MỘT SỐ DẠNG BẤT ĐẲNG THỨC CAUCHY THƯỜNG GẶP
Bài viết tháng 12 năm 2011
Thầy giáo Trần Duy Thảo
Như các bạn đã biết bất đẳng thức là một vấn đề được giáo viên và học sinh thâm nhập
với một lượng thời gian khá nhiều vì đây có thể phát triển khả năng tư duy toán học cho học
sinh.
Qua tìm hiểu vấn đề này trong quá trình dạy học và đề thi đại học, cao đẳng của các
năm tôi thấy hầu hết các bài toán về bất đằng thức trong đề thi đại học, cao đằng chỉ xoay
quanh hai lớp bài toán sau: Lớp 1: “Sử dụng bất đẳng thức Cauchy – Bunhiacopxki”, Lớp 2:
“Đưa về biến và giải quyết bằng phương pháp hàm số”. Mặc dù đã có rất nhiều phương pháp
giải, nhưng bất đẳng thức là một dạng toán khó được xem là một thử thách cho học sinh trong
quá trình học tập và thi cử, đặc biệt là kỳ thi Đại học - Cao đẳng. Với hướng khắc phục hạn
chế như trên, tôi đã tìm cách hệ thống hóa các kỹ thuật sử dụng bất đẳng thức Cauchy, đặt
cho mỗi kỹ thuật một cái tên nhằm giúp học sinh dễ dàng hơn trong tư duy để tìm ra hướng
giải, nhằm khơi dậy trí tìm tòi của học sinh trong quá trình tự học, khơi dậy niềm say mê tìm
kiếm những cái mới.
Dưới đây tôi xin được trao đổi một số kỹ thuật dùng bất đẳng thức Cauchy (thường là
những bài toán bất đẳng thức khó, xảy ra trong các kỳ thi học sinh giỏi, thi đại học).
Phần 1. Kỹ thuật trong bất đẳng thức Cauchy
I. KIẾN THỨC CƠ BẢN
1. Bất đẳng thức Cauchy cho n số không âm: cho n số không âm 1 2, ,...., nx x x
Ta có: 1 2 1 2... . ...n
n nx x x n x x x+ + + ≥
Dấu bằng xảy ra 1 2 ... nx x x⇔ = = = .
2. Bất đẳng thức Bunhiacopxki: Cho hai bộ ( ) ( )1 2 1 2, ,..., , ,...,n nx x x y y y∧
Ta có: ( ) ( )( )2 2 2 2 2 2 2
1 1 2 2 1 2 1 2. . ... . ... ...n n n nx y x y x y x x x y y y+ + + ≤ + + + + + +
Dấu bằng xảy ra
1 2
1 2
... n
n
x x x
y y y
⇔ = = = .
3. Bất đẳng thức Svac-sơ:
( )
22 2 2
1 21 2
1 2 1 2
...
...
...
nn
n n
x x xx x x
y y y y y y
+ + +
+ + + ≥
+ + +
với ( )1 2 3, , ,... 0, 2ny y y y n> ≥
Dấu bằng xảy ra khi và chỉ khi :
1 2
1 2
... .n
n
x x x
y y y
= = =
II. CÁC KỸ THUẬT TRONG BẤT ĐẲNG THỨC CAUCHY
1. Đánh giá từ trung bình cộng sang trung bình nhân kết hợp chọn điểm rơi
Bài 1. Cho 1 2 2011, ,... 0a a a > và 1 2 2011... 1a a a+ + + = .
1
Chứng minh:
2011
1 2 2011
1 1 1
1 1 ... 1 2010
a a a
   
− − − ≥ ÷ ÷ ÷
    
Nhận xét:
Ở bài toán này thuộc lớp bất đẳng thức có điều kiện. Đối với lớp bất đẳng thức này ta
thường có 3 hướng khai thác điều kiện như sau: Khai thác điều kiện kết hợp với bất đẳng
thức kinh điển để giới hạn miền giá trị của biến hoặc khai thác bằng cách thế vào biểu thức
cần chứng minh hoặc dùng điều kiện vào các bước cuối cùng hoặc các bước trung gian của
bài toán chứng minh. Ở đây tôi khai thác theo hướng thế vào biểu thức cần chứng minh.
Ta có:
2010
2 20111 2 3 2011
1 1 1
2010 ...1 ... Cauchy a aa a a a
a a a
− + + +
= ≥
Tương tự cho
1 2011
1 1
1 ;...; 1
a a
  
− − ÷ ÷
   
Nhân vế theo vế các bất đẳng thức ta được điều phải chứng minh.
Dấu bằng xảy ra 1 2 2011
1
...
2011
a a a⇔ = = = =
Chúng ta có thể tổng quát bài toán như sau:
Cho 1 2, ,... 0na a a > và 1 2 ... 1na a a+ + + = .
Chứng minh: ( )
1 2
1 1 1
1 1 ... 1 1
n
n
n
a a a
   
− − − ≥ − ÷ ÷ ÷
    
.
Bài 2. Cho 0.x y z+ + = Tìm GTNN của biểu thức 3 4 3 4 3 4x y z
P = + + + + +
Nhận xét:
Bài này yêu cầu tìm GTNN nên chúng ta cần đánh giá P m≥ để làm được điều này
chúng ta cần dùng Cauchy đánh giá từ trung bình cộng sang trung bình nhân. Nhưng nếu
không có kinh nghiệm thì học sinh có thể giải như sau:
1
1
1
3 4 2 3.4 2 3
3 4 2 3.4 2 3
3 4 2 3.4 2 3
Cauchy
x x x
Cauchy
y y y
Cauchy
z z z
+
+
+
+ ≥ =
+ ≥ =
+ ≥ =
Cộng vế theo vế: 3 31 1 1 3
2 3 2 3 2 3 3 2 3 3 3 24 3
Cauchy
x y z x y z
P + + + + + +
≥ + + ≥ =
Kết luận GTNN của P là 3
3 24 3 , là sai vì: em học sinh này đã quên mất nếu làm
như vậy thì dấu bằng không xáy ra. Vì em dùng Cauchy mà quên mất kết hợp chọn điểm rơi.
Ở đây ta dự đoán điểm rơi là 0x y z= = = , để có được điều này thì dự đoán dấu bằng xảy ra
phải là 4 4 4 1 0x y z
x y z= = = ⇔ = = = . Từ đó gợi ý chúng ta đánh giá Cauchy như sau:
Hướng dẫn
Cauchy: 4 8
3 4 1 1 1 4 4 4 2.4
x
x x x
+ = + + + ≥ = ,
Tương tự và Cauchy thêm một lần nữa.
KL: GTNN 6 0P x y z= ⇔ = = =
2
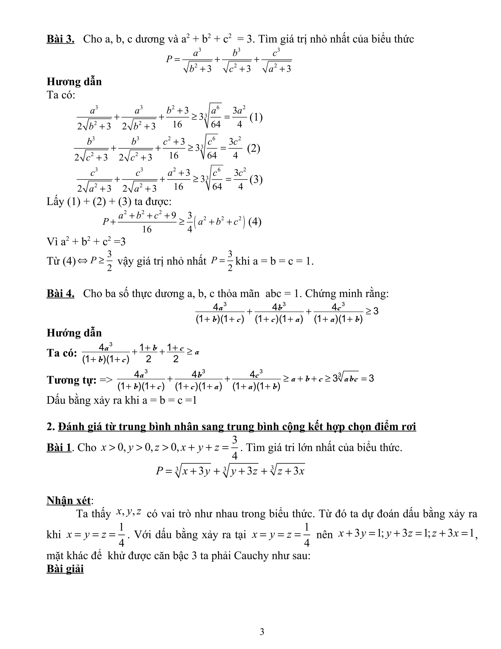
Bài 3. Cho a, b, c dương và a2
+ b2
+ c2
= 3. Tìm giá trị nhỏ nhất của biểu thức
3 3 3
2 2 2
3 3 3
a b c
P
b c a
= + +
+ + +
Hương dẫn
Ta có:
3 3 2 6 2
3
2 2
3 3
3
16 64 42 3 2 3
a a b a a
b b
+
+ + ≥ =
+ +
(1)
3 3 2 6 2
3
2 2
3 3
3
16 64 42 3 2 3
b b c c c
c c
+
+ + ≥ =
+ +
(2)
3 3 2 6 2
3
2 2
3 3
3
16 64 42 3 2 3
c c a c c
a a
+
+ + ≥ =
+ +
(3)
Lấy (1) + (2) + (3) ta được:
( )
2 2 2
2 2 29 3
16 4
a b c
P a b c
+ + +
+ ≥ + + (4)
Vì a2
+ b2
+ c2
=3
Từ (4)
3
2
P⇔ ≥ vậy giá trị nhỏ nhất
3
2
P = khi a = b = c = 1.
Bài 4. Cho ba số thực dương a, b, c thỏa mãn abc = 1. Chứng minh rằng:
3 3 3
4 4 4 3
(1 )(1 ) (1 )(1 ) (1 )(1 )
a b c
b c c a a b
+ + ≥
+ + + + + +
Hướng dẫn
Ta có:
+ ++ + ≥
+ +
3
4 1 1
(1 )(1 ) 2 2
a b c a
b c
Tương tự: => + + ≥ + + ≥ =
+ + + + + +
3 3 3
34 4 4 3 3
(1 )(1 ) (1 )(1 ) (1 )(1 )
a b c a b c abc
b c c a a b
Dấu bằng xảy ra khi a = b = c =1
2. Đánh giá từ trung bình nhân sang trung bình cộng kết hợp chọn điểm rơi
Bài 1. Cho
3
0, 0, 0,
4
x y z x y z> > > + + = . Tìm giá tri lớn nhất của biểu thức.
33 33 3 3P x y y z z x= + + + + +
Nhận xét:
Ta thấy , ,x y z có vai trò như nhau trong biểu thức. Từ đó ta dự đoán dấu bằng xảy ra
khi
1
4
x y z= = = . Với dấu bằng xảy ra tại
1
4
x y z= = = nên 3 1; 3 1; 3 1x y y z z x+ = + = + = ,
mặt khác để khử được căn bậc 3 ta phải Cauchy như sau:
Bài giải
3
( )
( )
( )
3
3
3
3 1 1
3 .1.1 .
3
3 1 1
3 .1.1 .
3
3 1 1
3 .1.1 .
3
Cauchy
Cauchy
Cauchy
x y
x y
y z
y z
z x
z x
+ + +
+ ≤
+ + +
+ ≤
+ + +
+ ≤
Cộng vế theo vế
1
3 ax 3
4
P M P x y z⇒ ≤ ⇒ = ⇔ = = = .
Bài 2. Cho , 0.x y > Tìm GTNN của biểu thức :
( )
3
2
x y
Q
xy
+
= .
Nhận xét:
Ta nên nhớ mục đích là đánh giá Q m≥ nên nhìn vào biểu thức trên ta có hai hướng để
khai thác : Hướng thư nhất : Khai thác tử số dùng cauchy đánh giá về mẫu, hoặc hướng thứ
hai là khai thác mẫu dùng cauchy đánh giá đưa về tử sau đó rút gọn đi đến điều cần chứng
minh. Sau đây tôi khai thác theo hướng hai.
Ta có:
( )( ) ( ) ( ) ( )
3 3
32 1 1 4 2 2 1 4 4
4 2 2
16 16 3 16 3 27
x y y
xy x y y x y x y
+ +   
= ≤ = + = + ÷     
27
4
Q⇒ ≥ . Dấu bằng xảy ra khi 1; 2x y= = .
Chú ý : Biểu thức Q là một biểu thức đồng bậc nên ngoài cách giải trên chúng ta còn có thể
giải bằng phương pháp hàm số, tôi xin trình bày hướng giải này ở phần sau của bài viết này.
Bài 3. Cho a, b, c là ba số dương thoả mãn: a + b + c =
3
4
. Tìm giá trị nhỏ nhất của biểu
thức 3 3 3
1 1 1
3 3 3
P
a b b c c a
= + +
+ + +
Hướng dẫn
Áp dụng Bất đẳng thức Côsi cho ba số dương ta có
zyx
9
z
1
y
1
x
1
9
xyz
3
xyz3
z
1
y
1
x
1
)zyx(
3
3
++
≥++⇒=≥





++++ (*)
Áp dụng (*) ta có 333333
a3cc3bb3a
9
a3c
1
c3b
1
b3a
1
P
+++++
≥
+
+
+
+
+
=
3. Kỹ thuật đổi biến kết hợp Cauchy chọn điểm rơi
Một số bài toán bất đẳng thức mà biểu thức cần chứng minh phức tạp hoặc có thể đưa
về các bất đẳng thức đơn giản hơn bằng cách đặt biến mới, thì ta chọn ngay cách đổi biến để
giải, lớp bài toán này rất thường gặp trong các kỳ thi Đại học – Cao đẳng. Vì cách ra đề thi
thường được xây dựng một bất đẳng thức cần chứng minh dựa trên một bất đẳng thức đã biết
qua một hoặc vài phép đổi biến hoặc vừa đổi biến kết hợp với trượt biến là có ngay bất đẳng
thức mới. Khi đó đòi hỏi người giải phải đổi biến lại để đưa về bất đẳng thức quen thuộc. Sau
đây tôi xin trình bày 2 bài toán mà ở đó phép đổi biến mang lại hiệu quả.
4
Bài 1. Chứng minh
( ) ( ) ( )3 3 3
1 1 1 3
, , 0 1:
2
a b c abc P
a b c b c a c a b
∀ > ∧ = = + + ≥
+ + +
Nhận xét:
Bất đẳng thức trên là hệ quả của bất đẳng thức
2 2 2
, , 0:
2
a b c a b c
a b c
b c c a a b
+ +
∀ > + + ≥
+ + +
qua một phép biến đổi.
Do đó để giải được nhanh gọn bài toán trên ta phải thực hiện phép đổi biến để đưa về bất
đẳng thức nguồn ban đầu.
Đặt
1 1 1
, , 1x y z xyz
a b c
= = = ⇒ = .
Bài toán trở thành chứng minh:
3 3 3 2 2 2
3 3
2 2
x yz y zx z xy x y z
P
y z z x x y y z z x x y
= + + ≥ ⇔ + + ≥
+ + + + + +
Để giải được tiếp tục nhận xét điểm rơi ở bài này là 1x y z= = =
Từ đó ta giải được như sau:
2
2
2
4
4
4
x y z
x
y z
y z x
y
z x
z x y
z
x y
+
+ ≥
+
+
+ ≥
+
+
+ ≥
+
Cộng vế theo vế ta được:
3
2 2
x y z
P
+ +
≥ ≥ dấu bằng xảy ra 1x y z⇔ = = =
Tuy nhiên chúng ta có thể giải bài toán trên bằng cách sau:
Ta có :
( ) ( )
2 2
3 2
1 1
1
1 1
bc a a
b ca b c a b c
bc b c
= = =
++ + +
Tương tự: =>
( ) ( ) ( )
2 2 2
3 3 3
1 1 1
1 1 1
1 1 1 1 1 1
a b c
a b c b c a c a b
b c c a a b
+ + = + +
+ + + + + +
Áp dụng bất đẳng thức Svac_so ta có:
2 2 2
1 1 1 1 1 1
3
1 1 1 1 1 1 2 2
cauchy
a b c a b c
b c c a a b
+ +
+ + ≥ ≥
+ + +
, dấu bằng xảy ra 1x y z⇔ = = =
Bài 2. (Đại học khối A - 2007).
Cho 0, 0, 0, 1.x y z xyz> > > = Tìm GTNN của biểu thức:
5
( ) ( ) ( )2 2 2
2 2 2
x y z y z x z x y
P
y y z z z z x x x x y y
+ + +
= + +
+ + +
Nhận xét :
Nhìn vào biểu thức P trông rất phức tạp nhưng nỗi lên rõ biến đó có liên quan đến
,x x ,y y z z Do vậy để đơn giản hóa ta nên đổi biến đưa về bài toán mới. Mặt khác với
suy nghĩ đổi biến như vậy thì chúng ta cần đánh giá tử số đưa về biến cần đổi và chú ý tới
điểm rơi là 1x y z= = = .
Ta có bài giải như sau:
( )
( )
( )
2
2
2
2
2
2
Cauchy
Cauchy
Cauchy
x y z x x
y z x y y
z x y z z
+ ≥
+ ≥
+ ≥
Đặt 2 , 2 , 2a x x y y b y y z z c z z x x= + = + = +
Suy ra:
4 2 4 2 4 2
, ,
9 9 9
c a b a b c b c a
x x y y z z
+ − + − + −
= = =
Do đó: ( )
2 2
4 6 4.3 3 6 2
9 9
c a b a b c
P
b c a b c a
    
≥ + + + + + − ≥ + − = ÷  ÷ 
    
Vậy 2 1.MinP x y z= ⇔ = = =
Tuy nhiên chúng ta có thể giải bài toán trên bằng cách sau:
( ) ( ) ( )2 2 2
2 2 2
22 2
2 2 2
x y z y z x z x y
P
y y z z z z x x x x y y
y yx x z z
y y z z z z x x x x y y
+ + +
= + + ≥
+ + +
+ +
+ + +
Đặt ; ; 1a x x b y y c z z abc= = = => =
=>
2 2 2
2 2 2 2 2 2 2
P a b c a b c
b c c a a b ab ac bc ba ca cb
≥ + + = + +
+ + + + + +
( )
( )
( )
( )
2
_ 3
1 2
2 3 3
svac so a b c ab bc caP
P
ab bc ca ab bc ca
+ + + +
⇔ ≥ ≥ = => ≥
+ + + +
Bài 3. Cho x, y, z là những số dương thoả mãn xyz = 1. Tìm giá trị nhỏ nhất của biểu thức:
9 9 9 9 9 9
6 3 3 6 6 3 3 6 6 3 3 6
x y y z z x
P
x x y y y y z z z z x x
+ + +
= + +
+ + + + + +
Có x, y, z >0, Đặt : a = x3
, b = y3
, c = z3
(a, b, c >0 ; abc = 1) ta được :
3 3 3 3 3 3
2 2 2 2 2 2
a b b c c a
P
a ab b b bc c c ca a
+ + +
= + +
+ + + + + +
6
3 3 2 2
2 2 2 2
( )
a b a ab b
a b
a ab b a ab b
+ − +
= +
+ + + +
mà
2 2
2 2
1
3
a ab b
a ab b
− +
≥
+ +
(Biến đổi tương đương)
2 2
2 2
1
( ) ( )
3
a ab b
a b a b
a ab b
− +
=> + ≥ +
+ +
Tương tự:
3 3 3 3
2 2 2 2
1 1
( ); ( )
3 3
b c c a
b c c a
b bc c c ca a
+ +
≥ + ≥ +
+ + + +
=> 32
( ) 2. 2
3
P a b c abc≥ + + ≥ = (BĐT Côsi) => P 2, 2 khi a = b = c = 1 x = y = z = 1P≥ = ⇔
Vậy: minP = 2 khi x = y =z =1
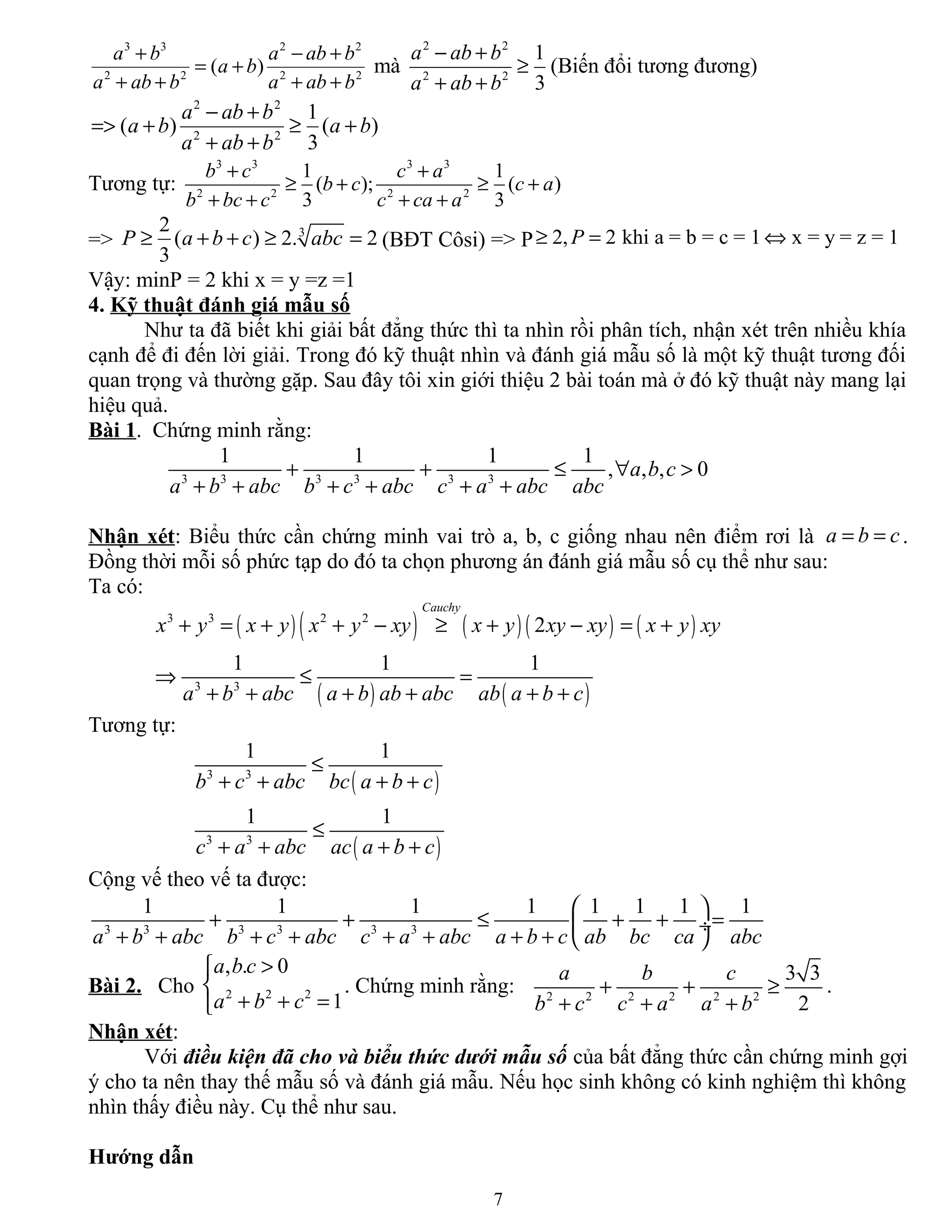
4. Kỹ thuật đánh giá mẫu số
Như ta đã biết khi giải bất đẳng thức thì ta nhìn rồi phân tích, nhận xét trên nhiều khía
cạnh để đi đến lời giải. Trong đó kỹ thuật nhìn và đánh giá mẫu số là một kỹ thuật tương đối
quan trọng và thường gặp. Sau đây tôi xin giới thiệu 2 bài toán mà ở đó kỹ thuật này mang lại
hiệu quả.
Bài 1. Chứng minh rằng:
3 3 3 3 3 3
1 1 1 1
, , , 0a b c
a b abc b c abc c a abc abc
+ + ≤ ∀ >
+ + + + + +
Nhận xét: Biểu thức cần chứng minh vai trò a, b, c giống nhau nên điểm rơi là a b c= = .
Đồng thời mỗi số phức tạp do đó ta chọn phương án đánh giá mẫu số cụ thể như sau:
Ta có:
( )( ) ( ) ( ) ( )
( ) ( )
3 3 2 2
3 3
2
1 1 1
Cauchy
x y x y x y xy x y xy xy x y xy
a b abc a b ab abc ab a b c
+ = + + − ≥ + − = +
⇒ ≤ =
+ + + + + +
Tương tự:
( )
( )
3 3
3 3
1 1
1 1
b c abc bc a b c
c a abc ac a b c
≤
+ + + +
≤
+ + + +
Cộng vế theo vế ta được:
3 3 3 3 3 3
1 1 1 1 1 1 1 1
a b abc b c abc c a abc a b c ab bc ca abc
 
+ + ≤ + + = ÷
+ + + + + + + +  
Bài 2. Cho 2 2 2
, . 0
1
a b c
a b c
>

+ + =
. Chứng minh rằng: 2 2 2 2 2 2
3 3
2
a b c
b c c a a b
+ + ≥
+ + +
.
Nhận xét:
Với điều kiện đã cho và biểu thức dưới mẫu số của bất đẳng thức cần chứng minh gợi
ý cho ta nên thay thế mẫu số và đánh giá mẫu. Nếu học sinh không có kinh nghiệm thì không
nhìn thấy điều này. Cụ thể như sau.
Hướng dẫn
7
( )
2
2 2 2 2
1 1
a a a
b c a a a
= =
+ − −
nhìn vào đích của chúng ta là
3 3
2
và nhìn vào điều kiện
cho ta hướng đi như sau:
Ta cố gắng chứng minh
( )
( ) ( )
2
22 2 2 2
2
3 3 2 4
1 1
2 271 3 3
a
a a a a a
a a
≥ ⇔ − ≤ ⇔ − ≤
−
Thật vậy: ( ) ( )( )
32 2 2
22 2 2 2 21 1 2 1 1 4
1 2 1 1
2 2 3 27
Cauchy
a a a
a a a a a
 + − + −
− = − − ≤ = ÷
 
Tương tự:
( ) ( )
2 2
2 2
2 2
3 3 3 3
;
2 21 1
b c
b c
b b c c
≥ ≥
− −
Cộng các bất đẳng thức vế theo vế ta được: 2 2 2 2 2 2
3 3
2
a b c
b c c a a b
+ + ≥
+ + +
Bài 3. Cho , , 0; 1a b c abc> =
Chứng minh rằng:
1 1 1
1
1 1 1a b b c c a
+ + ≤
+ + + + + +
Hướng dẫn
Ta có : ( ) ( ) ( )( ) ( )
3 3
2 23 33 3 3 3 3 3 3 3
a b a b a b a ab b ab a b+ = + = + − + ≥ +
=> ( ) ( )3 3 3 3 3 3 3 3
1a b ab a b abc ab a b c+ + ≥ + + = + +
=>
( )
3
3 3 3
1
1
c
a b a b c
≤
+ + + +
, tương tự ta có:
1 1 1
1
1 1 1a b b c c a
+ + ≤
+ + + + + +
Dấu bằng xảy ra khi a = b = c = 1.
Bài 4. Cho các số dương , , : 3.a b c ab bc ca+ + =
Chứng minh rằng: 2 2 2
1 1 1 1
.
1 ( ) 1 ( ) 1 ( )a b c b c a c a b abc
+ + ≤
+ + + + + +
Áp dụng BĐT Cauchy cho 3 số dương ta có: 23
3 3 ( ) 1ab bc ca abc abc= + + ≥ ⇒ ≤ .
Suy ra:
2
2
2
1 ( ) ( ) (
1 1
1 ( ) 3
) 3 (1).+ + ≥ + + = + + ⇒ ≤
+ +
=a b c abc a b c a ab b
a b c a
c ca a
Tương tự ta có: 2 2
1 1 1 1
(2), (3).
1 ( ) 3 1 ( ) 3b c a b c a b c
≤ ≤
+ + + +
Cộng (1), (2) và (3) theo vế với vế ta có:
2 2 2
1 1 1 1 1 1 1 1
( )
1 ( ) 1 ( ) 1 ( ) 3 3
ab bc ca
a b c b c a c a b c b c abc abc
+ +
+ + ≤ + + = =
+ + + + + +
W.
Dấu “=” xảy ra khi và chỉ khi 1, 3 1, ( , , 0).abc ab bc ca a b c a b c= + + = ⇒ = = = >
Bài 5.
2 2 2 2 2 2
, , 0: 1
1 1 1 1
:
2 3 2 3 2 3 2
Cho a b c abc
CMR
a b b c c a
> =
+ + ≤
+ + + + + +
8
Hướng dẫn
Ta có: ( )2 2 2 2 2
2 ; 1 2 2 3 2 1a b ab b b a b ab b+ ≥ + ≥ ⇒ + + ≥ + +
( )2 2
1 1
2 3 2 1a b ab b
⇒ ≤
+ + + +
Tương tự =>
2 2 2 2 2 2
1 1 1 1 1 1 1
2 3 2 3 2 3 2 1 1 1a b b c c a ab b bc c ca a
 
+ + ≤ + + ÷
+ + + + + + + + + + + + 
Mặt khác: 2
1 1 1 1
1
1 1 1 1
ab b
ab b bc c ca a ab b ab c abc ab bca ab b
+ + = + + =
+ + + + + + + + + + + +
=> 2 2 2 2 2 2
1 1 1 1
2 3 2 3 2 3 2a b b c c a
+ + ≤
+ + + + + +
1a b c⇔ = = =
Phần 2. MỘT SỐ BÀI TẬP TƯƠNG TỰ
1. Đánh giá từ trung bình cộng sang trung bình nhân kết hợp chọn điểm rơi:
Bài 1: Cho , , :3 3 3 1x y z
x y z − − −
+ + =
Chứng minh rằng :
9 9 9 3 3 3
3 3 3 3 3 3 4
x y z x y z
x y z y x z z x y+ + +
+ +
+ + ≥
+ + +
HD: Đổi biến a=3x
,b=3y
,c=3z
.Tổng sang tích, kết hợp chọn điểm rơi .
Bài 2: Cho , , 0: 1x y z x y z> + + = . Chứng minh :
1 1 1
1 1 1 64
x y z
    
+ + + ≥ ÷ ÷  ÷
    
.
HD:
24
1 1
1
x yzx x x y z
x x x x
+ + + +
+ = = ≥
2. Đánh giá từ trung bình nhân sang trung bình cộng kết hợp chọn điểm rơi
Bài 1: Cho ba số thực , , 0x y z ≥ và 3 3 3
1x y z+ + = .
Tìm giá trị lớn nhất của biểu thức 2 2 2
. .M x yz y zx z xy= + + .
HD: 2 4 3
.x yz x yz x xyz= = , cauchy
Bài 2: Cho , , 0, 3.a b c a b c≥ + + = Tìm giá trị nhỏ nhất của biểu thức : 3 3 3
46A a b c= + + .
HD: Chọn điểm rơi bằng cách :
giả sử : A = 3 3 3 3 3 3 3 3 3 3 3
( ) (46 ) ( ) 4 2a b cα α β β α α α β+ + + + + + + + − − , tìm ,α β .
3. Kỹ thuật đổi biến :
Bài 1:
2 2 2 2 2 2
a 2c c 2b b 2a
3;
ac cb ba
+ + +
+ + ≥ vôùi a, b, c > 0, ab + bc + ca = abc.
(ÑHQGHN-HV Ngaân haøng – D_2000)
9
Bài 2: 3 2 3 2 3 2 2 2 2
2 y2 x 2 x 1 1 1
;
x y y z z x x y z
+ + ≤ + +
+ + +
vôùi x, y, z > 0.(ÑH Noâng nghieäp 1 –
A_2001)
4. Kỹ thuật đánh giá mẫu số:
Bài 1: Chứng minh : 2 2 2
1 1 1
, , , 0
2
a b c
a b c
a bc b ca c ab abc
+ +
+ + ≤ ∀ >
+ + +
.
HD: Ta có :
( )
2
1
1 1 2
2 22
b c
bc
a bc abc abca bc
+
≤ = ≤
+
tương tự cho các biểu thức , cộng vế
CHÚC CÁC EM THÀNH CÔNG
10

Bdt duythao

  • 1.
    MỘT SỐ DẠNGBẤT ĐẲNG THỨC CAUCHY THƯỜNG GẶP Bài viết tháng 12 năm 2011 Thầy giáo Trần Duy Thảo Như các bạn đã biết bất đẳng thức là một vấn đề được giáo viên và học sinh thâm nhập với một lượng thời gian khá nhiều vì đây có thể phát triển khả năng tư duy toán học cho học sinh. Qua tìm hiểu vấn đề này trong quá trình dạy học và đề thi đại học, cao đẳng của các năm tôi thấy hầu hết các bài toán về bất đằng thức trong đề thi đại học, cao đằng chỉ xoay quanh hai lớp bài toán sau: Lớp 1: “Sử dụng bất đẳng thức Cauchy – Bunhiacopxki”, Lớp 2: “Đưa về biến và giải quyết bằng phương pháp hàm số”. Mặc dù đã có rất nhiều phương pháp giải, nhưng bất đẳng thức là một dạng toán khó được xem là một thử thách cho học sinh trong quá trình học tập và thi cử, đặc biệt là kỳ thi Đại học - Cao đẳng. Với hướng khắc phục hạn chế như trên, tôi đã tìm cách hệ thống hóa các kỹ thuật sử dụng bất đẳng thức Cauchy, đặt cho mỗi kỹ thuật một cái tên nhằm giúp học sinh dễ dàng hơn trong tư duy để tìm ra hướng giải, nhằm khơi dậy trí tìm tòi của học sinh trong quá trình tự học, khơi dậy niềm say mê tìm kiếm những cái mới. Dưới đây tôi xin được trao đổi một số kỹ thuật dùng bất đẳng thức Cauchy (thường là những bài toán bất đẳng thức khó, xảy ra trong các kỳ thi học sinh giỏi, thi đại học). Phần 1. Kỹ thuật trong bất đẳng thức Cauchy I. KIẾN THỨC CƠ BẢN 1. Bất đẳng thức Cauchy cho n số không âm: cho n số không âm 1 2, ,...., nx x x Ta có: 1 2 1 2... . ...n n nx x x n x x x+ + + ≥ Dấu bằng xảy ra 1 2 ... nx x x⇔ = = = . 2. Bất đẳng thức Bunhiacopxki: Cho hai bộ ( ) ( )1 2 1 2, ,..., , ,...,n nx x x y y y∧ Ta có: ( ) ( )( )2 2 2 2 2 2 2 1 1 2 2 1 2 1 2. . ... . ... ...n n n nx y x y x y x x x y y y+ + + ≤ + + + + + + Dấu bằng xảy ra 1 2 1 2 ... n n x x x y y y ⇔ = = = . 3. Bất đẳng thức Svac-sơ: ( ) 22 2 2 1 21 2 1 2 1 2 ... ... ... nn n n x x xx x x y y y y y y + + + + + + ≥ + + + với ( )1 2 3, , ,... 0, 2ny y y y n> ≥ Dấu bằng xảy ra khi và chỉ khi : 1 2 1 2 ... .n n x x x y y y = = = II. CÁC KỸ THUẬT TRONG BẤT ĐẲNG THỨC CAUCHY 1. Đánh giá từ trung bình cộng sang trung bình nhân kết hợp chọn điểm rơi Bài 1. Cho 1 2 2011, ,... 0a a a > và 1 2 2011... 1a a a+ + + = . 1
  • 2.
    Chứng minh: 2011 1 22011 1 1 1 1 1 ... 1 2010 a a a     − − − ≥ ÷ ÷ ÷      Nhận xét: Ở bài toán này thuộc lớp bất đẳng thức có điều kiện. Đối với lớp bất đẳng thức này ta thường có 3 hướng khai thác điều kiện như sau: Khai thác điều kiện kết hợp với bất đẳng thức kinh điển để giới hạn miền giá trị của biến hoặc khai thác bằng cách thế vào biểu thức cần chứng minh hoặc dùng điều kiện vào các bước cuối cùng hoặc các bước trung gian của bài toán chứng minh. Ở đây tôi khai thác theo hướng thế vào biểu thức cần chứng minh. Ta có: 2010 2 20111 2 3 2011 1 1 1 2010 ...1 ... Cauchy a aa a a a a a a − + + + = ≥ Tương tự cho 1 2011 1 1 1 ;...; 1 a a    − − ÷ ÷     Nhân vế theo vế các bất đẳng thức ta được điều phải chứng minh. Dấu bằng xảy ra 1 2 2011 1 ... 2011 a a a⇔ = = = = Chúng ta có thể tổng quát bài toán như sau: Cho 1 2, ,... 0na a a > và 1 2 ... 1na a a+ + + = . Chứng minh: ( ) 1 2 1 1 1 1 1 ... 1 1 n n n a a a     − − − ≥ − ÷ ÷ ÷      . Bài 2. Cho 0.x y z+ + = Tìm GTNN của biểu thức 3 4 3 4 3 4x y z P = + + + + + Nhận xét: Bài này yêu cầu tìm GTNN nên chúng ta cần đánh giá P m≥ để làm được điều này chúng ta cần dùng Cauchy đánh giá từ trung bình cộng sang trung bình nhân. Nhưng nếu không có kinh nghiệm thì học sinh có thể giải như sau: 1 1 1 3 4 2 3.4 2 3 3 4 2 3.4 2 3 3 4 2 3.4 2 3 Cauchy x x x Cauchy y y y Cauchy z z z + + + + ≥ = + ≥ = + ≥ = Cộng vế theo vế: 3 31 1 1 3 2 3 2 3 2 3 3 2 3 3 3 24 3 Cauchy x y z x y z P + + + + + + ≥ + + ≥ = Kết luận GTNN của P là 3 3 24 3 , là sai vì: em học sinh này đã quên mất nếu làm như vậy thì dấu bằng không xáy ra. Vì em dùng Cauchy mà quên mất kết hợp chọn điểm rơi. Ở đây ta dự đoán điểm rơi là 0x y z= = = , để có được điều này thì dự đoán dấu bằng xảy ra phải là 4 4 4 1 0x y z x y z= = = ⇔ = = = . Từ đó gợi ý chúng ta đánh giá Cauchy như sau: Hướng dẫn Cauchy: 4 8 3 4 1 1 1 4 4 4 2.4 x x x x + = + + + ≥ = , Tương tự và Cauchy thêm một lần nữa. KL: GTNN 6 0P x y z= ⇔ = = = 2
  • 3.
    Bài 3. Choa, b, c dương và a2 + b2 + c2 = 3. Tìm giá trị nhỏ nhất của biểu thức 3 3 3 2 2 2 3 3 3 a b c P b c a = + + + + + Hương dẫn Ta có: 3 3 2 6 2 3 2 2 3 3 3 16 64 42 3 2 3 a a b a a b b + + + ≥ = + + (1) 3 3 2 6 2 3 2 2 3 3 3 16 64 42 3 2 3 b b c c c c c + + + ≥ = + + (2) 3 3 2 6 2 3 2 2 3 3 3 16 64 42 3 2 3 c c a c c a a + + + ≥ = + + (3) Lấy (1) + (2) + (3) ta được: ( ) 2 2 2 2 2 29 3 16 4 a b c P a b c + + + + ≥ + + (4) Vì a2 + b2 + c2 =3 Từ (4) 3 2 P⇔ ≥ vậy giá trị nhỏ nhất 3 2 P = khi a = b = c = 1. Bài 4. Cho ba số thực dương a, b, c thỏa mãn abc = 1. Chứng minh rằng: 3 3 3 4 4 4 3 (1 )(1 ) (1 )(1 ) (1 )(1 ) a b c b c c a a b + + ≥ + + + + + + Hướng dẫn Ta có: + ++ + ≥ + + 3 4 1 1 (1 )(1 ) 2 2 a b c a b c Tương tự: => + + ≥ + + ≥ = + + + + + + 3 3 3 34 4 4 3 3 (1 )(1 ) (1 )(1 ) (1 )(1 ) a b c a b c abc b c c a a b Dấu bằng xảy ra khi a = b = c =1 2. Đánh giá từ trung bình nhân sang trung bình cộng kết hợp chọn điểm rơi Bài 1. Cho 3 0, 0, 0, 4 x y z x y z> > > + + = . Tìm giá tri lớn nhất của biểu thức. 33 33 3 3P x y y z z x= + + + + + Nhận xét: Ta thấy , ,x y z có vai trò như nhau trong biểu thức. Từ đó ta dự đoán dấu bằng xảy ra khi 1 4 x y z= = = . Với dấu bằng xảy ra tại 1 4 x y z= = = nên 3 1; 3 1; 3 1x y y z z x+ = + = + = , mặt khác để khử được căn bậc 3 ta phải Cauchy như sau: Bài giải 3
  • 4.
    ( ) ( ) () 3 3 3 3 1 1 3 .1.1 . 3 3 1 1 3 .1.1 . 3 3 1 1 3 .1.1 . 3 Cauchy Cauchy Cauchy x y x y y z y z z x z x + + + + ≤ + + + + ≤ + + + + ≤ Cộng vế theo vế 1 3 ax 3 4 P M P x y z⇒ ≤ ⇒ = ⇔ = = = . Bài 2. Cho , 0.x y > Tìm GTNN của biểu thức : ( ) 3 2 x y Q xy + = . Nhận xét: Ta nên nhớ mục đích là đánh giá Q m≥ nên nhìn vào biểu thức trên ta có hai hướng để khai thác : Hướng thư nhất : Khai thác tử số dùng cauchy đánh giá về mẫu, hoặc hướng thứ hai là khai thác mẫu dùng cauchy đánh giá đưa về tử sau đó rút gọn đi đến điều cần chứng minh. Sau đây tôi khai thác theo hướng hai. Ta có: ( )( ) ( ) ( ) ( ) 3 3 32 1 1 4 2 2 1 4 4 4 2 2 16 16 3 16 3 27 x y y xy x y y x y x y + +    = ≤ = + = + ÷      27 4 Q⇒ ≥ . Dấu bằng xảy ra khi 1; 2x y= = . Chú ý : Biểu thức Q là một biểu thức đồng bậc nên ngoài cách giải trên chúng ta còn có thể giải bằng phương pháp hàm số, tôi xin trình bày hướng giải này ở phần sau của bài viết này. Bài 3. Cho a, b, c là ba số dương thoả mãn: a + b + c = 3 4 . Tìm giá trị nhỏ nhất của biểu thức 3 3 3 1 1 1 3 3 3 P a b b c c a = + + + + + Hướng dẫn Áp dụng Bất đẳng thức Côsi cho ba số dương ta có zyx 9 z 1 y 1 x 1 9 xyz 3 xyz3 z 1 y 1 x 1 )zyx( 3 3 ++ ≥++⇒=≥      ++++ (*) Áp dụng (*) ta có 333333 a3cc3bb3a 9 a3c 1 c3b 1 b3a 1 P +++++ ≥ + + + + + = 3. Kỹ thuật đổi biến kết hợp Cauchy chọn điểm rơi Một số bài toán bất đẳng thức mà biểu thức cần chứng minh phức tạp hoặc có thể đưa về các bất đẳng thức đơn giản hơn bằng cách đặt biến mới, thì ta chọn ngay cách đổi biến để giải, lớp bài toán này rất thường gặp trong các kỳ thi Đại học – Cao đẳng. Vì cách ra đề thi thường được xây dựng một bất đẳng thức cần chứng minh dựa trên một bất đẳng thức đã biết qua một hoặc vài phép đổi biến hoặc vừa đổi biến kết hợp với trượt biến là có ngay bất đẳng thức mới. Khi đó đòi hỏi người giải phải đổi biến lại để đưa về bất đẳng thức quen thuộc. Sau đây tôi xin trình bày 2 bài toán mà ở đó phép đổi biến mang lại hiệu quả. 4
  • 5.
    Bài 1. Chứngminh ( ) ( ) ( )3 3 3 1 1 1 3 , , 0 1: 2 a b c abc P a b c b c a c a b ∀ > ∧ = = + + ≥ + + + Nhận xét: Bất đẳng thức trên là hệ quả của bất đẳng thức 2 2 2 , , 0: 2 a b c a b c a b c b c c a a b + + ∀ > + + ≥ + + + qua một phép biến đổi. Do đó để giải được nhanh gọn bài toán trên ta phải thực hiện phép đổi biến để đưa về bất đẳng thức nguồn ban đầu. Đặt 1 1 1 , , 1x y z xyz a b c = = = ⇒ = . Bài toán trở thành chứng minh: 3 3 3 2 2 2 3 3 2 2 x yz y zx z xy x y z P y z z x x y y z z x x y = + + ≥ ⇔ + + ≥ + + + + + + Để giải được tiếp tục nhận xét điểm rơi ở bài này là 1x y z= = = Từ đó ta giải được như sau: 2 2 2 4 4 4 x y z x y z y z x y z x z x y z x y + + ≥ + + + ≥ + + + ≥ + Cộng vế theo vế ta được: 3 2 2 x y z P + + ≥ ≥ dấu bằng xảy ra 1x y z⇔ = = = Tuy nhiên chúng ta có thể giải bài toán trên bằng cách sau: Ta có : ( ) ( ) 2 2 3 2 1 1 1 1 1 bc a a b ca b c a b c bc b c = = = ++ + + Tương tự: => ( ) ( ) ( ) 2 2 2 3 3 3 1 1 1 1 1 1 1 1 1 1 1 1 a b c a b c b c a c a b b c c a a b + + = + + + + + + + + Áp dụng bất đẳng thức Svac_so ta có: 2 2 2 1 1 1 1 1 1 3 1 1 1 1 1 1 2 2 cauchy a b c a b c b c c a a b + + + + ≥ ≥ + + + , dấu bằng xảy ra 1x y z⇔ = = = Bài 2. (Đại học khối A - 2007). Cho 0, 0, 0, 1.x y z xyz> > > = Tìm GTNN của biểu thức: 5
  • 6.
    ( ) () ( )2 2 2 2 2 2 x y z y z x z x y P y y z z z z x x x x y y + + + = + + + + + Nhận xét : Nhìn vào biểu thức P trông rất phức tạp nhưng nỗi lên rõ biến đó có liên quan đến ,x x ,y y z z Do vậy để đơn giản hóa ta nên đổi biến đưa về bài toán mới. Mặt khác với suy nghĩ đổi biến như vậy thì chúng ta cần đánh giá tử số đưa về biến cần đổi và chú ý tới điểm rơi là 1x y z= = = . Ta có bài giải như sau: ( ) ( ) ( ) 2 2 2 2 2 2 Cauchy Cauchy Cauchy x y z x x y z x y y z x y z z + ≥ + ≥ + ≥ Đặt 2 , 2 , 2a x x y y b y y z z c z z x x= + = + = + Suy ra: 4 2 4 2 4 2 , , 9 9 9 c a b a b c b c a x x y y z z + − + − + − = = = Do đó: ( ) 2 2 4 6 4.3 3 6 2 9 9 c a b a b c P b c a b c a      ≥ + + + + + − ≥ + − = ÷  ÷       Vậy 2 1.MinP x y z= ⇔ = = = Tuy nhiên chúng ta có thể giải bài toán trên bằng cách sau: ( ) ( ) ( )2 2 2 2 2 2 22 2 2 2 2 x y z y z x z x y P y y z z z z x x x x y y y yx x z z y y z z z z x x x x y y + + + = + + ≥ + + + + + + + + Đặt ; ; 1a x x b y y c z z abc= = = => = => 2 2 2 2 2 2 2 2 2 2 P a b c a b c b c c a a b ab ac bc ba ca cb ≥ + + = + + + + + + + + ( ) ( ) ( ) ( ) 2 _ 3 1 2 2 3 3 svac so a b c ab bc caP P ab bc ca ab bc ca + + + + ⇔ ≥ ≥ = => ≥ + + + + Bài 3. Cho x, y, z là những số dương thoả mãn xyz = 1. Tìm giá trị nhỏ nhất của biểu thức: 9 9 9 9 9 9 6 3 3 6 6 3 3 6 6 3 3 6 x y y z z x P x x y y y y z z z z x x + + + = + + + + + + + + Có x, y, z >0, Đặt : a = x3 , b = y3 , c = z3 (a, b, c >0 ; abc = 1) ta được : 3 3 3 3 3 3 2 2 2 2 2 2 a b b c c a P a ab b b bc c c ca a + + + = + + + + + + + + 6
  • 7.
    3 3 22 2 2 2 2 ( ) a b a ab b a b a ab b a ab b + − + = + + + + + mà 2 2 2 2 1 3 a ab b a ab b − + ≥ + + (Biến đổi tương đương) 2 2 2 2 1 ( ) ( ) 3 a ab b a b a b a ab b − + => + ≥ + + + Tương tự: 3 3 3 3 2 2 2 2 1 1 ( ); ( ) 3 3 b c c a b c c a b bc c c ca a + + ≥ + ≥ + + + + + => 32 ( ) 2. 2 3 P a b c abc≥ + + ≥ = (BĐT Côsi) => P 2, 2 khi a = b = c = 1 x = y = z = 1P≥ = ⇔ Vậy: minP = 2 khi x = y =z =1 4. Kỹ thuật đánh giá mẫu số Như ta đã biết khi giải bất đẳng thức thì ta nhìn rồi phân tích, nhận xét trên nhiều khía cạnh để đi đến lời giải. Trong đó kỹ thuật nhìn và đánh giá mẫu số là một kỹ thuật tương đối quan trọng và thường gặp. Sau đây tôi xin giới thiệu 2 bài toán mà ở đó kỹ thuật này mang lại hiệu quả. Bài 1. Chứng minh rằng: 3 3 3 3 3 3 1 1 1 1 , , , 0a b c a b abc b c abc c a abc abc + + ≤ ∀ > + + + + + + Nhận xét: Biểu thức cần chứng minh vai trò a, b, c giống nhau nên điểm rơi là a b c= = . Đồng thời mỗi số phức tạp do đó ta chọn phương án đánh giá mẫu số cụ thể như sau: Ta có: ( )( ) ( ) ( ) ( ) ( ) ( ) 3 3 2 2 3 3 2 1 1 1 Cauchy x y x y x y xy x y xy xy x y xy a b abc a b ab abc ab a b c + = + + − ≥ + − = + ⇒ ≤ = + + + + + + Tương tự: ( ) ( ) 3 3 3 3 1 1 1 1 b c abc bc a b c c a abc ac a b c ≤ + + + + ≤ + + + + Cộng vế theo vế ta được: 3 3 3 3 3 3 1 1 1 1 1 1 1 1 a b abc b c abc c a abc a b c ab bc ca abc   + + ≤ + + = ÷ + + + + + + + +   Bài 2. Cho 2 2 2 , . 0 1 a b c a b c >  + + = . Chứng minh rằng: 2 2 2 2 2 2 3 3 2 a b c b c c a a b + + ≥ + + + . Nhận xét: Với điều kiện đã cho và biểu thức dưới mẫu số của bất đẳng thức cần chứng minh gợi ý cho ta nên thay thế mẫu số và đánh giá mẫu. Nếu học sinh không có kinh nghiệm thì không nhìn thấy điều này. Cụ thể như sau. Hướng dẫn 7
  • 8.
    ( ) 2 2 22 2 1 1 a a a b c a a a = = + − − nhìn vào đích của chúng ta là 3 3 2 và nhìn vào điều kiện cho ta hướng đi như sau: Ta cố gắng chứng minh ( ) ( ) ( ) 2 22 2 2 2 2 3 3 2 4 1 1 2 271 3 3 a a a a a a a a ≥ ⇔ − ≤ ⇔ − ≤ − Thật vậy: ( ) ( )( ) 32 2 2 22 2 2 2 21 1 2 1 1 4 1 2 1 1 2 2 3 27 Cauchy a a a a a a a a  + − + − − = − − ≤ = ÷   Tương tự: ( ) ( ) 2 2 2 2 2 2 3 3 3 3 ; 2 21 1 b c b c b b c c ≥ ≥ − − Cộng các bất đẳng thức vế theo vế ta được: 2 2 2 2 2 2 3 3 2 a b c b c c a a b + + ≥ + + + Bài 3. Cho , , 0; 1a b c abc> = Chứng minh rằng: 1 1 1 1 1 1 1a b b c c a + + ≤ + + + + + + Hướng dẫn Ta có : ( ) ( ) ( )( ) ( ) 3 3 2 23 33 3 3 3 3 3 3 3 a b a b a b a ab b ab a b+ = + = + − + ≥ + => ( ) ( )3 3 3 3 3 3 3 3 1a b ab a b abc ab a b c+ + ≥ + + = + + => ( ) 3 3 3 3 1 1 c a b a b c ≤ + + + + , tương tự ta có: 1 1 1 1 1 1 1a b b c c a + + ≤ + + + + + + Dấu bằng xảy ra khi a = b = c = 1. Bài 4. Cho các số dương , , : 3.a b c ab bc ca+ + = Chứng minh rằng: 2 2 2 1 1 1 1 . 1 ( ) 1 ( ) 1 ( )a b c b c a c a b abc + + ≤ + + + + + + Áp dụng BĐT Cauchy cho 3 số dương ta có: 23 3 3 ( ) 1ab bc ca abc abc= + + ≥ ⇒ ≤ . Suy ra: 2 2 2 1 ( ) ( ) ( 1 1 1 ( ) 3 ) 3 (1).+ + ≥ + + = + + ⇒ ≤ + + =a b c abc a b c a ab b a b c a c ca a Tương tự ta có: 2 2 1 1 1 1 (2), (3). 1 ( ) 3 1 ( ) 3b c a b c a b c ≤ ≤ + + + + Cộng (1), (2) và (3) theo vế với vế ta có: 2 2 2 1 1 1 1 1 1 1 1 ( ) 1 ( ) 1 ( ) 1 ( ) 3 3 ab bc ca a b c b c a c a b c b c abc abc + + + + ≤ + + = = + + + + + + W. Dấu “=” xảy ra khi và chỉ khi 1, 3 1, ( , , 0).abc ab bc ca a b c a b c= + + = ⇒ = = = > Bài 5. 2 2 2 2 2 2 , , 0: 1 1 1 1 1 : 2 3 2 3 2 3 2 Cho a b c abc CMR a b b c c a > = + + ≤ + + + + + + 8
  • 9.
    Hướng dẫn Ta có:( )2 2 2 2 2 2 ; 1 2 2 3 2 1a b ab b b a b ab b+ ≥ + ≥ ⇒ + + ≥ + + ( )2 2 1 1 2 3 2 1a b ab b ⇒ ≤ + + + + Tương tự => 2 2 2 2 2 2 1 1 1 1 1 1 1 2 3 2 3 2 3 2 1 1 1a b b c c a ab b bc c ca a   + + ≤ + + ÷ + + + + + + + + + + + +  Mặt khác: 2 1 1 1 1 1 1 1 1 1 ab b ab b bc c ca a ab b ab c abc ab bca ab b + + = + + = + + + + + + + + + + + + => 2 2 2 2 2 2 1 1 1 1 2 3 2 3 2 3 2a b b c c a + + ≤ + + + + + + 1a b c⇔ = = = Phần 2. MỘT SỐ BÀI TẬP TƯƠNG TỰ 1. Đánh giá từ trung bình cộng sang trung bình nhân kết hợp chọn điểm rơi: Bài 1: Cho , , :3 3 3 1x y z x y z − − − + + = Chứng minh rằng : 9 9 9 3 3 3 3 3 3 3 3 3 4 x y z x y z x y z y x z z x y+ + + + + + + ≥ + + + HD: Đổi biến a=3x ,b=3y ,c=3z .Tổng sang tích, kết hợp chọn điểm rơi . Bài 2: Cho , , 0: 1x y z x y z> + + = . Chứng minh : 1 1 1 1 1 1 64 x y z      + + + ≥ ÷ ÷  ÷      . HD: 24 1 1 1 x yzx x x y z x x x x + + + + + = = ≥ 2. Đánh giá từ trung bình nhân sang trung bình cộng kết hợp chọn điểm rơi Bài 1: Cho ba số thực , , 0x y z ≥ và 3 3 3 1x y z+ + = . Tìm giá trị lớn nhất của biểu thức 2 2 2 . .M x yz y zx z xy= + + . HD: 2 4 3 .x yz x yz x xyz= = , cauchy Bài 2: Cho , , 0, 3.a b c a b c≥ + + = Tìm giá trị nhỏ nhất của biểu thức : 3 3 3 46A a b c= + + . HD: Chọn điểm rơi bằng cách : giả sử : A = 3 3 3 3 3 3 3 3 3 3 3 ( ) (46 ) ( ) 4 2a b cα α β β α α α β+ + + + + + + + − − , tìm ,α β . 3. Kỹ thuật đổi biến : Bài 1: 2 2 2 2 2 2 a 2c c 2b b 2a 3; ac cb ba + + + + + ≥ vôùi a, b, c > 0, ab + bc + ca = abc. (ÑHQGHN-HV Ngaân haøng – D_2000) 9
  • 10.
    Bài 2: 32 3 2 3 2 2 2 2 2 y2 x 2 x 1 1 1 ; x y y z z x x y z + + ≤ + + + + + vôùi x, y, z > 0.(ÑH Noâng nghieäp 1 – A_2001) 4. Kỹ thuật đánh giá mẫu số: Bài 1: Chứng minh : 2 2 2 1 1 1 , , , 0 2 a b c a b c a bc b ca c ab abc + + + + ≤ ∀ > + + + . HD: Ta có : ( ) 2 1 1 1 2 2 22 b c bc a bc abc abca bc + ≤ = ≤ + tương tự cho các biểu thức , cộng vế CHÚC CÁC EM THÀNH CÔNG 10