1
Indirect Effects and the Test
of Mediation
2
Example Objective: Compare Path
Models to Multiple Regression and
Illustrate Concepts of Indirect Effects
and Mediation
3
Example Data: Community Response
to Wildfire in California Shrublands
4
View of Data in KeeleyDataCov.xls
rich = plant species richness in 1000 m2
plots
tcov = total cover of all species
coastran = distance from the coast (transformed)
s_age = age of the stand that burned, in years
fidx = fire severity index
hetero = index of within-plot heterogeneity
optabio = index of optimum abiotic conditions (low N, high sand, high rock)
5
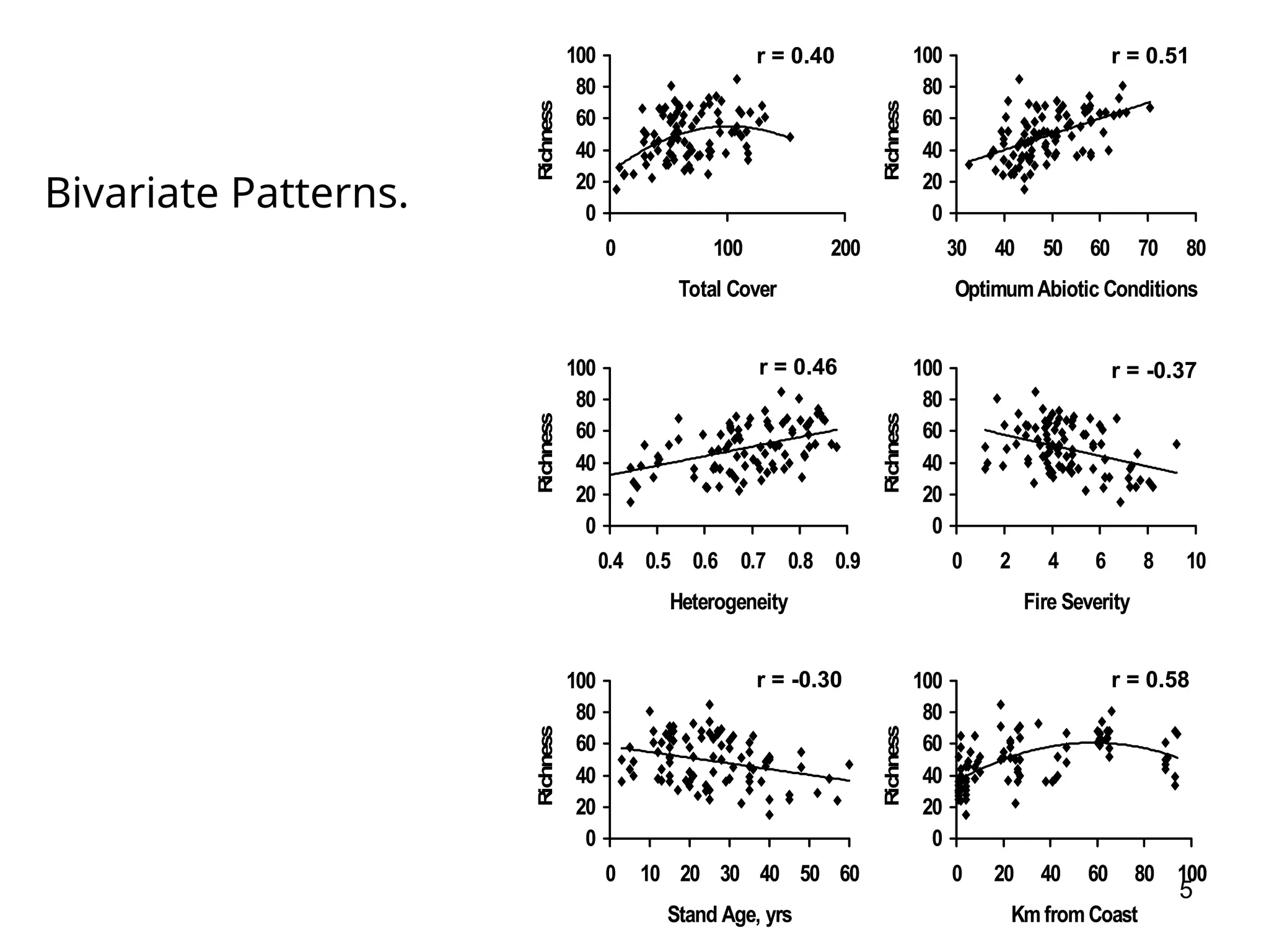
Bivariate Patterns. 0
20
40
60
80
100
0 100 200
Total Cover
R
ichness
0
20
40
60
80
100
30 40 50 60 70 80
OptimumAbiotic Conditions
R
ichness
0
20
40
60
80
100
0.4 0.5 0.6 0.7 0.8 0.9
Heterogeneity
R
ichness
0
20
40
60
80
100
0 2 4 6 8 10
Fire Severity
R
ichness
0
20
40
60
80
100
0 10 20 30 40 50 60
Stand Age, yrs
R
ichness
0
20
40
60
80
100
0 20 40 60 80 100
Km from Coast
R
ichness
r = 0.51
r = 0.40
r = -0.37
r = 0.46
r = 0.58
r = -0.30
0
20
40
60
80
100
0 100 200
Total Cover
R
ichness
0
20
40
60
80
100
30 40 50 60 70 80
OptimumAbiotic Conditions
R
ichness
0
20
40
60
80
100
0.4 0.5 0.6 0.7 0.8 0.9
Heterogeneity
R
ichness
0
20
40
60
80
100
0 2 4 6 8 10
Fire Severity
R
ichness
0
20
40
60
80
100
0 10 20 30 40 50 60
Stand Age, yrs
R
ichness
0
20
40
60
80
100
0 20 40 60 80 100
Km from Coast
R
ichness
r = 0.51
r = 0.40
r = -0.37
r = 0.46
r = 0.58
r = -0.30
6
Indirect Effects as Causal Tests: Step 1
How do we interpret the observation that
plant cover the year after the fires is a
function of the age of the stand that
burned?
Perhaps older stands burn hotter and
produce more severe fires.
7
Evaluating the possibility that effect of stand age on
plant cover following fire is because older stands burn
hotter.
Indirect Effects as Causal Tests: Step 2
8
Setting Amos "Analysis Properties" for this example.
9
Testing the hypothesis of mediation - results.
Indirect Effects as Causal Tests: Step 3
Chi-square less than 3.84 indicates we pass
the test for concluding that fire severity
mediates the effect of stand age on
vegetation recovery.
standardized
path coefficients
R-square
10
Calculating the Magnitude of the Indirect Effect.
Standardized indirect effect of s_age on tcov
= 0.45 x -0.44 = -0.198.

The_Indirect_Effects_and_Mediation_Test.ppt

  • 1.
    1 Indirect Effects andthe Test of Mediation
  • 2.
    2 Example Objective: ComparePath Models to Multiple Regression and Illustrate Concepts of Indirect Effects and Mediation
  • 3.
    3 Example Data: CommunityResponse to Wildfire in California Shrublands
  • 4.
    4 View of Datain KeeleyDataCov.xls rich = plant species richness in 1000 m2 plots tcov = total cover of all species coastran = distance from the coast (transformed) s_age = age of the stand that burned, in years fidx = fire severity index hetero = index of within-plot heterogeneity optabio = index of optimum abiotic conditions (low N, high sand, high rock)
  • 5.
    5 Bivariate Patterns. 0 20 40 60 80 100 0100 200 Total Cover R ichness 0 20 40 60 80 100 30 40 50 60 70 80 OptimumAbiotic Conditions R ichness 0 20 40 60 80 100 0.4 0.5 0.6 0.7 0.8 0.9 Heterogeneity R ichness 0 20 40 60 80 100 0 2 4 6 8 10 Fire Severity R ichness 0 20 40 60 80 100 0 10 20 30 40 50 60 Stand Age, yrs R ichness 0 20 40 60 80 100 0 20 40 60 80 100 Km from Coast R ichness r = 0.51 r = 0.40 r = -0.37 r = 0.46 r = 0.58 r = -0.30 0 20 40 60 80 100 0 100 200 Total Cover R ichness 0 20 40 60 80 100 30 40 50 60 70 80 OptimumAbiotic Conditions R ichness 0 20 40 60 80 100 0.4 0.5 0.6 0.7 0.8 0.9 Heterogeneity R ichness 0 20 40 60 80 100 0 2 4 6 8 10 Fire Severity R ichness 0 20 40 60 80 100 0 10 20 30 40 50 60 Stand Age, yrs R ichness 0 20 40 60 80 100 0 20 40 60 80 100 Km from Coast R ichness r = 0.51 r = 0.40 r = -0.37 r = 0.46 r = 0.58 r = -0.30
  • 6.
    6 Indirect Effects asCausal Tests: Step 1 How do we interpret the observation that plant cover the year after the fires is a function of the age of the stand that burned? Perhaps older stands burn hotter and produce more severe fires.
  • 7.
    7 Evaluating the possibilitythat effect of stand age on plant cover following fire is because older stands burn hotter. Indirect Effects as Causal Tests: Step 2
  • 8.
    8 Setting Amos "AnalysisProperties" for this example.
  • 9.
    9 Testing the hypothesisof mediation - results. Indirect Effects as Causal Tests: Step 3 Chi-square less than 3.84 indicates we pass the test for concluding that fire severity mediates the effect of stand age on vegetation recovery. standardized path coefficients R-square
  • 10.
    10 Calculating the Magnitudeof the Indirect Effect. Standardized indirect effect of s_age on tcov = 0.45 x -0.44 = -0.198.