Nama Mahasiswa : Yudiansyah
Kelas : 1 Elektronika A
TUGAS MATEMATIKA 2 ( Turunan menggunakan Dalil Rantai )
Tentukan
𝑑𝑦
𝑑𝑥
dari:
1. y = √ 𝑥5
+ 6 𝑥2
+ 3 6. y =
1
√ 𝑥2−5𝑥+2
5
2. y = √ 𝑥4
+ 6𝑥 + 13
7. y = sin √ 𝑥2
+ 6𝑥
3. y= √ 𝑥2
− 5𝑥
5
8. y = cos √ 𝑥3
+ 23
4. y=
1
√ 𝑥4+2𝑥
9. y = sin
1
√ 𝑥2+2
5. y=
1
√ 𝑥2−6𝑥
3 10. y = cos
1
√ 𝑥2+6
3
Jawab :
1. y = √ 𝑥5
+ 6 𝑥2
+ 3
Misal u = x5
+6x2
+3 maka
𝑑𝑢
𝑑𝑥
= 5x4
+12x
y = √ 𝑢 = u1/2
maka
𝑑𝑦
𝑑𝑢
=
1
2
u-1/2
Jadi,
𝑑𝑦
𝑑𝑥
=
𝑑𝑢
𝑑𝑥
𝑑𝑦
𝑑𝑢
= (5x4
+12x)(
1
2
u-1/2
)
= (5x4
+12x)(
1
2
(x5
+6x2
+3)1/2
)
=
(5 𝑥4
+12x)
2√5+6 𝑥2+3
2. y = √ 𝑥4
+ 6x + 13
Misal u = x4
+ 6x+ 1 maka
𝑑𝑢
𝑑𝑥
= 4x3
+ 6
y = √ 𝑢3
= u1/3
maka
𝑑𝑦
𝑑𝑢
=
1
3
u-2/3
Jadi,
𝑑𝑦
𝑑𝑥
=
𝑑𝑢
𝑑𝑥
𝑑𝑦
𝑑𝑢
= (4 𝑥3
+ 6)(
1
3
u-2/3
)
= (4 𝑥3
+ 6)(
1
3
( 𝑥4
+ 6x+ 1)-2/3
)
=
(4 𝑥3
+ 6)
3 √( 𝑥4 + 6x+ 1)3 2
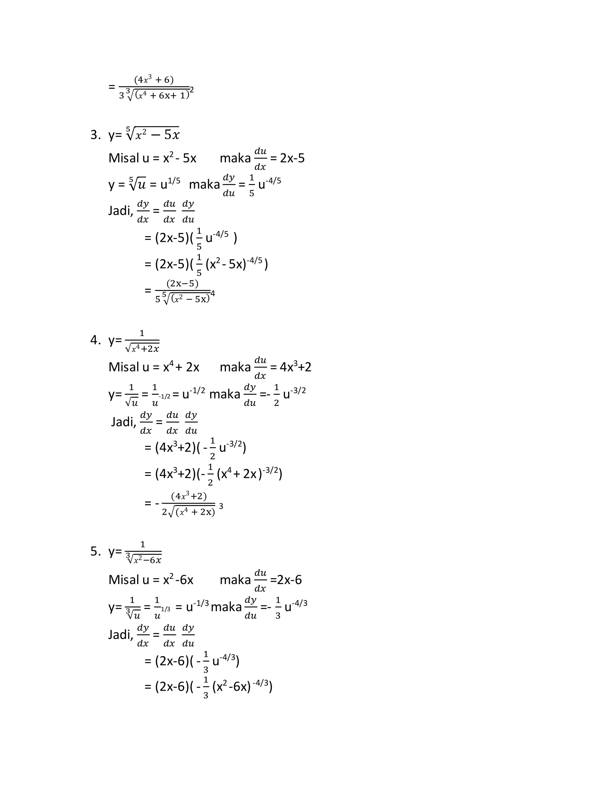
3. y= √ 𝑥2
− 5𝑥
5
Misal u = x2
- 5x maka
𝑑𝑢
𝑑𝑥
= 2x-5
y = √ 𝑢5
= u1/5
maka
𝑑𝑦
𝑑𝑢
=
1
5
u-4/5
Jadi,
𝑑𝑦
𝑑𝑥
=
𝑑𝑢
𝑑𝑥
𝑑𝑦
𝑑𝑢
= (2x-5)(
1
5
u-4/5
)
= (2x-5)(
1
5
(x2
- 5x)-4/5
)
=
(2x−5)
5 √( 𝑥2 − 5x)5 4
4. y=
1
√ 𝑥4+2𝑥
Misal u = x4
+ 2x maka
𝑑𝑢
𝑑𝑥
= 4x3
+2
y=
1
√𝑢
=
1
𝑢
-1/2 = u-1/2
maka
𝑑𝑦
𝑑𝑢
=-
1
2
u-3/2
Jadi,
𝑑𝑦
𝑑𝑥
=
𝑑𝑢
𝑑𝑥
𝑑𝑦
𝑑𝑢
= (4x3
+2)( -
1
2
u-3/2
)
= (4x3
+2)(-
1
2
(x4
+ 2x)-3/2
)
= -
(4 𝑥3
+2)
2√( 𝑥4 + 2x)
3
5. y=
1
√ 𝑥2−6𝑥
3
Misal u = x2
-6x maka
𝑑𝑢
𝑑𝑥
=2x-6
y=
1
√𝑢
3 =
1
𝑢
1/3 = u-1/3
maka
𝑑𝑦
𝑑𝑢
=-
1
3
u-4/3
Jadi,
𝑑𝑦
𝑑𝑥
=
𝑑𝑢
𝑑𝑥
𝑑𝑦
𝑑𝑢
= (2x-6)( -
1
3
u-4/3
)
= (2x-6)( -
1
3
(x2
-6x)-4/3
)
= -
(2x−6)
3 √( 𝑥2 −6x)3 4
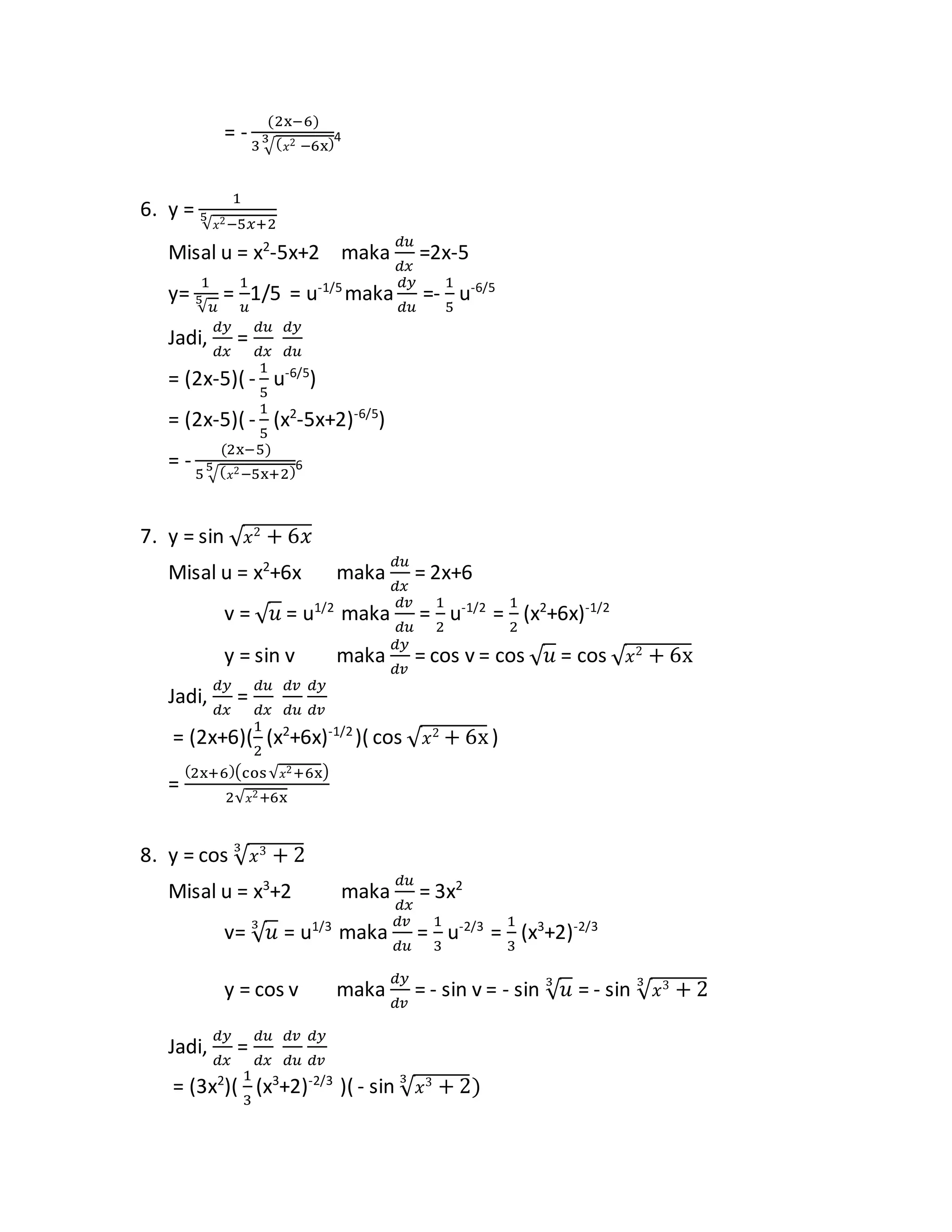
6. y =
1
√ 𝑥2−5𝑥+2
5
Misal u = x2
-5x+2 maka
𝑑𝑢
𝑑𝑥
=2x-5
y=
1
√𝑢
5 =
1
𝑢
1/5 = u-1/5
maka
𝑑𝑦
𝑑𝑢
=-
1
5
u-6/5
Jadi,
𝑑𝑦
𝑑𝑥
=
𝑑𝑢
𝑑𝑥
𝑑𝑦
𝑑𝑢
= (2x-5)( -
1
5
u-6/5
)
= (2x-5)( -
1
5
(x2
-5x+2)-6/5
)
= -
(2x−5)
5 √( 𝑥2−5x+2)5 6
7. y = sin √ 𝑥2
+ 6𝑥
Misal u = x2
+6x maka
𝑑𝑢
𝑑𝑥
= 2x+6
v = √ 𝑢 = u1/2
maka
𝑑𝑣
𝑑𝑢
=
1
2
u-1/2
=
1
2
(x2
+6x)-1/2
y = sin v maka
𝑑𝑦
𝑑𝑣
= cos v = cos √ 𝑢 = cos √ 𝑥2
+ 6x
Jadi,
𝑑𝑦
𝑑𝑥
=
𝑑𝑢
𝑑𝑥
𝑑𝑣
𝑑𝑢
𝑑𝑦
𝑑𝑣
= (2x+6)(
1
2
(x2
+6x)-1/2
)( cos √ 𝑥2
+ 6x)
=
(2x+6)(cos√ 𝑥2+6x)
2√ 𝑥2+6x
8. y = cos √ 𝑥3
+ 23
Misal u = x3
+2 maka
𝑑𝑢
𝑑𝑥
= 3x2
v= √ 𝑢3
= u1/3
maka
𝑑𝑣
𝑑𝑢
=
1
3
u-2/3
=
1
3
(x3
+2)-2/3
y = cos v maka
𝑑𝑦
𝑑𝑣
= - sin v = - sin √ 𝑢3
= - sin √ 𝑥3
+ 23
Jadi,
𝑑𝑦
𝑑𝑥
=
𝑑𝑢
𝑑𝑥
𝑑𝑣
𝑑𝑢
𝑑𝑦
𝑑𝑣
= (3x2
)(
1
3
(x3
+2)-2/3
)( - sin √ 𝑥3
+ 23
)
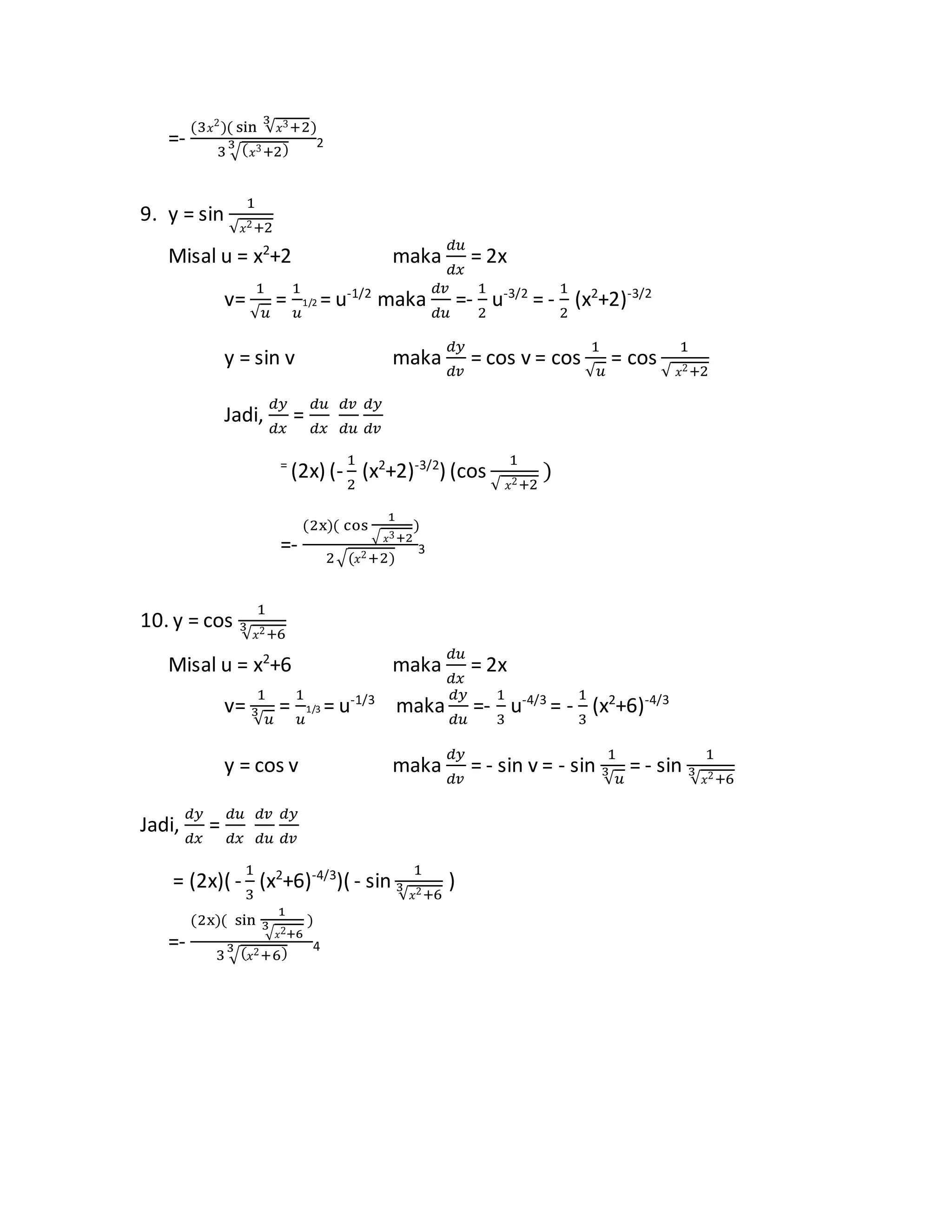
=-
(3 𝑥2
)( sin √ 𝑥3+2
3
)
3 √( 𝑥3+2)3 2
9. y = sin
1
√ 𝑥2+2
Misal u = x2
+2 maka
𝑑𝑢
𝑑𝑥
= 2x
v=
1
√𝑢
=
1
𝑢
1/2 = u-1/2
maka
𝑑𝑣
𝑑𝑢
=-
1
2
u-3/2
= -
1
2
(x2
+2)-3/2
y = sin v maka
𝑑𝑦
𝑑𝑣
= cos v = cos
1
√𝑢
= cos
1
√ 𝑥2+2
Jadi,
𝑑𝑦
𝑑𝑥
=
𝑑𝑢
𝑑𝑥
𝑑𝑣
𝑑𝑢
𝑑𝑦
𝑑𝑣
=
(2x) (-
1
2
(x2
+2)-3/2
) (cos
1
√ 𝑥2+2
)
=-
(2x)( cos
1
√ 𝑥3+2
)
2√( 𝑥2+2)
3
10. y = cos
1
√ 𝑥2+6
3
Misal u = x2
+6 maka
𝑑𝑢
𝑑𝑥
= 2x
v=
1
√𝑢
3 =
1
𝑢
1/3 = u-1/3
maka
𝑑𝑦
𝑑𝑢
=-
1
3
u-4/3
= -
1
3
(x2
+6)-4/3
y = cos v maka
𝑑𝑦
𝑑𝑣
= - sin v = - sin
1
√𝑢
3 = - sin
1
√ 𝑥2+6
3
Jadi,
𝑑𝑦
𝑑𝑥
=
𝑑𝑢
𝑑𝑥
𝑑𝑣
𝑑𝑢
𝑑𝑦
𝑑𝑣
= (2x)( -
1
3
(x2
+6)-4/3
)( - sin
1
√ 𝑥2+6
3 )
=-
(2x)( sin
1
√ 𝑥2+6
3 )
3 √( 𝑥2+6)3 4

TUGAS MATEMATIKA 2 ( Turunan menggunakan Dalil Rantai )

  • 1.
    Nama Mahasiswa :Yudiansyah Kelas : 1 Elektronika A TUGAS MATEMATIKA 2 ( Turunan menggunakan Dalil Rantai ) Tentukan 𝑑𝑦 𝑑𝑥 dari: 1. y = √ 𝑥5 + 6 𝑥2 + 3 6. y = 1 √ 𝑥2−5𝑥+2 5 2. y = √ 𝑥4 + 6𝑥 + 13 7. y = sin √ 𝑥2 + 6𝑥 3. y= √ 𝑥2 − 5𝑥 5 8. y = cos √ 𝑥3 + 23 4. y= 1 √ 𝑥4+2𝑥 9. y = sin 1 √ 𝑥2+2 5. y= 1 √ 𝑥2−6𝑥 3 10. y = cos 1 √ 𝑥2+6 3 Jawab : 1. y = √ 𝑥5 + 6 𝑥2 + 3 Misal u = x5 +6x2 +3 maka 𝑑𝑢 𝑑𝑥 = 5x4 +12x y = √ 𝑢 = u1/2 maka 𝑑𝑦 𝑑𝑢 = 1 2 u-1/2 Jadi, 𝑑𝑦 𝑑𝑥 = 𝑑𝑢 𝑑𝑥 𝑑𝑦 𝑑𝑢 = (5x4 +12x)( 1 2 u-1/2 ) = (5x4 +12x)( 1 2 (x5 +6x2 +3)1/2 ) = (5 𝑥4 +12x) 2√5+6 𝑥2+3 2. y = √ 𝑥4 + 6x + 13 Misal u = x4 + 6x+ 1 maka 𝑑𝑢 𝑑𝑥 = 4x3 + 6 y = √ 𝑢3 = u1/3 maka 𝑑𝑦 𝑑𝑢 = 1 3 u-2/3 Jadi, 𝑑𝑦 𝑑𝑥 = 𝑑𝑢 𝑑𝑥 𝑑𝑦 𝑑𝑢 = (4 𝑥3 + 6)( 1 3 u-2/3 ) = (4 𝑥3 + 6)( 1 3 ( 𝑥4 + 6x+ 1)-2/3 )
  • 2.
    = (4 𝑥3 + 6) 3√( 𝑥4 + 6x+ 1)3 2 3. y= √ 𝑥2 − 5𝑥 5 Misal u = x2 - 5x maka 𝑑𝑢 𝑑𝑥 = 2x-5 y = √ 𝑢5 = u1/5 maka 𝑑𝑦 𝑑𝑢 = 1 5 u-4/5 Jadi, 𝑑𝑦 𝑑𝑥 = 𝑑𝑢 𝑑𝑥 𝑑𝑦 𝑑𝑢 = (2x-5)( 1 5 u-4/5 ) = (2x-5)( 1 5 (x2 - 5x)-4/5 ) = (2x−5) 5 √( 𝑥2 − 5x)5 4 4. y= 1 √ 𝑥4+2𝑥 Misal u = x4 + 2x maka 𝑑𝑢 𝑑𝑥 = 4x3 +2 y= 1 √𝑢 = 1 𝑢 -1/2 = u-1/2 maka 𝑑𝑦 𝑑𝑢 =- 1 2 u-3/2 Jadi, 𝑑𝑦 𝑑𝑥 = 𝑑𝑢 𝑑𝑥 𝑑𝑦 𝑑𝑢 = (4x3 +2)( - 1 2 u-3/2 ) = (4x3 +2)(- 1 2 (x4 + 2x)-3/2 ) = - (4 𝑥3 +2) 2√( 𝑥4 + 2x) 3 5. y= 1 √ 𝑥2−6𝑥 3 Misal u = x2 -6x maka 𝑑𝑢 𝑑𝑥 =2x-6 y= 1 √𝑢 3 = 1 𝑢 1/3 = u-1/3 maka 𝑑𝑦 𝑑𝑢 =- 1 3 u-4/3 Jadi, 𝑑𝑦 𝑑𝑥 = 𝑑𝑢 𝑑𝑥 𝑑𝑦 𝑑𝑢 = (2x-6)( - 1 3 u-4/3 ) = (2x-6)( - 1 3 (x2 -6x)-4/3 )
  • 3.
    = - (2x−6) 3 √(𝑥2 −6x)3 4 6. y = 1 √ 𝑥2−5𝑥+2 5 Misal u = x2 -5x+2 maka 𝑑𝑢 𝑑𝑥 =2x-5 y= 1 √𝑢 5 = 1 𝑢 1/5 = u-1/5 maka 𝑑𝑦 𝑑𝑢 =- 1 5 u-6/5 Jadi, 𝑑𝑦 𝑑𝑥 = 𝑑𝑢 𝑑𝑥 𝑑𝑦 𝑑𝑢 = (2x-5)( - 1 5 u-6/5 ) = (2x-5)( - 1 5 (x2 -5x+2)-6/5 ) = - (2x−5) 5 √( 𝑥2−5x+2)5 6 7. y = sin √ 𝑥2 + 6𝑥 Misal u = x2 +6x maka 𝑑𝑢 𝑑𝑥 = 2x+6 v = √ 𝑢 = u1/2 maka 𝑑𝑣 𝑑𝑢 = 1 2 u-1/2 = 1 2 (x2 +6x)-1/2 y = sin v maka 𝑑𝑦 𝑑𝑣 = cos v = cos √ 𝑢 = cos √ 𝑥2 + 6x Jadi, 𝑑𝑦 𝑑𝑥 = 𝑑𝑢 𝑑𝑥 𝑑𝑣 𝑑𝑢 𝑑𝑦 𝑑𝑣 = (2x+6)( 1 2 (x2 +6x)-1/2 )( cos √ 𝑥2 + 6x) = (2x+6)(cos√ 𝑥2+6x) 2√ 𝑥2+6x 8. y = cos √ 𝑥3 + 23 Misal u = x3 +2 maka 𝑑𝑢 𝑑𝑥 = 3x2 v= √ 𝑢3 = u1/3 maka 𝑑𝑣 𝑑𝑢 = 1 3 u-2/3 = 1 3 (x3 +2)-2/3 y = cos v maka 𝑑𝑦 𝑑𝑣 = - sin v = - sin √ 𝑢3 = - sin √ 𝑥3 + 23 Jadi, 𝑑𝑦 𝑑𝑥 = 𝑑𝑢 𝑑𝑥 𝑑𝑣 𝑑𝑢 𝑑𝑦 𝑑𝑣 = (3x2 )( 1 3 (x3 +2)-2/3 )( - sin √ 𝑥3 + 23 )
  • 4.
    =- (3 𝑥2 )( sin√ 𝑥3+2 3 ) 3 √( 𝑥3+2)3 2 9. y = sin 1 √ 𝑥2+2 Misal u = x2 +2 maka 𝑑𝑢 𝑑𝑥 = 2x v= 1 √𝑢 = 1 𝑢 1/2 = u-1/2 maka 𝑑𝑣 𝑑𝑢 =- 1 2 u-3/2 = - 1 2 (x2 +2)-3/2 y = sin v maka 𝑑𝑦 𝑑𝑣 = cos v = cos 1 √𝑢 = cos 1 √ 𝑥2+2 Jadi, 𝑑𝑦 𝑑𝑥 = 𝑑𝑢 𝑑𝑥 𝑑𝑣 𝑑𝑢 𝑑𝑦 𝑑𝑣 = (2x) (- 1 2 (x2 +2)-3/2 ) (cos 1 √ 𝑥2+2 ) =- (2x)( cos 1 √ 𝑥3+2 ) 2√( 𝑥2+2) 3 10. y = cos 1 √ 𝑥2+6 3 Misal u = x2 +6 maka 𝑑𝑢 𝑑𝑥 = 2x v= 1 √𝑢 3 = 1 𝑢 1/3 = u-1/3 maka 𝑑𝑦 𝑑𝑢 =- 1 3 u-4/3 = - 1 3 (x2 +6)-4/3 y = cos v maka 𝑑𝑦 𝑑𝑣 = - sin v = - sin 1 √𝑢 3 = - sin 1 √ 𝑥2+6 3 Jadi, 𝑑𝑦 𝑑𝑥 = 𝑑𝑢 𝑑𝑥 𝑑𝑣 𝑑𝑢 𝑑𝑦 𝑑𝑣 = (2x)( - 1 3 (x2 +6)-4/3 )( - sin 1 √ 𝑥2+6 3 ) =- (2x)( sin 1 √ 𝑥2+6 3 ) 3 √( 𝑥2+6)3 4