Embed presentation
Download as PDF, PPTX






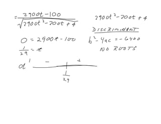
The document presents mathematical optimization problems involving geometry and motion. It includes scenarios such as designing a rain gutter for maximum capacity, determining the closest approach and minimum distance between two cars traveling at different speeds, and maximizing the volume of a right circular cylinder inscribed in a cone. These problems require knowledge of calculus and geometric principles to solve.




