Download free for 30 days
Sign in
Upload
Language (EN)
Support
Business
Mobile
Social Media
Marketing
Technology
Art & Photos
Career
Design
Education
Presentations & Public Speaking
Government & Nonprofit
Healthcare
Internet
Law
Leadership & Management
Automotive
Engineering
Software
Recruiting & HR
Retail
Sales
Services
Science
Small Business & Entrepreneurship
Food
Environment
Economy & Finance
Data & Analytics
Investor Relations
Sports
Spiritual
News & Politics
Travel
Self Improvement
Real Estate
Entertainment & Humor
Health & Medicine
Devices & Hardware
Lifestyle
Change Language
Language
English
Español
Português
Français
Deutsche
Cancel
Save
Submit search
EN
JB
Uploaded by
Jo Borchsenius
4,843 views
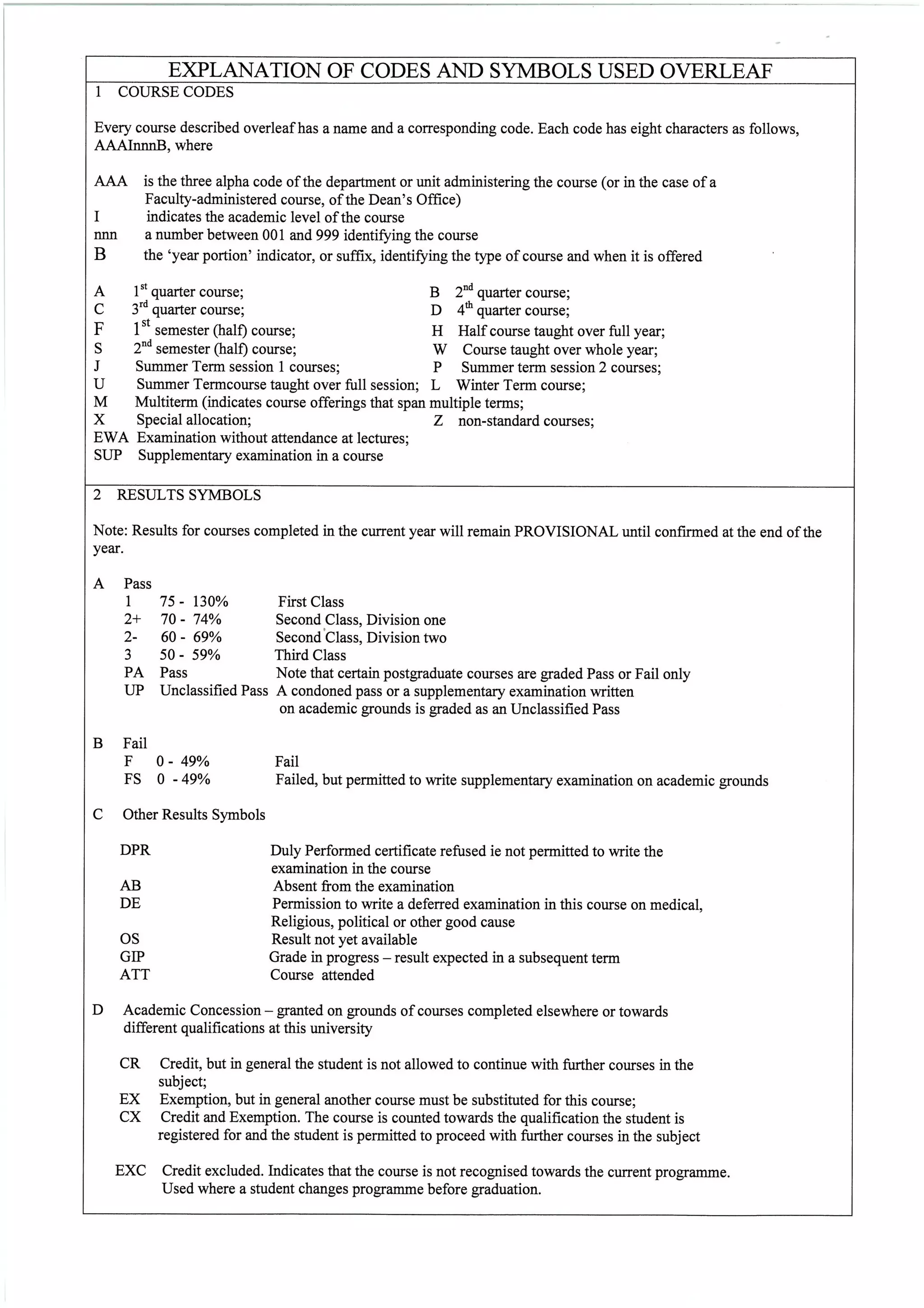
UCT Transcript of official academic record
Read more
1
Save
Share
Embed
Embed presentation
Download
Downloaded 77 times
1
/ 2
2
/ 2
Most read
More Related Content
PDF
official_transcript
by
Michael Seymour
PDF
FINAL TRANSCRIPT
by
Kylie Janse van Vuuren
PDF
Transcript Bachelor
by
S L
PDF
full academic record + proof of registration
by
Ruari Harrison
PDF
Degree transcript
by
Saidy Lca M.N.
PDF
University of Phoenix Transcripts
by
david hudgings
PDF
BSST Official Transcript Sean
by
Sean Robinson
PDF
Sydney Uni Complete Academic Transcript
by
Jien Tzen Wong
official_transcript
by
Michael Seymour
FINAL TRANSCRIPT
by
Kylie Janse van Vuuren
Transcript Bachelor
by
S L
full academic record + proof of registration
by
Ruari Harrison
Degree transcript
by
Saidy Lca M.N.
University of Phoenix Transcripts
by
david hudgings
BSST Official Transcript Sean
by
Sean Robinson
Sydney Uni Complete Academic Transcript
by
Jien Tzen Wong
What's hot
PDF
Transcript
by
Alan Berman
PDF
BA transcript
by
David Hartness, MBA
PDF
Official Transcript
by
David Levin
PDF
Lancaster University - Transcript
by
Martin Andreev
PDF
Academic Transcript-23 Dec 2013
by
Lusiana Susilo
PDF
University of Stellenbosch Academic Results
by
Margie Nortje
PDF
Diploma certificate
by
Hang Nguyen
PDF
UCT Certificate BSc
by
Roberto Gomes
PDF
Bachelor in Business Administration - Academic Transcripts -JDV.
by
Juan David Vega
PDF
University of Bradford transcripts - LAITH ALHAMZAH year 2,3(1)
by
Laith Al Hamzah
PDF
Transcript
by
Mila Mamat
PDF
UQ Transcript 1
by
Patrick Johnson
PDF
Bachelors Transcript
by
sonucutu
PDF
Academic transcripts
by
Almeri Pelser
PDF
IT Diploma Scott SMart
by
Scott Smart
PDF
University of Birmingham Transcript
by
Jefred Shi
PDF
Ruben Bock University of Melbourne Academic Transcript
by
Ruben Bock
PDF
N Bell Academic Transcript - University of Sydney
by
Nicole Bell
PDF
Transcript
by
Alex Ascher
PDF
Kavi Pandya - Transcript
by
Kavi
Transcript
by
Alan Berman
BA transcript
by
David Hartness, MBA
Official Transcript
by
David Levin
Lancaster University - Transcript
by
Martin Andreev
Academic Transcript-23 Dec 2013
by
Lusiana Susilo
University of Stellenbosch Academic Results
by
Margie Nortje
Diploma certificate
by
Hang Nguyen
UCT Certificate BSc
by
Roberto Gomes
Bachelor in Business Administration - Academic Transcripts -JDV.
by
Juan David Vega
University of Bradford transcripts - LAITH ALHAMZAH year 2,3(1)
by
Laith Al Hamzah
Transcript
by
Mila Mamat
UQ Transcript 1
by
Patrick Johnson
Bachelors Transcript
by
sonucutu
Academic transcripts
by
Almeri Pelser
IT Diploma Scott SMart
by
Scott Smart
University of Birmingham Transcript
by
Jefred Shi
Ruben Bock University of Melbourne Academic Transcript
by
Ruben Bock
N Bell Academic Transcript - University of Sydney
by
Nicole Bell
Transcript
by
Alex Ascher
Kavi Pandya - Transcript
by
Kavi
Viewers also liked
PDF
Dr Lennie-UCT Transcript
by
Lennie Bazira Kyomuhangi
PDF
Academic Record
by
Bhekisizwe Mthethwa (Pr Eng MScEng)
PDF
Masters transcript
by
Turki Ghulam
PDF
Advanced Corporate Finance
by
Steven Lister
PDF
Graduate Certificate Business Administration
by
Steven Lister
PDF
BACHELOR TRANSCRIPT - TORKI GHULAM
by
Turki Ghulam
PDF
Tongan Wang Transcript 09_10_15
by
Russel Wang
PDF
bachelor_transcript
by
Sailesh Guvaju
PDF
L.Wibawa Bachelor Transcript
by
Laurencia Wibawa
PDF
Bachelor of Commerce
by
Steven Lister
PDF
Transcript_Xueyang_Xu
by
Xueyang Xu
PDF
Houston Community College Transcript
by
Jonathan Born
PDF
South University Transcript James
by
James Weime
PDF
Metro transcript
by
Lauren Borrego
PDF
University of Pittsburgh Supervision Transcripts
by
Gina Rudolph
PDF
bachelor degree 002
by
kenneth white
PDF
WIU Transcript James
by
James Weime
PDF
Purdue Transcript
by
Miriam Holbrook
PDF
Master of Project Management_Transcript, QUT
by
Yogesh Pindoliya
PDF
FinalTranscript
by
BANDAR ALHARBI
Dr Lennie-UCT Transcript
by
Lennie Bazira Kyomuhangi
Academic Record
by
Bhekisizwe Mthethwa (Pr Eng MScEng)
Masters transcript
by
Turki Ghulam
Advanced Corporate Finance
by
Steven Lister
Graduate Certificate Business Administration
by
Steven Lister
BACHELOR TRANSCRIPT - TORKI GHULAM
by
Turki Ghulam
Tongan Wang Transcript 09_10_15
by
Russel Wang
bachelor_transcript
by
Sailesh Guvaju
L.Wibawa Bachelor Transcript
by
Laurencia Wibawa
Bachelor of Commerce
by
Steven Lister
Transcript_Xueyang_Xu
by
Xueyang Xu
Houston Community College Transcript
by
Jonathan Born
South University Transcript James
by
James Weime
Metro transcript
by
Lauren Borrego
University of Pittsburgh Supervision Transcripts
by
Gina Rudolph
bachelor degree 002
by
kenneth white
WIU Transcript James
by
James Weime
Purdue Transcript
by
Miriam Holbrook
Master of Project Management_Transcript, QUT
by
Yogesh Pindoliya
FinalTranscript
by
BANDAR ALHARBI
Download