마디를 만들어가며 성장하기
: 시행착오에 대한 기록작업
한미유치원 최승준
“우리의 원칙에 동의한다면, 당신네 나라에
가서 새로운 유치원 문화를 만들어 가십시오!”
- 칼리나 리날디
•2교사
•기록작업
•부모참여
“우리는 레지오에서 하고 있는 것을 복사할 의도는 없다. 그렇게
하는 것은 어리석고 불가능한 일이다. 우리는 레지오에서 제시하
는 몇 가지 원리와 아이디어를 이용 하려고 한다.”

“레지오 에밀리아는 모델로서가 아니라 하나의 영감으로서만 이
용되어야 한다.”
- 레지오를 방문했던 현장의 실천가들 (어린이들의 수많은 언어)
몇 가지 원리, 아이디어, 그리고 영감
을 이용하려다가 발생한 사건들
우리가 처한 상황, 현실을 직시하기
: 한해살이풀의 느낌
: 일단 관찰하고 기록해 보자
논의 시작 재직/퇴직 다음 짝교사
2014 학년도 2014. 11. 17 2015. 1. 13 2015. 1. 22
2013 학년도 2013. 12. 2 2014. 1. 9 2014. 1. 17
2012 학년도 2012. 11. 28 2012. 12. 20 2013. 1. 10
2011 학년도 2011. 12. 4 2011. 12. 22 2012. 1. 17
11월 말 ~ 1월 중순: 들썩거리는 시기
교사와 원장간의 개인 메일 및 면담 진행
이번 짝교사 정하는 시기를 기점으로
재직했던 교사들에 대한 기록을
연대기 관점으로 다시 보기 시작
2011학년도 저널
기록빈도
이런 양상의
의미는?
1392편
1. 포트폴리오(6개의 세부항목)
2. 메세지 센터 편지 정리
3. 찰흙 : 종 포장해서 개인별로 정리
4. 표상 취합 : 지퍼백
5. 사진관 관련 (6개의 세부항목)
6. 어린이 작품 : 개인별 확인 후 리본 테이핑
7. 생활기록부 (5개의 세부항목)
8. 진학 학교별 생활기록부 나누어서 발송
9. 종이가방 라벨뽑기
10. 개인 사진 취합
11. DVD 작업 (3개의 세부항목)
12. 영역별 저널 묶기
13. 졸업 때 봉투에 넣어야 할 것 (13개의 세부항목)
14. 트로피 신청
15. 졸업 대장
16. 상장, 상장 이름 정하기
17. 졸업 증서
18. 물감벽화 사진촬영
19. 동시책 (9개의 세부항목)
20. 연구과제
2011학년도 어느 만5세반의
학년말의 할 일 목록
부모와 나눌 기록물
학년말의 행사, 행정 업무 외에 교사의 여력을 소모하는 것의 큰 부분이 부모
와 나눌 기록물과 관련이 있다.
2011학년도에 부모와 나눌 기록물
영아 : 포트폴리오, 대집단 책, 어린이 작품
유아 : 포트폴리오, 소집단 책, 어린이 작품
유치 : 포트폴리오, 동시책, 어린이 작품
위 상황에 대해 매년 뾰족한 해결책 없이 반복적으로 나타나는 이슈
1. 부모와 공유할 내용이 비교되거나 부족한 어린이들의 기록물 보완하기
2. 부모와 공유하기 때문에 교사가 최선을 다해 기록물의 질을 높이려함
3. 운영자의 기록물 비교
4. 교사들이 서로 기록물 비교 (경쟁과 담합)
5. 부모들이 서로 기록물 비교 (다른 어린이, 다른 반)
OOO과
한 해의 흐름이 다르다.
하루의 흐름이 다르다.
어떤 흐름인가?
1년 회고: 2009학년도 → 2010학년도
어떤 유치원이었으면 좋겠는가?
어떤 반이었으면 좋겠는가?
참 좋긴 한데,
꼭 이때 해야 합니까?
2011학년도
온라인 회고
: 월별 행사
2012학년도
온라인 회고
: 매주 기록
: 현재도 진행 중
1년 회고: 2012학년도 → 2013학년도
2012학년도 회고: 행사위주 회고 → 교육과정 회고
• 바쁜 시간이라.. 준비하는데 정신이 없더라고요.한해를 돌아볼 수 있었던 시간이었던
것은 분명합니다. 다음에 또 한다면 미리 준비했으면 좋겠습니다.
• 복잡할 수 있었던 회의가 계획적으로 잘 마무리 된 느낌입니다. 우리가 계획했던 것들
이 실행으로 잘 옮겨졌으면 좋겠어요. ^^
• 다시 한번 되새겨보니 뭔가 정리하는 느낌이 들었어요~ 새학기 준비하느라 바뻐서 조
금은 더욱 바빠진 느낌이 들었지만... ㅎ
• 회고에 대한 회고~~ 새로운 반에서 새로운 아이들을 위해서 모든 것을 생각해야 하는
때에 참 쉽지만은 않은 일인 듯 합니다. 물론 회고를 하면서 우리에게 도움이 되는 것
도 있으리라 생각되는데...우리가 살아가는 시간이 정말 바쁘게 돌아가기에 어떠한 것
이 더욱 도움이 되고 의미가 있을지는 모르겠습니다. 정~말~~~~ 할 일이 많습니다.
이 시기에 특히.
• 자석을 이용해서 놀이를 들여다 보고 이번 해에는 어떠한 것을 했으면 좋을지 생각해
보는 시간은 나름 좋았습니다. 이것을 하려면 위에 교육과정 재방문을 해야 하는 군요
ㅠㅠ
• 정해진 시간내에 다 끝나서 다행이었어요^^ 하지만 그것도 길게 느껴지긴 했죠^^ 마
음은 교실의 새학기 준비때문에 조급하기도 하고... ㅎㅎㅎ 작년에도 그랬던것 같은
데.. 참...어떻게 하면 해결되는 건지 모르겠네요 ㅋ
• 체계적으로 시간배분을 해서 하루안에 끝낼수있었지만... 오전에 수업 차량을 타고 바
로 긴 회의를하니 힘들었습니다ㅜ 그리고 신학기준비가 되지않은 상태라 마음이 불안
하네요ㅜ
• 같은 연령 선생님들과 만나서 첫 이야기를 나누는 시간이라 좋았던 것 같습니다. ㅎ
• 생각보다 시간이 빠르게 지나간 것 같아요.. 연령별로 처음 모이는 자리라 반가웠고
다 같이 얘기할 수있어서 좋았습니다. 작년 쌤들과 헤어지니 슬프더군요 ㅠㅠ
사실 너무나 바쁜 시기이기에 이것을 왜 이 시기에
해야 하나~ 정신은 맨붕에 머리가 터질 듯 했습니다.
하지만 정리를 하면서 놀이안에서 찾아가야 할 것들
이 이런 것이구나 하는 생각이 들기도 했습니다. 어
찌 되었든 도움이 되는 부분이란 생각은 들었습니
다. 내년에는 미리 미리 해서 이러한 시기에 하지 않
아도 되었으면 합니다. 그리고...새 학기가 시작되기
전 모든 힘을 새롭게 시작하는 반에 쏟아야 할때 (주
로 아이들을 맞이 할 교실 정리겠죠) 힘을 분산시키
는 것을 별로 좋지 않은 듯 합니다....아직도 교실 정
리가 되지 않은 상태라~ 부족한 시간이 아쉽습니다.
교사들의 피드백
놀이의 흐름과 맥락을 조망,
일상의 맥박이 느껴지는,
교사 협의, 발현적 교육과정을 위한
기록을 어떻게 할 수 있을까?
알나무 동네
(1997)
흐름도
2010학년도: 저널의 흐름을 분석해 보려는 시도
: 지속 가능하지 않았음
2010 ~ 2012
학년도에 활용한
놀이 흐름 기록 양식
: 월말에 몰아서 하는
양상이 나타남
2011학년도 부터 시작한
온라인 회고 방법을 활용,
2013학년도 부터는
교실의 놀이 흐름을 기록
두 교사 협의와
수업장학의 근간이 되는
기록으로 활용하기 시작
2014학년도 부터는 계획/평가 이슈를 다루기 시작,
2012학년도의 교육과정 재방문 방식을 일상 속에서 실천
놀이의 흐름에 대한 기록에서 좀 더 상세한 저널로 연결,
평가 카드를 보면 그 놀이가 어떻게 펼쳐졌는지 손쉽게 확인
2009 2010 2011 2012 2013 2014
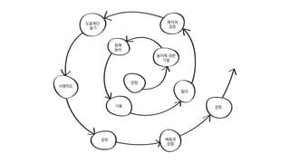
시행착오(도전과 실험)의 흐름
시행착오의 역사
변화의 지속
• [찬성] 1.놀이를 짝교사가 아닌 다른 교사와 나눌 수 있는 점 2.지속적으로 만남을 갖
는다면 더 긍적적인 결과를 얻을 수 있을 듯 3.놀이가 아니더라도.. 함께 매체연구, 논
문, 책 나누기 등을 해도 좋을 듯 [고민] 팀에서 진행되는 공동 프로젝트와 교실 안에서
이루어지는 프로젝트 진행.. 둘 다를 잘 해나갈 수 있을까? 2.팀에서 진행되고 있는 프
로젝트를 함께 나누는 제 3자가 존재하는가? [반대] 1.경쟁적인 분위기 2.과도한 업무
스트레스 3.결과 위주 진행..
• [찬성] 짝 교사 이외에 다른 교사들과 이야기를 하다보면 좋을 아이디어를 얻는 경우
가 많답니다. 우리반의 이야기는 제한된 생각을 하게 되는데 다른 선생님들과 고민을
나누다보면 더 좋은 생각을 나눌 때가 많거든요. 좋은 기회가 될 것이라고 봅니다. 

[고민]운영하시는 분들께서 경쟁의 구도를 갖지 않고 편안하게 진행할 수 있기를 바랍
니다. 하나의 주제로 같이 하다보면 그 교실의 상황과는 다르게 결과물에 집중하게 되
고 교사들은 예민하지게 되며 서로 나누는 것이 어려워질 수 있거든요.
• [찬성] 혼자 생각해야 하는 부분을 나눔으로써 생각의 폭을 넓힐 수 있다는 것이 가장
좋은 것 같습니다. 누구나 알면서도 쉽게 하기 힘든 부분인데 팀제로 운영되다보면 자
연스럽게 공유가 되며 생각을 나눌 수 있어서 좋을 것 같습니다. [고민] 공동으로 프로
젝트를 진행 시 만나야 하는 부분에서 시간을 조정하는 것은 가능하지만, 2년차 선생
님들을 봤을 때 그 시간이 대부분 늦은 시간까지 이어지는 것을 자주 봤습니다. 아마
도 교실 일을 마치고 모여야 하기 때문인 것 같습니다. 정말 교실에서 해야하는 부분
이 확실히 줄어들지 않는 이상, 팀 구성 프로젝트 진행은 더 어려운 과제가 될 수도 있
을 것 같습니다.
• [고민] 팀끼리 모였을 때, 부담되는 시간이 아니었으면 좋겠습니다. 편안한 분위기 였
으면 좋겠어요. 그렇지 않을 때에는 또 나름의.. 스트레스가 될 것도 같네요..ㅜㅜ
[반대]
물론 저렇게 소그룹으로 진행한다면 도움이 되는 부
분이 분명히 있겠지만 학기를 지내면서 다른 교사들
과 만나기 위해 시간을 내고 꾸준한 모임을 갖는다
는게 쉽지 않을 거라 생각됩니다. 분명히 교실 일 때
문에 정신없이 1년을 살아갈테니까요~ 그리고 아시
다피시 비교, 경쟁.. 어쩔수 없이 일어날테고 그건 바
로 스트레스로 이어질 것이고... 저널을 줄여서 남는
여력으로 이렇게 진행한다고 하셨는데 그건 교사의
여력이 생길 수 있도록 하는 방향이 아닌 것 같습니
다. 오히려 새로운 무언가를 시도한다는 게 더욱 여
력을 없애는 걸 수도 있다는 생각이 들어요. 진행한
다면 원하는 교사들만 했으면 합니다.
팀 운영에 대한 논의
(2012학년도 → 2013학년도)
• 트렐로를 시작한 처음 의도도 두 교사가 서로 협의하기 위함이었잖아요. 다른 반과 공
유하기 보단. 편안하게 두 교사가 이야기를 나누는게 더 좋지 않을까 생각합니다.
• 가끔 다른반 트렐로를 공유 하는 것은 도움이 될 듯도 합니다...기술적인 부분이나 사
용적인 부분에서요...사진을 올릴 수 있다는 것을 느티나무반 흐름도에서 알았기에요~
• 저도.. 반별이 좋은것 같아요ㅋㅋㅋ 다음 트렐로 공유 모임은.. 연령별로 하기 싶기도
합니다.. 이제 곧 참여 수업도 있어서 같은 연령 끼리 현재 놀이 진행과 참여 수업 아이
디어나 코멘트를 받을 수 있을 것 같아서요 ^^
• 저도 반별이 좋은 것 같습니다^^ 가끔 다른 반은 트렐로를 어떻게 사용하고 있나... 궁
금하기도 하지만, 공개가 된다면 그 또안 알게모르게 부담?이 되어^^;;; 편안한 마음으
로 사용하지는 못하지 않을까... 하는 생각도 듭니다.
• 저도 그냥 반별이 좋은 것같아요.. 또 다른반 트렐로는 보면 형식이 다 똑같을것 같아
서 어떻게 보면 베일에 감춰져 있는 것도 좋을 듯해요~~
• 저는 반별로 하는 것이 좋아요~ 짝 선생님과 지속적으로 협의 시간을 가지려고 노력
하는 중인데.. 반 별로 한 트렐로 공유 모임을 통해 여러 아이디어나 궁금한 부분, 진행
에 대해 나눌 수 있어서 좋은 시간인 것 같습니다. 가끔 연령별로 공유하는 시간을 가
져도 좋을 것 같아요.

반별이 시간도 절약되고 좋은 것 같아요.
그리고 트렐로가 두 교사의 협의 공간인 만큼 공개
는 XXXXXXXㅋㅋㅋ 다만 한가지... 일주일에 한번
은 너무 자주하는 것 같습니다. 조정해주시면.. 좋겠
습니다.
놀이흐름 공유에 대한 논의
(2013학년도)
경영록 온라인 공유(2009학년도), 저널 온라인 공유(2012학년도)
에도 비슷한 상황을 겪어옴
수업장학에 대한 의견
• OO반 선생님들 엄청 많이~ 수고하셨습니다 ^-^ 그 부담감과 스트레스를 알기에 보는
내내 제가 담임 인것 같은 느낌이 들더라구요 ㅎ 수고하셨어용 ㅎ 이제 1학기의 참관
은 끝났네요 ㅎ 한가지 염려와 동시에 바람이 있다면 진행되는 수업장학이 교사의 사
기를 저하시키는 게 아닌 높여줄 수 있는 수업장학이 되었으면 좋겠습니다...^^
• 참나무반 두분 선생님 모두~ 수고하셨습니다!!!!! 짝짝짝~ 준비하는 과정을 옆에서 보
며 엄청난 부담감에 스트레스 받는 두 선생님을 보았기때문에 다시 한번 더 수고하셨
다는 말을 전하고 싶네요^^ 다음학기이긴 하지만.. 다음은 저희반이네요.... 벌써 부담
감이..다가오는 것만 같은 느낌이.....;;ㅠㅠ
• 너무너무 수고하셨습니다^^ 같은 경험을 해 본 반으로써 수고 하셨다는 말씀을 꼭 전
해드리고 싶어용 ㅠㅠ 이제 조금은 마음을 놓으시고 놀이에서 고민되는 부분을 차차
생각해 나가요 우리반의 경우도 수업 장학으로 놀이에서 고민되는 부분 어려운 부분
이 뭔지가 더 확실히 드러난 것 같아요 그래서 더욱... 좌절도 했구요 ㅋㅋㅋ 앞으로 같
이 해요 우리!!^^
• OO반선생님들 수고 많으셨어요!!!^^먼저 놀이소개시간이 꽤 길었는데 바르게 앉아있
는 어린이들이 많은 것 같아 같은 연령을 맡고있는 저로써는 부러웠답니다. 다른 사람
에게 피해를 주지 않아야 한다는 것, 이야기 나누기 시간에는 순서가 있고 지켜야 한
다는것... 모두 저희반도 이야기 하지만 지키기 어려워 하거든요. 저희반은 더 연습이
필요한 것 같습니다.ㅠ 또한 2년을 함께하는 어린이들이 많아서 그런지 또래 사이의
관계도 교사와의 관계에서도 익숙하고 자연스러운 모습이 많이 보여지는 것 같고, 놀
이시간 큰 갈등상황들이 생기지 않는 것 같아 보였습니다. 작년과 올해 감정에 대해
꾸준히 이야기 나눈 부분이 큰 역할을 하는 것 같기도 하네요. 저희반도 더 꾸준히 이
야기를 나누고 연습을 해야겠네요. 저는 작년 대나무반에 이어 올해 까치반까치 참관
하였는데, 올해에도 두 선생님들께서 다양한 놀이들을 위해 꾸준히 노력하고 계신 것
같아 반성이 되기도 하였답니다. 다음달은 저희반인데... 더 열심히 놀아야겠습니다....
장학~ 분명 도움이 되는 부분이 있기는 할 것입니다.
장학을 위해서 놀이를 한 번 더 들여다 보고 지원도
더 고민하게 되기에 교실의 놀이에는 도움이 되는
것이 분명한 듯 합니다. 하지만 그 부담은 뭐 말 할
것도 없이 어렵습니다. 우리반 교실 놀이도 감이 잘
안 잡혀지는 상황에서 다른 반 놀이를 보면서 이야
기를 하는 것도 조금은 웃기다는 생각도 사실 들었
습니다. 그래서 반 놀이는 어떻게 하지???? 더 고민
하게 되구요~ 날씨가 더워서 그런지 장학~ 생각하니
더 힘드네요~^^
원내장학이라고 생각하면 부담이라는 단어가 가장
먼저 생각나는 것 같습니다. 놀이의 흐름과.. 다른 선
생님들과 원장선생님,원감선생님... 앞에서 수업을
진행해야된다는 부분에서 벌써부터 걱정이 되기 시
작하네요..
일단... 장학이 끝나서 정말 정말~~~ 정말~ 기쁩니다^^
준비하면서 긴장되기도 하고 부담되는 마음이 너무
많아서 항상 웃어도 웃는게 아니였던 거 같았어요ㅠ
자꾸 꿈에 유치원이 나오고… 전에 오픈했던 반 선생
님들의 심정을 지금에서야 직접 느꼈던 거 같아요..
이제 환하게 웃고 다닐 수 있어요!!! 장학날, 집에 가기
전 저희반 아이들에게 정말 고맙다는 말을 했던 게 기
억이 나요.. 아이들 도움이 컸던 날이였답니다. 아침에
오자마자 화이팅을 외치던 아이들...^^:;
하지만 한편으로는 교사보다 더 긴장하는 아이들을
보며 .... 왠지 미안?하다는 생각이 들기도 했었던 거
같아요..ㅜㅜ
비교, 경쟁.. 어쩔수 없이 일어날테고
그건 바로 스트레스로 이어질 것이고
책에서 나온 내용들과 연결해서 생각해 보면?
그들도 비슷한 과정을 겪었던 것일까?
아니면 다름을 인정해야 할까?
문화는 복사 / 붙여넣기가 불가능하다.
가설: 교육자의 문화 x 어떤 문화
그들은 어떻게 친구가 되고 등을 돌리는가?
Odd Girl Out: The Hidden Culture of Aggression in Girls
• 경쟁, 비교
• 협의, 협력, 회의
• 부모들의 그룹과의 연관성, 교사들의 그룹과의 연관성
• 짝교사, 재직 / 퇴직
다양한 관점으로 이 이슈를 조망할 필요가 있는 것이 아닐까?
업무 환경에 대한 고민과 실험
• 특강 폐지
• 3시간 확보
• 책 읽고 나누기 모임 (시행착오 중)
• 교육조정관(페다고지스타)이 없어도,

교사들의 이야기를 경청할 수 있는 구조
• 전체회의 1번 대신, 연령별 3번이나

반별 9번
교사 교육에 대한 고민
• 2011년 부터 변화 시도
• 초임교사와 경력교사 이슈
• 지속적인 교사교육 (발현적 교육과정)
• 실무 vs 철학
• 핀란드의 교육개혁 사례
• 티찌아니 필리피니와의 대화
다음의 실험과 도전
• 탄력적으로 일할 수 있는 환경 (공식적으로 밖으로 나갈 수 있기)
• 짝교사 협업에 대한 발상의 전환
• 유치원이 허브가 될 수 있도록 노력하기
이번에도 시행착오 예상
일상과 여력, 밖의 것을 안으로 가져오며 고민
선생님 고맙습니다
유아교육이 하는 일이 중요하고 의미있음을, 그리고 교사로 일하는 일은 존경받
아 마땅한 일임을 다시 한번 함께 생각해 보았으면 합니다.
어린이들의 유능함에 감동하고, 더 많은 사람들이 그것을 이해하는 것이 가능하
도록 노력하는 선생님들이 존경과 감사를 받을 수 있는 곳으로 인식되는 현장을
만들어가야 하겠습니다. 선생님들이 이 일을 하실 수 있도록 함께 고민하고 최대
한 지원하겠습니다.
더 많은 이야기: http://goo.gl/IHFHvl
이 발표 자료: http://goo.gl/e4dICv

마디를 만들어가며 성장하기

  • 1.
    마디를 만들어가며 성장하기 :시행착오에 대한 기록작업 한미유치원 최승준
  • 2.
    “우리의 원칙에 동의한다면,당신네 나라에 가서 새로운 유치원 문화를 만들어 가십시오!” - 칼리나 리날디 •2교사 •기록작업 •부모참여 “우리는 레지오에서 하고 있는 것을 복사할 의도는 없다. 그렇게 하는 것은 어리석고 불가능한 일이다. 우리는 레지오에서 제시하 는 몇 가지 원리와 아이디어를 이용 하려고 한다.”
 “레지오 에밀리아는 모델로서가 아니라 하나의 영감으로서만 이 용되어야 한다.” - 레지오를 방문했던 현장의 실천가들 (어린이들의 수많은 언어)
  • 3.
    몇 가지 원리,아이디어, 그리고 영감 을 이용하려다가 발생한 사건들
  • 4.
    우리가 처한 상황,현실을 직시하기 : 한해살이풀의 느낌 : 일단 관찰하고 기록해 보자
  • 5.
    논의 시작 재직/퇴직다음 짝교사 2014 학년도 2014. 11. 17 2015. 1. 13 2015. 1. 22 2013 학년도 2013. 12. 2 2014. 1. 9 2014. 1. 17 2012 학년도 2012. 11. 28 2012. 12. 20 2013. 1. 10 2011 학년도 2011. 12. 4 2011. 12. 22 2012. 1. 17 11월 말 ~ 1월 중순: 들썩거리는 시기 교사와 원장간의 개인 메일 및 면담 진행 이번 짝교사 정하는 시기를 기점으로 재직했던 교사들에 대한 기록을 연대기 관점으로 다시 보기 시작
  • 6.
  • 7.
    1. 포트폴리오(6개의 세부항목) 2.메세지 센터 편지 정리 3. 찰흙 : 종 포장해서 개인별로 정리 4. 표상 취합 : 지퍼백 5. 사진관 관련 (6개의 세부항목) 6. 어린이 작품 : 개인별 확인 후 리본 테이핑 7. 생활기록부 (5개의 세부항목) 8. 진학 학교별 생활기록부 나누어서 발송 9. 종이가방 라벨뽑기 10. 개인 사진 취합 11. DVD 작업 (3개의 세부항목) 12. 영역별 저널 묶기 13. 졸업 때 봉투에 넣어야 할 것 (13개의 세부항목) 14. 트로피 신청 15. 졸업 대장 16. 상장, 상장 이름 정하기 17. 졸업 증서 18. 물감벽화 사진촬영 19. 동시책 (9개의 세부항목) 20. 연구과제 2011학년도 어느 만5세반의 학년말의 할 일 목록 부모와 나눌 기록물 학년말의 행사, 행정 업무 외에 교사의 여력을 소모하는 것의 큰 부분이 부모 와 나눌 기록물과 관련이 있다. 2011학년도에 부모와 나눌 기록물 영아 : 포트폴리오, 대집단 책, 어린이 작품 유아 : 포트폴리오, 소집단 책, 어린이 작품 유치 : 포트폴리오, 동시책, 어린이 작품 위 상황에 대해 매년 뾰족한 해결책 없이 반복적으로 나타나는 이슈 1. 부모와 공유할 내용이 비교되거나 부족한 어린이들의 기록물 보완하기 2. 부모와 공유하기 때문에 교사가 최선을 다해 기록물의 질을 높이려함 3. 운영자의 기록물 비교 4. 교사들이 서로 기록물 비교 (경쟁과 담합) 5. 부모들이 서로 기록물 비교 (다른 어린이, 다른 반)
  • 8.
    OOO과 한 해의 흐름이다르다. 하루의 흐름이 다르다. 어떤 흐름인가?
  • 9.
    1년 회고: 2009학년도→ 2010학년도
  • 10.
  • 11.
    참 좋긴 한데, 꼭이때 해야 합니까?
  • 12.
  • 13.
    2012학년도 온라인 회고 : 매주기록 : 현재도 진행 중
  • 14.
    1년 회고: 2012학년도→ 2013학년도
  • 16.
    2012학년도 회고: 행사위주회고 → 교육과정 회고
  • 17.
    • 바쁜 시간이라..준비하는데 정신이 없더라고요.한해를 돌아볼 수 있었던 시간이었던 것은 분명합니다. 다음에 또 한다면 미리 준비했으면 좋겠습니다. • 복잡할 수 있었던 회의가 계획적으로 잘 마무리 된 느낌입니다. 우리가 계획했던 것들 이 실행으로 잘 옮겨졌으면 좋겠어요. ^^ • 다시 한번 되새겨보니 뭔가 정리하는 느낌이 들었어요~ 새학기 준비하느라 바뻐서 조 금은 더욱 바빠진 느낌이 들었지만... ㅎ • 회고에 대한 회고~~ 새로운 반에서 새로운 아이들을 위해서 모든 것을 생각해야 하는 때에 참 쉽지만은 않은 일인 듯 합니다. 물론 회고를 하면서 우리에게 도움이 되는 것 도 있으리라 생각되는데...우리가 살아가는 시간이 정말 바쁘게 돌아가기에 어떠한 것 이 더욱 도움이 되고 의미가 있을지는 모르겠습니다. 정~말~~~~ 할 일이 많습니다. 이 시기에 특히. • 자석을 이용해서 놀이를 들여다 보고 이번 해에는 어떠한 것을 했으면 좋을지 생각해 보는 시간은 나름 좋았습니다. 이것을 하려면 위에 교육과정 재방문을 해야 하는 군요 ㅠㅠ • 정해진 시간내에 다 끝나서 다행이었어요^^ 하지만 그것도 길게 느껴지긴 했죠^^ 마 음은 교실의 새학기 준비때문에 조급하기도 하고... ㅎㅎㅎ 작년에도 그랬던것 같은 데.. 참...어떻게 하면 해결되는 건지 모르겠네요 ㅋ • 체계적으로 시간배분을 해서 하루안에 끝낼수있었지만... 오전에 수업 차량을 타고 바 로 긴 회의를하니 힘들었습니다ㅜ 그리고 신학기준비가 되지않은 상태라 마음이 불안 하네요ㅜ • 같은 연령 선생님들과 만나서 첫 이야기를 나누는 시간이라 좋았던 것 같습니다. ㅎ • 생각보다 시간이 빠르게 지나간 것 같아요.. 연령별로 처음 모이는 자리라 반가웠고 다 같이 얘기할 수있어서 좋았습니다. 작년 쌤들과 헤어지니 슬프더군요 ㅠㅠ 사실 너무나 바쁜 시기이기에 이것을 왜 이 시기에 해야 하나~ 정신은 맨붕에 머리가 터질 듯 했습니다. 하지만 정리를 하면서 놀이안에서 찾아가야 할 것들 이 이런 것이구나 하는 생각이 들기도 했습니다. 어 찌 되었든 도움이 되는 부분이란 생각은 들었습니 다. 내년에는 미리 미리 해서 이러한 시기에 하지 않 아도 되었으면 합니다. 그리고...새 학기가 시작되기 전 모든 힘을 새롭게 시작하는 반에 쏟아야 할때 (주 로 아이들을 맞이 할 교실 정리겠죠) 힘을 분산시키 는 것을 별로 좋지 않은 듯 합니다....아직도 교실 정 리가 되지 않은 상태라~ 부족한 시간이 아쉽습니다. 교사들의 피드백
  • 18.
    놀이의 흐름과 맥락을조망, 일상의 맥박이 느껴지는, 교사 협의, 발현적 교육과정을 위한 기록을 어떻게 할 수 있을까?
  • 19.
  • 20.
    2010학년도: 저널의 흐름을분석해 보려는 시도 : 지속 가능하지 않았음
  • 21.
    2010 ~ 2012 학년도에활용한 놀이 흐름 기록 양식 : 월말에 몰아서 하는 양상이 나타남
  • 22.
    2011학년도 부터 시작한 온라인회고 방법을 활용, 2013학년도 부터는 교실의 놀이 흐름을 기록 두 교사 협의와 수업장학의 근간이 되는 기록으로 활용하기 시작
  • 23.
    2014학년도 부터는 계획/평가이슈를 다루기 시작, 2012학년도의 교육과정 재방문 방식을 일상 속에서 실천
  • 24.
    놀이의 흐름에 대한기록에서 좀 더 상세한 저널로 연결, 평가 카드를 보면 그 놀이가 어떻게 펼쳐졌는지 손쉽게 확인
  • 25.
    2009 2010 20112012 2013 2014 시행착오(도전과 실험)의 흐름
  • 26.
  • 28.
    • [찬성] 1.놀이를짝교사가 아닌 다른 교사와 나눌 수 있는 점 2.지속적으로 만남을 갖 는다면 더 긍적적인 결과를 얻을 수 있을 듯 3.놀이가 아니더라도.. 함께 매체연구, 논 문, 책 나누기 등을 해도 좋을 듯 [고민] 팀에서 진행되는 공동 프로젝트와 교실 안에서 이루어지는 프로젝트 진행.. 둘 다를 잘 해나갈 수 있을까? 2.팀에서 진행되고 있는 프 로젝트를 함께 나누는 제 3자가 존재하는가? [반대] 1.경쟁적인 분위기 2.과도한 업무 스트레스 3.결과 위주 진행.. • [찬성] 짝 교사 이외에 다른 교사들과 이야기를 하다보면 좋을 아이디어를 얻는 경우 가 많답니다. 우리반의 이야기는 제한된 생각을 하게 되는데 다른 선생님들과 고민을 나누다보면 더 좋은 생각을 나눌 때가 많거든요. 좋은 기회가 될 것이라고 봅니다. 
 [고민]운영하시는 분들께서 경쟁의 구도를 갖지 않고 편안하게 진행할 수 있기를 바랍 니다. 하나의 주제로 같이 하다보면 그 교실의 상황과는 다르게 결과물에 집중하게 되 고 교사들은 예민하지게 되며 서로 나누는 것이 어려워질 수 있거든요. • [찬성] 혼자 생각해야 하는 부분을 나눔으로써 생각의 폭을 넓힐 수 있다는 것이 가장 좋은 것 같습니다. 누구나 알면서도 쉽게 하기 힘든 부분인데 팀제로 운영되다보면 자 연스럽게 공유가 되며 생각을 나눌 수 있어서 좋을 것 같습니다. [고민] 공동으로 프로 젝트를 진행 시 만나야 하는 부분에서 시간을 조정하는 것은 가능하지만, 2년차 선생 님들을 봤을 때 그 시간이 대부분 늦은 시간까지 이어지는 것을 자주 봤습니다. 아마 도 교실 일을 마치고 모여야 하기 때문인 것 같습니다. 정말 교실에서 해야하는 부분 이 확실히 줄어들지 않는 이상, 팀 구성 프로젝트 진행은 더 어려운 과제가 될 수도 있 을 것 같습니다. • [고민] 팀끼리 모였을 때, 부담되는 시간이 아니었으면 좋겠습니다. 편안한 분위기 였 으면 좋겠어요. 그렇지 않을 때에는 또 나름의.. 스트레스가 될 것도 같네요..ㅜㅜ [반대] 물론 저렇게 소그룹으로 진행한다면 도움이 되는 부 분이 분명히 있겠지만 학기를 지내면서 다른 교사들 과 만나기 위해 시간을 내고 꾸준한 모임을 갖는다 는게 쉽지 않을 거라 생각됩니다. 분명히 교실 일 때 문에 정신없이 1년을 살아갈테니까요~ 그리고 아시 다피시 비교, 경쟁.. 어쩔수 없이 일어날테고 그건 바 로 스트레스로 이어질 것이고... 저널을 줄여서 남는 여력으로 이렇게 진행한다고 하셨는데 그건 교사의 여력이 생길 수 있도록 하는 방향이 아닌 것 같습니 다. 오히려 새로운 무언가를 시도한다는 게 더욱 여 력을 없애는 걸 수도 있다는 생각이 들어요. 진행한 다면 원하는 교사들만 했으면 합니다. 팀 운영에 대한 논의 (2012학년도 → 2013학년도)
  • 29.
    • 트렐로를 시작한처음 의도도 두 교사가 서로 협의하기 위함이었잖아요. 다른 반과 공 유하기 보단. 편안하게 두 교사가 이야기를 나누는게 더 좋지 않을까 생각합니다. • 가끔 다른반 트렐로를 공유 하는 것은 도움이 될 듯도 합니다...기술적인 부분이나 사 용적인 부분에서요...사진을 올릴 수 있다는 것을 느티나무반 흐름도에서 알았기에요~ • 저도.. 반별이 좋은것 같아요ㅋㅋㅋ 다음 트렐로 공유 모임은.. 연령별로 하기 싶기도 합니다.. 이제 곧 참여 수업도 있어서 같은 연령 끼리 현재 놀이 진행과 참여 수업 아이 디어나 코멘트를 받을 수 있을 것 같아서요 ^^ • 저도 반별이 좋은 것 같습니다^^ 가끔 다른 반은 트렐로를 어떻게 사용하고 있나... 궁 금하기도 하지만, 공개가 된다면 그 또안 알게모르게 부담?이 되어^^;;; 편안한 마음으 로 사용하지는 못하지 않을까... 하는 생각도 듭니다. • 저도 그냥 반별이 좋은 것같아요.. 또 다른반 트렐로는 보면 형식이 다 똑같을것 같아 서 어떻게 보면 베일에 감춰져 있는 것도 좋을 듯해요~~ • 저는 반별로 하는 것이 좋아요~ 짝 선생님과 지속적으로 협의 시간을 가지려고 노력 하는 중인데.. 반 별로 한 트렐로 공유 모임을 통해 여러 아이디어나 궁금한 부분, 진행 에 대해 나눌 수 있어서 좋은 시간인 것 같습니다. 가끔 연령별로 공유하는 시간을 가 져도 좋을 것 같아요.
 반별이 시간도 절약되고 좋은 것 같아요. 그리고 트렐로가 두 교사의 협의 공간인 만큼 공개 는 XXXXXXXㅋㅋㅋ 다만 한가지... 일주일에 한번 은 너무 자주하는 것 같습니다. 조정해주시면.. 좋겠 습니다. 놀이흐름 공유에 대한 논의 (2013학년도) 경영록 온라인 공유(2009학년도), 저널 온라인 공유(2012학년도) 에도 비슷한 상황을 겪어옴
  • 31.
    수업장학에 대한 의견 •OO반 선생님들 엄청 많이~ 수고하셨습니다 ^-^ 그 부담감과 스트레스를 알기에 보는 내내 제가 담임 인것 같은 느낌이 들더라구요 ㅎ 수고하셨어용 ㅎ 이제 1학기의 참관 은 끝났네요 ㅎ 한가지 염려와 동시에 바람이 있다면 진행되는 수업장학이 교사의 사 기를 저하시키는 게 아닌 높여줄 수 있는 수업장학이 되었으면 좋겠습니다...^^ • 참나무반 두분 선생님 모두~ 수고하셨습니다!!!!! 짝짝짝~ 준비하는 과정을 옆에서 보 며 엄청난 부담감에 스트레스 받는 두 선생님을 보았기때문에 다시 한번 더 수고하셨 다는 말을 전하고 싶네요^^ 다음학기이긴 하지만.. 다음은 저희반이네요.... 벌써 부담 감이..다가오는 것만 같은 느낌이.....;;ㅠㅠ • 너무너무 수고하셨습니다^^ 같은 경험을 해 본 반으로써 수고 하셨다는 말씀을 꼭 전 해드리고 싶어용 ㅠㅠ 이제 조금은 마음을 놓으시고 놀이에서 고민되는 부분을 차차 생각해 나가요 우리반의 경우도 수업 장학으로 놀이에서 고민되는 부분 어려운 부분 이 뭔지가 더 확실히 드러난 것 같아요 그래서 더욱... 좌절도 했구요 ㅋㅋㅋ 앞으로 같 이 해요 우리!!^^ • OO반선생님들 수고 많으셨어요!!!^^먼저 놀이소개시간이 꽤 길었는데 바르게 앉아있 는 어린이들이 많은 것 같아 같은 연령을 맡고있는 저로써는 부러웠답니다. 다른 사람 에게 피해를 주지 않아야 한다는 것, 이야기 나누기 시간에는 순서가 있고 지켜야 한 다는것... 모두 저희반도 이야기 하지만 지키기 어려워 하거든요. 저희반은 더 연습이 필요한 것 같습니다.ㅠ 또한 2년을 함께하는 어린이들이 많아서 그런지 또래 사이의 관계도 교사와의 관계에서도 익숙하고 자연스러운 모습이 많이 보여지는 것 같고, 놀 이시간 큰 갈등상황들이 생기지 않는 것 같아 보였습니다. 작년과 올해 감정에 대해 꾸준히 이야기 나눈 부분이 큰 역할을 하는 것 같기도 하네요. 저희반도 더 꾸준히 이 야기를 나누고 연습을 해야겠네요. 저는 작년 대나무반에 이어 올해 까치반까치 참관 하였는데, 올해에도 두 선생님들께서 다양한 놀이들을 위해 꾸준히 노력하고 계신 것 같아 반성이 되기도 하였답니다. 다음달은 저희반인데... 더 열심히 놀아야겠습니다.... 장학~ 분명 도움이 되는 부분이 있기는 할 것입니다. 장학을 위해서 놀이를 한 번 더 들여다 보고 지원도 더 고민하게 되기에 교실의 놀이에는 도움이 되는 것이 분명한 듯 합니다. 하지만 그 부담은 뭐 말 할 것도 없이 어렵습니다. 우리반 교실 놀이도 감이 잘 안 잡혀지는 상황에서 다른 반 놀이를 보면서 이야 기를 하는 것도 조금은 웃기다는 생각도 사실 들었 습니다. 그래서 반 놀이는 어떻게 하지???? 더 고민 하게 되구요~ 날씨가 더워서 그런지 장학~ 생각하니 더 힘드네요~^^ 원내장학이라고 생각하면 부담이라는 단어가 가장 먼저 생각나는 것 같습니다. 놀이의 흐름과.. 다른 선 생님들과 원장선생님,원감선생님... 앞에서 수업을 진행해야된다는 부분에서 벌써부터 걱정이 되기 시 작하네요..
  • 32.
    일단... 장학이 끝나서정말 정말~~~ 정말~ 기쁩니다^^ 준비하면서 긴장되기도 하고 부담되는 마음이 너무 많아서 항상 웃어도 웃는게 아니였던 거 같았어요ㅠ 자꾸 꿈에 유치원이 나오고… 전에 오픈했던 반 선생 님들의 심정을 지금에서야 직접 느꼈던 거 같아요.. 이제 환하게 웃고 다닐 수 있어요!!! 장학날, 집에 가기 전 저희반 아이들에게 정말 고맙다는 말을 했던 게 기 억이 나요.. 아이들 도움이 컸던 날이였답니다. 아침에 오자마자 화이팅을 외치던 아이들...^^:; 하지만 한편으로는 교사보다 더 긴장하는 아이들을 보며 .... 왠지 미안?하다는 생각이 들기도 했었던 거 같아요..ㅜㅜ 비교, 경쟁.. 어쩔수 없이 일어날테고 그건 바로 스트레스로 이어질 것이고 책에서 나온 내용들과 연결해서 생각해 보면? 그들도 비슷한 과정을 겪었던 것일까? 아니면 다름을 인정해야 할까? 문화는 복사 / 붙여넣기가 불가능하다.
  • 33.
    가설: 교육자의 문화x 어떤 문화 그들은 어떻게 친구가 되고 등을 돌리는가? Odd Girl Out: The Hidden Culture of Aggression in Girls • 경쟁, 비교 • 협의, 협력, 회의 • 부모들의 그룹과의 연관성, 교사들의 그룹과의 연관성 • 짝교사, 재직 / 퇴직 다양한 관점으로 이 이슈를 조망할 필요가 있는 것이 아닐까?
  • 34.
    업무 환경에 대한고민과 실험 • 특강 폐지 • 3시간 확보 • 책 읽고 나누기 모임 (시행착오 중) • 교육조정관(페다고지스타)이 없어도,
 교사들의 이야기를 경청할 수 있는 구조 • 전체회의 1번 대신, 연령별 3번이나
 반별 9번
  • 35.
    교사 교육에 대한고민 • 2011년 부터 변화 시도 • 초임교사와 경력교사 이슈 • 지속적인 교사교육 (발현적 교육과정) • 실무 vs 철학 • 핀란드의 교육개혁 사례 • 티찌아니 필리피니와의 대화
  • 36.
    다음의 실험과 도전 •탄력적으로 일할 수 있는 환경 (공식적으로 밖으로 나갈 수 있기) • 짝교사 협업에 대한 발상의 전환 • 유치원이 허브가 될 수 있도록 노력하기 이번에도 시행착오 예상
  • 37.
    일상과 여력, 밖의것을 안으로 가져오며 고민
  • 39.
    선생님 고맙습니다 유아교육이 하는일이 중요하고 의미있음을, 그리고 교사로 일하는 일은 존경받 아 마땅한 일임을 다시 한번 함께 생각해 보았으면 합니다. 어린이들의 유능함에 감동하고, 더 많은 사람들이 그것을 이해하는 것이 가능하 도록 노력하는 선생님들이 존경과 감사를 받을 수 있는 곳으로 인식되는 현장을 만들어가야 하겠습니다. 선생님들이 이 일을 하실 수 있도록 함께 고민하고 최대 한 지원하겠습니다.
  • 40.
    더 많은 이야기:http://goo.gl/IHFHvl 이 발표 자료: http://goo.gl/e4dICv