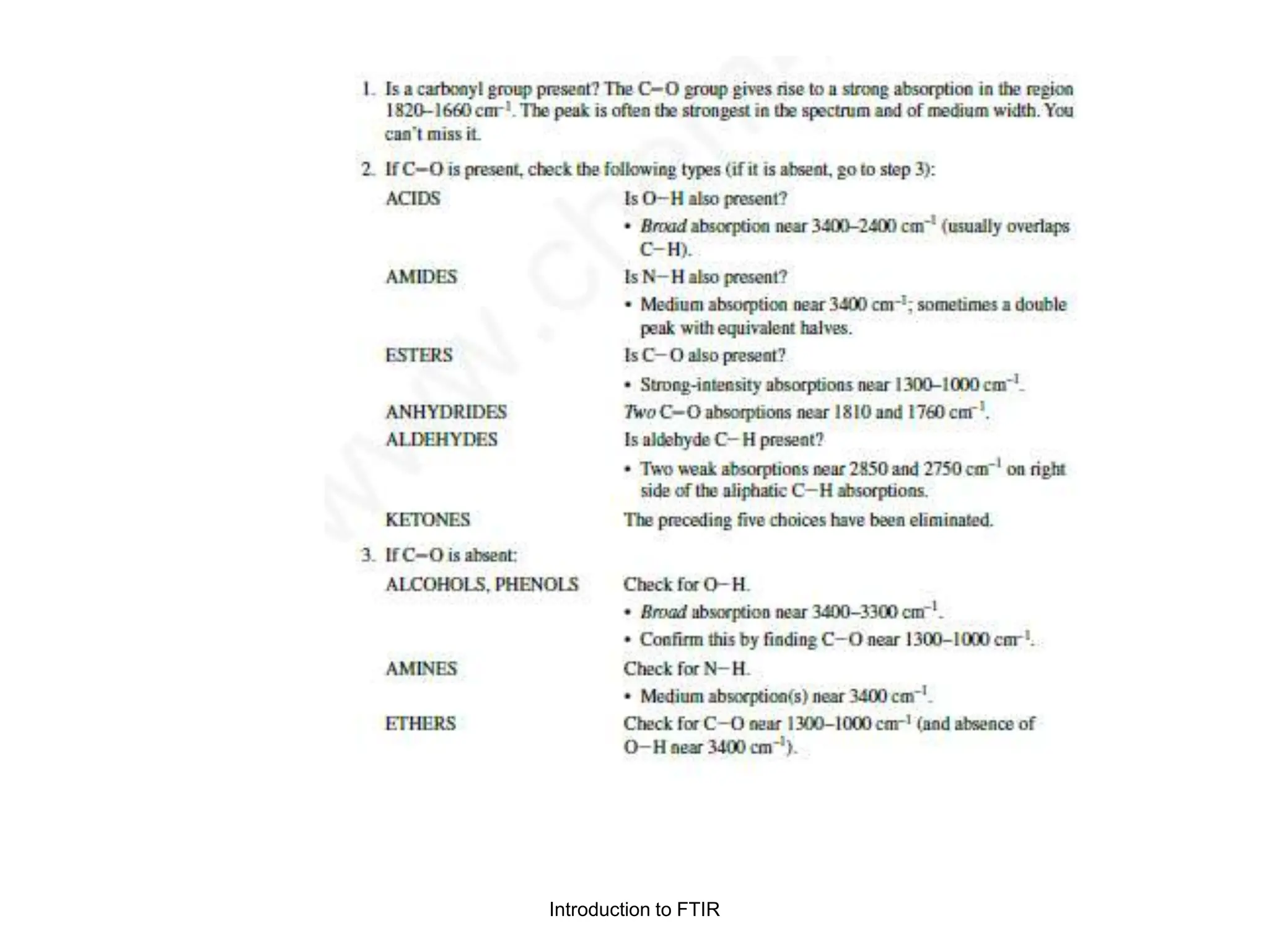
IR & FTIR spectroscopy
Interpretation of I.R. spectra in mid I.R. region (aliphatic and aromatic
compounds for simple compounds such as amines, alcohols, amides, nitriles,
ketones, aldehydes, esters, acids, nitro and anhydrides).
© Gasmet Technologies
Introduction to FTIR
Introduction to FTIR
Introduction to FTIR
Introduction
Infrared radiation lies between the visible and
microwave portions of the electromagnetic
spectrum.
Infrared waves have wavelengths longer than
visible and shorter than microwaves, and have
frequencies which are lower than visible and higher
than microwaves.
More common units are wavenumbers, or cm-1, the
reciprocal of the wavelength in centimeters
(104/mm = 4000-400 cm-1)
Wavenumbers are proportional to frequency and
energy
6
7
INTRODUCTION
• Infrared spectroscopy (IR) measures the bond
vibration frequencies in a molecule and is
used to determine the functional groups.
• The infrared region of the spectrum composes
of radiation with wave numbers ranging from
about 12,500 to 50cm-1 / wave lengths from
0.8 to 200µ.
• Infrared region lies between visible and
microwave region.
The infrared region constitutes 3 parts
a) The near IR (0.8 -2.5µm)(12,500-4000cm-1)
b) The middle IR (2.5 -15µm) (4000-667cm-1)
c) The far IR (15-200µm) (667-50cm-1)
 most of the analytical applications are
confined to the middle IR region because
absorption of organic molecules are high in
this region.
It gives sufficient information about the
structure of a compound.
IR Rays
Infrared (IR) is invisible radiant
1
Near: 0.75- 2.5
µm
Mid: 2.5- 15 µm
Far: 15-200 µm
• Infrared waves can be thought of as
heat, because they are given off by hot
objects, and you can feel them as warmth
on your skin.
• Infrared waves are also given off
by stars, lamps, flames and anything else that is warm
- including you.
Source of IR
1
1
• One cup contains cold water (Fig. 2. ), while the other
contains hot water (Fig. 1. ).
• In the visible light picture we cannot tell, just by looking,
which cup is holding cold water and which is holding hot
water.
• In the infrared image, we can clearly "see" the glow from the
hot water in the cup to the left and the dark due to colder
Fig. 1. A visible light picture of cups
Fig. 2. Infrared picture (right) of cu
If we had infrared eyes, we could tell if an object
was hot or cold without having to touch it.
Infrared cameras
• These cameras are very useful and have even helped save
people's lives.
• In the infrared, you can "see" in the dark.
• Even if the Sun is down and the lights are off, the world
around us still puts out some heat.
• The infrared picture shows deer in a forest during a dark night.
• We can clearly see the heat from deer, especially from areas
not covered with thick fur like the ears, face and legs.
• The trees and the ground put out less heat than the deer, but
can still be seen through an infrared camera.
1
A visible light picture
Infrared picture
The absorption of infra red radiation »
• Applied frequency = natural frequency of
vibration.(Quantized) increased amplitude
• Vibrational transitions which are accompanied
by a change in dipole moment of the molecule
are called infrared active transitions. Because
they absorbs the IR radiation.
Dipole Moment
+
—
not polar
A substance possesses a dipole moment
if its centers of positive and negative charge
do not coincide.
m = e x d
(expressed in Debye units)
—
+
Dipole Moment
polar
A substance possesses a dipole moment
if its centers of positive and negative charge
do not coincide.
m = e x d
(expressed in Debye units)
Molecular Dipole Moments
molecule must have polar bonds
necessary, but not sufficient
need to know molecular shape
because individual bond dipoles can cancel
O C O
d+
d- d-
Molecular Dipole Moments
O C O
Carbon dioxide has no dipole moment; m = 0 D
Figure 1.13
m = 1.62 D
m = 0 D
Carbon tetrachloride Dichloromethane
Resultant of these
two bond dipoles
is
Figure 1.13
m = 0 D
Carbon tetrachloride has no dipole
moment because all of the individual
bond dipoles cancel.
Resultant of these
two bond dipoles is
Resultant of these
two bond dipoles
is
Figure 1.13
m = 1.62 D
Resultant of these
two bond dipoles is
The individual bond dipoles do not
cancel in dichloromethane; it has
a dipole moment.
• H2 Cl2
Introduction to FTIR
• What happens when a sample absorbs UV/Vis energy?
Excitation of ground state electrons
(typically p and n electrons)
Eelectronic increases momentarily
• What happens when a sample absorbs IR energy?
Stretching and bending of bonds
(typically covalent bonds)
Evibration increases momentarily
IR
-O-H -O
(3500 cm-1)
—H
UV/Vis
p
p*
sample
p  p*
transition
(200 nm)
Matter/Energy Interactions
23
The IR Spectroscopic Process
1.The quantum mechanical energy levels observed in IR spectroscopy are
those of molecular vibration
2.We perceive this vibration as heat
3.When we say a covalent bond between two atoms is of a certain length,
we are citing an average because the bond behaves as if it were a
vibrating spring connecting the two atoms
4.For a simple diatomic molecule, this model is easy to visualize:
24
The IR Spectroscopic Process
6. As a covalent bond oscillates – due to the oscillation of the dipole of the
molecule – a varying electromagnetic field is produced
7. The greater the dipole moment change through the vibration, the more
intense the EM field that is generated
25
The IR Spectroscopic Process
8. When a wave of infrared light encounters this oscillating EM field
generated by the oscillating dipole of the same frequency, the two waves
couple, and IR light is absorbed
9. The coupled wave now vibrates with twice the amplitude.
IR beam from spectrometer
EM oscillating wave
from bond vibration
“coupled” wave with double amplitude
26
Molecular Vibrations
and
IR Spectroscopy
27
Molecules are made up of atoms linked by chemical bonds. The movement of
atoms and chemical bonds like spring and balls (vibration)
28
Stretching vibration
Molecular vibrations
 What is a vibration in a molecule?
 Any change in shape of the molecule- stretching of bonds, bending of bonds, or
internal rotation around single bonds.
 When a compound is bombarded with radiation of a frequency that exactly
matches the frequency of one of its vibrations, the molecule will absorb energy.
 This allows the bonds to stretch and bend a bit more.
• Thus, the absorption of energy increases the amplitude of the vibration, but does
not change its frequency.
There are two main vibrational modes :
1. Stretching - Change in bond length (higher frequency i.e. 4000-1250 cm1.
29
Molecular vibrations
30
Molecular vibrations
Fundamental
vibrations
Stretching
vibrations
Symmetric Asymmetric
Bending
vibrations
In-plane
bending
Scissoring Rocking
Out-of-plane
bending
Wagging Twisting
Non-fundamental
vibrations
Overtones, combination
tones, Fermi resonance
Symmetric Asymmetric
Molecular vibrations
Stretching Types
H2O
31
Bending Types
Molecular vibrations
In-plane (Scissoring) Out-plane (Twisting)
2. Bending –
Change in bond angle (lower frequency i.e. 1400-666 cm1.
-CH2-
32
Theory of IR Spectroscopy or requirements for IR
absorption (Ref. Chatwal & Anand, page-2.31)
1. Correct wavelength of radiation
 A molecule absorbs radiation only when the natural frequency of
vibration of some part of molecule (i.e. atoms or groups of atoms
comprising it) is the same as the frequency of incident radiation
 Ex. HCl- Frequency of vibration 8.7*1013 sec-1 (2890 cm-1)
 IR spectrum shows that a part of radiation which has frequency of
8.7*1013 sec-1 is absorbed by HCl and remaining are transmitted.
2. Electric dipole
(Ref. DA Skoog, Principles of Instrumental Analysis, 6th Edi, 427.)
 A molecule can only absorb radiation when its absorption causes change
in dipole moment (electric dipole).
 A molecule is said to have electric dipole when there is a slight positive
and slight negative electric charge on its component atoms.
33
 When a molecule having electric dipole is kept in a beam of IR radiation, this
field will exert forces on the electric charges in the molecule.
 This tends to CHANGE THE DIPOLE MOMENT.
 As the electric field of the IR radiation is changing its polarity periodically, it
means that the spacing between the charged atoms of the molecule also
changes periodically.
 When these charged atoms vibrate, they absorb IR radiation from the
radiation source.
 If the rate of vibration at the charged atoms in a molecule is fast, absorption
of radiation is intense and thus, the IR spectrum will have intense absorption
bands.
 On the other hand, when the rate of vibration of the charged atoms in a
molecule is slow, there will be weak bands in the IR spectrum.
34
Substitution of bromine for a hydrogen atom to form
bromoethylene destroys the symmetry around the double bond.
The stretching of the double bond now generates a significant
change in dipole moment and strong absorbance in the IR is
observed.
35
O2 and N2- do not possess electric dipole-Hence no IR
absorption.
This is fortunate, otherwise one would have to evacuate the
air from IR spectrometers.
However, CO2 and water vapors in air do absorb in the
molecule, but these do not affect IR spectra taken on a
double-beam instrument, as they are fairly weak and cancel
out between the sample beam and the reference beam.
No change in dipole moment is produced by the C=C stretching of the
symmetrical molecule ethylene. Since there is no change in the dipole
moment, the bond does not absorb radiation.
Bromoethylene
36
Closer the atoms
in a molecule to
each other.
The greater will
be the strength of
the dipole.
Faster will be the
rate of change of
the dipole.
The higher will be
the frequency of
vibration.
More intense will
be the absorption
of radiation. 37
Introduction to FTIR
Introduction to FTIR
Introduction to FTIR
Introduction to FTIR
Introduction to FTIR
Introduction to FTIR
Introduction to FTIR
Introduction to FTIR
Introduction to FTIR
Introduction to FTIR
Introduction to FTIR
Introduction to FTIR
Introduction to FTIR
Introduction to FTIR
Introduction to FTIR
Introduction to FTIR
Introduction to FTIR
Introduction to FTIR
Introduction to FTIR
Introduction to FTIR
Introduction to FTIR
Instrumentation
59
• Light source
• Monochromators
• Sample holder
• Detector
• Recorder/ Read-out system
Type of Instruments
• Dispersive
• FTIR
Instrumentation
Radiation sources-
a) Incandescence lamp
 A closed wound nichrome coil can be raised to incandescence by resistive
heating.
 A black oxide film formed on the coil give acceptable emissivity.
 Temp can be raised unto 1100°C.
 Advantage: It requires little or no maintenance and gives long service.
 Disadvantage: It is less intense than other sources.
 In the near IR instruments an ordinary incandescent lamp is generally used.
However, this fails in the far IR because it is glass enclosed and has low
spectral emissivity.
60
Instrumentation
Radiation sources-
b) Nernst glower
 It consists of a hollow rod composed of rare earth oxides such as zirconia and
thoria which is about 0.2cm in diameter and 3.0 cm in length.
 It is non-conducting at RT and must be heated by external means to bring it to
a conducting state.
 It is heated to a temp between 1000-1800°C.
 It provides maximum radiation at about 7100 cm-1.
Advantage:
 Emits IR radiation over wide wavelength range.
 The intensity of radiation maintains steady and constant over long period of
time.
Disadvantage:
 Frequent mechanical failure
 Energy is also concentrated in the visible and near IR region of spectrum. 61
Instrumentation
c) Globar Source
 It is a rod of sintered silicon carbide which is about 5 cm in length and 0.4
cm in diameter.
 When it is heated to a temp between 1300-1700°C, it strongly emits
radiation in the IR region.
 It emits maximum radiation at 5200 cm-1.
 Unlike nerst glower, it is self-starting.
 It is more satisfactory as it works at wavelengths longer than 650 cm-1
(0.15µ).
Disadvantage: It is less intense than Nernst glower.
62
Instrumentation
Radiation sources-
d) Mercury arc
 In the far IR region (wave number200 cm-1) the previous sources lose
their effectiveness and special high pressure mercury arc lamps are used.
 Beckman developed quartz mercury lamps for the same region in a
unique manner.
 At shorter wavelengths, the heated quartz envelope emits the radiation
whereas at longer wavelengths the mercury plasma provides radiation
through the quartz.
63
Instrumentation
2. Monochromators-
As the sample in IR spectroscopy absorbs only at certain frequencies, it
therefore becomes necessary to select desired frequencies from the
radiation source and reject the radiations of other frequencies.
(a) Prism monochromators-
 Any prism used as a dispersive element must be constructed of materials
(such as various metal halide salts) which transmit in the IR region.
 Glass and quartz absorb IR light, hence unsatisfactory.
 Sodium chloride is the most common prism salt because of its high dispersion
in region of 4 to 15 µm.
Limitations:
 These salts are subject to mechanical and thermal instability and/ or
water solubility.
 Protection against damage must be continuously monitored.
64
Instrumentation
(b) Grating monochromators-
 Higher dispersion can be achieved.
 More common than prisms.
 Offers linear dispersion.
 Wide variety of material can be used for construction.
 A grating is essentially a series of parallel straight lines cut into plane surface.
Dispersion by a grating follows the law of diffraction
nλ=d (sin i ± sin)
 Where, n = order or whole number; λ= wavelength of radiation; d= distance
between grooves; i = angle of incidence of beam of IR radiation;  = angle of
dispersion of light of a particular wavelength. 65
Instrumentation
 For radiation of different wavelengths, the angle of dispersion is different. At a
grating, separation of light occurs because light of different wavelengths is
dispersed at different angles.
 A grating can be used in combination with small prism or filters.
Advantages over prisms-
 It can be made with materials like aluminum which are not attacked by
moisture. Metal salt prism can be subject to etching from atmosphere
moisture.
 Can be used over wide range of wavelength.
66
Sample cells/ SAMPLE PREPARATION
a) Sampling of solids
(i) Solids dissolved in solvent
(ii) Solid films
(iii) Mull technique
(iv) Pressed technique
b) Sampling of liquids
c) Sampling of gases
Instrumentation: a) Sampling of solids
i) Solids dissolved in solvent-
 The solid sample is usually dissolved in suitable solvent and this solution is one of the
cells.
 This method cannot be used for all solid samples because suitable solvents are
limited in number and generally no single solvent is transparent throughout the IR
region.
 The spectrum of this solution may then be obtained either from a thin film of the
solution spread between salt plates (as above), or in a liquid IR cell.
 If an IR cell is used, a cell of identical path length containing pure solvent is generally
placed in the reference beam of the spectrometer, so that solvent IR bands are not
obtained in the desired spectrum.
 If a reference cell is not used, the solvent bands must be ignored in interpreting the
resulting spectrum.
 To obtain the spectrum from a solution of the sample, one first prepares a solution
which is ~0.2 M in sample in an appropriate solvent (carbon tetrachloride,
carbon disulfide, and chloroformare commonly used —
never use water!!).
Instrumentation: a) Sampling of solids
ii) Solid films
In this technique sample solution is placed on the surface of a
KBr or NaCl and the solvent is allowed to evaporate.
Thus, the solid sample forms a thin flim on the surface cell.
This technique is useful for rapid qualitative analysis but is not
suitable for quantitative analysis.
Instrumentation: a) Sampling of solids
iii) Nujol Mull Method
 In this method, the solid sample is thoroughly ground up, using an agate mortar
and pestle, with a weakly absorbing, non-volatile liquid to form a thick paste
called a mull.
 The paste is spread on the surface of a sodium chloride salt plate and is covered
with another similar plate.
 The sample thickness is adjusted by rotating and pressing the plates together to
squeeze out excess material. It is very important that the sample be ground to a
very fine particle size to reduce light scattering and salt plate scratching.
 The most common mulling agent is mineral oil (Nujol), which is transparent in the
infrared except for narrow bands at 2900, 1450, and 1375 cm-1.
 An alternative mulling liquid, which does not absorb in these regions, is a
perfluorokerosene, such as Fluorolube S
Instrumentation: a) Sampling of solids
iv) KBr Pellet
 In this method, the solid sample is finely pulverized with pure, dry (expensive,
IR grade) KBr, the mixture is pressed in a hydraulic press to form a
transparent pellet, and the spectrum of the pellet is measured.
 It is important that the solids be extremely finely divided and well mixed.
 The pellet is usually pressed in a special die that can be evacuated in order to
avoid entrapped air, which causes cloudiness in the pellet.
Advantage-
 A major advantage of this method is that KBr has no absorptions in
the IR above 250 cm-1, so that an unimpeded spectrum of the
compound is obtained.
Disadvantage
 A disadvantage of the method for coordination compounds is that
Br- from the KBr can often replace ligands in the compound whose
spectrum is desired.
 If this is not realized by the experimenter, misinterpretation of the
spectrum will result.
Instrumentation: Sampling of liquids
Pure liquids-
 IR spectra of liquid compounds may be obtained either from the
neat liquid or from a solution of the liquid in an appropriate
solvent.
 Interference by solvent absorption is thereby avoided.
 To run a neat liquid, therefore, one normally places a drop of the
liquid on the face of a highly polished salt plate (such as NaCl, KBr,
or AgCl), places a second plate on top of the first plate so as to
spread the liquid in a thin layer between the plates, and clamps the
plates together in some suitable fashion.
Instrumentation: Sampling of Gases
 Gas samples are examined in IR region after removing moisture and water
vapors.
 The dried gases are introduced via a stop cock and system by which a partial
pressure of about 5 to 50 mm of mercury can be applied.
 Gas sample is introduced into the gas cell which is made up of glass or metal
cylinder of about 10 mcm long.
 The end walls of the gas cell are made up of NaCl.
 The gas cells are equipped with mirrors and used to bring about multiple
reflections to increase the effective path lengths.
 Sometimes GLC is coupled with IR spectrophotometers to analyze the elutes
from GLC
Instrumentation
Detectors
a) Thermal detectors:
 Bolometers
 Thermocouples
 Thermistors
 Golay cells
b) Photon detectors: Photoconductivity cells
c) Semiconductor detectors
d) Photoelectric detectors
76
Instrumentation- Thermal Detectors
Bolometers
 It is based on the fact that the electrical resistance of a metal increases
approximately 0.4% for every Celsius degree increase of temperature.
 A bolometer usually consists of a thin metal conductor.
 When radiation such as IR falls on this conductor, its temperature
changes.
 As the resistance of a metallic conductor changes with temperature,
the degree of change in resistance is regarded as a measure of the
amount of radiation that has fallen on the bolometer.
 A bolometer is made one arm of the Wheatstone bridge.
77
78
• A similar strip of metal is used as the balancing arm of the detector.
• This strip is not exposed to IR radiation.
• When no radiation falls on the bolometer, the bridge remains balanced.
• If IR radiation falls on the bolometer, the bridge becomes unbalanced due to
change in the electrical resistance which causes a current to flow through the
galvanometer G.
• The amount of current flowing through the galvanometer is a measure of the
intensity of the radiation falling on the detector.
• The response time for a bolometer is 4 m-sec.
Instrumentation- Detectors
Thermocouple
 The thermocouple detector is based on the fact that an electrical current
will flow when dissimilar metal wires are connected together at both ends
and a temperature differential exists between the two ends.
 The end exposed to IR radiation is called the HOT JUNCTION.
 In order to increase the energy gathering efficiency, it is usually a black body.
 The other connection, the COLD JUNCTION is thermally insulated and
carefully screened from stray light.
 The electricity which flows is directly proportional to the energy differential
between the two connections.
 The thermocouple is made by welding at each end of two wires of different
semiconductors material of high thermoelectric efficiency.
79
 If two welded joints are kept at different temperature, a small electrical
potential is developed between the joints.
 A thermocouple is closed in an evacuated steel casing with a KBr window to
avoid losses of energy by convection (process by which heat travels through
air, water, and other gases).
 In the IR spectroscopy, one welded joint (called cold joint) is kept at a
constant temperature and is not exposed to IR radiation, but the other
welded joint (called hot joint) is exposed to the IR radiation which increases
the temperature of the junction.
 The temperature difference between the two junctions generates potential
difference which depends on how much IR radiation falls on the hot
junction.
 The response time of a thermocouple is about 60 msec.
80
Instrumentation- Detectors
Thermistor
 The thermistor is made of a fused mixture of metal oxides.
 As the temperature of the mixture increases, its electrical
resistance decreases (as opposed to the bolometers).
 This relationship between temperature and electrical resistance
allows thermistor to be used as IR detectors in the same way as
bolometers.
 The thermistor typically changes resistance by about 5% per
degree Celsius.
 Its response time is also slow.
81
Instrumentation- Detectors
Golay cell
 It is generally used in several commercial spectrophotometers.
 It consist of a small metal cylinder which is closed by a blackened metal plate at one
end and by a flexible metalized diaphragm at the other.
 After filling the cylinder with xenon, it is sealed.
 When IR radiation is allowed to fall on the blackened metal plate, it heats the gas
which causes it to expand.
 The resulting pressure increase in the gas deforms the metalized diaphragm which
separates two chambers.
 Light from the lamp is made to fall on the diaphragm which reflects the light on a
photocell.
 Motion of the diaphragm changes the output of the cell.
 The signal seen by the phototube is modulated in accordance with the power of the
radiant beam incident on the gas cell.
 The golay detector possesses the same sensitivity as a thermocouple detector in the
mid-IR region.
 It is best suited when working at wavelengths greater than about 15 micron. 82
 Golay detector is somewhat less convenient than many other detectors
because it is more expensive and bulky.
 An important advantage of this detector is that wavelength range is very wide.
 The response is linear over the entire range from the UV through the visible
and IR into the microwave range to wavelengths as long as 0.7 mm.
 The response time is about 10-2 sec, much faster than bolometer, thermistor
or thermocouple.
83
Instrumentation- Detectors
Photoconductivity cell
 This is non-thermal detector of great sensitivity.
 It consists of a thin layer of lead sulfide or lead telluride supported on glass
and enclosed into an evacuated glass envelope.
 When IR radiation is focused on lead sulfide or lead telluride, its
conductance increases and causes more current to flow.
 Response time is 0.5 msec.
 It is high sensitivity and good speed of response in IR detection, but it
suffers from many practical disadvantages.
 When operated at RT, it has very restricted range, usually limited to the
near IR.
 The range can be broadened by drastic cooling.
84
85
 Pyroelectric detector
86
87
88
Instrumentation
Solvents
1. Must be transparent in the region studied: no single solvent is transparent
throughout the entire IR region
 Water and alcohols are seldom employed to avoid O-H band of water .
 Must be chemically inert (does not react with substance or cell holder).
 CCl4, CS2, or CHCl3; may be used but we should consider its IR spectrum
Cells
- NaCl or KCl cells may be used (moisture from air and sample should be
avoided: even with care, their surfaces eventually become fogged due to
absorption of moisture)
- Very thin (path length = 0.1 to 1.0 mm)
- Sample concentration = about 0.1 – 10%
89
90
(a) A set of NaCl salts plates; (b) a fixed pathlength
(0.5 mm) sample cell with NaCl windows; and (c) a
disposable card with a polyethylene window that is
IR transparent
Instruments
91
Single beam IR
spectrophotometer
Double beam IR
spectrophotometer
Fourier-transform infrared spectroscopy (FTIR)
 It does not scan the sample sequentially from wavelength to wavelength .
 Use Michelson’s Interferometer.
 Interference of radiation between two beams to yield interferogram.
 A signal is produced as a function of change of pathlength between two beams.
 FTIR is a technique used to obtain an IR spectrum of absorption or emission of a
solid, liquid or gas.
 Collects high-spectral-resolution data over a wide spectral range.
 This confers a significant advantage over a dispersive spectrometer, which
measures intensity over a narrow range of wavelengths at a time.
 The term Fourier-transform infrared spectroscopy originates from the fact that
a Fourier transform (a mathematical process) is required to convert the raw data
into the actual spectrum.
 DOES NOT CONTAIN MONOCHROMATOR
 CONTAINS MICHELSON INTERFEROMETER 92
 FTIR spectroscopy offers a vast array of analytical opportunities in
academic, analytical, QA/QC and forensic labs.
 FTIR covers a wide range of chemical applications, especially for polymers
and organic compounds.
So, what is FTIR?
 The Fourier Transform converts the detector output to an interpretable
spectrum.
 The FTIR generates spectra with patterns that provide structural insights.
93
Dispersive spectroscopy Vs Fourier-transform
spectroscopy
Absorption spectroscopy
 The goal of any absorption spectroscopy (FTIR, ultraviolet-visible spectroscopy,
etc.) is to measure how well a sample absorbs light at each wavelength.
 The most straightforward way to do this, the "dispersive spectroscopy" technique,
is to shine a monochromatic light beam at a sample, measure how much of the
light is absorbed, and repeat for each different wavelength.
 This is how some UV–vis spectrometers work.
Fourier-transform spectroscopy
 Fourier-transform spectroscopy is a less natural way to obtain the same
information. Rather than shining a monochromatic beam of light at the sample,
this technique shines a beam containing many frequencies of light at once and
measures how much of that beam is absorbed by the sample. Next, the beam is
modified to contain a different combination of frequencies, giving a second data
point. This process is repeated many times. Afterward, a computer takes all this
data and works backward to infer what the absorption is at each wavelength.
Introduction to FTIR
Fourier transformation
Fourier
transformation
pair
• The interferogram signal is recorded as a function of optical path difference
• The interferogram is comparable to a time domain signal (eg. a recorded sound) and the spectrum
represents the same information in frequency domain (eg. the frequency of the same sound)
• Fourier transformation is the mathematical relation between the interferogram and the spectrum (in
general, between time domain signal and frequency signal)
• A pure cosine wave in the interferogram transforms to a perfectly sharp narrow spike in the spectrum
OPD / cm
Intensity
Intensity
Wave number / cm-1
 The beam described above is generated by starting with a broadband light
source—one containing the full spectrum of wavelengths to be measured.
 The light shines into a Michelson interferometer—a certain configuration of
mirrors, one of which is moved by a motor.
 As this mirror moves, each wavelength of light in the beam is periodically
blocked, transmitted, blocked, transmitted, by the interferometer, due to
wave interference.
 Different wavelengths are modulated at different rates, so that at each
moment the beam coming out of the interferometer has a different
spectrum.
 As mentioned, computer processing is required to turn the raw data (light
absorption for each mirror position) into the desired result (light absorption
for each wavelength).
 The processing required turns out to be a common algorithm called the
Fourier transform (hence the name "Fourier-transform spectroscopy"). The
raw data is sometimes called an "interferogram".
 In a Michelson interferometer adapted for FTIR, light from the polychromatic infrared source, approximately
a black-body radiator, is collimated and directed to a beam splitter.
 Ideally 50% of the light is refracted towards the fixed mirror and 50% is transmitted towards the moving mirror.
 Light is reflected from the two mirrors back to the beam splitter and some fraction of the original light passes
into the sample compartment.
 There, the light is focused on the sample.
 On leaving the sample compartment the light is refocused on to the detector.
 The difference in optical path length between the two arms to the interferometer is known as
the retardation or optical path difference (OPD).
 An interferogram is obtained by varying the retardation and recording the signal from the detector for various
values of the retardation.
 The form of the interferogram when no sample is present depends on factors such as the variation of source
intensity and splitter efficiency with wavelength.
 This results in a maximum at zero retardation, when there is constructive interference at all wavelengths,
followed by series of "wiggles".
 The position of zero retardation is determined accurately by finding the point of maximum intensity in the
interferogram.
 When a sample is present the background interferogram is modulated by the presence of absorption bands in
the sample.
Schematic Diagram of FTIR
O
M
S
Introduction to FTIR
Possible Interferences
 In Phase- Constructive
 Out-of-phase- Destructive
 Interference
3 4
102
 When moving mirror is in the original position, the two paths are identical
and
interference is constructive
 When the moving mirror moves ¼ of wavelength, the path differenceis
½ wavelength and interference is destructive
 Mirror moves back and forth at constant velocity – the intensity of the
interference signal varies as a sine wave
 As moving mirror moves, the net signal falling on the detector is a cosine wave
(cos)
 Each wavelength generates its cosine wave.
 IR sources are polychromatic.
 At detector, summation of all these cosine waves results.
 Interferogram holds spectral information in time domain.
 With Fourier transformation, it is converted to frequency domain.
 A graph of output light intensity Vs d is called a interferogram.
 The difference in pathlength, d is given by
d = 2 (OM-OS)
This difference is called retardation.
103
Introduction to FTIR
Recording an interferogram
• Laser interferogram signal is used
to digitize the IR interferogram
• Single mode HeNe-laser provides
a constant wavelength output at
632.8 nm
• Accurate and precise digitization
interval provides high wavelength
accuracy in the spectrum
• The data points for IR
interferogram are recorded every
time the mirror has moved
forward by one HeNe laser
wavelength
• The digitized IR interferogram
(an XY table) is transmitted to
computer where the Fast Fourier
Transform (FFT) algorithm
computes the spectrum
Infrared source
Helium-neon laser
Introduction to FTIR
• IR interferogram is recorded after
the IR beam passes through the
interferometer and sample cell
• IR interferogram contains the
absorption of sample gas
• Laser interferogram is produced by
a helium-neon laser beam
travelling through the
interferometer into a special
detector
• Laser interferogram is a nearly
ideal cosine wave
• Laser interferogram tells the
position of moving mirror with
excellent accuracy
IR and laser interferograms
950 1950 2950 3950
OPD
A
IR-interferogram
Laser-interferogram
x =632.8 nm
FOURIERTRANSFORMIR
SPECTROMETER
INTERFEROMETER…
• In the FT-IR instrument, the sample is placed
between the output of the interferometer and the
detector. The sample absorbs radiation of
particular wavelengths.
• An interferogram of a reference is needed to
obtain the spectrum of the sample.
• After an interferogram has been collected, a
computer performs a Fast Fourier Transform,
which results in a frequency domain trace (i.e.
intensity vs. wave number).
• The detector used in an FT-IR instrument must
respond quickly because intensity changes are rapid
• Pyroelectric detectors or liquid nitrogen cooled
photon detectors must be used. Thermal detectors
are too slow.
• To achieve a good signal to noise ratio, many
interferograms are obtained and then averaged.
This can be done in less time than it would take a
dispersive instrument to record one scan.
Interferometerconsistsof……….
• Drive mechanism
• Beam splitter
• Source and transducers.
Drive mechanism..
• Speed and planarity of the moving
mirror must be constant.
• Displacement of the mirror can be
measured by a motor driven micrometer
screw.
Additional features of mirror system ….
• Sampling the interferogram at precisely
spaced retardation intervals.
• Determining exactly the zero retardation
point in order to permit signal averaging.
Beam splitter
• These are constructed of transparent
materials having refractive indices 50%
radiation is reflected and 50% is transmitted.
–Mylar sandwiched between two plate of
a low refractive index solid.
–Thin film of germanium or silicon
deposited on cesium iodide or bromide ,
Nacl, KBr are satisfactory for mid IR
regions.
–Iron(III) oxide is deposited on calcium
fluoride for near IR region.
Sources and Transducers
• Generally thermal transducers are not adapted to
FTIR because of their slow responses time.
• Pyroelectric transducers:
– Exhibit fast response time , and allow them to track the
changes in time domain signal from interferometer.
– Triglycine sulfate pyroelectric transducers are widely
used for mid IR.
• Photoconduction transducers:
Where better sensitivity or faster response
times are required by liquid-nitrogen cooled ,
mercury/cadmium or indium antimonite, lead sulfide
photoconductive transducers are employed.
Introduction to FTIR
Advantages of FTIR spectroscopy
• Speed (Felgett advantage): All the frequencies are recorded
simultaneously; a complete spectrum is measured in less than a
second.
• Sensitivity (Jacquinot or Throughput advantage): In the
interferometer, the radiation power transmitted on to the detector is
very high which results in high sensitivity.
• Internally Calibrated (Connes advantage): FTIR spectrometers
employ a HeNe laser as an internal wavelength calibration
standard, no need to be calibrated by the user.
• Multicomponent capability: Since the whole infrared spectrum is
measured continuously, all infrared active components can be
identified and their concentrations determined.
• use signal averaging to increase signal-to-noise (S/N)
• higher inherent S/N – no slits, less optical equipment,
• higher light intensity
• high resolution (<0.1 cm-1)
• Study of sample with high absorbance
• Investigation of kinetic studies / detection of
chromatographic elutes.
Four major sampling techniques in FTIR:
• Transmission
• Attenuated Total Reflection (ATR)
• Specular Reflection
• Diffuse Reflectance
1
Introduction to FTIR
Introduction to FTIR
Introduction to FTIR
Attenuated total reflectance
Introduction to FTIR
Introduction to FTIR
Introduction to FTIR
Introduction to FTIR
Introduction to FTIR
Introduction to FTIR
Introduction to FTIR
Introduction to FTIR
Introduction to FTIR
Introduction to FTIR
Introduction to FTIR
Introduction to FTIR
Introduction to FTIR
Introduction to FTIR
Introduction to FTIR
Introduction to FTIR
Introduction to FTIR
Introduction to FTIR
Introduction to FTIR
Introduction to FTIR
Specular reflection
spectroscopy
IRRAS
Introduction to FTIR
Introduction to FTIR
Introduction to FTIR
Introduction to FTIR
Introduction to FTIR
Introduction to FTIR
Introduction to FTIR
Diffuse Reflectance Infrared F
ourier Transform Spectroscop
y (DRIFTS)
Introduction to FTIR
Introduction to FTIR
Introduction to FTIR
Introduction to FTIR
Introduction to FTIR
Introduction to FTIR
Introduction to FTIR
Introduction to FTIR
Introduction to FTIR
Introduction to FTIR
Interpretation of spectra
• amines, alcohols, amides, nitriles,
ketones, aldehydes, esters, acids, nitro
and anhydrides
Introduction to FTIR
• Fingerprint region
• Identification- group frequency region
Introduction to FTIR
Introduction to FTIR
Introduction to FTIR
Introduction to FTIR
Introduction to FTIR
Introduction to FTIR
Introduction to FTIR
Introduction to FTIR
Introduction to FTIR
Introduction to FTIR
Introduction to FTIR
Introduction to FTIR
Alcohols
Introduction to FTIR
Introduction to FTIR
Introduction to FTIR
Introduction to FTIR
Introduction to FTIR
Introduction to FTIR
Introduction to FTIR
Introduction to FTIR
Introduction to FTIR
Introduction to FTIR
Introduction to FTIR
Introduction to FTIR
Introduction to FTIR
REFERENCE
1. Principles of Instrumental Analysis-
Douglas A Skoog p.no: 392-399
2. Instrumental Methods of Analysis-
H. Willard p.no: 302-304

1.b IR spec.ppt.........................

  • 1.
    IR & FTIRspectroscopy Interpretation of I.R. spectra in mid I.R. region (aliphatic and aromatic compounds for simple compounds such as amines, alcohols, amides, nitriles, ketones, aldehydes, esters, acids, nitro and anhydrides).
  • 2.
  • 3.
  • 4.
  • 5.
  • 6.
    Introduction Infrared radiation liesbetween the visible and microwave portions of the electromagnetic spectrum. Infrared waves have wavelengths longer than visible and shorter than microwaves, and have frequencies which are lower than visible and higher than microwaves. More common units are wavenumbers, or cm-1, the reciprocal of the wavelength in centimeters (104/mm = 4000-400 cm-1) Wavenumbers are proportional to frequency and energy 6
  • 7.
  • 8.
    INTRODUCTION • Infrared spectroscopy(IR) measures the bond vibration frequencies in a molecule and is used to determine the functional groups. • The infrared region of the spectrum composes of radiation with wave numbers ranging from about 12,500 to 50cm-1 / wave lengths from 0.8 to 200µ. • Infrared region lies between visible and microwave region.
  • 9.
    The infrared regionconstitutes 3 parts a) The near IR (0.8 -2.5µm)(12,500-4000cm-1) b) The middle IR (2.5 -15µm) (4000-667cm-1) c) The far IR (15-200µm) (667-50cm-1)  most of the analytical applications are confined to the middle IR region because absorption of organic molecules are high in this region. It gives sufficient information about the structure of a compound.
  • 10.
    IR Rays Infrared (IR)is invisible radiant 1 Near: 0.75- 2.5 µm Mid: 2.5- 15 µm Far: 15-200 µm
  • 11.
    • Infrared wavescan be thought of as heat, because they are given off by hot objects, and you can feel them as warmth on your skin. • Infrared waves are also given off by stars, lamps, flames and anything else that is warm - including you. Source of IR 1
  • 12.
    1 • One cupcontains cold water (Fig. 2. ), while the other contains hot water (Fig. 1. ). • In the visible light picture we cannot tell, just by looking, which cup is holding cold water and which is holding hot water. • In the infrared image, we can clearly "see" the glow from the hot water in the cup to the left and the dark due to colder Fig. 1. A visible light picture of cups Fig. 2. Infrared picture (right) of cu If we had infrared eyes, we could tell if an object was hot or cold without having to touch it.
  • 13.
    Infrared cameras • Thesecameras are very useful and have even helped save people's lives. • In the infrared, you can "see" in the dark. • Even if the Sun is down and the lights are off, the world around us still puts out some heat. • The infrared picture shows deer in a forest during a dark night. • We can clearly see the heat from deer, especially from areas not covered with thick fur like the ears, face and legs. • The trees and the ground put out less heat than the deer, but can still be seen through an infrared camera. 1 A visible light picture Infrared picture
  • 14.
    The absorption ofinfra red radiation » • Applied frequency = natural frequency of vibration.(Quantized) increased amplitude • Vibrational transitions which are accompanied by a change in dipole moment of the molecule are called infrared active transitions. Because they absorbs the IR radiation.
  • 15.
    Dipole Moment + — not polar Asubstance possesses a dipole moment if its centers of positive and negative charge do not coincide. m = e x d (expressed in Debye units)
  • 16.
    — + Dipole Moment polar A substancepossesses a dipole moment if its centers of positive and negative charge do not coincide. m = e x d (expressed in Debye units)
  • 17.
    Molecular Dipole Moments moleculemust have polar bonds necessary, but not sufficient need to know molecular shape because individual bond dipoles can cancel O C O d+ d- d-
  • 18.
    Molecular Dipole Moments OC O Carbon dioxide has no dipole moment; m = 0 D
  • 19.
    Figure 1.13 m =1.62 D m = 0 D Carbon tetrachloride Dichloromethane
  • 20.
    Resultant of these twobond dipoles is Figure 1.13 m = 0 D Carbon tetrachloride has no dipole moment because all of the individual bond dipoles cancel. Resultant of these two bond dipoles is
  • 21.
    Resultant of these twobond dipoles is Figure 1.13 m = 1.62 D Resultant of these two bond dipoles is The individual bond dipoles do not cancel in dichloromethane; it has a dipole moment.
  • 22.
  • 23.
    • What happenswhen a sample absorbs UV/Vis energy? Excitation of ground state electrons (typically p and n electrons) Eelectronic increases momentarily • What happens when a sample absorbs IR energy? Stretching and bending of bonds (typically covalent bonds) Evibration increases momentarily IR -O-H -O (3500 cm-1) —H UV/Vis p p* sample p  p* transition (200 nm) Matter/Energy Interactions 23
  • 24.
    The IR SpectroscopicProcess 1.The quantum mechanical energy levels observed in IR spectroscopy are those of molecular vibration 2.We perceive this vibration as heat 3.When we say a covalent bond between two atoms is of a certain length, we are citing an average because the bond behaves as if it were a vibrating spring connecting the two atoms 4.For a simple diatomic molecule, this model is easy to visualize: 24
  • 25.
    The IR SpectroscopicProcess 6. As a covalent bond oscillates – due to the oscillation of the dipole of the molecule – a varying electromagnetic field is produced 7. The greater the dipole moment change through the vibration, the more intense the EM field that is generated 25
  • 26.
    The IR SpectroscopicProcess 8. When a wave of infrared light encounters this oscillating EM field generated by the oscillating dipole of the same frequency, the two waves couple, and IR light is absorbed 9. The coupled wave now vibrates with twice the amplitude. IR beam from spectrometer EM oscillating wave from bond vibration “coupled” wave with double amplitude 26
  • 27.
  • 28.
    Molecules are madeup of atoms linked by chemical bonds. The movement of atoms and chemical bonds like spring and balls (vibration) 28
  • 29.
    Stretching vibration Molecular vibrations What is a vibration in a molecule?  Any change in shape of the molecule- stretching of bonds, bending of bonds, or internal rotation around single bonds.  When a compound is bombarded with radiation of a frequency that exactly matches the frequency of one of its vibrations, the molecule will absorb energy.  This allows the bonds to stretch and bend a bit more. • Thus, the absorption of energy increases the amplitude of the vibration, but does not change its frequency. There are two main vibrational modes : 1. Stretching - Change in bond length (higher frequency i.e. 4000-1250 cm1. 29
  • 30.
    Molecular vibrations 30 Molecular vibrations Fundamental vibrations Stretching vibrations SymmetricAsymmetric Bending vibrations In-plane bending Scissoring Rocking Out-of-plane bending Wagging Twisting Non-fundamental vibrations Overtones, combination tones, Fermi resonance
  • 31.
  • 32.
    Bending Types Molecular vibrations In-plane(Scissoring) Out-plane (Twisting) 2. Bending – Change in bond angle (lower frequency i.e. 1400-666 cm1. -CH2- 32
  • 33.
    Theory of IRSpectroscopy or requirements for IR absorption (Ref. Chatwal & Anand, page-2.31) 1. Correct wavelength of radiation  A molecule absorbs radiation only when the natural frequency of vibration of some part of molecule (i.e. atoms or groups of atoms comprising it) is the same as the frequency of incident radiation  Ex. HCl- Frequency of vibration 8.7*1013 sec-1 (2890 cm-1)  IR spectrum shows that a part of radiation which has frequency of 8.7*1013 sec-1 is absorbed by HCl and remaining are transmitted. 2. Electric dipole (Ref. DA Skoog, Principles of Instrumental Analysis, 6th Edi, 427.)  A molecule can only absorb radiation when its absorption causes change in dipole moment (electric dipole).  A molecule is said to have electric dipole when there is a slight positive and slight negative electric charge on its component atoms. 33
  • 34.
     When amolecule having electric dipole is kept in a beam of IR radiation, this field will exert forces on the electric charges in the molecule.  This tends to CHANGE THE DIPOLE MOMENT.  As the electric field of the IR radiation is changing its polarity periodically, it means that the spacing between the charged atoms of the molecule also changes periodically.  When these charged atoms vibrate, they absorb IR radiation from the radiation source.  If the rate of vibration at the charged atoms in a molecule is fast, absorption of radiation is intense and thus, the IR spectrum will have intense absorption bands.  On the other hand, when the rate of vibration of the charged atoms in a molecule is slow, there will be weak bands in the IR spectrum. 34
  • 35.
    Substitution of brominefor a hydrogen atom to form bromoethylene destroys the symmetry around the double bond. The stretching of the double bond now generates a significant change in dipole moment and strong absorbance in the IR is observed. 35 O2 and N2- do not possess electric dipole-Hence no IR absorption. This is fortunate, otherwise one would have to evacuate the air from IR spectrometers. However, CO2 and water vapors in air do absorb in the molecule, but these do not affect IR spectra taken on a double-beam instrument, as they are fairly weak and cancel out between the sample beam and the reference beam. No change in dipole moment is produced by the C=C stretching of the symmetrical molecule ethylene. Since there is no change in the dipole moment, the bond does not absorb radiation. Bromoethylene
  • 36.
  • 37.
    Closer the atoms ina molecule to each other. The greater will be the strength of the dipole. Faster will be the rate of change of the dipole. The higher will be the frequency of vibration. More intense will be the absorption of radiation. 37
  • 38.
  • 39.
  • 40.
  • 41.
  • 42.
  • 43.
  • 44.
  • 45.
  • 46.
  • 47.
  • 48.
  • 49.
  • 50.
  • 51.
  • 52.
  • 53.
  • 54.
  • 55.
  • 56.
  • 57.
  • 58.
  • 59.
    Instrumentation 59 • Light source •Monochromators • Sample holder • Detector • Recorder/ Read-out system Type of Instruments • Dispersive • FTIR
  • 60.
    Instrumentation Radiation sources- a) Incandescencelamp  A closed wound nichrome coil can be raised to incandescence by resistive heating.  A black oxide film formed on the coil give acceptable emissivity.  Temp can be raised unto 1100°C.  Advantage: It requires little or no maintenance and gives long service.  Disadvantage: It is less intense than other sources.  In the near IR instruments an ordinary incandescent lamp is generally used. However, this fails in the far IR because it is glass enclosed and has low spectral emissivity. 60
  • 61.
    Instrumentation Radiation sources- b) Nernstglower  It consists of a hollow rod composed of rare earth oxides such as zirconia and thoria which is about 0.2cm in diameter and 3.0 cm in length.  It is non-conducting at RT and must be heated by external means to bring it to a conducting state.  It is heated to a temp between 1000-1800°C.  It provides maximum radiation at about 7100 cm-1. Advantage:  Emits IR radiation over wide wavelength range.  The intensity of radiation maintains steady and constant over long period of time. Disadvantage:  Frequent mechanical failure  Energy is also concentrated in the visible and near IR region of spectrum. 61
  • 62.
    Instrumentation c) Globar Source It is a rod of sintered silicon carbide which is about 5 cm in length and 0.4 cm in diameter.  When it is heated to a temp between 1300-1700°C, it strongly emits radiation in the IR region.  It emits maximum radiation at 5200 cm-1.  Unlike nerst glower, it is self-starting.  It is more satisfactory as it works at wavelengths longer than 650 cm-1 (0.15µ). Disadvantage: It is less intense than Nernst glower. 62
  • 63.
    Instrumentation Radiation sources- d) Mercuryarc  In the far IR region (wave number200 cm-1) the previous sources lose their effectiveness and special high pressure mercury arc lamps are used.  Beckman developed quartz mercury lamps for the same region in a unique manner.  At shorter wavelengths, the heated quartz envelope emits the radiation whereas at longer wavelengths the mercury plasma provides radiation through the quartz. 63
  • 64.
    Instrumentation 2. Monochromators- As thesample in IR spectroscopy absorbs only at certain frequencies, it therefore becomes necessary to select desired frequencies from the radiation source and reject the radiations of other frequencies. (a) Prism monochromators-  Any prism used as a dispersive element must be constructed of materials (such as various metal halide salts) which transmit in the IR region.  Glass and quartz absorb IR light, hence unsatisfactory.  Sodium chloride is the most common prism salt because of its high dispersion in region of 4 to 15 µm. Limitations:  These salts are subject to mechanical and thermal instability and/ or water solubility.  Protection against damage must be continuously monitored. 64
  • 65.
    Instrumentation (b) Grating monochromators- Higher dispersion can be achieved.  More common than prisms.  Offers linear dispersion.  Wide variety of material can be used for construction.  A grating is essentially a series of parallel straight lines cut into plane surface. Dispersion by a grating follows the law of diffraction nλ=d (sin i ± sin)  Where, n = order or whole number; λ= wavelength of radiation; d= distance between grooves; i = angle of incidence of beam of IR radiation;  = angle of dispersion of light of a particular wavelength. 65
  • 66.
    Instrumentation  For radiationof different wavelengths, the angle of dispersion is different. At a grating, separation of light occurs because light of different wavelengths is dispersed at different angles.  A grating can be used in combination with small prism or filters. Advantages over prisms-  It can be made with materials like aluminum which are not attacked by moisture. Metal salt prism can be subject to etching from atmosphere moisture.  Can be used over wide range of wavelength. 66
  • 67.
    Sample cells/ SAMPLEPREPARATION a) Sampling of solids (i) Solids dissolved in solvent (ii) Solid films (iii) Mull technique (iv) Pressed technique b) Sampling of liquids c) Sampling of gases
  • 68.
    Instrumentation: a) Samplingof solids i) Solids dissolved in solvent-  The solid sample is usually dissolved in suitable solvent and this solution is one of the cells.  This method cannot be used for all solid samples because suitable solvents are limited in number and generally no single solvent is transparent throughout the IR region.  The spectrum of this solution may then be obtained either from a thin film of the solution spread between salt plates (as above), or in a liquid IR cell.  If an IR cell is used, a cell of identical path length containing pure solvent is generally placed in the reference beam of the spectrometer, so that solvent IR bands are not obtained in the desired spectrum.  If a reference cell is not used, the solvent bands must be ignored in interpreting the resulting spectrum.  To obtain the spectrum from a solution of the sample, one first prepares a solution which is ~0.2 M in sample in an appropriate solvent (carbon tetrachloride, carbon disulfide, and chloroformare commonly used — never use water!!).
  • 69.
    Instrumentation: a) Samplingof solids ii) Solid films In this technique sample solution is placed on the surface of a KBr or NaCl and the solvent is allowed to evaporate. Thus, the solid sample forms a thin flim on the surface cell. This technique is useful for rapid qualitative analysis but is not suitable for quantitative analysis.
  • 70.
    Instrumentation: a) Samplingof solids iii) Nujol Mull Method  In this method, the solid sample is thoroughly ground up, using an agate mortar and pestle, with a weakly absorbing, non-volatile liquid to form a thick paste called a mull.  The paste is spread on the surface of a sodium chloride salt plate and is covered with another similar plate.  The sample thickness is adjusted by rotating and pressing the plates together to squeeze out excess material. It is very important that the sample be ground to a very fine particle size to reduce light scattering and salt plate scratching.  The most common mulling agent is mineral oil (Nujol), which is transparent in the infrared except for narrow bands at 2900, 1450, and 1375 cm-1.  An alternative mulling liquid, which does not absorb in these regions, is a perfluorokerosene, such as Fluorolube S
  • 72.
    Instrumentation: a) Samplingof solids iv) KBr Pellet  In this method, the solid sample is finely pulverized with pure, dry (expensive, IR grade) KBr, the mixture is pressed in a hydraulic press to form a transparent pellet, and the spectrum of the pellet is measured.  It is important that the solids be extremely finely divided and well mixed.  The pellet is usually pressed in a special die that can be evacuated in order to avoid entrapped air, which causes cloudiness in the pellet.
  • 73.
    Advantage-  A majoradvantage of this method is that KBr has no absorptions in the IR above 250 cm-1, so that an unimpeded spectrum of the compound is obtained. Disadvantage  A disadvantage of the method for coordination compounds is that Br- from the KBr can often replace ligands in the compound whose spectrum is desired.  If this is not realized by the experimenter, misinterpretation of the spectrum will result.
  • 74.
    Instrumentation: Sampling ofliquids Pure liquids-  IR spectra of liquid compounds may be obtained either from the neat liquid or from a solution of the liquid in an appropriate solvent.  Interference by solvent absorption is thereby avoided.  To run a neat liquid, therefore, one normally places a drop of the liquid on the face of a highly polished salt plate (such as NaCl, KBr, or AgCl), places a second plate on top of the first plate so as to spread the liquid in a thin layer between the plates, and clamps the plates together in some suitable fashion.
  • 75.
    Instrumentation: Sampling ofGases  Gas samples are examined in IR region after removing moisture and water vapors.  The dried gases are introduced via a stop cock and system by which a partial pressure of about 5 to 50 mm of mercury can be applied.  Gas sample is introduced into the gas cell which is made up of glass or metal cylinder of about 10 mcm long.  The end walls of the gas cell are made up of NaCl.  The gas cells are equipped with mirrors and used to bring about multiple reflections to increase the effective path lengths.  Sometimes GLC is coupled with IR spectrophotometers to analyze the elutes from GLC
  • 76.
    Instrumentation Detectors a) Thermal detectors: Bolometers  Thermocouples  Thermistors  Golay cells b) Photon detectors: Photoconductivity cells c) Semiconductor detectors d) Photoelectric detectors 76
  • 77.
    Instrumentation- Thermal Detectors Bolometers It is based on the fact that the electrical resistance of a metal increases approximately 0.4% for every Celsius degree increase of temperature.  A bolometer usually consists of a thin metal conductor.  When radiation such as IR falls on this conductor, its temperature changes.  As the resistance of a metallic conductor changes with temperature, the degree of change in resistance is regarded as a measure of the amount of radiation that has fallen on the bolometer.  A bolometer is made one arm of the Wheatstone bridge. 77
  • 78.
    78 • A similarstrip of metal is used as the balancing arm of the detector. • This strip is not exposed to IR radiation. • When no radiation falls on the bolometer, the bridge remains balanced. • If IR radiation falls on the bolometer, the bridge becomes unbalanced due to change in the electrical resistance which causes a current to flow through the galvanometer G. • The amount of current flowing through the galvanometer is a measure of the intensity of the radiation falling on the detector. • The response time for a bolometer is 4 m-sec.
  • 79.
    Instrumentation- Detectors Thermocouple  Thethermocouple detector is based on the fact that an electrical current will flow when dissimilar metal wires are connected together at both ends and a temperature differential exists between the two ends.  The end exposed to IR radiation is called the HOT JUNCTION.  In order to increase the energy gathering efficiency, it is usually a black body.  The other connection, the COLD JUNCTION is thermally insulated and carefully screened from stray light.  The electricity which flows is directly proportional to the energy differential between the two connections.  The thermocouple is made by welding at each end of two wires of different semiconductors material of high thermoelectric efficiency. 79
  • 80.
     If twowelded joints are kept at different temperature, a small electrical potential is developed between the joints.  A thermocouple is closed in an evacuated steel casing with a KBr window to avoid losses of energy by convection (process by which heat travels through air, water, and other gases).  In the IR spectroscopy, one welded joint (called cold joint) is kept at a constant temperature and is not exposed to IR radiation, but the other welded joint (called hot joint) is exposed to the IR radiation which increases the temperature of the junction.  The temperature difference between the two junctions generates potential difference which depends on how much IR radiation falls on the hot junction.  The response time of a thermocouple is about 60 msec. 80
  • 81.
    Instrumentation- Detectors Thermistor  Thethermistor is made of a fused mixture of metal oxides.  As the temperature of the mixture increases, its electrical resistance decreases (as opposed to the bolometers).  This relationship between temperature and electrical resistance allows thermistor to be used as IR detectors in the same way as bolometers.  The thermistor typically changes resistance by about 5% per degree Celsius.  Its response time is also slow. 81
  • 82.
    Instrumentation- Detectors Golay cell It is generally used in several commercial spectrophotometers.  It consist of a small metal cylinder which is closed by a blackened metal plate at one end and by a flexible metalized diaphragm at the other.  After filling the cylinder with xenon, it is sealed.  When IR radiation is allowed to fall on the blackened metal plate, it heats the gas which causes it to expand.  The resulting pressure increase in the gas deforms the metalized diaphragm which separates two chambers.  Light from the lamp is made to fall on the diaphragm which reflects the light on a photocell.  Motion of the diaphragm changes the output of the cell.  The signal seen by the phototube is modulated in accordance with the power of the radiant beam incident on the gas cell.  The golay detector possesses the same sensitivity as a thermocouple detector in the mid-IR region.  It is best suited when working at wavelengths greater than about 15 micron. 82
  • 83.
     Golay detectoris somewhat less convenient than many other detectors because it is more expensive and bulky.  An important advantage of this detector is that wavelength range is very wide.  The response is linear over the entire range from the UV through the visible and IR into the microwave range to wavelengths as long as 0.7 mm.  The response time is about 10-2 sec, much faster than bolometer, thermistor or thermocouple. 83
  • 84.
    Instrumentation- Detectors Photoconductivity cell This is non-thermal detector of great sensitivity.  It consists of a thin layer of lead sulfide or lead telluride supported on glass and enclosed into an evacuated glass envelope.  When IR radiation is focused on lead sulfide or lead telluride, its conductance increases and causes more current to flow.  Response time is 0.5 msec.  It is high sensitivity and good speed of response in IR detection, but it suffers from many practical disadvantages.  When operated at RT, it has very restricted range, usually limited to the near IR.  The range can be broadened by drastic cooling. 84
  • 85.
  • 86.
  • 87.
  • 88.
  • 89.
    Instrumentation Solvents 1. Must betransparent in the region studied: no single solvent is transparent throughout the entire IR region  Water and alcohols are seldom employed to avoid O-H band of water .  Must be chemically inert (does not react with substance or cell holder).  CCl4, CS2, or CHCl3; may be used but we should consider its IR spectrum Cells - NaCl or KCl cells may be used (moisture from air and sample should be avoided: even with care, their surfaces eventually become fogged due to absorption of moisture) - Very thin (path length = 0.1 to 1.0 mm) - Sample concentration = about 0.1 – 10% 89
  • 90.
    90 (a) A setof NaCl salts plates; (b) a fixed pathlength (0.5 mm) sample cell with NaCl windows; and (c) a disposable card with a polyethylene window that is IR transparent
  • 91.
  • 92.
    Fourier-transform infrared spectroscopy(FTIR)  It does not scan the sample sequentially from wavelength to wavelength .  Use Michelson’s Interferometer.  Interference of radiation between two beams to yield interferogram.  A signal is produced as a function of change of pathlength between two beams.  FTIR is a technique used to obtain an IR spectrum of absorption or emission of a solid, liquid or gas.  Collects high-spectral-resolution data over a wide spectral range.  This confers a significant advantage over a dispersive spectrometer, which measures intensity over a narrow range of wavelengths at a time.  The term Fourier-transform infrared spectroscopy originates from the fact that a Fourier transform (a mathematical process) is required to convert the raw data into the actual spectrum.  DOES NOT CONTAIN MONOCHROMATOR  CONTAINS MICHELSON INTERFEROMETER 92
  • 93.
     FTIR spectroscopyoffers a vast array of analytical opportunities in academic, analytical, QA/QC and forensic labs.  FTIR covers a wide range of chemical applications, especially for polymers and organic compounds. So, what is FTIR?  The Fourier Transform converts the detector output to an interpretable spectrum.  The FTIR generates spectra with patterns that provide structural insights. 93
  • 94.
    Dispersive spectroscopy VsFourier-transform spectroscopy Absorption spectroscopy  The goal of any absorption spectroscopy (FTIR, ultraviolet-visible spectroscopy, etc.) is to measure how well a sample absorbs light at each wavelength.  The most straightforward way to do this, the "dispersive spectroscopy" technique, is to shine a monochromatic light beam at a sample, measure how much of the light is absorbed, and repeat for each different wavelength.  This is how some UV–vis spectrometers work. Fourier-transform spectroscopy  Fourier-transform spectroscopy is a less natural way to obtain the same information. Rather than shining a monochromatic beam of light at the sample, this technique shines a beam containing many frequencies of light at once and measures how much of that beam is absorbed by the sample. Next, the beam is modified to contain a different combination of frequencies, giving a second data point. This process is repeated many times. Afterward, a computer takes all this data and works backward to infer what the absorption is at each wavelength.
  • 95.
    Introduction to FTIR Fouriertransformation Fourier transformation pair • The interferogram signal is recorded as a function of optical path difference • The interferogram is comparable to a time domain signal (eg. a recorded sound) and the spectrum represents the same information in frequency domain (eg. the frequency of the same sound) • Fourier transformation is the mathematical relation between the interferogram and the spectrum (in general, between time domain signal and frequency signal) • A pure cosine wave in the interferogram transforms to a perfectly sharp narrow spike in the spectrum OPD / cm Intensity Intensity Wave number / cm-1
  • 97.
     The beamdescribed above is generated by starting with a broadband light source—one containing the full spectrum of wavelengths to be measured.  The light shines into a Michelson interferometer—a certain configuration of mirrors, one of which is moved by a motor.  As this mirror moves, each wavelength of light in the beam is periodically blocked, transmitted, blocked, transmitted, by the interferometer, due to wave interference.  Different wavelengths are modulated at different rates, so that at each moment the beam coming out of the interferometer has a different spectrum.  As mentioned, computer processing is required to turn the raw data (light absorption for each mirror position) into the desired result (light absorption for each wavelength).  The processing required turns out to be a common algorithm called the Fourier transform (hence the name "Fourier-transform spectroscopy"). The raw data is sometimes called an "interferogram".
  • 98.
     In aMichelson interferometer adapted for FTIR, light from the polychromatic infrared source, approximately a black-body radiator, is collimated and directed to a beam splitter.  Ideally 50% of the light is refracted towards the fixed mirror and 50% is transmitted towards the moving mirror.  Light is reflected from the two mirrors back to the beam splitter and some fraction of the original light passes into the sample compartment.  There, the light is focused on the sample.  On leaving the sample compartment the light is refocused on to the detector.  The difference in optical path length between the two arms to the interferometer is known as the retardation or optical path difference (OPD).  An interferogram is obtained by varying the retardation and recording the signal from the detector for various values of the retardation.  The form of the interferogram when no sample is present depends on factors such as the variation of source intensity and splitter efficiency with wavelength.  This results in a maximum at zero retardation, when there is constructive interference at all wavelengths, followed by series of "wiggles".  The position of zero retardation is determined accurately by finding the point of maximum intensity in the interferogram.  When a sample is present the background interferogram is modulated by the presence of absorption bands in the sample.
  • 99.
  • 100.
  • 101.
    Possible Interferences  InPhase- Constructive  Out-of-phase- Destructive  Interference 3 4
  • 102.
    102  When movingmirror is in the original position, the two paths are identical and interference is constructive  When the moving mirror moves ¼ of wavelength, the path differenceis ½ wavelength and interference is destructive  Mirror moves back and forth at constant velocity – the intensity of the interference signal varies as a sine wave
  • 103.
     As movingmirror moves, the net signal falling on the detector is a cosine wave (cos)  Each wavelength generates its cosine wave.  IR sources are polychromatic.  At detector, summation of all these cosine waves results.  Interferogram holds spectral information in time domain.  With Fourier transformation, it is converted to frequency domain.  A graph of output light intensity Vs d is called a interferogram.  The difference in pathlength, d is given by d = 2 (OM-OS) This difference is called retardation. 103
  • 104.
    Introduction to FTIR Recordingan interferogram • Laser interferogram signal is used to digitize the IR interferogram • Single mode HeNe-laser provides a constant wavelength output at 632.8 nm • Accurate and precise digitization interval provides high wavelength accuracy in the spectrum • The data points for IR interferogram are recorded every time the mirror has moved forward by one HeNe laser wavelength • The digitized IR interferogram (an XY table) is transmitted to computer where the Fast Fourier Transform (FFT) algorithm computes the spectrum Infrared source Helium-neon laser
  • 105.
    Introduction to FTIR •IR interferogram is recorded after the IR beam passes through the interferometer and sample cell • IR interferogram contains the absorption of sample gas • Laser interferogram is produced by a helium-neon laser beam travelling through the interferometer into a special detector • Laser interferogram is a nearly ideal cosine wave • Laser interferogram tells the position of moving mirror with excellent accuracy IR and laser interferograms 950 1950 2950 3950 OPD A IR-interferogram Laser-interferogram x =632.8 nm
  • 106.
    FOURIERTRANSFORMIR SPECTROMETER INTERFEROMETER… • In theFT-IR instrument, the sample is placed between the output of the interferometer and the detector. The sample absorbs radiation of particular wavelengths. • An interferogram of a reference is needed to obtain the spectrum of the sample. • After an interferogram has been collected, a computer performs a Fast Fourier Transform, which results in a frequency domain trace (i.e. intensity vs. wave number).
  • 107.
    • The detectorused in an FT-IR instrument must respond quickly because intensity changes are rapid • Pyroelectric detectors or liquid nitrogen cooled photon detectors must be used. Thermal detectors are too slow. • To achieve a good signal to noise ratio, many interferograms are obtained and then averaged. This can be done in less time than it would take a dispersive instrument to record one scan.
  • 108.
    Interferometerconsistsof………. • Drive mechanism •Beam splitter • Source and transducers.
  • 109.
    Drive mechanism.. • Speedand planarity of the moving mirror must be constant. • Displacement of the mirror can be measured by a motor driven micrometer screw.
  • 110.
    Additional features ofmirror system …. • Sampling the interferogram at precisely spaced retardation intervals. • Determining exactly the zero retardation point in order to permit signal averaging.
  • 111.
    Beam splitter • Theseare constructed of transparent materials having refractive indices 50% radiation is reflected and 50% is transmitted. –Mylar sandwiched between two plate of a low refractive index solid. –Thin film of germanium or silicon deposited on cesium iodide or bromide , Nacl, KBr are satisfactory for mid IR regions. –Iron(III) oxide is deposited on calcium fluoride for near IR region.
  • 112.
    Sources and Transducers •Generally thermal transducers are not adapted to FTIR because of their slow responses time. • Pyroelectric transducers: – Exhibit fast response time , and allow them to track the changes in time domain signal from interferometer. – Triglycine sulfate pyroelectric transducers are widely used for mid IR. • Photoconduction transducers: Where better sensitivity or faster response times are required by liquid-nitrogen cooled , mercury/cadmium or indium antimonite, lead sulfide photoconductive transducers are employed.
  • 117.
    Introduction to FTIR Advantagesof FTIR spectroscopy • Speed (Felgett advantage): All the frequencies are recorded simultaneously; a complete spectrum is measured in less than a second. • Sensitivity (Jacquinot or Throughput advantage): In the interferometer, the radiation power transmitted on to the detector is very high which results in high sensitivity. • Internally Calibrated (Connes advantage): FTIR spectrometers employ a HeNe laser as an internal wavelength calibration standard, no need to be calibrated by the user. • Multicomponent capability: Since the whole infrared spectrum is measured continuously, all infrared active components can be identified and their concentrations determined.
  • 118.
    • use signalaveraging to increase signal-to-noise (S/N) • higher inherent S/N – no slits, less optical equipment, • higher light intensity • high resolution (<0.1 cm-1) • Study of sample with high absorbance • Investigation of kinetic studies / detection of chromatographic elutes.
  • 119.
    Four major samplingtechniques in FTIR: • Transmission • Attenuated Total Reflection (ATR) • Specular Reflection • Diffuse Reflectance 1
  • 120.
  • 121.
  • 122.
  • 123.
  • 124.
  • 125.
  • 126.
  • 127.
  • 128.
  • 129.
  • 130.
  • 131.
  • 132.
  • 133.
  • 134.
  • 135.
  • 136.
  • 137.
  • 138.
  • 139.
  • 140.
  • 141.
  • 142.
  • 143.
  • 144.
  • 145.
  • 146.
  • 147.
  • 148.
  • 149.
  • 150.
    Diffuse Reflectance InfraredF ourier Transform Spectroscop y (DRIFTS) Introduction to FTIR
  • 151.
  • 152.
  • 153.
  • 154.
  • 155.
  • 156.
  • 157.
  • 158.
  • 159.
  • 160.
    Interpretation of spectra •amines, alcohols, amides, nitriles, ketones, aldehydes, esters, acids, nitro and anhydrides Introduction to FTIR
  • 161.
    • Fingerprint region •Identification- group frequency region Introduction to FTIR
  • 162.
  • 163.
  • 164.
  • 165.
  • 166.
  • 167.
  • 168.
  • 169.
  • 170.
  • 171.
  • 172.
  • 173.
  • 174.
  • 175.
  • 176.
  • 177.
  • 178.
  • 179.
  • 180.
  • 181.
  • 182.
  • 183.
  • 184.
  • 185.
  • 186.
    REFERENCE 1. Principles ofInstrumental Analysis- Douglas A Skoog p.no: 392-399 2. Instrumental Methods of Analysis- H. Willard p.no: 302-304