More Related Content
PPTX
PDF
PDF
PDF
MSC Malaysia Bumiputera Technopreneurs Dialogue PPS
PDF
Penang Technopreneur Dialogue & Web 2.0 Sharing Session (1feb08) PPT
PPS
Viewers also liked
PPT
What They Dont Teach You At Sloan PDF
PPT
TeoríA Y Medios De ComunicacióN I PPS
PPT
PPT
PPT
PPS
PPS
PPT
Anteproyecto Remodelación Servicio Técnico DeWalt PPS
PPT
PPT
Fundamentos HTML - Web 2.0 PPS
PPS
PDF
PDF
PPS
PDF
Employee Home Purchase Programs PPS
More from sabsma
PPT
PPTX
PPTX
PPTX
Ryan Proctor's POTW solution PPTX
PPTX
PPTX
PPT
POT
PPT
Senior topics euler's line PPS
Senior Topics Euler's line PPT
Topics exam 1 solutions october PPTX
PPS
PPT
PPT
C:\Fakepath\Algebra 1 Exam Solution PPT
PPT
PPT
PPT
Recently uploaded
PPTX
CodeMash 2026 - Optimizing Azure App Services PDF
Teaching Robots how to Read 1/2: AI Center & Classic Document Understanding (... PDF
What ONIX can do: Leveraging metadata to support the discoverability of First... PDF
Why Are Cloud Migration Services Essential for Modern Business Growth? PPTX
Single Cell Protein from Methane or Methanol - Process development research c... PPTX
SOFTWARE DEVELOPMENT PROCESS - INTRODUCTION PDF
Unlocking Gen AI Capabilities Within UiPath Document Understanding PPT
Database Management Systems: Basics, History, Data Models, etc. PDF
How the EU Ecolabel's Record Growth Creates ESG Opportunities for CRE PDF
Azure DevOps Managed Services: Driving Speed, Security, and Business Growth PDF
Agentic AI Roadmap 2026: Mastering Autonomous AI Workflows and Systems PPTX
A CIO’s Guide to Salesforce AI Architecture, Governance, and Implementation R... PDF
TopMate ES11 3-Wheel Electric Scooter: Comfortable, Stable Mobility for Every... PDF
5G Explained! A High Level Overview [Introduction] PDF
Skills to Pass the UiPath Agentic Automation Associate (UiAAA) Certification PPTX
Mastering SQL Server Replication: Types, Setup & Troubleshooting PPTX
Coded Agents – with UiPath SDK + LlamaIndex.pptx PDF
What Is AI LXP and Why Enterprises Are Adopting It.pdf PDF
How to Build a Crypto Wallet that Excels in 2026.pdf PDF
Transcript: What ONIX can do: Leveraging metadata to support the discoverabil... Analysis Exam January Revised
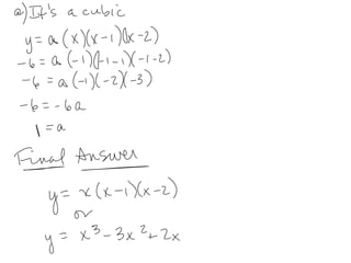
- 1.
- 2.
- 3.
- 4.
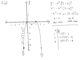
- 5.
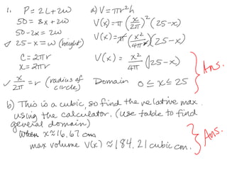
- 6.
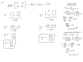
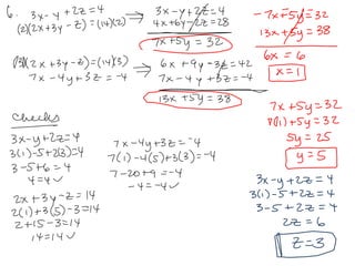
- 7.
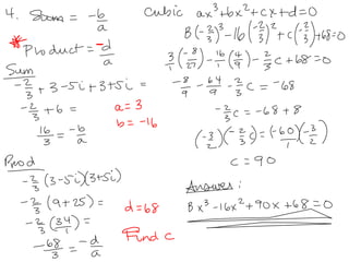
- 8.
- 9.
- 10.
- 11.
- 12.
- 13.