Embed presentation
Download as PDF, PPTX






































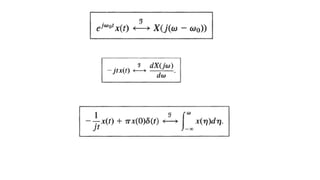
The document discusses the continuous time Fourier transform (CTFT) representation of continuous time aperiodic signals through complex exponentials. It includes multiple examples to illustrate this concept and explains the partial fraction expansion technique as part of the representation process.





































