Download free for 30 days
Sign in
Upload
Language (EN)
Support
Business
Mobile
Social Media
Marketing
Technology
Art & Photos
Career
Design
Education
Presentations & Public Speaking
Government & Nonprofit
Healthcare
Internet
Law
Leadership & Management
Automotive
Engineering
Software
Recruiting & HR
Retail
Sales
Services
Science
Small Business & Entrepreneurship
Food
Environment
Economy & Finance
Data & Analytics
Investor Relations
Sports
Spiritual
News & Politics
Travel
Self Improvement
Real Estate
Entertainment & Humor
Health & Medicine
Devices & Hardware
Lifestyle
Change Language
Language
English
EspaΓ±ol
PortuguΓͺs
FranΓ§ais
Deutsche
Cancel
Save
Submit search
EN
Uploaded by
fdjouhana
DOCX, PDF
588 views
Tugas matematika2
Tugas Matematika 2 ( Turunan Menggunakan Dalil Rantai )
Education
β¦
Read more
0
Save
Share
Embed
Embed presentation
Download
Download to read offline
1
/ 4
2
/ 4
3
/ 4
4
/ 4
More Related Content
DOCX
Tugas matematika2
by
yudiansyah22
Β
DOCX
Tugas matematika-1-semester-2
by
fdjouhana
Β
DOCX
Tugas matematika teknik 2 semester 3 bab 4
by
fdjouhana
Β
DOCX
Tugas matematika teknik 2 semester 3 bab 3
by
fdjouhana
Β
DOCX
Tugas matematika teknik 2 semester 3 bab 2
by
fdjouhana
Β
DOCX
Tugas matematika teknik 2 semester 3 Persamaan Diferensial
by
fdjouhana
Β
DOCX
Matematika teknik 3 ( Tugas 1 )
by
fdjouhana
Β
DOCX
Tugas matematika ( uas )
by
fdjouhana
Β
Tugas matematika2
by
yudiansyah22
Β
Tugas matematika-1-semester-2
by
fdjouhana
Β
Tugas matematika teknik 2 semester 3 bab 4
by
fdjouhana
Β
Tugas matematika teknik 2 semester 3 bab 3
by
fdjouhana
Β
Tugas matematika teknik 2 semester 3 bab 2
by
fdjouhana
Β
Tugas matematika teknik 2 semester 3 Persamaan Diferensial
by
fdjouhana
Β
Matematika teknik 3 ( Tugas 1 )
by
fdjouhana
Β
Tugas matematika ( uas )
by
fdjouhana
Β
Featured
PDF
2024 Trend Updates: What Really Works In SEO & Content Marketing
by
Search Engine Journal
Β
PDF
Storytelling For The Web: Integrate Storytelling in your Design Process
by
Chiara Aliotta
Β
PDF
Artificial Intelligence, Data and Competition β SCHREPEL β June 2024 OECD dis...
by
OECD Directorate for Financial and Enterprise Affairs
Β
PDF
How to Leverage AI to Boost Employee Wellness - Lydia Di Francesco - SocialHR...
by
SocialHRCamp
Β
PDF
2024 State of Marketing Report β by Hubspot
by
Marius Sescu
Β
PDF
Everything You Need To Know About ChatGPT
by
Expeed Software
Β
PDF
Product Design Trends in 2024 | Teenage Engineerings
by
Pixeldarts
Β
PDF
How Race, Age and Gender Shape Attitudes Towards Mental Health
by
ThinkNow
Β
PDF
AI Trends in Creative Operations 2024 by Artwork Flow.pdf
by
marketingartwork
Β
PDF
Skeleton Culture Code
by
Skeleton Technologies
Β
PDF
PEPSICO Presentation to CAGNY Conference Feb 2024
by
Neil Kimberley
Β
PDF
Content Methodology: A Best Practices Report (Webinar)
by
contently
Β
PPTX
How to Prepare For a Successful Job Search for 2024
by
Albert Qian
Β
PDF
Social Media Marketing Trends 2024 // The Global Indie Insights
by
Kurio // The Social Media Age(ncy)
Β
PDF
Trends In Paid Search: Navigating The Digital Landscape In 2024
by
Search Engine Journal
Β
PDF
5 Public speaking tips from TED - Visualized summary
by
SpeakerHub
Β
PDF
ChatGPT and the Future of Work - Clark Boyd
by
Clark Boyd
Β
PDF
Getting into the tech field. what next
by
Tessa Mero
Β
PDF
Google's Just Not That Into You: Understanding Core Updates & Search Intent
by
Lily Ray
Β
PDF
How to have difficult conversations
by
Rajiv Jayarajah, MAppComm, ACC
Β
2024 Trend Updates: What Really Works In SEO & Content Marketing
by
Search Engine Journal
Β
Storytelling For The Web: Integrate Storytelling in your Design Process
by
Chiara Aliotta
Β
Artificial Intelligence, Data and Competition β SCHREPEL β June 2024 OECD dis...
by
OECD Directorate for Financial and Enterprise Affairs
Β
How to Leverage AI to Boost Employee Wellness - Lydia Di Francesco - SocialHR...
by
SocialHRCamp
Β
2024 State of Marketing Report β by Hubspot
by
Marius Sescu
Β
Everything You Need To Know About ChatGPT
by
Expeed Software
Β
Product Design Trends in 2024 | Teenage Engineerings
by
Pixeldarts
Β
How Race, Age and Gender Shape Attitudes Towards Mental Health
by
ThinkNow
Β
AI Trends in Creative Operations 2024 by Artwork Flow.pdf
by
marketingartwork
Β
Skeleton Culture Code
by
Skeleton Technologies
Β
PEPSICO Presentation to CAGNY Conference Feb 2024
by
Neil Kimberley
Β
Content Methodology: A Best Practices Report (Webinar)
by
contently
Β
How to Prepare For a Successful Job Search for 2024
by
Albert Qian
Β
Social Media Marketing Trends 2024 // The Global Indie Insights
by
Kurio // The Social Media Age(ncy)
Β
Trends In Paid Search: Navigating The Digital Landscape In 2024
by
Search Engine Journal
Β
5 Public speaking tips from TED - Visualized summary
by
SpeakerHub
Β
ChatGPT and the Future of Work - Clark Boyd
by
Clark Boyd
Β
Getting into the tech field. what next
by
Tessa Mero
Β
Google's Just Not That Into You: Understanding Core Updates & Search Intent
by
Lily Ray
Β
How to have difficult conversations
by
Rajiv Jayarajah, MAppComm, ACC
Β
Tugas matematika2
1.
Nama Mahasiswa :
Muhammad PachroniSuryana Kelas : 1 Elektronika A TUGAS MATEMATIKA 2 ( Turunan menggunakan Dalil Rantai ) Tentukan ππ¦ ππ₯ dari: 1. y = β π₯5 + 6 π₯2 + 3 6. y = 1 β π₯2β5π₯+2 5 2. y = β π₯4 + 6π₯ + 13 7. y = sin β π₯2 + 6π₯ 3. y= β π₯2 β 5π₯ 5 8. y = cos β π₯3 + 23 4. y= 1 β π₯4+2π₯ 9. y = sin 1 β π₯2+2 5. y= 1 β π₯2β6π₯ 3 10. y = cos 1 β π₯2+6 3 Jawab : 1. y = β π₯5 + 6 π₯2 + 3 Misal u = x5 +6x2 +3 maka ππ’ ππ₯ = 5x4 +12x y = β π’ = u1/2 maka ππ¦ ππ’ = 1 2 u-1/2 Jadi, ππ¦ ππ₯ = ππ’ ππ₯ ππ¦ ππ’ = (5x4 +12x)( 1 2 u-1/2 ) = (5x4 +12x)( 1 2 (x5 +6x2 +3)1/2 ) = (5 π₯4 +12x) 2β5+6 π₯2+3 2. y = β π₯4 + 6x + 13 Misal u = x4 + 6x+ 1 maka ππ’ ππ₯ = 4x3 + 6 y = β π’3 = u1/3 maka ππ¦ ππ’ = 1 3 u-2/3 Jadi, ππ¦ ππ₯ = ππ’ ππ₯ ππ¦ ππ’ = (4 π₯3 + 6)( 1 3 u-2/3 ) = (4 π₯3 + 6)( 1 3 ( π₯4 + 6x+ 1)-2/3 )
2.
= (4 π₯3 + 6) 3
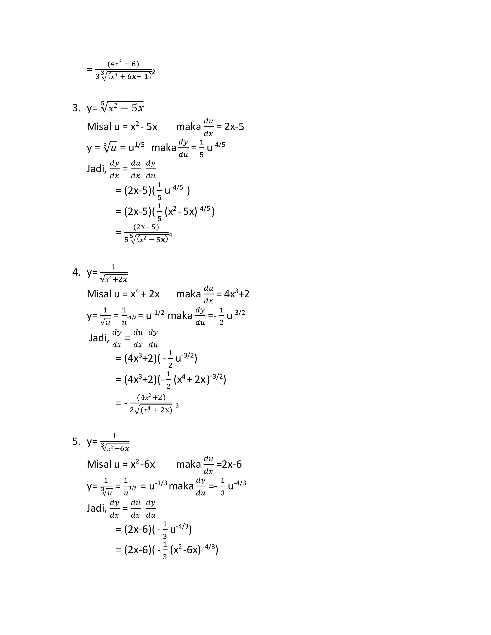
β( π₯4 + 6x+ 1)3 2 3. y= β π₯2 β 5π₯ 5 Misal u = x2 - 5x maka ππ’ ππ₯ = 2x-5 y = β π’5 = u1/5 maka ππ¦ ππ’ = 1 5 u-4/5 Jadi, ππ¦ ππ₯ = ππ’ ππ₯ ππ¦ ππ’ = (2x-5)( 1 5 u-4/5 ) = (2x-5)( 1 5 (x2 - 5x)-4/5 ) = (2xβ5) 5 β( π₯2 β 5x)5 4 4. y= 1 β π₯4+2π₯ Misal u = x4 + 2x maka ππ’ ππ₯ = 4x3 +2 y= 1 βπ’ = 1 π’ -1/2 = u-1/2 maka ππ¦ ππ’ =- 1 2 u-3/2 Jadi, ππ¦ ππ₯ = ππ’ ππ₯ ππ¦ ππ’ = (4x3 +2)( - 1 2 u-3/2 ) = (4x3 +2)(- 1 2 (x4 + 2x)-3/2 ) = - (4 π₯3 +2) 2β( π₯4 + 2x) 3 5. y= 1 β π₯2β6π₯ 3 Misal u = x2 -6x maka ππ’ ππ₯ =2x-6 y= 1 βπ’ 3 = 1 π’ 1/3 = u-1/3 maka ππ¦ ππ’ =- 1 3 u-4/3 Jadi, ππ¦ ππ₯ = ππ’ ππ₯ ππ¦ ππ’ = (2x-6)( - 1 3 u-4/3 ) = (2x-6)( - 1 3 (x2 -6x)-4/3 )
3.
= - (2xβ6) 3 β(
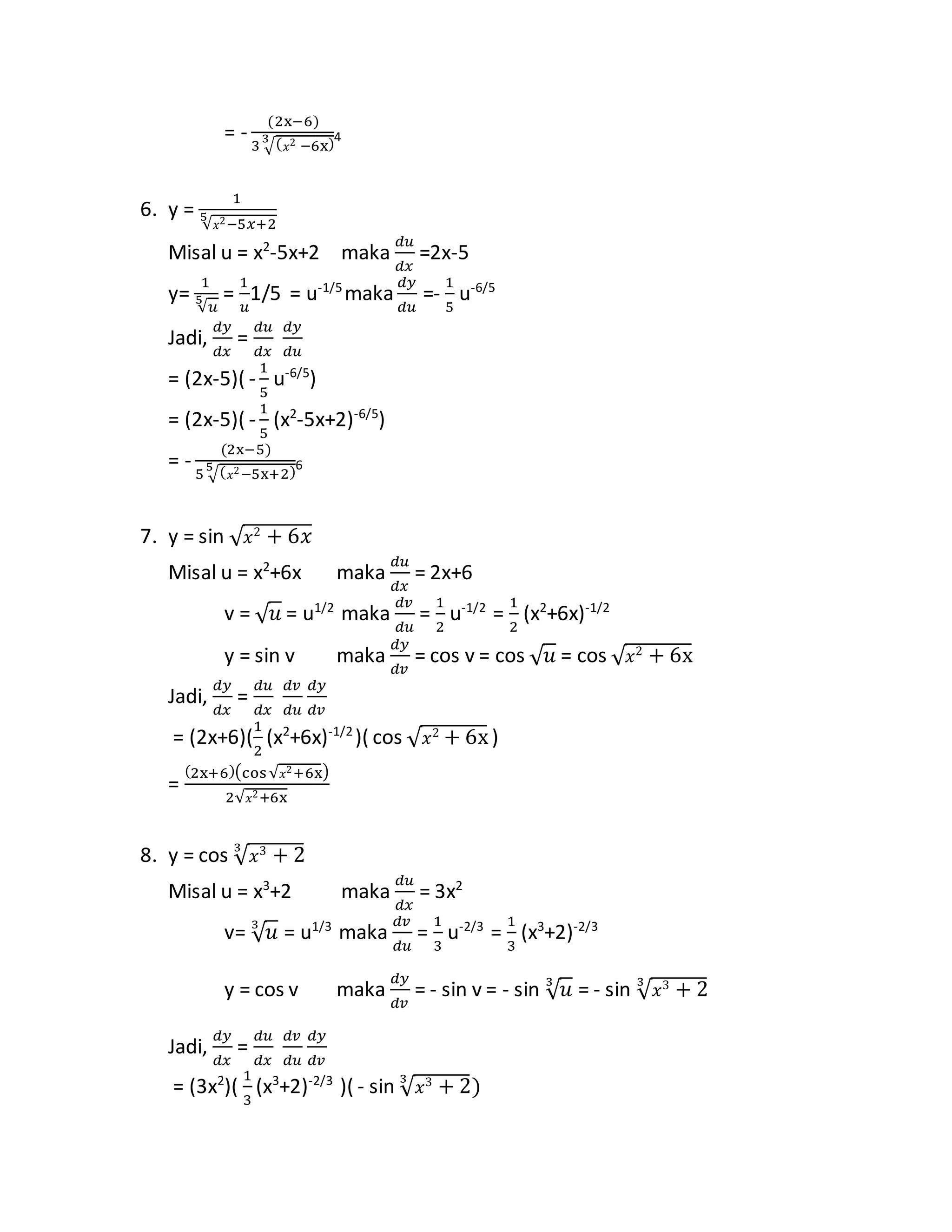
π₯2 β6x)3 4 6. y = 1 β π₯2β5π₯+2 5 Misal u = x2 -5x+2 maka ππ’ ππ₯ =2x-5 y= 1 βπ’ 5 = 1 π’ 1/5 = u-1/5 maka ππ¦ ππ’ =- 1 5 u-6/5 Jadi, ππ¦ ππ₯ = ππ’ ππ₯ ππ¦ ππ’ = (2x-5)( - 1 5 u-6/5 ) = (2x-5)( - 1 5 (x2 -5x+2)-6/5 ) = - (2xβ5) 5 β( π₯2β5x+2)5 6 7. y = sin β π₯2 + 6π₯ Misal u = x2 +6x maka ππ’ ππ₯ = 2x+6 v = β π’ = u1/2 maka ππ£ ππ’ = 1 2 u-1/2 = 1 2 (x2 +6x)-1/2 y = sin v maka ππ¦ ππ£ = cos v = cos β π’ = cos β π₯2 + 6x Jadi, ππ¦ ππ₯ = ππ’ ππ₯ ππ£ ππ’ ππ¦ ππ£ = (2x+6)( 1 2 (x2 +6x)-1/2 )( cos β π₯2 + 6x) = (2x+6)(cosβ π₯2+6x) 2β π₯2+6x 8. y = cos β π₯3 + 23 Misal u = x3 +2 maka ππ’ ππ₯ = 3x2 v= β π’3 = u1/3 maka ππ£ ππ’ = 1 3 u-2/3 = 1 3 (x3 +2)-2/3 y = cos v maka ππ¦ ππ£ = - sin v = - sin β π’3 = - sin β π₯3 + 23 Jadi, ππ¦ ππ₯ = ππ’ ππ₯ ππ£ ππ’ ππ¦ ππ£ = (3x2 )( 1 3 (x3 +2)-2/3 )( - sin β π₯3 + 23 )
4.
=- (3 π₯2 )( sin
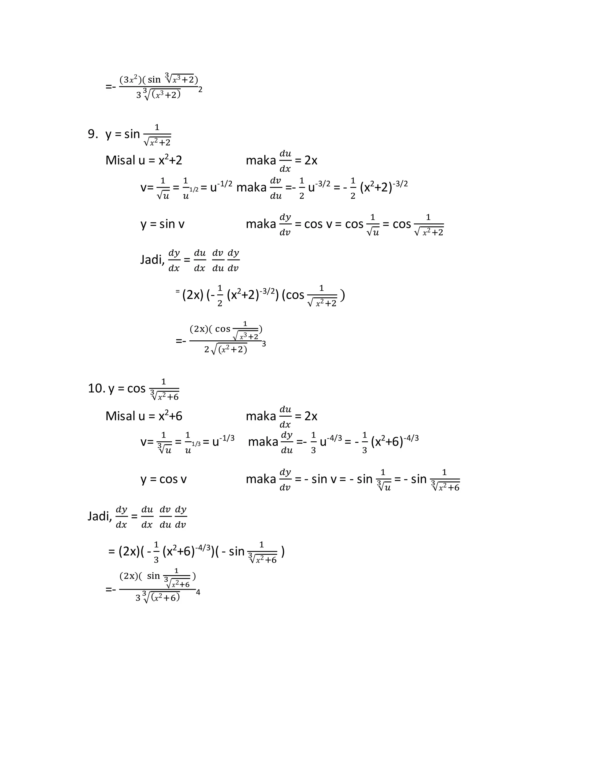
β π₯3+2 3 ) 3 β( π₯3+2)3 2 9. y = sin 1 β π₯2+2 Misal u = x2 +2 maka ππ’ ππ₯ = 2x v= 1 βπ’ = 1 π’ 1/2 = u-1/2 maka ππ£ ππ’ =- 1 2 u-3/2 = - 1 2 (x2 +2)-3/2 y = sin v maka ππ¦ ππ£ = cos v = cos 1 βπ’ = cos 1 β π₯2+2 Jadi, ππ¦ ππ₯ = ππ’ ππ₯ ππ£ ππ’ ππ¦ ππ£ = (2x) (- 1 2 (x2 +2)-3/2 ) (cos 1 β π₯2+2 ) =- (2x)( cos 1 β π₯3+2 ) 2β( π₯2+2) 3 10. y = cos 1 β π₯2+6 3 Misal u = x2 +6 maka ππ’ ππ₯ = 2x v= 1 βπ’ 3 = 1 π’ 1/3 = u-1/3 maka ππ¦ ππ’ =- 1 3 u-4/3 = - 1 3 (x2 +6)-4/3 y = cos v maka ππ¦ ππ£ = - sin v = - sin 1 βπ’ 3 = - sin 1 β π₯2+6 3 Jadi, ππ¦ ππ₯ = ππ’ ππ₯ ππ£ ππ’ ππ¦ ππ£ = (2x)( - 1 3 (x2 +6)-4/3 )( - sin 1 β π₯2+6 3 ) =- (2x)( sin 1 β π₯2+6 3 ) 3 β( π₯2+6)3 4
Download