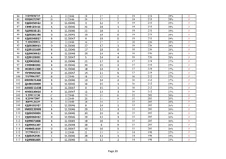
№
Регистерийн
дугаар
Хувилбар
Сургуулйин
Код
Баганан
код
1-р Хэсэг
/Сонгох/
2-р Хэсэг
/Нөхөх/
Анхны
Оноо
Хэмжээст
Оноо
Гүйцэтгэлийн
хувь
Үсгэн Дүн
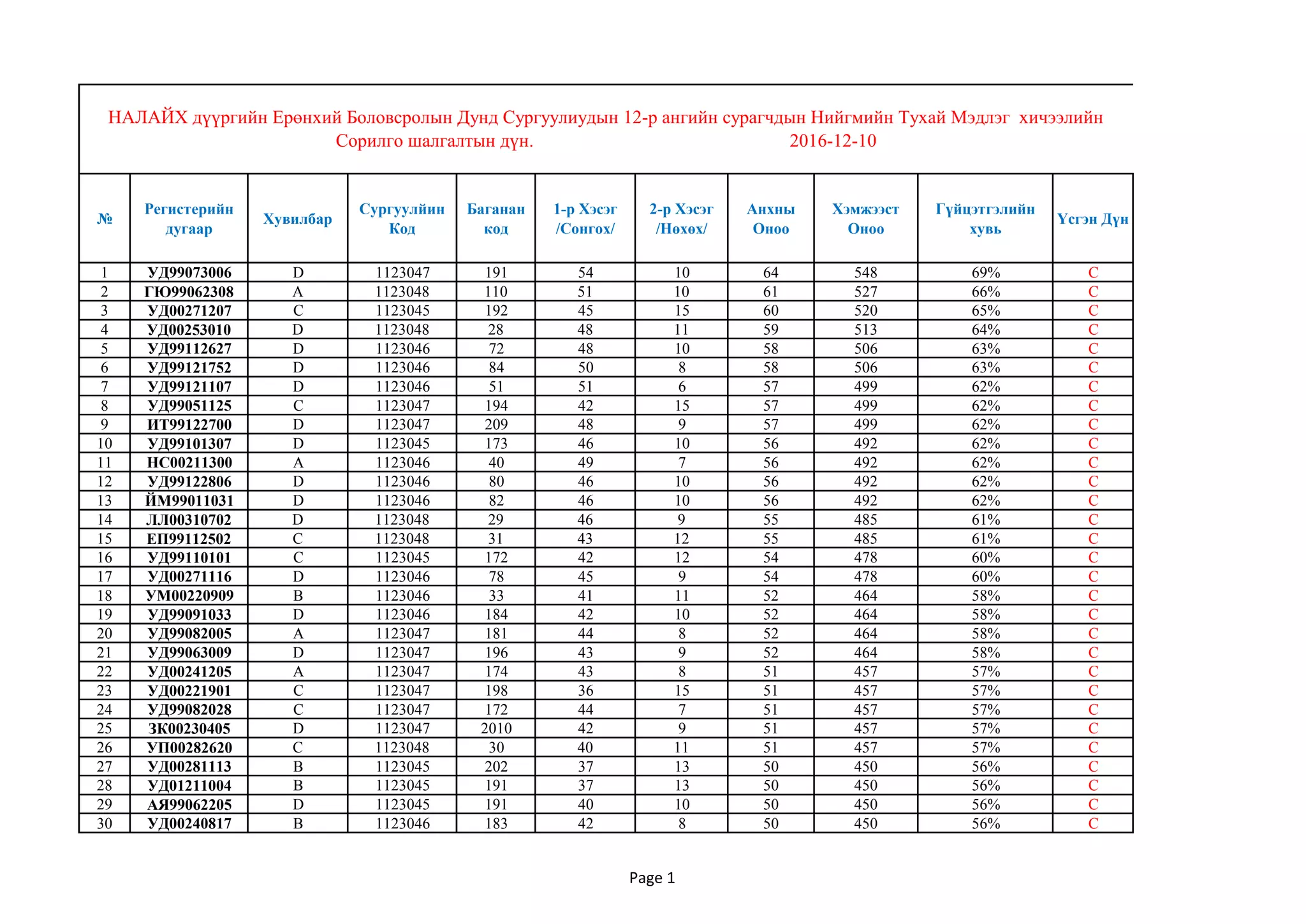
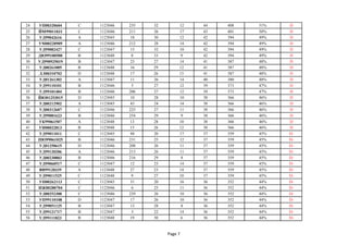
1 УД99073006 D 1123047 191 54 10 64 548 69% C
2 ГЮ99062308 А 1123048 110 51 10 61 527 66% C
3 УД00271207 С 1123045 192 45 15 60 520 65% C
4 УД00253010 D 1123048 28 48 11 59 513 64% C
5 УД99112627 D 1123046 72 48 10 58 506 63% C
6 УД99121752 D 1123046 84 50 8 58 506 63% C
7 УД99121107 D 1123046 51 51 6 57 499 62% C
8 УД99051125 С 1123047 194 42 15 57 499 62% C
9 ИТ99122700 D 1123047 209 48 9 57 499 62% C
10 УД99101307 D 1123045 173 46 10 56 492 62% C
11 НС00211300 А 1123046 40 49 7 56 492 62% C
12 УД99122806 D 1123046 80 46 10 56 492 62% C
13 ЙМ99011031 D 1123046 82 46 10 56 492 62% C
14 ЛЛ00310702 D 1123048 29 46 9 55 485 61% C
15 ЕП99112502 С 1123048 31 43 12 55 485 61% C
16 УД99110101 С 1123045 172 42 12 54 478 60% C
17 УД00271116 D 1123046 78 45 9 54 478 60% C
18 УМ00220909 В 1123046 33 41 11 52 464 58% C
19 УД99091033 D 1123046 184 42 10 52 464 58% C
20 УД99082005 А 1123047 181 44 8 52 464 58% C
21 УД99063009 D 1123047 196 43 9 52 464 58% C
22 УД00241205 А 1123047 174 43 8 51 457 57% C
23 УД00221901 С 1123047 198 36 15 51 457 57% C
24 УД99082028 С 1123047 172 44 7 51 457 57% C
25 ЗК00230405 D 1123047 2010 42 9 51 457 57% C
26 УП00282620 С 1123048 30 40 11 51 457 57% C
27 УД00281113 В 1123045 202 37 13 50 450 56% C
28 УД01211004 В 1123045 191 37 13 50 450 56% C
29 АЯ99062205 D 1123045 191 40 10 50 450 56% C
30 УД00240817 В 1123046 183 42 8 50 450 56% C
НАЛАЙХ дүүргийн Ерөнхий Боловсролын Дунд Сургуулиудын 12-р ангийн сурагчдын Нийгмийн Тухай Мэдлэг хичээлийн
Сорилго шалгалтын дүн. 2016-12-10
Page 1
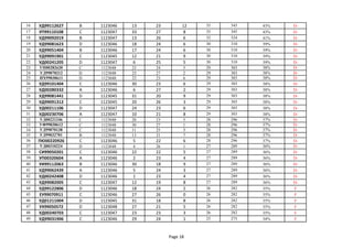
31 ЕЙ99102532 D 1123046 76 41 9 50 450 56% C
32 УД99060118 D 1123047 200 41 9 50 450 56% C
33 УП99091536 А 1123048 114 41 9 50 450 56% C
34 НЧ99021514 С 1123045 185 44 5 49 443 55% C
35 УД99090601 D 1123046 182 38 11 49 443 55% C
36 УД00301709 D 1123047 202 40 9 49 443 55% C
37 УД99032701 D 1123048 53 40 9 49 443 55% C
38 УИ99050719 С 1123048 115 46 3 49 443 55% C
39 УД99060176 В 1123045 192 41 7 48 436 55% C
40 ТБ99040831 С 1123045 184 37 11 48 436 55% C
41 СИ99050201 D 1123046 57 36 12 48 436 55% C
42 УП99011127 В 1123047 198 36 12 48 436 55% C
43 УД99122624 С 1123047 192 37 11 48 436 55% C
44 ВВ99120339 D 1123048 47 40 8 48 436 55% C
45 УД00292803 D 1123046 180 35 12 47 429 54% C
46 УД99021915 D 1123046 190 38 9 47 429 54% C
47 УП99011127 В 1123047 214 36 11 47 429 54% C
48 УД99032821 С 1123047 56 34 13 47 429 54% C
49 УД99081013 С 1123047 177 38 9 47 429 54% C
50 УД00220202 В 1123047 201 38 9 47 429 54% C
51 УД00252308 С 1123046 69 34 12 46 422 53% D
52 УД00211106 С 1123047 197 37 9 46 422 53% D
53 УД98122101 С 1123047 208 34 12 46 422 53% D
54 УД99112604 С 1123047 197 39 7 46 422 53% D
55 УД99081007 D 1123047 171 36 10 46 422 53% D
56 УИ99112063 D 1123046 193 36 9 45 415 52% D
57 ИЖ99051503 D 1123046 194 39 6 45 415 52% D
58 СВ99123116 D 1123046 191 35 10 45 415 52% D
59 УД99101404 С 1123047 71 34 11 45 415 52% D
60 УХ99050572 С 1123048 48 32 13 45 415 52% D
61 УД00240310 D 1123048 49 37 8 45 415 52% D
62 УД99090674 В 1123045 203 34 10 44 408 51% D
63 УД00232452 С 1123045 174 37 7 44 408 51% D
64 УД99071506 В 1123046 31 35 9 44 408 51% D
65 УД99102208 С 1123046 60 33 11 44 408 51% D
66 УД99072131 D 1123047 182 34 10 44 408 51% D
67 УД99011525 С 1123048 109 36 8 44 408 51% D
68 УД990708485 А 1123045 196 39 4 43 401 50% D
69 ЕО99101309 С 1123045 193 38 5 43 401 50% D
Page 2
70 УД00292005 А 1123046 68 34 9 43 401 50% D
71 НЦ99080710 В 1123046 83 35 8 43 401 50% D
72 ГД00253001 В 1123045 200 32 10 42 394 49% D
73 УД00220911 А 1123046 85 34 8 42 394 49% D
74 УД00240703 А 1123047 179 36 6 42 394 49% D
75 УД99060517 D 1123047 203 34 8 42 394 49% D
76 УД99122829 D 1123047 188 31 11 42 394 49% D
77 УК99061507 С 1123048 46 35 7 42 394 49% D
78 УД99051011 В 1123045 186 31 10 41 387 48% D
79 УД99031929 В 1123046 43 32 9 41 387 48% D
80 УД99072812 А 1123047 173 34 7 41 387 48% D
81 УД01261302 В 1123047 189 30 11 41 387 48% D
82 УД99051404 С 1123047 79 35 6 41 387 48% D
83 УД00302308 С 1123047 193 36 5 41 387 48% D
84 УД00230706 D 1123047 215 33 8 41 387 48% D
85 УД900310224 А 1123048 100 32 9 41 387 48% D
86 УД00261119 В 1123045 205 30 10 40 380 48% D
87 УК99082026 С 1123045 201 32 8 40 380 48% D
88 УД00211836 С 1123045 204 32 8 40 380 48% D
89 УД99091909 С 1123045 198 29 11 40 380 48% D
90 НБ9907113 В 1123046 192 29 11 40 380 48% D
91 ЕУ99070911 D 1123046 178 33 7 40 380 48% D
92 ПЮ00220936 D 1123046 188 31 9 40 380 48% D
93 УД99092002 А 1123047 189 32 8 40 380 48% D
94 УД99111800 В 1123047 196 31 9 40 380 48% D
95 УД00260412 С 1123047 58 35 5 40 380 48% D
96 УХ00231322 С 1123047 194 28 12 40 380 48% D
97 РБ00232800 D 1123047 61 37 3 40 380 48% D
98 УД00260549 D 1123047 199 33 7 40 380 48% D
99 УД00211009 D 1123047 199 33 7 40 380 48% D
100 УД99111236 С 1123048 101 30 10 40 380 48% D
101 УД00272000 С 1123047 67 35 4 39 373 47% D
102 УД98120216 С 1123047 207 31 8 39 373 47% D
103 УД99042616 В 1123045 187 26 12 38 366 46% D
104 УД00242009 В 1123045 195 32 6 38 366 46% D
105 УД99081805 С 1123047 62 31 7 38 366 46% D
106 УД99121001 В 1123047 195 27 11 38 366 46% D
107 КД99072807 В 1123048 50 29 9 38 366 46% D
108 ВА99111001 D 1123048 105 29 9 38 366 46% D
Page 3
109 УЕ99042111 D 1123048 106 32 6 38 366 46% D
110 УД00252901 С 1123045 189 32 5 37 359 45% D-
111 УП00320604 А 1123046 34 34 3 37 359 45% D-
112 УД99113015 В 1123046 77 29 8 37 359 45% D-
113 УД00251202 В 1123046 37 30 7 37 359 45% D-
114 УД00270238 А 1123047 180 33 4 37 359 45% D-
115 НУ99042506 В 1123047 176 27 10 37 359 45% D-
116 УД99111823 А 1123048 117 35 2 37 359 45% D-
117 УД00221246 С 1123045 52 28 8 36 352 44% D-
118 УД99102117 D 1123045 184 28 8 36 352 44% D-
119 СП00232109 А 1123047 186 31 5 36 352 44% D-
120 УП99110108 В 1123047 178 29 7 36 352 44% D-
121 УД00232907 С 1123047 201 33 3 36 352 44% D-
122 УД99100309 А 1123045 176 29 6 35 345 43% D-
123 УД00241401 В 1123045 199 27 8 35 345 43% D-
124 УД99021214 С 1123045 180 31 4 35 345 43% D-
125 УД99022801 А 1123046 36 28 7 35 345 43% D-
126 УД99031906 В 1123046 199 26 9 35 345 43% D-
127 УК99221023 А 1123047 187 30 5 35 345 43% D-
128 УД00230615 С 1123047 204 34 1 35 345 43% D-
129 УД99030711 С 1123045 178 25 9 34 338 42% D-
130 НЭ00212501 В 1123046 187 30 4 34 338 42% D-
131 УД00102110 В 1123046 81 28 6 34 338 42% D-
132 УД99051307 С 1123048 54 28 6 34 338 42% D-
133 УД00260104 В 1123048 32 25 9 34 338 42% D-
134 УД99030612 В 1123048 102 31 3 34 338 42% D-
135 УД99070719 В 1123046 39 23 10 33 331 41% D-
136 УД99082307 D 1123046 74 24 9 33 331 41% D-
137 УЛ00281822 D 1123046 65 26 7 33 331 41% D-
138 ПЗ98081310 А 1123046 38 27 6 33 331 41% D-
139 УД99082427 С 1123047 206 27 6 33 331 41% D-
140 УД00280816 В 1123048 116 28 5 33 331 41% D-
141 УД00260811 А 1123045 177 24 8 32 324 41% D-
142 УД00230803 В 1123046 181 30 2 32 324 41% D-
143 УД00300409 В 1123046 35 26 6 32 324 41% D-
144 УД00322838 В 1123046 41 27 5 32 324 41% D-
145 УД99041709 С 1123047 73 27 5 32 324 41% D-
146 УД99081218 С 1123047 195 27 5 32 324 41% D-
147 НЛ99020516 В 1123048 104 23 9 32 324 41% D-
Page 4
148 НД99071314 В 1123045 171 26 5 31 317 40% D-
149 УЕ00261712 В 1123045 185 21 10 31 317 40% D-
150 УД99020125 С 1123045 175 26 5 31 317 40% D-
151 МЮ99042302 С 1123046 64 30 1 31 317 40% D-
152 ИП00212105 С 1123047 193 25 6 31 317 40% D-
153 УД99022663 В 1123045 179 25 5 30 310 39% D-
154 УД98121411 А 1123046 42 24 6 30 310 39% D-
155 УД99062439 В 1123046 189 22 8 30 310 39% D-
156 УД99120719 А 1123047 190 27 3 30 310 39% D-
157 УД99070138 В 1123048 113 22 8 30 310 39% D-
158 УД00261005 В 1123048 33 23 7 30 310 39% D-
159 СФ00222317 А 1123048 112 23 7 30 310 39% D-
160 УП00262113 С 1123045 181 25 4 29 303 38% D-
161 УД00211648 А 1123046 32 24 5 29 303 38% D-
162 УД99060153 D 1123047 200 25 4 29 303 38% D-
163 УД00271800 В 1123045 197 20 8 28 296 37% D-
164 УД00282715 С 1123045 194 20 8 28 296 37% D-
165 УД00272809 В 1123046 30 25 3 28 296 37% D-
166 УД99112809 D 1123046 63 24 4 28 296 37% D-
167 УД99100406 С 1123047 190 19 9 28 296 37% D-
168 УД01212538 А 1123045 182 23 4 27 289 36% D-
169 УД99102704 А 1123045 188 21 6 27 289 36% D-
170 УД99101621 В 1123045 190 26 1 27 289 36% D-
171 УД99101011 В 1123047 205 18 9 27 289 36% D-
172 УД99091819 В 1123048 111 21 6 27 289 36% D-
173 УД00273112 В 1123045 183 21 5 26 282 35% F
174 СЭ99082203 D 1123046 186 20 6 26 282 35% F
175 УД99022121 В 1123047 175 21 5 26 282 35% F
176 УД00222403 С 1123047 75 23 3 26 282 35% F
177 УД00261706 А 1123046 44 21 3 24 268 34% F
178 УД00310406 В 1123046 185 15 9 24 268 34% F
179 УД00312607 В 1123046 179 20 4 24 268 34% F
180 ЛД99033121 D 1123046 70 21 3 24 268 34% F
181 УД00282708 D 1123046 66 18 6 24 268 34% F
182 УД00280913 В 1123046 198 19 4 23 261 33% F
183 ЖЛ99122318 D 1123046 59 20 3 23 261 33% F
184 ИХ99030611 С 1123048 107 19 4 23 261 33% F
185 ДА98102809 В 1123046 195 18 4 22 254 32% F
186 УК99061445 D 1123048 55 15 7 22 254 32% F
Page 5
187 УД99121210 А 1123045 183 18 3 21 247 31% F
188 УД00242408 В 1123046 45 17 4 21 247 31% F
189 УД99101609 А 1123046 29 16 4 20 240 30% F
6055 1442 7497 71379 8922%
32.04 7.63 39.7 377.7 47.2%
№
Регистерийн
дугаар
Хувилбар
Сургуулйин
Код
Баганан
код
1-р Хэсэг
/Сонгох/
2-р Хэсэг
/Нөхөх/
Анхны
Оноо
Хэмжээст
Оноо
Гүйцэтгэлийн хувь Үсгэн Дүн
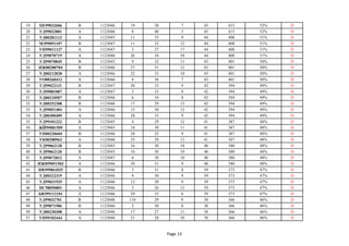
1 УМ00250832 D 1123045 41 78 2 80 660 83% A-
2 УХ99020318 С 1123045 52 56 24 80 660 83% A-
3 УД99070822 С 1123045 23 50 16 66 562 70% B
4 УД00311237 С 1123045 16 36 28 64 548 69% C
5 УД99071808 С 1123045 46 44 20 64 548 69% C
6 УД00271207 С 1123045 32 44 18 62 534 67% C
7 УД00253010 А 1123048 12 38 24 62 534 67% C
8 УД01292513 С 1123045 11 38 18 56 492 62% C
9 УД99122806 С 1123046 210 34 22 56 492 62% C
10 УД00211106 А 1123047 10 36 18 54 478 60% C
11 УД00210137 С 1123046 240 39 14 53 471 59% C
12 МФ99041604 С 1123046 226 27 24 51 457 57% C
13 УД99021208 В 1123045 51 32 18 50 450 56% C
14 УД00221736 В 1123046 207 34 16 50 450 56% C
15 УШ0322759 С 1123045 28 33 16 49 443 55% C
16 ЕУ99070911 С 1123046 234 30 18 48 436 55% C
17 ГЮ99062308 А 1123048 7 30 18 48 436 55% C
18 УД00310224 В 1123048 1 34 14 48 436 55% C
19 УД99051404 А 1123046 208 33 14 47 429 54% C
20 ЧЭ99101204 А 1123047 8 35 11 46 422 53% D
21 НС00211300 А 1123046 228 28 17 45 415 52% D
22 ИЖ99051503 А 1123046 253 32 13 45 415 52% D
23 УД99121107 С 1123046 246 31 13 44 408 51% D
ДУНДАЖ
НАЛАЙХ дүүргийн Ерөнхий Боловсролын Дунд Сургуулиудын 12-р ангийн сурагчдын АНГЛИ ХЭЛНИЙ хичээлийн Сорилго
шалгалтын дүн. 2016-12-10
Page 6
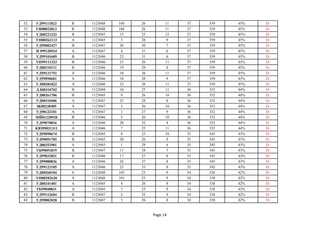
24 УП00320604 С 1123046 235 32 12 44 408 51% D
25 ЙМ99011031 С 1123046 211 26 17 43 401 50% D
26 УД99042616 А 1123045 18 30 12 42 394 49% D
27 УМ00220909 А 1123046 212 28 14 42 394 49% D
28 УД99082427 С 1123047 15 32 10 42 394 49% D
29 ДЮ99100500 В 1123048 8 33 9 42 394 49% D
30 УД990925019 В 1123047 23 27 14 41 387 48% D
31 УД00261005 В 1123048 16 29 12 41 387 48% D
32 ЛЛ00310702 D 1123048 17 26 15 41 387 48% D
33 УД01261302 А 1123047 11 26 14 40 380 48% D
34 УД99110101 В 1123046 5 27 12 39 373 47% D
35 УД99101404 В 1123046 206 27 12 39 373 47% D
36 ЙЮ01253015 D 1123045 10 28 10 38 366 46% D
37 УД00212902 А 1123045 43 24 14 38 366 46% D
38 УД00312607 С 1123046 225 27 11 38 366 46% D
39 УД99081623 В 1123046 254 29 9 38 366 46% D
40 УК99061507 А 1123048 13 28 10 38 366 46% D
41 УИ00022813 В 1123048 15 26 12 38 366 46% D
42 УД99011011 С 1123045 48 20 17 37 359 45% D-
43 ПЮ99061025 В 1123046 231 25 12 37 359 45% D-
44 УД01250615 D 1123046 208 26 11 37 359 45% D-
45 УД99120206 А 1123046 213 26 11 37 359 45% D-
46 УД00230803 В 1123046 216 29 8 37 359 45% D-
47 УД99060517 С 1123047 12 23 14 37 359 45% D-
48 ВВ99120339 А 1123048 27 23 14 37 359 45% D-
49 УД99011525 С 1123048 9 27 10 37 359 45% D-
50 УП00262113 С 1123045 31 20 16 36 352 44% D-
51 ИЖ00280704 С 1123046 6 25 11 36 352 44% D-
52 УД00252308 С 1123046 229 26 10 36 352 44% D-
53 УП99110108 D 1123047 17 26 10 36 352 44% D-
54 УД99051125 В 1123047 13 28 8 36 352 44% D-
55 УД99121717 В 1123047 3 22 14 36 352 44% D-
56 УД99111823 В 1123048 19 30 6 36 352 44% D-
Page 7
57 АЯ99062205 А 1123045 36 17 18 35 345 43% D-
58 УД00300409 А 1123046 217 23 12 35 345 43% D-
59 УП00282620 С 1123048 11 23 12 35 345 43% D-
60 УД99041421 С 1123045 47 27 7 34 338 42% D-
61 УД00241114 А 1123045 21 15 19 34 338 42% D-
62 УХ00231322 С 1123047 17 26 8 34 338 42% D-
63 УД99082028 В 1123047 15 26 8 34 338 42% D-
64 УП99091536 А 1123048 18 24 10 34 338 42% D-
65 УЮ99081321 D 1123045 56 19 14 33 331 41% D-
66 УД99091705 В 1123045 33 21 12 33 331 41% D-
67 УД99101222 В 1123045 2 21 12 33 331 41% D-
68 УД99022121 А 1123047 16 21 12 33 331 41% D-
69 УП99071804 С 1123048 14 18 15 33 331 41% D-
70 УД99021214 С 1123045 38 18 14 32 324 41% D-
71 УД99060176 С 1123045 4 20 12 32 324 41% D-
72 УД00290112 С 1123047 19 22 10 32 324 41% D-
73 УД00241205 В 1123047 4 21 11 32 324 41% D-
74 УД99122709 D 1123048 204 21 11 32 324 41% D-
75 УИ99050719 С 1123048 10 22 10 32 324 41% D-
76 УД99100309 В 1123045 13 17 14 31 317 40% D-
77 УД00211836 В 1123045 6 17 14 31 317 40% D-
78 УД99102117 В 1123045 22 21 10 31 317 40% D-
79 ИЖ99071400 А 1123046 221 20 11 31 317 40% D-
80 УД00280332 В 1123045 215 22 9 31 317 40% D-
81 УД00292803 В 1123046 224 22 9 31 317 40% D-
82 УД00251014 В 1123046 239 21 10 31 317 40% D-
83 НЛ99020516 А 1123048 205 21 10 31 317 40% D-
84 УД99070138 С 1123048 4 21 10 31 317 40% D-
85 УД99121752 С 1123046 232 18 12 30 310 39% D-
86 СИ99050201 А 1123046 244 15 15 30 310 39% D-
87 УД99021915 В 1123046 223 27 3 30 310 39% D-
88 УД00322319 В 1123046 209 24 6 30 310 39% D-
89 УД90052006 В 1123047 22 26 4 30 310 39% D-
Page 8
90 ВА99111001 А 1123048 3 18 12 30 310 39% D-
91 УД00272000 А 1123046 241 18 11 29 303 38% D-
92 ПЮ00220926 А 1123046 229 15 14 29 303 38% D-
93 УД99073006 С 1123047 1 20 9 29 303 38% D-
94 УД99082005 В 1123047 12 20 9 29 303 38% D-
95 УД00260549 В 1123047 2 17 12 29 303 38% D-
96 УД00221246 В 1123048 251 22 7 29 303 38% D-
97 УД99022663 А 1123045 3 13 15 28 296 37% D-
98 УД99102208 D 1123046 247 19 9 28 296 37% D-
99 УД00210507 С 1123046 18 16 12 28 296 37% D-
100 УД99071506 А 1123046 211 18 10 28 296 37% D-
101 УД00252901 С 1123045 12 17 10 27 289 36% D-
102 УД00292005 D 1123046 214 18 9 27 289 36% D-
103 УД00240817 С 1123046 234 23 4 27 289 36% D-
104 УД99090601 А 1123046 237 20 7 27 289 36% D-
105 УЛ00281822 В 1123046 236 14 13 27 289 36% D-
106 БЮ99112101 В 1123046 222 18 9 27 289 36% D-
107 УД00261404 С 1123047 10 22 5 27 289 36% D-
108 УД00220716 В 1123047 7 11 16 27 289 36% D-
109 НЩ00252907 D 1123048 22 18 9 27 289 36% D-
110 УД00240310 В 1123048 2 17 10 27 289 36% D-
111 УД99020125 D 1123045 4 20 6 26 282 35% F
112 УД00250911 С 1123045 37 23 3 26 282 35% F
113 УД00241401 С 1123045 8 19 7 26 282 35% F
114 УД99101609 D 1123046 233 15 11 26 282 35% F
115 УД00251202 А 1123046 213 18 8 26 282 35% F
116 НУ99042506 С 1123047 16 19 7 26 282 35% F
117 КД99072807 В 1123048 202 17 9 26 282 35% F
118 УД00281113 В 1123045 42 20 5 25 275 34% F
119 МЮ99042302 С 1123046 231 19 6 25 275 34% F
120 ИХ99030611 В 1123048 2 13 12 25 275 34% F
121 УЕ00261712 А 1123045 27 14 10 24 268 34% F
122 УД00282708 В 1123046 217 18 6 24 268 34% F
Page 9
123 УД00270236 А 1123047 7 19 5 24 268 34% F
124 УД99072812 В 1123047 18 18 6 24 268 34% F
125 ЕО99101309 А 1123046 13 15 8 23 261 33% F
126 УД00242408 С 1123046 224 15 8 23 261 33% F
127 УД00222403 С 1123046 218 19 4 23 261 33% F
128 УД99041709 С 1123046 220 15 8 23 261 33% F
129 УД99082307 А 1123046 219 12 11 23 261 33% F
130 НС98050801 А 1123046 227 15 8 23 261 33% F
131 СЭ99082203 В 1123046 249 16 7 23 261 33% F
132 ЗЗ99020408 С 1123047 6 17 6 23 261 33% F
133 УД99060153 С 1123047 21 15 8 23 261 33% F
134 УК99061445 D 1123048 25 18 5 23 261 33% F
135 УД99101621 В 1123045 17 12 10 22 254 32% F
136 РБ00232800 D 1123046 250 8 14 22 254 32% F
137 УИ99112063 С 1123046 200 12 10 22 254 32% F
138 УД00212828 С 1123046 222 14 8 22 254 32% F
139 УД99072131 С 1123047 3 14 8 22 254 32% F
140 УХ99050572 D 1123048 196 17 5 22 254 32% F
141 УД00280816 С 1123048 6 15 7 22 254 32% F
142 УД99030711 С 1123045 9 16 5 21 247 31% F
143 УД00242009 А 1123045 7 13 8 21 247 31% F
144 УД00322838 D 1123046 219 15 6 21 247 31% F
145 УД99031929 С 1123046 225 15 6 21 247 31% F
146 ДА98102809 С 1123046 248 15 6 21 247 31% F
147 УК00280963 В 1123046 2 13 8 21 247 31% F
148 УД99100503 В 1123046 233 13 8 21 247 31% F
149 УД99051307 А 1123048 197 17 4 21 247 31% F
150 УД99101307 D 1123045 14 14 6 20 240 30% F
151 РД00310406 D 1123046 226 15 5 20 240 30% F
152 УД99070816 D 1123046 238 13 7 20 240 30% F
153 УД99081805 С 1123046 216 8 12 20 240 30% F
154 УД99122105 С 1123046 203 16 4 20 240 30% F
155 МЙ01220920 А 1123046 1 7 13 20 240 30% F
Page 10
156 ПЕ99032606 А 1123046 228 12 8 20 240 30% F
157 УЕ99042111 D 1123048 26 12 8 20 240 30% F
158 УД00260104 А 1123048 24 13 7 20 240 30% F
159 УД00260811 А 1123045 1 11 8 19 233 29% F
160 УМ99102444 D 1123046 221 13 6 19 233 29% F
161 РБ99080700 D 1123046 223 17 2 19 233 29% F
162 УД99112627 D 1123046 212 12 7 19 233 29% F
163 УД99030612 С 1123048 21 15 4 19 233 29% F
164 СФ00222317 D 1123048 5 10 9 19 233 29% F
165 ЕП99112502 D 1123048 1 15 4 19 233 29% F
166 УБ99051819 D 1123047 11 10 8 18 226 28% F
167 УД00240703 А 1123047 5 12 6 18 226 28% F
168 ВП00212406 D 1123046 207 13 4 17 219 27% F
169 ЖЛ99122318 А 1123046 242 10 7 17 219 27% F
170 УД99091033 В 1123046 235 5 12 17 219 27% F
171 УД99032701 С 1123048 252 12 5 17 219 27% F
172 УД00260412 D 1123046 243 15 1 16 212 27% F
173 УД98121411 В 1123046 220 10 6 16 212 27% F
174 НД99071314 В 1123045 5 6 9 15 205 26% F
175 УД99032821 D 1123046 245 10 5 15 205 26% F
176 ЛД99033121 В 1123046 230 12 3 15 205 26% F
177 УД99042006 D 1123047 14 15 0 15 205 26% F
178 УД99031906 D 1123046 255 10 4 14 198 25% F
179 УД99101011 А 1123047 20 11 3 14 198 25% F
180 УД99051819 D 1123048 208 6 8 14 198 25% F
181 УД00261706 D 1123046 227 11 2 13 191 24% F
182 УД99081007 D 1123047 9 11 2 13 191 24% F
183 УД99121210 В 1123045 26 6 6 12 184 23% F
184 УД00302103 А 1123046 201 6 6 12 184 23% F
185 УД99111236 В 1123048 206 8 4 12 184 23% F
186 УД98082808 В 1123045 8 7 4 11 177 22% F
3851 1865 5716 58612 7327%
20.70 10.03 30.7 315.1 39.4%
ДУНДАЖ
Page 11
№
Регистерийн
дугаар
Хувилбар
Сургуулйин
Код
Баганан
код
1-р Хэсэг
/Сонгох/
2-р Хэсэг
/Нөхөх/
Анхны
Оноо
Хэмжээст
Оноо
Гүйцэтгэлийн
хувь
Үсгэн Дүн
1 УД99122806 А 1123046 16 50 13 63 541 68% C
2 УД00211106 А 1123047 29 45 13 58 506 63% C
3 УП99111420 А 1123045 7 43 11 54 478 60% C
4 УД00222403 А 1123046 25 42 12 54 478 60% C
5 УД00210137 А 1123046 9 45 8 53 471 59% C
6 УД00271800 А 1123045 5 41 11 52 464 58% C
7 ЕУ99070911 А 1123046 21 43 8 51 457 57% C
8 РБ99080700 А 1123046 20 43 8 51 457 57% C
9 УД99042006 А 1123047 12 38 11 49 443 55% C
10 УД99121107 В 1123046 19 32 17 49 443 55% C
11 УД99091033 А 1123046 27 40 9 49 443 55% C
12 УД99101621 В 1123045 10 36 11 47 429 54% C
13 УД00271116 В 1123046 18 37 10 47 429 54% C
14 УД99100309 А 1123045 18 35 11 46 422 53% D
15 УМ00220909 А 1123046 22 36 10 46 422 53% D
16 УД00102110 А 1123045 9 31 14 45 415 52% D
17 УК99091048 В 1123047 2 31 14 45 415 52% D
18 СШ00272301 А 1123047 18 38 7 45 415 52% D
НАЛАЙХ дүүргийн Ерөнхий Боловсролын Дунд Сургуулиудын 12-р ангийн сурагчдын МОНГОЛ ХЭЛНИЙ хичээлийн Сорилго
шалгалтын дүн. 2016-12-10
Page 12
19 ПЕ99032606 В 1123046 19 38 7 45 415 52% D
20 УД99022801 А 1123046 8 40 5 45 415 52% D
21 УД00281113 А 1123045 11 35 9 44 408 51% D
22 МЗ99091107 В 1123047 11 32 12 44 408 51% D
23 УП99011127 А 1123047 3 27 17 44 408 51% D
24 УД99070719 А 1123046 26 34 10 44 408 51% D
25 УД99070845 В 1123045 9 32 11 43 401 50% D
26 ИЖ00280704 В 1123046 27 31 12 43 401 50% D
27 УД00212828 А 1123046 22 33 10 43 401 50% D
28 УО00260412 А 1123046 8 36 7 43 401 50% D
29 УД99022121 В 1123047 20 33 9 42 394 49% D
30 УД99081007 А 1123047 5 33 9 42 394 49% D
31 УД00210507 В 1123046 6 34 8 42 394 49% D
32 УД00252308 В 1123046 17 29 13 42 394 49% D
33 УД99051404 А 1123046 15 30 12 42 394 49% D
34 УД00300409 А 1123046 28 33 9 42 394 49% D
35 УД99101222 В 1123045 4 29 12 41 387 48% D
36 ЖЙ99081509 А 1123045 14 30 11 41 387 48% D
37 УП00320604 В 1123046 28 32 9 41 387 48% D
38 УК00280963 А 1123046 25 29 12 41 387 48% D
39 УД99062120 В 1123045 16 30 10 40 380 48% D
40 УД99062120 В 1123045 16 30 10 40 380 48% D
41 УД99072812 А 1123047 6 30 10 40 380 48% D
42 ИЖ099051503 А 1123046 30 31 9 40 380 48% D
43 ПЮ99061025 В 1123046 3 31 8 39 373 47% D
44 УД00322319 А 1123046 9 30 9 39 373 47% D
45 УД99031929 А 1123046 12 30 9 39 373 47% D
46 НС98050801 А 1123046 5 26 13 39 373 47% D
47 БЮ99112101 А 1123046 29 33 6 39 373 47% D
48 УД99032701 В 1123048 110 29 9 38 366 46% D
49 УД99071506 В 1123046 2 30 8 38 366 46% D
50 УД00230308 А 1123046 17 27 11 38 366 46% D
51 УП99102444 А 1123046 21 28 10 38 366 46% D
Page 13
52 УД99111823 В 1123048 104 26 11 37 359 45% D-
53 УИ00022813 В 1123048 108 26 11 37 359 45% D-
54 УД00221233 В 1123045 15 25 12 37 359 45% D-
55 УП00262113 А 1123045 3 28 9 37 359 45% D-
56 УД99082427 В 1123047 30 30 7 37 359 45% D-
57 ИЭ99120924 А 1123047 4 31 6 37 359 45% D-
58 УД99101609 В 1123046 23 31 6 37 359 45% D-
59 УП99111323 В 1123046 25 26 11 37 359 45% D-
60 УД00210111 В 1123046 19 29 8 37 359 45% D-
61 УД99121752 А 1123046 10 26 11 37 359 45% D-
62 УД99090601 А 1123046 18 28 9 37 359 45% D-
63 УЛ00281822 А 1123046 23 26 11 37 359 45% D-
64 ЛЛ00310702 В 1123048 10 25 11 36 352 44% D-
65 УД00261706 В 1123045 9 26 10 36 352 44% D-
66 УД00310406 А 1123047 25 28 8 36 352 44% D-
67 ЗК00230405 А 1123047 3 26 10 36 352 44% D-
68 УД98122101 А 1123047 1 27 9 36 352 44% D-
69 МЙ01220920 В 1123046 5 26 10 36 352 44% D-
70 УД99070816 А 1123046 28 32 4 36 352 44% D-
71 КЮ99031311 А 1123046 7 25 11 36 352 44% D-
72 УД99090674 В 1123045 8 25 10 35 345 43% D-
73 УД99091705 В 1123045 20 26 9 35 345 43% D-
74 УД00252901 А 1123045 1 29 6 35 345 43% D-
75 УБ99051819 В 1123047 11 28 7 35 345 43% D-
76 УД99032821 В 1123046 17 27 8 35 345 43% D-
77 УД99080836 А 1123046 26 27 8 35 345 43% D-
78 УД99122105 А 1123046 23 35 0 35 345 43% D-
79 УД00260104 А 1123048 105 25 9 34 338 42% D-
80 УП00282620 А 1123048 101 25 9 34 338 42% D-
81 УД00241401 А 1123045 4 26 8 34 338 42% D-
82 ТБ99040831 А 1123045 7 25 9 34 338 42% D-
83 УД99112604 В 1123047 2 25 9 34 338 42% D-
84 УД99082028 В 1123047 3 26 8 34 338 42% D-
Page 14
85 УД99060153 А 1123047 16 23 11 34 338 42% D-
86 НУ99042506 А 1123047 31 29 5 34 338 42% D-
87 НБ99071313 В 1123046 30 25 9 34 338 42% D-
88 ШУ01211632 А 1123046 8 25 9 34 338 42% D-
89 УД99020125 В 1123045 14 25 8 33 331 41% D-
90 УД98082808 В 1123045 13 26 7 33 331 41% D-
91 УД99102208 В 1123046 29 22 11 33 331 41% D-
92 СВ99123116 В 1123046 7 25 7 32 324 41% D-
93 УД00251202 В 1123046 11 22 10 32 324 41% D-
94 МЮ99042302 В 1123045 17 24 7 31 317 40% D-
95 УД00220709 А 1123045 19 23 8 31 317 40% D-
96 НЧ99021514 А 1123045 13 22 9 31 317 40% D-
97 УД01230108 В 1123046 14 23 8 31 317 40% D-
98 УД99031906 В 1123046 32 23 8 31 317 40% D-
99 УД99113015 А 1123046 23 23 8 31 317 40% D-
100 УД99081805 А 1123046 4 28 3 31 317 40% D-
101 ПК98081310 А 1123046 15 22 9 31 317 40% D-
102 УД00251014 А 1123046 24 24 7 31 317 40% D-
103 СИ99050201 А 1123046 16 23 8 31 317 40% D-
104 УЛ99091819 А 1123048 111 19 11 30 310 39% D-
105 УК99061507 В 1123048 22 22 8 30 310 39% D-
106 УД99030711 В 1123045 12 22 8 30 310 39% D-
107 УД99062701 А 1123047 4 21 9 30 310 39% D-
108 УК99221023 В 1123047 2 20 10 30 310 39% D-
109 ЗЗ99020408 А 1123047 29 26 4 30 310 39% D-
110 УД99011525 В 1123048 103 20 9 29 303 38% D-
111 ПЮ00220926 В 1123046 24 22 7 29 303 38% D-
112 УД00240817 А 1123046 1 21 8 29 303 38% D-
113 УД00210325 В 1123046 13 19 10 29 303 38% D-
114 УД99063009 А 1123047 10 20 8 28 296 37% D-
115 УД99082307 В 1123047 15 19 9 28 296 37% D-
116 УД99101404 В 1123046 18 13 15 28 296 37% D-
117 ВП00212406 А 1123046 22 21 7 28 296 37% D-
Page 15
118 УД99100503 А 1123046 11 21 7 28 296 37% D-
119 УД99102117 А 1123045 1 19 8 27 289 36% D-
120 УД00241205 В 1123047 15 19 8 27 289 36% D-
121 УД99041709 А 1123047 14 17 10 27 289 36% D-
122 УД01250615 В 1123046 9 18 9 27 289 36% D-
123 РБ99020804 В 1123046 6 19 8 27 289 36% D-
124 УШ00322759 В 1123045 17 21 5 26 282 35% F
125 УД99091403 А 1123047 21 18 8 26 282 35% F
126 УД99092109 В 1123047 18 21 4 25 275 34% F
127 КЛ99122318 В 1123046 20 23 2 25 275 34% F
128 УД99111800 А 1123047 21 18 6 24 268 34% F
129 УД99022851 В 1123046 8 22 2 24 268 34% F
130 ДА98102809 А 1123046 31 16 8 24 268 34% F
131 НЭ00212501 А 1123046 27 17 7 24 268 34% F
132 УЕ00261712 В 1123045 2 14 9 23 261 33% F
133 УД99122829 В 1123047 12 14 9 23 261 33% F
134 УД00272809 А 1123046 5 22 1 23 261 33% F
135 СЭ99082203 В 1123045 24 16 6 22 254 32% F
136 УД99101712 В 1123045 6 16 6 22 254 32% F
137 УД99040409 В 1123047 1 15 7 22 254 32% F
138 УД00240703 А 1123047 19 12 10 22 254 32% F
139 ОА98050307 А 1123046 12 17 5 22 254 32% F
140 УД99112809 А 1123046 16 13 9 22 254 32% F
141 УД00302103 А 1123046 10 17 5 22 254 32% F
142 ЛД99051624 В 1123046 26 15 7 22 254 32% F
143 АД99033121 В 1123046 14 15 5 20 240 30% F
144 МФ99041604 В 1123046 28 12 8 20 240 30% F
145 УД00272000 А 1123046 27 13 7 20 240 30% F
146 УД99082222 В 1123047 31 16 2 18 226 28% F
147 УД00211648 А 1123046 13 15 3 18 226 28% F
148 УД99030606 В 1123046 7 14 3 17 219 27% F
149 УП99071804 А 1123048 29 16 0 16 212 27% F
150 УД99103001 В 1123047 20 14 0 14 198 25% F
Page 16
151 УД00282708 В 1123046 26 8 4 12 184 23% F
3942 1282 5224 51668 6459%
26.11 8.49 34.6 342.2 42.8%
№
Регистерийн
дугаар Хувилбар
Сургуулйин
Код
Баганан
код
1-р Хэсэг
/Сонгох/
2-р Хэсэг
/Нөхөх/
Анхны
Оноо
Хэмжээст
Оноо
Гүйцэтгэлийн
хувь Үсгэн Дүн
1 УД00221736 С 1123046 4 36 21 57 499 62% C
2 УД00312237 А 1123045 16 43 13 56 492 62% C
3 УД99070822 А 1123045 14 50 3 53 471 59% C
4 УД99021214 С 1123045 25 37 6 43 401 50% D
5 УД99080602 D 1123045 28 29 14 43 401 50% D
6 ЙЮ01253015 В 1123045 26 33 9 42 394 49% D
7 УД99061011 В 1123045 21 37 4 41 387 48% D
8 УД00210137 В 1123046 17 26 14 40 380 48% D
9 УД99021208 В 1123045 30 28 12 40 380 48% D
10 УД00253010 В 1123048 15 37 2 39 373 47% D
11 УП99091536 А 1123048 14 34 5 39 373 47% D
12 УД00261005 В 1123048 24 32 7 39 373 47% D
13 УД99073006 D 1123047 15 27 10 37 359 45% D
14 УЗ99020178 В 1123046 19 27 9 36 352 44% D-
15 УД99022109 А 1123045 29 27 9 36 352 44% D-
ДУНДАЖ
НАЛАЙХ дүүргийн Ерөнхий Боловсролын Дунд Сургуулиудын 12-р ангийн сурагчдын МАТЕМАТИКИЙН хичээлийн Сорилго
шалгалтын дүн. 2016-12-10
Page 17
16 УД99112627 В 1123046 13 23 12 35 345 43% D-
17 УП99110108 С 1123047 33 27 8 35 345 43% D-
18 УД99092019 В 1123047 13 26 6 32 324 41% D-
19 УД99081623 D 1123046 18 24 6 30 310 39% D-
20 УД99051404 В 1123046 17 24 6 30 310 39% D-
21 УД99091901 С 1123045 12 21 9 30 310 39% D-
22 УД00241205 D 1123047 6 25 5 30 310 39% D-
23 УП00282620 С 1123048 23 24 5 29 303 38% D-
24 УД99070212 D 1123048 25 27 2 29 303 38% D-
25 ИХ99030611 D 1123048 22 23 6 29 303 38% D-
26 УД99101404 С 1123046 30 23 6 29 303 38% D-
27 УД00280332 А 1123046 6 27 2 29 303 38% D-
28 УД99081441 D 1123045 31 20 9 29 303 38% D-
29 УД99091312 С 1123045 20 26 3 29 303 38% D-
30 УД00211106 D 1123047 24 23 6 29 303 38% D-
31 УД00230706 А 1123047 10 21 8 29 303 38% D-
32 УД00221246 С 1123048 20 23 5 28 296 37% D-
33 УФ99030612 С 1123048 30 27 1 28 296 37% D-
34 УД99070138 С 1123048 11 25 3 28 296 37% D-
35 УД99032701 В 1123048 13 21 7 28 296 37% D-
36 ПЮ00220926 С 1123046 5 22 6 28 296 37% D-
37 УД00310224 D 1123048 4 26 1 27 289 36% D-
38 СИ99050201 С 1123046 22 22 5 27 289 36% D-
39 УП00320604 А 1123046 2 23 4 27 289 36% D-
40 УИ99112063 В 1123046 30 18 9 27 289 36% D-
41 УД99062439 А 1123046 5 24 3 27 289 36% D-
42 УД00242408 D 1123046 1 23 4 27 289 36% D-
43 УД99082005 С 1123047 12 19 8 27 289 36% D-
44 УД99122806 D 1123046 18 24 2 26 282 35% F
45 ЕУ99070911 С 1123046 27 26 0 26 282 35% F
46 УД01211004 D 1123045 31 18 8 26 282 35% F
47 УХ99050572 D 1123048 27 21 5 26 282 35% F
48 УД00240703 С 1123047 23 23 3 26 282 35% F
49 УД99031906 С 1123046 29 24 1 25 275 34% F
Page 18
50 УЗ99030334 А 1123046 7 16 9 25 275 34% F
51 УД99122829 D 1123047 31 16 9 25 275 34% F
52 УД00292404 D 1123047 4 23 2 25 275 34% F
53 УД99011525 В 1123048 8 22 2 24 268 34% F
54 УД99111823 А 1123048 26 23 1 24 268 34% F
55 УД00240310 D 1123048 32 20 4 24 268 34% F
56 УД00220911 С 1123046 6 20 4 24 268 34% F
57 МЮ99042302 В 1123046 12 23 1 24 268 34% F
58 УД00312607 А 1123046 1 21 3 24 268 34% F
59 УД00230803 D 1123046 8 18 6 24 268 34% F
60 ЛЛ00310702 В 1123048 20 15 9 24 268 34% F
61 ИП00230804 В 1123047 33 17 7 24 268 34% F
62 ГЮ99062308 D 1123048 9 19 4 23 261 33% F
63 ЕП99112502 С 1123048 31 23 0 23 261 33% F
64 УД00292005 D 1123046 1 18 5 23 261 33% F
65 УД00222403 D 1123046 26 20 3 23 261 33% F
66 УД00252308 В 1123046 7 22 1 23 261 33% F
67 УД99122014 А 1123046 2 19 4 23 261 33% F
68 УД99082427 А 1123047 15 20 3 23 261 33% F
69 ЖЛ99122318 А 1123046 25 19 3 22 254 32% F
70 ИЖ99051503 С 1123046 14 21 1 22 254 32% F
71 АЛ99062205 С 1123045 22 17 5 22 254 32% F
72 УР98120216 В 1123047 26 18 4 22 254 32% F
73 УП99071804 А 1123048 17 18 3 21 247 31% F
74 УД99021915 С 1123046 11 19 2 21 247 31% F
75 ЙМ99011031 С 1123046 10 17 4 21 247 31% F
76 УЮ99082011 В 1123046 25 13 8 21 247 31% F
77 УД00230826 С 1123048 7 19 1 20 240 30% F
78 СФ00222317 D 1123048 10 16 4 20 240 30% F
79 УД99041709 С 1123046 9 19 1 20 240 30% F
80 УД00210325 С 1123046 17 16 4 20 240 30% F
81 УД00282708 А 1123046 27 16 4 20 240 30% F
82 НЛ99020516 С 1123048 8 18 2 20 240 30% F
83 УД99071905 С 1123047 16 14 6 20 240 30% F
Page 19
84 УИ99050719 А 1123048 19 17 2 19 233 29% F
85 НЩ00252907 D 1123048 29 17 2 19 233 29% F
86 УД00250512 D 1123046 3 12 7 19 233 29% F
87 СВ99123116 А 1123046 31 18 1 19 233 29% F
88 ЛД99033121 А 1123046 21 18 1 19 233 29% F
89 УД00281330 D 1123045 19 19 0 19 233 29% F
90 УД00240817 В 1123047 9 19 0 19 233 29% F
91 УД00280816 D 1123048 16 17 1 18 226 28% F
92 УД00280913 D 1123046 27 17 1 18 226 28% F
93 УД99101609 В 1123046 17 18 0 18 226 28% F
94 УД99030612 В 1123048 29 14 4 18 226 28% F
95 УД99103001 А 1123047 5 14 4 18 226 28% F
96 УД99032821 В 1123046 21 17 0 17 219 27% F
97 СЭ99082203 В 1123046 20 15 2 17 219 27% F
98 НС00211300 А 1123046 18 14 3 17 219 27% F
99 НУ99042506 D 1123047 14 11 6 17 219 27% F
100 УК99061507 В 1123048 18 12 4 16 212 27% F
101 ИЖ99071400 В 1123046 13 14 2 16 212 27% F
102 ДА98102809 В 1123046 16 15 1 16 212 27% F
103 АЮ00211038 D 1123047 4 15 1 16 212 27% F
104 ИЛ00230810 А 1123047 11 13 3 16 212 27% F
105 УД99111230 С 1123048 33 15 0 15 205 26% F
106 КД99072807 В 1123048 20 11 4 15 205 26% F
107 ВВ99120339 В 1123048 28 14 1 15 205 26% F
108 УД99101917 С 1123046 8 14 1 15 205 26% F
109 УМ00220909 В 1123046 29 12 3 15 205 26% F
110 УД00292803 А 1123046 20 15 0 15 205 26% F
111 УД00260412 D 1123046 19 12 3 15 205 26% F
112 УД99071808 А 1123045 18 10 5 15 205 26% F
113 УД99051307 А 1123048 28 6 9 15 205 26% F
114 УБ99051819 D 1123047 10 10 5 15 205 26% F
115 УЕ99042111 В 1123048 21 13 1 14 198 25% F
116 УД00252591 С 1123046 28 13 1 14 198 25% F
117 УД99081805 D 1123046 11 12 2 14 198 25% F
Page 20
118 ЕЙ99102532 С 1123047 15 14 0 14 198 25% F
119 УД00261706 С 1123046 2 13 0 13 191 24% F
120 УД99082307 В 1123046 16 11 2 13 191 24% F
121 УД99081007 А 1123047 32 10 3 13 191 24% F
122 РБ00232800 А 1123046 30 10 2 12 184 23% F
123 ИИ99020408 В 1123047 25 8 4 12 184 23% F
124 НЦ99080710 А 1123046 9 9 2 11 177 22% F
125 УД99121210 В 1123045 24 10 1 11 177 22% F
126 УД99032807 D 1123048 3 10 1 11 177 22% F
127 УД99092101 С 1123047 28 9 2 11 177 22% F
128 НУ99122173 С 1123046 26 7 3 10 170 21% F
129 УД00310406 С 1123046 32 10 0 10 170 21% F
130 УД99031929 В 1123046 3 9 1 10 170 21% F
131 УК99061445 А 1123048 12 6 3 9 163 20% F
132 УД99121107 А 1123046 19 6 3 9 163 20% F
133 УД99102208 D 1123046 23 8 0 8 156 20% F
134 УД99022121 D 1123047 22 6 2 8 156 20% F
135 УД00322319 А 1123046 24 6 1 7 149 19% F
136 УД99090601 В 1123046 23 2 3 5 135 17% F
137 ВА99111001 С 1123048 5 4 0 4 128 16% F
18.85 4.04 22.9 260.2 32.5%
№
Регистерийн
дугаар
Хувилбар
Сургуулйин
Код
Баганан
код
1-р Хэсэг
/Сонгох/
2-р Хэсэг
/Нөхөх/
Анхны
Оноо
Хэмжээст
Оноо
Гүйцэтгэлийн
хувь
Үсгэн Дүн
1 УП99091536 D 1123048 113 46 13 59 513 64% C
2 УД99122014 А 1123047 20 37 13 50 450 56% C
3 УД99082005 В 1123047 24 34 12 46 422 53% D
4 УД00310224 D 1123048 131 25 18 43 401 50% D
5 МР00230506 С 1123047 22 35 6 41 387 48% D
6 УД00280332 С 1123047 2 32 9 41 387 48% D
7 УД00312237 В 1123047 2 34 7 41 387 48% D
8 УД00253010 А 1123048 3 35 5 40 380 48% D
ДУНДАЖ
НАЛАЙХ дүүргийн Ерөнхий Боловсролын Дунд Сургуулиудын 12-р ангийн сурагчдын ФИЗИКИЙН хичээлийн Сорилго
шалгалтын дүн. 2016-12-10
Page 21
9 НС00211300 D 1123047 1 29 10 39 373 47% D
10 УЗ99030334 В 1123045 17 35 4 39 373 47% D
11 УД00221736 С 1123047 16 35 4 39 373 47% D
12 УП00282620 С 1123048 123 28 10 38 366 46% D
13 УЗ99020178 С 1123045 10 30 8 38 366 46% D
14 УД99091312 D 1123047 13 29 7 36 352 44% D-
15 УД99050104 А 1123047 1 33 1 34 338 42% D-
16 ЙМ99011031 А 1123047 18 33 1 34 338 42% D-
17 УД99112627 D 1123045 8 24 10 34 338 42% D-
18 УД00292005 В 1123047 19 26 8 34 338 42% D-
19 УИ99112063 А 1123045 24 24 9 33 331 41% D-
20 УД00252622 С 1123047 15 29 4 33 331 41% D-
21 УД00210137 А 1123047 4 22 10 32 324 41% D-
22 УЮ99082011 С 1123045 31 24 8 32 324 41% D-
23 УД99051125 А 1123047 27 28 2 30 310 39% D-
24 УД00250512 В 1123045 13 25 5 30 310 39% D-
25 НЩ00252907 С 1123048 116 22 7 29 303 38% D-
26 УД99092019 А 1123047 3 28 1 29 303 38% D-
27 УД00260811 А 1123047 5 28 1 29 303 38% D-
28 УД00241114 А 1123047 13 27 2 29 303 38% D-
29 УД00252591 А 1123047 26 20 9 29 303 38% D-
30 УД00210112 В 1123047 5 23 6 29 303 38% D-
31 УД00292803 В 1123045 7 23 6 29 303 38% D-
32 УД99120206 А 1123047 9 26 2 28 296 37% D-
33 УД99081007 D 1123047 6 27 1 28 296 37% D-
34 УД99101307 С 1123047 18 20 8 28 296 37% D-
35 УД00271116 А 1123047 11 18 9 27 289 36% D-
36 УД00282504 В 1123047 14 21 6 27 289 36% D-
37 УД00221246 А 1123048 115 20 6 26 282 35% F
38 УД00220911 D 1123047 14 18 8 26 282 35% F
39 НЦ990800710 D 1123047 6 25 1 26 282 35% F
40 УД99080346 D 1123047 22 23 3 26 282 35% F
41 СФ00222317 D 1123048 117 21 4 25 275 34% F
42 УД00260104 D 1123048 122 21 4 25 275 34% F
43 ШУ01211632 А 1123045 32 22 3 25 275 34% F
44 УД01261302 D 1123047 14 24 1 25 275 34% F
45 УД00221901 С 1123047 9 22 3 25 275 34% F
46 УД00221930 С 1123047 11 18 7 25 275 34% F
47 УД99011525 С 1123047 11 23 2 25 275 34% F
Page 22
48 УД99081013 В 1123047 33 24 1 25 275 34% F
49 УД00261005 В 1123047 7 19 6 25 275 34% F
50 ЕП99112502 А 1123048 127 19 5 24 268 34% F
51 УД00232907 А 1123047 15 21 3 24 268 34% F
52 УД99112821 А 1123047 31 21 3 24 268 34% F
53 УД00250911 D 1123047 10 17 7 24 268 34% F
54 УД00232311 С 1123047 30 22 2 24 268 34% F
55 ИТ99122700 В 1123047 12 20 3 23 261 33% F
56 УД99051011 А 1123047 12 18 4 22 254 32% F
57 УК99061445 С 1123047 30 20 2 22 254 32% F
58 УБ99051819 D 1123047 26 16 5 21 247 31% F
59 УД99101917 С 1123047 3 21 0 21 247 31% F
60 ВА99111001 С 1123048 129 20 0 20 240 30% F
61 УХ99050572 А 1123047 8 15 5 20 240 30% F
62 УД00222608 А 1123047 27 13 7 20 240 30% F
63 УД99092317 D 1123047 4 20 0 20 240 30% F
64 ВВ99120339 D 1123047 3 15 5 20 240 30% F
65 ЕО99100300 D 1123045 32 17 3 20 240 30% F
66 ИП00030810 С 1123047 6 19 1 20 240 30% F
67 УД99060517 В 1123047 28 16 4 20 240 30% F
68 УА99102910 А 1123047 25 17 2 19 233 29% F
69 УД00322319 А 1123045 29 17 2 19 233 29% F
70 УД99120913 В 1123047 15 16 3 19 233 29% F
71 УД00232452 С 1123047 16 16 2 18 226 28% F
72 УД99120719 В 1123047 8 15 3 18 226 28% F
73 УД99051307 В 1123047 6 17 0 17 219 27% F
74 УД99081218 В 1123047 7 12 5 17 219 27% F
75 ИХ99030611 В 1123048 114 15 1 16 212 27% F
76 УШ99071011 С 1123047 23 13 3 16 212 27% F
77 УД99090314 С 1123047 29 12 4 16 212 27% F
78 УД99111236 D 1123048 132 15 0 15 205 26% F
79 УД00280913 В 1123047 26 15 0 15 205 26% F
80 УМ00250832 А 1123047 17 15 0 15 205 26% F
81 УД99021214 D 1123047 19 14 1 15 205 26% F
82 НУ99122173 В 1123047 28 13 2 15 205 26% F
83 УД00222517 В 1123047 21 14 1 15 205 26% F
84 УД00230615 А 1123047 4 12 3 15 205 26% F
85 УЕ99042111 С 1123048 119 13 1 14 198 25% F
86 УИ99050719 В 1123048 128 11 3 14 198 25% F
Page 23
87 УД00280816 А 1123048 118 12 2 14 198 25% F
88 УД00240310 С 1123047 12 14 0 14 198 25% F
89 УД99092213 В 1123047 5 12 2 14 198 25% F
90 УД00221223 В 1123047 20 14 0 14 198 25% F
91 КД99072807 В 1123048 125 11 1 12 184 23% F
92 УД99030612 С 1123047 23 10 2 12 184 23% F
93 УД99070138 В 1123048 120 9 2 11 177 22% F
94 УД00211211 В 1123047 33 11 0 11 177 22% F
95 НЛ99020516 С 1123048 121 8 1 9 163 20% F
96 АЮ00211038 С 1123047 10 5 2 7 149 19% F
2003 398 2401 26407 3301%
20.86 4.15 25.0 275.1 34.4%
№
Регистерийн
дугаар
Хувилбар
Сургуулйин
Код
Баганан
код
1-р Хэсэг
/Сонгох/
2-р Хэсэг
/Нөхөх/
Анхны
Оноо
Хэмжээст
Оноо
Гүйцэтгэлийн
хувь
Үсгэн Дүн
1 УД99071905 В 1123046 26 54 6 60 520 65% C
2 УД99082005 В 1123046 24 49 8 57 499 62% C
3 УД99122709 С 1123048 103 44 6 50 450 56% C
4 УП99091536 D 1123048 100 39 4 43 401 50% D
5 УД00253010 В 1123048 109 29 4 33 331 41% D-
ДУНДАЖ
НАЛАЙХ дүүргийн Ерөнхий Боловсролын Дунд Сургуулиудын 12-р ангийн сурагчдын ХИМИЙН хичээлийн Сорилго шалгалтын
дүн. 2016-12-10
Page 24
6 УД99111606 В 1123046 27 26 6 32 324 41% D-
7 ДЮ99100500 А 1123048 106 29 2 31 317 40% D-
8 УД99100503 В 1123046 129 28 2 30 310 39% D-
9 ПЕ99032606 А 1123046 28 17 12 29 303 38% D-
10 УД990510005 С 1123046 33 27 2 29 303 38% D-
11 УД99032807 В 1123048 102 25 0 25 275 34% F
12 УД00251014 А 1123046 32 21 4 25 275 34% F
13 ЛД99051624 С 1123046 177 22 2 24 268 34% F
14 УД00252622 В 1123045 127 14 10 24 268 34% F
15 ГД00253001 С 1123045 33 20 4 24 268 34% F
16 НЩ00252907 А 1123048 108 17 6 23 261 33% F
17 ИЖ00280704 С 1123046 175 21 2 23 261 33% F
18 УД99081429 С 1123046 21 23 0 23 261 33% F
19 УД99052003 В 1123045 30 13 10 23 261 33% F
20 УД01292513 С 1123045 125 23 0 23 261 33% F
21 БЮ99112101 В 1123046 171 18 4 22 254 32% F
22 ОА98050307 С 1123046 130 18 4 22 254 32% F
23 УД00232605 А 1123046 32 22 0 22 254 32% F
24 УД00302721 D 1123046 29 20 2 22 254 32% F
25 УД99081036 В 1123045 124 14 8 22 254 32% F
26 УП99111323 В 1123046 174 17 4 21 247 31% F
27 МЙ01220920 А 1123046 22 19 2 21 247 31% F
28 УД98082808 А 1123045 128 13 8 21 247 31% F
29 РБ99020804 В 1123046 30 18 2 20 240 30% F
30 УК00280963 А 1123046 172 18 2 20 240 30% F
31 УД00221736 А 1123046 24 18 2 20 240 30% F
32 УД99122105 С 1123046 31 18 2 20 240 30% F
33 УД99082427 А 1123046 25 18 2 20 240 30% F
34 УД00270728 С 1123045 56 19 0 19 233 29% F
35 УП99102444 В 1123046 132 14 4 18 226 28% F
36 УД00210104 А 1123046 22 15 2 17 219 27% F
37 УД00252006 С 1123046 28 17 0 17 219 27% F
38 УД00282504 С 1123045 126 15 2 17 219 27% F
Page 25
39 ВП00212406 А 1123046 29 14 2 16 212 27% F
40 УЗ99020178 С 1123046 23 14 2 16 212 27% F
41 НС98050801 В 1123046 26 14 2 16 212 27% F
42 УД01250615 А 1123046 21 11 4 15 205 26% F
43 УД99121717 С 1123046 223 15 0 15 205 26% F
44 УД99070816 С 1123046 173 12 2 14 198 25% F
45 УД99030606 С 1123046 176 12 2 14 198 25% F
46 МФ99041604 В 1123046 131 13 0 13 191 24% F
47 УД99062701 С 1123046 27 9 0 9 163 20% F
48 РБ99080700 С 1123046 25 5 0 5 135 17% F
971 154 1125 12675 1584%
20.23 3.21 23.4 264.1 33.0%
№
Регистерийн
дугаар
Хувилбар
Сургуулйин
Код
Баганан
код
1-р Хэсэг
/Сонгох/
2-р Хэсэг
/Нөхөх/
Анхны
Оноо
Хэмжээст
Оноо
Гүйцэтгэлийн
хувь
Үсгэн Дүн
1 УД00210104 А 1123047 22 37 7 44 408 51% D
2 УД00220709 А 1123046 173 36 7 43 401 50% D
3 ИЖ00280704 D 1123046 23 32 10 42 394 49% D
НАЛАЙХ дүүргийн Ерөнхий Боловсролын Дунд Сургуулиудын 12-р ангийн сурагчдын БИОЛОГИЙН хичээлийн Сорилго
шалгалтын дүн. 2016-12-10
ДУНДАЖ
Page 26
4 ИЭ99101204 D 1123047 188 31 10 41 387 48% D
5 УД99052003 А 1123045 4 33 7 40 380 48% D
6 УД00290112 В 1123047 25 33 5 38 366 46% D
7 ПЕ99032606 D 1123046 182 30 7 37 359 45% D-
8 УД99070822 В 1123045 17 24 12 36 352 44% D-
9 КЮ99031311 А 1123046 187 26 10 36 352 44% D-
10 ГД99051624 А 1123046 179 26 10 36 352 44% D-
11 УД99122105 А 1123046 20 23 11 34 338 42% D-
12 ДЮ99100500 В 1123048 124 28 5 33 331 41% D-
13 УД00252622 А 1123046 6 23 10 33 331 41% D-
14 УД99122709 С 1123048 130 24 8 32 324 41% D-
15 УД99062120 А 1123045 13 25 7 32 324 41% D-
16 УД98082808 В 1123045 1 25 7 32 324 41% D-
17 УУ99070816 А 1123046 176 26 6 32 324 41% D-
18 УД99032807 А 1123048 126 23 8 31 317 40% D-
19 УД00282504 В 1123045 5 25 6 31 317 40% D-
20 УД99030606 А 1123046 172 23 8 31 317 40% D-
21 УП99111323 D 1123046 186 25 6 31 317 40% D-
22 УД00251014 А 1123046 10 23 7 30 310 39% D-
23 БЮ99112101 В 1123046 185 23 7 30 310 39% D-
24 УД99111606 В 1123047 26 21 9 30 310 39% D-
25 УД99081036 В 1123046 11 21 8 29 303 38% D-
26 УД99121717 D 1123047 24 20 9 29 303 38% D-
27 УД99071808 D 1123045 112 17 11 28 296 37% D-
28 ОА98050307 А 1123046 178 21 7 28 296 37% D-
29 УД99062701 D 1123046 7 22 5 27 289 36% D-
30 УД99091705 А 1123045 174 20 6 26 282 35% F
31 НС98050801 D 1123046 15 19 7 26 282 35% F
32 ЗА99012509 А 1123047 21 22 4 26 282 35% F
33 УД00232605 В 1123047 19 21 5 26 282 35% F
34 УД99051005 D 1123047 16 19 7 26 282 35% F
35 ЖЙ99081509 А 1123045 175 18 7 25 275 34% F
36 ГД00253001 D 1123045 3 20 5 25 275 34% F
Page 27
37 РБ99020804 А 1123046 180 15 10 25 275 34% F
38 УД99100503 А 1123046 177 18 7 25 275 34% F
39 УД01292513 А 1123045 171 19 4 23 261 33% F
40 РБ99080700 А 1123046 183 18 5 23 261 33% F
41 УП99102444 В 1123046 181 18 5 23 261 33% F
42 МЙ01220920 D 1123046 8 14 8 22 254 32% F
43 УД01250615 А 1123046 14 16 5 21 247 31% F
44 ПЮ99061025 D 1123046 18 18 2 20 240 30% F
45 УД00270728 D 1123045 2 14 4 18 226 28% F
46 НВ00210409 D 1123045 27 14 3 17 219 27% F
47 УК00280963 D 1123046 9 11 5 16 212 27% F
48 МФ99041604 D 1123046 28 10 4 14 198 25% F
49 ВП00212406 А 1123046 184 10 2 12 184 23% F
1080 335 1415 14805 1851%
22.04 6.84 28.9 302.1 37.8%
ДУНДАЖ
СОРИЛГО БАГ
Page 28

налайх бүх сургууль налайх чандмань нэгтгэл Bio

  • 1.
    № Регистерийн дугаар Хувилбар Сургуулйин Код Баганан код 1-р Хэсэг /Сонгох/ 2-р Хэсэг /Нөхөх/ Анхны Оноо Хэмжээст Оноо Гүйцэтгэлийн хувь ҮсгэнДүн 1 УД99073006 D 1123047 191 54 10 64 548 69% C 2 ГЮ99062308 А 1123048 110 51 10 61 527 66% C 3 УД00271207 С 1123045 192 45 15 60 520 65% C 4 УД00253010 D 1123048 28 48 11 59 513 64% C 5 УД99112627 D 1123046 72 48 10 58 506 63% C 6 УД99121752 D 1123046 84 50 8 58 506 63% C 7 УД99121107 D 1123046 51 51 6 57 499 62% C 8 УД99051125 С 1123047 194 42 15 57 499 62% C 9 ИТ99122700 D 1123047 209 48 9 57 499 62% C 10 УД99101307 D 1123045 173 46 10 56 492 62% C 11 НС00211300 А 1123046 40 49 7 56 492 62% C 12 УД99122806 D 1123046 80 46 10 56 492 62% C 13 ЙМ99011031 D 1123046 82 46 10 56 492 62% C 14 ЛЛ00310702 D 1123048 29 46 9 55 485 61% C 15 ЕП99112502 С 1123048 31 43 12 55 485 61% C 16 УД99110101 С 1123045 172 42 12 54 478 60% C 17 УД00271116 D 1123046 78 45 9 54 478 60% C 18 УМ00220909 В 1123046 33 41 11 52 464 58% C 19 УД99091033 D 1123046 184 42 10 52 464 58% C 20 УД99082005 А 1123047 181 44 8 52 464 58% C 21 УД99063009 D 1123047 196 43 9 52 464 58% C 22 УД00241205 А 1123047 174 43 8 51 457 57% C 23 УД00221901 С 1123047 198 36 15 51 457 57% C 24 УД99082028 С 1123047 172 44 7 51 457 57% C 25 ЗК00230405 D 1123047 2010 42 9 51 457 57% C 26 УП00282620 С 1123048 30 40 11 51 457 57% C 27 УД00281113 В 1123045 202 37 13 50 450 56% C 28 УД01211004 В 1123045 191 37 13 50 450 56% C 29 АЯ99062205 D 1123045 191 40 10 50 450 56% C 30 УД00240817 В 1123046 183 42 8 50 450 56% C НАЛАЙХ дүүргийн Ерөнхий Боловсролын Дунд Сургуулиудын 12-р ангийн сурагчдын Нийгмийн Тухай Мэдлэг хичээлийн Сорилго шалгалтын дүн. 2016-12-10 Page 1
  • 2.
    31 ЕЙ99102532 D1123046 76 41 9 50 450 56% C 32 УД99060118 D 1123047 200 41 9 50 450 56% C 33 УП99091536 А 1123048 114 41 9 50 450 56% C 34 НЧ99021514 С 1123045 185 44 5 49 443 55% C 35 УД99090601 D 1123046 182 38 11 49 443 55% C 36 УД00301709 D 1123047 202 40 9 49 443 55% C 37 УД99032701 D 1123048 53 40 9 49 443 55% C 38 УИ99050719 С 1123048 115 46 3 49 443 55% C 39 УД99060176 В 1123045 192 41 7 48 436 55% C 40 ТБ99040831 С 1123045 184 37 11 48 436 55% C 41 СИ99050201 D 1123046 57 36 12 48 436 55% C 42 УП99011127 В 1123047 198 36 12 48 436 55% C 43 УД99122624 С 1123047 192 37 11 48 436 55% C 44 ВВ99120339 D 1123048 47 40 8 48 436 55% C 45 УД00292803 D 1123046 180 35 12 47 429 54% C 46 УД99021915 D 1123046 190 38 9 47 429 54% C 47 УП99011127 В 1123047 214 36 11 47 429 54% C 48 УД99032821 С 1123047 56 34 13 47 429 54% C 49 УД99081013 С 1123047 177 38 9 47 429 54% C 50 УД00220202 В 1123047 201 38 9 47 429 54% C 51 УД00252308 С 1123046 69 34 12 46 422 53% D 52 УД00211106 С 1123047 197 37 9 46 422 53% D 53 УД98122101 С 1123047 208 34 12 46 422 53% D 54 УД99112604 С 1123047 197 39 7 46 422 53% D 55 УД99081007 D 1123047 171 36 10 46 422 53% D 56 УИ99112063 D 1123046 193 36 9 45 415 52% D 57 ИЖ99051503 D 1123046 194 39 6 45 415 52% D 58 СВ99123116 D 1123046 191 35 10 45 415 52% D 59 УД99101404 С 1123047 71 34 11 45 415 52% D 60 УХ99050572 С 1123048 48 32 13 45 415 52% D 61 УД00240310 D 1123048 49 37 8 45 415 52% D 62 УД99090674 В 1123045 203 34 10 44 408 51% D 63 УД00232452 С 1123045 174 37 7 44 408 51% D 64 УД99071506 В 1123046 31 35 9 44 408 51% D 65 УД99102208 С 1123046 60 33 11 44 408 51% D 66 УД99072131 D 1123047 182 34 10 44 408 51% D 67 УД99011525 С 1123048 109 36 8 44 408 51% D 68 УД990708485 А 1123045 196 39 4 43 401 50% D 69 ЕО99101309 С 1123045 193 38 5 43 401 50% D Page 2
  • 3.
    70 УД00292005 А1123046 68 34 9 43 401 50% D 71 НЦ99080710 В 1123046 83 35 8 43 401 50% D 72 ГД00253001 В 1123045 200 32 10 42 394 49% D 73 УД00220911 А 1123046 85 34 8 42 394 49% D 74 УД00240703 А 1123047 179 36 6 42 394 49% D 75 УД99060517 D 1123047 203 34 8 42 394 49% D 76 УД99122829 D 1123047 188 31 11 42 394 49% D 77 УК99061507 С 1123048 46 35 7 42 394 49% D 78 УД99051011 В 1123045 186 31 10 41 387 48% D 79 УД99031929 В 1123046 43 32 9 41 387 48% D 80 УД99072812 А 1123047 173 34 7 41 387 48% D 81 УД01261302 В 1123047 189 30 11 41 387 48% D 82 УД99051404 С 1123047 79 35 6 41 387 48% D 83 УД00302308 С 1123047 193 36 5 41 387 48% D 84 УД00230706 D 1123047 215 33 8 41 387 48% D 85 УД900310224 А 1123048 100 32 9 41 387 48% D 86 УД00261119 В 1123045 205 30 10 40 380 48% D 87 УК99082026 С 1123045 201 32 8 40 380 48% D 88 УД00211836 С 1123045 204 32 8 40 380 48% D 89 УД99091909 С 1123045 198 29 11 40 380 48% D 90 НБ9907113 В 1123046 192 29 11 40 380 48% D 91 ЕУ99070911 D 1123046 178 33 7 40 380 48% D 92 ПЮ00220936 D 1123046 188 31 9 40 380 48% D 93 УД99092002 А 1123047 189 32 8 40 380 48% D 94 УД99111800 В 1123047 196 31 9 40 380 48% D 95 УД00260412 С 1123047 58 35 5 40 380 48% D 96 УХ00231322 С 1123047 194 28 12 40 380 48% D 97 РБ00232800 D 1123047 61 37 3 40 380 48% D 98 УД00260549 D 1123047 199 33 7 40 380 48% D 99 УД00211009 D 1123047 199 33 7 40 380 48% D 100 УД99111236 С 1123048 101 30 10 40 380 48% D 101 УД00272000 С 1123047 67 35 4 39 373 47% D 102 УД98120216 С 1123047 207 31 8 39 373 47% D 103 УД99042616 В 1123045 187 26 12 38 366 46% D 104 УД00242009 В 1123045 195 32 6 38 366 46% D 105 УД99081805 С 1123047 62 31 7 38 366 46% D 106 УД99121001 В 1123047 195 27 11 38 366 46% D 107 КД99072807 В 1123048 50 29 9 38 366 46% D 108 ВА99111001 D 1123048 105 29 9 38 366 46% D Page 3
  • 4.
    109 УЕ99042111 D1123048 106 32 6 38 366 46% D 110 УД00252901 С 1123045 189 32 5 37 359 45% D- 111 УП00320604 А 1123046 34 34 3 37 359 45% D- 112 УД99113015 В 1123046 77 29 8 37 359 45% D- 113 УД00251202 В 1123046 37 30 7 37 359 45% D- 114 УД00270238 А 1123047 180 33 4 37 359 45% D- 115 НУ99042506 В 1123047 176 27 10 37 359 45% D- 116 УД99111823 А 1123048 117 35 2 37 359 45% D- 117 УД00221246 С 1123045 52 28 8 36 352 44% D- 118 УД99102117 D 1123045 184 28 8 36 352 44% D- 119 СП00232109 А 1123047 186 31 5 36 352 44% D- 120 УП99110108 В 1123047 178 29 7 36 352 44% D- 121 УД00232907 С 1123047 201 33 3 36 352 44% D- 122 УД99100309 А 1123045 176 29 6 35 345 43% D- 123 УД00241401 В 1123045 199 27 8 35 345 43% D- 124 УД99021214 С 1123045 180 31 4 35 345 43% D- 125 УД99022801 А 1123046 36 28 7 35 345 43% D- 126 УД99031906 В 1123046 199 26 9 35 345 43% D- 127 УК99221023 А 1123047 187 30 5 35 345 43% D- 128 УД00230615 С 1123047 204 34 1 35 345 43% D- 129 УД99030711 С 1123045 178 25 9 34 338 42% D- 130 НЭ00212501 В 1123046 187 30 4 34 338 42% D- 131 УД00102110 В 1123046 81 28 6 34 338 42% D- 132 УД99051307 С 1123048 54 28 6 34 338 42% D- 133 УД00260104 В 1123048 32 25 9 34 338 42% D- 134 УД99030612 В 1123048 102 31 3 34 338 42% D- 135 УД99070719 В 1123046 39 23 10 33 331 41% D- 136 УД99082307 D 1123046 74 24 9 33 331 41% D- 137 УЛ00281822 D 1123046 65 26 7 33 331 41% D- 138 ПЗ98081310 А 1123046 38 27 6 33 331 41% D- 139 УД99082427 С 1123047 206 27 6 33 331 41% D- 140 УД00280816 В 1123048 116 28 5 33 331 41% D- 141 УД00260811 А 1123045 177 24 8 32 324 41% D- 142 УД00230803 В 1123046 181 30 2 32 324 41% D- 143 УД00300409 В 1123046 35 26 6 32 324 41% D- 144 УД00322838 В 1123046 41 27 5 32 324 41% D- 145 УД99041709 С 1123047 73 27 5 32 324 41% D- 146 УД99081218 С 1123047 195 27 5 32 324 41% D- 147 НЛ99020516 В 1123048 104 23 9 32 324 41% D- Page 4
  • 5.
    148 НД99071314 В1123045 171 26 5 31 317 40% D- 149 УЕ00261712 В 1123045 185 21 10 31 317 40% D- 150 УД99020125 С 1123045 175 26 5 31 317 40% D- 151 МЮ99042302 С 1123046 64 30 1 31 317 40% D- 152 ИП00212105 С 1123047 193 25 6 31 317 40% D- 153 УД99022663 В 1123045 179 25 5 30 310 39% D- 154 УД98121411 А 1123046 42 24 6 30 310 39% D- 155 УД99062439 В 1123046 189 22 8 30 310 39% D- 156 УД99120719 А 1123047 190 27 3 30 310 39% D- 157 УД99070138 В 1123048 113 22 8 30 310 39% D- 158 УД00261005 В 1123048 33 23 7 30 310 39% D- 159 СФ00222317 А 1123048 112 23 7 30 310 39% D- 160 УП00262113 С 1123045 181 25 4 29 303 38% D- 161 УД00211648 А 1123046 32 24 5 29 303 38% D- 162 УД99060153 D 1123047 200 25 4 29 303 38% D- 163 УД00271800 В 1123045 197 20 8 28 296 37% D- 164 УД00282715 С 1123045 194 20 8 28 296 37% D- 165 УД00272809 В 1123046 30 25 3 28 296 37% D- 166 УД99112809 D 1123046 63 24 4 28 296 37% D- 167 УД99100406 С 1123047 190 19 9 28 296 37% D- 168 УД01212538 А 1123045 182 23 4 27 289 36% D- 169 УД99102704 А 1123045 188 21 6 27 289 36% D- 170 УД99101621 В 1123045 190 26 1 27 289 36% D- 171 УД99101011 В 1123047 205 18 9 27 289 36% D- 172 УД99091819 В 1123048 111 21 6 27 289 36% D- 173 УД00273112 В 1123045 183 21 5 26 282 35% F 174 СЭ99082203 D 1123046 186 20 6 26 282 35% F 175 УД99022121 В 1123047 175 21 5 26 282 35% F 176 УД00222403 С 1123047 75 23 3 26 282 35% F 177 УД00261706 А 1123046 44 21 3 24 268 34% F 178 УД00310406 В 1123046 185 15 9 24 268 34% F 179 УД00312607 В 1123046 179 20 4 24 268 34% F 180 ЛД99033121 D 1123046 70 21 3 24 268 34% F 181 УД00282708 D 1123046 66 18 6 24 268 34% F 182 УД00280913 В 1123046 198 19 4 23 261 33% F 183 ЖЛ99122318 D 1123046 59 20 3 23 261 33% F 184 ИХ99030611 С 1123048 107 19 4 23 261 33% F 185 ДА98102809 В 1123046 195 18 4 22 254 32% F 186 УК99061445 D 1123048 55 15 7 22 254 32% F Page 5
  • 6.
    187 УД99121210 А1123045 183 18 3 21 247 31% F 188 УД00242408 В 1123046 45 17 4 21 247 31% F 189 УД99101609 А 1123046 29 16 4 20 240 30% F 6055 1442 7497 71379 8922% 32.04 7.63 39.7 377.7 47.2% № Регистерийн дугаар Хувилбар Сургуулйин Код Баганан код 1-р Хэсэг /Сонгох/ 2-р Хэсэг /Нөхөх/ Анхны Оноо Хэмжээст Оноо Гүйцэтгэлийн хувь Үсгэн Дүн 1 УМ00250832 D 1123045 41 78 2 80 660 83% A- 2 УХ99020318 С 1123045 52 56 24 80 660 83% A- 3 УД99070822 С 1123045 23 50 16 66 562 70% B 4 УД00311237 С 1123045 16 36 28 64 548 69% C 5 УД99071808 С 1123045 46 44 20 64 548 69% C 6 УД00271207 С 1123045 32 44 18 62 534 67% C 7 УД00253010 А 1123048 12 38 24 62 534 67% C 8 УД01292513 С 1123045 11 38 18 56 492 62% C 9 УД99122806 С 1123046 210 34 22 56 492 62% C 10 УД00211106 А 1123047 10 36 18 54 478 60% C 11 УД00210137 С 1123046 240 39 14 53 471 59% C 12 МФ99041604 С 1123046 226 27 24 51 457 57% C 13 УД99021208 В 1123045 51 32 18 50 450 56% C 14 УД00221736 В 1123046 207 34 16 50 450 56% C 15 УШ0322759 С 1123045 28 33 16 49 443 55% C 16 ЕУ99070911 С 1123046 234 30 18 48 436 55% C 17 ГЮ99062308 А 1123048 7 30 18 48 436 55% C 18 УД00310224 В 1123048 1 34 14 48 436 55% C 19 УД99051404 А 1123046 208 33 14 47 429 54% C 20 ЧЭ99101204 А 1123047 8 35 11 46 422 53% D 21 НС00211300 А 1123046 228 28 17 45 415 52% D 22 ИЖ99051503 А 1123046 253 32 13 45 415 52% D 23 УД99121107 С 1123046 246 31 13 44 408 51% D ДУНДАЖ НАЛАЙХ дүүргийн Ерөнхий Боловсролын Дунд Сургуулиудын 12-р ангийн сурагчдын АНГЛИ ХЭЛНИЙ хичээлийн Сорилго шалгалтын дүн. 2016-12-10 Page 6
  • 7.
    24 УП00320604 С1123046 235 32 12 44 408 51% D 25 ЙМ99011031 С 1123046 211 26 17 43 401 50% D 26 УД99042616 А 1123045 18 30 12 42 394 49% D 27 УМ00220909 А 1123046 212 28 14 42 394 49% D 28 УД99082427 С 1123047 15 32 10 42 394 49% D 29 ДЮ99100500 В 1123048 8 33 9 42 394 49% D 30 УД990925019 В 1123047 23 27 14 41 387 48% D 31 УД00261005 В 1123048 16 29 12 41 387 48% D 32 ЛЛ00310702 D 1123048 17 26 15 41 387 48% D 33 УД01261302 А 1123047 11 26 14 40 380 48% D 34 УД99110101 В 1123046 5 27 12 39 373 47% D 35 УД99101404 В 1123046 206 27 12 39 373 47% D 36 ЙЮ01253015 D 1123045 10 28 10 38 366 46% D 37 УД00212902 А 1123045 43 24 14 38 366 46% D 38 УД00312607 С 1123046 225 27 11 38 366 46% D 39 УД99081623 В 1123046 254 29 9 38 366 46% D 40 УК99061507 А 1123048 13 28 10 38 366 46% D 41 УИ00022813 В 1123048 15 26 12 38 366 46% D 42 УД99011011 С 1123045 48 20 17 37 359 45% D- 43 ПЮ99061025 В 1123046 231 25 12 37 359 45% D- 44 УД01250615 D 1123046 208 26 11 37 359 45% D- 45 УД99120206 А 1123046 213 26 11 37 359 45% D- 46 УД00230803 В 1123046 216 29 8 37 359 45% D- 47 УД99060517 С 1123047 12 23 14 37 359 45% D- 48 ВВ99120339 А 1123048 27 23 14 37 359 45% D- 49 УД99011525 С 1123048 9 27 10 37 359 45% D- 50 УП00262113 С 1123045 31 20 16 36 352 44% D- 51 ИЖ00280704 С 1123046 6 25 11 36 352 44% D- 52 УД00252308 С 1123046 229 26 10 36 352 44% D- 53 УП99110108 D 1123047 17 26 10 36 352 44% D- 54 УД99051125 В 1123047 13 28 8 36 352 44% D- 55 УД99121717 В 1123047 3 22 14 36 352 44% D- 56 УД99111823 В 1123048 19 30 6 36 352 44% D- Page 7
  • 8.
    57 АЯ99062205 А1123045 36 17 18 35 345 43% D- 58 УД00300409 А 1123046 217 23 12 35 345 43% D- 59 УП00282620 С 1123048 11 23 12 35 345 43% D- 60 УД99041421 С 1123045 47 27 7 34 338 42% D- 61 УД00241114 А 1123045 21 15 19 34 338 42% D- 62 УХ00231322 С 1123047 17 26 8 34 338 42% D- 63 УД99082028 В 1123047 15 26 8 34 338 42% D- 64 УП99091536 А 1123048 18 24 10 34 338 42% D- 65 УЮ99081321 D 1123045 56 19 14 33 331 41% D- 66 УД99091705 В 1123045 33 21 12 33 331 41% D- 67 УД99101222 В 1123045 2 21 12 33 331 41% D- 68 УД99022121 А 1123047 16 21 12 33 331 41% D- 69 УП99071804 С 1123048 14 18 15 33 331 41% D- 70 УД99021214 С 1123045 38 18 14 32 324 41% D- 71 УД99060176 С 1123045 4 20 12 32 324 41% D- 72 УД00290112 С 1123047 19 22 10 32 324 41% D- 73 УД00241205 В 1123047 4 21 11 32 324 41% D- 74 УД99122709 D 1123048 204 21 11 32 324 41% D- 75 УИ99050719 С 1123048 10 22 10 32 324 41% D- 76 УД99100309 В 1123045 13 17 14 31 317 40% D- 77 УД00211836 В 1123045 6 17 14 31 317 40% D- 78 УД99102117 В 1123045 22 21 10 31 317 40% D- 79 ИЖ99071400 А 1123046 221 20 11 31 317 40% D- 80 УД00280332 В 1123045 215 22 9 31 317 40% D- 81 УД00292803 В 1123046 224 22 9 31 317 40% D- 82 УД00251014 В 1123046 239 21 10 31 317 40% D- 83 НЛ99020516 А 1123048 205 21 10 31 317 40% D- 84 УД99070138 С 1123048 4 21 10 31 317 40% D- 85 УД99121752 С 1123046 232 18 12 30 310 39% D- 86 СИ99050201 А 1123046 244 15 15 30 310 39% D- 87 УД99021915 В 1123046 223 27 3 30 310 39% D- 88 УД00322319 В 1123046 209 24 6 30 310 39% D- 89 УД90052006 В 1123047 22 26 4 30 310 39% D- Page 8
  • 9.
    90 ВА99111001 А1123048 3 18 12 30 310 39% D- 91 УД00272000 А 1123046 241 18 11 29 303 38% D- 92 ПЮ00220926 А 1123046 229 15 14 29 303 38% D- 93 УД99073006 С 1123047 1 20 9 29 303 38% D- 94 УД99082005 В 1123047 12 20 9 29 303 38% D- 95 УД00260549 В 1123047 2 17 12 29 303 38% D- 96 УД00221246 В 1123048 251 22 7 29 303 38% D- 97 УД99022663 А 1123045 3 13 15 28 296 37% D- 98 УД99102208 D 1123046 247 19 9 28 296 37% D- 99 УД00210507 С 1123046 18 16 12 28 296 37% D- 100 УД99071506 А 1123046 211 18 10 28 296 37% D- 101 УД00252901 С 1123045 12 17 10 27 289 36% D- 102 УД00292005 D 1123046 214 18 9 27 289 36% D- 103 УД00240817 С 1123046 234 23 4 27 289 36% D- 104 УД99090601 А 1123046 237 20 7 27 289 36% D- 105 УЛ00281822 В 1123046 236 14 13 27 289 36% D- 106 БЮ99112101 В 1123046 222 18 9 27 289 36% D- 107 УД00261404 С 1123047 10 22 5 27 289 36% D- 108 УД00220716 В 1123047 7 11 16 27 289 36% D- 109 НЩ00252907 D 1123048 22 18 9 27 289 36% D- 110 УД00240310 В 1123048 2 17 10 27 289 36% D- 111 УД99020125 D 1123045 4 20 6 26 282 35% F 112 УД00250911 С 1123045 37 23 3 26 282 35% F 113 УД00241401 С 1123045 8 19 7 26 282 35% F 114 УД99101609 D 1123046 233 15 11 26 282 35% F 115 УД00251202 А 1123046 213 18 8 26 282 35% F 116 НУ99042506 С 1123047 16 19 7 26 282 35% F 117 КД99072807 В 1123048 202 17 9 26 282 35% F 118 УД00281113 В 1123045 42 20 5 25 275 34% F 119 МЮ99042302 С 1123046 231 19 6 25 275 34% F 120 ИХ99030611 В 1123048 2 13 12 25 275 34% F 121 УЕ00261712 А 1123045 27 14 10 24 268 34% F 122 УД00282708 В 1123046 217 18 6 24 268 34% F Page 9
  • 10.
    123 УД00270236 А1123047 7 19 5 24 268 34% F 124 УД99072812 В 1123047 18 18 6 24 268 34% F 125 ЕО99101309 А 1123046 13 15 8 23 261 33% F 126 УД00242408 С 1123046 224 15 8 23 261 33% F 127 УД00222403 С 1123046 218 19 4 23 261 33% F 128 УД99041709 С 1123046 220 15 8 23 261 33% F 129 УД99082307 А 1123046 219 12 11 23 261 33% F 130 НС98050801 А 1123046 227 15 8 23 261 33% F 131 СЭ99082203 В 1123046 249 16 7 23 261 33% F 132 ЗЗ99020408 С 1123047 6 17 6 23 261 33% F 133 УД99060153 С 1123047 21 15 8 23 261 33% F 134 УК99061445 D 1123048 25 18 5 23 261 33% F 135 УД99101621 В 1123045 17 12 10 22 254 32% F 136 РБ00232800 D 1123046 250 8 14 22 254 32% F 137 УИ99112063 С 1123046 200 12 10 22 254 32% F 138 УД00212828 С 1123046 222 14 8 22 254 32% F 139 УД99072131 С 1123047 3 14 8 22 254 32% F 140 УХ99050572 D 1123048 196 17 5 22 254 32% F 141 УД00280816 С 1123048 6 15 7 22 254 32% F 142 УД99030711 С 1123045 9 16 5 21 247 31% F 143 УД00242009 А 1123045 7 13 8 21 247 31% F 144 УД00322838 D 1123046 219 15 6 21 247 31% F 145 УД99031929 С 1123046 225 15 6 21 247 31% F 146 ДА98102809 С 1123046 248 15 6 21 247 31% F 147 УК00280963 В 1123046 2 13 8 21 247 31% F 148 УД99100503 В 1123046 233 13 8 21 247 31% F 149 УД99051307 А 1123048 197 17 4 21 247 31% F 150 УД99101307 D 1123045 14 14 6 20 240 30% F 151 РД00310406 D 1123046 226 15 5 20 240 30% F 152 УД99070816 D 1123046 238 13 7 20 240 30% F 153 УД99081805 С 1123046 216 8 12 20 240 30% F 154 УД99122105 С 1123046 203 16 4 20 240 30% F 155 МЙ01220920 А 1123046 1 7 13 20 240 30% F Page 10
  • 11.
    156 ПЕ99032606 А1123046 228 12 8 20 240 30% F 157 УЕ99042111 D 1123048 26 12 8 20 240 30% F 158 УД00260104 А 1123048 24 13 7 20 240 30% F 159 УД00260811 А 1123045 1 11 8 19 233 29% F 160 УМ99102444 D 1123046 221 13 6 19 233 29% F 161 РБ99080700 D 1123046 223 17 2 19 233 29% F 162 УД99112627 D 1123046 212 12 7 19 233 29% F 163 УД99030612 С 1123048 21 15 4 19 233 29% F 164 СФ00222317 D 1123048 5 10 9 19 233 29% F 165 ЕП99112502 D 1123048 1 15 4 19 233 29% F 166 УБ99051819 D 1123047 11 10 8 18 226 28% F 167 УД00240703 А 1123047 5 12 6 18 226 28% F 168 ВП00212406 D 1123046 207 13 4 17 219 27% F 169 ЖЛ99122318 А 1123046 242 10 7 17 219 27% F 170 УД99091033 В 1123046 235 5 12 17 219 27% F 171 УД99032701 С 1123048 252 12 5 17 219 27% F 172 УД00260412 D 1123046 243 15 1 16 212 27% F 173 УД98121411 В 1123046 220 10 6 16 212 27% F 174 НД99071314 В 1123045 5 6 9 15 205 26% F 175 УД99032821 D 1123046 245 10 5 15 205 26% F 176 ЛД99033121 В 1123046 230 12 3 15 205 26% F 177 УД99042006 D 1123047 14 15 0 15 205 26% F 178 УД99031906 D 1123046 255 10 4 14 198 25% F 179 УД99101011 А 1123047 20 11 3 14 198 25% F 180 УД99051819 D 1123048 208 6 8 14 198 25% F 181 УД00261706 D 1123046 227 11 2 13 191 24% F 182 УД99081007 D 1123047 9 11 2 13 191 24% F 183 УД99121210 В 1123045 26 6 6 12 184 23% F 184 УД00302103 А 1123046 201 6 6 12 184 23% F 185 УД99111236 В 1123048 206 8 4 12 184 23% F 186 УД98082808 В 1123045 8 7 4 11 177 22% F 3851 1865 5716 58612 7327% 20.70 10.03 30.7 315.1 39.4% ДУНДАЖ Page 11
  • 12.
    № Регистерийн дугаар Хувилбар Сургуулйин Код Баганан код 1-р Хэсэг /Сонгох/ 2-р Хэсэг /Нөхөх/ Анхны Оноо Хэмжээст Оноо Гүйцэтгэлийн хувь ҮсгэнДүн 1 УД99122806 А 1123046 16 50 13 63 541 68% C 2 УД00211106 А 1123047 29 45 13 58 506 63% C 3 УП99111420 А 1123045 7 43 11 54 478 60% C 4 УД00222403 А 1123046 25 42 12 54 478 60% C 5 УД00210137 А 1123046 9 45 8 53 471 59% C 6 УД00271800 А 1123045 5 41 11 52 464 58% C 7 ЕУ99070911 А 1123046 21 43 8 51 457 57% C 8 РБ99080700 А 1123046 20 43 8 51 457 57% C 9 УД99042006 А 1123047 12 38 11 49 443 55% C 10 УД99121107 В 1123046 19 32 17 49 443 55% C 11 УД99091033 А 1123046 27 40 9 49 443 55% C 12 УД99101621 В 1123045 10 36 11 47 429 54% C 13 УД00271116 В 1123046 18 37 10 47 429 54% C 14 УД99100309 А 1123045 18 35 11 46 422 53% D 15 УМ00220909 А 1123046 22 36 10 46 422 53% D 16 УД00102110 А 1123045 9 31 14 45 415 52% D 17 УК99091048 В 1123047 2 31 14 45 415 52% D 18 СШ00272301 А 1123047 18 38 7 45 415 52% D НАЛАЙХ дүүргийн Ерөнхий Боловсролын Дунд Сургуулиудын 12-р ангийн сурагчдын МОНГОЛ ХЭЛНИЙ хичээлийн Сорилго шалгалтын дүн. 2016-12-10 Page 12
  • 13.
    19 ПЕ99032606 В1123046 19 38 7 45 415 52% D 20 УД99022801 А 1123046 8 40 5 45 415 52% D 21 УД00281113 А 1123045 11 35 9 44 408 51% D 22 МЗ99091107 В 1123047 11 32 12 44 408 51% D 23 УП99011127 А 1123047 3 27 17 44 408 51% D 24 УД99070719 А 1123046 26 34 10 44 408 51% D 25 УД99070845 В 1123045 9 32 11 43 401 50% D 26 ИЖ00280704 В 1123046 27 31 12 43 401 50% D 27 УД00212828 А 1123046 22 33 10 43 401 50% D 28 УО00260412 А 1123046 8 36 7 43 401 50% D 29 УД99022121 В 1123047 20 33 9 42 394 49% D 30 УД99081007 А 1123047 5 33 9 42 394 49% D 31 УД00210507 В 1123046 6 34 8 42 394 49% D 32 УД00252308 В 1123046 17 29 13 42 394 49% D 33 УД99051404 А 1123046 15 30 12 42 394 49% D 34 УД00300409 А 1123046 28 33 9 42 394 49% D 35 УД99101222 В 1123045 4 29 12 41 387 48% D 36 ЖЙ99081509 А 1123045 14 30 11 41 387 48% D 37 УП00320604 В 1123046 28 32 9 41 387 48% D 38 УК00280963 А 1123046 25 29 12 41 387 48% D 39 УД99062120 В 1123045 16 30 10 40 380 48% D 40 УД99062120 В 1123045 16 30 10 40 380 48% D 41 УД99072812 А 1123047 6 30 10 40 380 48% D 42 ИЖ099051503 А 1123046 30 31 9 40 380 48% D 43 ПЮ99061025 В 1123046 3 31 8 39 373 47% D 44 УД00322319 А 1123046 9 30 9 39 373 47% D 45 УД99031929 А 1123046 12 30 9 39 373 47% D 46 НС98050801 А 1123046 5 26 13 39 373 47% D 47 БЮ99112101 А 1123046 29 33 6 39 373 47% D 48 УД99032701 В 1123048 110 29 9 38 366 46% D 49 УД99071506 В 1123046 2 30 8 38 366 46% D 50 УД00230308 А 1123046 17 27 11 38 366 46% D 51 УП99102444 А 1123046 21 28 10 38 366 46% D Page 13
  • 14.
    52 УД99111823 В1123048 104 26 11 37 359 45% D- 53 УИ00022813 В 1123048 108 26 11 37 359 45% D- 54 УД00221233 В 1123045 15 25 12 37 359 45% D- 55 УП00262113 А 1123045 3 28 9 37 359 45% D- 56 УД99082427 В 1123047 30 30 7 37 359 45% D- 57 ИЭ99120924 А 1123047 4 31 6 37 359 45% D- 58 УД99101609 В 1123046 23 31 6 37 359 45% D- 59 УП99111323 В 1123046 25 26 11 37 359 45% D- 60 УД00210111 В 1123046 19 29 8 37 359 45% D- 61 УД99121752 А 1123046 10 26 11 37 359 45% D- 62 УД99090601 А 1123046 18 28 9 37 359 45% D- 63 УЛ00281822 А 1123046 23 26 11 37 359 45% D- 64 ЛЛ00310702 В 1123048 10 25 11 36 352 44% D- 65 УД00261706 В 1123045 9 26 10 36 352 44% D- 66 УД00310406 А 1123047 25 28 8 36 352 44% D- 67 ЗК00230405 А 1123047 3 26 10 36 352 44% D- 68 УД98122101 А 1123047 1 27 9 36 352 44% D- 69 МЙ01220920 В 1123046 5 26 10 36 352 44% D- 70 УД99070816 А 1123046 28 32 4 36 352 44% D- 71 КЮ99031311 А 1123046 7 25 11 36 352 44% D- 72 УД99090674 В 1123045 8 25 10 35 345 43% D- 73 УД99091705 В 1123045 20 26 9 35 345 43% D- 74 УД00252901 А 1123045 1 29 6 35 345 43% D- 75 УБ99051819 В 1123047 11 28 7 35 345 43% D- 76 УД99032821 В 1123046 17 27 8 35 345 43% D- 77 УД99080836 А 1123046 26 27 8 35 345 43% D- 78 УД99122105 А 1123046 23 35 0 35 345 43% D- 79 УД00260104 А 1123048 105 25 9 34 338 42% D- 80 УП00282620 А 1123048 101 25 9 34 338 42% D- 81 УД00241401 А 1123045 4 26 8 34 338 42% D- 82 ТБ99040831 А 1123045 7 25 9 34 338 42% D- 83 УД99112604 В 1123047 2 25 9 34 338 42% D- 84 УД99082028 В 1123047 3 26 8 34 338 42% D- Page 14
  • 15.
    85 УД99060153 А1123047 16 23 11 34 338 42% D- 86 НУ99042506 А 1123047 31 29 5 34 338 42% D- 87 НБ99071313 В 1123046 30 25 9 34 338 42% D- 88 ШУ01211632 А 1123046 8 25 9 34 338 42% D- 89 УД99020125 В 1123045 14 25 8 33 331 41% D- 90 УД98082808 В 1123045 13 26 7 33 331 41% D- 91 УД99102208 В 1123046 29 22 11 33 331 41% D- 92 СВ99123116 В 1123046 7 25 7 32 324 41% D- 93 УД00251202 В 1123046 11 22 10 32 324 41% D- 94 МЮ99042302 В 1123045 17 24 7 31 317 40% D- 95 УД00220709 А 1123045 19 23 8 31 317 40% D- 96 НЧ99021514 А 1123045 13 22 9 31 317 40% D- 97 УД01230108 В 1123046 14 23 8 31 317 40% D- 98 УД99031906 В 1123046 32 23 8 31 317 40% D- 99 УД99113015 А 1123046 23 23 8 31 317 40% D- 100 УД99081805 А 1123046 4 28 3 31 317 40% D- 101 ПК98081310 А 1123046 15 22 9 31 317 40% D- 102 УД00251014 А 1123046 24 24 7 31 317 40% D- 103 СИ99050201 А 1123046 16 23 8 31 317 40% D- 104 УЛ99091819 А 1123048 111 19 11 30 310 39% D- 105 УК99061507 В 1123048 22 22 8 30 310 39% D- 106 УД99030711 В 1123045 12 22 8 30 310 39% D- 107 УД99062701 А 1123047 4 21 9 30 310 39% D- 108 УК99221023 В 1123047 2 20 10 30 310 39% D- 109 ЗЗ99020408 А 1123047 29 26 4 30 310 39% D- 110 УД99011525 В 1123048 103 20 9 29 303 38% D- 111 ПЮ00220926 В 1123046 24 22 7 29 303 38% D- 112 УД00240817 А 1123046 1 21 8 29 303 38% D- 113 УД00210325 В 1123046 13 19 10 29 303 38% D- 114 УД99063009 А 1123047 10 20 8 28 296 37% D- 115 УД99082307 В 1123047 15 19 9 28 296 37% D- 116 УД99101404 В 1123046 18 13 15 28 296 37% D- 117 ВП00212406 А 1123046 22 21 7 28 296 37% D- Page 15
  • 16.
    118 УД99100503 А1123046 11 21 7 28 296 37% D- 119 УД99102117 А 1123045 1 19 8 27 289 36% D- 120 УД00241205 В 1123047 15 19 8 27 289 36% D- 121 УД99041709 А 1123047 14 17 10 27 289 36% D- 122 УД01250615 В 1123046 9 18 9 27 289 36% D- 123 РБ99020804 В 1123046 6 19 8 27 289 36% D- 124 УШ00322759 В 1123045 17 21 5 26 282 35% F 125 УД99091403 А 1123047 21 18 8 26 282 35% F 126 УД99092109 В 1123047 18 21 4 25 275 34% F 127 КЛ99122318 В 1123046 20 23 2 25 275 34% F 128 УД99111800 А 1123047 21 18 6 24 268 34% F 129 УД99022851 В 1123046 8 22 2 24 268 34% F 130 ДА98102809 А 1123046 31 16 8 24 268 34% F 131 НЭ00212501 А 1123046 27 17 7 24 268 34% F 132 УЕ00261712 В 1123045 2 14 9 23 261 33% F 133 УД99122829 В 1123047 12 14 9 23 261 33% F 134 УД00272809 А 1123046 5 22 1 23 261 33% F 135 СЭ99082203 В 1123045 24 16 6 22 254 32% F 136 УД99101712 В 1123045 6 16 6 22 254 32% F 137 УД99040409 В 1123047 1 15 7 22 254 32% F 138 УД00240703 А 1123047 19 12 10 22 254 32% F 139 ОА98050307 А 1123046 12 17 5 22 254 32% F 140 УД99112809 А 1123046 16 13 9 22 254 32% F 141 УД00302103 А 1123046 10 17 5 22 254 32% F 142 ЛД99051624 В 1123046 26 15 7 22 254 32% F 143 АД99033121 В 1123046 14 15 5 20 240 30% F 144 МФ99041604 В 1123046 28 12 8 20 240 30% F 145 УД00272000 А 1123046 27 13 7 20 240 30% F 146 УД99082222 В 1123047 31 16 2 18 226 28% F 147 УД00211648 А 1123046 13 15 3 18 226 28% F 148 УД99030606 В 1123046 7 14 3 17 219 27% F 149 УП99071804 А 1123048 29 16 0 16 212 27% F 150 УД99103001 В 1123047 20 14 0 14 198 25% F Page 16
  • 17.
    151 УД00282708 В1123046 26 8 4 12 184 23% F 3942 1282 5224 51668 6459% 26.11 8.49 34.6 342.2 42.8% № Регистерийн дугаар Хувилбар Сургуулйин Код Баганан код 1-р Хэсэг /Сонгох/ 2-р Хэсэг /Нөхөх/ Анхны Оноо Хэмжээст Оноо Гүйцэтгэлийн хувь Үсгэн Дүн 1 УД00221736 С 1123046 4 36 21 57 499 62% C 2 УД00312237 А 1123045 16 43 13 56 492 62% C 3 УД99070822 А 1123045 14 50 3 53 471 59% C 4 УД99021214 С 1123045 25 37 6 43 401 50% D 5 УД99080602 D 1123045 28 29 14 43 401 50% D 6 ЙЮ01253015 В 1123045 26 33 9 42 394 49% D 7 УД99061011 В 1123045 21 37 4 41 387 48% D 8 УД00210137 В 1123046 17 26 14 40 380 48% D 9 УД99021208 В 1123045 30 28 12 40 380 48% D 10 УД00253010 В 1123048 15 37 2 39 373 47% D 11 УП99091536 А 1123048 14 34 5 39 373 47% D 12 УД00261005 В 1123048 24 32 7 39 373 47% D 13 УД99073006 D 1123047 15 27 10 37 359 45% D 14 УЗ99020178 В 1123046 19 27 9 36 352 44% D- 15 УД99022109 А 1123045 29 27 9 36 352 44% D- ДУНДАЖ НАЛАЙХ дүүргийн Ерөнхий Боловсролын Дунд Сургуулиудын 12-р ангийн сурагчдын МАТЕМАТИКИЙН хичээлийн Сорилго шалгалтын дүн. 2016-12-10 Page 17
  • 18.
    16 УД99112627 В1123046 13 23 12 35 345 43% D- 17 УП99110108 С 1123047 33 27 8 35 345 43% D- 18 УД99092019 В 1123047 13 26 6 32 324 41% D- 19 УД99081623 D 1123046 18 24 6 30 310 39% D- 20 УД99051404 В 1123046 17 24 6 30 310 39% D- 21 УД99091901 С 1123045 12 21 9 30 310 39% D- 22 УД00241205 D 1123047 6 25 5 30 310 39% D- 23 УП00282620 С 1123048 23 24 5 29 303 38% D- 24 УД99070212 D 1123048 25 27 2 29 303 38% D- 25 ИХ99030611 D 1123048 22 23 6 29 303 38% D- 26 УД99101404 С 1123046 30 23 6 29 303 38% D- 27 УД00280332 А 1123046 6 27 2 29 303 38% D- 28 УД99081441 D 1123045 31 20 9 29 303 38% D- 29 УД99091312 С 1123045 20 26 3 29 303 38% D- 30 УД00211106 D 1123047 24 23 6 29 303 38% D- 31 УД00230706 А 1123047 10 21 8 29 303 38% D- 32 УД00221246 С 1123048 20 23 5 28 296 37% D- 33 УФ99030612 С 1123048 30 27 1 28 296 37% D- 34 УД99070138 С 1123048 11 25 3 28 296 37% D- 35 УД99032701 В 1123048 13 21 7 28 296 37% D- 36 ПЮ00220926 С 1123046 5 22 6 28 296 37% D- 37 УД00310224 D 1123048 4 26 1 27 289 36% D- 38 СИ99050201 С 1123046 22 22 5 27 289 36% D- 39 УП00320604 А 1123046 2 23 4 27 289 36% D- 40 УИ99112063 В 1123046 30 18 9 27 289 36% D- 41 УД99062439 А 1123046 5 24 3 27 289 36% D- 42 УД00242408 D 1123046 1 23 4 27 289 36% D- 43 УД99082005 С 1123047 12 19 8 27 289 36% D- 44 УД99122806 D 1123046 18 24 2 26 282 35% F 45 ЕУ99070911 С 1123046 27 26 0 26 282 35% F 46 УД01211004 D 1123045 31 18 8 26 282 35% F 47 УХ99050572 D 1123048 27 21 5 26 282 35% F 48 УД00240703 С 1123047 23 23 3 26 282 35% F 49 УД99031906 С 1123046 29 24 1 25 275 34% F Page 18
  • 19.
    50 УЗ99030334 А1123046 7 16 9 25 275 34% F 51 УД99122829 D 1123047 31 16 9 25 275 34% F 52 УД00292404 D 1123047 4 23 2 25 275 34% F 53 УД99011525 В 1123048 8 22 2 24 268 34% F 54 УД99111823 А 1123048 26 23 1 24 268 34% F 55 УД00240310 D 1123048 32 20 4 24 268 34% F 56 УД00220911 С 1123046 6 20 4 24 268 34% F 57 МЮ99042302 В 1123046 12 23 1 24 268 34% F 58 УД00312607 А 1123046 1 21 3 24 268 34% F 59 УД00230803 D 1123046 8 18 6 24 268 34% F 60 ЛЛ00310702 В 1123048 20 15 9 24 268 34% F 61 ИП00230804 В 1123047 33 17 7 24 268 34% F 62 ГЮ99062308 D 1123048 9 19 4 23 261 33% F 63 ЕП99112502 С 1123048 31 23 0 23 261 33% F 64 УД00292005 D 1123046 1 18 5 23 261 33% F 65 УД00222403 D 1123046 26 20 3 23 261 33% F 66 УД00252308 В 1123046 7 22 1 23 261 33% F 67 УД99122014 А 1123046 2 19 4 23 261 33% F 68 УД99082427 А 1123047 15 20 3 23 261 33% F 69 ЖЛ99122318 А 1123046 25 19 3 22 254 32% F 70 ИЖ99051503 С 1123046 14 21 1 22 254 32% F 71 АЛ99062205 С 1123045 22 17 5 22 254 32% F 72 УР98120216 В 1123047 26 18 4 22 254 32% F 73 УП99071804 А 1123048 17 18 3 21 247 31% F 74 УД99021915 С 1123046 11 19 2 21 247 31% F 75 ЙМ99011031 С 1123046 10 17 4 21 247 31% F 76 УЮ99082011 В 1123046 25 13 8 21 247 31% F 77 УД00230826 С 1123048 7 19 1 20 240 30% F 78 СФ00222317 D 1123048 10 16 4 20 240 30% F 79 УД99041709 С 1123046 9 19 1 20 240 30% F 80 УД00210325 С 1123046 17 16 4 20 240 30% F 81 УД00282708 А 1123046 27 16 4 20 240 30% F 82 НЛ99020516 С 1123048 8 18 2 20 240 30% F 83 УД99071905 С 1123047 16 14 6 20 240 30% F Page 19
  • 20.
    84 УИ99050719 А1123048 19 17 2 19 233 29% F 85 НЩ00252907 D 1123048 29 17 2 19 233 29% F 86 УД00250512 D 1123046 3 12 7 19 233 29% F 87 СВ99123116 А 1123046 31 18 1 19 233 29% F 88 ЛД99033121 А 1123046 21 18 1 19 233 29% F 89 УД00281330 D 1123045 19 19 0 19 233 29% F 90 УД00240817 В 1123047 9 19 0 19 233 29% F 91 УД00280816 D 1123048 16 17 1 18 226 28% F 92 УД00280913 D 1123046 27 17 1 18 226 28% F 93 УД99101609 В 1123046 17 18 0 18 226 28% F 94 УД99030612 В 1123048 29 14 4 18 226 28% F 95 УД99103001 А 1123047 5 14 4 18 226 28% F 96 УД99032821 В 1123046 21 17 0 17 219 27% F 97 СЭ99082203 В 1123046 20 15 2 17 219 27% F 98 НС00211300 А 1123046 18 14 3 17 219 27% F 99 НУ99042506 D 1123047 14 11 6 17 219 27% F 100 УК99061507 В 1123048 18 12 4 16 212 27% F 101 ИЖ99071400 В 1123046 13 14 2 16 212 27% F 102 ДА98102809 В 1123046 16 15 1 16 212 27% F 103 АЮ00211038 D 1123047 4 15 1 16 212 27% F 104 ИЛ00230810 А 1123047 11 13 3 16 212 27% F 105 УД99111230 С 1123048 33 15 0 15 205 26% F 106 КД99072807 В 1123048 20 11 4 15 205 26% F 107 ВВ99120339 В 1123048 28 14 1 15 205 26% F 108 УД99101917 С 1123046 8 14 1 15 205 26% F 109 УМ00220909 В 1123046 29 12 3 15 205 26% F 110 УД00292803 А 1123046 20 15 0 15 205 26% F 111 УД00260412 D 1123046 19 12 3 15 205 26% F 112 УД99071808 А 1123045 18 10 5 15 205 26% F 113 УД99051307 А 1123048 28 6 9 15 205 26% F 114 УБ99051819 D 1123047 10 10 5 15 205 26% F 115 УЕ99042111 В 1123048 21 13 1 14 198 25% F 116 УД00252591 С 1123046 28 13 1 14 198 25% F 117 УД99081805 D 1123046 11 12 2 14 198 25% F Page 20
  • 21.
    118 ЕЙ99102532 С1123047 15 14 0 14 198 25% F 119 УД00261706 С 1123046 2 13 0 13 191 24% F 120 УД99082307 В 1123046 16 11 2 13 191 24% F 121 УД99081007 А 1123047 32 10 3 13 191 24% F 122 РБ00232800 А 1123046 30 10 2 12 184 23% F 123 ИИ99020408 В 1123047 25 8 4 12 184 23% F 124 НЦ99080710 А 1123046 9 9 2 11 177 22% F 125 УД99121210 В 1123045 24 10 1 11 177 22% F 126 УД99032807 D 1123048 3 10 1 11 177 22% F 127 УД99092101 С 1123047 28 9 2 11 177 22% F 128 НУ99122173 С 1123046 26 7 3 10 170 21% F 129 УД00310406 С 1123046 32 10 0 10 170 21% F 130 УД99031929 В 1123046 3 9 1 10 170 21% F 131 УК99061445 А 1123048 12 6 3 9 163 20% F 132 УД99121107 А 1123046 19 6 3 9 163 20% F 133 УД99102208 D 1123046 23 8 0 8 156 20% F 134 УД99022121 D 1123047 22 6 2 8 156 20% F 135 УД00322319 А 1123046 24 6 1 7 149 19% F 136 УД99090601 В 1123046 23 2 3 5 135 17% F 137 ВА99111001 С 1123048 5 4 0 4 128 16% F 18.85 4.04 22.9 260.2 32.5% № Регистерийн дугаар Хувилбар Сургуулйин Код Баганан код 1-р Хэсэг /Сонгох/ 2-р Хэсэг /Нөхөх/ Анхны Оноо Хэмжээст Оноо Гүйцэтгэлийн хувь Үсгэн Дүн 1 УП99091536 D 1123048 113 46 13 59 513 64% C 2 УД99122014 А 1123047 20 37 13 50 450 56% C 3 УД99082005 В 1123047 24 34 12 46 422 53% D 4 УД00310224 D 1123048 131 25 18 43 401 50% D 5 МР00230506 С 1123047 22 35 6 41 387 48% D 6 УД00280332 С 1123047 2 32 9 41 387 48% D 7 УД00312237 В 1123047 2 34 7 41 387 48% D 8 УД00253010 А 1123048 3 35 5 40 380 48% D ДУНДАЖ НАЛАЙХ дүүргийн Ерөнхий Боловсролын Дунд Сургуулиудын 12-р ангийн сурагчдын ФИЗИКИЙН хичээлийн Сорилго шалгалтын дүн. 2016-12-10 Page 21
  • 22.
    9 НС00211300 D1123047 1 29 10 39 373 47% D 10 УЗ99030334 В 1123045 17 35 4 39 373 47% D 11 УД00221736 С 1123047 16 35 4 39 373 47% D 12 УП00282620 С 1123048 123 28 10 38 366 46% D 13 УЗ99020178 С 1123045 10 30 8 38 366 46% D 14 УД99091312 D 1123047 13 29 7 36 352 44% D- 15 УД99050104 А 1123047 1 33 1 34 338 42% D- 16 ЙМ99011031 А 1123047 18 33 1 34 338 42% D- 17 УД99112627 D 1123045 8 24 10 34 338 42% D- 18 УД00292005 В 1123047 19 26 8 34 338 42% D- 19 УИ99112063 А 1123045 24 24 9 33 331 41% D- 20 УД00252622 С 1123047 15 29 4 33 331 41% D- 21 УД00210137 А 1123047 4 22 10 32 324 41% D- 22 УЮ99082011 С 1123045 31 24 8 32 324 41% D- 23 УД99051125 А 1123047 27 28 2 30 310 39% D- 24 УД00250512 В 1123045 13 25 5 30 310 39% D- 25 НЩ00252907 С 1123048 116 22 7 29 303 38% D- 26 УД99092019 А 1123047 3 28 1 29 303 38% D- 27 УД00260811 А 1123047 5 28 1 29 303 38% D- 28 УД00241114 А 1123047 13 27 2 29 303 38% D- 29 УД00252591 А 1123047 26 20 9 29 303 38% D- 30 УД00210112 В 1123047 5 23 6 29 303 38% D- 31 УД00292803 В 1123045 7 23 6 29 303 38% D- 32 УД99120206 А 1123047 9 26 2 28 296 37% D- 33 УД99081007 D 1123047 6 27 1 28 296 37% D- 34 УД99101307 С 1123047 18 20 8 28 296 37% D- 35 УД00271116 А 1123047 11 18 9 27 289 36% D- 36 УД00282504 В 1123047 14 21 6 27 289 36% D- 37 УД00221246 А 1123048 115 20 6 26 282 35% F 38 УД00220911 D 1123047 14 18 8 26 282 35% F 39 НЦ990800710 D 1123047 6 25 1 26 282 35% F 40 УД99080346 D 1123047 22 23 3 26 282 35% F 41 СФ00222317 D 1123048 117 21 4 25 275 34% F 42 УД00260104 D 1123048 122 21 4 25 275 34% F 43 ШУ01211632 А 1123045 32 22 3 25 275 34% F 44 УД01261302 D 1123047 14 24 1 25 275 34% F 45 УД00221901 С 1123047 9 22 3 25 275 34% F 46 УД00221930 С 1123047 11 18 7 25 275 34% F 47 УД99011525 С 1123047 11 23 2 25 275 34% F Page 22
  • 23.
    48 УД99081013 В1123047 33 24 1 25 275 34% F 49 УД00261005 В 1123047 7 19 6 25 275 34% F 50 ЕП99112502 А 1123048 127 19 5 24 268 34% F 51 УД00232907 А 1123047 15 21 3 24 268 34% F 52 УД99112821 А 1123047 31 21 3 24 268 34% F 53 УД00250911 D 1123047 10 17 7 24 268 34% F 54 УД00232311 С 1123047 30 22 2 24 268 34% F 55 ИТ99122700 В 1123047 12 20 3 23 261 33% F 56 УД99051011 А 1123047 12 18 4 22 254 32% F 57 УК99061445 С 1123047 30 20 2 22 254 32% F 58 УБ99051819 D 1123047 26 16 5 21 247 31% F 59 УД99101917 С 1123047 3 21 0 21 247 31% F 60 ВА99111001 С 1123048 129 20 0 20 240 30% F 61 УХ99050572 А 1123047 8 15 5 20 240 30% F 62 УД00222608 А 1123047 27 13 7 20 240 30% F 63 УД99092317 D 1123047 4 20 0 20 240 30% F 64 ВВ99120339 D 1123047 3 15 5 20 240 30% F 65 ЕО99100300 D 1123045 32 17 3 20 240 30% F 66 ИП00030810 С 1123047 6 19 1 20 240 30% F 67 УД99060517 В 1123047 28 16 4 20 240 30% F 68 УА99102910 А 1123047 25 17 2 19 233 29% F 69 УД00322319 А 1123045 29 17 2 19 233 29% F 70 УД99120913 В 1123047 15 16 3 19 233 29% F 71 УД00232452 С 1123047 16 16 2 18 226 28% F 72 УД99120719 В 1123047 8 15 3 18 226 28% F 73 УД99051307 В 1123047 6 17 0 17 219 27% F 74 УД99081218 В 1123047 7 12 5 17 219 27% F 75 ИХ99030611 В 1123048 114 15 1 16 212 27% F 76 УШ99071011 С 1123047 23 13 3 16 212 27% F 77 УД99090314 С 1123047 29 12 4 16 212 27% F 78 УД99111236 D 1123048 132 15 0 15 205 26% F 79 УД00280913 В 1123047 26 15 0 15 205 26% F 80 УМ00250832 А 1123047 17 15 0 15 205 26% F 81 УД99021214 D 1123047 19 14 1 15 205 26% F 82 НУ99122173 В 1123047 28 13 2 15 205 26% F 83 УД00222517 В 1123047 21 14 1 15 205 26% F 84 УД00230615 А 1123047 4 12 3 15 205 26% F 85 УЕ99042111 С 1123048 119 13 1 14 198 25% F 86 УИ99050719 В 1123048 128 11 3 14 198 25% F Page 23
  • 24.
    87 УД00280816 А1123048 118 12 2 14 198 25% F 88 УД00240310 С 1123047 12 14 0 14 198 25% F 89 УД99092213 В 1123047 5 12 2 14 198 25% F 90 УД00221223 В 1123047 20 14 0 14 198 25% F 91 КД99072807 В 1123048 125 11 1 12 184 23% F 92 УД99030612 С 1123047 23 10 2 12 184 23% F 93 УД99070138 В 1123048 120 9 2 11 177 22% F 94 УД00211211 В 1123047 33 11 0 11 177 22% F 95 НЛ99020516 С 1123048 121 8 1 9 163 20% F 96 АЮ00211038 С 1123047 10 5 2 7 149 19% F 2003 398 2401 26407 3301% 20.86 4.15 25.0 275.1 34.4% № Регистерийн дугаар Хувилбар Сургуулйин Код Баганан код 1-р Хэсэг /Сонгох/ 2-р Хэсэг /Нөхөх/ Анхны Оноо Хэмжээст Оноо Гүйцэтгэлийн хувь Үсгэн Дүн 1 УД99071905 В 1123046 26 54 6 60 520 65% C 2 УД99082005 В 1123046 24 49 8 57 499 62% C 3 УД99122709 С 1123048 103 44 6 50 450 56% C 4 УП99091536 D 1123048 100 39 4 43 401 50% D 5 УД00253010 В 1123048 109 29 4 33 331 41% D- ДУНДАЖ НАЛАЙХ дүүргийн Ерөнхий Боловсролын Дунд Сургуулиудын 12-р ангийн сурагчдын ХИМИЙН хичээлийн Сорилго шалгалтын дүн. 2016-12-10 Page 24
  • 25.
    6 УД99111606 В1123046 27 26 6 32 324 41% D- 7 ДЮ99100500 А 1123048 106 29 2 31 317 40% D- 8 УД99100503 В 1123046 129 28 2 30 310 39% D- 9 ПЕ99032606 А 1123046 28 17 12 29 303 38% D- 10 УД990510005 С 1123046 33 27 2 29 303 38% D- 11 УД99032807 В 1123048 102 25 0 25 275 34% F 12 УД00251014 А 1123046 32 21 4 25 275 34% F 13 ЛД99051624 С 1123046 177 22 2 24 268 34% F 14 УД00252622 В 1123045 127 14 10 24 268 34% F 15 ГД00253001 С 1123045 33 20 4 24 268 34% F 16 НЩ00252907 А 1123048 108 17 6 23 261 33% F 17 ИЖ00280704 С 1123046 175 21 2 23 261 33% F 18 УД99081429 С 1123046 21 23 0 23 261 33% F 19 УД99052003 В 1123045 30 13 10 23 261 33% F 20 УД01292513 С 1123045 125 23 0 23 261 33% F 21 БЮ99112101 В 1123046 171 18 4 22 254 32% F 22 ОА98050307 С 1123046 130 18 4 22 254 32% F 23 УД00232605 А 1123046 32 22 0 22 254 32% F 24 УД00302721 D 1123046 29 20 2 22 254 32% F 25 УД99081036 В 1123045 124 14 8 22 254 32% F 26 УП99111323 В 1123046 174 17 4 21 247 31% F 27 МЙ01220920 А 1123046 22 19 2 21 247 31% F 28 УД98082808 А 1123045 128 13 8 21 247 31% F 29 РБ99020804 В 1123046 30 18 2 20 240 30% F 30 УК00280963 А 1123046 172 18 2 20 240 30% F 31 УД00221736 А 1123046 24 18 2 20 240 30% F 32 УД99122105 С 1123046 31 18 2 20 240 30% F 33 УД99082427 А 1123046 25 18 2 20 240 30% F 34 УД00270728 С 1123045 56 19 0 19 233 29% F 35 УП99102444 В 1123046 132 14 4 18 226 28% F 36 УД00210104 А 1123046 22 15 2 17 219 27% F 37 УД00252006 С 1123046 28 17 0 17 219 27% F 38 УД00282504 С 1123045 126 15 2 17 219 27% F Page 25
  • 26.
    39 ВП00212406 А1123046 29 14 2 16 212 27% F 40 УЗ99020178 С 1123046 23 14 2 16 212 27% F 41 НС98050801 В 1123046 26 14 2 16 212 27% F 42 УД01250615 А 1123046 21 11 4 15 205 26% F 43 УД99121717 С 1123046 223 15 0 15 205 26% F 44 УД99070816 С 1123046 173 12 2 14 198 25% F 45 УД99030606 С 1123046 176 12 2 14 198 25% F 46 МФ99041604 В 1123046 131 13 0 13 191 24% F 47 УД99062701 С 1123046 27 9 0 9 163 20% F 48 РБ99080700 С 1123046 25 5 0 5 135 17% F 971 154 1125 12675 1584% 20.23 3.21 23.4 264.1 33.0% № Регистерийн дугаар Хувилбар Сургуулйин Код Баганан код 1-р Хэсэг /Сонгох/ 2-р Хэсэг /Нөхөх/ Анхны Оноо Хэмжээст Оноо Гүйцэтгэлийн хувь Үсгэн Дүн 1 УД00210104 А 1123047 22 37 7 44 408 51% D 2 УД00220709 А 1123046 173 36 7 43 401 50% D 3 ИЖ00280704 D 1123046 23 32 10 42 394 49% D НАЛАЙХ дүүргийн Ерөнхий Боловсролын Дунд Сургуулиудын 12-р ангийн сурагчдын БИОЛОГИЙН хичээлийн Сорилго шалгалтын дүн. 2016-12-10 ДУНДАЖ Page 26
  • 27.
    4 ИЭ99101204 D1123047 188 31 10 41 387 48% D 5 УД99052003 А 1123045 4 33 7 40 380 48% D 6 УД00290112 В 1123047 25 33 5 38 366 46% D 7 ПЕ99032606 D 1123046 182 30 7 37 359 45% D- 8 УД99070822 В 1123045 17 24 12 36 352 44% D- 9 КЮ99031311 А 1123046 187 26 10 36 352 44% D- 10 ГД99051624 А 1123046 179 26 10 36 352 44% D- 11 УД99122105 А 1123046 20 23 11 34 338 42% D- 12 ДЮ99100500 В 1123048 124 28 5 33 331 41% D- 13 УД00252622 А 1123046 6 23 10 33 331 41% D- 14 УД99122709 С 1123048 130 24 8 32 324 41% D- 15 УД99062120 А 1123045 13 25 7 32 324 41% D- 16 УД98082808 В 1123045 1 25 7 32 324 41% D- 17 УУ99070816 А 1123046 176 26 6 32 324 41% D- 18 УД99032807 А 1123048 126 23 8 31 317 40% D- 19 УД00282504 В 1123045 5 25 6 31 317 40% D- 20 УД99030606 А 1123046 172 23 8 31 317 40% D- 21 УП99111323 D 1123046 186 25 6 31 317 40% D- 22 УД00251014 А 1123046 10 23 7 30 310 39% D- 23 БЮ99112101 В 1123046 185 23 7 30 310 39% D- 24 УД99111606 В 1123047 26 21 9 30 310 39% D- 25 УД99081036 В 1123046 11 21 8 29 303 38% D- 26 УД99121717 D 1123047 24 20 9 29 303 38% D- 27 УД99071808 D 1123045 112 17 11 28 296 37% D- 28 ОА98050307 А 1123046 178 21 7 28 296 37% D- 29 УД99062701 D 1123046 7 22 5 27 289 36% D- 30 УД99091705 А 1123045 174 20 6 26 282 35% F 31 НС98050801 D 1123046 15 19 7 26 282 35% F 32 ЗА99012509 А 1123047 21 22 4 26 282 35% F 33 УД00232605 В 1123047 19 21 5 26 282 35% F 34 УД99051005 D 1123047 16 19 7 26 282 35% F 35 ЖЙ99081509 А 1123045 175 18 7 25 275 34% F 36 ГД00253001 D 1123045 3 20 5 25 275 34% F Page 27
  • 28.
    37 РБ99020804 А1123046 180 15 10 25 275 34% F 38 УД99100503 А 1123046 177 18 7 25 275 34% F 39 УД01292513 А 1123045 171 19 4 23 261 33% F 40 РБ99080700 А 1123046 183 18 5 23 261 33% F 41 УП99102444 В 1123046 181 18 5 23 261 33% F 42 МЙ01220920 D 1123046 8 14 8 22 254 32% F 43 УД01250615 А 1123046 14 16 5 21 247 31% F 44 ПЮ99061025 D 1123046 18 18 2 20 240 30% F 45 УД00270728 D 1123045 2 14 4 18 226 28% F 46 НВ00210409 D 1123045 27 14 3 17 219 27% F 47 УК00280963 D 1123046 9 11 5 16 212 27% F 48 МФ99041604 D 1123046 28 10 4 14 198 25% F 49 ВП00212406 А 1123046 184 10 2 12 184 23% F 1080 335 1415 14805 1851% 22.04 6.84 28.9 302.1 37.8% ДУНДАЖ СОРИЛГО БАГ Page 28