Embed presentation
Download to read offline







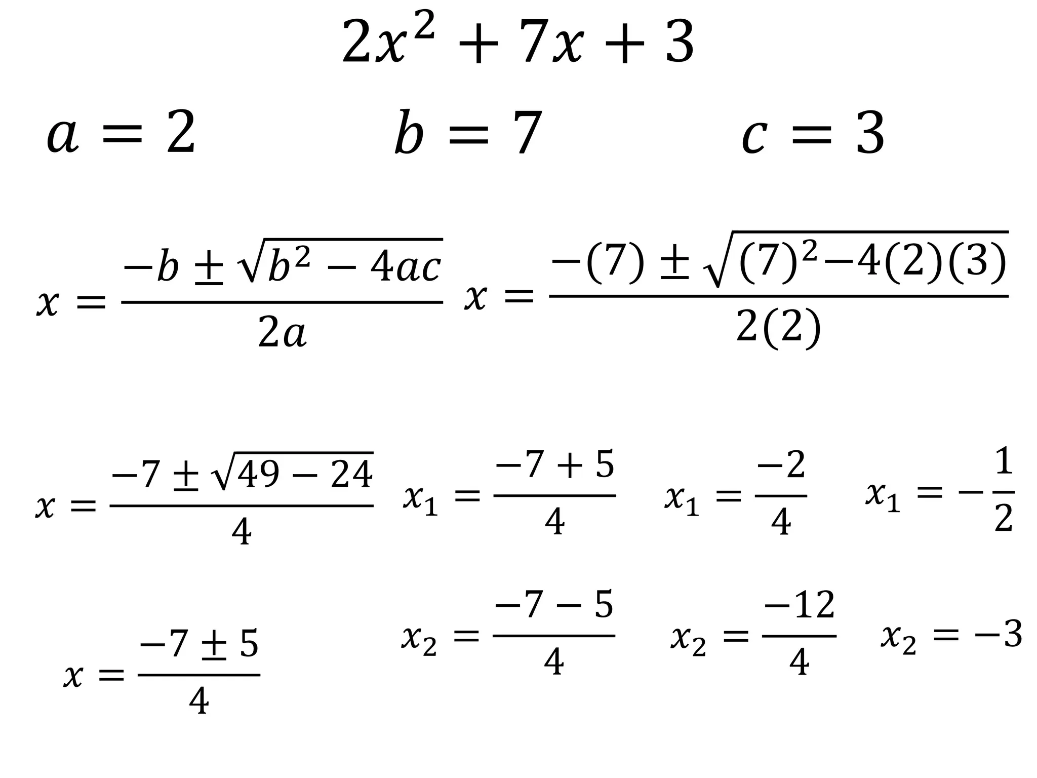
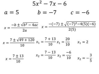
The document contains solutions to 6 quadratic equations in standard form (ax^2 + bx + c = 0). Each equation is solved by applying the quadratic formula (x = (-b ± sqrt(b^2 - 4ac)) / 2a) and simplifying the results. The solutions are presented as x1 and x2 values for each equation. However, the document does not provide the actual coefficient values (a, b, c) for the last 3 equations, showing them as placeholders instead.






