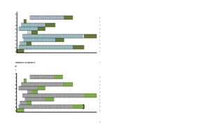
POLITICAS DE PLANIFICACION




       FCFS



  M

   L

   K

   J                         TR J=

   I                         TR I=

  H                          TR H=

  G                          TR G=

   F                         TR F=

   E                         TR E=

  D                          TR D=

   C                         TR C=

   B                         TR B=

   A                         TR A=




       ROUND ROBIN           TTR=

   M

   L

   K

   J                         TR J=

   I                         TR I=

   H                         TR H=

   G                         TR G=

   F                         TR F=
E                                                                                            TR E=

D                                                                                            TR D=

C                                                                                            TR C=

B                                                                                            TR B=
A                                                                                            TR A=




T0     A                T16 E H C B J A F GD I   T32   B J A F GD E H C   T48   B J GD E H   TTR=



T1     A                T17   EHCB J A FG D      T33   B J A F GD E H     T49   H B J GD E



T2 AG B                 T18   DE H C B J A F G   T34   H B J A F GD E     T50   E HB J G D



T3 BAG C                T19   GD E H C B J A F   T35   E HB J A F G D     T51   D E HB J G



T4 CB AG H              T20   F GD E H C B J A   T36   D E HB J A F G     T52   D E HB J



T5 HC B AG E            T21   A F GD E H C B J   T37   GD E H B J A F     T53   J DEH B



T6 E H C B AG E         T22   J A F GD E H C B   T38   F GD E H B J A     T54   B J DE H



T7 I E H C B AG D       T23   B J A F GD E H C   T39   F GD E H B J       T55   HB J D E



T8 D I E H C B A G      T24   C B J A F GD E H   T40   J F GD E H B       T56   E HB J D



T9 GD I E H C B A F     T25   H C B J A F GD E   T41   B J F GD E H       T57   E HB J



T10 F GD I E H C B A    T26   EHCB J A FG D      T42   H B J F GD E       T58   J EH B



T11 AF GD I E H C B J   T27   DEHCB J A F G      T43   E HB J F G D       T59   BJE H
T12 J A F GD I E H C B    T28   GD E H C B J A F   T44   D E HB J F G     T60   BJ E



T13 B J A F GD I E H C    T29   F GD E H C B J A   T45   GD E H B J   F   T61   EB J



T14 CB J A F GD I E H     T30   A F GD E H C B J   T46   GD E H B J       T62   E B



T15 HC B J A F GD I   E   T31   J A F GD E H C B   T47   J GD E H B       T63     E



     ROUND ROBIN Q=2                                                      T64     E



M

 L

 K

 J                                                                                                     TR J=

 I                                                                                                     TR I=

 H                                                                                                     TR H=

 G                                                                                                     TR G=

 F                                                                                                     TR F=

 E                                                                                                     TR E=

 D                                                                                                     TR D=

 C                                                                                                     TR C=

 B                                                                                                     TR B=

 A                                                                                                     TR A=



     t1 t2 t3 t4 t5 t6 t7 t8 t9t10t11t12t13t14t15t16t17t18t19t20t21t22t23t24t25t26t27t28t29t30t31t32

                                                                                                       TTR=

 PRIMERO EL MAS CORTO (PMC).

M

 L
K

J                                             TR J=

I                                             TR I=

H                                             TR H=

G                                             TR G=

F                                             TR F=

E                                             TR E=

D                                             TR D=

C                                             TR C=

B                                             TR B=

A                                             TR A=




PRIMERO EL DE MENOR TIEMPO RESTANTE (PMTR).   TTR=

M

L

K

J                                             TR J=

I                                             TR I=

H                                             TR H=

G                                             TR G=

F                                             TR F=

E                                             TR E=

D                                             TR D=
C                                             TR C=

B                                             TR B=

A                                             TR A=




                                              TTR=
PRIMERO EL DE MAYOR TASA DE RESPUESTA (MTR).

M

L
K

J                                                   TR J=

I                                              21   TR I=

H                                                   TR H=

G                                                   TR G=

F                                                   TR F=

E                                                   TR E=

D                                                   TR D=

C                                                   TR C=

B                                                   TR B=

A                                                   TR A=




REALIMENTACION.                                     TTR=

M

L

K

J                                                   TR J=

I                                                   TR I=

H                                                   TR H=

G                                                   TR G=

F                                                   TR F=

E                                                   TR E=
D                                                   TR D=

C                                                   TR C=

B                                                   TR B=

A                                                   TR A=
REALIMENTACION. Q=2   TTR=

M

L

K

J                     TR J=

I                     TR I=

H                     TR H=
G                     TR G=

F                     TR F=

E                     TR E=

D                     TR D=

C                     TR C=

B                     TR B=

A                     TR A=




                      TTR=

Danilorodriguezch

  • 1.
    POLITICAS DE PLANIFICACION FCFS M L K J TR J= I TR I= H TR H= G TR G= F TR F= E TR E= D TR D= C TR C= B TR B= A TR A= ROUND ROBIN TTR= M L K J TR J= I TR I= H TR H= G TR G= F TR F=
  • 2.
    E TR E= D TR D= C TR C= B TR B= A TR A= T0 A T16 E H C B J A F GD I T32 B J A F GD E H C T48 B J GD E H TTR= T1 A T17 EHCB J A FG D T33 B J A F GD E H T49 H B J GD E T2 AG B T18 DE H C B J A F G T34 H B J A F GD E T50 E HB J G D T3 BAG C T19 GD E H C B J A F T35 E HB J A F G D T51 D E HB J G T4 CB AG H T20 F GD E H C B J A T36 D E HB J A F G T52 D E HB J T5 HC B AG E T21 A F GD E H C B J T37 GD E H B J A F T53 J DEH B T6 E H C B AG E T22 J A F GD E H C B T38 F GD E H B J A T54 B J DE H T7 I E H C B AG D T23 B J A F GD E H C T39 F GD E H B J T55 HB J D E T8 D I E H C B A G T24 C B J A F GD E H T40 J F GD E H B T56 E HB J D T9 GD I E H C B A F T25 H C B J A F GD E T41 B J F GD E H T57 E HB J T10 F GD I E H C B A T26 EHCB J A FG D T42 H B J F GD E T58 J EH B T11 AF GD I E H C B J T27 DEHCB J A F G T43 E HB J F G D T59 BJE H
  • 3.
    T12 J AF GD I E H C B T28 GD E H C B J A F T44 D E HB J F G T60 BJ E T13 B J A F GD I E H C T29 F GD E H C B J A T45 GD E H B J F T61 EB J T14 CB J A F GD I E H T30 A F GD E H C B J T46 GD E H B J T62 E B T15 HC B J A F GD I E T31 J A F GD E H C B T47 J GD E H B T63 E ROUND ROBIN Q=2 T64 E M L K J TR J= I TR I= H TR H= G TR G= F TR F= E TR E= D TR D= C TR C= B TR B= A TR A= t1 t2 t3 t4 t5 t6 t7 t8 t9t10t11t12t13t14t15t16t17t18t19t20t21t22t23t24t25t26t27t28t29t30t31t32 TTR= PRIMERO EL MAS CORTO (PMC). M L
  • 4.
    K J TR J= I TR I= H TR H= G TR G= F TR F= E TR E= D TR D= C TR C= B TR B= A TR A= PRIMERO EL DE MENOR TIEMPO RESTANTE (PMTR). TTR= M L K J TR J= I TR I= H TR H= G TR G= F TR F= E TR E= D TR D= C TR C= B TR B= A TR A= TTR=
  • 5.
    PRIMERO EL DEMAYOR TASA DE RESPUESTA (MTR). M L K J TR J= I 21 TR I= H TR H= G TR G= F TR F= E TR E= D TR D= C TR C= B TR B= A TR A= REALIMENTACION. TTR= M L K J TR J= I TR I= H TR H= G TR G= F TR F= E TR E= D TR D= C TR C= B TR B= A TR A=
  • 6.
    REALIMENTACION. Q=2 TTR= M L K J TR J= I TR I= H TR H= G TR G= F TR F= E TR E= D TR D= C TR C= B TR B= A TR A= TTR=