Download free for 30 days
Sign in
Upload
Language (EN)
Support
Business
Mobile
Social Media
Marketing
Technology
Art & Photos
Career
Design
Education
Presentations & Public Speaking
Government & Nonprofit
Healthcare
Internet
Law
Leadership & Management
Automotive
Engineering
Software
Recruiting & HR
Retail
Sales
Services
Science
Small Business & Entrepreneurship
Food
Environment
Economy & Finance
Data & Analytics
Investor Relations
Sports
Spiritual
News & Politics
Travel
Self Improvement
Real Estate
Entertainment & Humor
Health & Medicine
Devices & Hardware
Lifestyle
Change Language
Language
English
Español
Português
Français
Deutsche
Cancel
Save
EN
Uploaded by
Dongseo University
363 views
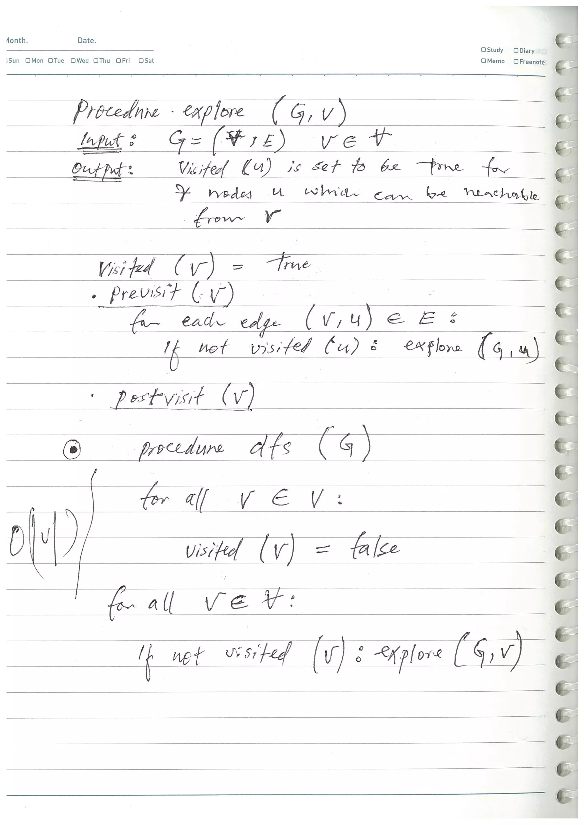
2014-1 computer algorithm w07 notes
Thanks to Ahmed Absi for the scripting.
Education
◦
Read more
0
Save
Share
Embed
Embed presentation
Download
Download to read offline
1
/ 16
2
/ 16
3
/ 16
4
/ 16
5
/ 16
6
/ 16
7
/ 16
8
/ 16
9
/ 16
10
/ 16
11
/ 16
12
/ 16
13
/ 16
14
/ 16
15
/ 16
16
/ 16
More Related Content
PDF
Oranjezicht City Farm - Meeting in the Barn 22 July 2012
by
kackermann
PPS
木製長橋
by
psjlew
PDF
服貿協議
by
psjlew
PPS
西安的唐遺址公園與唐文化
by
psjlew
PPT
Les PDi a l'aula
by
susana
PPS
鉛筆的啟示
by
懷寧浸信會-學青牧區
PPS
11.10.09.一位美籍華裔少年在中 國貧困地區的經歷(四川省最西南面) (治崇111008 n)
by
psjlew
PPS
Car art
by
psjlew
Oranjezicht City Farm - Meeting in the Barn 22 July 2012
by
kackermann
木製長橋
by
psjlew
服貿協議
by
psjlew
西安的唐遺址公園與唐文化
by
psjlew
Les PDi a l'aula
by
susana
鉛筆的啟示
by
懷寧浸信會-學青牧區
11.10.09.一位美籍華裔少年在中 國貧困地區的經歷(四川省最西南面) (治崇111008 n)
by
psjlew
Car art
by
psjlew
Viewers also liked
PPS
俄羅斯
by
psjlew
PPS
京沪高铁巡礼
by
psjlew
PPS
北京到拉薩
by
psjlew
PPS
觀尿識健康
by
psjlew
PDF
Untitled Presentation
by
Juan Julio Julian
PPS
復活的地下軍團 1-of-3 (秦始皇兵馬俑博物館)
by
psjlew
PPS
Fantastic photos
by
psjlew
PPS
4 enemies of the eyes
by
psjlew
PPS
潮漲威尼斯 Acqua alta in Venezia
by
psjlew
PPT
Bike prices in india
by
bikeprice inindia
PDF
15 overlooked reasons why you are not pregnant.
by
Kolawole Bisiriyu
PDF
U40@nagoya2
by
I tomoko
PPTX
Parcial micro
by
Zrtha Marhiana
PDF
Phys revb.72.184428
by
Juliana Fortunato
PPS
中國光鮮外表的悲哀
by
psjlew
PPTX
4th weekly news economic times
by
nitinmbacats
PPS
Teldap電子新聞工作坊0820
by
Carrie Lo
PPTX
Ip crammer presentation 2013
by
Anneke Weber
俄羅斯
by
psjlew
京沪高铁巡礼
by
psjlew
北京到拉薩
by
psjlew
觀尿識健康
by
psjlew
Untitled Presentation
by
Juan Julio Julian
復活的地下軍團 1-of-3 (秦始皇兵馬俑博物館)
by
psjlew
Fantastic photos
by
psjlew
4 enemies of the eyes
by
psjlew
潮漲威尼斯 Acqua alta in Venezia
by
psjlew
Bike prices in india
by
bikeprice inindia
15 overlooked reasons why you are not pregnant.
by
Kolawole Bisiriyu
U40@nagoya2
by
I tomoko
Parcial micro
by
Zrtha Marhiana
Phys revb.72.184428
by
Juliana Fortunato
中國光鮮外表的悲哀
by
psjlew
4th weekly news economic times
by
nitinmbacats
Teldap電子新聞工作坊0820
by
Carrie Lo
Ip crammer presentation 2013
by
Anneke Weber
More from Dongseo University
PDF
Linear Model (Summary of Chapter 3 of Machine Learning by Zhou Zhihua)
by
Dongseo University
PDF
Model Evaluation and Model Selection (Summary of Chapter 2 of Machine Learnin...
by
Dongseo University
PDF
Lecture_NaturalPolicyGradientsTRPOPPO.pdf
by
Dongseo University
PDF
Evolutionary Computation Lecture notes03
by
Dongseo University
PDF
Evolutionary Computation Lecture notes02
by
Dongseo University
PDF
Evolutionary Computation Lecture notes01
by
Dongseo University
PDF
Markov Chain Monte Carlo
by
Dongseo University
PDF
Simplex Lecture Notes
by
Dongseo University
PDF
Reinforcement Learning
by
Dongseo University
PDF
Median of Medians
by
Dongseo University
PDF
Average Linear Selection Algorithm
by
Dongseo University
PDF
Lower Bound of Comparison Sort
by
Dongseo University
PDF
Running Time of Building Binary Heap using Array
by
Dongseo University
PDF
Running Time of MergeSort
by
Dongseo University
PDF
Binary Trees
by
Dongseo University
PDF
Proof By Math Induction Example
by
Dongseo University
PDF
TRPO and PPO notes
by
Dongseo University
PDF
Estimating probability distributions
by
Dongseo University
PDF
2018-2 Machine Learning (Wasserstein GAN and BEGAN)
by
Dongseo University
PDF
2018-2 Machine Learning (Linear regression, Logistic regression)
by
Dongseo University
Linear Model (Summary of Chapter 3 of Machine Learning by Zhou Zhihua)
by
Dongseo University
Model Evaluation and Model Selection (Summary of Chapter 2 of Machine Learnin...
by
Dongseo University
Lecture_NaturalPolicyGradientsTRPOPPO.pdf
by
Dongseo University
Evolutionary Computation Lecture notes03
by
Dongseo University
Evolutionary Computation Lecture notes02
by
Dongseo University
Evolutionary Computation Lecture notes01
by
Dongseo University
Markov Chain Monte Carlo
by
Dongseo University
Simplex Lecture Notes
by
Dongseo University
Reinforcement Learning
by
Dongseo University
Median of Medians
by
Dongseo University
Average Linear Selection Algorithm
by
Dongseo University
Lower Bound of Comparison Sort
by
Dongseo University
Running Time of Building Binary Heap using Array
by
Dongseo University
Running Time of MergeSort
by
Dongseo University
Binary Trees
by
Dongseo University
Proof By Math Induction Example
by
Dongseo University
TRPO and PPO notes
by
Dongseo University
Estimating probability distributions
by
Dongseo University
2018-2 Machine Learning (Wasserstein GAN and BEGAN)
by
Dongseo University
2018-2 Machine Learning (Linear regression, Logistic regression)
by
Dongseo University
Recently uploaded
PPTX
Cultivation practice of Okra in Nepal.pptx
by
UmeshTimilsina1
PPTX
How to Manage Reservation Method in Odoo 18 Inventory
by
Celine George
PPTX
How to Manage Checkout Policy & Customer Portal in Odoo 18 Website
by
Celine George
PPTX
Math 8 Quarter 4 Week 4-SECONDARY DATA.pptx
by
shahanieabbat3
PPTX
How to Configure Dispatch Management System in Odoo 18 Inventory
by
Celine George
PDF
Chapter 05 Drugs Acting on the Central Nervous System: Anticonvulsant (Antiep...
by
SandeshSul
PDF
RAJAT ARORA SIR PHYSICAL EDUCATION NOTES ALL CHAPTERS .pdf
by
sumitkannoujiya74
PPTX
Math 8 Quarter 4 Week 3 PRIMARY DATA.pptx
by
shahanieabbat3
PPTX
GRADE 8 - QUARTER 4 TYPES AND PARTS OF LETTER.pptx
by
villariasjazminercai
PPTX
MEMORY &FORGETTING. Shilpa Hotakar.Psychology pptx
by
SHILPA HOTAKAR
PDF
Pharmaceutical Quality Assurance Unit 1 (BP606T)
by
Chetan Mali
PPTX
Chapter 1: Introduction to Strategic Management.pptx
by
FJ M
PPTX
A brief introduction to Minor vegetable crops.pptx
by
UmeshTimilsina1
PDF
Bones by Sadu Kassam (play) story ppt pdf
by
RonnieMaeBorres
PPTX
ENGLISH-7-Quarter-4-Week-3 Matatag .pptx
by
KimberlyJadeCuyos
PDF
PPT Daftar Bahan Kelas Bedah Kitab Matius Khotbah di Bukit
by
SABDA
PPTX
Biological source, chemical constituents, and therapeutic efficacy of the fol...
by
Sai Meer College of Pharmacy
PPTX
Plant fibres used as surgical dressings & Sutures – Surgical Catgut and Ligat...
by
Sai Meer College of Pharmacy
PPTX
How to Track Employee Skill Growth with Skills Evolution Report in Odoo 18
by
Celine George
PPTX
Problem and Solution (PowerPoint Game Template)
by
acpaulite
Cultivation practice of Okra in Nepal.pptx
by
UmeshTimilsina1
How to Manage Reservation Method in Odoo 18 Inventory
by
Celine George
How to Manage Checkout Policy & Customer Portal in Odoo 18 Website
by
Celine George
Math 8 Quarter 4 Week 4-SECONDARY DATA.pptx
by
shahanieabbat3
How to Configure Dispatch Management System in Odoo 18 Inventory
by
Celine George
Chapter 05 Drugs Acting on the Central Nervous System: Anticonvulsant (Antiep...
by
SandeshSul
RAJAT ARORA SIR PHYSICAL EDUCATION NOTES ALL CHAPTERS .pdf
by
sumitkannoujiya74
Math 8 Quarter 4 Week 3 PRIMARY DATA.pptx
by
shahanieabbat3
GRADE 8 - QUARTER 4 TYPES AND PARTS OF LETTER.pptx
by
villariasjazminercai
MEMORY &FORGETTING. Shilpa Hotakar.Psychology pptx
by
SHILPA HOTAKAR
Pharmaceutical Quality Assurance Unit 1 (BP606T)
by
Chetan Mali
Chapter 1: Introduction to Strategic Management.pptx
by
FJ M
A brief introduction to Minor vegetable crops.pptx
by
UmeshTimilsina1
Bones by Sadu Kassam (play) story ppt pdf
by
RonnieMaeBorres
ENGLISH-7-Quarter-4-Week-3 Matatag .pptx
by
KimberlyJadeCuyos
PPT Daftar Bahan Kelas Bedah Kitab Matius Khotbah di Bukit
by
SABDA
Biological source, chemical constituents, and therapeutic efficacy of the fol...
by
Sai Meer College of Pharmacy
Plant fibres used as surgical dressings & Sutures – Surgical Catgut and Ligat...
by
Sai Meer College of Pharmacy
How to Track Employee Skill Growth with Skills Evolution Report in Odoo 18
by
Celine George
Problem and Solution (PowerPoint Game Template)
by
acpaulite
Download