Hello, I’m

Dave
@/+pragdave


              2
Hello, I’m
a Ruby
Programmer
              3
Hello, I’m

Agile
             4
Hello, I’m

Dave
Hello, I’m
a Ruby
Programmer
 Hello, I’m
              Labels
 Agile
Labels
Hello, I’m

Agile
             7
Hello, I’m
Using index
   cards
Hello, I’m
Using index
   cards
      Hello, I’m
    Having stand-
     up meetings
Hello, I’m
                    Hello, I’m
Using index
                    Doing unit
   cards
                     testing
      Hello, I’m
    Having stand-
     up meetings
Hello, I’m
                        Hello, I’m
Using index
                        Doing unit
   cards
                         testing
      Hello, I’m
    Having stand-
     up meetings
           Hello, I’m
          Refactoring
Hello, I’m
                        Hello, I’m
Using index
                        Doing unit
   cards
                          testing
      Hello, I’m
    Having stand-      Hello, I’m
     up meetings         Using
           Hello, I’m Cucumber!!!
          Refactoring
Why?


Because that is what
the Agile Experts tell
me to do


                         9
That is not agile…
Hello, I’m
                       Hello, I’m
Using index
                       Doing unit
   cards
                        testing
     Hello, I’m
                   Hello, I’m
     That is sticking RSpec!!!
   Having stand-
                 Using
    up meetings
     labels on yourself
        Hello, I’m
         Refactoring
Hello, I’m
a Ruby
Programmer
              12
I need to write a
web application



                    13
y !
I need to write a
   b
  u
web application
R
                    13
I need automate
all my work



                  14
y !
I need automate
   b
  u
all my work
R
                  14
I need to do what is
best for my customer



                       15
y !
I need to do what is
   b
  u
best for my customer
R
                       15
I need world peace




                     16
y !
I need world peace
   b
R u
                     16
Ru
       by
            !




17
Ru
       by
            !




17
Ru
       by
            !




17
Hello, I’m
a Ruby
Programmer
              18
Which means…




               19
Which means…


•   I know:




                             19
Which means…


•   I know:

    •   all 90 built-in classes and modules, and/or




                                                      19
Which means…


•   I know:

    •   all 90 built-in classes and modules, and/or

    •   all 143,797 Rails methods, and/or




                                                      19
Which means…


•   I know:

    •   all 90 built-in classes and modules, and/or

    •   all 143,797 Rails methods, and/or

    •   I’ve written my own testing framework



                                                      19
Which means…


•   I know:

    •   all 90 built-in classes and modules, and/or

    •   all 143,797 Rails methods, and/or

    •   I’ve written my own testing framework



                                                      19
That is not a
Ruby Programmer
That is pouring
facts into your brain
Hello, I’m    Hello, I’m
a Ruby
Programmer    Agile

     The Problem?
Hello, I’m   Hello, I’m
a Ruby
Programmer   Agile

Labels are static
Hello, I’m   Hello, I’m
a Ruby
Programmer   Agile

   No Awareness
Hello, I’m
                       Hello, I’m
Using index
                       Doing unit
   cards
                        testing
     Hello, I’m
                     Hello, I’m
   Having stand-
                   Using RSpec!!!
    up meetings
          Hello, I’m
         Refactoring
That is not Agile




                    26
That is not Agile


This is Agility…




                    26
http://www.geology.smu.edu/~dpa-www/robo/nbot/nbot_gravel_1.mpg
t
                                            de(t)
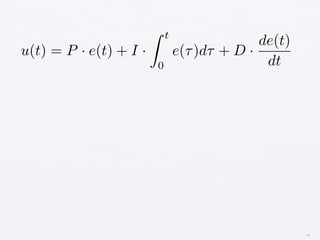
u(t) = P · e(t) + I ·           e( )d + D ·
                        0                    dt




                                                    28
t
                                            de(t)
u(t) = P · e(t) + I ·           e( )d + D ·
                        0                    dt

      Proportional
                 Integral
                                   Derivative

                                                    29
t
                                             de(t)
u(t) = P · e(t) + I ·            e( )d + D ·
                         0                    dt


fix   =   current +      history        +   future
         error                             trend
fix   =   current +   history   +   future
         error                     trend



         what        “don’t        how
         to do        panic”       urgent
A. Where do we want to be?

B. Where are we?

C. How do we improve our position?




                                     32
A.   Where do we want to be?
B.   Where are we?
C.   How do we improve our position?




                                       33
A.   Where do we want to be?
          B.   Where are we?
          C.   How do we improve our position?




This is Agility


                                                 33
A.   Where do we want to be?
        B.   Where are we?
        C.   How do we improve our position?




This is Agility
There is no more

                                               33
Hello, I’m
a Ruby
Programmer
              34
Hello, I’m
a Ruby
Programmer
              34
Instead…




           35
Instead…


•   I like to solve people’s problems




                                        35
Instead…


•   I like to solve people’s problems

•   I know how to use computers to do this




                                             35
Instead…


•   I like to solve people’s problems

•   I know how to use computers to do this

•   One of my (many) tools is the Ruby language




                                                  35
Instead…


•   I like to solve people’s problems

•   I know how to use computers to do this

•   One of my (many) tools is the Ruby language

•   I practice Ruby-do



                                                  35
Ruby-do?




           36
Ruby-do



Object-orientation is not the only
way to program




                                     37
Ruby-do



Sequential code is not the only way
to program




                                      38
Ruby-do




“Good” code is not the only code




                                   39
Ruby-do




          40
Ruby-do


Ruby is not the best programming
language




                                   40
Ruby-do


Ruby is not the best programming
language
(there is no “best” programming
language)



                                   40
Ruby-do


for item in items   items.each do |item|
  process(item)       process(item)
end                 end




                                       41
Ruby-do


name = “Dave”      name     = “Dave”
location = “TX”    location = “TX”
likes = “code”     likes    = “code”




                                       42
1.   Que0X said

     February 21, 2008 at 13:04
     got your point !, could you please explain advantage of learning
     ruby over python? python already have a huge library from web to
     Academia , while Ruby looks focusing on web stuff if i may tell !
     what do you think ?

2.   Akitaonrails said

     February 21, 2008 at 14:52
     @que0x I say you should learn both. period. no reason to learn
     just 1.




                                             http://webmat.wordpress.com/2008/02/20/do-not-learn-ruby/
Ruby-do


•   Do you practice?




                       44
Ruby-do

•   Confidence comes from practice,
    not knowledge

•   Constantly look for ways to practice




                                           45
Because then…

•   Distrust experts

•   Distrust “best practices”

•   Distrust labels




                                46
A Label Freezes You

  A Label Defines You

A Label Makes You Simple
Don’t Label Yourself



You are what you do



                        48
Don’t Label Yourself



You are what you do



                        48
Be a VERB

not a NOUN




             49
Do Good!




           50

Asakusa ruby

Editor's Notes