CHƯƠNG 4. CÁC PHÉP BIẾN ĐỔI TÍCH PHÂN
BÀI 1. PHÉP BIẾN ĐỔI LAPLACE
1.4. Tích chập
Tích chập của hai hàm số 𝑓(𝑡) và 𝑔(𝑡) là hàm số được ký
hiệu và xác định theo công thức:
𝑓(𝑡) ∗ 𝑔(𝑡) = න
−∞
∞
𝑓(𝑢)𝑔(𝑡 − 𝑢)𝑑𝑢
❑ Tính chất:
❑ Định nghĩa:
1) Nếu 𝑓(𝑡) và 𝑔(𝑡) là hai hàm gốc thì 𝑓(𝑡) ∗ 𝑔(𝑡) cũng là
hàm gốc và ta có:
𝑓(𝑡) ∗ 𝑔(𝑡) = ∫0
𝑡
𝑓(𝑢)𝑔(𝑡 − 𝑢)𝑑𝑢 = ∫0
𝑡
𝑓(𝑡 − 𝑢)𝑔(𝑢)𝑑𝑢.
2) Tích chập có tính giao hoán: 𝑓 𝑡 ∗ 𝑔 𝑡 = 𝑔 𝑡 ∗ 𝑓 𝑡 .
3) Định lí Borel: ቊ
𝐿{𝑓(𝑡) ∗ 𝑔(𝑡)} = 𝐹(𝑝) ⋅ 𝐺(𝑝)
𝐿−1
{𝐹(𝑝) ⋅ 𝐺(𝑝)} = 𝑓(𝑡) ∗ 𝑔(𝑡)
.
Giải:
VD1. Cho hai hàm gốc f t = 1 và g t = t. Tính f(t) ∗ g(t) và kiểm
tra lại hệ thức L f t ∗ g t = L f t ⋅ L g t .
ADCT:𝑓(𝑡) ∗ 𝑔(𝑡) = ∫0
𝑡
𝑓(𝑢)𝑔(𝑡 − 𝑢)𝑑𝑢 = ∫0
𝑡
𝑓(𝑡 − 𝑢)𝑔(𝑢)𝑑𝑢.
f t ∗ g t = 1 ∗ t = න
0
t
1. (t − u)du = ቚ
tu −
1
2
𝑢2
𝑢=0
u=t
= න
0
t
t − u du =
t2
2
.
⇒ L f t ∗ g t = 𝐿
1
2
𝑡2
=
1
2
𝐿 𝑡2
=
1
2
.
2
𝑝3
=
1
𝑝3
(1)
Mặt khác: L f t ⋅ L g t = L 1 . L t =
1
p
⋅
1
p2
=
1
p3
2 .
Từ (1) và (2) suy ra: L f t ∗ g t = L f t ⋅ L g t .
Giải
VD2. Tìm ảnh của hàm gốc sau: 𝑓 𝑡 = 𝑡2 ∗ sh 3𝑡 .
𝐿 𝑓 𝑡 = 𝐿 𝑡2
∗ s h 3 𝑡
=
6
𝑝3(𝑝2 − 9)
.
= 𝐿 𝑡2 ⋅ 𝐿 sℎ3𝑡 (Định lí Borel)
=
2
𝑝3 ⋅
3
𝑝2−9
(ADCT: 𝑳 𝒕𝒏
=
𝒏!
𝒑𝒏+𝟏 và 𝑳 𝒔𝒉𝝎𝒕 =
𝝎
𝒑𝟐−𝝎𝟐 )
1.5 Một số phương pháp tìm hàm gốc
a) Phân tích hàm ảnh thành các phân thức đơn giản rồi tra Bảng
công thức và các tính chất suy ra hàm gốc
❖ Bảng tra cứu các tính chất:
TÊN GỌI TÍNH CHẤT ĐK
Tính tuyến tính ▪ 𝑳{𝜶𝒇(𝒕) + 𝜷𝒈(𝒕)} = 𝜶𝑭(𝒑) + 𝜷𝑮(𝒑)
▪ 𝑳−𝟏
{𝜶𝑭(𝒑) + 𝜷𝑮(𝒑)} = 𝜶𝒇(𝒕) + 𝜷𝒈(𝒕)
∀𝜶, 𝜷 ∈ ℂ
Tính đồng dạng ▪ 𝑳 𝒇 𝜶𝒕 =
𝟏
𝜶
𝑭
𝒑
𝜶
và 𝑳−𝟏{𝑭(𝜶𝒑)} =
𝟏
𝜶
𝒇
𝒕
𝜶
∀𝜶 > 𝟎
Dịch chuyển gốc hay
tính trễ
▪ 𝑳 𝒖 𝒕 − 𝑻 𝒇 𝒕 − 𝑻 = 𝒆−𝑻𝒑
𝑭 𝒑
▪ 𝑳−𝟏 𝒆−𝑻𝒑𝑭(𝒑) = 𝒖 𝒕 − 𝑻 𝒇 𝒕 − 𝑻
∀𝐓 > 𝟎
dịch chuyển ảnh ▪ 𝑳 𝒆𝜶𝒕
𝒇(𝒕) = 𝑭 𝒑 − 𝜶 và 𝑳−𝟏
𝑭 𝒑 − 𝜶 = 𝒆𝜶𝒕
𝒇 𝒕 𝜶 ∈ ℂ
Đạo hàm hàm gốc ▪ 𝑳 𝒇(𝒏)(𝒕) = 𝒑𝒏 ⋅ 𝑭(𝒑) − 𝒑𝒏−𝟏 ⋅ 𝒇(𝟎) − 𝒑𝒏−𝟐𝒇′(𝟎) − ⋯ −
𝒇(𝒏−𝟏)
(𝟎)
𝒇 𝒕 là hàm gôc
Đạo hàm hàm ảnh ▪ 𝑳 𝒕𝒏 ⋅ 𝒇(𝒕) = (−𝟏)𝒏𝑭(𝒏)(𝒑
Tích phân hàm gốc ▪ 𝑳 ∫𝟎
𝒕
𝒇(𝒖)𝒅𝒖 =
𝑭(𝒑)
𝒑
.
Tích phân hàm ảnh ▪ 𝑳
𝒇(𝒕)
𝒕
= ∫𝒑
∞
𝑭(𝒖)𝒅𝒖 𝐥𝐢𝐦
𝒕→𝟎+
𝒇(𝒕)
𝒕
hữu
hạn
Ảnh của hàm gốc
tuần hoàn
▪ 𝑳 𝒇 𝒕 =
𝟏
𝟏−𝒆−𝒑𝑻 ∫𝟎
𝑻
𝒆−𝒑𝒕𝒇 𝒕 𝒅𝒕 chu kỳ 𝑻 > 𝟎
Tích chập ▪ 𝑳{𝒇(𝒕) ∗ 𝒈(𝒕)} = 𝑭(𝒑) ⋅ 𝑮(𝒑)
Giải:
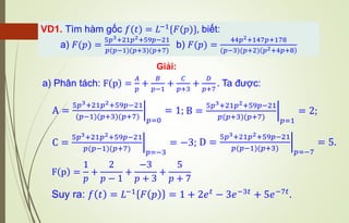
VD1. Tìm hàm gốc 𝑓(𝑡) = 𝐿−1{𝐹(𝑝)}, biết:
a) 𝐹(𝑝) =
5𝑝3+21𝑝2+59𝑝−21
𝑝(𝑝−1)(𝑝+3)(𝑝+7)
b) 𝐹(𝑝) =
44𝑝2+147𝑝+178
(𝑝−3)(𝑝+2) 𝑝2+4𝑝+8
a) Phân tách: F p =
𝐴
𝑝
+
𝐵
𝑝−1
+
𝐶
𝑝+3
+
𝐷
𝑝+7
. Ta được:
F p =
1
𝑝
+
2
𝑝 − 1
+
−3
𝑝 + 3
+
5
𝑝 + 7
Suy ra: 𝑓 𝑡 = 𝐿−1
𝐹 𝑝 = 1 + 2𝑒𝑡
− 3𝑒−3𝑡
+ 5𝑒−7𝑡
.
A = ฬ
5𝑝3+21𝑝2+59𝑝−21
(𝑝−1)(𝑝+3)(𝑝+7) 𝑝=0
= 1; B = ฬ
5𝑝3+21𝑝2+59𝑝−21
𝑝(𝑝+3)(𝑝+7) 𝑝=1
= 2;
C = ฬ
5𝑝3+21𝑝2+59𝑝−21
𝑝(𝑝−1)(𝑝+7) 𝑝=−3
= −3; D = ฬ
5𝑝3+21𝑝2+59𝑝−21
𝑝(𝑝−1)(𝑝+3) 𝑝=−7
= 5.
Lần lượt cho 𝑝 = −3, 𝑝 = −1 ta được hệ: ൝
𝐶 + 𝐷 = 5
𝐷 − 𝐶 = 13
⇔ ቊ
𝐶 = −4
𝐷 = 9
𝐹 𝑝 =
7
𝑝 − 3
−
3
𝑝 + 2
− 4
𝑝 + 2
( )
𝑝 + 2 2 + 4
+
9
2
2
( )
𝑝 + 2 2 + 4
⇒ 𝑓 𝑡 = 𝐿−1 𝐹 𝑝 = 7𝑒3𝑡 − 3𝑒−3𝑡 + 𝑒−2𝑡 −4 cos 2𝑡 +
9
2
sin 2𝑡 .
b) Phân tách: F p =
44𝑝2+147𝑝+178
(𝑝−3)(𝑝+2) 𝑝2+4𝑝+8
=
𝐴
𝑝−3
+
𝐵
𝑝+2
+
𝐶(𝑝+2)+𝐷
(𝑝+2)2+4
.
A = ฬ
44𝑝2+147𝑝+178
(𝑝+2) 𝑝2+4𝑝+8 𝑝=3
= 7; B = ฬ
44𝑝2+147𝑝+178
(𝑝−3) 𝑝2+4𝑝+8 𝑝=−2
= −3
b) Tìm hàm gốc nhờ đinh lý Borel (tích chập)
VD. Tìm hàm gốc 𝑓(𝑡) = 𝐿−1
{𝐹(𝑝)}, biết: 𝐹(𝑝) =
4
𝑝3 𝑝2+4
Tích chập hàm gốc: 𝑓(𝑡) ∗ 𝑔(𝑡) = ∫0
𝑡
𝑓(𝑢)𝑔(𝑡 − 𝑢)𝑑𝑢
Định lí Borel: ቊ
𝐿{𝑓(𝑡) ∗ 𝑔(𝑡)} = 𝐹(𝑝) ⋅ 𝐺(𝑝)
𝐿−1{𝐹(𝑝) ⋅ 𝐺(𝑝)} = 𝑓(𝑡) ∗ 𝑔(𝑡)
.
Giải:
f(t) = 𝐿−1
𝐹 𝑝 = 𝐿−1
2
𝑝3
⋅
2
𝑝2 + 4
= 𝑡2
∗ si𝑛2𝑡 = ∫0
𝑡
( )
𝑡 − 𝑢 2
. si𝑛2𝑢𝑑𝑢
= ฬ
−
ቀ )
𝑡−𝑢 2
2
co s 2 𝑢 −
𝑡−𝑢
2
si n 2 𝑢 +
co s 2𝑢
4 𝑢=0
𝑢=𝑡
=
1
4
2𝑡2 + co s 2 𝑡 − 1 .
c) Tìm hàm gốc nhờ thặng dư: (tham khảo Giáo trình)
𝑓(𝑡) = 𝐿−1
{𝐹(𝑝)} = ∑𝑘=1
𝑛
Res 𝑒𝑝𝑡
𝐹(𝑝), 𝑝𝑘
Trong đó 𝑝1, … , 𝑝𝑛 là tất cả các điểm bất thường cô lập của
hàm ảnh 𝐹(𝑝) (trừ tại ∞).
Lưu ý : Nếu 𝐹(𝑝) =
𝑁(𝑝)
𝑀(𝑝)
và 𝑝𝑖, ᪄
𝑝𝑖 là hai điểm bất thường cô lập của 𝐹(𝑝) thì:
𝑅𝑒𝑠 𝑒𝑝𝑡
𝐹(𝑝), 𝑝𝑖 + 𝑅𝑒𝑠 𝑒𝑝𝑡
𝐹(𝑝), ᪄
𝑝𝑖 = 2𝑅𝑒 𝑅𝑒𝑠 𝑒𝑝𝑡
𝐹(𝑝), 𝑝𝑖
1.6 Một số ứng dụng của phép biến đổi Laplace
❖ Tính tích phân suy rộng.
❖ Giải phương trình vi phân tuyến tính hệ số hằng (Phần ôn thi)
❖ Giải hệ phương trình vi phân tuyến tính hệ số hằng
❖ Giải phương trình tích phân, phương trình vi tích phân (Phần ôn thi)
❖ Giải hệ phương trình tích phân, hệ phương trình vi tích phân.
1. Giải phương trình vi phân tuyến tính cấp 𝒏 hệ số hằng:
❖ Dạng tổng quát:
Giải phương trình: 𝑎0𝑦(𝑛)
(𝑡) + 𝑎1𝑦(𝑛−1)
(𝑡) + ⋯ + 𝑎𝑛𝑦(𝑡) = 𝑓(𝑡)
thoả điều kiện đầu: 𝑦(0) = 𝑦0, 𝑦′
(0) = 𝑦1, … , 𝑦(𝑛−1)
(0) = 𝑦𝑛−1
trong đó 𝑎𝑖, 𝑖 = 0, 𝑛 là các hằng số cho trước và 𝑎0 ≠ 0, với
𝑓 𝑡 , 𝑦(𝑘)(𝑡), 𝑘 = 0, 𝑛 là các hàm gốc.
B1. Đặt : 𝑌(𝑝) = 𝐿{𝑦(𝑡)}, 𝐹(𝑝) = 𝐿{𝑓(𝑡)}. Biến đổi Laplace hai vế
của phương trình nhờ tính chất tuyến tính và đạo hàm hàm gốc:
𝐿 𝑦(𝑘)(𝑡) = 𝑝𝑘 ⋅ 𝑌 𝑝 − 𝑝𝑘−1 ⋅ 𝑦 0 − 𝑝𝑘−2𝑦′ 0 − ⋯ − 𝑦 𝑘−1 0 .
B2. Tìm hàm ảnh 𝑌(𝑝). Áp dụng biến đổi Laplace ngược kết hợp
điều kiện ban đầu tìm được nghiệm bài toán: 𝑦(𝑡) = 𝐿−1{𝑌(𝑝)}.
❖ Cách giải:
VD1. Áp dụng biến đổi Laplace, giải các phương trình vi phân sau:
a) 𝑦′ + 2𝑦 = 4𝑡2 thoả 𝑦(0) = 1
b) 𝑦(3)
− 3𝑦′
+ 2𝑦 = 1 − 4𝑒−𝑡
thỏa 𝑦(0) = 0, 𝑦′
(0) = 1, 𝑦′′
(0) = 0
a) Đặt 𝑌(𝑝) = 𝐿{𝑦(𝑡)}.
Giải:
Biến đổi Laplace hai vế của phương trình được:
1 ⇔ 𝑝𝑌 𝑝 − 1 + 2𝑌 𝑝 =
8
𝑝3
⇒ 𝑌 𝑝 =
1
𝑝+2
8
𝑝3 + 1 =
𝑝2−2𝑝+4
𝑝3 =
1
𝑝
−
2
𝑝2 +
4
𝑝3
▪ 𝐿 𝑦′(𝑡) = 𝑝. 𝑌 𝑝 − 𝑦 0 = 𝑝. 𝑌 𝑝 − 1 (đạo hàm hàm gốc);
▪ 𝐿 𝑦 = 𝐿 𝑦 𝑡 = 𝑌(𝑝);
▪ L 𝑡n
=
n!
𝑝n+1 ⇒ L 𝑡2
=
2!
𝑝3.
𝐿{𝑦′} + 2. 𝐿{𝑦} = 4. L 𝑡2 (1)
Ta có:
Vậy nghiệm của bài toán là: 𝑦 𝑡 = 𝐿−1 𝑌 𝑝 = 1 − 2𝑡 + 2𝑡2.
Biến đổi Laplace hai vế của phương trình:
2 ⇔ 𝑝3𝑌(𝑝) − 𝑝 − 3𝑝𝑌(𝑝) + 2𝑌(𝑝) =
1
𝑝
−
4
𝑝+1
⇒ 𝑝3 − 3𝑝 + 2 𝑌(𝑝) =
1
𝑝
−
4
𝑝+1
+ 𝑝
▪ 𝐿 𝑦 3
= 𝑝3
. 𝑌 𝑝 − 𝑝2
𝑦 0 − 𝑝. 𝑦′
0 − 𝑦′′
0 = 𝑝3
𝑌 𝑝 − p
▪ 𝐿 𝑦′(𝑡) = 𝑝. 𝑌 𝑝 − 𝑦 0 = 𝑝. 𝑌 𝑝
▪ 𝐿 𝑦 = 𝐿 𝑦 𝑡 = 𝑌(𝑝);
▪ L 1 =
1
𝑝
▪ 𝐿 𝑒−𝑡
=
1
𝑝+1
𝐿 𝑦 3 − 3𝐿 𝑦′ + 2. 𝐿 𝑦 = L 1 − 4𝐿{𝑒−𝑡} (2)
Ta có:
b) 𝑦(3)
− 3𝑦′
+ 2𝑦 = 1 − 4𝑒−𝑡
thỏa 𝑦(0) = 0, 𝑦′
(0) = 1, 𝑦′′
(0) = 0
)
⇒ (𝑝 − 1 2
𝑝 + 2 𝑌 𝑝 =
𝑝 − 1 𝑝2 + 2𝑝 − 1
𝑝 𝑝 + 1
Vậy nghiệm của bài toán là:
𝑦(𝑡) = 𝐿−1
{𝑌(𝑝)} =
1
2
− 𝑒−𝑡
+
1
3
𝑒𝑡
+
1
6
𝑒−2𝑡
.
⇒ 𝑌 𝑝 =
𝑝2
+ 2𝑝 − 1
𝑝 𝑝 + 1 𝑝 − 1 𝑝 + 2
=
𝐴
𝑝
+
𝐵
𝑝 + 1
+
𝐶
𝑝 − 1
+
𝐷
𝑝 + 2
=
1
2𝑝
−
1
𝑝 + 1
+
1
3 𝑝 − 1
+
1
6 𝑝 + 2
VD2. Áp dụng phép biến đổi Laplace, giải phương trình vi phân
sau: 𝑦′′ + 5𝑦′ + 6𝑦 = 𝑓(𝑡), 𝑡 ≥ 0.
Thoả điều kiện 𝑦(0) = −2, 𝑦′(0) = 1; 𝑓(𝑡) = ቊ
1, 0 ≤ 𝑡 < 3
0, 𝑡 ≥ 3
Giải:
Đặt 𝑌(𝑝) = 𝐿{𝑦(𝑡)}. Ta có:
𝐿 𝑦′ 𝑡 = 𝑝. 𝑌 𝑝 − 𝑦 0
𝐿 𝑓 𝑡 = ∫
0
3
𝑒−𝑝𝑡𝑑𝑡 =
1−𝑒−3𝑝
𝑝
Lấy biến đổi Laplace hai vế của phương trình đã cho, ta được:
𝑝2
. 𝑌 𝑝 + 2𝑝 − 1 + 5 𝑝. 𝑌 𝑝 + 2 + 6. 𝑌 𝑝 =
1 − 𝑒−3𝑝
𝑝
𝐿 𝑦′′
𝑡 = 𝑝2. 𝑌 𝑝 − 𝑝. y(0) − 𝑦′(0)
= 𝑝𝑌 𝑝 + 2
= 𝑝2𝑌 𝑝 + 2𝑝 − 1
⇒ 𝑝2 + 5𝑝 + 6 𝑌 𝑝 =
1
𝑝
− 2𝑝 − 9 −
1
𝑝
𝑒−3𝑝
⇒ 𝑌 𝑝 =
−2𝑝2
− 9𝑝 + 1
𝑝 𝑝 + 2 𝑝 + 3
−
𝑒−3𝑝
𝑝 𝑝 + 2 𝑝 + 3
𝑌1 𝑝 =
−2𝑝2
− 9𝑝 + 1
𝑝 𝑝 + 2 𝑝 + 3
=
1
6𝑝
−
11
2 𝑝 + 2
+
10
3 𝑝 + 3
⇒ 𝑦1 𝑡 = 𝐿−1
𝑌1 𝑝 =
1
6
−
11
2
𝑒−2𝑡
+
10
3
𝑒−3𝑡
𝑌2 𝑝 =
1
𝑝 𝑝 + 2 𝑝 + 3
=
1
6𝑝
−
1
2 𝑝 + 2
+
1
3 𝑝 + 3
⇒ 𝑦2 𝑡 = 𝐿−1
𝑌2 𝑝 =
1
6
−
1
2
𝑒−2𝑡
+
1
3
𝑒−3𝑡
Vậy: 𝑦 𝑡 = 𝐿−1
𝑌1 𝑝 − 𝑌2 𝑝 ⋅ 𝑒−3𝑝
= 𝑦1 𝑡 − 𝑢 𝑡 − 3 ⋅ 𝑦2 𝑡 − 3 .
= 𝑌1 𝑝 − 𝑌2 𝑝 ⋅ 𝑒−3𝑝
VD3. Áp dụng phép biến đồi Laplace, hãy tìm nghiệm tổng quát
của phương trình vi phân sau:
𝑦′′ − 2𝑦′ + 5𝑦 = 𝑒𝑡cos 2𝑡.
Giải:
Đặt 𝑌(𝑝) = 𝐿{𝑦(𝑡)}, 𝑦(0) = 𝐶1, 𝑦′(0) = 𝐶2. Ta có:
𝐿 𝑦′ 𝑡 = 𝑝. 𝑌 𝑝 − 𝑦 0
𝐿 𝑒𝑡cos 2𝑡 =
𝑝−1
( )
𝑝−1 2+4
.
𝐿 𝑦′′
𝑡 = 𝑝2. 𝑌 𝑝 − 𝑝. y(0) − 𝑦′(0)
= 𝑝𝑌 𝑝 − 𝐶1
= 𝑝2𝑌 𝑝 + 𝐶1𝑝 − 𝐶2
𝑝2
𝑌 𝑝 − 𝑝𝐶1 − 𝐶2 − 2 𝑝𝑌 𝑝 − 𝐶1 + 5𝑌 𝑝 =
𝑝 − 1
( )
𝑝 − 1 2 + 4
Lấy biến đổi Laplace hai vế của phương trình đã cho, ta được:
⇒ 𝑝2
− 2𝑝 + 5 𝑌 𝑝 =
𝑝 − 1
( )
𝑝 − 1 2 + 4
+ 𝐶1𝑝 + 𝐶2 − 2𝐶1
⇒ 𝑌 𝑝 =
𝑝 − 1
( )
𝑝 − 1 2 + 4 2
+ 𝐶1
𝑝 − 1
( )
𝑝 − 1 2 + 4
+
𝐶2 − 𝐶1
( )
𝑝 − 1 2 + 4
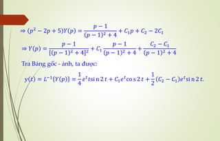
Tra Bảng gốc - ảnh, ta được:
𝑦 𝑡 = 𝐿−1
𝑌 𝑝 =
1
4
𝑒𝑡
𝑡si n 2 𝑡 + 𝐶1𝑒𝑡
co s 2 𝑡 +
1
2
𝐶2 − 𝐶1 𝑒𝑡
si n 2 𝑡.
2. Giải phương trình tích phân, phương trình vi tích phân:
❖ Dạng tổng quát:
𝐹 𝑡, 𝑦 𝑡 , 𝑦′
𝑡 , … , 𝑦 𝑛
𝑡 , ∫
0
𝑡
𝑦 𝑢 𝑑𝑢, ∫
0
𝑡
𝑦 𝑢 . g(𝑡 − 𝑢)𝑑𝑢 = 0
B1. Biến đổi laplace hai vế của phương trình:
Đặt: Y 𝑝 = 𝐿 𝑦 𝑡 và vận dụng các công thức:
▪ 𝐿 𝑦(𝑘)(𝑡) = 𝑝𝑘 ⋅ 𝑌 𝑝 − 𝑝𝑘−1 ⋅ 𝑦 0 − 𝑝𝑘−2𝑦′ 0 − ⋯ − 𝑦 𝑘−1 0
▪ 𝐿 ∫
0
𝑡
𝑦(𝑢)𝑑𝑢 =
1
𝑝
𝐿{𝑦(𝑡)} =
1
𝑝
𝑌(𝑝)
▪ 𝐿 ∫
0
𝑡
y 𝑢 . g(𝑡 − 𝑢)𝑑𝑢 = 𝐿 𝑦 𝑡 ∗ 𝑔 𝑡 =
Borel
𝑌 𝑝 . 𝐿{g(𝑡)}
B2. Tìm hàm ảnh 𝑌(𝑝). Áp dụng phép biến đổi Laplace ngược ta tìm
được nghiệm của bài toán: 𝑦(𝑡) = 𝐿−1{𝑌(𝑝)}.
❖ Cách giải:
VD1. Áp dụng phép biến đổi Laplace, hãy giải phương trình vi
tích phân sau : 𝑦/
(𝑡) − 5𝑦(𝑡) + 6∫0
𝑡
𝑦(𝜏)𝑑𝜏 = 𝑒4𝑡
+ 1, thỏa 𝑦(0) = 3.
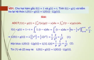
Giải
Đặt 𝑌(𝑝) = 𝐿{𝑦(𝑡)}. Ta có:
𝐿 ∫
0
𝑡
y(𝜏)𝑑𝜏 =
Y(𝑝)
𝑝
;
𝐿 𝑦′
(𝑡) = 𝑝 ⋅ 𝑌 𝑝 − y 0 = 𝑝 ⋅ 𝑌 𝑝 − 3;
𝐿 𝑒4𝑡 =
1
𝑝−4
; 𝐿 1 =
1
𝑝
;
Lấy biến đổi Laplace hai vế của phương trình đã cho, ta được:
𝑝. 𝑌 𝑝 − 3 − 5𝑌 𝑝 +
6
𝑝
⋅ 𝑌 𝑝 =
1
𝑝 − 4
+
1
𝑝
⇒ 𝑝 − 5 +
6
𝑝
𝑌 𝑝 =
1
𝑝 − 4
+
1
𝑝
+ 3
⇒
𝑝2
− 5𝑝 + 6
𝑝
. 𝑌 𝑝 =
3𝑃2
− 10p − 4
𝑝(𝑝 − 4)
⇒ 𝑌 𝑝 =
3𝑃2
− 10p − 4
(𝑝 − 4)(𝑝2 − 5𝑝 + 6)
=
3𝑃2
− 10p − 4
(𝑝 − 2)(𝑝 − 3)(𝑝 − 4)
Phân tích: 𝑌 𝑝 =
A
p−2
+
B
p−3
+
C
p−4
𝐴 = อ
3𝑃2
− 10p − 4
(𝑝 − 3)(𝑝 − 4)
𝑝=2
= −6; 𝐵 = อ
3𝑃2 − 10p − 4
(𝑝 − 2)(𝑝 − 4)
𝑝=3
= 7;
𝐶 = อ
3𝑃2
− 10p − 4
(𝑝 − 2)(𝑝 − 3)
𝑝=4
= 2;
Ta được: 𝑌 𝑝 =
−6
p−2
+
7
p−3
+
2
p−4
Vậy nghiệm của bài toán là: 𝑦 𝑡 = 𝐿−1
𝑌 𝑝 = −6𝑒2𝑡
+ 7𝑒3𝑡
+ 2𝑒4𝑡
.
𝐕𝐃𝟐. Áp dụng phép biến đổi Laplace, hãy giải phương trình vi tích
phân: 𝑦′
(𝑡) − 3𝑦(𝑡) − 25∫0
𝑡
𝑦(𝑡 − 𝜏)𝑒3𝜏
𝑑𝜏 = 𝑒2𝑡
thỏa mãn điều
kiện 𝑦(0) = −1.
Giải
Đặt 𝑌(𝑝) = 𝐿{𝑦(𝑡)}. Ta có:
𝐿 𝑦′
(𝑡) = 𝑝 ⋅ 𝑌 𝑝 − y 0 = p. Y p + 1; 𝐿 𝑒2𝑡 =
1
𝑝−2
.
⇒ ∫0
𝑡
𝑦(𝑡 − 𝜏)𝑒3𝜏𝑑𝜏 = 𝑦 𝑡 ∗ 𝑒3𝑡
⇒ 𝐿 ∫0
𝑡
𝑦(𝑡 − 𝜏)𝑒3𝜏
𝑑𝜏 = 𝐿 𝑦 𝑡 ∗ 𝑒3𝑡
ADCT: y(𝑡) ∗ 𝑔(𝑡) = ∫0
𝑡
y(t − 𝑢)𝑔(𝑢)𝑑𝑢 :
=
Borel
𝐿 𝑦 𝑡 }. 𝐿{𝑒3𝑡
= 𝑌(𝑝).
1
𝑝−3
Lấy biến đổi Laplace hai vế của phương trình đã cho, ta được:
𝑝. 𝑌 𝑝 + 1 − 3𝑌 𝑝 − 25. 𝑌(𝑝).
1
𝑝 − 3
=
1
𝑝 − 2
𝑝. 𝑌 𝑝 + 1 − 3𝑌 𝑝 − 25. 𝑌(𝑝).
1
𝑝 − 3
=
1
𝑝 − 2
⇔ 𝑝 − 3 −
25
𝑝−3
. 𝑌 𝑝 =
1
𝑝−2
− 1
⇒
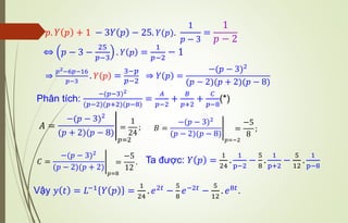
𝑝2−6𝑝−16
𝑝−3
. 𝑌 𝑝 =
3−𝑝
𝑝−2
⇒ 𝑌 𝑝 =
−(𝑝 − 3)2
(𝑝 − 2)(𝑝 + 2)(𝑝 − 8)
Phân tích:
−(𝑝−3)2
(𝑝−2)(𝑝+2)(𝑝−8)
=
𝐴
𝑝−2
+
𝐵
𝑝+2
+
𝐶
𝑝−8
(*)
𝐴 = อ
−(𝑝 − 3)2
(𝑝 + 2)(𝑝 − 8)
𝑝=2
=
1
24
; 𝐵 = อ
−(𝑝 − 3)2
(𝑝 − 2)(𝑝 − 8)
𝑝=−2
=
−5
8
;
𝐶 = อ
−(𝑝 − 3)2
(𝑝 − 2)(𝑝 + 2)
𝑝=8
=
−5
12
. Ta được: 𝑌 𝑝 =
1
24
.
1
p−2
−
5
8
.
1
p+2
−
5
12
.
1
p−8
Vậy 𝑦 𝑡 = 𝐿−1 𝑌 𝑝 =
1
24
. 𝑒2𝑡 −
5
8
𝑒−2𝑡 −
5
12
. 𝑒8𝑡.

Buổi 11 HBP.pdf..............................................

  • 1.
    CHƯƠNG 4. CÁCPHÉP BIẾN ĐỔI TÍCH PHÂN BÀI 1. PHÉP BIẾN ĐỔI LAPLACE
  • 2.
    1.4. Tích chập Tíchchập của hai hàm số 𝑓(𝑡) và 𝑔(𝑡) là hàm số được ký hiệu và xác định theo công thức: 𝑓(𝑡) ∗ 𝑔(𝑡) = න −∞ ∞ 𝑓(𝑢)𝑔(𝑡 − 𝑢)𝑑𝑢 ❑ Tính chất: ❑ Định nghĩa: 1) Nếu 𝑓(𝑡) và 𝑔(𝑡) là hai hàm gốc thì 𝑓(𝑡) ∗ 𝑔(𝑡) cũng là hàm gốc và ta có: 𝑓(𝑡) ∗ 𝑔(𝑡) = ∫0 𝑡 𝑓(𝑢)𝑔(𝑡 − 𝑢)𝑑𝑢 = ∫0 𝑡 𝑓(𝑡 − 𝑢)𝑔(𝑢)𝑑𝑢. 2) Tích chập có tính giao hoán: 𝑓 𝑡 ∗ 𝑔 𝑡 = 𝑔 𝑡 ∗ 𝑓 𝑡 . 3) Định lí Borel: ቊ 𝐿{𝑓(𝑡) ∗ 𝑔(𝑡)} = 𝐹(𝑝) ⋅ 𝐺(𝑝) 𝐿−1 {𝐹(𝑝) ⋅ 𝐺(𝑝)} = 𝑓(𝑡) ∗ 𝑔(𝑡) .
  • 3.
    Giải: VD1. Cho haihàm gốc f t = 1 và g t = t. Tính f(t) ∗ g(t) và kiểm tra lại hệ thức L f t ∗ g t = L f t ⋅ L g t . ADCT:𝑓(𝑡) ∗ 𝑔(𝑡) = ∫0 𝑡 𝑓(𝑢)𝑔(𝑡 − 𝑢)𝑑𝑢 = ∫0 𝑡 𝑓(𝑡 − 𝑢)𝑔(𝑢)𝑑𝑢. f t ∗ g t = 1 ∗ t = න 0 t 1. (t − u)du = ቚ tu − 1 2 𝑢2 𝑢=0 u=t = න 0 t t − u du = t2 2 . ⇒ L f t ∗ g t = 𝐿 1 2 𝑡2 = 1 2 𝐿 𝑡2 = 1 2 . 2 𝑝3 = 1 𝑝3 (1) Mặt khác: L f t ⋅ L g t = L 1 . L t = 1 p ⋅ 1 p2 = 1 p3 2 . Từ (1) và (2) suy ra: L f t ∗ g t = L f t ⋅ L g t .
  • 4.
    Giải VD2. Tìm ảnhcủa hàm gốc sau: 𝑓 𝑡 = 𝑡2 ∗ sh 3𝑡 . 𝐿 𝑓 𝑡 = 𝐿 𝑡2 ∗ s h 3 𝑡 = 6 𝑝3(𝑝2 − 9) . = 𝐿 𝑡2 ⋅ 𝐿 sℎ3𝑡 (Định lí Borel) = 2 𝑝3 ⋅ 3 𝑝2−9 (ADCT: 𝑳 𝒕𝒏 = 𝒏! 𝒑𝒏+𝟏 và 𝑳 𝒔𝒉𝝎𝒕 = 𝝎 𝒑𝟐−𝝎𝟐 )
  • 5.
    1.5 Một sốphương pháp tìm hàm gốc a) Phân tích hàm ảnh thành các phân thức đơn giản rồi tra Bảng công thức và các tính chất suy ra hàm gốc
  • 6.
    ❖ Bảng tracứu các tính chất: TÊN GỌI TÍNH CHẤT ĐK Tính tuyến tính ▪ 𝑳{𝜶𝒇(𝒕) + 𝜷𝒈(𝒕)} = 𝜶𝑭(𝒑) + 𝜷𝑮(𝒑) ▪ 𝑳−𝟏 {𝜶𝑭(𝒑) + 𝜷𝑮(𝒑)} = 𝜶𝒇(𝒕) + 𝜷𝒈(𝒕) ∀𝜶, 𝜷 ∈ ℂ Tính đồng dạng ▪ 𝑳 𝒇 𝜶𝒕 = 𝟏 𝜶 𝑭 𝒑 𝜶 và 𝑳−𝟏{𝑭(𝜶𝒑)} = 𝟏 𝜶 𝒇 𝒕 𝜶 ∀𝜶 > 𝟎 Dịch chuyển gốc hay tính trễ ▪ 𝑳 𝒖 𝒕 − 𝑻 𝒇 𝒕 − 𝑻 = 𝒆−𝑻𝒑 𝑭 𝒑 ▪ 𝑳−𝟏 𝒆−𝑻𝒑𝑭(𝒑) = 𝒖 𝒕 − 𝑻 𝒇 𝒕 − 𝑻 ∀𝐓 > 𝟎 dịch chuyển ảnh ▪ 𝑳 𝒆𝜶𝒕 𝒇(𝒕) = 𝑭 𝒑 − 𝜶 và 𝑳−𝟏 𝑭 𝒑 − 𝜶 = 𝒆𝜶𝒕 𝒇 𝒕 𝜶 ∈ ℂ Đạo hàm hàm gốc ▪ 𝑳 𝒇(𝒏)(𝒕) = 𝒑𝒏 ⋅ 𝑭(𝒑) − 𝒑𝒏−𝟏 ⋅ 𝒇(𝟎) − 𝒑𝒏−𝟐𝒇′(𝟎) − ⋯ − 𝒇(𝒏−𝟏) (𝟎) 𝒇 𝒕 là hàm gôc Đạo hàm hàm ảnh ▪ 𝑳 𝒕𝒏 ⋅ 𝒇(𝒕) = (−𝟏)𝒏𝑭(𝒏)(𝒑 Tích phân hàm gốc ▪ 𝑳 ∫𝟎 𝒕 𝒇(𝒖)𝒅𝒖 = 𝑭(𝒑) 𝒑 . Tích phân hàm ảnh ▪ 𝑳 𝒇(𝒕) 𝒕 = ∫𝒑 ∞ 𝑭(𝒖)𝒅𝒖 𝐥𝐢𝐦 𝒕→𝟎+ 𝒇(𝒕) 𝒕 hữu hạn Ảnh của hàm gốc tuần hoàn ▪ 𝑳 𝒇 𝒕 = 𝟏 𝟏−𝒆−𝒑𝑻 ∫𝟎 𝑻 𝒆−𝒑𝒕𝒇 𝒕 𝒅𝒕 chu kỳ 𝑻 > 𝟎 Tích chập ▪ 𝑳{𝒇(𝒕) ∗ 𝒈(𝒕)} = 𝑭(𝒑) ⋅ 𝑮(𝒑)
  • 7.
    Giải: VD1. Tìm hàmgốc 𝑓(𝑡) = 𝐿−1{𝐹(𝑝)}, biết: a) 𝐹(𝑝) = 5𝑝3+21𝑝2+59𝑝−21 𝑝(𝑝−1)(𝑝+3)(𝑝+7) b) 𝐹(𝑝) = 44𝑝2+147𝑝+178 (𝑝−3)(𝑝+2) 𝑝2+4𝑝+8 a) Phân tách: F p = 𝐴 𝑝 + 𝐵 𝑝−1 + 𝐶 𝑝+3 + 𝐷 𝑝+7 . Ta được: F p = 1 𝑝 + 2 𝑝 − 1 + −3 𝑝 + 3 + 5 𝑝 + 7 Suy ra: 𝑓 𝑡 = 𝐿−1 𝐹 𝑝 = 1 + 2𝑒𝑡 − 3𝑒−3𝑡 + 5𝑒−7𝑡 . A = ฬ 5𝑝3+21𝑝2+59𝑝−21 (𝑝−1)(𝑝+3)(𝑝+7) 𝑝=0 = 1; B = ฬ 5𝑝3+21𝑝2+59𝑝−21 𝑝(𝑝+3)(𝑝+7) 𝑝=1 = 2; C = ฬ 5𝑝3+21𝑝2+59𝑝−21 𝑝(𝑝−1)(𝑝+7) 𝑝=−3 = −3; D = ฬ 5𝑝3+21𝑝2+59𝑝−21 𝑝(𝑝−1)(𝑝+3) 𝑝=−7 = 5.
  • 8.
    Lần lượt cho𝑝 = −3, 𝑝 = −1 ta được hệ: ൝ 𝐶 + 𝐷 = 5 𝐷 − 𝐶 = 13 ⇔ ቊ 𝐶 = −4 𝐷 = 9 𝐹 𝑝 = 7 𝑝 − 3 − 3 𝑝 + 2 − 4 𝑝 + 2 ( ) 𝑝 + 2 2 + 4 + 9 2 2 ( ) 𝑝 + 2 2 + 4 ⇒ 𝑓 𝑡 = 𝐿−1 𝐹 𝑝 = 7𝑒3𝑡 − 3𝑒−3𝑡 + 𝑒−2𝑡 −4 cos 2𝑡 + 9 2 sin 2𝑡 . b) Phân tách: F p = 44𝑝2+147𝑝+178 (𝑝−3)(𝑝+2) 𝑝2+4𝑝+8 = 𝐴 𝑝−3 + 𝐵 𝑝+2 + 𝐶(𝑝+2)+𝐷 (𝑝+2)2+4 . A = ฬ 44𝑝2+147𝑝+178 (𝑝+2) 𝑝2+4𝑝+8 𝑝=3 = 7; B = ฬ 44𝑝2+147𝑝+178 (𝑝−3) 𝑝2+4𝑝+8 𝑝=−2 = −3
  • 9.
    b) Tìm hàmgốc nhờ đinh lý Borel (tích chập) VD. Tìm hàm gốc 𝑓(𝑡) = 𝐿−1 {𝐹(𝑝)}, biết: 𝐹(𝑝) = 4 𝑝3 𝑝2+4 Tích chập hàm gốc: 𝑓(𝑡) ∗ 𝑔(𝑡) = ∫0 𝑡 𝑓(𝑢)𝑔(𝑡 − 𝑢)𝑑𝑢 Định lí Borel: ቊ 𝐿{𝑓(𝑡) ∗ 𝑔(𝑡)} = 𝐹(𝑝) ⋅ 𝐺(𝑝) 𝐿−1{𝐹(𝑝) ⋅ 𝐺(𝑝)} = 𝑓(𝑡) ∗ 𝑔(𝑡) . Giải: f(t) = 𝐿−1 𝐹 𝑝 = 𝐿−1 2 𝑝3 ⋅ 2 𝑝2 + 4 = 𝑡2 ∗ si𝑛2𝑡 = ∫0 𝑡 ( ) 𝑡 − 𝑢 2 . si𝑛2𝑢𝑑𝑢 = ฬ − ቀ ) 𝑡−𝑢 2 2 co s 2 𝑢 − 𝑡−𝑢 2 si n 2 𝑢 + co s 2𝑢 4 𝑢=0 𝑢=𝑡 = 1 4 2𝑡2 + co s 2 𝑡 − 1 .
  • 10.
    c) Tìm hàmgốc nhờ thặng dư: (tham khảo Giáo trình) 𝑓(𝑡) = 𝐿−1 {𝐹(𝑝)} = ∑𝑘=1 𝑛 Res 𝑒𝑝𝑡 𝐹(𝑝), 𝑝𝑘 Trong đó 𝑝1, … , 𝑝𝑛 là tất cả các điểm bất thường cô lập của hàm ảnh 𝐹(𝑝) (trừ tại ∞). Lưu ý : Nếu 𝐹(𝑝) = 𝑁(𝑝) 𝑀(𝑝) và 𝑝𝑖, ᪄ 𝑝𝑖 là hai điểm bất thường cô lập của 𝐹(𝑝) thì: 𝑅𝑒𝑠 𝑒𝑝𝑡 𝐹(𝑝), 𝑝𝑖 + 𝑅𝑒𝑠 𝑒𝑝𝑡 𝐹(𝑝), ᪄ 𝑝𝑖 = 2𝑅𝑒 𝑅𝑒𝑠 𝑒𝑝𝑡 𝐹(𝑝), 𝑝𝑖 1.6 Một số ứng dụng của phép biến đổi Laplace ❖ Tính tích phân suy rộng. ❖ Giải phương trình vi phân tuyến tính hệ số hằng (Phần ôn thi) ❖ Giải hệ phương trình vi phân tuyến tính hệ số hằng ❖ Giải phương trình tích phân, phương trình vi tích phân (Phần ôn thi) ❖ Giải hệ phương trình tích phân, hệ phương trình vi tích phân.
  • 11.
    1. Giải phươngtrình vi phân tuyến tính cấp 𝒏 hệ số hằng: ❖ Dạng tổng quát: Giải phương trình: 𝑎0𝑦(𝑛) (𝑡) + 𝑎1𝑦(𝑛−1) (𝑡) + ⋯ + 𝑎𝑛𝑦(𝑡) = 𝑓(𝑡) thoả điều kiện đầu: 𝑦(0) = 𝑦0, 𝑦′ (0) = 𝑦1, … , 𝑦(𝑛−1) (0) = 𝑦𝑛−1 trong đó 𝑎𝑖, 𝑖 = 0, 𝑛 là các hằng số cho trước và 𝑎0 ≠ 0, với 𝑓 𝑡 , 𝑦(𝑘)(𝑡), 𝑘 = 0, 𝑛 là các hàm gốc. B1. Đặt : 𝑌(𝑝) = 𝐿{𝑦(𝑡)}, 𝐹(𝑝) = 𝐿{𝑓(𝑡)}. Biến đổi Laplace hai vế của phương trình nhờ tính chất tuyến tính và đạo hàm hàm gốc: 𝐿 𝑦(𝑘)(𝑡) = 𝑝𝑘 ⋅ 𝑌 𝑝 − 𝑝𝑘−1 ⋅ 𝑦 0 − 𝑝𝑘−2𝑦′ 0 − ⋯ − 𝑦 𝑘−1 0 . B2. Tìm hàm ảnh 𝑌(𝑝). Áp dụng biến đổi Laplace ngược kết hợp điều kiện ban đầu tìm được nghiệm bài toán: 𝑦(𝑡) = 𝐿−1{𝑌(𝑝)}. ❖ Cách giải:
  • 12.
    VD1. Áp dụngbiến đổi Laplace, giải các phương trình vi phân sau: a) 𝑦′ + 2𝑦 = 4𝑡2 thoả 𝑦(0) = 1 b) 𝑦(3) − 3𝑦′ + 2𝑦 = 1 − 4𝑒−𝑡 thỏa 𝑦(0) = 0, 𝑦′ (0) = 1, 𝑦′′ (0) = 0 a) Đặt 𝑌(𝑝) = 𝐿{𝑦(𝑡)}. Giải: Biến đổi Laplace hai vế của phương trình được: 1 ⇔ 𝑝𝑌 𝑝 − 1 + 2𝑌 𝑝 = 8 𝑝3 ⇒ 𝑌 𝑝 = 1 𝑝+2 8 𝑝3 + 1 = 𝑝2−2𝑝+4 𝑝3 = 1 𝑝 − 2 𝑝2 + 4 𝑝3 ▪ 𝐿 𝑦′(𝑡) = 𝑝. 𝑌 𝑝 − 𝑦 0 = 𝑝. 𝑌 𝑝 − 1 (đạo hàm hàm gốc); ▪ 𝐿 𝑦 = 𝐿 𝑦 𝑡 = 𝑌(𝑝); ▪ L 𝑡n = n! 𝑝n+1 ⇒ L 𝑡2 = 2! 𝑝3. 𝐿{𝑦′} + 2. 𝐿{𝑦} = 4. L 𝑡2 (1) Ta có: Vậy nghiệm của bài toán là: 𝑦 𝑡 = 𝐿−1 𝑌 𝑝 = 1 − 2𝑡 + 2𝑡2.
  • 13.
    Biến đổi Laplacehai vế của phương trình: 2 ⇔ 𝑝3𝑌(𝑝) − 𝑝 − 3𝑝𝑌(𝑝) + 2𝑌(𝑝) = 1 𝑝 − 4 𝑝+1 ⇒ 𝑝3 − 3𝑝 + 2 𝑌(𝑝) = 1 𝑝 − 4 𝑝+1 + 𝑝 ▪ 𝐿 𝑦 3 = 𝑝3 . 𝑌 𝑝 − 𝑝2 𝑦 0 − 𝑝. 𝑦′ 0 − 𝑦′′ 0 = 𝑝3 𝑌 𝑝 − p ▪ 𝐿 𝑦′(𝑡) = 𝑝. 𝑌 𝑝 − 𝑦 0 = 𝑝. 𝑌 𝑝 ▪ 𝐿 𝑦 = 𝐿 𝑦 𝑡 = 𝑌(𝑝); ▪ L 1 = 1 𝑝 ▪ 𝐿 𝑒−𝑡 = 1 𝑝+1 𝐿 𝑦 3 − 3𝐿 𝑦′ + 2. 𝐿 𝑦 = L 1 − 4𝐿{𝑒−𝑡} (2) Ta có: b) 𝑦(3) − 3𝑦′ + 2𝑦 = 1 − 4𝑒−𝑡 thỏa 𝑦(0) = 0, 𝑦′ (0) = 1, 𝑦′′ (0) = 0 ) ⇒ (𝑝 − 1 2 𝑝 + 2 𝑌 𝑝 = 𝑝 − 1 𝑝2 + 2𝑝 − 1 𝑝 𝑝 + 1
  • 14.
    Vậy nghiệm củabài toán là: 𝑦(𝑡) = 𝐿−1 {𝑌(𝑝)} = 1 2 − 𝑒−𝑡 + 1 3 𝑒𝑡 + 1 6 𝑒−2𝑡 . ⇒ 𝑌 𝑝 = 𝑝2 + 2𝑝 − 1 𝑝 𝑝 + 1 𝑝 − 1 𝑝 + 2 = 𝐴 𝑝 + 𝐵 𝑝 + 1 + 𝐶 𝑝 − 1 + 𝐷 𝑝 + 2 = 1 2𝑝 − 1 𝑝 + 1 + 1 3 𝑝 − 1 + 1 6 𝑝 + 2
  • 15.
    VD2. Áp dụngphép biến đổi Laplace, giải phương trình vi phân sau: 𝑦′′ + 5𝑦′ + 6𝑦 = 𝑓(𝑡), 𝑡 ≥ 0. Thoả điều kiện 𝑦(0) = −2, 𝑦′(0) = 1; 𝑓(𝑡) = ቊ 1, 0 ≤ 𝑡 < 3 0, 𝑡 ≥ 3 Giải: Đặt 𝑌(𝑝) = 𝐿{𝑦(𝑡)}. Ta có: 𝐿 𝑦′ 𝑡 = 𝑝. 𝑌 𝑝 − 𝑦 0 𝐿 𝑓 𝑡 = ∫ 0 3 𝑒−𝑝𝑡𝑑𝑡 = 1−𝑒−3𝑝 𝑝 Lấy biến đổi Laplace hai vế của phương trình đã cho, ta được: 𝑝2 . 𝑌 𝑝 + 2𝑝 − 1 + 5 𝑝. 𝑌 𝑝 + 2 + 6. 𝑌 𝑝 = 1 − 𝑒−3𝑝 𝑝 𝐿 𝑦′′ 𝑡 = 𝑝2. 𝑌 𝑝 − 𝑝. y(0) − 𝑦′(0) = 𝑝𝑌 𝑝 + 2 = 𝑝2𝑌 𝑝 + 2𝑝 − 1
  • 16.
    ⇒ 𝑝2 +5𝑝 + 6 𝑌 𝑝 = 1 𝑝 − 2𝑝 − 9 − 1 𝑝 𝑒−3𝑝 ⇒ 𝑌 𝑝 = −2𝑝2 − 9𝑝 + 1 𝑝 𝑝 + 2 𝑝 + 3 − 𝑒−3𝑝 𝑝 𝑝 + 2 𝑝 + 3 𝑌1 𝑝 = −2𝑝2 − 9𝑝 + 1 𝑝 𝑝 + 2 𝑝 + 3 = 1 6𝑝 − 11 2 𝑝 + 2 + 10 3 𝑝 + 3 ⇒ 𝑦1 𝑡 = 𝐿−1 𝑌1 𝑝 = 1 6 − 11 2 𝑒−2𝑡 + 10 3 𝑒−3𝑡 𝑌2 𝑝 = 1 𝑝 𝑝 + 2 𝑝 + 3 = 1 6𝑝 − 1 2 𝑝 + 2 + 1 3 𝑝 + 3 ⇒ 𝑦2 𝑡 = 𝐿−1 𝑌2 𝑝 = 1 6 − 1 2 𝑒−2𝑡 + 1 3 𝑒−3𝑡 Vậy: 𝑦 𝑡 = 𝐿−1 𝑌1 𝑝 − 𝑌2 𝑝 ⋅ 𝑒−3𝑝 = 𝑦1 𝑡 − 𝑢 𝑡 − 3 ⋅ 𝑦2 𝑡 − 3 . = 𝑌1 𝑝 − 𝑌2 𝑝 ⋅ 𝑒−3𝑝
  • 17.
    VD3. Áp dụngphép biến đồi Laplace, hãy tìm nghiệm tổng quát của phương trình vi phân sau: 𝑦′′ − 2𝑦′ + 5𝑦 = 𝑒𝑡cos 2𝑡. Giải: Đặt 𝑌(𝑝) = 𝐿{𝑦(𝑡)}, 𝑦(0) = 𝐶1, 𝑦′(0) = 𝐶2. Ta có: 𝐿 𝑦′ 𝑡 = 𝑝. 𝑌 𝑝 − 𝑦 0 𝐿 𝑒𝑡cos 2𝑡 = 𝑝−1 ( ) 𝑝−1 2+4 . 𝐿 𝑦′′ 𝑡 = 𝑝2. 𝑌 𝑝 − 𝑝. y(0) − 𝑦′(0) = 𝑝𝑌 𝑝 − 𝐶1 = 𝑝2𝑌 𝑝 + 𝐶1𝑝 − 𝐶2 𝑝2 𝑌 𝑝 − 𝑝𝐶1 − 𝐶2 − 2 𝑝𝑌 𝑝 − 𝐶1 + 5𝑌 𝑝 = 𝑝 − 1 ( ) 𝑝 − 1 2 + 4 Lấy biến đổi Laplace hai vế của phương trình đã cho, ta được:
  • 18.
    ⇒ 𝑝2 − 2𝑝+ 5 𝑌 𝑝 = 𝑝 − 1 ( ) 𝑝 − 1 2 + 4 + 𝐶1𝑝 + 𝐶2 − 2𝐶1 ⇒ 𝑌 𝑝 = 𝑝 − 1 ( ) 𝑝 − 1 2 + 4 2 + 𝐶1 𝑝 − 1 ( ) 𝑝 − 1 2 + 4 + 𝐶2 − 𝐶1 ( ) 𝑝 − 1 2 + 4 Tra Bảng gốc - ảnh, ta được: 𝑦 𝑡 = 𝐿−1 𝑌 𝑝 = 1 4 𝑒𝑡 𝑡si n 2 𝑡 + 𝐶1𝑒𝑡 co s 2 𝑡 + 1 2 𝐶2 − 𝐶1 𝑒𝑡 si n 2 𝑡.
  • 19.
    2. Giải phươngtrình tích phân, phương trình vi tích phân: ❖ Dạng tổng quát: 𝐹 𝑡, 𝑦 𝑡 , 𝑦′ 𝑡 , … , 𝑦 𝑛 𝑡 , ∫ 0 𝑡 𝑦 𝑢 𝑑𝑢, ∫ 0 𝑡 𝑦 𝑢 . g(𝑡 − 𝑢)𝑑𝑢 = 0 B1. Biến đổi laplace hai vế của phương trình: Đặt: Y 𝑝 = 𝐿 𝑦 𝑡 và vận dụng các công thức: ▪ 𝐿 𝑦(𝑘)(𝑡) = 𝑝𝑘 ⋅ 𝑌 𝑝 − 𝑝𝑘−1 ⋅ 𝑦 0 − 𝑝𝑘−2𝑦′ 0 − ⋯ − 𝑦 𝑘−1 0 ▪ 𝐿 ∫ 0 𝑡 𝑦(𝑢)𝑑𝑢 = 1 𝑝 𝐿{𝑦(𝑡)} = 1 𝑝 𝑌(𝑝) ▪ 𝐿 ∫ 0 𝑡 y 𝑢 . g(𝑡 − 𝑢)𝑑𝑢 = 𝐿 𝑦 𝑡 ∗ 𝑔 𝑡 = Borel 𝑌 𝑝 . 𝐿{g(𝑡)} B2. Tìm hàm ảnh 𝑌(𝑝). Áp dụng phép biến đổi Laplace ngược ta tìm được nghiệm của bài toán: 𝑦(𝑡) = 𝐿−1{𝑌(𝑝)}. ❖ Cách giải:
  • 20.
    VD1. Áp dụngphép biến đổi Laplace, hãy giải phương trình vi tích phân sau : 𝑦/ (𝑡) − 5𝑦(𝑡) + 6∫0 𝑡 𝑦(𝜏)𝑑𝜏 = 𝑒4𝑡 + 1, thỏa 𝑦(0) = 3. Giải Đặt 𝑌(𝑝) = 𝐿{𝑦(𝑡)}. Ta có: 𝐿 ∫ 0 𝑡 y(𝜏)𝑑𝜏 = Y(𝑝) 𝑝 ; 𝐿 𝑦′ (𝑡) = 𝑝 ⋅ 𝑌 𝑝 − y 0 = 𝑝 ⋅ 𝑌 𝑝 − 3; 𝐿 𝑒4𝑡 = 1 𝑝−4 ; 𝐿 1 = 1 𝑝 ; Lấy biến đổi Laplace hai vế của phương trình đã cho, ta được: 𝑝. 𝑌 𝑝 − 3 − 5𝑌 𝑝 + 6 𝑝 ⋅ 𝑌 𝑝 = 1 𝑝 − 4 + 1 𝑝 ⇒ 𝑝 − 5 + 6 𝑝 𝑌 𝑝 = 1 𝑝 − 4 + 1 𝑝 + 3 ⇒ 𝑝2 − 5𝑝 + 6 𝑝 . 𝑌 𝑝 = 3𝑃2 − 10p − 4 𝑝(𝑝 − 4)
  • 21.
    ⇒ 𝑌 𝑝= 3𝑃2 − 10p − 4 (𝑝 − 4)(𝑝2 − 5𝑝 + 6) = 3𝑃2 − 10p − 4 (𝑝 − 2)(𝑝 − 3)(𝑝 − 4) Phân tích: 𝑌 𝑝 = A p−2 + B p−3 + C p−4 𝐴 = อ 3𝑃2 − 10p − 4 (𝑝 − 3)(𝑝 − 4) 𝑝=2 = −6; 𝐵 = อ 3𝑃2 − 10p − 4 (𝑝 − 2)(𝑝 − 4) 𝑝=3 = 7; 𝐶 = อ 3𝑃2 − 10p − 4 (𝑝 − 2)(𝑝 − 3) 𝑝=4 = 2; Ta được: 𝑌 𝑝 = −6 p−2 + 7 p−3 + 2 p−4 Vậy nghiệm của bài toán là: 𝑦 𝑡 = 𝐿−1 𝑌 𝑝 = −6𝑒2𝑡 + 7𝑒3𝑡 + 2𝑒4𝑡 .
  • 22.
    𝐕𝐃𝟐. Áp dụngphép biến đổi Laplace, hãy giải phương trình vi tích phân: 𝑦′ (𝑡) − 3𝑦(𝑡) − 25∫0 𝑡 𝑦(𝑡 − 𝜏)𝑒3𝜏 𝑑𝜏 = 𝑒2𝑡 thỏa mãn điều kiện 𝑦(0) = −1. Giải Đặt 𝑌(𝑝) = 𝐿{𝑦(𝑡)}. Ta có: 𝐿 𝑦′ (𝑡) = 𝑝 ⋅ 𝑌 𝑝 − y 0 = p. Y p + 1; 𝐿 𝑒2𝑡 = 1 𝑝−2 . ⇒ ∫0 𝑡 𝑦(𝑡 − 𝜏)𝑒3𝜏𝑑𝜏 = 𝑦 𝑡 ∗ 𝑒3𝑡 ⇒ 𝐿 ∫0 𝑡 𝑦(𝑡 − 𝜏)𝑒3𝜏 𝑑𝜏 = 𝐿 𝑦 𝑡 ∗ 𝑒3𝑡 ADCT: y(𝑡) ∗ 𝑔(𝑡) = ∫0 𝑡 y(t − 𝑢)𝑔(𝑢)𝑑𝑢 : = Borel 𝐿 𝑦 𝑡 }. 𝐿{𝑒3𝑡 = 𝑌(𝑝). 1 𝑝−3 Lấy biến đổi Laplace hai vế của phương trình đã cho, ta được: 𝑝. 𝑌 𝑝 + 1 − 3𝑌 𝑝 − 25. 𝑌(𝑝). 1 𝑝 − 3 = 1 𝑝 − 2
  • 23.
    𝑝. 𝑌 𝑝+ 1 − 3𝑌 𝑝 − 25. 𝑌(𝑝). 1 𝑝 − 3 = 1 𝑝 − 2 ⇔ 𝑝 − 3 − 25 𝑝−3 . 𝑌 𝑝 = 1 𝑝−2 − 1 ⇒ 𝑝2−6𝑝−16 𝑝−3 . 𝑌 𝑝 = 3−𝑝 𝑝−2 ⇒ 𝑌 𝑝 = −(𝑝 − 3)2 (𝑝 − 2)(𝑝 + 2)(𝑝 − 8) Phân tích: −(𝑝−3)2 (𝑝−2)(𝑝+2)(𝑝−8) = 𝐴 𝑝−2 + 𝐵 𝑝+2 + 𝐶 𝑝−8 (*) 𝐴 = อ −(𝑝 − 3)2 (𝑝 + 2)(𝑝 − 8) 𝑝=2 = 1 24 ; 𝐵 = อ −(𝑝 − 3)2 (𝑝 − 2)(𝑝 − 8) 𝑝=−2 = −5 8 ; 𝐶 = อ −(𝑝 − 3)2 (𝑝 − 2)(𝑝 + 2) 𝑝=8 = −5 12 . Ta được: 𝑌 𝑝 = 1 24 . 1 p−2 − 5 8 . 1 p+2 − 5 12 . 1 p−8 Vậy 𝑦 𝑡 = 𝐿−1 𝑌 𝑝 = 1 24 . 𝑒2𝑡 − 5 8 𝑒−2𝑡 − 5 12 . 𝑒8𝑡.