15,123 77,339 8 Agustus 23,590 25,555 8,680 6,013 15,674 79,512 9 September 24,115 26,261 8,901 6,406 16,234 81,917 10 Oktober 24,589 26,989 9,098 6,634 16,665 83,975 11 November 25,174 28,429 9,434 6,871 17,174 87,082 12 Desember 25,633 29,649 9,709 7,126 17,639 89,756 Jumlah 2011 25,633 29,649 9,709 7,126 17,639 89,756 Jumlah 2010 16,270 17,226 5,520 3,702 9,594 52,312 Jumlah 2009 6,624 6,771 1,633 2,020 5,325 22,373 Sumber Data : Dinas Kependudukan dan Catatan Sipil Kota Singkawang Catatan : Bulan Januari s/d Mei 2009 dilaksanakan di Kecamatan Sejak bulan Juni 2009 dilaksanakan di Dinas Kependudukan dan Catatan Sipil Kota Singkawang Database Kota Singkawang Tahun 2011 | 87
  • 104.
    Layanan Publik Tabel 9.5 Akta Catatan Sipil Yang Dikeluarkan Berdasarkan Bulan dan Kecamatan Keadaan Per 31 Desember 2011 Kecamatan Singkawang Singkawang Singkawang Singkawang Singkawang Barat Tengah Utara Timur Selatan No Bulan Perkawinan Perkawinan Perkawinan Perkawinan Perkawinan Perceraian Perceraian Perceraian Perceraian Perceraian Kelahiran Kelahiran Kelahiran Kelahiran Kelahiran Kematian Kematian Kematian Kematian Kematian 1 Januari 112 3 4 1 199 1 2 - 75 - - - 76 - 2 - 144 2 4 - 2 Februari 106 3 10 - 105 1 8 - 50 - 4 - 34 - 8 - 62 3 8 - 3 Maret 142 6 14 - 136 2 4 - 87 - - - 101 1 - - 137 4 10 - 4 April 143 5 8 - 120 2 4 - 68 - 2 - 81 - 2 - 158 1 2 - 5 Mei 183 3 12 - 157 6 6 - 66 - 4 - 83 - - - 172 2 6 - 6 Juni 185 2 4 - 195 1 4 - 63 1 2 - 78 1 - - 204 2 2 - 7 Juli 179 4 18 - 204 3 8 - 83 1 4 - 103 2 2 - 262 3 9 1 8 Agustus 206 5 16 - 188 1 10 - 105 - 4 - 98 - 2 - 258 1 16 - 9 September 177 3 6 - 192 2 2 - 84 - 2 - 107 2 - - 283 2 13 - 10 Oktober 242 2 15 1 236 - 8 - 89 - 2 - 180 - - - 369 2 8 - 11 November 230 5 17 1 256 1 8 - 167 - 4 - 160 2 2 - 427 3 10 - 12 Desember 602 4 19 - 779 2 13 - 544 - 4 - 412 2 4 - 1,115 2 7 - Jumlah 2011 2,507 45 143 3 2,767 22 77 - 1,481 2 32 - 1,513 10 22 - 3,591 27 95 1 Jumlah 2010 6,864 39 131 2 6,273 13 54 - 3,106 3 7 - 2,846 9 16 - 7,413 22 66 - Jumlah 2009 3,915 - - - 3,664 - - - 1,889 - - - 1,984 - - - 3,348 - - - Sumber Data : Dinas Kependudukan dan Catatan Sipil Kota Singkawang Tabel 9.6 Jumlah Pelayanan dan Pengaduan Pencemaran / Kerusakan Lingkungan Hidup Di Kota Singkawang Keadaan Tahun 2009-2011 Pemberian Rekomendasi Pengaduan Pencemaran/ No Tahun Kelayakan Lingkungan Kerusakan Lingkungan 1 2009 26 5 2 2010 85 5 3 2011 tad tad Sumber Data : Badan Lingkungan Hidup Kota Singkawang Database Kota Singkawang Tahun 2011 | 88
  • 105.
    Layanan Publik Tabel 9.7 Kondisi Lampu Penerangan Jalan Umum di Kota Singkawang Keadaan Tahun 2009 - 2011 No Uraian Tahun 2009 Tahun 2010 Tahun 2011 1 Lokasi/Letak Jalan 80 tad tad 2 Jumlah Titik Lampu 2,269 tad tad 3 Lampu Dalam Keadaan Baik 1,668 tad tad 4 Lampu Dalam Keadaan Rusak/Mati 468 tad tad 5 Lampu Yang Hilang 138 tad tad Sumber Data : Dinas Bina Marga, SDA dan ESDM Kota Singkawang Tabel 9.8 Jumlah SIM Yang Dikeluarkan Polres Singkawang Periode Januari s/d Desember 2011 Jenis SIM No Bulan Jumlah C A A Umum B1 B1 Umum B2 B2 Umum 1 Januari 811 220 3 47 9 2 4 1,096 2 Pebruari 763 212 1 42 15 4 1 1,038 3 Maret 753 232 5 53 16 2 3 1,064 4 April 501 153 6 18 13 1 - 692 5 Mei 607 188 1 50 8 - 1 855 6 Juni 649 174 3 46 17 1 5 895 7 Juli 702 206 2 60 16 3 1 990 8 Agustus 644 214 1 46 4 3 1 913 9 September 573 197 2 48 7 1 2 830 10 Oktober 569 217 2 38 10 1 2 839 11 Nopember 547 220 1 40 14 5 2 829 12 Desember 818 253 4 42 18 2 1 1,138 Jumlah 7,937 2,486 31 530 147 25 23 11,179 Sumber Data : Polres Singkawang Database Kota Singkawang Tahun 2011 | 89
  • 106.
    Layanan Publik Tabel 9.9 Jumlah Paspor Yang Dikeluarkan Kantor Imigrasi Kelas II Singkawang Berdasarkan Bulan dan Halaman Paspor Keadaan Tahun 2009 - 2011 SPRI No Bulan Jumlah 48 Halaman 24 Halaman 1 Januari 1,101 0 1,101 2 Pebruari 1,364 5 1,369 3 Maret 1,511 8 1,519 4 April 1,143 6 1,149 5 Mei 1,232 12 1,244 6 Juni 1,228 4 1,232 7 Juli 1,136 0 1,136 8 Agustus 889 0 889 9 September 1,411 0 1,411 10 Oktober 1,038 0 1,038 11 Nopember 1,037 0 1,037 12 Desember 1,070 6 1,076 Jumlah 2011 14,160 41 14,201 Jumlah 2010 15,131 188 15,319 Jumlah 2009 12,204 114 12,318 Sumber Data : Kantor Imigrasi Kelas II Singkawang Database Kota Singkawang Tahun 2011 | 90
  • 107.
    Rencana Tata Ruang 10.Rencana Tata Ruang Penyelenggaraan penataan ruang bertujuan untuk mewujudkan ruang yang aman, nyaman, produktif, sehingga terwujudnya keharmonisan antara lingkungan alam dan lingkungan buatan. Adanya keterpaduan dalam penggunaan sumber daya alam dan sumber daya buatan dengan memperhatikan sumber daya manusia serta pelindungan fungsi ruang dan pencegahan dampak negatif terhadap lingkungan akibat pemanfaatan ruang. Untuk memenuhi hal tersebut Pemerintah Kota Singkawang telah menyusun 18 Dokumen Rencana Tata Ruang yang memuat cakupan wilayah, batasan kawasan secara fisik, peruntukan serta luas wilayahnya Dokumen yang telah disusun tersebut adalah : 1. RDTR BWK-A Tahun 2004-2009. 2. RTRK Permukiman Kumuh 3. RDTR BWK-E Tahun 2005-2010. 4. Rencana Pemetaan Kawasan Pesisir 5. Rencana Urban Design Ruang Publik 6. Rencana Detail Tata Ruang (RDTR) BWK-B Tahun 2006-2011 7. Rencana Teknis Ruang Kawasan (RTRK) Pusat Pertumbuhan 8. Urban Design Pasar Turi dan Pasar Beringin 9. RTRK Pengembangan Kawasan Pemukiman Nelayan Teluk Karang Kelurahan Sedau 10. Rencana Penentuan dan Pematokan Ruang Milik Jalan dan garis Sempadan Bangunan Kota Singkawang 11. Pemasangan Patok Ruang Milik Jalan dan Garis Sempadan Bangunan Kota Singkawang 12. Koordinasi Penyelenggaraan Pengembangan Perumahan 13. Pemasangan Patok Ruang Milik Jalan dan Garis Sempadan Bangunan Kota Singkawang 14. Penyusunan Rencana Teknis Kawasan Hutan Kota 15. Penyusunan Rencana Teknis Kawasan Budaya 16. Koordinasi Pengawasan dan Pengendalian Pelaksanaan Kebijakan tentang Pembangunan Perumahan 17. Survey dan Pemetaan (Penggandaan Citra dan Peta Penggunaan Lahan Kota Singkawang 18. Penyusunan Master Plan Penataan Ulang Reklame Database Kota Singkawang Tahun 2011 | 91
  • 108.
    Infrastruktur 11. Infrastruktur Karena luasnya pengertian infrastuktur sementara data yang disajikan terbatas maka pengertian infrastruktur perlu dibatasi. Infrastruktur yang dimaksud disini adalah fasilitas jalan, dan drainase pengendali banjir serta bangunan irigasi serta fasilitas olahraga. Keberadaan infrastruktur baik jalan, jembatan, saluran drainase maupun irigasi sangat besar pengaruhnya dalam menggerakan roda perekonomian masyarakat. Pembangunan, pemeliharaan dan peningkatan jalan dapat membuka akses transportasi masyarakat dan membuka daerah-daerah yang terisolir. Pembangunan saluran drainase diharapkan dapat meminimalisir terjadinya banjir yang sangat merugikan masyarakat maupun pemerintah karena rusaknya infrastruktur yang telah dibangun. Dengan dibangunnya saluran irigasi produksi pertanian masyarakat diharapkan dapat meningkat sehingga memberikan dampak yang sangat positif bagi kesejahteraan masyarakat khususnya petani menjadi lebih baik. Berdasarkan status jalan yang ada di Kota Singkawang sampai dengan 31 Desember 2011 panjang jalan negara 17,3 km dengan jenis permukaan jalan semua aspal. Panjang jalan propinsi 25,51 km jenis permukaan jalan semua aspal. Sedangkan panjang jalan kota 457,197 km. Dalam tahun anggaran 2011 jalan yang dibangun sebanyak 17 ruas jalan dengan panjang 10.682 meter. Jalan yang ditingkatkan sebanyak 14 ruas jalan dengan panjang 11.631 meter. Sedangkan pemeliharaan jalan dilakukan pada 21 ruas jalan dengan panjang 18.170,50 meter. Jembatan yang dibangun sebanyak 1 unit dengan panjang 6 meter. Dari 129 unit jembatan yang berada pada ruas jalan Negara, Propinsi dan Kota 82 dalam keadaan baik, 22 rusak ringan dan 25 rusak berat. Pembangunan, peningkatan, pembersihan maupun pembangunan penahan tebing saluran drainase yang dilaksanakan pada tahun 2011 sepanjang 56.606,4 meter dan semua kondisi saluran drainase dalam keadaan baik. Sedangkan saluran irigasi yang dibangun pada tahun 2011 56.606,4 meter. terdiri dari saluran irigasi sekunder 56.606,4 meter. Saluran irigasi tersebut untuk mengairi daerah irigasi seluas 5.778 hektar. Fasilitas olahraga yang tersedia baik yang dimiliki Pemerintah Kota Singkawang, Instansi Pemerintah Pusat, Pengurus Olahraga maupun pribadi sebanyak 41 buah dari 12 cabang olahraga. Database Kota Singkawang Tahun 2011 | 92
  • 109.
    Infrastruktur Tabel 11.1 Kondisi Jalan Berdasarkan Status Keadaan Per 31 Desember 2011 Kondisi Jalan No. Status Jalan Total Panjang Jalan (Km) Baik (Km) Rusak Ringan (Km) Rusak Berat (Km) 1 Negara 17.300 6.050 11.250 - 2 Propinsi 23.510 2.150 21.360 - 3 Kota 457.197 tad tad tad Jumlah 500.397 - - - Sumber Data : Dinas Bina Marga, SDA dan ESDM Kota Singkawang Tabel 11.2 Data Pembangunan Jalan Di Kota Singkawang Berdasarkan Kecamatan/Kelurahan, Nama Jalan/Gang, Panjang Jalan Status Jalan dan Sumber Dana Keadaan Per 31 Desember 2011 Status Jalan Sumber Dana Lingkungan Kecamatan/ Kelurahan / Panjang Propinsi APBD APBD Bantuan Negara No. Kota Nama Jalan/Gang Jalan Kota Prop APBN Luar (m) SKW Kalbar Negeri 1 Singkawang Barat 1. Jl. Padat Karya II 655 √ √ 2. Jl. Tani II 150 √ √ 3. Jl. Veteran Ujung Sekip Baru 350 √ √ 2 Singkawang Utara 1. Jl. Hamid Matali 1,027 √ √ 2. Jl. Akses Masuk Sekolah Internasional 175 √ √ 3. Jl. Gunung Kaba' 970 √ √ 4. Jl. Setapuk Besar Hulu (Lanjutan) 350 √ √ 3 Singkawang Selatan 1. Jl. Pangkalan Batu 2,800 √ √ 2. Jl. Kaliasin Luar RT. 22 dan RT.23 65 √ √ 3. Jl. Pasir Marhaban 214 √ √ 4. Jl. Koramil 608 √ √ 5. Jl. Conglongkong 480 √ √ 6. Jl. Danau Serantangan 1,700 √ √ 7. Jl. Suka Ramai Kopisan Dalam 234 √ √ 8. Jl. Hawai 100 √ √ 4 Singkawang Timur 1. Jl. Sahwa 604 √ √ 2. Jl. Nunga Parong 200 √ √ Jumlah 2011 10,682 Jumlah 2010 20,601 Jumlah 2009 9,141 Sumber Data : Dinas Bina Marga, SDA dan ESDM Kota Singkawang Database Kota Singkawang Tahun 2011 | 93
  • 110.
    Infrastruktur Tabel 11.3 Data Peningkatan Jalan Di Kota Singkawang Berdasarkan Kecamatan/Kelurahan, Nama Jalan/Gang, Panjang Jalan Status Jalan dan Sumber Dana Keadaan Per 31 Desember 2011 Status Jalan Sumber Dana Bantuan Luar Panjang Singkawang Lingkungan APBD Prop ABPD Kota Propinsi No. Kecamatan/Kelurahan Nama Jalan/Gang Jalan Negara Negeri Kalbar APBN Kota (Km) 1 Singkawang Tengah 1. Jl. Pramuka - Demang Akub 1,200.00 √ √ 2. Jl. Rawasari 1,175.00 √ √ 3. Jl. Lembah Murai 177.00 √ √ 4. Jl. Padat Karya Roban 550.00 √ √ 5. Jl. Kacang 450.00 √ √ 2 Singkawang Barat 1. Jl. Suhada (Lanjutan) 175.00 √ √ 2. Jl. Kelapa Dua 825.00 √ √ 3 Singkawang Utara 1. Jl. H. Bakar 2,150.00 √ √ 4 Singkawang Selatan 1. Jl. BLKI 1,355.00 √ √ 2. Jl. Perkebunan 1,692.00 √ √ 3. Jl. Pesantren Sedau 552.00 √ √ 4. Jl. Lirang Dalam 600.00 √ √ 5 Singkawang Timur 1. Jl. Transpol 380.00 √ √ 2. Jl. Robankok 350.00 √ √ Jumlah 2011 11,631.00 Jumlah 2010 10,292.00 Jumlah 2009 11,149.00 Sumber Data : Dinas Bina Marga, SDA dan ESDM Kota Singkawang Tabel 11.4 Data Pembangunan Jembatan Di Kota Singkawang Berdasarkan Kecamatan/Kelurahan, Nama Jalan/Gang, Panjang Jalan Status Jalan dan Sumber Dana Keadaan Per 31 Desember 2011 Status Jalan Sumber Dana Bantuan Luar Panjang Singkawang Lingkungan ABPD Kota APBD Prop Propinsi Negara Negeri No. Kecamatan/Kelurahan Nama Jembatan/Lokasi Jembatan Kalbar APBN Kota (M) 1 Singkawang Utara Jembt Jl. H. Bakar RT.03 6.00 X X Jumlah 2011 6.00 Jumlah 2010 32.00 Jumlah 2009 26.50 Sumber Data : Dinas Bina Marga, SDA dan ESDM Kota Singkawang Database Kota Singkawang Tahun 2011 | 94
  • 111.
    Infrastruktur Tabel 11.5 Kondisi Jembatan Berdasarkan Status Keadaan Tahun 2009 s/d 2011 Kondisi Jembatan Jumlah Status Jembatan / Berada No. Tahun Jembatan Rusak Rusak Di Jalan Baik (unit) Ringan Berat (Unit) (Unit) (Unit) 1 2009 Negara, Propinsi, Kota 125 76 23 26 2 2010 Negara, Propinsi, Kota 128 81 22 25 3 2011 Negara, Propinsi, Kota 129 82 22 25 Sumber Data : Dinas Bina Marga, SDA dan ESDM Kota Singkawang Tabel 11.6 Kondisi Saluran Irigasi Di Kota Singkawang Berdasarkan Kecamatan/Kelurahan, Tempat/Lokasi, Panjang Saluran Irigasi, dan Kondisi Keadaan Per 31 Desember 2011 Panjang Saluran Irigasi / Jenis Saluran Irigasi Sekunder Jumlah Tersier No. Kecamatan/Kelurahan Tempat/Lokasi Primer Kondisi (M) (M) (M) (M) 1 2 3 4 5 6 7 8 A. PEMBANGUNAN DAN PENINGKATAN JARINGAN IRIGASI 1. D.I. KALI ASIN Rt.27/Rw.05 D.I. KALI ASIN DALAM Baik Kelurahan Sedau Kecamatan Singkawang Selatan Pembuatan Bangunan Sadap Pembuatan Saluran Pasangan Batu Perbaikan Saluran Sekunder 2,000.00 - 2,000.00 B. PENGEMBANGAN DAN PENINGKATAN JARINGAN IRIGASI 1. D.I. KALI ASIN DALAM D.I. KALI ASIN DALAM Baik Kelurahan Sedau Kecamatan Singkawang Selatan Pembuatan Bangunan Sadap 1.00 - 1.00 Perkuatan Tebing Bangunan Sadap 150.00 - 150.00 2. D.I. NYARUMKOP SEI. TANGKET D.I. NYARUMKOP SEI. Baik Kelurahan Nyarumkop TANGKET Kecamatan Singkawang Timur Pembuatan Bangunan Sadap 1.00 - 1.00 Perkuatan Tebing Bangunan Sadap 86.00 - 86.00 Pembuatan Saluran Pasangan Batu 151.00 - 151.00 Perbaikan Saluran Sekunder 3,000.00 - 3,000.00 3. D.I. SAGATANI D.I. SAGATANI Baik Kelurahan Sagatani Kecamatan Singkawang Selatan Pembuatan Bangunan Sadap 1.00 - 1.00 Perkuatan Tebing Bangunan Sadap 110.00 - 110.00 Pembuatan Saluran Pasangan Batu 20.00 - 20.00 Perbaikan Saluran Sekunder 1,000.00 - 1,000.00 4. D.I. BONG MAKONG D.I. BONG MAKONG Baik Kelurahan Sedau Kecamatan Singkawang Selatan Pembuatan Bangunan Sadap 1.00 - 1.00 Pembuatan Saluran Pasangan Batu 140.00 - 140.00 Database Kota Singkawang Tahun 2011 | 95
  • 112.
    Infrastruktur 1 2 3 4 5 6 7 8 5. D.I. TAINAM PAJINTAN D.I. TAINAM PAJINTAN Baik Kelurahan Pajintan Kecamatan Singkawang Timur Pembuatan Bangunan Sadap 1.00 - 1.00 Pembuatan Saluran Pasangan Batu 141.80 - 141.80 Perbaikan Saluran Sekunder 4,000.00 - 4,000.00 6. D.I. NYARUMKOP D.I. NYARUMKOP Baik Kelurahan Nyarumkop Kecamatan Singkawang Timur Perbaikan Bangunan Bendung 1.00 - 1.00 Perkuatan Tebing Bangunan Bendung - - - Pembuatan Saluran Pasangan Batu 40.00 - 40.00 7. D.I. PASI PANGMILANG D.I. PASI PANGMILANG Baik Kelurahan Pangmilang Kecamatan Singkawang Selatan Pembuatan Bangunan Sadap 1.00 - 1.00 Perkuatan Tebing Bangunan Sadap 116.00 - 116.00 Pembuatan Saluran Pasangan Batu 24.40 - 24.40 Perbaikan Saluran Sekunder 1,500.00 - 1,500.00 8. D.I. LOH ABANG D.I. LOH ABANG Baik Kelurahan Sagatani Kecamatan Singkawang Selatan Perbaikan Bangunan Bendung 1.00 - 1.00 Perkuatan Tebing Bangunan Sadap 94.20 - 94.20 Pembuatan Saluran Pasangan Batu - - - C. REHABILITASI JARINGAN IRIGASI 1. D.I. LOH ABANG BAWAH D.I. LOH ABANG BAWAH Baik Kelurahan Sagatani Kecamatan Singkawang Selatan Rehabilitasi Saluran Pasangan Batu 100.00 - 100.00 Rehabilitasi Saluran Tanah ( Pembawa ) 4,000.00 - 4,000.00 Rehabilitasi Saluran Tanah ( Pembuang ) 3,000.00 - 3,000.00 2. D.I. KALI ASIN LUAR D.I. KALI ASIN LUAR Baik Kelurahan Sedau Kecamatan Singkawang Selatan Rehabilitasi Saluran Pasangan Batu 50.00 - 50.00 Rehabilitasi Saluran Tanah ( Pembawa ) 3,300.00 - 3,300.00 Rehabilitasi Saluran Tanah ( Pembuang ) 3,700.00 - 3,700.00 3. D.I. LIRANG D.I. LIRANG Baik Kelurahan Sedau Kecamatan Singkawang Selatan Rehabilitasi Saluran Pasangan Batu 100.00 - 100.00 Rehabilitasi Saluran Tanah ( Pembawa ) 3,800.00 - 3,800.00 Rehabilitasi Saluran Tanah ( Pembuang ) 3,200.00 - 3,200.00 4. D.I. TELUK KARANG D.I. TELUK KARANG Baik Kelurahan Sedau Kecamatan Singkawang Selatan Rehabilitasi Bangunan Sadap 2.00 - 2.00 Rehabilitasi Saluran Pasangan Batu 40.00 - 40.00 Rehabilitasi Saluran Tanah ( Pembawa ) 2,500.00 - 2,500.00 Rehabilitasi Saluran Tanah ( Pembuang ) 1,000.00 - 1,000.00 5. D.I. SIJANGKUNG D.I. SIJANGKUNG Baik Kelurahan Sijangkung Kecamatan Singkawang Selatan Rehabilitasi Bangunan Sadap 1.00 - 1.00 Rehabilitasi Saluran Pasangan Batu 42.00 - 42.00 Rehabilitasi Saluran Tanah ( Pembawa ) 3,000.00 - 3,000.00 Rehabilitasi Saluran Tanah ( Pembuang ) 2,500.00 - 2,500.00 6. D.I. PETENGAHAN D.I. PETENGAHAN Baik Kelurahan Bagak Kecamatan Singkawang Timur Rehabilitasi Bangunan Sadap 2.00 - 2.00 Rehabilitasi Saluran Pasangan Batu 40.00 - 40.00 Rehabilitasi Saluran Tanah ( Pembawa ) 2,500.00 - 2,500.00 Rehabilitasi Saluran Tanah ( Pembuang ) 1,000.00 - 1,000.00 7. D.I. PASI PANGMILANG BAWAH D.I. PASI Baik Kelurahan Pangmilang PANGMILANG BAWAH Database Kota Singkawang Tahun 2011 | 96
  • 113.
    Infrastruktur 1 2 3 4 5 6 7 8 Kecamatan Singkawang Selatan Rehabilitasi Bangunan Sadap 2.00 - 2.00 Rehabilitasi Saluran Pasangan Batu 120.00 - 120.00 Rehabilitasi Saluran Tanah ( Pembawa ) 2,500.00 - 2,500.00 Rehabilitasi Saluran Tanah ( Pembuang ) 2,500.00 - 2,500.00 8. D. I. PAKUNAM D. I. PAKUNAM Baik Kelurahan Sedau Kecamatan Singkawang Selatan Rehabilitasi Bangunan Sadap 1.00 - 1.00 Rehabilitasi Saluran Pasangan Batu 25.00 - 25.00 Rehabilitasi Saluran Tanah ( Pembawa ) 2,500.00 - 2,500.00 Rehabilitasi Saluran Tanah ( Pembuang ) 2,500.00 - 2,500.00 JUMLAH 56,606.40 - 56,606.40 Sumber Data : Dinas Bina Marga, SDA dan ESDM Kota Singkawang Tabel 11.7 Data Pembangunan Irigasi Di Kota Singkawang Berdasarkan Kecamatan/Kelurahan, Tempat/Lokasi, Panjang Saluran Irigasi, Jenis Irigasi Keadaan Per 31 Desember 2011 Panjang Saluran Irigasi / Jenis Saluran Irigasi Luas Daerah Sekunder No. Kecamatan/Kelurahan Jumlah Tersier Primer ( M' ) Irigasi ( M' ) ( M' ) ( M' ) ( Ha ) 1 2 4 5 6 7 8 A. PEMBANGUNAN DAN PENINGKATAN JARINGAN IRIGASI 1. D.I. KALI ASIN Rt.27/Rw.05 350.00 Kelurahan Sedau Kecamatan Singkawang Selatan Pembuatan Bangunan Sadap Pembuatan Saluran Pasangan Batu Perbaikan Saluran Sekunder 2,000.00 - 2,000.00 B. PENGEMBANGAN DAN PENINGKATAN JARINGAN IRIGASI 1. D.I. KALI ASIN DALAM 350.00 Kelurahan Sedau Kecamatan Singkawang Selatan Pembuatan Bangunan Sadap 1.00 - 1.00 Perkuatan Tebing Bangunan Sadap 150.00 - 150.00 2. D.I. NYARUMKOP SEI. TANGKET 401.00 Kelurahan Nyarumkop Kecamatan Singkawang Timur Pembuatan Bangunan Sadap 1.00 - 1.00 Perkuatan Tebing Bangunan Sadap 86.00 - 86.00 Pembuatan Saluran Pasangan Batu 151.00 - 151.00 Perbaikan Saluran Sekunder 3,000.00 - 3,000.00 3. D.I. SAGATANI 283.00 Kelurahan Sagatani Kecamatan Singkawang Selatan Pembuatan Bangunan Sadap 1.00 - 1.00 Perkuatan Tebing Bangunan Sadap 110.00 - 110.00 Pembuatan Saluran Pasangan Batu 20.00 - 20.00 Perbaikan Saluran Sekunder 1,000.00 - 1,000.00 4. D.I. BONG MAKONG 200.00 Kelurahan Sedau Kecamatan Singkawang Selatan Pembuatan Bangunan Sadap 1.00 - 1.00 Pembuatan Saluran Pasangan Batu 140.00 - 140.00 5. D.I. TAINAM PAJINTAN 453.00 Kelurahan Pajintan Kecamatan Singkawang Timur Pembuatan Bangunan Sadap 1.00 - 1.00 Pembuatan Saluran Pasangan Batu 141.80 - 141.80 Perbaikan Saluran Sekunder 4,000.00 - 4,000.00 Database Kota Singkawang Tahun 2011 | 97
  • 114.
    Infrastruktur 1 2 4 5 6 7 8 6. D.I. NYARUMKOP 401.00 Kelurahan Nyarumkop Kecamatan Singkawang Timur Perbaikan Bangunan Bendung 1.00 - 1.00 Perkuatan Tebing Bangunan Bendung - - - Pembuatan Saluran Pasangan Batu 40.00 - 40.00 7. D.I. PASI PANGMILANG 385.00 Kelurahan Pangmilang Kecamatan Singkawang Selatan Pembuatan Bangunan Sadap 1.00 - 1.00 Perkuatan Tebing Bangunan Sadap 116.00 - 116.00 Pembuatan Saluran Pasangan Batu 24.40 - 24.40 Perbaikan Saluran Sekunder 1,500.00 - 1,500.00 8. D.I. LOH ABANG 360.00 Kelurahan Sagatani Kecamatan Singkawang Selatan Perbaikan Bangunan Bendung 1.00 - 1.00 Perkuatan Tebing Bangunan Sadap 94.20 - 94.20 Pembuatan Saluran Pasangan Batu - - - C. REHABILITASI JARINGAN IRIGASI 1. D.I. LOH ABANG BAWAH 360.00 Kelurahan Sagatani Kecamatan Singkawang Selatan Rehabilitasi Saluran Pasangan Batu 100.00 - 100.00 Rehabilitasi Saluran Tanah ( Pembawa ) 4,000.00 - 4,000.00 Rehabilitasi Saluran Tanah ( Pembuang ) 3,000.00 - 3,000.00 2. D.I. KALI ASIN LUAR 350.00 Kelurahan Sedau Kecamatan Singkawang Selatan Rehabilitasi Saluran Pasangan Batu 50.00 - 50.00 Rehabilitasi Saluran Tanah ( Pembawa ) 3,300.00 - 3,300.00 Rehabilitasi Saluran Tanah ( Pembuang ) 3,700.00 - 3,700.00 3. D.I. LIRANG 250.00 Kelurahan Sedau Kecamatan Singkawang Selatan Rehabilitasi Saluran Pasangan Batu 100.00 - 100.00 Rehabilitasi Saluran Tanah ( Pembawa ) 3,800.00 - 3,800.00 Rehabilitasi Saluran Tanah ( Pembuang ) 3,200.00 - 3,200.00 4. D.I. TELUK KARANG 275.00 Kelurahan Sedau Kecamatan Singkawang Selatan Rehabilitasi Bangunan Sadap 2.00 - 2.00 Rehabilitasi Saluran Pasangan Batu 40.00 - 40.00 Rehabilitasi Saluran Tanah ( Pembawa ) 2,500.00 - 2,500.00 Rehabilitasi Saluran Tanah ( Pembuang ) 1,000.00 - 1,000.00 5. D.I. SIJANGKUNG 425.00 Kelurahan Sijangkung Kecamatan Singkawang Selatan Rehabilitasi Bangunan Sadap 1.00 - 1.00 Rehabilitasi Saluran Pasangan Batu 42.00 - 42.00 Rehabilitasi Saluran Tanah ( Pembawa ) 3,000.00 - 3,000.00 Rehabilitasi Saluran Tanah ( Pembuang ) 2,500.00 - 2,500.00 6. D.I. PETENGAHAN 300.00 Kelurahan Bagak Kecamatan Singkawang Timur Rehabilitasi Bangunan Sadap 2.00 - 2.00 Rehabilitasi Saluran Pasangan Batu 40.00 - 40.00 Rehabilitasi Saluran Tanah ( Pembawa ) 2,500.00 - 2,500.00 Rehabilitasi Saluran Tanah ( Pembuang ) 1,000.00 - 1,000.00 7. D.I. PASI PANGMILANG BAWAH 385.00 Kelurahan Pangmilang Kecamatan Singkawang Selatan Rehabilitasi Bangunan Sadap 2.00 - 2.00 Rehabilitasi Saluran Pasangan Batu 120.00 - 120.00 Rehabilitasi Saluran Tanah ( Pembawa ) 2,500.00 - 2,500.00 Rehabilitasi Saluran Tanah ( Pembuang ) 2,500.00 - 2,500.00 8. D. I. PAKUNAM 250.00 Kelurahan Sedau Kecamatan Singkawang Selatan Rehabilitasi Bangunan Sadap 1.00 - 1.00 Rehabilitasi Saluran Pasangan Batu 25.00 - 25.00 Rehabilitasi Saluran Tanah ( Pembawa ) 2,500.00 - 2,500.00 Database Kota Singkawang Tahun 2011 | 98
  • 115.
    Infrastruktur 1 2 4 5 6 7 8 Rehabilitasi Saluran Tanah ( Pembuang ) 2,500.00 - 2,500.00 JUMLAH 56,606.40 - 56,606.40 5,778.00 Sumber Data : Dinas Bina Marga, SDA dan ESDM Kota Singkawang Tabel 11.8 Jumlah Fasilitas/Lapangan Olahraga Di Kota Singkawang Keadaan Per 31 Desember 2011 No Nama Fasilitas Olahraga Jumlah 1 Lapangan Bola Voli 4 2 Voli Pasir 1 3 Lapangan Sepak Bola 9 4 Tenis Meja 1 5 Tenis Lapangan 8 6 Lapangan Badminton 4 7 Lapangan Basket 2 8 Lapangan Futsal 8 9 Bilyard 1 10 Balap Motor 1 11 Panjat Tebing 1 12 Kolam Renang 1 Jumlah 41 Sumber Data : Dinas Kebudayaan Pariwisata Pemuda dan Olahraga Kota Singkawang Database Kota Singkawang Tahun 2011 | 99
  • 116.
    Perekonomian 12. Perekonomian PDRB per kapita dapat digunakan sebagai salah satu indikator tingkat kemakmuran penduduk suatu daerah/wilayah. PDRB per kapita diperoleh dari hasil bagi antara nilai tambah yang dihasilkan oleh seluruh sektor ekonomi di suatu wilayah (PDRB) dengan jumlah penduduk. Oleh karena itu, besar kecilnya jumlah penduduk berpengaruh terhadap nilai PDRB per kapita. Sedangkan besar kecilnya nilai PDRB sangat tergantung pada potensi sumber daya alam dan faktor-faktor produksi yang terdapat di daerah tersebut. Berdasarkan data dari Badan Pusat Statistik Kantor Kota Singkawang pada tahun 2011 untuk Kota Singkawang nilai Produk Domestik Regional Bruto atas dasar harga berlaku tercatat sebesar Rp. 2.835.253.800.000,- dengan PDRB per kapita atas harga berlaku sebesar Rp. 14.859.742,87,-. Menurut komposisi nilai PDRB atas dasar harga berlaku sektor perdagangan, hotel dan restoran sebagai penyumbang terbesar dalam perekonomian Kota Singkawang mencapai 41,01%. Sektor lainnya yang mengambil peranan terbesar setelah sektor perdagangan, hotel dan restoran adalah sektor jasa-jasa sebesar 14,95 %, diikuti sektor pertanian 12,18 % dan sektor bangunan sebesar 9,56 %. Jumlah simpanan masyarakat Singkawang yang terhimpun baik melalui Bank Umum mapun BPR tercatat sebesar Rp. 2.336.965.000.000,- dengan jumlah pinjaman yang disalurkan kepada masyarakat sebesar Rp. 1.769.865.000.000,-. Berdasarkan jenis penggunaannya pinjaman masyarakat Kota Singkawang terbesar digunakan untuk konsumsi Rp. 875.616.000.000,- diikuti untuk modal kerja Rp. 729.331.000.000,- dan untuk investasi hanya Rp. 164.918.000.000,-. Dari plafond kredit untuk golongan mikro, kecil dan menengah yang diberikan sebesar Rp. 426.729.000.000,- terbesar didistribusikan untuk golongan kecil sebesar Rp. 222.938.000.000,- diikuti golongan menengah sebesar Rp. 185.946.000.000,- dan mikro sebesar Rp. 53.846.000.000,-. Sedangkan penggunaan terbesar untuk konsumsi Rp. 0,- untuk modal kerja Rp. 364.665.000.000,- dan untuk investasi hanya Rp. 98.064.000.000,-. Database Kota Singkawang Tahun 2011| 100
  • 117.
    Perekonomian Sedangkan pinjaman masyarakat Singkawang yang diperoleh melalui PT. Pegadaian (persero) pada tahun 2011 sebesar Rp 105.961.218.000,- untuk 40.364 nasabah. Jumlah pinjaman yang dikembalikan pada tahun yang sama oleh 39.923 nasabah sebesar Rp. 105.402.318.000,-. Sedangkan jumlah pinjaman yang tidak dikembalikan dari 441 nasabah sebesar Rp. 558.900.000,-. Melalui PT. (Persero) Pos Indonesia Cabang Singkawang diketahui selama tahun 2011 jumlah uang yang dikirim ke luar Singkawang sebesar Rp. 7.091.261.312,-. Dengan rincian uang yang dikirim ke dalam negeri sebesar Rp. 6.834.438.912,- dan uang yang dikirim ke luar negeri sebesar Rp. 256.822.400,-. Sementara uang yang diterima dari luar Singkawang pada periode yang sama sebesar Rp. 11.951.067.078,-. Kiriman dari dalam negeri sebesar Rp. 6.602.106.822,- dan kiriman dari luar negeri sebesar Rp. 5.348.960.256,-. Walaupun PDAM Sambas di Singkawang telah diserahkan kepada Pemerintah Kota Singkawang pada akhir tahun 2008, namun berbagai permasalahan yang ada sebelumnya berdampak pada belum maksimalnya pelayanan kepada pelanggan, apalagi memberikan kontribusi dalam peningkatan PAD. Jumlah pelanggan PDAM Kota Singkawang tercatat 12.265 pelanggan yang terbagi atas beberapa kategori sedangkan jumlah air yang didistribusikan selama tahun 2011 sebanyak 1.334.373 M3 yang berasal dari 9 sumber air baku. Pelanggan yang terbanyak dari kategori non niaga 9.610 pelanggan, air yang didistribusikan sebanyak 900.730 M3. Kategoti niaga 2.382 pelanggan, air yang didistribusikan sebanyak 375.129 M3. Kategori sosial 129 pelanggan, air yang didistribusikan sebanyak 35.860 M3. Kategori industri 93 pelanggan, air yang didistribusikan sebanyak 22.654 M3. Untuk kategori khusus 51 pelanggan, air yang didistribusikan sebanyak 13.896 M3. Penerimaan PDAM Kota Singkawang selama tahun 2011 sebesar Rp. 7.738.600.732,-, sedangkan pengeluaran sebesar Rp. 8.488.518.952,-. Dengan demikian PDAM mengalami surplus sebesar Rp. 749.918.220,-. Database Kota Singkawang Tahun 2011| 101
  • 118.
    Perekonomian Tabel 12.1 Perkembangan PDRB Kota Singkawang Atas Dasar Harga Berlaku Tahun 2009 – 2011 (Jutaan Rupiah) No Sektor / Subsektor 2009 2010* 2011** 1 Pertanian 295.413,12 314.838,73 345.455,38 2 Pertambangan dan Penggalian 40.653,52 42.522,34 45.251,11 3 Industri Pengolahan 166.952,60 183.396,25 194.906,47 4 Listrik dan Air Minum 29.763,64 34.392,95 39.644,27 5 Bangunan 208.671,75 244.049,28 271.171,36 6 Perdagangan, Hotel dan Restoran 904.168,99 1.028.323,98 1.162.875,48 7 Pengangkutan dan Komunikasi 127.831,55 148.375,34 171.125,17 8 Keuangan, Persewaan dan Jasa 142.568,11 159.502,45 180.815,31 9 Jasa - Jasa 309.752,66 363.756,56 424.009,25 Produk Domestik Regional 2.225.775,94 2.519.157,85 2.835.253,80 Sumber Data : Badan Pusat Statistik Kota Singkawang Keterangan : *) Angka Sementara **) Angka Sangat Sementara Tabel 12.2 Perkembangan PDRB Kota Singkawang Atas Dasar Harga Konstan Tahun 2009 - 2011 (Jutaan Rupiah) No Sektor / Subsektor 2009 2010* 2011** 1 Pertanian 164.628,55 169.326,30 175.871,34 2 Pertambangan dan Penggalian 19.380,65 20.041,34 20.954,47 3 Industri Pengolahan 93.138,10 97.344,96 101.877,82 4 Listrik dan Air Minum 14.585,56 15.771,68 17.087,75 5 Bangunan 97.238,45 104.096,70 112.773,71 6 Perdagangan, Hotel dan Restoran 442.863,58 462.604,74 489.864,81 7 Pengangkutan dan Komunikasi 77.692,61 85.026,76 92.340,36 8 Keuangan, Persewaan dan Jasa 79.127,05 85.488,90 93.028,83 9 Jasa - Jasa 176.846,93 190.388,80 205.754,80 Produk Domestik Regional 1.165.501,49 1.230.090,19 1.309.553,89 Sumber Data : Badan Pusat Statistik Kota Singkawang Keterangan : *) Angka Sementara **) Angka Sangat Sementara Database Kota Singkawang Tahun 2011| 102
  • 119.
    Perekonomian Tabel 12.3 PDRB Perkapita Kota Singkawang Atas Dasar Harga Berlaku dan Harga Konstan 2000 Tahun 2009 - 2011 PDRB Perkapita No Tahun Harga Berlaku Harga Konstan 2000 1 2009 12.183.081,74 6.379.528,02 2 2010* 13.510.301,57 6.597.002,01 3 2011** 14.859.742,87 6.863.454,07 Sumber Data : Badan Pusat Statistik Kota Singkawang Keterangan : *) Angka Sementara **) Angka Sangat Sementara Tabel 12.4 Pertumbuhan Ekonomi Kota Singkawang Atas Dasar Harga Konstan Tahun 2009 - 2011 No Sektor / Subsektor 2009 2010* 2011** 1 Pertanian 4,64 2,85 3,87 2 Pertambangan dan Penggalian 5,5 3,41 4,56 3 Industri Pengolahan 3,45 4,52 4,66 4 Listrik dan Air Minum 1,64 8,13 8,34 5 Bangunan 8,04 7,05 8,34 6 Perdagangan, Hotel dan Restoran 3,91 4,46 5,89 7 Pengangkutan dan Komunikasi 7,08 9,44 8,6 8 Keuangan, Persewaan dan Jasa 4,71 8,04 8,82 9 Jasa - Jasa 5,97 7,66 8,07 Produk Domestik Regional 4,88 5,54 6,46 Sumber Data : Badan Pusat Statistik Kota Singkawang Keterangan : *) Angka Sementara **) Angka Sangat Sementara Tabel 12.5 Tingkat Inflasi di Kota Singkawang Tahun 2009 - 2011 No Tahun Kumulatif Inflasi 1 2009 1,15 2 2010 7,1 3 2011 6,72 Sumber Data : Badan Pusat Statistik Kantor Kota Singkawang Database Kota Singkawang Tahun 2011| 103
  • 120.
    Perekonomian Tabel 12.6 Distribusi Persentase Produk Domestik Bruto Atas Dasar Harga Berlaku Tahun 2009 - 2011 No Sektor / Subsektor 2009 2010* 2011** 1 Pertanian 13,27 12,50 12,18 2 Pertambangan dan Penggalian 1,83 1,69 1,60 3 Industri Pengolahan 7,50 7,28 6,87 4 Listrik dan Air Minum 1,34 1,37 1,40 5 Bangunan 9,38 9,69 9,56 6 Perdagangan, Hotel dan Restoran 40,62 40,82 41,01 7 Pengangkutan dan Komunikasi 5,74 5,89 6,04 8 Keuangan, Persewaan dan Jasa 6,41 6,33 6,38 9 Jasa - Jasa 13,92 14,44 14,95 Produk Domestik Regional 100,00 100,00 100,00 Sumber Data : Badan Pusat Statistik Kota Singkawang Keterangan : *) Angka Sementara **) Angka Sangat Sementara Tabel 12.7 Distribusi Persentase Produk Domestik Regional Bruto Atas Dasar Harga Konstan 2000 Tahun 2009 - 2011 No Sektor / Subsektor 2009 2010* 2011** 1 Pertanian 14,13 13,77 13,43 2 Pertambangan dan Penggalian 1,66 1,63 1,60 3 Industri Pengolahan 7,99 7,91 7,78 4 Listrik dan Air Minum 1,25 1,28 1,30 5 Bangunan 8,34 8,46 8,61 6 Perdagangan, Hotel dan Restoran 38,00 37,61 37,41 7 Pengangkutan dan Komunikasi 6,67 6,91 7,05 8 Keuangan, Persewaan dan Jasa 6,79 6,95 7,10 9 Jasa - Jasa 15,17 15,48 15,71 Produk Domestik Regional 100,00 100,00 100,00 Sumber Data : Badan Pusat Statistik Kota Singkawang Keterangan : *) Angka Sementara **) Angka Sangat Sementara Database Kota Singkawang Tahun 2011| 104
  • 121.
    Perekonomian Tabel 12.8 Simpanan dan Pinjaman Masyarakat Kota Singkawang Di Bank Umum dan BPR Dalam Rupiah dan Valuta Asing Periode Januari s/d Desember 2011 (dalam Juta Rp) Simpanan NO. Bulan Pinjaman Masyarakat Masyarakat 1 Januari 2.207.131 1.171.334 2 Pebruari 2.231.499 1.302.847 3 Maret 2.038.341 1.334.259 4 April 2.086.659 1.442.137 5 Mei 2.092.008 1.504.849 6 Juni 2.126.064 1.540.981 7 Juli 2.125.038 1.582.272 8 Agustus 2.106.409 1.612.576 9 September 2.160.316 1.637.969 10 Oktober 2.182.908 1.711.064 11 November 2.208.770 1.765.227 12 Desember 2.336.965 1.769.865 Jumlah 2011 2.336.965 1.769.865 Jumlah 2010 2.182.466 1.175.266 Jumlah 2009 1.379.889 949.586 Sumber Data : Bank Indonesia Cabang Pontianak (Statistik Ekonomi Keuangan Daerah Provinsi Kalimantan Barat Terbitan Januari 2012) Tabel 12.9 Posisi Simpanan Masyarakat Kota Singkawang Di Bank Umum dan BPR Dalam Rupiah dan Valuta Asing Berdasarkan Jenis Simpanan Periode Januari s/d Desember 2011 (dalam Juta Rp) Simpanan No Bulan Giro Tabungan Jumlah Berjangka 1 Januari 205.244 416.503 1.585.384 2.207.131 2 Pebruari 211.639 422.554 1.597.306 2.231.499 3 Maret 199.403 393.909 1.445.029 2.038.341 4 April 205.309 394.167 1.487.184 2.086.659 5 Mei 205.443 397.962 1.488.603 2.092.008 6 Juni 217.869 398.699 1.509.496 2.126.064 7 Juli 194.175 404.837 1.526.026 2.125.038 8 Agustus 170.043 407.734 1.528.632 2.106.409 9 September 178.843 430.816 1.550.657 2.160.316 10 Oktober 188.347 429.387 1.565.174 2.182.908 11 November 177.079 434.686 1.597.006 2.208.770 12 Desember 169.478 427.352 1.740.134 2.336.965 Jumlah 2011 169.478 427.352 1.740.134 2.336.965 Jumlah 2010 172.757 410.473 1.599.236 2.182.466 Jumlah 2009 109.498 336.936 933.455 1.379.889 Sumber Data : Bank Indonesia Cabang Pontianak (Statistik Ekonomi Keuangan Daerah Provinsi Kalimantan Barat Terbitan Januari 2012) Database Kota Singkawang Tahun 2011| 105
  • 122.
    Perekonomian Tabel 12.10 Posisi Pinjaman Masyarakat Kota Singkawang Yang Diberikan Bank Umum dan BPR Dalam Rupiah dan Valuta Asing Berdasarkan Sektor Lapangan Usaha dan Bukan Lapangan Usaha Periode Januari S/D Desember 2011 (Dalam Juta Rp) Bulan No. Jenis Kegiatan Jan Peb Mar Apr Mei Jun Jul Agust Sep Okt Nop Des Pinjaman Berdasarkan Lapangan Usaha Pertanian, Peternakan, 78.998 82.143 86.934 86.627 91.659 107.954 112.094 111.790 109.245 112.164 113.124 281.448 Kehutanan & Perikanan 2 Pertambangan& Penggalian 2.381 2.389 2.352 2.688 2.265 2.144 2.133 2.065 2.378 2.332 2.283 2.450 3 Perindustrian 25.103 24.931 24.844 84.378 110.140 114.477 115.224 34.801 35.114 76.405 84.111 86.520 Perdagangan, Hotel dan 4 302.950 303.763 303.634 315.662 315.541 349.523 358.078 430.259 434.239 439.303 464.514 404.592 Restoran 5 Jasa-jasa 63.569 115.380 136.711 149.405 159.585 133.835 140.012 141.369 143.830 148.116 148.427 79.984 - Listrik, Gas dan Air - - - - - - - - - - - - - Konstruksi 6.271 6.334 7.306 7.523 8.445 7.483 8.118 8.645 9.551 9.863 9.427 11.276 Pengangkutan dan - 5.142 4.941 4.267 4.228 4.444 4.623 4.740 5.352 5.176 5.522 5.452 5.724 komunikasi Keuangan, real Estat dan - 14.413 12.547 12.458 12.283 13.450 15.834 15.396 23.487 22.594 22.221 22.236 22.254 Jasa Perusahaan - Jasa Sosial Masyarakat - - - - - - - - - - - - Jumlah 498.828 552.428 578.506 662.794 705.529 735.872 755.793 757.769 762.126 815.926 849.574 894.249 Pinjaman Kepada Bukan Lapangan Usaha 1 Rumah Tinggal 57.927 60.280 62.502 63.255 65.478 68.452 69.409 74.137 75.250 92.351 106.992 169.286 2 Flat dan Apartemen - - - - - - - - - - - 846 3 Ruko dan Rukan 41.523 42.141 45.997 49.499 52.557 54.025 56.484 59.847 61.412 64.511 66.905 67.451 4 Kendaraan Bermotor 147.491 160.940 167.622 172.023 179.702 173.045 186.993 204.655 222.565 229.843 240.174 237.765 5 Lainnya 425.566 487.058 479.632 494.566 501.583 509.587 513.593 516.168 516.616 508.433 501.581 400.269 Jumlah 672.506 750.419 755.753 779.344 799.320 805.109 826.479 854.807 875.843 895.138 915.653 875.616 Jumlah 2011 1.171.334 1.302.847 1.334.259 1.442.137 1.504.849 1.540.981 1.582.272 1.612.576 1.637.969 1.711.064 1.765.227 1.769.865 Jumlah 2010 1.031.070 1.051.023 972.277 1.071.061 1.100.721 1.124.173 1.118.164 1.156.034 1.170.383 1.198.391 1.166.807 1.175.266 Jumlah 2009 745.490 744.366 755.618 780.764 788.548 839.862 848.237 861.702 887.429 906.478 925.817 949.586 Sumber Data : Bank Indonesia Cabang Pontianak (Statistik Ekonomi Keuangan Daerah Provinsi Kalimantan Barat Terbitan Januari 2012) Database Kota Singkawang Tahun 2011| 106
  • 123.
    Perekonomian Tabel 12.11 Posisi Pinjaman Masyarakat Kota Singkawang Yang Diberikan Bank Umum dan BPR Dalam Rupiah dan Valuta Asing Berdasarkan Jenis Penggunaan Periode Januari S/D Desember 2011 (Dalam Juta Rp) Peruntukan No Bulan Modal Kerja Investasi Konsumsi Jumlah 1 Januari 396.100 102.728 672.506 1.171.334 2 Pebruari 446.701 105.727 750.419 1.302.847 3 Maret 470.005 108.501 755.753 1.334.259 4 April 539.405 123.389 779.344 1.442.137 5 Mei 562.775 142.754 799.320 1.504.849 6 Juni 587.160 148.711 805.109 1.540.981 7 Juli 605.327 150.466 826.479 1.582.272 8 Agustus 606.477 151.292 854.807 1.612.576 9 September 611.788 150.338 875.843 1.637.969 10, Oktober 650.443 165.483 895.138 1.711.064 11 November 682.040 167.534 915.653 1.765.227 12 Desember 729.331 164.918 875.616 1.769.865 Jumlah 2011 729.331 164.918 875.616 1.769.865 Jumlah 2010 425.778 101.807 647.681 1.175.266 Jumlah 2009 428.775 72.070 448.741 949.586 Sumber Data : Bank Indonesia Cabang Pontianak (Statistik Ekonomi Keuangan Daerah Provinsi Kalimantan Barat Terbitan Januari 2012) Tabel 12.12 Posisi Kredit Mikro, Kecil dan Menengah Masyarakat Kota Singkawang Yang Diberikan Bank Umum dan BPR Berdasarkan Plafond Kredit Periode Januari S/D Desember 2011 (Dalam Juta Rp) Kecil Menengah Mikro No Bulan ( > Rp. 50 Juta - ( > Rp. 500 Juta - Jumlah (sd Rp. 50 Juta) Rp. 500 Juta) Rp. 5 Miliar ) 1 Januari 23.902 152.599 101.488 277.988 2 Pebruari 57.945 169.592 103.614 331.151 3 Maret 80.342 184.991 96.944 362.277 4 April 94.298 185.378 102.107 381.783 5 Mei 101.820 186.473 123.676 411.969 6 Juni 109.948 212.584 123.807 446.339 7 Juli 114.153 212.346 130.546 457.045 8 Agustus 122.957 181.835 177.348 482.140 9 September 125.574 183.272 176.065 484.911 10, Oktober 125.549 187.969 165.264 478.782 11 November 125.800 194.661 176.431 496.892 12 Desember 53.846 222.938 185.946 462.729 Jumlah 2011 53.846 222.938 185.946 426.729 Jumlah 2010 225.917 534.038 258.656 1.018.611 Jumlah 2009 190.327 373.638 197.958 761.922 Sumber Data : Bank Indonesia Cabang Pontianak (Statistik Ekonomi Keuangan Daerah Provinsi Kalimantan Barat Terbitan Januari 2012) Database Kota Singkawang Tahun 2011| 107
  • 124.
    Perekonomian Tabel 12.13 Posisi Kredit Mikro, Kecil dan Menengah Masyarakat Kota Singkawang Yang Diberikan Bank Umum dan BPR Berdasarkan Sektor Ekonomi Periode Januari S/D Desember 2011 (Dalam Juta Rp) Bulan No. Uraian Jan Peb Mar Apr Mei Jun Jul Agust Sep Okt Nop Des 1 Pertanian 27.629 27.661 27.910 27.552 35.217 35.371 36.210 36.259 36.536 36.886 38.604 41.334 2 Pertambangan 197 249 250 233 250 250 250 250 600 600 597 812 3 Perindustrian 14.300 14.621 15.093 15.360 17.534 17.175 18.046 17.695 18.886 19.569 20.049 21.205 4 Perdagangan 192.910 195.737 205.760 212.312 219.977 246.509 248.861 263.426 261.438 250.710 266.517 296.056 5 Jasa-jasa - Listrik, Gas dan Air 0 0 0 0 0 0 0 0 0 0 0 0 - Konstruksi 3.208 3.258 3.311 3.503 4.408 3.721 4.461 5.003 5.907 6.283 5.916 5.851 - Pengangkutan 3.380 3.256 3.008 3.056 3.357 3.652 3.351 3.734 3.692 3.798 3.842 4.074 - Jasa Perusahaan 8.598 7.136 7.590 7.731 9.192 11.909 11.769 20.296 19.738 18.164 18.512 18.923 - Jumlah Jasa-jasa 27.767 79.234 99.357 112.036 122.034 127.751 134.096 135.477 138.115 142.771 142.855 74.475 Jumlah 2011 277.988 331.151 362.277 381.783 411.969 446.339 457.045 482.140 484.9111 478.782 496.892 462.729 Jumlah 2010 689.730 698.400 794.197 881.732 879.060 927.215 925.214 963.953 984.055 1.011.643 990.642 1.018.611 Jumlah 2009 612.934 615.004 628.691 645.763 657.339 675.333 680.478 694.449 715.801 734.560 750.076 761.922 Sumber Data : Bank Indonesia Cabang Pontianak(Statistik Ekonomi Keuangan Daerah Provinsi Kalimantan Barat Terbitan Januari 2012) Database Kota Singkawang Tahun 2011| 108
  • 125.
    Perekonomian Tabel 12.14 Posisi Kredit Mikro, Kecil dan Menengah Masyarakat Kota Singkawang Yang Diberikan Bank Umum dan BPR Berdasarkan Jenis Penggunaan Periode Januari S/D Desember 2011 (Dalam Juta Rp) No Bulan Modal Kerja Investasi Konsumsi Jumlah 1 Januari 215.195 62.793 0 277.988 2 Pebruari 265.106 66.045 0 331.151 3 Maret 292.031 70.247 0 362.277 4 April 381.783 72.162 0 381.783 5 Mei 411.969 82.827 0 411.969 6 Juni 446.339 90.289 0 446.339 7 Juli 457.045 92.701 0 457.045 8 Agustus 482.140 99.886 0 482.140 9 September 484.911 99.472 0 484.911 10, Oktober 478.782 100.849 0 478.782 11 November 496.892 103.808 0 496.892 12 Desember 462.729 98.064 0 462.729 Jumlah 2011 364.665 98.064 0 462.729 Jumlah 2010 282.863 282.863 644.700 1.018.611 Jumlah 2009 273.639 43.165 445.118 761.922 Sumber Data : Bank Indonesia Cabang Pontianak (Statistik Ekonomi Keuangan Daerah Provinsi Kalimantan Barat Terbitan Januari 2012) Tabel 12.15 Penyaluran Pinjaman Melalui PT. Pegadaian Persero Singkawang Berdasarkan Bulan, Jumlah Nasabah, Jenis Barang Yang Digadai Dan Jumlah Pinjaman Yang Diberikan Keadaan Per 31 Desember 2011 Jenis Barang yang Digadai Jumlah Pinjaman Jumlah Perhiasan Kendaraan Kendaraan Elekronik Lainnya Yang NO. Bulan Nasabah Emas Roda 2 Roda 4 ( Unit ) ( Unit ) Diberikan (Ktg) ( Unit ) ( Unit ) ( x 1.000 ) 1 Januari 3.313 4.525 12 - 4 1 7.896.308 2 Februari 2.937 3.994 16 - 11 3 6.868.999 3 Maret 3.306 4.503 8 - 18 5 7.516.244 4 April 3.101 4.141 10 1 9 1 7.020.788 5 Mei 3.363 4.530 2 3 10 2 8.078.816 6 Juni 3.168 4.358 10 2 1 4 8.223.554 7 Juli 3.332 4.564 11 1 7 1 8.605.900 8 Agustus 3.103 4.171 14 1 6 1 8.604.170 9 September 3.886 5.617 11 - 8 1 11.406.227 10 Oktober 3.597 4.908 7 1 9 3 10.099.927 11 Nopember 3.699 5.037 11 2 7 4 10.311.658 12 Desember 3.559 4.865 12 - 8 1 11.328.627 Jumlah 2011 40.364 55.213 124 11 98 27 105.961.218 Jumlah 2010 25.826 49.864 106 11 114 27 78.301.794 Jumlah 2009 28.763 45.040 99 14 46 51 65.550.330 Sumber Data : PT. Pegadaian (Persero) Cabang Singkawang Database Kota Singkawang Tahun 2011| 109
  • 126.
    Perekonomian Tabel 12.16 Pinjaman Masyarakat Yang Tidak Dikembalikan Pada PT. Pegadaian Persero Berdasarkan Bulan, Jumlah Nasabah, Jenis Barang Yang Digadai Dan Jumlah Pinjaman Yang Tidak Dikembalikan Keadaan Per 31 Desember 2011 Jenis Barang yang Tidak Ditebus Jumlah Pinjaman Jumlah Perhiasan Kendaraan Kendaraan Yang No. Bulan Elekronik Lainnya Nasabah Emas Roda 2 Roda 4 Diberikan ( Unit ) ( Unit ) (Ktg) ( Unit ) ( Unit ) ( x 1.000 ) 1 Januari 46 50 - - - - 55.828 2 Februari 43 48 - - - - 46.038 3 Maret 44 46 - - - 1 59.685 4 April 41 46 - - 2 - 38.345 5 Mei 34 38 - - - - 38.427 6 Juni 30 35 - - 2 - 39.083 7 Juli 34 38 - - - - 37.783 8 Agustus 31 35 - - - - 29.662 9 September 29 33 - - - - 24.526 10 Oktober 55 59 - - - - 86.667 11 Nopember 45 52 1 - - - 95.167 12 Desember 9 11 - - - - 7.689 Jumlah 2011 441 491 1 - 4 1 558.900 Jumlah 2010 750 831 0 0 2 0 676.518 Jumlah 2009 273 530 - - - - 453.330 Sumber Data : PT. Pegadaian (Persero) Cabang Singkawang Tabel 12.17 Pengembalian Pinjaman Masyarakat Pada PT. Pegadaian Persero Singkawang Berdasarkan Bulan, Jumlah Nasabah, Jenis Barang Yang Digadai Dan Jumlah Pinjaman Yang Dikembalikan Keadaan Per 31 Desember 2011 (Dalam Ribuan) Jenis Barang yang Ditebus Jumlah Jumlah Pinjaman No. Bulan Nasabah Perhiasan Kendaraan Kendaraan Yang Elekronik Lainnya Emas Roda 2 Roda 4 Diberikan ( Unit ) ( Unit ) (Ktg) ( Unit ) ( Unit ) ( x 1.000 ) 1 Januari 3.267 4.475 12 - 4 1 7.840.480 2 Februari 2.894 3.946 16 - 11 3 6.822.961 3 Maret 3.262 4.457 8 - 18 4 7.456.559 4 April 3.060 4.095 10 1 7 1 6.982.443 5 Mei 3.329 4.492 2 3 10 2 8.040.389 6 Juni 3.138 4.323 10 2 (1) 4 8.184.471 7 Juli 3.298 4.526 11 1 7 1 8.568.117 8 Agustus 3.072 4.136 14 1 6 1 8.574.508 9 September 3.857 5.584 11 - 8 1 11.381.701 10 Oktober 3.542 4.849 7 1 9 3 10.013.260 11 Nopember 3.654 4.985 10 2 7 4 10.216.491 12 Desember 3.550 4.854 12 - 8 1 11.320.938 Jumlah 2011 39.923 54.722 123 11 94 26 105.402.318 Sumber Data : PT. Pegadaian (Persero) Cabang Singkawang Database Kota Singkawang Tahun 2011| 110
  • 127.
    Perekonomian Tabel 12.18 Pengiriman Uang Melalui Kantor Pos Singkawang Berdasarkan Bulan, Jumlah Uang Yang Dikirim dan Di Terima Periode Januari s/d 31 Desember 2011 Pengiriman Uang Dalam Negeri Pengiriman Uang Luar Negeri No Bulan Uang Yang Uang Yang Uang Yang Uang Yang Dikirim Diterima Dikirim Diterima (Rp) (Rp) (Rp) (Rp) 1 Januari 901.125.000 794.321.000 21.293.000 241.726.400 2 Februari 432.000.000 550.175.560 15.185.800 457.595.000 3 Maret 569.536.576 570.821.000 13.032.700 445.746.688 4 April 352.950.000 495.250.000 14.935.300 396.720.000 5 Mei 330.910.000 550.001.000 42.755.400 415.698.000 6 Juni 492.532.000 384.750.000 37.829.200 398.575.000 7 Juli 594.712.551 555.788.262 20.053.500 498.817.000 8 Agustus 695.320.003 596.321.000 5.500.000 754.000.000 9 September 953.201.000 701.000.000 15.400.000 498.000.000 10 Oktober 511.026.000 575.211.000 13.520.000 300.055.168 11 November 300.050.000 328.468.000 14.900.000 414.027.000 12 Desember 701.075.782 500.000.000 42.417.500 528.000.000 Jumlah 6.834.438.912 6.602.106.822 256.822.400 5.348.960.256 Sumber Data : PT. (Persero) Pos Indonesia Cabang Singkawang Tabel 12.19 Jumlah Pelanggan PDAM Kota Singkawang Berdasarkan Kategori Pelanggan Keadaan Tahun 2009, 2010 dan 2011 Jumlah Pelanggan No Katagori Pelanggan Tahun 2009 Tahun 2010 Tahun 2011 1 Sosial 172 167 129 a. Sosial Umum 63 63 26 b. Sosial Khusus 109 104 103 2 Non Niaga 9.782 9.708 9.610 a. Rumah Tangga A 58 53 50 b. Rumah Tangga B 2.294 1.998 1.007 c. Rumah Tangga C 7.342 7.583 8.486 d. Rumah Tangga D - - - f. Instansi Pemerintah 88 74 67 3 Niaga 2.298 2.316 2.382 a. Niaga Kecil 581 590 605 b. Niaga Menengah 656 654 674 c. Niaga Besar 1.061 1.072 1.103 4 Industri 98 98 93 a. Industri Kecil 23 21 21 b. Industri Menengah 43 32 32 c. Industri Besar 32 45 40 5 Khusus 52 51 51 a. Karyawan 52 51 51 b. Pelabuhan c. Susut/Hilang Dalam Perjalanan Jumlah 12.402 12.340 12.265 Sumber Data : PDAM Kota Singkawang Database Kota Singkawang Tahun 2011| 111
  • 128.
    Perekonomian Tabel 12.20 Jumlah Distribusi Air Pada PDAM Kota Singkawang Berdasarkan Kategori Pelanggan Keadaan Tahun 2009, 2010 dan 2011 Jumlah Pemakaian (M3) No Katagori Pelanggan Tahun 2009 Tahun 2010 Tahun 2011 1 Sosial 39.236 31.812 35.860 a. Sosial Umum 11.806 6.190 6.024 b. Sosial Khusus 27.430 25.622 29.836 2 Non Niaga 931.380 866.190 900.730 a. Rumah Tangga A 5.600 5.740 5.651 b. Rumah Tangga B 95.132 122.604 91.390 c. Rumah Tangga C 758.481 677.117 739.969 d. Rumah Tangga D - - - f. Instansi Pemerintah 72.167 60.729 63.720 3 Niaga 386.900 363.687 375.129 a. Niaga Kecil 68.189 64.085 70.264 b. Niaga Menengah 100.755 92.056 94.254 c. Niaga Besar 217.956 207.546 210.611 4 Industri 31.719 30.029 22.654 a. Industri Kecil 5.786 5.740 5.487 b. Industri Menengah 7.966 3.835 3.730 c. Industri Besar 17.967 20.454 13.437 5 Khusus 14.271 14.278 13.896 a. Karyawan 14.271 14.278 13.896 b. Pelabuhan c. Susut/Hilang Dalam perjalanan/Air yang 1.588.207 1.410.290 tidak dapat dipertanggung jawabkan 6 Air Tangki 14.076 Jumlah 1.417.582 1.305.996 1.334.373 Sumber Data : PDAM Kota Singkawang Tabel 12.21 Sumber Air Baku PDAM Kota Singkawang Berdasarkan Bulan, Sumber Air Baku dan Rata-Rata Debit Air Periode Januari s/d Desember 2011 Kapasitas Produksi Sumber Air Baku / Rata-Rata Debit Air (liter/detik) Perbulan No Bulan Hangmoy Hangmoy Hangmoy Bagak Eria Sejangkung Poteng Sedau Pangmilang I II III Sahwa 1 Januari 4,50 3,50 3,00 100,82 1,00 1,09 1,00 0,30 0,50 2 Pebruari 6,50 3,50 3,00 96,64 1,00 1,09 1,00 0,30 0,50 3 Maret 4,50 3,50 4,00 90,73 1,00 2,35 1,00 0,30 0,50 4 April 3,00 3,50 3,00 64,72 1,00 2,00 0,50 0,00 0,50 5 Mei 3,00 3,50 4,00 78,20 1,00 3,00 0,50 1,00 0,50 6 Juni 4,00 4,00 3,00 55,78 1,00 3,00 0,50 0,00 0,50 7 Juli 3,00 3,00 2,50 48,92 1,00 2,00 0,00 0,00 0,25 8 Agustus 4,00 2,00 2,50 66,17 1,50 2,00 0,50 0,00 0,30 9 September 4,00 3,00 3,00 74,58 1,50 2,00 0,00 0,00 0,30 10 Oktober 4,00 5,00 3,00 89,02 1,50 2,00 0,00 0,00 0,30 11 Nopember 7,00 7,00 7,00 94,00 3,50 2,50 2,50 0,00 2,00 12 Desember 7,00 7,00 7,00 94,00 3,50 2,50 2,50 0,00 2,00 Rata-Rata 2011 4,54 4,04 3,75 79,47 1,54 2,13 0,83 0,16 0,68 Rata-Rata 2010 4,38 3,21 2,64 81,12 0,99 1,5 0,87 0,28 0,32 Rata-Rata 2009 5,46 1,63 5,00 58,82 1,46 1,92 1,41 0,5 0,5 Sumber Data : PDAM Kota Singkawang Database Kota Singkawang Tahun 2011| 112
  • 129.
    Perekonomian Tabel 12.22 Penerimaan PDAM Singkawang Dari Air Yang Disalurkan Berdasarkan Kategori Pelanggan Periode Januari s/d Desember 2011 Kategori Jumlah No Bulan Sosial Non Niaga Niaga Industri (Rp.) (Rp.) (Rp.) (Rp.) (Rp.) 1 Januari 6.006.415 356.517.335 262.306.565 23.902.265 648.732.580 2 Pebruari 3.611.415 351.753.005 268.546.360 23.371.730 647.282.510 3 Maret 6.132.965 374.058.335 295.112.575 21.521.370 696.825.245 4 April 4.289.995 369.154.060 260.909.055 20.974.505 655.327.615 5 Mei 4.191.405 369.639.055 253.624.975 19.746.935 647.202.370 6 Juni 4.407.720 337.751.730 270.343.220 20.692.565 633.195.235 7 Juli 4.724.960 356.879.835 256.004.795 23.195.420 640.805.010 8 Agustus 6.357.163 354.624.750 225.169.125 17.706.855 603.857.893 9 September 5.320.980 307.539.454 226.612.675 21.068.630 560.541.739 10 Oktober 6.703.020 355.229.095 257.033.030 20.441.240 639.406.385 11 Nopember 4.067.215 372.526.191 256.580.590 25.480.825 658.654.821 12 Desember 5.460.570 399.614.963 273.410.361 28.283.435 706.769.329 Jumlah 2011 61.273.823 4.305.287.808 3.105.653.326 266.385.775 7.738.600.732 Jumlah 2010 49.193.080 3.723.068.243 2.802.558.420 388.449.550 6.963.269.293 Jumlah 2009 36.902.608 2.324.514.270 1.750.886.420 191.076.290 4.303.379.588 Sumber Data : PDAM Kota Singkawang Database Kota Singkawang Tahun 2011| 113
  • 130.
    Perekonomian Tabel 12.23 Pengeluaran Pada PDAM Kota Singkawang Berdasarkan Jenis Pengeluaran dan Bulan Periode Januari s/d Desember 2011 No Uraian Januari Pebruari Maret April Mei Juni Juli Agustus September Oktober November Desember Jumlah 1 Upah/Gaji Dan Lainnya 466.083.641 470.584.186 512.725.920 490.650.691 527.670.038 568.887.256 566.040.779 809.782.844 570.418.666 541.654.865 576.611.072 540.430.182 6.641.540.140 2 Bahan Kimia 6.006.000 21.186.000 - 20.209.000 9.009.000 13.016.650 8.984.250 11.108.000 11.198.000 32.172.250 - 6.517.500 139.406.650 3 Bahan Bakar - - - - 4.800.000 6.600.000 - 12.600.000 - - - - 24.000.000 4 Listrik, Air & Telepon 41.773.564 43.618.385 41.489.635 39.353.516 32.382.108 34.634.134 29.612.631 25.671.497 75.571.061 115.978.512 54.584.805 58.076.792 592.746.640 5 Alat Tulis Kantor 15.632.777 17.838.958 14.886.396 19.544.899 22.313.287 7.486.650 18.020.127 20.403.445 25.281.556 27.035.023 24.468.002 25.171.291 238.082.411 6 Pemeliharaan 5.105.500 5.629.500 1.455.920 5.378.975 27.389.450 109.259.935 5.466.905 92.459.625 4.607.500 1.725.000 2.959.000 1.433.375 262.870.685 7 Pengeliaran Lainnya 7.786.000 15.565.987 14.250.725 16.135.500 8.972.000 10.603.400 16.962.700 5.674.220 3.001.000 5.646.087 1.802.000 4.527.170 110.926.789 Sewa Gedung, Mesin Dan Alat- 8 - - - - - - - - - - - - - Alat 9 Pajak Tak Langsung - - - - - - - - - - - - - 10 Bunga Atas Pinjaman - - - - - - - - - - - - - Hadiah, Sumbangan, Derma 11 450.000 1.150.000 750.000 2.900.000 4.025.000 1.500.000 3.800.000 465.000 400.000 850.000 1.950.000 450.000 18.690.000 Sejenisnya 12 Perjalanan Dan Transportasi 4.505.000 3.475.000 3.200.000 6.565.000 3.435.000 3.095.000 11.110.000 7.955.000 2.880.000 8.850.000 5.000.000 7.500.000 67.570.000 13 Dan Lain-Lain Rupa-Rupa Biaya Kantor 2.895.000 658.000 5.071.000 789.400 691.000 95.000 4.306.000 2.419.000 3.041.700 1.849.500 2.054.000 614.000 24.483.600 Rupa-Rupa Urs Langg 395.480 622.500 125.000 3.573.000 64.000 - - 10.000 137.000 101.000 795.000 2.186.000 8.008.980 Rupa-Rupa Biaya Umum 182.114.827 2.270.901 2.162.179 12.195.977 114.861.197 1.188.400 1.915.027 11.463.797 4.205.313 2.816.707 12.010.686 12.988.046 360.193.057 Jumlah 2011 732.747.789 582.599.417 596.116.775 617.295.958 755.612.080 756.366.425 666.218.419 1.000.012.428 700.741.796 738.678.944 682.234.565 659.894.356 8.488.518.952 Jumlah 2010 278.030.938 286.738.522 344.720.350 401.704.574 393.585.338 427.638.860 415.199.234 591.175.102 390.627.042 437.527.917 486.247.447 1.023.333.653 5.557.508.582 Jumlah 2009 344.460.810 316.141.956 368.875.495 404.814.240 349.814.928 414.390.227 344.247.536 301.614.011 394.918.226 322.413.942 326.567.880 446.359.338 4.336.618.592 Sumber Data : PDAM Kota Singkawang Database Kota Singkawang Tahun 2011| 114
  • 131.
    Keuangan Daerah 13. KeuanganDaerah Idealnya dalam suatu APBD jumlah pendapatan lebih besar dari pada jumlah belanja, minimal jumlah pendapatan dan belanja sama besarnya. Tetapi dalam APBD Kota Singkawang Tahun Anggaran 2011 kebutuhan belanja masih lebih besar dari pada pendapatan yang diterima dimana jumlah pendapatan Rp. 488.221.392.455,43 sedangkan jumlah belanja sebesar Rp.491.203.921.326,-. Untuk penggunaan belanja dalam ABPD Kota Singkawang Tahun Anggaran 2011 sudah termasuk ideal. Karena jumlah belanja tidak langsung hanya Rp. 274.218.707.715,- sedangkan jumlah belanja langsung mencapai Rp. 216.985.213.611,-. Dalam perubahan APBD Kota Singkawang Tahun Anggaran 2011 terjadi peningkatan baik dalam pendapatan maupun dalam belanja. Untuk pendapatan terjadi peningkatan yang cukup besar menjadi Rp488.221.392.455,- dan untuk belanja menjadi Rp. 491.203.921.326. PAD khususnya pajak daerah dan retribusi daerah merupakan sumber penerimaan yang signifikan bagi pembiayaan pembangunan di suatu daerah. Jumlah penerimaan komponen pajak daerah dan retribusi daerah sangat dipengaruhi oleh banyaknya jenis pajak daerah dan retribusi daerah yang diterapkan serta disesuaikan dengan peraturan yang berlaku yang terkait dengan penerimaan kedua komponen tersebut. Dari 9 jenis pajak daerah yang ada pada tahun 2011 terealisasi Rp. 5.631.817.937,-. Sedangkan dari 14 Jenis Retribusi Daerah terealisasi sebesar Rp. 20.408.033.765,68. Jumlah penerimaan terbesar berasal dari Retribusi Pelayanan Kesehatan Rp.16.878.007.635,62. Dan retribusi yang tidak ada realisasinya adalah Retribusi Izin Pengelolaan Sarang Burung Walet. Database Kota Singkawang Tahun 2011 | 115
  • 132.
    Keuangan Daerah Tabel 13.1 Ringkasan APBD Kota Singkawang Tahun Anggaran 2009 - 2011 Tahun Anggaran Tahun Anggaran Tahun Anggaran No Uraian 2009 2010 2011 1 PENDAPATAN 370.581.099.897,00 450.938.434.653,92 488.221.392.455,43 1.1 Pendapatan Asli Daerah 24.286.099.897,00 28.914.325.215,42 34.672.341.512,43 1.1.1 Pajak Daerah 3.946.931.660,00 4.500.000.000,00 11.008.435.000,00 1.1.2 Retribusi Daerah 15.165.119.425,00 18.746.306.600,00 17.931.674.700,00 Hasil Perusahaan Milik Daerah dan Hasil Pengelolaan 1.1.3 339.000.000,00 754.358.306,37 900.000.000,00 Kekayaan Daerah yang dipisahkan 1.1.4 Lain-lain Pendapatan Asli Daerah 4.835.048.812,00 4.913.660.309,05 4.832.231.812,43 1.2 Dana Perimbangan 346.295.000.000,00 318.544.629.867,00 368.037.910.476,00 1.2.1 Bagi Hasil Pajak dan Bukan Pajak 26.823.980.000,00 24.097.323.867,00 22.466.617.476,00 1.2.2 Dana Alokasi Umum 262.355.020.000,00 269.526.606.000,00 309.388.293.000,00 1.2.3 Dana Alokasi Khusus 57.116.000.000,00 24.920.700.000,00 36.183.000.000,00 1.2.4 Bagi Hasil Pajak dan Bantuan Keuangan dari Propinsi 1.3 Lain-Lain Pendapatan Daerah Yang Sah 20.529.936.650,00 103.479.479.571,50 85.511.140.467,00 1.3.1 Pendapatan Hibah Dana Bagi Hasil Pajak dari Provinsi dan Pemerintah 1.3.3 12.993.936.650,00 16.818.009.125,00 14.257.705.234,00 Daerah Lainnya 1.3.4 Dana Penyesuaian dan Otonomi khusus 76.765.016.800,00 63.680.558.400,00 Bantuan Keuangan dari Provinsi dan Pemerintah 1.3.5 7.536.000.000,00 9.896.453.646,50 7.572.876.833,00 Daerah Lainnya 2 BELANJA 457.556.201.357,00 494.351.015.990,50 491.203.921.326,00 2.1 BELANJA TIDAK LANGSUNG 188.619.789.608,00 253.541.991.294,00 274.218.707.715,00 2.1.1 Belanja Pegawai 174.771.909.608,00 229.301.944.625,00 253.775.230.686,00 2.1.2 Belanja Bunga 0,00 1.314.336.569,00 3.496.205.877,00 2.1.3 Belanja Subsidi 900.000.000,00 - 0,00 2.1.4 Belanja Hibah 4.509.500.000,00 6.877.000.000,00 6.669.100.000,00 2.1.5 Belanja Bantuan Sosial 6.330.380.000,00 7.972.880.000,00 7.455.500.000,00 Belanja Bantuan Keuangan kepada Prov/Kab/Kota dan 2.1.7 1.608.000.000,00 7.125.830.100,00 2.072.671.152,00 Pemerintahan Desa/Kel 2.1.8 Belanja Tidak Terduga 500.000.000,00 950.000.000,00 750.000.000,00 2.2 BELANJA LANGSUNG 268.936.411.749,00 245.809.024.696,50 216.985.213.611,00 2.2.1 Belanja Pegawai 31.373.946.534,00 26.378.721.750,00 26.731.797.425,00 2.2.2 Belanja Barang dan Jasa 89.510.780.282,00 77.429.508.395,00 63.938.212.863,00 2.2.3 Belanja Modal 148.051.684.933,00 142.000.794.551,50 126.315.203.323,00 SURPLUS / (DEFISIT) (66.445.168.810,00) (43.412.581.336,58) (2.982.528.870,57) 3 PEMBIAYAAN DAERAH 3.1 PENERIMAAN PEMBIAYAAN DAERAH 71.874.943.154,00 54.353.388.936,58 35.367.661.320,57 Sisa Lebih Perhitungan Anggaran Tahun Anggaran 3.1.1 30.395.780.000,00 3.437.238.471,58 13.298.328.224,57 Sebelumnya 3.1.4 Penerimaan Pinjaman Daerah 39.243.778.734,00 50.412.688.408,00 21.879.417.086,00 3.1.6 Penerimaan Piutang Daerah 2.235.384.420,00 503.462.057,00 189.916.010,00 3.2 PENGELUARAN PEMBIAYAAN DAERAH 5.429.778.344,00 10.940.807.600,00 32.385.132.450,00 3.2.1 Pembentukan Dana Cadangan 0,00 0,00 0,00 3.2.2 Penyertaan Modal (Investor) Pemerintah Daerah 1.200.000.000,00 750.000.000,00 800.000.000,00 3.2.3 Pembayaran Pokok Utang 4.229.778.344,00 10.190.807.600,00 31.585.132.450,00 PEMBIAYAAN NETTO 66.445.164.810,00 43.412.581.336,58 2.982.528.870,57 Sumber Data : Dinas Pendapatan, Pengelolaan Keuangan dan Aset Kota Singkawang Database Kota Singkawang Tahun 2011 | 116
  • 133.
    Keuangan Daerah Tabel 13. 2 Ringkasan Perubahan APBD Kota Singkawang Tahun Anggaran 2009 - 2011 Tahun Angaran 2009 Tahun Angaran 2010 Tahun Angaran 2011 No Uraian Sebelum Perubahan Setelah Perubahan Sebelum Perubahan Setelah Perubahan Sebelum Perubahan Setelah Perubahan 1 2 3 4 5 6 7 8 1 PENDAPATAN 391.111.036.547,00 416.662.612.572,20 393.394.713.260,00 450.938.434.653,00 488.221.392.455,43 502.741.904.518,43 1,1 PENDAPATAN ASLI DAERAH 24.286.099.897,00 25.462.976.922,20 28.369.333.660,00 28.914.325.215,42 34.672.341.512,43 35.703.561.865,43 1.1.1 Pendapatan Pajak Daerah 3.946.931.660,00 3.946.931.660,00 4.391.403.750,00 4.500.000.000,00 11.008.435.000,00 10.551.275.000,00 1.1.2 Hasil retribusi Daerah 15.165.119.425,00 16.165.119.425,00 18.464.269.600,00 18.746.306.600,00 17.931.674.700,00 18.823.674.700,00 1.1.3 Hasil Pengelolaan Kekayaan Daerah yang dipisahkan 339.000.000,00 515.877.025,20 600.000.000,00 754.358.306,37 900.000.000,00 1.070.825.770,23 1.1.4 Lain- lain Pendapatan Asli Daerah yang sah 4.835.048.812,00 4.835.048.812,00 4.913.660.310,00 4.913.660.309,05 4.832.231.812,43 5.257.786.395,20 1,2 DANA PERIMBANGAN 346.295.000.000,00 346.295.000.000,00 317.506.472.956,00 318.544.629.867,00 368.037.910.476,00 366.494.333.250,00 1.2.1 Bagi Hasil Pajak/Bagi Hasil Bukan Pajak 26.823.980.000,00 26.823.980.000,00 23.059.166.956,00 24.097.323.867,00 22.466.617.476,00 21.135.771.250,00 1.2.2 Dana Alokasi Umum 262.355.020.000,00 262.355.020.000,00 269.526.606.000,00 269.526.606.000,00 309.388.293.000,00 309.175.562.000,00 1.2.3 Dana Alokasi Khusus 57.116.000.000,00 57.116.000.000,00 24.920.700.000,00 24.920.700.000,00 36.183.000.000,00 36.183.000.000,00 1,3 LAIN-LAIN PENDAPATAN DAERAH YANG SAH 20.529.936.650,00 44.904.635.650,00 47.518.906.650,00 103.479.479.571,50 85.511.140.467,00 100.544.009.403,00 1.3.1 Pendapatan Hibah 0,00 0,00 0,00 0,00 Dana Bagi Hasil Pajak dan Provinsi dan Pemerintah Daerah 1.3.3 12.993.936.650,00 12.993.936.650,00 12.993.936.650,00 16.818.009.125,00 14.257.705.234,00 15.753.018.730,00 Lainnya 1.3.4 Dana Penyesuaian dan Otonomi Khusus 21.424.699.000,00 34.524.970.000,00 76.765.016.800,00 63.680.558.400,00 77.218.113.840,00 Bantuan Keuangan dari Propinsi atau penerimaan Daerah 1.3.5 7.536.000.000,00 10.486.000.000,00 0,00 0,00 7.572.876.833,00 7.572.876.833,00 Lainnya 2 BELANJA 457.556.201.357,00 488.411.323.287,00 445.227.536.058,00 494.351.015.990,50 491.203.921.326,00 506.882.179.742,00 2,1 BELANJA TIDAK LANGSUNG 188.619.789.608,00 187.652.679.935,00 249.700.178.269,00 248.541.991.294,00 274.218.707.715,00 271.538.086.105,00 2.1.1 Belanja Pegawai 174.771.909.608,00 174.598.499.935,00 219.253.131.600,00 229.301.944.625,00 253.775.230.686,00 250.270.638.591,00 2.1.2 Belanja Bunga 0,00 350.000.000,00 1.314.336.569,00 1.314.336.569,00 3.496.205.877,00 2.996.205.877,00 2.1.3 Belanja Subsidi 900.000.000,00 500.000.000,00 0,00 0,00 0,00 0,00 2.1.4 Belanja Hibah 4.509.500.000,00 3.662.000.000,00 18.784.000.000,00 6.877.000.000,00 6.669.100.000,00 6.924.100.000,00 2.1.5 Belanja Bantuan Sosial 6.330.380.000,00 6.434.180.000,00 7.972.880.000,00 0,00 7.455.500.000,00 7.582.500.000,00 Belanja Bantuan Keuangan kepada propinsi/Kabupaten/Kota 2.1.7 1.608.000.000,00 1.608.000.000,00 2.125.830.100,00 0,00 2.072.671.152,00 2.072.671.152,00 dan Pemerintahan Desa 2.1.8 Belanja Tidak Terduga 500.000.000,00 500.000.000,00 950.000.000,00 700.000.000,00 750.000.000,00 1.691.970.485,00 2,2 BELANJA LANGSUNG 268.936.411.749,00 300.758.643.352,00 195.527.357.789,00 245.809.024.696,50 216.985.213.611,00 235.344.093.637,00 2.2.1 Belanja Pegawai 31.373.946.534,00 32.443.031.345,00 25.551.122.967,00 26.378.721.750,00 26.731.797.425,00 28.672.300.387,00 2.2.2 Belanja Barang dan Jasa 89.510.780.282,00 92.854.842.224,00 69.892.053.067,00 77.429.508.395,00 63.938.212.863,00 72.386.666.719,00 2.2.3 Belanja Modal 148.051.684.933,00 175.460.769.783,00 100.084.181.755,00 142.000.794.551,50 126.315.203.323,00 134.285.126.531,00 SURPLUS/(DEFISIT) (66.445.168.810,00) (71.748.710.714,80) (51.832.822.792,00) (43.412.581.336,58) (2.982.528.870,57) (4.140.275.223,57) Database Kota Singkawang Tahun 2011 | 117
  • 134.
    Keuangan Daerah 1 2 3 4 5 6 7 8 3 PEMBIAYAAN DAERAH 77.304.721.498,00 81.608.267.402,80 0,00 0,00 0,00 3,1 PENERIMAAN PEMBIAYAAN DAERAH 71.874.943.154,00 76.678.489.058,80 62.773.630.392,00 54.353.388.936,58 35.367.661.320,57 36.525.407.673,57 Sisa Lebih Perhitungan Anggaran Tahun Anggaran 3.1.1 30.395.780.000,00 36.757.924.697,80 3.107.694.206,00 3.437.238.471,58 13.298.328.224,57 13.440.066.923,57 Sebelumnya 3.1.4 Penerimaan Pinjaman Daerah 39.243.778.734,00 37.685.179.941,00 59.202.244.775,00 50.412.688.408,00 21.879.417.086,00 22.522.760.361,00 3.1.6 Penerimaan Piutang Daerah 2.235.384.420,00 2.235.384.420,00 463.691.411,00 503.462.057,00 189.916.010,00 562.580.389,00 3,2 PENGELUARAN PEMBIAYAN DAERAH 5.429.778.344,00 4.929.778.344,00 10.940.807.600,00 10.940.807.600,00 32.385.132.450,00 32.385.132.450,00 3.2.1 Pembentukan Dana Cadangan 0,00 0,00 0,00 0,00 0,00 0,00 3.2.2 Penyertaan Modal(Investasi) Pemerintah Daerah 1.200.000.000,00 700.000.000,00 750.000.000,00 750.000.000,00 800.000.000,00 800.000.000,00 3.2.3 Pembayaran Pokok Utang 4.229.778.344,00 4.229.778.344,00 10.190.807.600,00 10.190.807.600,00 31.585.132.450,00 31.585.132.450,00 PEMBIAYAAN NETTO 66.445.164.810,00 71.748.710.714,80 51.832.822.792,00 43.412.581.336,58 2.982.528.870,57 4.140.275.223,57 Sumber Data : Dinas Pendapatan, Pengelolaan Keuangan dan Aset Kota Singkawang Tabel 13. 3 Penerimaan Pajak Daerah Kota Singkawang Berdasarkan Jenis, Target Dan Realisasi Keadaan Tahun 2009 - 2001 TAHUN 2009 TAHUN 2010 TAHUN 2011 NO JENIS PAJAK TARGET ( Rp. ) REALISASI ( Rp. ) TARGET ( Rp. ) REALISASI ( Rp. ) TARGET ( Rp. ) REALISASI ( Rp. ) 1 2 3 4 5 6 7 8 I PAJAK DAERAH 3.946.931.660,00 4.091.543.875,00 4.500.000.000,00 4.590.349.014,00 11.008.435.000,00 5.631.817.937,00 1 Pajak Hotel 132.909.025,00 172.457.200,00 300.000.000,00 210.664.195,00 300.000.000,00 244.210.706,00 2 Pajak Restoran 83.869.135,00 75.560.630,00 125.000.000,00 80.919.844,00 168.000.000,00 90.903.092,00 3 Pajak Hiburan 133.052.700,00 185.375.000,00 200.000.000,00 147.474.500,00 200.000.000,00 166.213.000,00 4 Pajak Reklame 111.925.800,00 113.467.000,00 116.000.000,00 96.316.075,00 117.160.000,00 160.980.450,00 5 Pajak Penerangan Jalan 3.304.575.000,00 3.405.350.165,00 3.557.803.750,00 3.886.343.000,00 5.200.000.000,00 4.859.295.409,00 6 Pajak Bahan Galian Gol.C 180.600.000,00 139.333.880,00 201.196.250,00 168.631.400,00 201.000.000,00 109.859.780,00 7 Pajak Air Bawah Tanah 55.000.000,00 355.500,00 8 Pajak Walet 500.000.000,00 9 Pajak BPHTB 4.267.275.000,00 4.520.120.889,00 Database Kota Singkawang Tahun 2011 | 118
  • 135.
    Keuangan Daerah 1 2 3 4 5 6 7 8 II PAJAK BAGI HASIL DG PEMERINTAH PROPINSI 12.843.757.000,00 9.387.360.925,22 16.648.106.218,00 16.648.106.219,00 14.107.525.584,00 15.531.075.614,45 1 Bagi Hasil Dari Pajak Kendaraan Bermotor 3.147.500.000,00 2.297.873.065,70 4.781.350.950,00 4.781.350.953,05 3.672.184.870,00 4.106.219.460,02 2 Bagi Hasil Dari Pajak Kendaraan DiatasAir 2.731.000,00 1.087.154,48 2.113.912,00 2.113.912,00 2.113.912,00 359.222,00 3 Bagi Hasil Dari Bea Balik Nama Kendaraan Bermotor 2.592.000.000,00 2.020.202.246,08 3.918.239.593,00 3.918.239.592,74 3.044.918.164,00 4.760.427.489,05 4 Bagi Hasil Dari Bea Balik Nama Kendaraan Diatas air 215.000,00 90.490,75 175.954,00 175.954,00 175.954,00 132.122,00 Bagi Hasil Dari Pajak Bahan Bakar Kendaraan 5 7.050.000.000,00 5.028.428.425,19 7.888.352.360,00 7.888.352.358,11 7.339.010.322,00 6.622.033.805,00 Bermotor Bagi Hasil Dari Pajak Pengambilan dan Pemanfaatan 6 51.311.000,00 39.679.543,02 57.873.449,00 57.873.449,00 49.122.362,00 41.903.516,38 Air Permukaan 7 Bagi Hasil Sumbangan Pihak Ke Tiga dari Propinsi 150.179.650,00 III PAJAK BAGI HASIL DG PEMERINTAH PUSAT 22.518.730.000,00 20.658.185.009,00 22.781.127.031,00 23.881.717.355,00 18.161.367.476,00 19.400.121.992,00 1 Pajak Bumi dan Bangunan ( PBB ) 15.585.240.000,00 13.591.037.633,00 14.796.686.404,00 14.812.628.433,00 14.497.945.840,00 15.849.462.410,00 Bea Perolehan Hak Atas Tanah dan Bangunan ( 2 5.347.640.000,00 4.959.698.477,00 5.352.388.616,00 6.114.774.838,00 - BPHTB ) 3 Bagi Hasil PPh Pasal 21 dan PPh Pasal 25/29 1.585.850.000,00 2.107.448.899,00 2.632.052.011,00 2.954.314.084,00 3.663.421.636,00 3.550.659.582,00 JUMLAH I + II + III 39.309.418.660,00 34.137.089.809,22 43.929.233.249,00 45.120.172.588,00 43.277.328.060,00 40.563.015.543,45 Sumber Data : Dinas Pendapatan, Pengelolaan Keuangan dan Aset Kota Singkawang Tabel 13.4 Penerimaan Pajak Daerah Kota Singkawang Berdasarkan Jenis, Target Dan Realisasi Keadaan Tahun 2009 - 2011 Tahun 2009 Tahun 2010 Tahun 2011 N0 Jenis Pajak Target ( Rp. ) Realisasi ( Rp. ) Target ( Rp. ) Realisasi ( Rp. ) Target ( Rp. ) Realisasi ( Rp. ) 1 2 3 4 5 6 7 8 I PAJAK DAERAH 3.946.931.660,00 4.091.543.875,00 4.500.000.000,00 4.590.349.014,00 11.008.435.000,00 5.631.817.937,00 1 Pajak Hotel 132.909.025,00 172.457.200,00 300.000.000,00 210.664.195,00 300.000.000,00 244.210.706,00 2 Pajak Restoran 83.869.135,00 75.560.630,00 125.000.000,00 80.919.844,00 168.000.000,00 90.903.092,00 3 Pajak Hiburan 133.052.700,00 185.375.000,00 200.000.000,00 147.474.500,00 200.000.000,00 166.213.000,00 4 Pajak Reklame 111.925.800,00 113.467.000,00 116.000.000,00 96.316.075,00 117.160.000,00 160.980.450,00 5 Pajak Penerangan jalan 3.304.575.000,00 3.405.350.165,00 3.557.803.750,00 3.886.343.000,00 5.200.000.000,00 4.859.295.409,00 Database Kota Singkawang Tahun 2011 | 119
  • 136.
    Keuangan Daerah 1 2 3 4 5 6 7 8 6 Pajak Bahan galian Gol C 180.600.000,00 139.333.880,00 201.196.250,00 168.631.400,00 201.000.000,00 109.859.780,00 7 Pajak Air Bawah Tanah 55.000.000,00 355.500,00 8 Pajak Walet 500.000.000,00 - 9 Pajak BPHTB 4.267.275.000,00 4.520.120.889,00 ll PAJAK BAGI HASIL DENGAN PEMERINTAH PROVINSI 12.843.757.000,00 9.387.360.925,22 16.648.106.218,00 16.648.106.219,00 14.107.525.584,00 15.531.075.614,45 1 Bagi Hasil dari Pajak Kendaraan Bermotor 3.147.500.000,00 2.297.873.065,70 4.781.350.950,00 4.781.350.953,05 3.672.184.870,00 4.106.219.460,02 2 Bagi Hasil dari Pajak Kendaraan Diatas Air 2.731.000,00 1.087.154,48 2.113.912,00 2.113.912,00 2.113.912,00 359.222,00 3 Bagi Hasil dari Bea Balik Nama Kendaraan Bermotor 2.592.000.000,00 2.020.202.246,08 3.918.239.593,00 3.918.239.592,74 3.044.918.164,00 4.760.427.489,05 4 Bagi Hasil dari Bea Balik Nama Kendaraan Diatas Air 215.000,00 90.490,75 175.954,00 175.954,00 175.954,00 132.122,00 5 Bagi Hasil Pajak Bahan Bakar Kendaraan Bermotor 7.050.000.000,00 5.028.428.425,19 7.888.352.360,00 7.888.352.358,11 7.339.010.322,00 6.622.033.805,00 Bagi Hasil dari Pajak Pengambilan dan Pemanfaatan Air 6 51.311.000,00 39.679.543,02 57.873.449,00 57.873.449,00 49.122.362,00 41.903.516,38 Permukaan 7 Bagi Hasil Sumbangan Pihak Ke Tiga dari Propinsi 150.179.650,00 lll PAJAK BAGI HASIL DENGAN PEMERINTAH PUSAT 22.518.730.000,00 20.658.185.009,00 22.781.127.031,00 23.881.717.355,00 18.161.367.476,00 19.400.121.992,00 1 Pajak Bumi dan Bangunan ( PBB ) 15.585.240.000,00 13.591.037.633,00 14.796.686.404,00 14.812.628.433,00 14.497.945.840,00 15.849.462.410,00 2 Bea Perolehan Hak Atas Tanah dan Bangunan ( BPHTB ) 5.347.640.000,00 4.959.698.477,00 5.352.388.616,00 6.114.774.838,00 - 3 Bagi Hasil PPh Pasal 21 dan PPh Pasal 25/29 1.585.850.000,00 2.107.448.899,00 2.632.052.011,00 2.954.314.084,00 3.663.421.636,00 3.550.659.582,00 JUMLAH l + ll + lll 39.309.418.660,00 34.137.089.809,22 43.929.233.249,00 45.120.172.588,00 43.277.328.060,00 40.563.015.543,45 Sumber Data : Dinas Pendapatan, Pengelolaan Keuangan Dan Aset Kota Singkawang Database Kota Singkawang Tahun 2011 | 120
  • 137.
    Keuangan Daerah Tabel 13.5 Targat Dan Realisasi Penerimaan PBB Sektor Perkotaan Di Kota Singkawang Keadaan Tahun 2009 - 2011 Tahun 2009 Tahun 2010 Tahun 2011 No Kecamatan Jumlah Target Jumlah Realisasi Jumlah Target Jumlah Realisasi Jumlah Target Jumlah Realisasi % % % STTS (Rp) STTS (Rp.) STTS (Rp) STTS (Rp.) STTS (Rp) STTS (Rp.) 1 Singkawang Barat 12,809 1,685,330,988 8,170 1,146,983,241 68.06 13,048 1,717,470,815 9,466 1,338,920,014 77.96 13.347 2.344.984.186 8.710 1.755.487.609 67,24 2 Singkawang Tengah 12,773 526,143,475 6,857 333,419,697 63.37 13,141 544,827,990 7,973 392,310,340 72.01 13.600 773.240.029 8.394 496.023.889 58,22 3 Singkawang Timur 5,735 118,980,800 1,642 45,436,020 38.19 5,807 121,037,492 2,088 55,830,029 46.13 5.930 149.100.982 1.924 56.186.506 33,61 4 Singkawang Selatan 9,962 384,102,455 4,393 183,349,276 47.73 10,338 400,160,862 5,513 217,066,322 54.24 11.313 561.889.267 5.308 261.322.577 36,43 5 Singkawang Utara 7,100 140,013,554 3,331 72,877,172 52.05 7,401 145,554,821 3,098 74,758,263 52.36 7.638 173.314.723 3.086 85.382.584 47,09 JUMLAH 48,379 2,854,571,272 24,393 1,782,065,406 62.43 49,735 2,929,051,980 28,138 2,078,884,968 303 51.828 4.002.529.187 27.422 2.654.403.165 243 Sumber Data : Dinas Pendapatan, Pengelolaan Keuangan Dan Aset Kota Singkawang Database Kota Singkawang Tahun 2011 | 121
  • 138.
    Keuangan Daerah Tabel 13.6 Pajak Pemerintah Provinsi Kalimantan Barat Yang Dipungut Di Singkawang Keadaan Per 31 Desember 2011 Pajak Pemanfaatan dan Pajak Kendaraan Bea Balik Nama No. Bulan Penggunaan Air Permukaan dan Bermotor Kendaraan Bermotor Air Bawah Permukaan 1 Januari 1.443.125.500 1.413.578.500 4.798.100 2 Februari 1.171.906.100 1.224.954.600 3.624.000 3 Maret 1.552.505.900 1.748.885.400 6.230.200 4 April 1.294.645.200 1.594.691.500 6.835.900 5 Mei 1.497.943.600 1.694.574.900 17.706.400 6 Juni 1.395.176.800 1.851.793.400 12.058.900 7 Juli 1.639.147.900 1.883.334.800 10.387.300 8 Agustus 1.584.394.100 1.634.695.800 5.972.400 9 September 1.646.360.100 2.066.196.800 13.905.200 10 Oktober 1.620.298.000 1.486.437.700 8.053.700 11 November 1.459.681.000 1.543.370.600 10.620.200 12 Desember 1.483.521.200 1.359.323.000 1.311.800 Jumlah 2011 17.788.705.400 19.501.837.000 101.504.100 Jumlah 2010 14,313,154,600 13,419,082,000 92,484,200 Jumlah 2009 12,784,017,500 9,716,864,900 101,990,300 Jumlah 2008 11,780,063,200 11,600,459,700 95,505,000 Sumber Data : UPPD Dinas Pendapatan Prop Kalbar Singkawang Tabel 13.7 Jumlah Pajak Pemerintah Pusat Yang Dibayar Masyarakat Singkawang Pada Kantor Pelayanan Pajak Pratama Singkawang Tahun 2010 dan 2011 2010 2011 No. Bulan Jenis Pajak Jenis Pajak PPN PPH BPHTB PPN PPH BPHTB 1 Januari 5.830.383.288 6.348.258.824 217.724.214 2 Februari 364.502.437 3.616.475.810 379.754.710 3 Maret 638.536.844 3.214.147.945 445.657.829 4 April 866.949.674 3.463.073.937 326.536.722 5 Mei 1.025.532.088 3.510.335.290 387.703.173 6 Juni 807.626.399 4.447.358.434 472.436.462 7 Juli 951.179.091 3.265.141.743 283.687.037 8 Agustus 2.220.724.987 4.795.540.819 337.279.473 9 September 1.207.101.823 4.429.143.566 262.691.423 10 Oktober 2.250.663.068 3.509.868.240 588.472.873 11 Nopember 3.406.529.802 3.934.671.063 476.394.415 12 Desember 7.518.896.923 6.096.469.510 1.071.319.064 Jumlah 27.088.626.424 50.630.485.181 5.249.657.395 tad tad tad Sumber Data : Kantor Pelayanan Pajak Pratama Singkawang Database Kota Singkawang Tahun 2011 | 122
  • 139.
    Keuangan Daerah Tabel 13.8 Penerimaan Retrebusi Daerah Kota Singkawang Berdasarkan Jenis, Target dan Realisasi Keadaan Tahun 2009 - 2011 Tahun 2009 Tahun 2010 Tahun 2011 N0 Jenis Retribusi Target ( Rp. ) Realisasi ( Rp. ) Target ( Rp. ) Realisasi ( Rp. ) Target ( Rp. ) Realisasi ( Rp. ) 1 Retribusi Pelayanan Kesehatan 13,383,280,525.00 11,517,009,139.54 14,612,670,700.00 13,406,041,373.44 14.838.174.700,00 16.878.007.635,62 2 Retribus Pelayanan Persampahan / Kebersihan 405,000,000.00 331,573,500.00 405,000,000.00 268,169,500.00 495.000.000,00 146.249.500,00 Retribus Penggantian Biaya Cetak KTP / KK / 3 248,750,000.00 316,546,000.00 196,100,000.00 256,391,500.00 270.000.000,00 230.292.500,00 CAPIL 4 Retribusi Pelayanan Pasar 91,000,000.00 89,370,000.00 93,700,000.00 117,766,000.00 120.000.000,00 133.813.000,00 5 Retribusi Pasar Grosir 37,090,000.00 30,321,000.00 37,090,000.00 38,461,000.00 40.000.000,00 30.220.000,00 6 Retribusi Jasa TPI 9,975,000.00 196,250.00 - - 7 Retribusi Jasa Terminal 49,678,000.00 48,700,000.00 49,678,000.00 42,250,000.00 60.000.000,00 36.900.000,00 8 Retribusi Jasa Rmh Potong Hewan 161,223,900.00 156,300,000.00 161,223,900.00 30,695,000.00 181.000.000,00 251.240.000,00 9 Retribusi Izin Mendirikan Bangunan ( IMB ) 286,012,000.00 234,463,087.69 584,024,000.00 1,169,976,281.37 2.000.000.000,00 2.044.532.594,06 10 Retribusi Izin Gangguan ( UUG ) 197,398,500.00 149,114,125.00 197,398,500.00 249,176,645.00 300.000.000,00 328.740.036,00 11 Retribusi Izin Trayek 7,033,000.00 7,450,000.00 7,033,000.00 6,885,000.00 7.500.000,00 6.585.000,00 12 Retribusi Parkir ditepi Jalan Umum 54,750,000.00 58,900,000.00 68,460,000.00 68,550,000.00 85.000.000,00 70.100.000,00 13 Retribusi Pengujian Kendaraan Bermotor 233,928,500.00 227,926,000.00 233,928,500.00 228,387,500.00 250.000.000,00 251.353.500,00 14 Retribusi Izin Pengelolaan Sarang Burung Walet 1,000,000,000.00 - - - Jumlah 16,165,119,425.00 13,167,869,102.23 16,646,306,600.00 15,882,749,799.81 18.646.674.700,00 20.408.033.765,68 Sumber Data : Dinas Pendapatan, Pengelolaan Keuangan dan Aset Kota Singkawang Database Kota Singkawang Tahun 2011 | 123
  • 140.
    Keuangan Daerah Tabel 13.9 Alokasi APBD Kota Singkawang Berdasarkan SKPD Dan Besarnya Alokasi Anggaran Tahun Angaran 2010 - 2011 (Setelah Perubahan) Alokasi Anggaran Per SKPD Kode Nama Satuan Kerja Perangkat Daerah (SKPD) Tahun Anggaran 2010 Tahun Anggaran 2011 SKPD Rp. % Rp. % 1.01.01 Dinas Pendidikan 156.222.300.866,00 32,40 182.804.750.769,00 32,40 1.02.01 Dinas Kesehatan 23.311.127.933,00 4,83 26.062.324.773,00 4,83 1.02.02 Rumah Sakit Umum Dr. Abdul Azis 17.648.264.210,00 3,66 33.531.478.701,00 3,66 1.03.01 Dinas Bina Marga, SDA, ESDM 43.611.951.712,00 9,04 40.144.814.895,00 9,04 1.03.04 Dinas Tata Kota, Pertanahan dan Cipta Karya 28.842.551.035,00 5,99 36.882.676.061,00 5,99 1.06.01 Badan Perencanaan Daerah Kota Singkawang 4.113.186.224,00 0,85 3.952.970.738,00 0,85 1.07.01 Dinas Perhubungan, komunikasi dan informatika 38.483.654.414,00 7,99 3.797.725.972,00 7,99 1.08.01 Badan Lingkungan Hidup 2.750.394.796,00 0,57 2.942.032.154,00 0,57 1.08.04 Dinas Kebersihan dan Perumahan 15.597.896.318,00 3,23 13.667.146.846,00 3,23 1.10.01 Dinas Kependudukan dan Catatan Sipil 2.490.957.048,00 0,52 3.340.678.902,00 0,52 1.12.01 Badan Pemberdayaan Masyarakat, Perempuan dan KB 3.058.696.157,00 0,63 3.375.350.547,00 0,63 1.13.01 Dinas Sosial, Tenaga Kerja dan Transmigrasi 3.137.556.090,00 0,65 3.173.692.836,00 0,65 1.15.01 Dinas Perindustrian, Perdagangan, Koperasi dan UKM 4.800.246.658,00 0,99 3.799.903.327,00 0,99 1.16.01 Kantor Penanaman Modal dan Pelayanan Terpadu 1.547.165.007,00 0,32 1.544.346.248,00 0,32 1.17.01 Dinas Kebudayaan dan Pariwisata Pemuda dan Olah Raga 6.236.623.741,00 1,29 3.873.857.633,00 1,29 1.19.01 Badan Kesatuan Bangsa Politik dan Linmas. 2.181.756.733,00 0,45 2.076.425.947,00 0,45 1.19.02 Kantor Satuan Polisi Pamong Praja 3.847.655.476,00 0,80 3.866.928.943,00 0,80 1.20.01 DPRD Kota Singkawang 4.182.382.400,00 0,87 3.993.895.090,00 0,87 1.20.05 Dinas Pendapatan, Pengelolaan Keuangan Dan Asset 43.412.581.336,00 9,00 44.902.216.453,00 9,00 1.20.07 Inspektorat Daerah. 2.819.594.874,00 0,58 3.448.929.107,00 0,58 1.20.08 Badan Kepegawaian dan Diklat 7.363.718.635,00 1,53 6.721.785.522,00 1,53 1.20.09 Kecamatan Singkawang Tengah 4.076.182.214,00 0,85 4.337.400.722,00 0,85 1.20.10 Kecamatan Singkawang Utara 4.030.913.312,00 0,84 4.140.785.340,00 0,84 1.20.11 Kecamatan Singkawang Selatan 2.875.645.977,00 0,60 3.107.692.993,00 0,60 1.20.12 Kecamatan Singkawang Timur 2.927.621.717,00 0,61 3.253.666.127,00 0,61 1.20.13 Kecamatan Singkawang Barat 3.338.943.265,00 0,69 3.323.129.717,00 0,69 1.26.01 Kantor Perpustakaan dan Kearsipan 949.951.009,00 0,20 969.547.447,00 0,20 2.01.01 Dinas Pertanian dan Kehutanan 5.822.042.753,00 1,21 7.926.862.490,00 1,21 Ketahanan Pangan 2.05.01 Dinas Kelautan dan Perikanan 5.335.078.689,00 1,11 17.268.458.939,00 1,11 Badan Penanggulangan Bencana Daerah 594.450.000,00 0,12 0,00 0,12 Jumlah 482.224.661.935,00 100 506.882.179.742,00 100 Sumber Data : Dinas Pendapatan, Pengelolaan Keuangan Dan Aset Kota Singkawang Database Kota Singkawang Tahun 2011 | 124
  • 141.
    Keuangan Daerah Tabel 13.10 Pemerintah Kota Singkawang Rekapitulasi Register Sp2d Per Bulan Ta 2011 Belanja Ls Dan Tls (Non Gaji) Bulan : Januari S/D Desember 2011 Pagu Anggaran NO SKPD Belanja LS & TLS Januari Pebruari Maret April Mei Juni Juli (Non Gaji) 1 2 3 4 5 6 7 8 9 10 1 Dinas Pendidikan 76.010.626.330,00 - 114.630.000 3.201.200.000 8.400.000 5.207.808.040 151.420.622 6.269.667.955 2 Dinas Kesehatan 10.527.176.523,00 - 128.982.000 - 36.710.000 734.262.045 195.414.988 304.642.118 3 RSUD Dr. Abdul Aziz 21.979.456.553,00 - 1.073.780.000 - 1.477.732.228 1.141.393.400 484.752.773 1.035.452.186 4 Dinas Bina Marga, SDA, ESDM 37.906.151.800,00 - 102.264.000 - - 34.350.000 232.735.101 769.378.162 Dinas Tata Kota, Pertanahan dan Cipta 5 35.106.422.133,00 - 144.246.000 - 152.169.601 160.465.550 210.322.361 344.352.403 Karya Badan Perencanaan dan Pembangunan 6 2.621.689.190,00 - 94.846.000 - 228.114.522 243.708.267 172.504.315 109.876.250 Daerah Dinas Perhubungan, Komunikasi dan 7 1.756.080.045,00 - 43.214.000 - 162.808.923 167.048.560 75.097.721 175.310.650 Informatika 8 Badan Lingkungan Hidup 1.848.769.000,00 - 63.530.000 - 63.287.961 28.830.000 92.994.655 46.585.000 9 Dinas Kebersihan dan Perumahan 10.202.127.000,00 460.768.000 - 441.750.082 511.612.768 273.374.000 553.501.600 238.800.000 10 Dinas Kependudukan & Catatan Sipil 1.912.374.000,00 - 95.194.000 - 83.015.367 59.354.000 - 222.964.996 Badan Pemberdayaan Masyarakat, 11 1.771.025.000,00 - 46.900.000 - - 106.089.675 101.194.582 62.887.000 Perempuan dan KB Dinas Sosial, Tenaga Kerja dan 12 1.271.144.000,00 - 41.454.000 - 51.076.367 109.971.500 85.941.317 208.830.000 Transmigrasi Dinas Perindustrian, Perdagangan, 13 1.775.515.000,00 - 138.100.000 - 124.680.900 203.508.150 75.280.000 186.421.675 Koperasi dan UKM Kantor Penanaman Modal dan Pelayanan 14 830.872.500,00 - 34.056.000 - 28.706.888 48.849.950 87.297.734 78.796.699 Terpadu Dinas Kebudayaan, Pariwisata, Pemuda 15 2.156.239.500,00 - 74.212.000 - 28.080.000 180.050.000 97.929.000 191.380.250 dan Olahraga 16 Badan Kesbang, Politik dan Linmas 695.430.350,00 - 41.310.000 - - 63.340.763 - 63.448.158 17 Kantor Satuan Polisi Pamong Praja 1.360.196.500,00 - - 43.906.000 43.906.000 175.906.000 43.906.000 172.581.000 18 DPRD 3.993.895.090,00 223.827.094 223.827.094 223.827.094 381.327.094 328.827.094 276.327.094 467.927.094 19 Walikota dan Wakil Walikota 350.000.000,00 - - - - - 123.400.000 23.700.000 20 Sekretariat Daerah 14.834.551.775,00 - 1.201.554.000 - 1.100.667.944 432.208.025 1.070.318.989 570.600.135 21 Sekretariat DPRD 8.869.704.600,00 - 431.226.000 - 760.700.992 783.545.300 514.732.000 636.286.900 Database Kota Singkawang Tahun 2011 | 125
  • 142.
    Keuangan Daerah Pagu Anggaran NO SKPD Belanja LS & TLS Januari Pebruari Maret April Mei Juni Juli (Non Gaji) 1 2 3 4 5 6 7 8 9 10 Dinas Pendapatan, Pengelolaan Keuangan 22 74.270.309.234,00 - 406.037.000 914.531.250 801.916.059 1.939.829.547 34.378.703.235 2.513.500.879 dan Aset 23 Inspektorat Kota Singkawang 1.807.570.000,0 - 66.050.000 - 252.677.204 111.934.916 152.324.727 166.084.949 24 Badan Kepegawaian dan Diklat 4.857.084.375,00 - - 83.008.000 87.347.486 358.999.750 167.344.195 444.025.250 25 Kantor Camat Singkawang Tengah 883.530.000,00 - 60.740.000 - 49.255.645 163.609.995 - 78.515.000 26 Kantor Camat Singkawang Utara 1.046.450.000,00 - - 80.144.000 72.166.025 111.680.700 78.303.855 71.882.500 27 Kantor Camat Singkawang Selatan 749.460.000,00 - 72.444.000 - 77.262.220 112.749.825 - 115.945.330 28 Kantor Camat Singkawang Timur 853.500.000,00 - 67.302.000 - 55.846.903 82.973.000 79.222.445 117.155.873 29 Kantor Camat Singkawang Barat 617.340.000,00 - 34.006.000 - 35.880.935 78.827.500 27.174.985 65.160.000 30 Kantor Perpustakaan dan Kearsipan 497.400.000,00 - 26.484.000 - 32.855.599 56.276.385 43.013.475 50.173.967 31 Dinas Pertanian dan Kehutanan 5.687.375.000,00 - 86.520.000 - 106.612.952 112.325.000 194.998.040 149.316.000 Kantor Penyuluh Pertanian, Perikanan dan 32 819.729.683,00 - 52.064.000 - 48.370.397 75.097.499 6.875.000 123.915.711 Kehutanan 33 Dinas Kelautan dan Perikanan 15.550.141.000,00 - 75.328.000 - - 69.585.000 133.610.693 210.432.600 JUMLAH / BULAN 322.864.690.498,00 684.595.094,00 5.040.300.094,00 4.988.366.426,00 6.863.188.980,00 13.756.779.436,00 39.906.641.502,19 322.864.690.498,00 JUMLAH S/D BULAN 684.595.094,00 5.724.895.188,00 10.713.261.614,00 17.576.450.594,00 31.333.230.030,00 71.239.871.532,19 87.525.868.222,14 Sumber Data : Dinas Pendapatan, Pengelolaan Keuangan dan Aset Kota Singkawang Database Kota Singkawang Tahun 2011 | 126
  • 143.
    Keuangan Daerah Sisa Pagu Anggaran NO SKPD Agustus September Oktober Nopember Desember Jumlah % LS & TLS (Non Gaji) 1 2 11 12 13 14 16 17 18 19 1 Dinas Pendidikan 8.315.495.773 3.257.327.900 3.611.340.888 7.868.984.550 24.971.926.040,00 62.978.201.768,00 13.032.424.562,00 82,85 2 Dinas Kesehatan 842.344.005 621.900.400 786.829.510 1.396.998.127 5.226.408.952,00 10.274.492.145,00 252.684.378,00 97,60 3 RSUD Dr. Abdul Aziz 5.225.141.142 66.891.000 2.067.970.888 1.845.312.942 6.641.339.946,00 21.059.766.505,00 919.690.048,00 95,82 4 Dinas Bina Marga, SDA, ESDM 1.331.724.703 281.784.000 4.291.865.914 6.282.130.773 20.095.963.574,00 33.422.196.227,00 4.483.955.573,00 88,17 5 Dinas Tata Kota, Pertanahan dan Cipta Karya 4.213.325.248 1.034.150.540 2.453.357.010 9.135.313.455 16.962.705.680,00 34.810.407.848,00 296.014.285,00 99,16 6 Badan Perencanaan dan Pembangunan Daerah 359.840.432 83.286.347 167.542.300 184.316.101 857.161.755,00 2.501.196.289,00 120.492.901,00 95,40 7 Dinas Perhubungan, Komunikasi dan Informatika 80.787.270 87.285.500 147.281.414 158.126.575 538.580.331,00 1.635.540.944,00 120.539.101,00 93,14 8 Badan Lingkungan Hidup 161.385.888 - 264.258.400 347.181.626 680.088.726,00 1.748.142.256,00 100.626.744,00 94,56 9 Dinas Kebersihan dan Perumahan 788.276.932 474.024.704 1.164.512.600 1.655.795.078 3.276.454.149,00 9.838.869.913,00 363.257.087,00 96,44 10 Dinas Kependudukan & Catatan Sipil 332.795.500 84.492.498 130.451.375 162.345.404 626.821.822,00 1.797.434.962,00 114.939.038,00 93,99 Badan Pemberdayaan Masyarakat, Perempuan 11 136.502.165 54.156.700 50.234.000 703.010.136 465.827.899,00 1.726.802.157,00 44.222.843,00 97,50 dan KB 12 Dinas Sosial, Tenaga Kerja dan Transmigrasi 111.626.420 65.556.500 102.125.875 191.328.367 265.039.272,00 1.232.949.618,00 38.194.382,00 97,00 Dinas Perindustrian, Perdagangan, Koperasi dan 13 56.530.200 20.663.000 273.744.450 263.856.000 274.189.500,00 1.616.973.875,00 158.541.125,00 91,07 UKM Kantor Penanaman Modal dan Pelayanan 14 119.519.402 19.480.000 130.155.000 14.720.500 252.988.945,00 814.571.118,00 16.301.382,00 98,04 Terpadu Dinas Kebudayaan, Pariwisata, Pemuda dan 15 191.514.870 39.491.000 225.727.200 55.429.200 1.048.919.130,00 2.132.732.650,00 23.506.850,00 98,91 Olahraga 16 Badan Kesbang, Politik dan Linmas 34.219.345 58.147.675 89.114.350 99.062.350 185.939.565,00 634.582.206,00 60.848.144,00 91,25 17 Kantor Satuan Polisi Pamong Praja 344.472.375 43.906.000 136.918.500 42.050.000 309.152.488,00 1.356.704.363,00 3.492.137,00 99,74 18 DPRD 324.227.094 324.227.094 324.227.094 324.227.094 324.227.094,00 3.747.025.128,00 246.869.962,00 93,82 19 Walikota dan Wakil Walikota - 52.050.000 - 99.200.000 51.650.000,00 350.000.000,00 - 100,00 20 Sekretariat Daerah 1.180.380.263 244.547.440 1.093.084.263 939.753.946 5.685.804.768,00 13.518.919.773,00 1.315.632.002,00 91,13 21 Sekretariat DPRD 605.794.882 661.587.250 452.963.200 792.880.525 2.457.299.350,00 8.097.016.399,00 772.688.201,00 91,29 Dinas Pendapatan, Pengelolaan Keuangan dan 22 2.720.164.649 1.966.995.225 4.292.379.876 3.535.206.644 12.754.940.146,84 66.224.204.511,12 8.046.104.722,88 89,17 Aset 23 Inspektorat Kota Singkawang 163.906.725 107.945.100 191.555.755 196.081.957 344.160.806,00 1.752.722.139,00 54.847.861,00 96,97 24 Badan Kepegawaian dan Diklat 890.719.375 239.857.720 347.226.370 531.001.830 840.842.100,00 3.990.372.076,00 866.712.299,00 82,16 Database Kota Singkawang Tahun 2011 | 127
  • 144.
    Keuangan Daerah Sisa Pagu Anggaran NO SKPD Agustus September Oktober Nopember Desember Jumlah % LS & TLS (Non Gaji) 1 2 11 12 13 14 16 17 18 19 25 Kantor Camat Singkawang Tengah 72.725.317 3.000.000 151.253.199 54.033.000 163.109.885,00 796.242.041,00 87.287.959,00 90,12 26 Kantor Camat Singkawang Utara 110.313.335 - 92.283.500 126.516.113 183.537.852,00 926.827.880,00 119.622.120,00 88,57 27 Kantor Camat Singkawang Selatan 10.650.000 72.411.580 64.045.000 85.781.165 84.100.750,00 695.389.870,00 54.070.130,00 92,79 28 Kantor Camat Singkawang Timur - 88.839.754 51.120.000 78.913.877 125.984.700,00 747.358.552,00 106.141.448,00 87,56 29 Kantor Camat Singkawang Barat 37.658.235 8.674.200 112.677.580 17.182.250 128.061.975,00 545.303.660,00 72.036.340,00 88,33 30 Kantor Perpustakaan dan Kearsipan 32.637.754 34.149.350 38.569.148 43.658.300 105.675.195,00 463.493.173,00 33.906.827,00 93,18 31 Dinas Pertanian dan Kehutanan 422.837.159 206.762.198 176.272.000 666.987.422 3.292.986.600,00 5.415.617.371,00 271.757.629,00 95,22 Kantor Penyuluh Pertanian, Perikanan dan 32 98.582.264 - 82.175.000 77.408.181 160.582.826,00 725.070.878,00 94.658.805,00 88,45 Kehutanan 33 Dinas Kelautan dan Perikanan 1.310.357.255 1.606.610.700 1.530.980.700 2.111.949.628 8.522.110.925,00 15.570.965.501,00 (20.824.501,00) 100,13 JUMLAH / BULAN 30.626.455.977,14 11.910.201.375,00 25.094.242.359,00 40.086.743.116,00 117.904.582.746,84 313.148.093.796,12 9.716.596.701,88 96,99 JUMLAH S/D BULAN 118.152.324.199,28 130.062.525.574,28 155.156.767.933,00 195.243.511.049,28 313.148.093.796,12 Sumber Data : Dinas Pendapatan, Pengelolaan Keuangan dan Aset Kota Singkawang Database Kota Singkawang Tahun 2011 | 128
  • 145.
    Keuangan Daerah Tabel 13.11 Pertanggungjawaban Penggunaan APBD Kota Singkawang Berdasarkan Bulan Tahun Anggaran 2009 - 2011 Tahun Anggaran 2009 Tahun Anggaran 2010 Tahun Anggaran 2011 No Bulan (33 SKPD) (33 SKPD) (33 SKPD) 1 Januari 795,342,052.00 960,964,795.00 - 2 Pebruari 2,555,295,185.00 8,153,071,308.88 2.246.404.654,00 3 Maret 5,183,494,719.00 19,877,998,449.36 9.016.258.164,00 4 April 15,131,255,192.00 28,855,956,136.36 14.071.428.542,00 5 Mei 22,220,562,824.00 36,499,857,454.36 26.598.388.953,00 6 Juni 33,687,675,177.00 48,420,502,791.36 68.230.762.247,19 7 Juli 52,240,990,724.00 61,575,383,097.36 79.928.288.194,14 8 Agustus 68,811,892,933.00 87,176,733,145.36 114.798.840.985,28 9 September 95,267,760,203.00 111,509,109,488.36 125.945.823.613,28 10 Oktober 134,691,423,298.00 137,572,402,575.36 149.917.170.797,28 11 November 170,075,212,758.83 168,264,287,328.36 189.864.780.464,28 12 Desember 314,272,533,306.00 300,075,090,041.00 309.903.981.100,12 Sumber Data : Dinas Pendapatan, Pengelolaan Keuangan Dan Aset Kota Singkawang Database Kota Singkawang Tahun 2011 | 129
  • 146.
    Keuangan Daerah Tabel 13.12 Pertanggungjawaban Penggunaan APBD Kota Singkawang Berdasarkan SKPD dan Besarnya Penyampaian Pertanggungajwaban Per Bulan Tahun Anggaran 2011 Nama Satuan Kerja Perangkat Daerah No Januari Pebruari Maret April Mei Juni Juli Agustus September Oktober November Desember (SKPD) 1 2 3 4 5 6 7 8 9 10 11 12 13 14 1 Dinas Pendidikan - 11.057.703,00 3.260.228.080,00 3.293.700.693,00 8.517.633.162,00 8.599.315.641,00 14.880.952.966,00 23.155.922.208,00 26.501.537.758,00 30.060.227.561,00 37.965.490.250,00 62.256.411.441,00 2 Dinas Kesehatan - 24.197.445,00 60.534.430,00 125.832.896,00 636.872.045,00 924.213.687,00 1.244.684.942,00 2.083.981.247,00 2.710.560.108,00 3.542.721.918,00 4.843.661.263,00 10.147.384.140,00 3 RSUD dr. ABDUL AZIS - 159.411.024,00 297.896.674,00 1.966.128.920,00 3.261.300.688,00 3.862.154.417,00 4.583.280.332,00 9.505.805.745,00 9.684.378.137,00 10.559.874.878,00 12.547.907.956,00 20.696.852.102,00 4 Dinas Bina Marga, SDA, SDM - - 51.553.573,00 65.732.692,00 123.715.001,00 313.800.543,00 1.132.018.703,00 2.420.340.859,00 2.740.238.930,00 7.039.752.601,00 13.018.020.902,00 33.418.992.799,00 Dinas Tatakota, Pertanahan dan Cipta 5 - 101.717.911,00 143.791.201,00 249.481.283,00 423.746.612,00 662.332.225,00 966.345.163,00 5.117.381.251,00 6.188.964.138,00 8.710.594.068,00 17.795.030.061,00 34.809.833.294,00 Karya 6 Bappeda - 61.483.172,00 72.695.922,00 303.318.789,00 541.558.404,00 715.005.336,00 810.955.900,00 1.171.552.533,00 1.235.395.473,00 1.458.529.444,00 1.643.823.403,00 2.498.911.314,00 Dinas Perhubungan, Komunikasi dan 7 - - 37.498.923,00 128.647.678,00 251.089.644,00 408.556.199,00 623.346.124,00 664.507.124,00 790.888.065,00 933.120.685,00 1.041.360.366,00 1.622.841.601,00 Informatika 8 Badan Lingkungan Hidup - 15.538.806,00 46.599.161,00 83.874.433,00 136.309.416,00 204.460.861,00 258.758.054,00 414.495.051,00 436.830.995,00 933.120.685,00 1.027.094.263,00 1.746.455.819,00 9 Dinas Kebersihan dan Perumahan - 443.080.082,00 743.040.050,00 1.158.641.812,00 1.669.163.450,00 2.027.734.566,00 409.872.009,00 3.162.578.086,00 3.475.962.725,00 4.870.552.364,00 6.541.619.113,00 9.829.085.966,00 10 Dinas Kependudukan dan Catatan Sipil - 7.876.948,00 72.634.433,00 95.956.427,00 111.752.096,00 236.804.363,00 409.872.009,00 746.847.061,00 814.810.400,00 954.272.615,00 1.124.883.562,00 1.796.594.211,00 Dinas Pemberdayaan Masyarakat, 11 - 17.207.350,00 46.074.675,00 46.651.361,00 151.602.257,00 238.762.408,00 427.757.406,00 357.894.318,00 505.810.633,00 557.473.243,00 1.235.620.407,00 1.720.759.217,00 Perempuan dan KB Dinas Sosial, Tenaga Kerja dan 12 - 5.309.859,00 34.759.467,00 66.082.809,00 199.583.184,00 249.781.953,00 496.903.774,00 594.639.526,00 674.059.587,00 716.999.857,00 956.326.018,00 1.205.428.961,00 Transmigrasi 13 Dinas Perindag, Koperasi dan UKM - 35.401.900,00 130.632.400,00 199.027.050,00 346.004.100,00 518.768.725,00 642.774.825,00 726.936.675,00 791.501.575,00 988.367.975,00 1.289.551.650,00 1.609.483.800,00 Kantor Penanaman Modal dan Pelayanan 14 - 20.718.822,00 29.206.888,00 43.151.176,00 111.368.572,00 193.581.221,00 270.783.673,00 358.055.620,00 398.279.883,00 545.804.118,00 556.873.848,00 811.809.841,00 Terpadu Dinas Kebudayaan, Pariwisata, Pemuda 15 - 53.863.030,00 91.073.030,00 102.053.030,00 238.093.030,00 334.522.030,00 569.912.280,00 673.627.150,00 800.918.150,00 1.026.645.350,00 944.983.550,00 2.132.493.680,00 dan Olahraga 16 Dinas Kesbang, Politik dan Linmas - 18.393.182,00 38.866.263,00 34.671.866,00 101.358.921,00 101.358.921,00 161.008.266,00 188.338.694,00 188.338.694,00 349.578.641,00 448.490.856,00 634.581.547,00 17 Kantor Satuan Polisi Pamong Praja - - 43.906.000,00 87.812.000,00 263.718.000,00 307.624.000,00 472.648.000,00 824.677.375,00 855.905.875,00 961.595.875,00 1.040.118.625,00 1.312.798.363,00 18 DPRD Kota - 447.654.188,00 671.481.282,00 1.052.808.376,00 1.381.635.470,00 1.657.962.564,00 2.125.889.658,00 2.721.843.846,00 2.774.343.846,00 3.098.570.940,00 3.422.798.024,00 3.747.025.128,00 19 Walikota / Wakil Walikota - - - - - 123.400.000,00 - 147.100.000,00 199.150.000,00 199.150.000,00 298.350.000,00 350.000.000,00 20 Kantor Perpustakaan dan Kearsipan - 7.429.789,00 26.455.599,00 59.016.984,00 90.202.270,00 157.698.426,00 204.882.180,00 224.591.918,00 266.391.728,00 301.280.283,00 354.013.973,00 461.342.763,00 21 Dinas Pertanian dan Kehutanan - 19.056.671,00 86.152.952,00 144.149.494,00 305.050.992,00 489.397.851,00 638.887.834,00 1.061.788.349,00 1.199.684.746,00 1.417.582.421,00 2.111.750.366,00 5.415.542.980,00 Kantor Penyuluh Pertanian, Perikanan, 22 - - - 48.370.397,00 123.467.896,00 130.342.896,00 206.258.607,00 352.840.871,00 352.840.871,00 435.015.871,00 460.360.052,00 673.006.878,00 Kehutanan dan Ketahanan Pangan 23 Dinas Kelautan dan Perikanan - 11.057.703,00 3.260.228.080,00 3.293.700.693,00 8.517.633.162,00 8.599.315.641,00 14.880.952.966,00 23.155.922.208,00 26.501.537.758,00 30.060.227.561,00 37.965.490.250,00 62.256.411.441,00 Database Kota Singkawang Tahun 2011 | 130
  • 147.
    Keuangan Daerah Nama Satuan Kerja Perangkat Daerah No Januari Pebruari Maret April Mei Juni Juli Agustus September Oktober November Desember (SKPD) 1 2 3 4 5 6 7 8 9 10 11 12 13 14 24 Sekretariat Daerah - 14.409.154,00 44.525.391,00 74.988.693,00 144.573.693,00 275.928.873,00 488.461.473,00 1.771.251.150,00 3.394.201.576,00 4.932.873.776,00 7.033.742.283,00 15.561.321.319,00 25 Sekretariat DPRD - 608.041.879,00 1.075.916.444,00 1.646.774.267,00 - 3.045.572.296,00 - 4.688.979.109,00 5.132.409.793,00 6.593.827.203,00 7.637.246.491,00 12.919.609.927,00 Dinas Pendapatan, Pengelolaan 26 - 32.334.255,00 329.168.692,00 770.548.390,00 1.495.777.094,00 2.066.440.800,00 2.747.748.613,00 3.361.068.978,00 4.033.598.141,00 4.491.685.205,00 4.728.688.883,00 7.782.486.523,00 Keuangan dan Asset 27 Inspektorat Daerah - - 1.191.234.716,00 1.294.334.962,00 4.056.225.928,00 37.960.203.246,19 41.682.827.398,14 43.528.615.446,28 44.485.830.031,28 47.862.652.314,28 52.474.625.664,28 65.325.109.620,12 28 Badan Kepegawaian dan Diklat - 35.735.176,00 65.676.204,00 301.372.120,00 425.549.597,00 545.785.484,00 710.528.846,00 912.873.621,00 1.020.838.026,00 1.211.838.333,00 1.398.188.889,00 1.741.861.826,00 29 Camat Singkawang Tengah - - 80.520.486,00 129.568.065,00 494.065.931,00 630.548.442,00 1.091.327.201,00 2.030.315.090,00 2.224.628.125,00 2.576.917.233,00 3.012.598.975,00 3.986.381.873,00 30 Camat Singkawang Utara - 30.442.000,00 50.005.645,00 104.006.640,00 246.702.957,00 266.930.957,00 345.220.957,00 413.362.656,00 423.673.356,00 554.435.741,00 628.695.041,00 791.974.997,00 31 Camat Singkawang Selatan - - 72.166.025,00 143.857.880,00 259.558.580,00 339.017.615,00 411.272.115,00 520.144.128,00 521.423.528,00 614.817.028,00 743.232.648,00 920.658.810,00 32 Camat Singkawang Timur - 33.382.220,00 48.647.220,00 93.622.045,00 205.202.045,00 229.167.375,00 315.557.375,00 370.768.955,00 411.018.955,00 507.545.120,00 568.330.120,00 690.820.795,00 33 Camat Singkawang Barat - 15.414.903,00 39.310.403,00 98.239.394,00 197.379.348,00 243.407.671,00 356.508.221,00 383.007.975,00 424.037.975,00 520.795.841,00 554.061.852,00 740.815.905,00 Jumlah - 2.246.404.654,00 9.016.258.164,0014.071.428.542,0026.598.388.953,00 68.230.762.247,19 79.928.288.194,14 114.798.840.985,28125.945.823.613,28149.917.170.797,28189.864.780.464,28 309.903.981.100,12 Sumber Data : Dinas Pendapatan, Pengelolaan Keuangan Dan Asset Database Kota Singkawang Tahun 2011 | 131
  • 148.
    Keuangan Daerah Tabel 13.13 Realisasi Fisik dan Keuangan Penggunaan APBD Kota Singkawang Berdasarkan SKPD, Jumlah Program/Kegiatan dan Pagu Dana Tahun Anggaran 2010 dan 2011 Tahun 2010 Tahun 2011 Kode NO Nama SKPD Jumlah Realisasi Keuangan Jumlah Realisasi Keuangan Organisasi Pagu Dana Realisasi Pagu Dana (Rp.) (%) (Rp.) Realisasi Program Kegiatan (Rp) (%) Program Kegiatan (Rp) (%) Fisik (%) 1 2 3 4 5 6 7 8 9 10 11 12 13 14 15 1 1.01.01 Dinas Pendidikan 9 93 26.986.655.400 18.013.757.864 66,75 90,40 10 74 42.292.159.490 32.308.275.891 94,80 74,34 2 1.02.01 Dinas Kesehatan 18 84 8.717.735.189 8.118.051.248 93,12 88,37 18 63 9.112.136.523 8.790.673.136 92,68 91,38 3 1.02.02 RSUD dr. Abdul Aziz Kelas B 9 51 18.888.526.671 18.463.977.083 97,75 92,81 9 46 19.004.516.553 18.909.262.102 98,72 97,79 4 1.03.01 Dinas Bina Marga, SDA dan ESDM 15 45 41.486.567.250 40.968.454.078 98,75 98,60 15 37 37.696.451.800 32.993.121.799 94,37 95,47 5 1.04.01 Dinas Tata Kota, Pertanahan dan Cipta Karya 12 38 26.907.242.343 26.604.926.120 98,88 98,03 13 34 34.915.622.133 34.633.823.294 94,11 92,74 6 1.06.01 Badan Perencanaan dan Pembangunan Daerah 15 42 2.720.270.100 2.605.624.655 95,79 95,91 15 56 2.460.649.190 2.362.091.214 97,10 98,05 7 1.07.01 Dinas Perhubungan, Komunikasi dan Informatika 9 27 36.681.039.195 36.332.190.581 99,05 92,58 9 30 1.533.360.045 1.422.736.471 93,58 96,97 8 1.08.01 Badan Lingkungan Hidup 6 26 1.763.084.404 1.659.344.825 94,12 97,43 8 29 1.700.788.000 1.625.473.760 97,43 88,12 9 1.08.04 Dinas Kebersihan dan Perumahan 9 34 12.574.766.500 12.122.946.260 96,41 90,80 12 35 9.678.207.000 7.808.380.961 87,10 94,98 10 1.10.01 Dinas kependudukan dan Catatan Sipil 4 26 1.261.488.052 1.146.083.073 90,85 90,54 5 24 1.758.534.000 3.327.929.865 176,83 479,77 Badan Pemberdayaan Masyarakat, Perempuan 11 1.22.01 9 34 1.527.487.810 1.454.863.755 95,25 91,77 16 43 1.629.015.000 1.588.795.217 96,89 96,64 dan KB 12 1.13.01 Dinas Sosial Tenaga Kerja dan Transmigrasi 12 39 93.595.500 93.150.000 99,52 99,23 13 31 1.042.180.000 1.296.870.697 112,80 155,73 Dinas Perindustrian Perdagangan Koperasi dan 13 1.14.01 13 48 2.725.766.750 2.703.419.075 99,18 98,53 11 29 1.410.335.000 1.383.483.800 99,63 97,58 UKM 14 1.16.01 Kantor Penanaman Modal dan Pelayanan Terpadu 5 23 806.195.250 378.752.031 96,60 99,82 6 20 771.472.500 755.027.341 98,56 97,83 Dinas Kebudayaan Pariwisata Pemuda dan 15 1.17.01 11 38 4.589.488.745 4.265.806.748 92,95 92,27 12 36 1.976.979.250 1.946.142.680 98,59 98,60 Olahraga Badan Kesatuan Bangsa Politik dan Perlindungan 16 1.19.01 7 28 756.168.689 700.287.875 92,61 60,80 8 25 553.590.350 519.261.547 93,70 82,13 Masyarakat 17 1.19.03 Satuan Polisi Pamong Praja 5 24 1.367.293.800 1.320.656.300 96,59 95,51 5 24 1.050.476.500 1.098.818.363 102,53 99,23 18 1.20.03 Sekretariat Daerah 29 112 15.636.759.854 14.457.840.464 92,46 85,16 29 69 12.610.413.325 11.712.091.379 88,32 92,75 19 1.20.04 Sekretariat DPRD 6 47 8.258.612.250 7.109.517.656 86,09 75,47 6 47 8.978.784.600 7.515.153.325 78,84 74,37 Dinas Pendapatan Pengelolaan Keuangan dan 20 1.20.05 4 74 13.178.428.855 11.520.916.198 87,42 84,12 5 69 15.669.606.620 11.049.161.547 82,66 86,72 Aset 21 1.20.07 Inspektorat Kota Singkawang 6 21 1.205.115.627 1.170.366.957 97,12 96,92 8 34 1.557.250.000 1.537.841.826 98,92 98,43 Database Kota Singkawang Tahun 2011 | 132
  • 149.
    Keuangan Daerah 1 2 3 4 5 6 7 8 9 10 11 12 13 14 15 22 1.20.08 Badan Kepegawaian dan Diklat 6 41 3.491.750.700 3.125.091.967 89,50 96,21 7 46 3.626.524.375 3.377.551.473 84,67 98,71 23 1.20.09 Kecamatan Singkawang Tengah 15 36 673.728.766 549.060.371 81,50 89,04 10 27 438.970.000 458.826.382 96,37 93,90 24 1.20.10 Kecamatan Singkaawang Utara 13 32 829.381.742 794.819.740 95,83 91,45 11 28 648.270.000 637.268.810 99,71 99,65 25 1.20.11 Kecamatan Singkawang Selatan 15 34 691.865.000 686.205.902 99,18 92,86 10 26 487.020.000 463.805.045 99,64 99,99 26 1.20.12 Kecamatan Singkawang Timur 16 35 692.897.950 931.602.668 91,15 88,81 13 27 546.020.000 531.255.905 98,84 98,91 27 1.20.13 Kecamatan Singkawang Barat 10 25 480.080.725 365.544.745 76,14 89,85 10 23 310.020.000 275.898.160 98,4 87,72 28 1.24.01 Kantor Perpustakaan dan Arsip 8 33 522.395.239 482.443.679 92,35 100 8 22 435.000.000 409.752.263 97,29 98,67 29 2.01.01 Dinas Pertanian dan Kehutanan 15 43 3.438.271.200 3.234.893.016 94,08 100 13 41 5.307.425.000 5.197.075.080 96,02 96,45 Kantor Penyuluh Pertanian, Perternakan, 30 2.01.02 6 33 1.314.913.905 118.298.216 89,97 92,50 7 20 730.749.683 546.476.878 84,98 90,12 Kehutanan dan Ketahanan Pangan 31 2.05.01 Dinas Kelautan dan Perikanan 9 45 3.740.822.375 3.702.990.398 98,99 99,98 11 51 15.371.821.000 15.409.761.319 98,97 98,23 Sumber Data : Bagian Administrasi Pembangunan Setda Kota Singkawang Database Kota Singkawang Tahun 2011 | 133
  • 150.
    Kekayaan Daerah 14. KekayaanDaerah Data kekayaan daerah yang ditampilkan disini berupa tanah dan kendaraan bermotor. Sampai dengan tahun 2011 jumlah tanah yang dimiliki Pemerintah Kota Singkawang sebanyak 148 obyek tanah dengan luas keseluruhan mencapai 1.723.0760 M². Tanah-tanah tersebut berasal dari pengadaan yang dilakukan Pemerintah Kota Singkawang dari tahun 2002 sampai tahun 2011. Dari 148 obyek tanah tersebut memiliki sertifikat sebagai bukti kepemilikan tanah 91 obyek dan yang belum 57 obyek tanah. Untuk kendaraan bermotor yang dimiliki sebanyak 437 unit dengan rincian kendaraan roda 2 sebanyak 279 unit, 223 unit berasal dari Pengadaan Pemerintah kota Singkawang, 51 unit berasal dari Pemerintah Pusat dan 5 unit dari Pemerintah Propionsi. Kendaraan roda 4 sebanyak 120 unit, 110 unit Pengadaan Pemerintah Kota Singkawang dan 10 unit penyerahan dari Kabupaten Induk. Untuk kendaraan jenis lainnya sebanyak 38 unit, semuanya merupakan pengadaan Pemerintah Kota Singkawang. Tabel 14.1 Jumlah Tanah Milik Pemerintah Kota Singkawang Berdasarkan Jumlah Obyek Tanah, Luas dan Sertifikat Keadaan Tahun 2009 - 2011 Sertifikat No Tahun Jumlah Obyek Tanah Luas Ada Tidak Ada 1 2009 131 1.647.246 M² 78 53 2 2010 147 1.716.156 M² 91 56 3 2011 148 1.723.076 M² 91 57 Sumber Data : Dinas Pendapatan, Pengelolaan Keuangan dan Aset Kota Singkawang Tabel 14.2 Jumlah Kendaraan Bermotor Milik Pemerintah Kota Singkawang Berdasarkan Jenis, Asal/Cara Perolehan dan Kondisi Kendaraan Keadaan Per 31 Desember 2011 Asal /Cara Perolehan Kondisi Kendaraan Jenis Penyerahan Penyerahan Penyerahan No Jumlah Pengadaan Kendaraan Dari Dari Dari Rusak Rusak Pemkot Baik Pemerintah Pemerintah Pemerintah Ringan Berat Singkawang Pusat Propinsi Kab Induk 1 Roda 2 279 51 5 - 223 148 131 - 2 Roda 4 120 - - 10 110 110 55 1 3 Jenis Lainnya 38 - - - 38 29 9 - Jumlah Tahun 2011 437 51 5 10 371 241 195 1 Jumlah Tahun 2010 421 51 5 10 355 225 195 1 Jumlah Tahun 2009 278 1 5 10 262 99 173 6 Sumber Data : Dinas Pendapatan, Pengelolaan Keuangan dan Aset Kota Singkawang Database Kota Singkawang Tahun 2011 | 134
  • 151.
    Perindustrian dan Perdagangan 15.Perindustrian dan Perdagangan Sektor industri khususnya industri besar dan sedang berperan cukup besar mendorong pertumbuhan ekonomi. Sifat industri ini yang cenderung padat modal dan teknologi berpeluang membentuk nilai tambah yang besar dengan pertumbuhan yang tinggi pula. Sampai dengan tahun 2011 industri yang ada di Kota Singkawang masih tergolong industri kecil dan menengah yang dapat dikelompokkan menjadi 35 bidang usaha dengan 254 unit usaha. Tenaga kerja yang terserap dari 254 unit usaha tersebut 1.352 orang dengan nilai investasi Rp. 31.018.381.000,- dan nilai produksi mencapai Rp. 24.545.000.000,- Sektor perdagangan baik formal maupun informal memberikan kontribusi yang cukup berarti dalam menggerakan roda perekonomian maupun dalam penyerapan tenaga kerja. Terdapat 1.020 pedagang di Kota Singkawang baik yang ada di pasar Alianyang, pasar Beringin maupun di luar kedua pasar tersebut yang terdiri dari 128 pedagang formal dan 892 pedagang informal. Sedangkan jenis barang dagangan dapat dikelompokkan menjadi 31 jenis barang dagangan. Omset perhari dari 1.020 pedagang tersebut mencapai Rp. 148.515.000,- dengan nilai aset mencapai Rp. 5.390.110.000,-. Tabel 15.1 Rekapitulasi Industri Kecil dan Menengah Di Kota Singkawang Keadaan Per 31 Desember 2011 Jumlah Jumlah Kapasitas Nilai Investasi Nilai Produksi No Bidang Usaha Tenaga Usaha Produksi (Rp.) (Rp) Kerja 1 2 3 4 5 6 7 1 Industri Pengolahan Buah 3 13 72 ton 30,730,000 138,000,000 2 Industri Kecap 10 47 459.850 liter 460,627,000 997,000,000 3 Industri Roti 15 83 108 ton 154,188,000 841,000,000 4 Industri Tahu 6 13 29 ton 29,695,000 290,000,000 5 Industri Terasi 1 4 18 ton 16,520,000 87,000,000 6 Industri Cuka Makanan 7 11 47.780 liter 40,276,000 261,000,000 7 Industri Kerupuk 4 21 26 ton 25,498,000 290,000,000 8 Industri Kopi 14 34 142.600 kg 208,227,000 602,000,000 9 Industri Sirop 6 10 43.655 liter 35,025,000 319,000,000 10 Industri Mie 11 38 185 ton 140,222,000 693,000,000 11 Industri Es Balok 5 19 500 ton 110,050,000 148,000,000 12 Industri Makanan Unggas 7 27 531 ton 730,000,000 539,000,000 13 Industri Pakaian Jadi 12 39 9.200 stel 177,500,000 1,035,000,000 14 Industri Obras 3 9 24.400 helai 28,900,000 76,000,000 15 Industri Percetakan 13 91 1.488.962 lusin 2,678,019,000 1,712,100,000 16 Industri Kerajinan Emas 39 112 24.024 gram 404,039,000 2,390,100,000 17 Industri Bahan Bangunan 16 145 10.320 meter kubik 899,282,000 6,676,000,000 Database Kota Singkawang Tahun 2011| 203
  • 152.
    Perindustrian dan Perdagangan 1 2 3 4 5 6 7 Industri Kerajinan dari 18 7 14 32.280 buah 40,413,000 281,300,000 Kayu Industri Furniture dari 19 13 99 10.976 buah 1,052,648,000 3,281,400,000 kayu Industri Kerajinan Pande 20 8 31 22.724 buah 115,200,000 244,000,000 Besi 21 Industri Keramik 3 31 29.320 buah 56,890,000 157,000,000 22 Industri Vulkanisir Ban 2 11 9.500 buah 48,500,000 332,000,000 250 ton/ 23 Industri Pupuk 2 8 62,000,000 97,000,000 250.000 liter 24 Industri Kemasan 1 80 16.000 kodi 377,300,000 131,000,000 25 Industri Minyak Kelapa 3 16 1.130 ton 1,523,500,000 293,000,000 26 Industri Batu Bata 4 68 141.200 buah 236,100,000 167,000,000 27 Industri Barang dari Semen 1 10 150.000 buah 127,200,000 43,000,000 Industri Air Minum Dalam 28 7 183 62.000.000 liter 13,274,225,000 1,041,600,000 Kemasan Industri Pembuatan Gigi 29 8 9 2.640 buah 446,270,000 208,400,000 Palsu 30 Industri Cool Storage 3 15 260 ton 6,129,000,000 469,000,000 31 Bengkel Las 7 20 16.248 buah 151,560,000 180,000,000 32 Alat dari Aluminium 9 18 11.700 buah 108,777,000 195,100,000 33 Minyak Pelumas 1 15 28.500 Liter 1,000,000,000 180,000,000 Pengolahan dan 34 1 2 18.000 Kg 20,000,000 25,000,000 Pengawetan Daging 35 Jamu Tradisional 2 6 2.160 Kg 80,000,000 125,000,000 Jumlah 254 1,352 31,018,381,000 24,545,000,000 Sumber Data : Dinas Perindustrian, Perdagangan, Koperasi dan Usaha Kecil Menengah Kota Singkawang Tabel 15.2 Jumlah Pedagang Di Kota Singkawang Berdasarkan Lokasi Pasar Keadaan Per 31 Desember 2011 Jenis Jumlah Sifat Usaha Omset/ Total No Nama Pasar Dagangan Pedagang Formal Informal Hari Asset 1 Pasar Beringin 12 269 63 206 54,400,000 2,629,450,000 2 Pasar Alianyang 4 161 161 29,965,000 416,500,000 Di Luar 15 3 590 65 525 4,150,000 2,344,160,000 Beringin/Alianyang Jumlah 1,020 128 892 148,515,000 5,390,110,000 Sumber Data : Dinas Perindustrian, Perdagangan, Koperasi dan Usaha Kecil Menengah Kota Singkawang Database Kota Singkawang Tahun 2011| 204
  • 153.
    Perindustrian dan Perdagangan Tabel 15.3 Jumlah Pedagang Pasar Beringin Berdasarkan Jenis Dagangan Jumlah Pedagang dan Sifat Usaha Keadaan Per 31 Desember 2011 Jumlah Sifat Usaha Omset/ Total No Jenis Dagangan Pedagang Formal Informal Hari Asset 1 Sembako 54 21 33 16,350,000 617,100,000 2 Sayuran 44 - 44 8,700,000 394,300,000 3 Makanan dan Minuman 32 5 27 4,310,000 141,050,000 4 Pakaian, Sepatu dan Sandal 42 23 19 8,430,000 536,500,000 5 Palawija 25 - 25 3,100,000 259,000,000 Kelontong, Alat Rumah Tangga dan Mainan 6 27 11 16 6,490,000 374,500,000 Anak-anak 7 Alat Pertanian 1 1 - 200,000 20,000,000 8 Produk Kecantikan 1 1 - 300,000 15,000,000 9 Aksesoris 7 - 7 1,150,000 62,000,000 10 Bumbu Masak dan Buah-Buahan 8 - 8 900,000 31,500,000 11 Pedagang Daging, Ikan, Tahu dan Tempe 27 1 26 4,270,000 177,500,000 12 Kaset VCD 1 - 1 200,000 1,000,000 Jumlah 269 63 206 54,400,000 2,629,450,000 Sumber Data : Dinas Perindustrian, Perdagangan, Koperasi dan Usaha Kecil Menengah Kota Singkawang Tabel 15.4 Jumlah Pedagang Pasar Alianyang Berdasarkan Jenis Dagangan Jumlah Pedagang dan Sifat Usaha Keadaan Per 31 Desember 2011 Jumlah Sifat Usaha Omset/ Total No Jenis Dagangan Pedagang Formal Informal Hari Asset 1 Ikan 63 63 18,900,000 189,000,000 2 Sayuran 67 67 7,865,000 111,500,000 3 Buah - Buahan 25 25 2,320,000 77,000,000 4 Makanan dan Minuman 6 6 880,000 39,000,000 Jumlah 161 161 29,965,000 416,500,000 Sumber Data : Dinas Perindustrian, Perdagangan, Koperasi dan Usaha Kecil Menengah Kota Singkawang Database Kota Singkawang Tahun 2011| 205
  • 154.
    Perindustrian dan Perdagangan Tabel 15.5 Jumlah Pedagang Di Luar Pasar Beringin dan Alianyang/Kuala Berdasarkan Jenis Dagangan Jumlah Pedagang dan Sifat Usaha Keadaan Per 31 Desember 2011 Sifat Usaha No Jenis Dagangan Jumlah Omset/ Total Pedagang Hari Asset Formal Informal 1 Pedagang Sembako 6 5 1 2,790,000 167,000,000 2 Pedagang Sayuran 71 - 71 11,390,000 112,910,000 3 Peadagang Daging 26 - 26 6,950,000 60,000,000 4 Pedagang Ikan 16 - 16 1,360,000 20,000,000 5 Pedagang Makanan dan Minuman 261 13 248 17,250,000 275,250,000 6 Pedagang Pakaian 57 24 33 8,900,000 751,500,000 7 Pedagang Sepatu, Sandal dan Tas 15 15 - 5,280,000 545,000,000 8 Pedagang Aksesoris 38 - 38 2,400,000 64,000,000 9 Pedagang Kerajinan 4 1 3 700,000 28,500,000 10 Salon 1 1 - 230,000 20,000,000 11 Pedagang Kelapa 2 1 1 300,000 10,000,000 12 Travel 1 1 - 500,000 50,000,000 13 Obat-Obatan 2 2 - 900,000 80,000,000 14 Ponsel 8 1 7 900,000 54,000,000 15 Kelontong 1 1 - 250,000 25,000,000 Jumlah 590 65 525 64,150,000 2,344,160,000 Sumber Data : Dinas Perindustrian, Perdagangan, Koperasi dan Usaha Kecil Menengah Kota Singkawang Database Kota Singkawang Tahun 2011| 206
  • 155.
    Perindustrian dan Perdagangan Tabel 15.6 Harga Bahan Kebutuhan Pokok Di Kota Singkawang Berdasarkan Nama Bahan Pokok dan Harga Setiap Bulan Keadaan Januari - Desember 2011 Harga (Rp.) No Nama Bahan Pokok Satuan Januari Pebruari Maret April Mei Juni Juli Agustus September Oktober November Desember 1. Beras Lokal Kg 7,075 7,300 7,180 7,125 6,875 6,750 7,000 7,000 7,000 7,000 7,000 7,000 2. Gula Pasir Kg 10,000 9,750 9,700 9,750 10,000 10,000 10,000 10,000 9,625 9,500 9,500 11,000 3. Daging Sapi Kg 70,000 70,000 70,000 70,000 70,000 70,000 70,000 70,000 70,000 70,000 70,000 70,000 4. Susu Cap Nona Kaleng 7,500 7,500 7,500 7,750 7,875 8,000 8,000 8,000 8,000 8,000 8,000 8,000 5. Ikan Tongkol Kg 17,000 17,250 19,200 21,000 22,000 19,750 19,750 20,000 21,500 24,000 27,500 19,000 6. Minyak Goreng Kg 12,250 12,500 12,500 13,125 12,000 12,000 12,750 14,000 13,750 13,250 12,200 13,000 7. Telur Ayam Ras Kg 16,500 17,000 16,600 16,000 16,500 17,750 18,125 22,000 17,750 17,000 17,200 18,250 Sayur Mayur 8. Ikat 8,000 9,500 10,100 8,250 7,750 9,750 10,250 10,000 9,250 7,000 7,200 7,000 Kol / Kubis Palawija 9. Kg 8,000 7,625 7,800 7,375 7,500 7,250 7,625 8,000 7,250 7,250 7,400 7,250 Kacang Kedelai Tepung Terigu 10. Kg 7,500 7,500 7,300 7,375 7,500 7,500 7,500 7,500 7,500 7,500 7,500 7,500 Segitiga Biru 11. Minyak Tanah Liter 3,750 3,750 3,750 3,750 3,750 3,750 3,750 9,700 9,700 9,700 9,700 9,700 Sumber Data : Dinas Perindustrian, Perdagangan, Koperasi dan Usaha Kecil Menengah Kota Singkawang Database Kota Singkawang Tahun 2011| 207
  • 156.
    Perindustrian dan Perdagangan Tabel 15.7 Banyaknya Pengusaha Pemilik SIUP Berdasarkan Kecamatan, Klasifikasi Usaha dan Jumlah Keadaan Per 31 Oktober 2011 Klasifikasi Usaha No Kecamatan Jumlah Besar Menengah Kecil Mikro 1 Singkawang Barat 9 63 231 63 366 2 Singkawang Tengah 9 34 215 73 331 3 Singkawang Utara 1 4 33 6 44 4 Singkawang Timur 1 4 18 4 27 5 Singkawang Selatan 2 12 45 22 81 Jumlah 2011 9 59 252 168 488 Jumlah 2010 13 58 290 0 361 Catatan : Klasifikasi SIUP Mikro dimulai pada Tahun 2011 Sumber Data : Kantor Penanaman Modal dan Pelayanan Terpadu Kota Singkawang Tabel 15.8 Gudang Yang Ada Di Singkawang Berdasarkan nama Gudang, Lokasi/Alamat, Pemilik dan Luas Keadaan Per 31 Desember 2011 Klasifikasi/Luas No Nama Gudang Lokasi/Alamat Gudang Nama Pemilik Gudang Gudang (M2) 1 2 3 4 5 1 Jl. S. M. Tsafioeddin, Kel. Pasiran, NGALIMIN Kecil : Kec. Singkawang Barat a. 140 m2 b. 70 m2 Jl. Tanjung Batu Karang Intan, Kel. HARTOJO Kecil : 1.430,5 m2 2 Sedau, Kec. Singkawang Selatan 3 Jl. Yos Sudarso No. 155, Kel. Kuala, BONG HIAN FA Kecil : Kec. Singkawang Barat a. 118,75 m2 b. 124,8 m2 4 Gang Dwi Tunggal No. 43, Kel. Melayu, BONG KI PHIN Kecil : 80 m2 Kec. Singkawang Barat 5 Jl. Gunung Bawang RT. 30 RW. 12, SUCIPTO Kecil : 524,40 m2 Kel. Pasiran, Kec. Singkawang Barat 6 Jl. Tani RT. 32 Rw. XIII, Kel. Pasiran, H. RUSLIANSYAH D. T, MBA Menengah : 4.813 m2 Kec. Singkawang Barat 7 Jl. Kurau No. 16b, Kel. Condong, SJIA HO TJHUNG Kecil : 72 m2 Kec. Singkawang Tengah 8 Jl. Kridasana No. 03, Kel. Pasiran, DUTONO Kecil : 144 m2 Kec. Singkawang Barat 9 Jl. Kridasana No. 03, Kel. Pasiran, DUTONO Kecil : 192 m2 Kec. Singkawang Barat 10 Jl. Kridasana No. 03, Kel. Pasiran, DUTONO Kecil : 96 m2 Kec. Singkawang Barat Database Kota Singkawang Tahun 2011| 208
  • 157.
    Perindustrian dan Perdagangan 1 2 3 4 5 11 Jl. Kridasana No. 03, Kel. Pasiran, DUTONO Kecil : 80 m2 Kec. Singkawang Barat 12 Jl. Sijangkung, Kel. Sijangkung, WIDIYANTO Kecil : 163 m2 Kec. Singkawang Selatan 13 Jl. Setia Budi No. 158, Kel. Condong, TJHIA KIM SIONG Kecil : 40 m2 Kec. Singkawang Tengah 14 Jl. Setia Budi No. 158, Kel. Condong, TJHIA KIM SIONG Kecil : 80 m2 Kec. Singkawang Tengah 15 Jl. Setia Budi No. 158, Kel. Condong, TJHIA KIM SIONG Kecil : 400 m2 Kec. Singkawang Tengah 16 Jl. Kurau No. 19, Kel. Condong, SUKARYADI Kecil : 120 m2 Kec. Singkawang Tengah 17 Jl. Hulu Terminal Bengkayang SUKARYADI Kecil : 80 m2 (Komp. Pertokoan Lt. 1), Kel. Condong, Kec. Singkawang Tengah Komp. Pasar Baru Blok E No. 37, Kel. TJUNG TJIN TJUNG Kecil : 72 m2 18 Pasiran, Kec. Singkawang Barat Komp. Pasar Baru Blok E No. 31, Kel. TJUNG TJIN TJUNG Kecil : 84 m2 19 Pasiran, Kec. Singkawang Barat Komp. Pasar Baru Blok E No. 29, Kel. TJUNG TJIN TJUNG Kecil : 84 m2 20 Pasiran, Kec. Singkawang Barat Komp. Pasar Baru Blok E No. 33, Kel. TJUNG TJIN TJUNG Kecil : 96 m2 21 Pasiran, Kec. Singkawang Barat 22 Jl. Sagatani Norio, Kel. Sijangkung, TJHAI NYIT KHIM Kecil : 637,60 m2 Kec. Singkawang Selatan 23 Jl. Jend. Sudirman RT.013/RW.002 CHIA SUN NYAN Kecil : 288 m2 Kel. Roban Kec. Singkawang Barat 24 Jl. Jend. Sudirman RT.013/RW.002 CHIA SUN NYAN Kecil : 120 m2 Kel. Roban Kec. Singkawang Barat 25 Jl. P. Antasari Gg. Satelit, MARIATY Kecil : 272 m2 Kel. Pasiran Kec. Singkawang Barat 26 Jl. GM. Situt No. 24, Kel. Pasiran MALIANTO Kecil : 48 m2 Kec. Singkawang Barat 27 Jl. Alianyang No. 10, Kel. Pasiran, BUN KUN FO Kecil : 150 m2 Kec. Singkawang Barat 28 Jl. Padang Pasir No. 03, Kel. PasSedau HIRMANTO Kecil : 128 m2 Kec. Singkawang Selatan 29 Jl. Sejahtera No. 62, Kel. Melayu LIU LIUARDI Kecil : 80 m2 Kec. Singkawang Barat 30 Jl. Alianyang Kel. Pasiran, LIU LIUARDI Kecil : 495 m2 Kec. Singkawang Barat 31 Jl. Alianyang Kel. Pasiran, LIU LIUARDI Kecil : 340 m2 Kec. Singkawang Barat 32 Jl. Gunung Senujuh Kel. Pasiran BAKIR RIMBA Kecil : 225 m2 Kec. Singkawang Barat Database Kota Singkawang Tahun 2011| 209
  • 158.
    Perindustrian dan Perdagangan 1 2 3 4 5 33 Jl. Gunung Senujuh Kel. Pasiran BAKIR RIMBA Kecil : 50 m2 Kec. Singkawang Barat 34 Jl. Alianyang Gg. Nalaprana BAKIR RIMBA Kecil : 200 m2 Kel. Pasiran Kec. Singkawang Barat 35 Jl. Gn. Bawang Kel. Pasiran SUCIPTO Kecil : 542,40 m2 Kec. Singkawang Barat 36 Jl. Padang Pasir No. 65 BIE KONG Kecil : 64 m2 Kel. Sedau Kec. Singkawang Selatan 37 Jl. Stasiun No.73, Kel. Pasiran NGALIMIN Kecil : 100 m2 Kec. Singkawang Barat 38 Jl. Niaga No. 173, Kel. Melayu LIE BUI NJAN Kecil : 124 m2 Kec. Singkawang Barat 39 Jl. Niaga No. 117, Kel. Melayu DWI HARTONO Kecil : 48 m2 Kec. Singkawang Barat 40 Jl. Alianyang Gg. Surya Kel. Pasiran, RISA MAS OEN Kecil : 189 m2 Kec. Singkawang Barat 41 Jl. Kurau No.19 Kel. Condong SUKARYADI Kecil : 112 m2 Kec. Singkawang Tengah 42 Jl. Pasar Hulu No.16 E-F Kel. Condong SUKARYADI Kecil : 132 m2 Kec. Singkawang Tengah Sumber Data : Kantor Penanaman Modal dan Pelayanan Terpadu Kota Singkawang Database Kota Singkawang Tahun 2011| 210
  • 159.
    Koperasi, Usaha Mikro,Kecil dan Menengah 16. Koperasi, Usaha Mikro, Kecil dan Menengah Berdasarkan data dari Dinas Perindustrian Perdagangan, Koperasi dan UMKM Kota Singkawang diketahui koperasi dan UMKM merupakan populasi pelaku usaha yang sangat besar. Koperasi yang ada di Kota Singkawang berjumlah 148 unit yang terdiri dari KPN 19 unit, KUD 6 unit, koperasi karyawan 12 unit, koperasi serba usaha 45 unit, koperasi wredatama 1 unit, koperasi tani 19 unit, koperasi TNI/Polri 6 unit dan kopeasi lainnya 40 unit. Dari 148 unit koperasi jumlah anggota mencapai 24.616 orang, jumlah manajer 4 orang, tenaga kerja yang terserap 133 orang. Jumlah modal sendiri seluruh koperasi Rp. 22.031.898.121,- jumlah modal luar Rp. 62.007.533.467,- dengan volume usaha Rp. 63.081.451.651,- serta sisa hasil usaha (SHU) mencapai Rp. 3.440.871.159,- Jumlah usaha mikro, kecil dan menengah di Kota Singkawang mencapai 3.703 unit usaha, volume usaha sebesar Rp. 443.466.810.000,- dengan jumlah tenaga kerja yang diserap mencapai 4.154 orang. Dengan peranan yang begitu besar, keberadaan koperasi dan UKM menjadi bagian penting dalam memperkokoh ekonomi kerakyatan. Dimana keberadaannya sebagai usaha yang padat tenaga kerja ini tidak akan mudah terpengaruh oleh gejolak ekonomi global. Tabel 16.1 Jumlah Koperasi Di Kota Singkawang Berdasarkan Jenis Koperasi Keadaan Tahun 2009 - 2011 No Jenis Koperasi Tahun 2009 Tahun 2010 Tahun 2011 1 KPN 19 19 19 2 KUD 6 6 6 3 Karyawan 11 11 12 4 Serba Usaha 42 44 45 5 WredaTama 1 1 1 6 Tani 16 17 19 7 TNI/Polri 6 6 6 8 Lainnya 40 40 40 Jumlah 141 144 148 Sumber Data : Dinas Perindustrian, Perdagangan, Koperasi dan Usaha Kecil Menengah Kota Singkawang Database Kota Singkawang Tahun 2011 | 211
  • 160.
    Koperasi, Usaha Mikro,Kecil dan Menengah Tabel 16.2 Perkembangan Usaha Koperasi Di Kota Singkawang Keadaan Tahun 2010 - 2011 No. Uraian Tahun 2010 Tahun 2011 1 Jumlah Koperasi 144 148 2 Jumlah Anggota (orang) 19.421 24.616 3 Jumlah Pengurus 406 422 4 Jumlah Pengawas 382 394 5 Jumlah Manager (orang) 4 4 6 Jumlah Tenaga Kerja (orang) 133 133 7 Jumlah Modal Sendiri (Rp.) 12.484.361.729 22.031.898.121 8 Jumlah Modal Luar (Rp.) 7.240.167.393 62.007.533.467 9 Volume Usaha (Rp.) 102.769.078.837 63.081.451.651 10 Sisa Hasil Usaha (Rp.) 1.721.409.932 3.440.871.159 11 Jumlah Koperasi Aktif 56 59 12 Jumlah Koperasi Kurang Aktif 88 89 Sumber Data : Dinas Perindustrian, Perdagangan, Koperasi dan Usaha Kecil Menengah Kota Singkawang Tabel 16.3 Jumlah Usaha Mikro, Kecil dan Menengah Di Kota Singkawang Berdasarkan Kelompok Usaha Keadaan Tahun 2010 - 2011 Tahun 2010 Tahun 2011 No Kelompok Usaha Usaha Usaha Usaha Usaha Usaha Usaha Jumlah Jumlah Mikro Kecil Menengah Mikro Kecil Menengah 1 Perdagangan 1.215 192 40 1.447 1.237 192 40 1.469 2 Industri Pertanian 234 7 1 242 285 7 1 293 3 Industri Non Pertanian 764 109 23 896 771 109 23 903 4 Aneka Usaha 960 65 1 1.026 972 65 1 1.038 Jumlah 3.173 373 25 3.611 3.265 373 25 3.703 Sumber Data : Dinas Perindustrian, Perdagangan, Koperasi dan Usaha Kecil Menengah Kota Singkawang Database Kota Singkawang Tahun 2011 | 212
  • 161.
    Koperasi, Usaha Mikro,Kecil dan Menengah Tabel 16.4 Jumlah Kelompok Usaha Mikro, Kecil dan Menengah Di Kota SIngkawang Berdasarkan Jenis Usaha Keadaan Tahun 2010 - 2011 Tahun 2010 Tahun 2011 No Jenis Usaha Kelompok Usaha Volume Usaha Tenaga Kelompok Usaha Volume Usaha Tenaga Mikro Kecil Menengah Jumlah (Rp.) Kerja Mikro Kecil Menengah Jumlah (Rp.) Kerja 1 Bahan Konstruksi 46 37 27 110 90.770.800.000 493 48 37 27 112 90.872.000.000 501 2 Elektronik 47 15 62 8.060.000.000 134 47 15 62 7.970.000.000 134 3 Sembako 433 38 2 473 34.058.000.000 379 436 38 2 476 34.105.000.000 379 4 BBM 165 12 177 10.022.000.000 83 165 12 - 177 10.022.000.000 83 5 Daging 210 3 213 7.289.000.000 14 220 3 - 223 7.503.000.000 14 6 Pakaian 186 17 203 13.019.000.000 202 189 17 - 206 13.027.000.000 204 7 Sepatu 21 1 22 995.000.000 12 22 1 - 23 1.000.000.000 12 8 Furniture 73 64 3 140 33.676.000.000 299 74 64 3 141 34.176.000.000 301 9 Kosmetik 14 1 15 946.000.000 13 14 1 - 15 826.000.000 13 10 Farmasi 20 4 8 32 25.480.000.000 106 22 4 8 34 23.805.000.000 98 11 Aneka Usaha 905 57 1 963 51.857.600.000 228 915 57 1 973 51.632.600.000 234 12 Acsessoris 43 2 45 1.950.000.000 12 45 2 - 47 2.005.000.000 12 13 Optik 12 6 18 2.505.000.000 12 12 6 - 18 2.505.000.000 12 14 Industri 392 12 2 406 29.993.836.000 911 400 12 2 414 30.724.836.000 924 15 Otomotif 97 19 8 124 33.562.500.000 418 97 19 8 124 33.442.600.000 418 16 Jasa 9 5 9 23 25.510.000.000 112 9 5 9 23 25.510.000.000 112 17 Travel 7 3 1 11 3.959.000.000 38 7 3 1 11 3.959.000.000 38 18 Percetakan 94 30 1 125 20.394.800.000 269 94 30 1 125 20.189.494.000 269 19 Perhiasan Emas 60 35 2 97 29.798.100.000 186 60 35 2 97 29.798.100.000 186 20 Keramik 17 5 22 2.304.800.000 71 16 5 - 21 2.270.800.000 71 21 Peternakan 45 45 2.439.000.000 2 45 - - 45 2.439.000.000 2 22 Perikanan 14 14 480.000.000 2 14 - - 14 480.000.000 2 23 Kerajinan Kayu 29 29 1.636.380.000 47 29 - - 29 1.636.380.000 47 24 Sayuran 203 203 5.565.000.000 243 - - 243 6.739.000.000 25 Pertanian 12 6 1 19 5.294.000.000 64 12 6 1 19 5.294.000.000 64 26 Perkebunan 19 1 20 1.260.000.000 24 30 1 - 31 1.535.000.000 24 J umlah 3.173 373 65 3.611 442.825.816.000 4.131 3.265 373 65 3.703 443.466.810.000 4.154 Sumber Data : Dinas Perindustrian, Perdagangan, Koperasi dan Usaha Kecil Menengah Kota Singkawang Database Kota Singkawang Tahun 2011 | 213
  • 162.
    Pertanian dan KetahananPangan 17. Pertanian dan Ketahanan Pangan Kesejahteraan petani dalam arti luas dapat diukur dengan Nilai Tukar Petani (NTP) yang merupakan salah satu indikator yang menunjukkan tingkat kesejahteraan petani di suatu wilayah.Penghitungan indikator ini didasarkan atas perbandingan antara indeks harga yang diterima petani (IT) dengan indeks harga yang dibayar petani (IB) yang dinyatakan dalam persentase.Namun untuk Kota Singkawang pada tahun 2011 masih belum tersedia data NTP. Walaupun Singkawang merupakan Pemerintahan Kota namun sektor pertanian masih mendominasi kegiatan masyarakatnya. Untuk memberikan bimbingan dan penyuluhan kepada petani pada tahun 2011 terdapat 35 tenaga penyuluh pertanian dengan status 26 PNS/CPNS dan 9 tenaga honor. Tenaga penyuluh perikanan 5 orang, 4 PNS/CPNS dan 1 honor. Tahun 2011 luas sawah di Kota Singkawang 4.082 ha. Sedangkan kelompok tani yang ada di seluruh kecamatan pada tahun 2011 sebanyak 336 kelompok, anggota 9.065 orang serta 30 Gabungan Kelompok Tani (Gapoktan). Produksi pertanian tanaman pangan pada tahun 2011 khususnya padi sawah hanya 21.456 ton dari 6.203 ha luas panen, ini meningkat jika dibanding tahun 2010. Dari 11 jenis sayuran, produksi masing-masing jenis sayuran berfluktuatif ada yang meningkat dan ada juga yang menurun jika dibanding tahun 2010. Jenis sayuran yang meningkat produksinyapada tahun 2011 adalah Sawi 8.899,7 ton, Kacang Panjang 265,2 ton, Cabe Besar 495 ton, Cabe Rawit 214,7 ton, Tomat 97,8 ton, Ketimun 405,0 ton, Kangkung 268,3 ton dan Bayam 207,4 ton. Produksi buah tahun 2011 juga fluktiatif peningkatannya sesuai dengan jenisnya. Namun yang paling menonjol peningkatan produksi buah adalah Mangga mencapai 200,5 ton, dan sebagian besar jenis buah lainnya mengalami penurunan. Untuk tanaman perkebunan dengan 11 jenis tanaman, yang paling dominan adalah tanaman Kelapa dan karet. Pada tahun 2010 produksi kelapa mencapai 1.422 ton, sedangkan karet 4.860 ton. Pengadaan saprodi pada tahun 2011 jika dibanding dengan tahun 2010 kuantitasnya menurun. Untuk tahun 2011 pengadaan pupuk berupa pestisida cair 106 liter. Selama periode 2011 beberapa tanaman diserang Organisme Pengganggu Tumbuhan (OPT). Tanaman yang diserang adalah padidengan luas areal yang diserang mencapai 2.238 ha. Terdapat penurunan tanaman yang terkena serangan dibandingkan Tahun 2010. Database Kota Singkawang Tahun 2011|214
  • 163.
    Pertanian dan KetahananPangan Dengan luas wilayah 50.400 ha, pada tahun 2011 kota Singkawang terdistribusikan atas kawasan hutan lindung 1.828 ha, hutan konservasi 531 ha, hutan produksi 4.598 ha, cagar alam (konservasi) 3.420 ha dan areal penggunaan lain 40.023 ha. Jumlah unggas tahun 2011 4.438.503 ekor meningkat dibanding tahun 2010 yang mencapai 4.337.586ekor. Sedangkan unggas yang dipotong pada tahun 2011 4.460.376 ekor. Untuk hewan ternak jumlah pada tahun 2011 sebanyak 23.171 ekor yang terdiri dari sapi, kambing dan babi. Jumlah hewan ternak yang dipotong dalam periode yang sama20.079 ekor. Ketersediaan kelompok bahan makanan di Kota Singkawang pada tahun 2011 untuk energi nihil, protein nihil , dan lemak nihil. Sedangkan ketersediaan untuk dikonsumsi perkapita/perhari untuk kalorinihil, protein nihil dan lemak nihil. Tabel 17.1 Jumlah Tenaga Penyuluh Di Kota Singkawang Berdasarkan Jenisnya Keadaan Tahun 2009 - 2011 Tahun 2009 Tahun 2010 Tahun 2011 No Tenaga Penyuluh PNS/CPNS Honor Jumlah PNS/CPNS Honor Jumlah PNS/CPNS Honor Jumlah 1 Penyuluh Pertanian 19 22 41 26 4 30 26 9 35 2 Penyuluh Perikanan 2 1 3 4 1 5 4 1 5 3 Penyuluh Kehutanan - - - - - - - - - TOTAL 21 23 44 30 5 35 30 10 40 Sumber Data : Kantor Penyuluh Pertanian, Perikanan, Kehutanan, dan Ketahanan Pangan Kota Singkawang Tabel 17.2 Luas Sawah Di Kota Singkawang Berdasarkan Jenis Pengairan Keadaan Tahun 2009 - 2011 No Jenis Pengairan Tahun 2009 Tahun 2010 Tahun 2011 1 Pengairan Teknis (ha) - - - 2 Pengairan 1/2 Teknis (ha) 31 31 31 3 Pengairan Sederhana (ha) 909 1.024 820 4 Irigasi Desa/Non PU (ha) 78 78 296 5 Lebak/Rawa (ha) 636 88 - 6 Tadah Hujan (ha) 2.589 2.526 2.876 7 Pasang Surut (ha) 81 110 59 Jumlah 4.324 3.857 4.082 Sumber Data : Dinas Pertanian dan Kehutanan Kota Singkawang Database Kota Singkawang Tahun 2011|215
  • 164.
    Pertanian dan KetahananPangan Tabel 17.3 Jumlah Kelompok Tani dan Gapoktan Di Kota Singkawang Berdasarkan BPP dan Kecamatan KeadaanTahun 2009 - 2011 Tahun 2009 Tahun 2010 Tahun 2011 BPP/ No Jumlah Jumlah Jumlah Jumlah Jumlah Jumlah Kecamatan Gapoktan Gapoktan Gapoktan Poktan Anggota Poktan Anggota Poktan Anggota 1 BPP Singkawang Selatan 119 3.841 10 125 3.461 9 125 3.461 9 1. Kec. Singkawang Selatan 101 3.361 8 107 3.004 8 107 3.004 8 2. Kec. Singkawang Barat 18 480 2 18 457 1 18 457 1 2 BPP Singkawang Timur 129 3.272 10 115 3.114 11 116 3.141 11 1. Kec. Singkawang Timur 96 2.580 7 92 2.444 9 92 2.444 9 2. Kec. Singkawang Tengah 33 692 3 23 670 2 24 697 2 3 BPP Singkawang Utara 77 1.649 9 95 2.463 10 95 2.463 10 1. Kec. Singkawang Utara 77 1.649 9 95 2.463 10 95 2.463 10 Total Jumlah 325 8.762 29 335 9.038 30 336 9.065 30 Sumber Data : Kantor Penyuluh Pertanian, Perikanan, Kehutanan, dan Ketahanan Pangan Kota Singkawang Tabel 17.4 Produksi Tanaman Pangan Di Kota Singkawang Berdasarkan Jenis Tanaman Keadaan Tahun 2009 - 2011 Tahun 2009 Tahun 2010 Tahun 2011 Jenis NO Tanaman Luas Luas Rata-Rata Luas Luas Rata-Rata Luas Luas Rata-Rata Produksi Produksi Produksi Pangan Areal Panen Panen Per Tanam Panen Panen Per Ha Tanam Panen Panen Per (Ton) (Ton) (Ton) (Ha) (Ha) Ha (Ton) (Ha) (Ha) (Ton) (Ha) (Ha) Ha (Ton) 1 Padi Sawah 6.294 5.227 17.755 3,39 7.006 6.276 21.410 3,41 5.458 6.203 21.456 34,59 2 Padi Gogo 56 79 146 1,84 56 56 113 2,02 - - - - 3 Jagung 678 547 2.911 5,32 573 478 2.460 5,15 888 503 2.502 49,74 4 Ubi Kayu 102 160 2.048 12,79 39 54 710 13,15 26 23 297 129,05 5 Ubi Jalar 31 26 170 6,54 23 28 182 6,50 13 13 84 64,96 6 Kedelai 1 4 4 1,00 1 1 1 1,00 10 2 2 10,00 Sumber Data : Dinas Pertanian dan Kehutanan Kota Singkawang Database Kota Singkawang Tahun 2011|216
  • 165.
    Pertanian dan KetahananPangan Tabel 17.5 Produksi Ubi Kayu Di Kota Singkawang Berdasarkan Kecamatan Keadaan Per 31 Desember 2011 Luas Tanam Luas Panen Produksi Rata-rata Panen No Kecamatan (Ha) (Ha) (Ton) Per Ha (Ton) 1 Singkawang Barat - - - - 2 Singkawang Tengah - 3 38 127,5 3 Singkawang Utara - 11 141 128,61 4 Singkawang Timur - - - - 5 Singkawang Selatan - 9 117 130,11 Jumlah 2011 - 23 297 129,05 Jumlah 2010 39 54 710 13,15 Jumlah 2009 102 160 2.048 128 Sumber Data : Dinas Pertanian dan Kehutanan Kota Singkawang Tabel 17.6 Produksi Jagung Di Kota Singkawang Berdasarkan Kecamatan Keadaan Per 31 Desember 2011 Luas Tanam Luas Panen Produksi Rata-Rata Panen No Kecamatan (Ha) (Ha) (Ton) Per Ha (Ton) 1 Singkawang Barat - - - - 2 Singkawang Tengah - 9 41 45 3 Singkawang Utara - - - - 4 Singkawang Timur - 383 1.912 49,92 5 Singkawang Selatan - 111 549 49,48 Jumlah 2011 - 503 2.502 49,74 Jumlah 2010 573 478 2.460 5,15 Jumlah 2009 678 547 2.911 5,32 Sumber Data : Dinas Pertanian dan Kehutanan Kota Singkawang Tabel 17.7 Produksi Padi Sawah Di Kota Singkawang Berdasarkan Kecamatan Keadaan Per 31 Desember 2011 Luas Tanam Luas Panen Produksi Rata-Rata Panen No Kecamatan (Ha) (Ha) (Ton) Per Ha (Ton) 1 Singkawang Barat - 456 1.721 37,75 2 Singkawang Tengah - 637 2.148 33,71 3 Singkawang Utara - 2,27 7.465 32,89 4 Singkawang Timur - 1.619 6.093 37,63 5 Singkawang Selatan - 1.221 4.029 33,00 Jumlah 2011 - 6.203 21.456 34,59 Jumlah 2010 7.006 6.276 21.410 3,41 Jumlah 2009 6.294 5.227 17.755 3,39 Sumber Data : Dinas Pertanian dan Kehutanan Kota Singkawang Database Kota Singkawang Tahun 2011|217
  • 166.
    Pertanian dan KetahananPangan Tabel 17.8 Produksi Padi Gogo Di Kota Singkawang Berdasarkan Kecamatan Keadaan Per 31 Desember 2011 Rata-Rata Luas Tanam Luas Panen Produksi No Kecamatan Penen Per Ha (Ha) (Ha) (Ton) (Ton) 1 Singkawang Barat - - - - 2 Singkawang Tengah - - - - 3 Singkawang Utara - - - - 4 Singkawang Timur - - - - 5 Singkawang Selatan - - - - Jumlah 2011 - - - - Jumlah 2010 56 56 113 2,02 Jumlah 2009 56 79 146 1,84 Sumber Data : Dinas Pertanian dan Kehutanan Kota Singkawang Tabel 17.9 Produksi Ubi Jalar Di Kota Singkawang Berdasarkan Kecamatan Keadaan Per 31 Desember 2011 Luas Tanam Luas Panen Produksi Rata-Rata Panen No Kecamatan (Ha) (Ha) (Ton) Per Ha (Ton) 1 Singkawang Barat - - - - 2 Singkawang Tengah - 3 20 65,00 3 Singkawang Utara - 4 26 63,87 4 Singkawang Timur - - - - 5 Singkawang Selatan - 6 39 65,67 Jumlah 2011 - 13 85 64,96 Jumlah 2010 23 28 182 6,50 Jumlah 2009 31 26 170 6,54 Sumber Data : Dinas Pertanian dan Kehutanan Kota Singkawang Tabel 17.10 Produksi Kacang Kedelai Di Kota Singkawang Berdasarkan Kecamatan Keadaan Per 31 Desember 2011 Luas Tanam Luas Panen Produksi Rata-Rata Panen No Kecamatan (Ha) (Ha) (Ton) Per Ha (Ton) 1 Singkawang Barat - - - - 2 Singkawang Tengah - - - - 3 Singkawang Utara - - - - 4 Singkawang Timur - - - - 5 Singkawang Selatan - 2 2 10,00 Jumlah 2011 - 2 2 10,00 Jumlah 2010 1 1 1 1 Jumlah 2009 1 4 4 1 Sumber Data : Dinas Pertanian dan Kehutanan Kota Singkawang Database Kota Singkawang Tahun 2011|218
  • 167.
    Pertanian dan KetahananPangan Tabel 17.11 Produksi Sayur-Sayuran Di Kota Singkawang Berdasarkan Jenis Tanaman Keadaan Tahun 2009 - 2011 Tahun 2009 Tahun 2010 Tahun 2011 NO Jenis Sayuran Luas Luas Rata-Rata Luas Luas Rata-Rata Luas Luas Rata-Rata Produksi Produksi Produksi Areal Panen Panen Per Ha Tanam Panen Panen Per Ha Tanam Panen Panen Per Ha (Ton) (Ton) (Ton) (Ha) (Ha) (Ton) (Ha) (Ha) (Ton) (Ha) (Ha) (Ton) 1 Sawi 444 423 748,6 1,76 527 523 376,1 0,72 559 544 8899,7 16,36 2 Lobak 51 52 377,2 7,25 37 38 250,9 6,60 47 32 182,1 5,69 3 Kacang panjang 160 213 1.099,6 8,59 82 101 124,1 1,23 145 92 265,2 2,88 4 Cabe besar 55 63 289 4,58 31 39 27,6 0,71 49 24 495 20,63 5 Cabe rawit 24 19 127,1 6,68 15 18 22 1,22 126 77 214,7 2,79 6 Tomat 4 5 40,6 8,12 18 15 84,5 5,63 23 23 97,8 4,25 7 Terung 43 58 366,7 6,32 32 45 77 1,71 51 23 54,5 2,37 8 Ketimun 136 160 1.012,6 6,32 78 95 177,2 1,87 124 96 405,0 4,22 9 Labu siam 4 4 120,5 30,12 1 1 0,4 0,40 3 4 6,3 1,58 10 Kangkung 50 56 236,2 4,21 43 43 31 0,72 60 56 268,3 4,79 11 Bayam 44 45 165,2 3,67 55 55 24,4 0,44 61 61 207,4 3,40 Sumber Data : Dinas Pertanian dan Kehutanan Kota Singkawang Database Kota Singkawang Tahun 2011|219
  • 168.
    Pertanian dan KetahananPangan Tabel 17.12 Produksi Sawi Di Kota Singkawang Berdasarkan Kecamatan Keadaan Per 31 Desember 2011 Luas Tanam Luas Panen Produksi Rata-Rata Panen No Kecamatan (Ha) (Ha) (Ton) Per Ha (Ton) 1 Singkawang Barat 12 12 25,2 2,1 2 Singkawang Tengah 508 509 8747,5 17,19 3 Singkawang Utara - - - - 4 Singkawang Timur - - - - 5 Singkawang Selatan 39 23 127 5,52 Jumlah 2011 559 544 8.899,70 16,36 Jumlah 2010 527 523 376,1 0,70 Jumlah 2009 444 423 748,8 13,19 Sumber Data : Dinas Pertanian dan Kehutanan Kota Singkawang Tabel 17.13 Produksi Lobak Di Kota Singkawang Berdasarkan Kecamatan Keadaan Per 31 Desember 2011 Luas Luas Panen Produksi Rata-Rata Panen No Kecamatan Tanam (Ha) (Ha) (Ton) Per Ha (Ton) 1 Singkawang Barat - - - - 2 Singkawang Tengah - 3 45 15 3 Singkawang Utara - - - - 4 Singkawang Timur - - - - 5 Singkawang Selatan 47 29 137,1 4,73 Jumlah 2011 47 32 182,1 5,69 Jumlah 2010 37 38 250,9 6,60 Jumlah 2009 51 52 377,2 7,25 Sumber Data : Dinas Pertanian dan Kehutanan Kota Singkawang Tabel 17.14 Produksi Kacang Panjang Di Kota Singkawang Berdasarkan Kecamatan Keadaan Per 31 Desember 2011 Luas Tanam Luas Panen Produksi Rata-Rata Panen No Kecamatan (Ha) (Ha) (Ton) Per Ha (Ton) 1 Singkawang Barat 12 12 33,3 2,78 2 Singkawang Tengah 9 11 5,3 0,48 3 Singkawang Utara 9 8 36,6 4,58 4 Singkawang Timur 18 18 46 2,56 5 Singkawang Selatan 97 43 144 3,35 Jumlah 2011 145 92 265,2 2,88 Jumlah 2010 82 101 124,1 1,23 Jumlah 2009 160 213 1.099,60 8,59 Sumber Data : Dinas Pertanian dan Kehutanan Kota Singkawang Database Kota Singkawang Tahun 2011|220
  • 169.
    Pertanian dan KetahananPangan Tabel 17.15 Produksi Cabe Besar Di Kota Singkawang Berdasarkan Kecamatan Keadaan Per 31 Desember 2011 Luas Tanam Luas Panen Produksi Rata-Rata Panen No Kecamatan (Ha) (Ha) (Ton) Per Ha (Ton) 1 Singkawang Barat - - - - 2 Singkawang Tengah 4 6 35 5,83 3 Singkawang Utara 3 4 148 37 4 Singkawang Timur 1 4 50 12,5 5 Singkawang Selatan 41 10 262 26,2 Jumlah 2011 49 24 495 20,63 Jumlah 2010 31 39 27,6 0,71 Jumlah 2009 55 63 289 4,58 Sumber Data : Dinas Pertanian dan Kehutanan Kota Singkawang Tabel 17.16 Produksi Cabe Rawit Di Kota Singkawang Berdasarkan Kecamatan Keadaan Per 31 Desember 2011 Luas Tanam Luas Panen Produksi Rata-Rata Panen No Kecamatan (Ha) (Ha) (Ton) Per Ha (Ton) 1 Singkawang Barat 4 3 15,5 5,17 2 Singkawang Tengah 3 6 9,7 1,62 3 Singkawang Utara 2 2 7 3,5 4 Singkawang Timur 9 11 9 0,82 5 Singkawang Selatan 108 55 173,5 3,15 Jumlah 2011 126 77 214,7 2,79 Jumlah 2010 15 18 22 1,22 Jumlah 2009 24 19 127,1 6,68 Sumber Data : Dinas Pertanian dan Kehutanan Kota Singkawang Tabel 17.17 Produksi Tomat Di Kota Singkawang Berdasarkan Kecamatan Keadaan Per 31 Desember 2011 Luas Tanam Luas Panen Produksi Rata-Rata Panen No Kecamatan (Ha) (Ha) (Ton) Per Ha (Ton) 1 Singkawang Barat 2 2 1,8 0,9 2 Singkawang Tengah - - - - 3 Singkawang Utara - - - - 4 Singkawang Timur - - - - 5 Singkawang Selatan 21 21 96 4,57 Jumlah 2011 23 23 97,8 4,25 Jumlah 2010 18 15 84,5 5,63 Jumlah 2009 4 5 40,6 8,12 Sumber Data : Dinas Pertanian dan Kehutanan Kota Singkawang Database Kota Singkawang Tahun 2011|221
  • 170.
    Pertanian dan KetahananPangan Tabel 17.18 Produksi Terung Di Kota Singkawang Berdasarkan Kecamatan Keadaan Per 31 Desember 2011 Luas Tanam Luas Panen Produksi Rata-Rata Panen No Kecamatan (Ha) (Ha) (Ton) Per Ha (Ton) 1 Singkawang Barat - - - - 2 Singkawang Tengah 1 3 2,5 0,83 3 Singkawang Utara 2 0 0 0 4 Singkawang Timur 3 2 6,5 3,25 5 Singkawang Selatan 45 18 45,5 2,53 Jumlah 2011 51 23 54,5 2,37 Jumlah 2010 32 45 77 1,71 Jumlah 2009 43 58 366,7 6,32 Sumber Data : Dinas Pertanian dan Kehutanan Kota Singkawang Tabel 17.19 Produksi Ketimun Di Kota Singkawang Berdasarkan Kecamatan Keadaan Per 31 Desember 2011 Luas Tanam Luas Panen Produksi Rata-Rata Panen No Kecamatan (Ha) (Ha) (Ton) Per Ha (Ton) 1 Singkawang Barat 12 12 42,3 3,53 2 Singkawang Tengah 6 8 51,5 6,44 3 Singkawang Utara 12 12 75,2 6,27 4 Singkawang Timur 26 24 58,5 2,44 5 Singkawang Selatan 68 40 177,5 4,44 Jumlah 2011 124 96 405 4,22 Jumlah 2010 78 95 177,2 1,87 Jumlah 2009 136 160 1.012,60 6,32 Sumber Data : Dinas Pertanian dan Kehutanan Kota Singkawang Tabel 17.20 Produksi Labu Siam Di Kota Singkawang Berdasarkan Kecamatan Keadaan Per 31 Desember 2011 Luas Tanam Luas Panen Produksi Rata-Rata Panen No Kecamatan (Ha) (Ha) (Ton) Per Ha (Ton) 1 Singkawang Barat - - - - 2 Singkawang Tengah - - - - 3 Singkawang Utara 3 4 6,3 1,58 4 Singkawang Timur - - - - 5 Singkawang Selatan - - - - Jumlah 2011 3 4 6,3 1,58 Jumlah 2010 1 1 0,4 0,40 Jumlah 2009 4 4 120,5 30,12 Sumber Data : Dinas Pertanian dan Kehutanan Kota Singkawang Database Kota Singkawang Tahun 2011|222
  • 171.
    Pertanian dan KetahananPangan Tabel 17.21 Produksi Kangkung Di Kota Singkawang Berdasarkan Kecamatan Keadaan Per 31 Desember 2011 Luas Tanam Luas Panen Produksi Rata-Rata Panen No Kecamatan (Ha) (Ha) (Ton) Per Ha (Ton) 1 Singkawang Barat 12 12 2,4 0,2 2 Singkawang Tengah 32 31 240,5 7,76 3 Singkawang Utara - - - - 4 Singkawang Timur - - - - 5 Singkawang Selatan 16 13 25,4 1,95 Jumlah 2011 60 56 268,3 4,79 Jumlah 2010 43 43 31 0,72 Jumlah 2009 50 56 236,2 4,21 Sumber Data : Dinas Pertanian dan Kehutanan Kota Singkawang Tabel 17.22 Produksi Bayam Di Kota Singkawang Berdasarkan Kecamatan Keadaan Per 31 Desember 2011 Luas Tanam Luas Panen Produksi Rata-Rata Panen No Kecamatan (Ha) (Ha) (Ton) Per Ha (Ton) 1 Singkawang Barat 12 12 2,1 0,18 2 Singkawang Tengah 32 32 189 5,91 3 Singkawang Utara - - - - 4 Singkawang Timur - - - - 5 Singkawang Selatan 17 17 16,3 0,96 Jumlah 2011 61 61 207,4 3,4 Jumlah 2010 55 55 24,4 0,44 Jumlah 2009 44 45 165,2 3,67 Sumber Data : Dinas Pertanian dan Kehutanan Kota Singkawang Database Kota Singkawang Tahun 2011|223
  • 172.
    Pertanian dan KetahananPangan Tabel 17.23 Produksi Buah-Buahan Di Kota Singkawang Berdasarkan Jenis Tanaman Keadaan Tahun 2009 - 2011 Tahun 2009 Tahun 2010 Tahun 2011 NO Jenis Buah-Buahan Luas Luas Rata-Rata Luas Luas Rata-Rata Luas Luas Rata-Rata Produksi Produksi Produksi Tanam Panen Panen Per Ha Tanam Panen Panen Per Ha Tanam Panen Panen Per Ha (Ton) (Ton) (Ton) (Ha) (Ha) (Ton) (Ha) (Ha) (Ton) (Ha) (Ha) (Ton) 1 Alpukat 30,2 16,6 84,1 4,23 28 11,2 113 10,09 19,93 9,8 30,5 3,11 2 Belimbing 1,9 0,9 11,2 12,44 1,7 1,2 19 15,83 1,64 2,6 10,4 4,00 3 Duku/langsat 138,2 29,48 194 6,58 136 17,6 87 4,94 123 34,8 222,2 6,39 4 Durian 520,45 93,6 1.311,5 14,01 520,2 66,8 68 1,02 16,85 214,9 607,0 2,82 5 Jambu biji 2,5 1,2 10 8,33 2,5 1,8 23 12,78 2,51 1,6 13 8,13 6 Jambu air 17,85 7,75 64,1 8,27 18,1 8,8 45 5,11 18 6,6 10,9 1,65 7 Jeruk siam 285,78 147,64 3.065,4 20,76 279,8 130,2 1.741 13,37 284,96 212,4 3.350,7 15,78 8 Jeruk besar (bali) 2,8 1,05 42,1 40,10 2,3 1,1 34 30,91 2,28 1 25,3 25,30 9 Mangga 29,35 10,03 194,8 19,42 31,6 15,4 81 5,26 32,19 13,3 200,5 15,08 10 Manggis 35,4 2 8,2 4,10 35,5 0,2 1 5,00 35,38 1,4 4,5 3,21 11 Nangka/cempedak 46,1 30,2 320,6 10,62 45 31 137 4,42 41,68 18,8 87,4 4,65 12 Nanas 203,346 72,933 18.728,3 256,79 211,3 142 24.620 173,38 180,19 142 29.841,1 210,15 13 Pepaya 1,46 1,03 70,5 68,45 1,4 0,9 30 33,33 1,03 0,7 31 44,29 14 Pisang 112,64 51,64 7.529,4 145,81 137,4 34 844 24,82 118,25 58,1 2.869,8 49,39 15 Rambutan 392,1 296,7 3.076 10,37 385,7 12,3 35 2,85 375,62 108,7 240,4 2,21 16 Sawo 14,5 3,4 27,3 8,03 13,9 3,6 26 7,22 13,52 3,1 17,2 5,55 17 Sirsak 3,9 0,74 9,6 12,97 3,6 1 9 9,00 3,38 0,7 7,4 10,57 18 Sukun 7,9 3,37 33,7 10,00 8 4,6 26 5,65 7,9 3,7 13,9 3,76 19 Melinjo 2 0,85 19,2 22,59 3,5 2 21 10,50 3,28 1,7 19,6 11,53 20 Petai 60,8 9,8 54,7 5,58 60 18,3 45 2,46 58,82 1,3 5,5 4,23 Sumber Data : Dinas Pertanian dan Kehutanan Kota Singkawang Database Kota Singkawang Tahun 2011|224
  • 173.
    Pertanian dan KetahananPangan Tabel 17.24 Produksi Alpokat Di Kota Singkawang Berdasarkan Kecamatan Keadaan Per 31 Desember 2011 Luas Tanam Luas Panen Produksi Rata-Rata Panen No Kecamatan (Ha) (Ha) (Ton) Per Ha (Ton) 1 Singkawang Selatan 16,6 9,6 29,5 3,07 2 Singkawang Timur 3,1 - - - 3 Singkawang Utara - - - - 4 Singkawang Barat - - - - 5 Singkawang Tengah 0,2 0,2 1,0 5,00 Jumlah 2011 19,93 9,8 30,5 3,11 Jumlah 2010 28,2 11,2 113 10,09 Jumlah 2009 30,2 16,6 84,1 4,06 Sumber Data : Dinas Pertanian dan Kehutanan Kota Singkawang Tabel 17.25 Produksi Belimbing Di Kota Singkawang Berdasarkan Kecamatan Keadaan Per 31 Desember 2011 Luas Tanam Luas Panen Produksi Rata-Rata Panen No Kecamatan (Ha) (Ha) (Ton) Per Ha (Ton) 1 Singkawang Selatan 0,5 0,1 1,9 19,00 2 Singkawang Timur 0,3 2,0 2,3 1,15 3 Singkawang Utara 0,3 0,1 1,5 15,00 4 Singkawang Barat - - - - 5 Singkawang Tengah 0,5 0,4 4,7 11,75 Jumlah 2011 1,64 2,6 10,4 4,00 Jumlah 2010 1,8 1,3 18,6 14,31 Jumlah 2009 1,9 0,9 11,2 12,44 Sumber Data : Dinas Pertanian dan Kehutanan Kota Singkawang Tabel 17.26 Produksi Duku/Langsat Di Kota Singkawang Berdasarkan Kecamatan Keadaan Per 31 Desember 2011 Luas Tanam Luas Panen Produksi Rata-Rata Panen No Kecamatan (Ha) (Ha) (Ton) Per Ha (Ton) 1 Singkawang Selatan 19,1 14,4 70,5 4,90 2 Singkawang Timur 103,3 20,0 150,0 7,50 3 Singkawang Utara 0,1 - - - 4 Singkawang Barat - - - - 5 Singkawang Tengah 0,5 0,4 1,7 4,25 Jumlah 2011 123 34,8 222,2 6,39 Jumlah 2010 136 17,6 86,9 4,94 Jumlah 2009 138,2 29,48 194 6,58 Sumber Data : Dinas Pertanian dan Kehutanan Kota Singkawang Database Kota Singkawang Tahun 2011|225
  • 174.
    Pertanian dan KetahananPangan Tabel 17.27 Produksi Durian Di Kota Singkawang Berdasarkan Kecamatan Keadaan Per 31 Desember 2011 Luas Tanam Luas Panen Produksi Rata-Rata Panen No Kecamatan (Ha) (Ha) (Ton) Per Ha (Ton) 1 Singkawang Selatan 101,0 91,9 449,0 4,89 2 Singkawang Timur 402,0 121,8 145,0 1,19 3 Singkawang Utara 12,3 - - 4 Singkawang Barat - - - - 5 Singkawang Tengah 1,6 1,2 13,0 10,83 Jumlah 2011 16,85 214,9 607,0 2,82 Jumlah 2010 520,3 66,9 67,6 1,01 Jumlah 2009 520,45 93,6 1.311,5 14,01 Sumber Data : Dinas Pertanian dan Kehutanan Kota Singkawang Tabel 17.28 Produksi Jambu Biji Di Kota Singkawang Berdasarkan Kecamatan Keadaan Per 31 Desember 2011 Luas Tanam Luas Panen Produksi Rata-Rata Panen No Kecamatan (Ha) (Ha) (Ton) Per Ha (Ton) 1 Singkawang Selatan 0,0 0,04 0,5 12,5 2 Singkawang Timur 1,1 0,7 5,1 7,28 3 Singkawang Utara 0,3 0,1 2,0 20 4 Singkawang Barat 0,3 0,1 0,4 4 5 Singkawang Tengah 0,8 0,7 5,0 7,14 Jumlah 2011 2,51 1,6 13,0 8,13 Jumlah 2010 2,5 1,8 22,6 12,56 Jumlah 2009 2,5 1,2 10 8,33 Sumber Data : Dinas Pertanian dan Kehutanan Kota Singkawang Tabel 17.29 Produksi Jambu Air Di Kota Singkawang Berdasarkan Kecamatan Keadaan Per 31 Desember 2011 Luas Tanam Luas Panen Produksi Rata-Rata Panen No Kecamatan (Ha) (Ha) (Ton) Per Ha (Ton) 1 Singkawang Selatan 2,6 0,5 1,7 3,4 2 Singkawang Timur 2,8 2,1 4,0 1,9 3 Singkawang Utara 1,4 0,3 2,1 7,0 4 Singkawang Barat 8,3 0,8 0,5 0,62 5 Singkawang Tengah 3,0 3,0 2,6 0,87 Jumlah 2011 18 6,6 10,9 1,65 Jumlah 2010 18,2 8,9 44,7 5,02 Jumlah 2009 17,85 7,75 64,1 8,27 Sumber Data : Dinas Pertanian dan Kehutanan Kota Singkawang Database Kota Singkawang Tahun 2011|226
  • 175.
    Pertanian dan KetahananPangan Tabel 17.30 Produksi Jeruk Siam Di Kota Singkawang Berdasarkan Kecamatan Keadaan Per 31 Desember 2011 Luas Tanam Luas Panen Produksi Rata-Rata Panen No Kecamatan (Ha) (Ha) (Ton) Per Ha (Ton) 1 Singkawang Selatan 28,4 23,5 409,2 17,4 2 Singkawang Timur 2,0 1,8 23,7 13,2 3 Singkawang Utara 252,8 185,5 2.880,4 15,5 4 Singkawang Barat 0,1 0,1 2,2 22 5 Singkawang Tengah 1,6 1,6 35,2 22 Jumlah 2011 284,96 212,4 3.350,7 15,78 Jumlah 2010 279,8 130,1 1741 13,38 Jumlah 2009 285,78 147,64 3.065,4 20,76 Sumber Data : Dinas Pertanian dan Kehutanan Kota Singkawang Tabel 17.31 Produksi Jeruk Besar (Bali) Di Kota Singkawang Berdasarkan Kecamatan Keadaan Per 31 Desember 2011 Luas Tanam Luas Panen Produksi Rata-Rata Panen No Kecamatan (Ha) (Ha) (Ton) Per Ha (Ton) 1 Singkawang Selatan 0,9 0,1 0,8 8 2 Singkawang Timur 0,3 0,2 4,3 21,5 3 Singkawang Utara 0,2 0,1 1,8 18 4 Singkawang Barat - - - - 5 Singkawang Tengah 0,8 0,7 18,4 26,3 Jumlah 2011 2,28 1,0 25,3 25,30 Jumlah 2010 2,4 1,2 33,8 28,17 Jumlah 2009 2,3 1,05 42,1 40,09 Sumber Data : Dinas Pertanian dan Kehutanan Kota Singkawang Tabel 17.32 Produksi Mangga Di Kota Singkawang Berdasarkan Kecamatan Keadaan Per 31 Desember 2011 Luas Tanam Luas Panen Produksi Rata-Rata Panen No Kecamatan (Ha) (Ha) (Ton) Per Ha (Ton) 1 Singkawang Selatan 9,5 6,5 101,4 15,6 2 Singkawang Timur 9,5 3,3 29,2 8,8 3 Singkawang Utara 1,6 0,4 3,4 8,5 4 Singkawang Barat 1,8 0,6 4,3 7,17 5 Singkawang Tengah 9,9 2,5 62,2 24,9 Jumlah 2011 32,19 13,3 200,5 15,08 Jumlah 2010 31,6 15,5 81 5,23 Jumlah 2009 29,35 10,03 194,8 19,42 Sumber Data : Dinas Pertanian dan Kehutanan Kota Singkawang Database Kota Singkawang Tahun 2011|227
  • 176.
    Pertanian dan KetahananPangan Tabel 17.33 Produksi Manggis Di Kota Singkawang Berdasarkan Kecamatan Keadaan Per 31 Desember 2011 Luas Tanam Luas Panen Produksi Rata-Rata Panen No Kecamatan (Ha) (Ha) (Ton) Per Ha (Ton) 1 Singkawang Selatan 2,1 1,2 2,2 1,83 2 Singkawang Timur 32,7 - - - 3 Singkawang Utara 0,4 - 0,3 - 4 Singkawang Barat - - - - 5 Singkawang Tengah 0,3 0,3 2,0 6,67 Jumlah 2011 35,38 1,4 4,5 3,21 Jumlah 2010 35,6 0,2 0,6 3,00 Jumlah 2009 35,4 2 8,2 4,10 Sumber Data : Dinas Pertanian dan Kehutanan Kota Singkawang Tabel 17.34 Produksi Nangka/Cempedak Di Kota Singkawang Berdasarkan Kecamatan Keadaan Per 31 Desember 2011 Luas Tanam Luas Panen Produksi Rata-Rata Panen No Kecamatan (Ha) (Ha) (Ton) Per Ha (Ton) 1 Singkawang Selatan 13,1 4,9 38,1 7,77 2 Singkawang Timur 22,4 10,2 40,0 3,92 3 Singkawang Utara 1,7 0,5 4,2 8,4 4 Singkawang Barat 0,6 0,2 1,1 5,5 5 Singkawang Tengah 3,9 3,0 4,0 1,33 Jumlah 2011 41,68 18,8 87,4 4,65 Jumlah 2010 137,2 29,07 137,2 4,72 Jumlah 2009 46,1 30,2 320,6 10,62 Sumber Data : Dinas Pertanian dan Kehutanan Kota Singkawang Tabel 17.35 Produksi Nanas Di Kota Singkawang Berdasarkan Kecamatan Keadaan Per 31 Desember 2011 Luas Tanam Luas Panen Produksi Rata-Rata Panen No Kecamatan (Ha) (Ha) (Ton) Per Ha (Ton) 1 Singkawang Selatan - 0,04 7,0 175 2 Singkawang Timur - - - - 3 Singkawang Utara 180,1 142,0 29.831,2 210,08 4 Singkawang Barat - - - - 5 Singkawang Tengah - 0,01 2,9 290 Jumlah 2011 180,19 142,0 29.841,1 210,15 Jumlah 2010 211,067 142,047 24620,3 173,33 Jumlah 2009 203,346 72,933 18.728,3 256,79 Sumber Data : Dinas Pertanian dan Kehutanan Kota Singkawang Database Kota Singkawang Tahun 2011|228
  • 177.
    Pertanian dan KetahananPangan Tabel 17.36 Produksi Pepaya Di Kota Singkawang Berdasarkan Kecamatan Keadaan Per 31 Desember 2011 Luas Tanam Luas Panen Produksi Rata-Rata Panen No Kecamatan (Ha) (Ha) (Ton) Per Ha (Ton) 1 Singkawang Selatan 0,4 0,2 7,4 37 2 Singkawang Timur 0,2 0,1 4,5 45 3 Singkawang Utara 0,1 0,05 3,4 68 4 Singkawang Barat - - - - 5 Singkawang Tengah 0,4 0,4 15,7 39,25 Jumlah 2011 1,03 0,7 31,0 44,29 Jumlah 2010 1,4 1,04 30,4 29,23 Jumlah 2009 1,46 1,03 70,5 68,44 Sumber Data : Dinas Pertanian dan Kehutanan Kota Singkawang Tabel 17.37 Produksi Pisang Di Kota Singkawang Berdasarkan Kecamatan Keadaan Per 31 Desember 2011 Luas Luas Panen Produksi Rata-Rata Panen No Kecamatan Tanam (Ha) (Ha) (Ton) Per Ha (Ton) 1 Singkawang Selatan 18,5 8,4 214,9 25,58 2 Singkawang Timur 10,8 4,0 179,0 44,75 3 Singkawang Utara 88,2 45,2 2.450,7 54,22 4 Singkawang Barat 0,2 0,03 1,6 53,33 5 Singkawang Tengah 0,5 0,5 23,6 47,2 Jumlah 2011 118,25 58,1 2.869,8 49,39 Jumlah 2010 137,3 33,94 843,6 24,86 Jumlah 2009 - - - - Sumber Data : Dinas Pertanian dan Kehutanan Kota Singkawang Tabel 17.38 Produksi Rambutan Di Kota Singkawang Berdasarkan Kecamatan Keadaan Per 31 Desember 2011 Luas Tanam Luas Panen Produksi Rata-Rata Panen No Kecamatan (Ha) (Ha) (Ton) Per Ha (Ton) 1 Singkawang Selatan 89,5 81,7 143,2 1,75 2 Singkawang Timur 9,5 5,0 23,5 4,7 3 Singkawang Utara 270,5 15,4 63,8 4,14 4 Singkawang Barat 0,3 2,0 2,7 1,35 5 Singkawang Tengah 5,8 4,6 7,2 1,56 Jumlah 2011 375,62 108,7 240,4 2,21 Jumlah 2010 385,7 12,5 8 0,64 Jumlah 2009 392,1 296,7 3.076 10,37 Sumber Data : Dinas Pertanian dan Kehutanan Kota Singkawang Database Kota Singkawang Tahun 2011|229
  • 178.
    Pertanian dan KetahananPangan Tabel 17.39 Produksi Sawo Di Kota Singkawang Berdasarkan Kecamatan Keadaan Per 31 Desember 2011 Luas Tanam Luas Panen Produksi Rata-Rata Panen No Kecamatan (Ha) (Ha) (Ton) Per Ha (Ton) 1 Singkawang Selatan 1,1 0,6 2,4 4,00 2 Singkawang Timur 0,7 0,5 2,3 4,60 3 Singkawang Utara 8,5 0,9 4,4 4,89 4 Singkawang Barat 2,0 0,1 - - 5 Singkawang Tengah 1,3 1,0 8,1 8,1 Jumlah 2011 13,52 3,1 17,2 5,55 Jumlah 2010 14 3,7 25,8 6,97 Jumlah 2009 14,5 3,4 27,3 8,03 Sumber Data : Dinas Pertanian dan Kehutanan Kota Singkawang Tabel 17.40 Produksi Sirsak Di Kota Singkawang Berdasarkan Kecamatan Keadaan Per 31 Desember 2011 Luas Tanam Luas Panen Produksi Rata-Rata Panen No Kecamatan (Ha) (Ha) (Ton) Per Ha (Ton) 1 Singkawang Selatan 0,4 0,03 0,2 6,67 2 Singkawang Timur 0,7 0,2 1,5 7,5 3 Singkawang Utara 0,3 0,1 1,4 14 4 Singkawang Barat - - - - 5 Singkawang Tengah 2,0 0,3 4,3 14,3 Jumlah 2011 3,38 0,7 7,4 10,57 Jumlah 2010 3,6 0,91 9 9,89 Jumlah 2009 3,9 0,74 9,6 12,97 Sumber Data : Dinas Pertanian dan Kehutanan Kota Singkawang Tabel 17.41 Produksi Sukun Di Kota Singkawang Berdasarkan Kecamatan Keadaan Per 31 Desember 2011 Luas Tanam Luas Panen Produksi Rata-Rata Panen No Kecamatan (Ha) (Ha) (Ton) Per Ha (Ton) 1 Singkawang Selatan 3,9 1,0 6,8 6,80 2 Singkawang Timur 1,5 1,0 2,0 2,00 3 Singkawang Utara 0,9 0,5 1,9 3,80 4 Singkawang Barat 0,4 0,2 0,2 1,00 5 Singkawang Tengah 1,2 1,1 3,0 2,72 Jumlah 2011 7,9 3,7 13,9 3,76 Jumlah 2010 8 4,72 25,7 5,44 Jumlah 2009 7,9 3,37 33,7 10,00 Sumber Data : Dinas Pertanian dan Kehutanan Kota Singkawang Database Kota Singkawang Tahun 2011|230
  • 179.
    Pertanian dan KetahananPangan Tabel 17.42 Produksi Melinjo Di Kota Singkawang Berdasarkan Kecamatan Keadaan Per 31 Desember 2011 Luas Tanam Luas Panen Produksi Rata-Rata Panen No Kecamatan (Ha) (Ha) (Ton) Per Ha (Ton) 1 Singkawang Selatan 0,6 0,3 3,0 10,0 2 Singkawang Timur 0,9 0,4 4,7 11,75 3 Singkawang Utara 0,2 0,1 0,8 8,00 4 Singkawang Barat - - - - 5 Singkawang Tengah 1,6 1,0 11,1 11,1 Jumlah 2011 3,28 1,7 19,6 11,53 Jumlah 2010 3,5 2,07 21,3 10,29 Jumlah 2009 2 0,85 19,2 22,59 Sumber Data : Dinas Pertanian dan Kehutanan Kota Singkawang Tabel 17.43 Produksi Petai Di Kota Singkawang Berdasarkan Kecamatan Keadaan Per 31 Desember 2011 Luas Tanam Luas Panen Produksi Rata-Rata Panen No Kecamatan (Ha) (Ha) (Ton) Per Ha (Ton) 1 Singkawang Selatan 4,2 1,0 4,1 4,1 2 Singkawang Timur 52,3 10,0 60,0 6,0 3 Singkawang Utara 1,2 0,1 0,5 5,0 4 Singkawang Barat - - - - 5 Singkawang Tengah 1,1 1,0 13,4 13,4 Jumlah 2011 58,82 12,1 78,0 6,45 Jumlah 2010 59,9 18,3 44,7 2,44 Jumlah 2009 60,8 9,8 54,7 5,58 Sumber Data : Dinas Pertanian dan Kehutanan Kota Singkawang Tabel 17.44 Produksi Jengkol Di Kota Singkawang Berdasarkan Kecamatan Keadaan Per 31 Desember 2011 Luas Tanam Luas Panen Produksi Rata-Rata Panen No Kecamatan (Ha) (Ha) (Ton) Per Ha (Ton) 1 Singkawang Selatan - - - - 2 Singkawang Timur 4,2 1,0 4,0 4,0 3 Singkawang Utara - 0,1 0,4 4,0 4 Singkawang Barat - - - - 5 Singkawang Tengah 0,2 0,2 1,1 5,5 Jumlah 2011 4,40 1,3 5,5 4,23 Jumlah 2010 4,6 1,1 3,2 2,91 Sumber Data : Dinas Pertanian dan Kehutanan Kota Singkawang Database Kota Singkawang Tahun 2011|231
  • 180.
    Pertanian dan KetahananPangan Tabel 17.45 Produksi Perkebunan Di Kota Singkawang Berdasarkan Jenis Tanaman Keadaan Tahun 2009 - 2011 Tahun 2009 Tahun 2010 Tahun 2011 Jenis Buah- NO Luas Rata-Rata Luas Luas Rata-Rata Buahan Luas Areal Produksi Luas Areal Produksi Rata-Rata Panen Luas Areal Produksi Panen Panen Per Ha Panen Panen Panen Per Ha (Ha) (Ton) (Ha) (Ton) Per Ha (Ton) (Ha) (Ton) (Ha) (Ton) (Ha) (Ha) (Ton) 1 Kelapa 2.695 1.598 1.399 0,88 2.697 1.598 1.405 0,88 2.721 1.615 1.422 880 2 Kelapa Hibrida 42 17 11 0,65 40 17 12 0,71 40 17 14 824 3 Kemiri 88 45 33 0,73 0 0 0 0 - - - - 4 Coklat/Cocoa 435 336 83 0,25 438 315 190 0,60 434 193 136 705 5 Pinang 39 6 4 0,67 39 6 4 0,67 39 6 5 833 6 Karet 10.270 6.202 4.846 0,78 10.270 6.202 4.850 0,78 10.474 6.326 4.860 768 7 Cengkeh 7 5 1 0,20 8 5 1 0,20 8 5 1 200 8 Lada 77 55 68 1,24 77 55 68 1,24 77 54 60 1.111 9 Kopi 22 13 17 1,31 22 13 18 1,38 22 13 15 1.154 10 Kelapa sawit 2.369 756 201 0,27 5.953 1.677 2.345 1,40 5.953 1.877 1.925 1.026 11 Tebu 5 5 5 0,20 5 3 1 0,33 5 5 2 400 Sumber Data : Dinas Pertanian dan Kehutanan Kota Singkawang Database Kota Singkawang Tahun 2011|232
  • 181.
    Pertanian dan KetahananPangan Tabel 17.46 Produksi Kelapa Di Kota Singkawang Berdasarkan Kecamatan Keadaan Per 31 Desember 2011 Belum Tua / Produksi No Kecamatan Menghasilkan Jumlah Menghasilkan Rusak (Ton) 1 Singkawang Barat 139 327 354 820 284 2 Singkawang Tengah 6 60 - 66 44 3 Singkawang Utara 241 1.215 339 1.795 1.084 4 Singkawang Timur - 20 - 20 11 5 Singkawang Selatan - 10 50 60 1 Jumlah 2011 386 1.615 720 2.721 1.422 Jumlah 2010 386 1.615 720 2.721 1.411 Jumlah 2009 362 1.598 735 2.695 1.899 Sumber Data : Dinas Pertanian dan Kehutanan Kota Singkawang Tabel 17.47 Produksi Kelapa Hibrida Di Kota Singkawang Berdasarkan Kecamatan Keadaan Per 31 Desember 2011 Belum Tua / Produksi No Kecamatan Menghasilkan Jumlah Menghasilkan Rusak (Ton) 1 Singkawang Barat - 5 - 5 5 2 Singkawang Tengah - - - - - 3 Singkawang Utara - 12 23 35 9 4 Singkawang Timur - - - - - 5 Singkawang Selatan - - - - - Jumlah 2011 - 17 23 40 14 Jumlah 2010 - 17 23 40 13 Jumlah 2009 2 17 23 42 11 Sumber Data : Dinas Pertanian dan Kehutanan Kota Singkawang Tabel 17.48 Produksi Kakao Di Kota Singkawang Berdasarkan Kecamatan Keadaan Per 31 Desember 2011 Belum Tua / Produksi No Kecamatan Menghasilkan Jumlah Menghasilkan Rusak (Ton) 1 Singkawang Barat 140 147 4 287 98 2 Singkawang Tengah 36 25 - 14 22 3 Singkawang Utara 65 5 - 70 5 4 Singkawang Timur - - - - - 5 Singkawang Selatan - - - 16 11 Jumlah 2011 241 193 - 434 136 Jumlah 2010 160 619 4 686 202 Jumlah 2009 99 336 - 435 83 Sumber Data : Dinas Pertanian dan Kehutanan Kota Singkawang Database Kota Singkawang Tahun 2011|233
  • 182.
    Pertanian dan KetahananPangan Tabel 17.49 Produksi Karet Di Kota Singkawang Berdasarkan Kecamatan Keadaan Per 31 Desember 2011 Belum Tua / Produksi No Kecamatan Menghasilkan Jumlah Menghasilkan Rusak (Ton) 1 Singkawang Barat 412 549 293 1.254 168 2 Singkawang Tengah 1.418 5.764 2.011 9.193 4.688 3 Singkawang Utara 331 13 5 349 4 4 Singkawang Timur - - - - - 5 Singkawang Selatan 13 - - 13 - Jumlah 2011 2.174 6.326 2.309 10.809 4.860 Jumlah 2010 1.742 6.226 2.506 10.474 4.855 Jumlah 2009 1.638 6.202 2.430 10.270 4.846 Sumber Data : Dinas Pertanian dan Kehutanan Kota Singkawang Tabel 17.50 Produksi Lada Di Kota Singkawang Berdasarkan Kecamatan Keadaan Per 31 Desember 2011 Belum Tua / Produksi No Kecamatan Menghasilkan Jumlah Menghasilkan Rusak (Ton) 1 Singkawang Barat 7 14 1 22 17 2 Singkawang Tengah 6 28 2 36 34 3 Singkawang Utara 3 8 - 11 6 4 Singkawang Timur - - - - - 5 Singkawang Selatan - 5 3 8 4 Jumlah 2011 16 54 7 77 60 Jumlah 2010 16 54 7 77 68 Jumlah 2009 16 55 6 77 68 Sumber Data : Dinas Pertanian dan Kehutanan Kota Singkawang Tabel 17.51 Produksi Kopi Di Kota Singkawang Berdasarkan Kecamatan Keadaan Per 31 Desember 2011 Belum Tua / Produksi No Kecamatan Menghasilkan Jumlah Menghasilkan Rusak (Ton) 1 Singkawang Barat - 1 - 1 1 2 Singkawang Tengah 6 8 - 14 10 3 Singkawang Utara 3 4 - 7 4 4 Singkawang Timur - - - - - 5 Singkawang Selatan - - - - - Jumlah 2011 9 13 - 22 15 Jumlah 2010 9 13 - 22 19 Jumlah 2009 9 13 - 22 17 Sumber Data : Dinas Pertanian dan Kehutanan Kota Singkawang Database Kota Singkawang Tahun 2011|234
  • 183.
    Pertanian dan KetahananPangan Tabel 17.52 Produksi Kelapa Sawit Di Kota Singkawang Berdasarkan Kecamatan Keadaan Per 31 Desember 2011 Belum Tua / Produksi No Kecamatan Menghasilkan Jumlah Menghasilkan Rusak (Ton) 1 Singkawang Barat 3.399 1.857 - 5.256 1.662 2 Singkawang Tengah 430 - - 430 - 3 Singkawang Utara 146 20 - 166 263 4 Singkawang Timur - - - - - 5 Singkawang Selatan 101 - - 101 - Jumlah 2011 4.276 1.877 - 5.953 1.925 Jumlah 2010 4.276 1.677 - 5.953 953 Jumlah 2009 1.613 756 40 2.369 80 Sumber Data : Dinas Pertanian dan Kehutanan Kota Singkawang Tabel 17.53 Produksi Tebu Di Kota Singkawang Berdasarkan Kecamatan Keadaan Per 31 Desember 2011 Luas Tanam Luas Panen Produksi Rata-Rata Panen No Kecamatan (Ha) (Ha) (Ton) Per Ha (Ton) 1 Singkawang Barat 0 0 0 0 2 Singkawang Tengah 0 0 0 0 3 Singkawang Utara 0 0 0 0,00 4 Singkawang Timur 0 0 0 0,00 5 Singkawang Selatan 5 5 2 400 Jumlah 2011 5 5 2 400 Jumlah 2010 5 3 1 0,33 Jumlah 2009 5 3 1 0,33 Sumber Data : Dinas Pertanian dan Kehutanan Kota Singkawang Database Kota Singkawang Tahun 2011|235
  • 184.
    Pertanian dan KetahananPangan Tabel 17.54 Jumlah Pengadaan Saprodi Tanaman Pangan Di Kota Singkawang Berdasarkan Kecamatan dan Jenis Saprodi Keadan Tahun 2009 -2011 Tahun 2009 Tahun 2010 Tahun 2011 Jenis Saprodi Jenis Saprodi Jenis Saprodi No Kecamatan Pestisida Pestisida Pestisida Pupuk Benih Pupuk Benih Pupuk Benih (kg) (kg) Cair Padat (kg) (kg) Cair Padat (kg) (kg) Cair Padat Jumlah Jumlah Jumlah (liter) (kg) (liter) (kg) (liter) (kg) 1 Singkawang Barat 2.800 210 42 14 56 1.050 175 7 7 14 - - - - - 2 Singkawang Tengah 3.200 160 48 16 64 - - - - - - - - - - 3 Singkawang Utara 18.800 610 207 69 276 3.900 275 26 26 52 - - - - - 4 Singkawang Timur 8.400 530 126 42 168 1.950 300 13 13 26 - - - - - 5 Singkawang Selatan 73.400 1.090 676,5 225,5 902 5.850 350 39 39 78 - - - - - 6 Stock Singkawang 58.200 - 580,5 193,5 774 - - 220 50 270 - - 106 - - Jumlah 2.240 2.600 1.680 560 2.240 12.750 1.100 305 135 440 - - 106 - - Sumber Data : Dinas Pertanian dan Kehutanan Kota Singkawang Database Kota Singkawang Tahun 2011|236
  • 185.
    Pertanian dan KetahananPangan Tabel 17.55 Luas Serangan Organisme Pengganggu Tumbuhan (OPT) Di Kota Singkawang Berdasarkan Jenis Tanaman Keadaan Tahun 2009 - 2011 Tahun 2009 Tahun 2009 Tahun 2010 Jenis No Tanaman Luas Yang Luas Yang Luas Yang Fuso (Ha) Fuso (Ha) Fuso (Ha) Terkena (ha) Terkena (ha) Terkena (ha) 1 Padi 3.818 44 2.283 8 2.238 10 2 Karet 4.123 - 4.806 - - - 3 Lada 77 - - - - - 4 Kelapa 564 - 627 - - - Jumlah 8.582 44 7.716 8 2.238 10 Sumber Data : Dinas Pertanian dan Kehutanan Kota Singkawang Tabel 17.56 Distribusi Kawasan Hutan Di Kota Singkawang Berdasarkan Fungsi Kawasan, Luas Hutan dan Persentase Keadaan Tahun 2009 - 2011 Tahun 2009 Tahun 2010 Tahun 2011 No Fungsi Kawasan Persentase Persentase Persentase Luas Luas Luas (%) (%) (%) 1 Hutan Lindung 3.249 6,45 3.565 7,07 1.828 3,63 2 Hutan konservasi 797,79 1,58 798 1,58 531 1,05 3 Hutan Produksi 4.598,28 9,12 4.598 9,12 4.598 9,12 4 Cagar Alam (Konservasi) 3.419,7 6,78 3.420 6,79 3.420 6,79 5 Areal penggunaan lain 38.335 76 38.019 75,44 40.023 79,41 Jumlah 50.400 100 50.400 100 50.400 100 *) Hutan Lindung Berdasarkan RTRWK Singkawang 2003 – 2013 Sumber Data : Dinas Pertanian dan Kehutanan Kota Singkawang Database Kota Singkawang Tahun 2011|237
  • 186.
    Pertanian dan KetahananPangan Tabel 17.57 Luas Kawasan Hutan Di Kota Singkawang Berdasarkan Kecamatan dan Fungsi Hutan Keadaan Tahun 2009 - 2010 Tahun 2009 Tahun 2010 Fungsi Hutan Fungsi Hutan No Kecamatan Luas Luas Hutan Hutan Area Hutan Hutan Hutan Area Hutan Hutan Hutan Hutan Hutan Cagar Cagar Alam Produksi Produksi Penggunaan (Ha) Produksi Produksi Penggunaan (Ha) Konversi Lindung Konversi Lindung Alam Tetap Terbatas Lain Tetap Terbatas Lain 1 Singkawang Barat - 160 - - - 1.626 160 - 95 - - - 1.531 95 2 Singkawang Tengah - 86 - - - 2.769 86,0 - 48 - - - 3.157 48 3 Singkawang Utara - - - 311,36 - 6.354 311,36 - 235 - 311 - 5.992 546 4 Singkawang Timur - 134 1.740,99 4.287 - 10.467 6.161,91 - - 1.741 4.287 - 10.934 6.028 5 Singkawang Selatan 798 2.869 1.679 - - 17.119 5.346 798 3.196 1.679 - - 19.970 5.673 Jumlah 797,9 3.249 3.419,7 4.598,28 - 38.335 12.065 798 3.574 3.420 4.598 - 41.584 12.390 Sumber Data : Dinas Pertanian dan Kehutanan Kota Singkawang Database Kota Singkawang Tahun 2011|238
  • 187.
    Pertanian dan KetahananPangan Tabel 17.58 Luas Kawasan Hutan Di Kota Singkawang Berdasarkan Kecamatan dan Fungsi Hutan Keadaan Tahun 2011 Tahun 2011 Fungsi Hutan No Kecamatan Luas Hutan Hutan Area Hutan Hutan Hutan Cagar Produksi Produksi Penggunaan (Ha) Konversi Lindung Alam Tetap Terbatas Lain 1 Singkawang Barat 45 - - - - 1.446 1.531 2 Singkawang Tengah - - - - - 3.109 3.157 3 Singkawang Utara - - - 311 - 5.757 6.303 4 Singkawang Timur - - 1.741 4.287 - 10.934 16.962 5 Singkawang Selatan 486 1.828 1.679 - 798 16.774 22.447 Jumlah 531 1.828 3.420 4.598 798 - 501.400 Sumber Data : Dinas Pertanian dan Kehutanan Kota Singkawang Tabel 17.59 Penyebaran Lahan Kritis Di Kota Singkawang Berdasarkan Kecamatan, Tingkat Kritis dan Jumlah Keadaan Tahun 2010 - 2011 Tahun 2010 Tahun 2011 Tingkat Kritis Tingkat Kritis No Kecamatan Agak Tidak Sangat Potensial Jumlah Agak Tidak Sangat Potensial Jumlah Kritis Kritis Kritis Kritis Kritis Kritis Kritis Kritis Kritis Kritis 1 Singkawang Barat * * * * * * * * * * * * 2 Singkawang Tengah * * * * * * * * * * * * 3 Singkawang Utara * * * * * * * * * * * * 4 Singkawang Timur * * * * * * * * * * * * 5 Singkawang Selatan * * * * * * * * * * * * Jumlah 16.636 54 3.751 31.892 805 53.138 16.636 54 3.751 31.892 805 53.138 Sumber Data : Dinas Pertanian dan Kehutanan Kota Singkawang Database Kota Singkawang Tahun 2011|239
  • 188.
    Pertanian dan KetahananPangan Tabel 17.60 Jumlah Ternak Unggas Di Kota Singkawang Berdasarkan Jenis Unggas Keadaan Tahun 2009 - 2011 No Jenis Unggas Tahun 2009 Tahun 2010 Tahun 2011 1 Ayam Buras 435.251 474.826 499.688 2 Ayam Petelur 1.682.687 1.833.407 2.071.177 3 Ayam Pedaging 1.824.195 1.984.692 1.856.875 4 Itik 10.816 11.344 10.763 5 Burung Puyuh 13.528 33.317 - Jumlah 3.966.477 4.337.586 4.438.503 Sumber Data : Dinas Pertanian dan Kehutanan Kota Singkawang Tabel 17.61 Jumlah Ternak Unggas yang Dipotong Di Kota Singkawang Berdasarkan Jenis Unggas Keadaan Tahun 2009 - 2011 No Jenis Unggas Yang Dipotong Tahun 2009 Tahun 2010 Tahun 2011 1 Ayang Buras 17.232 26.266 499.688 2 Ayam Petelur 428.740 428.740 2.071.177 3 Ayam Pedaging 1.011.350 868.725 1.856.875 4 Itik 10.337 20.622 10.763 5 Burung Puyuh 10.150 9.225 21.873 Jumlah 1.477.809 1.353.578 4.460.376 Sumber Data : Dinas Pertanian dan Kehutanan Kota Singkawang Tabel 17.62 Jumlah Ternak Di Kota Singkawang Berdasarkan Jenis Ternak Keadaan Tahun 2009 - 2011 No Jenis Ternak Tahun 2009 Tahun 2010 Tahun 2011 1 Sapi 6.516 6.811 5.918 2 Kambing 2.705 3.217 3.234 3 Babi 20.250 19.226 14.019 Jumlah 29.471 29.254 23.171 Sumber Data : Dinas Pertanian dan Kehutanan Kota Singkawang Database Kota Singkawang Tahun 2011|240
  • 189.
    Pertanian dan KetahananPangan Tabel 17.63 Jumlah Ternak yang Dipotong Di Kota Singkawang Berdasarkan Jenis Keadaan Tahun 2009 - 2011 No Jenis Ternak Tahun 2009 Tahun 2010 Tahun 2011 1 Sapi 2.772 3.035 3.905 2 Kambing 590 660 832 3 Babi 15.272 15.927 15.342 Jumlah 18.634 19.622 20.079 Sumber Data : Dinas Pertanian dan Kehutanan Kota Singkawang Tabel 17.64 Jumlah Produksi Daging Ternak Di Kota Singkawang Berdasarkan Jenis Keadaan Tahun 2009 - 2011 Tahun 2009 Tahun 2010 Tahun 2011 No Jenis Daging Produksi (Ton) Produksi (Ton) Produksi (Ton) 1 Daging Sapi 496,59 530,732 604.229 2 Daging Kerbau - - - 3 Daging Kambing 7,08 7,920 9.984 4 Daging Domba - - - 5 Daging Kuda - - - 6 Daging Babi 2.714,47 2.724,696 3.382.560 7 Daging Ayam Buras 30,68 42,063 46.280 8 Daging Ayang Pedaging 3.594,57 3.704,320 4.159.474 9 Daging Ayam Petelur 2.074,98 1.745,736 1.855.494 10 Daging itik 15,76 24,746 28.068 11 Daging Burung Puyuh 0,563 0,461 0,484 Sumber Data : Dinas Pertanian dan Kehutanan Kota Singkawang Tabel 17.65 Jumlah Peternak Layer Di Kota Singkawang Berdasarkan Tahun dan Jumlah Peternak Keadaan Tahun 2009 - 2011 No Tahun Jumlah Peternak Jumlah Populasi 1 2009 46 1.520.000 2 2010 44 1.833.400 3 2011 46 1.820.000 Sumber Data : Dinas Pertanian dan Kehutanan Kota Singkawang Database Kota Singkawang Tahun 2011|241
  • 190.
    Pertanian dan KetahananPangan Tabel 17.66 Ketersediaan Kalori, Protein dan Lemak Di Kota Singkawang Keadaan Tahun 2009 - 2011 Energi Protein Lemak No Tahun (Kalori/hari) (gram/hari) (gram/hari) 1 2009 2.528,16 73,94 54,48 2 2010 2.756,75 82,17 68,76 3 2011 Tidak Ada Tidak Ada Tidak Ada Sumber Data : Kantor Penyuluh Pertanian Perikanan, Kehutanan dan Ketahanan Pangan Kota Singkawang Tabel 17.67 Ketersediaan Kalori, Protein dan Lemak Untuk Dikonsumsi Perkapita/Perhari Di Kota Singkawang Keadaan Tahun 2009 - 2011 Kalori Protein Lemak No Tahun Kkal % Grm % Grm % 1 2009 2.703,43 100 79,71 100 68,88 100 2 2010 2.756,75 100 82,17 100 68,76 100 3 2011 Tidak Ada Tidak Ada Tidak Ada Sumber Data : Kantor Penyuluh Pertanian Perikanan, Kehutanan dan Ketahanan Pangan Kota Singkawang Tabel 17.68 Produksi Ketersedian Kelompok Komoditi Telur di Kota Singkawang Keadan Tahun 2010 - 2011 Tahun 2010 Tahun 2011 No Jenis Telur Ketersedian Bhn Produksi Ketersedian Bhn Produksi (Ton) (Ton) (Ton) (Ton) 1 Telur Ayam Buras 129.498 129.498 136.279 136.279 2 Telur Ayam Ras 20.052,889 20.052,889 22.653.496 22.653.496 3 Telur Itik 28.360 28.360 26.908 26.908 4 Telur Puyuh 0,0990 0,0990 1.312 1.312 Sumber Data : Dinas Pertanian dan Kehutanan Kota Singkawang Database Kota Singkawang Tahun 2011|242
  • 191.
    Kelautan dan Perikanan 18.Kelautan dan Perikanan Dari data kelautan dan perikanan tahun 2011 luas laut Singkawang 177,65 km², dengan panjang garis pantai 27,60 km. Potensi Penangkapan laut 1.630.600 ton dan potensi budidaya 666 ha. Untuk mengeksplorasi sumber daya kelautan dan perikanan di Kota Singkawang terdapat 42 kelompok pembudidaya ikan dengan 452 anggota. Kelompok nelayan yang ada berjumlah 73 kelompok dengan 485 anggota, untuk kelompok masyarakat pengawas laut berjumlah 8 kelompok dengan 139 anggota. Dari 1.026 nelayan jumlah armada yang dimiliki perahu tanpa motor 291, motor temple 103, kapal motor ukuran 0-5 GT 112, ukuran 6-10 GT 124, ukuran 11-30 GT 99 dan tanpa perahu 50. Alat tangkap yang dimiliki nelayan Singkawang terdiri dari jaring insang hanyut 229, jaring insang tetap 32, jaring 156, rawai 105, pancing 176, sero 8, sungkur 120, bubu 36 dan alat tangkap lainnya 12. Untuk mendukung operasional nelayan fasilitas prasarana penunjang yang ada terdiri dari pabrik es 3 unit usaha dengan kapasitas produksi 18 ton per hari serta Stasion Pengisian Diesel Nelayan (SPDN) 1 unit usaha dengan kapasitas 65.000 liter per hari. Produksi perikanan laut di Kota Singkawang pada tahun 2011 sebanyak 608,60 ton menurun 154,9 ton dibanding tahun 2010 yang mencapai 763,5 ton. Nilai produksi perikanan laut juga mengalami penurunan Rp. 2.796.269.000,- dari Rp. 18.186.049.000,- pada tahun 2010 menjadi Rp. 15.389.780.000,- pada tahun 2011. Jumlah usaha perikanan yang ada di Kota Singkawang diklasifikasikan berdasarkan jenisnya terdiri dari Pengumpul dan Pengangkut Hasil Perikanan 20 usaha, Pengolahan Hasil Perikanan 48 usaha, Kelompok Pengolah dan Pemasar Hasil Perikanan 56 kelompok dan Pemasaran Hasil Perikanan 23 usaha. Database Kota Singkawang Tahun 2011 | 243
  • 192.
    Kelautan dan Perikanan Tabel 18.1 Data Umum Kelautan dan Perikanan Kota Singkawang Keadaan Per 31 Desember 2011 Data Umum 1. Luas Wilayah 50.400 Ha 2. Luas Wilayah Pesisir 49.539 Ha a. Daratan 33.774 Ha b. Lautan 15.765 Ha 3. Pulau kecil 1 Buah 4. Luas Laut 177,65 Km2 5. Panjang Garis Pantai 27,60 Km 6. Hutan Mangrove 101,51 Ha 7. Rawa 3.118,90 Ha 8. Danau 252,97 Ha 9. Daerah Aliran Sungai (DAS) 61.000 Ha 10. Terumbu Karang - Ha 11. Potensi Penangkapan a. Laut 1.630.600 Ton - ZEEI 1.252.400 Ton - Perairan Indonesia 378.200 Ton (Data Citra Alos Avnir b. Perairan Umum Kota Singkawang 182 Ton 30 September 2009) c. Produksi Perikanan Tangkap Rata-rata 693,50 Ton Tahun 2004 - 2009 d. MSY (Model Fox) 717 Ton e. Upaya Optimum (UO) 3.514 Ton f. Jumlah Kapal (Tahun 2010) 219 Buah 12. Potensi Budidaya 666 Ha a. Laut 250 Ha b. Tambak 175 Ha c. Kolam 141 Ha d. Keramba 100 Ha 13. Produksi Perikanan Budidaya (Tahun 2010) a. Laut (KJA) 0,00 Ton b. Tambak 200,00 Ton c. Kolam 236,39 Ton d. Keramba Jaring Apung (KJA) Air Tawar 21,60 Ton e. Keramba Jaring Tancap (KJT) Air Tawar 1,80 Ton Sumber Data : Dokumen Awal Rencana Zonasi Wilayah Pesisir dan Pulau-pulau Kecil (RZWP–3K) Kota Singkawang Tahun 2011. Database Kota Singkawang Tahun 2011 | 244
  • 193.
    Kelautan dan Perikanan Tabel 18.2 Jumlah Kelompok Pembudidaya Ikan Kota Singkawang Berdasarkan Kecamatan Keadaan Tahun 2009 - 2011 Tahun 2009 Tahun 2010 Tahun 2011 No Kecamatan Jumlah Jumlah Jumlah Jumlah Jumlah Jumlah Kelompok Anggota Kelompok Anggota Kelompok Anggota 1 Singkawang Selatan 9 104 10 114 12 140 2 Singkawang Timur 24 277 26 290 20 216 3 Singkawang Utara 3 24 2 9 5 39 4 Singkawang Tengah 1 13 1 13 4 41 5 Singkawang Barat 1 18 1 18 1 16 Jumlah 38 436 40 444 42 452 Sumber Data : Dinas Kelautan dan Perikanan Kota Singkawang Tabel 18.3 Jumlah Kelompok Nelayan Di Kota Singkawang Berdasarkan Kecamatan Keadaan Tahun 2009 - 2011 Tahun 2009 Tahun 2010 Tahun 2011 No Kecamatan Jumlah Jumlah Jumlah Jumlah Jumlah Jumlah Kelompok Kelompok Kelompok Anggota Anggota Anggota Nelayan Nelayan Nelayan 1 Singkawang Selatan 9 51 9 51 9 51 2 Singkawang Timur - - - - - - 3 Singkawang Utara 18 188 22 231 23 241 4 Singkawang Tengah 9 63 16 71 16 71 5 Singkawang Barat 18 83 25 122 25 122 Jumlah 54 385 72 475 73 485 Sumber Data : Dinas Kelautan dan Perikanan Kota Singkawang Tabel 18.4 Jumlah Kelompok Masyarakat Pengawas Laut Di Singkawang Berdasarkan Kecamatan Keadaan Tahun 2009 - 2011 Tahun 2009 Tahun 2010 Tahun 2011 No Kecamatan Jumlah Jumlah Jumlah Jumlah Jumlah Jumlah Kelompok Kelompok Kelompok Anggota Anggota Anggota Nelayan Nelayan Nelayan 1 Singkawang Selatan 2 34 2 34 2 34 2 Singkawang Timur 2 32 2 32 2 32 3 Singkawang Utara 2 24 3 40 3 53 4 Singkawang Tengah - - - - - - 5 Singkawang Barat 1 20 1 20 1 20 Jumlah 7 110 8 126 8 139 Sumber Data : Dinas Kelautan dan Perikanan Kota Singkawang Database Kota Singkawang Tahun 2011 | 245
  • 194.
    Kelautan dan Perikanan Tabel 18.5 Jumlah Armada Yang Dimiliki Nelayan Singkawang Keadaan Per 31 Desember 2011 Tahun 2009 Tahun 2010 Tahun 2011 Nelayan Kapal Motor Kapal Motor Nelayan Nelayan Tempel Tempel Tempel Jumlah Jumlah Jumlah Perahu Perahu Perahu Perahu Perahu Perahu Kapal Motor Dengan Ukuran Tanpa Tanpa Tanpa Tanpa Tanpa Tanpa Motor Motor Motor Motor Motor Motor No Kecamatan Dengan Ukuran Dengan Ukuran 0-5 GT 6-10 GT 0-5 GT 6-10 GT 0-5 GT 6-10 GT 11-30 GT 1 Singkawang Selatan 227 2 124 89 18 7 232 2 126 91 18 7 234 10 118 38 19 19 17 2 Singkawang Utara 345 2 159 40 62 3 352 2 162 41 63 3 355 11 154 28 32 44 27 3 Singkawang Barat 383 11 11 97 121 4 391 11 11 99 123 4 395 22 19 37 52 52 47 4 Singkawang Tengah 5 5 - - - - 39 - - - 8 - 42 7 - - 9 9 8 Jumlah 960 20 294 201 201 14 1.013 15 300 231 213 14 1.026 50 291 103 112 124 99 Sumber Data : Dinas Kelautan dan Perikanan Kota Singkawang Tabel 18.6 Data Jumlah Alat Tangkap Yang Dimiliki Nelayan Di Kota Singkawang Keadaan Per 31 Desember 2011 Jenis Alat Tangkap Yang Dimiliki Jumlah No Kecamatan Jaring Insang Pancing Perangkap Nelayan Jaring Lainnya Hanyut Tetap Rawai Pancing Sero Sungkur Bubu 1 Singkawang Selatan 234 104 11 19 10 104 - 29 36 4 2 Singkawang Utara 355 89 5 2 34 55 4 75 - 4 3 Singkawang Barat 395 35 16 128 53 8 4 16 - 5 4 Singkawang Tengah 42 - - 7 8 9 - - - - Jumlah 2011 1.026 229 32 156 105 176 8 120 36 12 Jumlah 2010 1.014 259 34 182 107 193 8 134 41 13 Jumlah 2009 960 254 34 155 101 185 8 131 40 13 Sumber Data : Dinas Kelautan dan Perikanan Kota Singkawang Database Kota Singkawang Tahun 2011 | 246
  • 195.
    Kelautan dan Perikanan Tabel 18.7 Jumlah Fasilitas Prasarana Penunjang Nelayan Di Kota Singkawang Keadaan Per 31 Desember 2011 Tahun 2009 Tahun 2010 Tahun 2011 No Jenis Fasilitas Perasana Jumlah Kapasitas Jumlah Kapasitas Jumlah Kapasitas Usaha Produksi Usaha Produksi Usaha Produksi (Unit) /Hari (Unit) /Hari (Unit) /Hari 1 Pabrik Es 3 18 ton 3 18 ton 3 18 ton 2 SPDN 1 12.000 liter 1 65.000 liter 1 65.000 liter Sumber Data : Dinas Kelautan dan Perikanan Kota Singkawang Tabel 18.8 Jumlah Produksi dan Nilai Produksi Perikanan Laut Di Kota Singkawang Keadaan Tahun 2009 - 2011 Tahun 2009 Tahun 2010 Tahun 2011 No. Jenis Ikan Nilai Nilai Nilai Produksi Produksi Produksi Produksi Produksi Produksi (Ton) (Ton) (Ton) (Rp.) (Rp.) (Rp.) 1 Manyung 96,9 2.628.850 103,0 2.987.500 84,9 2.413.020 2 Cucut/Hiu 29,7 292.190 30,4 352.850 16,0 214.540 3 Pari 47,2 543.510 45,9 568.350 34,4 550.880 4 Bawal Hitam 19,1 501.900 20,4 627.450 16,9 549.530 5 Bawal Putih 21,0 841.650 28,0 987.100 23,2 815.020 6 Layang/Kaben - - - - - - 7 Selar - - - - - - 8 Talang-talang - - - - - - 9 Merah/Bambangan 43,1 1.577.700 63,3 1.685.500 55,3 1.549.980 10 Kurisi 10,6 252.410 11,3 278.650 6,2 115.700 11 Parang-parang 33,8 657.500 33,5 824.300 23,4 620.140 12 Tamban - - - - - - 13 Kembung 5,0 85.000 - - - - 14 Tenggiri 79,1 2.208.450 99,0 3.019.950 83,8 2.752.300 15 Tongkol 42,8 926.380 49,4 1.146.400 34,1 837.280 16 Ikan Lainnya - - 85,3 1.276.550 102,3 1.720.450 17 Kuwe 12,8 149.800 14,8 200.349 11,7 193.360 18 Udang Putih 35,8 838.250 37,2 967.200 21,9 593.900 19 Udang Dogol 28,6 991.850 29,1 1.088.100 23,1 974.200 20 Udang Lainnya 25,9 498.200 32,9 827.100 16,1 413.580 21 Sotong 21,3 488.200 20,8 568.000 18,0 446.760 22 Cumi-cumi 13,5 229.650 16,2 248.400 10,1 193.640 23 Gulamah 39,7 456.600 43,0 532.300 27,2 435.500 24 Ikan Campuran 80,7 868.800 - - - - Jumlah/Total 686,6 15.036.890 763,5 18.186.049 608,60 15.389.780 Sumber Data : Dinas Kelautan dan Perikanan Kota Singkawang Database Kota Singkawang Tahun 2011 | 247
  • 196.
    Kelautan dan Perikanan Tabel 18.9 Jumlah Usaha Perikanan Di Kota Singkawang Berdasarkan Jenis Usaha Keadaan Tahun 2009 - 2011 Jumlah Usaha/Kelompok No Jenis Usaha Tahun 2009 Tahun 2010 Tahun 2011 1 Pengumpul dan Pengangkut Hasil Perikanan 25 20 20 2 Pengolahan Hasil Perikanan 40 44 48 3 Kelompok Pengolah dan Pemasar Hasil Perikanan 46 53 56 4 Pemasaran Hasil Perikanan 20 20 23 Sumber Data : Dinas Kelautan dan Perikanan Kota Singkawang Tabel 18.10 Jumlah Produksi Benih Ikan di Kota Singkawang Berdasarkan Jenis Ikan dan Sumber Benih Keadaan Tahun 2009 - 2011 Tahun 2009 Tahun 2010 Tahun 2010 Rata-rata Produksi ( ekor ) Rata-rata Produksi ( ekor ) Rata-rata Produksi ( ekor ) BBIP (Multi BBIP (Multi BBIP (Multi BBI Bagak BBI Bagak BBI Bagak Backyard Hatchery Backyard Hatchery Backyard Hatchery No Jenis Ikan Sahwa Sahwa Sahwa Fish) BWM BMW Fish) BWM BMW Fish) BWM BMW UPR UPR UPR 1 Mas 130.000 - - - - 72 - - - 85 65 - - - 68 2 Lele 132.000 - - - 240.000 236 - - - 400 420 - - - 1.574 3 Nila 72.000 - - - - 81 - - - 75 110 - - - 118 4 Udang Galah - 200.000 500.000 1.200.000 - - - - - - - - - - 99 5 Udang Windu - - - - - - 100.295 - - - - 100.400 - - - 6 Udang Vanname - - - - - - 8.222.200 - - - - 8.222.350 - - - 7 Ikan Hias - - - - - - - - - - - - - - 5.000 8 Ikan Lainnya - - - - - - - - - - - - - - Jumlah 334.000 200.000 500.000 1.200.000 240.000 389 8.322.495 - - 560 595 8.322.750 - - 6.859 Sumber Data : Dinas Kelautan dan Perikanan Kota Singkawang Database Kota Singkawang Tahun 2011 | 248
  • 197.
    Kelautan dan Perikanan Tabel 18.11 Data Potensi Tambak Kota Singkawang Keadan Per 31 Desember 2011 Tahun 2009 Tahun 2010 Tahun 2011 No Kecamatan Luas Luas Luas Luas Luas Luas Potensi Pemanfaatan Potensi Pemanfaatan Potensi Pemanfaatan (Ha) (Ha) (Ha) (Ha) (Ha) (Ha) 1 Singkawang Utara 175 40 175 40 175 40 2 Singkawang Selatan - - - - - - 3 Singkawang Timur - - - - - - 4 Singkawang Barat - - - - - - 5 Singkawang Tengah - - - - - - Jumlah 175 40 175 40 175 40 Sumber Data : Dinas Kelautan dan Perikanan Kota Singkawang Tabel 18.12 Jumlah Usaha Tambak di Singkawang Berdasarkan Kecamatan Keadaan Tahun 2009 - 2011 Tahun 2009 Tahun 2010 Tahun 2011 No Kecamatan Luas Jumlah Luas Jumlah Luas Jumlah Jumlah Areal Tenaga Jumlah Areal Tenaga Jumlah Areal Tenaga Usaha Tambak Kerja Usaha Tambak Kerja Usaha Tambak Kerja (Ha) (org) (Ha) (org) (Ha) (org) 1 Singkawang Selatan - - - - - - - - - 2 Singkawang Timur - - - - - - - - - 3 Singkawang Utara 2 20 40 2 20 45 2 20 45 4 Singkawang Tengah - - - - - - - - - 5 Singkawang Barat - - - - - - - - - Jumlah 2 20 40 2 20 45 2 20 45 Sumber Data : Dinas Kelautan dan Perikanan Kota Singkawang Database Kota Singkawang Tahun 2011 | 249
  • 198.
    Kelautan dan Perikanan Tabel 18.13 Harga Ikan Laut Di Singkawang Berdasarkan Jenis Ikan dan Harga Per Bulan (Dalam Rupiah) Keadaan Per 31 Desember 2011 Harga Rata-Rata (Rp.) Per Bulan No. Jenis Ikan Januari Pebruari Maret April Mei Juni Juli Agustus September Oktober November Desember 1 Bawal Hitam 32.000 32.000 32.000 32.500 32.500 32.500 32.700 32.700 32.700 33.000 33.000 33.000 2 Bawal Putih 35.000 35.000 35.000 35.600 35.600 35.600 35.800 35.800 35.800 34.000 34.000 34.000 3 Cumi-cumi 18.500 18.500 18.500 19.000 19.000 19.000 19.200 19.200 19.200 26.000 26.000 26.000 4 Gulamah 15.000 15.000 15.000 16.000 16.000 16.000 16.200 16.200 16.200 17.000 17.000 17.000 5 Cucut 12.500 12.500 12.500 13.000 13.000 13.000 13.200 13.200 13.200 15.000 15.000 15.000 6 Kurisi 24.500 24.500 24.500 25.000 25.000 25.000 25.200 25.200 25.200 26.000 26.000 26.000 7 Kuwe 16.000 16.000 16.000 16.500 16.500 16.500 16.700 16.700 16.700 17.000 17.000 17.000 8 Manyung 28.000 28.000 28.000 28.500 28.500 28.500 28.700 28.700 28.700 28.500 28.500 28.500 9 Merah/Bambangan 27.000 27.000 27.000 27.500 27.500 27.500 27.700 27.700 27.700 30.000 30.000 30.000 10 Parang-parang 26.000 26.000 26.000 26.000 26.000 26.000 26.200 26.200 26.200 28.000 28.000 28.000 11 Pari 15.000 15.000 15.000 16.000 16.000 16.000 16.200 16.200 16.200 17.000 17.000 17.000 12 Sotong 24.000 24.000 24.000 25.000 25.000 25.000 25.200 25.200 25.200 25.000 25.000 25.000 13 Tenggiri 32.000 32.000 32.000 32.600 32.600 32.600 32.800 32.800 32.800 34.000 34.000 34.000 14 Tongkol 25.000 25.000 25.000 24.000 24.000 24.000 24.200 24.200 24.200 25.000 25.000 25.000 15 Udang Dogol 40.000 40.000 40.000 42.000 42.000 42.000 42.200 42.200 42.200 45.000 45.000 45.000 16 Udang Putih 27.000 27.000 27.000 28.000 28.000 28.000 28.200 28.200 28.200 25.000 25.000 25.000 17 Ikan Lainnya 14.000 14.000 14.000 14.500 14.500 14.500 19.000 19.000 19.000 20.000 20.000 20.000 18 Udang Lainnya 25.000 25.000 25.000 27.000 27.000 27.000 27.200 27.200 27.200 24.000 24.000 24.000 Sumber Data : Dinas Kelautan dan Perikanan Kota Singkawang Tabel 18.14 Daftar Harga Ikan Budi Daya di Kota Singkawang Berdasarkan Jenis Ikan dan Harga Per bulan Periode Januari - Desember 2011 Harga Rata-Rata (Rp.) Per Bulan No Jenis ikan Januari Pebruari Maret April Mei Juni Juli Agustus September Oktober Nopember Desember 1 Mas 30.000 28.100 25.700 22.700 21.700 21.700 21.700 22.450 23.450 25.450 27.450 29.600 2 Nila 20.000 18.100 15.700 12.700 11.700 11.700 11.700 12.450 13.450 15.450 17.450 19.600 3 Lele 17.000 15.100 12.700 9.700 8.700 8.700 8.700 9.450 10.450 12.450 14.450 16.600 4 Bawal Air Tawar 20.000 18.100 15.700 12.700 11.700 11.700 11.700 12.450 13.450 15.450 17.450 19.600 5 Jelawat 45.000 43.100 40.700 37.700 36.700 36.700 36.700 37.450 38.450 40.450 42.450 44.600 6 Gurame - - - - - - - - - - - - 7 Patin 20.000 18.100 15.700 12.700 11.700 11.700 11.700 12.450 13.450 15.450 17.450 19.600 8 Udang Galah - - - - - - - - - - - - 9 Udang Vanamae 45.000 43.100 40.700 37.700 36.700 36.700 36.700 37.450 38.450 40.450 42.450 44.600 10 Udang Windu - - - - - - - - - - - - 11 Kerapu - - - - - - - - - - - - 12 Toman - - - - - - - - - - - - 13 Gabus - - - - - - - - - - - - 14 Betutu 125.000 123.100 120.700 117.700 116.700 116.700 116.700 117.450 118.450 120.450 122.450 124.600 15 Ikan Lainnya 17.000 15.100 12.700 9.700 8.700 8.700 8.700 9.450 10.450 12.450 14.450 16.600 Sumber Data : Dinas Kelautan dan Perikanan Kota Singkawang Database Kota Singkawang Tahun 2011 | 250
  • 199.
    Kelautan dan Perikanan Tabel 18.15 Harga Ikan Perairan Umum Di Singkawang Berdasarkan Jenis Ikan dan Harga Per Bulan (Dalam Rupiah) Keadaan Per 31 Desember 2011 Harga Rata-Rata (Rp.) Per Bulan No. Jenis Ikan Januari Pebruari Maret April Mei Juni Juli Agustus September Oktober November Desember 1 Belida 42.500 42.500 42.500 43.800 43.800 43.800 44.000 44.000 44.000 44.500 44.500 44.500 2 Betutu 26.500 26.500 26.500 26.800 26.800 26.800 26.900 26.900 26.900 27.000 27.000 27.000 3 Gabus 9.500 9.500 9.500 9.700 9.700 9.700 9.500 9.500 9.500 9.600 9.600 9.600 4 Gurame 16.000 16.000 16.000 16.000 16.000 16.000 16.000 16.000 16.000 16.200 16.200 16.200 5 Jambal 34.000 34.000 34.000 34.200 34.200 34.200 34.500 34.500 34.500 34.800 34.800 34.800 6 Lais 37.000 37.000 37.000 37.300 37.300 37.300 37.500 37.500 37.500 38.000 38.000 38.000 7 Lele 17.000 17.000 17.000 17.000 17.000 17.000 17.200 17.200 17.200 17.500 17.500 17.500 8 Sepat Siam 11.500 11.500 11.500 11.600 11.600 11.600 11.500 11.500 11.500 11.700 11.700 11.700 9 Tambakan 18.000 18.000 18.000 18.500 18.500 18.500 18.600 18.600 18.600 18.800 18.800 18.800 10 Toman 14.500 14.500 14.500 14.800 14.800 14.800 15.000 15.000 15.000 15.500 15.500 15.500 11 Udang Galah 65.000 65.000 65.000 65.500 65.500 65.500 65.800 65.800 65.800 66.500 66.500 66.500 12 Ikan Lainnya 18.000 18.000 18.000 18.200 18.200 18.200 18.500 18.500 18.500 18.700 18.700 18.700 13 Udang Lainnya 25.000 25.000 25.000 26.000 26.000 26.000 26.300 26.300 26.300 26.500 26.500 26.500 Sumber Data : Dinas Kelautan dan Perikanan Kota Singkawang Tabel 18.16 Mangrove Yang Ada Di Kota Singkawang Berdasarkan Kecamatan, Luas Kondisi dan yang Telah Direhabilitasi Keadaan Per 31 Desember 2011 Kondisi Mangrove Mangrove Yang Luas Rusak Rusak Telah No. Kecamatan Mangrove Baik Ringan Berat Direhabilitasi (Ha) (Ha) (Ha) (Ha) (Ha) 1 Kecamatan Singkawang Utara 523 - - - - 2 Kecamatan Singkawang Barat - - - - - 3 Kecamatan Singkawang Tengah - - - - - 4 Kecamatan Singkawang Selatan - - - - - Sumber Data : Dinas Kelautan dan Perikanan Kota Singkawang Database Kota Singkawang Tahun 2011 | 251
  • 200.
    Perhubungan, Pos danTelekomunikasi 19. Perhubungan, Pos dan Telekomunikasi Walaupun pertambahan jumlah sepeda motor saat ini demikian pesat namun keberadaan angkutan umum masih tetap berjalan dalam melayani kebutuhan masyarakat khususnya untuk jarak jauh. Karenanya kendaraan angkutan umum yang bernaung dalam Perusahaan Otobus (PO) saat ini masih tetap eksis. Pada tahun 2011 jumlah Perusahaan Otobus (PO) yang ada di Singkawang sebanyak 16 perusahaan didukung 295 unit armada/kendaraan untuk melayani 6 trayek dalam kota dan 12 trayek antar kota. Untuk trayek dalam kota dilayani 80 kendaraan dan trayek luar kota dilayani 111 kendaraan. Untuk melayani kebutuhan transportasi antar kota masyarakat Singkawang juga terdapat Angkutan Sewa Khusus yang biasa disebut masyarakat Singkawang dengan istilah “Taxi” yaitu angkutan antar kota yang menjemput penumpang dari depan rumah dan mengantarkannya ke depan rumah di kota tujuan. Ada 18 perusahaan Angkutan Sewa Khusus yang ada di Singkawang didukung 95 armada/kendaraan untukmelayani trayek Singkawang Pontianak. Untuk pengelolaan parkir terdapat 75 titik parkir dengan 185 juru parkir yang terdaftar. Sedangkan untuk pengujian kendaraan bermotor dilakukan 5 orang petugas dengan kendaraan yang diuji sebanyak 4.207 unit kendaraan selama tahun 2011. Dari 4 jenis retribusi daerah bidang perhubungan yang dipungut, pada tahun 2011 berhasil dipungut Rp. 372.938.500,- atau meningkat Rp. 26.866.000,- dibanding tahun 2010 yang sebesar Rp. 346.072.500,-. Kapal yang bersandar di Pelabuhan Kuala pada tahun 2011 hanya 186 kapal dan membongkar muatan sebanyak 6.212,300 ton. Sedangkan barang yang dimuat/dibawa keluar sebanyak 3.946,499 ton. Karena Singkawang tidak memiliki Bandara maka penumpang yang akan bepergian dengan menggunakan moda transportasi udara masih melalui Bandara Supadio Pontianak. Dalam tahun 2011 jumlah penumpang pesawat dari Singkawang melalui Bandara Supadio Pontianak sebanyak 39.166 orang dengan tujuan domestik 38.789 orang dan tujuan internasional 377 orang. Dengan demikian selama tahun 2011 dalam 1 hari rata-rata jumlah penumpang pesawat dari Singkawang melalui Bandara Supadio Pontianak sebanyak 107 penumpang. Dari data yang disampaikan PT (Persero) Pos Indonesia Cabang Singkawang pada tahun 2011 surat yang dikirim sebanyak 333.398 lembar dimana 332.113 lembar surat dalam negeri dan 1.285 lembar surat dikirim ke luar negeri. Sedangkan surat yang diterima sebanyak 412.267 lembar, 411.643 lembar diterima dari dalam negeri dan 624 lembar surat diterima dari luar negeri. Database Kota Singkawang Tahun 2011| 252
  • 201.
    Perhubungan, Pos danTelekomunikasi Selain melalui pos masyarakat Singkawang yang mengirim barang dapat melalui perusahaan swasta yang melayani pengiriman melalui udara (cargo udara). Ada 23 perusahaan yang ada dengan jumlah barang yang dikirim sebanyak 140.512 kg. Untuk kebutuhan telekomunikasi masyarakat Singkawang dilayani 4 operator telepon/telepon seluler didukung 38 menara telekomunikasi serta pada tahun 2011 pedagang alat/perangkat telekomunikasi memiliki 93 warung internet, dan 6 radio swasta. Tabel 19.1 Perusahaan Oto Bus (PO) Yang Ada Di Kota Singkawang Berdasarkan Jumlah PO dan Armada/Kendaraan Yang Dimiliki Keadaan Tahun 2009 - 2011 No Uraian Tahun 2009 Tahun 2010 Tahun 2011 1 Jumlah Perusahaan Oto Bus (PO) 18 18 16 2 Jumlah/Jenis Armada/Kendaraan 1. Bis 101 101 93 2. Minibis 129 127 90 3. Oplet 164 164 112 Sumber Data : Dinas Perhubungan, Komunikasi dan Informatika Kota Singkawang Tabel 19.2 Trayek Angkutan Umum Yang Ada Di Kota Singkawang Berdasarkan Jenis Trayek, Jumlah Trayek dan Jumlah Armada/Kendaraan Keadaan Tahun 2009 - 2011 Tahun 2009 Tahun 2010 Tahun 2011 No Jenis Trayek Jumlah Jumlah Jumlah Jumlah Jumlah Jumlah Armada/ Armada/ Armada/ Trayek Trayek Trayek Kendaraan Kendaraan Kendaraan 1 Dalam Kota 6 123 6 125 6 80 Antar Kota Dalam Propinsi 2 12 158 12 165 12 111 (AKDP) Sumber Data : Dinas Perhubungan, Komunikasi dan Informatika Kota Singkawang Database Kota Singkawang Tahun 2011| 253
  • 202.
    Perhubungan, Pos danTelekomunikasi Tabel 19.3 Data Jumlah Penumpang Yang Datang dan Berangkat Dari Terminal Di Kota Singkawang Berdasarkan Bulan dan Nama Terminal Keadaan Tahun 2009 - 2011 Tahun 2009 Tahun 2010 Tahun 2011 No. Bulan Terminal Terminal Terminal Terminal Terminal Terminal Pasiran Bengkayang Pasiran Bengkayang Pasiran Bengkayang Datang Berangkat Datang Berangkat Datang Berangkat Datang Berangkat Datang Berangkat Datang Berangkat 1 Januari 13.127 13.003 7.965 7.844 2 Pebruari 14.423 14.299 8.977 8.856 3 Maret 12.125 12.001 7.122 7.001 4 April 12.213 12.089 7.912 7.791 5 Mei 11.895 11.771 7.458 7.337 6 Juni 12.895 12.771 7.842 7.721 7 Juli 13.765 13.641 8.134 8.013 8 Agustus 13.876 13.752 8.214 8.093 9 September 12.453 12.329 9.232 9.111 10 Oktober 14.118 13.994 9.783 9.662 11 November 12.855 12.731 7.919 7.798 12 Desember 13.241 13.117 8.240 8.119 Jumlah 156.986 155.498 98.798 97.346 tad tad Sumber Data : Dinas Perhubungan, Komunikasi dan Informatika Kota Singkawang Tabel 19.4 Angkutan Sewa Khusus Di Kota Singkawang Berdasarkan Jumlah Perusahaan dan Jumlah Armada Keadaan Tahun 2008 - 2011 No Tahun Jumlah Perusahaan Jumlah Armada/Kendaraan 1 2008 12 38 2 2009 12 38 3 2010 12 38 4 2011 18 95 Sumber Data : Dinas Perhubungan, Komunikasi dan Informatika Kota Singkawang Database Kota Singkawang Tahun 2011| 254
  • 203.
    Perhubungan, Pos danTelekomunikasi Tabel 19.5 Data Jumlah Penumpang Yang Datang dan Berangkat Menggunakan Angkutan Sewa Khusus Berdasarkan Bulan Keadaan Tahun 2009- 2011 Tahun 2009 Tahun 2010 Tahun 2011 No. Bulan Jumlah Penumpang Jumlah Penumpang Jumlah Penumpang Datang Berangkat Datang Berangkat Datang Berangkat 1 Januari 8.916 9.142 2 Pebruari 5.582 5.808 3 Maret 3.868 4.094 4 April 3.961 4.187 5 Mei 4.120 4.346 6 Juni 3.289 3.515 7 Juli 3.759 3.985 8 Agustus 4.032 4.258 9 September 4.091 4.317 10 Oktober 4.348 4.574 11 November 4.309 4.535 12 Desember 6.178 6.404 Jumlah 56.453 59.165 tad tad Sumber Data : Dinas Perhubungan, Komunikasi dan Informatika Kota Singkawang Tabel 19.6 Pengelolaan Parkir Di Kota Singkawang Berdasarkan Jumlah Titik Parkir dan Jumlah Juru Parkir Keadaan Tahun 2008 - 2011 No Tahun Jumlah Titik Parkir Jumlah Juru Parkir 1 2008 75 180 2 2009 75 180 3 2010 75 185 4 2011 75 185 Sumber Data : Dinas Perhubungan, Komunikasi dan Informatika Kota Singkawang Database Kota Singkawang Tahun 2011| 255
  • 204.
    Perhubungan, Pos danTelekomunikasi Tabel 19.7 Jumlah Pengujian Kendaraan Bermotor Di Unit Pengujian Kendaraan Bermotor Singkawang Berdasarkan Jenis Kendaraan Yang Diuji dan Bulan Keadan Per 31 Desember 2011 Banyaknya Kendaraan Yang Diuji Pada Bulan No Jenis Kendaraan Jumlah Jan Peb Mar Apr Mei Jun Jul Ags Sep Okt Nov Des I Mobil Penumpang Oplet 8 9 5 1 5 6 6 11 5 4 6 3 69 Taxsi - - - - - - - - - - - - - ST. Wagon 1 2 9 12 6 10 1 4 12 9 11 14 91 II Mobil BIS Mini Bis 11 15 16 10 3 10 4 9 16 11 4 12 121 BIS 25 26 18 21 27 30 29 28 21 14 27 28 294 III Mobil Barang Pick Up 138 136 137 121 140 129 128 126 126 100 170 142 1.593 Pick Up Double Cabin 1 5 5 2 5 1 3 4 7 3 7 2 45 Truck 101 85 115 105 98 98 117 98 111 91 117 100 1.236 Dump Truck 22 21 32 26 34 16 31 29 23 24 37 28 323 Bst. Wagon/Box 33 38 34 33 26 36 25 33 37 19 39 38 391 Tangki 5 3 6 - 8 3 2 3 3 1 6 2 42 Tronton - - - - - - - 1 - - 1 - 2 Head Traktor - - - - - - - - - - - - - Lain - lain - - - - - - - - - - - - - Jumlah 2011 345 340 377 331 352 339 346 346 361 276 425 369 4.207 Jumlah 2010 325 239 356 355 349 319 374 324 325 337 314 398 4015 Jumlah 2009 264 341 373 305 361 330 318 275 315 349 380 291 3.902 Sumber Data : Dinas Perhubungan, Komunikasi dan Informatika Kota Singkawang Tabel 19.8 Jumlah Izin Trayek Yang Dikeluarkan Keadaan Tahun 2009 - 2011 No Bulan Tahun 2009 Tahun 2010 Tahun 2011 1 Januari 12 12 25 2 Pebruari 14 14 26 3 Maret 14 14 20 4 April 22 22 17 5 Mei 16 16 15 6 Juni 32 32 17 7 Juli 23 23 24 8 Agustus 17 17 20 9 September 16 16 20 10 Oktober 21 21 15 11 November 21 21 19 12 Desember 63 63 11 Jumlah 271 271 229 Sumber Data : Dinas Perhubungan, Komunikasi dan Informatika Kota Singkawang Database Kota Singkawang Tahun 2011| 256
  • 205.
    Perhubungan, Pos danTelekomunikasi Tabel 19.9 Realisasi Retribusi Bidang Perhubungan Berdasarkan Jenis Retribusi Keadaan Tahun 2009 - 2011 No Jenis Retribusi Tahun 2009 Tahun 2010 Tahun 2011 1 Retribusi Parkir 58.627.000 68.550.000 78.100.000 Retribusi Pengujian Kendaraan 2 227.926.000 228.387.500 251.353.500 Bermotor 3 Retribusi Terminal 48.700.000 42.250.000 36.900.000 4 Retribusi Izin Trayek 7.450.000 6.885.000 6.585.000 Sumber Data : Dinas Perhubungan, Komunikasi dan Informatika Kota Singkawang Tabel 19.10 Jumlah Kapal Yang Bersandar Di Pelabuhan Kuala dan Jumlah Barang Yang Dibongkar / Muat Periode Januari s/d 31 Desember 2011 Jumlah Kapal Jumlah Barang Yang Jumlah Barang Yang No. Bulan Yang Sandar Dibawa Masuk/ Dibawa Keluar / (Unit) Bongkar (Ton) Muat (Ton) 1 Januari 14 385,900 392,900 2 Pebruari 14 666,800 329,200 3 Maret 18 667,100 278,225 4 April 16 522,200 335,175 5 Mei 21 919,500 561,600 6 Juni 18 506,800 394,700 7 Juli 15 762,700 351,500 8 Agustus 13 170,300 83,300 9 September 10 122,900 141,500 10 Oktober 17 678,000 469,075 11 November 20 527,400 375,990 12 Desember 10 282,700 233,334 Jumlah 2011 186 6.212,300 3.946,499 Jumlah 2010 188 6.372,000 4.835 Jumlah 2009 182 7.816,000 5.586 Jumlah 2008 170 7.556,000 5.585 Sumber Data : Dinas Perhubungan, Komunikasi dan Informatika Kota Singkawang Database Kota Singkawang Tahun 2011| 257
  • 206.
    Perhubungan, Pos danTelekomunikasi Tabel 19.11 Jumlah Penumpang Pesawat Udara Dari Kota Singkawang Melalui Bandara Supadio Berdasarkan Tujuan Keadaan Tahun 2009 - 2011 Tahun 2009 Tahun 2010 Tahun 2011 Tujuan Tujuan Tujuan Luar Negeri Luar Negeri Luar Negeri Domestik Domestik Domestik No. Bulan Jumlah Jumlah Jumlah 1 Januari 3.117 28 3.145 2.519 28 2.547 2.605 39 2.644 2 Pebruari 4.609 31 4.640 3.644 31 3.675 3.621 39 3.660 3 Maret 3.509 35 3.544 3.749 44 3.793 3.824 27 3.851 4 April 2.578 28 2.606 3.388 20 3.408 2.806 31 2.837 5 Mei 2.523 32 2.555 3.121 29 3.150 2.571 25 2.596 6 Juni 3.140 30 3.170 3.216 28 3.244 2.665 38 2.703 7 Juli 3.326 21 3.347 3.154 15 3.169 3.046 26 3.072 8 Agustus 3.123 9 3.132 3.438 32 3.470 3.365 35 3.400 9 September 3.049 5 3.054 3.128 14 3.142 3.473 30 3.503 10 Oktober 3.216 17 3.233 4.533 29 4.562 3.942 28 3.970 11 November 2.817 7 2.824 3.530 23 3.553 3.128 27 3.155 12 Desember 2.943 24 2.967 0 0 0 3.743 32 3.775 Jumlah 37.950 267 38.217 37.420 293 37.713 38.789 377 39.166 Sumber Data : Dinas Perhubungan, Komunikasi dan Informatika Kota Singkawang Tabel 19.12 Kiriman Surat Melalui Kantor Pos Singkawang Periode Januari s/d 31 Desember 2011 Surat Dalam Negeri Surat Luar Negeri No Bulan Dikirim Diterima Dikirim Diterima (Lembar) (Lembar) (Lembar) (Lembar) 1 Januari 32.113 49.358 142 53 2 Februari 25.465 34.305 37 45 3 Maret 20.386 38.502 83 52 4 April 27.465 30.165 31 27 5 Mei 26.093 20.915 78 59 6 Juni 24.937 33.137 87 64 7 Juli 21.586 34.291 112 70 8 Agustus 30.501 29.989 156 41 9 September 38.917 58.081 183 68 10 Oktober 30.305 21.753 97 38 11 November 28.381 21.036 91 32 12 Desember 25.964 40.111 188 75 Jumlah 332.113 411.643 1.285 624 Sumber Data : PT (Persero) Pos Indonesia Cabang Singkawang Database Kota Singkawang Tahun 2011| 258
  • 207.
    Perhubungan, Pos danTelekomunikasi Tabel 19.13 Kiriman Barang Melalui Kantor Pos Singkawang Periode Januari s/d 31 Desember 2011 Surat Dalam Negeri Surat Luar Negeri No Bulan Dikirim Diterima Dikirim Diterima (Kg) (Kg) (Kg) (Kg) 1 Januari 2.200.000 4.531.000 142.000 254.000 2 Februari 1.800.000 2.321.000 139.000 186.800 3 Maret 3.010.000 4.199.200 151.000 195.850 4 April 1.580.000 3.850.000 143.500 235.900 5 Mei 2.458.000 3.761.000 138.900 156.700 6 Juni 3.000.400 4.000.050 128.400 345.500 7 Juli 1.140.000 4.230.000 139.800 201.250 8 Agustus 3.450.000 4.976.000 290.800 166.440 9 September 3.010.000 4.932.250 275.000 121.000 10 Oktober 1.380.000 3.500.400 102.500 145.000 11 November 1.171.000 4.239.500 90.000 94.000 12 Desember 1.000.600 5.850.000 101.500 140.000 Jumlah 25.200.000 50.390.400 1.842.400 2.242.440 Sumber Data : PT (Persero) Pos Indonesia Cabang Singkawang Tabel 19.14 Jumlah Perusahaan Angkutan Barang Melalui Udara (Cargo) dan Jasa Titipan Keadaan Tahun 2009 - 2011 No Uraian Tahun 2009 Tahun 2010 Tahun 2011 1 Jumlah Perusahaan 20 18 23 2 Jumlah Barang Yang Dibawa (kg) 109.066 108.058 140.512 Sumber Data : Dinas Perhubungan, Komunikasi dan Informatika Kota Singkawang Tabel 19.15 Data Jumlah Barang Yang Diangkut Melalui Angkutan Udara (Cargo) Dari Singkawang Melalui Bandara Supadio Pontianak Keadaaan Tahun 2009 – 2011 B u l a n (Kg) Jumlah Kota No Kota Tujuan keberangkatan Jan Feb Mar Apr Mei Juni Juli Agst Sep Okt Nov Des (Kg) 1 Pontianak All for cargo to CGK Jumlah 2011 tda Jumlah 2010 10.248 10.248 10.486 9.948 9.110 9.338 10.340 9.690 9.400 9.250 10.000 - 108.058 Jumlah 2009 14.810 10.853 8.480 8.650 9.965 9.041 8.817 7.283 8.878 8.507 5.866 7.916 109.066 Sumber Data : Dinas Perhubungan, Komunikasi dan Informatika Kota Singkawang Database Kota Singkawang Tahun 2011| 259
  • 208.
    Perhubungan, Pos danTelekomunikasi Tabel 19.16 Jumlah Operator Telekomunikasi/Telekomunikasi Seluler, Menara Telekomunikasi dan Pedagang Alat/Perangkat Telekomunikasi Di Kota Singkawang Keadaan Tahun 2009 - 2011 No Uraian Tahun 2009 Tahun 2010 Tahun 2011 1 Jumlah Operator Telekomunikasi/ Telekomunikasi Seluler 4 4 4 2 Jumlah Menara Telekomunikasi 32 37 38 3 Pedagang Alat/Perangkat Telekomunikasi 201 167 215 Sumber Data : Dinas Perhubungan, Komunikasi dan Informatika Kota Singkawang Tabel 19.17 Usaha Warung Internet, Radio Swasta Di Kota Singkawang Keadaan Tahun 2009 - 2011 No Jenis Usaha Tahun 2009 Tahun 2010 Tahun 2011 1 Warung Internet 27 93 93 2 Radio Swasta 7 6 6 Sumber Data : Dinas Perhubungan, Komunikasi dan Informatika Kota Singkawang Database Kota Singkawang Tahun 2011| 260
  • 209.
    Pariwisata dan Kebudayaan 20.Pariwisata dan Kebudayaan Sebagai kota tujuan wisata di Kalimantan Barat Kota Singkawang memiliki berbagai sarana penunjang untuk memberikan kemudahan kepada para wisatawan yang datang maupun sebagai obyek daya tarik wisata. Secara umum sarana penunjang yang ada di Kota Singkawang dapat dikategorikan 3 jenis usaha yaitu usaha sarana pariwisata, usaha jasa pariwisata, dan usaha rekreasi dan hiburan umum. Untuk usaha sarana pariwisata yang meliputi hotel pada tahun 2011 terdapat 23 hotel dengan 695 kamar dan rumah kost sebanyak 47 unit usaha. Sedangkan restoran/rumah makan terdapat 112 unit usaha serta 298 usaha warung minum/warung kopi. Pada tahun 2011 jumlah kunjungan tamu hotel sebanyak 87.437 orang, kunjungan tamu naik 15.007 orang jika dibanding tahun 2010 yang sebanyak 72.430 Usaha jasa pariwisata sesuai dengan kegiatan usahanya seharusnya mampu menjadi penggerak dalam memperkenalkan atau mempromosikan pariwisata yang ada di Singkawang. Sampai tahun 2011 usaha jasa pariwisata yang ada di Singkawang berjumlah 32 unit usaha dimana sebagian besar yaitu 31 unit usaha bergerak pada biro perjalanan wisata, dan 1 Pramuwisata. Sedangkan usaha jasa pariwisata lainnya sampai saat ini masih belum ada di Kota Singkawang. Sedangkan usaha rekreasi dan hiburan umum yang terdapat 10 jenis usaha dengan 128 unit usaha. Salah satu usaha rekreasi dan hiburan umum yang menjadi kebanggaan masyarakat Kota Singkawang adalah taman rekreasi yang menawarkan panorama pantai, pegunungan maupun taman bunga, Pada tahun 2011 terdapat 7 usaha taman rekreasi dengan jumlah pengunjung sebanyak 543.433 orang. Jumlah ini mengalami kenaikan 59.025 orang jika dibanding tahun 2010 yang jumlahnya 484.408 orang. Sebagai kota tujuan wisata maka berbagai produk maupun potensi daya tarik wisata diharapkan dapat mendorong kedatangan wisatawan ke Kota Singkawang. Dengan kehadiran wisatawan diharapkan dapat memberikan dampak yang signifikan pada peningkatan kesejahteraan masyarakat juga pada peningkatan Pendapatan Asli Daerah melalui pajak yang dapat dipungut. Untuk jumlah sanggar kesenian pada tahun 2011 tidak mengalami perubahan masih sama dengan jumlah sanggar kesenian pada tahun 2010 yaitu sebanyak 26 sanggar, Jumlah pekerja seni sebanyak 35 orang dan kelompok kesenian tradisional 6 kelompok kesenian tradisional. Database Kota Singkawang Tahun 2011 | 261
  • 210.
    Pariwisata dan Kebudayaan Tabel 20.1 Jumlah Usaha Sarana Pariwisata Di Kota Singkawang Berdasarkan Jenis Usaha Keadaan Tahun 2009 - 2011 No Jenis Usaha Tahun 2009 Tahun 2010 Tahun 2011 1 Hotel 21 22 23 1. Jumlah Kamar 595 695 695 2. Jumlah Tempat Tidur 907 990 990 2 Rumah Kost 37 41 47 3 Restoran/Rumah Makan 83 106 112 4 Warung Kopi 149 298 t.a.d Sumber Data : Dinas Kebudayaan, Pariwisata, Pemuda dan Olahraga Kota Singkawang Tabel 20.2 Jumlah Kunjungan Tamu Hotel Di Kota Singkawang Keadaan Tahun 2009 - 2011 No Bulan Tahun 2009 Tahun 2010 Tahun 2011 1 Januari 5.053 6.057 9.040 2 Pebruari 7.187 7.243 8.619 3 Maret 4.727 5.946 7.255 4 April 4.379 5.646 7.690 5 Mei 4.672 5.096 7.368 6 Juni 4.965 5.765 8.391 7 Juli 5.199 5.972 8.601 8 Agustus 4.827 4.886 6.782 9 September 4.644 5.664 7.781 10 Oktober 4.683 5.252 7.337 11 November 3.008 6.702 7.561 12 Desember 1.062 8.201 8.371 Jumlah 54.406 72.430 87.437 Sumber Data : Dinas Kebudayaan, Pariwisata, Pemuda dan Olahraga Kota Singkawang Database Kota Singkawang Tahun 2011 | 262
  • 211.
    Pariwisata dan Kebudayaan Tabel 20.3 Jumlah Usaha Jasa Pariwisata Di Kota Singkawang Berdasarkan Jenis Usaha Keadaan Tahun 2009 - 2011 No Jenis Usaha Tahun 2009 Tahun 2010 Tahun 2011 1 Biro Perjalanan Wisata 6 31 31 2 Agen Biro Perjalanan Wisata 1 1 - 3 Cabang Biro Perjalanan Wisata - - - 4 Ticketing 17 - 5 Lainnya 6 - 6 Pramuwisata - - 1 (HPI) 7 Pengatur Wisata - - - Sumber Data : Dinas Kebudayaan, Pariwisata, Pemuda dan Olahraga Kota Singkawang Tabel 20.4 Jumlah Usaha Rekreasi dan Hiburan Umum Di Kota Singkawang Berdasarkan Jenis Usaha Keadaan Tahun 2009 - 2011 No Jenis Usaha Tahun 2009 Tahun 2010 Tahun 2011 1 Taman Rekreasi 6 6 7 2 Billiar 20 20 3 Café 11 12 40 4 Diskotik 2 2 2 5 Karaoke 21 21 30 6 Studio Foto 7 7 7 7 Permainan Ketangkasan 3 3 3 8 Salon 30 30 30 9 Gedung Pertemuan - - 4 10 Pusat Kebugaran - - 5 Sumber Data : Dinas Kebudayaan, Pariwisata, Pemuda dan Olahraga Kota Singkawang Database Kota Singkawang Tahun 2011 | 263
  • 212.
    Pariwisata dan Kebudayaan Tabel 20.5 Jumlah Kunjungan Wisatawan Ke Taman Rekreasi Di Kota Singkawang Keadaan Tahun 2009 - 2011 No Bulan Tahun 2009 Tahun 2010 Tahun 2011 1 Januari 58.196 59.746 98.333 2 Pebruari 25.603 105.735 64.538 3 Maret 13.835 29.419 15.621 4 April 13.216 27.527 57.532 5 Mei 27.782 25.032 54.868 6 Juni 25.955 27.646 63.882 7 Juli 29.281 29.274 28.562 8 Agustus 15.638 15.519 20.327 9 September 65.127 74.457 57.699 10 Oktober 13.496 15.523 19.804 11 November 22.218 24.100 26.395 12 Desember 18.194 50.430 35.873 Jumlah 328.541 484.408 543.433 Sumber Data : Dinas Kebudayaan, Pariwisata, Pemuda dan Olahraga Kota Singkawang Tabel 20.6 Jumlah Wisatawan Ke Kota Singkawang Keadaan Tahun 2009 - 2011 Jumlah Wisatan No Tahun Nusantara Mancanegara Jumlah 1 2009 385.398 436 385.834 2 2010 484.408 484.408 3 2011 636.813 1.317 638.130 Sumber Data : Dinas Kebudayaan, Pariwisata, Pemuda dan Olahraga Kota Singkawang Tabel 20.7 Jumlah Sanggar Kesenian dan Pekerja Seni Di Kota Singkawang Keadaan Tahun 2009 - 2011 No Uraian Tahun 2009 Tahun 2010 Tahun 2011 1 Sanggar Kesenian 26 26 26 Jumlah Anggota 984 984 984 2 Pekerja Seni 36 35 35 3 Kelompok Kesenian Tradisional - 6 6 Sumber Data : Dinas Kebudayaan, Pariwisata, Pemuda dan Olahraga Kota Singkawang Database Kota Singkawang Tahun 2011 | 264
  • 213.
    Kesejahteraan Sosial, TenagaKerja dan Transmigrasi 21. Kesejahteraan Sosial, Tenaga Kerja dan Transmigrasi Salah satu indikator dalam menilai keberhasilan atau kegagalan pembangunan adalah peningkatan PDRB dan berkurangnya jumlah kemiskinan. Namun untuk menentukan jumlah keluarga miskin merupakan suatu yang tidak mudah walaupun sudah ada beberapa kriteria untuk menentukannya. Akibatnya identifikasi keluarga yang tergolong miskin seringkali tidak tepat sasaran. Apalagi jika penentuan keluarga miskin terkait dengan bantuan yang akan diberikan maka kecenderungannya jumlah keluarga miskin akan bertambah. Hal ini juga yang terjadi di Singkawang dimana pada tahun 2011 jumlah keluarga miskin mencapai 14.062 KK dari 39.537 KK atau prelevansinya 35,57%. Keluarga miskin tersebut dikelompokan hampir miskin 11.054 KK, miskin 1.836 KK dan fakir miskin 1.172 KK. Selain keluarga miskin untuk mengetahui tingkat pendapatan masyarakat dikenal dengan istilah keluarga pra sejahtera dan keluarga sejahtera yang digolongkan dalam beberapa kelompok. Dalam tahun 2011 di Kota Singkawang jumlah Keluarga Sejahtera I dengan alasan ekonomi 13.061 KK, Keluarga Sejahtera II 21.247 KK, Keluarga Sejahtera III 14.370 KK dan Kelaurga Sejahtera III 5.320 KK. Dari data Pengadilan Agama Bengkayang di Singkawang pada tahun 2011 untuk Kota Singkawang terdapat 231 pengajuan cerai dengan rincian 78 pengajuan cerai talak dan 217 pengajuan cerai gugat. Faktor penyebab pengajuan gugatan perceraian adalah ketidakharmonisan 178 gugatan, dan 68 gugatan faktor-faktor lainnya. Jumlah keputusan yang dikeluarkan khusus untuk yang diajukan masyarakat Singkawang sebanyak 331 keputusan. Yang paling banyak adalah cerai gugat sebanyak 177 keputusan diikuti cerai talak 78 keputusan. Jumlah angkatan kerja Kota Singkawang pada Tahun 2011 sebanyak 117.971 orang, jumlah penganggur 61.440 orang, jumlah yang bekerja 56.531 orang. Walaupun Singkawang berbentuk Pemerintah Kota namun juga menerima transmigrasi dari luar Kalimantan Barat. Sampai dengan Tahun 2010 telah ditempatkan transmigrasi sebanyak 442 KK atau 1.830 jiwa baik yang berasal dari luar Kalimantan Barat maupun transmigrasi penduduk lokal. Database Kota Singkawang Tahun 2011 | 265
  • 214.
    Kesejahteraan Sosial, TenagaKerja dan Transmigrasi Tabel 21.1 Sebaran Keluarga Miskin Tingkat Kelurahan se-Kota Singkawang Keadaan Tahun 2009 - 2011 Tahun 2009 Tahun 2010 Tahun 2011 Kecamatan / No. Jumlah Jumlah Jumlah Kelurahan Hampir Miskin Fakir Keluarga Hampir Miskin Fakir Keluarga Hampir Miskin Fakir Keluarga Miskin Miskin Miskin Miskin Miskin Miskin Miskin Miskin Miskin 1 Singkawang Barat 1,264 165 151 1,580 1,264 164 151 1,579 1,264 164 151 1,579 Kuala 241 49 70 360 241 49 69 359 241 49 69 359 Melayu 183 16 12 211 183 16 12 211 183 16 12 211 Tengah 122 17 0 139 122 17 0 139 122 17 0 139 Pasiran 718 83 69 870 718 82 70 870 718 82 70 870 2 Singkawang Tengah 3,060 427 343 3,830 3,060 427 343 3,830 3,060 427 343 3,830 Condong 495 51 11 557 495 51 11 557 495 51 11 557 Sekip Lama 396 80 31 507 396 80 31 507 396 80 31 507 Bukit Batu 243 34 63 340 243 34 63 340 243 34 63 340 Sei Wie 191 38 33 262 191 38 33 262 191 38 33 262 Jawa 117 10 7 134 117 10 7 134 117 10 7 134 Roban 1,618 214 198 2,030 1,618 214 198 2,030 1,618 214 198 2,030 3 Singkawang Utara 1,673 393 240 2,306 1,673 393 240 2,306 1,673 393 240 2,306 Sei Garam 174 26 10 210 174 26 10 210 174 26 10 210 Naram 155 22 9 186 155 22 9 186 155 22 9 186 Sei Bulan 185 25 17 227 185 25 17 227 185 25 17 227 Sei Rasau 123 30 7 160 123 30 7 160 123 30 7 160 Setapuk Kecil 125 30 84 239 125 30 84 239 125 30 84 239 Setapuk Besar 633 212 61 906 633 212 61 906 633 212 61 906 Semelagi Kecil 278 48 52 378 278 48 52 378 278 48 52 378 4 SingkawangTimur 931 504 175 1,610 2,069 432 175 2,676 2,069 432 175 2,676 Pajintan 556 280 86 922 556 208 86 850 556 208 86 850 Sanggau Kulor 230 33 8 271 230 33 8 271 230 33 8 271 Mayasopa 45 45 14 104 583 45 14 642 583 45 14 642 Bagak Sahwa 60 60 27 147 281 60 27 368 281 60 27 368 Nyarumkop 40 86 40 166 419 86 40 545 419 86 40 545 5 Singkawang Selatan 2,988 420 263 3,671 2,988 420 263 3,671 2,988 420 263 3,671 Sedau 1,482 252 207 1,941 1,482 252 207 1,941 1,482 252 207 1,941 Sijangkung 501 66 16 583 501 66 16 583 501 66 16 583 Pangmilang 631 32 11 674 631 32 11 674 631 32 11 674 Sagatani 374 70 29 473 374 70 29 473 374 70 29 473 Jumlah 9,916 1,909 1,172 12,997 11,054 1,836 1,172 14,062 11,054 1,836 1,172 14,062 Sumber Data : Dinas Sosial, Tenaga Kerja dan Transmigrasi Kota Singkawang Database Kota Singkawang Tahun 2011 | 266
  • 215.
    Kesejahteraan Sosial, TenagaKerja dan Transmigrasi Tabel 21.2 Sebaran Keluarga Miskin Di Kota Singkawang Keadaan Tahun 2009 - 2011 Tahu 2009 Tahun 2010 Tahun 2011 Kecamatan / No. Jumlah Kelurahan Jumlah KK Jumlah Jumlah Jumlah Jumlah KK Miskin KK KK Miskin KK KK Miskin 1 Singkawang Barat 1,579 10,969 Kuala 359 1,618 Melayu 211 2,604 Tengah 139 453 Pasiran 870 6,294 2 Singkawang Tengah 3,830 12,221 Condong 557 2,440 Sekip Lama 507 1,490 Bukit Batu 340 726 Sei Wie 262 865 Jawa 134 821 Roban 2,030 5,879 3 Singkawang Utara 2,306 4,765 Sei Garam 210 709 Naram 186 459 Sei Bulan 227 400 tad tad tad tad Sei Rasau 160 411 Setapuk Kecil 239 558 Setapuk Besar 906 1,401 Semelagi Kecil 378 827 4 Singkawang Timur 2,676 3,745 Pajintan 850 1,253 Sanggau Kulor 271 506 Mayasopa 642 716 Bagak Sahwa 368 481 Nyarumkop 545 789 5 Singkawang Selatan 3,671 7,837 Sedau 1,941 4,629 Sijangkung 583 1,533 Pangmilang 674 805 Sagatani 473 607 Jumlah 14,062 39,537 Sumber Data : Dinas Sosial, Tenaga Kerja dan Transmigrasi Kota Singkawang Database Kota Singkawang Tahun 2011 | 267
  • 216.
    Kesejahteraan Sosial, TenagaKerja dan Transmigrasi Tabel 21.3 Sebaran Keluarga Miskin Serta Prevalensinya Di Kota Singkawang Keadaan Tahun 2009 - 2011 Tahun 2009 Tahun 2010 Tahun 2011 Kecamatan / No. Kelurahan Jumlah Jumlah Prevalensi Jumlah Jumlah Prevalensi Jumlah Jumlah Prevalensi KK Miskin KK % KK Miskin KK % KK Miskin KK % 1 Singkawang Barat 1,579 10,969 14.40% Kuala 359 1,618 22.19% Melayu 211 2,604 8.10% Tengah 139 453 30.68% Pasiran 870 6,294 13.82% 2 Singkawang Tengah 3,830 12,221 31.34% Condong 557 2,440 22.83% Sekip Lama 507 1,490 34.03% Bukit Batu 340 726 46.83% Sei Wie 262 865 30.29% Jawa 134 821 16.32% Roban 2,030 5,879 34.53% 3 Singkawang Utara 2,306 4,765 48.39% Sei Garam 210 709 30% Naram 186 459 41% Sei Bulan 227 400 57% tad tad Sei Rasau 160 411 39% Setapuk Kecil 239 558 43% Setapuk Besar 906 1,401 65% Semelagi Kecil 378 827 46% 4 Singkawang Timur 2,676 3,745 71.46% Pajintan 850 1,253 68% Sanggau Kulor 271 506 54% Mayasopa 642 716 90% Bagak Sahwa 368 481 77% Nyarumkop 545 789 69% 5 Singkawang Selatan 3,671 7,837 46.84% Sedau 1,941 4,629 42% Sijangkung 583 1,533 38% Pangmilang 674 805 84% Sagatani 473 607 78% Jumlah 14,062 39,537 35.57% Sumber Data : Badan Pemberdayaan Masyarakat, Perempuan dan Keluarga Berencana Kota Singkawang Database Kota Singkawang Tahun 2011 | 268
  • 217.
    Kesejahteraan Sosial, TenagaKerja dan Transmigrasi Tabel 21.4 Keluarga Sejahtera Di Kota Singkawang Berdasarkan Kecamatan dan Tingkat Kesejahteraan Keadaan Tahun 2010 - 2011 Keluarga Sejahtera I Keluarga Keluarga Keluarga Bukan Sejahtera No Kecamatan Alasan Sejahtera Sejahtera Alasan III Plus Ekonomi II (KK) III (KK) Ekonomi (KK) (KK) (KK) 1 Singkawang Barat 2073 0 6423 5471 2245 2 Singkawang Tengah 2475 0 3862 4161 1989 3 Singkawang Utara 2491 0 3237 2516 718 4 Singkawang Timur 3047 0 4074 426 191 5 Singkawang Selatan 2975 0 3642 1796 177 Jumlah 2011 13061 0 21238 14370 5320 Jumlah 2010 4,783 5,520 17,609 16,898 4,451 Sumber Data : Badan Pemberdayaan Masyarakat, Perempuan dan Keluarga Berencana Kota Singkawang Tabel 21.5 Gugatan Perceraian di Pengadilan Agama Bengkayang di Singkawang Berdasarkan Daerah Keadaan Tahun 2009 - 2011 Jenis Gugatan Percerain Yang Diajukan NO BULAN Singkawang Bengkayang Cerai Talak Cerai Gugat Cerai Talak Cerai Gugat 1 Januari 7 7 - - 2 Pebruari 11 9 - - 3 Maret 7 16 1 1 4 April 5 25 4 2 5 Mei 5 14 - 5 6 Juni 8 24 2 1 7 Juli 10 18 1 5 8 Agustus 8 21 - - 9 September 1 25 4 4 10 Oktober 6 14 1 6 11 Nopember 3 22 2 2 12 Desember 7 22 - - Jumlah 2011 78 217 15 26 Jumlah 2010 45 132 11 43 Jumlah 2009 39 146 13 45 Sumber Data : Pengadilan Agama Bengkayang di Singkawang Database Kota Singkawang Tahun 2011 | 269
  • 218.
    Kesejahteraan Sosial, TenagaKerja dan Transmigrasi Tabel 21.6 Faktor-Faktor Penyebab Gugatan Perceraian di Pengadilan Agama Bengkayang di Singkawang Keadaan Tahun 2009 - 2011 Faktor-Faktor Penyebab Gugatan Perceraian Meninggalkan Terus-menerus Moral Kewajiban berselisih Kawin dibawah umur Jumlah Cacat Biologis Penganiayaan Dihukum No Tanggung Jawab Poligami Tidak Keharmonisan Krisis Akhlak Pihak Ketiga Kawin Paksa Bulan Tidak Ada Gangguan Tidak ada Cemburu Ekonomi Politis Sehat 1 Januari - - - - 1 2 - - - - - 3 13 19 2 Pebruari - - - - 1 - - - - - - - 12 13 3 Maret - - - - - 1 - - - - - - 6 7 4 April - - - - - 1 - - - - - 2 12 15 5 Mei - - - - 2 1 - - - - - 2 17 22 6 Juni - - - - - 2 - - - - - - 19 21 7 Juli - - - - - 3 - - - - - 3 26 32 8 Agustus - - - - - 5 - - - - - 4 15 26 9 September - 2 - - 1 3 - - - - - 1 5 10 10 Oktober - - - - 1 7 - - - - - 4 12 24 11 Nopember - - - - - 6 - - - - - 2 16 24 12 Desember - - - - - 5 - - - - - 3 25 33 Jumlah 2011 - 2 - - 6 49 - - - - - 24 178 246 Jumlah 2010 - 8 - - 4 49 - - - - - 43 126 230 Jumlah 2009 - 5 - - 3 65 - - - 1 - 19 98 191 Sumber Data : Pengadilan Agama Bengkayang di Singkawang Database Kota Singkawang Tahun 2011 | 270
  • 219.
    Kesejahteraan Sosial, TenagaKerja dan Transmigrasi Tabel 21.7 Putusan Pengadilan Agama Bengkayang di Singkawang Berdasarkan Bulan, Jenis Keputusan dan Daerah Keadaan Tahun 2009 - 2011 Jenis Gugatan Yang Dikabulkan Singkawang Bengkayang Penunjukan Orang Penunjukan Orang lain sebagai Wali lain sebagai Wali Harta Bersama Harta Bersama Izin Poligami Izin Poligami Cerai Gugat Cerai Gugat Cerai Talak Cerai Talak Isbat Nikah Isbat Nikah No Bulan Wali Adhal Wali Adhal Penetapan Penetapan Ahli Waris Ahli Waris Jumlah Jumlah 1 Januari 7 7 - 2 - 1 - - 17 - - - - - - - - 0 2 Pebruari 11 9 - - - - - 1 21 - - - - - - - - 0 3 Maret 7 16 - - - 1 1 - 25 1 1 - - - - - - 2 4 April 5 25 - 1 - 1 1 - 33 4 2 - - - - - - 6 5 Mei 5 14 2 - - 1 - 1 23 - 5 - - - - - - 5 6 Juni 8 24 - 1 - 1 - - 34 2 1 - - - - - - 3 7 Juli 10 18 - 2 - - - - 30 1 5 - - - - - - 6 8 Agustus 8 21 - 3 - 2 1 - 35 - - - - - - - - 0 9 September 1 25 1 - - - 2 - 29 4 4 - - - - - - 8 10 Oktober 6 14 - 1 - 1 1 - 23 1 6 - - - - - - 7 11 Nopember 3 22 - 3 - - - - 28 2 2 - - - - - - 4 12 Desember 7 22 - 2 - 1 1 - 33 - - - - - - - - 0 Jumlah 2011 78 217 3 15 0 9 7 2 331 15 26 0 0 0 0 0 0 41 Jumlah 2010 45 132 1 2 - 4 8 - 192 11 43 - - - 1 - - 55 Jumlah 2009 39 146 - 9 2 3 2 2 203 13 45 - - - - - - 58 Sumber Data : Pengadilan Agama Bengkayang di Singkawang Database Kota Singkawang Tahun 2011 | 271
  • 220.
    Kesejahteraan Sosial, TenagaKerja dan Transmigrasi Tabel 21.8 Angkatan Kerja Di Kota Singkawang Berdasarkan Kecamatan, Jenis Pekerjaan, Jumlah yang Bekerja dan Jumlah Angkatan Kerja Keadaan tahun 2010 - 2011 Pekerja (Di Sektor) Penganggur Jasa Perusahaan dan Komunikasi Persewaan dan dan Air Bersih Pengangkutan Jumlah Jumlah dan Restoran Perdagangan Pengolahan Listrik, Gas Keuangan, Pertanian Bangunan Jasa-Jasa No Kecamatan yang Angkatan Industri Hotel PNS TKI Bekerja Kerja 1 Singkawang Barat 16.072 500 17 5 106 177 523 53 129 1.000 33 2.453 18.615 2 Singkawang Timur 6.721 2.782 7 3 13 458 27 554 1.325 721 32 5.922 12.643 3 Singkawang Tengah 17.804 1.311 131 85 1.433 187 1.115 11.010 3.700 523 226 19.721 37.525 4 Singkawang Utara 6.989 4.328 258 6 236 562 65 203 2.804 672 207 9.341 16.330 5 Singkawang Selatan 13.854 10.800 167 5 145 581 70 1.256 5.336 550 94 19.004 32.858 Jumlah 2011 61.440 19.721 580 104 1.933 1.965 1.800 13.076 13.294 3.466 592 56.531 117.971 Jumlah 2010 56,057 14,757 537 39 841 4,040 382 3,592 41,329 7,488 460 73,005 129,062 Sumber Data : Dinas Sosial, Tenaga Kerja dan Transmigrasi Kota Singkawang Tabel 21.9 Jumlah Penduduk Usia Kerja (15 Tahun Keatas) Menurut Angkatan Kerja dan Bukan Angkatan Kerja Kota Singkawang Keadaan Tahun 2010 - 2011 Angkatan Kerja Bukan Angkatan Kerja TKI Jmlh Jml Penduduk Penddk Jumlah Rmh Tangga Pendapatan Penganggur Usia Jmlh Penerima Mengurus Sekolah No Kecamatan Jumlah Jumlah Bekerja Kerja Anak lain >15 L P L+P Thn 1 Singkawang Barat 16.072 2.453 11.463 11.453 10.887 576 11.463 30.078 2.555 12 21 33 2 Singkawang Timur 6.721 5.922 4.340 4.340 3.852 190 4.042 16.685 18.642 10 22 32 3 Singkawang Tengah 17.804 19.721 10.321 10.321 8.670 901 9.571 47.096 55.886 91 135 226 4 Singkawang Utara 6.989 9.341 4.321 4.321 2.880 190 3.070 19.400 21.996 88 119 207 5 Singkawang Selatan 13.854 19.004 6.670 6.670 5.992 188 6.180 39.038 42.379 23 71 94 Jumlah 2011 61.440 56.531 37.115 37.105 32.281 2.045 34.326 152.297 141.458 224 368 592 Jumlah 2010 207,822 56,057 72,545 128,602 36,311 30,472 1,695 68,478 197,080 10,282 180 280 460 Sumber Data : Dinas Sosial, Tenaga Kerja dan Transmigrasi Kota Singkawang Database Kota Singkawang Tahun 2011 | 272
  • 221.
    Kesejahteraan Sosial, TenagaKerja dan Transmigrasi Tabel 21.10 Pengangguran Di Kota Singkawang Berdasarkan Kecamatan dan Tingkat Pendidikan Keadaan Tahun 2010 - 2011 Tingkat Pendidikan No Kecamatan Jumlah > SD SD SLTP SLTA Akademi PT 1 Singkawang Barat 1.672 3.923 4.004 2.634 506 332 13.071 2 Singkawang Timur 3.456 3.356 2.987 1.970 422 202 12.393 3 Singkawang Tengah 2.991 4.562 3.822 2.996 411 389 15.171 4 Singkawang Utara 4.904 3.907 3.035 2.975 301 280 15.402 5 Singkawang Selatan 3.022 3.992 3.800 1.990 312 332 13.448 Jumlah 2011 16.045 19.740 17.648 12.565 1.952 1.535 69.485 Jumlah 2010 12,672 15,074 15,275 10,421 1,342 1,273 56,057 Sumber Data : Dinas Sosial, Tenaga Kerja dan Transmigrasi Kota Singkawang Tabel 21.11 Pencari Kerja Di Kota Singkawang Berdasarkan Bulan, Pendidikan dan Jenis Kelamin Keadaan 2009 - 2011 SD SLTP SLTA SMU/SMK DI DII DIII SI Jumlah Jumlah No. Bulan Total Lk Pr Lk Pr Lk Pr Lk Pr Lk Pr Lk Pr Lk Pr Lk Pr Lk Pr 1 Januari - - - 1 1 - 1 2 - - - - - - - 1 - - 6 2 Februari - - 1 - 1 - 1 - - - - - - - - 1 - - 4 3 Maret - 1 1 1 - 2 - - 1 - - - - - - 1 - - 7 4 April 2 2 3 3 - 1 2 2 - - - - 1 - - - - - 16 5 Mei - - - 2 1 2 2 1 - - - - - 2 8 4 - - 22 6 Juni - - 1 - 2 2 1 - - - - - - 1 3 1 - - 11 7 Juli - - - - 2 - 3 3 - - - - - - - - - - 8 8 Agustus - - - - 6 1 1 - - - - - 2 4 3 10 - - 27 9 September - - 3 2 1 4 - - - - - - 1 5 13 - - 29 10 Oktober - 2 - - 4 1 2 - - - - - 7 16 3 5 - - 40 11 November - 2 - - 1 1 - - - - - - 2 6 2 1 - - 15 12 Desember - 3 - 1 4 - 1 2 - - - - 2 4 3 2 - - 22 Jumlah 2011 2 10 6 11 24 11 18 10 1 - - - 14 34 27 39 - - 207 Jumlah 2010 5 21 11 11 7 4 478 382 2 6 22 114 180 279 353 511 1,058 1,328 2.386 Jumlah 2009 5 21 11 11 7 4 478 382 2 6 22 114 180 279 353 511 1,058 1,328 2.386 Sumber Data : Dinas Sosial, Tenaga Kerja dan Transmigrasi Kota Singkawang Database Kota Singkawang Tahun 2011 | 273
  • 222.
    Kesejahteraan Sosial, TenagaKerja dan Transmigrasi Tabel 21.12 Perbandingan Upah Di Kota Singkawang Berdasarkan Upah Minimum Regional dan Upah Minum Kota Periode 2009 - 2011 Upah Minimum Regional Upah Minimum Kota No. Tahun (Rp.) (Rp.) 1 2009 - 778,500 2 2010 - 778,500 3 2011 - 848.500 Sumber Data : Dinas Sosial, Tenaga Kerja dan Transmigrasi Kota Singkawang Tabel 21.13 Banyaknya PHK Di Kota Singkawang Berdasarkan Kecamatan Keadaan Tahun 2009-2011 Tahun 2009 Tahun 2010 Tahun 2011 No. Kecamatan Lk Pr Lk Pr Lk Pr 1 Singkawang Utara - - - - 0 0 2 Singkawang Selatan 9 - 9 - 1 0 3 Singkawang Tengah 1 - 1 - 1 2 4 Singkawang Barat 1 - 1 - 3 2 5 Singkawang Timur - - - - 1 0 Jumlah 11 0 11 0 6 4 Tabel 21.14 Jumlah Transmigrasi Yang Di Tempatkan Di Kota Singkawang Berdasarkan Lokasi dan Asal Daerah Transimgran Keadaan Tahun 2009 - 2011 Jumlah Transmigrasi Jumlah No Lokasi Transmigrasi Luar Daerah Lokal/Sisipan KK Jiwa KK Jiwa KK Jiwa 1 Transmigrasi SP I Kel. Pangmilang Tad tad tad tad tad tad Kec. Singkawang Selatan 2 Transmigrasi SP 2 Kel. Pangmilang tad tad tad tad tad tad Kec. Singkawang Selatan Jumlah 2011 - - - - - - Jumlah 2010 217 778 225 1,052 442 1,830 Jumlah 2009 214 748 225 1,040 439 1,788 Sumber Data : Dinas Sosial, Tenaga Kerja dan Transmigrasi Kota Singkawang Database Kota Singkawang Tahun 2011 | 274
  • 223.
    Kesejahteraan Sosial, TenagaKerja dan Transmigrasi Tabel 21.15 Transmigran yang Kembali Ke Daerah Asal Berdasarkan Lokasi, Jumlah Transmigrasi Yang Kembali dan Jumlah Transmigrasi Pengganti Keadaan Tahun 2009 - 2011 Tahun 2009 Tahun 2010 Tahun 2011 Jumlah yang Jumah Jumlah yang Jumah Jumlah yang Jumah No. Lokasi Transmigrasi Kembali ke Transmigrasi Kembali ke Transmigrasi Kembali ke Transmigrasi Daerah Asal pengganti Daerah Asal pengganti Daerah Asal pengganti (KK) (KK) (KK) (KK) (KK) (KK) 1 Transmigrasi SP 1 Kel. Pangmilang 91 91 45 45 Tad Tad Kec. Singkawang Selatan 2 Transmigrasi SP 2 Kel. Pangmilang 141 141 68 68 tad tad Kec. Singkawang Selatan Jumlah 232 232 113 113 - - Sumber Data : Dinas Sosial, Tenaga Kerja dan Transmigrasi Kota Singkawang Tabel 21.16 Transmigran yang Telah Mendapatkan Lahan Usaha Berdasarkan Lokasi, SP dan Jenis Lahan Usaha Keadaan Per 31 Desember 2011 Lahan Jumlah Lahan Usaha No Lokasi Pekarangan Keterangan KK Sudah Belum Sudah Belum Lahan usaha sebanyak 15 Ha / 15 KK 1. Pangmilang SP 1 192 192 - 192 - Bermasalah ( dikuasai Penduduk setempat ) Lahan usaha sebanyak 150 Ha / 150 KK 2. Pangmilang SP 2 247 97 150 247 - ( Pembagiannya tidak jelas ) Jumlah 439 289 150 439 - Sumber Data : Dinas Sosial, Tenaga Kerja dan Transmigrasi Kota Singkawang Database Kota Singkawang Tahun 2011 | 275
  • 224.
    Keagamaan 22. Keagamaan Walaupun Indonesia bukan negara agama tetapi bidang agama cukup mendapat perhatian dari pemerintah. Sehingga tidak heran jika sering kita lihat berbagai kegiatan keagamaan di masyarakat difasilitasi pemerintah baik dalam pembangunan rumah ibadah, fasilitas/prasarana fisik keagamaan lainnya maupun pengembangan sumber daya manusianya. Rumah ibadah di Kota Singkawang cukup tersedia bagi pemeluk umat beragama untuk menjalankan kewajibannya beribadah. Untuk keadaan tahun 2011 di Kota Singkawang Masjid berjumlah 116, surau 76, Gereja Kristen Protestan 73, Gereja Katholik 21, vihara 22 dan Cetya 267 buah. Dalam upaya menanamkan nilai-nilai keagamaan sejak dini kepada pemeluknya pendidikan non formal keagamaan juga tersedia. Seperti Taman Pendidikan Al Quran yang berjumlah 81, Sekolah Minggu Kristen Protestan 72, Sekolah Minggu Kristen Katholik 21 dan Sekolah Minggu Budha 10 sekolah. Sedangkan pendidikan formal keagamaan yang ada adalah pesantren sebanyak 10 pesantren. Pada tahun 2011 terdapat 12 Penyuluh Agama Islam, 2 Penyuluh Agama Kristen Protestan, 2 Penyuluh Agama Kristen Katholik dan 1 Penyuluh Agama Budha. Sedangkan pemuka agama formal yang ada di masyarakat terdiri dari Ulama 10 orang, Imam 220 orang , Khatib 378 orang, Pendeta 45 orang, Pastor 11 orang, Bruder 8 orang, Suster 50 orang, Pandhita 14 orang dan Bikhu 1 orang. Jumlah jamaah haji Kota Singkawang tahun 2011 sebanyak 138 orang terdiri dari 66 orang laki-laki dan 72 perempuan. Jumlah umat Islam yang tercatat memberikan waqaf selama tahun 2011 sebanyak 2 orang. Dan masyarakat yang tercatat menikah di KUA se Kota Singkawang sebanyak 983 pasangan. Tabel 22.1 Jumlah Pemuka Agama Di Kota Singkawang Menurut Sebutannya Keadaan Tahun 2009 - 2011 Islam Kristen Katolik Buddha No Kelurahan Ulama Imam Khatib Pendeta Pastor Bruder Suster Pandita Bikhu 1. Singkawang Tengah 6 80 120 9 - - - - - 2. Singkawang Timur 1 22 66 11 7 2 4 - - 3. Singkawang Selatan 1 46 84 9 - - - 3 1 4. Singkawang Utara 1 44 66 - - - - - - 5. Singkawang Barat 1 28 42 16 4 6 46 11 0 Jumlah 2011 10 220 378 45 11 8 50 14 1 Jumlah 2010 10 220 378 36 11 8 50 18 2 Jumlah 2009 7 310 220 59 8 16 52 18 1 Sumber Data : Kantor Kementerian Agama Kota Singkawang Database Kota Singkawang Tahun 2011 | 276
  • 225.
    Keagamaan Tabel 22.2 Jumlah Penyuluh Agama Di Kota Singkawang Berdasarkan Agama Keadaan Tahun 2009 - 2011 No Jenis Penyuluh Agama Tahun 2009 Tahun 2010 Tahun 2011 1 Penyuluh Agama Islam 9 12 12 2 Penyuluh Agama Kristen/Protestan 2 2 2 3 Penyuluh Agama Kristen Katholik 2 2 2 4 Penyuluh Agama Budha 2 1 1 Sumber Data : Kantor Kementerian Agama Kota Singkawang Tabel 22.3 Data Sarana / Fasilitas Keagamaan Di Kota Singkawang Keadaan Tahun 2010 - 2011 Tahun 2010 Tahun 2011 Kecamatan Kecamatan No. Jenis Sarana/Fasilitas Singkawang Singkawang Singkawang Singkawang Singkawang Singkawang Singkawang Singkawang Singkawan Singkawan Jumlah Jumlah Selatan Selatan Tengah Tengah Timur Timur Utara Utara Barat Barat 1. Masjid 22 28 11 40 14 115 23 29 11 39 14 116 2. Surau 16 22 6 22 10 76 16 22 6 22 10 76 3. Gereja Kristen Protestan 0 26 18 9 20 73 0 26 19 10 18 73 4. Gereja Katolik 0 5 13 1 2 21 0 5 13 1 2 21 5. Vihara 1 7 1 3 10 22 1 7 1 3 10 22 6. Cetya 11 76 21 45 114 267 11 76 21 45 114 267 7 Pesantren 1 3 1 6 1 12 1 3 0 6 0 10 8 TPA 12 17 9 23 10 71 14 18 8 27 14 81 Sekolah Minggu Kristen 9 0 25 17 9 18 69 0 26 19 10 17 72 Protestan Sekolah Minggu Kristen 10 0 5 13 1 2 21 0 5 13 1 2 21 Katholik 11 Sekolah Minggu Buddha 0 5 0 0 5 10 0 5 0 0 5 10 Sumber Data : Kantor Kementerian Agama Kota Singkawang Database Kota Singkawang Tahun 2011 | 277
  • 226.
    Keagamaan Tabel 22.4 Tabel 22.5 Jumlah Masjid Di Kota Singkawang Jumlah Surau Di Kota Singkawang Berdasarkan Kecamatan dan Kelurahan Berdasarkan Kecamatan dan Kelurahan Keadaan Tahun 2009 - 2011 Keadaan Tahun 2009 - 2011 Kecamatan / Tahun Tahun Tahun Kecamatan / Tahun Tahun Tahun No No Kelurahan 2009 2010 2011 Kelurahan 2009 2010 2011 1 Singkawang Utara 22 22 23 1 Singkawang Utara 10 16 16 1 Sei Garam Hilir 3 3 3 1 Sei Garam Hilir 2 2 2 2 Semelagi Kecil 3 3 3 2 Semelagi Kecil 2 3 3 3 Setapuk Besar 7 7 8 3 Setapuk Besar 2 5 5 4 Setapuk Kecil 3 3 3 4 Setapuk Kecil 1 1 1 5 Sei Rasau 2 2 2 5 Sei Rasau 1 1 1 6 Sei Bulan 2 2 2 6 Sei Bulan 2 2 2 7 Naram 2 2 2 7 Naram - 2 2 2 Singkawang Selatan 28 28 29 2 Singkawang Selatan 3 22 22 1 Sedau 18 18 18 1 Sedau 2 16 16 2 Pangmilang 3 3 3 2 Pangmilang - 2 3 3 Sagatani 2 2 3 3 Sagatani - 1 2 4 Sijangkung 5 5 5 4 Sijangkung 1 3 1 3 Singkawang Timur 14 11 11 3 Singkawang Timur 4 2 6 1 Pajintan 2 2 2 1 Maya Sopa 2 5 5 2 Bagak Sahwa 2 2 2 2 Nyarumkop 1 - - 3 Sanggau Kulor 1 1 1 3 Pajintan 1 - - 4 Nyarumkop 6 4 4 4 Sanggau Kulor - - - 5 Maya Sopa 3 2 2 5 Bagak Sahwa - 1 1 4 Singkawang Tengah 41 40 39 4 Singkawang Tengah 8 22 22 1 Condong 6 6 6 1 Roban 1 3 3 2 Sekip Lama 5 5 5 2 Condong 1 5 5 3 Bukit Batu 4 2 2 3 Sekip Lama 2 6 6 4 Sei Wie 3 3 3 4 Jawa 3 3 3 5 Jawa 3 3 3 5 Sei Wie 1 1 1 6 Roban 20 21 20 6 Bukit Batu - 4 4 5 Singkawang Barat 14 14 14 5 Singkawang Barat 8 10 10 1 Kuala 3 3 3 1 Pasiran 5 6 6 2 Melayu 2 2 2 2 Tengah 2 2 2 3 Tengah 1 1 1 3 Kuala 1 2 2 4 Pasiran 8 8 8 4 Melayu - - - Jumlah 119 115 116 Jumlah 33 76 76 Sumber Data : Kantor Kementerian Agama Kota Singkawang Sumber Data : Kantor Kementerian Agama Kota Singkawang Database Kota Singkawang Tahun 2011 | 278
  • 227.
    Keagamaan Tabel 22.7 Tabel 22.6 Jumlah Gereja Kristen Protestan Di Kota Singkawang Jumlah Gereja Kristen Katholik Di Kota Singkawang Berdasarkan Kecamatan dan Kelurahan Berdasarkan Kecamatan dan Kelurahan Keadaan Tahun 2009 - 2011 Keadaan Tahun 2009 - 2011 Kecamatan / Tahun Tahun Tahun Kecamatan / Tahun Tahun Tahun No No Kelurahan 2009 2010 2011 Kelurahan 2009 2010 2011 1 Singkawang Selatan 26 26 26 1 Singkawang Selatan 5 5 5 1 Sedau 10 10 9 1 Sijangkung 2 2 2 2 Pangmilang 2 2 3 2 Pangmilang 2 2 2 3 Sagatani 4 4 5 3 Sagatani 1 1 1 4 Sijangkung 10 10 9 2 Singkawang Timur 12 13 13 2 Singkawang Timur 18 18 19 1 Pajintan 4 2 2 1 Pajintan 5 5 5 2 Maya Sopa 2 3 3 2 Maya Sopa 8 8 9 3 Sanggau Kulor 2 2 2 3 Sanggau Kulor 4 4 4 4 Nyarumkop 2 4 4 4 Nyarumkop 1 1 1 5 Bagak Sahwa 2 2 2 3 Singkawang Tengah 9 9 10 3 Singkawang Tengah 1 1 1 1 Roban 8 8 8 1 Roban 1 1 1 2 Sekip Lama 1 1 1 4 Singkawang Barat 2 2 2 3 Condong - - 1 1 Pasiran 2 2 2 4 Singkawang Barat 20 20 18 Jumlah 20 21 21 1 Pasiran 18 18 16 Sumber Data : Kantor Kementerian Agama Kota Singkawang 2 Kuala 2 2 2 Jumlah 73 73 73 Sumber Data : Kantor Kementerian Agama Kota Singkawang Database Kota Singkawang Tahun 2011 | 279
  • 228.
    Keagamaan Tabel 22.9 Tabel 22.8 Jumlah Cetya Di Kota Singkawang Jumlah Vihara Di Kota Singkawang Berdasarkan Kecamatan dan Kelurahan Berdasarkan Kecamatan dan Kelurahan Keadaan Tahun 2009 - 2011 Keadaan Tahun 2009 - 2011 Kecamatan / Tahun Tahun Tahun Kecamatan / Tahun Tahun Tahun No No Kelurahan 2009 2010 2011 Kelurahan 2009 2010 2011 1 Singkawang Utara 11 11 11 1 Singkawang Utara 1 1 1 1 Sei Garam 5 5 5 1 Naram 1 1 1 2 Sei Rasau 2 2 2 2 Singkawang Selatan 7 7 7 3 Naram 1 1 1 1 Sedau 3 3 3 4 Setapuk Kecil 1 1 1 2 Sijangkung 4 1 1 5 Setapuk Besar 1 1 1 3 Sagatani - 3 3 6 Semelagi Kecil 1 1 1 3 Singkawang Timur 1 1 1 2 Singkawang Selatan 77 76 76 1 Pajintan 1 1 1 1 Sedau 54 53 53 4 Singkawang Tengah 2 3 3 2 Sijangkung 23 20 20 1 Roban 2 3 3 3 Sagatani - 3 3 5 Singkawang Barat 8 10 10 3 Singkawang Timur 20 21 21 1 Melayu 2 2 2 1 Pajintan 19 16 16 2 Pasiran 7 8 8 2 Nyarumkop 1 1 1 Jumlah 19 22 22 3 Sanggau Kulor - 3 3 Sumber Data : Kantor Kementerian Agama Kota Singkawang 4 Maya Sopa - 1 1 4 Singkawang Tengah 45 45 45 1 Roban 35 35 35 2 Sekip Lama 2 2 2 3 Sei Wie 2 2 2 4 Condong 5 5 5 5 Bukit Batu 1 1 1 5 Singkawang Barat 114 114 114 1 Pasiran 94 94 94 2 Melayu 13 13 13 3 Kuala 7 7 7 Jumlah 267 267 267 Sumber Data : Kantor Kementerian Agama Kota Singkawang Database Kota Singkawang Tahun 2011 | 280
  • 229.
    Keagamaan Tabel 22.10 Jumlah Pesantren Yang Ada Di Kota Singkawang Berdasarkan Kecamatan dan Santri Keadaan Tahun 2010 - 2011 Tahun 2010 Tahun 2011 No Kecamatan Santri Santri Jumlah Jumlah Jumlah Jumlah Pesantren Santri Tidak Pesantren Santri Tidak Mukim Mukim Mukim Mukim 1 Singkawang Tengah 6 1.320 647 788 6 1.846 903 943 2 Singkawang Selatan 3 249 115 106 3 196 83 113 3 Singkawang Timur 1 32 0 18 0 0 0 0 4 Singkawang Utara 1 35 24 11 1 85 85 0 5 Singkawang Barat 1 45 35 0 0 0 0 0 Jumlah 12 1.681 821 923 10 2.127 1.071 1.056 Sumber Data : Kantor Kementerian Agama Kota Singkawang Tabel 22.11 Jumlah Taman Pendidikan AL Quran Di Kota Singkawang Berdasarkan Kecamatan dan Kelurahan Keadaan Tahun 2009 - 2011 Tahun 2009 Tahun 2010 Tahun 2011 Kecamatan / No Kelurahan Jumlah Jumlah Jumlah Jumlah Jumlah Jumlah Jumlah Jumlah Jumlah TPA Guru Murid TPA Guru Murid TPA Guru Murid 1 2 3 4 5 6 7 8 9 10 11 1 Singkawang Utara 12 50 676 12 51 700 14 79 1.071 1 Sei-Garam 1 6 88 1 7 90 2 14 166 2 Sei-Bulan 1 3 26 1 3 30 2 9 98 3 Naram 1 4 41 1 4 40 1 5 95 4 Sei-Rasau 1 5 55 1 5 60 1 10 113 5 Setapuk Kecil 1 4 28 1 4 30 1 5 54 6 Setapuk Besar 6 24 390 6 24 400 6 29 478 7 Semelagi Kecil 1 4 48 1 4 50 1 7 67 2 Singkawang Selatan 17 79 926 17 79 895 18 85 931 1 Sedau 11 55 623 11 55 602 13 61 707 2 Sijangkung 1 3 42 1 3 35 1 4 29 3 Pangmilang 3 14 192 3 14 190 3 16 141 4 Sagatani 2 7 69 2 7 68 1 4 54 Database Kota Singkawang Tahun 2011 | 281
  • 230.
    Keagamaan 1 2 3 4 5 6 7 8 9 10 11 3 Singkawang Timur 9 39 298 9 39 304 8 45 406 1 Pajintan 1 6 60 1 6 63 1 4 35 2 Sanggau Kulor 1 8 59 1 8 57 1 7 45 3 Maya Sopa 2 5 30 2 5 32 2 17 183 4 Nyarumkop 3 10 77 3 10 79 1 4 21 5 Bagak Sahwa 2 10 72 2 10 73 3 13 122 4 Singkawang Tengah 22 97 1.333 23 97 1.336 27 148 1.599 1 Roban 13 55 926 13 55 930 15 72 711 2 Sekip Lama 3 10 58 3 10 60 6 36 328 3 Condong 2 12 100 2 12 102 - - - 4 Jawa 1 7 65 2 7 65 2 14 172 5 Bukit Batu 3 13 184 3 13 179 3 23 371 6 Sei. Wie - - - - - - 1 3 17 5 Singkawang Barat 10 53 638 10 53 645 14 74 771 1 Pasiran 8 41 528 8 41 530 12 63 646 2 Melayu 2 12 110 2 12 115 2 11 125 3 Kuala - - - - - - - - - Jumlah 70 318 3.871 71 319 3.880 81 431 4.778 Sumber Data : Kantor Kementerian Agama Kota Singkawang Tabel 22.12 Data Sekolah Minggu Kristen Protestan Di Kota Singkawang Berdasarkan Kecamatan dan Kelurahan Keadaan Tahun 2009 - 2011 Tahun 2009 Tahun 2010 Tahun 2011 Kecamatan/ No Kelurahan Jumlah Jumlah Jumlah Jumlah Jumlah Jumlah Jumlah Jumlah Jumlah Sekolah Guru Murid Sekolah Guru Murid Sekolah Guru Murid 1 2 3 4 5 6 7 8 9 10 11 1 Singkawang Tengah 10 74 846 9 79 900 10 83 875 1. Roban 8 63 685 8 73 837 8 73 768 2. Sekip Lama 1 6 60 1 6 63 1 7 70 3. Sei Wie 1 5 101 - - - - - - 4. Condong - - - - - - 1 3 37 2 Singkawang Barat 18 130 1.524 18 138 1.707 17 137 1.736 1. Pasiran 16 122 1.429 16 127 1.584 15 125 1.602 2. Kuala 2 8 95 2 11 123 2 12 134 Database Kota Singkawang Tahun 2011 | 282
  • 231.
    Keagamaan 1 2 3 4 5 6 7 8 9 10 11 3 Singkawang Selatan 27 142 1.639 25 145 1.700 26 160 1.907 1. Sedau 12 70 737 11 73 881 9 66 799 2. Sijangkung 10 43 499 9 44 503 9 51 633 3. Sagatani 3 20 304 3 19 218 5 31 359 4. Pangmilang 2 9 99 2 9 98 3 12 116 4 Singkawang Timur 17 73 892 17 87 1.056 19 85 1.205 1. Sanggau kulor 4 17 232 4 21 281 5 25 392 2. Pajintan 5 31 399 5 39 493 5 28 476 3. Mayasopa 7 23 240 7 25 261 8 30 312 4. Nyarumkop 1 2 21 1 2 21 1 2 25 Jumlah 72 419 4.901 69 449 5.363 72 465 5.723 Sumber Data : Kantor Kementerian Agama Kota Singkawang Tabel 22.13 Jumlah Sekolah Minggu Kristen Katolik Di Kota Singkawang Berdasarkan Kecamatan dan Kelurahan Keadaan Tahun 2009 - 2011 Tahun 2009 Tahun 2010 Tahun 2011 No Kelurahan Jumlah Jumlah Jumlah Jumlah Jumlah Jumlah Jumlah Jumlah Jumlah Sekolah Guru Murid Sekolah Guru Murid Sekolah Guru Murid 1 Singkawang Barat 2 16 387 2 17 387 2 17 387 1 Pasiran 2 16 387 2 17 387 2 17 387 2 Singkawang Tengah 1 6 97 1 4 97 1 4 97 1 Roban 1 6 97 1 4 97 1 4 97 3 Singkawang Selatan 5 25 554 6 37 669 5 37 669 1 Sijangkung 2 8 197 2 12 197 2 12 197 2 Pangmilang 2 10 195 2 13 195 2 13 195 3 Sagatani 1 7 162 1 7 162 1 7 162 4 Sedau - - - 1 5 115 1 5 115 4 Singkawang Timur 12 95 2.031 13 97 2.126 13 97 2.052 1 Sanggau Kulor 2 14 232 2 12 232 2 12 232 2 Nyarumkop 2 22 500 5 36 905 5 36 941 3 Bagak Sahwa 2 18 383 2 15 383 2 15 273 4 Mayasopa 2 16 299 2 16 299 2 16 299 5 Pajintan 4 25 617 2 18