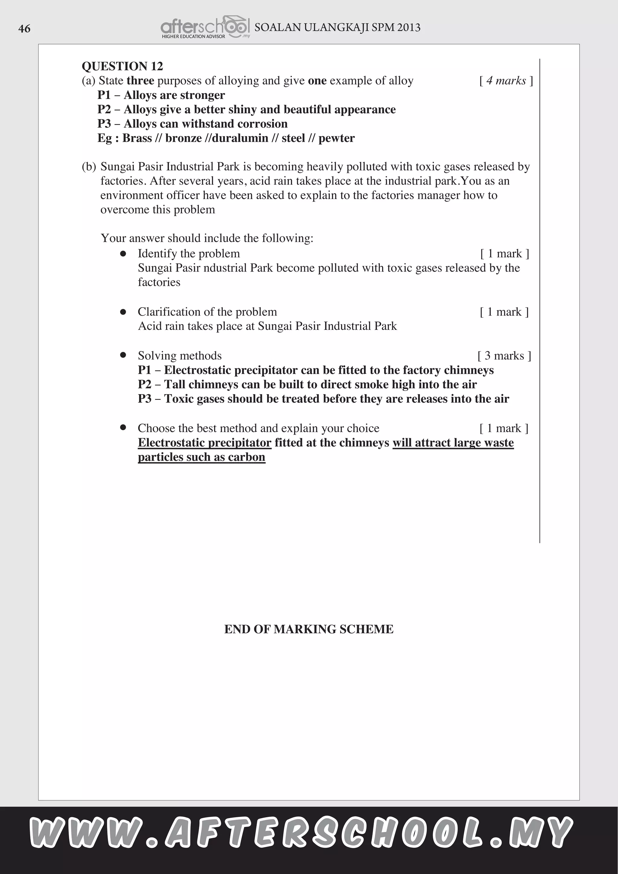
SOALAN ULANGKAJI SPM 2013 1
Bahasa Melayu
Jawapan
Bahasa Melayu 	 Kertas 1
Markah penuh: 130 markah
Kertas Satu - Bahagian A
Tips untuk mendapatkan markah yang baik dalam Bahagian A.
1.	 Calon perlu menjawab mengikut arahan soalan. Sekiranya arahan memerlukan calon mengemukakan faktor, isi berkenaan faktor perlulah
dikemukakan, begitu juga sekiranya kesan, kemukakan pendapat berkenaan kesan sebagai isi.
2.	 Calon dibenarkan menjawab melebihi 250 patah perkataan, walau bagaimanapun, calon dinasihatkan supaya tidak menjawab sehingga
melebihi 300 patah perkataan kerana kemahiran bahasa calon dinilai melalui ketepatan calon membina ayat penanda wacana, dan
penggunaan perkataan yang variasi. Calon perlu menepati masa menjawab yang dicadangkan iaitu 45 minit agar boleh menumpukan
perhatian kepada Bahagian B nanti.
3.	 Perlu ada pendahuluan dan kesimpulan tetapi secara ringkas sahaja.
4.	 Tidak perlu menulis tajuk karangan.
5.	 Boleh gunakan penanda wacana yang menarik serta ungkapan yang indah, namun bataskan penggunaanya supaya bahasa tidak menjadi
terlalu puitis dan meleret-leret.
6.	 Kemukakan satu atau dua peribahasa yang bersesuaian tetapi jangan terlalu lewah dengan peribahasa sehingga menghilangkan keindahan
bahasanya. Sebaik-baiknya peribahasa mengakhiri karangan supaya menjadi penutup yang berkesan terhadap isi karangan.
7.	 Beri perhatian terhadap arahan soalan kerana dalam arahan tersebut terkandung isi yang sepatutnya calon huraikan.
Terdapat beberapa aspek kelemahan yang perlu calon elakkan semasa menjawab soalan Bahagian A antaranya:
Aspek kelemahan calon.
1.	 Calon menjawab terlalu panjang menyebabkan calon mengambil masa yang lama iaitu melebihi 45 minit seperti yang disarankan.
Keadaan ini menyebabkan calon panik apabila kesuntukkan masa untuk menjawab soalan Bahagian B.
2.	 Calon menjawab soalan semata-mata berpandukan gambar tanpa kembangkan idea menyebabkan isi calon tidak bercambah dan agak
dangkal.
3.	 Isi yang calon kemukakan terpesong daripada soalan, contohnya dalam arahan memerlukan calon menyatakan faedah, tetapi calon
mengemukakan langkah.
4.	 Calon mengemuka semua fakta seperti punca, kesan, dan langkah walhal arahan dalam soalan tersebut ialah contohnya, faedah.
SOALAN ULANGKAJI SPM 20132
Contoh Jawapan : Bahagian A
[30 markah]
Tanggungjawab terhadap komuniti:
•	 Masyarakat perlu prihatin terhadap golongan yang kurang bernasib baik seperti orang kurang upaya, hilang keupayaaan kerana
kemalangan, orang yang ditimpa penyakit, anak yatim piatu atau yang ditinggalkan oleh ibu bapa mereka. Ibu bapa boleh mendidik anak-
anak agar simpati terhadap nasib golongan ini, memberi bantuan mengikut kemampuan dan tidak menghindari atau mengejek mereka.
•	 Masyarakat setempat perlu ambil tahu apa yang berlaku terhadap jiran tetangga mereka terutama apabila jiran ditimpa musibah seperti
menghidap penyakit, kecurian, rumah terbakar, atau kemalangan dan banjir. Memberi bantuan berupa barang atau sokongan moral.
•	 Orang ramai juga boleh bergotong royong meringankan beban jiran yang  memerlukan seperti membaiki rumah jiran  yang kurang
berkemampuan, membersihkan kawasan setempat agar bebas daripada penyakit dan binatang berbahaya dan sama-sama membantu dalam
majlis-majlis yang diadakah di kawasaan berkenaan agar hubungan antara masyarakat bertambah erat tidak kira apa agama dan bangsa jiran
kita.
Kertas Satu – Bahagian B
Aspek yang perlu diberi perhatian oleh calon.
1.	 Ayat yang digunakan perlulah pendek dan jelas untuk mengelakkan berlakunya kesalahan bahasa.
2.	 Gunakan tanda bacaan yang betul serta penanda wacana yang bersesuaian untuk menunjukkan ada kesinambungan antara isi terdahulu
dengan isi seterusnya.
3.	 Cuba hasilkan karangan yang melebihi 350 patah perkataan tetapi menepati kehendak soalan dan untuk menghasilkan karangan yang
lengkap setiap isi memerlukan sekurang-kurangnya dua huraian beserta dua contoh.
4.	 Sertakan antara dua hingga tiga peribahasa dan lebih ideal sekiranya karangan ditutup dengan peribahasa yang bersesuaian.
5.	 Corak soalan masa kini lebih menjurus kepada laras soalan. Iaitu soalan berkaitan individu, aspek kekeluargaan, berkenaan
kemasyarakatan, peringkat kebangsaan atau antarabangsa, dan soalan kelima, aspek kesusasteraan. Sekiranya calon kurang mahir atau
kurang ilmu pengetahuan berkenaan isu semasa peringkat kebangsaan atau antarabangsa elakkan daripada menjawab soalan tersebut
kerana untuk menjawab soalan ini calon perlu ada pengetahuan bukan sahaja peringkat dalam negeri malah sehingga ke peringkat global.
Oleh itu, pilihlah soalan yang calon paling arif berkenaannya.
6.	 Soalan no 5 iaitu berkaitan kesusasteraan, hanya calon yang mahir dalam bahasa yang puitis dan mempunyai imaginasi yang tinggi atau
mahir mengulas sesuatu isu sahaja digalakkan menjawab soalan ini.
7.	 Terkini, soalan yang dikemukakan lebih menjuruskan kepada pengetahuan umum yang menyebabkan calon perlu membaca lebih
berkenaan isu-isu semasa.
Aspek kelemahan calon.
1.	 Calon menjawab kurang daripada 350 patah perkataan menyebabkan isi kurang dan huraian tidak lengkap. Kurang daripada 350 patah
perkataan juga akan mempengaruhi markah.
2.	 Calon tidak kembangkan isi dan kemukakan satu contoh dan satu huraian sahaja untuk setiap isi.
3.	 Calon kemukakan terlalu banyak isi tetapi hanya dihuraikan secara umum tanpa diolah.
4.	 Calon menjawab soalan yang memerlukan pengetahuan yang luas sedangkan pengetahuan calon agak terhad. Contohnya soalan
berkenaan penyakit berbahaya calon cuma tahu berkenaan satu atau dua jenis penyakit sahaja.
5.	 Calon mengemukakan peribahasa yang salah atau tidak sesuai atau langsung tidak menyatakan peribahasa.
6.	 Idea calon terpesong daripada kehendak soalan.
7.	 Calon menggunakan perkataan yang berulang dan tidak variasi. Penanda wacana dan ungkapan juga tidak menarik.
SOALAN ULANGKAJI SPM 2013 3
Contoh Jawapan : Bahagian B
[100 markah]
1. Format rencana – Tajuk dan nama pengarang.
Isi –
•	 Menggunakan alat komunikasi seperti  internet untuk menyebarkan tips-tips yang berguna  untuk diamalkan oleh remaja.  Contohnya
keburukkan mengambil dadah atau minum alkohol, seks bebas dan penyebaran fitnah. Remaja hari ini cenderung berhubung melalui
twitter, muka buku (face book), skype, line, weechat, face time, yeepi (laman sosial Islam), linked in, dan sebagainya, oleh itu golongan
dewasa boleh mengambil kesempatan dengan menghubungi remaja melalui laman sosial untuk menyalurkan dakyah agama.
•	 Menguar-uarkan melalui ruangan laman sosial aktiviti-aktiviti kemasyarakatan  yang akan diadakan sama ada di peringkat kebangsaan
maupun setempat
•	 Memuat turun ruangan keagamaan atau kemasyarakatan dalam ruangan seperti Youtube, clip video dan sebagainya.
•	 Mengadakan ruangan untuk pedebatan dan kemusykilan kerana ada remaja yang malu untuk mengutarakan masalah mereka secara
berdepan dengan orang lain.
•	 Mengajak remaja menjadi ahli pertubuhan sukarela melalui pendaftaran atas talian (online) dengan memberi sijil-sijl keahlian dan
penyertaan agar mereka merasakan diri mereka diiktiraf.
2. Format laporan –Tajuk laporan, tarikh, masa, tempat, jumlah peserta, guru pengiring, objektif aktiviti, aktiviti yang dilaksanakan, faedah
yang diperoleh dan nama setiausaha.
Isi-
•	 objektif untuk menerapkan sikap kepimpinan, bekerjasama, hubungan yang akrab, nilai berdikari.
•	 aisbreaking/permainan/ceramah/aktiviti jati diri@berdikari
•	 faedah - sikap berdikari, bekerjasama, hormat-menghormati, perpaduan, dan kepimpinan
•	 penutup – harapan  pada masa-masa akan datang.
3. Perbincangan
Isi –
•	 pengangkutan awam contohnya bas, kereta api, dan  teksi.
•	 tingkatkan keupayaan dari aspek ketepatan masa, keselesaan tempat duduk, kemudahan membeli tiket,  kemudahan untuk gologan OKU,
keselesaan sistem pengudaraan, dan jaminan keselamatan.
•	 tingkatkan kemudahan tempat menunggu awam, tandas dan telefon awam yang bersih dann berfungsi,  kekerapan kenderaan awam
berhenti, stesen yang mempunyai kemudahan awam dan sistem keselamatan.
•	 perkhidmatan pemandu yang berdisiplin dan berhemah, khidmat kaunter yang mesra pelanggan, dan jaminan keselamatan kenderaan
awam yang disediakan.
4. Perbincangan dan pendapat
Isi –
•	 Kekangan – kawasan yang luas dan kawasan perairan yang tersorok.
•	 kekurangan kakitangan dalam pasukan keselamatan.
•	 kurang pemantauan
•	 penyalahgunaan kuasa dan terdapat dalang dalam sistem keselamatan.
•	 Langkah mengatasi – kuatkuasa undang-undang dan tiada had kuasa terhadap orang yang terlibat.
•	 undang-undang yang lebih ketat dan tegas serta hukuman yang lebih berat.
•	 Tambah bilangan kakitangan
5.	 Cerita berdasarkan nilai murni kejujuran – ada persoalan utama iaitu kejujuran dan persoalan sampingan, watak utama dan watak
sampingan, latar dan gaya bahasa yang menarik.
SKEMA JAWAPAN TAMAT
SOALAN ULANGKAJI SPM 20134
Bahasa Melayu 	 Kertas 2
Soalan 1 – Rumusan.
Aspek Kelemahan calon.
1.	 Pendahuluan - calon tidak kemukakan tema mengikut isi, sebaliknya menukar kata kunci isi kepada perkataan sama maksud/sinonim.
Calon tidak kemukakan kumpulan masyarakat/audians atau negeri/negara yang terlibat.
2.	 Isi tersurat - tidak lengkap kerana calon ambil sebahagian sahaja isi semata-mata untuk mengelakkan berlakunya lebihan perkataan, walhal
calon sebenarnya meninggalkan isi yang penting menyebabkan markah untuk isi berkenaan berkurangan atau langsung tiada.
3.	 Calon mengemukakan isi yang tidak berkenaan kerana calon tidak faham arahan atau kehendak soalan.
4.	 Isi tersirat – calon kemukakan isi secara umum sahaja.
5.	 Isi yang dikemukan calon berulang walaupun ayatnya berbeza.
6.	 Isi terpesong daripada arahan soalan.
7.	 Isi tersirat diambil daripada petikan
8.	 Kesimpulan – calon tidak kemukakan cadangan dan harapan sebaliknya mengulas semula tajuk atau isi tersurat. Calon memetik isi
daripada petikan.
9.	 Calon mengemukakan cadangan secara umum tanpa menekankan apa cadangan tersebut. Contoh – Masyarakat perlu mengatasi masalah
ini. Apa yang berkaitan masalah ini tidak dikemukakan. Sepatutnya calon menulis Masyarakat perlu mengatasi masalah gejala sosial agar
…
10.	Calon mengemukakan cadangan tanpa harapan. Contohnya; Masyarakat perlu mengatasi masalah gejala sosial ini. Sepatutnya
Masyarakat perlu mengatasi masalah gejala sosial ini agar negara bebas daripada ancaman jenayah.
11.	Calon menjawab lebih daripada 120 patah perkataan menyebabkan calon hilang markah kesimpulan.
Aspek yang perlu diberi perhatian oleh calon.
1.	 Kata kunci bahagian pendahuluan ditukarkan kepada tema atau pokok persoalan. Contoh pendahuluan; Sekiranya isi petikan
menyatakan kesan positif - Petikan menyatakan kebaikan/faedah/manfaat/kepentingan...dalam kalangan masyarakat/ orang ramai@di
Malaysia/di negara kita/di peringkat global/di peringkat antarabangsa.  Sekiranya dalam isi petikan menyatakan kesan negatif – Petikan
menyatakan keburukan/impak negatif...dalam kalangan...
2.	 Arahan untuk isi tersirat tidak perlu dinyatakan dalam pendahuluan.
3.	 Ayat yang terkandung dalam satu-satu isi perlulah diambil sepenuhnya termasuk contoh untuk mengelakkan daripada tertinggalnya isi
penting.
4.	 Cuba kemukakan enam isi tersurat dan dua isi tersirat kerana isi tersurat yang terkandung dalam petikan lebih tepat manakala isi tersirat
daripada idea sendiri adakalanya tidak menepati kehendak soalan atau terpesong atau berulang.
5.	 Disarankan bahagian kesimpulan gunakan kata kunci Kesimpulan/Oleh itu,……agar/supaya…
6.	 Sekiranya perkataan lebih daripada 120 jangan edit daripada isi tersurat. Ini bertujuan menggelakkan daripada meninggalkan isi yang
penting dalam isi tersurat sebaliknya calon boleh mengolah semula isi tersirat supaya lebih ringkas tetapi padat untuk menepati 120 patah
perkataan.
SOALAN ULANGKAJI SPM 2013 5
CONTOH JAWAPAN
Rumusan (30 Markah)
Markah penuh 30 iaitu Isi = 20 markah + bahasa = 	 10 markah
                                                Isi – Pendahuluan = 	 2 markah
                                                Tersurat + Tersirat = 	 16 markah
                                                Kesimpulan/penutup = 	 2 markah
Pendahuluan
Petikan membincangkan cara-cara/usaha/ikhtiar untuk memartabatkan bahasa Melayu dalam kalangan masyarakat/ di Malaysia.
Isi tersurat
Cara-caranya ialah
•	 Dewan Bahasa dan Pustaka (DBP)  yang mempunyai kematangan, sumber, kepakaran, dan kemampuan perlu melaksanakan hasrat
memartabatkan bahasa Melayu tanpa membataskan sasaran terhad kepada sekolah kerajaan semata-mata.
•	 Sekolah-sekolah persendirian, sekolah Cina, dan sekolah Tamil yang mempunyai silibus bahasa kebangsaan yang berbeza dengan sekolah
kerajaan sepatutnya diberi perhatian yang lebih dalam memantapkan penggunaan bahasa Melayu.  
•	 adunan bahasa Kebangsaan dan jati diri bangsa perlu diacu serentak memandangkan usaha memartabatkan bahasa Melayu harus melalui
satu anjakan paradigma.
•	 DBP sebagai badan induk yang bertanggungjawab perlu melipatgandakan promosi di segenap lapisan masyarakat.
•	 penglibatan semua kaum dalam usaha membudayakan bahasa Melayu perlu giat dijalankan bagi menyemai semangat dan rasa cinta
terhadap bahasa Melayu kepada semua kaum.
•	 usaha mengembangkan bahasa Melayu, khususnya kepada masyarakat bukan Melayu perlu diperhebatkan.
•	 menangani 20% daripada kanak-kanak yang ketinggalan dari segi literasi.  
•	 “Satu Bahasa, Satu Malaysia” yang dicetuskan oleh Perdana Menteri, Dato’ Sri Mohd Najib Tun Abdul Razak dilihat sebagai satu langkah
yang meyakinkan untuk mengembalikan peranan Asia sebagai generasi dunia.
Isi tersirat
Kekangannya ialah
•	 masyarakat memandang rendah terhadap mutu bahasa Melayu/lebih memandang tinggi kepada orang yang tahu berbahasa Ingggeris.
•	 banyak agensi swasta lebih mengutamakan pekerja yang mahir dalam bahasa Inggeris.
•	 kedudukan bahasa Melayu itu sendiri yang kurang mantap.
•	 kurang pakar/tenaga/kurang usaha untuk memartabatkan  bahasa Melayu.
Kesimpulan, masyarakat/orang ramai perlulah menyokong usaha kerajaan untuk memartabatkan bahasa Melayu agar bahasa ibunda itu
tidak hilang/pupus begitu sahaja.
Bahagian ini mengandungi , Soalan 2 iaitu;  Petikan Umum, Prosa Moden, Prosa Tradisional, dan Puisi.
SOALAN ULANGKAJI SPM 20136
Soalan 2 – Pemahaman
Aspek kelemahan calon.
1.	 Calon tidak membaca arahan soalan dan tidak meneliti kehendak soalan.
2.	 Calon hanya mengemukakan satu isi sahaja sedangkan markah yang diperuntukkan ialah tiga.
3.	 Bahagian soalan laras pemahaman, calon kemukakan idea sendiri sedangkan jawapan terdapat dalam petikan.
4.	 Calon hanya kemukan isi sahaja tanpa huraian dan contoh.
5.	 Ayat calon tidak gramatis menyebabkan calon kehilangan markah bahasa.
Aspek yang perlu diberi perhatian oleh calon.
1.	 Baca soalan sekurang-kurangnya dua kali untuk mengesahkan kehendak soalan.
2.	 Setiap kali selesai menulis jawapan, perlu membandingkan dengan soalan, adakah jawapan tersebut tepat atau terpesong.
3.	 Teliti jumlah markah yang dicatatkan untuk setiap soalan kerana jumlah isi biasanya bergantung kepada jumlah markah. Sekiranya
markah tiga, isi yang dikemukan dua atau tiga.
4.	 Setiap jawapan perlu pengukuhan huraian dan contoh. Dalan soalan komsas, calon perlu kemukakan contoh daripada peristiwa yang
berlaku yang terdapat dalam cerita.
5.	 Soalan berkaitan komsas seperti nilai-nilai murni, pengajaran dan watak, berbeza penggunaan bahasanya. Contoh daripada kata kunci
gigih; untuk menjawab soalan watak – seorang yang gigih, soalan nilai – kegigihan, soalan pengajaran – kita mestilah gigih berusaha.
6.	 Terdapat tiga laras soalan dalam setiap petikan:
	 i.		Laras pemahaman – tahap ini menguji pemahaman calon terhadap petikan.  Jawapannya juga boleh diperoleh daripada petikan.
	 ii.	Laras analisis – bahagian ini menguji maksud perkataan/rangkai kata/  maksud ayat  atau soalan-soalan komsas  iaitu tema, persoalan,
watak, nilai-nilai murni, pengajaran, latar, gaya bahasa, plot, dan teknik plot.  Jawapannya boleh diperoleh sama ada dalam petikan atau
daripada keseluruhan cerita.  Jawapan untuk maksud rangkai kata mestilah berdasarkan petikan bukan mengikut maksud yang terdapat
dalam kamus.
Laras kemahiran berfikir/pendapat – soalan ini menguji pendapat daripada calon.  Calon perlu mengemukakan idea sendiri dan tidak
boleh menceduk idea daripada petikan. Apabila mengemukakan idea, elakkan daripada mengulang isi dan kemukakan tiga idea berbeza.
Jawapan : Pemahaman (35 markah)
			 Soalan 2(a) : 9 markah
			 Soalan 2(b) : 9 markah
			 Soalan 2(c) : 8 markah
			 Soalan 2(d) : 9 markah
Jawapan 2 (a) - Petikan Umum
i.	 Maksud mengembalikan peranan Asia ialah hidupkan semula maruah/jati diri/kepentingan masyarakat di benua Asia.     	 (2 m)
ii.	 Faktor-faktor bahasa Melayu dipinggirkan ialah tuntutan ekonomi kapitalisme  yang menghanyutkan perjuangan nasionalisme, bahasa
Melayu terpaksa bersaing hebat dengan bahasa lain terutamanya bahasaa Inggeris, serta aplikasi dan  dasar liberalisasi sejak 1980-an telah
menjadikan penggunaan bahasa Inggeris semakin meluas manakala bahasa Melayu seolah-olah telah terkubur.      	 (3 m)
iii.	 Dua langkah untuk mermartabatkan bahasa Melayu dalam kalangan murid sekolah rendah ialah menempatkan guru pakar bahasa Melayu
untuk setiap sekolah agar dapat memberi pendedahan yang betul kepada murid dan guru baru serta mengadakan aktiviti terancang yang
menarik serta    melibatkan penggunaan bahasa Melayu seratus peratus agar murid dapat belajar sambil menghayati bahasa tersebut dalam
suasana yang gembira. 				 (4 m)
Jawapan 2 (b) Petikan Drama
i.	 Reaksi Israk apabila Mikraj mengajaknya ke kebun ialah  menjawab secara sambil lewa, iaitu tidak perlu malah memarahi Mikraj yang
dianggap terlalu menjaga tepi kain orang. Israk juga menyindir Mikraj dengan pertanyaan Mikraj sudah selesai berhujah dan bersahaja
mencapai gitarnya lalu lagu sumbang itu kembali beralun. 		 (2 m)
ii.	 Beberapa cadangan untuk mendekatkan golongan muda agar berminat untuk menyertai aktiviti-aktiviti yang melibatkan kegiatan
kekeluargaan ialah menyerahkan tanggungjawab mengelolakan sebarang aktiviti kepada kumpulan ini agar mereka merasakan tenaga
mereka dihargai. Selain itu, aktiviti tersebut secara keseluruhannnya memerlukan penglibatan semua pihak agar hubungan lebih akrap
dan sesetengah aktiviti boleh menggunakan komputer,telefon bimbit, dan pelbagai gajet kerana remaja kini lebih berminat pada aktiviti
yang menggunakan perisian malah mereka boleh mengggunakan kepakaran masing-masing untuk mengajar keluarga yang telah berumur
atau tidak mahir dalam ilmu komputer. 		 (3 m)
SOALAN ULANGKAJI SPM 2013 7
iii.	 Satu pengajaran yang terdapat dalam petikan ialah kita janganlah biadap terhadap orang tua contohnya Israk yang kerap melukakan hati
neneknya, Wah./Kita jangan lupa diri/asal usul, contohnya Israk yang enggan ke kebun apabila diajak oleh Mikraj kerana menganggap
dirinya berketurunan Inggeris. Pengajaran lain yang terdapat dalam keseluruhan cerpen ialah kita . 	 (4 m)
Jawapan 2 (c) Petikan Prosa Tradisional
(i)	 Muka bidadari pucat kerana bidadari melihat naga yang melancar/meluncur di atas kemuncak mahligai telah menelan gemala yang
terdapat di atas kemuncak mahligai itu. 		 (2 m)
(ii)	Gambaran naga yang terdapat dalam mimpi bidadari ialah rupa naga itu terlalu indah/cantik sekali dan apabila bidadari  berselimut dia
terbau bunga malah  bau bunga itu seolah-olah melekat pada hidungnnya/masih terbau-bau.  	 (3 m)
(iii)	Bekalan yang perlu ada dalam diri seseorang remaja untuk mengelakkan diri daripada diperdaya oleh orang yang tidak bertanggungjawab
ialah seseorang remaja itu perlu penuhkan ilmu dunia dan akhirat dalam dirinya agar dia dapat menapis perkara yang mendatangkan
kebaikan atau keburukan. Selain itu, remaja juga perlu berkawan dengan orang yang baik tingkah lakunya atau dengan para ilmuan kerana
sahabat yang baik akan membawa kita ke jalan yang benar/baik, malah seseorang remaja itu  perlu pandai membawa diri agar tidak timbul
perasaan marah atau dendam atau iri hati kerana kita mudah dieksploitasi sekiranya kita leka dengan kelebihan yang kita ada. 	 (3 m)
Jawapan 2 (d) Puisi Tradisional
i.	 Maksud cahari olehmu akan sahabat, yang boleh dijadikan ubat ialah saranan supaya memilih sahabat yang  akan bersama-sama kita sama
ada dalam keadaan senang atau susah 		 (3 m)
ii.	 Ciri-ciri seorang sahabat yang setia ialah yang tidak akan menceritakan aib kita kepada orang lain. Mereka juga akan bersama-sama kita di
kala kita susah maupun senang malah mereka jujur dan berterus terang sekiranya kita tersalah haluan serta memaklumkan perkara negatif
yang kita lakukan kepada keluarga agar dapat dibetulkan sebelum jauh terpesong. 	 (3 m)
iii.	 Dua nilai yang terdapat dalam gurindam di atas ialah kebijaksanaan iaitu bijak dalam memilih sahabat sejati. Ketaatan iaitu isteri yang
taat kepadaa suaminya dan keiklasan iaitu seorang sahabat yang baik sentiasa ikhlas dengan rakannya. 	 (3 m)
Soalan 3 – Pengetahuan dan Kemahiran Bahasa
Aspek kelemahan calon
3a.  Bina ayat:    calon melakukan kesalahan ejaan/istilah/tanda bacaan.
	 -	calon menjadikan perkataan yang diuji sebagai kata nama khas atau peribahasa/ calon menambah atau mengubah imbuhan walaupun 			
	 arahan tidak boleh menambah ataau menukar imbuhan.  Namun, arahan terkini membenarkan calon mnambah imbuhan.  Oleh itu 	 		
	 calon perlu membaca arahan soalan dengan teliti.
	 -	menggunakan dua perkataan yang diuji dalam satu ayat.
	 -	membina ayat yang tidak menunjukkan maksud yang sebenar atau tanpa makna atau maksud salah.
3b. Soalan pelbagai: soalan menyambung ayat, calon menggunakan kata hubung atau penanda wacana yang salah atau tidak sesuai atau ayat
disambung di bahagian yang salah.
	 -	soalan menukarkan ayat aktif kepada ayat pasif.  Calon menggunakan di…..oleh untuk kata ganti nama diri pertama dan kedua. 	 		
	 Hukumnya salah. (sila rujuk buku tatabahasa DBP untuk maklumat lanjut)
	 -	soalan menukarkan cakap ajuk kepada cakap pindah. Calon masih menggunkan ayat cakap ajuk tanpa menukarkan kepada bahasa 			
	 formal atau calon masih menggunakan perkataan ringkas seperti ‘tak’/’nak’.
3c. Kesalahan penggunaan ejaan dan imbuhan: calon menukar ejaan atau imbuhan yang sememangnya betul. Calon juga mengubah struktur
ayat. Arahan terkini membenarkan calon mengemukakan jawapan sahaja tanpa menyalin ayat.
3d. Kesalahan penggunaan kata atau istilah: calon membetulkan penggunaan kata atau istilah yang sememangnya betul. Calon membetulkan
ejaan walhal, kesalahan yang diuji ialah istilah dan penggunaan kata. Calon juga mengubah struktur ayat. Arahan terkini membenarkan
calon mengemukakan jawapan sahaja tanpa menyalin ayat.
SOALAN ULANGKAJI SPM 20138
3e. Calon mengemukakan maksud peribahasa yang salah atau meletakkan kedudukan peribahasa dalam kedudukan yang salah. Calon
tidak kemukakan peribahasa yang diuji dalam ayat yang dibina. Calon juga menambah atau meninggalkan imbuhan yang terdapat pada
peribahasa.
Aspek yang perlu diberi perhatian oleh calon.
1.	 Elakkan daripada melakukan kesalahan ejaan atau tatabahasa.
2.	 Sentiasa mengulang soalan atau merujuk soalan untuk pastikan setiap jawapan menepati kehendak soalan.
3.	 Walaupun arahannya sama saban tahun, calon perlu membaca arahan untuk setiap soalan.
Pengetahuan dan Kemahiran Bahasa
				 Soalan 3(a) : 6 markah
				 Soalan 3(b) : 6 markah
				 Soalan 3(c) : 6 markah
				 Soalan 3(d) : 6 markah
				 Soalan 3(e) : 6 markah
Contoh ayat:
(i)		 Drama percintaan itu saya tonton sehingga tamat. 		 (1 m)
(ii)		 Pengasuh itu diminta menengok kanak-kanak itu sementara ibunya memilih sayur-sayuran. 	 (1 m)
(iii)		 Peristiwa berkenaan kemalangan tersebut telah keluar dalam berita pada jam 12.00 malam. 	 (1 m)
(iv)		 Matahari biasanya akan terbit seawal jam lapan pagi. 		 (1 m)
(v)		 Anyaman tikar itu sangat halus dan kemas. 		 (1 m)
(vi)		 Kita perlu melakukan sesuatu kerja dengan teliti agar segala tugasan yang diberikan berjalan dengan lancar. 	 (1 m)
Jawapan (b)
(i)	    Melukis (S) telah menjadi kegemarannya sejak kecil lagi (P). 	 (2 m)
(ii)	 Warna oren (S) merupakan warna pilihan Hani untuk majlis perkahwinanya (P) 	 (2 m)
(iii)		 	Ibu pejabat syarikat tersebut (P) terletak di Labuan, Sabah (P) 	 (2 m)
Jawapan (c)
(i)		Kebanyakkan (Kebanyakan) pengguna memilih untuk berbelanja di pusat membeli belah (membeli-belah) berbanding di kedai 			
	runcit.
(ii)	 Irfan sambut (menyambut) hari jadinya yang ke 17 (ke-17) secara sederhana sahaja pada tahun ini.
(iii)	     (“)Di mana harus saya mengantungkan (gantungkan) gambar pemandangan ini(”, ?) Aqil bertanya kepada Irfan.
Jawapan (d)
(i)		Bendera-bendera (bendera) yang berwarna-warni itu bertebaran (berkibaran) di sepanjang jalan.
     (ii)	 Masalah yang institusi pengajian tinggi hadapi adalah (ialah) kekurangan pendapat yang cerdas.(bernas)
. (iii)	 Beliau sering diajak (dijemput) untuk membentangkan kertas kerja di dalam (dalam) beberapa seminar.
Jawapan (e) maksud peribahasa di bawah ini.
(i)	 Di mana ada kemahuan di situ ada jalan – sekiranya kita berusaha kita akan menemui kejayaan dan jalan penyelesaian 	 (2 m)
(ii)	Tak lapuk dek hujan, tak lekang dek panas – Adat yang tidak berubah dan telah utuh. 	 (2 m)
(iii)	Bermandi peluh - Bekerja dengan sepenuh tenaga. 		 (2 m)
SOALAN ULANGKAJI SPM 2013 9
Soalan 4 – Novel
Aspek kelemahan calon.
1.	 Calon tidak mengemukakan contoh dan huraian atau calon memberi contoh yang umum atau salah.
2.	 Calon tidak menguasai cerita menyebabkan isi yang dijawab setakat ala kadar.
3.	 Teknik menjawab salah. Contoh, soalan mengkehendaki calon mengemukan watak, tetapi calon menjawab dalam bentuk nilai murni
iaitu sepatutnya ‘wataknya seorang yang penyayang’ tetapi calon menjawab ‘watak sayang-menyayangi’.
4.	 Soalan perbandingan, calon tidak bandingkan antara kedua-dua novel.
Aspek yang perlu diberi perhatian oleh calon.
1.	 Calon perlu menguasai kedua-dua novel yang dipelajari semasa di tingkatan empat dan tingkatan lima agar boleh memilih novel yang
lebih dikuasai.
2.	 Calon perlu tahu jalan cerita dan mengenali watak terutama watak penting secara terperinci untuk memudahkan calon mengemukakan
contoh sebagai bukti.
3.	 Calon perlu mengemukakan contoh beserta huraian kerana tanpa contoh, calon tidak akan memperoleh markah.
4.	 Menggelakkan daripada melakukan kesalahan bahasa supaya markah bahasa tidak ditolak.
Jawapan 4: Novel
(a)	Berdasarkan novel yang telah dikaji, dua nilai murni yang terdapat pada Watak utama ialah:
	 •	Novel Papa..  Penyayang – menyayangi mama dan Julia ….
	 •	Taat kepada perintah Allah – sentiasa berdoa mama cepat sembuh …..
	 •	Prihatin – prihatin dengan masalah kesihatan mama
	 •	Novel K. Terakhir .. Gigih – berusaha gigih memmpelajari musik…
	 •	Menghormati orang tua – bersalaman dan mencium tangan Datuk Johari….
	 •	Pemaaf – memaafkan Datin Salmah walaupun dilayan dengan buruk….
                                                     Isi  4 m + bahasa 3 m = 7 m
(b) Dua persoalan yang dikemukan oleh pengarang dalam novel:
	 •	Novel Papa.. ketabahan dalam mengharungi cabaran dan dugaan hidup, contoh…
	 •	Kegigihan dalam menimba ilmu pengetahuan, contoh…
	 •	Poligami dalam sesebuah keluarga, contoh…
	 •	Cinta dalam usia remaja, contoh…
	 •	Gejala sosial dalam masyarakat, contoh..
	 •	Konserto terakhir…Kepentingan ilmu pengetahuan dalam kehidupan
	 •	Sikap sesetengah masyarakat yang mementingkan kekayaan dan pangkat, contoh..
	 •	Keikhlasan dalam memberikan  pertolongan, contoh..
	 •	Berkorban demi kebahagian orang lain, contoh..
	 •	Masyarakat moden yang masih percayakan amalan tahyul, contoh..
                                         (1 isi 3 m x 2 isi)  6 m isi + 2 m bahasa = 8 m
SKEMA JAWAPAN TAMAT
SOALAN ULANGKAJI SPM 201310
English
Jawapan
English	 Paper 1
Section A: Directed writing
		 Format -	 title 		 	 1 mark
	 	 	 	 Name of writer 	 	     	 1 mark
				 Paragraph 		 	 1 mark
		 Content - 	 include all the points given 	 	 12 marks
	 	 Language -      	 	 	 	   	 20  marks
		 _______
						total	 	 35 marks
Section B: Continuous Writing
		 Impression marking - 				 50 marks
SOALAN ULANGKAJI SPM 2013 11
English	 Paper 2
Section A
1	D				9	C
2	A				10	A
3	B				11	A
4	C				12	B
5	C				13	A
6	D				14	D
7	B				15	C
8	A
Section B
16	 	 RM 297		 	 21	 he is travelling during a peak period
17	 	 RM99	 	 	 22	 between 1 November 2013 and 30 April 2014
18	 	 RM149	 	 	 23	 fuel surcharge, insurance levy, airport tax and other
						applicable charges
19	 	 RM 50	 	 	 24	 the fares on offer are not available during peak periods
20	 	 RM 149		 	 25	 RM 100 for a one-way ticket	
Section C
26	 (a)  smoking/ taking drugs/ alcoholism/ drink-driving/ illegal rcing/ reckless driving (choose any one)	
	 (b)  AIDS/ HIV (choose any one)
27	 Reason 1: pursuit of material wealth
	 Reason 2: busy themselves with career advancement	
28	 Reason 1: school curriculum does not put equal emphasis on instilling moral and Religious principles
	 Reason 2: school curriculum does not fully nurture the intellect of students
29	 (a) 	 run away
	 (b) 	bad hats
30	 (a)   	 they play an important in teaching discipline and imparting knowledge/
	         	 they collaborate with their students’ parents and let the parents know if their children misbehave, play truant or have 	 	
	 problems in school
	 (b) 	it is good to overcome many disciplinary problems
SOALAN ULANGKAJI SPM 201312
31 Summary – points
	 a) smoking, taking drugs. alcoholism
	 b) drink-driving, reckless driving, illegal racing
	 c)   Aids and HIV
	 d) playing truant, vandalism, loiter around
	 e) should be communication between parents and children
	 f)    parents  should keep track of their children’s friends and their movement
	 g) should have daily discussion about school and checking their exercise books
	 h) going on holidays together
	 i) teachers and counsellors should teach discipline and impart knowledge
	 j)    teachers should collaborate with children’s parents – inform them if their children misbehave, play truant or have problems
	 k) cooperation between teachers and parents to overcome many disciplinary problems
	 l) both parents and teachers should instil religious and moral values in children
		
		 *maximum 10 points for content and 5 marks for language
Section D
32	 (a) slim hollow of the banboo
	
	 (b)	 (i) 	 the melody
	 	 (ii)  	 an artist/ the persona’s beloved
	 (c)  	 Luxury:	 accept any logical answer and reason
		 Reason:
33	 Content - 10 marks
	 Language    -      5 marks	
END OF MARKING SCHEME
SOALAN ULANGKAJI SPM 2013 13
Mathematic
Jawapan
Mathematic	 Paper 1
SOALAN ULANGKAJI SPM 201314
Mathematic	 Paper 2
5m
SOALAN ULANGKAJI SPM 2013 15
SOALAN ULANGKAJI SPM 201316
10
a) 1/8
b) 7/8
1
2
2 5
11
a)
b)
= 2, y= -3
1
1 1
1
1
1 1 6
(a) 16
-8
(b) Axes drawn in correct direction and correct scales
in
6 points and *2 points correctly plotted or curve
passes through the points for
A smooth and continuous curve without any straight line and passes
through all 9 correct points for .
1
1
1
2
1
1
y
x
y = –
15
x
: x Intercept ( 0, 0)
y=-3x+5
y=-15/x
y = 2 - 3x
33 x
x
y
16
=
33 x
12
x
SOALAN ULANGKAJI SPM 2013 17
(c) (i)
(ii)
(d) Drawing
1
1 1
1 1
12
13 (a) (i) ( 4 , -2 )
(ii) ( 1 ,0 )
(b) (i) U 90o clockwise with centre ( 1 , 1 ).
(ii) V : Enlargement with scale factor 2 at F or( 4 , 0 ).
(c) 2
2
120 + AreaABCD = 2
2
ABCD
40
1
2
3
3
1
1
1
12
2726 y
4.131 x
xy 32=
15.205.2 x , 752652 x
SOALAN ULANGKAJI SPM 201318
14
a)
Marks Upper B
d
Frequency Cumula ve
30 – 35 35.5 0 0
36 – 40 40.5 1 1
41 – 45 45.5 5 6
46 – 50 50.5 10 1 6
51 – 55 55.5 12 2 8
56 – 60 60.5 8 36
61 – 65 65.5 3 39
66 – 70 70.5 1 40
b) i)
c)(i) Q1 = 48, Q3 = 56.3 both
Inter-qu le range (IQR) = 56.3 – 48
= 8.3
(ii) The third qu le means that
..... 30 students in the class weigh not more (less) than 56.3 kg. OR
2
1
1
1
1
1
1
1
1
Frequency
Cumu ve F
Upper boundary
Point (35.5, 0)
8 points connected
Smooth curve
Uniform axes
35.5 40.5 45.5 50.5 55.5 60.5 65.5 70.5
..... 10 students in the class weigh not less (more) than 56.3 kg 2 12
SOALAN ULANGKAJI SPM 2013 19
15 a)
B i)
B ii)
3
4
5
SOALAN ULANGKAJI SPM 201320
16 (a) 1430
B
(b) 900
- 70
60
5400
200
N
(c) (i) 180 x 60 x cos 70
3693.8 n.m
(ii) { 180 – (70+70) } x 60
2400
(d)
522.45
1 1
1
1
1
1
1
1
1
1
1
1
12
22
5400)7060180(60)}7070(180{ +++ kos
END OF MARKING SCHEME
SOALAN ULANGKAJI SPM 2013 21
Sejarah
Jawapan
Sejarah	 Kertas 1
Nombor soalan Jawapan Nombor Soalan Jawapan
1 A 21 C
2 A 22 B
3 C 23 B
4 A 24 B
5 B 25 D
6 D 26 D
7 D 27 D
8 A 28 C
9 D 29 A
10 D 30 A
11 C 31 B
12 A 32 D
13 C 33 C
14 C 34 D
15 B 35 D
16 D 36 D
17 A 37 B
18 B 38 C
19 A 39 C
20 B 40 D
SOALAN ULANGKAJI SPM 201322
Sejarah	 Kertas 2
Soalan Huraian markah
1 a Kegiatan ekonomi tamadun China dan India
F1 Bercucuk tanam 1
F2 Menternak binatang 1
F3 Perdagangan 1
F4 Perusahaan tembikar 1
F5 Perusahaan memotong logam 1
F6 Perusahaan tekstil/kain/ sutera 1
F7 Perusahaan berasaskan emas/ permata/ mutiara 1
[2 markah]
b Senaraikan dua sumbangan tamadun China dalam pertanian
F1 Penggunaan tenggala 1
F2 Penciptaan kolar kuda 1
F3 Penciptaan alat kegunaan pertanian/ cangkul/ batas
sabit
1
F4 Sistem tanaman bergilir 1
F5 Pembinaan terusan/ tali air 1
[2 markah]
c Peranan sresthin
F1 Mengawal harga 1
F2 Mengawal kualiti 1
F3 Mengawal gaji pekerja 1
[2 markah]
d F1 Negara bertambah maju 1
F2 Pembangunan negara berjalan lancar 1
F3 Kesejahteraan hidup rakyat 1
F4 Tiada masalah pengangguran 1
F5 Kadar kemiskinan menurun 1
F6 Kurang bergantung kepada negara luar 1
[2 markah]
e F1 Menyediakan peralatan pertanian yang moden 1
F2 Memberi  subsidi kepada petani 1
F3 Mengadakan kempen kesedaran tentang pertanian 1
F4 Memulihkan tanah terbiar 1
F5 Memberi kursus 1
F6 Menghantar petani melawat negara yang maju dalam
bidang pertanian
1
[2 markah]
2 a F1 Kewujudan kerajaan-kerajaan Islam yang menjalankan
perdagangan seperti Acheh/Melaka/ Brunei/ Sulu?
Kelantan/Kedah/ Terengganu
1
SOALAN ULANGKAJI SPM 2013 23
F2 Membolehkan pedagang-pedagang Melayu
membabitkan diri secara aktif dalam rangkaian
perdagangan Timur dan Barat
1
F3 Perdagangan memesatkan proses pengislaman di Alam
Melayu
1
F4 Mewujudkan sistem timbangan/ sukatan/ukur yang
adil
1
F5 Pelaksanaan sistem pertukaran barang dan kaedah jual
beli yang adil
1
F6 Amalan riba tidak dibenarkan 1
F7 Golongan kaya wajib membayar zakat harta 1
F8 Penubuhan Baitulmal untuk menyelenggara harta
kerajaan/ perbendaharaan negara
1
F9 Penyediaan kemudahan perdagangan kepada
pedagang asing
1
F10 Mewujudkan sistem perdagangan yang licin  untuk
kemudahan perdagangan
1
F11 Usan Mewujudkan jawatan Laksamana untuk menjaga
urusan kelautan
1
F12 Mewujudkan jawatan Syahbandar sebagai ketua
Pelabuhan Islam
1
F13 Mengamalkan unsur halal semasa berurus niaga 1
F14 Amalan penindasan dan penipuan dilarang. 1
F15 Nilai-nilai murni seperti berjimat-cermat dan
bersungguh-sungguh digalakkan
1
F16 Amalan bersedekah oleh pedagang uyang kaya
digalakkan.
1
[2 markah]
b F1 Mata wang diperbuat daripada timah 1
F2 Di Melaka mata wangnya berbentuk bulat 1
F3 Berat mata wang di melaka satu kati lapan tahil 1
F4 Nama Sultan yang memerintah dicatatkan pada mata
wang
1
F5 Tarikh Islam dicatat pada mata wang 1
F6 Mata wang dari negara-negara Islam seperti Parsi/
Cambay digunakan di Melaka
1
F7 Mata wang tersebut boleh ditukarkan dengan mata
wang tempatan
1
F8 Di Johor mata wang timah dikenali sbg katun 1
F9 Berbentuk bulat atau segi enam 1
F10 Mata wang tidak mempunyai tarikh 1
F11 Mempunyai tulisan jawi / Arab seperti Malik atau
Sultan al-Adil
1
F12 Mata wang timah di negeri Kedah berbentuk seekor
ayam jantan yang hinggap di atas beberapa cincin
1
F13 Mata wangi ini boleh dipatahkan dan digunakan secara
berasingan
1
SOALAN ULANGKAJI SPM 201324
F14 Mata wang yang diperbuat daripada emas di Johor
dikenali sebagai kupang
1
F15 Mata wang emas di Johor yang tertua bertarikh 1527
pada zaman Sultan Alauddin Riayat Syah
1
F16 Mengandungi emas seberat 10 grains (0.65 gram) dan
40 grains ( 2.6 gram )
1
F17 Di Kelantan mata wang emas dikenali sebagai kijang 1
F18 Setiap mata wang tertera nama dan pangkat Sultan
yang memerintah dan yg mengeluarkan wang tersebut.
1
F19 Di bahagian belakang mata tertulis gelaran Islam
sultan berkenaan seperti Khalifatul Muslimin.
1
[2 markah]
c F1 Pedagang diwajibkan membayar cukai terhadap
terhadap barang dagangan
1
F2 Ekonomi tetap (cukai import) ditetapkan oleh
pemerintah
1
F3 Pedagang dari India/ Ceylon/ Tanah Arab/ Siam /
Pegu dikenakan cukai sebanyak 6%
1
F4 Pedagang dari Jepun dan China dikehendaki
membayar cukai sebanyak 5%
1
F5 Beras dan makanan tidak dikenakan cukai 1
F6 Orang asing yang menetap di Melaka dikenakan cukai 1
F7 Orang asing yg datang dari Kepulauan dikenakan
cukai diraja sebanyak 3%
1
F8 Orang asing lain dikenakan cukai diraja sebanyak 6% 1
[2 markah]
d F1 Sistem barter/tukar barang digunakan dgn meluas 1
F2 Ekonomi sukar berkembang 1
F3 Perdagangan antarabangsa menjadi terhad 1
F4 Proses percukaian menjadi sukar 1
F5 Perbelanjaan menguruskan perdagangan bertambah 1
F6 Ekonomi sara diri menjadi keutamaan 1
F7 Orang ramai lebih banyak menjadi petani 1
F8 Perbendaharaan negara berkurangan 1
F9 Imej negara dipandang rendah 1
[2 markah]
e F1 Menyediakan rakyat yang berpendidikan 1
F2 Memartabatkan kerjaya dalam bidang perdagangan 1
F3 Membina prasarana yang lengkap untuk tujuan
perdagangan
1
F4 Mengurangkan karenah birokrasi dalam bidang
perdagangan
1
F5 Membangunkan pertahanan negara 1
F6 Memastikan rakyat boleh menguasai pelbagai bahasa 1
F7 Menjalin hubungan perdagangan dgn pelbagai negara 1
F8 Memupuk perpaduan kaum dalam kalangan rakyat 1
F9 Memajukan teknologi maklumat 1
SOALAN ULANGKAJI SPM 2013 25
F10 Mementingkan R&D 1
F11 Menyemai semangat Malaysia Boleh 1
F12 Mengutamakan inovasi 1
F13 Mengenakan cukai yang berpatutan. 1
[2 markah]
3 a F1 Sheikh Tahir Jalaluddin 1
F2 Syed Sheikh al-Hadi 1
F3 Dr. Burhanudin al-Helmy 1
[2 markah]
b F1 Al-Imam 1
F2 Neracha 1
F3 Idaran Zaman 1
F4 Pengasuh 1
[2 markah]
c F1 Menjana ajaran Islam dari sudut kemajuan dunia/
kembali kepada ajaran Islam yang sebenar
1
F2 Gesaan memajukan pendidikan / ekonomi/ politik
dan sosial org melayu
1
F3 Menyemai sikap mengkritik penjajah ke dalam fikiran
orang Melayu
1
F4 Mengkritik raja dan pembesar Melayu yang tidak
memajukan orang Melayu
1
F5 Mencetuskan idea penubuhan madrasah 1
F6 Mencadangkan pendidikan untuk wanita 1
F7 Menggesakan pendidikan Islam meliputi pendidikan
dunia dan akhirat
1
[2 markah]
d F1 Tentangan oleh Kaum Tua 1
F2 Undang-undang yang dikeluarkan oleh Negeri-negeri
Melayu bagi menghalang pengaruh Kaum Muda
1
F3 Tidak membenarkan sebarang kegiatan dakwah Islam
dilakukan tanpa kebenaran Sultan
1
F4 Menghalang risalah dan buku Kaum Mud di bawa
masuk ke Negeri-negeri Melayu
1
[2 markah]
e F1 Tekanan daripada negara maju 1
F2 Persaingan ekonomi dunia 1
F3 Kenaikan harga barang 1
F4 Kekurangan tenaga mahir 1
F5 Masalah perpaduan kaum 1
F6 Kadar pengangguran tinggi 1
F7 Masalah kemiskinan 1
F8 Teknologi rendah 1
F9 Pencemaran 1
SOALAN ULANGKAJI SPM 201326
F10 Gejala sosial 1
F11 Globalisasi 1
[2 markah]
4 a F1 Mengadakan lawatan ke Sarawak, Sabah dan Brunei
dalam usaha untuk menerangkan konsep, tujuan dan
matlamat penubuhan Malaysia
1
F2 Rundingan juga diadakan antara pegawai-pegawai
kanan Persekutuan Tanah Melayu dengan Pegawai-
pegawai British dri Sarawak, Sabah dan Singapura
1
F3 Satu Jawatankuasa Perundingan Perpaduan Malaysia
ditubuhkan (JPPM)
1
F4 Penubuhan Suruhanjaya Cobbold 1
F5 Pembentukan Jawatankuasa Antara Kerajaan (JAK) 1
[2 markah]
b F1 Lord Cobbold 1
F2 Sir Anthony Abel 1
F3 Sir David Watherson 1
F4 Encik Ghazali Shafie 1
F5 Wong Pow Nee 1
[2 markah]
c F1 1/3  penduduk Sarawak dan Sabah menyokong
gagasan Malaysia tanpa syarat
1
F2 1/3 menyokong dengan syarat kepentingan mereka
harus dilindungi
1
F3 1/3 setuju dengan menginginkan kemerdekaan
sebelum menyertai Malaysia
1
[2 markah]
d F1 Perlembagaan Malaysia haruslah berasaskan
perlembagaan Persekutuan Tanah Melayu 1957
1
F2 Kuasa diberikan kepada Sabah dan Sarawak untuk
menentukan dasar imigresen dan bahasa Melayu
dijadikan bahasa kebangsaan
1
F3 Terdapat jaminan terhadap hak dan kedudukan
bumiputera Sabah dan Sarawak
1
F4 Nama Malaysia digunakan 1
F5 Penentuan tarikh penubuhan Malaysia 1
[2 markah]
e F1 Usaha yang bersungguh-sungguh oleh Kerajaan
Persekutuan Tanah Melayu
1
F2 Penduduk Sabah dan Sarawak lebih suka menyertai
Malaysia berbanding dengan Indonesia dan Filipina
1
F3 Ciri-ciri kepimpinan pemimpin Tanah Melayu 1
SOALAN ULANGKAJI SPM 2013 27
F4 Sikap bekerjasama pemimpin di Tanah Melayu 1
[2 markah]
Mana-mana jawapan yang munasabah
Jawapan Esei
5 a F1 Menghantar perutusan ke Rom/ Rom Timur/Parsi/
Mesir/ Habsyah
1
F2 Tidak memaksa mereka memeluk Islam 1
H2a Menggunakan cara diplomasi 1
H2b Menunjukkan nilai-nilai yang baik 1
F3 Menyeru mereka memeluk Islam menerusi warkah 1
H3a Antaranya Hercules/ Maharaja Rom Timur 1
H3b Raja Qibti Mesir 1
H3c Raja Parsi 1
F4 Berperang dengan puak Quraisy 1
H4a Perang Badar 624M 1
H4b Perang Uhud 625M 1
H4c Perang Khandak 627M 1
H4d Perang Tabuk 630M 1
F5 Mengampunkan tawanan perang Badar 1
H5a Tawanan wanita dan kanak-kanak dibebaskan 1
H5b Tawanan lelaki akan dibebaskan dengan syarat berjaya
mengajar 10 kanak-kanak Islam membaca dan menulis
1
F6 Mewujudkan rasa persefahaman dengan wilayah luar 1
F7 Berdakwah dengan bijaksana 1
F8 Menerusi nasihat yang baik 1
[8 markah]
b F1 Berperang dibenarkan untuk mempertahankan
maruah diri/ agama/ negara
1
F2 Dilakukan dengan keizinan Allah/ setelah wahyu
diturunkan
1
F3 Berperang apabila mereka diserang oleh musuh 1
F4 Supaya tempat ibadat mereka terjaga 1
F5 Berperang untuk mencari keamanan 1
F6 Untuk menentang kezaliman 1
F7 Untuk mempertahankan diri 1
F8 Menganjurkan perdamaian 1
F9 Seandainya musuh Islam inginkan perdamaian maka
orang Islam perlu pilih perdamaian
1
F10 Mengampunkan tawanan 1
F11 Dilarang membunuh sesuka hati 1
F12 Tumbuh-tumbuhan dilarang dimusnahkan 1
F13 Tidak dibenarkan membunuh orang lemah/orang
tua/ kanak-kanak/ orang sakit/ orang yang menyerah
diri
1
SOALAN ULANGKAJI SPM 201328
F14 Tidak dibenarkan membunuh binatang ternakan 1
F15 Dilarang meroboh tempat ibadat 1
c F1 Menuntut ilmu mempertahankan diri 1
F2 Bersatu padu 1
F3 Mentaati pemerintah 1
F4 Bekerjasama dengan pihak berkuasa 1
F5 Menyertai pasukan keselamatan 1
F6 Mencipta senjata 1
F7 Melaporkan sebarang kegiatan mencurigakan 1
F8 Tidak melaporkan rahsia negara 1
6 a F1 Berasal daripada perkataan reform 1
F2 yang bermaksud “ melaksanakan perubahan atau
pembaharuan terhadap sesuatu yang menghasilkan
sesuatu yang baik atau untuk membentuk sesuatu yang
baru
1
F3 Reformation berkaitan dengan agama Kristian 1
[ mana-mana 2X1m ]
b F1 Beliau adalah seorang Paderi dan profesor ilmu teologi
di Jerman                         
1
F2 Martin mengatakan bahawa dalam amalan ibadat
manusia perlu bergantung kepada kekuatan rohani
1
F3 Pendirian Martin Luther telah mencabar kedudukan
Gereja dan Institusi Paderi
1
F4 Pendirian dan dan ajaran Luther dikenali sebagai
mazhab Protestan
1
H4a Protestan berasal daripada perkataan protesting yang
membawa maksud membantah
1
H4b Tindakan mempersoalkan kewibawaan gereja Katolik
dan golongan paderi serta kewujudan mazhab
protestan menandakan bermulanya Reformation
1
F5 Mazhab protestan telah berkembang ke
Sweden,Denmark, Norway dan England             
1
[mana-mana 6X 1m]
c F1 Negara Eropah berpecah dan berperang mengikut
mazhab masing-masing
1
H1a Contoh perang keagamaan yang berlaku di Perancis
antara1562-1598
1
H1b Perang 30 tahun (1618-1648)yang melibatkan
Sepanyol,Jerman, Bohemia, Denmark dan sweden.
1
H1c Perbalahan ini menyebabkan kemusnahan dan
peperangan
1
F2 Perbalahan ini menyebabkan kemusnahan dan
peperangan
1
SOALAN ULANGKAJI SPM 2013 29
F3 Menimbulkan kesan toleransi antara penganut
pelbagai mazhab Kristian
1
H3a Iaitu dari segi mempergiatkan pendidikan dan
menyebarkan fahaman mereka
1
F4 Kuasa Golongan gereja dicabar secara terbuka 1
H4a Kuasa Gereja terhadap kerajaan atau monarki
berkurang
1
H4b Ini kerana monarki ingin membebaskan diri daripada
penguasaan Paus di Rom
1
C1 Semasa pemerintahan Raja Henry VIII, raja menjadi
ketua kerohanian Gereja Protestan Anglican
1
H4c Raja Henry VIII memutuskan hubungan England
dengan Gereja Roman Katolik
1
H4d Raja Henry VIII memutuskan hubungan England
dengan Gereja Roman Katolik
1
[ mana-mana 12x 1m ]
7 a F1 Terdapat pelbagai mata wang primitif digunakan
di Tanah Melayu sejak zaman Kesultanan Melayu
Melaka.
1
C1a Contohnya mata wang emas, perak dan timah
dikeluarkan di Melaka semasa pemerintahan Sultan
Muzaffar Syah di Melaka.
1
C1b Dinar emas yang digunakan di Kelantan dikenali
sebagai Kijang.
1
C1c Wang emas dan kupang emas digunakan di
Terengganu
1
C1d Jongkong tampang digunakan di Pahang 1
C1d Mata wang katun digunakan di Johor. 1
C1e Mata wang timah Kedah berbentuk seekor ayam
jantan yang hinggap di atas beberapa cincin.
1
F2 Pedagang Eropah menggunakan mata wang asing di
Tanah Melayu.
1
C2a Contohnya mata wang Sepanyol. 1
H2a Mata wang ini digunakan di Negeri-Negeri Melayu
dan Negeri Selat.
1
H2b Mata wang ini bertahan selama 300 tahun. 1
F3 Kerajaan British memperkenalkan wang kertas Negeri-
Negeri Selat.
1
H3a Wang ini dikeluarkan oleh Lembaga Pesuruhjaya
Wang yang ditubuhkan pada 1897.
1
H3b Hanya mata wang ini sahaja yang sah digunakan di
Negeri-Negeri Selat.
1
H3c Mata wang kerajaan Melayu telah terhapus.                                  1
[ 6X 1m]
b F1 Kepesatan ekonomi Tanah Melayu mendorong pihak
penjajah memperkenalkan institusi kewangan.
1
H1a Bertujuan melicinkan urusan kewangan 1
SOALAN ULANGKAJI SPM 201330
H1b Institusi kewangan menyediakan kemudahan
pinjaman kepada pelabur.
1
H1c Bank memperkenalkan sistem kewangan moden yang
berorientasikan keuntungan.
1
H1d Bank memperkenalkan kadar faedah yang tinggi 1
F2 Dana dari luar dibawa masuk melalui bank. 1
H2a Bank menjadi agen pembayar kepada pengimport dan
pengeksport.
1
H2b Merchantile Bank adalah bank pertama di Tanah
Melayu. Bank Eropah mula dibuka di Tanah Melayu
selepas Perjanjian Pangkor.
1
F3 Bank Eropah mengutamakan pedagang Eropah. 1
H3a Antaranya ialah The Chartered Bank, Hong Kong and
Shanghai Bank dan Algemene Bank Nederland.
1
F4 Pedagang tempatan boleh mendapatkan perkhidmatan
bank Eropah melalui orang tengah (komprador).
1
H4a Pemodal tempatan menubuhkan bank mereka sendiri
pada awal abad ke-20.
1
F5 Kwong Yik Bank adalah bank tempatan pertama
ditubuhkan di Kuala Lumpur.
1
H5a Diikuti oleh Bank of Malaya di Ipoh 1920 dan Ban Hin
Lee 1935 di Pulau Pinang
1
F6 Bank perdagangan ditubuhkan di Sarawak. 1
H6a Antaranya Sarawak Chinese Banking Corporation
(1913) dan Ban Chiang Bank
1
H6b Orang Melayu menubuhkan banknya sendiri. 1
H6c Bank Melayu pertama ialah Malay National Banking
Corporation (1947) di K. Lumpur
1
F7 Bank ini menubuhkan cawangannya di Temerloh
dan Rembau.
1
H7a Bank ini tidak bertahan lama. 1
c F1 Menjana pertumbuhan ekonomi negara 1
F2 Menyediakan pinjaman kepada pelabur
F3 Memajukan industri negara
F4 Pengenalan sistem kewangan moden yang
berorientasikan kadar faedah yang tinggi
F5 Mempercepatkan kemasukan dana asing
F6 Menggalakkan pelaburan asing
F7 Mempercepatkan bayaran kepada pengimport dan
pengeksport
F8 Melicinkan urusan perdagangan antarabangsa
F9 Meningkatkan keinginan untuk menabung.
8(a)
SOALAN ULANGKAJI SPM 2013 31
SOALAN ULANGKAJI SPM 201332
SOALAN ULANGKAJI SPM 2013 33
SOALAN ULANGKAJI SPM 201334
SOALAN ULANGKAJI SPM 2013 35
SOALAN ULANGKAJI SPM 201336
SOALAN ULANGKAJI SPM 2013 37
SKEMA JAWAPAN TAMAT
SOALAN ULANGKAJI SPM 201338
Science
Jawapan
Science	 Paper 1
SOALAN ULANGKAJI SPM 2013 39
Science	 Paper 2
SOALAN ULANGKAJI SPM 201340
SOALAN ULANGKAJI SPM 2013 41
SOALAN ULANGKAJI SPM 201342
SOALAN ULANGKAJI SPM 2013 43
SOALAN ULANGKAJI SPM 201344
SOALAN ULANGKAJI SPM 2013 45
SOALAN ULANGKAJI SPM 201346
END OF MARKING SCHEME

Trial spm times_2013_maths_paper1_2_[a]

  • 1.
    SOALAN ULANGKAJI SPM2013 1 Bahasa Melayu Jawapan Bahasa Melayu Kertas 1 Markah penuh: 130 markah Kertas Satu - Bahagian A Tips untuk mendapatkan markah yang baik dalam Bahagian A. 1. Calon perlu menjawab mengikut arahan soalan. Sekiranya arahan memerlukan calon mengemukakan faktor, isi berkenaan faktor perlulah dikemukakan, begitu juga sekiranya kesan, kemukakan pendapat berkenaan kesan sebagai isi. 2. Calon dibenarkan menjawab melebihi 250 patah perkataan, walau bagaimanapun, calon dinasihatkan supaya tidak menjawab sehingga melebihi 300 patah perkataan kerana kemahiran bahasa calon dinilai melalui ketepatan calon membina ayat penanda wacana, dan penggunaan perkataan yang variasi. Calon perlu menepati masa menjawab yang dicadangkan iaitu 45 minit agar boleh menumpukan perhatian kepada Bahagian B nanti. 3. Perlu ada pendahuluan dan kesimpulan tetapi secara ringkas sahaja. 4. Tidak perlu menulis tajuk karangan. 5. Boleh gunakan penanda wacana yang menarik serta ungkapan yang indah, namun bataskan penggunaanya supaya bahasa tidak menjadi terlalu puitis dan meleret-leret. 6. Kemukakan satu atau dua peribahasa yang bersesuaian tetapi jangan terlalu lewah dengan peribahasa sehingga menghilangkan keindahan bahasanya. Sebaik-baiknya peribahasa mengakhiri karangan supaya menjadi penutup yang berkesan terhadap isi karangan. 7. Beri perhatian terhadap arahan soalan kerana dalam arahan tersebut terkandung isi yang sepatutnya calon huraikan. Terdapat beberapa aspek kelemahan yang perlu calon elakkan semasa menjawab soalan Bahagian A antaranya: Aspek kelemahan calon. 1. Calon menjawab terlalu panjang menyebabkan calon mengambil masa yang lama iaitu melebihi 45 minit seperti yang disarankan. Keadaan ini menyebabkan calon panik apabila kesuntukkan masa untuk menjawab soalan Bahagian B. 2. Calon menjawab soalan semata-mata berpandukan gambar tanpa kembangkan idea menyebabkan isi calon tidak bercambah dan agak dangkal. 3. Isi yang calon kemukakan terpesong daripada soalan, contohnya dalam arahan memerlukan calon menyatakan faedah, tetapi calon mengemukakan langkah. 4. Calon mengemuka semua fakta seperti punca, kesan, dan langkah walhal arahan dalam soalan tersebut ialah contohnya, faedah.
  • 2.
    SOALAN ULANGKAJI SPM20132 Contoh Jawapan : Bahagian A [30 markah] Tanggungjawab terhadap komuniti: • Masyarakat perlu prihatin terhadap golongan yang kurang bernasib baik seperti orang kurang upaya, hilang keupayaaan kerana kemalangan, orang yang ditimpa penyakit, anak yatim piatu atau yang ditinggalkan oleh ibu bapa mereka. Ibu bapa boleh mendidik anak- anak agar simpati terhadap nasib golongan ini, memberi bantuan mengikut kemampuan dan tidak menghindari atau mengejek mereka. • Masyarakat setempat perlu ambil tahu apa yang berlaku terhadap jiran tetangga mereka terutama apabila jiran ditimpa musibah seperti menghidap penyakit, kecurian, rumah terbakar, atau kemalangan dan banjir. Memberi bantuan berupa barang atau sokongan moral. • Orang ramai juga boleh bergotong royong meringankan beban jiran yang memerlukan seperti membaiki rumah jiran yang kurang berkemampuan, membersihkan kawasan setempat agar bebas daripada penyakit dan binatang berbahaya dan sama-sama membantu dalam majlis-majlis yang diadakah di kawasaan berkenaan agar hubungan antara masyarakat bertambah erat tidak kira apa agama dan bangsa jiran kita. Kertas Satu – Bahagian B Aspek yang perlu diberi perhatian oleh calon. 1. Ayat yang digunakan perlulah pendek dan jelas untuk mengelakkan berlakunya kesalahan bahasa. 2. Gunakan tanda bacaan yang betul serta penanda wacana yang bersesuaian untuk menunjukkan ada kesinambungan antara isi terdahulu dengan isi seterusnya. 3. Cuba hasilkan karangan yang melebihi 350 patah perkataan tetapi menepati kehendak soalan dan untuk menghasilkan karangan yang lengkap setiap isi memerlukan sekurang-kurangnya dua huraian beserta dua contoh. 4. Sertakan antara dua hingga tiga peribahasa dan lebih ideal sekiranya karangan ditutup dengan peribahasa yang bersesuaian. 5. Corak soalan masa kini lebih menjurus kepada laras soalan. Iaitu soalan berkaitan individu, aspek kekeluargaan, berkenaan kemasyarakatan, peringkat kebangsaan atau antarabangsa, dan soalan kelima, aspek kesusasteraan. Sekiranya calon kurang mahir atau kurang ilmu pengetahuan berkenaan isu semasa peringkat kebangsaan atau antarabangsa elakkan daripada menjawab soalan tersebut kerana untuk menjawab soalan ini calon perlu ada pengetahuan bukan sahaja peringkat dalam negeri malah sehingga ke peringkat global. Oleh itu, pilihlah soalan yang calon paling arif berkenaannya. 6. Soalan no 5 iaitu berkaitan kesusasteraan, hanya calon yang mahir dalam bahasa yang puitis dan mempunyai imaginasi yang tinggi atau mahir mengulas sesuatu isu sahaja digalakkan menjawab soalan ini. 7. Terkini, soalan yang dikemukakan lebih menjuruskan kepada pengetahuan umum yang menyebabkan calon perlu membaca lebih berkenaan isu-isu semasa. Aspek kelemahan calon. 1. Calon menjawab kurang daripada 350 patah perkataan menyebabkan isi kurang dan huraian tidak lengkap. Kurang daripada 350 patah perkataan juga akan mempengaruhi markah. 2. Calon tidak kembangkan isi dan kemukakan satu contoh dan satu huraian sahaja untuk setiap isi. 3. Calon kemukakan terlalu banyak isi tetapi hanya dihuraikan secara umum tanpa diolah. 4. Calon menjawab soalan yang memerlukan pengetahuan yang luas sedangkan pengetahuan calon agak terhad. Contohnya soalan berkenaan penyakit berbahaya calon cuma tahu berkenaan satu atau dua jenis penyakit sahaja. 5. Calon mengemukakan peribahasa yang salah atau tidak sesuai atau langsung tidak menyatakan peribahasa. 6. Idea calon terpesong daripada kehendak soalan. 7. Calon menggunakan perkataan yang berulang dan tidak variasi. Penanda wacana dan ungkapan juga tidak menarik.
  • 3.
    SOALAN ULANGKAJI SPM2013 3 Contoh Jawapan : Bahagian B [100 markah] 1. Format rencana – Tajuk dan nama pengarang. Isi – • Menggunakan alat komunikasi seperti internet untuk menyebarkan tips-tips yang berguna untuk diamalkan oleh remaja. Contohnya keburukkan mengambil dadah atau minum alkohol, seks bebas dan penyebaran fitnah. Remaja hari ini cenderung berhubung melalui twitter, muka buku (face book), skype, line, weechat, face time, yeepi (laman sosial Islam), linked in, dan sebagainya, oleh itu golongan dewasa boleh mengambil kesempatan dengan menghubungi remaja melalui laman sosial untuk menyalurkan dakyah agama. • Menguar-uarkan melalui ruangan laman sosial aktiviti-aktiviti kemasyarakatan yang akan diadakan sama ada di peringkat kebangsaan maupun setempat • Memuat turun ruangan keagamaan atau kemasyarakatan dalam ruangan seperti Youtube, clip video dan sebagainya. • Mengadakan ruangan untuk pedebatan dan kemusykilan kerana ada remaja yang malu untuk mengutarakan masalah mereka secara berdepan dengan orang lain. • Mengajak remaja menjadi ahli pertubuhan sukarela melalui pendaftaran atas talian (online) dengan memberi sijil-sijl keahlian dan penyertaan agar mereka merasakan diri mereka diiktiraf. 2. Format laporan –Tajuk laporan, tarikh, masa, tempat, jumlah peserta, guru pengiring, objektif aktiviti, aktiviti yang dilaksanakan, faedah yang diperoleh dan nama setiausaha. Isi- • objektif untuk menerapkan sikap kepimpinan, bekerjasama, hubungan yang akrab, nilai berdikari. • aisbreaking/permainan/ceramah/aktiviti jati diri@berdikari • faedah - sikap berdikari, bekerjasama, hormat-menghormati, perpaduan, dan kepimpinan • penutup – harapan pada masa-masa akan datang. 3. Perbincangan Isi – • pengangkutan awam contohnya bas, kereta api, dan teksi. • tingkatkan keupayaan dari aspek ketepatan masa, keselesaan tempat duduk, kemudahan membeli tiket, kemudahan untuk gologan OKU, keselesaan sistem pengudaraan, dan jaminan keselamatan. • tingkatkan kemudahan tempat menunggu awam, tandas dan telefon awam yang bersih dann berfungsi, kekerapan kenderaan awam berhenti, stesen yang mempunyai kemudahan awam dan sistem keselamatan. • perkhidmatan pemandu yang berdisiplin dan berhemah, khidmat kaunter yang mesra pelanggan, dan jaminan keselamatan kenderaan awam yang disediakan. 4. Perbincangan dan pendapat Isi – • Kekangan – kawasan yang luas dan kawasan perairan yang tersorok. • kekurangan kakitangan dalam pasukan keselamatan. • kurang pemantauan • penyalahgunaan kuasa dan terdapat dalang dalam sistem keselamatan. • Langkah mengatasi – kuatkuasa undang-undang dan tiada had kuasa terhadap orang yang terlibat. • undang-undang yang lebih ketat dan tegas serta hukuman yang lebih berat. • Tambah bilangan kakitangan 5. Cerita berdasarkan nilai murni kejujuran – ada persoalan utama iaitu kejujuran dan persoalan sampingan, watak utama dan watak sampingan, latar dan gaya bahasa yang menarik. SKEMA JAWAPAN TAMAT
  • 4.
    SOALAN ULANGKAJI SPM20134 Bahasa Melayu Kertas 2 Soalan 1 – Rumusan. Aspek Kelemahan calon. 1. Pendahuluan - calon tidak kemukakan tema mengikut isi, sebaliknya menukar kata kunci isi kepada perkataan sama maksud/sinonim. Calon tidak kemukakan kumpulan masyarakat/audians atau negeri/negara yang terlibat. 2. Isi tersurat - tidak lengkap kerana calon ambil sebahagian sahaja isi semata-mata untuk mengelakkan berlakunya lebihan perkataan, walhal calon sebenarnya meninggalkan isi yang penting menyebabkan markah untuk isi berkenaan berkurangan atau langsung tiada. 3. Calon mengemukakan isi yang tidak berkenaan kerana calon tidak faham arahan atau kehendak soalan. 4. Isi tersirat – calon kemukakan isi secara umum sahaja. 5. Isi yang dikemukan calon berulang walaupun ayatnya berbeza. 6. Isi terpesong daripada arahan soalan. 7. Isi tersirat diambil daripada petikan 8. Kesimpulan – calon tidak kemukakan cadangan dan harapan sebaliknya mengulas semula tajuk atau isi tersurat. Calon memetik isi daripada petikan. 9. Calon mengemukakan cadangan secara umum tanpa menekankan apa cadangan tersebut. Contoh – Masyarakat perlu mengatasi masalah ini. Apa yang berkaitan masalah ini tidak dikemukakan. Sepatutnya calon menulis Masyarakat perlu mengatasi masalah gejala sosial agar … 10. Calon mengemukakan cadangan tanpa harapan. Contohnya; Masyarakat perlu mengatasi masalah gejala sosial ini. Sepatutnya Masyarakat perlu mengatasi masalah gejala sosial ini agar negara bebas daripada ancaman jenayah. 11. Calon menjawab lebih daripada 120 patah perkataan menyebabkan calon hilang markah kesimpulan. Aspek yang perlu diberi perhatian oleh calon. 1. Kata kunci bahagian pendahuluan ditukarkan kepada tema atau pokok persoalan. Contoh pendahuluan; Sekiranya isi petikan menyatakan kesan positif - Petikan menyatakan kebaikan/faedah/manfaat/kepentingan...dalam kalangan masyarakat/ orang ramai@di Malaysia/di negara kita/di peringkat global/di peringkat antarabangsa. Sekiranya dalam isi petikan menyatakan kesan negatif – Petikan menyatakan keburukan/impak negatif...dalam kalangan... 2. Arahan untuk isi tersirat tidak perlu dinyatakan dalam pendahuluan. 3. Ayat yang terkandung dalam satu-satu isi perlulah diambil sepenuhnya termasuk contoh untuk mengelakkan daripada tertinggalnya isi penting. 4. Cuba kemukakan enam isi tersurat dan dua isi tersirat kerana isi tersurat yang terkandung dalam petikan lebih tepat manakala isi tersirat daripada idea sendiri adakalanya tidak menepati kehendak soalan atau terpesong atau berulang. 5. Disarankan bahagian kesimpulan gunakan kata kunci Kesimpulan/Oleh itu,……agar/supaya… 6. Sekiranya perkataan lebih daripada 120 jangan edit daripada isi tersurat. Ini bertujuan menggelakkan daripada meninggalkan isi yang penting dalam isi tersurat sebaliknya calon boleh mengolah semula isi tersirat supaya lebih ringkas tetapi padat untuk menepati 120 patah perkataan.
  • 5.
    SOALAN ULANGKAJI SPM2013 5 CONTOH JAWAPAN Rumusan (30 Markah) Markah penuh 30 iaitu Isi = 20 markah + bahasa = 10 markah Isi – Pendahuluan = 2 markah Tersurat + Tersirat = 16 markah Kesimpulan/penutup = 2 markah Pendahuluan Petikan membincangkan cara-cara/usaha/ikhtiar untuk memartabatkan bahasa Melayu dalam kalangan masyarakat/ di Malaysia. Isi tersurat Cara-caranya ialah • Dewan Bahasa dan Pustaka (DBP) yang mempunyai kematangan, sumber, kepakaran, dan kemampuan perlu melaksanakan hasrat memartabatkan bahasa Melayu tanpa membataskan sasaran terhad kepada sekolah kerajaan semata-mata. • Sekolah-sekolah persendirian, sekolah Cina, dan sekolah Tamil yang mempunyai silibus bahasa kebangsaan yang berbeza dengan sekolah kerajaan sepatutnya diberi perhatian yang lebih dalam memantapkan penggunaan bahasa Melayu. • adunan bahasa Kebangsaan dan jati diri bangsa perlu diacu serentak memandangkan usaha memartabatkan bahasa Melayu harus melalui satu anjakan paradigma. • DBP sebagai badan induk yang bertanggungjawab perlu melipatgandakan promosi di segenap lapisan masyarakat. • penglibatan semua kaum dalam usaha membudayakan bahasa Melayu perlu giat dijalankan bagi menyemai semangat dan rasa cinta terhadap bahasa Melayu kepada semua kaum. • usaha mengembangkan bahasa Melayu, khususnya kepada masyarakat bukan Melayu perlu diperhebatkan. • menangani 20% daripada kanak-kanak yang ketinggalan dari segi literasi. • “Satu Bahasa, Satu Malaysia” yang dicetuskan oleh Perdana Menteri, Dato’ Sri Mohd Najib Tun Abdul Razak dilihat sebagai satu langkah yang meyakinkan untuk mengembalikan peranan Asia sebagai generasi dunia. Isi tersirat Kekangannya ialah • masyarakat memandang rendah terhadap mutu bahasa Melayu/lebih memandang tinggi kepada orang yang tahu berbahasa Ingggeris. • banyak agensi swasta lebih mengutamakan pekerja yang mahir dalam bahasa Inggeris. • kedudukan bahasa Melayu itu sendiri yang kurang mantap. • kurang pakar/tenaga/kurang usaha untuk memartabatkan bahasa Melayu. Kesimpulan, masyarakat/orang ramai perlulah menyokong usaha kerajaan untuk memartabatkan bahasa Melayu agar bahasa ibunda itu tidak hilang/pupus begitu sahaja. Bahagian ini mengandungi , Soalan 2 iaitu; Petikan Umum, Prosa Moden, Prosa Tradisional, dan Puisi.
  • 6.
    SOALAN ULANGKAJI SPM20136 Soalan 2 – Pemahaman Aspek kelemahan calon. 1. Calon tidak membaca arahan soalan dan tidak meneliti kehendak soalan. 2. Calon hanya mengemukakan satu isi sahaja sedangkan markah yang diperuntukkan ialah tiga. 3. Bahagian soalan laras pemahaman, calon kemukakan idea sendiri sedangkan jawapan terdapat dalam petikan. 4. Calon hanya kemukan isi sahaja tanpa huraian dan contoh. 5. Ayat calon tidak gramatis menyebabkan calon kehilangan markah bahasa. Aspek yang perlu diberi perhatian oleh calon. 1. Baca soalan sekurang-kurangnya dua kali untuk mengesahkan kehendak soalan. 2. Setiap kali selesai menulis jawapan, perlu membandingkan dengan soalan, adakah jawapan tersebut tepat atau terpesong. 3. Teliti jumlah markah yang dicatatkan untuk setiap soalan kerana jumlah isi biasanya bergantung kepada jumlah markah. Sekiranya markah tiga, isi yang dikemukan dua atau tiga. 4. Setiap jawapan perlu pengukuhan huraian dan contoh. Dalan soalan komsas, calon perlu kemukakan contoh daripada peristiwa yang berlaku yang terdapat dalam cerita. 5. Soalan berkaitan komsas seperti nilai-nilai murni, pengajaran dan watak, berbeza penggunaan bahasanya. Contoh daripada kata kunci gigih; untuk menjawab soalan watak – seorang yang gigih, soalan nilai – kegigihan, soalan pengajaran – kita mestilah gigih berusaha. 6. Terdapat tiga laras soalan dalam setiap petikan: i. Laras pemahaman – tahap ini menguji pemahaman calon terhadap petikan. Jawapannya juga boleh diperoleh daripada petikan. ii. Laras analisis – bahagian ini menguji maksud perkataan/rangkai kata/ maksud ayat atau soalan-soalan komsas iaitu tema, persoalan, watak, nilai-nilai murni, pengajaran, latar, gaya bahasa, plot, dan teknik plot. Jawapannya boleh diperoleh sama ada dalam petikan atau daripada keseluruhan cerita. Jawapan untuk maksud rangkai kata mestilah berdasarkan petikan bukan mengikut maksud yang terdapat dalam kamus. Laras kemahiran berfikir/pendapat – soalan ini menguji pendapat daripada calon. Calon perlu mengemukakan idea sendiri dan tidak boleh menceduk idea daripada petikan. Apabila mengemukakan idea, elakkan daripada mengulang isi dan kemukakan tiga idea berbeza. Jawapan : Pemahaman (35 markah) Soalan 2(a) : 9 markah Soalan 2(b) : 9 markah Soalan 2(c) : 8 markah Soalan 2(d) : 9 markah Jawapan 2 (a) - Petikan Umum i. Maksud mengembalikan peranan Asia ialah hidupkan semula maruah/jati diri/kepentingan masyarakat di benua Asia. (2 m) ii. Faktor-faktor bahasa Melayu dipinggirkan ialah tuntutan ekonomi kapitalisme yang menghanyutkan perjuangan nasionalisme, bahasa Melayu terpaksa bersaing hebat dengan bahasa lain terutamanya bahasaa Inggeris, serta aplikasi dan dasar liberalisasi sejak 1980-an telah menjadikan penggunaan bahasa Inggeris semakin meluas manakala bahasa Melayu seolah-olah telah terkubur. (3 m) iii. Dua langkah untuk mermartabatkan bahasa Melayu dalam kalangan murid sekolah rendah ialah menempatkan guru pakar bahasa Melayu untuk setiap sekolah agar dapat memberi pendedahan yang betul kepada murid dan guru baru serta mengadakan aktiviti terancang yang menarik serta melibatkan penggunaan bahasa Melayu seratus peratus agar murid dapat belajar sambil menghayati bahasa tersebut dalam suasana yang gembira. (4 m) Jawapan 2 (b) Petikan Drama i. Reaksi Israk apabila Mikraj mengajaknya ke kebun ialah menjawab secara sambil lewa, iaitu tidak perlu malah memarahi Mikraj yang dianggap terlalu menjaga tepi kain orang. Israk juga menyindir Mikraj dengan pertanyaan Mikraj sudah selesai berhujah dan bersahaja mencapai gitarnya lalu lagu sumbang itu kembali beralun. (2 m) ii. Beberapa cadangan untuk mendekatkan golongan muda agar berminat untuk menyertai aktiviti-aktiviti yang melibatkan kegiatan kekeluargaan ialah menyerahkan tanggungjawab mengelolakan sebarang aktiviti kepada kumpulan ini agar mereka merasakan tenaga mereka dihargai. Selain itu, aktiviti tersebut secara keseluruhannnya memerlukan penglibatan semua pihak agar hubungan lebih akrap dan sesetengah aktiviti boleh menggunakan komputer,telefon bimbit, dan pelbagai gajet kerana remaja kini lebih berminat pada aktiviti yang menggunakan perisian malah mereka boleh mengggunakan kepakaran masing-masing untuk mengajar keluarga yang telah berumur atau tidak mahir dalam ilmu komputer. (3 m)
  • 7.
    SOALAN ULANGKAJI SPM2013 7 iii. Satu pengajaran yang terdapat dalam petikan ialah kita janganlah biadap terhadap orang tua contohnya Israk yang kerap melukakan hati neneknya, Wah./Kita jangan lupa diri/asal usul, contohnya Israk yang enggan ke kebun apabila diajak oleh Mikraj kerana menganggap dirinya berketurunan Inggeris. Pengajaran lain yang terdapat dalam keseluruhan cerpen ialah kita . (4 m) Jawapan 2 (c) Petikan Prosa Tradisional (i) Muka bidadari pucat kerana bidadari melihat naga yang melancar/meluncur di atas kemuncak mahligai telah menelan gemala yang terdapat di atas kemuncak mahligai itu. (2 m) (ii) Gambaran naga yang terdapat dalam mimpi bidadari ialah rupa naga itu terlalu indah/cantik sekali dan apabila bidadari berselimut dia terbau bunga malah bau bunga itu seolah-olah melekat pada hidungnnya/masih terbau-bau. (3 m) (iii) Bekalan yang perlu ada dalam diri seseorang remaja untuk mengelakkan diri daripada diperdaya oleh orang yang tidak bertanggungjawab ialah seseorang remaja itu perlu penuhkan ilmu dunia dan akhirat dalam dirinya agar dia dapat menapis perkara yang mendatangkan kebaikan atau keburukan. Selain itu, remaja juga perlu berkawan dengan orang yang baik tingkah lakunya atau dengan para ilmuan kerana sahabat yang baik akan membawa kita ke jalan yang benar/baik, malah seseorang remaja itu perlu pandai membawa diri agar tidak timbul perasaan marah atau dendam atau iri hati kerana kita mudah dieksploitasi sekiranya kita leka dengan kelebihan yang kita ada. (3 m) Jawapan 2 (d) Puisi Tradisional i. Maksud cahari olehmu akan sahabat, yang boleh dijadikan ubat ialah saranan supaya memilih sahabat yang akan bersama-sama kita sama ada dalam keadaan senang atau susah (3 m) ii. Ciri-ciri seorang sahabat yang setia ialah yang tidak akan menceritakan aib kita kepada orang lain. Mereka juga akan bersama-sama kita di kala kita susah maupun senang malah mereka jujur dan berterus terang sekiranya kita tersalah haluan serta memaklumkan perkara negatif yang kita lakukan kepada keluarga agar dapat dibetulkan sebelum jauh terpesong. (3 m) iii. Dua nilai yang terdapat dalam gurindam di atas ialah kebijaksanaan iaitu bijak dalam memilih sahabat sejati. Ketaatan iaitu isteri yang taat kepadaa suaminya dan keiklasan iaitu seorang sahabat yang baik sentiasa ikhlas dengan rakannya. (3 m) Soalan 3 – Pengetahuan dan Kemahiran Bahasa Aspek kelemahan calon 3a. Bina ayat: calon melakukan kesalahan ejaan/istilah/tanda bacaan. - calon menjadikan perkataan yang diuji sebagai kata nama khas atau peribahasa/ calon menambah atau mengubah imbuhan walaupun arahan tidak boleh menambah ataau menukar imbuhan. Namun, arahan terkini membenarkan calon mnambah imbuhan. Oleh itu calon perlu membaca arahan soalan dengan teliti. - menggunakan dua perkataan yang diuji dalam satu ayat. - membina ayat yang tidak menunjukkan maksud yang sebenar atau tanpa makna atau maksud salah. 3b. Soalan pelbagai: soalan menyambung ayat, calon menggunakan kata hubung atau penanda wacana yang salah atau tidak sesuai atau ayat disambung di bahagian yang salah. - soalan menukarkan ayat aktif kepada ayat pasif. Calon menggunakan di…..oleh untuk kata ganti nama diri pertama dan kedua. Hukumnya salah. (sila rujuk buku tatabahasa DBP untuk maklumat lanjut) - soalan menukarkan cakap ajuk kepada cakap pindah. Calon masih menggunkan ayat cakap ajuk tanpa menukarkan kepada bahasa formal atau calon masih menggunakan perkataan ringkas seperti ‘tak’/’nak’. 3c. Kesalahan penggunaan ejaan dan imbuhan: calon menukar ejaan atau imbuhan yang sememangnya betul. Calon juga mengubah struktur ayat. Arahan terkini membenarkan calon mengemukakan jawapan sahaja tanpa menyalin ayat. 3d. Kesalahan penggunaan kata atau istilah: calon membetulkan penggunaan kata atau istilah yang sememangnya betul. Calon membetulkan ejaan walhal, kesalahan yang diuji ialah istilah dan penggunaan kata. Calon juga mengubah struktur ayat. Arahan terkini membenarkan calon mengemukakan jawapan sahaja tanpa menyalin ayat.
  • 8.
    SOALAN ULANGKAJI SPM20138 3e. Calon mengemukakan maksud peribahasa yang salah atau meletakkan kedudukan peribahasa dalam kedudukan yang salah. Calon tidak kemukakan peribahasa yang diuji dalam ayat yang dibina. Calon juga menambah atau meninggalkan imbuhan yang terdapat pada peribahasa. Aspek yang perlu diberi perhatian oleh calon. 1. Elakkan daripada melakukan kesalahan ejaan atau tatabahasa. 2. Sentiasa mengulang soalan atau merujuk soalan untuk pastikan setiap jawapan menepati kehendak soalan. 3. Walaupun arahannya sama saban tahun, calon perlu membaca arahan untuk setiap soalan. Pengetahuan dan Kemahiran Bahasa Soalan 3(a) : 6 markah Soalan 3(b) : 6 markah Soalan 3(c) : 6 markah Soalan 3(d) : 6 markah Soalan 3(e) : 6 markah Contoh ayat: (i) Drama percintaan itu saya tonton sehingga tamat. (1 m) (ii) Pengasuh itu diminta menengok kanak-kanak itu sementara ibunya memilih sayur-sayuran. (1 m) (iii) Peristiwa berkenaan kemalangan tersebut telah keluar dalam berita pada jam 12.00 malam. (1 m) (iv) Matahari biasanya akan terbit seawal jam lapan pagi. (1 m) (v) Anyaman tikar itu sangat halus dan kemas. (1 m) (vi) Kita perlu melakukan sesuatu kerja dengan teliti agar segala tugasan yang diberikan berjalan dengan lancar. (1 m) Jawapan (b) (i) Melukis (S) telah menjadi kegemarannya sejak kecil lagi (P). (2 m) (ii) Warna oren (S) merupakan warna pilihan Hani untuk majlis perkahwinanya (P) (2 m) (iii) Ibu pejabat syarikat tersebut (P) terletak di Labuan, Sabah (P) (2 m) Jawapan (c) (i) Kebanyakkan (Kebanyakan) pengguna memilih untuk berbelanja di pusat membeli belah (membeli-belah) berbanding di kedai runcit. (ii) Irfan sambut (menyambut) hari jadinya yang ke 17 (ke-17) secara sederhana sahaja pada tahun ini. (iii) (“)Di mana harus saya mengantungkan (gantungkan) gambar pemandangan ini(”, ?) Aqil bertanya kepada Irfan. Jawapan (d) (i) Bendera-bendera (bendera) yang berwarna-warni itu bertebaran (berkibaran) di sepanjang jalan. (ii) Masalah yang institusi pengajian tinggi hadapi adalah (ialah) kekurangan pendapat yang cerdas.(bernas) . (iii) Beliau sering diajak (dijemput) untuk membentangkan kertas kerja di dalam (dalam) beberapa seminar. Jawapan (e) maksud peribahasa di bawah ini. (i) Di mana ada kemahuan di situ ada jalan – sekiranya kita berusaha kita akan menemui kejayaan dan jalan penyelesaian (2 m) (ii) Tak lapuk dek hujan, tak lekang dek panas – Adat yang tidak berubah dan telah utuh. (2 m) (iii) Bermandi peluh - Bekerja dengan sepenuh tenaga. (2 m)
  • 9.
    SOALAN ULANGKAJI SPM2013 9 Soalan 4 – Novel Aspek kelemahan calon. 1. Calon tidak mengemukakan contoh dan huraian atau calon memberi contoh yang umum atau salah. 2. Calon tidak menguasai cerita menyebabkan isi yang dijawab setakat ala kadar. 3. Teknik menjawab salah. Contoh, soalan mengkehendaki calon mengemukan watak, tetapi calon menjawab dalam bentuk nilai murni iaitu sepatutnya ‘wataknya seorang yang penyayang’ tetapi calon menjawab ‘watak sayang-menyayangi’. 4. Soalan perbandingan, calon tidak bandingkan antara kedua-dua novel. Aspek yang perlu diberi perhatian oleh calon. 1. Calon perlu menguasai kedua-dua novel yang dipelajari semasa di tingkatan empat dan tingkatan lima agar boleh memilih novel yang lebih dikuasai. 2. Calon perlu tahu jalan cerita dan mengenali watak terutama watak penting secara terperinci untuk memudahkan calon mengemukakan contoh sebagai bukti. 3. Calon perlu mengemukakan contoh beserta huraian kerana tanpa contoh, calon tidak akan memperoleh markah. 4. Menggelakkan daripada melakukan kesalahan bahasa supaya markah bahasa tidak ditolak. Jawapan 4: Novel (a) Berdasarkan novel yang telah dikaji, dua nilai murni yang terdapat pada Watak utama ialah: • Novel Papa.. Penyayang – menyayangi mama dan Julia …. • Taat kepada perintah Allah – sentiasa berdoa mama cepat sembuh ….. • Prihatin – prihatin dengan masalah kesihatan mama • Novel K. Terakhir .. Gigih – berusaha gigih memmpelajari musik… • Menghormati orang tua – bersalaman dan mencium tangan Datuk Johari…. • Pemaaf – memaafkan Datin Salmah walaupun dilayan dengan buruk…. Isi 4 m + bahasa 3 m = 7 m (b) Dua persoalan yang dikemukan oleh pengarang dalam novel: • Novel Papa.. ketabahan dalam mengharungi cabaran dan dugaan hidup, contoh… • Kegigihan dalam menimba ilmu pengetahuan, contoh… • Poligami dalam sesebuah keluarga, contoh… • Cinta dalam usia remaja, contoh… • Gejala sosial dalam masyarakat, contoh.. • Konserto terakhir…Kepentingan ilmu pengetahuan dalam kehidupan • Sikap sesetengah masyarakat yang mementingkan kekayaan dan pangkat, contoh.. • Keikhlasan dalam memberikan pertolongan, contoh.. • Berkorban demi kebahagian orang lain, contoh.. • Masyarakat moden yang masih percayakan amalan tahyul, contoh.. (1 isi 3 m x 2 isi) 6 m isi + 2 m bahasa = 8 m SKEMA JAWAPAN TAMAT
  • 10.
    SOALAN ULANGKAJI SPM201310 English Jawapan English Paper 1 Section A: Directed writing Format - title 1 mark Name of writer 1 mark Paragraph 1 mark Content - include all the points given 12 marks Language - 20 marks _______ total 35 marks Section B: Continuous Writing Impression marking - 50 marks
  • 11.
    SOALAN ULANGKAJI SPM2013 11 English Paper 2 Section A 1 D 9 C 2 A 10 A 3 B 11 A 4 C 12 B 5 C 13 A 6 D 14 D 7 B 15 C 8 A Section B 16 RM 297 21 he is travelling during a peak period 17 RM99 22 between 1 November 2013 and 30 April 2014 18 RM149 23 fuel surcharge, insurance levy, airport tax and other applicable charges 19 RM 50 24 the fares on offer are not available during peak periods 20 RM 149 25 RM 100 for a one-way ticket Section C 26 (a) smoking/ taking drugs/ alcoholism/ drink-driving/ illegal rcing/ reckless driving (choose any one) (b) AIDS/ HIV (choose any one) 27 Reason 1: pursuit of material wealth Reason 2: busy themselves with career advancement 28 Reason 1: school curriculum does not put equal emphasis on instilling moral and Religious principles Reason 2: school curriculum does not fully nurture the intellect of students 29 (a) run away (b) bad hats 30 (a) they play an important in teaching discipline and imparting knowledge/ they collaborate with their students’ parents and let the parents know if their children misbehave, play truant or have problems in school (b) it is good to overcome many disciplinary problems
  • 12.
    SOALAN ULANGKAJI SPM201312 31 Summary – points a) smoking, taking drugs. alcoholism b) drink-driving, reckless driving, illegal racing c) Aids and HIV d) playing truant, vandalism, loiter around e) should be communication between parents and children f) parents should keep track of their children’s friends and their movement g) should have daily discussion about school and checking their exercise books h) going on holidays together i) teachers and counsellors should teach discipline and impart knowledge j) teachers should collaborate with children’s parents – inform them if their children misbehave, play truant or have problems k) cooperation between teachers and parents to overcome many disciplinary problems l) both parents and teachers should instil religious and moral values in children *maximum 10 points for content and 5 marks for language Section D 32 (a) slim hollow of the banboo (b) (i) the melody (ii) an artist/ the persona’s beloved (c) Luxury: accept any logical answer and reason Reason: 33 Content - 10 marks Language - 5 marks END OF MARKING SCHEME
  • 13.
    SOALAN ULANGKAJI SPM2013 13 Mathematic Jawapan Mathematic Paper 1
  • 14.
    SOALAN ULANGKAJI SPM201314 Mathematic Paper 2 5m
  • 15.
  • 16.
    SOALAN ULANGKAJI SPM201316 10 a) 1/8 b) 7/8 1 2 2 5 11 a) b) = 2, y= -3 1 1 1 1 1 1 1 6 (a) 16 -8 (b) Axes drawn in correct direction and correct scales in 6 points and *2 points correctly plotted or curve passes through the points for A smooth and continuous curve without any straight line and passes through all 9 correct points for . 1 1 1 2 1 1 y x y = – 15 x : x Intercept ( 0, 0) y=-3x+5 y=-15/x y = 2 - 3x 33 x x y 16 = 33 x 12 x
  • 17.
    SOALAN ULANGKAJI SPM2013 17 (c) (i) (ii) (d) Drawing 1 1 1 1 1 12 13 (a) (i) ( 4 , -2 ) (ii) ( 1 ,0 ) (b) (i) U 90o clockwise with centre ( 1 , 1 ). (ii) V : Enlargement with scale factor 2 at F or( 4 , 0 ). (c) 2 2 120 + AreaABCD = 2 2 ABCD 40 1 2 3 3 1 1 1 12 2726 y 4.131 x xy 32= 15.205.2 x , 752652 x
  • 18.
    SOALAN ULANGKAJI SPM201318 14 a) Marks Upper B d Frequency Cumula ve 30 – 35 35.5 0 0 36 – 40 40.5 1 1 41 – 45 45.5 5 6 46 – 50 50.5 10 1 6 51 – 55 55.5 12 2 8 56 – 60 60.5 8 36 61 – 65 65.5 3 39 66 – 70 70.5 1 40 b) i) c)(i) Q1 = 48, Q3 = 56.3 both Inter-qu le range (IQR) = 56.3 – 48 = 8.3 (ii) The third qu le means that ..... 30 students in the class weigh not more (less) than 56.3 kg. OR 2 1 1 1 1 1 1 1 1 Frequency Cumu ve F Upper boundary Point (35.5, 0) 8 points connected Smooth curve Uniform axes 35.5 40.5 45.5 50.5 55.5 60.5 65.5 70.5 ..... 10 students in the class weigh not less (more) than 56.3 kg 2 12
  • 19.
    SOALAN ULANGKAJI SPM2013 19 15 a) B i) B ii) 3 4 5
  • 20.
    SOALAN ULANGKAJI SPM201320 16 (a) 1430 B (b) 900 - 70 60 5400 200 N (c) (i) 180 x 60 x cos 70 3693.8 n.m (ii) { 180 – (70+70) } x 60 2400 (d) 522.45 1 1 1 1 1 1 1 1 1 1 1 1 12 22 5400)7060180(60)}7070(180{ +++ kos END OF MARKING SCHEME
  • 21.
    SOALAN ULANGKAJI SPM2013 21 Sejarah Jawapan Sejarah Kertas 1 Nombor soalan Jawapan Nombor Soalan Jawapan 1 A 21 C 2 A 22 B 3 C 23 B 4 A 24 B 5 B 25 D 6 D 26 D 7 D 27 D 8 A 28 C 9 D 29 A 10 D 30 A 11 C 31 B 12 A 32 D 13 C 33 C 14 C 34 D 15 B 35 D 16 D 36 D 17 A 37 B 18 B 38 C 19 A 39 C 20 B 40 D
  • 22.
    SOALAN ULANGKAJI SPM201322 Sejarah Kertas 2 Soalan Huraian markah 1 a Kegiatan ekonomi tamadun China dan India F1 Bercucuk tanam 1 F2 Menternak binatang 1 F3 Perdagangan 1 F4 Perusahaan tembikar 1 F5 Perusahaan memotong logam 1 F6 Perusahaan tekstil/kain/ sutera 1 F7 Perusahaan berasaskan emas/ permata/ mutiara 1 [2 markah] b Senaraikan dua sumbangan tamadun China dalam pertanian F1 Penggunaan tenggala 1 F2 Penciptaan kolar kuda 1 F3 Penciptaan alat kegunaan pertanian/ cangkul/ batas sabit 1 F4 Sistem tanaman bergilir 1 F5 Pembinaan terusan/ tali air 1 [2 markah] c Peranan sresthin F1 Mengawal harga 1 F2 Mengawal kualiti 1 F3 Mengawal gaji pekerja 1 [2 markah] d F1 Negara bertambah maju 1 F2 Pembangunan negara berjalan lancar 1 F3 Kesejahteraan hidup rakyat 1 F4 Tiada masalah pengangguran 1 F5 Kadar kemiskinan menurun 1 F6 Kurang bergantung kepada negara luar 1 [2 markah] e F1 Menyediakan peralatan pertanian yang moden 1 F2 Memberi subsidi kepada petani 1 F3 Mengadakan kempen kesedaran tentang pertanian 1 F4 Memulihkan tanah terbiar 1 F5 Memberi kursus 1 F6 Menghantar petani melawat negara yang maju dalam bidang pertanian 1 [2 markah] 2 a F1 Kewujudan kerajaan-kerajaan Islam yang menjalankan perdagangan seperti Acheh/Melaka/ Brunei/ Sulu? Kelantan/Kedah/ Terengganu 1
  • 23.
    SOALAN ULANGKAJI SPM2013 23 F2 Membolehkan pedagang-pedagang Melayu membabitkan diri secara aktif dalam rangkaian perdagangan Timur dan Barat 1 F3 Perdagangan memesatkan proses pengislaman di Alam Melayu 1 F4 Mewujudkan sistem timbangan/ sukatan/ukur yang adil 1 F5 Pelaksanaan sistem pertukaran barang dan kaedah jual beli yang adil 1 F6 Amalan riba tidak dibenarkan 1 F7 Golongan kaya wajib membayar zakat harta 1 F8 Penubuhan Baitulmal untuk menyelenggara harta kerajaan/ perbendaharaan negara 1 F9 Penyediaan kemudahan perdagangan kepada pedagang asing 1 F10 Mewujudkan sistem perdagangan yang licin untuk kemudahan perdagangan 1 F11 Usan Mewujudkan jawatan Laksamana untuk menjaga urusan kelautan 1 F12 Mewujudkan jawatan Syahbandar sebagai ketua Pelabuhan Islam 1 F13 Mengamalkan unsur halal semasa berurus niaga 1 F14 Amalan penindasan dan penipuan dilarang. 1 F15 Nilai-nilai murni seperti berjimat-cermat dan bersungguh-sungguh digalakkan 1 F16 Amalan bersedekah oleh pedagang uyang kaya digalakkan. 1 [2 markah] b F1 Mata wang diperbuat daripada timah 1 F2 Di Melaka mata wangnya berbentuk bulat 1 F3 Berat mata wang di melaka satu kati lapan tahil 1 F4 Nama Sultan yang memerintah dicatatkan pada mata wang 1 F5 Tarikh Islam dicatat pada mata wang 1 F6 Mata wang dari negara-negara Islam seperti Parsi/ Cambay digunakan di Melaka 1 F7 Mata wang tersebut boleh ditukarkan dengan mata wang tempatan 1 F8 Di Johor mata wang timah dikenali sbg katun 1 F9 Berbentuk bulat atau segi enam 1 F10 Mata wang tidak mempunyai tarikh 1 F11 Mempunyai tulisan jawi / Arab seperti Malik atau Sultan al-Adil 1 F12 Mata wang timah di negeri Kedah berbentuk seekor ayam jantan yang hinggap di atas beberapa cincin 1 F13 Mata wangi ini boleh dipatahkan dan digunakan secara berasingan 1
  • 24.
    SOALAN ULANGKAJI SPM201324 F14 Mata wang yang diperbuat daripada emas di Johor dikenali sebagai kupang 1 F15 Mata wang emas di Johor yang tertua bertarikh 1527 pada zaman Sultan Alauddin Riayat Syah 1 F16 Mengandungi emas seberat 10 grains (0.65 gram) dan 40 grains ( 2.6 gram ) 1 F17 Di Kelantan mata wang emas dikenali sebagai kijang 1 F18 Setiap mata wang tertera nama dan pangkat Sultan yang memerintah dan yg mengeluarkan wang tersebut. 1 F19 Di bahagian belakang mata tertulis gelaran Islam sultan berkenaan seperti Khalifatul Muslimin. 1 [2 markah] c F1 Pedagang diwajibkan membayar cukai terhadap terhadap barang dagangan 1 F2 Ekonomi tetap (cukai import) ditetapkan oleh pemerintah 1 F3 Pedagang dari India/ Ceylon/ Tanah Arab/ Siam / Pegu dikenakan cukai sebanyak 6% 1 F4 Pedagang dari Jepun dan China dikehendaki membayar cukai sebanyak 5% 1 F5 Beras dan makanan tidak dikenakan cukai 1 F6 Orang asing yang menetap di Melaka dikenakan cukai 1 F7 Orang asing yg datang dari Kepulauan dikenakan cukai diraja sebanyak 3% 1 F8 Orang asing lain dikenakan cukai diraja sebanyak 6% 1 [2 markah] d F1 Sistem barter/tukar barang digunakan dgn meluas 1 F2 Ekonomi sukar berkembang 1 F3 Perdagangan antarabangsa menjadi terhad 1 F4 Proses percukaian menjadi sukar 1 F5 Perbelanjaan menguruskan perdagangan bertambah 1 F6 Ekonomi sara diri menjadi keutamaan 1 F7 Orang ramai lebih banyak menjadi petani 1 F8 Perbendaharaan negara berkurangan 1 F9 Imej negara dipandang rendah 1 [2 markah] e F1 Menyediakan rakyat yang berpendidikan 1 F2 Memartabatkan kerjaya dalam bidang perdagangan 1 F3 Membina prasarana yang lengkap untuk tujuan perdagangan 1 F4 Mengurangkan karenah birokrasi dalam bidang perdagangan 1 F5 Membangunkan pertahanan negara 1 F6 Memastikan rakyat boleh menguasai pelbagai bahasa 1 F7 Menjalin hubungan perdagangan dgn pelbagai negara 1 F8 Memupuk perpaduan kaum dalam kalangan rakyat 1 F9 Memajukan teknologi maklumat 1
  • 25.
    SOALAN ULANGKAJI SPM2013 25 F10 Mementingkan R&D 1 F11 Menyemai semangat Malaysia Boleh 1 F12 Mengutamakan inovasi 1 F13 Mengenakan cukai yang berpatutan. 1 [2 markah] 3 a F1 Sheikh Tahir Jalaluddin 1 F2 Syed Sheikh al-Hadi 1 F3 Dr. Burhanudin al-Helmy 1 [2 markah] b F1 Al-Imam 1 F2 Neracha 1 F3 Idaran Zaman 1 F4 Pengasuh 1 [2 markah] c F1 Menjana ajaran Islam dari sudut kemajuan dunia/ kembali kepada ajaran Islam yang sebenar 1 F2 Gesaan memajukan pendidikan / ekonomi/ politik dan sosial org melayu 1 F3 Menyemai sikap mengkritik penjajah ke dalam fikiran orang Melayu 1 F4 Mengkritik raja dan pembesar Melayu yang tidak memajukan orang Melayu 1 F5 Mencetuskan idea penubuhan madrasah 1 F6 Mencadangkan pendidikan untuk wanita 1 F7 Menggesakan pendidikan Islam meliputi pendidikan dunia dan akhirat 1 [2 markah] d F1 Tentangan oleh Kaum Tua 1 F2 Undang-undang yang dikeluarkan oleh Negeri-negeri Melayu bagi menghalang pengaruh Kaum Muda 1 F3 Tidak membenarkan sebarang kegiatan dakwah Islam dilakukan tanpa kebenaran Sultan 1 F4 Menghalang risalah dan buku Kaum Mud di bawa masuk ke Negeri-negeri Melayu 1 [2 markah] e F1 Tekanan daripada negara maju 1 F2 Persaingan ekonomi dunia 1 F3 Kenaikan harga barang 1 F4 Kekurangan tenaga mahir 1 F5 Masalah perpaduan kaum 1 F6 Kadar pengangguran tinggi 1 F7 Masalah kemiskinan 1 F8 Teknologi rendah 1 F9 Pencemaran 1
  • 26.
    SOALAN ULANGKAJI SPM201326 F10 Gejala sosial 1 F11 Globalisasi 1 [2 markah] 4 a F1 Mengadakan lawatan ke Sarawak, Sabah dan Brunei dalam usaha untuk menerangkan konsep, tujuan dan matlamat penubuhan Malaysia 1 F2 Rundingan juga diadakan antara pegawai-pegawai kanan Persekutuan Tanah Melayu dengan Pegawai- pegawai British dri Sarawak, Sabah dan Singapura 1 F3 Satu Jawatankuasa Perundingan Perpaduan Malaysia ditubuhkan (JPPM) 1 F4 Penubuhan Suruhanjaya Cobbold 1 F5 Pembentukan Jawatankuasa Antara Kerajaan (JAK) 1 [2 markah] b F1 Lord Cobbold 1 F2 Sir Anthony Abel 1 F3 Sir David Watherson 1 F4 Encik Ghazali Shafie 1 F5 Wong Pow Nee 1 [2 markah] c F1 1/3 penduduk Sarawak dan Sabah menyokong gagasan Malaysia tanpa syarat 1 F2 1/3 menyokong dengan syarat kepentingan mereka harus dilindungi 1 F3 1/3 setuju dengan menginginkan kemerdekaan sebelum menyertai Malaysia 1 [2 markah] d F1 Perlembagaan Malaysia haruslah berasaskan perlembagaan Persekutuan Tanah Melayu 1957 1 F2 Kuasa diberikan kepada Sabah dan Sarawak untuk menentukan dasar imigresen dan bahasa Melayu dijadikan bahasa kebangsaan 1 F3 Terdapat jaminan terhadap hak dan kedudukan bumiputera Sabah dan Sarawak 1 F4 Nama Malaysia digunakan 1 F5 Penentuan tarikh penubuhan Malaysia 1 [2 markah] e F1 Usaha yang bersungguh-sungguh oleh Kerajaan Persekutuan Tanah Melayu 1 F2 Penduduk Sabah dan Sarawak lebih suka menyertai Malaysia berbanding dengan Indonesia dan Filipina 1 F3 Ciri-ciri kepimpinan pemimpin Tanah Melayu 1
  • 27.
    SOALAN ULANGKAJI SPM2013 27 F4 Sikap bekerjasama pemimpin di Tanah Melayu 1 [2 markah] Mana-mana jawapan yang munasabah Jawapan Esei 5 a F1 Menghantar perutusan ke Rom/ Rom Timur/Parsi/ Mesir/ Habsyah 1 F2 Tidak memaksa mereka memeluk Islam 1 H2a Menggunakan cara diplomasi 1 H2b Menunjukkan nilai-nilai yang baik 1 F3 Menyeru mereka memeluk Islam menerusi warkah 1 H3a Antaranya Hercules/ Maharaja Rom Timur 1 H3b Raja Qibti Mesir 1 H3c Raja Parsi 1 F4 Berperang dengan puak Quraisy 1 H4a Perang Badar 624M 1 H4b Perang Uhud 625M 1 H4c Perang Khandak 627M 1 H4d Perang Tabuk 630M 1 F5 Mengampunkan tawanan perang Badar 1 H5a Tawanan wanita dan kanak-kanak dibebaskan 1 H5b Tawanan lelaki akan dibebaskan dengan syarat berjaya mengajar 10 kanak-kanak Islam membaca dan menulis 1 F6 Mewujudkan rasa persefahaman dengan wilayah luar 1 F7 Berdakwah dengan bijaksana 1 F8 Menerusi nasihat yang baik 1 [8 markah] b F1 Berperang dibenarkan untuk mempertahankan maruah diri/ agama/ negara 1 F2 Dilakukan dengan keizinan Allah/ setelah wahyu diturunkan 1 F3 Berperang apabila mereka diserang oleh musuh 1 F4 Supaya tempat ibadat mereka terjaga 1 F5 Berperang untuk mencari keamanan 1 F6 Untuk menentang kezaliman 1 F7 Untuk mempertahankan diri 1 F8 Menganjurkan perdamaian 1 F9 Seandainya musuh Islam inginkan perdamaian maka orang Islam perlu pilih perdamaian 1 F10 Mengampunkan tawanan 1 F11 Dilarang membunuh sesuka hati 1 F12 Tumbuh-tumbuhan dilarang dimusnahkan 1 F13 Tidak dibenarkan membunuh orang lemah/orang tua/ kanak-kanak/ orang sakit/ orang yang menyerah diri 1
  • 28.
    SOALAN ULANGKAJI SPM201328 F14 Tidak dibenarkan membunuh binatang ternakan 1 F15 Dilarang meroboh tempat ibadat 1 c F1 Menuntut ilmu mempertahankan diri 1 F2 Bersatu padu 1 F3 Mentaati pemerintah 1 F4 Bekerjasama dengan pihak berkuasa 1 F5 Menyertai pasukan keselamatan 1 F6 Mencipta senjata 1 F7 Melaporkan sebarang kegiatan mencurigakan 1 F8 Tidak melaporkan rahsia negara 1 6 a F1 Berasal daripada perkataan reform 1 F2 yang bermaksud “ melaksanakan perubahan atau pembaharuan terhadap sesuatu yang menghasilkan sesuatu yang baik atau untuk membentuk sesuatu yang baru 1 F3 Reformation berkaitan dengan agama Kristian 1 [ mana-mana 2X1m ] b F1 Beliau adalah seorang Paderi dan profesor ilmu teologi di Jerman 1 F2 Martin mengatakan bahawa dalam amalan ibadat manusia perlu bergantung kepada kekuatan rohani 1 F3 Pendirian Martin Luther telah mencabar kedudukan Gereja dan Institusi Paderi 1 F4 Pendirian dan dan ajaran Luther dikenali sebagai mazhab Protestan 1 H4a Protestan berasal daripada perkataan protesting yang membawa maksud membantah 1 H4b Tindakan mempersoalkan kewibawaan gereja Katolik dan golongan paderi serta kewujudan mazhab protestan menandakan bermulanya Reformation 1 F5 Mazhab protestan telah berkembang ke Sweden,Denmark, Norway dan England 1 [mana-mana 6X 1m] c F1 Negara Eropah berpecah dan berperang mengikut mazhab masing-masing 1 H1a Contoh perang keagamaan yang berlaku di Perancis antara1562-1598 1 H1b Perang 30 tahun (1618-1648)yang melibatkan Sepanyol,Jerman, Bohemia, Denmark dan sweden. 1 H1c Perbalahan ini menyebabkan kemusnahan dan peperangan 1 F2 Perbalahan ini menyebabkan kemusnahan dan peperangan 1
  • 29.
    SOALAN ULANGKAJI SPM2013 29 F3 Menimbulkan kesan toleransi antara penganut pelbagai mazhab Kristian 1 H3a Iaitu dari segi mempergiatkan pendidikan dan menyebarkan fahaman mereka 1 F4 Kuasa Golongan gereja dicabar secara terbuka 1 H4a Kuasa Gereja terhadap kerajaan atau monarki berkurang 1 H4b Ini kerana monarki ingin membebaskan diri daripada penguasaan Paus di Rom 1 C1 Semasa pemerintahan Raja Henry VIII, raja menjadi ketua kerohanian Gereja Protestan Anglican 1 H4c Raja Henry VIII memutuskan hubungan England dengan Gereja Roman Katolik 1 H4d Raja Henry VIII memutuskan hubungan England dengan Gereja Roman Katolik 1 [ mana-mana 12x 1m ] 7 a F1 Terdapat pelbagai mata wang primitif digunakan di Tanah Melayu sejak zaman Kesultanan Melayu Melaka. 1 C1a Contohnya mata wang emas, perak dan timah dikeluarkan di Melaka semasa pemerintahan Sultan Muzaffar Syah di Melaka. 1 C1b Dinar emas yang digunakan di Kelantan dikenali sebagai Kijang. 1 C1c Wang emas dan kupang emas digunakan di Terengganu 1 C1d Jongkong tampang digunakan di Pahang 1 C1d Mata wang katun digunakan di Johor. 1 C1e Mata wang timah Kedah berbentuk seekor ayam jantan yang hinggap di atas beberapa cincin. 1 F2 Pedagang Eropah menggunakan mata wang asing di Tanah Melayu. 1 C2a Contohnya mata wang Sepanyol. 1 H2a Mata wang ini digunakan di Negeri-Negeri Melayu dan Negeri Selat. 1 H2b Mata wang ini bertahan selama 300 tahun. 1 F3 Kerajaan British memperkenalkan wang kertas Negeri- Negeri Selat. 1 H3a Wang ini dikeluarkan oleh Lembaga Pesuruhjaya Wang yang ditubuhkan pada 1897. 1 H3b Hanya mata wang ini sahaja yang sah digunakan di Negeri-Negeri Selat. 1 H3c Mata wang kerajaan Melayu telah terhapus. 1 [ 6X 1m] b F1 Kepesatan ekonomi Tanah Melayu mendorong pihak penjajah memperkenalkan institusi kewangan. 1 H1a Bertujuan melicinkan urusan kewangan 1
  • 30.
    SOALAN ULANGKAJI SPM201330 H1b Institusi kewangan menyediakan kemudahan pinjaman kepada pelabur. 1 H1c Bank memperkenalkan sistem kewangan moden yang berorientasikan keuntungan. 1 H1d Bank memperkenalkan kadar faedah yang tinggi 1 F2 Dana dari luar dibawa masuk melalui bank. 1 H2a Bank menjadi agen pembayar kepada pengimport dan pengeksport. 1 H2b Merchantile Bank adalah bank pertama di Tanah Melayu. Bank Eropah mula dibuka di Tanah Melayu selepas Perjanjian Pangkor. 1 F3 Bank Eropah mengutamakan pedagang Eropah. 1 H3a Antaranya ialah The Chartered Bank, Hong Kong and Shanghai Bank dan Algemene Bank Nederland. 1 F4 Pedagang tempatan boleh mendapatkan perkhidmatan bank Eropah melalui orang tengah (komprador). 1 H4a Pemodal tempatan menubuhkan bank mereka sendiri pada awal abad ke-20. 1 F5 Kwong Yik Bank adalah bank tempatan pertama ditubuhkan di Kuala Lumpur. 1 H5a Diikuti oleh Bank of Malaya di Ipoh 1920 dan Ban Hin Lee 1935 di Pulau Pinang 1 F6 Bank perdagangan ditubuhkan di Sarawak. 1 H6a Antaranya Sarawak Chinese Banking Corporation (1913) dan Ban Chiang Bank 1 H6b Orang Melayu menubuhkan banknya sendiri. 1 H6c Bank Melayu pertama ialah Malay National Banking Corporation (1947) di K. Lumpur 1 F7 Bank ini menubuhkan cawangannya di Temerloh dan Rembau. 1 H7a Bank ini tidak bertahan lama. 1 c F1 Menjana pertumbuhan ekonomi negara 1 F2 Menyediakan pinjaman kepada pelabur F3 Memajukan industri negara F4 Pengenalan sistem kewangan moden yang berorientasikan kadar faedah yang tinggi F5 Mempercepatkan kemasukan dana asing F6 Menggalakkan pelaburan asing F7 Mempercepatkan bayaran kepada pengimport dan pengeksport F8 Melicinkan urusan perdagangan antarabangsa F9 Meningkatkan keinginan untuk menabung. 8(a)
  • 31.
  • 32.
  • 33.
  • 34.
  • 35.
  • 36.
  • 37.
    SOALAN ULANGKAJI SPM2013 37 SKEMA JAWAPAN TAMAT
  • 38.
    SOALAN ULANGKAJI SPM201338 Science Jawapan Science Paper 1
  • 39.
    SOALAN ULANGKAJI SPM2013 39 Science Paper 2
  • 40.
  • 41.
  • 42.
  • 43.
  • 44.
  • 45.
  • 46.
    SOALAN ULANGKAJI SPM201346 END OF MARKING SCHEME