AIM: Solving Fractional Equations
by Combining Like Terms

                        Do Now




         Basic Skills Quiz #9




                                    1
Basic Skills Quiz #9
1.) Subtract and write your answer in simplest form.

                 3       2
             3   8   -   3

 2.) Complete the following decimal operation.

              32.59 - 7.2
 3.) What is the Greatest Common Factor of 16 and 28?

 4.) Solve the following equation.
             x +5=9
             4
 5.) Round the following to the nearest foot.

                 5.125 feet




                                                        2
3
4
Anticipatory Set
Describe the following in a complete sentence: How would you
combine like terms in the following equation?


              1x - 8 + 2 x
                           = -5
               3        5




                                                               5
ALGEBRA
               The Search for Unknowns
Objective:      Isolate the variable to find its value


                     RULES
            1.) Keep the equation balanced
     2.) Simplify each side by combining like terms and
               using the distributive property.
  3.) Move variable to one side using inverse operations.
                4.) Use inverse operations




                                                            6
1    




        7
ALGEBRA
               The Search for Unknowns
Objective:      Isolate the variable to find its value


                     RULES
            1.) Keep the equation balanced
     2.) Simplify each side by combining like terms and
               using the distributive property.
  3.) Move variable to one side using inverse operations.
                4.) Use inverse operations




                                                            8
2    




        9
ALGEBRA
               The Search for Unknowns
Objective:      Isolate the variable to find its value


                     RULES
            1.) Keep the equation balanced
     2.) Simplify each side by combining like terms and
               using the distributive property.
  3.) Move variable to one side using inverse operations.
                4.) Use inverse operations




                                                            10
3    




        11
ALGEBRA
               The Search for Unknowns
Objective:      Isolate the variable to find its value


                     RULES
            1.) Keep the equation balanced
     2.) Simplify each side by combining like terms and
               using the distributive property.
  3.) Move variable to one side using inverse operations.
                4.) Use inverse operations



     2 y+2+ 3
              y = -3
     3      4




                                                            12
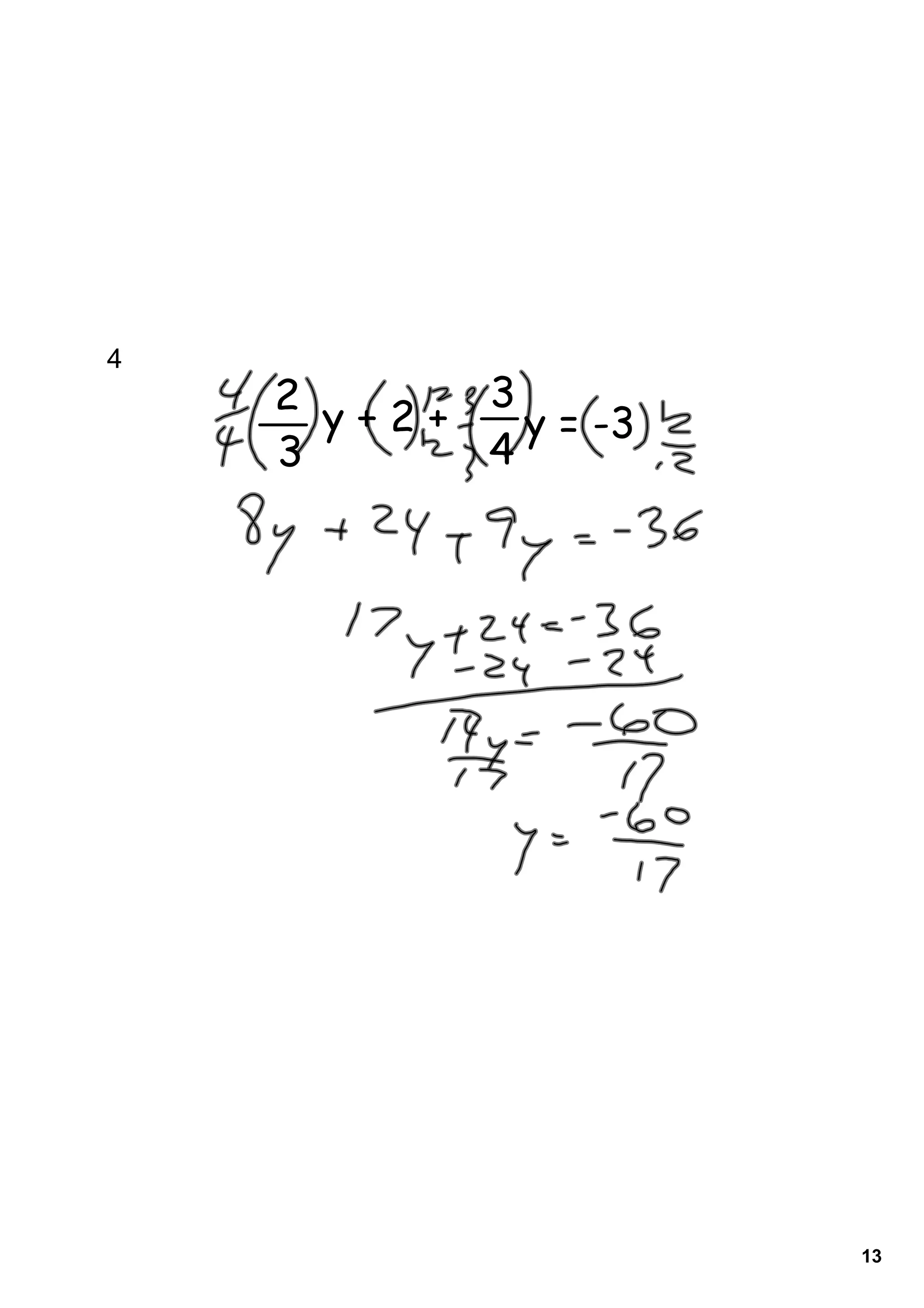
4    
        2      3
          y+2+   y = -3
        3      4




                          13
ALGEBRA
               The Search for Unknowns
Objective:      Isolate the variable to find its value


                     RULES
            1.) Keep the equation balanced
     2.) Simplify each side by combining like terms and
               using the distributive property.
  3.) Move variable to one side using inverse operations.
                4.) Use inverse operations




   1.15a + 8 - 0.4a = -7




                                                            14
5    
        1.15a + 8 - 0.4a = -7




                                15
ALGEBRA
               The Search for Unknowns
Objective:      Isolate the variable to find its value


                     RULES
            1.) Keep the equation balanced
     2.) Simplify each side by combining like terms and
               using the distributive property.
  3.) Move variable to one side using inverse operations.
                4.) Use inverse operations



    4 m+1- 1
             m=4
    9      3




                                                            16
6       4 m+1- 1
                 m=4
        9      3




                       17
ALGEBRA
               The Search for Unknowns
Objective:      Isolate the variable to find its value


                     RULES
            1.) Keep the equation balanced
     2.) Simplify each side by combining like terms and
               using the distributive property.
  3.) Move variable to one side using inverse operations.
                4.) Use inverse operations



             3x 2x    2
                -   =
              4   3   5




                                                            18
7    
        3x 2x    2
           -   =
         4   3   5




                     19
Before You Leave
Juan and Manuel drove to a baseball game together. The
tickets cost $10.50 each and parking was $6. Popcorn cost
$2.25 a box and each of the boys bought a box of popcorn.
Juan bought 1 drink and Manuel bought 2 drinks. The
baseball game and the snacks cost the boys a total of
$39.75. Write and solve an equation to find how much each
of the drinks cost?




                                                            20
Mr. Tjersland's Math 7




Homework: Finish Class Notes




                                  21

D ay 8 combining like terms fractions

  • 1.
    AIM: Solving FractionalEquations by Combining Like Terms Do Now Basic Skills Quiz #9 1
  • 2.
    Basic Skills Quiz#9 1.) Subtract and write your answer in simplest form. 3 2 3 8 - 3 2.) Complete the following decimal operation. 32.59 - 7.2 3.) What is the Greatest Common Factor of 16 and 28? 4.) Solve the following equation. x +5=9 4 5.) Round the following to the nearest foot. 5.125 feet 2
  • 3.
  • 4.
  • 5.
    Anticipatory Set Describe thefollowing in a complete sentence: How would you combine like terms in the following equation? 1x - 8 + 2 x = -5 3 5 5
  • 6.
    ALGEBRA The Search for Unknowns Objective: Isolate the variable to find its value RULES 1.) Keep the equation balanced 2.) Simplify each side by combining like terms and using the distributive property. 3.) Move variable to one side using inverse operations. 4.) Use inverse operations 6
  • 7.
    1   7
  • 8.
    ALGEBRA The Search for Unknowns Objective: Isolate the variable to find its value RULES 1.) Keep the equation balanced 2.) Simplify each side by combining like terms and using the distributive property. 3.) Move variable to one side using inverse operations. 4.) Use inverse operations 8
  • 9.
    2   9
  • 10.
    ALGEBRA The Search for Unknowns Objective: Isolate the variable to find its value RULES 1.) Keep the equation balanced 2.) Simplify each side by combining like terms and using the distributive property. 3.) Move variable to one side using inverse operations. 4.) Use inverse operations 10
  • 11.
    3   11
  • 12.
    ALGEBRA The Search for Unknowns Objective: Isolate the variable to find its value RULES 1.) Keep the equation balanced 2.) Simplify each side by combining like terms and using the distributive property. 3.) Move variable to one side using inverse operations. 4.) Use inverse operations 2 y+2+ 3 y = -3 3 4 12
  • 13.
    4   2 3 y+2+ y = -3 3 4 13
  • 14.
    ALGEBRA The Search for Unknowns Objective: Isolate the variable to find its value RULES 1.) Keep the equation balanced 2.) Simplify each side by combining like terms and using the distributive property. 3.) Move variable to one side using inverse operations. 4.) Use inverse operations 1.15a + 8 - 0.4a = -7 14
  • 15.
    5   1.15a + 8 - 0.4a = -7 15
  • 16.
    ALGEBRA The Search for Unknowns Objective: Isolate the variable to find its value RULES 1.) Keep the equation balanced 2.) Simplify each side by combining like terms and using the distributive property. 3.) Move variable to one side using inverse operations. 4.) Use inverse operations 4 m+1- 1 m=4 9 3 16
  • 17.
    6   4 m+1- 1 m=4 9 3 17
  • 18.
    ALGEBRA The Search for Unknowns Objective: Isolate the variable to find its value RULES 1.) Keep the equation balanced 2.) Simplify each side by combining like terms and using the distributive property. 3.) Move variable to one side using inverse operations. 4.) Use inverse operations 3x 2x 2 - = 4 3 5 18
  • 19.
    7   3x 2x 2 - = 4 3 5 19
  • 20.
    Before You Leave Juanand Manuel drove to a baseball game together. The tickets cost $10.50 each and parking was $6. Popcorn cost $2.25 a box and each of the boys bought a box of popcorn. Juan bought 1 drink and Manuel bought 2 drinks. The baseball game and the snacks cost the boys a total of $39.75. Write and solve an equation to find how much each of the drinks cost? 20
  • 21.
    Mr. Tjersland's Math7 Homework: Finish Class Notes 21