Embed presentation
Download to read offline



























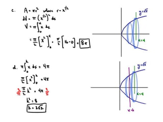
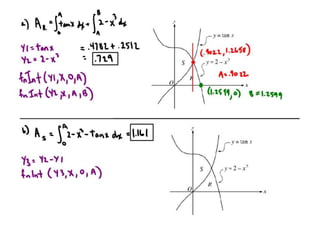
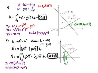
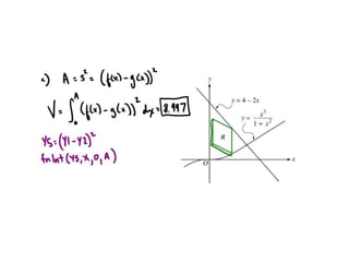
This document outlines the structure of an AP Calculus AB exam, with 9 problems testing students' understanding of area and volume through free response questions. Some problems allow the use of calculators while others are non-calculator to challenge students' mathematical reasoning and problem solving abilities in different ways.


























