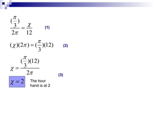
The clock shows that the hour hand is at 2 and the minute hand is at 20. This indicates that the time is 2:20 p.m. based on the positions of the hands on the clock face. Ted comes home from school at this time of 2:20 p.m.