Embed presentation
Download as PDF, PPTX








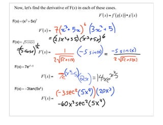
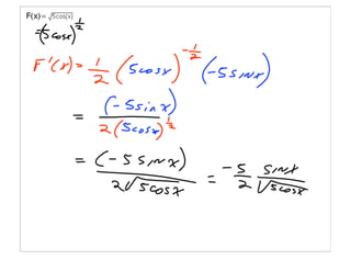
The document discusses the chain rule for finding derivatives of composite functions. It states that if a function F(x) is the composition of two differentiable functions g(x) and f(x), where F(x) = f(g(x)), then the derivative of F(x) can be found using the chain rule. It provides examples of applying the chain rule to find the derivative of various composite functions by identifying the inner and outer functions.






