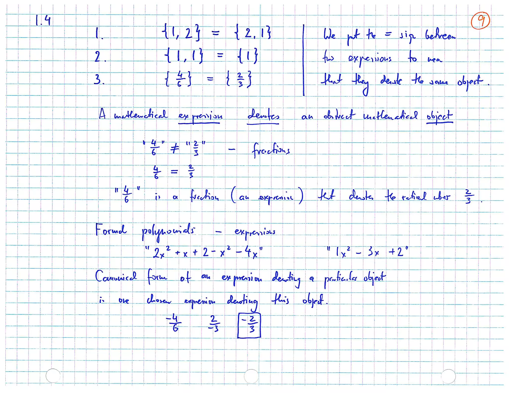
Selected items from the Introduction to Set Theory and to Methodology and Philosophy of Mathematics and Computer Programming.