20 0 7
                                                              RE P O RT
                                                              AN N UA L




S B C C O R P O R AT I O N B E R H A D   ANNUAL REPORT 2007
CORE PURPOSE
• To build upon our
  construction heritage to
  design and deliver exciting,
  unique and valuable solutions
  for buildings and communities.



CORE VALUES
• Equipping our people to anticipate and respond to the
  needs of our customers and stakeholders.

• Adherence to industry’s highest ethics.

• Use of designs and processes that promote standards.
CONTENTS
2     CORPORATE INFORMATION

4     DIRECTORS’ PROFILES

12    CORPORATE STRUCTURE

13    GROUP FINANCIAL HIGHLIGHTS

14    EXECUTIVE CHAIRMAN’S STATEMENT

18    PENYATA PENGERUSI EKSEKUTIF

22    STATEMENT OF CORPORATE GOVERNANCE

31    STATEMENT ON INTERNAL CONTROL

33    AUDIT COMMITTEE REPORT

38    STATEMENT OF DIRECTORS’ RESPONSIBILITIES

39    FINANCIAL STATEMENTS

100   GROUP PROPERTIES

104   SHAREHOLDERS’ INFORMATION

108   NOTICE OF ANNUAL GENERAL MEETING

110   NOTICE OF DIVIDEND PAYMENT

110   STATEMENT ACCOMPANYING NOTICE OF ANNUAL GENERAL MEETING

111   APPENDIX 1

      PROXY FORM
2




      CORPORATE INFORMATION




BOARD OF DIRECTORS                                 AUDIT COMMITTEE                                    NOMINATION COMMITTEE

SIA KWEE MOW @ SIA HOK CHAI                        DATO’ DR. NORRAESAH BT. HAJI MOHAMAD               DATO’ LIM PHAIK GAN
JMN, FFB, FCIOB, FAIB                              DSPN, DSDK, PhD., B.Sc.(Econ)                      DPMP, DMPN, M.A.(Law), FCI, ARB
Executive Chairman                                 Chairperson & Independent Non-Executive Director   Chairperson & Independent Non-Executive Director

SIA TEONG HENG                                     DATO’ LIM PHAIK GAN                                DATO’ DR. NORRAESAH BT. HAJI MOHAMAD
B.Sc. (Eng), M.Sc.                                 DPMP, DMPN, M.A.(Law), FCI, ARB                    DSPN, DSDK, PhD., B.Sc.(Econ)
Managing Director                                  Independent Non-Executive Director                 Independent Non-Executive Director

MUN CHONG SHING @ MUN CHONG TIAN                   AHMAD FIZAL BIN OTHMAN                             AHMAD FIZAL BIN OTHMAN
Non-Executive Director                             B.Acc & Fin. (Hons)                                B.Acc & Fin. (Hons)
                                                   Independent Non-Executive Director                 Independent Non-Executive Director
DATO’ ZAINOL ABIDIN BIN HAJI A. HAMID
LLB (Hons)                                         SIA TEONG HENG                                     MUN CHONG SHING @ MUN CHONG TIAN
Non-Executive Director                             B.Sc. (Eng), M.Sc.                                 Non-Executive Director
                                                   Managing Director
DATO’ LIM PHAIK GAN
DPMP, DMPN, M.A.(Law), FCI, ARB                                                                       EXECUTIVE MANAGEMENT
Independent Non-Executive Director                 REMUNERATION COMMITTEE
                                                                                                      SIA TEONG HENG
DATO’ DR. NORRAESAH BT. HAJI MOHAMAD               DATO’ ZAINOL ABIDIN BIN HAJI A. HAMID              B.Sc. (Eng), M.Sc.
DSPN, DSDK, PhD., B.Sc.(Econ)
                                                   LLB (Hons)                                         Chairman & Managing Director
Independent Non-Executive Director
                                                   Chairman & Non-Executive Director
                                                                                                      SIA TEONG LENG
AHMAD FIZAL BIN OTHMAN                             DATO’ LIM PHAIK GAN                                B.A. (Hons) (Law & Econs), M.B.A.
B.Acc & Fin. (Hons)
                                                   DPMP, DMPN, M.A.(Law), FCI, ARB                    Corporate Director
Independent Non-Executive Director
                                                   Independent Non-Executive Director
                                                                                                      YAP WAI YEE
                                                   DATO’ DR. NORRAESAH BT. HAJI MOHAMAD               B. Eng, M.Sc.
                                                   DSPN, DSDK, PhD., B.Sc.(Econ)                      Deputy Chief Operating Officer
                                                   Independent Non-Executive Director
                                                                                                      TEH KAI CHUA
                                                   SIA TEONG HENG                                     B.Sc. (Eng)
                                                   B.Sc. (Eng), M.Sc.                                 General Manager - Technical
                                                   Managing Director




                              BANGKOK BANK HEADQUARTERS
                              1954 - 2000
3




                                                                          CORPORATE INFORMATION




                                                                                         WISMA HLA
                                                                                         1954 - 2000


SOLICITORS                          PRINCIPAL BANKERS

CHEANG & ARIFF                      ALLIANCE BANK MALAYSIA BERHAD
39 Court
                                    AL-RAJHI BANKING & INVESTMENT CORPORATION
39, Jalan Yap Kwan Seng
                                     (MALAYSIA) BERHAD
50450 Kuala Lumpur
                                    BANGKOK BANK BERHAD
FOONG & PARTNERS                    BANK MUAMALAT MALAYSIA BERHAD
Suite 21-08, Level 21
                                    CIMB BANK BERHAD
Plaza 138, 138, Jalan Ampang
50450 Kuala Lumpur                  MALAYAN BANKING BERHAD
                                    MIDF AMANAH INVESTMENT BANK BERHAD
LEE, PERARA & TAN
                                    OCBC BANK (MALAYSIA) BERHAD
55, Jalan Thambapillai
Off Jalan Tun Sambanthan            UNITED OVERSEAS BANK (MALAYSIA) BERHAD
Brickfields, 50470 Kuala Lumpur

LIM & YEOH                          REGISTERED OFFICE
145-M Jalan Maharajalela
50150 Kuala Lumpur                  WISMA SIAH BROTHERS
                                    74A Jalan Pahang
                                    53000 Kuala Lumpur
AUDITORS                            Tel: 03-4041 8118 Fax: 03-4043 5281


HORWATH
Chartered Accountants               REGISTRARS
Level 16 Tower C, Megan Avenue II
12 Jalan Yap Kwan Seng              TACS CORPORATE SERVICES SDN. BHD.
50450 Kuala Lumpur                  Unit No. 203, 2nd Floor, Block C
                                    Damansara Intan
                                    No. 1, Jalan SS 20/27
COMPANY SECRETARIES                 47400 Petaling Jaya
                                    Tel: 03-7118 2688 Fax: 03-7118 2693
CHONG FOOK SIN
ATII, MCCS, AFA
                                    STOCK EXCHANGE LISTING
KAN CHEE JING
ACIS                                MAIN BOARD OF
                                    BURSA MALAYSIA SECURITIES BERHAD
4




    DIRECTORS’ PROFILES
    AS AT 31 JULY 2007




                                       SIA KWEE MOW @ SIA HOK CHAI
                                       MALAYSIAN, AGED 74 • EXECUTIVE CHAIRMAN




                                       Sia Kwee Mow @ Sia Hok Chai has been a Director of SBC Corporation Berhad (“SBC”) since
                                       its incorporation on 14 June 1990. He has over 53 years of experience in building and civil
                                       engineering contracting and not less than 35 years of experience in plastic engineering since
                                       the incorporation of Paling Industries Sdn. Bhd. in 1971. He was actively involved in Master
                                       Builders Association Malaysia (“MBAM”) and had served in various capacities including the
                                       post of President (1988 to 1994). He was elected as the 29th President (1994 to 1996) of the
                                       International Federation of Asian and Western Pacific Contractors’ Associations (“IFAWPCA”)
                                       during which he led the IFAWPCA delegation to a meeting between the World Bank and
                                       International Contractors Association held at Washington D.C. in November 1996.


                                       In recognition of his vast experience and knowledge in construction and his contribution to the
                                       building construction industry, he was awarded or conferred the following:


                                       •    Johan Mangku Negara by DYMM Yang DiPertuan Agong in 2001
                                       •    Honorary Life President by MBAM in 2001
                                       •    Fellowship of the Faculty of Building, United Kingdom in 1981
                                       •    Fellowship of the Chartered Institute of Building, United Kingdom as a Chartered Builder
                                            in 1979
                                       •    Fellowship of the Australian Institute of Building by the Australian Royal Charter of
                                            Building in 1982


                                       He was also a previous President of both the Selangor Builders Association and Selangor Chinese
                                       Plumbing and Sanitary Association.


                                       He also sits on the board of several private limited companies in Malaysia, including several
                                       subsidiaries of SBC.




                         BANK NEGARA MALAYSIA HEADQUARTERS
                         1954 - 2000
5




                                                                                                            DIRECTORS’ PROFILES
                                                                                                                        AS AT 31 JULY 2007




His holdings in the securities of SBC are as follows:


                                                               Direct Interest        Indirect Interest


Ordinary shares                                                 1,480,800 (a)           19,498,523 (b)

(a) 1,480,800 shares are held in bare trust by RHB Capital Nominees (Tempatan) Sdn. Bhd.
(b) Deemed interest by virtue of his shareholding in LOM Holdings Sdn. Bhd. (14,317,500
    shares) and Evergreen Legacy Sdn. Bhd. (5,181,023 shares).


By virtue of his interests in SBC, he is deemed to have interests in the securities of SBC’s subsidiaries
to the extent of SBC’s interest in accordance with Section 6A of the Companies Act, 1965.


He is the father of Sia Teong Heng, the Managing Director and a major shareholder of SBC.


He does not have any conflict of interest with SBC except for those transactions disclosed in Note
45 to the financial statements.


He has not been convicted of any offence within the past 10 years.


He attended all the four Board Meetings held during the last financial year.




                                                                                         KOTA RAYA SHOPPING COMPLEX
                                                                                                          1954 - 2000
6




    DIRECTORS’ PROFILES
    AS AT 31 JULY 2007




                          SIA TEONG HENG
                          MALAYSIAN, AGED 44 • MANAGING DIRECTOR




                          Sia Teong Heng was appointed as a Director of SBC Corporation Berhad (“SBC”) on 5 February
                          1991. He is a member of the Audit Committee and the Remuneration Committee of SBC. He
                          graduated in 1985 with a degree in Bachelor of Science in Civil Engineering from Loughborough
                          University, United Kingdom (“UK”) and a Master degree in Management Science from Imperial
                          College, University of London, UK in 1986.


                          His career began in investment banking in 1987 with Morgan Grenfell (Asia) Ltd., Singapore.
                          He joined SBC in 1991. He was a past board member of the Entrepreneurs Organisation and a
                          member of the Young President’s Organisation. Presently, he also sits on the boards of several
                          subsidiaries of SBC.


                          His holdings in the securities of SBC are as follows:


                                                                                         Direct Interest        Indirect Interest


                          Ordinary shares                                                 4,677,992 (a)           19,498,523 (b)


                          (a) 4,434,000 shares are held in bare trust by Amsec Nominees (Tempatan) Sdn. Bhd.
                          (b) Deemed interest by virtue of his shareholding in LOM Holdings Sdn. Bhd. (14,317,500
                              shares) and Evergreen Legacy Sdn. Bhd. (5,181,023 shares).


                          By virtue of his interests in SBC, he is deemed to have interests in the securities of SBC’s subsidiaries
                          to the extent of SBC’s interest in accordance with Section 6A of the Companies Act, 1965.


                          He is a son of Sia Kwee Mow @ Sia Hok Chai, the Executive Chairman and a major shareholder
                          of SBC.


                          He does not have any conflict of interest with SBC except for those transactions disclosed in Note
                          45 to the financial statements.


                          He has not been convicted of any offence within the past 10 years.


                          He attended all the four Board Meetings held during the last financial year.
7




                                                                                                          DIRECTORS’ PROFILES
                                                                                                                       AS AT 31 JULY 2007




                                         MUN CHONG SHING @ MUN CHONG TIAN
                                                         MALAYSIAN, AGED 70 • NON-EXECUTIVE DIRECTOR




Mun Chong Shing @ Mun Chong Tian was appointed as an Executive Director of SBC Corporation
Berhad (“SBC”) on 1 April 1996 when he was employed as General Manager of Paling Industries
Sdn. Bhd. (“Paling”) from 1987 and appointed as a Director in 1991 and remained in both
positions until his retirement on 31 December 2001.


On 31 December 2001, he was redesignated as a Non-Executive Director of SBC. He is a member
of the Nomination Committee of SBC.


He has received training in Sales Management conducted by the National Productive Centre and
the Malaysian Institute of Management and a General Management Programme at the National
Productivity Board, Singapore.


Prior to his involvement with Paling, he was employed as a General Manager in Hume Industries
(M) Bhd. where he has had extensive exposure to industrial engineering and management.


His holdings in the securities of SBC are as follows:

                                                             Direct Interest         Indirect Interest


Ordinary shares                                                  21,782                      -


He does not hold any securities, direct or indirect, in any of SBC’s subsidiaries.


He is a brother-in-law to Sia Kwee Mow @ Sia Hok Chai and an uncle to Sia Teong Heng, both
are Directors and major shareholders of SBC.


He does not have any conflict of interest with SBC.


He has not been convicted of any offence within the past 10 years.


He attended three of the four Board Meetings held during the last financial year.



                                                                                                 WISMA LEE RUBBER
                                                                                                         1954 - 2000
8




    DIRECTORS’ PROFILES
    AS AT 31 JULY 2007




                          DATO’ LIM PHAIK GAN
                          MALAYSIAN, AGED 87 • INDEPENDENT NON-EXECUTIVE DIRECTOR




                          Dato’ Lim Phaik Gan was appointed as an Independent Non-Executive Director of SBC
                          Corporation Berhad (“SBC”) on 5 February 1991. She is the Senior Independent Non-Executive
                          Director, the Chairperson of the Nomination Committee and a member of the Audit Committee
                          and the Remuneration Committee of SBC. She is an advocate and solicitor and was called to the
                          Bar of England and the Bar of Malaysia. She obtained a Master of Arts degree in Law from the
                          University of Cambridge, United Kingdom and was in active practice at the Bar of Malaysia from
                          1954 to 1971 and from 1980 until today.


                          Since 1955, she has had a distinguished career in both the private and public sectors. In 1970,
                          she was a member of the National Economic Consultative Council established when Parliament
                          was suspended as a result of riots in 1969. From 1971 to 1980, she served as ambassador and
                          Deputy Permanent Representative of Malaysia to the United Nations, and successively as the
                          Malaysian Ambassador to Yugoslavia, Austria, Belgium and the European Economic Community.
                          She was Malaysia’s Permanent Representative to the United Nations Industrial and Development
                          Organisation and International Atomic Energy Agency in Vienna, and served as chairman in
                          various committees.


                          After her retirement from the Malaysian Foreign Service in 1980, she was appointed by the
                          Government as Director of the Kuala Lumpur Regional Centre for Arbitration, an international
                          organisation involved in the conduct and administration of international commercial arbitration
                          for the settlement of disputes arising out of international commercial contracts and joint
                          ventures, in which capacity she served from 1982 to 2000. She is currently a member of the
                          Board of Trustees of the Institute of Strategic and International Studies.


                          She does not hold any securities, direct or indirect, in SBC or any of its subsidiaries.


                          She has no family relationship with any Director and/or major shareholder of SBC.


                          She does not have any conflict of interest with SBC.


                          She has not been convicted of any offence within the past 10 years.


                          She attended three of the four Board Meetings held during the last financial year.
9




                                                                                                       DIRECTORS’ PROFILES
                                                                                                                  AS AT 31 JULY 2007




                                     DATO’ DR. NORRAESAH BT. HAJI MOHAMAD
                                             MALAYSIAN, AGED 59 • INDEPENDENT NON-EXECUTIVE DIRECTOR




Dato’ Dr. Norraesah Bt. Haji Mohamad was appointed as an Independent Non-Executive
Director of SBC Corporation Berhad (“SBC”) on 8 July 1991. She is the Chairperson of the Audit
Committee and a member of the Nomination Committee and the Remuneration Committee of
SBC. She holds a Doctorate Degree in Economics Science (International Economics and Finance)
which she obtained in 1986 from University of Paris 1, Pantheon Sorbonne, France.


She has over 35 years of working experience in banking, consultancy and international trade
and commerce. She worked with the International Trade Division of the Ministry of Trade and
Industry (now known as the Ministry of International Trade and Industry) from 1972 to 1985
and was later transferred to the Finance Division of the Ministry of Finance holding the post of
Principal Assistant Secretary dealing with privatisation and debt management.


In 1988, she joined ESSO Production Malaysia, Inc. as Communications Manager and subsequently,
in 1990, took the position of Managing Director with a consultant firm providing financial
advisory services. From 1991 to 1998 she was appointed as the Chief Representative of Credit
Lyonnais Bank in Malaysia.


She sits on the board of KESM Industries Berhad, Malaysian Oxygen Berhad, Protasco Berhad,
Ya Horng Electronic (M) Berhad, Adventa Berhad, My E.G. Services Berhad and several private
limited companies.


She was awarded the distinction of Darjah Setia Pangkuan Negeri on 13th July, 2002 by Tuan
Yang Terutama Yang di-Pertua Negeri Pulau Pinang on His Excellency’s 64th Birthday and the
Dato’ Setia DiRaja Kedah on 21st January, 2007 by Kebawah Duli Yang Maha Mulia Tuanku
Sultan Darul Aman on His Excellency’s 79th Birthday.


She does not hold any securities, direct or indirect, in SBC or any of its subsidiaries.


She has no family relationship with any Director and/or major shareholder of SBC.


She does not have any conflict of interest with SBC.


She has not been convicted of any offence within the past 10 years.


She attended all the four Board Meetings held during the last financial year.




                                                                                                             CENTRAL MARKET
                                                                                                             1954 - 2000
10




     DIRECTORS’ PROFILES
     AS AT 31 JULY 2007




                                        DATO’ ZAINOL ABIDIN BIN HAJI A. HAMID
                                        MALAYSIAN, AGED 65 • NON-EXECUTIVE DIRECTOR




                                        Dato’ Zainol Abidin Bin Haji A. Hamid was appointed as a Non-Executive Director of SBC
                                        Corporation Berhad (“SBC”) on 10 October 2003, representing the interest of Permodalan
                                        Nasional Berhad. He is the Chairman of the Remuneration Committee of SBC. He graduated
                                        with LLB (Hons) from the University of London in 1995.


                                        He joined the Kedah State Government in 1966 as a civil servant. From 1973 to 1981, he was the
                                        District Officer for Sik, then Padang Terap and finally Kubang Pasu. He was General Manager
                                        and Director of Kedah Cement Sdn Bhd from 1981 to 1996 and Managing Director of Kedah
                                        Cement Marketing Sdn Bhd from 1990 to 1996.


                                        He sits on the Board of Paragon Union Berhad.


                                        He does not hold any securities, direct or indirect, in SBC or any of its subsidiaries.


                                        He has no family relationship with any Director and/or major shareholder of SBC.


                                        He does not have any conflict of interest with SBC.


                                        He has not been convicted of any offence within the past 10 years.


                                        He attended three of the four Board Meetings held during the last financial year.




                          FRENCH EMBASSY (In Malaysia)
                          1954 - 2000
11




                                                                                                       DIRECTORS’ PROFILES
                                                                                                                   AS AT 31 JULY 2007




                                                            AHMAD FIZAL BIN OTHMAN
                                             MALAYSIAN, AGED 44 • INDEPENDENT NON-EXECUTIVE DIRECTOR




Ahmad Fizal Bin Othman was appointed as an Independent Non-Executive Director of SBC
Corporation Berhad (“SBC”) on 24 February 2004. He is a member of the Audit Committee and
the Nomination Committee of SBC. He graduated with a Bachelor in Accounting and Finance
(Hons) from the Middlesex University, London.


He is a well-rounded and experienced businessman and involved in a multitude of industries.
Currently, he immerses himself in retail, multimedia and technology.


He does not hold any securities, direct or indirect, in SBC or any of its subsidiaries.


He has no family relationship with any Director and/or major shareholder of SBC.


He does not have any conflict of interest with SBC.


He has not been convicted of any offence within the past 10 years.


He attended all the four Board Meetings held during the last financial year.




                                                                                                            CENTRAL SQUARE
                                                                                                            1954 - 2000
12




     CORPORATE STRUCTURE
     AS AT 8 AUGUST 2007




           RESIDENTIAL PROPERTY
           DEVELOPMENT                                 INVESTMENT HOLDING


             100% | Aureate Construction Sdn Bhd        100% | Siah Brothers Industries Sdn Bhd

             100% | Gracemart Resources Sdn Bhd         100% | Siah Brothers Land Sdn Bhd

             100% | Mixwell (Malaysia) Sdn Bhd          100% | Siah Brothers Properties Sdn Bhd

             100% | SBC Leisure Sdn Bhd

             100% | SBC Towers Sdn Bhd
                                                       BUILD / CONSTRUCTION
             100% | Seri Ampangan Realty Sdn Bhd

             100% | Sinaran Naga Sdn Bhd                100% | Syarikat Siah Brothers Construction Sdn Bhd

             100% | South-East Best Sdn Bhd             100% | Syarikat Siah Brothers Trading Sdn Bhd

             33.3% | Sri Berjaya Development Sdn Bhd

             22.2% | Sri Rawang Properties Sdn Bhd     STRATEGIC INVESTMENT

                                                        100% | Masahmura Sales & Service Sdn Bhd

                                                        100% | Masahmura Sdn Bhd

                                                         51% | Kiara Amalan Sdn Bhd

                                                         50% | Ligamas Sdn Bhd

                                                         50% | Tri-Development Co., Ltd

                                                         50% | Varich Industries Sdn Bhd

                                                         40% | Liga Canggih Sdn Bhd

                                                         40% | Paling Industries Sdn Bhd

                                                        19.6% | Pasti Bumi Sdn Bhd


             NEWS STRAITS TIME PRESS
                          1954 - 2000
13




                                                                        GROUP FINANCIAL HIGHLIGHTS
                                                                              FOR THE FINANCIAL YEAR ENDED 31 MARCH 2007




                                                                                                EMPIRE TOWER
                                                                                                   1954 - 2000




                                                       2007           2006            2005           2004          2003
                                                     RM’000         RM’000          RM’000         RM’000        RM’000
                                                                 (Restated)


RESULTS


Turnover                                              77,103        69,927           66,867          86,317       69,829
Profit before taxation                                 (2,207)       1,369            3,321           6,996        5,149
Profit after taxation but before minority interest     (3,009)       1,047            2,250           2,073        2,011
Profit attributable to shareholders                    (3,009)       1,047            2,250           2,073        2,011



ASSET EMPLOYED


Property, plant and equipment                          8,550         8,243           35,452         36,246        35,813
Investments and other assets                         203,129       205,861          192,257        153,703       152,856
Net current assets                                     8,854        50,881           37,243         73,632        71,634
Goodwill and deferred expenditure                     27,499        27,318           27,318         27,318        27,272


                                                     248,032       292,303          292,270        290,899       287,575


FINANCED BY


Share capital                                         82,435        82,435           82,435         82,435        82,435
Reserves                                             130,691       134,294          137,572        135,940       134,682
ABBA bonds                                                 -        43,978           41,752         39,712        37,827
Deferred liabilities                                  34,906        31,596           30,511         32,812        32,631


                                                     248,032       292,303          292,270        290,899       287,575


SELECTED RATIOS


Net earnings per share (sen)                             (3.7)          1.3              2.7              2.4       2.4
Net assets per share (sen)                               259           263              267              265        263
Gross dividend (%)                                        1.0          1.0              1.0              1.0        1.0
14




     EXECUTIVE CHAIRMAN’S STATEMENT




               On behalf of the
        Board of Directors of
     SBC Corporation Berhad,
        I have the pleasure of
        presenting to you the
           Annual Report and
        the Audited Financial
     Statements of the Group
     and the Company for the
         financial year ended
                31 March 2007.              EUA ARTHRON BANGKOK




                                  FINANCIAL REVIEW

                                  The Group recorded a RM77.10 million revenue representing an increase of 10.3%
                                  over RM69.93 million in the previous year. This result represents both remarkable
          MENARA MESINIAGA        progress of our turnkey construction activities in Thailand as well as lower
                 1954 - 2000
                                  contribution from the Malaysian property side on account of longer than expected
                                  gestation period in obtaining building permits.


                                  The overall negative financial results were due to prudent measures undertaken to
                                  provide for possible impairment loss as well as financial accounting adjustment for
                                  unamortised goodwill.



                                  OPERATIONS REVIEW

                                  The property sector within which the group operates continue to fare well; largely
                                  targeting to owner occupiers and referrals from existing customers. With our turnkey
                                  clients, mainly the government, we continue to maintain a selective presence where
                                  we are able to provide value added services.
15




                                                                           EXECUTIVE CHAIRMAN’S STATEMENT




During the year, Kuantan’s phase 4A and 6A consisting of double-storey and single
storey terrace homes were handed over at our Seri Mahkota Aman project. Similarly
at Kota Kinabalu’s Signal Hill Park semi-detached homes. In Klang, the second phase
of Suria Pendamar’s double-storey terrace homes were also handed over. The state
land and survey building in Sabah was completed three months ahead of schedule.
Meanwhile the iconic Cube shop offices at Metpark are progressing well, as is the
Suria Setapak Homes & Commercial precinct off Jalan Gombak. In Bandar Ligamas
at the foothills of Genting Highlands, work on the fourth phase of double-storey
terrace homes continue to progress well.


As at today, site work has just commenced on the 34-storey PJX, a purpose built
commercial building in the heart of Petaling Jaya’s CBD. This is also the case with the
third phase of our Kota Kinabalu project, in the manner of The Peak Suites and we
are hopeful of being able to move on to our fourth phase.


Paling Industries Sdn Bhd, our manufacturing associate in water pipes
and fittings continues to look beyond Malaysia shores in an effort to
achieve profitability.

                                                                                          JAYA SHOPPING COMPLEX
                                                                                          1954 - 2000
16




     EXECUTIVE CHAIRMAN’S STATEMENT




     SURIA SETAPAK




                                         ECONOMIC AND BUSINESS OUTLOOK

                                         The outlook for the industry is promising given the continued stable business
                                         environment propagated by the government and the slew of construction activities
                                         slated for the next few years. The group is eminently positioned to partake in this
                                         optimism towards improving our top line growth.



                                         DIVIDEND

                                         The Board is pleased to recommend a first and final dividend of 1% per ordinary share
                                         less 27% tax for the financial year ended 31 March 2007 subject to the shareholders’
                                         approval at the forthcoming Annual General Meeting of the Company.




                     CONFERENCE HALL & SURAU ~ ISTAC
                     1954 - 2000
17




                                                                       EXECUTIVE CHAIRMAN’S STATEMENT




SERI MAHKOTA AMAN




APPRECIATION AND ACKNOWLEDGEMENT

On behalf of the Board of Directors, I would like to thank our valued shareholders,
joint venture partners, business associates, bankers and government authorities for    INTAN KENNY CONDOMINIUM
their confidence, understanding and continued support for the SBC Group.                              1954 - 2000




I would also like to add our appreciation to our customers and supporters of SBC’s
products and services, all of whom have place much trust with us, as custodian to
their home and property investments.


Lastly, I would like to thank the SBC management team and employees of the Group
for their continuous hard work and commitment in the ever-changing business
environment towards the success of the Group.


Thank you.




                                                SIA KWEE MOW @ SIA HOK CHAI
                                                                 JMN,FFB,FCIOB,FAIB
                                                                  Executive Chairman
18




     PENYATA PENGERUSI EKSEKUTIF




                 Saya bagi pihak
          Lembaga Pengarah
     SBC Corporation Berhad
          dengan bangganya
              membentangkan
      Laporan Tahunan serta
          Penyata Kewangan
      Kumpulan dan Syarikat
        bagi tahun kewangan
       berakhir 31 Mac 2007.

                                             SIGNAL HILL PARK




                                   ULASAN KEWANGAN

                                   Kumpulan mencatat pendapatan sejumlah RM77.10 juta menunjukkan kenaikan
                                   sebanyak 10.3% berbanding RM69.93 juta pada tahun lepas. Perolehan ini
                                   menunjukkan pertumbuhan yang positif daripada aktiviti-aktiviti pembinaan
         CONCORDE HOTEL
              1954 - 2000
                                   turnkey di Thailand, dan juga sumbangan yang rendah daripada sektor hartanah di
                                   Malaysia akibat penggunaan masa yang lebih lama dari yang dijangkakan dalam isu
                                   pemilikan permit pembangunan.


                                   Keseluruhan prestasi kewangan yang negatif ini adalah akibat daripada penggunaan
                                   piawaian kiraan secara waspada dalam aspek kerugian kemerosotan nilai, dan juga
                                   penyesuaian sistem perakaunan kewangan atas muhibbah penyatuan tidak terlunas.



                                   TINJAUAN OPERASI

                                   Sektor hartanah yang diusahakan oleh pihak Kumpulan terus mencapai keputusan
                                   yang memuaskan. Sebahagian besar pendapatan ini datang daripada penghuni asal
                                   serta rujukan-rujukan oleh pelanggan sedia ada. Dengan adanya sokongan daripada
                                   pelanggan turnkey khususnya pihak kerajaan, kami berupaya untuk kekal pada
                                   kedudukan yang baik dan selesa untuk terus membekalkan perkhidmatan yang
                                   berkualiti.
19




                                                                                 PENYATA PENGERUSI EKSEKUTIF




Dalam tempoh tahun kewangan, projek rumah berteres dua tingkat dan satu tingkat
Fasa 4A dan 6A di Seri Mahkota Aman, Kuantan, berserta projek rumah berkembar
di Signal Hill Park, Kota Kinabalu telahpun disiapserahkan. Projek rumah berteres
                                                                                                    THE PEAK CONDOMINIUM
dua tingkat fasa kedua di Suria Pendamar, Kelang juga telah disiapserahkan.
                                                                                                    1954 - 2000
Di Sabah pula, kerja pembinaan ibu pejabat baru Tanah dan Ukur Negeri telah
siap disempurnakan tiga bulan lebih awal dari yang dijadualkan. Sementara itu,
projek pembinaan unit komersial The Cube di Metpark dan projek Perumahan dan
Komersial di Suria Setapak di persekitaran Jalan Gombak turut berjalan lancar, begitu
juga dengan aktiviti pembinaan fasa keempat rumah berteres dua tingkat di Bandar
Ligamas di kaki bukit Genting Highlands.


Sehingga kini, kerja tapak baru sahaja dimulakan ke atas projek PJX, sebuah kompleks
komersial pelbagaigunaan setinggi 34 tingkat yang terletak di Perbandaran Petaling
Jaya. Di Kota Kinabalu pula, kami dengan sesungguhnya berharap projek The Peak
Suites akan dapat dilanjutkan daripada fasa ini ke tahap fasa keempat.


Paling Industries Sdn Bhd, syarikat perkilangan bersekutu kami dalam bidang paip
dan kelengkapan perairan terus berusaha meninjau peluang emas di luar Malaysia
untuk mencapai hasil keuntungan yang lebih tinggi.
20




     PENYATA PENGERUSI EKSEKUTIF




     MASTIARA CUBE




                                     TINJAUAN EKONOMI DAN PERNIAGAAN

                                     Masa depan industri ini akan semakin cerah dengan kestabilan suasana perniagaan
                                     yang dimantapkan oleh pihak kerajaan dengan adanya serangkaian aktiviti-aktiviti
                                     pembinaan yang akan dilaksanakan dalam tahun-tahun akan datang. Kumpulan
                                     amat positif terhadap keupayaan kami untuk terus mempertingkatkan pencapaian
                                     dan mutu pengeluaran dalam industri pembinaan ini.



                                     DIVIDEN

                                     Pihak Lembaga Pengarah dengan sukacitanya mencadangkan pembayaran dividen
                                     pertama dan akhir sebanyak 1% sesaham tolak cukai 27% bagi tahun kewangan
                                     berakhir 31 Mac 2007. Pembayaran dividen ini adalah tertakluk kepada persetujuan
                                     para pemegang saham pada Mesyuarat Agung Tahunan akan datang.




                 DAMANSARA EMAS
                       2001 - 2004
21




                                                                            PENYATA PENGERUSI EKSEKUTIF




BATANG KALI                                              PRODUK PALING




PENGHARGAAN DAN PENGAKUAN

Bagi pihak Lembaga Pengarah, saya ingin mengucapkan ribuan terima kasih kepada
para pemegang saham, rakan-rakan bersekutu dan niaga, ahli-ahli bank dan pihak
kerajaan atas kepercayaan, timbang rasa dan sokongan berterusan mereka terhadap
Kumpulan SBC.


Saya juga ingin merakamkan rasa penghargaan ikhlas kami kepada para pelanggan
dan penyokong SBC yang selama ini memberikan kepercayaan tidak berbelah bahagi
kepada Kumpulan dalam bidang pelaburan hartanah dan perumahan.


Akhirnya, saya ingin berterima kasih kepada pihak pengurusan SBC berserta
kakitangannya yang telah meyumbangkan usaha dan sokongan yang tidak ternilai
ke arah kejayaan Kumpulan.


Sekian, terima kasih.




                                             SIA KWEE MOW @ SIA HOK CHAI
                                                              JMN,FFB,FCIOB,FAIB
                                                              Pengerusi Eksekutif
22




     STATEMENT OF CORPORATE GOVERNANCE




     The Board of Directors of SBC Corporation Berhad remains firmly committed towards ensuring the highest standard of corporate
     governance is maintained throughout the Company and its subsidiaries (“the Group”). Hence, the Board is fully dedicated to
     continuously evaluating the Group’s corporate governance practices and procedures with a view to ensure the principles and best
     practices in corporate governance as promulgated by the Malaysian Code on Corporate Governance (“the Code”) is applied and
     adhered to in the best interests of the stakeholders.

     This disclosure statement sets out the manner in which the Group has applied and complied with the Principles of the Code and
     the extent of compliance with Best Practices as set out in Part 1 and 2 of the Code.




     BOARD OF DIRECTORS

     Composition and Balance

     The Board as at the date of this statement has 7 members, comprising 3 Independent Non-Executive Directors, 2 Non-Executive
     Directors and 2 Executive Directors which satisfies Bursa Malaysia Securities Berhad (“Bursa Securities”) Listing Requirements of
     having at least 2 Directors or 1/3 of the Board whichever is higher, who are Independent Directors.

     The Directors have a wide range of experience and skills and are from diverse backgrounds relevant to managing and directing
     the Group’s operations. The Executive Directors are responsible for implementing policies of the Board, overseeing the Group’s
     operations and developing the Group’s business strategies. The role of the Independent Non-Executive Directors is to provide
     objective and independent judgement to the decision making of the Board and as such, provide an effective check and balance
     to the Board’s decision making process.

     The Board is satisfied that the current Board composition fairly reflects the investment of minority shareholders in the Company
     and represents the needed mix of skills and experience required to discharge the Board’s duties and responsibilities. Furthermore,
     no individual Director or group of Directors can dominate the Board’s decision making process.

     The profiles of the members of the Board are set out in this Annual Report under the section named Directors’ Profiles.



     Duties and Responsibilities

     The Board recognises its key role in charting the strategic direction, development and control of the Group and has adopted the
     specific responsibilities that are listed in the Code, which facilitates the discharge of the Board’s stewardship responsibilities.

     The roles of the Chairman and Managing Director are clearly distinct to ensure that there is a balance of power and authority. The
     Chairman is primarily responsible for the orderly conduct and working of the Board whilst the Managing Director is responsible for
     the day-to-day running of the business and implementation of Board policies and decisions adopted by the Board.

     Dato’ Lim Phaik Gan is the Senior Independent Non-Executive Director to whom concerns may be conveyed.




     SBC CORPORATION BERHAD
23




                                                                  STATEMENT OF CORPORATE GOVERNANCE




Board Meetings

The Board meets on a scheduled basis once every quarter with additional meetings held as and when urgent issues and important
decisions are required to be taken between the scheduled meetings. During the financial year ended 31 March 2007, the Board
met 4 times where it deliberated on and considered matters relating to the Group’s financial performance, significant investments,
corporate development, strategic issues and business plan.

Details of each Director’s attendance of Board meetings are set out as follows:

                                                                                          No. of meetings
                                                                                          held during the
                                                                                       financial year ended         No. of meetings
Name of Director                                                                          31 March 2007                attended

Sia Kwee Mow @ Sia Hok Chai (Executive Chariman)                                                 4                         4

Sia Teong Heng (Managing Director)                                                               4                         4

Mun Chong Shing @ Mun Chong Tian (Non-Executive Director)                                        4                         3

Dato’ Zainol Abidin Bin Haji A. Hamid (Non-Executive Director)                                   4                         3

Dato’ Lim Phaik Gan (Independent Non-Executive Director)                                         4                         3

Dato’ Dr. Norraesah Bt. Haji Mohamad (Independent Non-Executive Director)                        4                         4

Ahmad Fizal Bin Othman (Independent Non-Executive Director)                                      4                         4



The Board members have unrestricted and timely access to all information necessary for the discharge of their responsibilities.
All Directors are provided with all relevant information and reports on financial, operational, corporate, regulatory, business
development by way of Board papers or upon specific request for informed decision making and effective discharge of their
duties. These documents are comprehensive and include qualitative and quantitative information to enable the Board members
to make informed decisions. Notice of Board Meetings and board papers are provided to Directors in advance so that meaningful
deliberation and sound decisions can be made at Board meetings. All proceedings of the Board meetings are minuted by the
Company Secretary.

There is a formal schedule of matters reserved specifically for Board’s decisions. These include approval of key policies, significant
acquisitions and disposals of assets, significant investments and approval of budgets and corporate plans.

To assist in the discharge of their responsibilities and duties, all Directors have access to the advice and services of the Company
Secretary. If required, the Directors may engage independent professionals at the Group’s expense, in the furtherance of their
duties.




                                                                                                           SBC CORPORATION BERHAD
24




     STATEMENT OF CORPORATE GOVERNANCE




     BOARD OF DIRECTORS (cont’d)

     Re-election and Re-appointment of Directors

     In accordance with the Company’s Articles of Association, one third of the Directors shall retire by rotation from office and
     be eligible for re-election at the annual general meeting and all Directors appointed by the Board are subject to re-election
     by shareholders at the first opportunity after their appointment. Furthermore, each Director shall retire from office at least
     once in every three years. Directors who are of or over the age of seventy years shall also retire from office and be eligible for
     re-appointment at the annual general meeting pursuant to Section 129 (6) of the Companies Act, 1965.



     Directors’ Training

     All members of the Board have attended the Mandatory Accreditation Programme. Pursuant to Paragraph 15.09 of the Bursa
     Securities Listing Requirements, the Board is responsible to identify the training needs of its Directors which will aid them in
     the discharge of their duties on a continuous basis. The Board noted that the Nomination Committee is satisfied that the Board
     comprises qualified people with professional background, expertise in various fields and practical experience. Nevertheless, the
     Board encourages its Directors to go for training on their own initiative from time to time in order to keep them abreast of the
     latest developments in the market-place as well as the current changes in the laws, regulations and accounting standards.

     For new Directors, a familiarisation program will be conducted for them. This includes a presentation of the Group’s operations by
     senior management and visits to the existing project sites.



     Board Committees

     The Board has delegated certain of its responsibilities to the three Committees, namely the Audit, the Nomination and the
     Remuneration Committees with clearly defined terms of reference in assisting the Board to discharge its duties and responsibilities
     effectively.




     AUDIT COMMITTEE

     The report of the Audit Committee is set out on pages 33 to 37 of this annual report.




     SBC CORPORATION BERHAD
25




                                                                   STATEMENT OF CORPORATE GOVERNANCE




NOMINATION COMMITTEE (“NC”)

The NC has held one meeting during the financial year ended 31 March 2007. The attendance of the members of the NC at the
meeting is as follows:

                                                                                           No. of meetings
                                                                                           held during the
                                                                                        financial year ended         No. of meetings
Name of Members                                                                            31 March 2007                attended

Dato’ Lim Phaik Gan – Chairperson (Independent Non-Executive Director)                            1                         1

Dato’ Dr. Norraesah Bt Haji Mohamad (Independent Non-Executive Director)                          1                         1

Ahmad Fizal Bin Othman (Independent Non-Executive Director)                                       1                         1

Mun Chong Shing @ Mun Chong Tian (Non-Executive Director)                                         1                         1



The terms of reference of the NC are as follows:

(a) Membership

      The Committee shall be appointed by the Board from amongst the Directors of the Company and shall consist exclusively of
      non-executive Directors, with a minimum of 3, a majority of whom are independent.

      The members of the Committee shall elect the Chairman from among their number who shall be an independent director.

      In order to form a quorum in respect of a meeting of the Committee, the members present must be wholly or a majority of
      whom must be independent directors.

(b) Frequency of meetings

      Meetings shall be held not less than once a year. The Company Secretary shall be the Secretary of the Committee.

(c)   Authority

      The Committee is to recommend new nominees for the Board and the board committees and to assess Directors on an
      on-going basis. The actual decision as to who shall be nominated should be the responsibility of the full Board after considering
      the recommendations of the Committee.




                                                                                                             SBC CORPORATION BERHAD
26




     STATEMENT OF CORPORATE GOVERNANCE




     NOMINATION COMMITTEE (“NC”) (cont’d)

     (d) Duties

         The duties of the Committee shall be:

         (i)   to recommend to the Board, candidates for all directorships and in doing so, preference shall be given to shareholders or
               existing Board members and candidates proposed by the Chief Executive Officer and, within the bounds of practicability,
               by any other senior executive or any director or shareholder may also be considered.

         (ii) to recommend to the Board, directors to fill the seats on board committees.

         (iii) to review annually, on behalf of the Board, the required mix of skills, experience and other qualities, including core
               competencies, which non-executive directors should bring to the Board.

         (iv) to carry out annually, on behalf of the Board, the assessment of the effectiveness of the Board as a whole, the board
              committees and the contribution of each director.

     (e) Reporting procedures

         The Company Secretary shall circulate the minutes of meetings of the Committee to all members of the Board.



     At the meeting of the NC during the financial year ended 31 March 2007, the following matters were considered and resolved:

     (a) re-appointment and re-election of Directors at the Seventeenth Annual General Meeting;
     (b) mix of skills, experience and qualities of all Directors; and
     (c) the effectiveness of the Board and the contribution from each Board member.




     REMUNERATION COMMITTEE (“RC”)

     The members of the RC at the date of this report and their attendance at the meeting convened during the financial year ended
     31 March 2007 are as follows:

                                                                                              No. of meetings
                                                                                              held during the
                                                                                           financial year ended       No. of meetings
     Name of Members                                                                          31 March 2007              attended

     Dato’ Zainol Abidin Bin Haji A. Hamid - Chairman (Non-Executive Director)                      1                         1

     Dato’ Lim Phaik Gan (Independent Non-Executive Director)                                       1                         1

     Dato’ Dr. Norraesah Bt Haji Mohamad (Independent Non-Executive Director)                       1                         1

     Sia Teong Heng (Managing Director)                                                             1                         1




     SBC CORPORATION BERHAD
27




                                                                  STATEMENT OF CORPORATE GOVERNANCE




The terms of reference of the RC are as follows:

(a) Membership

      The Committee shall be appointed by the Board from amongst the Directors of the Company and shall consist of at least 3
      directors, wholly or a majority of whom are non-executive directors.

      The members of the Committee shall elect the Chairman from among their number who shall be a non-executive director.

      In order to form a quorum in respect of a meeting of the Committee, the members present must be wholly or a majority of
      whom must be non-executive directors.

(b) Frequency of meetings

      Meetings shall be held not less than once a year. The Company Secretary shall be the Secretary of the Committee.

(c)   Authority

      The Committee is authorized to draw from outside advice as and when necessary in forming its recommendation to the Board
      on the remuneration of the executive directors in all its forms. Executive directors should play no part in decisions on their
      own remuneration and should abstain from discussion of their own remuneration.

      The determination of the remuneration packages of the non-executive directors, including non-executive chairman, should
      be a matter for the Board as a whole. The individuals concerned should abstain from discussion of their own remuneration.

(d) Duties

      The duty of the Committee is to recommend to the Board the structure and level of remuneration of executive directors.

(e) Reporting procedures

      The Company Secretary shall circulate the minutes of meetings of the Committee to all members of the Board.



During the financial year ended 31 March 2007, the RC met once to consider the remuneration of the Executive Chairman and
Managing Director for 2007.




                                                                                                          SBC CORPORATION BERHAD
28




     STATEMENT OF CORPORATE GOVERNANCE




     DIRECTORS’ REMUNERATION

     The details of the remuneration of each Director during the financial year ended 31 March 2007 are as follows:

     (a) Total Remuneration


                                                              Basic                              Benefits Attendance
                                                             Salary     Bonuses         Fees     -in-kind        Fee          Total
                                                                RM          RM           RM           RM         RM            RM

         Executive

         Sia Kwee Mow @ Sia Hok Chai                       520,800       98,000             -      16,925             -    635,725
         Sia Teong Heng                                    453,600       84,000             -           -             -    537,600



         Non-Executive

         Mun Chong Shing @ Mun Chong Tian                         -            -      19,500              -      1,200      20,700
         Dato’ Zainol Abidin Bin Haji A. Hamid                    -            -      20,500              -      1,200      21,700
         Dato’ Lim Phaik Gan                                      -            -      20,500              -      2,400      22,900
         Dato’ Dr. Norraesah Bt. Haji Mohamad                     -            -      20,500              -      3,000      23,500
         Ahmad Fizal Bin Othman                                   -            -      19,500              -      2,700      22,200

         Total                                             974,400      182,000      100,500       16,925       10,500    1,284,325




     (b) Directors’ remuneration by bands

                                                                       Executive                Non-Executive                 Total

         RM1 to RM50,000                                                   -                          5                         5
         RM50,001 to RM100,000                                             -                          -                         -
         RM100,001 to RM150,000                                            -                          -                         -
         RM150,001 to RM200,000                                            -                          -                         -
         RM200,001 to RM250,000                                            -                          -                         -
         RM250,001 to RM300,000                                            -                          -                         -
         RM300,001 to RM350,000                                            -                          -                         -
         RM350,001 to RM400,000                                            -                          -                         -
         RM400,001 to RM450,000                                            -                          -                         -
         RM450,001 to RM500,000                                            -                          -                         -
         RM500,001 to RM550,000                                            1                          -                         1
         RM550,001 to RM600,000                                            -                          -                         -
         RM600,001 to RM650,000                                            1                          -                         1

         Total                                                             2                          5                         7




     SBC CORPORATION BERHAD
29




                                                                STATEMENT OF CORPORATE GOVERNANCE




ACCOUNTABILITY AND AUDIT

Financial Reporting

The Board aims to convey a balanced and understandable assessment of the Group’s financial position and prospects through the
quarterly results and annual reports/financial statements to the Company’s shareholders and regulators.

The Responsibility Statement by the Directors pursuant to Bursa Securities Listing Requirements is set out on page 38.



Internal Control

The Board acknowledges its responsibility for maintaining a sound internal controls system, which provides reasonable assurance
in ensuring the effectiveness and efficiency of operations and the safeguard of assets and interest in compliance with laws and
regulations as well as with internal financial administration procedures and guidelines.

The Group’s Statement on Internal Control is set out on pages 31 and 32.



Relationship with Auditors

The Board maintains a close and transparent professional relationship with the Group’s internal and external auditors through
the Audit Committee. In the course of audit of the Group’s operations, the internal and external auditors have highlighted all
important matters to the Audit Committee. The Audit Committee will then bring up the matters for the Board’s attention if it is
necessary.

The Group has paid RM 93,250 of non-audit fees to the external auditors for the financial year ended 31 March 2007.



Relationship with Shareholders and Investors

The primary tools of communication with the shareholders of the Company are through the annual report, announcements
through Bursa Securities and circulars. All queries from shareholders and members of public received through phone calls or letters
are handled by the Executive Directors, Group Financial Controller and Company Secretary.

At the annual general meeting and extraordinary general meeting, the Chairman gives shareholders ample opportunity to
participate through questions on the prospects, performance of the Group and other matters of concern to them with the Board.




                                                                                                         SBC CORPORATION BERHAD
30




     STATEMENT OF CORPORATE GOVERNANCE




     ADDITIONAL COMPLIANCE INFORMATION

     In conformance with the requirements of Bursa Securities, the following compliance information is provided:

     1.   Revaluation Policy on Landed Properties

          The Group’s landed properties are stated at cost. There is no policy of regular revaluation of its landed properties as at the end
          of the financial year ended 31 March 2007.

     2.   Materials Contracts

          There were no material contracts entered into by the Company and its subsidiaries which involved the directors’ and major
          shareholders’ interests subsisting at the end of the financial year ended 31 March 2007 or entered into since the end of the
          previous financial year.

     3.   Utilisation of Proceeds

          There were no proceeds raised from any proposals by the Company during the financial year.

     4.   Share Buy-backs

          There were no share buy-backs by the Company during the financial year.

     5.   Options, Warrants or Convertible Securities

          There were no options, warrants or convertible securities issued by the Company during the financial year.

     6.   American Depository Receipt (“ADR”) or Global Depository Receipt (“GDR”)

          During the financial year, the Company did not sponsor any ADR or GDR programme.

     7.   Sanctions and / or Penalties

          There were no sanctions and / or penalties imposed on the Company and its subsidiaries, Directors or Management by the
          relevant regulatory bodies during the financial year.

     8.   Variation in Results

          There is a deviation of more than 10% between the profit after tax and minority interest of RM1,825,000 stated in the
          unaudited results announced on 18 May 2007 and the loss after tax and minority interest of RM3,009,000 stated in the
          Audited Financial Statements of the Group for the year ended 31 March 2007. The reconciliation and explanation of the
          deviation are set out below:
                                                                                                        RM’000        RM’000

          Profit after tax and minority interest stated in the unaudited results                                                    1,825

          Less:   Impairment loss for investment properties                                                         (3,933)
                  Reversal of revaluation surplus                                                                     (618)
                  Overstatement of gain on disposal of investment properties                                          (305)         (4,856)

                                                                                                                                    (3,031)
          Add: Others                                                                                                                   22

          Loss after tax and minority interest stated in the Audited Financial Statements                                           (3,009)



     9.   Profit Guarantee

          There was no profit guarantee given by the Company in respect of the financial year.




     SBC CORPORATION BERHAD
31




                                                                           STATEMENT ON INTERNAL CONTROL




INTRODUCTION

Pursuant to paragraph 15.27 (b) of Bursa Malaysia Securities Berhad Listing Requirements, the Board of Directors of SBC Corporation
Berhad is pleased to provide the following statement on the state of internal control of the Group for the financial year ended
31 March 2007, which has been prepared in accordance with the Statement on Internal Control: Guidance for Directors of Public
Listed Companies.



BOARD RESPONSIBILITY

The Board of Directors acknowledges and recognizes its overall responsibility for the Group’s systems of internal controls and risk
management, as well as reviewing the adequacy and integrity of the internal control system to ensure that the Group’s assets and
shareholders’ interests are safeguarded. The responsibility for reviewing the adequacy and integrity of the internal control system
has been delegated to the Audit Committee and this committee obtains the assurance of the adequacy and integrity of the internal
control system through independent reviews conducted by the internal audit function, external auditors and Management.

As there are inherent limitations in any internal control system, such systems put in place by Management can only manage rather
than eliminate all risks that may impede the achievement of the Group’s business objectives. Accordingly, the internal control
system established by Management can only provide reasonable and not absolute assurance against material misstatement or
losses.



RISK MANAGEMENT FRAMEWORK

Risk management is seen as an integral part of the Group’s business operations by the Board. The Group has in place an ongoing
process for identifying, evaluating and managing the significant risks faced by the Group, throughout the financial year under
review. Senior management will assess and appraise the cost and benefits, impact on the Group, review the financial implications
before any investment or significant expenditrure is made.

This ongoing process is undertaken for all the major subsidiaries of the Group and the processes, findings, and actions taken by the
Management are all reviewed regularly by the Board.



INTERNAL AUDIT

The Group outsourced its internal audit function to a professional services firm to provide the Audit Committee and the Board
with the assurance they require pertaining to the adequacy and effectiveness of internal control systems. The results of the
audits and recommendations for improvement co-developed with Management were presented at the quarterly Audit Committee
Meetings. Although a number of internal control weaknesses were identified during the internal audit review process, none of
the weaknesses have resulted in any material losses, contingencies or uncertainties that would require disclosure in the Group’s
annual report.

In addition, the internal audit function also carried out follow up visits to ensure that recommendations for improvement to the
internal control systems are satisfactorily implemented.




                                                                                                          SBC CORPORATION BERHAD
32




     STATEMENT ON INTERNAL CONTROL




     OTHER KEY ELEMENTS OF INTERNAL CONTROL

     The other key elements of the Company’s internal control systems are:

     • An organizational structure, which clearly defines the lines of responsibility, proper segregation of duties and delegation of
       authority;

     • Established internal policies and procedures for key business units within the Group;

     • Rigorous review of key information such as financial performance, key business indicators, management accounts and detailed
       budgets by the Board and Audit Committee;

     • Experienced and dedicated team of personnel across the key functional units;

     • Regular management meetings are held to discuss the Group’s performance, business operational and management issues as
       well as formulate appropriate measures to address them;

     • The Executive Directors are closely involved in the running of business and operations of the Group and they report to the
       Board on significant changes in the business and external environment, which affect the operations of the Group at large;
       and

     • Regular and comprehensive information are provided to the Board and Senior Management for performance monitoring.



     ASSURANCE

     The Board is of the view that the Group’s system of internal controls is adequate and effective to safeguard shareholders’ investment
     and the Group’s assets. However, the internal control systems must continue to evolve to meet the changing and challenging
     business environment. In this regard, regular reviews of the internal control system by Management and auditors would ensure its
     continued relevance in mitigating risks.




     SBC CORPORATION BERHAD
33




                                                                                         AUDIT COMMITTEE REPORT




The Board of SBC Corporation Berhad is pleased to present the Audit Committee Report for the financial year ended 31 March
2007.




COMPOSITION AND MEETINGS

The Audit Committee comprises four members, three of whom are Independent Non-Executive Directors and one is the Managing
Director. The name of the members and their attendance at meetings held during the financial year ended 31 March 2007 are as
follows:

                                                                                        No. of meetings
                                                                                        held during the
                                                                                     financial year ended      No. of meetings
Name of Members                                                                         31 March 2007             attended

Dato’ Dr. Norraesah Bt Haji Mohamad - Chairperson (Independent Non-Executive Director)        4                        3

Dato’ Lim Phaik Gan (Independent Non-Executive Director)                                      4                        3

Ahmad Fizal Bin Othman (Independent Non-Executive Director)                                   4                        4

Sia Teong Heng (Managing Director)                                                            4                        4



The Audit Committee normally meets four times a year with additional meetings convened between scheduled meetings, if
necessary, to deliberate on urgent and significant matters.

The Group Financial Controller and the representatives of the outsourced Internal Auditors and the External Auditors attended the
meetings at the invitation of the Audit Committee, where considered necessary.

The Company Secretary is responsible for distributing the notice of the meetings and relevant papers to the Audit Committee
members prior to their meetings and recording the proceedings of the meetings thereat.




INTERNAL AUDIT FUNCTION

The internal audit function of the Group has been outsourced to Audex Governance Sdn. Bhd. The principal role of the Internal
Auditor is to undertake independent, regular and systematic review of the Group’s systems of internal control so as to provide
reasonable assurance that such systems continue to operate efficiently and effectively. It is the responsibility of the Internal
Auditor to provide the Audit Committee with independent and objective reports on the state of internal control of various
operating units within the Group and the extent of compliance of the units with Group’s established policies and procedures as
well as relevant statutory requirements.




                                                                                                       SBC CORPORATION BERHAD
34




     AUDIT COMMITTEE REPORT




     SUMMARY OF ACTIVITIES OF THE AUDIT COMMITTEE

     In line with the terms of reference of the Audit Committee, the following activities were carried out by the Audit Committee
     during the financial year ended 31 March 2007:

     a)   Discussed and reviewed the Audit Planning Memorandum which cover the external auditor’s plan, scope and nature of
          work.

     b)   Reviewed the Audit Review Memorandum in relation to their findings and accounting issues arising from the audit of the
          Group’s annual financial results.

     c)   Reviewed the unaudited quarterly report on the consolidated results of the Group for the quarters ended 31 March 2006, 30
          June 2006, 30 September 2006 and 31 December 2006.

     d)   Assessed the Group’s financial performance.

     e)   Reviewed related party transactions and conflicts of interest situation that may arise within the Group.

     f)   Reviewed and approved the internal audit plan and the internal audit reports and followed up on the remedial actions
          implemented by the Management in respect of the internal control weaknesses identified.

     g)   Reviewed the Group’s risk management policy and framework.

     h)   Reviewed the Group’s compliance with the applicable approved accounting standards issued by the Malaysian Accounting
          Standards Board and other relevant legal and regulatory requirements.




     SUMMARY OF ACTIVITIES OF THE INTERNAL AUDIT FUNCTION

     During the financial year ended 31 March 2007, the Internal Auditor has:

     a)   Presented a risk-based annual audit plan and risk assessment policy for the Audit Committee’s review and approval;

     b)   Performed company-wide operation and special audits giving due attention to high and medium risk area of concerns;

     c)   Followed up on the status of rectification with regards to significant issues and kept the Audit Committee abreast of the
          current status; and

     d)   Furnished internal audit reports to the Audit Committee on quarterly basis as an updates of the internal audit activities.




     SBC CORPORATION BERHAD
35




                                                                                      AUDIT COMMITTEE REPORT




SUMMARY OF ACTIVITIES OF THE INTERNAL AUDIT FUNCTION (cont’d)

In accordance with the approved audit plan for 2006/2007, the areas reviewed by the internal audit function were as follows:

a)   Management and operational review of companies within the Group;

b)   Projects status and cost monitoring;

c)   Manage contractor performance;

d)   Progress claims processing;

e)   Manage the issuance of work orders and variation orders;

f)   Review of relevant policies and procedures;

g)   Post construction service and maintenance;

h)   Project performance reviews and evaluation;

i)   Related party transactions; and

j)   Property management.

A number of minor internal control weaknesses were identified during the year, all of which have been addressed by the
Management. None of the weaknesses has resulted in any material losses, contingencies or uncertainties that would require
disclosure in the Group’s annual report.

The annual internal audit plan for 2007/2008 was presented to the Audit Committee for review and approval subsequent to the
financial year ended 31 March 2007. The activities of the internal audit function cover the following areas:

a)   Management and operational review of companies within the Group;

b)   Projects performance reviews and evaluation;

c)   Pre-qualification and contractor performance management;

d)   Progress claims processing;

e)   Manage the issuance of work orders and variation orders;

f)   Post construction service and maintenance;

g)   Review of relevant policies and procedures;

h)   Related party transactions;

i)   Human resource management; and

j)   Property management.

The above reviews cover all the offices and project sites which are located in Kuala Lumpur, Kuantan and Kota Kinabalu.




                                                                                                       SBC CORPORATION BERHAD
36




     AUDIT COMMITTEE REPORT




     TERMS OF REFERENCE OF THE AUDIT COMMITTEE

     Membership

     The Committee shall be appointed by the Board from amongst the Directors of the Company and shall consist of at least 3
     directors, a majority of whom are independent. At least one member of the Committee must be:

     (i)   a member of the Malaysian Institute of Accountants (“MIA”); or

     (ii) if he is not a member of the MIA, he must have at least 3 years working experience and

           • he must have passed the examinations specified in Part I of the 1st Schedule to the Accountant Act, 1967; or

           • he must be a member of one of the associations of accountants specified in Part II of the 1st Schedule to the Accountants
             Act, 1967.

     The members of the Committee shall elect a Chairman from amongst their number who shall be an independent director. In
     order to form a quorum in respect of a meeting of the Committee, the majority of the members present must be independent
     directors.



     Attendance At Meeting

     The Group Financial Controller and the representatives of the outsourced internal auditors and the external auditors shall normally
     attend meetings. Other directors and employees of the Company may attend meetings at the Committee’s invitation. However, at
     least once a year the Committee shall meet with the external auditors without any executive director present.

     The Company Secretary shall be the secretary of the Committee.



     Frequency Of Meetings

     Meetings shall be held not less than four times a year. The external auditors may request a meeting if they consider that one is
     necessary.



     Authority

     The Committee is authorised by the Board to investigate any activity within its terms of reference. It is authorised to seek any
     information it requires from any employee and all the employees are directed to cooperate with any request made by the
     Committee.

     The Committee is authorised by the Board to obtain outside legal or other independent professional advice and to secure the
     attendance of an outsider with relevant experience and expertise, if it considers this necessary.



     Duties

     The duties of the Audit Committee shall be:

     (1) to consider the appointment of the external auditors, the audit fees and any questions of nomination, resignation or
         dismissal.

     (2) to discuss with the external auditors before the audit commences the nature and scope of the audit and ensure co-ordination
         where more than one audit firm is involved.




     SBC CORPORATION BERHAD
37




                                                                                       AUDIT COMMITTEE REPORT




TERMS OF REFERENCE OF THE AUDIT COMMITTEE (cont’d)

Duties (cont’d)

(3) to discuss with the external auditors the evaluation of the system of internal controls, audit report and ensure assistance
    given by the employees to the external auditors.

(4) To review the quarterly and year-end financial statements before submission to the Board, focusing particularly on:

    • any changes or implementation of changes in accounting policies and practices;

    • major judgement areas;

    • significant adjustments arising from the audit;

    • significant and unusual events;

    • the going concern assumption;

    • compliance with accounting standards; and

    • compliance with stock exchange and legal requirements.

(5) to discuss problems and reservations arising from the interim and final audits and any matters the external auditor may wish
    to discuss in the absence of management, where necessary.

(6) to review the external auditors’ management letter and management’s response.

(7) to do the following where an internal audit function exists:

    • review the adequacy of the scope, functions and resources of the internal audit function and that it has the necessary
      authority to carry out its work.

    • review the internal audit programme and processes and results of the internal audit programme, processes and investigation
      and where necessary, ensure that appropriate action is taken on the recommendations of the internal audit function.

    • review any appraisal or assessment of the performance of the members of the internal audit function.

    • approve the appointment or termination of senior staff members of the internal audit function.

    • inform itself of resignations of internal audit staff members and provide the resigning staff member an opportunity to
      submit his reasons for resigning.

(8) to consider any related party transactions and conflict of interest situations that may arise within the Company or the Group
    including any transaction, procedure or course of conduct that raises questions of management integrity.

(9) to consider the findings of internal investigations and management’s response and ensure co-ordination between internal
    and external auditors.

(10) to consider other topics, as defined by the Board.



Reporting

The Company Secretary shall circulate the minutes of meetings of the Committee to all members of the Board.




                                                                                                       SBC CORPORATION BERHAD
38




     STATEMENT OF DIRECTORS’ RESPONSIBILITIES
     IN RESPECT OF THE PREPARATION OF THE FINANCIAL STATEMENTS




     The Directors are responsible for ensuring that the financial statements of the Group are drawn up in accordance with applicable
     approved accounting standards in Malaysia and the provisions of the Companies Act, 1965 so as to give a true and fair view of the
     state of affairs of the Group and the Company as of 31 March 2007 and of the results and cash flows of the Group and Company
     for the financial year ended on that date.

     In preparing the financial statements, the Directors have:

     (a) adopted suitable accounting policies and applied them consistently;

     (b) made judgements and estimates that are prudent and reasonable;

     (c)   ensured the adoption of applicable approved accounting standards; and

     (d) used the going concern basis for the preparation of the financial statements.



     The Directors are responsible for ensuring proper accounting records are kept which disclose with reasonable accuracy at any time
     the financial position of the Group and the Company and are kept in accordance with the Companies Act, 1965. The Directors are
     also responsible for taking such steps as are reasonably open to them to safeguard the Group’s assets and to prevent and detect
     fraud and other irregularities.




     SBC CORPORATION BERHAD
FINANCIAL
STATEMENTS
40   DIRECTORS’ REPORT

44   STATEMENT BY DIRECTORS

44   STATUTORY DECLARATION

45   REPORT TO THE AUDITORS

46   BALANCE SHEETS

48   INCOME STATEMENTS

49   STATEMENTS OF CHANGES IN EQUITY

51   CASH FLOW STATEMENTS

54   NOTES TO THE FINANCIAL STATEMENTS
40




     DIRECTORS’ REPORT




     The directors hereby submit their report and the audited financial statements of the Group and of the Company for the financial
     year ended 31 March 2007.



     PRINCIPAL ACTIVITIES

     The Company is principally engaged in the businesses of investment holding and the provision of management and administrative
     services to the subsidiaries. The principal activities of the subsidiaries are disclosed in Note 6 to the financial statements. There have
     been no significant changes in the nature of these activities during the financial year.



     RESULTS
                                                                                                           THE GROUP        THE COMPANY
                                                                                                               RM                RM

     (Loss)/Profit after taxation for the financial year                                                      (3,009,272)            676,891



     DIVIDENDS

     Since the end of the previous financial year, the Company paid a first and final dividend of 1% less 28% tax on the ordinary shares
     amounting to RM593,527 in respect of the previous financial year.

     For the current financial year, the directors recommend the payment of a first and final dividend of 1% less 27% tax on the
     ordinary shares amounting to RM601,776 to be approved by the shareholders at the forthcoming Annual General Meeting.



     RESERVES AND PROVISIONS

     All material transfers to or from reserves or provisions during the financial year are disclosed in the financial statements.



     ISSUES OF SHARES AND DEBENTURES

     During the financial year,

     (a)   there were no changes in the authorised and issued and paid-up share capital of the Company; and

     (b)   there were no issues of debentures by the Company.



     OPTIONS GRANTED OVER UNISSUED SHARES

     During the financial year, no options were granted by the Company to any person to take up any unissued shares in the
     Company.



     BAD AND DOUBTFUL DEBTS

     Before the financial statements of the Group and of the Company were made out, the directors took reasonable steps to ascertain
     that action had been taken in relation to the writing off of bad debts and the making of allowance for doubtful debts, and satisfied
     themselves that all known bad debts had been written off and that adequate allowance had been made for doubtful debts.

     At the date of this report, the directors are not aware of any circumstances that would further require the writing off of bad debts,
     or additional allowance for doubtful debts in the financial statements of the Group and of the Company.




     SBC CORPORATION BERHAD
41




                                                                                                      DIRECTORS’ REPORT




CURRENT ASSETS

Before the financial statements of the Group and of the Company were made out, the directors took reasonable steps to ascertain
that any current assets other than debts, which were unlikely to be realised in the ordinary course of business, including their
values as shown in the accounting records of the Group and of the Company, have been written down to an amount which they
might be expected so to realise.

At the date of this report, the directors are not aware of any circumstances which would render the values attributed to the current
assets in the financial statements of the Group and of the Company misleading.



VALUATION METHODS

At the date of this report, the directors are not aware of any circumstances which have arisen which render adherence to the
existing methods of valuation of assets or liabilities of the Group and of the Company misleading or inappropriate.



CONTINGENT AND OTHER LIABILITIES

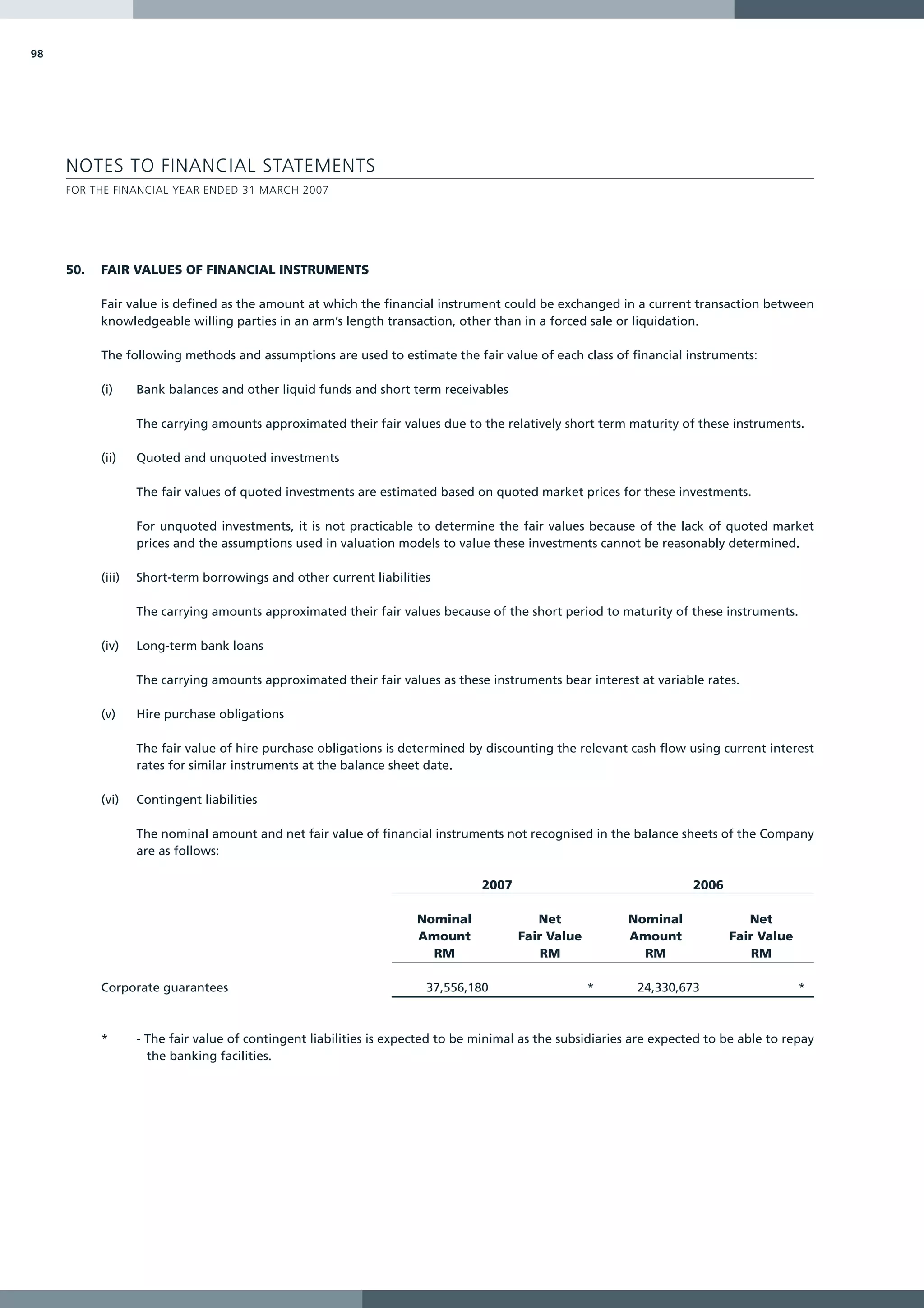
The contingent liability of the Company is disclosed in Note 46 to the financial statements. At the date of this report, there does
not exist:

(a)   any charge on the assets of the Group and of the Company that has arisen since the end of the financial year which secures
      the liabilities of any other person; or

(b)   any contingent liability of the Group and of the Company which has arisen since the end of the financial year.

No contingent or other liability of the Group and of the Company has become enforceable or is likely to become enforceable within
the period of twelve months after the end of the financial year which, in the opinion of the directors, will or may substantially
affect the ability of the Group and of the Company to meet their obligations when they fall due.



CHANGE OF CIRCUMSTANCES

At the date of this report, the directors are not aware of any circumstances not otherwise dealt with in this report or the financial
statements of the Group and of the Company which would render any amount stated in the financial statements misleading.



ITEMS OF AN UNUSUAL NATURE

The results of the operations of the Group and of the Company during the financial year were not, in the opinion of the directors,
substantially affected by any item, transaction or event of a material and unusual nature.

There has not arisen in the interval between the end of the financial year and the date of this report any item, transaction or event
of a material and unusual nature likely, in the opinion of the directors, to affect substantially the results of the operations of the
Group and of the Company for the financial year.




                                                                                                           SBC CORPORATION BERHAD
42




     DIRECTORS’ REPORT




     DIRECTORS

     The directors who served since the date of the last report are as follows:

     SIA KWEE MOW @ SIA HOK CHAI
     SIA TEONG HENG
     MUN CHONG SHING @ MUN CHONG TIAN
     DATO’ LIM PHAIK GAN
     DATO’ DR. NORRAESAH BT HAJI MOHAMAD
     DATO’ ZAINOL ABIDIN BIN HAJI A. HAMID
     AHMAD FIZAL BIN OTHMAN

     Pursuant to Section 129 of the Companies Act, 1965, Sia Kwee Mow @ Sia Hok Chai, Dato’ Lim Phaik Gan and Mun Chong Shing @
     Mun Chong Tian retire at the forthcoming Annual General Meeting and offer themselves for re-appointment under the provisions
     of Section 129(6) of the said Act to hold office until the next Annual General Meeting of the Company.

     Pursuant to Article 77 of the Articles of Association of the Company, Ahmad Fizal bin Othman retires by rotation at the forthcoming
     Annual General Meeting and, being eligible, offers himself for re-election.



     DIRECTORS’ INTERESTS

     According to the register of directors’ shareholdings, the interests of directors holding office at the end of the financial year in
     shares in the Company during the financial year are as follows:



                                                                          NUMBER OF ORDINARY SHARES OF RM1 EACH

                                                                    AT                                                       AT
                                                                 1.4.2006            BOUGHT               SOLD            31.3.2007

     DIRECT INTERESTS

     SIA KWEE MOW @ SIA HOK CHAI                                      1,480,800                 -                  -         1,480,800
     SIA TEONG HENG                                                   2,517,992         2,260,000           (100,000)        4,677,992
     MUN CHONG SHING @ MUN CHONG TIAN                                    21,782                 -                  -            21,782



     INDIRECT INTERESTS

     SIA KWEE MOW @ SIA HOK CHAI                                    19,498,523                   -                  -       19,498,523
     SIA TEONG HENG                                                 19,498,523                   -                  -       19,498,523



     By virtue of their interests in the Company, Sia Kwee Mow @ Sia Hok Chai and Sia Teong Heng are deemed to have interests in the
     shares in the subsidiaries to the extent of the Company’s interest, in accordance with Section 6A of the Companies Act, 1965.

     None of the other directors holding office at the end of the financial year had any interest in shares of the Company or its related
     corporations during the financial year.
43




                                                                                                   DIRECTORS’ REPORT




DIRECTORS’ BENEFITS

Since the end of the previous financial year, no director has received or become entitled to receive any benefit (other than a
benefit included in the aggregate amount of emoluments received or due and receivable by directors as shown in the financial
statements, or the fixed salary of a full-time employee of the Company) by reason of a contract made by the Company or a related
corporation with the director or with a firm of which the director is a member, or with a company in which the director has a
substantial financial interest except for any benefits which may be deemed to arise from transactions entered into in the ordinary
course of business with companies in which certain directors have substantial financial interests as disclosed in Note 45 to the
financial statements.

Neither during nor at the end of the financial year was the Company or its subsidiaries a party to any arrangements whose object
is to enable the directors to acquire benefits by means of the acquisition of shares in or debentures of the Company or any other
body corporate.



SIGNIFICANT EVENTS DURING THE FINANCIAL YEAR

The significant events during the financial year of the Company are disclosed in Note 51 to the financial statements.



AUDITORS

The auditors, Messrs. Horwath, have expressed their willingness to continue in office.



SIGNED IN ACCORDANCE WITH A RESOLUTION OF THE DIRECTORS




Sia Kwee Mow @ Sia Hok Chai




Mun Chong Shing @ Mun Chong Tian



Kuala Lumpur
30 July 2007
44




     STATEMENT BY DIRECTORS




     We, Sia Kwee Mow @ Sia Hok Chai and Mun Chong Shing @ Mun Chong Tian, being two of the directors of SBC Corporation
     Berhad, state that, in the opinion of the directors, the financial statements set out on pages 46 to 99 are drawn up in accordance
     with applicable MASB approved accounting standards in Malaysia for Entities Other Than Private Entities and the provisions of the
     Companies Act, 1965 so as to give a true and fair view of the state of affairs of the Group and of the Company at 31 March 2007
     and of their results and cash flows for the financial year ended on that date.



     SIGNED IN ACCORDANCE WITH A RESOLUTION OF THE DIRECTORS




     Sia Kwee Mow @ Sia Hok Chai                                                               Mun Chong Shing @ Mun Chong Tian



     Kuala Lumpur
     30 July 2007




     STATUTORY DECLARATION




     I, Lee Yan Yaw, I/C No. 710315-10-5509, being the officer primarily responsible for the financial management of SBC Corporation
     Berhad, do solemnly and sincerely declare that the financial statements set out on pages 46 to 99 are, to the best of my knowledge
     and belief, correct, and I make this solemn declaration conscientiously believing the same to be true and by virtue of the provisions
     of the Statutory Declarations Act, 1960.



     Subscribed and solemnly declared by
     Lee Yan Yaw, I/C No. 710315-10-5509,
     at Kuala Lumpur in the Federal Territory
     on this 30 July 2007




     Lee Yan Yaw




     Before me




     Datin Hajah Raihela Wanchik (W275)
     Commissioner for Oaths



     Kuala Lumpur
     30 July 2007
45




                                                                                           REPORT OF THE AUDITORS
                                                                                       TO THE MEMBERS OF SBC CORPORATION BERHAD




We have audited the financial statements set out on pages 46 to 99. The preparation of the financial statements is the responsibility
of the Company’s directors.

It is our responsibility to form an independent opinion, based on our audit, on the financial statements and to report our opinion
to you, as a body, in accordance with Section 174 of the Companies Act, 1965 and for no other purpose. We do not assume
responsibility to any other person for the content of this report.

We conducted our audit in accordance with approved standards on auditing in Malaysia. These standards require that we plan
and perform the audit to obtain reasonable assurance that the financial statements are free of material misstatement. Our audit
included examining, on a test basis, evidence relevant to the amounts and disclosures in the financial statements. Our audit also
included an assessment of the accounting principles used and significant estimates made by the directors as well as evaluating the
overall adequacy of the presentation of information in the financial statements. We believe our audit provides a reasonable basis
for our opinion.

In our opinion,

(a)   the financial statements are properly drawn up in accordance with the provisions of the Companies Act, 1965 and applicable
      MASB approved accounting standards in Malaysia for Entities Other Than Private Entities so as to give a true and fair view
      of:

      (i)    the state of affairs of the Group and of the Company at 31 March 2007 and their results and cash flows for the financial
             year ended on that date; and

      (ii)   the matters required by Section 169 of the Companies Act, 1965 to be dealt with in the financial statements of the
             Group and of the Company; and

(b)   the accounting and other records and the registers required by the Companies Act, 1965 to be kept by the Company and by
      the subsidiaries of which we have acted as auditors have been properly kept in accordance with the provisions of the said
      Act.

We have considered the financial statements and the auditors’ reports thereon of the subsidiaries for which we have not acted as
auditors, as indicated in Note 6 to the financial statements.

We are satisfied that the financial statements of the subsidiaries that have been consolidated with the Company’s financial
statements are in form and content appropriate and proper for the purposes of the preparation of the consolidated financial
statements and we have received satisfactory information and explanations required by us for those purposes.

The audit reports on the financial statements of the subsidiaries were not subject to any qualification and did not include any
comments made under Section 174(3) of the said Act.




Horwath                                                                                                              Lee Kok Wai
Firm No: AF 1018                                                                                        Approval No: 2760/06/08 (J)
Chartered Accountants                                                                                                      Partner



Kuala Lumpur
30 July 2007
46




     BALANCE SHEETS
     AT 31 MARCH 2007




                                                                                      THE GROUP                    THE COMPANY

                                                                               2007            2006            2007          2006
                                                               NOTE             RM              RM              RM            RM
                                                                                            (Restated)

     NON-CURRENT ASSETS

     Investment in subsidiaries                                  6                      -              -      210,990,785   211,064,785
     Interest in associates                                       7           112,085,613    111,816,402        2,400,000     2,400,000
     Investment in joint venture                                  8                     -              -        1,801,128       712,500
     Property, plant and equipment                                9             8,549,543      8,242,610            2,657         7,552
     Investment properties                                       10             3,122,452      6,867,925                -             -
     Land held for property
       development                                               11            87,700,188     87,090,675                -              -
     Other assets                                                12               220,300         86,300                -              -
     Goodwill on consolidation                                   13            27,499,451     27,317,640                -              -

                                                                              239,177,547    241,421,552      215,194,570   214,184,837



     CURRENT ASSETS

     Inventories                                                 14               726,148      1,283,422               -               -
     Property development costs                                  15            59,707,257     55,130,848               -               -
     Receivables                                                 16            59,332,215     42,574,730         479,393         226,427
     Amount owing by contract
       customers                                                 17             2,616,779         3,114,994             -             -
     Amount owing by subsidiaries                                18                     -                 -    58,919,707    65,774,637
     Amount owing by associates                                  19             5,390,600         5,399,534         2,500        11,434
     Amount owing by joint venture                               20               280,727                 -       561,454             -
     Tax recoverable                                             21             1,367,292         1,551,225     3,451,474     3,206,127
     Short-term deposits with
       licensed banks                                            22             3,334,226         1,364,225     1,239,225     1,239,225
     Cash and bank balances                                      23            13,918,913         9,205,230    12,077,309     8,150,432

                                                                              146,674,157    119,624,208       76,731,062    78,608,282

     TOTAL ASSETS                                                             385,851,704    361,045,760      291,925,632   292,793,119




     The annexed notes form an integral part of these financial statements.
47




                                                                                        BALANCE SHEETS
                                                                                            AS AT 31 DECEMBER 2006




                                               THE GROUP                                 THE COMPANY

                                        2007               2006                     2007                    2006
                                NOTE     RM                 RM                       RM                      RM
                                                        (Restated)

EQUITY AND LIABILITIES EQUITY

Share capital                    24     82,435,000         82,435,000              82,435,000              82,435,000
Reserves                         25    130,690,786        134,293,585             133,735,893             133,652,529

TOTAL EQUITY                           213,125,786        216,728,585             216,170,893             216,087,529



NON-CURRENT LIABILITIES

ABBA Bonds                       26              -         43,978,499                            -         43,978,499
Long-term borrowings             27     33,939,069         30,629,180                            -                  -
Deferred taxation                29        966,746            966,746                            -                  -

                                        34,905,815         75,574,425                            -         43,978,499



CURRENT LIABILITIES

Amount owing to contract
  customers                      17      2,850,429          1,540,444                       -                       -
Payables                         30     42,512,894         32,241,497                 371,667                 244,765
Amount owing to subsidiaries     18              -                  -              12,375,674              18,082,756
Amount owing to associates       19          3,378             16,711                       -                       -
Amount owing to a director       31      1,867,680          1,867,680               1,867,680               1,867,680
Short-term borrowings            32     14,874,442         15,941,779               5,000,000               5,000,000
ABBA Bonds                       26     48,683,146          2,478,450              48,683,146               2,478,450
Bank overdrafts                  33     27,028,134         14,656,189               7,456,572               5,053,440

                                       137,820,103         68,742,750              75,754,739              32,727,091

TOTAL LIABILITIES                      172,725,918        144,317,175              75,754,739              76,705,590

TOTAL EQUITY AND LIABILITIES           385,851,704        361,045,760             291,925,632             292,793,119

NET ASSETS PER ORDINARY
  SHARE (RM)                     34            2.59                 2.63




                                                      The annexed notes form an integral part of these financial statements.
48




     INCOME STATEMENTS
     FOR THE FINANCIAL YEAR ENDED 31 MARCH 2007




                                                                                      THE GROUP                    THE COMPANY

                                                                               2007             2006            2007          2006
                                                               NOTE             RM               RM              RM            RM
                                                                                             (Restated)

     REVENUE                                                     35           77,102,946       69,926,734       8,338,611     7,641,913

     COST OF SALES                                               36           (60,499,310)    (56,847,233)               -              -

     GROSS PROFIT                                                             16,603,636       13,079,501       8,338,611     7,641,913

     OTHER INCOME                                                              1,324,144          1,751,359       203,976               -

     ADMINISTRATIVE EXPENSES                                                   (8,315,933)        (7,142,456)   (1,282,327)   (1,154,115)

     OTHER EXPENSES                                                            (5,382,766)        (1,262,033)    (407,665)       (289,792)

     FINANCE COSTS                                                             (6,705,397)        (5,160,442)   (5,868,501)   (5,697,750)

     SHARE OF PROFITS OF
       ASSOCIATES                                                                269,211            103,008              -              -

     (LOSS)/PROFIT BEFORE
       TAXATION                                                  37            (2,207,105)        1,368,937       984,094        500,256

     INCOME TAX EXPENSE                                          38             (802,167)          (321,740)     (307,203)       (350,436)

     (LOSS)/PROFIT AFTER TAXATION                                              (3,009,272)        1,047,197       676,891        149,820

     ATTRIBUTABLE TO:
       Equity holders of the Company                                           (3,009,272)        1,047,197       676,891        149,820

     (Loss)/Earnings per share
       - basic                                                   39              (3.7) sen           1.3 sen
       - diluted                                                 39                   N/A               N/A

     Dividend per ordinary share
       - final                                                   40                 1 sen              1 sen




     The annexed notes form an integral part of these financial statements.
49




                                                      STATEMENTS OF CHANGES IN EQUITY
                                                                    FOR THE FINANCIAL YEAR ENDED 31 MARCH 2007




                               SHARE         SHARE          RETAINED                 CAPITAL
                              CAPITAL       PREMIUM          PROFITS                 RESERVE                   TOTAL
                       NOTE     RM             RM              RM                      RM                       RM

THE GROUP

Balance at 1.4.2005
- as previously
    reported                   82,435,000   111,412,895        24,959,499                1,199,999            220,007,393
- prior year
    adjustments         49              -             -         (3,732,478)                          -          (3,732,478)

- as restated                  82,435,000   111,412,895        21,227,021                1,199,999            216,274,915

Loss after taxation
  for the financial
  year                                  -             -          1,047,197                           -           1,047,197

Dividend                40              -             -           (593,527)                          -            (593,527)

Balance at
  31.3.2006/
  1.4.2006                     82,435,000   111,412,895        21,680,691                1,199,999            216,728,585

Loss after taxation
  for the financial
  year                                  -             -         (3,009,272)                          -          (3,009,272)

Dividend                40              -             -           (593,527)                          -            (593,527)

Balance at 31.3.2007           82,435,000   111,412,895        18,077,892                1,199,999            213,125,786




                                                          The annexed notes form an integral part of these financial statements.
50




     STATEMENTS OF CHANGES IN EQUITY
     FOR THE FINANCIAL YEAR ENDED 31 MARCH 2007




                                                              SHARE                SHARE        RETAINED       CAPITAL
                                                             CAPITAL              PREMIUM        PROFITS       RESERVE       TOTAL
                                       NOTE                    RM                    RM            RM            RM           RM

     THE COMPANY

     Balance at 1.4.2005                                      82,435,000          111,412,895    22,683,341              -   216,531,236

     Profit after taxation
       for the financial
       year                                                                   -             -      149,820               -      149,820

     Dividend                            40                                   -             -      (593,527)             -      (593,527)

     Balance at
       31.3.2006/
       1.4.2006                                               82,435,000          111,412,895    22,239,634              -   216,087,529

     Profit after taxation
       for the financial
       year                                                                   -             -      676,891               -      676,891

     Dividend                            40                                   -             -      (593,527)             -      (593,527)

     Balance at 31.3.2007                                     82,435,000          111,412,895    22,322,998              -   216,170,893




     The annexed notes form an integral part of these financial statements.
51




                                                                             CASH FLOW STATEMENTS
                                                                     FOR THE FINANCIAL YEAR ENDED 31 MARCH 2007




                                                    THE GROUP                                 THE COMPANY

                                             2007               2006                     2007                    2006
                                     NOTE     RM                 RM                       RM                      RM
                                                             (Restated)

CASH FLOWS (FOR)/FROM
  OPERATING ACTIVITIES

(Loss)/Profit before taxation                (2,207,105)          1,368,937                 984,094                 500,256

Adjustments for:
  Amortisation of bonds expenses               277,770              279,708                 277,770                 279,708
  Bad debts written off                        697,574                    -                       -                       -
  Depreciation of property,
    plant and equipment                        580,160              424,695                   4,895                  10,084
  Interest expense/finance charges           6,564,396            5,058,620               5,817,195               5,671,876
  Impairment loss on interest in
    an associate                                      -             549,434                           -                       -
  Impairment loss on investment
    properties                               2,074,556                       -                        -                       -
  Impairment loss on land held for
    property development                     1,858,834                       -                        -                       -
  Investment in subsidiaries
    written off                                       -                      -              125,000                           -
  Loss/(Gain) on disposal of
    investment properties                      413,987             (812,642)                      -                       -
  Waiver of debts                             (211,269)            (448,845)               (203,976)                      -
  Dividend income                                    -                    -              (5,000,000)             (5,000,000)
  Gain on disposal of property,
    plant and equipment                       (155,791)            (132,283)                      -                       -
  Interest income                             (513,693)            (261,016)               (768,966)             (1,214,091)
  Share of profits in associates              (269,211)            (103,008)                      -                       -

Operating profit before working
   capital changes                           9,110,208            5,923,600               1,236,012                 247,833
Decrease in inventories                        557,274            3,076,070                       -                       -
(Increase)/Decrease in property
   development costs                         (4,273,713)         6,171,242                        -                        -
Increase in receivables                     (17,243,790)       (13,785,219)                (252,966)                 (83,350)
Increase/(Decrease) in payables              10,272,117          2,695,419                  126,902                  (11,362)
Net decrease/(increase) in amount
   owing by contract customers               1,808,200             (613,115)                          -                       -

CASH FROM OPERATIONS                           230,296            3,467,997               1,109,548                 153,121

Interest paid                                (2,077,587)           (571,134)             (1,330,386)             (1,184,390)
Net tax (paid)/refunded                        (618,234)          4,734,735                 797,450               6,441,353

NET CASH (FOR)/FROM OPERATING
 ACTIVITIES CARRIED FORWARD                  (2,465,525)          7,631,598                 577,012               5,410,084




                                                           The annexed notes form an integral part of these financial statements.
52




     CASH FLOW STATEMENTS
     FOR THE FINANCIAL YEAR ENDED 31 MARCH 2007




                                                                                     THE GROUP                    THE COMPANY

                                                                              2007             2006            2007          2006
                                                               NOTE            RM               RM              RM            RM
                                                                                            (Restated)

     NET CASH (FOR)/FROM
      OPERATING ACTIVITIES
      BROUGHT FORWARD                                                         (2,465,525)        7,631,598       577,012     5,410,084

     CASH FLOWS (FOR)/FROM
       INVESTIING ACTIVITIES

     Acquisition of joint venture                                                      -                  -    (1,088,628)      (712,500)
     Additional investment in
       subsidiaries                                                            (181,811)                  -             -              -
     Repayment from/(Advances to)
       subsidiaries                                                                   -                  -     7,254,414     (3,466,050)
     Interest received                                                          513,693            261,016       369,482        204,859
     Dividends received from
       subsidiaries                                                                   -                   -    3,650,000     3,600,000
     Advances to joint venture                                                 (280,727)                  -     (561,454)            -
     Incidental cost for investment
       properties                                                              (117,070)
     Payment for land held for
       development                                                            (2,468,347)         (466,545)             -              -
     Purchase of property, plant and
       equipment                                                 41           (1,204,262)         (194,106)             -              -
     Purchase of investment in
       subsidiaries                                                                    -                  -      (51,000)              -
     Proceeds from disposal of property,
       plant and equipment                                                      170,264            132,370              -              -
     Proceeds from disposal of
       investment properties                                                  1,374,000          4,211,187              -              -
     Investment in club membership                                             (134,000)                 -              -              -
     Placement of cash in sinking
       fund account                                                           (3,877,963)        (4,097,229)   (3,877,963)   (4,097,229)
     Repayment from associates                                                     8,934                  -         8,934             -

     NET CASH (FOR)/FROM INVESTING
      ACTIVITIES                                                              (6,197,289)         (153,307)    5,703,785     (4,470,920)

     BALANCE CARRIED FORWARD                                                  (8,662,814)        7,478,291     6,280,797        939,164




     The annexed notes form an integral part of these financial statements.
53




                                                                         CASH FLOW STATEMENTS
                                                                 FOR THE FINANCIAL YEAR ENDED 31 MARCH 2007




                                                THE GROUP                                 THE COMPANY

                                         2007               2006                     2007                    2006
                                 NOTE     RM                 RM                       RM                      RM
                                                         (Restated)

BALANCE BROUGHT FORWARD                  (8,662,814)          7,478,291               6,280,797                 939,164

CASH FLOWS FOR FINANCING
  ACTIVITIES

Payment of bonds expenses                   (59,932)            (61,872)                (59,932)                (61,872)
Repayment of bonds                26     (2,478,450)         (2,478,450)             (2,478,450)             (2,478,450)
Net repayment by associates                 (13,333)           (530,875)                      -                       -
(Repayment to)/Advances from
  subsidiaries                                    -                      -           (5,503,106)              2,927,198
Dividend paid to shareholders
  of the company                           (593,527)           (593,527)               (593,527)               (593,527)
Repayment of revolving credit            (1,050,000)         (1,600,000)                      -                       -
Drawdown of term loans                    6,400,068           3,600,000                       -                       -
Repayment of term loans                  (3,007,129)         (2,077,764)                      -                       -
Repayment of hire purchase
  obligations                             (101,107)              (72,630)                         -                       -

NET CASH FOR FINANCING
 ACTIVITIES                               (903,410)          (3,815,118)             (8,635,015)               (206,651)

NET (DECREASE)/INCREASE IN
 CASH AND CASH EQUIVALENTS               (9,566,224)          3,663,173              (2,354,218)                732,513

CASH AND CASH EQUIVALENTS
  AT BEGINNING OF THE
  FINANCIAL YEAR                        (12,209,846)       (15,873,019)              (3,786,895)             (4,519,408)

CASH AND CASH EQUIVALENTS
  AT END OF THE FINANCIAL YEAR    42    (21,776,070)       (12,209,846)              (6,141,113)             (3,786,895)




                                                       The annexed notes form an integral part of these financial statements.
54




     NOTES TO FINANCIAL STATEMENTS
     FOR THE FINANCIAL YEAR ENDED 31 MARCH 2007




     1.   GENERAL INFORMATION

          The Company is a public company limited by shares and is incorporated under the Malaysian Companies Act, 1965.
          The domicile of the Company is Malaysia. The registered office, which is also the principal place of business, is at
          Wisma Siah Brothers, 74A, Jalan Pahang, 53000 Kuala Lumpur.

          The financial statements were authorised for issue by the Board of Directors in accordance with a resolution of the directors
          dated 30 July 2007.



     2.   PRINCIPAL ACTIVITIES

          The Company is principally engaged in the businesses of investment holding and the provision of management and
          administrative services to the subsidiaries. The principal activities of the subsidiaries are disclosed in Note 6 to the financial
          statements. There have been no significant changes in the nature of these activities during the financial year.



     3.   FINANCIAL RISK MANAGEMENT POLICIES

          The Group’s financial risk management policy seeks to ensure that adequate financial resources are available for the
          development of the Group’s business whilst managing its market, credit, liquidity and cash flow risks. The policies in respect
          of the major areas of treasury activity are as follows:

          (a)   Market Risk

                (i)     Foreign Currency Risk

                        The Group is exposed to foreign exchange risk on investments and bank balances that are denominated in
                        foreign currencies.

                        The Group’s foreign currency transactions and balances are substantially denominated in Thai Baht.

                        The Group does not seek to hedge this exposure as the Group is of the opinion that the fluctuations of the
                        Thai Baht do not have a significant impact on the financial statements.

                (ii)    Interest Rate Risk

                        The Group obtains financing through bank borrowings and hire purchase facilities. Its policy is to obtain the
                        most favourable interest rates available.

                        Surplus funds are placed with licensed financial institutions at the most favourable interest rates.

                (iii)   Price Risk

                        The Group’s principal exposure to market risks arises mainly from changes in quoted equity prices. The Group
                        does not use derivative instruments to manage equity risk.
55




                                                                            NOTES TO FINANCIAL STATEMENTS
                                                                                   FOR THE FINANCIAL YEAR ENDED 31 MARCH 2007




3.   FINANCIAL RISK MANAGEMENT POLICIES (cont’d)

     (b)   Credit Risk

           The Group’s exposure to credit risks, or the risk of counterparties defaulting, arises mainly from receivables. The
           maximum exposure to credit risks is represented by the total carrying amount of these financial assets in the balance
           sheet reduced by the effects of any netting arrangements with counterparties.

           The Group does not have any major concentration of credit risk related to any individual customer or counterparty.

           The Group manages its exposure to credit risk by the application of credit approvals, credit limits and monitoring
           procedures on an ongoing basis.

     (c)   Liquidity and Cash Flow Risk

           The Group’s exposure to liquidity and cashflow risks arises mainly from general funding and business activities.

           It practises prudent liquidity risk management by maintaining sufficient cash balances and the availability of funding
           through certain committed credit facilities.



4.   BASIS OF PREPARATION

     The financial statements of the Group and of the Company are prepared under the historical cost convention and modified
     to include other bases of valuation as disclosed in other sections under significant accounting policies, and in compliance
     with applicable MASB approved accounting standards in Malaysia for Entities Other Than Private Entities and the provisions
     of the Companies Act, 1965.

     In the current financial year, the Company has adopted all the new and revised Financial Reporting Standards (“FRS”)
     issued by the Malaysian Accounting Standards Board which are relevant to its operations and effective for financial periods
     beginning on or after 1 January 2006.

     The adoption of these new and revised FRS does not have any material effects on the financial statements of the Company.

     The following FRS have been issued and are effective for financial periods beginning on or after 1 October 2006 and will be
     effective for the Group’s and the Company’s financial statements for the financial year ending 31 March 2008:

     FRS 117     Leases
     FRS 124     Related Party Disclosures

     The following revised FRS have been issued and are effective for financial periods beginning on or after 1 July 2007 and will
     be effective for the Group’s and the Company’s financial statements for the financial year ending 31 March 2009:

     FRS 107     Cash Flow Statements
     FRS 111     Construction Contracts
     FRS 112     Income Taxes
     FRS 118     Revenue
     FRS 121     The Effects of Changes in Foreign Exchange Rates
     FRS 134     Interim Financial Reporting
     FRS 137     Provisions, Contingent Liabilities and Contingent Assets

     FRS 139 - Financial Instruments: Recognition and Measurement has been issued and the effective date has yet to be
     determined by the MASB. This new standard establishes principles for recognising and measuring financial assets, financial
     liabilities and some contracts to buy and sell non-financial items. The Group and the Company will apply this standard when
     it becomes effective.
56




     NOTES TO FINANCIAL STATEMENTS
     FOR THE FINANCIAL YEAR ENDED 31 MARCH 2007




     5.   SIGNIFICANT ACCOUNTING POLICIES

          (a)   Critical Accounting Estimates And Judgements

                Estimates and judgements are continually evaluated by the directors and management and are based on historical
                experience and other factors, including expectations of future events that are believed to be reasonable under the
                circumstances. The estimates and judgements that affect the application of the Group’s accounting policies and
                disclosures, and have a significant risk of causing a material adjustment to the carrying amounts of assets, liabilities,
                income and expenses are discussed below:

                (i)     Depreciation of Property, Plant and Equipment

                        The estimates for the residual values, useful lives and related depreciation charges for the property, plant and
                        equipment are based on commercial and production factors which could change significantly as a result of
                        technical innovations and competitors’ actions in response to the market conditions.

                        The Group anticipates that the residual values of its property, plant and equipment will be insignificant. As a
                        result, residual values are not being taken into consideration for the computation of the depreciable amount.

                        Changes in the expected level of usage and technological development could impact the economic useful lives
                        and the residual values of these assets, therefore future depreciation charges could be revised.

                (ii)    Income Taxes

                        There are certain transactions and computations for which the ultimate tax determination may be different from
                        the initial estimate. The Group recognises tax liabilities based on its understanding of the prevailing tax laws
                        and estimates of whether such taxes will be due in the ordinary course of business. Where the final outcome
                        of these matters is different from the amounts that were initially recognised, such difference will impact the
                        income tax and deferred tax provisions in the period in which such determination is made.

                (iii)   Impairment of Assets

                        When the recoverable amount of an asset is determined based on the estimate of the value-in-use of the cash-
                        generating unit to which the asset is allocated, the Group is required to make an estimate of the expected
                        future cash flows from the cash-generating unit and also to apply a suitable discount rate in order to determine
                        the present value of those cash flows.

                (iv)    Property Development

                        The Group recognises property development revenue and expenses in the income statement by using the stage
                        of completion method. The stage of completion is determined by the proportion that the property development
                        costs incurred for work performed to date bear to the estimated total property development costs.

                        Significant judgement is required in determining the stage of completion, the extent of the property development
                        costs incurred, the estimated total property development revenue and costs, as well as the recoverability of the
                        development projects. In making the judgement, the Group evaluates based on past experience and by relying
                        on the work of specialists.
57




                                                                              NOTES TO FINANCIAL STATEMENTS
                                                                                       FOR THE FINANCIAL YEAR ENDED 31 MARCH 2007




5.   SIGNIFICANT ACCOUNTING POLICIES (cont’d)

     (a)   Critical Accounting Estimates And Judgements (cont’d)

           (v)    Construction Contracts

                  Construction contracts accounting requires reliable estimation of the costs to complete the contract and reliable
                  estimation of the stage of completion.

                  (i)    Contract Revenue

                         Construction contracts accounting requires that variation claims and incentive payments only be recognised
                         as contract revenue to the extent that it is probable that they will be accepted by the customers. As
                         the approval process often takes some time, a judgement is required to be made of its probability and
                         revenue recognised accordingly.

                  (ii)   Contract Costs

                         Using experience gained on each particular contract and taking into account the expectations of the time
                         and materials required to complete the contract, management estimates the profitability of the contract
                         on an individual basis at any particular time.

           (vi)   Allowance for Doubtful Debts of Receivables

                  The Group makes allowance for doubtful debts based on an assessment of the recoverability of receivables.
                  Allowances are applied to receivables where events or changes in circumstances indicate that the carrying
                  amounts may not be recoverable. Management analyses historical bad debt, customer concentrations, customer
                  creditworthiness, current economic trends and changes in customer payment terms when making a judgement
                  to evaluate the adequacy of the allowance for doubtful debts of receivables. Where the expectation is different
                  from the original estimate, such difference will impact the carrying value of receivables.

     (b)   Financial Instruments

           Financial instruments are recognised in the balance sheet when the Group and the Company has become a party to
           the contractual provisions of the instruments.

           Financial instruments are classified as liabilities or equity in accordance with the substance of the contractual
           arrangement. Interest, dividends, gains and losses relating to a financial instrument classified as a liability, are reported
           as an expense or income. Distributions to holders of financial instruments classified as equity are charged directly to
           equity.

           Financial instruments are offset when the Group and the Company has a legally enforceable right to offset and
           intends to settle either on a net basis or to realise the asset and settle the liability simultaneously.

           Financial instruments recognised in the balance sheet are disclosed in the individual policy statement associated with
           each item.
58




     NOTES TO FINANCIAL STATEMENTS
     FOR THE FINANCIAL YEAR ENDED 31 MARCH 2007




     5.   SIGNIFICANT ACCOUNTING POLICIES (cont’d)

          (c)   Functional and Foreign Currency

                (i)     Functional and Presentation Currency

                        The functional currency of the Group is measured using the currency of the primary economic environment in
                        which the Group operates.

                        The consolidated financial statements are presented in Ringgit Malaysia (“RM”) which is the parent’s functional
                        and presentation currency.

                (ii)    Transactions and Balances

                        Transactions in foreign currency are converted into the respective functional currencies on initial recognition,
                        using the exchange rates approximating those ruling at the transaction dates. Monetary assets and liabilities at
                        the balance sheet date are translated at the rates ruling as of that date. Non-monetary assets and liabilities are
                        translated using exchange rates that existed when the values were determined. All exchange differences are
                        taken to the income statement.

                (iii)   Foreign Operations

                        The results and financial position of all the Group entities that have a functional currency different from the
                        presentation currency are translated into the presentation currency as follows:

                        (i)     assets and liabilities for each balance sheet presented are translated at the closing rate at the date of the
                                balance sheet;

                        (ii)    income and expense for the income statement are translated at the average exchange rates for the year;
                                and

                        (iii)   all resulting exchange differences are recognised as a separate component of equity, as a foreign currency
                                translation reserve. On disposal, accumulated translation differences are recognised in the consolidated
                                income statements as part of the gain or loss on sale.

          (d)   Basis of Consolidation

                The consolidated financial statements incorporate the financial statements of the Company and all its subsidiaries
                made up to 31 March 2007.

                A subsidiary is defined as an enterprise in which the Company has the power, directly or indirectly, to exercise control
                over the financial and operating policies so as to obtain benefits from its activities.

                All subsidiaries are consolidated using the purchase method. Under the purchase method, the results of subsidiaries
                acquired or disposed of are included from the date of acquisition or up to the date of disposal. At the date of
                acquisition, the fair values of the subsidiaries’ net assets are determined and these values are reflected in the
                consolidated financial statements. The cost of acquisition is measured at the aggregate of the fair values, at the date
                of exchange, of assets given, liabilities incurred or assumed, and equity instruments issued by the Group in exchange
                for control of the acquiree, plus any costs directly attributable to the business combination.

                Intragroup transactions, balances and unrealised gains on transactions are eliminated; unrealised losses are also
                eliminated unless cost cannot be recovered. Where necessary, adjustments are made to the financial statements of
                subsidiaries to ensure consistency of accounting policies with those of the Group.
59




                                                                               NOTES TO FINANCIAL STATEMENTS
                                                                                      FOR THE FINANCIAL YEAR ENDED 31 MARCH 2007




5.   SIGNIFICANT ACCOUNTING POLICIES (cont’d)

     (e)   Goodwill On Consolidation

           Goodwill on consolidation represents the excess of the fair value of the purchase consideration over the Group’s share
           of the fair values of the identifiable net assets of the subsidiaries at the date of acquisition.

           Goodwill is measured at cost less accumulated impairment losses, if any. The carrying value of goodwill is reviewed
           for impairment annually. The impairment value of goodwill is recognised immediately in the consolidated income
           statement. An impairment loss recognised for goodwill is not reversed in a subsequent period.

           If, after reassessments, the Group’s interest in the fair values of the identifiable net assets of the subsidiaries exceeds
           the cost of the business combinations, the excess is recognised immediately in the consolidated income statement.

     (f)   Investments

           (i)    Investments in Subsidiaries, Associates and Joint Ventures

                  Investments in subsidiaries, associates and joint ventures are stated at cost in the balance sheet of the Company
                  and are reviewed for impairment at the end of the financial year if events or changes in circumstances indicate
                  that their carrying values may not be recoverable.

                  On the disposal of the investments in subsidiaries, associates and joint ventures, the difference between the net
                  disposal proceeds and the carrying amount of the investments is taken to the income statement.

           (ii)   Investments in Club Membership

                  The investment in club membership is stated at cost and is reviewed for impairment at the end of the financial
                  year if events or changes in circumstances indicate that its carrying value may not be recovered.

     (g)   Associates

           An associate is an entity in which the Company has a long-term equity interest and where it exercises significant
           influence over the financial and operating policies.

           The investments in associates in the consolidated financial statements are accounted for under the equity method,
           based on the financial statements of the associates made up to 31 March 2007. The Company’s share of the post
           acquisition profits of the associates is included in the consolidated income statement and the Company’s interest in
           associates is stated at cost plus the Company’s share of the post-acquisition retained profits and reserves.

           Unrealised gains on transactions between the Company and the associates are eliminated to the extent of the
           Company’s interest in the associate. Unrealised losses are eliminated unless cost cannot be recovered.

     (h)   Investment in Joint Venture

           A joint venture represents a business arrangement formed under contract with a third party to undertake specific
           projects.

           The investment in the joint venture is accounted for using the proportionate consolidation method whereby assets,
           liabilities and the income statement of the joint venture are consolidated in the Group’s financial statements in the
           proportion of the Group’s interest in the venture.
60




     NOTES TO FINANCIAL STATEMENTS
     FOR THE FINANCIAL YEAR ENDED 31 MARCH 2007




     5.   SIGNIFICANT ACCOUNTING POLICIES (cont’d)

          (i)   Property, Plant and Equipment

                Property, plant and equipment, other than freehold land, are stated at cost less accumulated depreciation and
                impairment loss, if any. Freehold land is stated at cost and is not depreciated.

                Depreciation is calculated under the straight-line method to write off the cost of the assets over their estimated useful
                lives. Depreciation of an asset does not cease when the asset becomes idle or is retired from active use unless the asset
                is fully depreciated. The principal annual rates used for this purpose are:



                Building                                                                               Remaining useful life of 20 years

                Plant and machinery, construction machinery and equipment,
                  formwork, scaffoldings and containers                                                                       5% - 25%

                Office renovation, office equipment, computers, furniture and fittings,
                  tools and sales office                                                                                      5% - 20%

                Motor vehicles                                                                                                      20%



                The depreciation method, useful life and residual values are reviewed, and adjusted if appropriate, at each balance
                sheet date to ensure that the amount, method and period of depreciation are consistent with previous estimates and
                the expected pattern of consumption of the future economic benefits embodied in the items of the property, plant
                and equipment.

                An item of property, plant and equipment is derecognised upon disposal or when no future economic benefits are
                expected from its use. Any gain or loss arising from derecognition of the asset is included in the income statement in
                the year the asset is derecognised.

          (j)   Land Held for Property Development

                Land held for property development is carried at cost less any accumulated impairment losses. Where land held for
                property development had previously been recorded at a revalued amount, the revalued amount is retained as its
                surrogate cost.

                Land held for property development is classified as non-current asset where no development activities are carried out
                or where development activities are not expected to be completed within the normal operating cycle.

                Costs associated with the acquisition of land include the purchase price of the land, professional fees, stamp duties,
                commissions, conversion fees and other relevant levies. Pre-acquisition costs are charged to the income statement as
                incurred unless such costs are directly identifiable to the consequent property development activity.

                Land held for property development is transferred to current asset when development activities have commenced and
                where it can be demonstrated that the development activities can be completed within the normal operating cycle.
61




                                                                            NOTES TO FINANCIAL STATEMENTS
                                                                                     FOR THE FINANCIAL YEAR ENDED 31 MARCH 2007




5.   SIGNIFICANT ACCOUNTING POLICIES (cont’d)

     (k)   Impairment of Assets

           The carrying values of assets, other than those to which FRS 136 - Impairment of Assets does not apply, are reviewed
           at each balance sheet date for impairment when there is an indication that the assets might be impaired. Impairment
           is measured by comparing the carrying values of the assets with their recoverable amounts. The recoverable amount
           of the assets is the higher of the assets’ net selling price and their value-in-use, which is measured by reference to
           discounted future cash flow.

           An impairment loss is charged to the income statement immediately unless the asset is carried at its revalued amount.
           Any impairment loss of a revalued asset is treated as a revaluation decrease to the extent of a previously recognised
           revaluation surplus for the same asset.

           In respect of assets other than goodwill, and when there is a change in the estimates used to determine the recoverable
           amount, a subsequent increase in the recoverable amount of an asset is treated as a reversal of the previous impairment
           loss and is recognised to the extent of the carrying amount of the asset that would have been determined (net of
           amortisation and depreciation) had no impairment loss been recognised. The reversal is recognised in the income
           statement immediately, unless the asset is carried at its revalued amount. A reversal of an impairment loss on a
           revalued asset is credited directly to the revaluation surplus. However, to the extent that an impairment loss on the
           same revalued asset was previously recognised as an expense in the income statement, a reversal of that impairment
           loss is recognised as income in the income statement.

     (l)   Assets under Hire Purchase

           Property, plant and equipment acquired under hire purchase are capitalised in the financial statements and are
           depreciated in accordance with the policy set out in Note 5(i) above. Each hire purchase payment is allocated between
           the liability and finance charges so as to achieve a constant rate on the finance balance outstanding. Finance charges
           are allocated to the income statement over the periods of the respective hire purchase agreements.

     (m)   Investment Properties

           Investment properties are property held either to earn rental income or for capital appreciation or for both. Investment
           properties are stated at cost less accumulated depreciation and impairment losses, if any, consistent with the accounting
           policy for property, plant and equipment as stated in the financial statements.

           Investment properties are derecognised when they have either been disposed of or when the investment property is
           permanently withdrawn from use and no future benefit is expected from its disposal.

           On the derecognition of an investment property, the difference between the net disposal proceeds and the carrying
           amount is charged to the income statement.

     (n)   Inventories

           Inventories are stated at the lower of cost and net realisable value. The unsold completed properties are stated at
           the lower of cost and net realisable value. For finished goods and work-in-progress, cost includes direct labour and
           appropriate production overheads.

           The cost of unsold completed properties comprises the relevant cost of land, development expenditure and related
           interest cost incurred during the development period.

           In arriving at net realisable value, due allowance is made for all damaged, obsolete and slow-moving items.
62




     NOTES TO FINANCIAL STATEMENTS
     FOR THE FINANCIAL YEAR ENDED 31 MARCH 2007




     5.   SIGNIFICANT ACCOUNTING POLICIES (cont’d)

          (o)   Property Development Costs

                Property development costs comprise costs associated with the acquisition of land and all costs that are directly
                attributable to development activities or that can be allocated on a reasonable basis to such activities.

                Property development costs that are not recognised as an expense are recognised as an asset and carried at the lower
                of cost and net realisable value.

                When the financial outcome of a development activity can be reliably estimated, the amount of property revenues and
                expenses recognised in the income statement are determined by reference to the stage of completion of development
                activity at the balance sheet date.

                When the financial outcome of a development activity cannot be reliably estimated, the property development
                revenue is recognised only to the extent of property development costs incurred that will be recoverable. The property
                development costs on the development units sold are recognised as an expense in the period in which they are
                incurred.

                Where it is probable that property development costs will exceed property development revenue, any expected loss is
                recognised as an expense in the income statement immediately, including costs to be incurred over the defects liability
                period.

          (p)   Progress Billings/Accrued Billings

                In respect of progress billings:

                (i)    where revenue recognised in the income statement exceeds the billings to purchasers, the balance is shown as
                       accrued billings under current assets; and

                (ii)   where billings to purchasers exceed the revenue recognised to the income statement, the balance is shown as
                       progress billings under current liabilities.

          (q)   Amount Owing By/To Contract Customers

                The amount owing by/to contract customers is stated at cost plus profits attributable to contracts in progress less
                progress billings and allowance for foreseeable losses, if any. Cost includes direct materials, labour and applicable
                overheads.

          (r)   Receivables

                Receivables are carried at anticipated realisable value. Bad debts are written off in the period in which they are
                identified. An estimate is made for doubtful debts based on a review of all outstanding amounts at the balance sheet
                date.

          (s)   Cash and Cash Equivalents

                Cash and cash equivalents comprise cash in hand, bank balances, demand deposits, deposits pledged with financial
                institutions, bank overdrafts and short term, highly liquid investments that are readily convertible to known amounts
                of cash and which are subject to an insignificant risk of changes in value.

          (t)   Payables

                Payables are stated at cost which is the fair value of the consideration to be paid in the future for goods and services
                received.
63




                                                                              NOTES TO FINANCIAL STATEMENTS
                                                                                      FOR THE FINANCIAL YEAR ENDED 31 MARCH 2007




5.   SIGNIFICANT ACCOUNTING POLICIES (cont’d)

     (u)   Interest-bearing Borrowings

           Interest-bearing bank loans and overdrafts are recorded at the amount of proceeds received, net of transaction
           costs.

           Borrowing costs directly attributable to the acquisition and construction of development properties and property,
           plant and equipment are capitalised as part of the cost of those assets, until such time as the assets are ready for
           their intended use or sale. Capitalisation of borrowing costs is suspended during extended periods in which active
           development is interrupted.

           All other borrowing costs are charged to the income statement as an expense in the period in which they are
           incurred.

     (v)   Bonds

           Bonds issued by the Company and the Group are initially recognised based on proceeds received, net of issuance
           expenses incurred and are adjusted in subsequent years for amortisation of premium and/or accretion of discount
           to maturity, using the effective yield method. The premium amortised and/or discount accreted is recognised in the
           income statement over the period of the bonds.

     (w)   Income Taxes

           Income taxes on the profit or loss for the financial year comprises current and deferred tax. Current tax is the expected
           amount of income taxes payable in respect of the taxable profit for the year and is measured using the tax rates that
           have been enacted or substantially enacted at the balance sheet date.

           Deferred taxation is provided in full, using the liability method, on all material temporary differences arising between
           the tax bases of assets and liabilities and their carrying amounts in the financial statements.

           Deferred tax liabilities are recognised for all taxable temporary differences other than those that arise from goodwill
           or excess of the acquirer’s interest in the net fair value of the acquiree’s identifiable assets, liabilities and contingent
           liabilities over the business combination costs or from the initial recognition of an asset or liability in a transaction
           which is not a business combination and at the time of the transaction, affects neither accounting profit nor taxable
           profit.

           Deferred tax assets are recognised for all deductible temporary differences, unused tax losses and unused tax credits
           to the extent that it is probable that future taxable profit will be available against which the deductible temporary
           differences, unused tax losses and unused tax credits can be utilised.

           Deferred tax assets and liabilities are measured at the tax rates that are expected to apply in the period when the
           asset is realised or the liability is settled, based on the tax rates that have been enacted or substantially enacted at the
           balance sheet date.

           Deferred tax is recognised in the income statement, except when it arises from a transaction which is recognised
           directly in equity, in which case the deferred tax is also charged or credited directly to equity, or when it arises from
           a business combination that is an acquisition, in which case the deferred tax is included in the resulting goodwill or
           excess of the acquirer’s interest in the net fair value of the acquiree’s identifiable assets, liabilities and contingent
           liabilities over the business combination costs. The carrying amounts of deferred tax assets are reviewed at each
           balance sheet date and reduced to the extent that it is no longer probable that sufficient future taxable profits will be
           available to allow all or part of the deferred tax assets to be utilised.
64




     NOTES TO FINANCIAL STATEMENTS
     FOR THE FINANCIAL YEAR ENDED 31 MARCH 2007




     5.   SIGNIFICANT ACCOUNTING POLICIES (cont’d)

          (x)   Equity Instruments

                Ordinary shares are classified as equity. Incremental costs directly attributable to the issue of new shares or options are
                shown in equity as a deduction, net of tax, from proceeds.

                Dividends on ordinary shares are recognised as liabilities when approved for appropriation.

          (y)   Employee Benefits

                (i)    Short-term Benefits

                       Wages, salaries, paid annual leave, bonuses and social security contributions are recognised as an expense in
                       the year in which the associated services are rendered by employees of the Group. Short-term accumulating
                       compensated absences such as paid annual leave are recognised when services are rendered by employees that
                       increase their entitlement to future compensated absences, and short-term non-accumulating compensated
                       absences such as sick leave are recognised when the absences occur.

                (ii)   Defined Contribution Plans

                       The Group’s contributions to a defined contribution plan are charged to the income statement in the period
                       to which they relate. Once the contributions have been paid, the Group has no further liability in respect of
                       the defined contribution plan. A foreign subsidiary of the Group makes contributions to its respective country’s
                       pension schemes. Such contributions are recognised as an expense in the income statement as incurred.

          (z)   Contingent Liabilities and Contingent Assets

                A contingent liability is a possible obligation that arises from past events and whose existence will only be confirmed
                by the occurrence of one or more uncertain future events not wholly within the control of the Group. It can also be
                a present obligation arising from past events that is not recognised because it is not probable that an outflow of
                economic resources will be required or the amount of obligation cannot be measured reliably.

                A contingent liability is not recognised but is disclosed in the notes to the financial statements. When a change in the
                probability of an outflow occurs so that the outflow is probable, it will then be recognised as a provision.

                A contingent asset is a probable asset that arises from past events and whose existence will be confirmed only by the
                occurrence or non-occurrence of one or more uncertain events not wholly within the control of the Company.

          (aa) Revenue Recognition

                (i)    Construction Contracts

                       Revenue on contracts is recognised on the percentage of completion method unless the outcome of the contract
                       cannot be reliably determined, in which case revenue on contracts is only recognised to the extent of contract
                       costs incurred that are recoverable. Foreseeable losses, if any, are provided for in full as and when it can be
                       reasonably ascertained that the contract will result in a loss.

                       The stage of completion is determined based on surveys of work performed.
65




                                                                            NOTES TO FINANCIAL STATEMENTS
                                                                                      FOR THE FINANCIAL YEAR ENDED 31 MARCH 2007




5.   SIGNIFICANT ACCOUNTING POLICIES (cont’d)

     (aa) Revenue Recognition (cont’d)

          (ii)    Property Development

                  Revenue from property development is recognised from the sale of completed and uncompleted development
                  properties.

                  Revenue from the sale of completed properties is recognised when the sale is contracted.

                  Revenue on uncompleted properties contracted for sale is recognised based on the stage of completion method
                  unless the outcome of the development cannot be reliably determined in which case the revenue on the
                  development is only recognised to the extent of development costs incurred that are recoverable.

                  The stage of completion is determined based on the proportion that the development costs incurred for work
                  performed to date bear to the estimated total development costs.

          (iii)   Revenue from Sales of Goods

                  Sales are recognised upon delivery of goods and customers’ acceptance, and where applicable, net of returns
                  and trade discounts.

          (iv)    Revenue from Services

                  Revenue is recognised upon rendering of services and when the outcome of the transaction can be estimated
                  reliably. In the event the outcome of the transaction could not be estimated reliably, revenue is recognised to
                  the extent of the expenses incurred that are recoverable.

          (v)     Management Fee and Administrative Charges

                  Management fee and administrative charges are recognised on an accrual basis.

          (vi)    Rental Income

                  Rental income is recognised on an accrual basis.

          (vii)   Dividend Income

                  Dividend income from investments is recognised when the right to receive payment is established.

          (viii) Interest Income

                  Interest income is recognised on an accrual basis, based on the effective yield on the investment.

                  Interest income on late payment is recognised on a receipt basis.
66




     NOTES TO FINANCIAL STATEMENTS
     FOR THE FINANCIAL YEAR ENDED 31 MARCH 2007




     5.   SIGNIFICANT ACCOUNTING POLICIES (cont’d)

          (ab) Segmental Information

                Segment revenues and expenses are those directly attributable to the segments and include any joint revenue and
                expenses where a reasonable basis of allocation exists. Segment assets include all assets used by a segment and consist
                principally of property, plant and equipment (net of accumulated depreciation, where applicable), other investments,
                inventories, receivables, and cash and bank balances.

                Most segment assets can be directly attributed to the segments on a reasonable basis. Segment assets and liabilities do
                not include income tax assets and liabilities respectively.

                Segment revenues, expenses and results include transfers between segments. The prices charged on intersegment
                transactions are based on normal commercial terms. These transfers are eliminated on consolidation.



     6.   INVESTMENT IN SUBSIDIARIES

                                                                                                              THE COMPANY

                                                                                                         2007              2006
                                                                                                          RM                RM

          Unquoted shares, at cost                                                                     210,990,785        211,064,785



          Details of the subsidiaries, which are all incorporated in Malaysia, are as follows:

          Name of Company                                         Effective            Principal Activities
                                                                Equity Interest
                                                                2007      2006
                                                                 %         %

          Syarikat Siah Brothers Trading Sdn. Bhd.               100        100        General building contractor and investment
                                                                                       holding.

          Syarikat Siah Brothers Construction Sdn. Bhd.          100        100        Building and civil engineering works.

          Lifeplus - Siah Brothers Trading JV Sdn. Bhd.           -         100        Under members’ voluntary liquidation.

          Siah Brothers Enterprise Sdn. Bhd.*                     -         100        Under members’ voluntary liquidation.

          Siah Brothers Land Sdn. Bhd.                           100        100        Investment holding.

          Seri Ampangan Realty Sdn. Bhd.                         100        100        Property development.

          Sinaran Naga Sdn. Bhd.                                 100        100        Property development.
67




                                                                     NOTES TO FINANCIAL STATEMENTS
                                                                          FOR THE FINANCIAL YEAR ENDED 31 MARCH 2007




6.   INVESTMENT IN SUBSIDIARIES (cont’d)

     Name of Company                                 Effective         Principal Activities
                                                   Equity Interest
                                                   2007      2006
                                                    %         %

     Siah Brothers Development Sdn. Bhd.*            -       100       Under members’ voluntary liquidation.

     Tiara Development Sdn. Bhd.*                    -       100       Under members’ voluntary liquidation.

     SBC Homes Sdn. Bhd.*                            -       100       Under members’ Voluntary liquidation.

     Mixwell (Malaysia) Sdn. Bhd.                   100      100       Property development.

     Winsome Ventures Sdn. Bhd.                      -       100       Under members’ voluntary liquidation.

     Siah Brothers Properties Sdn. Bhd.*            100      100       Investment holding.

     Aureate Construction Sdn. Bhd.*                100      100       Property investment.

     SBC Leisure Sdn. Bhd.*                         100      100       Property development.

     SBC Towers Sdn. Bhd.*                          100      100       Property development.

     Siah Brothers Project Management Sdn. Bhd.*     -       100       Under members’ voluntary liquidation.

     Siah Brothers Industries Sdn. Bhd.*            100      100       Investment holding.

     South-East Best Sdn. Bhd.                      100      100       Property development.

     Gracemart Resources Sdn. Bhd.                  100      100       Property development.

     Sutrati Development Sdn. Bhd.                   -       100       Under members’ voluntary liquidation.

     Masahmura Sdn. Bhd.*                           100       51       Manufacturing of material handling equipment
                                                                       and metal frames.

     Masahmura Sales & Service Sdn. Bhd.            100       51       Trading of light industrial handling equipment
                                                                       and metal frames.

     Kiara Amalan Sdn. Bhd.*                        51         -       Dormant.



     *     Not audited by Messrs. Horwath.
68




     NOTES TO FINANCIAL STATEMENTS
     FOR THE FINANCIAL YEAR ENDED 31 MARCH 2007




     7.   INTEREST IN ASSOCIATES

                                                                            THE GROUP                         THE COMPANY

                                                                     2007               2006             2007               2006
                                                                      RM                 RM               RM                 RM

          Unquoted shares, at cost                                     2,720,001        3,600,001         2,400,000         2,400,000
          Impairment loss                                                      -         (880,000)                -                 -

                                                                       2,720,001        2,720,001         2,400,000         2,400,000

          Unquoted shares, at group cost                            91,618,314         91,618,314                  -                  -
          Share of post acquisition reserves                        17,747,298         17,478,087                  -                  -

                                                                   112,085,613        111,816,402         2,400,000         2,400,000



                                                                                                                THE GROUP

                                                                                                         2007               2006
                                                                                                          RM                 RM

          The interest in associates comprises:

          Group’s share of net tangible assets
          - at cost                                                                                      66,069,643        65,800,432
          - at fair value                                                                                45,952,003        45,952,003
          Group’s share of intangible assets                                                                 63,967            63,967

                                                                                                       112,085,613        111,816,402



          Details of the associates, which are all incorporated in Malaysia, are as follows:

          Name of Company                                        Effective             Principal Activities
                                                               Equity Interest
                                                               2007      2006
                                                                %         %

          Ligamas Sdn. Bhd.#                                    50.0        50.0       Property development.

          Varich Industries Sdn. Bhd.*                          50.0        50.0       Dormant.

          Paling Industries Sdn. Bhd.#                          40.0        40.0       Manufacturing of plastic building materials.
69




                                                                              NOTES TO FINANCIAL STATEMENTS
                                                                                      FOR THE FINANCIAL YEAR ENDED 31 MARCH 2007




7.   INTEREST IN ASSOCIATES (cont’d)

     Details of the associates, which are all incorporated in Malaysia, are as follows:

     Name of Company                                        Effective             Principal Activities
                                                          Equity Interest
                                                          2007      2006
                                                           %         %

     Pasti Bumi Sdn. Bhd.*##                               19.6       19.6        Sales of plastic building materials.

     Liga Canggih Sdn. Bhd.*##                              40.0       40.0        Dormant.

     Sri Berjaya Development Sdn. Bhd.*                    33.3        33.3       Investment and development of landed
                                                                                  properties.

     Sri Rawang Properties Sdn. Bhd.*                      22.2        22.2       Investment in properties and rubber estates.

     Sam & Lau Plantation Sdn. Bhd.*###                      -        50.0        Under members’ voluntary liquidation.



     *      The results of these associates have not been equity accounted as the amounts involved are insignificant.

     #      The share of results of these associates is based on the latest available unaudited management financial statements
            made up to 31 March 2007.

     ##     Held by Paling Industries Sdn. Bhd.

     ###    Held by South-East Best Sdn. Bhd.



     The summarised financial information of the associates are as follows:

                                                                                                            THE GROUP

                                                                                                     2007                 2006
                                                                                                      RM                   RM

     Assets and liabilities

     Total assets                                                                                   149,845,853          143,650,486
     Total liabilities                                                                               16,653,116           10,429,579



     Results

     Revenue                                                                                         54,261,998           44,690,040
     Profit for the year                                                                                299,072               47,200
70




     NOTES TO FINANCIAL STATEMENTS
     FOR THE FINANCIAL YEAR ENDED 31 MARCH 2007




     8.   INVESTMENT IN JOINT VENTURE

                                                                                                              THE COMPANY

                                                                                                          2007              2006
                                                                                                           RM                RM

          Unquoted shares, at cost                                                                        1,801,128            712,500



          Details of the joint venture, which is incorporated in Thailand, are as follows:

          Name of Company                                        Effective             Principal Activities
                                                               Equity Interest
                                                               2007      2006
                                                                %         %

          Tri-Development Co., Ltd                               50         50         Property development.



          The share of results of the joint venture is based on the unaudited financial statements made up to 31 March 2007.

          The Group’s aggregate share of the current assets, non-current assets, current liabilities, non-current liabilities, income and
          expenses of the joint venture is as follows:

                                                                                                          2007              2006
                                                                                                           RM                RM

          Assets and liabilities

          Non-current assets                                                                                591,715                  -
          Current assets                                                                                  9,220,742            805,280

          Total assets                                                                                    9,812,457            805,280

          Non-current liabilities                                                                                  -
          Current liabilities                                                                             (4,256,916)          (93,595)

          Total liabilities                                                                               (4,256,916)          (93,595)



          Results

          Revenue                                                                                        17,761,423                   -
          Other income                                                                                       62,923                   -
          Expenses, including finance costs and taxation                                                (13,993,150)               (143)
71




                                                                       NOTES TO FINANCIAL STATEMENTS
                                                                                 FOR THE FINANCIAL YEAR ENDED 31 MARCH 2007




9.   PROPERTY, PLANT AND EQUIPMENT

                                                                              TRANSFER TO       DEPRE-
                                 AT                                           DEVELOPMENT       CIATION           AT
                              1.4.2006      ADDITIONS         DISPOSALS           COST          CHARGE         31.3.2007
                                 RM            RM                RM                RM             RM              RM
                                                                                (Note 15)

     THE GROUP

     NET BOOK VALUE

     Freehold land and
       building                4,690,317                  -               -       (302,696)               -      4,387,621
     Building                  2,003,119                  -               -              -         (100,156)     1,902,963
     Plant and machinery,
       construction
       machinery and
       equipment,
       formwork,
       scaffoldings and
       containers                 28,728         538,417                  -                -        (39,879)      527,266
     Office renovation,
       office equipment,
       computers,
       furniture and
       fittings, tools and
       sales office              950,131         609,845          (14,472)                 -       (292,337)     1,253,167
     Motor vehicles              570,315          56,000               (1)                 -       (147,788)       478,526

     Total                     8,242,610       1,204,262          (14,473)        (302,696)        (580,160)     8,549,543



                                                                                AT         ACCUMULATED         NET BOOK
                                                                               COST        DEPRECIATION         VALUE
                                                                                RM             RM                 RM

     AT 31.3.2007

     Freehold land                                                             4,387,621                -        4,387,621
     Building                                                                  2,003,119         (100,156)       1,902,963
     Plant and machinery, construction machinery and
       equipment, formwork, scaffoldings and containers                        9,202,410        (8,675,144)       527,266
     Office renovation, office equipment, computers,
       furniture and fittings, tools and sales office                          5,384,005        (4,130,838)      1,253,167
     Motor vehicles                                                            2,106,298        (1,627,772)        478,526

     Total                                                                    23,083,453       (14,533,910)      8,549,543
72




     NOTES TO FINANCIAL STATEMENTS
     FOR THE FINANCIAL YEAR ENDED 31 MARCH 2007




     9.   PROPERTY, PLANT AND EQUIPMENT (cont’d)

                                                                                 AT          ACCUMULATED        NET BOOK
                                                                                COST         DEPRECIATION        VALUE
                                                                                 RM              RM                RM

          AT 31.3.2006

          Freehold land                                                          4,690,317                -        4,690,317
          Building                                                               2,003,119                -        2,003,119
          Plant and machinery, construction machinery and
            equipment, formwork, scaffoldings and containers                     8,663,993       (8,635,265)          28,728
          Office renovation, office equipment, computers,
            furniture and fittings, tools and sales office                       4,886,531       (3,936,400)         950,131
          Motor vehicles                                                         2,145,096       (1,574,781)         570,315

          Total                                                                 22,389,056      (14,146,446)       8,242,610



                                                                                 AT          DEPRECIATION          AT
                                                                              1.4.2006         CHARGE           31.3.2007
                                                                                 RM              RM                RM

          THE COMPANY

          NET BOOK VALUE

          Office equipment, computers, furniture and fittings                        7,551           (4,895)           2,656
          Motor vehicles                                                                 1                -                1

                                                                                     7,552           (4,895)           2,657



                                                                                 AT          ACCUMULATED        NET BOOK
                                                                                COST         DEPRECIATION        VALUE
                                                                                 RM              RM                RM

          AT 31.3.2007

          Office equipment, computers, furniture and fittings                     370,553          (367,897)           2,656
          Motor vehicles                                                          376,950          (376,949)               1

                                                                                  747,503          (744,846)           2,657

          AT 31.3.2006

          Office equipment, computers, furniture and fittings                     370,553          (363,002)           7,551
          Motor vehicles                                                          376,950          (376,949)               1

                                                                                  747,503          (739,951)           7,552



          The net book value of the motor vehicles of the Group acquired under hire purchase terms amounted to RM341,449 (2006
          - RM449,135) at the balance sheet date.
73




                                                                           NOTES TO FINANCIAL STATEMENTS
                                                                                   FOR THE FINANCIAL YEAR ENDED 31 MARCH 2007




10.   INVESTMENT PROPERTIES

                                                                                                         THE GROUP

                                                                                                  2007              2006
                                                                                                   RM                RM
                                                                                                                 (Restated)

      At cost:
      - Freehold land                                                                               106,688            106,688
      - Building                                                                                  6,761,237          8,565,037

                                                                                                  6,867,925          8,671,725

      Addition during the financial year                                                             117,070                  -
      Disposed of during the financial year                                                       (1,787,987)        (1,803,800)
      Impairment loss                                                                             (2,074,556)                 -

                                                                                                  3,122,452          6,867,925



11.   LAND HELD FOR PROPERTY DEVELOPMENT

                                                                                                         THE GROUP

                                                                                                  2007              2006
                                                                                                   RM                RM
                                                                                                                 (Restated)

      At 1 April                                                                                 87,090,675        93,764,081

      Additions during the year                                                                   2,468,347            466,545

      Disposal                                                                                             -         (1,640,541)

      Impairment loss                                                                             (1,858,834)                 -

      Transfer to property development costs (Note 15)                                                     -         (5,499,410)

      At 31 March                                                                                87,700,188        87,090,675



      Land held for property development comprises:

      Freehold land, at cost                                                                     30,406,098        32,264,932
      Leasehold land, at cost                                                                    47,565,800        47,565,800
      Development expenditure                                                                     9,728,290         7,259,943

                                                                                                 87,700,188        87,090,675



      Included in land held for property development are leasehold land amounting to RM8,620,889 (2006 - RM8,550,889) and
      RM39,442,632 (2006 - Nil) charged to a financial institution for the issuance of the ABBA Bonds granted to the Company and
      for the banking facilities granted to the Group, respectively.
74




     NOTES TO FINANCIAL STATEMENTS
     FOR THE FINANCIAL YEAR ENDED 31 MARCH 2007




     12.   OTHER ASSETS

                                                                                                            THE GROUP

                                                                                                     2007               2006
                                                                                                      RM                 RM

           At cost
           Quoted shares in Malaysia                                                                     12,300            12,300
           Investment in club membership                                                                208,000            74,000

                                                                                                        220,300            86,300

           Market value of quoted shares                                                                 10,890             8,370



           Investments in quoted shares are carried at cost and are written down to market value only when the directors are of the
           opinion that the diminution in value is permanent.



     13.   GOODWILL ON CONSOLIDATION

                                                                                                            THE GROUP

                                                                                                     2007               2006
                                                                                                      RM                 RM

           At 1 April                                                                                27,317,640        27,317,640
           Arising from acquisition of subsidiaries                                                     181,811                 -

           At 31 March                                                                               27,499,451        27,317,640



     14.   INVENTORIES

                                                                                                            THE GROUP

                                                                                                     2007               2006
                                                                                                      RM                 RM

           Unsold completed properties, at cost                                                         726,148         1,283,422



           None of the inventories is carried at net realisable value.
75




                                                                             NOTES TO FINANCIAL STATEMENTS
                                                                                     FOR THE FINANCIAL YEAR ENDED 31 MARCH 2007




15.   PROPERTY DEVELOPMENT COSTS

                                                                                                            THE GROUP

                                                                                                     2007               2006
                                                                                                      RM                 RM

      Balance at 1 April
        - land                                                                                      37,976,712         31,334,481
        - development costs                                                                        120,913,208         77,920,310

                                                                                                   158,889,920        109,254,791

      Costs incurred during the year:
        - transferred from land held for property development (Note 11)                                      -          5,499,410
        - transferred from property, plant and equipment (Note 9)                                      302,696          1,142,821
        - land                                                                                         200,046                  -
        - development costs                                                                         38,669,473         42,992,898

      Development costs of completed projects during the year:
        - land                                                                                         (595,650)                 -
        - development costs                                                                          (8,149,608)                 -

                                                                                                     (8,745,258)                 -

      Sub-total                                                                                    189,316,877        158,889,920

      Cost recognised as an expense in the income statement:
        - previous year                                                                           (103,759,072)       (54,509,104)
        - current year                                                                             (34,536,432)       (49,249,968)
        - cost recognised for completed project                                                      8,685,884                  -

                                                                                                  (129,609,620)      (103,759,072)

      Balance 31 March                                                                              59,707,257         55,130,848

      Cumulative revenue recognised in income statement                                            158,034,674        118,845,219
      Cumulative billings to purchasers                                                           (168,857,826)      (118,845,219)

      Progress billings (Note 30)                                                                   (10,823,152)                 -

      Net balance                                                                                   48,884,105         55,130,848



      Included in development expenditure is interest expense capitalised during the financial year amounting to RM1,161,691
      (2006 - RM1,820,090).

      Leasehold land of a subsidiary costing RM8,147,752 (2006 - RM7,674,555) is charged to a licensed bank for a term loan facility
      granted to the subsidiary.
76




     NOTES TO FINANCIAL STATEMENTS
     FOR THE FINANCIAL YEAR ENDED 31 MARCH 2007




     15.   PROPERTY DEVELOPMENT COSTS (cont’d)

           The foreign currency exposure profile of the property development costs is as follows:

                                                                                                             THE GROUP

                                                                                                      2007               2006
                                                                                                       RM                 RM

           Thai Baht                                                                                           -           131,603



     16.   RECEIVABLES

                                                                            THE GROUP                    THE COMPANY

                                                                     2007               2006          2007               2006
                                                                      RM                 RM            RM                 RM

           Trade receivables                                        62,106,277       46,168,072                -                  -
           Retention receivable                                      2,313,919        2,376,762                -                  -

           Total trade receivables                                  64,420,196       48,544,834                -                  -

           Allowance for doubtful debts
             At 1 April                                             (13,466,689)     (13,466,689)              -                  -
             Written off                                                273,234                -               -                  -

           At 31 March                                              (13,193,455)     (13,466,689)              -                  -

           Net trade receivables                                    51,226,741       35,078,145                -                  -

           Other receivables, deposits and
             prepayments                                            11,605,596       10,996,707       2,832,130          2,579,164

           Allowance for doubtful debts                              (3,500,122)        (3,500,122)   (2,352,737)        (2,352,737)

           Net other receivables, deposits and
             prepayments                                             8,105,474          7,496,585       479,393            226,427

           Total receivables                                        59,332,215       42,574,730         479,393            226,427



           The foreign currency exposure profile of the receivables is as follows:

                                                                                                             THE GROUP

                                                                                                      2007               2006
                                                                                                       RM                 RM

           Thai Baht                                                                                  6,486,019            430,725
77




                                                                           NOTES TO FINANCIAL STATEMENTS
                                                                                   FOR THE FINANCIAL YEAR ENDED 31 MARCH 2007




16.   RECEIVABLES (cont’d)

      Included in trade receivables at the balance sheet date are the following amounts:

                                                                                                  2007               2006
                                                                                                   RM                 RM

      Related party:
      - Ligamas Sdn. Bhd.                                                                         4,675,505*         4,923,055 *

      Sabah State Government                                                                     29,209,378        18,054,059



      *     relates to retention receivable.



      The amount owing by the Sabah State Government is in respect of the construction of an office building for the Land and
      Survey Department (Jabatan Tanah dan Ukur) for a value of RM29,069,000. Upon the completion of the office building, the
      entire trade receivables due from the Sabah State Government will be set off against an equivalent amount owing to the
      Sabah State Government, the details of which are disclosed in Note 27 to the financial statements.

      Details of the related party relationship and the nature of the transactions and balances are set out in Note 45 to the
      financial statements.

      Included in other receivables is an amount of RM1,070,828 (2006 - RM1,070,828) due from sub-contractors for the purchase
      of building materials. The amount owing is unsecured, interest-free, and is to be repaid through deductions against future
      claims for work to be performed by the sub-contractors.

      Credit terms of trade receivables range from 14 to 90 days.



17.   AMOUNT OWING BY/(TO) CONTRACT CUSTOMERS

                                                                                                         THE GROUP

                                                                                                  2007               2006
                                                                                                   RM                 RM

      Amount owing by contract customers
      Contract costs incurred to date                                                            92,297,781        79,943,257
      Attributable profits                                                                       10,857,531         6,327,355

                                                                                                103,155,312         86,270,612
      Progress billings                                                                        (100,538,533)       (83,155,618)

      Amount owing by contract customers                                                          2,616,779          3,114,994

      Amount owing to contract customers
      Contract costs incurred to date                                                           106,690,901        75,241,385
      Attributable profits                                                                       12,699,528        10,587,249

                                                                                                119,390,429         85,828,634
      Progress billings                                                                        (122,240,858)       (87,369,078)

      Amount owing to contract customers                                                          (2,850,429)        (1,540,444)
78




     NOTES TO FINANCIAL STATEMENTS
     FOR THE FINANCIAL YEAR ENDED 31 MARCH 2007




     18.   AMOUNT OWING BY/(TO) SUBSIDIARIES

                                                                                                          THE COMPANY

                                                                                                      2007              2006
                                                                                                       RM                RM

           Amount owing by:

           Non-trade
           - Interest-bearing                                                                                  -       12,403,758
           - Interest-free                                                                            58,919,707       53,370,879

                                                                                                      58,919,707       65,774,637

           Amount owing to:

           Non-trade
           - Interest-free                                                                            12,375,674       18,082,756



           The above amounts owing are unsecured and not subject to fixed terms of repayment. In the previous financial year, the
           interest-bearing amounts were subject to interest rate of 8.5% per annum.



     19.   AMOUNT OWING BY/(TO) ASSOCIATES

           The amounts owing are unsecured, interest-free and not subject to fixed terms of repayment.



     20.   AMOUNT OWING BY JOINT VENTURE

           The amount owing is non-trade in nature, unsecured, interest-free and not subject to fixed terms of repayment.



     21.   TAX RECOVERABLE

           Subject to agreement with the tax authorities, the Company has tax recoverable of RM1,514,357 and RM1,937,117
           at the balance sheet date in respect of the financial years ended 31 March 1997 to 31 March 2000 and 31 March 2006 to
           31 March 2007 respectively. At the date of this report, the amount is still pending agreement with the tax authorities.
79




                                                                             NOTES TO FINANCIAL STATEMENTS
                                                                                        FOR THE FINANCIAL YEAR ENDED 31 MARCH 2007




22.   SHORT-TERM DEPOSITS WITH LICENSED BANKS

      The weighted average effective interest rates of deposits at the balance sheet date were as follows:

                                                                      THE GROUP                          THE COMPANY

                                                               2007               2006                2007               2006
                                                                %                  %                   %                  %

      Licensed bank                                                   4.24                2.81               2.30               2.30



      Deposits of the Group and the Company have maturity periods ranging from 30 days to 183 days (2006 - 30 days).

      Certain deposits of the Company have been pledged as security for the ABBA Bonds as disclosed in Note 26 to the financial
      statements.

      The foreign currency exposure profile of the short-term deposits is as follows:

                                                                                                             THE GROUP

                                                                                                      2007               2006
                                                                                                       RM                 RM

      Thai Baht                                                                                       2,000,000                    -



23.   CASH AND BANK BALANCES

                                                                      THE GROUP                          THE COMPANY

                                                               2007               2006                2007               2006
                                                                RM                 RM                  RM                 RM

      Cash and bank balances                                    1,917,838          1,082,118             76,234             27,320
      Sinking fund account (Note 42)                           12,001,075          8,123,112         12,001,075          8,123,112

                                                               13,918,913          9,205,230         12,077,309          8,150,432



      The foreign currency exposure profile of the cash and bank balances is as follows:

                                                                      THE GROUP                          THE COMPANY

                                                               2007               2006                2007               2006
                                                                RM                 RM                  RM                 RM

      Thai Baht                                                   805,933           268,831              71,210            25,879



      Included in the cash and bank balances of the Group is RM208,949 (2006 - RM701,950) maintained under the Housing
      Development Accounts pursuant to Section 7A of the Housing Development (Control and Licensing ) Act, 1966.

      The sinking fund account is maintained with a financial institution, and forms part of the security for the repayment of the
      ABBA Bonds.
80




     NOTES TO FINANCIAL STATEMENTS
     FOR THE FINANCIAL YEAR ENDED 31 MARCH 2007




     24. SHARE CAPITAL

                                                                                         THE COMPANY

                                                                   2007         2006                   2007              2006
                                                                   NUMBER OF SHARES                     RM                RM

           AUTHORISED

           Ordinary shares of RM1 each                            193,167,000       193,167,000      193,167,000       193,167,000

           5.5% ICCPS of RM1 each                                   6,833,000         6,833,000        6,833,000          6,833,000

           Total authorised share capital                         200,000,000       200,000,000      200,000,000       200,000,000

           ISSUED AND FULLY PAID-UP

           Ordinary shares of RM1 each                             82,435,000        82,435,000       82,435,000        82,435,000



     25.   RESERVES

                                                                          THE GROUP                       THE COMPANY

                                                                   2007              2006              2007              2006
                                                                    RM                RM                RM                RM
                                                                                  (Restated)

           Share premium (Note a)                                 111,412,895       111,412,895      111,412,895       111,412,895
           Capital reserve (Note b)                                 1,199,999         1,199,999                -                 -
           Retained profits (Note c)                               18,077,892        21,680,691       22,322,998        22,239,634

                                                                  130,690,786       134,293,585      133,735,893       133,652,529



           (a)   The share premium is not available for distribution by way of cash dividends.

           (b)   The capital reserve arose from a bonus issue of ordinary shares on 21 August 1992 by a former subsidiary, and is not
                 available for distribution by way of dividends.

           (c)   Subject to agreement with the tax authorities, at the balance sheet date, the Company has:

                 (i)    tax-exempt income of approximately RM233,000 (2006 - RM233,000) available for the purpose of paying tax-
                        exempt dividends; and

                 (ii)   tax credits under Section 108 of the Income Tax Act, 1967 to frank the payment of dividends of approximately
                        RM15,456,000 (2006 - RM14,457,000) out of its entire retained profits without incurring any additional tax
                        liabilities.
81




                                                                          NOTES TO FINANCIAL STATEMENTS
                                                                                  FOR THE FINANCIAL YEAR ENDED 31 MARCH 2007




26.   ABBA BONDS



                                                                                              THE GROUP/THE COMPANY

                                                                                                 2007              2006
                                                                                                  RM                RM

      Al-Bai Bithaman Ajil Bonds (nominal value)                                                 61,961,250        61,961,250
      Less: ABBA Bonds issuance expenses                                                         (1,343,155)       (1,281,283)
            Finance charges on bonds issue                                                      (21,961,250)      (21,961,250)

      Net proceeds                                                                               38,656,845       38,718,717
      Additional ABBA Bonds issuance expenses                                                       (59,932)         (61,872)

                                                                                                 38,596,913       38,656,845

      Cumulation of amortisation of ABBA Bonds issuance expenses                                  1,270,823          993,053
      Cumulation of amortisation of finance charges on ABBA Bonds issue                          19,968,435       15,481,626

                                                                                                 59,836,171       55,131,524

      Cumulative repayments:
      At 1 April                                                                                 (8,674,575)       (6,196,125)
      Repayment made during the year                                                             (2,478,450)       (2,478,450)

      At 31 March                                                                               (11,153,025)       (8,674,575)

                                                                                                 48,683,146       46,456,949

      Analysis of the ABBA Bonds:
      - Not later than one year                                                                  48,683,146        2,478,450
      - Later than one year and not later than five years                                                 -       43,978,499

                                                                                                 48,683,146       46,456,949



      On 13 September 2002, the Company issued RM61,961,250 nominal value Al-Bai Bithaman Ajil Bonds (“ABBA Bonds”)
      comprising RM49,569,000 nominal value Primary Bonds and 10 equal tranches of Secondary Bonds with RM12,392,250
      nominal value. The Primary Bonds are redeemable at maturity. Each Primary Bond is supported by 10 Secondary Bonds
      which are redeemable in semi-annual instalments commencing 6 months from the date of the first issue of the Secondary
      Bonds. The ABBA Bonds were placed out to a licensed financial institution via a private placement. The tenure of the ABBA
      Bonds is 5 years from the date of issue. The profit margin on the ABBA Bonds is fixed at 5% per annum, payable in arrears
      on a semi-annual basis represented by the Secondary Bonds. The ABBA Bonds are issued based on a 10% per annum yield
      to maturity.
82




     NOTES TO FINANCIAL STATEMENTS
     FOR THE FINANCIAL YEAR ENDED 31 MARCH 2007




     26.   ABBA BONDS (cont’d)

           The ABBA Bonds are secured in the following manner:

           (i)     by a third party first legal charge over certain properties of a subsidiary;

           (ii)    by a third party first legal charge over all the shares held by a wholly-owned subsidiary in an associate;

           (iii)   by a first party charge over a reserve account which is an Islamic banking account opened for the placement of all
                   monies received from dividends, unappropriated profits and bonus shares accruing to a subsidiary; and

           (iv)    by a first party charge over a sinking fund account and a Mudharabah Account of the Company.



     27.   LONG-TERM BORROWINGS

                                                                                                                    THE GROUP

                                                                                                             2007               2006
                                                                                                              RM                 RM

           Term loans (Note 28)                                                                              4,610,276           1,200,000
           Hire purchase payables (Note a)                                                                     259,793             360,180
           Amount owing to the Sabah State Government (Note b)                                              29,069,000          29,069,000

                                                                                                            33,939,069          30,629,180



           (a)     Hire purchase payables

                                                                                                                    THE GROUP

                                                                                                             2007               2006
                                                                                                              RM                 RM

                   Future minimum hire purchase payments:
                   - repayable not later than one year                                                         107,664            113,549
                   - repayable later than one year and not later than five years                               289,917            397,581

                                                                                                               397,581            511,130
                   Future finance charges                                                                      (41,318)           (53,760)

                   Present value of hire purchase payables                                                     356,263            457,370



                   Present value of hire purchase payables are payable as follows:

                   Not later than one year (Note 30)                                                            96,470             97,190
                   Later than one year and not later than five years                                           259,793            360,180

                                                                                                               356,263            457,370



                   The hire purchase payables at the balance sheet date were subject to interest at rates ranging from 4.33% to 4.55%
                   (2006 - 2.28% to 5.35%) per annum.
83




                                                                          NOTES TO FINANCIAL STATEMENTS
                                                                                  FOR THE FINANCIAL YEAR ENDED 31 MARCH 2007




27.   LONG-TERM BORROWINGS (cont’d)

      (b)   Amount owing to the Sabah State Government

            The amount represents the purchase consideration for the development land located on Signal Hill, Tanjung Lipat,
            Kota Kinabalu, Sabah, which is currently being developed by one of the Company’s subsidiary, i.e. South East
            Best Sdn. Bhd. (“SEB”). Under the terms of the agreement between SEB and the Sabah State Government dated
            5 September 1994, the amount owing to the Sabah State Government shall be paid in the form of 130 completed units
            of the property under development to be completed within a period of five years from the commencement of their
            construction as consideration in kind.

            On 16 July 2002, the Sabah State Government agreed to execute a change of their entitlement to the outstanding
            amount of RM29,069,000. The change of entitlement is in the form of the construction by SEB of an office building
            for the Land and Survey Department (Jabatan Tanah dan Ukur) and part of a building for the Ministry of Finance at a
            value equivalent to the amount outstanding of RM29,069,000.

            On 21 October 2002, SEB was requested to prepare the Contract Document and Estimation for the above project.

            On 17 December 2004, SEB entered into a supplemental agreement with the Sabah State Government and agreed
            to execute a change of their entitlement. The change of entitlement is in the form of the construction by SEB of an
            office building for the Land and Survey Department (Jabatan Tanah dan Ukur) at a value equivalent to the amount
            outstanding of RM29,069,000.

            The Company completed the construction work in May 2007 and handed over the property to the authority in
            June 2007. The contract value was extended to RM30.3 million with variation orders.



28.   TERM LOANS

                                                                                                        THE GROUP

                                                                                                 2007               2006
                                                                                                  RM                 RM

      Current portion:
      - repayable within one year (Note 32)                                                       2,580,042         2,597,379

      Non-current portion:
      - repayable between one to two years                                                        1,983,119                 -
      - repayable between two to five years                                                       2,627,157         1,200,000

      Total non-current portion (Note 27)                                                         4,610,276         1,200,000

                                                                                                  7,190,318         3,797,379
84




     NOTES TO FINANCIAL STATEMENTS
     FOR THE FINANCIAL YEAR ENDED 31 MARCH 2007




     28.   TERM LOANS (cont’d)

           Details of the term loans outstanding at the balance sheet date are as follows:

                                                                                                                   THE GROUP

                                                                                                            2007               2006
           Term loan                                                                                         RM                 RM

           I                                                                                                        -               197,379
           II                                                                                                 800,000             3,600,000
           III                                                                                              4,900,068                     -
           IV                                                                                               1,490,250                     -

                                                                                                            7,190,318             3,797,379



                                                                   Number of          Monthly          Interest Rate    Date of
           Term loan                                                Monthly          Instalment         Per Annum Commencement
                                                                  Instalments          Amount                %       of Repayment
                                                                                         RM

           I                                                            17              141,667            8.50%            July 2005
           II                                                            9              400,000            8.50%           October 2006
           III                                                          48              120,312            8.00%                *



           *     Repayable immediately upon full drawdown.



           Term loan IV is the Islamic financing facility of Al-Bai Bithaman Ajil (“ABBA”) Scheme which is repayable in 3 monthly
           instalments of RM9,750 commencing March 2007 and 21 monthly instalments of RM76,646 commencing June 2007. It carries
           a financing charge of 7.80% per annum.

           (a)   Term loans I and II are secured:

                 (i)     by way of a first and second legal charge over 3 pieces of converted residential land of a subsidiary;

                 (ii)    by the personal guarantee of one of the directors of the Company; and

                 (iii)   by corporate guarantees from the Company and South-East Best Sdn. Bhd.

           (b)   Term loan III is secured:

                 (i)     by way of a Facility Agreement of RM28,000,000 to cover all facilities as principal instrument;

                 (ii)    by way of a first party legal charge over four pieces of development land of subsidiaries; and

                 (iv)    a corporate guarantee from the Company.

           (c)   Term loan IV is secured:

                 (i)     by way of a Lien Holders Caveat on a property of the subsidiary;

                 (ii)    by way of a legal charge over a sinking fund; and

                 (iii)   by way of a corporate guarantee from the Company.
85




                                                                             NOTES TO FINANCIAL STATEMENTS
                                                                                      FOR THE FINANCIAL YEAR ENDED 31 MARCH 2007




29.   DEFERRED TAXATION

      The deferred tax relates to the revaluation of land held for property development.



30.   PAYABLES

                                                                        THE GROUP                      THE COMPANY

                                                                 2007               2006            2007               2006
                                                                  RM                 RM              RM                 RM



      Trade payables                                           19,160,408       22,580,762                   -                -
      Retention payable                                         6,957,999        6,641,013                   -                -

      Total trade payables                                     26,118,407       29,221,775                  -                 -
      Other payables and accruals                               5,474,865        2,922,532            371,667           244,765
      Progress billings (Note 15)                              10,823,152                -                  -                 -
      Hire purchase payables (Note 27a)                            96,470           97,190                  -                 -

                                                               42,512,894       32,241,497            371,667           244,765



      The foreign currency exposure profile of the payables is as follows:

                                                                                                           THE GROUP

                                                                                                    2007               2006
                                                                                                     RM                 RM

      Thai Baht                                                                                     3,813,987            93,595



      Credit terms of trade payables range from 30 to 60 days.

      Included in other payables is an amount owing to a related party of RM169,367 (2006 - RM169,367). The details of the
      transaction and the balance are disclosed in Note 45 to the financial statements.



31.   AMOUNT OWING TO A DIRECTOR

      The above amount owing is unsecured, not subject to fixed terms of repayment and bore interest at 5.5% (2006 - 5.5%)
      per annum.
86




     NOTES TO FINANCIAL STATEMENTS
     FOR THE FINANCIAL YEAR ENDED 31 MARCH 2007




     32.   SHORT-TERM BORROWINGS

                                                        2007                                               2006

                                       SECURED       UNSECURED           TOTAL          SECURED          UNSECURED          TOTAL
                                         RM             RM                RM              RM                RM               RM

           THE GROUP

           Term loans
             (Note 28)                  2,580,042               -        2,580,042        2,597,379                -        2,597,379
           Revolving credits            5,294,400       7,000,000       12,294,400                -       13,344,400       13,344,400

                                        7,874,442       7,000,000       14,874,442        2,597,379       13,344,400       15,941,779



           THE COMPANY

           Revolving credits                     -      5,000,000        5,000,000                   -     5,000,000        5,000,000



           The weighted average effective interest rates at the balance sheet date for borrowings which bear interest at floating rates,
           were as follows:

                                                                           THE GROUP                         THE COMPANY

                                                                    2007               2006               2007              2006
                                                                     %                  %                  %                 %

           Term loans                                                      8.01               8.25                  -                 -
           Revolving credits                                               6.57               6.25               7.65              7.50



     33.   BANK OVERDRAFTS

                                                                           THE GROUP                         THE COMPANY

                                                                    2007               2006               2007              2006
                                                                     RM                 RM                 RM                RM

           Bank overdrafts (Note 42)                                27,028,134        14,656,189          7,456,572         5,053,440



           The weighted average effective interest rates at the balance sheet date for bank overdrafts were as follows:

                                                                           THE GROUP                         THE COMPANY

                                                                    2007               2006               2007              2006
                                                                     %                  %                  %                 %

           Bank overdrafts                                                 8.73               8.64               8.97              8.70
87




                                                                          NOTES TO FINANCIAL STATEMENTS
                                                                                  FOR THE FINANCIAL YEAR ENDED 31 MARCH 2007




34.   NET ASSETS PER ORDINARY SHARE

      The net assets per ordinary share is calculated based on the net assets value of RM213,125,786 (2006 - RM216,728,585)
      attributable to ordinary shares divided by the number of ordinary shares in issue at the balance sheet date of 82,435,000
      (2006 - 82,435,000) shares.



35.   REVENUE

                                                                    THE GROUP                        THE COMPANY

                                                             2007               2006             2007              2006
                                                              RM                 RM               RM                RM

      Revenue from construction contracts                    18,493,025         9,776,216                 -                 -
      Proportionate sales value of
        development properties                               57,660,017        59,880,059                 -                 -
      Rental income                                                   -            20,000                 -                 -
      Dividend income                                                 -                 -         5,000,000         5,000,000
      Interest income                                           369,482           204,859           369,482           204,859
      Other interest income                                           -                 -           399,484         1,009,232
      Management and administrative charges                     580,422            45,600         2,569,645         1,427,822

                                                             77,102,946        69,926,734         8,338,611         7,641,913



36.   COST OF SALES

                                                                    THE GROUP                        THE COMPANY

                                                             2007               2006             2007              2006
                                                              RM                 RM               RM                RM

      Construction costs                                     16,123,032         5,202,206                 -                 -
      Land and development expenditure                       43,480,502        51,519,380                 -                 -
      Direct costs                                              809,939            79,117                 -                 -
      Management and administrative charges                      85,837            46,530                 -                 -

                                                             60,499,310        56,847,233                 -                 -
88




     NOTES TO FINANCIAL STATEMENTS
     FOR THE FINANCIAL YEAR ENDED 31 MARCH 2007




     37.   PROFIT BEFORE TAXATION

                                                            THE GROUP                   THE COMPANY

                                                     2007               2006         2007          2006
                                                      RM                 RM           RM            RM

           Profit before taxation is arrived at
             after charging/(crediting):

           Amortisation of bonds expenses             277,770            279,708       277,770        279,708
           Auditors’ remuneration
           - for the financial year                    73,575             75,400        15,000         13,000
           - under/(over)provision in the
                previous financial year                 4,525              (2,300)       2,000              -
           Bad debts written off                      697,574                   -            -              -
           Depreciation of property,
             plant and equipment                       580,160            424,695        4,895        10,084
           Directors’ benefits-inkind                   16,925             16,925       16,925        16,925
           Directors’ fees                             100,500             93,000      100,500        93,000
           Directors’ remuneration                   1,166,900          1,110,940      683,060       651,292
           Finance charges on bonds                  4,486,809          4,487,486    4,486,809     4,487,486
           Interest expense
           - bank borrowings                         1,796,915           443,418     1,227,664     1,081,668
           - hire purchase                              12,442            14,845             -             -
           - loans                                     268,230           112,871       102,722       102,722
           Impairment loss on interest in
             associate                                        -          549,434              -             -
           Impairment loss on investment
             properties                              2,074,556                  -             -             -
           Investment in subsidiaries
             written off                                      -                 -      125,000              -
           Impairment loss on land held
             for property development                1,858,834                  -             -             -
           Loss/(Gain) on disposal of investment
             properties                               413,987            (812,642)            -             -
           Loss on foreign exchange - realised          2,617                 137             -             -
           Rental expense
           - premises                                        -              4,600       12,000         12,000
           - machinery and equipment                     9,975              9,608            -              -
           Staff costs                               3,530,728          3,817,436       47,240         94,232
           Waiver of debts                            (211,269)          (448,845)    (203,976)             -
           Gain on disposal of property,
             plant and equipment                      (155,791)          (132,283)            -             -
           Gross dividend income from subsidiaries           -                  -    (5,000,000)   (5,000,000)
           Interest income:
           - licensed financial institutions          (389,710)          (225,346)    (369,482)      (204,859)
           - subsidiaries                                    -                  -     (399,484)    (1,009,232)
           - others                                   (123,983)           (35,670)           -              -
           Rental of premises                          (85,884)          (223,112)           -              -
89




                                                                            NOTES TO FINANCIAL STATEMENTS
                                                                                   FOR THE FINANCIAL YEAR ENDED 31 MARCH 2007




38.   INCOME TAX EXPENSE

                                                                     THE GROUP                        THE COMPANY

                                                              2007              2006               2007              2006
                                                               RM                RM                 RM                RM
                                                                             (Restated)

      Current                                                  1,022,984           360,056           576,211           316,376
      Real property gains tax                                     99,130            53,156                 -                 -

                                                               1,122,144           413,212           576,211           316,376
      (Over)/Underprovision in previous
        financial years                                         (319,947)          (91,472)         (269,008)           34,060

                                                                 802,167           321,740           307,203           350,436



      During the current financial year, the statutory tax rate was reduced from 28% to 27%.

      Subject to agreement with the tax authorities, the Group has unutilised tax losses and unabsorbed capital allowances of
      approximately RM3,368,000 (2006 - RM3,795,700) and RM536,000 (2006 - RM546,000) respectively available at the balance
      sheet date to be carried forward for offset against future taxable business income. No deferred tax assets is recognised on
      these items.

      A reconciliation of the income tax expense applicable to the (loss)/profit before taxation at the statutory tax rate to the
      income tax expense at the effective tax rate of the Group and of the Company is as follows:

                                                                     THE GROUP                        THE COMPANY

                                                              2007              2006               2007              2006
                                                               RM                RM                 RM                RM
                                                                             (Restated)

      (Loss)/Profit before taxation                           (2,207,105)        1,368,937           984,094           500,256

      Tax at statutory tax rate of 27%
        (2006 - 28%)                                            (595,918)          383,302           265,706           140,072
      Tax effects of:
      Non-deductible expenses                                  1,905,717           274,487           222,058           173,647
      Non-taxable gains                                         (895,784)         (160,836)                -                 -
      Difference in tax rate in other country                     88,447                 -            88,447                 -
      Deferred tax assets not recognised
        during the financial year                              1,319,329           116,739                  -                 -
      Utilisation of deferred tax assets
        previously not recognised                                (25,445)          (96,258)                 -                 -
      Utilisation of tax losses brought forward                 (566,350)          (53,099)                 -                 -
      (Over)/Underprovision in previous
        financial years                                         (319,947)          (91,472)         (269,008)           34,060
      Differential in tax rates                                 (133,305)          (62,729)                -                 -
      Others                                                      25,423            11,606                 -             2,657

                                                                 802,167           321,740           307,203           350,436
90




     NOTES TO FINANCIAL STATEMENTS
     FOR THE FINANCIAL YEAR ENDED 31 MARCH 2007




     39.   (LOSS)/EARNINGS PER SHARE

           Basic (loss)/earnings per share is arrived at by dividing the (loss)/profit after taxation attributable to shareholders to the
           number of ordinary shares in issue at the balance sheet date of 82,435,000 (2006 - 82,435,000).



     40.   DIVIDEND

                                                                                                              THE COMPANY

                                                                                                          2007               2006
                                                                                                           RM                 RM

           Paid - dividend of 1% per ordinary share less 28% tax
             (2006 - 1% per ordinary share less 28% tax)                                                    593,527            593,527



           At the forthcoming Annual General Meeting, a final dividend in respect of the financial year ended 31 March 2007 of
           1 sen per ordinary share of RM1 each less 27% tax (2006 - 1 sen per ordinary share of RM1 each less 28% tax) amounting to
           RM601,776 (2006 - RM593,527) will be tabled for shareholders’ approval. These financial statements do not reflect this final
           dividend which will be accrued as a liability only upon approval by shareholders.



     41.   PURCHASE OF PROPERTY, PLANT AND EQUIPMENT

                                                                                                                 THE GROUP

                                                                                                          2007              2006
                                                                                                           RM                RM
                                                                                                                         (Restated)

           Cost of property, plant and equipment purchased                                                 1,204,262           676,406
           Amount financed though hire purchase                                                                    -          (482,300)

           Cash disbursed for the purchase of property, plant and equipment                                1,204,262           194,106



     42.   CASH AND CASH EQUIVALENTS

           For the purpose of the cash flow statements, cash and cash equivalents comprise the following:

                                                                           THE GROUP                          THE COMPANY

                                                                    2007               2006               2007               2006
                                                                     RM                 RM                 RM                 RM

           Short term deposits (Note 22)                             3,334,226          1,364,225         1,239,225           1,239,225
           Cash and bank balances (Note 23)                         13,918,913          9,205,230        12,077,309           8,150,432
           Bank overdrafts (Note 33)                               (27,028,134)       (14,656,189)       (7,456,572)         (5,053,440)

                                                                    (9,774,995)        (4,086,734)         5,859,962         4,336,217
           Less: Cash placed in sinking fund
                 account (Note 23)                                 (12,001,075)        (8,123,112)       (12,001,075)        (8,123,112)

                                                                   (21,776,070)       (12,209,846)        (6,141,113)        (3,786,895)
91




                                                                         NOTES TO FINANCIAL STATEMENTS
                                                                                  FOR THE FINANCIAL YEAR ENDED 31 MARCH 2007




43.   DIRECTORS’ REMUNERATION

      The aggregate amount of emoluments received and receivable by the directors of the Company during the financial year
      are as follows:

                                                                    THE GROUP                       THE COMPANY

                                                             2007               2006            2007              2006
                                                              RM                 RM              RM                RM

      DIRECTORS’ FEES:

      1.   Mun Chong Shing @ Mun Chong Tian                     19,500            18,000            19,500            18,000
      2.   Dato’ Zainol Abidin bin Haji A. Hamid                20,500            19,000            20,500            19,000
      3.   Dato’ Lim Phaik Gan                                  20,500            19,000            20,500            19,000
      4.   Dato’ Dr. Norraesah bt Haji Mohamad                  20,500            19,000            20,500            19,000
      5.   Ahmad Fizal bin Othman                               19,500            18,000            19,500            18,000

                                                               100,500            93,000           100,500            93,000



      DIRECTORS’ NON-FEES EMOLUMENTS:

      1.   Sia Kwee Mow @ Sia Hok Chai                         618,800           589,120           618,800          589,120
      2.   Sia Teong Heng                                      537,600           510,720            53,760           51,072
      3.   Mun Chong Shing @ Mun Chong Tian                      1,200             1,500             1,200            1,500
      4.   Dato’ Zainol Abidin bin Haji A. Hamid                 1,200             1,500             1,200            1,500
      5.   Dato’ Lim Phaik Gan                                   2,400             3,000             2,400            3,000
      6.   Dato’ Dr. Norraesah bt Haji Mohamad                   3,000             2,400             3,000            2,400
      7.   Ahmad Fizal bin Othman                                2,700             2,700             2,700            2,700

                                                             1,166,900          1,110,940          683,060          651,292



      Apart from the amounts disclosed under directors’ remuneration above, the estimated monetary value of other benefits-in-
      kind received by the following director during the financial year, otherwise than in cash is as follows:

                                                                    THE GROUP                       THE COMPANY

                                                             2007               2006            2007              2006
                                                              RM                 RM              RM                RM

      Sia Kwee Mow @ Sia Hok Chai                               16,925            16,925            16,925            16,925
92




     NOTES TO FINANCIAL STATEMENTS
     FOR THE FINANCIAL YEAR ENDED 31 MARCH 2007




     44.   RELATED COMPANY TRANSACTIONS

                                                                                                           THE COMPANY

                                                                                                       2007              2006
                                                                                                        RM                RM

           Rental paid to a subsidiary                                                                    12,000             12,000
           Dividend income receivable from subsidiaries                                                5,000,000          5,000,000
           Interest receivable from subsidiaries                                                         399,484          1,009,232
           Management fee receivable from subsidiaries                                                 1,500,000          1,427,822
           Management fee receivable from a joint venture                                              1,069,645                  -



     45.   RELATED PARTY TRANSACTIONS/BALANCES

                                                                                                               GROUP

                                                                                                       2007              2006
           NAME OF RELATED PARTIES             NOTE      NATURE OF TRANSACTION                          RM                RM

           Ligamas Sdn. Bhd                     (a)      Progress billings received/receivable        15,523,420          8,033,114

           Paling Industries Sdn. Bhd.          (a)      Purchase of materials                                  -           94,783

           Sia Kwee Mow @ Sia Hok Chai          (b)      Interest paid/payable                           102,722           102,722



                                                                        RECEIVABLE                             PAYABLE
                                                                          GROUP                                 GROUP

                                                                   2007              2006              2007              2006
           NAME OF RELATED PARTIES             NOTE                 RM                RM                RM                RM

           Ligamas Sdn Bhd.                     (a)               10,060,695         10,308,245                 -                 -

           Sia Kwee Mow @ Sia Hok Chai          (b)                         -                    -       102,722           102,722

           Peak Marketing Sdn. Bhd.             (c)                         -                    -        66,645            66,645



           (a)   Associate.

           (b)   A director of the Company.

           (c)   A company in which Sia Teong Heng, who is a director of the Company, has a direct interest.

           In the opinion of the directors, the above transactions have been entered into in the ordinary course of business on terms
           mutually agreed between the parties.
93




                                                                               NOTES TO FINANCIAL STATEMENTS
                                                                                     FOR THE FINANCIAL YEAR ENDED 31 MARCH 2007




46.   CONTINGENT LIABILITY

                                                                                                       THE COMPANY

                                                                                                    2007             2006
                                                                                                     RM               RM

      Corporate guarantee (unsecured) given to banks and other licensed
        financial institutions for credit facilities granted to subsidiaries                        37,556,180       24,330,673



47.   SEGMENTAL REPORTING

      (i)   By Business Segment:

            THE GROUP
            2007

                                                                                       MANU-
                                                     PROPERTY          INVEST-       FACTURING
                                       CONS-         DEVELOP-           MENT            AND           ELIMI-
                                     TRUCTION          MENT           HOLDING         TRADING        NATIONS         GROUP
                                        RM              RM               RM             RM             RM             RM

            REVENUE:

            External revenue          18,493,025      57,660,017          949,904              -                 -   77,102,946
            Intersegment
              revenue                 33,834,846                -       7,506,307       940,058      (42,281,211)             -

            Total revenue             52,327,871      57,660,017        8,456,211       940,058      (42,281,211)    77,102,946

            Results:
            Segment results            4,014,199       (1,073,977)      6,739,974       123,863       (5,574,978)     4,229,081
            Finance costs                                                                                            (6,705,397)
            Share of results
              of associates                     -        747,908                 -      (478,697)                -     269,211

            Loss from ordinary
              activities before
              taxation                                                                                               (2,207,105)
            Income tax expense                                                                                         (802,167)

            Loss from ordinary
              activities after
              taxation                                                                                               (3,009,272)
94




     NOTES TO FINANCIAL STATEMENTS
     FOR THE FINANCIAL YEAR ENDED 31 MARCH 2007




     47.   SEGMENTAL REPORTING (cont’d)

           (i)   By Business Segment (cont’d):

                 THE GROUP
                 2007 (cont’d)

                                                                                              MANU-
                                                               PROPERTY       INVEST-       FACTURING
                                                    CONS-      DEVELOP-        MENT            AND
                                                  TRUCTION       MENT        HOLDING         TRADING       GROUP
                                                     RM           RM            RM             RM           RM

                 Other information

                 Segment assets                   15,765,944   338,469,983   19,474,432      10,774,053   384,484,412
                 Unallocated assets                                                                         1,367,292

                                                                                                          385,851,704

                 Segment liabilities              38,983,630    70,346,440   14,709,691          3,011    124,042,772
                 Unallocated liabilities                                                                   48,683,146

                                                                                                          172,725,918
                 Capital expenditure
                 - Property, plant and
                    equipment                        90,142      1,114,120              -             -     1,204,262
                 - Land held for property
                    development                            -     2,468,347              -             -     2,468,347

                 Depreciation                       292,058       282,948         5,154               -      580,160

                 Impairment loss on
                   investment properties                   -     2,074,556              -             -     2,074,556

                 Impairment loss on land
                   held for property
                   development                             -     1,858,834              -             -     1,858,834

                 Amortisation of bonds
                  expenses                                                                                   277,770
95




                                                                    NOTES TO FINANCIAL STATEMENTS
                                                                             FOR THE FINANCIAL YEAR ENDED 31 MARCH 2007




47.   SEGMENTAL REPORTING (cont’d)

      (i)   By Business Segment (cont’d):

            THE GROUP
            2006 (RESTATED)

                                                                               MANU-
                                                 PROPERTY      INVEST-       FACTURING
                                     CONS-       DEVELOP-       MENT            AND          ELIMI-
                                   TRUCTION        MENT       HOLDING         TRADING       NATIONS         GROUP
                                      RM            RM           RM             RM            RM             RM

            REVENUE:

            External revenue         9,776,216   59,945,659     204,859                -              -    69,926,734
            Intersegment
              revenue               34,490,468            -   12,533,054               -    (47,023,522)             -

            Total revenue           44,266,684   59,945,659   12,737,913               -    (47,023,522)   69,926,734

            Results:
            Segment results          3,287,027    3,259,681   11,648,179          (7,468)   (11,761,048)     6,426,371
            Finance costs                                                                                   (5,160,442)
            Share of results
              of associates                  -     420,641               -      (317,633)             -       103,008

            Profit from ordinary
              activities before
              taxation                                                                                      1,368,937
            Taxation                                                                                         (321,740)

            Profit from ordinary
              activities after
              taxation                                                                                      1,047,197
96




     NOTES TO FINANCIAL STATEMENTS
     FOR THE FINANCIAL YEAR ENDED 31 MARCH 2007




     47.   SEGMENTAL REPORTING (cont’d)

           (i)    By Business Segment (cont’d):

                  THE GROUP
                  2006 (RESTATED) (cont’d)

                                                                                                         MANU-
                                                                          PROPERTY       INVEST-       FACTURING
                                                               CONS-      DEVELOP-        MENT            AND
                                                             TRUCTION       MENT        HOLDING         TRADING       GROUP
                                                                RM           RM            RM             RM           RM

                  Other information

                  Segment assets                             19,729,796   313,607,047    16,019,176     10,138,516   359,494,535
                  Unallocated assets                                                                                   1,551,225

                                                                                                                     361,045,760

                  Segment liabilities                        41,026,145    44,646,717    12,183,528          3,836    97,860,226
                  Unallocated liabilities                                                                             46,456,949

                                                                                                                     144,317,175

                  Capital expenditure
                  - Property, plant and equipment              404,652       271,754               -             -      676,406
                  - Land held for property development               -       466,545               -             -      466,545

                  Depreciation                                 201,852       212,394        10,449               -      424,695

                  Amortisation of bonds expenses                                                                        279,708

                  Impairment loss on interest in associate                                                              549,434



           (ii)   By geographical market:

                                             SEGMENT REVENUE                 SEGMENT ASSETS             CAPITAL EXPENDITURE
                                             2007       2006                2007        2006             2007         2006

                  Malaysia                  59,341,523       69,926,734   378,734,947   360,240,480      3,046,318     1,142,951
                  Thailand                  17,761,423                -     9,812,457       805,280        626,291             -

                                            77,102,946       69,926,734   388,547,404   361,045,760      3,672,609     1,142,951
97




                                                                              NOTES TO FINANCIAL STATEMENTS
                                                                                      FOR THE FINANCIAL YEAR ENDED 31 MARCH 2007




48.   FOREIGN EXCHANGE RATE

      The principal closing foreign exchange rate used (expressed on the basis of one unit of foreign currency to Ringgit Malaysia
      equivalent) for the translation of the foreign currency balances at the balance sheet date is as follows:

                                                                                                      2007               2006
                                                                                                       RM                 RM

      Thai Baht                                                                                            0.100            0.095



49.   PRIOR YEAR ADJUSTMENT

      The prior year adjustment relates to an overstatement of the gain on the disposal of investment properties amounted to
      RM3,732,478 in previous financial years. The financial effect of such adjustment has been accounted for retrospectively as a
      prior year adjustment in the financial statements.

      The effects of the prior year adjustment on the comparative figures are as follows:

                                                                                                             THE GROUP

                                                                                                                       As
                                                                                                       As          Previously
                                                                                                    Restated       Reported
                                                                                                      RM              RM

      Balance Sheet (Extract):

      Investment properties                                                                            6,867,925     10,600,403*
      Retained profits                                                                                21,680,691     25,413,169



      *     - After incorporating certain reclassifications as detailed in Note 52 to the financial statements.
98




     NOTES TO FINANCIAL STATEMENTS
     FOR THE FINANCIAL YEAR ENDED 31 MARCH 2007




     50.   FAIR VALUES OF FINANCIAL INSTRUMENTS

           Fair value is defined as the amount at which the financial instrument could be exchanged in a current transaction between
           knowledgeable willing parties in an arm’s length transaction, other than in a forced sale or liquidation.

           The following methods and assumptions are used to estimate the fair value of each class of financial instruments:

           (i)     Bank balances and other liquid funds and short term receivables

                   The carrying amounts approximated their fair values due to the relatively short term maturity of these instruments.

           (ii)    Quoted and unquoted investments

                   The fair values of quoted investments are estimated based on quoted market prices for these investments.

                   For unquoted investments, it is not practicable to determine the fair values because of the lack of quoted market
                   prices and the assumptions used in valuation models to value these investments cannot be reasonably determined.

           (iii)   Short-term borrowings and other current liabilities

                   The carrying amounts approximated their fair values because of the short period to maturity of these instruments.

           (iv)    Long-term bank loans

                   The carrying amounts approximated their fair values as these instruments bear interest at variable rates.

           (v)     Hire purchase obligations

                   The fair value of hire purchase obligations is determined by discounting the relevant cash flow using current interest
                   rates for similar instruments at the balance sheet date.

           (vi)    Contingent liabilities

                   The nominal amount and net fair value of financial instruments not recognised in the balance sheets of the Company
                   are as follows:

                                                                                2007                                  2006

                                                                     Nominal              Net             Nominal               Net
                                                                     Amount            Fair Value         Amount             Fair Value
                                                                       RM                  RM               RM                   RM

           Corporate guarantees                                       37,556,180                    *       24,330,673                    *



           *       - The fair value of contingent liabilities is expected to be minimal as the subsidiaries are expected to be able to repay
                     the banking facilities.
99




                                                                            NOTES TO FINANCIAL STATEMENTS
                                                                                   FOR THE FINANCIAL YEAR ENDED 31 MARCH 2007




51.   SIGNIFICANT EVENTS DURING THE FINANCIAL YEAR

      The following are the significant events during the financial year:

      (a)   On 13 October 2006, the Company acquired and subscribed for 115,000 ordinary shares of 100 Bahts each, of which
            25 Bahts were paid-up for each share, representing 50% of the additional issued and paid-up ordinary share capital of
            Tri-Development Co., Ltd. for a total cash consideration of RM288,909;

      (b)   On 16 March 2007, a wholly owned subsidiary of the Company, Siah Brothers Industries Sdn. Bhd. acquired:

            (i)    490,000 ordinary shares of RM1 each representing 49% of the issued and paid-up share capital of Masahmura
                   Sdn. Bhd for a cash consideration of RM98,000;

            (ii)   78,400 ordinary shares of RM1 each representing 49% of the issued and paid-up share capital of Masahmura
                   Sales and Service Sdn. Bhd for a cash consideration of RM7,840; and

      (c)   On 28 March 2007, the Company acquired 51,000 ordinary shares of RM1 each representing 51% of the issued and
            paid-up share capital of Kiara Amalan Sdn. Bhd. for a cash consideration of RM51,000.



52.   COMPARATIVE FIGURES

      The following comparative figures have been reclassified to confirm with the presentation of the current financial year:

                                                                                                        THE GROUP

                                                                                                                      As
                                                                                                    As            Previously
                                                                                                 Restated         Reported
                                                                                                   RM                RM

      Balance Sheets (extract):
      Property, plant and equipment                                                                8,242,610         34,771,188
      Investment properties                                                                       10,600,403*        71,162,500
      Land held for property development                                                          87,090,675                  -



      Income Statements (extract):
      Share of profits of associates                                                                  103,008           266,591
      Income tax expense                                                                             (321,740)         (485,323)



      Cash Flow Statements (extract):
      Purchase of property, plant and equipment                                                      194,106            318,295
      Payment of land held for property development                                                  466,545                  -
      Incidental expenses on investment property                                                           -            342,356
100




      GROUP PROPERTIES
      AS AT 31 MARCH 2007




      Location                    Tenure/
                                  (Age of           Land Area/   Net Book                        Date of
                                  building or       (Built-Up    Value As At                     Acquisition */
                                  date of expiry)   Area)        31. 03. 2007   Description      Revaluation
                                                    Sq. Ft.      (RM)



      422, 422A-C,                Freehold          2,102/       426,750        4-storey         29/03/2000
      Jalan Pahang,               (32 years)        (6,404)                     shophouse
      53000 Kuala Lumpur.                                                       for rental




      74, 74A-E,                  Freehold          5,513/       3,739,156      6 I/2-storey     28/03/2000
      Wisma Siah Brothers,        (27-29 years)     (38,238)                    commercial
      Jalan Pahang, 53000                                                       building for
      Kuala Lumpur.                                                             office
                                                                                headquarters
                                                                                and for rental




      4 units at                  Freehold          (7,702)      2,695,700      Condominium      27/03/2000
      Intan Kenny                 (12 years)                                    units for sale
      Condominium                                                               and for rental
      Unit no. 31-0-2, 31-0-3,
      31-1-1 & 31-1-2
      Intan Kenny Condominium,
      Persiaran Bukit Tunku,
      50480 Kuala Lumpur.




      GM 2414,                    Freehold          8,902        483,523        Vacant land      28/03/2000
      Lot No. 9332, Mukim Batu,   (11 years)                                    for future
      Daerah and Negeri                                                         development
      Wilayah Persekutuan.




      P.T. 8995, 8997,            Leasehold         683,762      473,197        Vacant land      28/03/2000
      9006, 9077, Mukim Batu,     expiring                                      for future
      Daerah and Negeri           on                                            development
      Wilayah Persekutuan.        22/4/2086




      P.T. 42031, 42042-42044,    Freehold          1,220,939    1,443,227      Vacant land      16/12/1993*
      42047-42048, 42052-42056,                                                 for future
      Mukim Kuala Kuantan,                                                      development
      District of Kuantan,
      Pahang Darul Makmur.




      SBC CORPORATION BERHAD
101




                                                                                 GROUP PROPERTIES
                                                                                            AS AT 31 MARCH 2007




Location                     Tenure/
                             (Age of           Land Area/   Net Book                             Date of
                             building or       (Built-Up    Value As At                          Acquisition */
                             date of expiry)   Area)        31. 03. 2007   Description           Revaluation
                                               Sq. Ft.      (RM)



P.T. 42045-42046             Freehold          199,769      302,696        Vacant land           16/12/1993*
Mukim Kuala Kuantan,                                                       for future
District of Kuantan,                                                       development
Pahang Darul Makmur.




P.T. 42050,                  Freehold          245,387      728,597        Land currently        16/12/1993*
Mukim Kuala Kuantan,                                                       under
District of Kuantan,                                                       development
Pahang Darul Makmur.




P.T. 42029,                  Freehold          49,052       156,321        Vacant land           30/03/2000
Mukim Kuala Kuantan                                                        for future
District of Kuantan                                                        development
Pahang Darul Makmur.




P.T. 9076 & 9005,            Leasehold         519,164      18,150,000     Vacant land           28/03/2000
Mukim Batu,                  expiring on                                   for future
Daerah and Negeri            22/4/2086                                     development
Wilayah Persekutuan.




Part of CT No. 10166 for     Freehold          1,132,637    13,510,000     Vacant land           05/04/1999*
Lot No. 2398                                                               for future
Mukim of Batang Kali,                                                      development
District of Ulu Selangor,
Selangor Darul Ehsan.




Lot 2 (TL017546495)          Leasehold         232,163      9,942,632      Vacant land           30/04/2002*
Signal Hill,                 expiring on                                   for future
Tanjung Lipat,               31/12/2093                                    development
District of Kota Kinabalu,
State of Sabah.




                                                                                      SBC CORPORATION BERHAD
102




      GROUP PROPERTIES
      AS AT 31 MARCH 2007




      Location                     Tenure/
                                   (Age of           Land Area/   Net Book                        Date of
                                   building or       (Built-Up    Value As At                     Acquisition */
                                   date of expiry)   Area)        31. 03. 2007   Description      Revaluation
                                                     Sq. Ft.      (RM)



      Lot 3 (TL017546486)          Leasehold         195,139      29,500,000     Vacant land      30/04/2002*
      Signal Hill,                 expiring on                                   for future
      Tanjung Lipat,               31/12/2093                                    development
      District of Kota Kinabalu,                                                 of hotel
      State of Sabah.




      Lot 4 (TL017546511)          Leasehold         96,263       4,123,169      Land currently   30/04/2002*
      Signal Hill,                 expiring on                                   under
      Tanjung Lipat,               31/12/2093                                    development
      District of Kota Kinabalu,
      State of Sabah.




      H.S.(D) No. 7727, Lot 438,   Freehold          48,846       732,690        Vacant land      24/08/1998*
      Mukim of Serendah,                                                         for future
      Ulu Selangor,                                                              development
      Selangor Darul Ehsan.




      Part of CT No. 10140 for     Freehold          1,306,890    11,100,000     Vacant land      16/04/2004*
      Lot No. 2396                                                               for future
      Mukim of Batang Kali,                                                      development
      District of Ulu Selangor,
      Selangor Darul Ehsan.




      Part of CT No. 10166 for     Freehold          1,045,512    11,500,000     Vacant land      16/04/2004*
      Lot No. 2398                                                               for future
      Mukim of Batang Kali,                                                      development
      District of Ulu Selangor,
      Selangor Darul Ehsan.




      SBC CORPORATION BERHAD
103




                                                                                 GROUP PROPERTIES
                                                                                            AS AT 31 MARCH 2007




Location                     Tenure/
                             (Age of           Land Area/   Net Book                             Date of
                             building or       (Built-Up    Value As At                          Acquisition */
                             date of expiry)   Area)        31. 03. 2007   Description           Revaluation
                                               Sq. Ft.      (RM)



HS(M) 2220 PT 6726,          Freehold          65,746       5,467,000      Land currently        16/04/2004*
HS(M) 2221 PT 6727,                                                        under
HS(M) 2222 PT 6728,                                                        development
HS(M) 2223 PT 6729,
HS(M) 2224 PT 6730,
HS(M) 2225 PT 6731,
HS(M) 2226 PT 6732,
HS(M) 2227 PT 6733,
HS(M) 2228 PT 6734,
HS(M) 2229 PT 6735,
HS(M) 2232 PT 6737,
Mukim of Setapak,
District of State of
Wilayah Persekutuan.




Undivided 2,725/4, 125,      Freehold          169,460      4,112,933      Compulsory            16/04/2004*
share in Geran 40871,                                                      acquisition
Lot 10244, Mukim of Batu,
District of Gombak,
Selangor Darul Ehsan.




HS(M) 1622 PT 2186           Leasehold         236,983      829,000        Vacant land           16/04/2004*
Pekan Ulu Yam Lama,          expiring on                                   for future
Mukim of Hulu Yam,           16/05/2055                                    development
District of Hulu Selangor,
Selangor Darul Ehsan.




GM 1216 Lot No. 1589 and     Freehold          79,023       3,000,000      Vacant land           16/04/2004*
GM 1217 Lot No. 1590,                                                      for future
Mukim of Petaling,                                                         development
District of State of
Wilayah Persekutuan.




                                                                                      SBC CORPORATION BERHAD
104




      SHAREHOLDERS’ INFORMATION
      AS AT 31 JULY 2007




      Authorised Shares Capital          :   RM200,000,000
      Issued and Fully Paid Up Capital   :   RM82,435,000
      Class of Shares                    :   Ordinary shares of RM1 each fully paid
      Voting Right                       :   1 vote per ordinary share




      DISTRIBUTION SCHEDULE

                                                          No. of                 % of                      No. of             % of
      Shareholding Category                         Shareholders          Shareholders                     Shares    Issued Capital

              1  -     99                                      266                     7.24               9,232                0.01
            100  -     1,000                                 1,031                    28.05             862,379                1.05
          1,001   -    10,000                                1,995                    54.29           7,324,237                8.88
         10,001  -     100,000                                 334                     9.09           9,419,723               11.43
        100,001  -     4,121,749                                44                     1.20          25,477,906               30.91
      4,121,750 and    above                                     5                     0.13          39,341,523               47.72

           Total                                             3,675                100.00             82,435,000              100.00




      THIRTY LARGEST SHAREHOLDERS (As per Record of Depositors)



      Name of Shareholders                                                            No. of Shares Held        % of Issued Capital

      1.   LOM Holdings Sdn Bhd                                                               14,317,500                      17.37

      2.   Amanah Raya Nominees (Tempatan) Sdn Bhd                                             8,542,000                      10.36
           - Skim Amanah Saham Bumiputera

      3.   Permodalan Nasional Berhad                                                          6,867,000                       8.33

      4.   Evergreen Legacy Sdn Bhd                                                            5,181,023                       6.28

      5.   Amsec Nominees (Tempatan) Sdn Bhd                                                   4,434,000                       5.38
           - Pledged Securities Account for Sia Teong Heng

      6.   Meer Sadik Bin Habib Mohamed                                                        3,780,528                       4.59

      7.   DB (Malaysia) Nominee (Asing) Sdn Bhd                                               2,170,400                       2.63
           - Deutsche Bank AG Singapore PBD for Penfold Holdings Limited

      8.   Mayban Securities Nominees (Tempatan) Sdn. Bhd.                                     2,000,000                       2.43
           - Pledged Securities Account for Ong Huey Peng (REM 650)

      9.   RHB Capital Nominees (Tempatan) Sdn Bhd                                             1,480,800                       1.80
           - Pledged Securities Account for Sia Kwee Mow @ Sia Hok Chai (STH 981069)

      10. Mun Oi @ Mun Oi Lin                                                                  1,473,800                       1.79




      SBC CORPORATION BERHAD
105




                                                                                    SHAREHOLDERS’ INFORMATION
                                                                                                                    AS AT 31 JULY 2007




THIRTY LARGEST SHAREHOLDERS (As per Record of Depositors) (cont’d)



Name of Shareholders                                                             No. of Shares Held            % of Issued Capital

11. Choong Sake Mee                                                                          1,235,200                           1.50

12. Southwark Limited                                                                        1,191,300                           1.44

13. Nican Asia Limited                                                                       1,106,478                           1.34

14. Southwark Limited                                                                        1,101,800                           1.34

15. Poo Choo @ Ong Poo Choi                                                                  1,058,000                           1.28

16. Siah Teong Teck                                                                            880,830                           1.07

17. Siah Teong Woei                                                                            877,711                           1.06

18. Siah Chong Hock                                                                            722,000                           0.88

19. Wong Chee Choon                                                                            536,800                           0.65

20. Chan Wan Moi                                                                               498,700                           0.60

21. Penfold Holdings Limited                                                                   400,000                           0.48

22. Sin Len Moi                                                                                363,100                           0.44

23. Siah Teong Yin                                                                             328,723                           0.40

24. United Overseas Nominees (Tempatan) Sdn Bhd                                                307,723                           0.37
    - Pledged Securities Account for Siah Teong Chein (MKL)

25. Siah Chong Ong                                                                             303,000                           0.37

26. ABB Nominee (Tempatan) Sdn. Bhd.                                                           277,000                           0.34
    - Pledged Securities Account for Siow Sing Heng

27. Sia Tzu Lung                                                                               230,092                           0.28

28. Loo Ah Luan                                                                                205,200                           0.25

29. Chew Siew Ying                                                                             199,000                           0.24

30. Sia Poh Choo @ Sia Swee Choo                                                               179,700                           0.22

    TOTAL                                                                                   62,249,408                         75.51



The thirty largest shareholders refer to the thirty securities account holders having the largest number of securities according to the
Record of Depositors (without aggregating the securities from different securities accounts belonging to the same depositor).




                                                                                                            SBC CORPORATION BERHAD
106




      SHAREHOLDERS’ INFORMATION
      AS AT 31 JULY 2007




      DIRECTORS’ SHAREHOLDINGS (As per Register of Directors’ Shareholdings)

                                                                        Direct Interest                       Indirect Interest

      Name of Directors                            Shareholdings                           %     Shareholdings                    %

      Sia Kwee Mow @ Sia Hok Chai                        1,480,800(a)                     1.80       19,498,523(b)            23.65

      Sia Teong Heng                                     4,677,992(c)                     5.67       19,498,523(b)            23.65

      Mun Chong Shing @ Mun Chong Tian                      21,782                        0.03                 -                  -

      Dato’ Lim Phaik Gan                                         -                          -                 -                  -

      Dato’ Dr. Norraesah Bt. Haji Mohamad                        -                          -                 -                  -

      Dato’ Zainol Abidin Bin Haji A. Hamid                       -                          -                 -                  -

      Ahmad Fizal Bin Othman                                      -                          -                 -                  -



      Notes:

      (a) 1,480,800 shares are held in bare trust by RHB Capital Nominees (Tempatan) Sdn. Bhd.

      (b) Deemed interest by virtue of his shareholding in LOM Holdings Sdn. Bhd. (14,317,500 shares) and Evergreen Legacy Sdn. Bhd.
          (5,181,023 shares).

      (c)   4,434,000 shares are held in bare trust by Amsec Nominees (Tempatan) Sdn. Bhd.




      SBC CORPORATION BERHAD
107




                                                                                  SHAREHOLDERS’ INFORMATION
                                                                                                                 AS AT 31 JULY 2007




SUBSTANTIAL SHAREHOLDERS (excluding bare trustees)
(As per Register of Substantial Shareholders)

                                                        No. of shares held or                                     % of
                                                      beneficially interested in                             Issued Capital

Name of Substantial Shareholders                      Direct              Indirect               Direct                 Indirect

Pemegang Amanah Raya Malaysia                      8,542,000                       -              10.36                           -
- Skim Amanah Saham Bumiputera

Sia Kwee Mow @ Sia Hok Chai                       1,480,800(a)          19,498,523(b)                 1.80                    23.65

Sia Teong Heng                                     4,677,992(c)         19,498,523(b)                 5.67                    23.65

LOM Holdings Sdn. Bhd.                            14,317,500             5,181,023(d)             17.37                        6.28

Evergreen Legacy Sdn. Bhd.                         5,181,023                       -                  6.28                        -

Permodalan Nasional Berhad                         6,867,000                       -                  8.33                        -

Yayasan Pelaburan Bumiputra                                 -            6,867,000(e)                    -                     8.33



Notes:

(a) 1,480,800 shares are held in bare trust by RHB Capital Nominees (Tempatan) Sdn. Bhd.

(b) Deemed interest by virtue of his shareholding in LOM Holdings Sdn. Bhd. (14,317,500 shares) and
    Evergreen Legacy Sdn. Bhd. (5,181,023 shares)

(c)   4,434,000 shares are held in bare trust by Amsec Nominees (Tempatan) Sdn. Bhd.

(d) Deemed interest by virtue of its shareholding in Evergreen Legacy Sdn. Bhd.

(e) Deemed interest by virtue of its shareholding in Permodalan Nasional Berhad




                                                                                                       SBC CORPORATION BERHAD
108




      NOTICE OF ANNUAL GENERAL MEETING




      NOTICE IS HEREBY GIVEN that the Seventeenth Annual General
      Meeting of SBC Corporation Berhad will be held at the Ground Floor,
      Wisma Siah Brothers, 74, Jalan Pahang, 53000 Kuala Lumpur on Thursday,
      27 September, 2007 at 11.00 a.m. to transact the following business:




      AGENDA



      1.   To receive and adopt the Directors’ Report and the Audited Financial Statements for the   Resolution 1
           year ended 31 March 2007 together with the Auditors’ Report thereon.



      2.   To declare a first and final dividend of 1% less 27% income tax for the year ended        Resolution 2
           31 March 2007.



      3.   To approve the payment of Directors’ fees.                                                Resolution 3



      4.   To re-appoint the following Directors pursuant to Section 129(6) of the Companies Act,
           1965.

           (a) YBhg. Dato’ Lim Phaik Gan                                                             Resolution 4

           (b) Mr. Sia Kwee Mow @ Sia Hok Chai                                                       Resolution 5

           (c)   Mr. Mun Chong Shing @ Mun Chong Tian                                                Resolution 6



      5.   To re-elect En. Ahmad Fizal Bin Othman as a Director retiring by rotation pursuant to     Resolution 7
           Article 77 of the Articles of Association of the Company.



      6.   To re-appoint Messrs. Horwath as Auditors of the Company and to authorise the Directors   Resolution 8
           to fix their remuneration.




      SBC CORPORATION BERHAD
109




                                                                       NOTICE OF ANNUAL GENERAL MEETING




7.   As Special Business, to consider and, if thought fit, to pass the following Resolutions:



     (A) ORDINARY RESOLUTION -
         AUTHORITY TO DIRECTORS TO ALLOT AND ISSUE SHARES

          “THAT subject always to the Companies Act, 1965, the Articles of Association of the               Resolution 9
          Company and the approval from the Bursa Malaysia Securities Berhad and other
          governmental/regulatory bodies, where such approval shall be necessary, the Directors
          be and are hereby authorised pursuant to Section 132D of the Companies Act, 1965, to
          allot and issue shares in the Company, at any time and upon such terms and conditions
          and for such purposes as they may in their absolute discretion deem fit, provided that
          the aggregate number of shares issued pursuant to this resolution does not exceed
          ten per cent (10%) of the issued capital of the Company for the time being and that
          such authority shall continue in force until the conclusion of the next Annual General
          Meeting of the Company.”



     (B) SPECIAL RESOLUTION -
         PROPOSED AMENDMENTS TO THE ARTICLES OF ASSOCIATION

          “THAT the Proposed Amendments to the Articles of Association of the Company as                   Resolution 10
          set out in Appendix 1 to the Annual Report for year 2007 be and are hereby approved
          and adopted.

          THAT the Directors and the Secretary of the Company be and are hereby authorised to
          carry out all the necessary formalities in effecting the Proposed Amendments to the
          Articles of Association as set out in Appendix 1 to the Annual Report for year 2007.

          AND THAT the Directors of the Company be and are hereby authorised to assent to
          any condition, modification, variation and/or amendment as may be required by Bursa
          Malaysia Securities Berhad.”



8.   To consider any other business for which due notice shall have been given.




                                                                                                   SBC CORPORATION BERHAD
110




      NOTICE OF DIVIDEND PAYMENT




      NOTICE IS HEREBY GIVEN that subject to the approval of the shareholders at the Seventeenth Annual General Meeting of the
      Company, the first and final dividend of 1% less 27% income tax for the year ended 31 March 2007 will be paid on 31 October 2007
      to Depositors registered in the Record of Depositors on 18 October 2007.

      A Depositor shall qualify for entitlement only in respect of:

      a)   shares transferred into the Depositor’s Securities Account before 4.00 p.m. on 18 October 2007 in respect of ordinary transfers;
           and

      b)   shares bought on the Bursa Malaysia Securities Berhad on a cum entitlement basis according to the Rules of the Bursa Malaysia
           Securities Berhad.


      By Order of the Board


      CHONG FOOK SIN
      KAN CHEE JING
      Company Secretaries

      Kuala Lumpur
      5 September 2007

      Notes:

      1) Proxy
         A member entitled to attend and vote at the Meeting is entitled to appoint a proxy to attend and vote instead of him. Where a member appoints
         more than one (1) proxy, the appointment shall be invalid unless he specifies the proportions of his holdings to be represented by each proxy. To be
         valid, the proxy form duly completed must be deposited at the Registered Office of the Company not less than forty-eight (48) hours before the time
         for holding the meeting. If the appointor is a corporation, this form must be executed under its common seal or under the hand of its attorney.

      2) Resolution 9
         The Company is actively pursuing business opportunities in prospective areas so as to broaden the operating base and earnings potential of the
         Company. Such expansion plans may require the issue of new shares not exceeding 10 per cent (10%) of the Company’s issued share capital. With
         the passing of the resolution by the shareholders of the Company at the forthcoming Annual General Meeting, the Directors would avoid delay
         and cost of convening further general meetings to approve the issue of shares for such purposes.

      3) Resolution 10
         This resolution is to bring the Articles of Association of the Company to be consistent with the new provisions under Chapter 7 of the Listing Requirements
         of Bursa Malaysia Securities Berhad and any prevailing laws, rules, regulations, orders, guidelines or requirements of the relevant authorities.




                                STATEMENT ACCOMPANYING NOTICE OF ANNUAL GENERAL MEETING
                                          PURSUANT TO PARAGRAPH 8.28 (2) OF THE LISTING REQUIREMENTS OF BURSA MALAYSIA SECURITIES BERHAD



      (1) The following are the Directors standing for re-appointment or re-election at the Seventeenth Annual General Meeting:

           (i)   Re-appointment of the following Directors pursuant to Section 129(6) of the Companies Act, 1965:

                 (a) YBhg. Dato’ Lim Phaik Gan
                 (b) Mr. Sia Kwee Mow @ Sia Hok Chai
                 (c) Mr. Mun Chong Shing @ Mun Chong Tian

           (ii) Re-election of En. Ahmad Fizal bin Othman as a Director pursuant to Article 77 of the Articles of Association of the
                Company.

      (2) The profile of Directors standing for re-appointment or re-election as mentioned in paragraph 1 above at the Seventeenth
          Annual General Meeting are set out in page 4 to 11 of this Annual Report.




      SBC CORPORATION BERHAD
111




                                                                                                     APPENDIX 1


PROPOSED AMENDMENTS TO THE ARTICLES OF ASSOCIATION

In compliance with the recent enhancements issued by Bursa Malaysia Securities Berhad amending certain provisions of the Listing
Requirements, the Company proposes to implement the following amendments to the Articles of Association of the Company as
highlighted in bold below under the column “Amended Articles”:




    Article No.          Existing Articles                                     Amended Articles



    Article 2            Approved Market Place - A stock exchange              Deleted
                         which is specified to be an approved market
                         place in the Securities Industry (Central
                         Depositories) (Exemption) (No. 2) Order,
                         1998.



                         Central Depository - Malaysian        Central         Depository - Bursa Malaysia Depository
                         Depository Sdn. Bhd. (165570-W)                       Sdn. Bhd.



                         Depositor - A holder of securities account            Depositor - A holder of securities account
                                                                               established by the Depository



                         the Exchange - Kuala Lumpur Stock Exchange            the Exchange - Bursa Malaysia Securities
                         (30632-P)                                             Berhad



                         Member - Any person/persons for the time              Member - Any person/persons for the
                         being holding shares in the Company and               time being holding shares in the Company
                         whose names appear in the register of                 and whose names appear in the register
                         Members (except the Malaysian Central                 of Members (except the Bursa Malaysia
                         Depository Nominees Sdn. Bhd.) including              Depository Nominees Sdn. Bhd.) including
                         the depositors whose names appear on the              the depositors whose names appear on the
                         Record of Depositors.                                 Record of Depositors.
112




      Article No.   Existing Articles                                Amended Articles



      Article 7     Subject to the Act, any preference shares may    Subject to the Act, any preference shares may
                    with the sanction of an Ordinary Resolution,     with the sanction of an Ordinary Resolution,
                    be issued on the terms that they are, or at      be issued on the terms that they are, or at
                    option of the Company are liable, to be          option of the Company are liable, to be
                    redeemed but the total nominal value of the      redeemed but the total nominal value
                    issued preference shares shall not exceed the    of the issued preference shares shall
                    total nominal value of the issued ordinary       not exceed the total nominal value of
                    shares at any time and the Company shall not     the issued ordinary shares at any time
                    issue preference shares ranking in priority      and the Company shall not issue preference
                    above preference shares already issued, but      shares ranking in priority above preference
                    may issue preference shares ranking equally      shares already issued, but may issue
                    therewith. Preference shareholders shall         preference shares ranking equally therewith.
                    have the same rights as ordinary shareholders    Preference shareholders shall have the
                    as regards receiving notices, reports, audited   same rights as ordinary shareholders as
                    accounts, and attending general meetings         regards receiving notices, reports, audited
                    of the Company. Preference shareholders          accounts, and attending general meetings
                    shall be entitled to return of capital in        of the Company. Preference shareholders
                    preference to holders of ordinary shares         shall be entitled to return of capital
                    when the Company is wound up. Preference         in preference to holders of ordinary
                    shareholders shall also have the right to vote   shares when the Company is wound up.
                    at any meeting convened for each of the          Preference shareholders shall also have the
                    following purposes:-                             right to vote at any meeting convened for
                                                                     each of the following purposes:-
                    (a) when the dividend or part of the
                        dividend on the preference shares is in      (a) when the dividend or part of the
                        arrears for more than six (6) months;            dividend on the preference shares is in
                                                                         arrears for more than six (6) months;
                    (b) on a proposal to reduce the Company’s
                        share capital;                               (b) on a proposal to reduce the Company’s
                                                                         share capital;
                    (c)   on a proposal for the disposal of the
                          whole of the Company’s property,           (c)   on a proposal for the disposal of the
                          business and undertaking;                        whole of the Company’s property,
                                                                           business and undertaking;
                    (d) on a proposal that affects rights and
                        privileges attaching to the preference       (d) on a proposal that affects rights and
                        shares;                                          privileges attaching to the preference
                                                                         shares;
                    (e) on a proposal to wind up the Company;
                        and                                          (e) on a proposal to wind up the Company;
                                                                         and
                    (f)   during the winding up of the Company.
                                                                     (f)   during the winding up of the Company.
113




Article No.   Existing Articles                                 Amended Articles



Article 28    (1) Where-                                        Where-
                  (a) the securities of the Company are         (a) the securities of the Company are listed
                      listed on an Approved Market Place;           on another stock exchange; and
                      and

                  (b) the Company is exempted from              (b) the Company is exempted from
                      compliance with section 14 of the             compliance with section 14 of the
                      Central Depositories Act, or section          Central Depositories Act, or section
                      29 of the Securities Industry (Central        29 of the Securities Industry (Central
                      Depositories) (Amendment) Act,                Depositories) (Amendment) Act, 1998,
                      1998, as the case may be, under               as the case may be, under the Rules in
                      the Rules in the respect of such              the respect of such securities,
                      securities,

                  the Company shall, upon request of such       the Company shall, upon request of such
                  securities holder, permit a transmission of   securities holder, permit a transmission of
                  securities held by such securities holder     securities held by such securities holder from
                  from the register of holders maintained       the register of holders maintained by the
                  by the registrar of the Company in the        registrar of the Company in the jurisdiction
                  jurisdiction of the Approved Market           of the other stock exchange, to the register
                  Place (hereinafter referred to as “the        of holders maintained by the registrar of the
                  Foreign Register”), to the register of        Company in Malaysia and vice versa subject
                  holders maintained by the registrar of        to the following conditions:-
                  the Company in Malaysia (hereinafter
                  referred to as “the Malaysian Register”)      (i)   there shall be no change in the ownership
                  subject to the following conditions:-               of such securities; and

                  (i)   there shall be no change in the         (ii) the transmission shall be executed by
                        ownership of such securities; and            causing such securities to be credited
                                                                     directly into the securities account of
                  (ii) the transmission shall be executed            such securities holder.
                       by causing such securities to be
                       credited directly into the securities
                       account of such securities holder.

              (2) Where requirements of subparagraphs           Deleted
                  (1)(a) and (b) above are fulfilled, the
                  Company shall not allow any transmission
                  of securities from the Malaysian Register
                  into the Foreign Register.
114




      Article No.     Existing Articles                                Amended Articles



      Article 54      Every notice convening meetings shall specify    Every notice convening meetings shall specify
                      the place, the day and the hour of the           the place, the day and the hour of the
                      meeting and shall be given to all members at     meeting and shall be given to all members at
                      least fourteen (14) days before the meeting      least fourteen (14) days before the meeting
                      or at least twenty one (21) days before the      or at least twenty one (21) days before the
                      meeting where any special resolution is to       meeting where any special resolution is to
                      be proposed or where it is an annual general     be proposed or where it is an annual general
                      meeting. Any notice of a meeting called to       meeting. Any notice of a meeting called to
                      consider special business shall specify the      consider special business shall specify the
                      general nature of such business and shall also   general nature of such business and shall also
                      be accompanied by a statement regarding the      be accompanied by a statement regarding the
                      effect of any proposed resolution in respect     effect of any proposed resolution in respect
                      of such special business. At least fourteen      of such special business. At least fourteen
                      (14) days’ notice or twenty one (21) days’       (14) days’ notice or twenty one (21) days’
                      notice in case where any special resolution is   notice in case where any special resolution is
                      proposed or where it is the annual general       proposed or where it is the annual general
                      meeting, of every such meeting shall be          meeting, of every such meeting shall be given
                      given by advertisement in the daily press and    by advertisement in the daily press at least
                      in writing to the Exchange and each stock        one (1) nationally circulated Bahasa
                      exchange, if any, upon which the Company         Malaysia or English daily newspaper and
                      is listed.                                       in writing to the Exchange and each stock
                                                                       exchange, if any, upon which the Company
                                                                       is listed.



      Article 55(2)   The Company shall also request the Central       The Company shall also request the Depository
                      Depository in accordance with the Rules to       in accordance with the Rules to issue a Record
                      issue a Record of Depositors as at a date        of Depositors as at a date the latest date
                      not less than three (3) market days before       which is reasonably practicable which
                      the general meeting (hereinafter referred        shall in any event be not less than three
                      to as “the General Meeting Record of             (3) market days before the general meeting
                      Depositors”).                                    (hereinafter referred to as “the General
                                                                       Meeting Record of Depositors”).




      Insert new      No provision                                     On a resolution to be decided on a show
      Article 69A                                                      of hands, a holder of ordinary shares
                                                                       or preference shares who is personally
                                                                       present and entitled to vote shall be
                                                                       entitled to one (1) vote.
115




Article No.   Existing Articles                                Amended Articles



Article 76    All the Directors of the Company shall           All the Directors of the Company shall
              be natural persons and until otherwise           be natural persons and Unless and until
              determined by general meeting, the number        otherwise determined by general meeting,
              of Directors shall be not less than two (2) or   the number of Directors shall be not less
              more than eleven (11) but in the event of any    than two (2) or more than eleven (11) but
              casual vacancy, the remaining Directors may      in the event of any casual vacancy, the
              continue to act notwithstanding any vacancy      remaining Directors may continue to act
              in their body, but if and so long as their       notwithstanding any vacancy in their body,
              number is reduced to below the minimum           but if and so long as their number is reduced
              number fixed by or pursuant to these Articles    to below the minimum number fixed by or
              as the necessary quorum of Directors, the        pursuant to these Articles as the necessary
              remaining Directors or Director except in        quorum of Directors, the remaining Directors
              an emergency may act only for the purpose        or Director except in an emergency may
              of increasing the number of Directors to         act only for the purpose of increasing the
              such minimum number or of summoning a            number of Directors to such minimum
              general meeting of the Company, but for no       number or of summoning a general meeting
              other purpose.                                   of the Company, but for no other purpose.
116




      Article No.   Existing Articles                                 Amended Articles



      Article 88    The office of a director shall become vacant      (1) No person shall be appointed
                    if the director:-                                     or allowed to act as a director
                                                                          of the Company or be involved
                    (a) becomes bankrupt, has a Receiving                 whether directly or indirectly in
                        Order in Bankruptcy made against him or           the management of the Company,
                        makes any arrangement or composition              including acting in an advisory
                        with his creditors generally;                     capacity in relation to the Company
                                                                          if he:-
                    (b) becomes prohibited from being a
                        Director by reason of any order made              (a) has been convicted by a court of
                        under the Act or contravenes section                  law, whether within Malaysia
                        130 of the Act;                                       or elsewhere, of an offence in
                                                                              connection with the promotion,
                    (c)   ceases to be a Director by virtue of the            formation or management of a
                          Act;                                                company;

                    (d) becomes of unsound mind or a person               (b) has been convicted by a court of
                        whose person or estate is liable to be                law, whether within Malaysia
                        dealt with in any way under the law                   or elsewhere, of an offence,
                        relating to mental disorder;                          involving fraud or dishonesty
                                                                              or   where     the    conviction
                    (e) resigns his office by notice in writing               involved a finding that he acted
                        to the Company and deposited at the                   fraudulently or dishonestly; or
                        Office of the Company;
                                                                          (c) has been convicted by a court
                    (f)   is removed from his office of Director by           of law of an offence under the
                          resolution of the Company in general                securities laws or the Act,
                          meeting of which special notice has
                          been given; or                                  within a period of 5 years from the
                                                                          date of conviction or if sentenced
                    (g) is absent from more than fifty per centum         to imprisonment, from the date of
                        (50%) of the total Board of Directors’            release from prison, as the case may
                        meetings held during a financial year.            be.

                                                                      (2) For the purpose of this Article,
                                                                          “securities   laws”    means    the
                                                                          Securities  Industry   Act,   1983,
                                                                          the Securities Industry (Central
                                                                          Depositories)    Act   1991,    the
                                                                          Securities Commission Act 1993
                                                                          and the Futures Industry Act 1993.

                                                                      (3) The office of a director shall become
                                                                          vacant if the director:-
117




Article No.   Existing Articles   Amended Articles



                                      (a) becomes bankrupt, has a Receiving
                                          Order in Bankruptcy made against
                                          him or makes any arrangement
                                          or composition with his creditors
                                          generally during his terms of
                                          office;

                                      (b) becomes prohibited from being
                                          a director by reason of any order
                                          made under the Act or contravenes
                                          section 130 of the Act;

                                      (c)   ceases to be a director by virtue of
                                            the Act;

                                      (d) becomes of unsound mind or a
                                          person whose person or estate is
                                          liable to be dealt with in any way
                                          under the law relating to mental
                                          disorder during his term of
                                          office;

                                      (e) resigns his office by notice in writing
                                          to the Company and deposited at
                                          the Office of the Company;

                                      (f)   is removed from his office of Director
                                            by resolution of the Company in
                                            general meeting of which special
                                            notice has been given;

                                      (g) is absent from more than fifty per
                                          centum (50%) of the total Board of
                                          Directors’ meetings held during a
                                          financial year; or

                                      (h) is convicted by a court of
                                          law, whether within Malaysia
                                          or   elsewhere,   in    relation
                                          to the offences set out in
                                          subparagraphs (1)(a), (b) or (c)
                                          above.

                                  (4) For the purposes of subparagraph
                                      3(g) above, if a Director is appointed
                                      after the commencement of a
                                      financial year, then only the Board
                                      of Directors’ meetings held after
                                      his appointment will be taken into
                                      account.
118


      NOTES
119




PROXY FORM




I/We ___________________________________________________________________________________________________________________

of ________________________________________________________________________________________________________

being a member/ members of SBC CORPORATION BERHAD do hereby appoint _________________________________________________

of _________________________________________________________________________________________________________________

or failing whom, ______________________________________________________________________________________________________

of _____________________________________________________________________________________________________________________

as my/our proxy to attend and vote for me/us and on my/our behalf at the Seventeenth Annual General Meeting of the Company
to be held at the Ground Floor, Wisma Siah Brothers, 74, Jalan Pahang, 53000 Kuala Lumpur on Thursday, 27 September, 2007 at
11.00 a.m. and at any adjournment thereof in the manner indicated below:


                                                                                                                      For             Against

 Resolution 1     -   Adoption of Reports and Audited Financial Statements

 Resolution 2     -   Declaration of a first and final dividend

 Resolution 3     -   Payment of Directors’ fees

 Resolution 4     -   Re-appointment of Director : YBhg. Dato’ Lim Phaik Gan

 Resolution 5     -   Re-appointment of Director : Mr. Sia Kwee Mow @ Sia Hok Chai

 Resolution 6     -   Re-appointment of Director : Mr. Mun Chong Shing @ Mun Chong Tian

 Resolution 7     -   Re-election of Director : En. Ahmad Fizal Bin Othman

 Resolution 8     -   Re-appointment of Auditors

 Resolution 9     -   Authority to Directors to allot and issue shares

 Resolution 10    -   Proposed Amendments to the Articles of Association


(Please indicate with an ‘X’ in the appropriate box against each resolution how you wish your proxy to vote. If no instruction is
given, this form will be taken to authorise the proxy to vote at his/her discretion.



Number of Shares held : ___________________________________________



Dated this _________ day of __________________ 2007                      Signature of Member(s) : _____________________________________




Notes:

A member entitled to attend and vote at the Meeting is entitled to appoint a proxy to attend and vote instead of him.

To be valid, this form duly completed must be deposited at the Registered Office of the Company not less than forty-eight (48) hours before the time
for holding the meeting. Where a member appoints more than one (1) proxy, the appointment shall be invalid unless he specifies the proportions of
his holdings to be represented by each proxy.

If the appointor is a corporation, this form must be executed under its common seal or under the hand of the attorney.




                                                                                                                        SBC CORPORATION BERHAD
FOLD THIS FLAP FOR SEALING




                                                                         STAMP




                                     The Company Secretaries

                             SBC CORPORATION BERHAD (199310-P)
                               Wisma Siah Brothers, 74A, Jalan Pahang,
                                        53000 Kuala Lumpur.




THEN FOLD HERE




FIRST FOLD HERE

Annual Report 2007 1600kb

  • 1.
    20 0 7 RE P O RT AN N UA L S B C C O R P O R AT I O N B E R H A D ANNUAL REPORT 2007
  • 2.
    CORE PURPOSE • Tobuild upon our construction heritage to design and deliver exciting, unique and valuable solutions for buildings and communities. CORE VALUES • Equipping our people to anticipate and respond to the needs of our customers and stakeholders. • Adherence to industry’s highest ethics. • Use of designs and processes that promote standards.
  • 3.
    CONTENTS 2 CORPORATE INFORMATION 4 DIRECTORS’ PROFILES 12 CORPORATE STRUCTURE 13 GROUP FINANCIAL HIGHLIGHTS 14 EXECUTIVE CHAIRMAN’S STATEMENT 18 PENYATA PENGERUSI EKSEKUTIF 22 STATEMENT OF CORPORATE GOVERNANCE 31 STATEMENT ON INTERNAL CONTROL 33 AUDIT COMMITTEE REPORT 38 STATEMENT OF DIRECTORS’ RESPONSIBILITIES 39 FINANCIAL STATEMENTS 100 GROUP PROPERTIES 104 SHAREHOLDERS’ INFORMATION 108 NOTICE OF ANNUAL GENERAL MEETING 110 NOTICE OF DIVIDEND PAYMENT 110 STATEMENT ACCOMPANYING NOTICE OF ANNUAL GENERAL MEETING 111 APPENDIX 1 PROXY FORM
  • 4.
    2 CORPORATE INFORMATION BOARD OF DIRECTORS AUDIT COMMITTEE NOMINATION COMMITTEE SIA KWEE MOW @ SIA HOK CHAI DATO’ DR. NORRAESAH BT. HAJI MOHAMAD DATO’ LIM PHAIK GAN JMN, FFB, FCIOB, FAIB DSPN, DSDK, PhD., B.Sc.(Econ) DPMP, DMPN, M.A.(Law), FCI, ARB Executive Chairman Chairperson & Independent Non-Executive Director Chairperson & Independent Non-Executive Director SIA TEONG HENG DATO’ LIM PHAIK GAN DATO’ DR. NORRAESAH BT. HAJI MOHAMAD B.Sc. (Eng), M.Sc. DPMP, DMPN, M.A.(Law), FCI, ARB DSPN, DSDK, PhD., B.Sc.(Econ) Managing Director Independent Non-Executive Director Independent Non-Executive Director MUN CHONG SHING @ MUN CHONG TIAN AHMAD FIZAL BIN OTHMAN AHMAD FIZAL BIN OTHMAN Non-Executive Director B.Acc & Fin. (Hons) B.Acc & Fin. (Hons) Independent Non-Executive Director Independent Non-Executive Director DATO’ ZAINOL ABIDIN BIN HAJI A. HAMID LLB (Hons) SIA TEONG HENG MUN CHONG SHING @ MUN CHONG TIAN Non-Executive Director B.Sc. (Eng), M.Sc. Non-Executive Director Managing Director DATO’ LIM PHAIK GAN DPMP, DMPN, M.A.(Law), FCI, ARB EXECUTIVE MANAGEMENT Independent Non-Executive Director REMUNERATION COMMITTEE SIA TEONG HENG DATO’ DR. NORRAESAH BT. HAJI MOHAMAD DATO’ ZAINOL ABIDIN BIN HAJI A. HAMID B.Sc. (Eng), M.Sc. DSPN, DSDK, PhD., B.Sc.(Econ) LLB (Hons) Chairman & Managing Director Independent Non-Executive Director Chairman & Non-Executive Director SIA TEONG LENG AHMAD FIZAL BIN OTHMAN DATO’ LIM PHAIK GAN B.A. (Hons) (Law & Econs), M.B.A. B.Acc & Fin. (Hons) DPMP, DMPN, M.A.(Law), FCI, ARB Corporate Director Independent Non-Executive Director Independent Non-Executive Director YAP WAI YEE DATO’ DR. NORRAESAH BT. HAJI MOHAMAD B. Eng, M.Sc. DSPN, DSDK, PhD., B.Sc.(Econ) Deputy Chief Operating Officer Independent Non-Executive Director TEH KAI CHUA SIA TEONG HENG B.Sc. (Eng) B.Sc. (Eng), M.Sc. General Manager - Technical Managing Director BANGKOK BANK HEADQUARTERS 1954 - 2000
  • 5.
    3 CORPORATE INFORMATION WISMA HLA 1954 - 2000 SOLICITORS PRINCIPAL BANKERS CHEANG & ARIFF ALLIANCE BANK MALAYSIA BERHAD 39 Court AL-RAJHI BANKING & INVESTMENT CORPORATION 39, Jalan Yap Kwan Seng (MALAYSIA) BERHAD 50450 Kuala Lumpur BANGKOK BANK BERHAD FOONG & PARTNERS BANK MUAMALAT MALAYSIA BERHAD Suite 21-08, Level 21 CIMB BANK BERHAD Plaza 138, 138, Jalan Ampang 50450 Kuala Lumpur MALAYAN BANKING BERHAD MIDF AMANAH INVESTMENT BANK BERHAD LEE, PERARA & TAN OCBC BANK (MALAYSIA) BERHAD 55, Jalan Thambapillai Off Jalan Tun Sambanthan UNITED OVERSEAS BANK (MALAYSIA) BERHAD Brickfields, 50470 Kuala Lumpur LIM & YEOH REGISTERED OFFICE 145-M Jalan Maharajalela 50150 Kuala Lumpur WISMA SIAH BROTHERS 74A Jalan Pahang 53000 Kuala Lumpur AUDITORS Tel: 03-4041 8118 Fax: 03-4043 5281 HORWATH Chartered Accountants REGISTRARS Level 16 Tower C, Megan Avenue II 12 Jalan Yap Kwan Seng TACS CORPORATE SERVICES SDN. BHD. 50450 Kuala Lumpur Unit No. 203, 2nd Floor, Block C Damansara Intan No. 1, Jalan SS 20/27 COMPANY SECRETARIES 47400 Petaling Jaya Tel: 03-7118 2688 Fax: 03-7118 2693 CHONG FOOK SIN ATII, MCCS, AFA STOCK EXCHANGE LISTING KAN CHEE JING ACIS MAIN BOARD OF BURSA MALAYSIA SECURITIES BERHAD
  • 6.
    4 DIRECTORS’ PROFILES AS AT 31 JULY 2007 SIA KWEE MOW @ SIA HOK CHAI MALAYSIAN, AGED 74 • EXECUTIVE CHAIRMAN Sia Kwee Mow @ Sia Hok Chai has been a Director of SBC Corporation Berhad (“SBC”) since its incorporation on 14 June 1990. He has over 53 years of experience in building and civil engineering contracting and not less than 35 years of experience in plastic engineering since the incorporation of Paling Industries Sdn. Bhd. in 1971. He was actively involved in Master Builders Association Malaysia (“MBAM”) and had served in various capacities including the post of President (1988 to 1994). He was elected as the 29th President (1994 to 1996) of the International Federation of Asian and Western Pacific Contractors’ Associations (“IFAWPCA”) during which he led the IFAWPCA delegation to a meeting between the World Bank and International Contractors Association held at Washington D.C. in November 1996. In recognition of his vast experience and knowledge in construction and his contribution to the building construction industry, he was awarded or conferred the following: • Johan Mangku Negara by DYMM Yang DiPertuan Agong in 2001 • Honorary Life President by MBAM in 2001 • Fellowship of the Faculty of Building, United Kingdom in 1981 • Fellowship of the Chartered Institute of Building, United Kingdom as a Chartered Builder in 1979 • Fellowship of the Australian Institute of Building by the Australian Royal Charter of Building in 1982 He was also a previous President of both the Selangor Builders Association and Selangor Chinese Plumbing and Sanitary Association. He also sits on the board of several private limited companies in Malaysia, including several subsidiaries of SBC. BANK NEGARA MALAYSIA HEADQUARTERS 1954 - 2000
  • 7.
    5 DIRECTORS’ PROFILES AS AT 31 JULY 2007 His holdings in the securities of SBC are as follows: Direct Interest Indirect Interest Ordinary shares 1,480,800 (a) 19,498,523 (b) (a) 1,480,800 shares are held in bare trust by RHB Capital Nominees (Tempatan) Sdn. Bhd. (b) Deemed interest by virtue of his shareholding in LOM Holdings Sdn. Bhd. (14,317,500 shares) and Evergreen Legacy Sdn. Bhd. (5,181,023 shares). By virtue of his interests in SBC, he is deemed to have interests in the securities of SBC’s subsidiaries to the extent of SBC’s interest in accordance with Section 6A of the Companies Act, 1965. He is the father of Sia Teong Heng, the Managing Director and a major shareholder of SBC. He does not have any conflict of interest with SBC except for those transactions disclosed in Note 45 to the financial statements. He has not been convicted of any offence within the past 10 years. He attended all the four Board Meetings held during the last financial year. KOTA RAYA SHOPPING COMPLEX 1954 - 2000
  • 8.
    6 DIRECTORS’ PROFILES AS AT 31 JULY 2007 SIA TEONG HENG MALAYSIAN, AGED 44 • MANAGING DIRECTOR Sia Teong Heng was appointed as a Director of SBC Corporation Berhad (“SBC”) on 5 February 1991. He is a member of the Audit Committee and the Remuneration Committee of SBC. He graduated in 1985 with a degree in Bachelor of Science in Civil Engineering from Loughborough University, United Kingdom (“UK”) and a Master degree in Management Science from Imperial College, University of London, UK in 1986. His career began in investment banking in 1987 with Morgan Grenfell (Asia) Ltd., Singapore. He joined SBC in 1991. He was a past board member of the Entrepreneurs Organisation and a member of the Young President’s Organisation. Presently, he also sits on the boards of several subsidiaries of SBC. His holdings in the securities of SBC are as follows: Direct Interest Indirect Interest Ordinary shares 4,677,992 (a) 19,498,523 (b) (a) 4,434,000 shares are held in bare trust by Amsec Nominees (Tempatan) Sdn. Bhd. (b) Deemed interest by virtue of his shareholding in LOM Holdings Sdn. Bhd. (14,317,500 shares) and Evergreen Legacy Sdn. Bhd. (5,181,023 shares). By virtue of his interests in SBC, he is deemed to have interests in the securities of SBC’s subsidiaries to the extent of SBC’s interest in accordance with Section 6A of the Companies Act, 1965. He is a son of Sia Kwee Mow @ Sia Hok Chai, the Executive Chairman and a major shareholder of SBC. He does not have any conflict of interest with SBC except for those transactions disclosed in Note 45 to the financial statements. He has not been convicted of any offence within the past 10 years. He attended all the four Board Meetings held during the last financial year.
  • 9.
    7 DIRECTORS’ PROFILES AS AT 31 JULY 2007 MUN CHONG SHING @ MUN CHONG TIAN MALAYSIAN, AGED 70 • NON-EXECUTIVE DIRECTOR Mun Chong Shing @ Mun Chong Tian was appointed as an Executive Director of SBC Corporation Berhad (“SBC”) on 1 April 1996 when he was employed as General Manager of Paling Industries Sdn. Bhd. (“Paling”) from 1987 and appointed as a Director in 1991 and remained in both positions until his retirement on 31 December 2001. On 31 December 2001, he was redesignated as a Non-Executive Director of SBC. He is a member of the Nomination Committee of SBC. He has received training in Sales Management conducted by the National Productive Centre and the Malaysian Institute of Management and a General Management Programme at the National Productivity Board, Singapore. Prior to his involvement with Paling, he was employed as a General Manager in Hume Industries (M) Bhd. where he has had extensive exposure to industrial engineering and management. His holdings in the securities of SBC are as follows: Direct Interest Indirect Interest Ordinary shares 21,782 - He does not hold any securities, direct or indirect, in any of SBC’s subsidiaries. He is a brother-in-law to Sia Kwee Mow @ Sia Hok Chai and an uncle to Sia Teong Heng, both are Directors and major shareholders of SBC. He does not have any conflict of interest with SBC. He has not been convicted of any offence within the past 10 years. He attended three of the four Board Meetings held during the last financial year. WISMA LEE RUBBER 1954 - 2000
  • 10.
    8 DIRECTORS’ PROFILES AS AT 31 JULY 2007 DATO’ LIM PHAIK GAN MALAYSIAN, AGED 87 • INDEPENDENT NON-EXECUTIVE DIRECTOR Dato’ Lim Phaik Gan was appointed as an Independent Non-Executive Director of SBC Corporation Berhad (“SBC”) on 5 February 1991. She is the Senior Independent Non-Executive Director, the Chairperson of the Nomination Committee and a member of the Audit Committee and the Remuneration Committee of SBC. She is an advocate and solicitor and was called to the Bar of England and the Bar of Malaysia. She obtained a Master of Arts degree in Law from the University of Cambridge, United Kingdom and was in active practice at the Bar of Malaysia from 1954 to 1971 and from 1980 until today. Since 1955, she has had a distinguished career in both the private and public sectors. In 1970, she was a member of the National Economic Consultative Council established when Parliament was suspended as a result of riots in 1969. From 1971 to 1980, she served as ambassador and Deputy Permanent Representative of Malaysia to the United Nations, and successively as the Malaysian Ambassador to Yugoslavia, Austria, Belgium and the European Economic Community. She was Malaysia’s Permanent Representative to the United Nations Industrial and Development Organisation and International Atomic Energy Agency in Vienna, and served as chairman in various committees. After her retirement from the Malaysian Foreign Service in 1980, she was appointed by the Government as Director of the Kuala Lumpur Regional Centre for Arbitration, an international organisation involved in the conduct and administration of international commercial arbitration for the settlement of disputes arising out of international commercial contracts and joint ventures, in which capacity she served from 1982 to 2000. She is currently a member of the Board of Trustees of the Institute of Strategic and International Studies. She does not hold any securities, direct or indirect, in SBC or any of its subsidiaries. She has no family relationship with any Director and/or major shareholder of SBC. She does not have any conflict of interest with SBC. She has not been convicted of any offence within the past 10 years. She attended three of the four Board Meetings held during the last financial year.
  • 11.
    9 DIRECTORS’ PROFILES AS AT 31 JULY 2007 DATO’ DR. NORRAESAH BT. HAJI MOHAMAD MALAYSIAN, AGED 59 • INDEPENDENT NON-EXECUTIVE DIRECTOR Dato’ Dr. Norraesah Bt. Haji Mohamad was appointed as an Independent Non-Executive Director of SBC Corporation Berhad (“SBC”) on 8 July 1991. She is the Chairperson of the Audit Committee and a member of the Nomination Committee and the Remuneration Committee of SBC. She holds a Doctorate Degree in Economics Science (International Economics and Finance) which she obtained in 1986 from University of Paris 1, Pantheon Sorbonne, France. She has over 35 years of working experience in banking, consultancy and international trade and commerce. She worked with the International Trade Division of the Ministry of Trade and Industry (now known as the Ministry of International Trade and Industry) from 1972 to 1985 and was later transferred to the Finance Division of the Ministry of Finance holding the post of Principal Assistant Secretary dealing with privatisation and debt management. In 1988, she joined ESSO Production Malaysia, Inc. as Communications Manager and subsequently, in 1990, took the position of Managing Director with a consultant firm providing financial advisory services. From 1991 to 1998 she was appointed as the Chief Representative of Credit Lyonnais Bank in Malaysia. She sits on the board of KESM Industries Berhad, Malaysian Oxygen Berhad, Protasco Berhad, Ya Horng Electronic (M) Berhad, Adventa Berhad, My E.G. Services Berhad and several private limited companies. She was awarded the distinction of Darjah Setia Pangkuan Negeri on 13th July, 2002 by Tuan Yang Terutama Yang di-Pertua Negeri Pulau Pinang on His Excellency’s 64th Birthday and the Dato’ Setia DiRaja Kedah on 21st January, 2007 by Kebawah Duli Yang Maha Mulia Tuanku Sultan Darul Aman on His Excellency’s 79th Birthday. She does not hold any securities, direct or indirect, in SBC or any of its subsidiaries. She has no family relationship with any Director and/or major shareholder of SBC. She does not have any conflict of interest with SBC. She has not been convicted of any offence within the past 10 years. She attended all the four Board Meetings held during the last financial year. CENTRAL MARKET 1954 - 2000
  • 12.
    10 DIRECTORS’ PROFILES AS AT 31 JULY 2007 DATO’ ZAINOL ABIDIN BIN HAJI A. HAMID MALAYSIAN, AGED 65 • NON-EXECUTIVE DIRECTOR Dato’ Zainol Abidin Bin Haji A. Hamid was appointed as a Non-Executive Director of SBC Corporation Berhad (“SBC”) on 10 October 2003, representing the interest of Permodalan Nasional Berhad. He is the Chairman of the Remuneration Committee of SBC. He graduated with LLB (Hons) from the University of London in 1995. He joined the Kedah State Government in 1966 as a civil servant. From 1973 to 1981, he was the District Officer for Sik, then Padang Terap and finally Kubang Pasu. He was General Manager and Director of Kedah Cement Sdn Bhd from 1981 to 1996 and Managing Director of Kedah Cement Marketing Sdn Bhd from 1990 to 1996. He sits on the Board of Paragon Union Berhad. He does not hold any securities, direct or indirect, in SBC or any of its subsidiaries. He has no family relationship with any Director and/or major shareholder of SBC. He does not have any conflict of interest with SBC. He has not been convicted of any offence within the past 10 years. He attended three of the four Board Meetings held during the last financial year. FRENCH EMBASSY (In Malaysia) 1954 - 2000
  • 13.
    11 DIRECTORS’ PROFILES AS AT 31 JULY 2007 AHMAD FIZAL BIN OTHMAN MALAYSIAN, AGED 44 • INDEPENDENT NON-EXECUTIVE DIRECTOR Ahmad Fizal Bin Othman was appointed as an Independent Non-Executive Director of SBC Corporation Berhad (“SBC”) on 24 February 2004. He is a member of the Audit Committee and the Nomination Committee of SBC. He graduated with a Bachelor in Accounting and Finance (Hons) from the Middlesex University, London. He is a well-rounded and experienced businessman and involved in a multitude of industries. Currently, he immerses himself in retail, multimedia and technology. He does not hold any securities, direct or indirect, in SBC or any of its subsidiaries. He has no family relationship with any Director and/or major shareholder of SBC. He does not have any conflict of interest with SBC. He has not been convicted of any offence within the past 10 years. He attended all the four Board Meetings held during the last financial year. CENTRAL SQUARE 1954 - 2000
  • 14.
    12 CORPORATE STRUCTURE AS AT 8 AUGUST 2007 RESIDENTIAL PROPERTY DEVELOPMENT INVESTMENT HOLDING 100% | Aureate Construction Sdn Bhd 100% | Siah Brothers Industries Sdn Bhd 100% | Gracemart Resources Sdn Bhd 100% | Siah Brothers Land Sdn Bhd 100% | Mixwell (Malaysia) Sdn Bhd 100% | Siah Brothers Properties Sdn Bhd 100% | SBC Leisure Sdn Bhd 100% | SBC Towers Sdn Bhd BUILD / CONSTRUCTION 100% | Seri Ampangan Realty Sdn Bhd 100% | Sinaran Naga Sdn Bhd 100% | Syarikat Siah Brothers Construction Sdn Bhd 100% | South-East Best Sdn Bhd 100% | Syarikat Siah Brothers Trading Sdn Bhd 33.3% | Sri Berjaya Development Sdn Bhd 22.2% | Sri Rawang Properties Sdn Bhd STRATEGIC INVESTMENT 100% | Masahmura Sales & Service Sdn Bhd 100% | Masahmura Sdn Bhd 51% | Kiara Amalan Sdn Bhd 50% | Ligamas Sdn Bhd 50% | Tri-Development Co., Ltd 50% | Varich Industries Sdn Bhd 40% | Liga Canggih Sdn Bhd 40% | Paling Industries Sdn Bhd 19.6% | Pasti Bumi Sdn Bhd NEWS STRAITS TIME PRESS 1954 - 2000
  • 15.
    13 GROUP FINANCIAL HIGHLIGHTS FOR THE FINANCIAL YEAR ENDED 31 MARCH 2007 EMPIRE TOWER 1954 - 2000 2007 2006 2005 2004 2003 RM’000 RM’000 RM’000 RM’000 RM’000 (Restated) RESULTS Turnover 77,103 69,927 66,867 86,317 69,829 Profit before taxation (2,207) 1,369 3,321 6,996 5,149 Profit after taxation but before minority interest (3,009) 1,047 2,250 2,073 2,011 Profit attributable to shareholders (3,009) 1,047 2,250 2,073 2,011 ASSET EMPLOYED Property, plant and equipment 8,550 8,243 35,452 36,246 35,813 Investments and other assets 203,129 205,861 192,257 153,703 152,856 Net current assets 8,854 50,881 37,243 73,632 71,634 Goodwill and deferred expenditure 27,499 27,318 27,318 27,318 27,272 248,032 292,303 292,270 290,899 287,575 FINANCED BY Share capital 82,435 82,435 82,435 82,435 82,435 Reserves 130,691 134,294 137,572 135,940 134,682 ABBA bonds - 43,978 41,752 39,712 37,827 Deferred liabilities 34,906 31,596 30,511 32,812 32,631 248,032 292,303 292,270 290,899 287,575 SELECTED RATIOS Net earnings per share (sen) (3.7) 1.3 2.7 2.4 2.4 Net assets per share (sen) 259 263 267 265 263 Gross dividend (%) 1.0 1.0 1.0 1.0 1.0
  • 16.
    14 EXECUTIVE CHAIRMAN’S STATEMENT On behalf of the Board of Directors of SBC Corporation Berhad, I have the pleasure of presenting to you the Annual Report and the Audited Financial Statements of the Group and the Company for the financial year ended 31 March 2007. EUA ARTHRON BANGKOK FINANCIAL REVIEW The Group recorded a RM77.10 million revenue representing an increase of 10.3% over RM69.93 million in the previous year. This result represents both remarkable MENARA MESINIAGA progress of our turnkey construction activities in Thailand as well as lower 1954 - 2000 contribution from the Malaysian property side on account of longer than expected gestation period in obtaining building permits. The overall negative financial results were due to prudent measures undertaken to provide for possible impairment loss as well as financial accounting adjustment for unamortised goodwill. OPERATIONS REVIEW The property sector within which the group operates continue to fare well; largely targeting to owner occupiers and referrals from existing customers. With our turnkey clients, mainly the government, we continue to maintain a selective presence where we are able to provide value added services.
  • 17.
    15 EXECUTIVE CHAIRMAN’S STATEMENT During the year, Kuantan’s phase 4A and 6A consisting of double-storey and single storey terrace homes were handed over at our Seri Mahkota Aman project. Similarly at Kota Kinabalu’s Signal Hill Park semi-detached homes. In Klang, the second phase of Suria Pendamar’s double-storey terrace homes were also handed over. The state land and survey building in Sabah was completed three months ahead of schedule. Meanwhile the iconic Cube shop offices at Metpark are progressing well, as is the Suria Setapak Homes & Commercial precinct off Jalan Gombak. In Bandar Ligamas at the foothills of Genting Highlands, work on the fourth phase of double-storey terrace homes continue to progress well. As at today, site work has just commenced on the 34-storey PJX, a purpose built commercial building in the heart of Petaling Jaya’s CBD. This is also the case with the third phase of our Kota Kinabalu project, in the manner of The Peak Suites and we are hopeful of being able to move on to our fourth phase. Paling Industries Sdn Bhd, our manufacturing associate in water pipes and fittings continues to look beyond Malaysia shores in an effort to achieve profitability. JAYA SHOPPING COMPLEX 1954 - 2000
  • 18.
    16 EXECUTIVE CHAIRMAN’S STATEMENT SURIA SETAPAK ECONOMIC AND BUSINESS OUTLOOK The outlook for the industry is promising given the continued stable business environment propagated by the government and the slew of construction activities slated for the next few years. The group is eminently positioned to partake in this optimism towards improving our top line growth. DIVIDEND The Board is pleased to recommend a first and final dividend of 1% per ordinary share less 27% tax for the financial year ended 31 March 2007 subject to the shareholders’ approval at the forthcoming Annual General Meeting of the Company. CONFERENCE HALL & SURAU ~ ISTAC 1954 - 2000
  • 19.
    17 EXECUTIVE CHAIRMAN’S STATEMENT SERI MAHKOTA AMAN APPRECIATION AND ACKNOWLEDGEMENT On behalf of the Board of Directors, I would like to thank our valued shareholders, joint venture partners, business associates, bankers and government authorities for INTAN KENNY CONDOMINIUM their confidence, understanding and continued support for the SBC Group. 1954 - 2000 I would also like to add our appreciation to our customers and supporters of SBC’s products and services, all of whom have place much trust with us, as custodian to their home and property investments. Lastly, I would like to thank the SBC management team and employees of the Group for their continuous hard work and commitment in the ever-changing business environment towards the success of the Group. Thank you. SIA KWEE MOW @ SIA HOK CHAI JMN,FFB,FCIOB,FAIB Executive Chairman
  • 20.
    18 PENYATA PENGERUSI EKSEKUTIF Saya bagi pihak Lembaga Pengarah SBC Corporation Berhad dengan bangganya membentangkan Laporan Tahunan serta Penyata Kewangan Kumpulan dan Syarikat bagi tahun kewangan berakhir 31 Mac 2007. SIGNAL HILL PARK ULASAN KEWANGAN Kumpulan mencatat pendapatan sejumlah RM77.10 juta menunjukkan kenaikan sebanyak 10.3% berbanding RM69.93 juta pada tahun lepas. Perolehan ini menunjukkan pertumbuhan yang positif daripada aktiviti-aktiviti pembinaan CONCORDE HOTEL 1954 - 2000 turnkey di Thailand, dan juga sumbangan yang rendah daripada sektor hartanah di Malaysia akibat penggunaan masa yang lebih lama dari yang dijangkakan dalam isu pemilikan permit pembangunan. Keseluruhan prestasi kewangan yang negatif ini adalah akibat daripada penggunaan piawaian kiraan secara waspada dalam aspek kerugian kemerosotan nilai, dan juga penyesuaian sistem perakaunan kewangan atas muhibbah penyatuan tidak terlunas. TINJAUAN OPERASI Sektor hartanah yang diusahakan oleh pihak Kumpulan terus mencapai keputusan yang memuaskan. Sebahagian besar pendapatan ini datang daripada penghuni asal serta rujukan-rujukan oleh pelanggan sedia ada. Dengan adanya sokongan daripada pelanggan turnkey khususnya pihak kerajaan, kami berupaya untuk kekal pada kedudukan yang baik dan selesa untuk terus membekalkan perkhidmatan yang berkualiti.
  • 21.
    19 PENYATA PENGERUSI EKSEKUTIF Dalam tempoh tahun kewangan, projek rumah berteres dua tingkat dan satu tingkat Fasa 4A dan 6A di Seri Mahkota Aman, Kuantan, berserta projek rumah berkembar di Signal Hill Park, Kota Kinabalu telahpun disiapserahkan. Projek rumah berteres THE PEAK CONDOMINIUM dua tingkat fasa kedua di Suria Pendamar, Kelang juga telah disiapserahkan. 1954 - 2000 Di Sabah pula, kerja pembinaan ibu pejabat baru Tanah dan Ukur Negeri telah siap disempurnakan tiga bulan lebih awal dari yang dijadualkan. Sementara itu, projek pembinaan unit komersial The Cube di Metpark dan projek Perumahan dan Komersial di Suria Setapak di persekitaran Jalan Gombak turut berjalan lancar, begitu juga dengan aktiviti pembinaan fasa keempat rumah berteres dua tingkat di Bandar Ligamas di kaki bukit Genting Highlands. Sehingga kini, kerja tapak baru sahaja dimulakan ke atas projek PJX, sebuah kompleks komersial pelbagaigunaan setinggi 34 tingkat yang terletak di Perbandaran Petaling Jaya. Di Kota Kinabalu pula, kami dengan sesungguhnya berharap projek The Peak Suites akan dapat dilanjutkan daripada fasa ini ke tahap fasa keempat. Paling Industries Sdn Bhd, syarikat perkilangan bersekutu kami dalam bidang paip dan kelengkapan perairan terus berusaha meninjau peluang emas di luar Malaysia untuk mencapai hasil keuntungan yang lebih tinggi.
  • 22.
    20 PENYATA PENGERUSI EKSEKUTIF MASTIARA CUBE TINJAUAN EKONOMI DAN PERNIAGAAN Masa depan industri ini akan semakin cerah dengan kestabilan suasana perniagaan yang dimantapkan oleh pihak kerajaan dengan adanya serangkaian aktiviti-aktiviti pembinaan yang akan dilaksanakan dalam tahun-tahun akan datang. Kumpulan amat positif terhadap keupayaan kami untuk terus mempertingkatkan pencapaian dan mutu pengeluaran dalam industri pembinaan ini. DIVIDEN Pihak Lembaga Pengarah dengan sukacitanya mencadangkan pembayaran dividen pertama dan akhir sebanyak 1% sesaham tolak cukai 27% bagi tahun kewangan berakhir 31 Mac 2007. Pembayaran dividen ini adalah tertakluk kepada persetujuan para pemegang saham pada Mesyuarat Agung Tahunan akan datang. DAMANSARA EMAS 2001 - 2004
  • 23.
    21 PENYATA PENGERUSI EKSEKUTIF BATANG KALI PRODUK PALING PENGHARGAAN DAN PENGAKUAN Bagi pihak Lembaga Pengarah, saya ingin mengucapkan ribuan terima kasih kepada para pemegang saham, rakan-rakan bersekutu dan niaga, ahli-ahli bank dan pihak kerajaan atas kepercayaan, timbang rasa dan sokongan berterusan mereka terhadap Kumpulan SBC. Saya juga ingin merakamkan rasa penghargaan ikhlas kami kepada para pelanggan dan penyokong SBC yang selama ini memberikan kepercayaan tidak berbelah bahagi kepada Kumpulan dalam bidang pelaburan hartanah dan perumahan. Akhirnya, saya ingin berterima kasih kepada pihak pengurusan SBC berserta kakitangannya yang telah meyumbangkan usaha dan sokongan yang tidak ternilai ke arah kejayaan Kumpulan. Sekian, terima kasih. SIA KWEE MOW @ SIA HOK CHAI JMN,FFB,FCIOB,FAIB Pengerusi Eksekutif
  • 24.
    22 STATEMENT OF CORPORATE GOVERNANCE The Board of Directors of SBC Corporation Berhad remains firmly committed towards ensuring the highest standard of corporate governance is maintained throughout the Company and its subsidiaries (“the Group”). Hence, the Board is fully dedicated to continuously evaluating the Group’s corporate governance practices and procedures with a view to ensure the principles and best practices in corporate governance as promulgated by the Malaysian Code on Corporate Governance (“the Code”) is applied and adhered to in the best interests of the stakeholders. This disclosure statement sets out the manner in which the Group has applied and complied with the Principles of the Code and the extent of compliance with Best Practices as set out in Part 1 and 2 of the Code. BOARD OF DIRECTORS Composition and Balance The Board as at the date of this statement has 7 members, comprising 3 Independent Non-Executive Directors, 2 Non-Executive Directors and 2 Executive Directors which satisfies Bursa Malaysia Securities Berhad (“Bursa Securities”) Listing Requirements of having at least 2 Directors or 1/3 of the Board whichever is higher, who are Independent Directors. The Directors have a wide range of experience and skills and are from diverse backgrounds relevant to managing and directing the Group’s operations. The Executive Directors are responsible for implementing policies of the Board, overseeing the Group’s operations and developing the Group’s business strategies. The role of the Independent Non-Executive Directors is to provide objective and independent judgement to the decision making of the Board and as such, provide an effective check and balance to the Board’s decision making process. The Board is satisfied that the current Board composition fairly reflects the investment of minority shareholders in the Company and represents the needed mix of skills and experience required to discharge the Board’s duties and responsibilities. Furthermore, no individual Director or group of Directors can dominate the Board’s decision making process. The profiles of the members of the Board are set out in this Annual Report under the section named Directors’ Profiles. Duties and Responsibilities The Board recognises its key role in charting the strategic direction, development and control of the Group and has adopted the specific responsibilities that are listed in the Code, which facilitates the discharge of the Board’s stewardship responsibilities. The roles of the Chairman and Managing Director are clearly distinct to ensure that there is a balance of power and authority. The Chairman is primarily responsible for the orderly conduct and working of the Board whilst the Managing Director is responsible for the day-to-day running of the business and implementation of Board policies and decisions adopted by the Board. Dato’ Lim Phaik Gan is the Senior Independent Non-Executive Director to whom concerns may be conveyed. SBC CORPORATION BERHAD
  • 25.
    23 STATEMENT OF CORPORATE GOVERNANCE Board Meetings The Board meets on a scheduled basis once every quarter with additional meetings held as and when urgent issues and important decisions are required to be taken between the scheduled meetings. During the financial year ended 31 March 2007, the Board met 4 times where it deliberated on and considered matters relating to the Group’s financial performance, significant investments, corporate development, strategic issues and business plan. Details of each Director’s attendance of Board meetings are set out as follows: No. of meetings held during the financial year ended No. of meetings Name of Director 31 March 2007 attended Sia Kwee Mow @ Sia Hok Chai (Executive Chariman) 4 4 Sia Teong Heng (Managing Director) 4 4 Mun Chong Shing @ Mun Chong Tian (Non-Executive Director) 4 3 Dato’ Zainol Abidin Bin Haji A. Hamid (Non-Executive Director) 4 3 Dato’ Lim Phaik Gan (Independent Non-Executive Director) 4 3 Dato’ Dr. Norraesah Bt. Haji Mohamad (Independent Non-Executive Director) 4 4 Ahmad Fizal Bin Othman (Independent Non-Executive Director) 4 4 The Board members have unrestricted and timely access to all information necessary for the discharge of their responsibilities. All Directors are provided with all relevant information and reports on financial, operational, corporate, regulatory, business development by way of Board papers or upon specific request for informed decision making and effective discharge of their duties. These documents are comprehensive and include qualitative and quantitative information to enable the Board members to make informed decisions. Notice of Board Meetings and board papers are provided to Directors in advance so that meaningful deliberation and sound decisions can be made at Board meetings. All proceedings of the Board meetings are minuted by the Company Secretary. There is a formal schedule of matters reserved specifically for Board’s decisions. These include approval of key policies, significant acquisitions and disposals of assets, significant investments and approval of budgets and corporate plans. To assist in the discharge of their responsibilities and duties, all Directors have access to the advice and services of the Company Secretary. If required, the Directors may engage independent professionals at the Group’s expense, in the furtherance of their duties. SBC CORPORATION BERHAD
  • 26.
    24 STATEMENT OF CORPORATE GOVERNANCE BOARD OF DIRECTORS (cont’d) Re-election and Re-appointment of Directors In accordance with the Company’s Articles of Association, one third of the Directors shall retire by rotation from office and be eligible for re-election at the annual general meeting and all Directors appointed by the Board are subject to re-election by shareholders at the first opportunity after their appointment. Furthermore, each Director shall retire from office at least once in every three years. Directors who are of or over the age of seventy years shall also retire from office and be eligible for re-appointment at the annual general meeting pursuant to Section 129 (6) of the Companies Act, 1965. Directors’ Training All members of the Board have attended the Mandatory Accreditation Programme. Pursuant to Paragraph 15.09 of the Bursa Securities Listing Requirements, the Board is responsible to identify the training needs of its Directors which will aid them in the discharge of their duties on a continuous basis. The Board noted that the Nomination Committee is satisfied that the Board comprises qualified people with professional background, expertise in various fields and practical experience. Nevertheless, the Board encourages its Directors to go for training on their own initiative from time to time in order to keep them abreast of the latest developments in the market-place as well as the current changes in the laws, regulations and accounting standards. For new Directors, a familiarisation program will be conducted for them. This includes a presentation of the Group’s operations by senior management and visits to the existing project sites. Board Committees The Board has delegated certain of its responsibilities to the three Committees, namely the Audit, the Nomination and the Remuneration Committees with clearly defined terms of reference in assisting the Board to discharge its duties and responsibilities effectively. AUDIT COMMITTEE The report of the Audit Committee is set out on pages 33 to 37 of this annual report. SBC CORPORATION BERHAD
  • 27.
    25 STATEMENT OF CORPORATE GOVERNANCE NOMINATION COMMITTEE (“NC”) The NC has held one meeting during the financial year ended 31 March 2007. The attendance of the members of the NC at the meeting is as follows: No. of meetings held during the financial year ended No. of meetings Name of Members 31 March 2007 attended Dato’ Lim Phaik Gan – Chairperson (Independent Non-Executive Director) 1 1 Dato’ Dr. Norraesah Bt Haji Mohamad (Independent Non-Executive Director) 1 1 Ahmad Fizal Bin Othman (Independent Non-Executive Director) 1 1 Mun Chong Shing @ Mun Chong Tian (Non-Executive Director) 1 1 The terms of reference of the NC are as follows: (a) Membership The Committee shall be appointed by the Board from amongst the Directors of the Company and shall consist exclusively of non-executive Directors, with a minimum of 3, a majority of whom are independent. The members of the Committee shall elect the Chairman from among their number who shall be an independent director. In order to form a quorum in respect of a meeting of the Committee, the members present must be wholly or a majority of whom must be independent directors. (b) Frequency of meetings Meetings shall be held not less than once a year. The Company Secretary shall be the Secretary of the Committee. (c) Authority The Committee is to recommend new nominees for the Board and the board committees and to assess Directors on an on-going basis. The actual decision as to who shall be nominated should be the responsibility of the full Board after considering the recommendations of the Committee. SBC CORPORATION BERHAD
  • 28.
    26 STATEMENT OF CORPORATE GOVERNANCE NOMINATION COMMITTEE (“NC”) (cont’d) (d) Duties The duties of the Committee shall be: (i) to recommend to the Board, candidates for all directorships and in doing so, preference shall be given to shareholders or existing Board members and candidates proposed by the Chief Executive Officer and, within the bounds of practicability, by any other senior executive or any director or shareholder may also be considered. (ii) to recommend to the Board, directors to fill the seats on board committees. (iii) to review annually, on behalf of the Board, the required mix of skills, experience and other qualities, including core competencies, which non-executive directors should bring to the Board. (iv) to carry out annually, on behalf of the Board, the assessment of the effectiveness of the Board as a whole, the board committees and the contribution of each director. (e) Reporting procedures The Company Secretary shall circulate the minutes of meetings of the Committee to all members of the Board. At the meeting of the NC during the financial year ended 31 March 2007, the following matters were considered and resolved: (a) re-appointment and re-election of Directors at the Seventeenth Annual General Meeting; (b) mix of skills, experience and qualities of all Directors; and (c) the effectiveness of the Board and the contribution from each Board member. REMUNERATION COMMITTEE (“RC”) The members of the RC at the date of this report and their attendance at the meeting convened during the financial year ended 31 March 2007 are as follows: No. of meetings held during the financial year ended No. of meetings Name of Members 31 March 2007 attended Dato’ Zainol Abidin Bin Haji A. Hamid - Chairman (Non-Executive Director) 1 1 Dato’ Lim Phaik Gan (Independent Non-Executive Director) 1 1 Dato’ Dr. Norraesah Bt Haji Mohamad (Independent Non-Executive Director) 1 1 Sia Teong Heng (Managing Director) 1 1 SBC CORPORATION BERHAD
  • 29.
    27 STATEMENT OF CORPORATE GOVERNANCE The terms of reference of the RC are as follows: (a) Membership The Committee shall be appointed by the Board from amongst the Directors of the Company and shall consist of at least 3 directors, wholly or a majority of whom are non-executive directors. The members of the Committee shall elect the Chairman from among their number who shall be a non-executive director. In order to form a quorum in respect of a meeting of the Committee, the members present must be wholly or a majority of whom must be non-executive directors. (b) Frequency of meetings Meetings shall be held not less than once a year. The Company Secretary shall be the Secretary of the Committee. (c) Authority The Committee is authorized to draw from outside advice as and when necessary in forming its recommendation to the Board on the remuneration of the executive directors in all its forms. Executive directors should play no part in decisions on their own remuneration and should abstain from discussion of their own remuneration. The determination of the remuneration packages of the non-executive directors, including non-executive chairman, should be a matter for the Board as a whole. The individuals concerned should abstain from discussion of their own remuneration. (d) Duties The duty of the Committee is to recommend to the Board the structure and level of remuneration of executive directors. (e) Reporting procedures The Company Secretary shall circulate the minutes of meetings of the Committee to all members of the Board. During the financial year ended 31 March 2007, the RC met once to consider the remuneration of the Executive Chairman and Managing Director for 2007. SBC CORPORATION BERHAD
  • 30.
    28 STATEMENT OF CORPORATE GOVERNANCE DIRECTORS’ REMUNERATION The details of the remuneration of each Director during the financial year ended 31 March 2007 are as follows: (a) Total Remuneration Basic Benefits Attendance Salary Bonuses Fees -in-kind Fee Total RM RM RM RM RM RM Executive Sia Kwee Mow @ Sia Hok Chai 520,800 98,000 - 16,925 - 635,725 Sia Teong Heng 453,600 84,000 - - - 537,600 Non-Executive Mun Chong Shing @ Mun Chong Tian - - 19,500 - 1,200 20,700 Dato’ Zainol Abidin Bin Haji A. Hamid - - 20,500 - 1,200 21,700 Dato’ Lim Phaik Gan - - 20,500 - 2,400 22,900 Dato’ Dr. Norraesah Bt. Haji Mohamad - - 20,500 - 3,000 23,500 Ahmad Fizal Bin Othman - - 19,500 - 2,700 22,200 Total 974,400 182,000 100,500 16,925 10,500 1,284,325 (b) Directors’ remuneration by bands Executive Non-Executive Total RM1 to RM50,000 - 5 5 RM50,001 to RM100,000 - - - RM100,001 to RM150,000 - - - RM150,001 to RM200,000 - - - RM200,001 to RM250,000 - - - RM250,001 to RM300,000 - - - RM300,001 to RM350,000 - - - RM350,001 to RM400,000 - - - RM400,001 to RM450,000 - - - RM450,001 to RM500,000 - - - RM500,001 to RM550,000 1 - 1 RM550,001 to RM600,000 - - - RM600,001 to RM650,000 1 - 1 Total 2 5 7 SBC CORPORATION BERHAD
  • 31.
    29 STATEMENT OF CORPORATE GOVERNANCE ACCOUNTABILITY AND AUDIT Financial Reporting The Board aims to convey a balanced and understandable assessment of the Group’s financial position and prospects through the quarterly results and annual reports/financial statements to the Company’s shareholders and regulators. The Responsibility Statement by the Directors pursuant to Bursa Securities Listing Requirements is set out on page 38. Internal Control The Board acknowledges its responsibility for maintaining a sound internal controls system, which provides reasonable assurance in ensuring the effectiveness and efficiency of operations and the safeguard of assets and interest in compliance with laws and regulations as well as with internal financial administration procedures and guidelines. The Group’s Statement on Internal Control is set out on pages 31 and 32. Relationship with Auditors The Board maintains a close and transparent professional relationship with the Group’s internal and external auditors through the Audit Committee. In the course of audit of the Group’s operations, the internal and external auditors have highlighted all important matters to the Audit Committee. The Audit Committee will then bring up the matters for the Board’s attention if it is necessary. The Group has paid RM 93,250 of non-audit fees to the external auditors for the financial year ended 31 March 2007. Relationship with Shareholders and Investors The primary tools of communication with the shareholders of the Company are through the annual report, announcements through Bursa Securities and circulars. All queries from shareholders and members of public received through phone calls or letters are handled by the Executive Directors, Group Financial Controller and Company Secretary. At the annual general meeting and extraordinary general meeting, the Chairman gives shareholders ample opportunity to participate through questions on the prospects, performance of the Group and other matters of concern to them with the Board. SBC CORPORATION BERHAD
  • 32.
    30 STATEMENT OF CORPORATE GOVERNANCE ADDITIONAL COMPLIANCE INFORMATION In conformance with the requirements of Bursa Securities, the following compliance information is provided: 1. Revaluation Policy on Landed Properties The Group’s landed properties are stated at cost. There is no policy of regular revaluation of its landed properties as at the end of the financial year ended 31 March 2007. 2. Materials Contracts There were no material contracts entered into by the Company and its subsidiaries which involved the directors’ and major shareholders’ interests subsisting at the end of the financial year ended 31 March 2007 or entered into since the end of the previous financial year. 3. Utilisation of Proceeds There were no proceeds raised from any proposals by the Company during the financial year. 4. Share Buy-backs There were no share buy-backs by the Company during the financial year. 5. Options, Warrants or Convertible Securities There were no options, warrants or convertible securities issued by the Company during the financial year. 6. American Depository Receipt (“ADR”) or Global Depository Receipt (“GDR”) During the financial year, the Company did not sponsor any ADR or GDR programme. 7. Sanctions and / or Penalties There were no sanctions and / or penalties imposed on the Company and its subsidiaries, Directors or Management by the relevant regulatory bodies during the financial year. 8. Variation in Results There is a deviation of more than 10% between the profit after tax and minority interest of RM1,825,000 stated in the unaudited results announced on 18 May 2007 and the loss after tax and minority interest of RM3,009,000 stated in the Audited Financial Statements of the Group for the year ended 31 March 2007. The reconciliation and explanation of the deviation are set out below: RM’000 RM’000 Profit after tax and minority interest stated in the unaudited results 1,825 Less: Impairment loss for investment properties (3,933) Reversal of revaluation surplus (618) Overstatement of gain on disposal of investment properties (305) (4,856) (3,031) Add: Others 22 Loss after tax and minority interest stated in the Audited Financial Statements (3,009) 9. Profit Guarantee There was no profit guarantee given by the Company in respect of the financial year. SBC CORPORATION BERHAD
  • 33.
    31 STATEMENT ON INTERNAL CONTROL INTRODUCTION Pursuant to paragraph 15.27 (b) of Bursa Malaysia Securities Berhad Listing Requirements, the Board of Directors of SBC Corporation Berhad is pleased to provide the following statement on the state of internal control of the Group for the financial year ended 31 March 2007, which has been prepared in accordance with the Statement on Internal Control: Guidance for Directors of Public Listed Companies. BOARD RESPONSIBILITY The Board of Directors acknowledges and recognizes its overall responsibility for the Group’s systems of internal controls and risk management, as well as reviewing the adequacy and integrity of the internal control system to ensure that the Group’s assets and shareholders’ interests are safeguarded. The responsibility for reviewing the adequacy and integrity of the internal control system has been delegated to the Audit Committee and this committee obtains the assurance of the adequacy and integrity of the internal control system through independent reviews conducted by the internal audit function, external auditors and Management. As there are inherent limitations in any internal control system, such systems put in place by Management can only manage rather than eliminate all risks that may impede the achievement of the Group’s business objectives. Accordingly, the internal control system established by Management can only provide reasonable and not absolute assurance against material misstatement or losses. RISK MANAGEMENT FRAMEWORK Risk management is seen as an integral part of the Group’s business operations by the Board. The Group has in place an ongoing process for identifying, evaluating and managing the significant risks faced by the Group, throughout the financial year under review. Senior management will assess and appraise the cost and benefits, impact on the Group, review the financial implications before any investment or significant expenditrure is made. This ongoing process is undertaken for all the major subsidiaries of the Group and the processes, findings, and actions taken by the Management are all reviewed regularly by the Board. INTERNAL AUDIT The Group outsourced its internal audit function to a professional services firm to provide the Audit Committee and the Board with the assurance they require pertaining to the adequacy and effectiveness of internal control systems. The results of the audits and recommendations for improvement co-developed with Management were presented at the quarterly Audit Committee Meetings. Although a number of internal control weaknesses were identified during the internal audit review process, none of the weaknesses have resulted in any material losses, contingencies or uncertainties that would require disclosure in the Group’s annual report. In addition, the internal audit function also carried out follow up visits to ensure that recommendations for improvement to the internal control systems are satisfactorily implemented. SBC CORPORATION BERHAD
  • 34.
    32 STATEMENT ON INTERNAL CONTROL OTHER KEY ELEMENTS OF INTERNAL CONTROL The other key elements of the Company’s internal control systems are: • An organizational structure, which clearly defines the lines of responsibility, proper segregation of duties and delegation of authority; • Established internal policies and procedures for key business units within the Group; • Rigorous review of key information such as financial performance, key business indicators, management accounts and detailed budgets by the Board and Audit Committee; • Experienced and dedicated team of personnel across the key functional units; • Regular management meetings are held to discuss the Group’s performance, business operational and management issues as well as formulate appropriate measures to address them; • The Executive Directors are closely involved in the running of business and operations of the Group and they report to the Board on significant changes in the business and external environment, which affect the operations of the Group at large; and • Regular and comprehensive information are provided to the Board and Senior Management for performance monitoring. ASSURANCE The Board is of the view that the Group’s system of internal controls is adequate and effective to safeguard shareholders’ investment and the Group’s assets. However, the internal control systems must continue to evolve to meet the changing and challenging business environment. In this regard, regular reviews of the internal control system by Management and auditors would ensure its continued relevance in mitigating risks. SBC CORPORATION BERHAD
  • 35.
    33 AUDIT COMMITTEE REPORT The Board of SBC Corporation Berhad is pleased to present the Audit Committee Report for the financial year ended 31 March 2007. COMPOSITION AND MEETINGS The Audit Committee comprises four members, three of whom are Independent Non-Executive Directors and one is the Managing Director. The name of the members and their attendance at meetings held during the financial year ended 31 March 2007 are as follows: No. of meetings held during the financial year ended No. of meetings Name of Members 31 March 2007 attended Dato’ Dr. Norraesah Bt Haji Mohamad - Chairperson (Independent Non-Executive Director) 4 3 Dato’ Lim Phaik Gan (Independent Non-Executive Director) 4 3 Ahmad Fizal Bin Othman (Independent Non-Executive Director) 4 4 Sia Teong Heng (Managing Director) 4 4 The Audit Committee normally meets four times a year with additional meetings convened between scheduled meetings, if necessary, to deliberate on urgent and significant matters. The Group Financial Controller and the representatives of the outsourced Internal Auditors and the External Auditors attended the meetings at the invitation of the Audit Committee, where considered necessary. The Company Secretary is responsible for distributing the notice of the meetings and relevant papers to the Audit Committee members prior to their meetings and recording the proceedings of the meetings thereat. INTERNAL AUDIT FUNCTION The internal audit function of the Group has been outsourced to Audex Governance Sdn. Bhd. The principal role of the Internal Auditor is to undertake independent, regular and systematic review of the Group’s systems of internal control so as to provide reasonable assurance that such systems continue to operate efficiently and effectively. It is the responsibility of the Internal Auditor to provide the Audit Committee with independent and objective reports on the state of internal control of various operating units within the Group and the extent of compliance of the units with Group’s established policies and procedures as well as relevant statutory requirements. SBC CORPORATION BERHAD
  • 36.
    34 AUDIT COMMITTEE REPORT SUMMARY OF ACTIVITIES OF THE AUDIT COMMITTEE In line with the terms of reference of the Audit Committee, the following activities were carried out by the Audit Committee during the financial year ended 31 March 2007: a) Discussed and reviewed the Audit Planning Memorandum which cover the external auditor’s plan, scope and nature of work. b) Reviewed the Audit Review Memorandum in relation to their findings and accounting issues arising from the audit of the Group’s annual financial results. c) Reviewed the unaudited quarterly report on the consolidated results of the Group for the quarters ended 31 March 2006, 30 June 2006, 30 September 2006 and 31 December 2006. d) Assessed the Group’s financial performance. e) Reviewed related party transactions and conflicts of interest situation that may arise within the Group. f) Reviewed and approved the internal audit plan and the internal audit reports and followed up on the remedial actions implemented by the Management in respect of the internal control weaknesses identified. g) Reviewed the Group’s risk management policy and framework. h) Reviewed the Group’s compliance with the applicable approved accounting standards issued by the Malaysian Accounting Standards Board and other relevant legal and regulatory requirements. SUMMARY OF ACTIVITIES OF THE INTERNAL AUDIT FUNCTION During the financial year ended 31 March 2007, the Internal Auditor has: a) Presented a risk-based annual audit plan and risk assessment policy for the Audit Committee’s review and approval; b) Performed company-wide operation and special audits giving due attention to high and medium risk area of concerns; c) Followed up on the status of rectification with regards to significant issues and kept the Audit Committee abreast of the current status; and d) Furnished internal audit reports to the Audit Committee on quarterly basis as an updates of the internal audit activities. SBC CORPORATION BERHAD
  • 37.
    35 AUDIT COMMITTEE REPORT SUMMARY OF ACTIVITIES OF THE INTERNAL AUDIT FUNCTION (cont’d) In accordance with the approved audit plan for 2006/2007, the areas reviewed by the internal audit function were as follows: a) Management and operational review of companies within the Group; b) Projects status and cost monitoring; c) Manage contractor performance; d) Progress claims processing; e) Manage the issuance of work orders and variation orders; f) Review of relevant policies and procedures; g) Post construction service and maintenance; h) Project performance reviews and evaluation; i) Related party transactions; and j) Property management. A number of minor internal control weaknesses were identified during the year, all of which have been addressed by the Management. None of the weaknesses has resulted in any material losses, contingencies or uncertainties that would require disclosure in the Group’s annual report. The annual internal audit plan for 2007/2008 was presented to the Audit Committee for review and approval subsequent to the financial year ended 31 March 2007. The activities of the internal audit function cover the following areas: a) Management and operational review of companies within the Group; b) Projects performance reviews and evaluation; c) Pre-qualification and contractor performance management; d) Progress claims processing; e) Manage the issuance of work orders and variation orders; f) Post construction service and maintenance; g) Review of relevant policies and procedures; h) Related party transactions; i) Human resource management; and j) Property management. The above reviews cover all the offices and project sites which are located in Kuala Lumpur, Kuantan and Kota Kinabalu. SBC CORPORATION BERHAD
  • 38.
    36 AUDIT COMMITTEE REPORT TERMS OF REFERENCE OF THE AUDIT COMMITTEE Membership The Committee shall be appointed by the Board from amongst the Directors of the Company and shall consist of at least 3 directors, a majority of whom are independent. At least one member of the Committee must be: (i) a member of the Malaysian Institute of Accountants (“MIA”); or (ii) if he is not a member of the MIA, he must have at least 3 years working experience and • he must have passed the examinations specified in Part I of the 1st Schedule to the Accountant Act, 1967; or • he must be a member of one of the associations of accountants specified in Part II of the 1st Schedule to the Accountants Act, 1967. The members of the Committee shall elect a Chairman from amongst their number who shall be an independent director. In order to form a quorum in respect of a meeting of the Committee, the majority of the members present must be independent directors. Attendance At Meeting The Group Financial Controller and the representatives of the outsourced internal auditors and the external auditors shall normally attend meetings. Other directors and employees of the Company may attend meetings at the Committee’s invitation. However, at least once a year the Committee shall meet with the external auditors without any executive director present. The Company Secretary shall be the secretary of the Committee. Frequency Of Meetings Meetings shall be held not less than four times a year. The external auditors may request a meeting if they consider that one is necessary. Authority The Committee is authorised by the Board to investigate any activity within its terms of reference. It is authorised to seek any information it requires from any employee and all the employees are directed to cooperate with any request made by the Committee. The Committee is authorised by the Board to obtain outside legal or other independent professional advice and to secure the attendance of an outsider with relevant experience and expertise, if it considers this necessary. Duties The duties of the Audit Committee shall be: (1) to consider the appointment of the external auditors, the audit fees and any questions of nomination, resignation or dismissal. (2) to discuss with the external auditors before the audit commences the nature and scope of the audit and ensure co-ordination where more than one audit firm is involved. SBC CORPORATION BERHAD
  • 39.
    37 AUDIT COMMITTEE REPORT TERMS OF REFERENCE OF THE AUDIT COMMITTEE (cont’d) Duties (cont’d) (3) to discuss with the external auditors the evaluation of the system of internal controls, audit report and ensure assistance given by the employees to the external auditors. (4) To review the quarterly and year-end financial statements before submission to the Board, focusing particularly on: • any changes or implementation of changes in accounting policies and practices; • major judgement areas; • significant adjustments arising from the audit; • significant and unusual events; • the going concern assumption; • compliance with accounting standards; and • compliance with stock exchange and legal requirements. (5) to discuss problems and reservations arising from the interim and final audits and any matters the external auditor may wish to discuss in the absence of management, where necessary. (6) to review the external auditors’ management letter and management’s response. (7) to do the following where an internal audit function exists: • review the adequacy of the scope, functions and resources of the internal audit function and that it has the necessary authority to carry out its work. • review the internal audit programme and processes and results of the internal audit programme, processes and investigation and where necessary, ensure that appropriate action is taken on the recommendations of the internal audit function. • review any appraisal or assessment of the performance of the members of the internal audit function. • approve the appointment or termination of senior staff members of the internal audit function. • inform itself of resignations of internal audit staff members and provide the resigning staff member an opportunity to submit his reasons for resigning. (8) to consider any related party transactions and conflict of interest situations that may arise within the Company or the Group including any transaction, procedure or course of conduct that raises questions of management integrity. (9) to consider the findings of internal investigations and management’s response and ensure co-ordination between internal and external auditors. (10) to consider other topics, as defined by the Board. Reporting The Company Secretary shall circulate the minutes of meetings of the Committee to all members of the Board. SBC CORPORATION BERHAD
  • 40.
    38 STATEMENT OF DIRECTORS’ RESPONSIBILITIES IN RESPECT OF THE PREPARATION OF THE FINANCIAL STATEMENTS The Directors are responsible for ensuring that the financial statements of the Group are drawn up in accordance with applicable approved accounting standards in Malaysia and the provisions of the Companies Act, 1965 so as to give a true and fair view of the state of affairs of the Group and the Company as of 31 March 2007 and of the results and cash flows of the Group and Company for the financial year ended on that date. In preparing the financial statements, the Directors have: (a) adopted suitable accounting policies and applied them consistently; (b) made judgements and estimates that are prudent and reasonable; (c) ensured the adoption of applicable approved accounting standards; and (d) used the going concern basis for the preparation of the financial statements. The Directors are responsible for ensuring proper accounting records are kept which disclose with reasonable accuracy at any time the financial position of the Group and the Company and are kept in accordance with the Companies Act, 1965. The Directors are also responsible for taking such steps as are reasonably open to them to safeguard the Group’s assets and to prevent and detect fraud and other irregularities. SBC CORPORATION BERHAD
  • 41.
    FINANCIAL STATEMENTS 40 DIRECTORS’ REPORT 44 STATEMENT BY DIRECTORS 44 STATUTORY DECLARATION 45 REPORT TO THE AUDITORS 46 BALANCE SHEETS 48 INCOME STATEMENTS 49 STATEMENTS OF CHANGES IN EQUITY 51 CASH FLOW STATEMENTS 54 NOTES TO THE FINANCIAL STATEMENTS
  • 42.
    40 DIRECTORS’ REPORT The directors hereby submit their report and the audited financial statements of the Group and of the Company for the financial year ended 31 March 2007. PRINCIPAL ACTIVITIES The Company is principally engaged in the businesses of investment holding and the provision of management and administrative services to the subsidiaries. The principal activities of the subsidiaries are disclosed in Note 6 to the financial statements. There have been no significant changes in the nature of these activities during the financial year. RESULTS THE GROUP THE COMPANY RM RM (Loss)/Profit after taxation for the financial year (3,009,272) 676,891 DIVIDENDS Since the end of the previous financial year, the Company paid a first and final dividend of 1% less 28% tax on the ordinary shares amounting to RM593,527 in respect of the previous financial year. For the current financial year, the directors recommend the payment of a first and final dividend of 1% less 27% tax on the ordinary shares amounting to RM601,776 to be approved by the shareholders at the forthcoming Annual General Meeting. RESERVES AND PROVISIONS All material transfers to or from reserves or provisions during the financial year are disclosed in the financial statements. ISSUES OF SHARES AND DEBENTURES During the financial year, (a) there were no changes in the authorised and issued and paid-up share capital of the Company; and (b) there were no issues of debentures by the Company. OPTIONS GRANTED OVER UNISSUED SHARES During the financial year, no options were granted by the Company to any person to take up any unissued shares in the Company. BAD AND DOUBTFUL DEBTS Before the financial statements of the Group and of the Company were made out, the directors took reasonable steps to ascertain that action had been taken in relation to the writing off of bad debts and the making of allowance for doubtful debts, and satisfied themselves that all known bad debts had been written off and that adequate allowance had been made for doubtful debts. At the date of this report, the directors are not aware of any circumstances that would further require the writing off of bad debts, or additional allowance for doubtful debts in the financial statements of the Group and of the Company. SBC CORPORATION BERHAD
  • 43.
    41 DIRECTORS’ REPORT CURRENT ASSETS Before the financial statements of the Group and of the Company were made out, the directors took reasonable steps to ascertain that any current assets other than debts, which were unlikely to be realised in the ordinary course of business, including their values as shown in the accounting records of the Group and of the Company, have been written down to an amount which they might be expected so to realise. At the date of this report, the directors are not aware of any circumstances which would render the values attributed to the current assets in the financial statements of the Group and of the Company misleading. VALUATION METHODS At the date of this report, the directors are not aware of any circumstances which have arisen which render adherence to the existing methods of valuation of assets or liabilities of the Group and of the Company misleading or inappropriate. CONTINGENT AND OTHER LIABILITIES The contingent liability of the Company is disclosed in Note 46 to the financial statements. At the date of this report, there does not exist: (a) any charge on the assets of the Group and of the Company that has arisen since the end of the financial year which secures the liabilities of any other person; or (b) any contingent liability of the Group and of the Company which has arisen since the end of the financial year. No contingent or other liability of the Group and of the Company has become enforceable or is likely to become enforceable within the period of twelve months after the end of the financial year which, in the opinion of the directors, will or may substantially affect the ability of the Group and of the Company to meet their obligations when they fall due. CHANGE OF CIRCUMSTANCES At the date of this report, the directors are not aware of any circumstances not otherwise dealt with in this report or the financial statements of the Group and of the Company which would render any amount stated in the financial statements misleading. ITEMS OF AN UNUSUAL NATURE The results of the operations of the Group and of the Company during the financial year were not, in the opinion of the directors, substantially affected by any item, transaction or event of a material and unusual nature. There has not arisen in the interval between the end of the financial year and the date of this report any item, transaction or event of a material and unusual nature likely, in the opinion of the directors, to affect substantially the results of the operations of the Group and of the Company for the financial year. SBC CORPORATION BERHAD
  • 44.
    42 DIRECTORS’ REPORT DIRECTORS The directors who served since the date of the last report are as follows: SIA KWEE MOW @ SIA HOK CHAI SIA TEONG HENG MUN CHONG SHING @ MUN CHONG TIAN DATO’ LIM PHAIK GAN DATO’ DR. NORRAESAH BT HAJI MOHAMAD DATO’ ZAINOL ABIDIN BIN HAJI A. HAMID AHMAD FIZAL BIN OTHMAN Pursuant to Section 129 of the Companies Act, 1965, Sia Kwee Mow @ Sia Hok Chai, Dato’ Lim Phaik Gan and Mun Chong Shing @ Mun Chong Tian retire at the forthcoming Annual General Meeting and offer themselves for re-appointment under the provisions of Section 129(6) of the said Act to hold office until the next Annual General Meeting of the Company. Pursuant to Article 77 of the Articles of Association of the Company, Ahmad Fizal bin Othman retires by rotation at the forthcoming Annual General Meeting and, being eligible, offers himself for re-election. DIRECTORS’ INTERESTS According to the register of directors’ shareholdings, the interests of directors holding office at the end of the financial year in shares in the Company during the financial year are as follows: NUMBER OF ORDINARY SHARES OF RM1 EACH AT AT 1.4.2006 BOUGHT SOLD 31.3.2007 DIRECT INTERESTS SIA KWEE MOW @ SIA HOK CHAI 1,480,800 - - 1,480,800 SIA TEONG HENG 2,517,992 2,260,000 (100,000) 4,677,992 MUN CHONG SHING @ MUN CHONG TIAN 21,782 - - 21,782 INDIRECT INTERESTS SIA KWEE MOW @ SIA HOK CHAI 19,498,523 - - 19,498,523 SIA TEONG HENG 19,498,523 - - 19,498,523 By virtue of their interests in the Company, Sia Kwee Mow @ Sia Hok Chai and Sia Teong Heng are deemed to have interests in the shares in the subsidiaries to the extent of the Company’s interest, in accordance with Section 6A of the Companies Act, 1965. None of the other directors holding office at the end of the financial year had any interest in shares of the Company or its related corporations during the financial year.
  • 45.
    43 DIRECTORS’ REPORT DIRECTORS’ BENEFITS Since the end of the previous financial year, no director has received or become entitled to receive any benefit (other than a benefit included in the aggregate amount of emoluments received or due and receivable by directors as shown in the financial statements, or the fixed salary of a full-time employee of the Company) by reason of a contract made by the Company or a related corporation with the director or with a firm of which the director is a member, or with a company in which the director has a substantial financial interest except for any benefits which may be deemed to arise from transactions entered into in the ordinary course of business with companies in which certain directors have substantial financial interests as disclosed in Note 45 to the financial statements. Neither during nor at the end of the financial year was the Company or its subsidiaries a party to any arrangements whose object is to enable the directors to acquire benefits by means of the acquisition of shares in or debentures of the Company or any other body corporate. SIGNIFICANT EVENTS DURING THE FINANCIAL YEAR The significant events during the financial year of the Company are disclosed in Note 51 to the financial statements. AUDITORS The auditors, Messrs. Horwath, have expressed their willingness to continue in office. SIGNED IN ACCORDANCE WITH A RESOLUTION OF THE DIRECTORS Sia Kwee Mow @ Sia Hok Chai Mun Chong Shing @ Mun Chong Tian Kuala Lumpur 30 July 2007
  • 46.
    44 STATEMENT BY DIRECTORS We, Sia Kwee Mow @ Sia Hok Chai and Mun Chong Shing @ Mun Chong Tian, being two of the directors of SBC Corporation Berhad, state that, in the opinion of the directors, the financial statements set out on pages 46 to 99 are drawn up in accordance with applicable MASB approved accounting standards in Malaysia for Entities Other Than Private Entities and the provisions of the Companies Act, 1965 so as to give a true and fair view of the state of affairs of the Group and of the Company at 31 March 2007 and of their results and cash flows for the financial year ended on that date. SIGNED IN ACCORDANCE WITH A RESOLUTION OF THE DIRECTORS Sia Kwee Mow @ Sia Hok Chai Mun Chong Shing @ Mun Chong Tian Kuala Lumpur 30 July 2007 STATUTORY DECLARATION I, Lee Yan Yaw, I/C No. 710315-10-5509, being the officer primarily responsible for the financial management of SBC Corporation Berhad, do solemnly and sincerely declare that the financial statements set out on pages 46 to 99 are, to the best of my knowledge and belief, correct, and I make this solemn declaration conscientiously believing the same to be true and by virtue of the provisions of the Statutory Declarations Act, 1960. Subscribed and solemnly declared by Lee Yan Yaw, I/C No. 710315-10-5509, at Kuala Lumpur in the Federal Territory on this 30 July 2007 Lee Yan Yaw Before me Datin Hajah Raihela Wanchik (W275) Commissioner for Oaths Kuala Lumpur 30 July 2007
  • 47.
    45 REPORT OF THE AUDITORS TO THE MEMBERS OF SBC CORPORATION BERHAD We have audited the financial statements set out on pages 46 to 99. The preparation of the financial statements is the responsibility of the Company’s directors. It is our responsibility to form an independent opinion, based on our audit, on the financial statements and to report our opinion to you, as a body, in accordance with Section 174 of the Companies Act, 1965 and for no other purpose. We do not assume responsibility to any other person for the content of this report. We conducted our audit in accordance with approved standards on auditing in Malaysia. These standards require that we plan and perform the audit to obtain reasonable assurance that the financial statements are free of material misstatement. Our audit included examining, on a test basis, evidence relevant to the amounts and disclosures in the financial statements. Our audit also included an assessment of the accounting principles used and significant estimates made by the directors as well as evaluating the overall adequacy of the presentation of information in the financial statements. We believe our audit provides a reasonable basis for our opinion. In our opinion, (a) the financial statements are properly drawn up in accordance with the provisions of the Companies Act, 1965 and applicable MASB approved accounting standards in Malaysia for Entities Other Than Private Entities so as to give a true and fair view of: (i) the state of affairs of the Group and of the Company at 31 March 2007 and their results and cash flows for the financial year ended on that date; and (ii) the matters required by Section 169 of the Companies Act, 1965 to be dealt with in the financial statements of the Group and of the Company; and (b) the accounting and other records and the registers required by the Companies Act, 1965 to be kept by the Company and by the subsidiaries of which we have acted as auditors have been properly kept in accordance with the provisions of the said Act. We have considered the financial statements and the auditors’ reports thereon of the subsidiaries for which we have not acted as auditors, as indicated in Note 6 to the financial statements. We are satisfied that the financial statements of the subsidiaries that have been consolidated with the Company’s financial statements are in form and content appropriate and proper for the purposes of the preparation of the consolidated financial statements and we have received satisfactory information and explanations required by us for those purposes. The audit reports on the financial statements of the subsidiaries were not subject to any qualification and did not include any comments made under Section 174(3) of the said Act. Horwath Lee Kok Wai Firm No: AF 1018 Approval No: 2760/06/08 (J) Chartered Accountants Partner Kuala Lumpur 30 July 2007
  • 48.
    46 BALANCE SHEETS AT 31 MARCH 2007 THE GROUP THE COMPANY 2007 2006 2007 2006 NOTE RM RM RM RM (Restated) NON-CURRENT ASSETS Investment in subsidiaries 6 - - 210,990,785 211,064,785 Interest in associates 7 112,085,613 111,816,402 2,400,000 2,400,000 Investment in joint venture 8 - - 1,801,128 712,500 Property, plant and equipment 9 8,549,543 8,242,610 2,657 7,552 Investment properties 10 3,122,452 6,867,925 - - Land held for property development 11 87,700,188 87,090,675 - - Other assets 12 220,300 86,300 - - Goodwill on consolidation 13 27,499,451 27,317,640 - - 239,177,547 241,421,552 215,194,570 214,184,837 CURRENT ASSETS Inventories 14 726,148 1,283,422 - - Property development costs 15 59,707,257 55,130,848 - - Receivables 16 59,332,215 42,574,730 479,393 226,427 Amount owing by contract customers 17 2,616,779 3,114,994 - - Amount owing by subsidiaries 18 - - 58,919,707 65,774,637 Amount owing by associates 19 5,390,600 5,399,534 2,500 11,434 Amount owing by joint venture 20 280,727 - 561,454 - Tax recoverable 21 1,367,292 1,551,225 3,451,474 3,206,127 Short-term deposits with licensed banks 22 3,334,226 1,364,225 1,239,225 1,239,225 Cash and bank balances 23 13,918,913 9,205,230 12,077,309 8,150,432 146,674,157 119,624,208 76,731,062 78,608,282 TOTAL ASSETS 385,851,704 361,045,760 291,925,632 292,793,119 The annexed notes form an integral part of these financial statements.
  • 49.
    47 BALANCE SHEETS AS AT 31 DECEMBER 2006 THE GROUP THE COMPANY 2007 2006 2007 2006 NOTE RM RM RM RM (Restated) EQUITY AND LIABILITIES EQUITY Share capital 24 82,435,000 82,435,000 82,435,000 82,435,000 Reserves 25 130,690,786 134,293,585 133,735,893 133,652,529 TOTAL EQUITY 213,125,786 216,728,585 216,170,893 216,087,529 NON-CURRENT LIABILITIES ABBA Bonds 26 - 43,978,499 - 43,978,499 Long-term borrowings 27 33,939,069 30,629,180 - - Deferred taxation 29 966,746 966,746 - - 34,905,815 75,574,425 - 43,978,499 CURRENT LIABILITIES Amount owing to contract customers 17 2,850,429 1,540,444 - - Payables 30 42,512,894 32,241,497 371,667 244,765 Amount owing to subsidiaries 18 - - 12,375,674 18,082,756 Amount owing to associates 19 3,378 16,711 - - Amount owing to a director 31 1,867,680 1,867,680 1,867,680 1,867,680 Short-term borrowings 32 14,874,442 15,941,779 5,000,000 5,000,000 ABBA Bonds 26 48,683,146 2,478,450 48,683,146 2,478,450 Bank overdrafts 33 27,028,134 14,656,189 7,456,572 5,053,440 137,820,103 68,742,750 75,754,739 32,727,091 TOTAL LIABILITIES 172,725,918 144,317,175 75,754,739 76,705,590 TOTAL EQUITY AND LIABILITIES 385,851,704 361,045,760 291,925,632 292,793,119 NET ASSETS PER ORDINARY SHARE (RM) 34 2.59 2.63 The annexed notes form an integral part of these financial statements.
  • 50.
    48 INCOME STATEMENTS FOR THE FINANCIAL YEAR ENDED 31 MARCH 2007 THE GROUP THE COMPANY 2007 2006 2007 2006 NOTE RM RM RM RM (Restated) REVENUE 35 77,102,946 69,926,734 8,338,611 7,641,913 COST OF SALES 36 (60,499,310) (56,847,233) - - GROSS PROFIT 16,603,636 13,079,501 8,338,611 7,641,913 OTHER INCOME 1,324,144 1,751,359 203,976 - ADMINISTRATIVE EXPENSES (8,315,933) (7,142,456) (1,282,327) (1,154,115) OTHER EXPENSES (5,382,766) (1,262,033) (407,665) (289,792) FINANCE COSTS (6,705,397) (5,160,442) (5,868,501) (5,697,750) SHARE OF PROFITS OF ASSOCIATES 269,211 103,008 - - (LOSS)/PROFIT BEFORE TAXATION 37 (2,207,105) 1,368,937 984,094 500,256 INCOME TAX EXPENSE 38 (802,167) (321,740) (307,203) (350,436) (LOSS)/PROFIT AFTER TAXATION (3,009,272) 1,047,197 676,891 149,820 ATTRIBUTABLE TO: Equity holders of the Company (3,009,272) 1,047,197 676,891 149,820 (Loss)/Earnings per share - basic 39 (3.7) sen 1.3 sen - diluted 39 N/A N/A Dividend per ordinary share - final 40 1 sen 1 sen The annexed notes form an integral part of these financial statements.
  • 51.
    49 STATEMENTS OF CHANGES IN EQUITY FOR THE FINANCIAL YEAR ENDED 31 MARCH 2007 SHARE SHARE RETAINED CAPITAL CAPITAL PREMIUM PROFITS RESERVE TOTAL NOTE RM RM RM RM RM THE GROUP Balance at 1.4.2005 - as previously reported 82,435,000 111,412,895 24,959,499 1,199,999 220,007,393 - prior year adjustments 49 - - (3,732,478) - (3,732,478) - as restated 82,435,000 111,412,895 21,227,021 1,199,999 216,274,915 Loss after taxation for the financial year - - 1,047,197 - 1,047,197 Dividend 40 - - (593,527) - (593,527) Balance at 31.3.2006/ 1.4.2006 82,435,000 111,412,895 21,680,691 1,199,999 216,728,585 Loss after taxation for the financial year - - (3,009,272) - (3,009,272) Dividend 40 - - (593,527) - (593,527) Balance at 31.3.2007 82,435,000 111,412,895 18,077,892 1,199,999 213,125,786 The annexed notes form an integral part of these financial statements.
  • 52.
    50 STATEMENTS OF CHANGES IN EQUITY FOR THE FINANCIAL YEAR ENDED 31 MARCH 2007 SHARE SHARE RETAINED CAPITAL CAPITAL PREMIUM PROFITS RESERVE TOTAL NOTE RM RM RM RM RM THE COMPANY Balance at 1.4.2005 82,435,000 111,412,895 22,683,341 - 216,531,236 Profit after taxation for the financial year - - 149,820 - 149,820 Dividend 40 - - (593,527) - (593,527) Balance at 31.3.2006/ 1.4.2006 82,435,000 111,412,895 22,239,634 - 216,087,529 Profit after taxation for the financial year - - 676,891 - 676,891 Dividend 40 - - (593,527) - (593,527) Balance at 31.3.2007 82,435,000 111,412,895 22,322,998 - 216,170,893 The annexed notes form an integral part of these financial statements.
  • 53.
    51 CASH FLOW STATEMENTS FOR THE FINANCIAL YEAR ENDED 31 MARCH 2007 THE GROUP THE COMPANY 2007 2006 2007 2006 NOTE RM RM RM RM (Restated) CASH FLOWS (FOR)/FROM OPERATING ACTIVITIES (Loss)/Profit before taxation (2,207,105) 1,368,937 984,094 500,256 Adjustments for: Amortisation of bonds expenses 277,770 279,708 277,770 279,708 Bad debts written off 697,574 - - - Depreciation of property, plant and equipment 580,160 424,695 4,895 10,084 Interest expense/finance charges 6,564,396 5,058,620 5,817,195 5,671,876 Impairment loss on interest in an associate - 549,434 - - Impairment loss on investment properties 2,074,556 - - - Impairment loss on land held for property development 1,858,834 - - - Investment in subsidiaries written off - - 125,000 - Loss/(Gain) on disposal of investment properties 413,987 (812,642) - - Waiver of debts (211,269) (448,845) (203,976) - Dividend income - - (5,000,000) (5,000,000) Gain on disposal of property, plant and equipment (155,791) (132,283) - - Interest income (513,693) (261,016) (768,966) (1,214,091) Share of profits in associates (269,211) (103,008) - - Operating profit before working capital changes 9,110,208 5,923,600 1,236,012 247,833 Decrease in inventories 557,274 3,076,070 - - (Increase)/Decrease in property development costs (4,273,713) 6,171,242 - - Increase in receivables (17,243,790) (13,785,219) (252,966) (83,350) Increase/(Decrease) in payables 10,272,117 2,695,419 126,902 (11,362) Net decrease/(increase) in amount owing by contract customers 1,808,200 (613,115) - - CASH FROM OPERATIONS 230,296 3,467,997 1,109,548 153,121 Interest paid (2,077,587) (571,134) (1,330,386) (1,184,390) Net tax (paid)/refunded (618,234) 4,734,735 797,450 6,441,353 NET CASH (FOR)/FROM OPERATING ACTIVITIES CARRIED FORWARD (2,465,525) 7,631,598 577,012 5,410,084 The annexed notes form an integral part of these financial statements.
  • 54.
    52 CASH FLOW STATEMENTS FOR THE FINANCIAL YEAR ENDED 31 MARCH 2007 THE GROUP THE COMPANY 2007 2006 2007 2006 NOTE RM RM RM RM (Restated) NET CASH (FOR)/FROM OPERATING ACTIVITIES BROUGHT FORWARD (2,465,525) 7,631,598 577,012 5,410,084 CASH FLOWS (FOR)/FROM INVESTIING ACTIVITIES Acquisition of joint venture - - (1,088,628) (712,500) Additional investment in subsidiaries (181,811) - - - Repayment from/(Advances to) subsidiaries - - 7,254,414 (3,466,050) Interest received 513,693 261,016 369,482 204,859 Dividends received from subsidiaries - - 3,650,000 3,600,000 Advances to joint venture (280,727) - (561,454) - Incidental cost for investment properties (117,070) Payment for land held for development (2,468,347) (466,545) - - Purchase of property, plant and equipment 41 (1,204,262) (194,106) - - Purchase of investment in subsidiaries - - (51,000) - Proceeds from disposal of property, plant and equipment 170,264 132,370 - - Proceeds from disposal of investment properties 1,374,000 4,211,187 - - Investment in club membership (134,000) - - - Placement of cash in sinking fund account (3,877,963) (4,097,229) (3,877,963) (4,097,229) Repayment from associates 8,934 - 8,934 - NET CASH (FOR)/FROM INVESTING ACTIVITIES (6,197,289) (153,307) 5,703,785 (4,470,920) BALANCE CARRIED FORWARD (8,662,814) 7,478,291 6,280,797 939,164 The annexed notes form an integral part of these financial statements.
  • 55.
    53 CASH FLOW STATEMENTS FOR THE FINANCIAL YEAR ENDED 31 MARCH 2007 THE GROUP THE COMPANY 2007 2006 2007 2006 NOTE RM RM RM RM (Restated) BALANCE BROUGHT FORWARD (8,662,814) 7,478,291 6,280,797 939,164 CASH FLOWS FOR FINANCING ACTIVITIES Payment of bonds expenses (59,932) (61,872) (59,932) (61,872) Repayment of bonds 26 (2,478,450) (2,478,450) (2,478,450) (2,478,450) Net repayment by associates (13,333) (530,875) - - (Repayment to)/Advances from subsidiaries - - (5,503,106) 2,927,198 Dividend paid to shareholders of the company (593,527) (593,527) (593,527) (593,527) Repayment of revolving credit (1,050,000) (1,600,000) - - Drawdown of term loans 6,400,068 3,600,000 - - Repayment of term loans (3,007,129) (2,077,764) - - Repayment of hire purchase obligations (101,107) (72,630) - - NET CASH FOR FINANCING ACTIVITIES (903,410) (3,815,118) (8,635,015) (206,651) NET (DECREASE)/INCREASE IN CASH AND CASH EQUIVALENTS (9,566,224) 3,663,173 (2,354,218) 732,513 CASH AND CASH EQUIVALENTS AT BEGINNING OF THE FINANCIAL YEAR (12,209,846) (15,873,019) (3,786,895) (4,519,408) CASH AND CASH EQUIVALENTS AT END OF THE FINANCIAL YEAR 42 (21,776,070) (12,209,846) (6,141,113) (3,786,895) The annexed notes form an integral part of these financial statements.
  • 56.
    54 NOTES TO FINANCIAL STATEMENTS FOR THE FINANCIAL YEAR ENDED 31 MARCH 2007 1. GENERAL INFORMATION The Company is a public company limited by shares and is incorporated under the Malaysian Companies Act, 1965. The domicile of the Company is Malaysia. The registered office, which is also the principal place of business, is at Wisma Siah Brothers, 74A, Jalan Pahang, 53000 Kuala Lumpur. The financial statements were authorised for issue by the Board of Directors in accordance with a resolution of the directors dated 30 July 2007. 2. PRINCIPAL ACTIVITIES The Company is principally engaged in the businesses of investment holding and the provision of management and administrative services to the subsidiaries. The principal activities of the subsidiaries are disclosed in Note 6 to the financial statements. There have been no significant changes in the nature of these activities during the financial year. 3. FINANCIAL RISK MANAGEMENT POLICIES The Group’s financial risk management policy seeks to ensure that adequate financial resources are available for the development of the Group’s business whilst managing its market, credit, liquidity and cash flow risks. The policies in respect of the major areas of treasury activity are as follows: (a) Market Risk (i) Foreign Currency Risk The Group is exposed to foreign exchange risk on investments and bank balances that are denominated in foreign currencies. The Group’s foreign currency transactions and balances are substantially denominated in Thai Baht. The Group does not seek to hedge this exposure as the Group is of the opinion that the fluctuations of the Thai Baht do not have a significant impact on the financial statements. (ii) Interest Rate Risk The Group obtains financing through bank borrowings and hire purchase facilities. Its policy is to obtain the most favourable interest rates available. Surplus funds are placed with licensed financial institutions at the most favourable interest rates. (iii) Price Risk The Group’s principal exposure to market risks arises mainly from changes in quoted equity prices. The Group does not use derivative instruments to manage equity risk.
  • 57.
    55 NOTES TO FINANCIAL STATEMENTS FOR THE FINANCIAL YEAR ENDED 31 MARCH 2007 3. FINANCIAL RISK MANAGEMENT POLICIES (cont’d) (b) Credit Risk The Group’s exposure to credit risks, or the risk of counterparties defaulting, arises mainly from receivables. The maximum exposure to credit risks is represented by the total carrying amount of these financial assets in the balance sheet reduced by the effects of any netting arrangements with counterparties. The Group does not have any major concentration of credit risk related to any individual customer or counterparty. The Group manages its exposure to credit risk by the application of credit approvals, credit limits and monitoring procedures on an ongoing basis. (c) Liquidity and Cash Flow Risk The Group’s exposure to liquidity and cashflow risks arises mainly from general funding and business activities. It practises prudent liquidity risk management by maintaining sufficient cash balances and the availability of funding through certain committed credit facilities. 4. BASIS OF PREPARATION The financial statements of the Group and of the Company are prepared under the historical cost convention and modified to include other bases of valuation as disclosed in other sections under significant accounting policies, and in compliance with applicable MASB approved accounting standards in Malaysia for Entities Other Than Private Entities and the provisions of the Companies Act, 1965. In the current financial year, the Company has adopted all the new and revised Financial Reporting Standards (“FRS”) issued by the Malaysian Accounting Standards Board which are relevant to its operations and effective for financial periods beginning on or after 1 January 2006. The adoption of these new and revised FRS does not have any material effects on the financial statements of the Company. The following FRS have been issued and are effective for financial periods beginning on or after 1 October 2006 and will be effective for the Group’s and the Company’s financial statements for the financial year ending 31 March 2008: FRS 117 Leases FRS 124 Related Party Disclosures The following revised FRS have been issued and are effective for financial periods beginning on or after 1 July 2007 and will be effective for the Group’s and the Company’s financial statements for the financial year ending 31 March 2009: FRS 107 Cash Flow Statements FRS 111 Construction Contracts FRS 112 Income Taxes FRS 118 Revenue FRS 121 The Effects of Changes in Foreign Exchange Rates FRS 134 Interim Financial Reporting FRS 137 Provisions, Contingent Liabilities and Contingent Assets FRS 139 - Financial Instruments: Recognition and Measurement has been issued and the effective date has yet to be determined by the MASB. This new standard establishes principles for recognising and measuring financial assets, financial liabilities and some contracts to buy and sell non-financial items. The Group and the Company will apply this standard when it becomes effective.
  • 58.
    56 NOTES TO FINANCIAL STATEMENTS FOR THE FINANCIAL YEAR ENDED 31 MARCH 2007 5. SIGNIFICANT ACCOUNTING POLICIES (a) Critical Accounting Estimates And Judgements Estimates and judgements are continually evaluated by the directors and management and are based on historical experience and other factors, including expectations of future events that are believed to be reasonable under the circumstances. The estimates and judgements that affect the application of the Group’s accounting policies and disclosures, and have a significant risk of causing a material adjustment to the carrying amounts of assets, liabilities, income and expenses are discussed below: (i) Depreciation of Property, Plant and Equipment The estimates for the residual values, useful lives and related depreciation charges for the property, plant and equipment are based on commercial and production factors which could change significantly as a result of technical innovations and competitors’ actions in response to the market conditions. The Group anticipates that the residual values of its property, plant and equipment will be insignificant. As a result, residual values are not being taken into consideration for the computation of the depreciable amount. Changes in the expected level of usage and technological development could impact the economic useful lives and the residual values of these assets, therefore future depreciation charges could be revised. (ii) Income Taxes There are certain transactions and computations for which the ultimate tax determination may be different from the initial estimate. The Group recognises tax liabilities based on its understanding of the prevailing tax laws and estimates of whether such taxes will be due in the ordinary course of business. Where the final outcome of these matters is different from the amounts that were initially recognised, such difference will impact the income tax and deferred tax provisions in the period in which such determination is made. (iii) Impairment of Assets When the recoverable amount of an asset is determined based on the estimate of the value-in-use of the cash- generating unit to which the asset is allocated, the Group is required to make an estimate of the expected future cash flows from the cash-generating unit and also to apply a suitable discount rate in order to determine the present value of those cash flows. (iv) Property Development The Group recognises property development revenue and expenses in the income statement by using the stage of completion method. The stage of completion is determined by the proportion that the property development costs incurred for work performed to date bear to the estimated total property development costs. Significant judgement is required in determining the stage of completion, the extent of the property development costs incurred, the estimated total property development revenue and costs, as well as the recoverability of the development projects. In making the judgement, the Group evaluates based on past experience and by relying on the work of specialists.
  • 59.
    57 NOTES TO FINANCIAL STATEMENTS FOR THE FINANCIAL YEAR ENDED 31 MARCH 2007 5. SIGNIFICANT ACCOUNTING POLICIES (cont’d) (a) Critical Accounting Estimates And Judgements (cont’d) (v) Construction Contracts Construction contracts accounting requires reliable estimation of the costs to complete the contract and reliable estimation of the stage of completion. (i) Contract Revenue Construction contracts accounting requires that variation claims and incentive payments only be recognised as contract revenue to the extent that it is probable that they will be accepted by the customers. As the approval process often takes some time, a judgement is required to be made of its probability and revenue recognised accordingly. (ii) Contract Costs Using experience gained on each particular contract and taking into account the expectations of the time and materials required to complete the contract, management estimates the profitability of the contract on an individual basis at any particular time. (vi) Allowance for Doubtful Debts of Receivables The Group makes allowance for doubtful debts based on an assessment of the recoverability of receivables. Allowances are applied to receivables where events or changes in circumstances indicate that the carrying amounts may not be recoverable. Management analyses historical bad debt, customer concentrations, customer creditworthiness, current economic trends and changes in customer payment terms when making a judgement to evaluate the adequacy of the allowance for doubtful debts of receivables. Where the expectation is different from the original estimate, such difference will impact the carrying value of receivables. (b) Financial Instruments Financial instruments are recognised in the balance sheet when the Group and the Company has become a party to the contractual provisions of the instruments. Financial instruments are classified as liabilities or equity in accordance with the substance of the contractual arrangement. Interest, dividends, gains and losses relating to a financial instrument classified as a liability, are reported as an expense or income. Distributions to holders of financial instruments classified as equity are charged directly to equity. Financial instruments are offset when the Group and the Company has a legally enforceable right to offset and intends to settle either on a net basis or to realise the asset and settle the liability simultaneously. Financial instruments recognised in the balance sheet are disclosed in the individual policy statement associated with each item.
  • 60.
    58 NOTES TO FINANCIAL STATEMENTS FOR THE FINANCIAL YEAR ENDED 31 MARCH 2007 5. SIGNIFICANT ACCOUNTING POLICIES (cont’d) (c) Functional and Foreign Currency (i) Functional and Presentation Currency The functional currency of the Group is measured using the currency of the primary economic environment in which the Group operates. The consolidated financial statements are presented in Ringgit Malaysia (“RM”) which is the parent’s functional and presentation currency. (ii) Transactions and Balances Transactions in foreign currency are converted into the respective functional currencies on initial recognition, using the exchange rates approximating those ruling at the transaction dates. Monetary assets and liabilities at the balance sheet date are translated at the rates ruling as of that date. Non-monetary assets and liabilities are translated using exchange rates that existed when the values were determined. All exchange differences are taken to the income statement. (iii) Foreign Operations The results and financial position of all the Group entities that have a functional currency different from the presentation currency are translated into the presentation currency as follows: (i) assets and liabilities for each balance sheet presented are translated at the closing rate at the date of the balance sheet; (ii) income and expense for the income statement are translated at the average exchange rates for the year; and (iii) all resulting exchange differences are recognised as a separate component of equity, as a foreign currency translation reserve. On disposal, accumulated translation differences are recognised in the consolidated income statements as part of the gain or loss on sale. (d) Basis of Consolidation The consolidated financial statements incorporate the financial statements of the Company and all its subsidiaries made up to 31 March 2007. A subsidiary is defined as an enterprise in which the Company has the power, directly or indirectly, to exercise control over the financial and operating policies so as to obtain benefits from its activities. All subsidiaries are consolidated using the purchase method. Under the purchase method, the results of subsidiaries acquired or disposed of are included from the date of acquisition or up to the date of disposal. At the date of acquisition, the fair values of the subsidiaries’ net assets are determined and these values are reflected in the consolidated financial statements. The cost of acquisition is measured at the aggregate of the fair values, at the date of exchange, of assets given, liabilities incurred or assumed, and equity instruments issued by the Group in exchange for control of the acquiree, plus any costs directly attributable to the business combination. Intragroup transactions, balances and unrealised gains on transactions are eliminated; unrealised losses are also eliminated unless cost cannot be recovered. Where necessary, adjustments are made to the financial statements of subsidiaries to ensure consistency of accounting policies with those of the Group.
  • 61.
    59 NOTES TO FINANCIAL STATEMENTS FOR THE FINANCIAL YEAR ENDED 31 MARCH 2007 5. SIGNIFICANT ACCOUNTING POLICIES (cont’d) (e) Goodwill On Consolidation Goodwill on consolidation represents the excess of the fair value of the purchase consideration over the Group’s share of the fair values of the identifiable net assets of the subsidiaries at the date of acquisition. Goodwill is measured at cost less accumulated impairment losses, if any. The carrying value of goodwill is reviewed for impairment annually. The impairment value of goodwill is recognised immediately in the consolidated income statement. An impairment loss recognised for goodwill is not reversed in a subsequent period. If, after reassessments, the Group’s interest in the fair values of the identifiable net assets of the subsidiaries exceeds the cost of the business combinations, the excess is recognised immediately in the consolidated income statement. (f) Investments (i) Investments in Subsidiaries, Associates and Joint Ventures Investments in subsidiaries, associates and joint ventures are stated at cost in the balance sheet of the Company and are reviewed for impairment at the end of the financial year if events or changes in circumstances indicate that their carrying values may not be recoverable. On the disposal of the investments in subsidiaries, associates and joint ventures, the difference between the net disposal proceeds and the carrying amount of the investments is taken to the income statement. (ii) Investments in Club Membership The investment in club membership is stated at cost and is reviewed for impairment at the end of the financial year if events or changes in circumstances indicate that its carrying value may not be recovered. (g) Associates An associate is an entity in which the Company has a long-term equity interest and where it exercises significant influence over the financial and operating policies. The investments in associates in the consolidated financial statements are accounted for under the equity method, based on the financial statements of the associates made up to 31 March 2007. The Company’s share of the post acquisition profits of the associates is included in the consolidated income statement and the Company’s interest in associates is stated at cost plus the Company’s share of the post-acquisition retained profits and reserves. Unrealised gains on transactions between the Company and the associates are eliminated to the extent of the Company’s interest in the associate. Unrealised losses are eliminated unless cost cannot be recovered. (h) Investment in Joint Venture A joint venture represents a business arrangement formed under contract with a third party to undertake specific projects. The investment in the joint venture is accounted for using the proportionate consolidation method whereby assets, liabilities and the income statement of the joint venture are consolidated in the Group’s financial statements in the proportion of the Group’s interest in the venture.
  • 62.
    60 NOTES TO FINANCIAL STATEMENTS FOR THE FINANCIAL YEAR ENDED 31 MARCH 2007 5. SIGNIFICANT ACCOUNTING POLICIES (cont’d) (i) Property, Plant and Equipment Property, plant and equipment, other than freehold land, are stated at cost less accumulated depreciation and impairment loss, if any. Freehold land is stated at cost and is not depreciated. Depreciation is calculated under the straight-line method to write off the cost of the assets over their estimated useful lives. Depreciation of an asset does not cease when the asset becomes idle or is retired from active use unless the asset is fully depreciated. The principal annual rates used for this purpose are: Building Remaining useful life of 20 years Plant and machinery, construction machinery and equipment, formwork, scaffoldings and containers 5% - 25% Office renovation, office equipment, computers, furniture and fittings, tools and sales office 5% - 20% Motor vehicles 20% The depreciation method, useful life and residual values are reviewed, and adjusted if appropriate, at each balance sheet date to ensure that the amount, method and period of depreciation are consistent with previous estimates and the expected pattern of consumption of the future economic benefits embodied in the items of the property, plant and equipment. An item of property, plant and equipment is derecognised upon disposal or when no future economic benefits are expected from its use. Any gain or loss arising from derecognition of the asset is included in the income statement in the year the asset is derecognised. (j) Land Held for Property Development Land held for property development is carried at cost less any accumulated impairment losses. Where land held for property development had previously been recorded at a revalued amount, the revalued amount is retained as its surrogate cost. Land held for property development is classified as non-current asset where no development activities are carried out or where development activities are not expected to be completed within the normal operating cycle. Costs associated with the acquisition of land include the purchase price of the land, professional fees, stamp duties, commissions, conversion fees and other relevant levies. Pre-acquisition costs are charged to the income statement as incurred unless such costs are directly identifiable to the consequent property development activity. Land held for property development is transferred to current asset when development activities have commenced and where it can be demonstrated that the development activities can be completed within the normal operating cycle.
  • 63.
    61 NOTES TO FINANCIAL STATEMENTS FOR THE FINANCIAL YEAR ENDED 31 MARCH 2007 5. SIGNIFICANT ACCOUNTING POLICIES (cont’d) (k) Impairment of Assets The carrying values of assets, other than those to which FRS 136 - Impairment of Assets does not apply, are reviewed at each balance sheet date for impairment when there is an indication that the assets might be impaired. Impairment is measured by comparing the carrying values of the assets with their recoverable amounts. The recoverable amount of the assets is the higher of the assets’ net selling price and their value-in-use, which is measured by reference to discounted future cash flow. An impairment loss is charged to the income statement immediately unless the asset is carried at its revalued amount. Any impairment loss of a revalued asset is treated as a revaluation decrease to the extent of a previously recognised revaluation surplus for the same asset. In respect of assets other than goodwill, and when there is a change in the estimates used to determine the recoverable amount, a subsequent increase in the recoverable amount of an asset is treated as a reversal of the previous impairment loss and is recognised to the extent of the carrying amount of the asset that would have been determined (net of amortisation and depreciation) had no impairment loss been recognised. The reversal is recognised in the income statement immediately, unless the asset is carried at its revalued amount. A reversal of an impairment loss on a revalued asset is credited directly to the revaluation surplus. However, to the extent that an impairment loss on the same revalued asset was previously recognised as an expense in the income statement, a reversal of that impairment loss is recognised as income in the income statement. (l) Assets under Hire Purchase Property, plant and equipment acquired under hire purchase are capitalised in the financial statements and are depreciated in accordance with the policy set out in Note 5(i) above. Each hire purchase payment is allocated between the liability and finance charges so as to achieve a constant rate on the finance balance outstanding. Finance charges are allocated to the income statement over the periods of the respective hire purchase agreements. (m) Investment Properties Investment properties are property held either to earn rental income or for capital appreciation or for both. Investment properties are stated at cost less accumulated depreciation and impairment losses, if any, consistent with the accounting policy for property, plant and equipment as stated in the financial statements. Investment properties are derecognised when they have either been disposed of or when the investment property is permanently withdrawn from use and no future benefit is expected from its disposal. On the derecognition of an investment property, the difference between the net disposal proceeds and the carrying amount is charged to the income statement. (n) Inventories Inventories are stated at the lower of cost and net realisable value. The unsold completed properties are stated at the lower of cost and net realisable value. For finished goods and work-in-progress, cost includes direct labour and appropriate production overheads. The cost of unsold completed properties comprises the relevant cost of land, development expenditure and related interest cost incurred during the development period. In arriving at net realisable value, due allowance is made for all damaged, obsolete and slow-moving items.
  • 64.
    62 NOTES TO FINANCIAL STATEMENTS FOR THE FINANCIAL YEAR ENDED 31 MARCH 2007 5. SIGNIFICANT ACCOUNTING POLICIES (cont’d) (o) Property Development Costs Property development costs comprise costs associated with the acquisition of land and all costs that are directly attributable to development activities or that can be allocated on a reasonable basis to such activities. Property development costs that are not recognised as an expense are recognised as an asset and carried at the lower of cost and net realisable value. When the financial outcome of a development activity can be reliably estimated, the amount of property revenues and expenses recognised in the income statement are determined by reference to the stage of completion of development activity at the balance sheet date. When the financial outcome of a development activity cannot be reliably estimated, the property development revenue is recognised only to the extent of property development costs incurred that will be recoverable. The property development costs on the development units sold are recognised as an expense in the period in which they are incurred. Where it is probable that property development costs will exceed property development revenue, any expected loss is recognised as an expense in the income statement immediately, including costs to be incurred over the defects liability period. (p) Progress Billings/Accrued Billings In respect of progress billings: (i) where revenue recognised in the income statement exceeds the billings to purchasers, the balance is shown as accrued billings under current assets; and (ii) where billings to purchasers exceed the revenue recognised to the income statement, the balance is shown as progress billings under current liabilities. (q) Amount Owing By/To Contract Customers The amount owing by/to contract customers is stated at cost plus profits attributable to contracts in progress less progress billings and allowance for foreseeable losses, if any. Cost includes direct materials, labour and applicable overheads. (r) Receivables Receivables are carried at anticipated realisable value. Bad debts are written off in the period in which they are identified. An estimate is made for doubtful debts based on a review of all outstanding amounts at the balance sheet date. (s) Cash and Cash Equivalents Cash and cash equivalents comprise cash in hand, bank balances, demand deposits, deposits pledged with financial institutions, bank overdrafts and short term, highly liquid investments that are readily convertible to known amounts of cash and which are subject to an insignificant risk of changes in value. (t) Payables Payables are stated at cost which is the fair value of the consideration to be paid in the future for goods and services received.
  • 65.
    63 NOTES TO FINANCIAL STATEMENTS FOR THE FINANCIAL YEAR ENDED 31 MARCH 2007 5. SIGNIFICANT ACCOUNTING POLICIES (cont’d) (u) Interest-bearing Borrowings Interest-bearing bank loans and overdrafts are recorded at the amount of proceeds received, net of transaction costs. Borrowing costs directly attributable to the acquisition and construction of development properties and property, plant and equipment are capitalised as part of the cost of those assets, until such time as the assets are ready for their intended use or sale. Capitalisation of borrowing costs is suspended during extended periods in which active development is interrupted. All other borrowing costs are charged to the income statement as an expense in the period in which they are incurred. (v) Bonds Bonds issued by the Company and the Group are initially recognised based on proceeds received, net of issuance expenses incurred and are adjusted in subsequent years for amortisation of premium and/or accretion of discount to maturity, using the effective yield method. The premium amortised and/or discount accreted is recognised in the income statement over the period of the bonds. (w) Income Taxes Income taxes on the profit or loss for the financial year comprises current and deferred tax. Current tax is the expected amount of income taxes payable in respect of the taxable profit for the year and is measured using the tax rates that have been enacted or substantially enacted at the balance sheet date. Deferred taxation is provided in full, using the liability method, on all material temporary differences arising between the tax bases of assets and liabilities and their carrying amounts in the financial statements. Deferred tax liabilities are recognised for all taxable temporary differences other than those that arise from goodwill or excess of the acquirer’s interest in the net fair value of the acquiree’s identifiable assets, liabilities and contingent liabilities over the business combination costs or from the initial recognition of an asset or liability in a transaction which is not a business combination and at the time of the transaction, affects neither accounting profit nor taxable profit. Deferred tax assets are recognised for all deductible temporary differences, unused tax losses and unused tax credits to the extent that it is probable that future taxable profit will be available against which the deductible temporary differences, unused tax losses and unused tax credits can be utilised. Deferred tax assets and liabilities are measured at the tax rates that are expected to apply in the period when the asset is realised or the liability is settled, based on the tax rates that have been enacted or substantially enacted at the balance sheet date. Deferred tax is recognised in the income statement, except when it arises from a transaction which is recognised directly in equity, in which case the deferred tax is also charged or credited directly to equity, or when it arises from a business combination that is an acquisition, in which case the deferred tax is included in the resulting goodwill or excess of the acquirer’s interest in the net fair value of the acquiree’s identifiable assets, liabilities and contingent liabilities over the business combination costs. The carrying amounts of deferred tax assets are reviewed at each balance sheet date and reduced to the extent that it is no longer probable that sufficient future taxable profits will be available to allow all or part of the deferred tax assets to be utilised.
  • 66.
    64 NOTES TO FINANCIAL STATEMENTS FOR THE FINANCIAL YEAR ENDED 31 MARCH 2007 5. SIGNIFICANT ACCOUNTING POLICIES (cont’d) (x) Equity Instruments Ordinary shares are classified as equity. Incremental costs directly attributable to the issue of new shares or options are shown in equity as a deduction, net of tax, from proceeds. Dividends on ordinary shares are recognised as liabilities when approved for appropriation. (y) Employee Benefits (i) Short-term Benefits Wages, salaries, paid annual leave, bonuses and social security contributions are recognised as an expense in the year in which the associated services are rendered by employees of the Group. Short-term accumulating compensated absences such as paid annual leave are recognised when services are rendered by employees that increase their entitlement to future compensated absences, and short-term non-accumulating compensated absences such as sick leave are recognised when the absences occur. (ii) Defined Contribution Plans The Group’s contributions to a defined contribution plan are charged to the income statement in the period to which they relate. Once the contributions have been paid, the Group has no further liability in respect of the defined contribution plan. A foreign subsidiary of the Group makes contributions to its respective country’s pension schemes. Such contributions are recognised as an expense in the income statement as incurred. (z) Contingent Liabilities and Contingent Assets A contingent liability is a possible obligation that arises from past events and whose existence will only be confirmed by the occurrence of one or more uncertain future events not wholly within the control of the Group. It can also be a present obligation arising from past events that is not recognised because it is not probable that an outflow of economic resources will be required or the amount of obligation cannot be measured reliably. A contingent liability is not recognised but is disclosed in the notes to the financial statements. When a change in the probability of an outflow occurs so that the outflow is probable, it will then be recognised as a provision. A contingent asset is a probable asset that arises from past events and whose existence will be confirmed only by the occurrence or non-occurrence of one or more uncertain events not wholly within the control of the Company. (aa) Revenue Recognition (i) Construction Contracts Revenue on contracts is recognised on the percentage of completion method unless the outcome of the contract cannot be reliably determined, in which case revenue on contracts is only recognised to the extent of contract costs incurred that are recoverable. Foreseeable losses, if any, are provided for in full as and when it can be reasonably ascertained that the contract will result in a loss. The stage of completion is determined based on surveys of work performed.
  • 67.
    65 NOTES TO FINANCIAL STATEMENTS FOR THE FINANCIAL YEAR ENDED 31 MARCH 2007 5. SIGNIFICANT ACCOUNTING POLICIES (cont’d) (aa) Revenue Recognition (cont’d) (ii) Property Development Revenue from property development is recognised from the sale of completed and uncompleted development properties. Revenue from the sale of completed properties is recognised when the sale is contracted. Revenue on uncompleted properties contracted for sale is recognised based on the stage of completion method unless the outcome of the development cannot be reliably determined in which case the revenue on the development is only recognised to the extent of development costs incurred that are recoverable. The stage of completion is determined based on the proportion that the development costs incurred for work performed to date bear to the estimated total development costs. (iii) Revenue from Sales of Goods Sales are recognised upon delivery of goods and customers’ acceptance, and where applicable, net of returns and trade discounts. (iv) Revenue from Services Revenue is recognised upon rendering of services and when the outcome of the transaction can be estimated reliably. In the event the outcome of the transaction could not be estimated reliably, revenue is recognised to the extent of the expenses incurred that are recoverable. (v) Management Fee and Administrative Charges Management fee and administrative charges are recognised on an accrual basis. (vi) Rental Income Rental income is recognised on an accrual basis. (vii) Dividend Income Dividend income from investments is recognised when the right to receive payment is established. (viii) Interest Income Interest income is recognised on an accrual basis, based on the effective yield on the investment. Interest income on late payment is recognised on a receipt basis.
  • 68.
    66 NOTES TO FINANCIAL STATEMENTS FOR THE FINANCIAL YEAR ENDED 31 MARCH 2007 5. SIGNIFICANT ACCOUNTING POLICIES (cont’d) (ab) Segmental Information Segment revenues and expenses are those directly attributable to the segments and include any joint revenue and expenses where a reasonable basis of allocation exists. Segment assets include all assets used by a segment and consist principally of property, plant and equipment (net of accumulated depreciation, where applicable), other investments, inventories, receivables, and cash and bank balances. Most segment assets can be directly attributed to the segments on a reasonable basis. Segment assets and liabilities do not include income tax assets and liabilities respectively. Segment revenues, expenses and results include transfers between segments. The prices charged on intersegment transactions are based on normal commercial terms. These transfers are eliminated on consolidation. 6. INVESTMENT IN SUBSIDIARIES THE COMPANY 2007 2006 RM RM Unquoted shares, at cost 210,990,785 211,064,785 Details of the subsidiaries, which are all incorporated in Malaysia, are as follows: Name of Company Effective Principal Activities Equity Interest 2007 2006 % % Syarikat Siah Brothers Trading Sdn. Bhd. 100 100 General building contractor and investment holding. Syarikat Siah Brothers Construction Sdn. Bhd. 100 100 Building and civil engineering works. Lifeplus - Siah Brothers Trading JV Sdn. Bhd. - 100 Under members’ voluntary liquidation. Siah Brothers Enterprise Sdn. Bhd.* - 100 Under members’ voluntary liquidation. Siah Brothers Land Sdn. Bhd. 100 100 Investment holding. Seri Ampangan Realty Sdn. Bhd. 100 100 Property development. Sinaran Naga Sdn. Bhd. 100 100 Property development.
  • 69.
    67 NOTES TO FINANCIAL STATEMENTS FOR THE FINANCIAL YEAR ENDED 31 MARCH 2007 6. INVESTMENT IN SUBSIDIARIES (cont’d) Name of Company Effective Principal Activities Equity Interest 2007 2006 % % Siah Brothers Development Sdn. Bhd.* - 100 Under members’ voluntary liquidation. Tiara Development Sdn. Bhd.* - 100 Under members’ voluntary liquidation. SBC Homes Sdn. Bhd.* - 100 Under members’ Voluntary liquidation. Mixwell (Malaysia) Sdn. Bhd. 100 100 Property development. Winsome Ventures Sdn. Bhd. - 100 Under members’ voluntary liquidation. Siah Brothers Properties Sdn. Bhd.* 100 100 Investment holding. Aureate Construction Sdn. Bhd.* 100 100 Property investment. SBC Leisure Sdn. Bhd.* 100 100 Property development. SBC Towers Sdn. Bhd.* 100 100 Property development. Siah Brothers Project Management Sdn. Bhd.* - 100 Under members’ voluntary liquidation. Siah Brothers Industries Sdn. Bhd.* 100 100 Investment holding. South-East Best Sdn. Bhd. 100 100 Property development. Gracemart Resources Sdn. Bhd. 100 100 Property development. Sutrati Development Sdn. Bhd. - 100 Under members’ voluntary liquidation. Masahmura Sdn. Bhd.* 100 51 Manufacturing of material handling equipment and metal frames. Masahmura Sales & Service Sdn. Bhd. 100 51 Trading of light industrial handling equipment and metal frames. Kiara Amalan Sdn. Bhd.* 51 - Dormant. * Not audited by Messrs. Horwath.
  • 70.
    68 NOTES TO FINANCIAL STATEMENTS FOR THE FINANCIAL YEAR ENDED 31 MARCH 2007 7. INTEREST IN ASSOCIATES THE GROUP THE COMPANY 2007 2006 2007 2006 RM RM RM RM Unquoted shares, at cost 2,720,001 3,600,001 2,400,000 2,400,000 Impairment loss - (880,000) - - 2,720,001 2,720,001 2,400,000 2,400,000 Unquoted shares, at group cost 91,618,314 91,618,314 - - Share of post acquisition reserves 17,747,298 17,478,087 - - 112,085,613 111,816,402 2,400,000 2,400,000 THE GROUP 2007 2006 RM RM The interest in associates comprises: Group’s share of net tangible assets - at cost 66,069,643 65,800,432 - at fair value 45,952,003 45,952,003 Group’s share of intangible assets 63,967 63,967 112,085,613 111,816,402 Details of the associates, which are all incorporated in Malaysia, are as follows: Name of Company Effective Principal Activities Equity Interest 2007 2006 % % Ligamas Sdn. Bhd.# 50.0 50.0 Property development. Varich Industries Sdn. Bhd.* 50.0 50.0 Dormant. Paling Industries Sdn. Bhd.# 40.0 40.0 Manufacturing of plastic building materials.
  • 71.
    69 NOTES TO FINANCIAL STATEMENTS FOR THE FINANCIAL YEAR ENDED 31 MARCH 2007 7. INTEREST IN ASSOCIATES (cont’d) Details of the associates, which are all incorporated in Malaysia, are as follows: Name of Company Effective Principal Activities Equity Interest 2007 2006 % % Pasti Bumi Sdn. Bhd.*## 19.6 19.6 Sales of plastic building materials. Liga Canggih Sdn. Bhd.*## 40.0 40.0 Dormant. Sri Berjaya Development Sdn. Bhd.* 33.3 33.3 Investment and development of landed properties. Sri Rawang Properties Sdn. Bhd.* 22.2 22.2 Investment in properties and rubber estates. Sam & Lau Plantation Sdn. Bhd.*### - 50.0 Under members’ voluntary liquidation. * The results of these associates have not been equity accounted as the amounts involved are insignificant. # The share of results of these associates is based on the latest available unaudited management financial statements made up to 31 March 2007. ## Held by Paling Industries Sdn. Bhd. ### Held by South-East Best Sdn. Bhd. The summarised financial information of the associates are as follows: THE GROUP 2007 2006 RM RM Assets and liabilities Total assets 149,845,853 143,650,486 Total liabilities 16,653,116 10,429,579 Results Revenue 54,261,998 44,690,040 Profit for the year 299,072 47,200
  • 72.
    70 NOTES TO FINANCIAL STATEMENTS FOR THE FINANCIAL YEAR ENDED 31 MARCH 2007 8. INVESTMENT IN JOINT VENTURE THE COMPANY 2007 2006 RM RM Unquoted shares, at cost 1,801,128 712,500 Details of the joint venture, which is incorporated in Thailand, are as follows: Name of Company Effective Principal Activities Equity Interest 2007 2006 % % Tri-Development Co., Ltd 50 50 Property development. The share of results of the joint venture is based on the unaudited financial statements made up to 31 March 2007. The Group’s aggregate share of the current assets, non-current assets, current liabilities, non-current liabilities, income and expenses of the joint venture is as follows: 2007 2006 RM RM Assets and liabilities Non-current assets 591,715 - Current assets 9,220,742 805,280 Total assets 9,812,457 805,280 Non-current liabilities - Current liabilities (4,256,916) (93,595) Total liabilities (4,256,916) (93,595) Results Revenue 17,761,423 - Other income 62,923 - Expenses, including finance costs and taxation (13,993,150) (143)
  • 73.
    71 NOTES TO FINANCIAL STATEMENTS FOR THE FINANCIAL YEAR ENDED 31 MARCH 2007 9. PROPERTY, PLANT AND EQUIPMENT TRANSFER TO DEPRE- AT DEVELOPMENT CIATION AT 1.4.2006 ADDITIONS DISPOSALS COST CHARGE 31.3.2007 RM RM RM RM RM RM (Note 15) THE GROUP NET BOOK VALUE Freehold land and building 4,690,317 - - (302,696) - 4,387,621 Building 2,003,119 - - - (100,156) 1,902,963 Plant and machinery, construction machinery and equipment, formwork, scaffoldings and containers 28,728 538,417 - - (39,879) 527,266 Office renovation, office equipment, computers, furniture and fittings, tools and sales office 950,131 609,845 (14,472) - (292,337) 1,253,167 Motor vehicles 570,315 56,000 (1) - (147,788) 478,526 Total 8,242,610 1,204,262 (14,473) (302,696) (580,160) 8,549,543 AT ACCUMULATED NET BOOK COST DEPRECIATION VALUE RM RM RM AT 31.3.2007 Freehold land 4,387,621 - 4,387,621 Building 2,003,119 (100,156) 1,902,963 Plant and machinery, construction machinery and equipment, formwork, scaffoldings and containers 9,202,410 (8,675,144) 527,266 Office renovation, office equipment, computers, furniture and fittings, tools and sales office 5,384,005 (4,130,838) 1,253,167 Motor vehicles 2,106,298 (1,627,772) 478,526 Total 23,083,453 (14,533,910) 8,549,543
  • 74.
    72 NOTES TO FINANCIAL STATEMENTS FOR THE FINANCIAL YEAR ENDED 31 MARCH 2007 9. PROPERTY, PLANT AND EQUIPMENT (cont’d) AT ACCUMULATED NET BOOK COST DEPRECIATION VALUE RM RM RM AT 31.3.2006 Freehold land 4,690,317 - 4,690,317 Building 2,003,119 - 2,003,119 Plant and machinery, construction machinery and equipment, formwork, scaffoldings and containers 8,663,993 (8,635,265) 28,728 Office renovation, office equipment, computers, furniture and fittings, tools and sales office 4,886,531 (3,936,400) 950,131 Motor vehicles 2,145,096 (1,574,781) 570,315 Total 22,389,056 (14,146,446) 8,242,610 AT DEPRECIATION AT 1.4.2006 CHARGE 31.3.2007 RM RM RM THE COMPANY NET BOOK VALUE Office equipment, computers, furniture and fittings 7,551 (4,895) 2,656 Motor vehicles 1 - 1 7,552 (4,895) 2,657 AT ACCUMULATED NET BOOK COST DEPRECIATION VALUE RM RM RM AT 31.3.2007 Office equipment, computers, furniture and fittings 370,553 (367,897) 2,656 Motor vehicles 376,950 (376,949) 1 747,503 (744,846) 2,657 AT 31.3.2006 Office equipment, computers, furniture and fittings 370,553 (363,002) 7,551 Motor vehicles 376,950 (376,949) 1 747,503 (739,951) 7,552 The net book value of the motor vehicles of the Group acquired under hire purchase terms amounted to RM341,449 (2006 - RM449,135) at the balance sheet date.
  • 75.
    73 NOTES TO FINANCIAL STATEMENTS FOR THE FINANCIAL YEAR ENDED 31 MARCH 2007 10. INVESTMENT PROPERTIES THE GROUP 2007 2006 RM RM (Restated) At cost: - Freehold land 106,688 106,688 - Building 6,761,237 8,565,037 6,867,925 8,671,725 Addition during the financial year 117,070 - Disposed of during the financial year (1,787,987) (1,803,800) Impairment loss (2,074,556) - 3,122,452 6,867,925 11. LAND HELD FOR PROPERTY DEVELOPMENT THE GROUP 2007 2006 RM RM (Restated) At 1 April 87,090,675 93,764,081 Additions during the year 2,468,347 466,545 Disposal - (1,640,541) Impairment loss (1,858,834) - Transfer to property development costs (Note 15) - (5,499,410) At 31 March 87,700,188 87,090,675 Land held for property development comprises: Freehold land, at cost 30,406,098 32,264,932 Leasehold land, at cost 47,565,800 47,565,800 Development expenditure 9,728,290 7,259,943 87,700,188 87,090,675 Included in land held for property development are leasehold land amounting to RM8,620,889 (2006 - RM8,550,889) and RM39,442,632 (2006 - Nil) charged to a financial institution for the issuance of the ABBA Bonds granted to the Company and for the banking facilities granted to the Group, respectively.
  • 76.
    74 NOTES TO FINANCIAL STATEMENTS FOR THE FINANCIAL YEAR ENDED 31 MARCH 2007 12. OTHER ASSETS THE GROUP 2007 2006 RM RM At cost Quoted shares in Malaysia 12,300 12,300 Investment in club membership 208,000 74,000 220,300 86,300 Market value of quoted shares 10,890 8,370 Investments in quoted shares are carried at cost and are written down to market value only when the directors are of the opinion that the diminution in value is permanent. 13. GOODWILL ON CONSOLIDATION THE GROUP 2007 2006 RM RM At 1 April 27,317,640 27,317,640 Arising from acquisition of subsidiaries 181,811 - At 31 March 27,499,451 27,317,640 14. INVENTORIES THE GROUP 2007 2006 RM RM Unsold completed properties, at cost 726,148 1,283,422 None of the inventories is carried at net realisable value.
  • 77.
    75 NOTES TO FINANCIAL STATEMENTS FOR THE FINANCIAL YEAR ENDED 31 MARCH 2007 15. PROPERTY DEVELOPMENT COSTS THE GROUP 2007 2006 RM RM Balance at 1 April - land 37,976,712 31,334,481 - development costs 120,913,208 77,920,310 158,889,920 109,254,791 Costs incurred during the year: - transferred from land held for property development (Note 11) - 5,499,410 - transferred from property, plant and equipment (Note 9) 302,696 1,142,821 - land 200,046 - - development costs 38,669,473 42,992,898 Development costs of completed projects during the year: - land (595,650) - - development costs (8,149,608) - (8,745,258) - Sub-total 189,316,877 158,889,920 Cost recognised as an expense in the income statement: - previous year (103,759,072) (54,509,104) - current year (34,536,432) (49,249,968) - cost recognised for completed project 8,685,884 - (129,609,620) (103,759,072) Balance 31 March 59,707,257 55,130,848 Cumulative revenue recognised in income statement 158,034,674 118,845,219 Cumulative billings to purchasers (168,857,826) (118,845,219) Progress billings (Note 30) (10,823,152) - Net balance 48,884,105 55,130,848 Included in development expenditure is interest expense capitalised during the financial year amounting to RM1,161,691 (2006 - RM1,820,090). Leasehold land of a subsidiary costing RM8,147,752 (2006 - RM7,674,555) is charged to a licensed bank for a term loan facility granted to the subsidiary.
  • 78.
    76 NOTES TO FINANCIAL STATEMENTS FOR THE FINANCIAL YEAR ENDED 31 MARCH 2007 15. PROPERTY DEVELOPMENT COSTS (cont’d) The foreign currency exposure profile of the property development costs is as follows: THE GROUP 2007 2006 RM RM Thai Baht - 131,603 16. RECEIVABLES THE GROUP THE COMPANY 2007 2006 2007 2006 RM RM RM RM Trade receivables 62,106,277 46,168,072 - - Retention receivable 2,313,919 2,376,762 - - Total trade receivables 64,420,196 48,544,834 - - Allowance for doubtful debts At 1 April (13,466,689) (13,466,689) - - Written off 273,234 - - - At 31 March (13,193,455) (13,466,689) - - Net trade receivables 51,226,741 35,078,145 - - Other receivables, deposits and prepayments 11,605,596 10,996,707 2,832,130 2,579,164 Allowance for doubtful debts (3,500,122) (3,500,122) (2,352,737) (2,352,737) Net other receivables, deposits and prepayments 8,105,474 7,496,585 479,393 226,427 Total receivables 59,332,215 42,574,730 479,393 226,427 The foreign currency exposure profile of the receivables is as follows: THE GROUP 2007 2006 RM RM Thai Baht 6,486,019 430,725
  • 79.
    77 NOTES TO FINANCIAL STATEMENTS FOR THE FINANCIAL YEAR ENDED 31 MARCH 2007 16. RECEIVABLES (cont’d) Included in trade receivables at the balance sheet date are the following amounts: 2007 2006 RM RM Related party: - Ligamas Sdn. Bhd. 4,675,505* 4,923,055 * Sabah State Government 29,209,378 18,054,059 * relates to retention receivable. The amount owing by the Sabah State Government is in respect of the construction of an office building for the Land and Survey Department (Jabatan Tanah dan Ukur) for a value of RM29,069,000. Upon the completion of the office building, the entire trade receivables due from the Sabah State Government will be set off against an equivalent amount owing to the Sabah State Government, the details of which are disclosed in Note 27 to the financial statements. Details of the related party relationship and the nature of the transactions and balances are set out in Note 45 to the financial statements. Included in other receivables is an amount of RM1,070,828 (2006 - RM1,070,828) due from sub-contractors for the purchase of building materials. The amount owing is unsecured, interest-free, and is to be repaid through deductions against future claims for work to be performed by the sub-contractors. Credit terms of trade receivables range from 14 to 90 days. 17. AMOUNT OWING BY/(TO) CONTRACT CUSTOMERS THE GROUP 2007 2006 RM RM Amount owing by contract customers Contract costs incurred to date 92,297,781 79,943,257 Attributable profits 10,857,531 6,327,355 103,155,312 86,270,612 Progress billings (100,538,533) (83,155,618) Amount owing by contract customers 2,616,779 3,114,994 Amount owing to contract customers Contract costs incurred to date 106,690,901 75,241,385 Attributable profits 12,699,528 10,587,249 119,390,429 85,828,634 Progress billings (122,240,858) (87,369,078) Amount owing to contract customers (2,850,429) (1,540,444)
  • 80.
    78 NOTES TO FINANCIAL STATEMENTS FOR THE FINANCIAL YEAR ENDED 31 MARCH 2007 18. AMOUNT OWING BY/(TO) SUBSIDIARIES THE COMPANY 2007 2006 RM RM Amount owing by: Non-trade - Interest-bearing - 12,403,758 - Interest-free 58,919,707 53,370,879 58,919,707 65,774,637 Amount owing to: Non-trade - Interest-free 12,375,674 18,082,756 The above amounts owing are unsecured and not subject to fixed terms of repayment. In the previous financial year, the interest-bearing amounts were subject to interest rate of 8.5% per annum. 19. AMOUNT OWING BY/(TO) ASSOCIATES The amounts owing are unsecured, interest-free and not subject to fixed terms of repayment. 20. AMOUNT OWING BY JOINT VENTURE The amount owing is non-trade in nature, unsecured, interest-free and not subject to fixed terms of repayment. 21. TAX RECOVERABLE Subject to agreement with the tax authorities, the Company has tax recoverable of RM1,514,357 and RM1,937,117 at the balance sheet date in respect of the financial years ended 31 March 1997 to 31 March 2000 and 31 March 2006 to 31 March 2007 respectively. At the date of this report, the amount is still pending agreement with the tax authorities.
  • 81.
    79 NOTES TO FINANCIAL STATEMENTS FOR THE FINANCIAL YEAR ENDED 31 MARCH 2007 22. SHORT-TERM DEPOSITS WITH LICENSED BANKS The weighted average effective interest rates of deposits at the balance sheet date were as follows: THE GROUP THE COMPANY 2007 2006 2007 2006 % % % % Licensed bank 4.24 2.81 2.30 2.30 Deposits of the Group and the Company have maturity periods ranging from 30 days to 183 days (2006 - 30 days). Certain deposits of the Company have been pledged as security for the ABBA Bonds as disclosed in Note 26 to the financial statements. The foreign currency exposure profile of the short-term deposits is as follows: THE GROUP 2007 2006 RM RM Thai Baht 2,000,000 - 23. CASH AND BANK BALANCES THE GROUP THE COMPANY 2007 2006 2007 2006 RM RM RM RM Cash and bank balances 1,917,838 1,082,118 76,234 27,320 Sinking fund account (Note 42) 12,001,075 8,123,112 12,001,075 8,123,112 13,918,913 9,205,230 12,077,309 8,150,432 The foreign currency exposure profile of the cash and bank balances is as follows: THE GROUP THE COMPANY 2007 2006 2007 2006 RM RM RM RM Thai Baht 805,933 268,831 71,210 25,879 Included in the cash and bank balances of the Group is RM208,949 (2006 - RM701,950) maintained under the Housing Development Accounts pursuant to Section 7A of the Housing Development (Control and Licensing ) Act, 1966. The sinking fund account is maintained with a financial institution, and forms part of the security for the repayment of the ABBA Bonds.
  • 82.
    80 NOTES TO FINANCIAL STATEMENTS FOR THE FINANCIAL YEAR ENDED 31 MARCH 2007 24. SHARE CAPITAL THE COMPANY 2007 2006 2007 2006 NUMBER OF SHARES RM RM AUTHORISED Ordinary shares of RM1 each 193,167,000 193,167,000 193,167,000 193,167,000 5.5% ICCPS of RM1 each 6,833,000 6,833,000 6,833,000 6,833,000 Total authorised share capital 200,000,000 200,000,000 200,000,000 200,000,000 ISSUED AND FULLY PAID-UP Ordinary shares of RM1 each 82,435,000 82,435,000 82,435,000 82,435,000 25. RESERVES THE GROUP THE COMPANY 2007 2006 2007 2006 RM RM RM RM (Restated) Share premium (Note a) 111,412,895 111,412,895 111,412,895 111,412,895 Capital reserve (Note b) 1,199,999 1,199,999 - - Retained profits (Note c) 18,077,892 21,680,691 22,322,998 22,239,634 130,690,786 134,293,585 133,735,893 133,652,529 (a) The share premium is not available for distribution by way of cash dividends. (b) The capital reserve arose from a bonus issue of ordinary shares on 21 August 1992 by a former subsidiary, and is not available for distribution by way of dividends. (c) Subject to agreement with the tax authorities, at the balance sheet date, the Company has: (i) tax-exempt income of approximately RM233,000 (2006 - RM233,000) available for the purpose of paying tax- exempt dividends; and (ii) tax credits under Section 108 of the Income Tax Act, 1967 to frank the payment of dividends of approximately RM15,456,000 (2006 - RM14,457,000) out of its entire retained profits without incurring any additional tax liabilities.
  • 83.
    81 NOTES TO FINANCIAL STATEMENTS FOR THE FINANCIAL YEAR ENDED 31 MARCH 2007 26. ABBA BONDS THE GROUP/THE COMPANY 2007 2006 RM RM Al-Bai Bithaman Ajil Bonds (nominal value) 61,961,250 61,961,250 Less: ABBA Bonds issuance expenses (1,343,155) (1,281,283) Finance charges on bonds issue (21,961,250) (21,961,250) Net proceeds 38,656,845 38,718,717 Additional ABBA Bonds issuance expenses (59,932) (61,872) 38,596,913 38,656,845 Cumulation of amortisation of ABBA Bonds issuance expenses 1,270,823 993,053 Cumulation of amortisation of finance charges on ABBA Bonds issue 19,968,435 15,481,626 59,836,171 55,131,524 Cumulative repayments: At 1 April (8,674,575) (6,196,125) Repayment made during the year (2,478,450) (2,478,450) At 31 March (11,153,025) (8,674,575) 48,683,146 46,456,949 Analysis of the ABBA Bonds: - Not later than one year 48,683,146 2,478,450 - Later than one year and not later than five years - 43,978,499 48,683,146 46,456,949 On 13 September 2002, the Company issued RM61,961,250 nominal value Al-Bai Bithaman Ajil Bonds (“ABBA Bonds”) comprising RM49,569,000 nominal value Primary Bonds and 10 equal tranches of Secondary Bonds with RM12,392,250 nominal value. The Primary Bonds are redeemable at maturity. Each Primary Bond is supported by 10 Secondary Bonds which are redeemable in semi-annual instalments commencing 6 months from the date of the first issue of the Secondary Bonds. The ABBA Bonds were placed out to a licensed financial institution via a private placement. The tenure of the ABBA Bonds is 5 years from the date of issue. The profit margin on the ABBA Bonds is fixed at 5% per annum, payable in arrears on a semi-annual basis represented by the Secondary Bonds. The ABBA Bonds are issued based on a 10% per annum yield to maturity.
  • 84.
    82 NOTES TO FINANCIAL STATEMENTS FOR THE FINANCIAL YEAR ENDED 31 MARCH 2007 26. ABBA BONDS (cont’d) The ABBA Bonds are secured in the following manner: (i) by a third party first legal charge over certain properties of a subsidiary; (ii) by a third party first legal charge over all the shares held by a wholly-owned subsidiary in an associate; (iii) by a first party charge over a reserve account which is an Islamic banking account opened for the placement of all monies received from dividends, unappropriated profits and bonus shares accruing to a subsidiary; and (iv) by a first party charge over a sinking fund account and a Mudharabah Account of the Company. 27. LONG-TERM BORROWINGS THE GROUP 2007 2006 RM RM Term loans (Note 28) 4,610,276 1,200,000 Hire purchase payables (Note a) 259,793 360,180 Amount owing to the Sabah State Government (Note b) 29,069,000 29,069,000 33,939,069 30,629,180 (a) Hire purchase payables THE GROUP 2007 2006 RM RM Future minimum hire purchase payments: - repayable not later than one year 107,664 113,549 - repayable later than one year and not later than five years 289,917 397,581 397,581 511,130 Future finance charges (41,318) (53,760) Present value of hire purchase payables 356,263 457,370 Present value of hire purchase payables are payable as follows: Not later than one year (Note 30) 96,470 97,190 Later than one year and not later than five years 259,793 360,180 356,263 457,370 The hire purchase payables at the balance sheet date were subject to interest at rates ranging from 4.33% to 4.55% (2006 - 2.28% to 5.35%) per annum.
  • 85.
    83 NOTES TO FINANCIAL STATEMENTS FOR THE FINANCIAL YEAR ENDED 31 MARCH 2007 27. LONG-TERM BORROWINGS (cont’d) (b) Amount owing to the Sabah State Government The amount represents the purchase consideration for the development land located on Signal Hill, Tanjung Lipat, Kota Kinabalu, Sabah, which is currently being developed by one of the Company’s subsidiary, i.e. South East Best Sdn. Bhd. (“SEB”). Under the terms of the agreement between SEB and the Sabah State Government dated 5 September 1994, the amount owing to the Sabah State Government shall be paid in the form of 130 completed units of the property under development to be completed within a period of five years from the commencement of their construction as consideration in kind. On 16 July 2002, the Sabah State Government agreed to execute a change of their entitlement to the outstanding amount of RM29,069,000. The change of entitlement is in the form of the construction by SEB of an office building for the Land and Survey Department (Jabatan Tanah dan Ukur) and part of a building for the Ministry of Finance at a value equivalent to the amount outstanding of RM29,069,000. On 21 October 2002, SEB was requested to prepare the Contract Document and Estimation for the above project. On 17 December 2004, SEB entered into a supplemental agreement with the Sabah State Government and agreed to execute a change of their entitlement. The change of entitlement is in the form of the construction by SEB of an office building for the Land and Survey Department (Jabatan Tanah dan Ukur) at a value equivalent to the amount outstanding of RM29,069,000. The Company completed the construction work in May 2007 and handed over the property to the authority in June 2007. The contract value was extended to RM30.3 million with variation orders. 28. TERM LOANS THE GROUP 2007 2006 RM RM Current portion: - repayable within one year (Note 32) 2,580,042 2,597,379 Non-current portion: - repayable between one to two years 1,983,119 - - repayable between two to five years 2,627,157 1,200,000 Total non-current portion (Note 27) 4,610,276 1,200,000 7,190,318 3,797,379
  • 86.
    84 NOTES TO FINANCIAL STATEMENTS FOR THE FINANCIAL YEAR ENDED 31 MARCH 2007 28. TERM LOANS (cont’d) Details of the term loans outstanding at the balance sheet date are as follows: THE GROUP 2007 2006 Term loan RM RM I - 197,379 II 800,000 3,600,000 III 4,900,068 - IV 1,490,250 - 7,190,318 3,797,379 Number of Monthly Interest Rate Date of Term loan Monthly Instalment Per Annum Commencement Instalments Amount % of Repayment RM I 17 141,667 8.50% July 2005 II 9 400,000 8.50% October 2006 III 48 120,312 8.00% * * Repayable immediately upon full drawdown. Term loan IV is the Islamic financing facility of Al-Bai Bithaman Ajil (“ABBA”) Scheme which is repayable in 3 monthly instalments of RM9,750 commencing March 2007 and 21 monthly instalments of RM76,646 commencing June 2007. It carries a financing charge of 7.80% per annum. (a) Term loans I and II are secured: (i) by way of a first and second legal charge over 3 pieces of converted residential land of a subsidiary; (ii) by the personal guarantee of one of the directors of the Company; and (iii) by corporate guarantees from the Company and South-East Best Sdn. Bhd. (b) Term loan III is secured: (i) by way of a Facility Agreement of RM28,000,000 to cover all facilities as principal instrument; (ii) by way of a first party legal charge over four pieces of development land of subsidiaries; and (iv) a corporate guarantee from the Company. (c) Term loan IV is secured: (i) by way of a Lien Holders Caveat on a property of the subsidiary; (ii) by way of a legal charge over a sinking fund; and (iii) by way of a corporate guarantee from the Company.
  • 87.
    85 NOTES TO FINANCIAL STATEMENTS FOR THE FINANCIAL YEAR ENDED 31 MARCH 2007 29. DEFERRED TAXATION The deferred tax relates to the revaluation of land held for property development. 30. PAYABLES THE GROUP THE COMPANY 2007 2006 2007 2006 RM RM RM RM Trade payables 19,160,408 22,580,762 - - Retention payable 6,957,999 6,641,013 - - Total trade payables 26,118,407 29,221,775 - - Other payables and accruals 5,474,865 2,922,532 371,667 244,765 Progress billings (Note 15) 10,823,152 - - - Hire purchase payables (Note 27a) 96,470 97,190 - - 42,512,894 32,241,497 371,667 244,765 The foreign currency exposure profile of the payables is as follows: THE GROUP 2007 2006 RM RM Thai Baht 3,813,987 93,595 Credit terms of trade payables range from 30 to 60 days. Included in other payables is an amount owing to a related party of RM169,367 (2006 - RM169,367). The details of the transaction and the balance are disclosed in Note 45 to the financial statements. 31. AMOUNT OWING TO A DIRECTOR The above amount owing is unsecured, not subject to fixed terms of repayment and bore interest at 5.5% (2006 - 5.5%) per annum.
  • 88.
    86 NOTES TO FINANCIAL STATEMENTS FOR THE FINANCIAL YEAR ENDED 31 MARCH 2007 32. SHORT-TERM BORROWINGS 2007 2006 SECURED UNSECURED TOTAL SECURED UNSECURED TOTAL RM RM RM RM RM RM THE GROUP Term loans (Note 28) 2,580,042 - 2,580,042 2,597,379 - 2,597,379 Revolving credits 5,294,400 7,000,000 12,294,400 - 13,344,400 13,344,400 7,874,442 7,000,000 14,874,442 2,597,379 13,344,400 15,941,779 THE COMPANY Revolving credits - 5,000,000 5,000,000 - 5,000,000 5,000,000 The weighted average effective interest rates at the balance sheet date for borrowings which bear interest at floating rates, were as follows: THE GROUP THE COMPANY 2007 2006 2007 2006 % % % % Term loans 8.01 8.25 - - Revolving credits 6.57 6.25 7.65 7.50 33. BANK OVERDRAFTS THE GROUP THE COMPANY 2007 2006 2007 2006 RM RM RM RM Bank overdrafts (Note 42) 27,028,134 14,656,189 7,456,572 5,053,440 The weighted average effective interest rates at the balance sheet date for bank overdrafts were as follows: THE GROUP THE COMPANY 2007 2006 2007 2006 % % % % Bank overdrafts 8.73 8.64 8.97 8.70
  • 89.
    87 NOTES TO FINANCIAL STATEMENTS FOR THE FINANCIAL YEAR ENDED 31 MARCH 2007 34. NET ASSETS PER ORDINARY SHARE The net assets per ordinary share is calculated based on the net assets value of RM213,125,786 (2006 - RM216,728,585) attributable to ordinary shares divided by the number of ordinary shares in issue at the balance sheet date of 82,435,000 (2006 - 82,435,000) shares. 35. REVENUE THE GROUP THE COMPANY 2007 2006 2007 2006 RM RM RM RM Revenue from construction contracts 18,493,025 9,776,216 - - Proportionate sales value of development properties 57,660,017 59,880,059 - - Rental income - 20,000 - - Dividend income - - 5,000,000 5,000,000 Interest income 369,482 204,859 369,482 204,859 Other interest income - - 399,484 1,009,232 Management and administrative charges 580,422 45,600 2,569,645 1,427,822 77,102,946 69,926,734 8,338,611 7,641,913 36. COST OF SALES THE GROUP THE COMPANY 2007 2006 2007 2006 RM RM RM RM Construction costs 16,123,032 5,202,206 - - Land and development expenditure 43,480,502 51,519,380 - - Direct costs 809,939 79,117 - - Management and administrative charges 85,837 46,530 - - 60,499,310 56,847,233 - -
  • 90.
    88 NOTES TO FINANCIAL STATEMENTS FOR THE FINANCIAL YEAR ENDED 31 MARCH 2007 37. PROFIT BEFORE TAXATION THE GROUP THE COMPANY 2007 2006 2007 2006 RM RM RM RM Profit before taxation is arrived at after charging/(crediting): Amortisation of bonds expenses 277,770 279,708 277,770 279,708 Auditors’ remuneration - for the financial year 73,575 75,400 15,000 13,000 - under/(over)provision in the previous financial year 4,525 (2,300) 2,000 - Bad debts written off 697,574 - - - Depreciation of property, plant and equipment 580,160 424,695 4,895 10,084 Directors’ benefits-inkind 16,925 16,925 16,925 16,925 Directors’ fees 100,500 93,000 100,500 93,000 Directors’ remuneration 1,166,900 1,110,940 683,060 651,292 Finance charges on bonds 4,486,809 4,487,486 4,486,809 4,487,486 Interest expense - bank borrowings 1,796,915 443,418 1,227,664 1,081,668 - hire purchase 12,442 14,845 - - - loans 268,230 112,871 102,722 102,722 Impairment loss on interest in associate - 549,434 - - Impairment loss on investment properties 2,074,556 - - - Investment in subsidiaries written off - - 125,000 - Impairment loss on land held for property development 1,858,834 - - - Loss/(Gain) on disposal of investment properties 413,987 (812,642) - - Loss on foreign exchange - realised 2,617 137 - - Rental expense - premises - 4,600 12,000 12,000 - machinery and equipment 9,975 9,608 - - Staff costs 3,530,728 3,817,436 47,240 94,232 Waiver of debts (211,269) (448,845) (203,976) - Gain on disposal of property, plant and equipment (155,791) (132,283) - - Gross dividend income from subsidiaries - - (5,000,000) (5,000,000) Interest income: - licensed financial institutions (389,710) (225,346) (369,482) (204,859) - subsidiaries - - (399,484) (1,009,232) - others (123,983) (35,670) - - Rental of premises (85,884) (223,112) - -
  • 91.
    89 NOTES TO FINANCIAL STATEMENTS FOR THE FINANCIAL YEAR ENDED 31 MARCH 2007 38. INCOME TAX EXPENSE THE GROUP THE COMPANY 2007 2006 2007 2006 RM RM RM RM (Restated) Current 1,022,984 360,056 576,211 316,376 Real property gains tax 99,130 53,156 - - 1,122,144 413,212 576,211 316,376 (Over)/Underprovision in previous financial years (319,947) (91,472) (269,008) 34,060 802,167 321,740 307,203 350,436 During the current financial year, the statutory tax rate was reduced from 28% to 27%. Subject to agreement with the tax authorities, the Group has unutilised tax losses and unabsorbed capital allowances of approximately RM3,368,000 (2006 - RM3,795,700) and RM536,000 (2006 - RM546,000) respectively available at the balance sheet date to be carried forward for offset against future taxable business income. No deferred tax assets is recognised on these items. A reconciliation of the income tax expense applicable to the (loss)/profit before taxation at the statutory tax rate to the income tax expense at the effective tax rate of the Group and of the Company is as follows: THE GROUP THE COMPANY 2007 2006 2007 2006 RM RM RM RM (Restated) (Loss)/Profit before taxation (2,207,105) 1,368,937 984,094 500,256 Tax at statutory tax rate of 27% (2006 - 28%) (595,918) 383,302 265,706 140,072 Tax effects of: Non-deductible expenses 1,905,717 274,487 222,058 173,647 Non-taxable gains (895,784) (160,836) - - Difference in tax rate in other country 88,447 - 88,447 - Deferred tax assets not recognised during the financial year 1,319,329 116,739 - - Utilisation of deferred tax assets previously not recognised (25,445) (96,258) - - Utilisation of tax losses brought forward (566,350) (53,099) - - (Over)/Underprovision in previous financial years (319,947) (91,472) (269,008) 34,060 Differential in tax rates (133,305) (62,729) - - Others 25,423 11,606 - 2,657 802,167 321,740 307,203 350,436
  • 92.
    90 NOTES TO FINANCIAL STATEMENTS FOR THE FINANCIAL YEAR ENDED 31 MARCH 2007 39. (LOSS)/EARNINGS PER SHARE Basic (loss)/earnings per share is arrived at by dividing the (loss)/profit after taxation attributable to shareholders to the number of ordinary shares in issue at the balance sheet date of 82,435,000 (2006 - 82,435,000). 40. DIVIDEND THE COMPANY 2007 2006 RM RM Paid - dividend of 1% per ordinary share less 28% tax (2006 - 1% per ordinary share less 28% tax) 593,527 593,527 At the forthcoming Annual General Meeting, a final dividend in respect of the financial year ended 31 March 2007 of 1 sen per ordinary share of RM1 each less 27% tax (2006 - 1 sen per ordinary share of RM1 each less 28% tax) amounting to RM601,776 (2006 - RM593,527) will be tabled for shareholders’ approval. These financial statements do not reflect this final dividend which will be accrued as a liability only upon approval by shareholders. 41. PURCHASE OF PROPERTY, PLANT AND EQUIPMENT THE GROUP 2007 2006 RM RM (Restated) Cost of property, plant and equipment purchased 1,204,262 676,406 Amount financed though hire purchase - (482,300) Cash disbursed for the purchase of property, plant and equipment 1,204,262 194,106 42. CASH AND CASH EQUIVALENTS For the purpose of the cash flow statements, cash and cash equivalents comprise the following: THE GROUP THE COMPANY 2007 2006 2007 2006 RM RM RM RM Short term deposits (Note 22) 3,334,226 1,364,225 1,239,225 1,239,225 Cash and bank balances (Note 23) 13,918,913 9,205,230 12,077,309 8,150,432 Bank overdrafts (Note 33) (27,028,134) (14,656,189) (7,456,572) (5,053,440) (9,774,995) (4,086,734) 5,859,962 4,336,217 Less: Cash placed in sinking fund account (Note 23) (12,001,075) (8,123,112) (12,001,075) (8,123,112) (21,776,070) (12,209,846) (6,141,113) (3,786,895)
  • 93.
    91 NOTES TO FINANCIAL STATEMENTS FOR THE FINANCIAL YEAR ENDED 31 MARCH 2007 43. DIRECTORS’ REMUNERATION The aggregate amount of emoluments received and receivable by the directors of the Company during the financial year are as follows: THE GROUP THE COMPANY 2007 2006 2007 2006 RM RM RM RM DIRECTORS’ FEES: 1. Mun Chong Shing @ Mun Chong Tian 19,500 18,000 19,500 18,000 2. Dato’ Zainol Abidin bin Haji A. Hamid 20,500 19,000 20,500 19,000 3. Dato’ Lim Phaik Gan 20,500 19,000 20,500 19,000 4. Dato’ Dr. Norraesah bt Haji Mohamad 20,500 19,000 20,500 19,000 5. Ahmad Fizal bin Othman 19,500 18,000 19,500 18,000 100,500 93,000 100,500 93,000 DIRECTORS’ NON-FEES EMOLUMENTS: 1. Sia Kwee Mow @ Sia Hok Chai 618,800 589,120 618,800 589,120 2. Sia Teong Heng 537,600 510,720 53,760 51,072 3. Mun Chong Shing @ Mun Chong Tian 1,200 1,500 1,200 1,500 4. Dato’ Zainol Abidin bin Haji A. Hamid 1,200 1,500 1,200 1,500 5. Dato’ Lim Phaik Gan 2,400 3,000 2,400 3,000 6. Dato’ Dr. Norraesah bt Haji Mohamad 3,000 2,400 3,000 2,400 7. Ahmad Fizal bin Othman 2,700 2,700 2,700 2,700 1,166,900 1,110,940 683,060 651,292 Apart from the amounts disclosed under directors’ remuneration above, the estimated monetary value of other benefits-in- kind received by the following director during the financial year, otherwise than in cash is as follows: THE GROUP THE COMPANY 2007 2006 2007 2006 RM RM RM RM Sia Kwee Mow @ Sia Hok Chai 16,925 16,925 16,925 16,925
  • 94.
    92 NOTES TO FINANCIAL STATEMENTS FOR THE FINANCIAL YEAR ENDED 31 MARCH 2007 44. RELATED COMPANY TRANSACTIONS THE COMPANY 2007 2006 RM RM Rental paid to a subsidiary 12,000 12,000 Dividend income receivable from subsidiaries 5,000,000 5,000,000 Interest receivable from subsidiaries 399,484 1,009,232 Management fee receivable from subsidiaries 1,500,000 1,427,822 Management fee receivable from a joint venture 1,069,645 - 45. RELATED PARTY TRANSACTIONS/BALANCES GROUP 2007 2006 NAME OF RELATED PARTIES NOTE NATURE OF TRANSACTION RM RM Ligamas Sdn. Bhd (a) Progress billings received/receivable 15,523,420 8,033,114 Paling Industries Sdn. Bhd. (a) Purchase of materials - 94,783 Sia Kwee Mow @ Sia Hok Chai (b) Interest paid/payable 102,722 102,722 RECEIVABLE PAYABLE GROUP GROUP 2007 2006 2007 2006 NAME OF RELATED PARTIES NOTE RM RM RM RM Ligamas Sdn Bhd. (a) 10,060,695 10,308,245 - - Sia Kwee Mow @ Sia Hok Chai (b) - - 102,722 102,722 Peak Marketing Sdn. Bhd. (c) - - 66,645 66,645 (a) Associate. (b) A director of the Company. (c) A company in which Sia Teong Heng, who is a director of the Company, has a direct interest. In the opinion of the directors, the above transactions have been entered into in the ordinary course of business on terms mutually agreed between the parties.
  • 95.
    93 NOTES TO FINANCIAL STATEMENTS FOR THE FINANCIAL YEAR ENDED 31 MARCH 2007 46. CONTINGENT LIABILITY THE COMPANY 2007 2006 RM RM Corporate guarantee (unsecured) given to banks and other licensed financial institutions for credit facilities granted to subsidiaries 37,556,180 24,330,673 47. SEGMENTAL REPORTING (i) By Business Segment: THE GROUP 2007 MANU- PROPERTY INVEST- FACTURING CONS- DEVELOP- MENT AND ELIMI- TRUCTION MENT HOLDING TRADING NATIONS GROUP RM RM RM RM RM RM REVENUE: External revenue 18,493,025 57,660,017 949,904 - - 77,102,946 Intersegment revenue 33,834,846 - 7,506,307 940,058 (42,281,211) - Total revenue 52,327,871 57,660,017 8,456,211 940,058 (42,281,211) 77,102,946 Results: Segment results 4,014,199 (1,073,977) 6,739,974 123,863 (5,574,978) 4,229,081 Finance costs (6,705,397) Share of results of associates - 747,908 - (478,697) - 269,211 Loss from ordinary activities before taxation (2,207,105) Income tax expense (802,167) Loss from ordinary activities after taxation (3,009,272)
  • 96.
    94 NOTES TO FINANCIAL STATEMENTS FOR THE FINANCIAL YEAR ENDED 31 MARCH 2007 47. SEGMENTAL REPORTING (cont’d) (i) By Business Segment (cont’d): THE GROUP 2007 (cont’d) MANU- PROPERTY INVEST- FACTURING CONS- DEVELOP- MENT AND TRUCTION MENT HOLDING TRADING GROUP RM RM RM RM RM Other information Segment assets 15,765,944 338,469,983 19,474,432 10,774,053 384,484,412 Unallocated assets 1,367,292 385,851,704 Segment liabilities 38,983,630 70,346,440 14,709,691 3,011 124,042,772 Unallocated liabilities 48,683,146 172,725,918 Capital expenditure - Property, plant and equipment 90,142 1,114,120 - - 1,204,262 - Land held for property development - 2,468,347 - - 2,468,347 Depreciation 292,058 282,948 5,154 - 580,160 Impairment loss on investment properties - 2,074,556 - - 2,074,556 Impairment loss on land held for property development - 1,858,834 - - 1,858,834 Amortisation of bonds expenses 277,770
  • 97.
    95 NOTES TO FINANCIAL STATEMENTS FOR THE FINANCIAL YEAR ENDED 31 MARCH 2007 47. SEGMENTAL REPORTING (cont’d) (i) By Business Segment (cont’d): THE GROUP 2006 (RESTATED) MANU- PROPERTY INVEST- FACTURING CONS- DEVELOP- MENT AND ELIMI- TRUCTION MENT HOLDING TRADING NATIONS GROUP RM RM RM RM RM RM REVENUE: External revenue 9,776,216 59,945,659 204,859 - - 69,926,734 Intersegment revenue 34,490,468 - 12,533,054 - (47,023,522) - Total revenue 44,266,684 59,945,659 12,737,913 - (47,023,522) 69,926,734 Results: Segment results 3,287,027 3,259,681 11,648,179 (7,468) (11,761,048) 6,426,371 Finance costs (5,160,442) Share of results of associates - 420,641 - (317,633) - 103,008 Profit from ordinary activities before taxation 1,368,937 Taxation (321,740) Profit from ordinary activities after taxation 1,047,197
  • 98.
    96 NOTES TO FINANCIAL STATEMENTS FOR THE FINANCIAL YEAR ENDED 31 MARCH 2007 47. SEGMENTAL REPORTING (cont’d) (i) By Business Segment (cont’d): THE GROUP 2006 (RESTATED) (cont’d) MANU- PROPERTY INVEST- FACTURING CONS- DEVELOP- MENT AND TRUCTION MENT HOLDING TRADING GROUP RM RM RM RM RM Other information Segment assets 19,729,796 313,607,047 16,019,176 10,138,516 359,494,535 Unallocated assets 1,551,225 361,045,760 Segment liabilities 41,026,145 44,646,717 12,183,528 3,836 97,860,226 Unallocated liabilities 46,456,949 144,317,175 Capital expenditure - Property, plant and equipment 404,652 271,754 - - 676,406 - Land held for property development - 466,545 - - 466,545 Depreciation 201,852 212,394 10,449 - 424,695 Amortisation of bonds expenses 279,708 Impairment loss on interest in associate 549,434 (ii) By geographical market: SEGMENT REVENUE SEGMENT ASSETS CAPITAL EXPENDITURE 2007 2006 2007 2006 2007 2006 Malaysia 59,341,523 69,926,734 378,734,947 360,240,480 3,046,318 1,142,951 Thailand 17,761,423 - 9,812,457 805,280 626,291 - 77,102,946 69,926,734 388,547,404 361,045,760 3,672,609 1,142,951
  • 99.
    97 NOTES TO FINANCIAL STATEMENTS FOR THE FINANCIAL YEAR ENDED 31 MARCH 2007 48. FOREIGN EXCHANGE RATE The principal closing foreign exchange rate used (expressed on the basis of one unit of foreign currency to Ringgit Malaysia equivalent) for the translation of the foreign currency balances at the balance sheet date is as follows: 2007 2006 RM RM Thai Baht 0.100 0.095 49. PRIOR YEAR ADJUSTMENT The prior year adjustment relates to an overstatement of the gain on the disposal of investment properties amounted to RM3,732,478 in previous financial years. The financial effect of such adjustment has been accounted for retrospectively as a prior year adjustment in the financial statements. The effects of the prior year adjustment on the comparative figures are as follows: THE GROUP As As Previously Restated Reported RM RM Balance Sheet (Extract): Investment properties 6,867,925 10,600,403* Retained profits 21,680,691 25,413,169 * - After incorporating certain reclassifications as detailed in Note 52 to the financial statements.
  • 100.
    98 NOTES TO FINANCIAL STATEMENTS FOR THE FINANCIAL YEAR ENDED 31 MARCH 2007 50. FAIR VALUES OF FINANCIAL INSTRUMENTS Fair value is defined as the amount at which the financial instrument could be exchanged in a current transaction between knowledgeable willing parties in an arm’s length transaction, other than in a forced sale or liquidation. The following methods and assumptions are used to estimate the fair value of each class of financial instruments: (i) Bank balances and other liquid funds and short term receivables The carrying amounts approximated their fair values due to the relatively short term maturity of these instruments. (ii) Quoted and unquoted investments The fair values of quoted investments are estimated based on quoted market prices for these investments. For unquoted investments, it is not practicable to determine the fair values because of the lack of quoted market prices and the assumptions used in valuation models to value these investments cannot be reasonably determined. (iii) Short-term borrowings and other current liabilities The carrying amounts approximated their fair values because of the short period to maturity of these instruments. (iv) Long-term bank loans The carrying amounts approximated their fair values as these instruments bear interest at variable rates. (v) Hire purchase obligations The fair value of hire purchase obligations is determined by discounting the relevant cash flow using current interest rates for similar instruments at the balance sheet date. (vi) Contingent liabilities The nominal amount and net fair value of financial instruments not recognised in the balance sheets of the Company are as follows: 2007 2006 Nominal Net Nominal Net Amount Fair Value Amount Fair Value RM RM RM RM Corporate guarantees 37,556,180 * 24,330,673 * * - The fair value of contingent liabilities is expected to be minimal as the subsidiaries are expected to be able to repay the banking facilities.
  • 101.
    99 NOTES TO FINANCIAL STATEMENTS FOR THE FINANCIAL YEAR ENDED 31 MARCH 2007 51. SIGNIFICANT EVENTS DURING THE FINANCIAL YEAR The following are the significant events during the financial year: (a) On 13 October 2006, the Company acquired and subscribed for 115,000 ordinary shares of 100 Bahts each, of which 25 Bahts were paid-up for each share, representing 50% of the additional issued and paid-up ordinary share capital of Tri-Development Co., Ltd. for a total cash consideration of RM288,909; (b) On 16 March 2007, a wholly owned subsidiary of the Company, Siah Brothers Industries Sdn. Bhd. acquired: (i) 490,000 ordinary shares of RM1 each representing 49% of the issued and paid-up share capital of Masahmura Sdn. Bhd for a cash consideration of RM98,000; (ii) 78,400 ordinary shares of RM1 each representing 49% of the issued and paid-up share capital of Masahmura Sales and Service Sdn. Bhd for a cash consideration of RM7,840; and (c) On 28 March 2007, the Company acquired 51,000 ordinary shares of RM1 each representing 51% of the issued and paid-up share capital of Kiara Amalan Sdn. Bhd. for a cash consideration of RM51,000. 52. COMPARATIVE FIGURES The following comparative figures have been reclassified to confirm with the presentation of the current financial year: THE GROUP As As Previously Restated Reported RM RM Balance Sheets (extract): Property, plant and equipment 8,242,610 34,771,188 Investment properties 10,600,403* 71,162,500 Land held for property development 87,090,675 - Income Statements (extract): Share of profits of associates 103,008 266,591 Income tax expense (321,740) (485,323) Cash Flow Statements (extract): Purchase of property, plant and equipment 194,106 318,295 Payment of land held for property development 466,545 - Incidental expenses on investment property - 342,356
  • 102.
    100 GROUP PROPERTIES AS AT 31 MARCH 2007 Location Tenure/ (Age of Land Area/ Net Book Date of building or (Built-Up Value As At Acquisition */ date of expiry) Area) 31. 03. 2007 Description Revaluation Sq. Ft. (RM) 422, 422A-C, Freehold 2,102/ 426,750 4-storey 29/03/2000 Jalan Pahang, (32 years) (6,404) shophouse 53000 Kuala Lumpur. for rental 74, 74A-E, Freehold 5,513/ 3,739,156 6 I/2-storey 28/03/2000 Wisma Siah Brothers, (27-29 years) (38,238) commercial Jalan Pahang, 53000 building for Kuala Lumpur. office headquarters and for rental 4 units at Freehold (7,702) 2,695,700 Condominium 27/03/2000 Intan Kenny (12 years) units for sale Condominium and for rental Unit no. 31-0-2, 31-0-3, 31-1-1 & 31-1-2 Intan Kenny Condominium, Persiaran Bukit Tunku, 50480 Kuala Lumpur. GM 2414, Freehold 8,902 483,523 Vacant land 28/03/2000 Lot No. 9332, Mukim Batu, (11 years) for future Daerah and Negeri development Wilayah Persekutuan. P.T. 8995, 8997, Leasehold 683,762 473,197 Vacant land 28/03/2000 9006, 9077, Mukim Batu, expiring for future Daerah and Negeri on development Wilayah Persekutuan. 22/4/2086 P.T. 42031, 42042-42044, Freehold 1,220,939 1,443,227 Vacant land 16/12/1993* 42047-42048, 42052-42056, for future Mukim Kuala Kuantan, development District of Kuantan, Pahang Darul Makmur. SBC CORPORATION BERHAD
  • 103.
    101 GROUP PROPERTIES AS AT 31 MARCH 2007 Location Tenure/ (Age of Land Area/ Net Book Date of building or (Built-Up Value As At Acquisition */ date of expiry) Area) 31. 03. 2007 Description Revaluation Sq. Ft. (RM) P.T. 42045-42046 Freehold 199,769 302,696 Vacant land 16/12/1993* Mukim Kuala Kuantan, for future District of Kuantan, development Pahang Darul Makmur. P.T. 42050, Freehold 245,387 728,597 Land currently 16/12/1993* Mukim Kuala Kuantan, under District of Kuantan, development Pahang Darul Makmur. P.T. 42029, Freehold 49,052 156,321 Vacant land 30/03/2000 Mukim Kuala Kuantan for future District of Kuantan development Pahang Darul Makmur. P.T. 9076 & 9005, Leasehold 519,164 18,150,000 Vacant land 28/03/2000 Mukim Batu, expiring on for future Daerah and Negeri 22/4/2086 development Wilayah Persekutuan. Part of CT No. 10166 for Freehold 1,132,637 13,510,000 Vacant land 05/04/1999* Lot No. 2398 for future Mukim of Batang Kali, development District of Ulu Selangor, Selangor Darul Ehsan. Lot 2 (TL017546495) Leasehold 232,163 9,942,632 Vacant land 30/04/2002* Signal Hill, expiring on for future Tanjung Lipat, 31/12/2093 development District of Kota Kinabalu, State of Sabah. SBC CORPORATION BERHAD
  • 104.
    102 GROUP PROPERTIES AS AT 31 MARCH 2007 Location Tenure/ (Age of Land Area/ Net Book Date of building or (Built-Up Value As At Acquisition */ date of expiry) Area) 31. 03. 2007 Description Revaluation Sq. Ft. (RM) Lot 3 (TL017546486) Leasehold 195,139 29,500,000 Vacant land 30/04/2002* Signal Hill, expiring on for future Tanjung Lipat, 31/12/2093 development District of Kota Kinabalu, of hotel State of Sabah. Lot 4 (TL017546511) Leasehold 96,263 4,123,169 Land currently 30/04/2002* Signal Hill, expiring on under Tanjung Lipat, 31/12/2093 development District of Kota Kinabalu, State of Sabah. H.S.(D) No. 7727, Lot 438, Freehold 48,846 732,690 Vacant land 24/08/1998* Mukim of Serendah, for future Ulu Selangor, development Selangor Darul Ehsan. Part of CT No. 10140 for Freehold 1,306,890 11,100,000 Vacant land 16/04/2004* Lot No. 2396 for future Mukim of Batang Kali, development District of Ulu Selangor, Selangor Darul Ehsan. Part of CT No. 10166 for Freehold 1,045,512 11,500,000 Vacant land 16/04/2004* Lot No. 2398 for future Mukim of Batang Kali, development District of Ulu Selangor, Selangor Darul Ehsan. SBC CORPORATION BERHAD
  • 105.
    103 GROUP PROPERTIES AS AT 31 MARCH 2007 Location Tenure/ (Age of Land Area/ Net Book Date of building or (Built-Up Value As At Acquisition */ date of expiry) Area) 31. 03. 2007 Description Revaluation Sq. Ft. (RM) HS(M) 2220 PT 6726, Freehold 65,746 5,467,000 Land currently 16/04/2004* HS(M) 2221 PT 6727, under HS(M) 2222 PT 6728, development HS(M) 2223 PT 6729, HS(M) 2224 PT 6730, HS(M) 2225 PT 6731, HS(M) 2226 PT 6732, HS(M) 2227 PT 6733, HS(M) 2228 PT 6734, HS(M) 2229 PT 6735, HS(M) 2232 PT 6737, Mukim of Setapak, District of State of Wilayah Persekutuan. Undivided 2,725/4, 125, Freehold 169,460 4,112,933 Compulsory 16/04/2004* share in Geran 40871, acquisition Lot 10244, Mukim of Batu, District of Gombak, Selangor Darul Ehsan. HS(M) 1622 PT 2186 Leasehold 236,983 829,000 Vacant land 16/04/2004* Pekan Ulu Yam Lama, expiring on for future Mukim of Hulu Yam, 16/05/2055 development District of Hulu Selangor, Selangor Darul Ehsan. GM 1216 Lot No. 1589 and Freehold 79,023 3,000,000 Vacant land 16/04/2004* GM 1217 Lot No. 1590, for future Mukim of Petaling, development District of State of Wilayah Persekutuan. SBC CORPORATION BERHAD
  • 106.
    104 SHAREHOLDERS’ INFORMATION AS AT 31 JULY 2007 Authorised Shares Capital : RM200,000,000 Issued and Fully Paid Up Capital : RM82,435,000 Class of Shares : Ordinary shares of RM1 each fully paid Voting Right : 1 vote per ordinary share DISTRIBUTION SCHEDULE No. of % of No. of % of Shareholding Category Shareholders Shareholders Shares Issued Capital 1 - 99 266 7.24 9,232 0.01 100 - 1,000 1,031 28.05 862,379 1.05 1,001 - 10,000 1,995 54.29 7,324,237 8.88 10,001 - 100,000 334 9.09 9,419,723 11.43 100,001 - 4,121,749 44 1.20 25,477,906 30.91 4,121,750 and above 5 0.13 39,341,523 47.72 Total 3,675 100.00 82,435,000 100.00 THIRTY LARGEST SHAREHOLDERS (As per Record of Depositors) Name of Shareholders No. of Shares Held % of Issued Capital 1. LOM Holdings Sdn Bhd 14,317,500 17.37 2. Amanah Raya Nominees (Tempatan) Sdn Bhd 8,542,000 10.36 - Skim Amanah Saham Bumiputera 3. Permodalan Nasional Berhad 6,867,000 8.33 4. Evergreen Legacy Sdn Bhd 5,181,023 6.28 5. Amsec Nominees (Tempatan) Sdn Bhd 4,434,000 5.38 - Pledged Securities Account for Sia Teong Heng 6. Meer Sadik Bin Habib Mohamed 3,780,528 4.59 7. DB (Malaysia) Nominee (Asing) Sdn Bhd 2,170,400 2.63 - Deutsche Bank AG Singapore PBD for Penfold Holdings Limited 8. Mayban Securities Nominees (Tempatan) Sdn. Bhd. 2,000,000 2.43 - Pledged Securities Account for Ong Huey Peng (REM 650) 9. RHB Capital Nominees (Tempatan) Sdn Bhd 1,480,800 1.80 - Pledged Securities Account for Sia Kwee Mow @ Sia Hok Chai (STH 981069) 10. Mun Oi @ Mun Oi Lin 1,473,800 1.79 SBC CORPORATION BERHAD
  • 107.
    105 SHAREHOLDERS’ INFORMATION AS AT 31 JULY 2007 THIRTY LARGEST SHAREHOLDERS (As per Record of Depositors) (cont’d) Name of Shareholders No. of Shares Held % of Issued Capital 11. Choong Sake Mee 1,235,200 1.50 12. Southwark Limited 1,191,300 1.44 13. Nican Asia Limited 1,106,478 1.34 14. Southwark Limited 1,101,800 1.34 15. Poo Choo @ Ong Poo Choi 1,058,000 1.28 16. Siah Teong Teck 880,830 1.07 17. Siah Teong Woei 877,711 1.06 18. Siah Chong Hock 722,000 0.88 19. Wong Chee Choon 536,800 0.65 20. Chan Wan Moi 498,700 0.60 21. Penfold Holdings Limited 400,000 0.48 22. Sin Len Moi 363,100 0.44 23. Siah Teong Yin 328,723 0.40 24. United Overseas Nominees (Tempatan) Sdn Bhd 307,723 0.37 - Pledged Securities Account for Siah Teong Chein (MKL) 25. Siah Chong Ong 303,000 0.37 26. ABB Nominee (Tempatan) Sdn. Bhd. 277,000 0.34 - Pledged Securities Account for Siow Sing Heng 27. Sia Tzu Lung 230,092 0.28 28. Loo Ah Luan 205,200 0.25 29. Chew Siew Ying 199,000 0.24 30. Sia Poh Choo @ Sia Swee Choo 179,700 0.22 TOTAL 62,249,408 75.51 The thirty largest shareholders refer to the thirty securities account holders having the largest number of securities according to the Record of Depositors (without aggregating the securities from different securities accounts belonging to the same depositor). SBC CORPORATION BERHAD
  • 108.
    106 SHAREHOLDERS’ INFORMATION AS AT 31 JULY 2007 DIRECTORS’ SHAREHOLDINGS (As per Register of Directors’ Shareholdings) Direct Interest Indirect Interest Name of Directors Shareholdings % Shareholdings % Sia Kwee Mow @ Sia Hok Chai 1,480,800(a) 1.80 19,498,523(b) 23.65 Sia Teong Heng 4,677,992(c) 5.67 19,498,523(b) 23.65 Mun Chong Shing @ Mun Chong Tian 21,782 0.03 - - Dato’ Lim Phaik Gan - - - - Dato’ Dr. Norraesah Bt. Haji Mohamad - - - - Dato’ Zainol Abidin Bin Haji A. Hamid - - - - Ahmad Fizal Bin Othman - - - - Notes: (a) 1,480,800 shares are held in bare trust by RHB Capital Nominees (Tempatan) Sdn. Bhd. (b) Deemed interest by virtue of his shareholding in LOM Holdings Sdn. Bhd. (14,317,500 shares) and Evergreen Legacy Sdn. Bhd. (5,181,023 shares). (c) 4,434,000 shares are held in bare trust by Amsec Nominees (Tempatan) Sdn. Bhd. SBC CORPORATION BERHAD
  • 109.
    107 SHAREHOLDERS’ INFORMATION AS AT 31 JULY 2007 SUBSTANTIAL SHAREHOLDERS (excluding bare trustees) (As per Register of Substantial Shareholders) No. of shares held or % of beneficially interested in Issued Capital Name of Substantial Shareholders Direct Indirect Direct Indirect Pemegang Amanah Raya Malaysia 8,542,000 - 10.36 - - Skim Amanah Saham Bumiputera Sia Kwee Mow @ Sia Hok Chai 1,480,800(a) 19,498,523(b) 1.80 23.65 Sia Teong Heng 4,677,992(c) 19,498,523(b) 5.67 23.65 LOM Holdings Sdn. Bhd. 14,317,500 5,181,023(d) 17.37 6.28 Evergreen Legacy Sdn. Bhd. 5,181,023 - 6.28 - Permodalan Nasional Berhad 6,867,000 - 8.33 - Yayasan Pelaburan Bumiputra - 6,867,000(e) - 8.33 Notes: (a) 1,480,800 shares are held in bare trust by RHB Capital Nominees (Tempatan) Sdn. Bhd. (b) Deemed interest by virtue of his shareholding in LOM Holdings Sdn. Bhd. (14,317,500 shares) and Evergreen Legacy Sdn. Bhd. (5,181,023 shares) (c) 4,434,000 shares are held in bare trust by Amsec Nominees (Tempatan) Sdn. Bhd. (d) Deemed interest by virtue of its shareholding in Evergreen Legacy Sdn. Bhd. (e) Deemed interest by virtue of its shareholding in Permodalan Nasional Berhad SBC CORPORATION BERHAD
  • 110.
    108 NOTICE OF ANNUAL GENERAL MEETING NOTICE IS HEREBY GIVEN that the Seventeenth Annual General Meeting of SBC Corporation Berhad will be held at the Ground Floor, Wisma Siah Brothers, 74, Jalan Pahang, 53000 Kuala Lumpur on Thursday, 27 September, 2007 at 11.00 a.m. to transact the following business: AGENDA 1. To receive and adopt the Directors’ Report and the Audited Financial Statements for the Resolution 1 year ended 31 March 2007 together with the Auditors’ Report thereon. 2. To declare a first and final dividend of 1% less 27% income tax for the year ended Resolution 2 31 March 2007. 3. To approve the payment of Directors’ fees. Resolution 3 4. To re-appoint the following Directors pursuant to Section 129(6) of the Companies Act, 1965. (a) YBhg. Dato’ Lim Phaik Gan Resolution 4 (b) Mr. Sia Kwee Mow @ Sia Hok Chai Resolution 5 (c) Mr. Mun Chong Shing @ Mun Chong Tian Resolution 6 5. To re-elect En. Ahmad Fizal Bin Othman as a Director retiring by rotation pursuant to Resolution 7 Article 77 of the Articles of Association of the Company. 6. To re-appoint Messrs. Horwath as Auditors of the Company and to authorise the Directors Resolution 8 to fix their remuneration. SBC CORPORATION BERHAD
  • 111.
    109 NOTICE OF ANNUAL GENERAL MEETING 7. As Special Business, to consider and, if thought fit, to pass the following Resolutions: (A) ORDINARY RESOLUTION - AUTHORITY TO DIRECTORS TO ALLOT AND ISSUE SHARES “THAT subject always to the Companies Act, 1965, the Articles of Association of the Resolution 9 Company and the approval from the Bursa Malaysia Securities Berhad and other governmental/regulatory bodies, where such approval shall be necessary, the Directors be and are hereby authorised pursuant to Section 132D of the Companies Act, 1965, to allot and issue shares in the Company, at any time and upon such terms and conditions and for such purposes as they may in their absolute discretion deem fit, provided that the aggregate number of shares issued pursuant to this resolution does not exceed ten per cent (10%) of the issued capital of the Company for the time being and that such authority shall continue in force until the conclusion of the next Annual General Meeting of the Company.” (B) SPECIAL RESOLUTION - PROPOSED AMENDMENTS TO THE ARTICLES OF ASSOCIATION “THAT the Proposed Amendments to the Articles of Association of the Company as Resolution 10 set out in Appendix 1 to the Annual Report for year 2007 be and are hereby approved and adopted. THAT the Directors and the Secretary of the Company be and are hereby authorised to carry out all the necessary formalities in effecting the Proposed Amendments to the Articles of Association as set out in Appendix 1 to the Annual Report for year 2007. AND THAT the Directors of the Company be and are hereby authorised to assent to any condition, modification, variation and/or amendment as may be required by Bursa Malaysia Securities Berhad.” 8. To consider any other business for which due notice shall have been given. SBC CORPORATION BERHAD
  • 112.
    110 NOTICE OF DIVIDEND PAYMENT NOTICE IS HEREBY GIVEN that subject to the approval of the shareholders at the Seventeenth Annual General Meeting of the Company, the first and final dividend of 1% less 27% income tax for the year ended 31 March 2007 will be paid on 31 October 2007 to Depositors registered in the Record of Depositors on 18 October 2007. A Depositor shall qualify for entitlement only in respect of: a) shares transferred into the Depositor’s Securities Account before 4.00 p.m. on 18 October 2007 in respect of ordinary transfers; and b) shares bought on the Bursa Malaysia Securities Berhad on a cum entitlement basis according to the Rules of the Bursa Malaysia Securities Berhad. By Order of the Board CHONG FOOK SIN KAN CHEE JING Company Secretaries Kuala Lumpur 5 September 2007 Notes: 1) Proxy A member entitled to attend and vote at the Meeting is entitled to appoint a proxy to attend and vote instead of him. Where a member appoints more than one (1) proxy, the appointment shall be invalid unless he specifies the proportions of his holdings to be represented by each proxy. To be valid, the proxy form duly completed must be deposited at the Registered Office of the Company not less than forty-eight (48) hours before the time for holding the meeting. If the appointor is a corporation, this form must be executed under its common seal or under the hand of its attorney. 2) Resolution 9 The Company is actively pursuing business opportunities in prospective areas so as to broaden the operating base and earnings potential of the Company. Such expansion plans may require the issue of new shares not exceeding 10 per cent (10%) of the Company’s issued share capital. With the passing of the resolution by the shareholders of the Company at the forthcoming Annual General Meeting, the Directors would avoid delay and cost of convening further general meetings to approve the issue of shares for such purposes. 3) Resolution 10 This resolution is to bring the Articles of Association of the Company to be consistent with the new provisions under Chapter 7 of the Listing Requirements of Bursa Malaysia Securities Berhad and any prevailing laws, rules, regulations, orders, guidelines or requirements of the relevant authorities. STATEMENT ACCOMPANYING NOTICE OF ANNUAL GENERAL MEETING PURSUANT TO PARAGRAPH 8.28 (2) OF THE LISTING REQUIREMENTS OF BURSA MALAYSIA SECURITIES BERHAD (1) The following are the Directors standing for re-appointment or re-election at the Seventeenth Annual General Meeting: (i) Re-appointment of the following Directors pursuant to Section 129(6) of the Companies Act, 1965: (a) YBhg. Dato’ Lim Phaik Gan (b) Mr. Sia Kwee Mow @ Sia Hok Chai (c) Mr. Mun Chong Shing @ Mun Chong Tian (ii) Re-election of En. Ahmad Fizal bin Othman as a Director pursuant to Article 77 of the Articles of Association of the Company. (2) The profile of Directors standing for re-appointment or re-election as mentioned in paragraph 1 above at the Seventeenth Annual General Meeting are set out in page 4 to 11 of this Annual Report. SBC CORPORATION BERHAD
  • 113.
    111 APPENDIX 1 PROPOSED AMENDMENTS TO THE ARTICLES OF ASSOCIATION In compliance with the recent enhancements issued by Bursa Malaysia Securities Berhad amending certain provisions of the Listing Requirements, the Company proposes to implement the following amendments to the Articles of Association of the Company as highlighted in bold below under the column “Amended Articles”: Article No. Existing Articles Amended Articles Article 2 Approved Market Place - A stock exchange Deleted which is specified to be an approved market place in the Securities Industry (Central Depositories) (Exemption) (No. 2) Order, 1998. Central Depository - Malaysian Central Depository - Bursa Malaysia Depository Depository Sdn. Bhd. (165570-W) Sdn. Bhd. Depositor - A holder of securities account Depositor - A holder of securities account established by the Depository the Exchange - Kuala Lumpur Stock Exchange the Exchange - Bursa Malaysia Securities (30632-P) Berhad Member - Any person/persons for the time Member - Any person/persons for the being holding shares in the Company and time being holding shares in the Company whose names appear in the register of and whose names appear in the register Members (except the Malaysian Central of Members (except the Bursa Malaysia Depository Nominees Sdn. Bhd.) including Depository Nominees Sdn. Bhd.) including the depositors whose names appear on the the depositors whose names appear on the Record of Depositors. Record of Depositors.
  • 114.
    112 Article No. Existing Articles Amended Articles Article 7 Subject to the Act, any preference shares may Subject to the Act, any preference shares may with the sanction of an Ordinary Resolution, with the sanction of an Ordinary Resolution, be issued on the terms that they are, or at be issued on the terms that they are, or at option of the Company are liable, to be option of the Company are liable, to be redeemed but the total nominal value of the redeemed but the total nominal value issued preference shares shall not exceed the of the issued preference shares shall total nominal value of the issued ordinary not exceed the total nominal value of shares at any time and the Company shall not the issued ordinary shares at any time issue preference shares ranking in priority and the Company shall not issue preference above preference shares already issued, but shares ranking in priority above preference may issue preference shares ranking equally shares already issued, but may issue therewith. Preference shareholders shall preference shares ranking equally therewith. have the same rights as ordinary shareholders Preference shareholders shall have the as regards receiving notices, reports, audited same rights as ordinary shareholders as accounts, and attending general meetings regards receiving notices, reports, audited of the Company. Preference shareholders accounts, and attending general meetings shall be entitled to return of capital in of the Company. Preference shareholders preference to holders of ordinary shares shall be entitled to return of capital when the Company is wound up. Preference in preference to holders of ordinary shareholders shall also have the right to vote shares when the Company is wound up. at any meeting convened for each of the Preference shareholders shall also have the following purposes:- right to vote at any meeting convened for each of the following purposes:- (a) when the dividend or part of the dividend on the preference shares is in (a) when the dividend or part of the arrears for more than six (6) months; dividend on the preference shares is in arrears for more than six (6) months; (b) on a proposal to reduce the Company’s share capital; (b) on a proposal to reduce the Company’s share capital; (c) on a proposal for the disposal of the whole of the Company’s property, (c) on a proposal for the disposal of the business and undertaking; whole of the Company’s property, business and undertaking; (d) on a proposal that affects rights and privileges attaching to the preference (d) on a proposal that affects rights and shares; privileges attaching to the preference shares; (e) on a proposal to wind up the Company; and (e) on a proposal to wind up the Company; and (f) during the winding up of the Company. (f) during the winding up of the Company.
  • 115.
    113 Article No. Existing Articles Amended Articles Article 28 (1) Where- Where- (a) the securities of the Company are (a) the securities of the Company are listed listed on an Approved Market Place; on another stock exchange; and and (b) the Company is exempted from (b) the Company is exempted from compliance with section 14 of the compliance with section 14 of the Central Depositories Act, or section Central Depositories Act, or section 29 of the Securities Industry (Central 29 of the Securities Industry (Central Depositories) (Amendment) Act, Depositories) (Amendment) Act, 1998, 1998, as the case may be, under as the case may be, under the Rules in the Rules in the respect of such the respect of such securities, securities, the Company shall, upon request of such the Company shall, upon request of such securities holder, permit a transmission of securities holder, permit a transmission of securities held by such securities holder securities held by such securities holder from from the register of holders maintained the register of holders maintained by the by the registrar of the Company in the registrar of the Company in the jurisdiction jurisdiction of the Approved Market of the other stock exchange, to the register Place (hereinafter referred to as “the of holders maintained by the registrar of the Foreign Register”), to the register of Company in Malaysia and vice versa subject holders maintained by the registrar of to the following conditions:- the Company in Malaysia (hereinafter referred to as “the Malaysian Register”) (i) there shall be no change in the ownership subject to the following conditions:- of such securities; and (i) there shall be no change in the (ii) the transmission shall be executed by ownership of such securities; and causing such securities to be credited directly into the securities account of (ii) the transmission shall be executed such securities holder. by causing such securities to be credited directly into the securities account of such securities holder. (2) Where requirements of subparagraphs Deleted (1)(a) and (b) above are fulfilled, the Company shall not allow any transmission of securities from the Malaysian Register into the Foreign Register.
  • 116.
    114 Article No. Existing Articles Amended Articles Article 54 Every notice convening meetings shall specify Every notice convening meetings shall specify the place, the day and the hour of the the place, the day and the hour of the meeting and shall be given to all members at meeting and shall be given to all members at least fourteen (14) days before the meeting least fourteen (14) days before the meeting or at least twenty one (21) days before the or at least twenty one (21) days before the meeting where any special resolution is to meeting where any special resolution is to be proposed or where it is an annual general be proposed or where it is an annual general meeting. Any notice of a meeting called to meeting. Any notice of a meeting called to consider special business shall specify the consider special business shall specify the general nature of such business and shall also general nature of such business and shall also be accompanied by a statement regarding the be accompanied by a statement regarding the effect of any proposed resolution in respect effect of any proposed resolution in respect of such special business. At least fourteen of such special business. At least fourteen (14) days’ notice or twenty one (21) days’ (14) days’ notice or twenty one (21) days’ notice in case where any special resolution is notice in case where any special resolution is proposed or where it is the annual general proposed or where it is the annual general meeting, of every such meeting shall be meeting, of every such meeting shall be given given by advertisement in the daily press and by advertisement in the daily press at least in writing to the Exchange and each stock one (1) nationally circulated Bahasa exchange, if any, upon which the Company Malaysia or English daily newspaper and is listed. in writing to the Exchange and each stock exchange, if any, upon which the Company is listed. Article 55(2) The Company shall also request the Central The Company shall also request the Depository Depository in accordance with the Rules to in accordance with the Rules to issue a Record issue a Record of Depositors as at a date of Depositors as at a date the latest date not less than three (3) market days before which is reasonably practicable which the general meeting (hereinafter referred shall in any event be not less than three to as “the General Meeting Record of (3) market days before the general meeting Depositors”). (hereinafter referred to as “the General Meeting Record of Depositors”). Insert new No provision On a resolution to be decided on a show Article 69A of hands, a holder of ordinary shares or preference shares who is personally present and entitled to vote shall be entitled to one (1) vote.
  • 117.
    115 Article No. Existing Articles Amended Articles Article 76 All the Directors of the Company shall All the Directors of the Company shall be natural persons and until otherwise be natural persons and Unless and until determined by general meeting, the number otherwise determined by general meeting, of Directors shall be not less than two (2) or the number of Directors shall be not less more than eleven (11) but in the event of any than two (2) or more than eleven (11) but casual vacancy, the remaining Directors may in the event of any casual vacancy, the continue to act notwithstanding any vacancy remaining Directors may continue to act in their body, but if and so long as their notwithstanding any vacancy in their body, number is reduced to below the minimum but if and so long as their number is reduced number fixed by or pursuant to these Articles to below the minimum number fixed by or as the necessary quorum of Directors, the pursuant to these Articles as the necessary remaining Directors or Director except in quorum of Directors, the remaining Directors an emergency may act only for the purpose or Director except in an emergency may of increasing the number of Directors to act only for the purpose of increasing the such minimum number or of summoning a number of Directors to such minimum general meeting of the Company, but for no number or of summoning a general meeting other purpose. of the Company, but for no other purpose.
  • 118.
    116 Article No. Existing Articles Amended Articles Article 88 The office of a director shall become vacant (1) No person shall be appointed if the director:- or allowed to act as a director of the Company or be involved (a) becomes bankrupt, has a Receiving whether directly or indirectly in Order in Bankruptcy made against him or the management of the Company, makes any arrangement or composition including acting in an advisory with his creditors generally; capacity in relation to the Company if he:- (b) becomes prohibited from being a Director by reason of any order made (a) has been convicted by a court of under the Act or contravenes section law, whether within Malaysia 130 of the Act; or elsewhere, of an offence in connection with the promotion, (c) ceases to be a Director by virtue of the formation or management of a Act; company; (d) becomes of unsound mind or a person (b) has been convicted by a court of whose person or estate is liable to be law, whether within Malaysia dealt with in any way under the law or elsewhere, of an offence, relating to mental disorder; involving fraud or dishonesty or where the conviction (e) resigns his office by notice in writing involved a finding that he acted to the Company and deposited at the fraudulently or dishonestly; or Office of the Company; (c) has been convicted by a court (f) is removed from his office of Director by of law of an offence under the resolution of the Company in general securities laws or the Act, meeting of which special notice has been given; or within a period of 5 years from the date of conviction or if sentenced (g) is absent from more than fifty per centum to imprisonment, from the date of (50%) of the total Board of Directors’ release from prison, as the case may meetings held during a financial year. be. (2) For the purpose of this Article, “securities laws” means the Securities Industry Act, 1983, the Securities Industry (Central Depositories) Act 1991, the Securities Commission Act 1993 and the Futures Industry Act 1993. (3) The office of a director shall become vacant if the director:-
  • 119.
    117 Article No. Existing Articles Amended Articles (a) becomes bankrupt, has a Receiving Order in Bankruptcy made against him or makes any arrangement or composition with his creditors generally during his terms of office; (b) becomes prohibited from being a director by reason of any order made under the Act or contravenes section 130 of the Act; (c) ceases to be a director by virtue of the Act; (d) becomes of unsound mind or a person whose person or estate is liable to be dealt with in any way under the law relating to mental disorder during his term of office; (e) resigns his office by notice in writing to the Company and deposited at the Office of the Company; (f) is removed from his office of Director by resolution of the Company in general meeting of which special notice has been given; (g) is absent from more than fifty per centum (50%) of the total Board of Directors’ meetings held during a financial year; or (h) is convicted by a court of law, whether within Malaysia or elsewhere, in relation to the offences set out in subparagraphs (1)(a), (b) or (c) above. (4) For the purposes of subparagraph 3(g) above, if a Director is appointed after the commencement of a financial year, then only the Board of Directors’ meetings held after his appointment will be taken into account.
  • 120.
    118 NOTES
  • 121.
    119 PROXY FORM I/We ___________________________________________________________________________________________________________________ of________________________________________________________________________________________________________ being a member/ members of SBC CORPORATION BERHAD do hereby appoint _________________________________________________ of _________________________________________________________________________________________________________________ or failing whom, ______________________________________________________________________________________________________ of _____________________________________________________________________________________________________________________ as my/our proxy to attend and vote for me/us and on my/our behalf at the Seventeenth Annual General Meeting of the Company to be held at the Ground Floor, Wisma Siah Brothers, 74, Jalan Pahang, 53000 Kuala Lumpur on Thursday, 27 September, 2007 at 11.00 a.m. and at any adjournment thereof in the manner indicated below: For Against Resolution 1 - Adoption of Reports and Audited Financial Statements Resolution 2 - Declaration of a first and final dividend Resolution 3 - Payment of Directors’ fees Resolution 4 - Re-appointment of Director : YBhg. Dato’ Lim Phaik Gan Resolution 5 - Re-appointment of Director : Mr. Sia Kwee Mow @ Sia Hok Chai Resolution 6 - Re-appointment of Director : Mr. Mun Chong Shing @ Mun Chong Tian Resolution 7 - Re-election of Director : En. Ahmad Fizal Bin Othman Resolution 8 - Re-appointment of Auditors Resolution 9 - Authority to Directors to allot and issue shares Resolution 10 - Proposed Amendments to the Articles of Association (Please indicate with an ‘X’ in the appropriate box against each resolution how you wish your proxy to vote. If no instruction is given, this form will be taken to authorise the proxy to vote at his/her discretion. Number of Shares held : ___________________________________________ Dated this _________ day of __________________ 2007 Signature of Member(s) : _____________________________________ Notes: A member entitled to attend and vote at the Meeting is entitled to appoint a proxy to attend and vote instead of him. To be valid, this form duly completed must be deposited at the Registered Office of the Company not less than forty-eight (48) hours before the time for holding the meeting. Where a member appoints more than one (1) proxy, the appointment shall be invalid unless he specifies the proportions of his holdings to be represented by each proxy. If the appointor is a corporation, this form must be executed under its common seal or under the hand of the attorney. SBC CORPORATION BERHAD
  • 122.
    FOLD THIS FLAPFOR SEALING STAMP The Company Secretaries SBC CORPORATION BERHAD (199310-P) Wisma Siah Brothers, 74A, Jalan Pahang, 53000 Kuala Lumpur. THEN FOLD HERE FIRST FOLD HERE