1




                      UJI COBA UJIAN NASIONAL

                                                                     UJI COBA UN PAKET IV



                                PELAKSANAAN
Mata Pelajaran        : IPA
Hari/Tanggal          : Kamis , 11 Februari 2010
Waktu                 : 120 Menit

                              PETUNJUK UMUM

   1. Isikan identitas anda ke dalam Lembar Jawaban Uji Coba Ujian Nasional (LJUC-UN) yang
      tersedia dengan menggunakan pensil 2B sesuai petunjuk di LJUC-UN
   2. Hitamkan bulatan di depan nama mata ujian pada LJUC-UN.
   3. Tersedia waktu 120 menit untuk mengerjakan paket tes tersebut
   4. Jumlah soal sebanyak 40 butir, pada setiap butir soal terdapat 4 (empat) pilihan jawaban
   5. Periksa dan bacalah soal-soal sebelum Anda menjawabnya
   6. Mintalah kertas buram kepada pengawas ujian, bila diperlukan.
   7. Tidak diijinkan menggunakan kalkulator,HP,atau alat bantu hitung lainnya
   8. Periksalah pekerjaan Anda sebelum diserahkan kepada pengawas ujian
   9. Lembar soal tidak boleh dicoret-coret.
2


1. Pehatikan hubungan berikut. Pernyataan yang benar adalah.......
            Besaran        Satuan         Alat ukur
     a.     Suhu           kalori        Termometer
     b.     Waktu          detik         stopwatch
     c.     Massa          newton        Neraca
     d.     panjang        kilometer     Jangka sorong

2. Perhatikan gambar berikut !


       Angka yang ditunjukkan oleh
       neraca ohaus adalah.......gram
       27,58
       275, 8
       278,0
       280,5


3. Perhatikan gambar berikut !
         Jika massa balok 64,8 gram,
         massa                jenisnya
         adalah....g/cm3
         1,6           c. 2,7
         2,1           d. 3,2

4. Perhatikan tabel di bawah ini!

       Jika benda – benda di samping dipanaskan pada
       suhu yang sama secara besar-besaran maka
       pertambahan      panjang     benda     tersebut
       adalah........
       benda 4 lebih panjang dari pada benda 3
       benda 3 lebih panjang daripada benda 2
       benda 2 lebih panjang daripada benda 1
       benda 1 lebih panjang daripada benda 4

5. Sebanyak 500 gram air dipanaskan dari suhu 30oC sampai 80oC. Bila kalor jenis
      air 4.200 J/kgoC maka kalor yang diperlukan adalah......Joule
             a. 210.000                     c. 105.000
             b. 168.000                     d. 63.000

6. Grafik hubungan antara kelajuan (v) dan waktu (t) pada benda yang dilempar ke
      atas dan kembali lagi ke tanah adalah........

                    v                                 v
                                              c.
             a.

                              t                                t
                    v                                 v
             b.                               d.


                                  t                            t

7. Generator adalah alat yang digunakan untuk mengubah energi..........
         a. listrik menjadi energi potensial
         b. kinetik menjadi energi listrik
         c. kimia menjadi energi listrik
         d. potensial menjadi energi kinetik
1




1
    Ketekunan dalam belajar, membuat engkau semakin mantap menapaki hari esok (Viregar)
3


2


8. Perhatikan gambar berikut ini !

                                                     F1                 F2
    Jika luas penampang A2 = 200A1, maka
    perbandingan F1 : F2 sama dengan.........         A1           A2
    400 : 1
    200 : 1
    1 : 400
    1 : 200                                               Cairan



9. Cintya mendorong meja dengan kecepatan 12 m/s. Jika massa meja tersebut 12
    kg maka energi kinetik meja adalah.......joule.
         a. 144                           c. 864
         b. 288                           d. 432

10. Keuntungan mekanis terbesar ditunjukkan oleh gambar......


            a.                                  c.
                                         F                                   F

                                                d.
            b.                                                               F
                                         F

11. Periode getaran A adalah 2 kali periode getaran B. Jika frekuensi getaran A sama
    dengan 50 Hz, maka frekuensi getaran B adalah......Hz.
          a. 25                         c. 75
          b. 50                         d. 100

12. Dalam kehidupan sehari-hari, ditemukan kejadian pemantulan gelombang seperti
    berikut ini, kecuali.......
           a. nada yang berubah pada alat musik
           b. gema yang terjadi di dalam gua
           c. gaung dalam ruang bioskop
           d. gelombang panjang yang diterima antena
13. Sebuah paku yang terletak tegak 20 cm di depan sebuah cermin cekung
    mempunyai bayangan yang jaraknya 60 cm di depan cermin. Jarak fokus cermin
    adalah......
           a. 12 cm                      c. 30 cm
           b. 15 cm                      d. 60 cm

14. Seorang hanya mampu melihat jelas benda di depan matanya pada titik terjauh
    100 cm. Orang ini memerlukan kacamata berkekuatan......
          a. -1 dioptri               c. -3 dioptri
          b. +1 dioptri               d. +3 dioptri

15. Dua bola konduktor M dan N yang sama besar bermuatan listrik seperti terlihat
    pada gambar. Bila M dan N dihubungkan dengan kawat penghantar, terjadi aliran
    elektron dari........

     M   ke N sampai bola N bermuatan 4C
     N   ke M sampai kedua bola bermuatan 2               M                  N
     C
                                                          +4                 +2
     N   ke M sampai kedua bola bermuatan 3
     C
     M   ke N sampai kedua bola netral




2
 Biarkan semua orang yang telah berjasa kepadamu tersenyum bangga ketika menyaksikan
keberhasilanmu (Viregar)
4




16. Perhatikan gambar berikut !
                                                          L2            L3


                                              L1                                  L4
   Apabila lampu L3 dilepas maka yang
   akan terjadi adalah......                                       L5
   L1, L5 menyala dan L2, L4 padam
   L1,L2,L4 padam dan L5 menyala
   L1,L2.L5 menyala dan L4 padam
   L2 padam dan L1,L4,L5 menyala




17. Sebuah penghantar listrik yang memiliki nilai resistansi 20 Ω selama 5 menit
    dialiri arus listrik 0,5 A maka besar energi listrik pada penghantar itu adalah.....
             a. 25 J                         c. 750 J
             b. 250 J                        d. 1.500 J

18. Perhatikan gambar berikut !



     Setelah kedua batang besi tersebut
     digosok berulang kali maka kutub-                               S                      U
     kutub yang dihasilkan adalah.........                     U                      S
     KLMNa.SelatanUtaraUtaraSelatanb.Utar
     aSelatanSelatanUtarac.SelatanUtaraSel          K     L                  M    N
     atanUtarad.utaraselatanutaraselatan



19. Matahari setiap terbit selalu tampak dari timur ke barat. Sebenarnya hal ini
    disebabkan.......
          a. rotasi bumi dari timur ke barat
          b. rotasi bumi dari barat ke timur
          c. revolusi bumi dari timur ke barat
          d. revolusi bumi dari barat ke timur

20. Gejala macam ini menunjukkan terjadinya.......

     pasang   surut
                                                          bumi                   matahari
     pasang   naik
                                              Bulan                Bulan
     pasang   naik maksimum                   purnama              baru
     pasang   naik minimum


21. Salah satu perbedaan ciri hewan dan tumbuhan adalah.......
           a. Hewan bergerak aktif, tumbuhan bergerak pasif
           b. Iritabilitas hewan lambat, iritabilitas tumbuhan lambat
           c. Hewan melakukan respirasi, tumbuhan melakukan fotosintesis
           d. Pertumbuhan hewan terus menerus, pertumbuhan tumbuhan terbatas

22. Beberapa ciri sel otot sebagai berikut !
    1. bentuk panjang                  4. berinti banyak
    2. bentuk pendek                   5. tidak berwarna
    3. berinti tunggal                 6. warna mearh muda / tua
    ciri yang dimiliki sel otot lurik adalah.......
            a. 1, 3, dan 5                     c. 2, 3, dan 5
            b. 1, 4, dan 6                     d. 2, 4, dan 6

23. Amilum oleh enzim ptialin diubah menjadi maltosa / glukosa. Proses pencernaan
    enzimatik diatas berlangsung dalam......
          a. Lambung                      c. mulut
          b. Kerongkongan                 d. Usus halus
5




24. Urutan takson pada makluk hidup dari tingkat tinggi ke tingkat rendah yang
    benar adalah.....
          a. kelas – genus – familia – ordo – species
          b. kelas – ordo – genus – familia – species
          c. kelas – familia – ordo – genus – species
          d. kelas – ordo – familia – genus – species

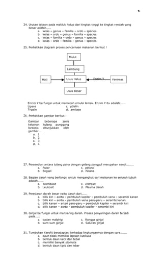
25. Perhatikan diagram proses pencernaan makanan berikut !


                                   Mulut



                                  Lambung


             Hati              Usus Halus         Enzim Y       Pankreas



                                  Usus Besar



   Enzim Y berfungsi untuk memecah emulsi lemak. Enzim Y itu adalah......
   Lipase                    c. ptialin
   Tripsin                   d. amilase

26. Perhatikan gambar berikut !
   Gambar     beberapa   jenis
   kelainan tulang punggung
   lordosis  ditunjukkan  oleh
   gambar...
       a. 1
       b. 2
       c. 3
       d. 4




27. Persendian antara tulang paha dengan gelang panggul merupakan sendi........
          a. Putar                      c. peluru
          b. Engsel                     d. Pelana

28. Bagian darah yang berfungsi untuk mengangkut sari makanan ke seluruh tubuh
    adalah......
          a. Trombosit                  c. eritrosit
          b. Leukosit                   d. Plasma darah

29. Peredaran darah besar yaitu darah dari......
          a. bilik kiri – aorta – pembuluh kapiler – pembuluh vena – serambi kanan
          b. bilik kiri – aorta – pembuluh vena paru-paru – serambi kanan
          c. bilik kanan – arteri paru-paru – pembuluh kapiler – serambi kiri
          d. bilik kanan – aorta – pembuluh kapiler – serambi kiri

30. Ginjal berfungsi untuk menyaring darah. Proses penyaringan darah terjadi
    pada.....
           a. badan malphigi             c. Rongga ginjal
           b. sum-sum ginjal             d. Saluran ginjal


31. Tumbuhan Xerofit beradaptasi terhadap lingkungannya dengan cara.......
         a. daun tidak memiliki lapisan kutikula
         b. bentuk daun kecil dan tebal
         c. memiliki banyak stomata
         d. bentuk daun tipis dan lebar
6




32. Cara beradaptasi ikan yang hidup di air laut terhadap kadar garam tinggi
    adalah......
          a. banyak minum, urine sedikit dan pekat
          b. banyak minum, urine banyak dan pekat
          c. sedikit minum, urine banyak dan encer
          d. sedikit minum, urine banyak dan encer

33. Faktor penyebab terjadinya seleksi alam adalah sebagai berikut, kecuali......
           a. Kepunahan suatu jenis organisme akibat tidak mampu beradaptasi
              terhadap perubahan lingkungan
           b. Terbentuknya species baru akibat peristiwa evolusi
           c. Adanya persaingan hidup
           d. Bertambahnya jumlah populasi makluk hidup

34. Pasangan genotip homozigot resesif dapat dituliskan sebagai berikut.....
          a. BB                          c. Aa
          b. AA                          d. Aa

35. Perhatikan bagan persilangan berikut!
    Parental .............(P)...............Merah (MM) x putih (mm)
    Filial...................(F1).............Merah muda (Mm)
    Bila F1 disilangkan sesamanya maka persentase munculnya warna merah
    muda.........
              a. 100%                               c. 50%
              b. 75%                                d. 25%

36. Jika genotip parental...........(P1) adalah BBHH x bbhh maka kemungkinan yang
    bergenotip BBHH pada F2 adalah............
           a. 1/16                            c. 9/16
           b. 3/16                            d. 12/16

37. Perhatikan daftar berikut !
    1. aluna                 4. klorofil
    2. tartrazine            5. indigo karmin
    3. kurkumin              6. beta karoten
    Makanan yang merupakan zat pewarna alami ditunjukkan oleh nomor.......
           a. 1, 2, dan 3                 c. 2, 5, dan 6
           b. 1, 3, dan 6                 d. 3, 4, dan 6

38. Bahan pengawet mayat yang sering disalahgunakan sebagai pengawet makanan
    adalah......
          a. Kaolin                    c. sakarin
          b. kurkumin                  d. formalin

39. Bahan penyedap makanan yang sering digunakan dan berbahaya bagi kesehatan
    adalah......
          a. Garam                    c. MSG
          b. gula aren                d. Kayu manis

40. Untuk mencegah gangguan bakteri terhadap makanan seperti telur dan ikan,
    maka pada makanan tersebut perlu ditambahkan......
          a. Gula                       c. garam
          b. Madu                       d. Kunyit

Victor uji coba un iv

  • 1.
    1 UJI COBA UJIAN NASIONAL UJI COBA UN PAKET IV PELAKSANAAN Mata Pelajaran : IPA Hari/Tanggal : Kamis , 11 Februari 2010 Waktu : 120 Menit PETUNJUK UMUM 1. Isikan identitas anda ke dalam Lembar Jawaban Uji Coba Ujian Nasional (LJUC-UN) yang tersedia dengan menggunakan pensil 2B sesuai petunjuk di LJUC-UN 2. Hitamkan bulatan di depan nama mata ujian pada LJUC-UN. 3. Tersedia waktu 120 menit untuk mengerjakan paket tes tersebut 4. Jumlah soal sebanyak 40 butir, pada setiap butir soal terdapat 4 (empat) pilihan jawaban 5. Periksa dan bacalah soal-soal sebelum Anda menjawabnya 6. Mintalah kertas buram kepada pengawas ujian, bila diperlukan. 7. Tidak diijinkan menggunakan kalkulator,HP,atau alat bantu hitung lainnya 8. Periksalah pekerjaan Anda sebelum diserahkan kepada pengawas ujian 9. Lembar soal tidak boleh dicoret-coret.
  • 2.
    2 1. Pehatikan hubunganberikut. Pernyataan yang benar adalah....... Besaran Satuan Alat ukur a. Suhu kalori Termometer b. Waktu detik stopwatch c. Massa newton Neraca d. panjang kilometer Jangka sorong 2. Perhatikan gambar berikut ! Angka yang ditunjukkan oleh neraca ohaus adalah.......gram 27,58 275, 8 278,0 280,5 3. Perhatikan gambar berikut ! Jika massa balok 64,8 gram, massa jenisnya adalah....g/cm3 1,6 c. 2,7 2,1 d. 3,2 4. Perhatikan tabel di bawah ini! Jika benda – benda di samping dipanaskan pada suhu yang sama secara besar-besaran maka pertambahan panjang benda tersebut adalah........ benda 4 lebih panjang dari pada benda 3 benda 3 lebih panjang daripada benda 2 benda 2 lebih panjang daripada benda 1 benda 1 lebih panjang daripada benda 4 5. Sebanyak 500 gram air dipanaskan dari suhu 30oC sampai 80oC. Bila kalor jenis air 4.200 J/kgoC maka kalor yang diperlukan adalah......Joule a. 210.000 c. 105.000 b. 168.000 d. 63.000 6. Grafik hubungan antara kelajuan (v) dan waktu (t) pada benda yang dilempar ke atas dan kembali lagi ke tanah adalah........ v v c. a. t t v v b. d. t t 7. Generator adalah alat yang digunakan untuk mengubah energi.......... a. listrik menjadi energi potensial b. kinetik menjadi energi listrik c. kimia menjadi energi listrik d. potensial menjadi energi kinetik 1 1 Ketekunan dalam belajar, membuat engkau semakin mantap menapaki hari esok (Viregar)
  • 3.
    3 2 8. Perhatikan gambarberikut ini ! F1 F2 Jika luas penampang A2 = 200A1, maka perbandingan F1 : F2 sama dengan......... A1 A2 400 : 1 200 : 1 1 : 400 1 : 200 Cairan 9. Cintya mendorong meja dengan kecepatan 12 m/s. Jika massa meja tersebut 12 kg maka energi kinetik meja adalah.......joule. a. 144 c. 864 b. 288 d. 432 10. Keuntungan mekanis terbesar ditunjukkan oleh gambar...... a. c. F F d. b. F F 11. Periode getaran A adalah 2 kali periode getaran B. Jika frekuensi getaran A sama dengan 50 Hz, maka frekuensi getaran B adalah......Hz. a. 25 c. 75 b. 50 d. 100 12. Dalam kehidupan sehari-hari, ditemukan kejadian pemantulan gelombang seperti berikut ini, kecuali....... a. nada yang berubah pada alat musik b. gema yang terjadi di dalam gua c. gaung dalam ruang bioskop d. gelombang panjang yang diterima antena 13. Sebuah paku yang terletak tegak 20 cm di depan sebuah cermin cekung mempunyai bayangan yang jaraknya 60 cm di depan cermin. Jarak fokus cermin adalah...... a. 12 cm c. 30 cm b. 15 cm d. 60 cm 14. Seorang hanya mampu melihat jelas benda di depan matanya pada titik terjauh 100 cm. Orang ini memerlukan kacamata berkekuatan...... a. -1 dioptri c. -3 dioptri b. +1 dioptri d. +3 dioptri 15. Dua bola konduktor M dan N yang sama besar bermuatan listrik seperti terlihat pada gambar. Bila M dan N dihubungkan dengan kawat penghantar, terjadi aliran elektron dari........ M ke N sampai bola N bermuatan 4C N ke M sampai kedua bola bermuatan 2 M N C +4 +2 N ke M sampai kedua bola bermuatan 3 C M ke N sampai kedua bola netral 2 Biarkan semua orang yang telah berjasa kepadamu tersenyum bangga ketika menyaksikan keberhasilanmu (Viregar)
  • 4.
    4 16. Perhatikan gambarberikut ! L2 L3 L1 L4 Apabila lampu L3 dilepas maka yang akan terjadi adalah...... L5 L1, L5 menyala dan L2, L4 padam L1,L2,L4 padam dan L5 menyala L1,L2.L5 menyala dan L4 padam L2 padam dan L1,L4,L5 menyala 17. Sebuah penghantar listrik yang memiliki nilai resistansi 20 Ω selama 5 menit dialiri arus listrik 0,5 A maka besar energi listrik pada penghantar itu adalah..... a. 25 J c. 750 J b. 250 J d. 1.500 J 18. Perhatikan gambar berikut ! Setelah kedua batang besi tersebut digosok berulang kali maka kutub- S U kutub yang dihasilkan adalah......... U S KLMNa.SelatanUtaraUtaraSelatanb.Utar aSelatanSelatanUtarac.SelatanUtaraSel K L M N atanUtarad.utaraselatanutaraselatan 19. Matahari setiap terbit selalu tampak dari timur ke barat. Sebenarnya hal ini disebabkan....... a. rotasi bumi dari timur ke barat b. rotasi bumi dari barat ke timur c. revolusi bumi dari timur ke barat d. revolusi bumi dari barat ke timur 20. Gejala macam ini menunjukkan terjadinya....... pasang surut bumi matahari pasang naik Bulan Bulan pasang naik maksimum purnama baru pasang naik minimum 21. Salah satu perbedaan ciri hewan dan tumbuhan adalah....... a. Hewan bergerak aktif, tumbuhan bergerak pasif b. Iritabilitas hewan lambat, iritabilitas tumbuhan lambat c. Hewan melakukan respirasi, tumbuhan melakukan fotosintesis d. Pertumbuhan hewan terus menerus, pertumbuhan tumbuhan terbatas 22. Beberapa ciri sel otot sebagai berikut ! 1. bentuk panjang 4. berinti banyak 2. bentuk pendek 5. tidak berwarna 3. berinti tunggal 6. warna mearh muda / tua ciri yang dimiliki sel otot lurik adalah....... a. 1, 3, dan 5 c. 2, 3, dan 5 b. 1, 4, dan 6 d. 2, 4, dan 6 23. Amilum oleh enzim ptialin diubah menjadi maltosa / glukosa. Proses pencernaan enzimatik diatas berlangsung dalam...... a. Lambung c. mulut b. Kerongkongan d. Usus halus
  • 5.
    5 24. Urutan taksonpada makluk hidup dari tingkat tinggi ke tingkat rendah yang benar adalah..... a. kelas – genus – familia – ordo – species b. kelas – ordo – genus – familia – species c. kelas – familia – ordo – genus – species d. kelas – ordo – familia – genus – species 25. Perhatikan diagram proses pencernaan makanan berikut ! Mulut Lambung Hati Usus Halus Enzim Y Pankreas Usus Besar Enzim Y berfungsi untuk memecah emulsi lemak. Enzim Y itu adalah...... Lipase c. ptialin Tripsin d. amilase 26. Perhatikan gambar berikut ! Gambar beberapa jenis kelainan tulang punggung lordosis ditunjukkan oleh gambar... a. 1 b. 2 c. 3 d. 4 27. Persendian antara tulang paha dengan gelang panggul merupakan sendi........ a. Putar c. peluru b. Engsel d. Pelana 28. Bagian darah yang berfungsi untuk mengangkut sari makanan ke seluruh tubuh adalah...... a. Trombosit c. eritrosit b. Leukosit d. Plasma darah 29. Peredaran darah besar yaitu darah dari...... a. bilik kiri – aorta – pembuluh kapiler – pembuluh vena – serambi kanan b. bilik kiri – aorta – pembuluh vena paru-paru – serambi kanan c. bilik kanan – arteri paru-paru – pembuluh kapiler – serambi kiri d. bilik kanan – aorta – pembuluh kapiler – serambi kiri 30. Ginjal berfungsi untuk menyaring darah. Proses penyaringan darah terjadi pada..... a. badan malphigi c. Rongga ginjal b. sum-sum ginjal d. Saluran ginjal 31. Tumbuhan Xerofit beradaptasi terhadap lingkungannya dengan cara....... a. daun tidak memiliki lapisan kutikula b. bentuk daun kecil dan tebal c. memiliki banyak stomata d. bentuk daun tipis dan lebar
  • 6.
    6 32. Cara beradaptasiikan yang hidup di air laut terhadap kadar garam tinggi adalah...... a. banyak minum, urine sedikit dan pekat b. banyak minum, urine banyak dan pekat c. sedikit minum, urine banyak dan encer d. sedikit minum, urine banyak dan encer 33. Faktor penyebab terjadinya seleksi alam adalah sebagai berikut, kecuali...... a. Kepunahan suatu jenis organisme akibat tidak mampu beradaptasi terhadap perubahan lingkungan b. Terbentuknya species baru akibat peristiwa evolusi c. Adanya persaingan hidup d. Bertambahnya jumlah populasi makluk hidup 34. Pasangan genotip homozigot resesif dapat dituliskan sebagai berikut..... a. BB c. Aa b. AA d. Aa 35. Perhatikan bagan persilangan berikut! Parental .............(P)...............Merah (MM) x putih (mm) Filial...................(F1).............Merah muda (Mm) Bila F1 disilangkan sesamanya maka persentase munculnya warna merah muda......... a. 100% c. 50% b. 75% d. 25% 36. Jika genotip parental...........(P1) adalah BBHH x bbhh maka kemungkinan yang bergenotip BBHH pada F2 adalah............ a. 1/16 c. 9/16 b. 3/16 d. 12/16 37. Perhatikan daftar berikut ! 1. aluna 4. klorofil 2. tartrazine 5. indigo karmin 3. kurkumin 6. beta karoten Makanan yang merupakan zat pewarna alami ditunjukkan oleh nomor....... a. 1, 2, dan 3 c. 2, 5, dan 6 b. 1, 3, dan 6 d. 3, 4, dan 6 38. Bahan pengawet mayat yang sering disalahgunakan sebagai pengawet makanan adalah...... a. Kaolin c. sakarin b. kurkumin d. formalin 39. Bahan penyedap makanan yang sering digunakan dan berbahaya bagi kesehatan adalah...... a. Garam c. MSG b. gula aren d. Kayu manis 40. Untuk mencegah gangguan bakteri terhadap makanan seperti telur dan ikan, maka pada makanan tersebut perlu ditambahkan...... a. Gula c. garam b. Madu d. Kunyit