Download free for 30 days
Sign in
Upload
Language (EN)
Support
Business
Mobile
Social Media
Marketing
Technology
Art & Photos
Career
Design
Education
Presentations & Public Speaking
Government & Nonprofit
Healthcare
Internet
Law
Leadership & Management
Automotive
Engineering
Software
Recruiting & HR
Retail
Sales
Services
Science
Small Business & Entrepreneurship
Food
Environment
Economy & Finance
Data & Analytics
Investor Relations
Sports
Spiritual
News & Politics
Travel
Self Improvement
Real Estate
Entertainment & Humor
Health & Medicine
Devices & Hardware
Lifestyle
Change Language
Language
English
Español
Português
Français
Deutsche
Cancel
Save
Submit search
EN
Uploaded by
Darren Kuropatwa
307 views
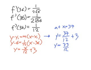
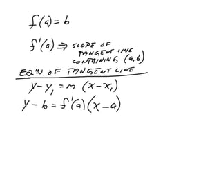
AP Calculus Slides November 19, 2007
Linear approximations and Newton's Method.
Education
◦
Technology
◦
Read more
0
Save
Share
Embed
Embed presentation
Download
Download to read offline
1
/ 5
2
/ 5
3
/ 5
4
/ 5
5
/ 5
More Related Content
PPT
WS2008
by
alchartres
PDF
Pensar en las personas: experiencia de usuario en proyectos web
by
Daniel Torres Burriel
PPT
weqwe
by
seta002
PPT
Comida Mala
by
dondado
PDF
Hijos Del áTomo
by
robroy
PDF
Ramasetu1dec2007
by
guest0584dc
PPT
Montrealrevolt1
by
lmiall
PPT
Fraternidadfabricio
by
guestc17d27
WS2008
by
alchartres
Pensar en las personas: experiencia de usuario en proyectos web
by
Daniel Torres Burriel
weqwe
by
seta002
Comida Mala
by
dondado
Hijos Del áTomo
by
robroy
Ramasetu1dec2007
by
guest0584dc
Montrealrevolt1
by
lmiall
Fraternidadfabricio
by
guestc17d27
More from Darren Kuropatwa
PDF
Behind Their Eyes v1
by
Darren Kuropatwa
PDF
Leading Change v1
by
Darren Kuropatwa
PDF
Providing Permission To Wonder v2.1
by
Darren Kuropatwa
PDF
Things That Suck About Digital Citizenship v1
by
Darren Kuropatwa
PDF
Digital Storytelling for Deeper Learning v1
by
Darren Kuropatwa
PDF
Tales of Learning and the Gifts of Footprints v4.2
by
Darren Kuropatwa
PDF
The Fourth Screen v4.2
by
Darren Kuropatwa
PDF
Making Student Thinking Visible v4
by
Darren Kuropatwa
PDF
Learning is at BYTE 2017
by
Darren Kuropatwa
PDF
Leveraging Digital for Deeper Learning
by
Darren Kuropatwa
PDF
We Learn Through Stories at PRIZMAH17
by
Darren Kuropatwa
PDF
Providing Permission to Wonder v3
by
Darren Kuropatwa
PDF
The Fourth Screen v4.1
by
Darren Kuropatwa
PDF
Making Student Thinking Visible v3.7
by
Darren Kuropatwa
PDF
Learning is at AUHSD
by
Darren Kuropatwa
PDF
Providing Permission to Wonder v2
by
Darren Kuropatwa
PDF
The Fourth Screen v4
by
Darren Kuropatwa
PDF
Learning is at BLC16
by
Darren Kuropatwa
PDF
We Learn Through Stories v4 (master class)
by
Darren Kuropatwa
PDF
Deep Learning Design: the middle ring
by
Darren Kuropatwa
Behind Their Eyes v1
by
Darren Kuropatwa
Leading Change v1
by
Darren Kuropatwa
Providing Permission To Wonder v2.1
by
Darren Kuropatwa
Things That Suck About Digital Citizenship v1
by
Darren Kuropatwa
Digital Storytelling for Deeper Learning v1
by
Darren Kuropatwa
Tales of Learning and the Gifts of Footprints v4.2
by
Darren Kuropatwa
The Fourth Screen v4.2
by
Darren Kuropatwa
Making Student Thinking Visible v4
by
Darren Kuropatwa
Learning is at BYTE 2017
by
Darren Kuropatwa
Leveraging Digital for Deeper Learning
by
Darren Kuropatwa
We Learn Through Stories at PRIZMAH17
by
Darren Kuropatwa
Providing Permission to Wonder v3
by
Darren Kuropatwa
The Fourth Screen v4.1
by
Darren Kuropatwa
Making Student Thinking Visible v3.7
by
Darren Kuropatwa
Learning is at AUHSD
by
Darren Kuropatwa
Providing Permission to Wonder v2
by
Darren Kuropatwa
The Fourth Screen v4
by
Darren Kuropatwa
Learning is at BLC16
by
Darren Kuropatwa
We Learn Through Stories v4 (master class)
by
Darren Kuropatwa
Deep Learning Design: the middle ring
by
Darren Kuropatwa
Recently uploaded
PDF
VIVA or SHORT ANSWER QUESTIONS or 2 MARKS QUESTIONS CHILD HEALTH NURSING.pdf
by
PRADEEP ABOTHU
PPTX
Mohan - "A man of silence and authority"
by
nidhibachauhan46
PPTX
" Jaya : Silence as Resistance " - That long silence
by
dharabhandari35
PDF
Lamarckism: Theory of Evolution, Principles, Examples, Objections and Neo-Lam...
by
IPGDCWA,NAMPALLY
PPTX
NMR Spectroscopy: Principles and Applications
by
Vanitha Rajakumar
PPTX
Unit 3- Culture.pptx....................
by
Akanksha Kotangale
PPTX
2026SlideShare.pptx welcome talk 2026 for peace harmony
by
BryanGan8
PPTX
Drug Distribution in Pharmacology: Mechanisms, Barriers, Factors & Volume of ...
by
amrin3379
PDF
ĐỀ MINH HỌA KỲ THI TỐT NGHIỆP TRUNG HỌC PHỔ THÔNG NĂM 2026 MÔN TIẾNG ANH 2026...
by
Nguyen Thanh Tu Collection
PPTX
Alma Šuto - From Tradition to Innovation: Creative AI in Education
by
bvtricks
PPTX
How to Create & Manage Wizard in Odoo 18
by
Celine George
PPTX
Statistical Data Analysis using R Programming.pptx
by
VETRISELVIP1
PPTX
LEGAL AND RIGHTS ASPECTS OF FAMILY PLANNING.pptx
by
sonia
PPTX
MENTAL STATUS EXAMINATION Part-1.Shilpa hotakar.pptx
by
SHILPA HOTAKAR
PDF
Risks and opportunities of artificial intelligence in education: A critical view
by
Yannis
PDF
Aminoglycosides.pdf for B.Pharmacy Medicinal Chemistry-III (BP601T), GPAT, a...
by
mominzarinamdnajeeb
PPTX
Fruit Fermentation_ Ethanol & Sugar Estimation- Dr. Shikha Gaikwad
by
insighteduwithme
PPTX
Exploring Higher education and its pathways
by
EVAMAEBONGHANOY5
PPTX
bundle of care.pptx Priti Bala @ BRD med
by
pritibala13
PDF
Beak Modifications by Dr. Ramzan Virani pptx.pdf
by
Dr. Ramzan Virani
VIVA or SHORT ANSWER QUESTIONS or 2 MARKS QUESTIONS CHILD HEALTH NURSING.pdf
by
PRADEEP ABOTHU
Mohan - "A man of silence and authority"
by
nidhibachauhan46
" Jaya : Silence as Resistance " - That long silence
by
dharabhandari35
Lamarckism: Theory of Evolution, Principles, Examples, Objections and Neo-Lam...
by
IPGDCWA,NAMPALLY
NMR Spectroscopy: Principles and Applications
by
Vanitha Rajakumar
Unit 3- Culture.pptx....................
by
Akanksha Kotangale
2026SlideShare.pptx welcome talk 2026 for peace harmony
by
BryanGan8
Drug Distribution in Pharmacology: Mechanisms, Barriers, Factors & Volume of ...
by
amrin3379
ĐỀ MINH HỌA KỲ THI TỐT NGHIỆP TRUNG HỌC PHỔ THÔNG NĂM 2026 MÔN TIẾNG ANH 2026...
by
Nguyen Thanh Tu Collection
Alma Šuto - From Tradition to Innovation: Creative AI in Education
by
bvtricks
How to Create & Manage Wizard in Odoo 18
by
Celine George
Statistical Data Analysis using R Programming.pptx
by
VETRISELVIP1
LEGAL AND RIGHTS ASPECTS OF FAMILY PLANNING.pptx
by
sonia
MENTAL STATUS EXAMINATION Part-1.Shilpa hotakar.pptx
by
SHILPA HOTAKAR
Risks and opportunities of artificial intelligence in education: A critical view
by
Yannis
Aminoglycosides.pdf for B.Pharmacy Medicinal Chemistry-III (BP601T), GPAT, a...
by
mominzarinamdnajeeb
Fruit Fermentation_ Ethanol & Sugar Estimation- Dr. Shikha Gaikwad
by
insighteduwithme
Exploring Higher education and its pathways
by
EVAMAEBONGHANOY5
bundle of care.pptx Priti Bala @ BRD med
by
pritibala13
Beak Modifications by Dr. Ramzan Virani pptx.pdf
by
Dr. Ramzan Virani
Download