Time Value of Money
LEARNING OBJECTIVES
• Understand what gives money its time value.
• Explain the methods of calculating present and future
values.
• Highlight the use of present value technique (discounting) in
financial decisions.
• Introduce the concept of internal rate of return.
Time Preference for Money
• Time preference for money is an individual’s preference for
possession of a given amount of money now, rather than
the same amount at some future time.
• Three reasons may be attributed to the individual’s time
preference for money:
• risk
• preference for consumption
• investment opportunities
Required Rate of Return
• The time preference for money is generally expressed by an
interest rate. This rate will be positive even in the absence of
any risk. It may be therefore called the risk-free rate.
• An investor requires compensation for assuming risk, which
is called risk premium.
• The investor’s required rate of return is:
Risk-free rate + Risk premium.
Required Rate of Return
• Would an investor want Rs. 100 today or after one year?
• Cash flows occurring in different time periods are not comparable.
• It is necessary to adjust cash flows for their differences in timing and risk.
• Example : If preference rate =10 percent
• An investor can invest if Rs. 100 if he is offered Rs 110 after one year.
• Rs 110 is the future value of Rs 100 today at 10% interest rate.
• Also, Rs 100 today is the present value of Rs 110 after a year at 10% interest rate.
• If the investor gets less than Rs. 110 then he will not invest. Anything above Rs.
110 is favourable.
Time Value Adjustment
• Two most common methods of adjusting cash flows for time
value of money:
• Compounding—the process of calculating future values of cash
flows and
• Discounting—the process of calculating present values of cash
flows.
Future Value
• Compounding is the process of finding the future values of
cash flows by applying the concept of compound interest.
• Compound interest is the interest that is received on the
original amount (principal) as well as on any interest earned
but not withdrawn during earlier periods.
• Simple interest is the interest that is calculated only on the
original amount (principal), and thus, no compounding of
interest takes place.
Future Value
8
• 1) FV calculation of Lump sum
• Invested 50,000 for 4 years – Fixed deposit
• 2) FV calculation of Annuity
• Invested 10,000 every year for 4 years.
• In Microsoft Excel: Use FV function.
FV(rate,nper,pmt,pv,type)
Where: rate= interest rate. nper= n periods, pmt= annuity
value, pv= present value, type= 1 for beginning of the period
and 0 for end for end of period.
Future Value: Example
• P = Rs. 55,650
• i=15%
• n=10 years
• F = ? (To find)
• F = P(1+i)pow(n)
• F = 55,650 x (1+0.15)pow 10
• F = 55,650 x 4.0455
• F = Rs. 2,25,132
• Q: Suppose that `1,000 are placed in the savings account of
a bank at 5 per cent interest rate. How much shall it grow at
the end of three years
Solution
Future Value of an Annuity
Future Value of an Annuity: Example
• A = Rs 5,000
• n=4 years
• i=6%
• F=P (1+i) pow (n)
• F = 5000(1+0.06) pow (1)
Solution
Sinking Fund
• F = 10 lacs
• N = 15 years
• i=9%
• A = ??
• A = 34,059
Question
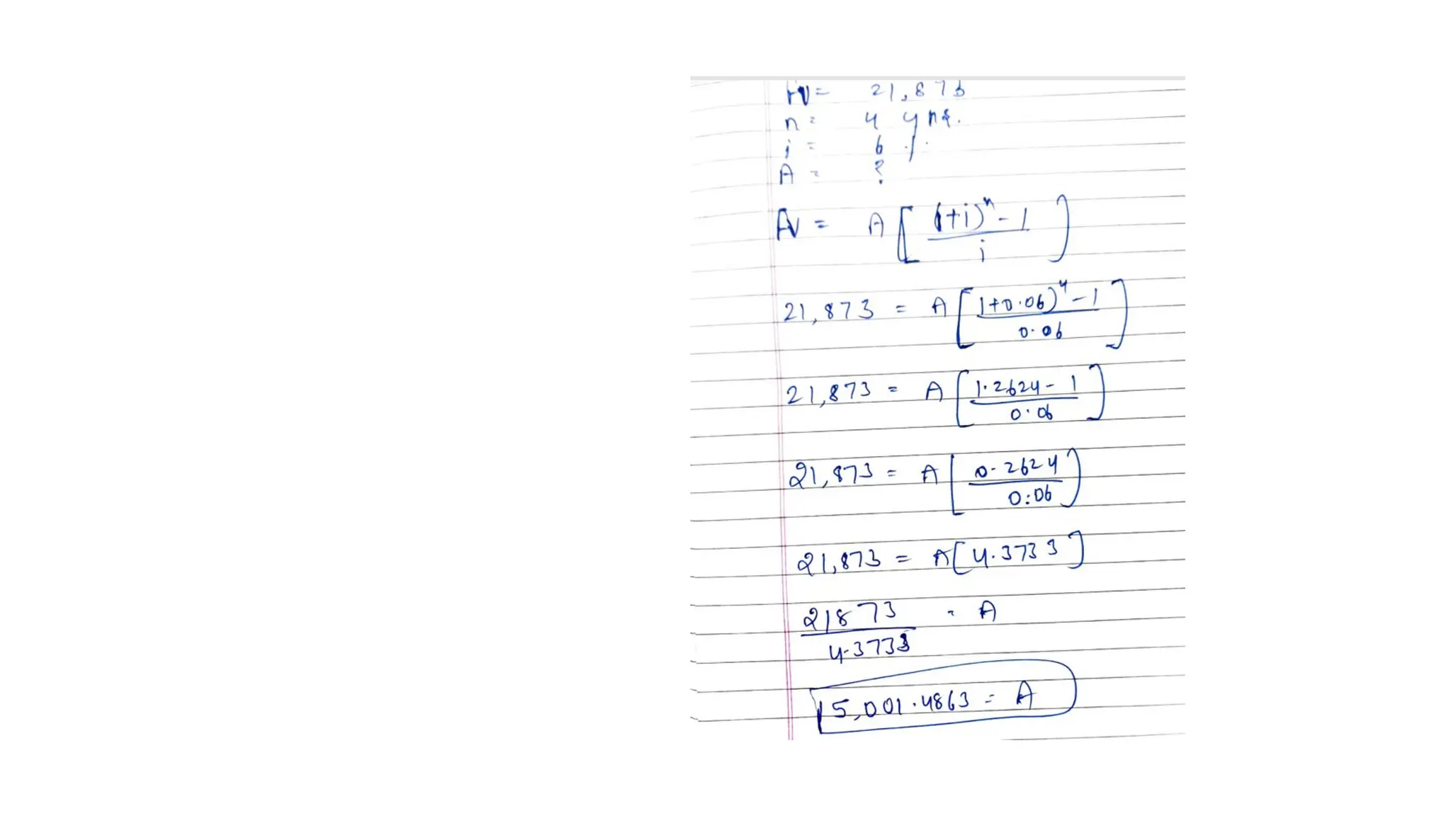
• Suppose we want to accumulate `21,873 at the end of four
years from now. How much should we deposit each year at
an interest rate of 6 per cent so that it grows to `21,873 at
the end of fourth year?
Solution
Example
Present Value
• Present value of a future cash flow (inflow or outflow) is the
amount of current cash that is of equivalent value to the
decision-maker.
• Discounting is the process of determining present value of
a series of future cash flows.
• The interest rate used for discounting cash flows is also
called the discount rate.
Present Value of a Single Cash Flow
• F = P(1+i) pow (n)
Example
Present Value of an Annuity
Example
33
Capital Recovery and Loan
Amortisation
34
Loan Amortisation Schedule
35
End Payment Interest Principal Outstanding
ofYear Repayment Balance
0 10,000
1 3,951 900 3,051 6,949
2 3,951 625 3,326 3,623
3 3,951 326 3,625* 0
Present Value of an Uneven Periodic
Sum
• In most instances the firm receives a stream
of uneven cash flows. Thus the present value
factors for an annuity cannot be used.
• The procedure is to calculate the present
value of each cash flow and aggregate all
present values.
36
PV of Uneven Cash Flows: Example
37
• Year 2025
• After 1 year (2026) = 1000
• Aftwer 2 years (2027) = 1500
• After 3 years (2028) = 800
• After 4 years (2029) = 1100
• After 5 years (2030) = 400
• What is the Present worth of the stream of cash flows.
• F = 1500
• I = 8%
• N=2
• P =
Present Value of Perpetuity
40
Present Value of a Perpetuity:
Example
41
Present Value of Growing Annuities
42
PV of growing annuity
• A = 1000
• g=5% per annum
• i=9% per annum
• N=8 years
• P = 6,465
• P = A/i-g
Example
44
Example
45
Value of an Annuity Due
46
Future Value of An Annuity: Example
47
Example
• The present value of Re 1 paid at the
beginning of each year for 4 years is
1 × 3.170 × 1.10 = Rs 3.487
48
Multi-Period Compounding
49
Effective Interest Rate:
Example
50
Continuous Compounding
51
Net Present Value
52
Present Value and Rate of
Return
• A bond that pays some specified amount in future
(without periodic interest) in exchange for the current
price today is called a zero-interest bond or zero-
coupon bond.
• In such situations, one would be interested to know
what rate of interest the advertiser is offering. One
can use the concept of present value to find out the
rate of return or yield of these offers.
• The rate of return of an investment is called internal
rate of return since it depends exclusively on the
cash flows of the investment.
53
Internal Rate of Return
54
IRR Calculation: Example of Trial-Error
Method
55

time Value of Money - Discounting and Compounding techniques

  • 1.
  • 2.
    LEARNING OBJECTIVES • Understandwhat gives money its time value. • Explain the methods of calculating present and future values. • Highlight the use of present value technique (discounting) in financial decisions. • Introduce the concept of internal rate of return.
  • 3.
    Time Preference forMoney • Time preference for money is an individual’s preference for possession of a given amount of money now, rather than the same amount at some future time. • Three reasons may be attributed to the individual’s time preference for money: • risk • preference for consumption • investment opportunities
  • 4.
    Required Rate ofReturn • The time preference for money is generally expressed by an interest rate. This rate will be positive even in the absence of any risk. It may be therefore called the risk-free rate. • An investor requires compensation for assuming risk, which is called risk premium. • The investor’s required rate of return is: Risk-free rate + Risk premium.
  • 5.
    Required Rate ofReturn • Would an investor want Rs. 100 today or after one year? • Cash flows occurring in different time periods are not comparable. • It is necessary to adjust cash flows for their differences in timing and risk. • Example : If preference rate =10 percent • An investor can invest if Rs. 100 if he is offered Rs 110 after one year. • Rs 110 is the future value of Rs 100 today at 10% interest rate. • Also, Rs 100 today is the present value of Rs 110 after a year at 10% interest rate. • If the investor gets less than Rs. 110 then he will not invest. Anything above Rs. 110 is favourable.
  • 6.
    Time Value Adjustment •Two most common methods of adjusting cash flows for time value of money: • Compounding—the process of calculating future values of cash flows and • Discounting—the process of calculating present values of cash flows.
  • 7.
    Future Value • Compoundingis the process of finding the future values of cash flows by applying the concept of compound interest. • Compound interest is the interest that is received on the original amount (principal) as well as on any interest earned but not withdrawn during earlier periods. • Simple interest is the interest that is calculated only on the original amount (principal), and thus, no compounding of interest takes place.
  • 8.
  • 9.
    • 1) FVcalculation of Lump sum • Invested 50,000 for 4 years – Fixed deposit • 2) FV calculation of Annuity • Invested 10,000 every year for 4 years.
  • 10.
    • In MicrosoftExcel: Use FV function. FV(rate,nper,pmt,pv,type) Where: rate= interest rate. nper= n periods, pmt= annuity value, pv= present value, type= 1 for beginning of the period and 0 for end for end of period.
  • 11.
  • 14.
    • P =Rs. 55,650 • i=15% • n=10 years • F = ? (To find) • F = P(1+i)pow(n) • F = 55,650 x (1+0.15)pow 10 • F = 55,650 x 4.0455 • F = Rs. 2,25,132
  • 15.
    • Q: Supposethat `1,000 are placed in the savings account of a bank at 5 per cent interest rate. How much shall it grow at the end of three years
  • 16.
  • 17.
    Future Value ofan Annuity
  • 18.
    Future Value ofan Annuity: Example
  • 19.
    • A =Rs 5,000 • n=4 years • i=6% • F=P (1+i) pow (n) • F = 5000(1+0.06) pow (1)
  • 20.
  • 22.
  • 23.
    • F =10 lacs • N = 15 years • i=9% • A = ?? • A = 34,059
  • 24.
    Question • Suppose wewant to accumulate `21,873 at the end of four years from now. How much should we deposit each year at an interest rate of 6 per cent so that it grows to `21,873 at the end of fourth year?
  • 25.
  • 26.
  • 27.
    Present Value • Presentvalue of a future cash flow (inflow or outflow) is the amount of current cash that is of equivalent value to the decision-maker. • Discounting is the process of determining present value of a series of future cash flows. • The interest rate used for discounting cash flows is also called the discount rate.
  • 28.
    Present Value ofa Single Cash Flow
  • 29.
    • F =P(1+i) pow (n)
  • 30.
  • 31.
    Present Value ofan Annuity
  • 33.
  • 34.
    Capital Recovery andLoan Amortisation 34
  • 35.
    Loan Amortisation Schedule 35 EndPayment Interest Principal Outstanding ofYear Repayment Balance 0 10,000 1 3,951 900 3,051 6,949 2 3,951 625 3,326 3,623 3 3,951 326 3,625* 0
  • 36.
    Present Value ofan Uneven Periodic Sum • In most instances the firm receives a stream of uneven cash flows. Thus the present value factors for an annuity cannot be used. • The procedure is to calculate the present value of each cash flow and aggregate all present values. 36
  • 37.
    PV of UnevenCash Flows: Example 37
  • 38.
    • Year 2025 •After 1 year (2026) = 1000 • Aftwer 2 years (2027) = 1500 • After 3 years (2028) = 800 • After 4 years (2029) = 1100 • After 5 years (2030) = 400 • What is the Present worth of the stream of cash flows.
  • 39.
    • F =1500 • I = 8% • N=2 • P =
  • 40.
    Present Value ofPerpetuity 40
  • 41.
    Present Value ofa Perpetuity: Example 41
  • 42.
    Present Value ofGrowing Annuities 42
  • 43.
    PV of growingannuity • A = 1000 • g=5% per annum • i=9% per annum • N=8 years • P = 6,465 • P = A/i-g
  • 44.
  • 45.
  • 46.
    Value of anAnnuity Due 46
  • 47.
    Future Value ofAn Annuity: Example 47
  • 48.
    Example • The presentvalue of Re 1 paid at the beginning of each year for 4 years is 1 × 3.170 × 1.10 = Rs 3.487 48
  • 49.
  • 50.
  • 51.
  • 52.
  • 53.
    Present Value andRate of Return • A bond that pays some specified amount in future (without periodic interest) in exchange for the current price today is called a zero-interest bond or zero- coupon bond. • In such situations, one would be interested to know what rate of interest the advertiser is offering. One can use the concept of present value to find out the rate of return or yield of these offers. • The rate of return of an investment is called internal rate of return since it depends exclusively on the cash flows of the investment. 53
  • 54.
  • 55.
    IRR Calculation: Exampleof Trial-Error Method 55