Indian Institute of Health Management Research, Jaipur
Strengthening District Health System in Madhya Pradesh through Management Interventions
STRENGTHENING DISTRICT HEALTH SYSTEM:
EXPERIENCE FROM HOSHANGABAD DISTRICT,
MADHYA PRADESH, INDIA
Prepared by
Indian Institute of Health Management Research
1
STRENGTHENING DISTRICT HEALTH SYSTEM IN
HOSHANGABAD DISTRICT, MADHYA PRADESH
EXPERIENCES FROM IMPLEMENTATION
Prepared
By
Indian Institute of Health Management Research
Jaipur
Indian Institute of Health Management Research, Jaipur
Strengthening District Health System in Madhya Pradesh through Management Interventions
PROJECT TEAM
S. D. Gupta, Team Leader
P. C. Dash, Project Coordinator, SDHS
T. P. Sharma, Project Advisor
Research Officers
Rohini Jinsiwale
Hemant Kumar Mishra
2
Indian Institute of Health Management Research, Jaipur
Strengthening District Health System in Madhya Pradesh through Management Interventions
FORWARD
3
Indian Institute of Health Management Research, Jaipur
Strengthening District Health System in Madhya Pradesh through Management Interventions
PREFACE
4
Indian Institute of Health Management Research, Jaipur
Strengthening District Health System in Madhya Pradesh through Management Interventions
LIST OF ABBREVIATIONS
ASO Assistant Statistical Officer
AIDS Acquired Immuno Deficiency Syndrome
ANC Ante Natal Care
ANM Auxiliary Nurse Midwives
ARI Acute Respiratory Infection
AWW Angana Wadi Worker
BEE Block Extension Educator
BHT Block Health Team
BMO Block Medical Officer
BPHC Block Primary Health Center
CEO Chief Executive Officer
CH Civil Hospital
CHC Community Health Center
CIDA Canadian International Development Agency
CMHO Chief Medical and Health Officer
CMO Chief Medical Officer
CNAA Community Needs Assessment
CPT Core Project Team
CSSM Child Survival and Safe Motherhood
DA Dearness Allowance
DANIDA Danish International Development Agency
DH District Hospital
DHS District Health Systems
DHT District Health Team
DIC District Implementation Committee
DIO District Immunization Officer
DPC District Planning Committee
DTC District Training Center
EC Eligible Couple
ELA Expected Level of Achievement
EOC Emergency Obstetrics Care
FEFO First Expiry First Out
FIFO First In First Out
FINNIDA Finnish International Development Agency
FP Family Planning
FRU First Referral Units
GDI Gender Related Development Index
GSK Gramin Swasthya Kendra
GSKK Gramin Swasthya Kalyan Kendra
HIS Health Information System
HRD Human Resources Development
IDRC International Development Research Center
5
Indian Institute of Health Management Research, Jaipur
Strengthening District Health System in Madhya Pradesh through Management Interventions
IFA Iron and Folic Acid
IIHMR Indian Institute of Health Management Research
IPD Inpatient Department
IUD Intra Uterine Device
JICA Japanese International Corporation Agency
JSR Jana Swasthya Rakshya
LFA Logical Frame of the Activities
LHV Lady Health Visitor
LILO Last In Last Out
LTF Logistics Task Force
MCH Maternal and Child Health
MIS Management of Information System
MO Medical Officer
MP Madhya Pradesh
MPW Multi Purpose Workers
NGO Non Governmental Organisation
NORAD Narwegian Agency for International Development
ODA Overseas Development Administration
OPD Out Patient Department
ORS Oral Rehydration Salt
ORT Oral Rehydration Therapy
PAC Project Advisory Committee
PHC Primary Health Center
PNC Post Natal Care
PP Post Partum
PRI Panchayati Raj Institutions
QA Quality Assurance
RCH Reproductive and Child Health
RDE Royal Danish Embassy
RKS Rogi Kalyan Samittee
RO Research Officer
RRT Resident Research Team
RTI Reproductive Tract Infection
SAO Senior Accounts Officer
SC Sub Center
SC Scheduled Caste
SDHS Strengthening District Health Systems
SHC Sub Health Center
SHCT Sub Health Center Team
SHCT Sub Health Center Team
SHCT Sub Health Center Team
SIDA Swedish International Development Authority
ST Scheduled Tribe
STD Sexually Transmitted Disease
STI Sexually Transmitted Infection
TA Traveling Allowance
6
Indian Institute of Health Management Research, Jaipur
Strengthening District Health System in Madhya Pradesh through Management Interventions
TB Tuberculosis
TCR Target Couple Register
TOR Terms of Reference
TT Tetanus Toxide
USSR United Soviet Socialist Republic
VED Vital Essential and Desirable
VHC Village Health Center
VHT Village Health Team
WHO World Health Organisation
7
Indian Institute of Health Management Research, Jaipur
Strengthening District Health System in Madhya Pradesh through Management Interventions
LIST OF TABLES
Tables Page
3.1: Administrative units and towns in Hoshangabad district
3.2: Socio demographic profile of Hoshangabad district
3.3: Agricultural production in Hoshangabad
3.4. Block wise distribution of number of CHCs, PHCs and SHCs in Hoshangabad
3.5. Manpower availability in Hoshangabad district
3.6. Utilization of various services provided by the government run health
facilities in Hoshangabad district
3.7. Value of various performance indicators (block wise and other hospitals) in
Hoshangabad district
5.1: Status and source of finance for drug store renovation at block level
5.2: Outcome at a glance
5.3: Status of drug stores as per the feedback received during follow up workshop
5.4: Roster of supply from district to block
5.5: Major findings of rapid assessment
6.1: Outcome of the intervention at a glance
6.2: Number of respondents received training (by source) before the project
6.3: Reports prepared by the health workers
6.4: Accuracy Checking of data before submission
6.5: Type of improvement observed by the health workers
7.1: Summary of contribution from PRIs/NGOs, Community and indirect cost of
supervision for SHC renovation
7.2: Summary of contribution from project for SHC renovation
7.3: Achievements on sub center renovation
7.4: Status of village health centers in the district
7.5: Name of the villages where GSKK established and amount deposited
7.6: Role of the respondents (who told yes) for their role in renovation
process
7.7: Reasons for visiting the sub-center during the reference period
7.8: Amount contributed by the respondents for GSKK
7.9: Types of services the respondents would like to avail from GSKK
8.1: Profile of Panchayati Raj Institutions in Hoshangabad District
8.2: Status of PRIs in Pipariya Block
8.3: Socio-demographic Profile of Pipariya Block and Hoshangabad District
8.4: Performance at a glance
8.5: Age wise classification of respondents
8.6: Position of the respondents in the present Panchayat
8.7: Perception of the respondents regarding the changes observed after the
intervention related to PRI in Health Sector by SDHS Project team
9.1: Achievements at a glance
9.2: Work experience in Health Department
9.3: Use of the provided checklist by category
9.4: Duration of use of checklist
8
Indian Institute of Health Management Research, Jaipur
Strengthening District Health System in Madhya Pradesh through Management Interventions
9.5: Acceptance and use of checklists by years of experience
9.6: Number of clients served before and after the use of checklist
9.7: Antenatal services and improvements in services delivery
9.8: Status of intra natal services before and after the intervention
9.9: Status of PNC services before and after the intervention
9.10: Status of Immunization services before and after the intervention
9.11: Status of ARI services before and after the intervention
9.12: Status of Diarrhea services before and after the intervention
9.13: Status of FP services (Oral Pills) before and after intervention
9.14: Status of Family Planning services (IUD) before and after intervention
9.15: Distribution of sample households on the basis of services received from the
ANMs.
9.16: Services ever received
9.17: Clients’ perception on improvement of services delivery after intervention
9.18: Type of changes observed
9.19: Satisfaction of clients on the service delivery of ANMs
9.20: Clients communicated observed changes to others
9
Indian Institute of Health Management Research, Jaipur
Strengthening District Health System in Madhya Pradesh through Management Interventions
LIST OF ANNEXURES
Annexure Page
2.1: Terms of Reference for DHT
2.2: TOR for Block Health Teams (BHT)
2.3: Guidelines for DHT and BHT meetings
2.4: TOR for Sub Health Center Team (SHCT)
2.5: TOR for Village Health Team
4.1: Proceeding of Sector Level Training Programs
4.2: Guidelines for Decentralized Planning
4.3: Guidelines for Monitoring and Supervision of Planned Activities
5.1: Proceeding of the Management Training Program for DHT and BHT
5.2: Proceeding of the Management Training Program for Store Keepers
5.3: Follow- up Training of Compounder/ Store Keeper
5.4: Logistics Task Force
5.5: Proceedings of the Meeting with Logistics Task Force
5.6: List of Essential Drugs for SHC
6.1: Training on Form 6 Imparted to the Health Workers at Block Level
6.2: The Efforts of the Project Team and Impact on HIS
6.3: Impact of Introduction of Village wise information format: Example of
Babadiya Bhau Sector of Seoni Malwa Block
6.4: Terms of Reference (TOR) of MIS Task Force
7.1: TOR for Sub Health Centers Team
7.2: TOR fro Village Health Center (VHC)
7.3: TOR for Village Health Team (VHT) and GSKK
7.4: Panch Sarpanch Checklist
7.5: Work Plan
7.6: Contribution of PRIs and Communication for Sub Center Renovation
7.7: Status of Sub Centers Renovation in different Blocks
7.8: Status of the Village Health Centers in different Blocks
8.1: TOR for Gramin Swasthya Kalyan Team and Gramin Swasthya
Kalyan Kosh
8.2: TOR for Gramin Swasthya Kendra
8.3: PRI Checklist
8.4: TOR for Sub Health Center Team
8.5: Terms of Reference (TOR) for Health Camp
9.1: Quality Check Lists
10
Indian Institute of Health Management Research, Jaipur
Strengthening District Health System in Madhya Pradesh through Management Interventions
CONTENTS
Forward
Preface
List of abbreviations
List of tables
List of Annexure
Page
CHAPTER 1: INTRODUCTION TO THE PROJECT
1.1. Background
1.2. Defining District Health System
1.3. Districts in India
1.4. Problems in District Health System: Indian Scenario
1.5. Strengthening DHS in Hoshangabad
1.6. Critical Management Areas
1.7. Objectives of the Project
1.8. Organisation of the report
CHAPTER 2: ORGANIZATIONAL SETUP
2.1. Background
2.2. State Level
2.3. District Level
2.4. Project Level
2.5. Organizational Set-up as per Projects Requirement
2.6. Lessons Learnt
2.7. Conclusion
CHAPTER 3: HOSHANGABAD DISTRICT: A PROFILE
3.1. Background
3.2. Profile of the District
3.2.1. General Profile
3.2.2. Socio Demographic Profile
3.2.3. Socio Economic Profile
3.2.4. Health Scenario
3.2.5. Health Care Delivery System
3.2.6. Health Manpower Position
3.2.7. Utilization of Health Services
3.3. Conclusion
CHAPTER 4: DECENTRALIZED HEALTH PLANNING
4.1. Background
4.2. Objectives
4.3. Planning Process- Problems and Issues
4.3.1. Backward of planning
4.4. Interventions
4.5. Outcomes
4.6. Lessons Learnt and Sustainability
4.7. Conclusions
11
Indian Institute of Health Management Research, Jaipur
Strengthening District Health System in Madhya Pradesh through Management Interventions
CHAPTER 5: LOGISTICS MANAGEMENT: IMPROVING MANAGEMENT OF
DRUG STORES
5.1. Background
5.2. Objectives
5.3. Diagnostic Study- Problems and Issues
5.4. Interventions
5.5. Outcomes
5.6. Post Intervention Assessment
5.7. Lessons Learnt
5.7.1. Sustainability
5.8. Conclusion
CHAPTER 6: IMPROVING MANAGEMENT OF HEALTH INFORMATION
SYSTEM (HIS)
6.1.Background
6.2.Objectives
6.3.HIS in the District
6.3.1. Data Generation and Recording Mechanism
6.3.2. Reporting Mechanism
6.3.3. Data Flow Mechanism
6.3.4. Feedback Mechanism
6.4.Diagnostic Study- Problems and Issues
6.5.Interventions
6.6.Outcomes
6.6.1. Analysis of achievements through secondary data
6.7.Post Intervention Assessment
6.7.1.Salient findings
6.8.Lessons Learnt
6.8.1.Sustainability
6.9.Conclusion
CHAPTER 7:COMMUNITY FINANCING: RENOVATION OF SUB HEALTH
CENTERS FOR ENHANCING ACCESSIBILITY AND
UTILIZATION
OF HEALTH SERVICES
7.1. Background
7.2. Objectives
7.3. Diagnostic Studies- Problems and Issues
7.4. Interventions
7.5. Implementation Process
7.6. Financing Mechanism
7.7. Outcomes
7.8. Post Intervention Assessment
7.8.1.Salient Findings
7.9. Lessons Learnt
7.9.1. Sustainability
7.10. Conclusion
12
Indian Institute of Health Management Research, Jaipur
Strengthening District Health System in Madhya Pradesh through Management Interventions
CHAPTER 8: PANCHAYATI RAJ INSTITUTIONS: ENHANCING
PARTICIPATION
IN PRIMARY HEALTH CARE
8.1. Background
8.2. Present PRI Structure
8.3. Diagnostic Study: Problems and Issues
8.4. Interventions
8.5. Implementation
8.5.1. About the Block: Pipariya
8.6. Replicability in Other Blocks
8.7. Outcomes
8.8. Post Intervention Assessment
8.9. Lessons Learnt and Sustainability
8.10. Conclusion
CHAPTER 9: QUALITY ASSURANCE INTERVENTION
9.1. Background
9.2. Objectives
9.3. Diagnostic Studies: Problems and Issues
9.4. Interventions
9.5. Outcomes
9.6. Post Intervention Assessment
9.6.1. Methodology and Sampling
9.6.2. Salient Findings
9.6.2a.Services Providers Prospective
9.6.2b.Clients Prospective on Quality Change
9.7. Lessons Learnt and Sustainability
9.8. Conclusion
CHAPTER 10: CONCLUSION AND FUTURE DIRECTIONS
BIBLIOGRAPHY
13
Indian Institute of Health Management Research, Jaipur
Strengthening District Health System in Madhya Pradesh through Management Interventions
CHAPTER 1
INTRODUCTION TO THE PROJECT
1.1. BACKGROUND
The main focus of the World Health Organisation (WHO) is the attainment by all peoples
of the highest possible level of health, as it is one of the fundamental rights of every
human being. After finding out the alarming health situation of its member countries in
1977, the World Health Assembly passed a resolution stating that the main social target
of governments and of WHO in the coming decades would aim at attainment of all the
people of the world by the year 2000 a level of health that would permit them to lead a
socially and economically productive life. This was followed by Alma Ata declaration of
Health For All by the year 2000, which was held in the former USSR. India is a signatory
to this declaration.
After the declaration, many countries worked in the direction to achieve the targets. It
was really disappointing to note that most of the attempts to achieve the target of health
for all resulted in changes at national level e.g., the development of policy, management
capability, training etc., or at the local level, in the organisation of community action,
training and utilization of health workers. It was recognized that weakness in national
efforts to pursue the goal of health for all has mostly been due to the problems of
organisation and management at the district level, as well as lack of adoptability to
change and the changes faced by Ministries of health at policy level. This approach
resulted in potential reduction in the realization of benefits at grass root level.
In view of the above situation, during May 1986, the World Health Assembly further
reviewed the health situation and found that, while in some countries substantial progress
have been made in strengthening health infrastructure and in coverage by health services,
in majority of them there had been a diffuse expansion of health infrastructure resulting
in frightening managerial and financial problems in trying to provide for even minimum
elements of primary health care. The planning and management of primary health care
programmes were still carried out at the central level with little understanding of the
problems and constraints at community level. India was not an exception to it.
The above-mentioned issues associated with the resource constraints which different
countries were facing due to financial crisis, gave birth to the concept of “District Health
System”. In May 1986, the World Health Assembly passed a resolution in which it urged
its countries to further strengthen the health system infrastructure based on primary health
care, focusing on manageable units – i.e., geographical areas small enough to permit
effective and efficient management, yet large enough to make it feasible to include all the
ingredients required for self-reliant health care. These organizational units were called
districts. On the basis of above considerations the WHO’s division of Strengthening of
Health Services initiated its districts health systems program.
14
Indian Institute of Health Management Research, Jaipur
Strengthening District Health System in Madhya Pradesh through Management Interventions
1.2. DEFINING DISTRICT HEALTH SYSTEM (DHS)
In order to facilitate a common understanding the WHO Global Programme Committee
in 1986 defined the district health system based on primary health care as “a self
contained segment of the national health system comprised of well defined population
living within a clearly delineated administrative and geographical area, whether urban or
rural. It includes all the institutions and individuals providing health care in the
district….A district health system therefore consists of a large variety of interrelated
elements that contribute to health in homes, schools, work places and communities,
through the health and other related sectors. It includes self-care and all health care
workers and facilities, up to and including the hospitals at the first referral level and
appropriate laboratory, other diagnostic, and logistics support services. Its component
elements need to be well coordinated by an officer assigned to this function in order to
draw together all these elements and institutions into a fully comprehensive range of
promotive, preventive, curative and rehabilitative health activities” (WHO, 1995)
It was widely believed that the district, which is the peripheral organizational unit of
national health systems, is particularly suitable as a channel for services to communities
as it helps in:
• Coordinating top-down and bottom-up planning
• Organizing community involvement in planning and implementation
• Improving coordination of government and Private health care.
• Bringing communities together for solving the problems at their own level
Thus the concept of district health system is not a new idea as decentralization and
central control have long been important political and organizational strategies. The
management of health services for well-defined geographical areas from regional or
district centers has been a common feature of most health systems in developed and
underdeveloped countries. Yet, it is precisely in this area of organisation and
management at the district level that many countries are weak.
1.3. DISTRICTS IN INDIA
For the purpose of understanding and analytical convenience, we have divided a typical
district in India into three setups:
(a) Administrative set up
Administratively, the district is divided into several segments (blocks / Tahsils / sub
divisions). District Collector, who is usually a civil servant, heads the district and looks
after overall developmental activities in the district. Similar kind of activities at block /
sub division level are carried out by Block Development Officers / Sub divisional
Magistrates. Though the health officials are not directly responsible to these
administrative authorities, they are indirectly linked and accountable to district or
block/sub divisional administration as health is one component of development.
15
Indian Institute of Health Management Research, Jaipur
Strengthening District Health System in Madhya Pradesh through Management Interventions
(b) PRI set up
After the initiation of decentralization process, the Panchayati Raj set up in the district
plays a key role in carrying out various developmental activities in the district. The
Panchayat Raj bodies execute most of the developmental activities at village level. Under
this set up the District Panchayat (Zilla Panchayat) is headed by Chief Executive Officer
(CEO) who is a senior state level officer or a Junior level officer selected through Indian
Administrative Services. The organisation below the district level is similar to
administrative set up; with the block level Panchayats (known as Janpad Panchayats)
being managed by Chief Executive Officers. The Janpad Panchayats are responsible for
managing the activities at village level. Sarpanch carries out developmental activities at
village level1
.
(c) Health care set up
In India, for administrative convenience, the country is divided in to several states and
each state is divided into several districts. At the country level, the central health ministry
is responsible for looking after the matters related to health sector. In Indian context
Health being a state subject, majority of decisions are taken at the state level. However,
the decisions at state or central level are mostly related to changes in policy and resources
allocation. The health ministry at central as well as state level is assisted by number of
Civil Servants, who are usually senior level beaurocrats. However, the ministries are not
directly responsible for implementation of the activities related to health sector. Chief
Medical and Health Officer (CMHO), who is usually a senior doctor, manage the health
care activities at the district level. The CMHO is assisted by a number of program
officers to implement the health programs in the district. The allocation of resources for
the health sector is usually made at the state level. Therefore, the CHMO has no or little
control over this. Further, for the implementation of health programs, the district is
divided into several blocks with the Block Medical Officer being in overall in charge of
blocks for carrying out health care activities. A block is divided into several Primary
Health Centers / Sectors (the nomenclature varies from state to state and within districts).
In an ideal situation, the Primary Health Centers should be equipped with necessary
infrastructure required for primary health care. Each PHC is divided into number of sub
centers where the health workers (male and Female) are posted for delivering the health
care at the village level. It is quite unfortunate that in most of the districts the health
infrastructure at PHC and sub center level is quite poor, thus affecting the delivery of
health care to a large extent.
To summarize, the health care set up in India is a multi tier system with the central
government at the apex and the sub centers at bottom. The implementation of all the
activities is carried out at the sub center, PHC and block level. The center and state deal
with the policy matters and make necessary arrangement for resources allocation. Thus,
the district, which lies between the apex (center and state) and bottom (block, PHC and
sub center) of the present set up, plays an important role in bringing coordination
between the policy and implementation. The whole system of managing the health
1
A single or a number villages (depending upon the size of the population)
constitute a Panchayat. The Sarpanch is a person who is elected by the village members.
16
Indian Institute of Health Management Research, Jaipur
Strengthening District Health System in Madhya Pradesh through Management Interventions
services primarily lies with the district health authorities and any mismanagement at this
level would lead to failure in health services delivery at the grass root level. It is at this
level where the management of health services is extremely poor.
1.4. PROBLEMS IN DISTRICT HEALTH SYSTEM: INDIAN SCENARIO
(a) Resource Allocation
As mentioned earlier, the district health authorities have little / no role to play in the
process of resources allocation. The resources are usually allocated from the center or the
state based on some pre defined criteria (i.e., population). Burden of diseases and socio
economic profile of the districts, which are vital for making decisions on resources
allocation, is not given due importance. This results in inequitable distribution of
available resources among the districts. Moreover, the level of autonomy for spending the
allocated resources (funds) is extremely low at the district level, as a major chunk of the
allocated resources constitutes the salary component. Majority of drugs and other
supplies are supplied from the state without any due consideration to the requirements of
the districts. The donations to the districts that are provided by nongovernmental
organizations and international agencies are mostly in kind. Given the present economic
scenario and privatization, there is a little scope for bringing any improvement in the
process of resources allocation.
(b) Organisation and Management
The health system in a district is organized as per the policy of the state or central
government (as mentioned in Section 1.2). Any external agency has a little role to play in
this regard.
As mentioned above, the district is an appropriate level for bringing coordination
between the policy and implementation level. Therefore, it is essential that the district
health system have a good management structure for effective implementation of primary
health care at the village level. Though policies for effective management have been
developed, the district health managers do not put adequate attention on them. This acts
as a major obstacle during implementation of health care programs framed at the policy
level. It is at the management level, where the interventions could be framed and
improvements in the district health system could be brought about. This forms the basis
of the present project.
1.5. STRENGTHENING DHS IN HOSHANGABAD
It is with this philosophy and background that the Indian Institute of Health Management
Research (IIHMR) submitted a proposal to Royal Danish Embassy (RDE), New Delhi to
undertake the task of Strengthening the District Health System through Management
Interventions in Madhya Pradesh” during June 2000. IIHMR being a WHO collaborating
center on District Health Systems, RDE agreed to fund this project and the agreement
between RDE and IIHMR was signed during July 2000. Initially it was proposed that
Guna district of Madhya Pradesh would be taken as the study area. Later on, the district
was changed because another organization "European Commission" was working in a
similar kind of project in Guna. In order to avoid the duplicity of the activities and misuse
of resources, IIHMR, in consultation with Royal Danish Embassy and Health Department
17
Indian Institute of Health Management Research, Jaipur
Strengthening District Health System in Madhya Pradesh through Management Interventions
of Madhya Pradesh changed the project area from Guna to Hoshangabad. However, the
selection of district was made with commonly agreed criterion:
• District should be compact, moderate in size and accessible thorough rail and bus.
• Population of district and geographical areas should be representative of the state
as such.
• District should have fairly well developed health infrastructure.
• The district health administration should be willing to strengthen its health
system.
The proposed project period was from July 2000 through December 2003.
1.6. CRITICAL MANAGEMENT AREAS
Since the introduction of WHO programme, a number of areas of critical importance for
the success of primary health care strategy at the district level have been identified and
addressed through various interventions.
1. Decentralized Planning: Planning has a key role to play in the management of
health services at district level, as it is the primary function before implementation
of any health programs. Unfortunately in most of the district health systems in
India the top down method is followed. The evidences from different countries
show that in most of the cases the plans are made at the top level and passed on to
the bottom. This results in wastage of financial as well as human resources. This
is an area where the managerial interventions could be designed and implemented
for rectifying deep-rooted old habit of planning process.
2. Health information system: The effective decentralization of planning and
decision-making is dependent upon a sound information base. The development
of a health information system at district level is therefore an important
component of activities aimed at improving management. The critical issues
related to information system include; the use of information already being
produced, the quality of available information, data collection and information
formats and procedures. Unfortunately, in most of the countries including India,
information system is not so well developed and the conclusions drawn from
information received are not fed back to the original source. Though the system of
data generation, dissemination and feedback mechanism already exists at the
district level, practically they are not used at all.
3. Logistics and supply management: Most of the district health systems face
frequent shortage of required Logistics and other supplies. The supply, storage
and distribution of drugs do not follow the prescribed norms. The policy makers
decide the supply of drugs and other consumables and the district health
authorities are given minimum autonomy in this regard. As a result, the district
health authorities take no interest in an appropriate procedure of procurement,
storage and distribution. Moreover, due to poor drug store management, the
wastage is found to be high at all levels of district health system.
18
Indian Institute of Health Management Research, Jaipur
Strengthening District Health System in Madhya Pradesh through Management Interventions
4. Management of human resources / Capacity Building: The development of
human resources and capacity building has its own role in the effective and
efficient delivery of quality health care. Despite its importance, no adequate
attention is paid by the district authorities to conduct training and orientation
programs at regular intervals. This has affected the efficiency as well as the
effectiveness of service delivery to a large extent. Though the district training
centers exist in almost all the districts, most of the district training centers
operates without an annual training calendar.
5. Community involvement in Health: Community involvement in health has
received widespread support and has been accepted as fundamental to health
development. As the clients of health services are from the communities, their
involvement in planning, financing and management of primary health care plays
a vital role in strengthening district health system. Despite numerous activities on
the subject during past one and half decade, wide spread and effective community
involvement is still a long way off and its overall development has been
extremely slow.
6. Quality Assurance: Quality assurance is a relatively new issue in the domain of
district health systems. So far it has been mostly confined to the most obvious
components in such systems, viz., hospital activities, though various meetings
have taken place under the auspices of WHO’s regional offices for South-East
Asia together with the District Health Systems unit of the Organization’s division
of Strengthening of Health Services for focusing the issue of quality assurance of
primary health care activities such as maternal and child health. In most of the
cases, the improvement in quality is understood as expansion of health
infrastructure rather than following the prescribed norms.
7. Intersectoral action: The establishment and functioning of effective, efficient
and equitable district health system, and the implementation of primary care
strategy itself, require the full participation of population and a wide range of
organizations and institutions. Given the present process of decentralization and
increased role of Panchayati Raj institutions, initiatives are to be taken for
involving these people for improving the health care delivery in the district.
Furthermore, the role of non-governmental organizations in the delivery of
primary health care could also not be ignored.
What was attempted in this project?
• As mentioned elsewhere in the document, it is not possible to allocate more
resources to the district health system as the decision regarding the same lies with
the policy makers. Therefore, the present project aimed at maximizing the health
benefits with available resources and did not attempt to fill up the resource gap in
the health system.
• Restructuring the present health care set up was almost impossible within the
limited period. Moreover, redefining the existing management structure and
getting acceptance of the same is almost an impossible task. Therefore, the project
19
Indian Institute of Health Management Research, Jaipur
Strengthening District Health System in Madhya Pradesh through Management Interventions
did not attempt to change the existing management structure, rather tried to
strengthen them with the necessary managerial inputs.
• Since the inception of the concept of district health systems, several International
Aid agencies i.e., Canadian International Development Agency (CIDA), Danish
International Development Agency (DANIDA), Finnish International
Development Agency (FINNIDA), International Development Research Center
(IDRC), Japanese International Corporation Agency (JICA), Narwegian Agency
for International Development (NORAD), Overseas Development Administration
(ODA), Swedish International Development Authority (SIDA) etc., have been
funding for selected interventions for strengthening the district health system in
different countries (WHO 1995). Under this project a comprehensive attempt was
made to address most of the major issues, which could possibly be solved through
management interventions.
To be more specific, the present project had the following objectives:
1.7. OBJECTIVES OF THE PROJECT
Developmental Objective
Managerial Capacity of the district health system developed so that efficiency and
effectiveness of primary health care delivery system is improved within existing
resources.
Immediate Objectives
• Mechanisms for problem identification and designing implementing solutions are
developed and established.
• Key management process e.g., Logistics and supply, Management of Information
System, Human Resource Management etc. are developed and implemented.
• Decentralized planning process and strategy development is established.
• Quality Assurance system is developed and established.
• Approaches to involve PRI’s, NGO’s, Private Sector and Community are
developed.
• Community Financing Mechanisms are tried out in selected areas.
Based on project objectives and activities a logical frame of the activity (LFA) was
submitted to funding agency. The project activities span over a period of three and half
years. Project activities were implemented in two phases. The first phase of the project
was devoted for establishing organizations at various levels for facilitating the project
activities, carrying out diagnostic studies and designing appropriate solutions to the
problems identified through these studies. The second phase, which started in the second
year of the project, was devoted for implementing the strategies and interventions
designed during the first phase.
1.8. ORGANIZATION OF THE REPORT
20
Indian Institute of Health Management Research, Jaipur
Strengthening District Health System in Madhya Pradesh through Management Interventions
The present report gives the details of the interventions carried out during the project
period relating to the management areas mentioned in the above paragraphs. The
organisation of the report is as follows:
The first chapter of the report gives a brief introduction about the project and its
objectives. Various organizations that were set up at state, district and implementing
agency level for facilitating the implementation of the project are described in Chapter 2.
Chapter 3 gives a brief profile of the project area i.e., Hoshangabad. Separate reports on
the problems, interventions and outcomes related to key management areas of the district
health system is presented from Chapter 4 on wards. Chapter 4 gives the details of the
report on Decentralized planning, Chapter 5 on Logistics Management, Chapter 6 on
Health Information System, Chapter 7 on community financing, Chapter 8 on role of
PRIs, and Chapter 9 on quality Assurance. The concluding remarks are given at the end
of the report.
21
Indian Institute of Health Management Research, Jaipur
Strengthening District Health System in Madhya Pradesh through Management Interventions
CHAPTER 2
ORGANIZATIONAL SETUP
2.1. BACKGROUND
In a project, a group of people works together in a particular place to achieve the set
objectives within a limited time. Therefore a prime requirement of any project is to set up
organizations at appropriate levels, which would facilitate the project activities in order to
achieve the goals and objectives of the project in the stipulated time. Given the
importance of appropriate organizational setup, the project established organizations at
State, District, and implementing agency level for effective implementation of the
project.
2.2. STATE LEVEL
In order to assist the project team for the successful implementation of the project and
provide necessary guidelines, the Project Advisory Committee was constituted at state
level under the chairmanship of principal secretary health vide letter no-
3326/3840/2000/2 dated 10th
October 2000. The PAC reviewed the progress of the
project and guided implementation process of the proposed activities
2.3. DISTRICT LEVEL
A similar type of committee named District Implementation Committee (DIC) was
formed at the district level under the chairmanship of District Collector. The order of the
same was issued by District Collector on 22nd
December 2001. The major function of
DIC was to monitor and guide the implementation process of the project.
2.4. PROJECT LEVEL
(a) Core Project Team (CPT)
A team consisting of specialists on different areas was constituted at the Head Office of
the Implementing agency (i.e., Indian Institute of Health Management Research), which
is located at Jaipur. The director of the head office was the team leader. As the team
leader is a busy person, the overall activities of the resident research team were assigned
to a senior professor at IIHMR, designated as Project Coordinator, M.P. The following
responsibilities were assigned to the core project team:
• Visiting the field area at regular intervals for monitoring the activities of RRT
• Assisting the project team for keeping coordination with the state level officials
• Making necessary arrangements for PAC meetings at regular intervals
• As the funding agency was directly releasing the funds to the head office, the CPT
was responsible for allocating the necessary funds for carrying out the activities at
field level.
22
Indian Institute of Health Management Research, Jaipur
Strengthening District Health System in Madhya Pradesh through Management Interventions
• Acting as resource persons for various training programs organized at state,
district and block level.
The progress of the project as well as implementation activities were closely monitored
by the CPT through their frequent visits to the field and meetings with project staff
employed for carrying out implementation activities in the field.
(b) Resident research team (RRT)
For day-to-day operation of the project, project offices equipped with necessary research,
administrative and other supportive staff and necessary logistics were opened at two
places, one at State Capital (Bhopal) and another at the field area (Hoshangabad). The
project office at Bhopal was opened to keep close contacts with the state level officials
and seek their necessary support for the successful implementation of the project. The
office at Hoshangabad was opened to carryout the project activities in the field with the
collaboration of district health authorities. The overall charge of these two offices was
given to project coordinator appointed by the Core Project Team (CPT). All the research
staffs were posted at Hoshangabad for carrying out field activities on a day-to-day basis.
The research staff carried out their activities in their respective areas allocated by the
project coordinator.
The activities of the project staff was closely monitored by the project coordinator on a
weekly basis through their weekly progress report submitted to the project coordinator. In
addition regular monthly meetings of all the project staff were held at the project office
Hoshangabad with all the project staff participating in the meeting. During the monthly
meetings of RRT discussions regarding the difficulties faced at the field and initiation of
the new activities, which could be carried out during the Project period, were discussed.
In addition the RRT was also submitted future activity plan (on monthly basis) to the
project coordinator.
2.5. ORGANIZATION SET-UP AS PER PROJECT'S REQUIREMENT
In order to assess the progress a detailed mid-term review of the project was carried out
by an independent consultant (Dr. T. P. Sharma, Retired Director of Health Services
Government of Madhya Pradesh and Ex-DANIDA Advisor) to identify the areas of
improvement in the operational management of the project. The project was reviewed
based on the proposed Log-frame. As per the review, the organizations, which were set
up at, state (i.e., PAC) and district (DIC) were almost non functional and the involvement
of district health functionaries was minimal. As the desired support from the state as well
as district level committees were lacking, the review suggested to setup organizations at
district, block, sub center and village level with active involvement of the health
functionaries at all levels. In addition, the review also suggested the involvement of
Panchayati Raj Institutions and NGOs in the committees. Accordingly following
committees were formed at various levels for effective project implementation.
(a) District Health Team (DHT) Block Health Teams (BHT)
District Health Team and Block Health Teams were formed to review the performance
and facilitate the implementation of the project at the district and block level respectively.
Chief Medical and Health Officer of the district was given the responsibility of heading
district level team and the responsibility of heading the block level teams was delegated
23
Indian Institute of Health Management Research, Jaipur
Strengthening District Health System in Madhya Pradesh through Management Interventions
to respective block medical officers. The official letters regarding the formation of teams
were issued on 30th
January 2003 vide office order number SN/ASO/03-1123 (for DHT)
and SN/ASO/03-1124 (For BHT). (Annexure –2.1 and 2.2)
The formation of these health teams was expected to provide necessary impetus to the
project through the active involvement of district and block health functionaries.
Therefore these teams consisted of only the major health functionaries from district as
well as block levels. The meetings of DHT as well as BHT held regularly on a monthly
basis. During the meetings the problems related to the implementation of different project
activities were discussed and Team Approach was followed to solve them in a
participatory manner. (Annexure – 2.3)
(b) Sub Health Center Team (SHCT)
To sensitize and involve the Panchayati Raj Institutions in health sector a Sub health
center teams were formed at SHC level. The main purpose of this team is to delegate the
responsibility and ownership of the SHC to the community for proper functioning of the
SHC. Terms of Reference (TOR) for SHCT are given in Annexure –2.4.
(c) Village Health Team (VHT)
To provide better health care services at village level the project formed village health
teams in remote areas. The main aim of the team is to create awareness among the
community about clean environment of their villages focusing on prevention and
promotion. Terms of Reference (TOR) for VHT are given in Annexure –2.5.
2.6. LESSONS LEARNT
1. During the project period it was observed that the PAC took little interest in the
project activities, as the members of PAC were mostly the state level officials
who are usually busy with other works related to health department. As a net
result the Project Advisory Committee (PAC) could meet only twice during the
project period.
2. The district collector was the chairperson of DIC. The collector being a busy
person, the meeting of the DIC could be held only twice. Moreover, the
involvement of district and lower level health functionaries in a meeting chaired
by the District collector created embarrassing situations for health functionaries.
3. It was therefore felt that in a district health systems project the direct involvement
of health functionaries could make the implementation process easier. Our
experience from the project gives us strong evidence that setting up of project
organizations at the district level with the involvement of health officials at
district and block level is more effective way of managing a district health
systems project. Carrying out the implementation activities through the formation
of DHT, BHT was easier as the cooperation at the district level was found to be
more.
4. The implementation activities could be better carried out with the help of
Panchayat Raj institutions and community through the formation of SHCT and
VHT.
24
Indian Institute of Health Management Research, Jaipur
Strengthening District Health System in Madhya Pradesh through Management Interventions
2.7. CONCLUSION
There is no doubt that the formation of committees at state and district level with the
administrative authorities as chairpersons could provide support for effective
implementation of district health systems project. Unfortunately, as these administrative
authorities are usually busy, it is difficult to get their support in time. Therefore, from the
beginning of the project, more importance should be given to district health authorities
and the project organizations should involve the people from the health department of the
district rather than policy makers. Needless to add that the organisation, planning,
monitoring and implementation of the project activities still lies at the hands of the
implementing agency. For the successful implementation of the project, the team
members should be adequately trained on project management and should be made clear
about the aims and objectives of the project.
25
Indian Institute of Health Management Research, Jaipur
Strengthening District Health System in Madhya Pradesh through Management Interventions
ANNEXURE – 2.1
TERMS OF REFERENCE FOR DHT
Composition: Order issued by CMHO
Terms of Reference
• Meet once a month on first Monday
• Review and Monitor the progress of the previous month
• Prepare a Plan of Action for the district according to the project LFA. The district
plans will be based on the block plans
• The District Health Team will maintain the minutes of its meeting and prepare a
monthly progress report
• The Project Co-coordinator will act as a facilitator and help the district Health
Team in implementing the action plan
Activities at the district
(a) District Drug Store
• Cleanliness
• Renovation
• White Washing
• Provision of Almirahs and racks
• Training of Store officers in drug store management
• Record keeping which includes provision of registers
• The Medical officer in charge of stores will do a weekly check
(b) Management of Information System
• Training of ASO and sector supervisors along with computers from the block
Information analysis, gathering, recording, reporting and feedback
• Provision of registers
• Installation of computers at block level
• Training of ASO and computers in computer management
• Registers to be supplied for record keeping of hospital (OPD/lab etc)
(c) Human Resources Development
• Problem Solving meetings-Class IV, Class III and Class II staff at district level
• Maintenance of Attendance register
• Maintenance of TA claim register
• Maintenance of Medical Claim register
• Provision of registers
26
Indian Institute of Health Management Research, Jaipur
Strengthening District Health System in Madhya Pradesh through Management Interventions
27
Indian Institute of Health Management Research, Jaipur
Strengthening District Health System in Madhya Pradesh through Management Interventions
ANNEXURE – 2.2
TOR FOR BLOCK HEALTH TEAMS (BHTS)
Composition: Orders issued by CMHO
Terms of Reference:
• Meet once a month on fixed days
• Review and Monitor the progress of the previous month
• Prepare a Plan of Action for the block according to the project LFA.
• The Block Health Team will maintain the minutes of its meeting and prepare a
monthly progress report
• The Research officer will act as a facilitator and help the Block Health Team in
implementing the action plan
Activities
(a) Block Drug Store:
• Cleanliness
• Renovation
• White Washing
• Provision of Almirahs and racks
• Training of Store officers in drug store management
• Record keeping, which includes provision of registers
• The Medical officer in charge of stores will do a weekly check
(b) Management of Health Information System
• Training of sector supervisors along with computers from the block in
information, gathering, recording, reporting and feedback
• Provision of registers
• Installation of computers at block level
• Training of computers in computer management
• Registers to be supplied for record keeping of hospital (OPD/lab etc)
(c) Human Resources Development
• Problem Solving meetings-Class IV, Class III and Class II staff at block level
• Maintenance of Attendance register
• Maintenance of TA claim register
28
Indian Institute of Health Management Research, Jaipur
Strengthening District Health System in Madhya Pradesh through Management Interventions
• Maintenance of Medical Claim register
• Provision of registers
(d) Sub center Level
• Identify five sub centers with government building and MPW for cleanliness/
renovation/provision of registers/white washing/provision of furniture/almirahs
and racks/drinking water/delivery rooms/fencing with the help of gram Panchayat
and community financing
• MIS: Training of MPW and supervisors in information analysis, gathering,
recording, reporting and feedback in each block at the sector level
• Efforts to be made to get one sub center constructed with the help of PRI and
community financing
• Training in utilization of Sub health center maintenance and utilization of
equipment
(e) Sector Level
(i) Sector level meetings to be conducted in each section in rotation
(ii) Supervisors will check the logistics/records and will prepare a checklist
for supervision
29
Indian Institute of Health Management Research, Jaipur
Strengthening District Health System in Madhya Pradesh through Management Interventions
ANNEXURE – 2.3
GUIDELINES FOR DHT AND BHT MEETINGS
Objective
Objective is to improve performance through a Team Approach by identifying problems
arising out of the day-to-day work situation and finding solutions / Managerial
interventions to solve the problems.
Need for DHT- BHT:
• One of the basic things for decision-making is the recognition and definition of
problem.
• DHT-BHT meetings are held regularly on a fixed day of every month.
• During the interval between two scheduled meetings, effort should be made to
collect information and ideas needed to develop the agenda for the coming (Next)
meeting.
• It depends on the Team Leader to make the meeting interesting enough for his
team to attend.
Agenda
• The agenda for the meeting should be prepared and circulated to all members
sufficiently in advance, so that the staff members can come prepared to the
meeting and contribute to the achievement of the objectives.
• It is essentials to stick to the agenda including starting and ending the meeting on
time.
Participation of Team Members
The team members should study the agenda and note the objectives to be achieved by
sharing their experience during the meetings. The members should feel free to make
suggestions and state opinions to facilitate the progress.
Suggestions to make DHT-BHT meeting more interesting, meaningful, and
effective:
• RRT members should impress upon the team leaders of DHT and BHT about why
the DHT-BHT has been formulated and the functions of DHT-BHT.
• Build up the leadership qualities of the DHT-BHT leaders. This can be done if
RRT members have a regular dialogue with the team leaders informally,
communicate with them, and build a rapport with the DHT-BHT.
• Decisions taken at the DHT-BHT meetings should be followed up and an action
taken report should be prepared and circulated along with the agenda, for the next
meeting the follow up should be done essentially by the DHT-BHT members but
RRT should supervise help and guide the members.
RRT members should ensure that:
• Agenda is prepared,
• Action taken report is prepared,
• Minutes of the last meeting and decisions taken are circulated in advance to the
members of DHT/BHT.
30
Indian Institute of Health Management Research, Jaipur
Strengthening District Health System in Madhya Pradesh through Management Interventions
ANNEXURE – 2.4
TOR FOR SUB HEALTH CENTER TEAM (SHCT)
Constitution
Sub health center team constituted by the order from the BMOs of respective blocks.
Composition
• Health Supervisor’s
• MPW’s
• JSR
• AWW
• Trained Dai
• The Sarpanch or Panch of the village shall lead the SHC team, where the SHC is
located.
Terms of Reference (TOR)
The SHC team shall meet every month and discuss problems of:
• SHC Maintenance
• Drug Store
• MIS (Analysis of Form-6)
• HRD problems
• Coordinate with JSR/AWW/Trained Dai
• SHC team shall address the Gram Sabha on following issues
 Hygiene
 Sanitation
 Safe water
 MCH
• Check records and reports to be sent.
The Field officer of SDHS project shall be present during the SHC team meeting and help
and guide the SHCT. A register shall be provided by the SDHS project for maintaining
the record of SHCT meeting at the SHC.
The Field officer shall report separately to the SDHS project about the decisions taken at
the meeting.
The Research Officer to ensure that the order of the same is issued by the BMOs and
regular meetings of team members are held
31
Indian Institute of Health Management Research, Jaipur
Strengthening District Health System in Madhya Pradesh through Management Interventions
32
Indian Institute of Health Management Research, Jaipur
Strengthening District Health System in Madhya Pradesh through Management Interventions
ANNEXURE – 2.5
TOR FOR VILLAGE HEALTH TEAM
Background
Government of Madhya Pradesh has taken a policy decision to have a -
 Trained Dai in the every village
 Trained Jan Swasthya Rakshak in every village
 Trained Anganwadi Worker in every village
Government of Madhya Pradesh is one of the few states to Establish Panchayat Raj in the
state. In addition, has decentralized health administration and management to the Gram
Panchayat.
Reduction of Infant Mortality Rate and Maternal Mortality Rate is one the priority of the
Government of Madhya Pradesh
Strengthening District health System project. (SDHS)
• The District comprises of villages. Some of these villages are unapproachable and
difficult to reach. The nearest health facility might be kilometers away.
• The SDHS project has been in operation since July 2000. The very name of the
project signifies the objectives of the project “Strengthening District Health System”
• SDHS endeavors to achieve its objective by identifying the health problems and
finding local solutions to solve the problems with local efforts through Team
Approach.
District Block and SHC health teams have been formed.
An effort is being made to form a Village Health Team so that people in the village can
identify their own health problems and find solutions to solve them.
Responsibility: NGO
Compositions: Panch, JSR, AWW, Trained Dai, NGO representative
Criteria for Selecting the Village
• It should be difficult to reach village
• It should be at least 3 Km. away from nearest health facility.
• The people are informed about the formation and TOR of the VHT.
33
Indian Institute of Health Management Research, Jaipur
Strengthening District Health System in Madhya Pradesh through Management Interventions
Terms of Reference (TOR)
• VHT shall meet initially to identify the health problems and issues of the village
and inform the same to health workers (MPWs)
• VHT shall try to find local solutions by discussing with people and in Gram
Sabha.
• With the co-operation of the people a Village Health Center shall be opened.
• VHC shall be operated by JSR/AWW and trained Dai every morning.
• A list of medicine shall be supplied from the CHC. (Responsibility- Project staff
during the project period and Health workers after the Project)
• Basic equipments required are kept in the JSR kit and Trained Dai kit. AWW also
has been supplied a kit.
• VHC shall also act as a Depot Holder and should have the following:
 Bleaching Powder
 ORS
 Chlorine Tablets
 Chloroquine Tablet
 Nirodh etc.
34
Indian Institute of Health Management Research, Jaipur
Strengthening District Health System in Madhya Pradesh through Management Interventions
CHAPTER 3
HOSHANGABAD DISTRICT: A PROFILE
3.1. BACKGROUND
Before entering into the details of the activities carried out under the project, a brief
profile of the district is highly essential, as it would act as a background material on
justifying various interventions carried out under this project. The present chapter gives a
brief profile of the district, which will help the reader in understanding the general, socio
economic, demographic, and health profile of the district.
3.2. PROFILE OF THE DISTRICT
3.2.1. General Profile
The district of Hoshangabad is situated in the southern part of the state of Madhya
Pradesh. The district is topographically marked by hilly and forests terrain covering
nearly 50 per cent of the district. The climate of the district is monsoon tropical one, with
high forest cover of around 45 per cent rendering a typical hot and humid effect. The
district usually has a high rainfall with around 700 to 900 mm in average per annum. The
annual range of temperature varies between a high 45’ C to a low 8’ C except Panchmarhi
35
Indian Institute of Health Management Research, Jaipur
Strengthening District Health System in Madhya Pradesh through Management Interventions
where the temperature lies between 1 to 2’C during the winter. One of the most beautiful
places in Madhya Pradesh and the most famous tourist attraction is Panchmarhi.
Popularly known as the “Queen of the Satpuras”, Panchmarhi is situated in the
southeastern flanks of the district adjoining Chhindwara district. The place is famous for
its Mystique Mountains, dense tropical deciduous forest rich in flora and fauna.
The administrative headquarter of the district is located at Hoshangabad town. The
district is administratively divided into seven blocks. There are eight towns in the district
with the population ranging from 14000 to 120,000. The rest of the population is spread
over 935 villages (Table 3.1).
Table 3.1: Administrative units and towns in Hoshangabad District
Blocks Towns Assembly Segments
Seoni Malawi Hoshangabad Hoshangabad
Kesla Itarsi Itarsi
Dolariya Pipariya Pipariya
Babai Babai Seoni-Malwa
Sohagpur Sohagpur
Pipariya Tawanagar
Bankhedi Seoni-Malwa
Panchmarhi
Source: The Encyclopaedia District Gazetteers Handbook of India, 1997
3.2.2. Socio-Demographic Profile
Hoshangabad is spread over an area of 8370 sq. km with its share of 1.8 per cent of the
total population of Madhya Pradesh. Hoshangabad is one of the 14 districts where the sex
ratio as per the 2001 census in less than 900 (898) and ranks 32nd
in the overall rankings
of districts in the state. Hoshangabad also ranks 32nd
in term of the population size in the
state (10,85,011). Rankings by population density (number of persons per square km), the
district ranks 29th
(162) in the state. The decadal growth rate of population of the district
is 22.40 per cent. Table 3.2.
In the district literacy rate is very low among the women i.e. 58.02 per cent women are
literate. A rural urban comparison of the figures gives an indication that only 48.91 per
cent are literate among the rural population. Due to illiteracy associated with unmet needs
among the couple, couple protection rate is also low which is just 48.5 per cent. Because
of non-approachability and low accessibility to family planning methods, the birth rate of
the district is 27.9 per thousand. As per 2001 census figures, maternal morality rate is
four per thousand live births and infant mortality rate is 92 per thousand live births and
couple protection rate is 48.5 per cent (Table 3.2).
36
Indian Institute of Health Management Research, Jaipur
Strengthening District Health System in Madhya Pradesh through Management Interventions
Table 3.2: Socio-demographic profile of Hoshangabad district
Characteristics Hoshangabad State
Population 2001
Total Persons
Male
Female
Rural Persons
Male
Female
Urban Persons
Male
Female
10,85,011
5,71,796
5,13,215
7,96,085
4,83,608
4,37,087
2,99,545
1,62,711
6,03,85,118
31,456,873
2,89,28,243
5,08,42,333
2,61,64,353
3,46,77,980
1,53,38,837
81,02,940
7,23,597
Population (0 to 6 yrs)
Total
Males
Females
172,326
89,423
82,903
106,18,323
550,04422
511,3901
Sex Ratio 898 920
Area (sq.km.) 8,370 1,73,054
Population Density 1991
(persons/sq.km) 2001
132
162
158
196
Decadal Growth Rate (1991-01)
%
+22.40 +24.34
Distribution of Sch. Caste % 16.3
Distribution of Sch.Tribe % 17.4
Crude Birth Rate (CBR) per
1000
27.8 31.9
Total Fertility Rate (TFR) 5 4
Couple Protection Rate (CPR)
%
48.5 38.51
Crude Death Rate (CDR) per
1000
8.0 11
Infant Mortality Rate (IMR) per
1000 live births
92 94
Maternal mortality rate per
1000 live births
4 per thousand
Still Birth Rate 234 Not Available
Abortion rate 324 Not Available
Life expectancy at birth 55 Not Available
Age at Marriage (F) 15-19 15-19
Literacy rate
Persons
Male
Female
70.36
81.36
58.02
64.11
76.78
50.28
Source: Census 2001,provisional totals, Vital statistics GoMP1998
37
Indian Institute of Health Management Research, Jaipur
Strengthening District Health System in Madhya Pradesh through Management Interventions
3.2.3. Socio Economic Profile
The predominant occupation in the district is agriculture as more than 70 per cent of the
households depends on this activity for their livelihood. In spite of strong climatic
variations and the dense forest cover, the region has shown some progress on agriculture
due to the improved irrigation, fertile soil and high rainfall. The major crops of the region
are; Soybean, Rice, Wheat and Jawar and Vegetables and Grams (Table 3.3).
Table 3.3: Agricultural Production in Hoshangabad (1989- 99)
Crops Area
(In hectare)
Production
(In Metric tons.)
Average Yield
(Kg. per hectare)
Wheat 159825 280278 1827
Rice 11466 11645 1069
Soybean 1175 67450 716
Gram and Vegetables 1075 NA 714
Jawar 23180 22687 979
Source: The Encyclopedia District Gazetteers Handbook of India (1997) and Krishi Vigyan Kendra,
Hoshangabad (1999-2000)
Hoshangabad is a relatively better off district in the state. This is reflected in the
estimated rank of the district in terms of human development index, which ranks districts
according to their performance with reference to selected indicators (education, health
and income etc.). According to a recently published report on the state's human
development, Hoshangabad ranks 13th among all the districts. However, the picture is
not so impressive when one looks at the Gender related development index (GDI), which
takes into account women's status in education, health, and job opportunities vis-à-vis its
male counterpart. According to the same report, Hoshangabad ranks 28th in Gender
related development Index.
3.2.4. Health Scenario
A study on burden of disease was carried out in the district during May 2001 in order to
find out the mortality and morbidity due to various diseases in the district. The key
conclusions of this study are mentioned below:
• Acute morbidity load was found to be higher in rural areas as compared to urban
areas, which may be due to poor sanitary condition, illiteracy and low socio-
economic status, but chronic morbidity load was found to be higher in urban
areas.
• Acute respiratory infection was found to be more common among the acute
diseases and cataract was more common amongst the chronic diseases in the
surveyed population.
• Acute morbidity was found to decrease and chronic morbidity was found to
increase with increase in age.
• Malaria was found to be a major problem in this district with 31.03 per cent of the
Malaria slides tested positive out of 116 peripheral blood smears collected in this
survey.
38
Indian Institute of Health Management Research, Jaipur
Strengthening District Health System in Madhya Pradesh through Management Interventions
• Anaemia was found to be more common problem in females. Vitamin - A,
Vitamin - B, Vitamin - D deficiency was found to be higher in males as compared
to females.
• Mortality in Hoshangabad was found to be 8.37 per 1000 population, which is
less than the national figure. Main cause of mortality was found to be cardiac
diseases in urban area and Diarrhea in rural areas.
3.2.5. Health Care Delivery System
To provide better health services to the people Government health department
established one district hospital at Hoshangabad, two civil hospitals; one at Itarsi and
other at Panchmarhi. These are the large hospitals having all the indoor and outdoor
facilities. Apart from this seven block primary health centers are established in seven
developmental blocks, thirteen primary health centers at sector level and one hundred
fifty three sub health centers are operational in the district. Along with this, the Indian
System of Medicines has also established 34 institutions in this district. Moreover,
around 25 private nursing homes are also operational in the district
The organizational structure of the healthcare delivery system is similar to Madhya
Pradesh. However, in the absence of any medical college in the district, the district has a
two tier health care delivery system with PHCs and sub-centers at the bottom and the
district hospitals at the apex.
3.2.5a.Primary Health Care
The primary health care in the district is delivered through the community health centers
primary health centers and sub-centers. The Chief Medical and Health Officer (CMHO)
of the district manage this component of the health care. He manages the planning and
monitoring of various national and state level programs related to primary health care.
Table 3.4: Block wise distribution of number of CHCs, PHCs and SHCs in
Hoshangabad
Blocks CHC/BPHC Number of
sectors
Sector PHC Sub Health
Centers
Babai 1 5 1 19
Bankhedi 1 4 1 16
Dolariya 1 4 2 18
Pipariya 1 4 1 22
Seoni Malwa 1 7 3 26
Sohagpur 1 5 3 19
Sukhtawa 1 7 2 33
Total 7 36 13 153
Source: The Chief Medical and Health Office, Hoshangabad.
39
Indian Institute of Health Management Research, Jaipur
Strengthening District Health System in Madhya Pradesh through Management Interventions
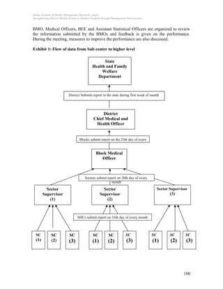
Exhibit 3.1: Organizational chart of primary health care delivery system in
Hoshangabad
40
Chief Medical Health Officer
District Program Officers
Immunization
RCH
Training
Community Health Centers
Block Medical Officer
Sector Level PHC
MO In-charge
Block Level PHC
With PP & FRU Units
ANM and MPWs functioning at the
sub center level for implementing
various health programs at village
level
TB
Leprosy
Indian Institute of Health Management Research, Jaipur
Strengthening District Health System in Madhya Pradesh through Management Interventions
The Chief Medical Health Officer (CMHO) heads the district health system supported
by a team of District Program Officers, District Health Officers and other key officials in
the district. Exhibit 3.1 shows the organisation of primary health care delivery system in
the district. Number of health care institutions (location wise) and other statistics related
to primary health care is given in Tables 3.4.
3.2.5b.Secondary Level Health Care
District Hospital of Hoshangabad is running in a 200 years building located in the heart
of the town. It is a 140-bedded facility with miserable infrastructure. A recent facility
survey by Indian Institute of Health Management Research indicates that the hospital
suffers from various problems such as lack of staff and equipment, poor waste disposal
and MIS system, corruption and malpractice by staff, repetitive political interference and
the consequent frequent staff transfers etc. As a result, the utilization as well as the
quality has come down simultaneously.
On the other hand, the Civil Hospital Itarsi (named as Jan Sewa Roganalay, Itarsi) has
shown commendable progress in the delivery of referral services in the recent years. It
provides specialized services in the fields of Surgery, Medicine, and other important
specialties. The utilization of the services has been high because of good leadership,
motivated manpower and over all initiative of the hospital staff to make the hospital as a
pioneer institution in the district. In addition, the hospital has set an example for
resource generation through user fees. Recently the hospital has been able to open its
own blood bank through the funds generated by its Rogi Kalyan Samittee.
Civil hospital Panchmarhi has received a step motherly attitude by the health authorities.
The hospital is one of the most neglected referral units in the district with lack of
manpower and necessary resources. Though the hospital covers a larger catchment area,
the utilization of the services is very poor.
3.2.6. Health Manpower Position
In the district, total 657 health staff is posted against the sanctioned post of 773. For the
administration and implementation of the programs one Chief Medical and Health
Officer (CMHO) is posted in the district supported by one district health officer and civil
surgeon. In addition, seven programme officers are posted at district level and held
responsible for managing various national programs. To provide the services at grass root
level seven Block Medical Officers are posted in seven blocks who are supported by 10
sector level medical officers. To provide the health services at village level 304 multi
purpose health workers (male/Female) are posted at sub center levels, who are supervised
by 56 health supervisors (male/female). Table 3.5
41
Indian Institute of Health Management Research, Jaipur
Strengthening District Health System in Madhya Pradesh through Management Interventions
Table 3.5: Manpower availability in Hoshangabad District
Category Posts Sanctioned In Position Vacant
1. Medical officer 82 72 10
2. Specialists
a) Anesthetist 0 0 0
b) Gynecologist 4 3 1
c) Pediatrician 3 3 0
d) Pathologist 0 0 0
e) Dental Surgeon 0 0 0
f) Gen. Surgeon 4 2 2
3. Staff Nurses / Mid Wife 58 58 0
4. Pharmacist/Compounder 35 28 7
5. Lab Tech/ Lab Asst. 33 31 2
6. Radiographer 8 7 1
7. Computer 7 8 1
8. Driver 19 19 0
9. Paramedical Supervisor
a) Malaria Inspector 5 5 0
b) BEE 7 4 3
c) PHN/LHV 35 38 0
d) HA 0 0 0
Multipurpose workers
a. Male 155 141 14
b. Female 189 184 5
Source: Records from CMHO’s Office Hoshangabad
3.2.7. Utilization of Health Services
As a result of lack of adequate infrastructure associated with obvious managerial
problems related to Logistics and supply, quality of care, human resources have largely
contributed to the poor utilisation of government health care services in the district.
Though the detailed data on lower level facilities such as PHCs and sub centres were not
available, an attempt was made to collect the information at CHC level and above. The
details of the 10 major facilities available in the district and their performance as per the
performance indicators are given in Tables 3.6 and 3.7.
42
Indian Institute of Health Management Research, Jaipur
Strengthening District Health System in Madhya Pradesh through Management Interventions
Table 3.6: Utilization of various services provided by the government run health facilities in Hoshangabad district
Indicators Babai Sohagpur Pipariya Bankhedi Dolariya Seoni
Malwa
Sukhtawa CH
Panchmarhi
JSR Itarsi DH
Hoshangab
ad
No. of OPD attendance 31561 * 95377 34621 8727 21972 14044 39385 123233 102122
No. of hospital admissions (IPD) 880 1818 3076 - 140 1347 437 464 10408 9504
No. of Emergency admission - * - - 140 - 91 464 - -
No. of Minor Surgeries 181 467 - - 14 - 128 - 465 335
No. of Major Surgeries 700 515 - 491 - - - - 346 236
No. of Deliveries Conducted 398 615 1119 142 31 263 45 34 - -
No. of Cesarean Sections - - - - - - - - 235 131
No. of Blood Examination 18088 71 29908 21998 - 24752 - 2224 8604 5505
No. of Sputum Examination 117 172 426 780 16 465 - 94 - -
No. of Stool Examination - - - - - - - 11 56 11
No. of Urine Examination 700 550 2681 278 - 1002 - 602 2588 1944
No. of X-ray Examination 156 - 1030 460 - 691 - - 1426 2578
No. of ECG Examination - - - - - - - -- 415 316
No. of Ultra Sound examination - - - - - - - - - -
No. Blood Bottles made available for
transfusion
- - - - - - - - - -
No. Patients Discharged
Discharges after medical advice (DAMA)
Regular Discharge
880 2052
- 2600
2600
140
1011 358
- - -
Postmortems Performed 40 44 95 49 1 73 - - 160 -
*Figures not made available by the hospital authorities.
3.7: Value of various performance indicators (block wise and other hospitals) in Hoshangabad district
Indicators/
Year
Name of the Blocks
Babai Sohagpur Pipariya Bankhedi Dolariya
BOR BTR ALS BOR BTR ALS BOR BTR ALS BOR BTR ALS BOR BTR ALS
2001-02 60.9 88 2.53 31.9 90.9 1.28 63.6 76.9 3.02 25.8 86.7 1.1 6.36 0
Seoni Malwa Sukhtawa CH Panchmarhi JSR Itarsi DH Hoshangabad
36 44.9 3 * 14.56 * 106.9 65.1 6 111.6 67.8 6
43
Indian Institute of Health Management Research, Jaipur
Strengthening District Health System in Madhya Pradesh through Management Interventions
3.3. CONCLUSION
The major intention of this chapter was to give a brief profile of Hoshangabad district,
which would help us justifying it as an appropriate district for intervention area. In this
context the general, socio economic, socio demographic, health scenario, status of health
care delivery system and the utilization of health services at various institutions of the
district was presented. A detailed look at the indicators given in this chapter gives us the
indication that the district is; moderate in size, representative in terms of its population
and geographical areas, having fairly well developed health infrastructure, thus justifying
its appropriateness for the implementation of the project. Moreover, the experiences from
the district can act as a model for other districts of the state as well as the country.
44
Indian Institute of Health Management Research, Jaipur
Strengthening District Health System in Madhya Pradesh through Management Interventions
CHAPTER 4
DECENTRALIZED HEALTH PLANNING
4.1. BACKGROUND
The district health plan is an archive of policy decisions and modus operandi for the
functions of the district health services vis-a-vis the health programs that are to be
followed in the year ahead. It contains the strategies to be followed, the areas of concern,
as well as the strategies to improve the delivery of health services in the district. Like
any other plan the district health plan states the areas where the health programs and the
health service delivery have to be strengthened. The objectives of the district health plan
are as follows:
• To plan for the health services as per community’s need. Therefore, the essential
pre condition of a decentralized district health plan is the involvement of the
community and lower level health functionaries in the process of plan
formulation.
• To identify the functional areas where the district health system has to improve
upon it’s performance chalked out from previous years achievements and other
performance indicators
• To identify the problem areas where the previous years have shown relatively
poor performance in achieving the targets as set and stressing on to improve the
performance in terms of equity, efficiency and coverage
• To plan better management of the health services delivery in terms of cost
efficiency, logistics, manpower planning, quality assurance, etc.
• To reduce the burden of diseases in the community and bring better and efficient
health services within the reach of all members of the community, particularly
the disadvantaged sections
• To introduce more and more micro planning and enhance decentralization so that
the community based and community specific health care needs can be met; and
• To set carefully benchmarked achievable targets for the district in terms of
delivery of services and to consider the scope of improvement in the programs
continuing in terms of quality and micro planning.
Under the Royal Danish Funded “Strengthening District Health Systems” project an
intervention was carried out by Indian Institute of Health Management research, the
implementing agency, to initiate decentralized health planning process in Hoshangabad
district. The present report describes the whole process of preparation of district health
plan, its implementation and monitoring and the outcomes of the process. The succeeding
Section describes the objectives of the present intervention. Section 4.3 deals with the
existing health planning process and their problems in the district. Section 4.4 gives a
45
Indian Institute of Health Management Research, Jaipur
Strengthening District Health System in Madhya Pradesh through Management Interventions
detailed outline of the interventions undertaken in this regard and the outcomes of the
intervention are presented in Section 4.5. Lessons learnt and sustainability of the
activities initiated under this project is described in Section 4.6. The report ends with
some concluding remarks, which are useful for future researchers.
4.2. OBJECTIVES
As could be seen from the next section that the decentralized planning is already
incorporated in the current health sector reform process. Unfortunately, due to one reason
or other, the concept of decentralization is not incorporated while preparing the annual
health plans for the district. The present project did not make any attempt to introduce
any new planning tool or format, rather, it attempted to systematize the existing tools and
guidelines in order to improve the present planning process and prepare a realistic plan on
the basis of ground reality. Therefore the basic objective was to prepare the district health
plan with a bottom up approach, starting from sub center to the district; discuss the same
with the district authorities, implement the plan in the field and assess the results of this
effort. Following objectives were set in order to make this intervention successful and
effective:
1. Orientating the health functionaries towards decentralized planning process
2. Develop and initiate decentralized planning process within the district health
system in collaboration with the health functionaries at various levels
3. Prepare the district health plan in collaboration with the health functionaries at
various levels and getting them officially approved
4. Share the plan documents at all levels (sub center, block and district) and develop
appropriate strategy for its implementation
5. Implementing the plan in the field and assess the change in the system
4.3. PLANNING PROCESS – PROBLEMS AND ISSUES
Before describing the interventions undertaken by the project team with regard to
decentralized planning it is necessary that a few lines on the existing planning process is
described and problems identified. It is equally important to note that no diagnostic study
was conduced by the project team with regard to decentralized planning. The problems
were identified in a participatory approach through the interactions with district and block
health authorities and health workers at grass root level.
4.3.1. Background of Planning
When the family planning program was initiated in the 1970’s, the stress was purely on
sterilization. Since this met with a lot of resistance, the Family Welfare program was
started from 1985-90. The Child Survival and Safe Motherhood Campaign (CSSM) were
implemented from 1992-93. This was ultimately replaced with the Reproductive Child
Health (RCH) program in 1994 with emphasis on providing the right choice of
contraceptives to eligible couples to stabilize the population growth rate. Initially, the
trend was to set the targets, which used to flow from the top to bottom but soon it was
realized that this approach had major flaws namely-
46
Indian Institute of Health Management Research, Jaipur
Strengthening District Health System in Madhya Pradesh through Management Interventions
• If the beneficiary is not provided with the contraceptive of his choice, then it is
difficult to achieve the targets set in this regard.
• Quality of service provided is of poor standards
• Manipulation of targets by the health workers at the grass root level
Considering the above points, the ‘Target Free approach’ was initiated in April 1996.
Though the concept of Target Free Approach and subsequently the Community Needs
Assessment Approach is being articulated since 1996, it has not been appreciated in the
true sense and has not percolated down to grass root level health workers. For example,
the average health worker still perceives the targets as being set from the top. He/she has
to get the target figures for himself/herself from the higher authorities and meet them
within a stipulated time. It is necessary to understand that “Target Free” does not mean
that no targets would be set. Instead, the MPW posted at the sub center now have the
responsibility of formulating the targets at the beginning of the year in active consultation
with the PRI representatives, which would then be consolidated at the PHC, CHC and the
District level. This simply indicates that the plans are to be prepared at the grass root (sub
center) level and flow to higher levels. Though the above changes have already been
made at the policy level, the district health authorities have not realized the importance of
the same and never tried to update themselves with the policy change. To be more
specific the following problems were identified relating to decentralized planning:
• The concept of target free approach have either not been understood by the
higher-level health officials of the district / they do not want to change their old
habit of setting the targets from the top level.
• The top (district level) health officials set their targets by making a 10 per cent
increase over the past years’ performance2
which is usually a faulty approach
• At no level of plan formulation the health functionaries are consulted. This
resulted in an over/under estimate of the actual situation.
• As the lower level health functionaries are not involved in the process of plan
formulation, the plans prepared before the initiation of the project were not need
based. Rather the target based planning, with the targets set at higher level was
followed.
• No mechanisms are established at district or block level to monitor the activities
of the lower level health functionaries. This resulted in false / under reporting of
the actual situation thus, creating another loop hole in the management of health
information system
2
The performance data usually obtained from the health functionaries suffers from the following drawbacks:
• At each level the data on various indicators are collected and compiled only to send them to their respective higher authorities
without verifying the accuracy and the utility of the data being collected. This has ultimately led to inflation and exaggeration of
figures at all levels in order to show higher performance.
• Feedback system is extremely poor at all the levels. The supervisors do not give any feedback to the health workers on accuracy
of data generated. In similar fashion, there is no feedback from BEE to supervisors and so on.
• No attempt to establish relationship between MIS and output achieved
• Lack of resources (especially stationery at the section and sector level)
47
Indian Institute of Health Management Research, Jaipur
Strengthening District Health System in Madhya Pradesh through Management Interventions
Thus, there is dilution of the basic philosophy of decentralized planning and the same is
transmitted to the lower level.
4.4. INTERVENTIONS
The interventions initiated by the project team aimed at addressing the above-mentioned
problems.
Formulation of sub center level health plan being one of the basic objectives of
Decentralized Planning, it requires that the health system functionaries right down to the
grass root level be oriented and sensitized in this regard. Therefore, the interventions
aimed at:
• Orientation and Capacity building of health functionaries on preparing health
plan with a bottom up approach – Guidelines for preparation of decentralized
district health plan.
• Compilation of sub center plan to Block and District Health Plan and sharing
workshops
• Monitoring the planned activities and preparation of guidelines for monitoring
and supervision
INTERVENTION 1: ORIENTATION AND CAPACITY BUILDING OF HEALTH
FUNCTIONARIES ON DECENTRALIZED PLANNING
PROCESS
(a) Trainings and Workshops outside the District
At initial phase of the present intervention, there was severe resistance from district as
well as block level health authorities to change the existing process of planning. A 5 days
Training cum workshop was organized at Jaipur to orient them about the decentralized
planning process. The workshop was attended by the Health officials from the district as
well as the Block Medical Officers from different blocks of the district.
As Health Information System is closely linked with planning, during the Training
Workshops on MIS, the district as well as block level health functionaries were oriented
on preparation and benefits of decentralized plan. This training was conducted at Bhopal
and the participants were organized in three batches (three days training to each batch).
Sector Medical Officers, Health Supervisors, BEE's and staff dealing with the data
section in CMHO office participated in the training program, which was conducted in
Bhopal.
(b) District level workshops
Two workshops cum training programs (one for District Health Team and Block Health
Teams, and another for the major health functionaries at the block level dealing with
planning) were organized at District Training Center, Hoshangabad for orienting the
health functionaries on appropriate MIS and importance of decentralized planning for
appropriate delivery of health care.
48
Indian Institute of Health Management Research, Jaipur
Strengthening District Health System in Madhya Pradesh through Management Interventions
(c) Block Level Workshops
During the project period, the project team attended all the monthly meetings, which are
usually held at block headquarters. As all the health functionaries of the block attend this
meeting, it was used as a forum for imparting necessary training to all the block level
health functionaries on decentralized planning. As the planning process starts during
March-April of each year, the trainings were imparted in the monthly meetings of March
and April during the project period.
(d) Sector Level Workshop cum Training Programs
In order to seek active participation of the lower level health functionaries (health
supervisors and workers), the project team put substantial effort to conduct the training
programs at the sector headquarters of each block. Training of the grass root level
multipurpose workers (male and female) was carried out subsequent to the training
program at Bhopal and Block Headquarters. Consent and support was solicited from the
Block Medical Officers and Block Extension Educators in this regard. At some blocks,
the supervisors also acted as trainers for these training programs. The project team did
overall coordination of the training programs at sector level. The training programs were
conducted in a participatory manner. The active participation of the lower level health
functionaries was solicited through understanding their field level problems and finding
out local solutions to them (Details are given in Annexure - 4.1.). As per the guidelines
of government of India, the sub center level planning for the year ahead is submitted
through Form 1. Therefore, the major focus of the training was to explain the participants
on the details of Form 1. Accordingly, Form 1 was distributed among the participants and
the definition of each row in the form was explained to them. The method of estimating
the figures for each column in Form 1 was explained to them in detail. Annexure - 4.2.
gives the details of the training imparted on decentralized planning at sector level and the
guidelines provided to them in this regard.
INTERVENTION 2: COMPILATION OF SUB CENTER PLAN TO BLOCK AND
DISTRICT HEALTH PLANS AND SHARING WORKSHOPS
The sub center level plan prepared in the above manner was used as the basis for the
preparation of sector; block and district level health plans. It is worth mentioning that the
workers prepared the sub center level plans during the workshop cum training programs
conducted at sector levels. As preparation of Sector (PHC), Block and District level plans
were just summation of the sub center level plans, the project team helped the health
functionaries to compile them for their respective sectors/blocks. The figures were
compiled in prescribed format (Form 2 for sector and 3 for Block). The block level plans
thus prepared were shared with the block level officials in the special meeting organized
by the project team. Discussions on the block level plan document were made and the
necessary suggestions were incorporated before their submission to the district. The
district health plan was just the compilation of the block level plans. The project team in
consultation with the block and district level health officials carried out the compilation
work. The district health plan for each year (during the project period) was finalized in a
combined workshop of all district and block level health officials organized at district
level.
49
Indian Institute of Health Management Research, Jaipur
Strengthening District Health System in Madhya Pradesh through Management Interventions
INTERVENTION 3: MONITORING THE PLAN ACTIVITIES AND PREPARATION OF
GUIDELINES FOR MONITORING AND SUPERVISION
Decentralization, like any other organizational change, needs to be carefully monitored
evaluated in order to ensure that the desired results are achieved and the emerging side
effects are considered and addressed. The activities of the project team did not end with
the preparation of plan document for each financial year during the project period.
Substantial efforts were initiated by the project team to bring the prepared plan into
action. Accordingly, the final figures of target were distributed among all the health
workers of the district. In addition, the project team fixed village wise targets with the
help of health workers. The monitoring of the planned activities was made in consultation
and collaboration of district health authorities. The district authorities were of the opinion
that a feedback of every visit of the field team should be submitted to them so that
corrective measures on implementation could be taken. In addition, they suggested that
one of the district official should accompany the project team for facilitating the
monitoring activities. Accordingly a tour plan of the project team was submitted to the
Chief Medical and Health Officer (CMHO) of the district and a copy of each visit report
was submitted to CMHO for taking corrective measures in case there was any problem in
implementing the planned activities. The involvement of district authorities made the
monitoring activity as a successful event. Nearly 60 per cent of the sub centers that were
not following the planned activities started rectifying themselves and planned their
activities accordingly. The monitoring was mostly done through the participation of the
project team in the sector, block and district level meetings. In addition, a supervisory
checklist was prepared and handed over to the district for proper monitoring and
supervision (Annexure - 4.3).
4.5. OUTCOMES
Performance of Activities
Process indicators Number
Number of training programs outside the district 2
Number of district level training programs 2
Number of block level workshops / training sessions 28
Number of sector level training programs 72
Number of District level workshops 2
Number of Block level workshops 14
Number of Sector level meeting attended by project team 144
Number of block level monthly meeting attended by project team 147
Number of Block health plans prepared and approved 14
Number of District health plans approved by district and state 2 Years
Number of health worker trained on decentralized planning 306
Average number of participants per training 15
Number of district health plan guidelines distributed 153
Number of sub centers who prepared their own plan during 2003-04 153
50
Indian Institute of Health Management Research, Jaipur
Strengthening District Health System in Madhya Pradesh through Management Interventions
4.6. LESSONS LEARNT AND SUSTAINABILITY
• Within the district health system, it is important that the bottom level health
functionaries are involved during the process of preparation and execution of the
plan so that the benefits of decentralized planning process initiated in the district
could be fully realized and the system can lead to modifications and changes, as
required.
• Sustaining the commitment of the district health functionaries and other health
workers to achieving the goals and objectives of the health system, their
involvement in planning health services and action is highly essential. Explicit
discussions on the objectives and goals of the health system and the ways to
achieve them through appropriate planning in a participatory way would certainly
lead to better results.
• There is an urgent need for wide dissemination of information about national
priorities, goals, objectives and strategies
• Participation of health providers and clients in the process of problem
identification and their local solutions would certainly help bringing proper
coordination between the community and health system
• The formulation of district health plan should be made in active participation
with the health workers, public and PRIs. The approach should essentially be
participatory rather than enforcing
• The preparation of village level health plan needs the support from the village
level health providers e.g., Anganwadi Workers and Jana Swasthya Rakshyaks
(JSR) and private practitioners working at the village level. Appropriate
mechanism need to be developed for their active involvement during the process
of plan formulation.
• Development and use of operational work plans that specify activities, targets
and the time frame within which they have to be fulfilled, as well as assigning
clear responsibilities to teams and individual workers would help monitoring the
planned activities in a better way
• Development of appropriate managerial styles that facilitate a free flow of
information in all directions would certainly help in sustaining the initiated
activities in the district
4.7. CONCLUSIONS
Though the concept of decentralization has gained prominence worldwide, the concept
has not yet been understood by majority of the health functionaries in Hoshangabad
district. This has led to repetition of old method of preparing the district health plan –
preparing the plan at the top level and enforcing the same to bottom level health
functionaries of the district. The SDHS project attempted to bring a change in the system
by making the health functionaries understand the importance of decentralized planning.
It was certainly a hard task for the project to a change in the system. After repeated
51
Indian Institute of Health Management Research, Jaipur
Strengthening District Health System in Madhya Pradesh through Management Interventions
orientation and training programs the project able to change the minds of health
functionaries and initiate the decentralized planning process in the district. During the
project period necessary trainings were imparted and guidelines were developed and
distributed among the health functionaries for preparation of district health plan with
bottom up approach. The training sessions on the method of plan formulation were
conducted at sub center levels in order to seek their active participation. No doubt, such
exercises helped the project team to change their old habits of planning and introduction
of actual decentralized planning process in the district. During the year 2001-02 and
2002-03 ample amount of time were invested for this exercise. However, it is
encouraging noting that during the year 2003-04, the sub center level health plans were
prepared by the health workers themselves and the same plan was percolated to block and
district levels. There is a sea of change in this respect. However, as other interventions
carried out under this project, the question of sustainability remains at the hands of health
functionaries at the district level.
52
Indian Institute of Health Management Research, Jaipur
Strengthening District Health System in Madhya Pradesh through Management Interventions
ANNEXURE - 4.1
PROCEEDINGS OF SECTOR LEVEL TRAINING PROGRAMS
Problem Solving Mechanism
At the beginning of each training program, problem identification and problem solving
was followed in order to identify the field level problems faced by the health workers and
demarcate the problems that could be solved at their own level. The participants were
requested to write down the problems on a white sheet (provide by the project team).
Then one representative among the participants was requested to readout the problems
and the problems, (given in the table below) which are faced frequently in the field were
noted down by the trainer. The solutions to those problems were sorted out through a
brain storming session among the participants. The main intention at this phase of the
training was to observe the number of problems that could be addressed at the field level
itself. A detailed discussion on problems mentioned by the workers and possible
solutions found out during the training programs is given below:
Sl
No
Problems Encountered Solution
1 No Cooperation of the
community or from the
village representatives
during their visits.
Regarding the first issue, (problem) it was explained
that the workers visiting the villages are not able to
communicate with the village level representatives
properly. Any powerful person may misbehave with
the workers for once, but not always if the workers
want to convince him/her and give proper explanation
to the questions asked by him/her. Thus, the worker
could reduce the non co-operation by the public
(particularly PRIs) largely by themselves. Almost all
the participants agreed with this solution.
2 Difficulty in carrying the
necessary materials for
the field visits to in
accessible places.
Difficulty in carrying the necessary materials to the
field was shown as another problem faced by the
health workers. But it was agreed in the training that
there is no need to take all the materials and vaccines
to the field as the workers are intended to know about
their workload in the next visit from their registers.
Therefore they should take only the materials and
vaccines required by them to the field. This will
reduce their burden of carrying all the materials to the
field.
3 No adequate stationary
for reporting
Adequate stationary (particularly form 6) will be
made available to the workers from the directorate
through CMHO office. However, IIHMR can help in
fastening the process of sending forms to the district.
IIHMR has already provided them form 1 (one to
53
Indian Institute of Health Management Research, Jaipur
Strengthening District Health System in Madhya Pradesh through Management Interventions
each sub centre). Since each sub centre requires at
least two forms (Form 1) it was promised that the
forms will be provided to the sector supervisor, who,
in, turn will distribute them to their respective
workers.
4 There is no motivational
incentive for the workers
who are performing their
duty perfectly.
Though the workers are given multiple
responsibilities, no motivational incentive is given to
them. It was disclosed that there is rewarding system
in the district to reward the best workers. It was
mentioned that the issue would be brought to the
notice of BMO and CMHO and corrective measures
taken.
5 Some places there are no
male workers posted in
the block, which doubles
the workload of ANM.
The decision in this regard could me made at the
higher level. A list will be prepared for the SCs where
the posts ate vacant and it will be explained to the
CMHO that it is difficult to carryout the MCH
activities in the absence of a male worker. The copy
of the same will be send to higher level for necessary
action.
7 There are no government
buildings for running the
sub centre
Regarding the non-availability of the sub centre
building no decision could be taken in the training
session as this is a policy issue and the solution lies
with the higher authorities. However, the temporary
solution to this problem could be to run the sub centre
services at the Panchayat Bhavan or any other place
and the villagers of that section will be requested to
co-operate in this regard. Also it was decided that, if
necessary, IIHMR can go with the BMO and make
alternative arrangement for this at the section
headquarters and the supervisors were requested to
find out other solutions if there is any. However, the
argument on this point mostly focussed on the stay of
the health workers at their respective headquarters.
Though it was felt that stay at headquarters would
improve the services delivery, no consensus could be
arrived in the training program.
8 The targets fixed by the
government are more
than what should be.
The concept of decentralised planning was explained
to them in detail and the workers were provided with
guidelines for preparing their own plan by referring
the guidelines.
Though this session took nearly 2 hours, it helped the project team to bring active
participation of health workers in the process of plan formulation.
54
Indian Institute of Health Management Research, Jaipur
Strengthening District Health System in Madhya Pradesh through Management Interventions
ANNEXURE – 4.2
GUIDELINES FOR DECENTRALIZED PLANNING
• Apart from the C.N.A survey, the MPW should set the targets in active
consultation with others who are involved in delivery of health services namely
the trained Dai/Anganwadi worker/ community health volunteer and the PRI
representatives. This will help in estimating the targets correctly largely and
ensure their involvement in the planning process. Co-operation, particularly from
the PRI representatives has to be solicited actively by the workers through
repeated interactions rather than waiting for them to come forward and take part
in the process.
• The targets set should be compared with the last year’s achievement and it is
usually seen that the target should be 5-25 per cent more than the last year’s
achievement figures. Less than 5 per cent and more than 25 per cent would
indicate either an underestimation or overestimation of targets respectively.
• Formulation of targets should not be exclusively based on either the survey or the
various formulae used- instead; it should be finalized after consulting the
AWW/PRI and other members in a particular village.
• Information regarding the birth rate and population will help the health worker in
estimating whether she is registering and providing services to all the ANC
women in her area and whether all the children are being immunized or not.
• The column on referrals (for delivery/post natal complications/high risk children)
to CHC/FRU will indicate the quality of services being provided by the health
worker.
• Information about RTI/STI and their referrals is also provided under the
Reproductive Child Health Program in Form 1
• Information about Oral Rehydration Therapy (ORT) being provided to children
and formulation of requirement of ORS packets should be given utmost
importance as this is a leading cause of death among children in various blocks.
Form 1 was distributed to all the workers so that they can understand the indicators and
appreciate the importance of setting targets appropriately for the year. This is important
because majority of the workers do not own the targets set by themselves - they still
perceive the targets as being imposed from the top. In addition, there is the tendency to
inflate the achievement figures for the last year and hence the targets are increased based
on these figures for the next year.
Capacity building of Multipurpose Workers (Male and Female) at the sector level
specifically for making the Decentralized plan.
The participants of the training programme were briefed about the planning process and
were explained in detail how the Form 1 should be filled. Form 1 was distributed to all
the participants and they were instructed to fill in their achievement figures as required in
form 1. It was emphasized that the figures quoted by them should be supplemented by
55
Indian Institute of Health Management Research, Jaipur
Strengthening District Health System in Madhya Pradesh through Management Interventions
their records and reports. There should be no false and exaggerated reporting. Details of
the training provided for filling up form 1 is given in the following table:
Guidelines for preparing District health Action Plan “A Bottom up Approach”
under Community Need Assessment Programme
S.No Indicators in Form 1 Guidelines for preparing plan
1 The Actual Population of the
Sub health Center (SHC)
Population for the current year = Previous
year’s population + New births + Newly
married women + New families in the village
(migrated in) - Deaths occurred in the given
year – Families shifted from the village
(migrated out)
2 Schedule cast and Schedule
Tribe Population of the SHC
Door to door Village survey to get the first hand
information about the Schedule cast and
schedule tribe population.
On the other hand if the SC/ST population for
previous year is available then follow the
similar steps as given above to calculated
current year’s SC/ST population.
3 Number of eligible couples As per the Community Need Assessment
(CNAA) norm, there is 170 eligible couple for
1000 population. Before calculating the eligible
couple for the SHC, the worker can calculate
the number of EC in their area from Target
Couple Register (TCR). Worker should less the
number of those EC who adopted permanent
method for limiting their family and those EC
who attained the age of 50 years (female
partner) and should add newly married women
who came from other village irrespective of age
factor.
4 Total number of ANC To calculate the ANC, the worker should know
the ANC registration and number of birth took
place in last year, as well as the birth rate of the
district. Based on this the worker can project
the ANC registration for current year.
For calculating ANC
(Population of current year × Birth rate/1000) +
10% of the total ANC (Wastage)
56
Indian Institute of Health Management Research, Jaipur
Strengthening District Health System in Madhya Pradesh through Management Interventions
Maternal and Child Health
S.No Indicators in Form 1 Guidelines for preparing plan
1 ANC Registration A minimum of 60 per cent of the total ANCs
should be registered within 12 weeks of
pregnancy.
100 per cent of the ANC should be registered
for providing health services
2 Complicated cases referred. At least 15 per cent of the total ANC suffered
from the pregnancy related complications.
Hence, these cases must be identified and
referred for better health care center.
3 TT1, TT2 and Booster TT doses should be given to 100 per cent of the
ANC cases.
TT1 and TT2 dose given to all the ANC who
are prime or having the spacing of more than
two years among her children.
Booster dose to be administered to those ANC
who are multi-para and spacing among the
children is less than 3 years.
4 The Number of Anemic
pregnant women who are
treated for Anemia
(Prophylactic)
Nearly 50 per cent of the ANCs suffer from
Anemia means right from the first trimester or
before pregnancy they are anemic hence they
required double dose of IFA. The worker
should keep in mind that 50 per cent of the total
ANC should be provided with double dose of
IFA.
5 Number of ANC given IFA
(Therapeutic)
The worker should provide IFA to 100 per cent
of the ANC registered with them.
6 Total number of deliveries Total deliveries taken place in there areas
Total deliveries = (Population ×birth rate)/1000
7 Deliveries by trained
personals
By ANM
By LHV
By Trained Dai
Ninety five per cent of the total domiciliary
deliveries should be conducted by trained
personal i.e. ANM, LHV and trained Dai.
8 Deliveries by others Five per cent of the total domiciliary deliveries
are attended by untrained personal.
9 Institutional deliveries Nearly 33 per cent of total deliveries should be
institutional deliveries.
10 Referred to PHC / FRU Usually 10 per cent of the pregnant women
suffer from related complication and they need
to be referred for better care services
57
Indian Institute of Health Management Research, Jaipur
Strengthening District Health System in Madhya Pradesh through Management Interventions
11 Referred new born babies Ten per cent of the newborn babies suffer from
complications. They need to be referred for
better care services.
12 RTI / STI About 25 per cent of the total eligible couples
get affected from one or the other RTI and STI
problem. Hence, the worker has to provide
proper counseling to identify the problems and
referred them to advance treatment.
13 Immunization for BCG, DPT,
Polio and Measles and full
immunization.
The number for immunization must be equal to
total number of births taken place during the
period and there should be cent per cent
coverage for the primary immunization
14 DPT and Polio Booster The number of children for secondary
immunization is 10 per cent less than the total
estimated births in the year
15 DT (5 Yrs) Norm: 30 / 1000
16 TT (10 Yrs) Norm: 28 / 1000 Population.
17 TT (16 Yrs) Norm: 27 / 1000 Population
18 Vitamin A from 9 months to 3
years.
Total doses:
First dose: No of live births × 1
Second dose: No of children given DPT booster
(10 per cent less to the total births took place
during the year)
Third dose: Total dose - (First dose + second
dose)
19 IFA (Small) Fifty per cent of the children below 5 years
[(30/1000) × .5]
20 ARI < 5 years It was observed that ARI occurred two times in
a season hence the calculation for the ARI
episode is
Total number of child births × 2
21 Referred cases Ten per cent of the total children suffered from
ARI need to be referred.
22 Diarrhea: 0-5 Years. If the work regarding ORT is attended properly,
it should be increased by 15-20 per cent
compared to previous year
23 Total diarrhea episodes: It was observed that on an average diarrhea
occurs three times in a year. The calculation of
number of diarrhea episodes will be:
Total number of child births × 3
24 Referred cases Ten per cent of the total diarrhea episodes
develop complications and need to be referred
for advance treatment.
58
Indian Institute of Health Management Research, Jaipur
Strengthening District Health System in Madhya Pradesh through Management Interventions
Family Planning
The target for Family Planning Programme is set by Department of Health and Family
welfare Government of Madhya Pradesh
S.No Indicators in Form 1 Guidelines for preparing plan
2 LTT 5 percent of the eligible couples
3 IUD 4 percent of the eligible couples
4 OP 5 percent of the eligible couples
5 Nirodh 19 percent of the eligible couples
Other National Programme
S.No Indicators in Form 1 Guidelines for preparing plan
1 Malaria All fever cases treated as malaria suspected
case and worker should prepare the slide.
Total number of fever cases in a year would be
12 – 15 per cent of total population suffered
from the fever.
Malaria Positive 1- 2 per cent of the total slides prepared
2 Tuberculosis
Positive cases Around 10 per cent of the symptomatic cases
suffer from TB.
3 Leprosy
Positive cases 0.17 of the suspected cases
In addition to the program components the health worker were also explained how to fill
up the columns related to infrastructure and logistics and other supplies requirement for
the year ahead. It was explained that while calculating the requirement of drugs and other
consumables they need to take into consideration of the figures estimated by following
the above guideline and calculate accordingly.
59
Indian Institute of Health Management Research, Jaipur
Strengthening District Health System in Madhya Pradesh through Management Interventions
ANNEXURE – 4.3
GUIDELINES FOR MONITORING AND SUPERVISION OF PLANNED ACTIVITIES
MONITORING
Monitoring is a periodic collection and analysis of selected indicators of the programme
to enable health managers to determine whether key activities are being carried out as per
the action plan. It is carried out at both the services delivery unit through direct contact
with health workers and at the managing office by examining periodic reports
Monitoring provides feedback to project manager in order to improve the operation plan
and to take mid course corrective measures if necessary. Getting regular feed back is one
way of finding out whether the planned activities are being carried out in the right
direction. These feedbacks are usually small in scale and short in time to review the on-
going activities. The project manager decides the format of the feedback and the
indicators to be included. The purpose of monitoring is to initiate mid-course corrective
measures to improve the performance and the quality of services. The list of selected
indicators of RCH services that are linked with the set of planned activities is given in the
last section of the chapter
SUPERVISION
The major challenges for supervisors are getting things done through his subordinates in
desirable way. The availability of protocols and instructions, training sessions, list of
rules and written procedures are not enough to get the works done through other people
in the health system. The important thing is to have direct personal contact with the field
staff on regular basis, to listen carefully other aspects of the problem of health workers
for not achieving the desired output and to renew the enthusiasm of the field staff for the
work they are doing. The personal contact is important both for effective operation of the
programme and for staff moral and for commitments. The purpose of supervision is to
guide, support and assist the field staff to perform well and carryout their assigned task
What supervisor should do?
• The main function of Supervisor is to help field staff to perform their jobs
effectively by providing guidance and training, assistance with resources of
logistics, support, encouragement and advocacy of their problems
• Supervisor’s role is a problem solver who supports the field staff not a faultfinder
who will be always criticizing them.
• Respect field staff and their contribution towards their work, encourage them to
make suggestions and involve them in decision-making.
60
Indian Institute of Health Management Research, Jaipur
Strengthening District Health System in Madhya Pradesh through Management Interventions
• Conduct periodic performance appraisal for field staff to review past performance
in order to make sure that person is doing well against the set objectives of the
programme.
Improving Staff Performance
Supervisors are required to work with field staff to set the performance objectives for
each individual. The following points are crucial for improving the performance of the
field staff
The field staff should be able to achieve their performance objectives throughout their
own efforts, do not set objectives over which they have little or no control
Performance objectives should be specific, it should be time bounded stating with the
activities to occur for the date by which it will be completed.
RESPONSIBILITIES
Chief Medical and Health Officer
• CMHO is the responsible person for the district and accountable to the Director of
health (at the state) about the performance of the district. Hence, the CMHO has
to make necessary arrangements of logistics and other requirement for achieving
the targets set by the health workers.
• Identify the problematic blocks, particularly problem areas where the targets are
not achieved against the set objective.
• Make the alternative arrangements in those blocks where the BMO is facing the
problem in achieving the targets.
• Make the provision of staff/other alternative arrangement where the posts are
vacant.
• Sort out the administrative and management problems to streamline the activities
and smooth functioning of the block and sectors.
• Provide all administrative and management support to the BMO for smooth
functioning to achieve the set objectives.
• Appreciation to the work performed by block to increase the work motivation
among the field staff.
• Periodic evaluation of performance at the block as well as the district level
Programme Officers
• Set the target for the National programmes and distribute them among the blocks
• For effective monitoring of activities at each level, i.e. block. Sector and section
level, delegate the responsibilities to the concerned BMO.
61
Indian Institute of Health Management Research, Jaipur
Strengthening District Health System in Madhya Pradesh through Management Interventions
• Identify the disease prone areas to give more attention to check the outbreak of
the disease.
• Periodic training to the field staff for case identification (particularly on case
definition)
• Organize camps to achieve the targeted objectives
• Emphasize more on routine programme rather than event base programme.
• Periodic evaluation of performance.
Block Medical Officer
• During the initial period of the programme, i.e. in the month of April, the BMO
should obtain the information on the Eligible couples through health workers and
guide them accordingly to prepare their visit plans to cover all the listed eligible
couples for registration and to provide the required services.
• Set the target for the different services as per the actual population and distribute
them among the health workers as on monthly basis.
• Once the target is set for the each programme, assess the monthly progress of the
health workers as against the target and give them the feedback to fulfill the given
target.
• With the help of supporting staff, visit the sectors/sections periodically and carry
out verification of services provided by the health workers at village level.
• Ensure the stay of health workers at the headquarters where the SC building
exists/make alternative arrangements where the SC building does not exist.
Sector Medical Officer
• Check the movement of supervisor as per the advance plan submitted to the sector
medical officer.
• Surprise visit to the health workers Head quarter village to check the activities
and records.
• Call sector level meetings, evaluate the performance of the health workers, and
give them the feedback to improve the performance.
• Verify the beneficiaries by surprise visit.
• Physical verification of the stock and recording register of the workers.
Supervisor (Male/Female)
• Spend six days in the field each week: verify acceptors and home visits, and
provide in service training to Fieldworkers.
• During the household survey, assist the Fieldworkers in mapping the assigned
areas, planning the order in which homes will be visited, assigning serial numbers
to couples, and introducing the Fieldworkers in the community.
• Verify the benchmark information collected by the Fieldworkers by selecting one
couple at random to revisit and then revisiting every tenth or eleventh couple.
62
Indian Institute of Health Management Research, Jaipur
Strengthening District Health System in Madhya Pradesh through Management Interventions
Check whether the information is correct, make corrections if needed, and inform
the Fieldworker(s) for any errors.
• When the benchmark survey is complete, spend at least two days verifying active
users without accompanying Fieldworkers and at least two days accompanying
Fieldworkers during their home visits.
• When the Fieldworker is on leave or in training, visit the eligible couples in the
Fieldworker’s place.
• Accompany each Fieldworker to at least eight homes each month, to provide
guidance to the Fieldworkers on counseling and educating couples.
• While in the field: arrange community education activities: arrange to accompany
clients for IUD insertions, injections, or sterilizations: organize immunization
sessions
• Supervisors should prepare a schedule and checklist for periodic supervisory visit.
The schedule should include sessions that specify the dates, time, places and the
people to be supervised. The schedule should also include the subject to be
discussed during the each session. The following points are important for each
supervisory visit-
o Provides advance notice of the supervisory visits and session to field
staff at all location.
o Arrange and co-ordinate the supervisory visits in a convenient and
economical manner.
o Identify what support or help may be needed to get the job done
properly by field staff.
• Check the basic data on performance (Form 6). Here mostly the accuracy of data
provided by the health worker needs to be checked and the errors are to be
corrected.
• Compile the data (accurately) for the sector and supply the same in form 7 to the
CHC.
Health workers (Male /Female)
• During the initial period of the programme, i.e. in moth of April, field worker
should identify currently married couples in the assigned area through household
survey and couple registration. Visit 15 to 25 couples per day until all couples
have been visited
• When all couples have been identified and registered, visit them again in
numerical order, according to a pre-scheduled work plan. Provide family planning
education, contraceptive supply, and accompany clients who are interested in
clinical methods to the clinic
• Keep accurate records of daily visits, contraceptive distribution, and referrals.
• Submit Fieldworker’s Daily Records to the respective Field Supervisor at the end
of each month
63
Indian Institute of Health Management Research, Jaipur
Strengthening District Health System in Madhya Pradesh through Management Interventions
SUGGESTED SUPERVISORY CHECKLIST
Name of Block : …………………………………………………………..
Name of Store keeper/in-charge: …………………………………………………………..
• Sub centers having over stock/under stock of drugs, equipment and other essential
items
1. Monitoring of stock record
Name of
Drugs
Required
quantity
Supplied
quantity
Not available Difference
(+, -)
• Block maintain medicines as per FEFO technique of logistics and supply
management
• Maintaining indent file
2. Monitoring of MIS
Name of
format/report
Reporting
format
available in
adequate
quantity
Distributed to
all health
workers
Received
reports from
the field staff
in given time
frame
Timely
submission of
report to the
district
Weekly Report
Birth
Registration
Death
Registration
Marriage
registration
Eligible couple
registration
Form 6
64
Indian Institute of Health Management Research, Jaipur
Strengthening District Health System in Madhya Pradesh through Management Interventions
3. Training of the Staff (for each worker)
Name of Training Training provided by No of workers Trained
RCH
AIDS
Pulse polio
Immunization
Case detection
MIS
Record Keeping
Programme Planning
Community Participation
Target setting
4. Monitoring of disease surveillance
Disease No of cases
identified
Treatment
Initiated
Referred to
Malaria
Tuberculosis
Leprosy
RTI/STD
Polio
Blindness
Water born diseases
Acute respiratory
Infection
Jaundice
5. Monitoring of work performed during the month
Programme Target for the
month
Achievement
against target
Percentage
achievement
ANC cases
registered
> 16 weeks ANC
No of Births in the
month
BCG
DPT + polio 1
DPT + Polio 2
DPT + polio 3
Measles
65
Indian Institute of Health Management Research, Jaipur
Strengthening District Health System in Madhya Pradesh through Management Interventions
Complete
Immunization
DT 5 years
DT 10 years
DT 16 years
IUD
Oral Pills
Condom
LTT
TT
VT
Malaria
Tuberculosis
Leprosy
Blindness
ARI
Water Born Disease
Polio
AFP
MONITORING AND SUPERVISION PLAN AT DISTRICT LEVEL
1. Monthly meeting at District Level
First Monday of the Month: BMO and Programme Officer meeting at CMHO office
Last working day of the Month: Supervisors meeting (male/female)
2. Monthly meeting at Block Level
Bankhedi : First Wednesday of the week in every month
Pipariya : First Wednesday of the week in every month
Sohagpur : First Thursday of the week in every month
Babai : First Thursday of the week in every month
Sukhtawa : First Friday of the week in every month
Seoni Malwa : First Friday of the week in every month
Dolariya : First Friday of the week in every month
3. Monthly Sector Medical Officer meeting at Block
Bankhedi : 15th
day of every month
Pipariya : 15th
day of every month
Sohagpur : 15th
day of every month
Babai : 15th
day of every month
Sukhtawa : 14th
day of every month
Seoni Malwa : 14th
day of every month
Dolariya : 14th
day of every month
66
Indian Institute of Health Management Research, Jaipur
Strengthening District Health System in Madhya Pradesh through Management Interventions
4. Weekly Sector Level Meeting
Every Monday : Supervisors meeting at block
Every Saturday : Health workers meeting at sector head quarter
5. Record Keeping
Weekly report : Health workers submitted the weekly report in given format during
sector level meeting to the supervisors. If some of them have not
submitted, report the same to the sector MO and BMO
Monthly report : 1. health workers submitted complied weekly report in form 6 to
the supervisor by 25th
day of the month.
2. Supervisor compiled all the health workers report into form 6
and submitted sector report to the BMO.
3. At BMO level all the sector level report compiled into form 7
and submitted to the CMHO office.
4. At CMHO level all the block level report compiled into form 8
and submitted to the Director health.
Note: It must be noted that the accuracy of the report needs to be verified at the SC level
so that false reporting is avoided.
67
Indian Institute of Health Management Research, Jaipur
Strengthening District Health System in Madhya Pradesh through Management Interventions
CHAPTER -5
LOGISTICS MANAGEMENT:
IMPROVING MANAGEMENT OF DRUG STORES
5.1. BACKGROUND
Logistics and supply management plays a vital role in effective functioning health care
delivery system. It is the crucial function of the district health system to ensure
availability and adequacy of drugs and other supplies at all levels. The mechanism
involves procurement, transportation, distribution through the supply chain from state to
district, from district to blocks and from blocks to PHCs and sub centres), and storage at
different levels, and finally distribution at the consumer level. Unfortunately, the logistics
and supply management is not considered as an important managerial function in the
health system, and as a consequence the procurement and supply has adversely affected
access and availability of health services. There are several factors viz., existence of push
system, non existence of appropriate demand based indenting, inadequate storage facility,
lack of attention for appropriate storage and maintenance of drug stores, maintenance of
proper records etc. are responsible for weak management of logistics and other supplies
at various levels.
Within the health system high costs and frequent shortages of scarce resources such as
drugs, vaccines, contraceptives and various type of equipment remains a chronic problem
and unless these can be mobilised and used effectively, it is difficult to improve the
delivery of health services. For that in the last one and a half decade, lot of funds have
been invested through various agencies to provide the required inputs in the form of
physical infrastructure, equipment, drugs and other supplies, manpower and its
development with training session.
Thus, the logistics management has now become the primary need of health care delivery
system as it acts as the basic pillar for any services delivery. Therefore, more concerted
efforts are required in this sphere of activities. The health system particularly will have to
respond to the need of logistics management because of shorter product cycle especially
medicines, large client share of poor section, and high cost incurred in logistics
management and less use of computing technology. In the large organisation such as
health system complexities of co-ordination are very large. In some how, the expiry drugs
as well as large amount of unused drugs played a crucial role on the financial aspects of
the health system.
Logistics management is thus, a multifaceted activity addressing issues related to the
entire supply chain and is no longer concerned only with stocking and distribution of
supplies. The logistics management in the health sector involves a sequence of inter
dependent activities from source of supplies to its users. These activities are mainly
classified into two groups, the first one has been focused on the selection as well as
quantification of the drugs and equipment (indenting), where as the second part was
68
Indian Institute of Health Management Research, Jaipur
Strengthening District Health System in Madhya Pradesh through Management Interventions
concentrated on the storage, procurement as well as supply of the drugs to the peripheral
organisation / institution.
Group I Activities
• Selecting the commodities to be used as per the criteria or drugs policy.
• Forecasting the quantities to be procured.
• Supplying the commodities from the source.
• Receiving and verifying the commodities.
Group II Activities
• Inventory control, including processing orders from lower levels.
• Storing at central warehouse.
• Transporting supplies.
• Storing at lower programme level.
• Monitoring the quality of each item of supplies on regular basis.
• Distributing services to patients.
• Recording, reporting and analysing consumption and supply status.
Under the Strengthening District Health Systems project, a series of problems associated
with the logistics and supply management system in Hoshangabad district were
identified. Addressing all the issues related to logistics management is certainly a time
consuming process because of severe resistance of the health functionaries to adopt a
change in the existing system. Therefore, keeping the project period in mind and without
diluting the project objectives, the project focussed its attention on improving the drug
store management, which is crux to entire logistics management system, at various levels.
Accordingly, a series of interventions were designed and the implementation of the same
was carried out in the field. The present report describes the whole process of drug store
management interventions carried out under this project, their success, lessons learnt and
their sustainability.
Section 5.2 is a brief description on the objectives of the present intervention. The
problems associated with the logistics and supply management system in the district, as
identified through different approaches, are presented in Section 5.3. Proposed
interventions for improving management of drug stores in the district are described in
Section 5.4. Section 5.5 gives a detailed outline of the performance outputs of the project,
which is measured through quantitative survey and rapid assessment. Section 5.6
describes the lessons learnt and sustainability of the activities initiated under this project.
The concluding remarks are presented at the end of the chapter.
5.2. OBJECTIVES
The project aimed at fulfilling following objectives under this intervention:
69
Indian Institute of Health Management Research, Jaipur
Strengthening District Health System in Madhya Pradesh through Management Interventions
• To identify the critical problems associated with present Logistics and supply
management with special emphasis on the problems of drug stores at various
levels in the district
• To identify appropriate solutions to overcome the problems associated with the
drug store management at various levels
• To orient the staff on various aspects of logistics management in general and
management of drug stores in particular
• To implement the proposed solutions related to problems associated with supply,
inventory, procurement and disbursement
• To identify the problems and constraints during the process of implementation
• To describe lessons learnt during implementation and feasibility of drug store
management
5.3. DIAGNOSTIC STUDY – PROBLEMS AND ISSUES
In order to understand the existing logistics management system in the district and
problems associated with it, a diagnostic study on logistics management was carried out
at the initial phase of the project. This study was intended to identify critical areas of
logistics management, which adversely affect the smooth functioning of the programmes,
such as, lack of co-ordination, wrong prediction of required supplies, inventory related
issues and others. More specifically the objectives of the diagnostic study were as
follows:
• To assess the major functions related to drug/contraceptive/vaccine supply system.
• To assess the existing drugs supply systems in terms of resources, strengths and
weaknesses.
• To suggest action plan based on the findings of the evaluation.
The key problems identified through diagnostic study are as follows:
• The list of essential drugs was found only in a few health care institutions,
whatever the level may be.
• The future orders are placed on the basis of past experience of health
functionaries. No preliminary assessment is made on how much drugs and other
supplies are to be procured from respective higher levels.
• Non-availability of needed medicines to the patients at Primary Health Centres. It
may be mainly due to inadequate budget for medicines or inappropriate planning.
• The indenting system is not effective, as most of the time it is the push
3
system
and not the pull system, which is operational.
3
Push system can be defined as a system when supply is pushed at the lower level without demand and pull
system is the system when supply is procured at lower level based on specific needs.
70
Indian Institute of Health Management Research, Jaipur
Strengthening District Health System in Madhya Pradesh through Management Interventions
• There is no need-based supply procedure in the District and all the PHCs receive
supply on the uniform distribution basis without realising that there are different
needs at different PHCs.
• There is lack of storage space and grassroots level workers have never received
training on logistic management.
• Drugs are supplied to the PHCs and sub centres level, which are available in the
stock irrespective of the demand.
• Some important drugs are purchased / procured with very near expiry date and state
authorities as well as in the district store find it very difficult to distribute them
within expiry time.
• The proper information system does not exist and there is significant mismatch
between what the clients receive and what is recorded as distributed by the service
provider.
• There are multiple channels of supplying the drugs, contraceptives, vaccines and
equipment in the district and it had to go through a long steps.
• Normally, plenty of supply of all FP devices is received every quarter from state and
pushed to the sub centre level.
• Supply of vaccines, controlled by the state, normally matches the real requirement
but wastage was reported to be very high
• The reality that all sub-centres are not equally performing is not taken into account
in kit preparation.
• The estimates on requirement are made based on mainly experience and not on
actual records of past consumption. There are occasional drug/ medicine shortage/
excess situations as no scientific inventory control technique is applied and concept
of reorder level, buffer stock, etc. is not effectively implemented due to lack of
necessary technical skill among the storekeepers.
• There is no decentralisation of financial power with respect to decision-making on
maintenance and repair.
• Lack of appropriate training of the staff dealing with logistics and other supplies at
various levels. Due to the inefficiency in management the store keepers as well as
the health workers were not serious about the logistic part within the system.
5.4. INTERVENTIONS
As mentioned at the beginning of the report, the project focussed its attention on
management of drug stores rather than whole logistics management system in the district.
Accordingly the interventions were designed and implemented in the field. Following
interventions were planned and designed for implementation in the field:
• Improving the skills of the drug store keepers at various levels for better logistics
management and establishing appropriate procedure for procurement and
71
Indian Institute of Health Management Research, Jaipur
Strengthening District Health System in Madhya Pradesh through Management Interventions
distribution of drugs and other logistics. This was mostly done through the capacity
building training programs for the drug store keepers at the block and district levels.
• Renovation of drug stores at district, block and sub center level for proper storage
and maintenance of drugs and other materials.
• Provision of the Stock registers and its proper maintenance in the sub center /
PHCs / block level.
• Designing appropriate mechanism for continuing monitoring of the activities
related to drug store management within the system
Each of these interventions and their process are described below:
INTERVENTION 1: IMPROVING THE SKILLS OF THE DRUG STORE KEEPERS AT
VARIOUS LEVELS
(a) District level Workshops
Training Workshop for DHT and BHT
Imparting appropriate training on logistics management and their importance was the first
step followed to make the planned interventions more effective. Two district level
workshops were organized at the initial stage of this intervention. The first training
program was organized for the District Health Team and Block Health Team Members.
The training was focused on three important aspects i.e., MIS, Logistics Management and
Human Resources Development. The details of the training program are given in
Annexure 5.1.
Training Workshop for Store Keepers
A two-day workshop on logistics management was organized at the District Training
Center located in Chief Medical and Health Officer’s (CMHO) office premises. District
and block health officials responsible for drug store management participated in the
workshop. The workshop aimed at:
• Developing the capacity of drug store keepers for appropriate management of
their respective drug stores
• Developing the capacity of the storekeepers to manage the drugs and articles as
per the cost and need of the organization.
• Providing necessary managerial guidelines for better management of their drug
stores
• Explaining the approaches to find out the local solutions to the problems related
to their respective drug stores
The workshop provided a unique opportunity for understanding the problems associated
with logistics management and the local solutions to those problems. The arrangement of
drugs as per FIFO and VED classification and their importance was explained to the
participants. Besides this, need based calculation, indenting, procurement, storage and
importance of maintaining cleanliness of drug stores and disbursement in proper time was
72
Indian Institute of Health Management Research, Jaipur
Strengthening District Health System in Madhya Pradesh through Management Interventions
explained in brief. The training program was highly appreciated by the participants. As
per the assessment of the participants, the workshop helped understand problems
associated with their drug stores and almost all the participants promised to arrange their
stores accordingly. They were also apprised of the proposed interventions and their role
in its effective implementation through their participation (Annexure - 5.2).
Follow up workshop cum training
For assessing the impact of the training at the field level a follow up workshop was
organized by the project team after one month with the following objectives:
• To follow up the work carried by the drug store keepers after the first phase of
training
• To understand the problems associated with the implementation of ideas that was
imparted during the training (first phase) and find out appropriate solutions in a
participatory manner
• To develop an appropriate mechanism of indention and distribution at block and
district levels.
• To establish an appropriate indenting procedure at the district level.
The detail of the discussions held during this follow up workshop is given in Annexure
5.3.
(b) Block Level Workshops
All the seven block level drug stores and drug stores at 35 selected sub centers in the
district were covered under the intervention. Though the block level drug store keepers
were trained at district level on drug store management, the objective of the project team
was to spread the training inputs down to the sub center level. Moreover, the training
program conducted for the block level storekeepers did not result in expected out comes.
Therefore, similar training programs were conducted at block level to bring better
motivation among the drug store keepers for managing their stores. Furthermore, as the
aim of the project team was to bring improvement in the drug stores of the primary health
centers and selected sub centers, training of the health worker and supervisors responsible
for the sub centers was a prime requisite.
Accordingly, the block level training programs were organized in respective blocks after
a detailed discussion with the Block Health Team members. The drug store keepers,
health workers and supervisors of respective blocks attended the workshop cum training
program. The workshops aimed at the following:
• Building the capacity of health workers to maintain the store in their respective
sub centers
• To find out the problems and constraints in managing the store at block and sub
center level
• To train the health workers on appropriate method of procurement and
distribution
73
Indian Institute of Health Management Research, Jaipur
Strengthening District Health System in Madhya Pradesh through Management Interventions
• To train the health workers regarding the importance of appropriate storage and
cleanliness of the drug stores
• To establish an inventory in logistic management.
In total 153 participants attended the workshops organized at different block
headquarters.
As the workshops were conducted in a participatory way, the following problems related
to logistics / drug store management emerged as the key factors responsible for improper
management of stores at block and sub center levels:
• Push system of drugs at sub center level.
• Indention and supply of drugs on the basis of past experience rather than need
based assessment
• Untrained staff in logistic management
• Problems in transportation
• Poor, untimely and haphazard indenting system in the district, block and sub
center
• Lack of monitoring by the higher officials at all the levels
• Wastage of medicines and other consumables due to poor logistics management
• Lack of adequate space and furniture for the storage of medicine
• Lack of stationary for maintaining stock register
• Non availability of drugs as per indention
• Lack of manpower for distribution of the drugs in the block level.
The participants of the workshop were explained various aspect of logistics management
(i.e., indention, procurement, supply, storage etc.). Though the workshop was intended
for imparting training on logistics management, the problems, which emerged during the
workshop, formed the basis for further interventions on this important aspect of health
care delivery system in the district.
INTERVENTION 2: RENOVATION OF DRUG STORES
(a) Renovation at Block Level
Although the training was imparted to the staff at all the levels, putting the training inputs
into practice was a challenging task for the project team. As changing the old system of
logistics management was an impossible task for the project team, the major
concentration was on the aspects which were doable during the project period. One
important aspect that was taken up during the intervention phase was to renovate the drug
stores at the block level. Needless to say, that the renovation activity had monetary
implications as almost all the block level stores were in miserable shape. Arrangement of
money for this purpose was discussed in block health team meetings and dialogue
regarding the same was initiated with the health functionaries at the block level, block
74
Indian Institute of Health Management Research, Jaipur
Strengthening District Health System in Madhya Pradesh through Management Interventions
Panchayat members and block administration with the project team. However, the
renovation activities were carried out in the presence of the project team helped by health
functionaries at the block level. Renovation activities included:
• White washing and minor repairs
• Cleanliness of drug store
• Purchase of necessary furniture
• Shifting of drug store to appropriate location
• Painting of racks
• Arrangement of drugs as per ABC / VED classification
• Maintenance of stock register
• Availability of the list of essential drugs and display
Almost all the drug stores at the block level were renovated with the help of funds from
Rogi Kalyan Sammittee at respective block PHCs/CHCs Table 5.1.
Table 5.1: Status and source of finance for drug store renovation at block level
Block Source of financing Current Status
Babai Resources from RKS and help from Block level
health functionaries
Partially renovated
Bankhedi Resources from RKS and help from Block level
health functionaries
Complete
Dolariya Resources from RKS and help from Block level
health functionaries
Complete
Pipariya Resources from RKS and help from Block level
health functionaries
Complete
Sohagpur Not implemented Not renovated
Sukhtawa Resources from RKS and help from Block level
health functionaries
Complete
Seoni Malwa Not implemented Not renovated
It is quite encouraging to note that the state has prepared its drug policy with the
assistance from DANIDA M.P. and the policy is in the process of consideration by the
government health officials for implementation. The document contains a list of essential
drugs for the drug stores at different levels. The list of essential drugs was collected from
the document prepared by DANIDA and distributed to the respective block stores by the
project staff (Annexure – 5.6). After consultation with block health team members,
appropriate date for indenting and distributing the drugs to peripheral health care
institutions was decided and a copy of the same was made available to all drug store
keepers at block level.
75
Indian Institute of Health Management Research, Jaipur
Strengthening District Health System in Madhya Pradesh through Management Interventions
(b) Renovation at District Level
After imparting training on proper drug store management, no substantial progress could
be observed in the management of district drug store. This was mostly due to:
(a) lack of interest of the storekeeper at the district level (b) lack of resources to
carry out the renovation activity. Though attempts were made to make the funds
available from the budget allocated to CMHO and from RKS of District
Hospital Hoshangabad to carry out this activity, all the attempts turned to be
futile. Even after cleaning and arranging the drug store twice, it was quite
frustrating to note that due to lack of interest of the district health officials the
stores returned to its original position. Though this issue was discussed in
district health team meetings, an estimate of carrying out the renovation was
submitted just two months before the completion of the project. Since the
project period was ending, it was decided by the implementing agency that the
drug store at the district level would be renovated from the project funds.
Accordingly, the project spent around Rs.5000/- to renovate the district drug
store. The renovation was carried out in the presence of project staff and they
took the responsibility of all the activities related to drug store renovation.
(c) Renovation at Sub Center Level
The renovation of drug stores was carried along with sub center renovation. The activities
were funded by gram Panchayat members, public residing nearer to sub centers, NGOs
and partly by the project. The drug stores were properly arranged after imparting on the
job training to the health workers. It was interesting to note that all the activities related
to logistics management (i.e., cleaning, arranging the drugs as per Last In Last Out
(LILO) / First In First Out (FIFO) mechanism was carried out by the health workers and
supervisors themselves. Apart from the other responsibilities assigned to Sub Health
Center Team (SHCT), it was also required to take care of appropriate management of
logistics at sub center level.
INTERVENTION 3: PROVISION OF STOCK REGISTERS AT ALL LEVELS
Maintenance of proper records on the stock of various medicines, consumables and other
logistics, and their distribution to peripheral institutions is an important aspect of logistics
management. This record helps in maintaining buffer stocks so that the drugs could be
indented before the stock gets over. Before project, none of the health care institutions
could understand the importance of buffer stock and maintaining the records accordingly.
In some of the blocks and sub centers this problem was due to non-availability /
inadequate supply of registers. During the project period, in addition to providing
necessary training, registers were also supplied to block PHCs and selected sub centers
for maintaining proper record on logistics.
Four types of registers were provided to the selected sub centers and block stores. List of
essential drugs were distributed to the selected sub centers in five blocks. The essential
drug list was shared with the storekeepers of the blocks to bring uniformity in the
indenting procedure. In consultation with the BMOs and block level storekeepers specific
dates were fixed for indention and procurement of drugs by the sub centers. A similar
exercise was carried out at the district level during the follow up training of the
76
Indian Institute of Health Management Research, Jaipur
Strengthening District Health System in Madhya Pradesh through Management Interventions
storekeepers where a decision regarding the date of receiving the indent and supply of
logistics was decided collectively by the district and block storekeepers.
INTERVENTION 4: DESIGNING MECHANISM FOR APPROPRIATE MONITORING
From our experience from district level drug store management, it was felt that a task
force consisting various personnel related to logistics management be constituted in order
to streamline the present system. The task force was named as Logistics Task Force
(LTF) and the order of the formation of the same was issued by the Chief Medical and
Health Officer (CMHO) of the district. The LTF was made responsible for visiting the
block level drug stores and bringing necessary changes in the present logistics
management system and keeping the activities initiated by the project sustainable. A
meeting of the logistics task force was held during the month of December 2003 where
the members of the task force were explained about their roles and responsibilities
(Annexure 5.5). As the project was coming to an end, the project team could not monitor
the activities of the task force. However, it is hoped that a well functioning LTF would
certainly help bringing changes in the system. The TOR of logistics task force is given in
Annexure – 5.4.
Though similar type of task forces was not constituted at block level, it was expected that
the Block Health Team members would take the responsibility for the same. In relevance
to this, a checklist was developed for the monitoring of the activities related to logistic
management. The checklist prepared under this project facilitates the health supervisors
and others to know about the requirement and maintenance related to logistic
management.
5.5. OUTCOMES
Table 5.2: Outcome at Glance
Indicators Number
No of workshop organized in district level 2
No of workshop organized in block level 7
No of workshop organized in sector level 45
No of drug stores renovated 6
No of drug stores organized properly at sub center level 30
No of health workers trained in logistic management 153
No of store keepers trained in logistic management 7
No of sub center where essential drug list were available 30
No of blocks where essential drug list were distributed and
available
5
No of blocks having an indenting and procurement system
in a fixed day
4
No of sub center issued with stock registers form project 35
No of sub center maintaining the stock registers on regular
basis
35
No of sub center where monitoring was done on regular
basis by the supervisor
35
77
Indian Institute of Health Management Research, Jaipur
Strengthening District Health System in Madhya Pradesh through Management Interventions
Feedback from Drug Store Keepers
As discussed earlier, a follow up workshop of all the block level storekeepers were held
at district headquarters in order to assess progress of the work related to drug store
management. Table 5.3 gives the feedbacks of the participants on the status of their drug
store.
78
Indian Institute of Health Management Research, Jaipur
Strengthening District Health System in Madhya Pradesh through Management Interventions
Table 5.3: Status of Drug Stores as per the Feedback received during follow up Workshop
Tasks Blocks
Babai Sohagpur Pipariya Dolariya Seoni Malwa Itarsi District
Drug stores regularly cleaned Yes Yes Yes Yes Yes Yes Yes
List of Available Medicines Yes Yes Yes Yes No Yes Yes
List of expiry date medicines NA No Yes NA NA NA Yes
Provision of buffer stock Yes No No Yes No Yes Yes
Days fixed to procure the medicines from
district
Yes No No Yes No NA No
List of SHC medicines prepared Yes No Yes Yes No NA NA
Days for supply of medicines to the SHC are
fixed
Yes No No Yes No NA No
Stock Register prepared Yes No Yes Yes Yes Yes Yes
Entries in Stock register maintain properly Yes No Yes Yes Yes Yes Yes
Indenting register available Yes No Yes Yes Yes Yes Yes
Medicines from district available as per the
requirement
Yes No Yes Yes Yes NA NA
Medicines from district available on time Yes Yes Yes Yes No NA NA
BMO inspect the store regularly Yes Yes Yes Yes Yes Yes NA
Storekeeper from Bankhedi was not present in the training and at Sukhtawa Storekeeper has resigned hence, the post is vacant
79
Indian Institute of Health Management Research, Jaipur
Strengthening District Health System in Madhya Pradesh through Management Interventions
In the same workshop decision regarding the procurement and indention of the medicines
and other consumables from the district to block level was decided in the presence of all
the drug store keepers of the district. The following table gives the details of the dates
decided for the supply of medicines from district to block. The decision regarding the
supply of medicines from block level to down was decided at respective block health
team meetings and in most of the blocks it was decided that the block level meeting day
will be the appropriate day for collecting the drugs from the block level (Table 5.4).
Table 5.4: Roster of Supply from District to Block
Block Date in the first week Date in the last week
Babai 3 day of the month 20th day of the month
Sohagpur 5th day of the month 21st day of the month
Pipariya 2nd day of the month 22nd day of the month
Bankhedi 6th day of the month 23rd day of the month
Dolariya 4th day of the month 24th day of the month
Seoni Malwa 1st day of the month 25th
day of the month
Sukhtawa 7th day of the month 26th day of the month
Note: The medicines can be provided to the block with the supply of vaccines
Two blocks can be covered in a same day
5.6. POST INTERVENTION ASSESSMENT
In order to assess the impact of the activities related to this intervention, a rapid
assessment survey was conducted during January 2004. Among the sample respondents
were all the storekeepers of 7 blocks and health care providers (especially the health
workers) from 10 selected sub centers.
Salient Findings
(a) Training sessions and their impact
As could be observed from Table 5.5, 98.1 per cent of the respondents received training
on logistics management under this intervention.
Proper arrangement of drugs
As per the responses obtained, before the initiation of the project, only 48.1 per cent of
the respondents were following FIFO / LILO mechanism for arranging their drugs. It is
quite interesting to note that after the intervention and appropriate training 88.9 per cent
of the respondents have started doing so in their respective stores. This could be
attributed to the impact of the trainings imparted to health functionaries at various levels.
Maintenance of buffer stock
Before the intervention, none of the health functionaries had any idea about the concept
of buffer stock in logistics management. This concept was explained to the health
functionaries in detail during the training programs conducted at various levels. As the
net outcome, at present, nearly 65 per cent of the respondents are maintaining buffer
stocks at their respective stores.
81
Indian Institute of Health Management Research, Jaipur
Strengthening District Health System in Madhya Pradesh through Management Interventions
(b) Improvement in maintaining the stock registers
Verification of stock registers
In the similar fashion, there is substantial improvement in maintenance of stock registers
at various levels. It is also interesting to note that 96.3 per cent of the respondents
responded that their stock registers are checked regularly after the SDHS project
intervention. Before the implementation of the project activities, there was no adequate
and appropriate place available for keeping the logistics at sub center and block level.
The renovation activities facilitated them to find appropriate storage space at their
respective facilities (74.1 per cent of the respondents accepted this).
(c) Precautions at the time of procurement
As already mentioned, from supply side there is a push system, which is existent in the
district. As a result, the drugs, which are near to expiry, are usually pushed to peripheral
institutions for use. The interventions from SDHS project show substantial impact on this
aspect and at present the health functionaries take sufficient precaution at the time of
procurement of drugs.
In addition to above-mentioned improvements, there have been substantial changes in
indenting and procurement mechanism, as the list of essential drugs are presently
available and the date of indention is set by the project team in consultation with block
and district level officials.
Table 5.5: Major findings of rapid assessment
Tasks and Activities Percent
Received training on logistics and supply management 98.1
Usefulness of the training for skill improvement 100
Availability of stock register (after intervention) 100
Stock registers properly filled (after intervention) 100
Tally of consumption with the stock register and form 6 after
intervention
98.1
Knowledge on LILO and FIFO system before intervention 48.1
Arrangement of drugs as per LILO and FIFO method after
intervention
88.9
Maintenance of buffer stock after intervention 64.8
Checking of stock registers by respective higher authorities after
intervention
96.3
Availability of space for logistics after renovation and training 74.1
Availability of expiry drugs after renovation and training. 24.1
Knowledge on indention, procurement and disbursement system
after intervention
48.1
Availability of overstock or under stock after intervention 24.1
Regular indenting of drugs (as per requirement) after intervention 98.1
Availability of list of essential drug list after intervention 90.7
Decision on indenting the logistics as per need 68.5
82
Indian Institute of Health Management Research, Jaipur
Strengthening District Health System in Madhya Pradesh through Management Interventions
5.7. LESSONS LEARNT
Quite a few lessons have been learnt from the above intervention, which needs to be
taken care of if present logistics management in the district needs to be strengthened:
• The prime requisite before starting any intervention activity is training and
orientation. It should be clearly explained to the medical officers, drug store
keepers and health officials involved in the activity that the aim of the
intervention is to bring changes in the logistics and supply systems, their
active participation is crucial. Most importantly, involvement of lower level
health functionaries will certainly make the intervention more effective
• Vertical and horizontal integration of the supply chain and logistics
management is necessary. The system needs to be introduced in the entire
district and all levels, i.e. district to the sub center level. The intervention
activities may be implemented in a phased manner starting from higher level
to lower level with proper plan and time schedule.
• Training in management of stores is very important for developing requisite
competence and skills at all levels. Lack of trained manpower on logistics
management was a major problem during the phase of implementation.
• It is important to identify essential drugs and medicines at the PHC and sub
center levels. A list of critical medicines must be identified for which the
stocks should always be maintained at these levels. List of such medicines in
the OPD and indoor departments enables the doctors to prescribe these
medicines rationally.
• Display of list of available medicines in the increases awareness of people and
empowers them with the information to demand these medicines and supplies.
• The health department rather than any external agency should do monitoring
of the implementation activities regularly in order to overcome the problem of
system resistance. The medical officers, storekeepers and health functionaries
should own monitoring responsibility.
• The changes and improvements should be shared with each concerned person
in the district and block
5.7.1. SUSTAINABILITY
In order to keep the activities initiated by the project sustainable the following measures
are desirable:
• Training of drug store keepers at regular intervals on logistics and supply
management would keep the activities initiated by the project sustainable
• Monitoring and surprise check of the drug stores by supervisors at SHC level,
BMOs at the block level and the Logistics task force at block and district level
will keep the activities initiated by the project sustainable.
83
Indian Institute of Health Management Research, Jaipur
Strengthening District Health System in Madhya Pradesh through Management Interventions
• Appointment of trained store keepers, which is mostly a policy issue, would
help effective management of drug stores at different levels
• The introduction of pull system, rather than currently existent push system
would help the sustainability of the activities
• The establishment of Block Health Teams, District Health Team and Logistics
Task Force was the attempt to establish the desired processes at various levels
for appropriate logistics management. The functioning of these teams is vital
for bringing changes in the system and keeping the activities sustainable
• It is a fact that the prescription behavior of the physicians plays an important
role in minimizing the wastage of drugs and other consumables. In order to
avoid the wastage of drugs the prescription behavior of the physicians need to
be regulated by higher authorities.
• In order to manage the complicated cases needing the medicines, which are
not available at the hospital level, a drug revolving fund could be created and
the medicines could be kept at the hospital drug store itself. These drugs could
be purchased by the patients on a no profit no loss basis.
Needless to add that the interest and motivation of health officials at the district and state
level play a vital role for maintaining sustainability of initiated activities.
5.8. CONCLUSION
Within the limited period, the SDHS project team put serious effects to bring changes in
the old drug store management system in the district. It was certainly a challenging task
before the project team. The interventions were mostly implemented towards bringing
changes in present drug store management in the district. The interventions such as
training the health functionaries on various store management; developing and
implementing appropriate method of indention, procurement and distribution were
implemented at the district, block and sub center level. The project team also attempted to
renovate the existing drug stores at various levels. Though it could not be claimed that the
efforts were translated to 100 per cent achievement, the team was able to achieve positive
results from most of the interventions, especially a positive mindset and attitude. The
establishment of Logistics Task Force at the district level is one of the significant
achievements under the project. However, for sustainability of the initiated activities it is
necessary that the higher-level health officials take interest on this important managerial
aspect and act appropriately.
84
Indian Institute of Health Management Research, Jaipur
Strengthening District Health System in Madhya Pradesh through Management Interventions
ANNEXURE– 5.1
PROCEEDING OF THE MANAGEMENT TRAINING PROGRAM FOR DHT AND BHT
VENUE: IPP6, HOSHANGABAD
DATE: 12-15TH
MAY 2002
As a part of the intervention under SDHS Project a four days training programme of the
Block Health Team (BHT) and district Health Team (DHT) members of the district was
conducted at IPP6 meeting hall during 12-15th
2003. The major objective of this training
programme was to train the members of the teams on Role and Role Efficacy, Managerial
Styles, Team Building, Inter Personal Communication, Logistics Management and
Community Participation in health care. As the training load was around 40 the training
was conducted in two batches the details of which is given below:
FIRST BATCH: DATE 12-13 MAY 2003.
Name of the participants Designation
1. Dr. N. K. Bais CMHO, Hoshangabad
2. Dr. Gouri Sexana DHO, Hoshangabad
3. Dr. Nagar Civil Surgeon, DH, Hoshangabad
4. Dr. Akhtar DTO, Hoshangabad
5. Mr. Satish Patel MCH-Store in Charge
6. Mr. Rajesh Ahirwal ASO, Hoshangabad
7. Mr. A. K. Goutam Store Keeper, CMHO office
8. Mr. L. P. Yadav Accountant, CMHO Office
9. Dr. M. S. Power BMO, Dollariya
10. Mrs. Sashi Batham BEE, Dollariya
11. Mr. Mahesh Senior MPS, Dollariya
12. Mr. Rajesh Rajput Computor, Dollariya
13. Mr. Masiha Store Keeper, Dollariya
14. Mrs. Meena Rajput LHV – Sukhtawa
15. Mr. Vijay Nakul Store Keeper, Sukhtawa
16. Mr. Mahesh Panthi BEE, Sukhtawa
17. Mr. Hargovind Singh Sukhtawa
SECOND BATCH: DATE: 14-15TH
MAY 2003
Name of the participants Designation
1. Dr. G. C. Soni BMO, Sohagpur
2. Dr. M.K. Chandel BMO, Bankhedi
3. Dr. A.K. Verma BMO, Pipariya
4. Dr. Mrs. Babita BMO, Sukhtawa
5. Mr. K. S. Chawhan MPS, Pipariya
6. Mr. P. Gaur Computer, Bankhedi
7. Mr. P. N. Verma MPS, Bankhedi
85
Indian Institute of Health Management Research, Jaipur
Strengthening District Health System in Madhya Pradesh through Management Interventions
8. Mrs. Usha Rajput BEE / LHV, Bankhedi
9. Mr. S. R. Gaur NMA, Babai
10. Mr. Tiwari BEE, Babai
11. Mr. Sunil Malviya Accountant, Babai
12. Mr. Sani Storekeeper, Babai
13. Mr. S. S. Patel Accountant, Sohagpur
14. Mr. P. N. Yadav Storekeeper, Sohagpur
15. Mr. G. C. Malvi MPS, Babai
16. Mr. B. K. Gupta Incharge computer, Pipariya
17. Mr. Sultan Khan Storekeeper, Pipariya
18. Mr. R. P. Badku I/C BEE, Seoni Malwa
19. Mr. R. K. Durvey Accountant, Pipariya
Dr. K. L. Sahu, Director, DSU inaugurated the training session on 12th
May 2003. This
was followed by a brief introduction about the project by Dr. Bias, CMHO and Dr. T. P.
Sharma, Advisor of the project. The first and second session on role and Role efficacy
and Managerial styles was taken by Dr. V. N. Srivastava assisted by Dr. Sudhir Kumar.
This was a quite long lecturer where Dr. Srivastava gave the theoretical concepts on the
above aspects. Every session was followed by a summary of the session by Dr. Sudhir
Kumar.
The sessions on second day i.e., 13th
May 2003 started with a brief recap of the previous
day’s session by Dr. Sudhir Kumar. The sessions on Inter personal communication,
logistics management was exclusively taken by Dr. Sudhir Kumar with a short addition
by Dr. T. P. Sharma on how the concepts explained could be applied in practical field
situations. The last session of the first batch i.e., on community participation in health
care was taken by Dr. T. P. Sharma, Advisor of the Project.
The sessions on third and fourth day were taken in the similar fashion but with a little
deviation from the previous two days sessions. The major difference of last two days
session was that the concepts which were explained to the participants by Dr. V. N.
Srivastava was linked to the health sector which was lacking during the first two days
training given by Prof. Srivastava.
The feedback of the participants of the two batches was taken in a format developed by
IIHMR Bhopal. An analysis of the feedback of the participants on the training sessions
would help improving the other training programs that are proposed to be conducted in
the future months. Though in total 36 participants attended the training program we could
obtain the feedback from 35 participants, as one of the participant was absent on the last
day.
ANALYSIS OF THE FEEDBACK FROM THE RESPONDENTS:
The objective of the training program was clear to each participant and as was expressed
by the participants, 97.1 (34) per cent of them found the program to be relevant. In the
similar fashion 91.4 (32) per cent of the participants found the programme to be useful
for them. Since the programme was designed for BHT and DHT members of the district,
86
Indian Institute of Health Management Research, Jaipur
Strengthening District Health System in Madhya Pradesh through Management Interventions
almost all (except one) expressed that the training programme was extremely helpful for
the BHT and DHT members to improve the district health system. (Appendix Tables
5.1.1, 5.1.2 and 5.1.3).
Appendix Table 5.1.1 gives the details of the usefulness of individual sessions as
obtained from the feedback form of the participants. As multiple responses were
obtained on this aspect, the total will not add up to 35. As could be seen from the table
the session on role efficacy was highly appreciated by majority of the participants (24
responses) followed by teamwork and session on logistics management. There is a clear
indication that the BHT and DHT members who were the selective participants for the
training program and considered to have adequate knowledge on the topics taught to
them were not responsive on team building and logistics management. This may be due
to their high expectation from the trainers on logistics management and team building.
Appendix Table 5.1.1: Things, which were highly useful for the participants
in the training
Subject Number
Role and role efficacy 6
Team work 11
Team Building 8
Role efficacy 24
Logistics Management 10
All of them 6
No Response 1
Total 66
Appendix Table 5.1.2 shows the responses on the sessions that were found to be least
useful for the participants. It is interesting to note that most of the respondents have
declined to respond to this question, thus implying that the majority of the participants
were satisfied with the training program. However, only one person was not satisfied
with any of the sessions and two there were two responses who found logistics
management to be least useful in the training.
Appendix Table 5.1.2: Things, which were least useful for the participants in
the training
Topic Number of responses
No Response 31
Team work 1
Logistics Management 3
All 1
Total 36
87
Indian Institute of Health Management Research, Jaipur
Strengthening District Health System in Madhya Pradesh through Management Interventions
Appendix Table 5.1.3 gives various suggestions of the participants regarding the
improvement of the training programme. As the training was initially planned for 4 days
for each batch and subsequently due to administrative problems it was imparted in two
days for each batch it is obvious that there was lack of time for the trainers to cover all
the topics within two days. Therefore the there are many responses on increasing the
duration of training. Since multiple responses were obtained in this regard, out of total
number of responses (46) 17 responses were on giving more time for this type of training.
This response was followed by the language of training (i.e., except the doctors almost all
of them were of the opinion that the training should be imparted in Hindi) where they
have expressed their lack of understanding of the English language. This was quite
evident during the training programme as the trainers had to translate their tools from
English to Hindi while administering them. Even the evaluation forms were orally
translated in Hindi after administering them. Out of 46 responses, 11 responses were
obtained in this regard. It is surprising to note that a chunk of the respondents were of the
opinion that the training should be imparted to all the persons working in the health
department. This shows a high level of concern of those participants about the others and
they feel that if this type of training could be imparted to all the health functionaries then
there would certainly be a change in the system. The next suggestion of the participants
was to change the venue of training from Hoshangabad to either Jaipur or Bhopal. This
was mostly due to the disturbances during the training. Moreover, as expressed by some
of the participants, the training should be imparted in a calm and quite environment
instead of IPP6 hall where there are always disturbances by the outsiders as CMHO
office is attached to it. Six responses were obtained in this regard.
Appendix Table 5.1.3: Suggestions for improving the management training
Programme
Suggestions on improvement Number of responses
More time 17
Posters and mass media 1
Training for all employees 10
Imparting the whole training in Hindi 11
Change of venue of training 6
No response 1
Total 46
Appendix Table 5.1.4 gives the details of the areas where the management trainings are
needed. As multiple responses were obtained in this regard, the total number of responses
will not add up to number of participants (35). As per the suggestions recorded 12
responses were regarding the RCH programme followed by training on MIS and
community participation.
88
Indian Institute of Health Management Research, Jaipur
Strengthening District Health System in Madhya Pradesh through Management Interventions
Appendix Table 5.1.4: Additional areas where the training is needed
Suggested areas of training Number of responses
No Response 8
Record keeping 2
MIS 11
RCH 12
Community participation 5
Leadership 1
Total 39
89
Indian Institute of Health Management Research, Jaipur
Strengthening District Health System in Madhya Pradesh through Management Interventions
ANNEXURE 5.2
PROCEEDING OF THE MANAGEMENT TRAINING PROGRAM FOR
STORE KEEPERS
VENUE: IPP6, HOSHANGABAD, DATE: 9TH
JUNE 2003
A training program for all block and district level drug store keepers was organized on 9th
June 2003 at IPP6, Hoshangabad. The major objective of the training program was to
impart necessary training to drug store keepers on appropriate logistics and supply
management and improve their knowledge on this aspect so that after going back to their
respective work places some change in the logistics management is brought about. The
training session was conducted by Dr. Hari Singh, Advisor, Danida who has a very good
back ground regarding the logistic and supply management.
The training session for the logistic management was mainly contained the problem
identification from the participants, drug listing, ABC and VED analysis, Buffer Stock,
indenting and procurement. The major purpose of the training programme was to train the
storekeepers on the management of the drugs and store in their respective working place.
The list of participants is given below:
List of the participants:
S.NO. Name of Participant Designation Block
1 Mr. Atul Gour Store keeper CHC Bankhedi
2 Mr. K.S. Rathore Store keeper CH Itarsi
3 Mr. Bhaije Patel MCH Store keeper CHC Bankhedi
4 Mr. R.K.Vyas Compounder DH Hoshangabad
5 Mr. B.K.Gupta MCH Store keeper CHC Pipariya
6 Mr. Sultan khan Store keeper CHC Pipariya
7 Mr. Satish Patel MCH Store keeper DH Hoshangabad
8 Mr.s. C.Rajan MCH Store keeper CHC Babai
9 Mr. R.N.Mishra Store in charge CHC Babai
10 Mr. A.Gautam Store keeper DH Hoshangabad
11 Mr. P.N. Yadav Store Keeper CHC Sohagpur
12 Mr. M. Tandekar Store keeper BPHC Dolariya
Resource Persons:
13 Dr. Hari Singh Advisor Danida Bhopal
14 Dr. T.P.Sharma Advisor IIHMR. Bhopal
15 Dr. Akhtar DTO (Training) DTO Hoshangabad
16 Dr. Gouri Saxsena DHO (Training) DHO Hoshangabad
Project Staff:
17 Mrs.Rohini Jinsewale Research Officer Hoshangabad
18 Mr. Hemant Mishra Research Officer Hoshangabad
19 Mr. G.C.Jain SAO, IIHMR Bhopal
20 Mr. N. Raghuwanshi Field Officer Pipariya
21 Mr. Ganesh Rajput Field Officer Dolariya, Seoni Malwa
90
Indian Institute of Health Management Research, Jaipur
Strengthening District Health System in Madhya Pradesh through Management Interventions
22 Mr. Harish Batra Field Officer Sukhtawa
23 Mr. Virendra singh Rajput Field Officer Pipariya
24 Mr. Mohd. Ahte Sham Field Officer Bankhedi
The training session was inaugurated by Dr. T.P.Sharma, honorary advisor, IIHMR on 9th
July 2003. The training session started with a brief introduction on District Health system
project running in the Hoshangabad district. The training session was divided into two
parts:
1. The First part mainly contained the problems of the store keeper in maintaining
their store and the ABC classification of the drugs,
2. Second session was mainly dedicated to the VED analysis of the drugs, indenting
of the drugs, record keeping and Buffer stock.
In the starting of the lecturer was given by Dr. Hari Singh regarding the importance of
drug store in any health system. He shared that to run the hospital and to provide better
health services proper drug store management plays a vital role. Therefore, the
management of the drug store is an essential component, which is necessary for a smooth
delivery of health services. In this context, Dr. Hari Singh explained methods, which
would help the store managers to distribute and control the drugs to benefit the patients.
The training session was held in a participatory manner. The participants were asked
about the present system of flow of drugs from the top to grass root level. He gave some
vital suggestions in this regard. After the discussion, he shared the ABC classification of
analysis for the drugs. The usefulness of ABC classification was explained in detail with
examples and the method of classifying the drugs by using this method were explained to
the participants.
The second session was devoted for VED classification of drugs. He requested the
participants to classify the medicines found in their store as per the ABC and VED
classification. He also explained how these medicines should flow from one level to the
other. For this he suggested two mechanisms, FIFO and LILO. Te store managers were
requested to organize their drugs as per the first in first out and last in last out methods.
By this the store managers has to keep less number of records of the drugs as each and
every day the drugs are to be distributed to the lower level. Besides this, he also requested
to keep eye on the expiry of the medicines. As per his instruction all the recent expiry
medicines should be used as soon as possible before the expiry date. By this, the stock
amount in the block level will be less and the managers are able to manage the store more
efficiently. For this he suggested to prepare the buffer stock for each drugs. The main
objective of this was to make the indenting of the block in right time during the last time
when medicines are going to be end. According to him by doing so in the required time
when the blocks are using the buffer stock, the district will send the necessary drugs
immediately.
In the last session more emphasis was given on indenting, Procurement and disbursement
of the drugs for the better management in the store. With this, he also requested to make
the stock register up to date for getting a clear idea on the status of their stores.
91
Indian Institute of Health Management Research, Jaipur
Strengthening District Health System in Madhya Pradesh through Management Interventions
In addition to this honorary advisor took a session and he requested the store managers to
maintain the logistic system in the five sub health center chosen for development from
each block. The main purpose of this training was to share the knowledge regarding the
store and logistic management among the store managers of all the blocks and district.
The feedback of the participants was collected in a format developed by IIHMR
Hoshangabad. An analysis of those feedback collected from the participant on the
training session would help to improve the other training programs that are proposed to
be conducted in the coming future.
Feedback from the participants
Appendix Table No: 5.2.1: views regarding the training program
Responses Frequency Percent
Highly useful 8 72.7
Useful 2 18.2
Moderate 1 9.1
Total 11 100.0
Table No: 5.2.2: Things that were highly useful for the participants in the training
Responses Frequency Percent
All are very useful 9 81.8
ABC and VED analysis 2 18.2
Total 11 100.0
Table No: 3: Things that were less useful for the participants in the training
Responses Frequency Percent
Not having any power with the
store keeper
1 9.1
All are useful 10 90.9
Total 11 100.0
Table No: 5: Suggestions regarding better store management from the participant.
Responses Frequency Percent
Proper infrastructure 7 63.6
Implementation of modern store management 1 9.1
Monitoring by the medical authority from time to
time.
1 9.1
Assistant for the store manager. 2 18.2
Total 11 100.0
92
Indian Institute of Health Management Research, Jaipur
Strengthening District Health System in Madhya Pradesh through Management Interventions
ANNEXURE - 5.3
FOLLOW-UP TRAINING OF COMPOUNDER/STORE KEEPER
On 16th October 2003 a follow-up meeting of store keeper was organized to get the feed
back of previous training and the status of the stores
Issues discussed in the meeting
Present Drug supply System in the district
1. The District storekeeper informed that he maintain the two month stock with him
to distribute the blocks.
2. The block storekeeper informed that they do not received the medicines as per
their indent. Hence, they get only those medicines, which are available at district
store.
3. There are no any fixed dates to procure the medicines from store.
4. Vehicles are not available to transport the medicines.
5. There is under stock of required medicines (like antibiotic tetracycline, tab.
paracetamol, ORS packets, chlorine tab. etc., and over stock of least required
medicines or articles (like OP, Condom, surgical globes, IV fluids etc.).
Solutions suggested by the Storekeepers
1. There must be a day fixed for every block so accordingly the storekeeper can
procure the medicines.
2. Vehicle for transportation could be made available by the CMHO.
3. Stock of all the medicines must be available at district store whenever required.
4. The storekeeper suggested the medicines must be distributed in the first week of
the month or last week of the month. If storekeeper received the medicines in the
first week of the month, so they can distribute the medicines to the SHC and PHC
in second week. In addition, if they received the medicines in the last week of the
month so they can distribute the medicines to SHC and PHC in first week of the
month.
5. The storekeeper suggested that they must have one-month back-up stock with
them for meeting the emergency requirements. They do not depended upon the
district for every time.
93
Indian Institute of Health Management Research, Jaipur
Strengthening District Health System in Madhya Pradesh through Management Interventions
ANNEXURE - 5.4
LOGISTICS TASK FORCE
Task: Constitution of a Logistics Task Force (LTF) at the district level
Objective: To improve the drug store management at all the levels of the district and
keep the sustainability of the activities initiated by the SDHS project team
Composition:
1. CMHO Chairperson
2. District Store Officer Secretary
3. DHO Member
3. DTO Member
4. District drug store keeper Member
5. Project Coordinator Member
Functions:
1. Visiting the block level drug stores at regular intervals on a monthly basis.
2. Assessing the status of drug stores in the district through the discussion with the
respective block medical officers, sector medical officers and other health
functionaries.
3. Developing appropriate procedure for inventory management
4. Preparing a status report of the same and taking corrective measures after the
assessment
Indicator:
1. Number of institutions having appropriate drug store management
Output: Processes for appropriate logistics management at the district and block level
established.
94
Indian Institute of Health Management Research, Jaipur
Strengthening District Health System in Madhya Pradesh through Management Interventions
ANNEXURE - 5.5
PROCEEDINGS OF THE MEETING WITH LOGISTICS TASK FORCE
VENUE: DTC HOSHANGABAD, DATE- 16TH
DECEMBER 2003
For implementing the different activities related to SDHS project and keeping the
activities initiated by the project sustainable a meeting of Logistics Task Force (LTF) was
held under the chairmanship of Chief Medical and Health Officer of the district.
Following health functionaries of the district participated in the meeting:
Name Designation
Dr. N.K. Bais DIO, Hoshangabad
Dr. Gouri Saxsena DHO, Hoshangabad
Dr. Bamhonia DTO, Hoshangabad
Dr. Akhtar Ex-DTO, Hoshangabad
Dr. Vinay Dubey DMO, Hoshangabad
Mr. Rajesh Ahirwar ASO, Hoshangabad
Dr. T. P. Sharma Advisor, IIHMR
Mrs. R. Jinsiwale RO, IIHMR
Mr. Hemant Mishra RO, IIHMR
Mr. G. C. Jain SAO, IIHMR
In the beginning of the workshop cum meeting, honorable Advisor of IIHMR, Dr, T.P.
Sharma informed the participants that the project is coming to its end on 31st
December
2003. He also requested the participants that after 31st
December the district health team
and different task forces constituted at district level should monitor the activities initiated
by the project. In this context, the importance of LTF and its functions was explained to
the participants. In addition it was also explained how a well functioning task force
would help bringing changes in present MIS and Logistics management in the district as
well as block level. It was explained in the meeting that various task forces constituted by
the efforts from the project team is intended to work in a team approach for bringing
improvements in the present health system.
It was decided in the meeting that the LTF would visit and inspect all the drug stores at
the block level and suggest corrective measures to improve the same. The responsibility
of monitoring the drug stores at sub center level will be delegated to respective Block
Health Teams (BHTs). The LTF will meet on a fixed date of the month in order to review
the status of drug stores at block and district level so that necessary steps could be
initiated in this regard. The meeting ended with vote of thanks by the project team.
95
Indian Institute of Health Management Research, Jaipur
Strengthening District Health System in Madhya Pradesh through Management Interventions
ANNEXURE - 5.6
LIST OF ESSENTIAL DRUGS FOR SHC
1. Analgesics, Antipyretics
Paracetamol : Tab. 500mg, Syp. 125 mg/ 5ml
2. Antiallergic
Chloropheniramine maleate Tab. 4mg
Pheniramine maleate Inj.22.75 mg / ml
3. Anti-Infective Drugs
(a) Intestinal Anthelmintics
Mebendazole Tab. 100 mg
(b) Antibacterials
Sulfamethoxazole + Trimethoprim (As per RCH) Tab.100 mg + 20 mg
(c) Anti-Protozoal Drugs
Chloroquine phosphate Tab. 250 mg
(d) Scabicidies And Pediculocides
Benzyl benzoate emulsion 25%
4. Disnfectants And Antiseptics
Povidone iodine Ointment 5%
Spirit Cetrimide (3%)+ Chlorhexiidine
(1.5%)
Gention violet Solution 1%
5. Drugs Affecting Blood
Iron Folic Acid As per RCH
6. Gastro Intestinal Drugs
(a) Antacid
Magnesium trisilicate + Tab. (500mg + 250 mg)
Aluminum hydroxide
(b) Drugs Used In Diarrhoea
Oral Rehydraion Solution (WHO) As per Reproductive Child Health
7. Contraceptives
Ethinyl oestradiol + levonorgestrel As per RCH
8. Oxytocics And Antioxytocics
Methyl ergometrine maleate Tab. 0.125 mg. Inj. 0.2 mg/ml
9. Solution
Water for injection Injection
10. Vitamins And Minerals
Vitamin B1, B6, B12 Tab.10mg+3mg+15mcg
Vitamin -A Syp. 50000 IU/ml & 1.5 lac IU/ml
11. Ent And Eye Drugs
Gentamicin Ear/Eye drops (0.3 % w/v)
Source: Drug policy, Prepared by DSU, Bhopal
96
Indian Institute of Health Management Research, Jaipur
Strengthening District Health System in Madhya Pradesh through Management Interventions
CHAPTER 6
IMPROVING MANAGEMENT OF
HEALTH INFORMATION SYSTEM (HIS)
6.1. BACKGROUND
A strong and sound information system is a prime requisite for effective management of
the health care for planning, implementation and monitoring of health programmes and
services. Health information provides a sound basis for policy and decision-making, and
evolving new strategies. Unfortunately, management of health information is not given
desired importance and it one most ineffective system in health care systems. In the past,
several efforts have been made to strengthen and even develop new information system
in several projects without much headway. Most HIS projects developed a new system
and attempted to replace the existing systems. While new systems are introduced, the old
continued. HIS is an integral part of the management system, no organization wide
interventions were undertaken to support HIS. As a result, the efforts could not succeed.
Under the project strengthening district health system in Hoshangabad, the effort was to
make the existing system effective and functional rather than replacing the system with
new one. The issues in the other key management areas such as logistics management,
human resource management, were addressed along with management of health
information system for effective delivery of primary health care. The problems associated
with these areas are so deep rooted that any attempt to bring the existing system to the
track results in severe resistance from the health functionaries starting from bottom to
top. The present document reports the results of the HIS interventions, which was carried
out in Hoshangabad district, Madhya Pradesh, under this project. The basic concept was
to strengthen the existing system to make it effectively functioning.
The succeeding section gives a brief outline on the objectives of intervention. The
scenario of HIS in Hoshangabad district is given in Section 6.3. The identification of
problems associated with HIS in the district and the methods of problem identification
followed under this project is given in Section 6.4. Section 6.5 gives a brief note on the
intervention approaches and describes the whole implementation process. The
outcomes/achievements under this intervention are given in section 6.6. The results of the
rapid assessment survey are presented in Section 6.7. Section 6.8 gives the limitations of
the present intervention, lessons learnt and the sustainability of the interventions initiated
under the project. The concluding remarks are given at the end of the report.
6.2. OBJECTIVES
As mentioned above, HIS is one of the key management areas in the health sector. Prior
to describing the present HIS in the district, it must be mentioned that the present project
aimed at identifying the problems related to present HIS in the district, finding out their
solutions in a participatory approach and implementing those solutions in the field to
97
Indian Institute of Health Management Research, Jaipur
Strengthening District Health System in Madhya Pradesh through Management Interventions
facilitate data collection and recording, flow of information and use of information in
performance assessment and planning of health services.
Following were the specific objectives of the present intervention:
• To review and assess existing information system in the district
• To identify key managerial problems and issues in the existing information
system
• To develop and implement key management processes (including diseases
surveillance) in the information system to facilitate data recording and reporting,
flow of information, data analysis, assess performance and feedback
• To develop and test feasibility of Computerized HMIS in the district
6.3. HIS IN THE DISTRICT
The district health systems typically have four levels i.e. sub center, PHC, Block
PHC/CHC and district headquarters. The information system has four main functions at
various levels, namely, data generation and recording, compilation and analysis, flow of
information, utilization and feedback system.
6.3.1. Data Generation and Recording Mechanism
The data is generated mainly at the level of sub centers and primary health centers.
The health workers at these levels maintain the service delivery data and the basic socio-
demographic information of their area. Following registers are maintained at the sub
centers:
(a) Four registration registers
- Marriage registration register
- ANC Registration register
- Birth Registration register
- Death Registration register
(b) ANC service delivery registers
(c) Immunization Register
(d) Target Couple Register
(e) Family Planning Register
(f) Family survey Register
(g) OPD Register
(h) Daily Diary
(i) Stock Register
6.3.2. Reporting Mechanism
98
Indian Institute of Health Management Research, Jaipur
Strengthening District Health System in Madhya Pradesh through Management Interventions
Health workers report their weekly progress in weekly reporting formats. At the end of
the month the workers compile their weekly reported figures in Form – 6, which is the
official data reporting format on monthly progress.
In addition, the workers also prepare the following reports (the formats for which change
time to time as per the requirement of agencies supporting the programs):
(a) Complete Immunization report
(b) AFP Report
(c) Pulse Polio Report
(d) Epidemic Report
(e) FP Report etc.
6.3.3. Data Flow Mechanism
On the 16th
day of each month, the workers submit their sub-health center monthly report
to their respective supervisors in Form-6. It is thus imperative that the report consists of
the performance from mid of last month to mid of present month. The supervisions, after
receiving the report of all the sub centers under their control, compile them in form 7 and
submit to Block Extension Educator / Computer of BMO’s office between 20-25th
day of
the month. The Block extension educator or computer compiles all the sector level
reports, prepare the report for the block in form-8, and send it to the district before 5th
day
of the next month. The Assistant Statistical Officer (ASO) at the district level after
receiving the forms from block level, compile them in form-9 and sends it to the state by
10th
each month. Exhibit 6.1 demonstrates the data flow mechanism in the district.
6.3.4 Feedback Mechanism
The feedback was given generally in the staff meetings at various levels, which were
organized periodically on the fixed dates in each month. These meetings included:
Sector Level Weekly/Fortnightly Meetings: As per the instruction of the health
department of the district, the health supervisors of respective sectors need to call a sector
level meeting (usually organized at the sector headquarters on an weekly basis, preferably
Saturday) in order to review the progress of the work during the week, sort out the field
level problems faced by the health workers and finding out the solutions in a participatory
manner. The weekly work progress by the health workers are reported in the weekly
reporting format, which is prepared by the health workers themselves.
Block Level Monthly Meeting: The monthly meeting of all the health workers and
supervisors are conducted at the respective block levels on a fixed day (during the last
week) of the month. The block medical officer heads the meeting assisted by sector
medical officers, Block Extension Educator and the Computer who are posted at the
block level. This meeting is usually used as a platform for monitoring the activities
undertaken in each sector and making future strategies for implementation of the health
activities.
District Level Monthly Meetings: Each month meetings of District Programme Officers,
99
Indian Institute of Health Management Research, Jaipur
Strengthening District Health System in Madhya Pradesh through Management Interventions
BMO, Medical Officers, BEE and Assistant Statistical Officers are organized to review
the information submitted by the BMOs and feedback is given on the performance.
During the meeting, measures to improve the performance are also discussed.
Exhibit 1: Flow of data from Sub center to higher level
State
Health and Family
Welfare
Department
District
Chief Medical and
Health Officer
Block Medical
Officer
Blocks submit report on the 25th day of every
District Submits report to the state during first week of month
Sector
Supervisor
(1)
Sector
Supervisor
(2)
Sector Supervisor
(3)
SC
(1)
SC
(2)
SC
(3)
SC
(1)
SC
(2)
SC
(3)
SC
(1)
SC
(2)
SC
(3)
Sectors submit report on 20th day of every
month
SHCs submit report on 16th day of every month
100
Indian Institute of Health Management Research, Jaipur
Strengthening District Health System in Madhya Pradesh through Management Interventions
6.4. DIAGNOSTIC STUDY – PROBLEMS AND ISSUES
The existing health information system has been described in the preceding section. It
gives an impression that the existing HIS in the district is adequate and appropriate.
However, the system is not effectively functional. These are several problems. The
desired data and information is not available at various levels; there are problems with the
flow of information; competence of health functionaries; compilation and analysis;
dissemination and feedback. The major problem with the system is the deep-rooted
practices of the health functionaries that has made the existing system practically non
operational.
In order to identify problems and issues in efficient functioning of the information
system, a diagnostic study for identifying the problems related to management of health
information system was carried out at the beginning of the project. In addition, the project
also followed participatory approach (i.e., participation in the meetings at sector, section
and block level) to identify the problems and find out local solutions to the existing
problems. The following key problems were identified to be associated with the
management of HIS in the district:
• Lack of understanding of the health functionaries and supervisors about the
purpose and use of the data collected by them. They did not realize the
importance of the information planning monitoring and decision making. They
were also not aware of the health policy goals at the national and the state level.
• There was no district planning process and no district and block health plans were
available. CNAA was not undertaken, as they did not know the process.
• Lack of clarity of the performance and outcome indicators. The understanding
these indicators was highly restricted. Further, these indicators were not shared
with them.
• Lack competency and skills among the health functionaries and supervisors in
information system at large, especially compilation and analysis of information.
• Inadequacy or short supply of printed reporting formats (Form 6) and registers
which results in non- uniformity in data reporting. No sufficient stationery was
available at the sub center, sector and block levels.
• Incompleteness of registers and records was another major problem. The registers
and records were not regularly maintained for various reasons.
• Lack of understanding of reporting formats, especially Form 6, which was
essential for CNAA and district planning process. As a result, there was non/
under reporting of important information required for the planning purposes and
disease surveillance.
• Health supervisors did not properly check inaccuracies of reported data as the
records.
• No timely submission of reports to the higher next higher levels.
101
Indian Institute of Health Management Research, Jaipur
Strengthening District Health System in Madhya Pradesh through Management Interventions
• No proper compilation and analysis of information at all levels.
• Lack of feed back mechanism from higher to lower level: The main concentration
at each level has been compilation rather than analysis of the reported information
and providing appropriate feedback at different levels.
• Excess of written work due to multiplicity of reporting formats, which often
creates over lapping of information and less time to the worker to concentrate on
her/his work
6.5. INTERVENTIONS
Based on the problems and issues identified, following interventions were planned for
implementation:
• Supply of critical inputs especially various forms and registers.
• Capacity building of health functionaries on management of HIS through training
programs and workshops
• Preparation of district health plan and training
• Establishing mechanism for initiation of feedback system in the district.
• Development of computerized HMIS in the district
INTERVENTION 1: SUPPLY OF CRITICAL INPUTS
(a) Supply of CNAA Forms
Although the forms are available at district level, they are not supplied to each block in
required quantity. As a result, there was uneven distribution of forms to sub centers and
sectors. For some blocks, the forms are available in large quantity whereas for some of
the blocks the forms were inadequate. It was also found that the district health authorities
do not take any interest in this regard. Therefore, the project team took the responsibility
of distributing the forms at the sub center level. Wherever it was found that the printed
forms are not available at the SHC and PHC level, the project staff made necessary
arrangements to supply these forms and registers. Form 6, which is an essential input for
CNAA was supplied to all sub centers.
(b) Supply of Registers for Record Keeping
The recording of basic data happens at the field level. The basic data is then compiled
and translated into weekly reporting formats. The basic problem in this regard was, the
supply of registers was quite inadequate. The health workers were using four registration
registers a quite long time. Due to inadequacy of the number of pages in those registers,
the workers had to purchase ordinary registers from the market and use them as registers.
This practice poses financial burden on the workers which results in the negligence of the
workers to record the necessary data. Furthermore, as the printed registers were not made
available to them, the reporting of basic data was not maintained in a uniform format in
the entire district. Because of lack of uniformity in data recording, the workers often face
the problem of availability of some important information required by the higher
authorities and the health workers make false reporting.
102
Indian Institute of Health Management Research, Jaipur
Strengthening District Health System in Madhya Pradesh through Management Interventions
In addition to inadequate supply of four basic registration registers, other service delivery
registers were also not supplied to the health workers. In order to reduce the monetary
burden of purchasing the registers, the workers used to maintain a single register for
recording four to five types of services.
In order to solve these problems the project team supplied 10 registers each to 35 selected
sub centers. Prior to the distribution of registers the project staff made an assessment of
the extent of these problems and developed the recording indicators for the following
registers:
1. Indicators for Four Registration register
2. ANC service delivery register
3. Immunization register
4. OPD register
5. Stock register
6. Eligible couple register
7. Disease surveillance register
8. Family Survey Register
This was done on an experimental basis to see whether the supply of registers help in
accuracy and uniformity in recording and reporting. Requisite training was imparted to
all health functionaries on the columns and the contents of each column. The training
programs were conducted in respective block headquarters.
(c) Development and supply of village wise information format
The service delivery information at the village level forms the basic information required
to prepare Form – 6. It was noted that majority (nearly 80 per cent) of the workers do not
maintain consolidated village wise information still compiled form 6 is submitted by
them to their respective supervisors. Another point, which was observed during
monitoring, was that most of the health workers did not cover all the villages allotted to
them because of long distance from their respective headquarters but the information of
those villages appeared in their services delivery register. In order to rectify this problem,
the project team attempted to develop a village wise information format on a single page
that will contain all the information printed on Form 6. Such information could be
directly transferred to Form 6.
INTERVENTION 2: CAPACITY BUILDING OF HEALTH FUNCTIONARIES
Supply and distribution of Form 6 would not ensure accurate recording and reporting of
data, as most of the health workers in the district did not understand Form 6
appropriately. As Form 6 is the basis of all data reporting system, a clear understanding
of the definitions of the indicators given in the form was a prime requisite for ensuring
accurate data recording and reporting. The project team put substantial effort to train all
the health workers of the district on this important data-reporting format. The training
programs were conducted in a participatory way at the block level. The details of the
training imparted in this regard are given in Annexure – 6.1.
103
Indian Institute of Health Management Research, Jaipur
Strengthening District Health System in Madhya Pradesh through Management Interventions
(a) Training of District Programme Officers and Block Medical Officers
A five days training program for BMOs and Program officers of the district was
organized at IIHMR during 2001. The programme covered introduction to the project,
various interventions to be implemented and collaborative work. Among the various
topics covered in this program, the importance was given to Management of Human
Resources, Management of Health Information System, Preparation of District health
Plan.
(b) Training of Block and Sector level Staff
At the initial phase of the intervention it was found that lack of understanding of the
higher level health functionaries (supervisors, BEEs, Computers and Sector medical
officers and ASO) on the importance of Form 6, 7, 8 and 9 is the major factor responsible
for poor data reporting and recording. Accordingly, a training program of these health
functionaries was organized at Bhopal. Reputed MIS specialists from the state level
conducted this training program. During the training program, the participants were
explained about the definitions of each column in Form – 6. It was expected that the
training program would help in giving appropriate feedback (from higher to lower) and
ultimately help in improving the management of health information system at all the
levels.
To reinforce, another workshop cum training program of the health functionaries dealing
with HIS at district, block and selected supervisors was organized at the district level
during July 2003 in order orient them the importance of HIS in policy making purposes
and making them to realize that the figures supplied at various level are not for the sake
of reporting, rather these information could be used for planning and better management
of health services at various levels. The Reputed HIS specialist and Advisor of DANIDA,
Bhopal, conducted the training program. In this training program a detailed discussion
on Form –6, 7 and 8 was made and the definition of the indicators explained to
participants.
In addition to formal training, regular interaction and review was undertaken in the
monthly meetings at the sector and block levels.
INTERVENTION 3: PREPARATION OF DISTRICT HEALTH PLAN
Using information for performance assessment and levels of achievement, and
developing strategies based on the information available and finally developing a district
plan was a major intervention. The district health plan is an archive of policy decisions
and modus operandi for the functions of the district health services vis-a-vis the health
programs that are to be followed in the year ahead. It would contain the strategies to be
followed, the areas of concern, as well as the strategies to improve the delivery of health
services in the district. Like any other plan the district health plan states the areas where
the health programs and the health service delivery have to be strengthened. Thus, the
plan document contained clearly bench marked targets that were expected to be achieved
by the district by the end of the year.
Before project period, the targets for the health department were set by the district level
authorities, which were just passed on to the block and lower level health functionaries
104
Indian Institute of Health Management Research, Jaipur
Strengthening District Health System in Madhya Pradesh through Management Interventions
for achieving them. The sub center level health functionaries were not involved at any
stage of plan formulation. As a result, the health workers of the district had a feeling that
they are given certain targets by the health department, which they have to achieve
during a stipulated time. The concept of decentralized planning was reinforced in the
district by the project team in the year 2001-02. Subsequently the health workers were
trained on how to prepare their own plan and set the targets for themselves. This process
has brought a sea of change in the district HIS. As the workers themselves set the sub
center level targets, the degree of false reporting have been reduced to large extent
(Details on decentralized planning is given in Chapter -4).
INTERVENTION 4: MONITORING AND ON THE JOB TRAINING TO HEALTH
FUNCTIONARIES
Preparation of district health plan and setting the targets in a decentralized way was only
the initial step towards strengthening of the district health system. In order to assess the
extent to which the planned activities are implemented, the project team did a close
monitoring of the activities of the health functionaries at different levels in close
collaboration with the district and block health teams. This was mostly done through their
participation in sector, block and district level meetings. In order to ensure the correct
reporting of the day-to-day activities by health workers, the sector level meetings were
used as the platform. During each meeting the health workers were explained the
strategies to be followed to achieve the targets. Not only the information was monitored,
the workers were also explained about appropriate method of recording and reporting of
their achieved figures during these meetings. The project team also imparted necessary
on the job training to the health workers during their field visits. During sector and block
level meetings Form-6 and the basic registers were checked thoroughly by the project
team and necessary corrections made, wherever it was necessary. This approach helped
the health workers to understand the importance of correct reporting. As could be seen
from Annexure 6.2 that the degree of false reporting has been reduced over the project
period.
INTERVENTION 5: ESTABLISHING MONITORING AND FEEDBACK MECHANISM
As mentioned at the beginning of the report there was no proper feedback system in the
district starting from supervisor at sector level to assistant statistical officer at the district
level. The higher-level health functionaries compile and sent the data to their respective
superiors in hierarchy. Therefore, data compilation plays a dominant role over analysis of
data and feedback mechanism. This system, though have far-reaching negative
consequences, have never been given any importance at sector, block and the district
level.
Constitution of Task Force: Attempts to solve this problem were partially initiated
through orientation workshops and training programs which were conducted at different
levels by the project staff and external consultants. With a hope to have a permanent
solution to this problem, a district level Management Information System (MIS) Task
Force was constituted with the official order from CMHO. The terms of reference and the
responsibilities of MIS Task Force is given in Annexure 6.4. The major aim behind
constitution of this Task Force was to develop appropriate feedback mechanism and
105
Indian Institute of Health Management Research, Jaipur
Strengthening District Health System in Madhya Pradesh through Management Interventions
streamline the reporting mechanism in the district. This process was initiated a few
months before the completion of the project. Therefore, the effect of this intervention
could not be realized during the project period.
Constitution of District Health Teams: The District Health Team (DHT) was constituted
by the Order from Chief Medical and Health Officer (CMHO) order during March 2003.
The Chief Medical and Health Officer heads the team and other district health officials
i.e., DHO, DIO, Civil Surgeon, Asst. Statistical Officer, Accounts Officer, District
Training Officer, District Store Officer, District Store Keeper, one member from the
NGO and a Private Practitioner constitutes the whole team. The DHT sits once in a
month in order to review the performance and discuss various issues related to health
sector and tries to identify problems related to key management areas in the district and
solve them in the meeting through participatory approach.
Block Health Teams: The Block Health Team (BHT) was constituted by the Order from
Chief Medical and Health Officers (CMHO) order during March 2003. The Block
Medical Officer heads the team and other block level health officials i.e., Block
Extension Educator (BEE), Computer, Accountant, Drug store keeper and a senior level
supervisor constitute the BHT. The BHT sits once in a month in order to review progress
on selected indicators and discuss various issues related to health sector and tries to
identify problems related to key management areas in the block and solve them in the
meeting through participatory approach.
INTERVENTION 6: DEVELOPMENT AND IMPLEMENTATION OF COMPUTERIZED
HIS
In order to strengthen the current HIS in the district and reduce computational burden of
manual reporting system, attempts were made to develop and implement computerized HIS
software in the district. As there are several agencies working in the area of computerized
HIS, a state level workshop of all the agencies preparing HIS software was organized by the
order of Principal Secretary Health. The software prepared by all the agencies were
demonstrated in the workshop and it was decided that the software prepared by the IIHMR
project team suits to the need of the state health authorities, as the software is user friendly
and deals with the strengthening the existing information system. It was decided in the
workshop that the software prepared by the project team would be implemented in one
block of the district on an experimental basis. After its successful field-testing, a decision
regarding introducing the software in the entire district could be made.
About the software package
A team of specialists developed the software package. The software has following features:
• For making the software operational, the user has to enter login name and password.
This feature prevents other people assessing the data
• After entering the user name and password, the user can operate the software by
clicking on various options. In order to get the desired output the entry of basic data
is necessary. For data entry the software has the following steps are to be followed:
(a) Enter the name of the district for which the data is to be fed.
106
Indian Institute of Health Management Research, Jaipur
Strengthening District Health System in Madhya Pradesh through Management Interventions
(b) After entering the name of the district the software asks for basic information
pertaining to the district such as; area, number of CHC, number of PHC, number
of sub centers, number of MCH centers and other health facility related
information. In addition, some basic statistics like number of Tahsils, revenue
villages, blocks etc.
(c) Select the name of the block for which the data is to be entered. The command
prompt asks detailed information about the block and that needs to be entered.
(d) From the menu, select the name of the block and CHC for which one wants to
enter the data. The command prompt automatically asks for the information on
the infrastructure related to the health facility.
(e) In the similar fashion the software asks for the information for PHC, sub center,
village etc. which can easily be entered into the computer through command
prompt.
(f) The software is having the options for entering the information in Hindi as well
as English as required by the user.
(g) After entering the general information about the district, block, PHC, sub center
and village one can select them and enter the information related to various
health services such as immunization, ANC registration, PNC care etc. At each
step of data entry the software asks for the detailed information.
As the above basic information was necessary to make the software operational, a
household survey was conducted in one section of the block for collecting this
information. A structured questionnaire consisting of various questions relating to
required information for the software was administered in the field for this purpose. After
the successful completion of the survey the basic information was entered in the
computer by using the software and the field-testing was completed successfully. The
prepared software is able to generate the following reports:
• Monthly reports (Form, 6,7,8,9) for SHC, PHC, District
• SHC level on line information about the services provided
• Client wise information at the household level
• Information about outbreaks of disease
• Indicator wise information (i.e. Immunization, ANC. PNC etc.)
• Information on the available health infrastructure etc.
The HIS software was installed in one block (Bankhedi) of the district. The necessary
hard wares (one PIII computer along with UPS and Printer) were supplied by the project
for making the software operational. The responsibility of handling the computer and
monitoring the activities related to computerized HIS was delegated to a medical officer
posted at Bankhedi CHC. The medical officer was sent to Jaipur for a five days training
on basic operations of computer and the installed software. After successful field testing
the computer as well as the software was handed over to the block level health authorities
officially.
107
Indian Institute of Health Management Research, Jaipur
Strengthening District Health System in Madhya Pradesh through Management Interventions
6.6. OUTCOMES
Table 6.1: Outcome of the Intervention at a glance
Process indicators Number
Number of training programs for health supervisors, BEEs,
Computers and sector medical officers (at Bhopal, Jaipur and
Hoshangabad)
4
Number of Form 6 supplied and distributed 2000
Number of Trg. Programs on Form 6 for health worker and
supervisors at Block level (7 blocks for two years)
14
Number of Trg. Programs for health worker and supervisors at
Sector level (36 sectors for two years)
72
Number training programs on Form 1 at Block level (7 blocks for 2
years)
14
Number training programs on Form 1 at sector level (36 sectors for
two years)
72
Number of block health plans prepared and approved (2 years) 14
Supply of registers 350
Number of registers supplied at the district level 20
Number of registers (stock and TA/DA register) supplied at the
block level
21
Training on filling the registers (at block level) 7
Number of village wise information format printed and distributed 12000
Number of MIS task force 1
Number of meetings with MIS task force 1
Number of trainings on disease surveillance (at district level) 1
Number of training programs on computerized HIS 4
6.6.1. Analysis of achievements through secondary data
An analysis of the impact of the present intervention is given in Annexure – 6.2, 6.3 and
6.4. The assessments given in annexure have been made based on available secondary
information collected from the field, block and district levels.
In addition, a rapid assessment survey was carried out at the end of the project in order to
assess the situation of MIS after the interventions.
6.7. POST INTERVENTION ASSESSMENT
A rapid assessment of MIS interventions in Hoshangabad District was carried out to
assess the performance of the interventions. A total of 70 sub centers out of existing 153,
scattered around 7 blocks of the district were selected. .
Though it was decided that 70 sub centers would be covered during the survey, due to
unavoidable circumstances (i.e., Pulse polio program during the survey period), only 57
could be covered. The respondents were mostly the health workers (male/female)
working in different sub centers of the blocks.
108
Indian Institute of Health Management Research, Jaipur
Strengthening District Health System in Madhya Pradesh through Management Interventions
6.7.1. Salient findings
(a) Trainings received before the project
Most of the respondents (77 per cent) had the experience of working in health department
for 10-20 years. Almost all of them received training either at District / State training
center or through the training programs organized by the donor agency at state level.
Nearly 76 per cent of the respondents received training in district training center followed
by 12.3 per cent each who received their training either by some donor agency or state
training center (Table 6.2).
Table 6.2: Number of respondents received training (by source) before the Project
Organizing Agency No of Respondents Percentage
Donor agency 7 12.3
District Training Center 43 75.4
State Training Center 7 12.3
Total 57 100
(b) Pattern of reporting prior to the project
As informed by the respondents, they have to prepare various types of reports for
submission to higher authorities. It must be noted that only 43.9 per cent of respondents
used to prepare diseases surveillance report (Table 6.3). The workers used to spend 1 day
to 7 days for the preparation of these reports. It was expressed by the respondents that
before this project they were preparing the reports for just fulfilling their responsibility.
The reported figures before the inception of the project were over / under estimates of the
actual figures.
Table 6.3: Reports prepared by the health workers
Reports Number of respondents Percent
ANC report 57 100
Immunization report 57 100
Family Planning report 57 100
Monthly report (Form-6) 57 100
Weekly report 57 100
Disease Surveillance 25 43.9
Swasthya Sammmittee report 30 52.6
Malaria report 57 100
School health report 57 100
Rajiv Gandhi Mission report 32 56.1
Four Registration report 57 100
Tuberculosis report 57 100
Polio Surveillance report (AFP) 57 100
Leprosy report 57 100
Other national programmes 57 100
109
Indian Institute of Health Management Research, Jaipur
Strengthening District Health System in Madhya Pradesh through Management Interventions
(c) Trainings after the initiation of the project and impact
Improvement in quality of data reporting
All most all the respondents received the intensive on the job and classroom training
under Strengthening District Health System Project. When asked about the impact of the
training, almost all the respondents were of the opinion that all the training programs
conducted under SDHS project, were highly useful for them as the training was imparted
at periodic intervals and covered topics, which are of their day-to-day use. All the
respondents were of the opinion that they are able to understand the importance of
reporting indicators during the training programs and following the same for their day-to-
day reporting. Moreover the habit of accuracy checking before its submission is a
significant achievement under this project. This could be observed from Table 6.4.
Though a comparison between Table 6.3 and 6.4 do not give us any impressive figure on
quantitative improvement in data reporting, there is certainly a qualitative change in the
reporting system.
Table 6.4: Accuracy checking of data before submission of report (multiple
responses)
Indicators Responses
ANC Registration 57 (100.0)
No. of deliveries against the registration 51 (89.5)
Birth & Death 45 (78.9)
Three ANC check-up as per registration 52 (91.2)
Three PNC check-up as per deliveries 49 (86.0)
Immunization 57 (100.0)
All Indicators in form-6 20 (35.1)
Figures within parenthesis shows the percentage values
Improvements in other aspects
When asked about the kind of improvement after the initiation of the project, multiple
responses were recorded from the respondents (Table 6.5). The most important among
them is “accuracy in preparation of report” regarding which 57 responses were obtained,
followed by analysis and cross checking of the reported figures (54 responses), regular
and timely reporting (52 responses) etc. Table 6.5. In addition, the workers observed that
their work efficiency has been improved as compared to earlier. Presently the workers are
able to plan their work schedules in a better fashion, which has reduced the degree of
false reporting. (Table 6.5).
110
Indian Institute of Health Management Research, Jaipur
Strengthening District Health System in Madhya Pradesh through Management Interventions
Table 6.5: Type of improvement observed by the health workers
Type of improvement Number
Better planning for target achievement 39 (68.4)
Reduction in false reporting 42 (73.7)
Maintaining stock position 34 (59.6)
Regular and timely reporting 52 (91.3)
Develop understanding about indicators 56 (98.2)
Accuracy in preparation of report 57 (100.0)
Analysis and cross check of the indicators 54 (94.7)
Figures within parenthesis shows the percentage values
Improvements in availability of critical inputs
In addition to above achievements, as reported by all the respondents, there has been a
substantial improvement in the availability of data reporting formats. Form 6, 7 and 8,
which were not available at sub center, sector and block levels respectively, are now
available in adequate quantity. This shows a significant achievement under the project.
To summarize, the following are the important findings from the rapid assessment
survey:
• After the initiation of the project the training on HIS has been on the lines of
requirement of health functionaries
• Presently the workers are able to understand the importance of HIS which has
improved their reporting system largely.
• The workers are able to plan their activities in a better fashion and do not feel that
they are over burdened with the work of reporting
• Before the submission of reports, the workers are presently analyzing the reports
by them selves and cross checking the reported figures
• The SDHS project has been successful in making the reporting formats available
at each level and as per their requirement
6.8. LESSONS LEARNT
Quite a number of lessons have been learnt under this intervention.
• The health functionaries are not properly oriented on the importance of health
information system. They understand that the information that they submit in
different formats is only for the purpose of evaluating their work performance.
This understanding has created a deep-rooted habit of under / over reporting of
the figures which just indicates their better performance.
• No specific training / orientation programs are conducted at regular intervals on
MIS. The workers who are trained on this aspect before joining the job have
111
Indian Institute of Health Management Research, Jaipur
Strengthening District Health System in Madhya Pradesh through Management Interventions
either forgotten / the past trainings were quite inadequate to deal with the existing
MIS.
• There is severe resistance of the health functionaries to adopt any new method as
they feel that their present knowledge is adequate to carry out the task and any
change in that is an additional burden on them.
• The concepts of decentralized planning and target free approach have not entered
in the minds of health functionaries. As the health workers are not involved at any
stage of plan formulation, they feel that the targets are the order from the higher
authorities. This has resulted in their lack of ownership of their own plan.
• As there is no feedback mechanism, their respective higher authorities do not
point out the mistakes committed at various levels. This has resulted in false
reporting, as there is no fear from the higher authorities.
• The sector level meetings, which are meant for assessing the work of health
workers and taking corrective measures in this regard, are usually used as a
platform for the discussion of their personal problems and taken very casually.
Even in some of the blocks the sector level meetings are not conducted at all.
• The block level meetings, though conducted in each month, is only used to
evaluate the performance of the grass root level health functionaries and collect
the compiled information in form 6 and 7.
• The project could not do much in the areas of utilization of information for
policy-making purposes, as there is no feed back mechanism in the system.
However, the constitution of MIS task force was the only attempt initiated by
project.
• Installing computers at the block level where there is no specific person trained on
computers, make the introduction of computerized HIS a difficult task.
• The problem of lack of printed registers and formats will persist as long as no
initiation is taken by the higher level health officials at block and district level
6.8.1. SUSTAINABILITY
• Though attempts were made to strengthen the present HIS through SDHS project,
the success of the project team was not much as is expected. As the major
objective of the project was to set up the processes at various levels, the team
succeeded in doing so.
• The process of imparting trainings at various levels, developing decentralized
planning, supplying and distributing reporting formats, monitoring the activities
of the health workers through participation in sector and block level meetings,
establishing feedback mechanism through the formation of MIS task force,
introducing computerized HIS in the district etc. has been initiated during the
project period. It goes beyond saying that the initiation of above activities has
brought enormous change in the present system.
112
Indian Institute of Health Management Research, Jaipur
Strengthening District Health System in Madhya Pradesh through Management Interventions
• Though the supply of critical inputs such as necessary reporting formats, registers
is not a sustainable activity, it does have significant role in improving the health
information system in the district. Therefore an easy process of making the
critical inputs available needs to be devised at district and block level.
• The activities related to capacity building of the health functionaries can be made
as a sustainable activity if initiatives are taken from the District Training Center to
do so.
• No doubt that multiplicity of reporting poses severe workload on the health
workers. Unfortunately no attention could be put by the project to simplify the
reporting formats as it is time consuming and the decisions regarding the same is
to be made at higher levels.
• As per the experiences from the project, the sustainability of computerized HIS is
still under doubt, as this requires inputs such as computers, printers that are to be
installed at respective levels. Moreover, the availability of trained manpower to
operate computerized software needs to be looked into in detail. The policy
makers are required to give serious thoughts over it, as this is the future direction
towards improving HIS.
• The present project aimed at improving the HIS at primary level. The hospital-
based information also plays a vital role as hospitals consume major chunk of the
resources allocated to the health sector. Moreover since the district as well as sub
district hospitals are mostly the first referral centers, a sound information base at
the hospital level would certainly help the policy makers for their better planning
and utilization. This point needs to be taken care while any future attempt towards
improving HIS is made.
6.9. CONCLUSION
The present document attempted to describe the present HIS in the district, their problems
and the interventions initiated by SDHS project to improve the system. Apart from other
problems described in the text, the most important problem associated with the existing
MIS in the district is lack of feed back mechanism and inadequate monitoring and
supervision. No doubt that these problems emerge due to lack of manpower and money,
which is claimed to be the major factor responsible for poor reporting and recording
mechanism. Keeping these factors aside, the project team attempted to improve the
system within the existing set up. Quite a number of activities were carried out under this
project to bring a change in the deep-rooted habit of health workers in maintaining their
performance data. Apart from other aspects, training at regular intervals, training on
important aspects like disease surveillance, appropriate monitoring, and establishing feed
back mechanism helped the project team to bring substantial change in the system. The
processes initiated by the project have far reaching consequences in improving the HIS of
the district in the long run. Bringing change in a system by breaking the deep-rooted
habits of the health functionaries is no doubt a challenging task. It is therefore suggested
that the higher-level health officials keep an eye on the initiated activities for an
improved and reliable health information system in the district.
113
Indian Institute of Health Management Research, Jaipur
Strengthening District Health System in Madhya Pradesh through Management Interventions
ANNEXURE 6.1
TRAINING ON FORM 6 IMPARTED TO THE HEALTH WORKERS AT BLOCK
LEVEL
Sl.
No
Indicators Present Level of
Knowledge of the
workers
What the workers were explained
during training?
1 Total
Registered
ANC cases
All the workers were of
the opinion that each
pregnant woman should
be registered for ANC.
Unfortunately due to
workload and late
information of pregnancy
they are not able to do so.
(Point 1 a)
They were informed that registration
means reporting of 100% of ANC
cases whether they avail the public
or private facilities and the names of
the users of private facility need to
be entered in the register maintained
by the ANM.
2 Registration
within 12
weeks (early
registration)
Limited efforts were
made to register the ANC
cases within three
months of pregnancy.
The workers explained
that there are social
reasons associated with
it. (Point 1 b)
They were informed that the number
of possible pregnancies could be
estimated by looking at their
marriage registers and making
frequent visits to their respective
villages and consulting the AWWs
during their visits. Identification of
the ANC cases at the early stage
would help them avoid possible
complications during delivery and a
decision could be made on whether
the institutional delivery is required
or not. They were also explained that
more number of early registrations
reflects their work quality.
3 Three check-
ups of ANC
Cases during
pregnancy.
Except some senior level
female health workers,
others seem to have little
knowledge on this aspect.
They understand that the
community should
contact them at the time
of complications during
pregnancy. (Point 2)
Participants were explained that the
three check-ups of women are
utmost importance as during these
checkups diagnosis could be made
regarding the complications
expected during pregnancy. This
would help them for early referral of
the complicated cases. They were
also informed that the first check-up
should be during the 3-4 months of
pregnancy for taking the information
such as height, weight and pervious
history of pregnancy etc. from the
114
Indian Institute of Health Management Research, Jaipur
Strengthening District Health System in Madhya Pradesh through Management Interventions
Sl.
No
Indicators Present Level of
Knowledge of the
workers
What the workers were explained
during training?
women. The requirement of blood
and urine test should also be
explained to the clients. Second
check-up need to be carried out
during 6-7 months in order to check
the blood pressure, urine sugar level
etc. in order to avoid complications
during pregnancy. Third check-up
needs to be carried out before the
delivery to identify the position of
the child and other complication
associated with and delivery.
4 Referral of the
high risk
cases to the
nearby FRUs /
CHCs
Few participants (30 per
cent) understand the
meaning of high-risk
pregnancies. However,
when the workers are not
able to handle the cases
at SC level they send
them to nearly referral
centers. (Point 3)
They were informed that any
delivery in their working areas,
which were referred / advised by
them for institutional delivery,
should be reported under this
column of form- 6. The high risk
factor include early pregnancy,
severe anemic cases, previous
history of caesarian, aborted cases,
cases having more than five
children, Pregnancy at the late age,
patients with high BP and position of
the baby before delivery, swelling on
feet etc. These types of cases should
be referred to nearby CHC/FRU for
delivery and the workers should not
take any risk in these types of
complications.
5 TT1, TT2 and
Booster dose
There was discrepancy of
opinion on the doses of
TT immunization. Some
workers were of the
opinion that all the three
TT doses need to be
given to any ANC.
Others were of the
opinion that TT1 and
TT2 doses should be
administered to those
women who are first time
pregnant and booster
The workers were explained about
the importance of TT vaccination
and right schedule and doses of TT.
They were informed that TT1 and
TT2 doses should be given to those
women who are prime Para and to
those multi Para who has completed
two years of previous delivery. The
booster dose should be given to
those women who are multi Para and
whose younger child is less than two
years old.
115
Indian Institute of Health Management Research, Jaipur
Strengthening District Health System in Madhya Pradesh through Management Interventions
Sl.
No
Indicators Present Level of
Knowledge of the
workers
What the workers were explained
during training?
dose to those women
who are multi Para
within 2 years (Point 4).
6 Number of
pregnant
women who
are under
treatment for
iron
deficiency
Most of the workers
could not tell the
difference between 5th
and 6th
row of form 6.
They report same figures
in both the columns.
(Point 5)
The workers were informed that
there is printing error in the form.
This column indicates (row 5th
in
form 6) the number of women who
were under treatment for iron
deficiency (Extra doses of IFA
tables 100+100)
7 Number
pregnant
women given
iron tablets
Most of the workers
could not tell the
difference between 5th
and 6th
row of form 6.
They report same figures
in both the columns.
(Point 6)
Regular doses of IFA to every
pregnant woman (100 tables). Row 6
report about all the registered cases
given IFA tablets for the prevention
of anemia.
8 Referred
delivery cases
to PHC/FRU
Majority of the health
workers do not report the
figures on the number of
institutional delivery
cases (whether at
government / Private)
(Points 2.1, 2.2, 2.3, 2.4
….3.3)
The health workers were informed
that there is a difference between the
number of registered births and
number of deliveries in their form 6.
This is mostly due non-reporting of
high-risk cases. Therefore they
should keep a note of all the
deliveries in their field area weather
delivered at home or in hospital.
9 Referred high
risk infants
Majority of the workers
informed that they are
not aware about the
symptoms of the high-
risk infants hence there is
underreporting of referral
cases. (Points 3.4)
The workers were informed that
there are three main symptoms
among the infants based on which
they can refer the infants for
treatment: 1. color of infants, ( Red,
blue, Yellow). 2. Low birth weight
(weight less than 2.5 kg), 3. Babies
unable to suck milk etc. Such infants
should be referred for treatment and
their numbers should be reported as
high-risk infants in form 6.
10 Visit of the
workers after
the delivery.
Very few workers have
knowledge about the
importance of postnatal
care. Hence follow up
PNC case is low. (Points
4, 4.1)
The workers were informed that
three check-up visits should be made
by the ANM: (1) On the day of
delivery to check the status of
mother and child (2) After 7 days of
delivery to examine the uterus
116
Indian Institute of Health Management Research, Jaipur
Strengthening District Health System in Madhya Pradesh through Management Interventions
Sl.
No
Indicators Present Level of
Knowledge of the
workers
What the workers were explained
during training?
position and identify the
complications and (3) Within 45
days to check the normal position of
mother and child. The number of
women who received these three
check ups should be reported in this
row of form 6.
11 Complicated
referred cases
(PNC)
Majority of the workers
were not aware about the
complications during the
postnatal care. Therefore
there is gross under
reporting of this figure in
form 6 (Point 4.2)
The workers were advised that if the
PNC suffer from fever, uterus pain,
profound smelling discharge, breast
pain etc. they should be referred to
PHC/FRU for treatment. The total
number of such PNC cases should be
reported in this row of form 6.
12 Maternal
deaths during
pregnancy
Very few workers were
aware about the
definition of maternal
death. Therefore the
figure under this row is
always under reported
(Point 5)
The workers were informed that any
death during the period of pregnancy
and at the time of delivery should be
reported as maternal deaths. Apart
from this the deaths due to abortion
or MTP should also be recorded
under maternal death.
13 RTI / STI
cases
Majority of the health
workers did not have any
knowledge in this regard
(Points 6, 6.1…)
The participants were explained that
the cases with the symptoms of
white discharge blister at vaginal
place, itching during urination,
severe back pain etc. should be
considered as RTI/STI cases. The
number of such cases seen by the
worker should be reported in form 6.
14 Immunization
: BCG, DPT1,
2, 3; Polio 1,
2, 3; Measles
Most of the workers have
proper knowledge on the
doses and time of
immunization. It was
expressed that due to
unavoidable reasons all
the required doses could
not be given to the
children in time (Points
7, 7.1
Nothing was explained to them in
this regard. Only the workers were
queried on their reporting figures on
immunization.
15 Complete
immunization
All the workers have
adequate knowledge on
this aspect. (Point 7.1,
last row)
The workers were explained that
complete immunization means
immunization for DPT, Polio and
measles. The children receiving all
117
Indian Institute of Health Management Research, Jaipur
Strengthening District Health System in Madhya Pradesh through Management Interventions
Sl.
No
Indicators Present Level of
Knowledge of the
workers
What the workers were explained
during training?
these doses should be treated as
completely immunized child. They
were informed that if a child gets all
the vaccines as per the schedule and
completed measles vaccine by the
age of 12 months could be treated as
completely immunized child. The
number of such child should be
reported in form 6.
16 Booster doses It was reported by most
of the workers that they
concentrate only on
primary immunization.
They give the booster
doses to all the children
above 18 months
whoever comes during
immunization session.
No special efforts are
made by them in this
regard (Point 7.2)
It was informed to the workers that
the workers should provide the
secondary immunization (booster
doses) as the booster dose certifies
complete immunity from the vaccine
preventable diseases.
17 Vitamin A Though the workers have
knowledge regarding the
importance of vitamin A,
they make no special
efforts for providing this
to children (Point 8)
The workers were informed to
provide Vitamin A along with the
measles dose.
18 Childhood
diseases
(Diphtheria,
Polio,
Neonatal
Tetanus,
Measles
Though majority of
health workers have
knowledge on the signs
and symptoms of these
diseases, majority of
them did not have
knowledge on this. It was
also clearly stated by the
health workers that these
figures are grossly under
reported because of fear
from higher authorities
(Points 9, 9.1, 9.2)
The workers were explained about
the signs and symptoms of these
diseases and were requested to keep
an eye on these diseases in order to
prevent their spread over. They were
requested to report such cases so that
precautionary measures could be
initiated at the higher level for their
outbreak.
19 ARI, Diarrhea Though majority of
workers have knowledge
regarding and ARI and
The workers were explained about
the signs and symptoms of the
disease and requested to report the
118
Indian Institute of Health Management Research, Jaipur
Strengthening District Health System in Madhya Pradesh through Management Interventions
Sl.
No
Indicators Present Level of
Knowledge of the
workers
What the workers were explained
during training?
diarrhea, no adequate
attention is given by the
health workers to report
the figures (Points 9.3,
9.4)
actual figures on number of episodes
in their respective areas for the same
in form 6.
20 Infant
Mortality
The workers have
adequate knowledge on
these aspects (Points 10)
The health workers were requested
to report number of infant deaths in
their respective areas and their
causes so that precautionary
measures could be initiated from the
higher level for their prevention.
21 FP services The workers have
adequate knowledge on
these aspects (Points 11)
The health workers were requested
to provide actual figures on the
beneficiaries of spacing methods.
22 Malaria Each worker knows the
signs and symptoms of
Malaria. Unfortunately
the malaria positive cases
are under reported giving
a clear indication that the
workers do not do any
follow up visit to the
symptomatic cases.
(Point 13, 13.1).
The workers were requested to keep
the information on malaria positive
cases and report them on form 6.
23 Tuberculosis The workers have
adequate knowledge on
signs and symptoms of
the disease (Point 13.2).
The workers were requested to send
the symptomatic cases to the nearby
microscopic center so that early
diagnosis could be made. All the
positive cases should be reported in
form 6.
119
Indian Institute of Health Management Research, Jaipur
Strengthening District Health System in Madhya Pradesh through Management Interventions
ANNEXURE – 6.2
THE EFFORTS OF THE PROJECT TEAM AND IMPACT ON HIS
In order to correct the information flow in the district from the bottom to the top the
following exercise was carried out by the project team during the project period:
1. Imparting on the job training on Form 1 (Planning). This training was conducted
at the section as well as sector level. All the health workers and supervisors were
trained on this aspect and were explained how to make the plan with bottom up
approach. The health workers prepared district health plan for the years 2001-02,
2002-03 and 2003-04 with assistance from the project team.
2. Similar training on form 6 was imparted to the health workers and supervisors.
3. The targets of the health workers (which was prepared by them) was then
computerized and distributed among each worker, supervisors as well as the
BMOs (block wise).
4. The project team through attending their sector and block level meetings closely
monitored the activities of the health workers as well as the supervisors.
5. Sometimes random visits to different blocks were made to check the reporting of
health workers.
6. The feedback to the workers on their recording and reporting formats were given
on the spot during the sector and section level meetings.
The impact of the above activities resulted in the reduction of false reporting by the
health workers.
Analysis of achievement of the district and impact assessment of the efforts from the
project team
Health Indicators
Achievement
in figures
01-02
% Ach
against
target
Achievement
in figures
02-03
% Ach
against
target
Population
Eligible Couples
Number of ANC Cases registered 40124 115 36697 102
High Risk Pregnancies (Referred) 5723 109 815 15
TT1 19885 57 22513 63
TT2 22399 64 21665 61
Booster 15074 13375
Number of Anaemic cases Treated 14134 81 13571 76
No of Pregnant woman given Iron
tablets 26286 75 32607 91
Number of Deliveries 21234 68 29843 93
Deliveries by ANM /
LHV+Trained dais 17215 58 18818 61
Deliveries by others 1410 90 2536 157
Institutional Deliveries 6663 64 8376 79
Referred to PHI / FRU 1692 54 816 25
Number of high risk babies 775 25 10 0
120
Indian Institute of Health Management Research, Jaipur
Strengthening District Health System in Madhya Pradesh through Management Interventions
Health Indicators
Achievement
in figures
01-02
% Ach
against
target
Achievement
in figures
02-03
% Ach
against
target
referred
Number of women Ref. for MTPs 393 431
RTI/STI 15743 35 27840 40
BCG 22740 82 31533 105
DPT 1 24457 88 30822 103
DPT 2 23937 86 29302 98
DPT 3 24922 90 29359 98
Polio 0 4626 0 0
Polio 1 23831 86 30822 103
Polio 2 22539 81 29302 98
Polio 3 23519 85 29495 98
Measles 24471 88 29540 99
Complete immunization 23635 85 29538 99
DPT Booster (> 18 Months) 17076 69 19092 66
Polio Booster (> 18 months) 16180 65 19092 66
DT (5 Yrs) 27140 88 25822 82
TT (10 Yrs) 30367 103 33244 109
TT (16 Yrs) 31996 112 27615 94
IFA Tablets (5 Yr) 22694 148 24797 46
Vitamin A ( 9 months to 3 yrs) 22751 27 86841 54
First Dose 26074 94 26461 82
Second dose 21157 85 24508 85
Third, fourth and fifth dose 32707 107 35872 36
ARI (< 5 Yrs) 14498 24 5766 2
Given Cotrimaxizole tablets 14832 242 158372 49
Referred ARI cases 1407 229 18839 58
Number of diarrhea episodes 7134 8 1059 0
Episodes given ORS 22675 25 17383 4
Episodes referred 790 9 2399 5
Family Planning (Sterilization) 4774 51 9420 156
Couples Adopting spacing
methods 32057 62 51428 126
IUD 5556 77 7195 118
Oral Pills 7902 86 9218 102
Nirodh 24762 71 35015 136
Source: Collected from the records of Chief Medical and Health officer of the district
The following points could be observed from the table:
1. A comparison between the percentage of achievement during 2001-02 and 2002-
03 does not give us any eye-catching clue on the improvement in the performance
during the year 2002-03. This could only be attributed to the fact that due to
close monitoring by the project staff, the false reporting has reduced largely.
How?
a) The percentage achievement in the number of ANC cases registered
during 2002-03 is less than that of the previous year. If one thinks over
this point several questions would come to the mind. Is it really possible
121
Indian Institute of Health Management Research, Jaipur
Strengthening District Health System in Madhya Pradesh through Management Interventions
that one can achieve 115 percent over the target? The target calculation is
usually made based on certain estimates and Expected Level of
Achievement (ELA) is calculated by taking 30 as the birth rate for the
whole district. This type of crude estimate does not hold good for all the
blocks in the district. This rate may differ from sector to sector and even
among the sections. An experiment in this regard was done in two blocks
of the district (Dolariya and Seoni Malwa). Village wise form 6 was
printed and distributed among the health workers of the district. However
only one sector i.e., Babadia Bhau, in Seoni Malwa block could be closely
monitored. It is surprising to note that the birth rate of that sector was
quite lower than what was used for estimating the ELA. This certainly
shows a positive improvement in the quality of reporting.
b) Similar argument holds good for the other indicators (except the indicators
on spacing methods).
2. A comparison between the figures within the achievement column for 2001-02
and 2002-03 gives us the following clues on the improvement of the management
information system in the district during last two years. How?
a) If we compare the figures within the columns, for example take the case of
number of deliveries. While in 2001-02 out of total registered cases (115
percent) only 68 percent gave birth to child (as per the report), the same is
not true for 2002-03. This is a clear indication of improvement in the
reporting system and the impact of the trainings imparted during the last
year.
b) Similar argument could be put if a comparison is made within the
achievement columns for other indicators.
The above arguments become clearer if we look at the absolute figures of achievement
across and among the columns and compare it with their expected level of achievements
given below:
Expected Level of Achievements as was set by the district health authorities in
collaboration with SDHS Project Team, IIHMR
Health Indicators
ELA
01-02
ELA
02-03
ELA
03-04
Population 1057886 1085011 1123785
Eligible Couples 179841 184452 191044
Number of ANC Cases registered 34910 35805 37085
High Risk Pregnancies (Referred) 5237 5371 5563
TT1 34910 35805 37085
TT2 34910 35805 22251
Booster NN NN 14834
Number of Anaemic cases Treated 17455 17903 18542
No of Pregnant woman given Iron
tablets 34910 35805 37085
Number of Deliveries 31419 32225 33376
Deliveries by ANM / 29848 30614 31708
122
Indian Institute of Health Management Research, Jaipur
Strengthening District Health System in Madhya Pradesh through Management Interventions
Health Indicators
ELA
01-02
ELA
02-03
ELA
03-04
LHV+Trained dais
Deliveries by others 1571 1611 1669
Institutional Deliveries 10368 10634 11014
Referred to PHI / FRU 3142 3222 3338
Number of high risk babies
referred 3142 3222 3338
Number of women Ref. for MTPs NN NN NN
RTI/STI 44960 70092 47761
BCG 27759 29969 31040
DPT 1 27759 29969 31040
DPT 2 27759 29969 31040
DPT 3 27759 29969 31040
Polio 0 0 0 0
Polio 1 27759 29969 31040
Polio 2 27759 29969 31040
Polio 3 27759 29969 31040
Measles 27759 29969 31040
Complete immunization 27759 29969 31040
DPT Booster (> 18 Months) 24774 29002 27702
Polio Booster (> 18 months) 24774 29002 27702
DT (5 Yrs) 30679 31466 32590
TT (10 Yrs) 29621 30380 31466
TT (16 Yrs) 28563 29295 30342
IFA Tablets (5 Yr) 15339 54251 16295
Vitamin A ( 9 months to 3 yrs) 83212 161124 91332
First Dose 27759 32225 31040
Second dose 24774 29002 27702
Third, fourth and fifth dose 30679 99897 32590
ARI (< 5 Yrs) 61357 322248 65180
Given Cotrimaxizole tablets 6136 322249 6518
Referred ARI cases 614 32225 652
Number of diarrhoeal episodes 92036 483372 97769
Episodes given ORS 92036 483372 97769
Episodes referred 9204 48337 9777
Family Planning (Sterilization) 9420 6040 9420
Couples Adopting spacing
methods 51428 40907 51428
IUD 7195 6091 7195
Oral Pills 9218 9042 9218
Nirodh 35015 25774 35015
123
Indian Institute of Health Management Research, Jaipur
Strengthening District Health System in Madhya Pradesh through Management Interventions
ANNEXURE –6.3
IMPACT OF INTRODUCTION OF VILLAGE WISE INFORMATION FORMAT:
EXAMPLE OF BABADIYA BHAU SECTOR OF SEONI MALWA BLOCK
The project team prepared the district health plan in collaboration with the sub center,
sector and block, and district level health functionaries. In the first stage training on plan
preparation was imparted to all the health workers of the district. After the training,
workers prepared the plan for their respective sub centers. The Sub Health Center plan set
up the need for SHC as a whole not the need for individual villages under the SHC. An
innovative task was taken up in the Babadiya Bhau Sector of Seoni Malwa on an
experimental basis.
The workers of this sector were trained on setting their village wise targets for the year
2002-03 which was further divided into monthly targets. This exercise helped us to
identify the need for different category of services that are to be provided by the health
workers. After the required training on how to fill village wise formats, the forms were
supplied to them and they were requested to collect village wise information in that
format. After the data collection, they were provided with performance indicator
monitoring sheet for self-analysis of their performance.
Analysis of performance of Babadiya Bhau Sector- after the intervention.
Health Indicators 2001-2002 2002-2003
Population 21316 21850
Eligible Couples 3624 3714
Number of ANC Cases registered 593 538
High Risk Pregnancies (Referred) 96 72
TT1 474 505
TT2 315 460
Booster 215 0
Number of Anaemic cases Treated 247 230
No of Pregnant woman given Iron tablets 571 538
Number of Deliveries 408 501
Deliveries by ANM / LHV+Trained dais 736 287
Deliveries by others 0 0
Institutional Deliveries 115 72
Referred to PHI / FRU 27 142
Number of high risk babies referred 14 3
Number of women Ref. for MTPs 14 14
RTI/STI 0 1648
BCG 381 501
DPT 1 407 467
DPT 2 356 451
DPT 3 344 462
124
Indian Institute of Health Management Research, Jaipur
Strengthening District Health System in Madhya Pradesh through Management Interventions
Health Indicators 2001-2002 2002-2003
Polio 0 0 0
Polio 1 407 467
Polio 2 356 451
Polio 3 453 462
Measles 451 503
Complete immunization 786 503
DPT Booster (> 18 Months) 401 455
Polio Booster (> 18 months) 401 0
DT (5 Yrs) 568 532
TT (10 Yrs) 514 612
TT (16 Yrs) 525 472
IFA Tablets (5 Yr) 464 0
Vitamin A ( 9 months to 3 yrs) 93 2095
First Dose 342 503
Second dose 143 455
Third, fourth and fifth dose 146 1137
ARI (< 5 Yrs) 0 0
Given Cotrimaxizole tablets 16 1355
Referred ARI cases 16 54
Number of diarrhea episodes 28 0
Episodes given ORS 28 1691
Episodes referred 26 63
Family Planning (Adopted permanent methods) 104 121
IUD 106 48
Oral Pills 113 59
Nirodh 263 275
Data Analysis
• ANC registration figure for the year 2001-2002 is more than the registration
figure for the year 2002-2003. However, it is also being noted that the difference
among the number of registration and number of delivery took place. This gap is
less in the year 2002-2003.
• In the year 2001-2002 there was inconsistency of data this can be visualized from
the figure reported for number of delivery did not tally with the deliveries
conducted by ANM/LHV and other as compare to the figure mentioned for the
year 2002-2003.
• The figure for the complete immunization still needs more follow-ups; still there
is the scope for improvement in this regard.
• There is slight increase in the performance of permanent family planning method.
The data analysis shows that there is an increase in the service delivery and accurate
reporting of the figures.
125
Indian Institute of Health Management Research, Jaipur
Strengthening District Health System in Madhya Pradesh through Management Interventions
ANNEXURE – 6.4
TERMS OF REFERENCE (TOR) OF MIS TASK FORCE
Task: Constitution of a MIS task force at the district level
Objective
To improve the reporting mechanism at the district level and take corrective measures
Composition
1. CMHO Chairperson
2. DHO Secretary
3. DTO Member
4. ASO Member
5. Project Coordinator Member
Functions
1. Collection of block level performance reports on a fixed date of the month
2. Analyzing and providing regular feedback in each month
3. Imparting necessary training to the staff dealing with HIS
4. Sending the district level reports on a fixed date of the month
Indicator
1. Number of institutions sending the reports on a fixed date
2. Number of reports analyzed and feedback given
3. Number of staff trained on proper data reporting
Output: Processes for accurate data reporting, their analysis and feedback mechanism
established in the district.
126
Indian Institute of Health Management Research, Jaipur
Strengthening District Health System in Madhya Pradesh through Management Interventions
CHAPTER 7
COMMUNITY FINANCING:
RENOVATION OF SUB HEALTH CENTERS FOR ENHANCING
ACCESSIBILITY AND UTILIZATION OF HEALTH SERVICES
7.1. BACKGROUND
The concept of financing the health services through community participation is no more
new in the recent times. Evidence from different countries reveals that community
participation in health care help enhancing the demand for government run health
services, which, in turn, improves the service delivery to a large extent. The basic
question here is why there is a need for community participation in health care where the
provision of health services, in developing countries, is assumed to be the sole
responsibility of government. Several factors are associated with this concept, such as,
(a) due to resource constraint, the governments of developing as well as developed
countries are gradually curtailing their allocation towards health sector, (b) due to unique
nature of the demand for health services (i.e., the demand is supplier induced), associated
with its rising cost, the household (out of pocket) expenditure on health is increasing, and
(c) deterioration in the quality of services due to improper supervision and lack of
competence. These reasons form the basis for community participation in health care.
It is believed that community participation in health care can help improving the service
delivery system, as communities can gain their ownership through their active
involvement. Under this conceptual framework an intervention was carried out in
Hoshangabad district under the Royal Danish Embassy Funded “Strengthening District
Health Systems Through Management Interventions” project. The present document
attempts to examine the role of community participation in health care and describes the
process, out comes and lessons learnt from the experiment under the above-mentioned
project.
In Hoshangabad district the hospital-based health services (i.e., services provided through
Community Health Centers, Civil Hospitals and District Hospitals) are partially financed
through user fees that are collected through Rogi Kalyan Sammittee (RKS). The RKSs are
established at the hospital level and regulated as per the rules and regulations laid down
by the Government of Madhya Pradesh. The patients availing the services provided at
OPD, IPD and various diagnosis departments pay a nominal fee, which is usually fixed
by the members of RKS. The hospitals having RKS have autonomy of spending the
collected funds for the development of their own hospitals and the members of RKS
make decisions regarding the utilization of collected funds. Instead of going into the
details of RKS, it is necessary to note that the RKS are usually meant for curative care
and the degree of community involvement in this is negligible
As the focus of the present project was to strengthen primary health care, the RKS did not
play any significant role. Therefore, the project focused its attention on the effective
delivery of primary health care through community participation and financing. The
127
Indian Institute of Health Management Research, Jaipur
Strengthening District Health System in Madhya Pradesh through Management Interventions
present report is based on the experience of implementing community financing of health
care, especially, infrastructure development. The present document is as organized in the
following sections: Section 7.2 describes the major objectives of the present intervention.
Approaches followed for identifying the problems related to community involvement in
health care are given in section 7.3. The interventions initiated to solve the identified
problems are described in Section 7.4. Section 7.5 gives a brief description on the scope
of the present intervention and intervention approaches. The outcomes of the intervention
are given in Section 7.6. Section 7.7 presents the results of the rapid assessment carried
out under this intervention. Lessons learnt and the future course of action that is useful
for the future researchers is given in the section 7.8. The concluding remarks are
presented at the end of the chapter. It must be mentioned that the terms ‘experiment’ and
‘intervention’ are used synonymously throughout this document.
7.2. OBJECTIVES
It would be worthwhile to mention that the aims and objectives of the present
intervention was to test the feasibility of community approaches to financing health
services for effective delivery of primary health care. The following were the objectives
of the present intervention study:
• To identify the problems related to community involvement in health care through
diagnostic studies
• To plan appropriate interventions to assess the extent to which the community can
participate in primary health care delivery system in the district
• To implement the planned interventions in selected areas of the district in order to
test their feasibility in study area
• To assess the effectiveness of interventions after implementing them in the field
• To disseminate the knowledge gained and the lessons learnt during the study
• To suggest measures and approaches for effective interventions for community
participation in financing primary health care.
7.3. DIAGNOSTIC STUDIES – PROBLEMS AND ISSUES
At the initial stage of the project, diagnostic study on community financing was carried out in
order to assess the socio economic and health status, and the ability of the people to pay for a
proposed community-financing scheme. In addition, a detailed analysis of the household as
well as government expenditure on health was carried out in order to find out the justification
for community participation in health care.
During the diagnostic study a total of 301 households, scattered around 7 blocks and 3 urban
areas, were surveyed. Details of the findings from the household survey are given in diagnostic
study report. Some of the salient findings, which are useful for the justification of the
interventions undertaken on community financing, are given below:
• Total government expenditure (at current prices) on primary health care is almost stable
during last five years with small fluctuations in between.
128
Indian Institute of Health Management Research, Jaipur
Strengthening District Health System in Madhya Pradesh through Management Interventions
• The nearest public health facility was more that 5 kilometres from the place of
residence for 30 percent of the surveyed households.
• Majority of the households (more than 50 per cent) were using private health facilities
due to: (a) non availability of doctors and the required staff at the facility, (b) long
distance of health facility from their residence, and (c) poor quality of health services in
government facilities as perceived by them.
• Around 6 percent of the total household expenditure is devoted for health care, which is
slightly higher for a district like Hoshangabad.
• A major portion of this expenditure goes on purchase of medicines followed by
consultancy fees.
• The estimated per capita out-of-pocket health expenditure is around Rs.185 and
average expenditure per user of the health services is Rs.765.
• Though majority of the sample households were in favour of joining the proposed
community-financing scheme4
, they were ready to pay for the scheme for
comprehensive benefits i.e., hospitalisation, outpatient care and chronic illness.
This gives a clear indication that nobody was ready to pay for the primary health
care.
In addition to the diagnostic study, problems associated with the delivery of primary
health care, were reported during discussions and brainstorming with District Health
Team (DHT) and Block Health Teams (BHT). Some of the key problems and issues
were:
• Sub center buildings in most of the blocks were in hazardous condition due to
lack of maintenance.
• The sector level health supervisors and SHC health workers hardly work in teams.
• There was a lack of coordination between the health department staff at the grass
root level, PRIs, community and NGOs
• The SHC health workers scarcely visited villages that were inaccessible/distant
from their headquarters
• The services of JSRs and Dais who are trained by the government and available at
the village level are not used optimally.
• No proper sanitation and hygiene was maintained in the villages. This leads to
spread of diseases, which could be prevented at the local level if preventive
measures are initiated.
4
Proposed scheme: Since most people do not have adequate saving for unexpected health care needs, a fund will be created for the purpose. The
community will manage the fund with contribution from the individuals who will be the members. The responsibility of handling the funds
collected through community contribution will be assigned to a person commonly agreed by the members. Each person contributing for the fund
would be provided the requisite money during his or any member of his family's illness. The money would be returned to the committee within a
stipulated time and with a nominal interest or interest free, the decision regarding which would be taken in a common forum. Persons contributing
for this fund can withdraw his / her membership from the scheme if he/she feel the scheme to be unsatisfactory.
129
Indian Institute of Health Management Research, Jaipur
Strengthening District Health System in Madhya Pradesh through Management Interventions
• The villagers of the inaccessible/far off villages faced severe difficulties during
emergencies, as the higher-level health facilities are located at the block or district
headquarters.
7.4. INTERVENTIONS
Based on the results of diagnostic study and discussions with DHT and BHT members,
interventions were planed for implementation. These included:
• Renovation of selected sub-center buildings
• Making sub-centers functional
• Opening up of village health centers at the village level
• Constitution of village health teams
• Establishment of Gramin Swasthya Kalyan Rosh
INTERVENTION 1: RENOVATION OF SELECTED SUB-CENTER BUILDINGS
It was expected that the renovation of sub centers through community participation would
help in enhancing: (a) the utilization and therefore the demand for government run health
services, (b) the equity in the delivery of primary health care and (c) the quality of
services through health functionaries in SHCs. The assessment of the achievements of
sub center renovation was made based on pre decided indicators.
(a) Selection of Sub centers
Thirty-five sub centers, scattered in seven blocks of the district, were selected for
renovation through the participation of community and its representatives. The sub
centers were selected after consultation with respective Block Medical Officers of the
district. The sub centers were selected on the basis of commonly agreed criteria:
• The location of SHCs needs to be in a government owned building
• At least one health worker / service provider should be staying at the sub center or
close to the sub center.
• The building should be in such a condition that it could be renovated during the
project period.
The list of selected sub centers (block wise) taken for renovation under the project is as
follows:
Pipariya: Kherikala, Sehelwada, Pousera, Dhanashree, Lanjhi
Bankhedi: Junheta, Piparpani, Bhairpur, Paraswada, Mahuakheda
Babai: Anchalkheda, Gujarwada, Sirwad, Nashirabad, Ankhmou
Sukhtawa: Pandukhedi, Kalaakhar, Daudijhunkar, Toronda, Pathrota
Dolariya: Misrod, Sawalkheda, Kandrakhedi, Rampur, Nanpa
Seoni Malwa: Shivpur, Archanagaon, Dhekna, Basaniyakala, Nandarwada
Sohagpur: Ranipipariya, Kamti, Isharpur, Macha, Banskhapa
130
Indian Institute of Health Management Research, Jaipur
Strengthening District Health System in Madhya Pradesh through Management Interventions
(b) Components of Renovation
Following items were selected for sub center renovation:
Cleanliness: The inside as well as the surroundings of the selected SHCs was found to be
extremely unclean and dirty. Therefore, it was proposed to clean the same under this
intervention.
White Washing: As a part of the cleanliness of the sub centers, it was proposed to
whitewash all the selected sub centers under this intervention.
Minor repairs: In addition to the cleanliness, it was also proposed to carry out the minor
works such as repairing of walls and rags inside the sub center through community
participation.
Painting on Wall (services and tour plan): In order to make the beneficiaries aware about
the availability of various services and staff, it was proposed to paint the sub center walls
containing the services available in the sub center and the tour plan of the sub center staff
Supply of Furniture: The necessary furniture such as; examination table, chairs, benches
etc., required for delivering patient care were not available at selected sub centers. In
addition, the sub centers did not have the almirahs and wooden rags for keeping the
drugs. Under the intervention, it was proposed to provide the necessary furniture for
patient care and better logistics management.
Nameplate of SHC: It was proposed to paint the nameplate of the sub centers and
wherever there were no nameplates, to provide them through community.
INTERVENTION 2: MAKING SUB-CENTERS FUNCTIONAL
(a) Constitution of Sub Health Center Teams (SHCT): Formation of Sub Health
Center Teams (SHCT) in order to bring better coordination among the health
functionaries, PRIs and NGOs working in that area. The team approached was adopted
for keeping the renovated sub centers sustainable. The basic objective of formation of
such teams was intended to keep the activities initiated by the project team sustainable.
The team was proposed to be formed by the order from Block Medical Officer. A
separate TOR was prepared for the sub center teams.
(b) Supply of Registers, Form 6 and training: Each sub center was supplied with at
least 10 registers for the maintenance of basic data on services provision and stock of
logistics and provide training on management of Health Information System (HIS) and
logistics.
(c) Checklist of Quality Assurance: Sub centers are meant to provide various primary
health care services such as ANC, PNC, Immunization, and Family planning etc. to the
people residing within its periphery. Though the SHC staff provide these services, due to
lack of periodic training the services provided by them lack appropriate quality. In order
to bring better quality in the services delivery, seven quality checklists related to various
services were proposed to be supplied to the selected sub centers.
(d) Checklist of PRI (Sarpanch): Under the decentralization process, it is proposed by
the Government of Madhya Pradesh to handover all sub centers in the state to their
respective Gram Panchayat for their maintenance. The members of gram Panchayat are
131
Indian Institute of Health Management Research, Jaipur
Strengthening District Health System in Madhya Pradesh through Management Interventions
required to monitor activities of their sub centers. As most of the PRI members are not
aware about their responsibilities (found through diagnostic study on PRIs), it was
proposed to provide a checklist containing various responsibilities of PRI members. It
was also decided that the checklist would be made available to all the selected sub centers
taken for renovation under the project (Annexure 7.4-7.5).
(e) Preparation of SHC plan: It was proposed to prepare the action plan of the selected
SHCs in order to orient the SHC staff about the project activities and improve the
supportive supervision to carry out the activities in the field.
(f) Working Time SHC: Most of the sub centers remain closed for 4-5 days in a week.
This results in under utilization of available services at sub centers. The project team
made efforts to keep the center open with the help of SHC team members.
In addition to sub center renovation, following activities were also carried out under this
intervention:
INTERVENTION 3: OPENING UP OF VILLAGE HEALTH CENTERS
Initiation was made to open at least 35 Village Health Centers (VHC) at the remote
villages of the selected sub centers which are usually cut off during the rainy seasons or
inaccessible to the villagers due to lack of transportation. There are three major reasons
for opening the VHCs:
• The village health centers would help bringing the health services to the door
steps of the people which will help in enhancing the utilization of government
health services
• This would help the villagers to avoid unnecessary and painful travel to higher
facilities for getting basic care
• The opening up of village health center was also aimed at utilizing the available
health manpower at the village level. For example, JSRs and DAIs are available at
the village level, but due to lack of coordination, their services are not utilized to
the extent it should be. Moreover, at present they are external agents to the
system. The opening up of village health centers was an initial attempt towards
internalizing them within the system.
INTERVENTION 4: CONSTITUTION OF VILLAGE HEALTH TEAMS
To form Village Health Teams (VHT) in order to utilize the services of JSR and Dai who
are available at the village level. It was expected that the team would help the activities of
village health centers sustainable after the completion of the project.
INTERVENTION 5: ESTABLISHMENT OF GRAMIN SWASTHYA KALYAN KOSH
To initiate Gramin Swasthya Kalyan Kosh (GSKK) at selected places of the district for
maintaining good sanitation and meeting the expenses during emergency health situations
at the village level.
7.5. IMPLEMENTATION PROCESS
A sub center where all the above activities were carried out with the support from the
community, PRI and project team is called a completely renovated sub center. The field
132
Indian Institute of Health Management Research, Jaipur
Strengthening District Health System in Madhya Pradesh through Management Interventions
officers, supported by respective research officers, carried out the intervention activities.
The following method was followed to carry out the proposed activities under this
intervention:
Activity 1: Preparation of TOR
In order to make the intervention activities successful the project team followed a
systematic approach. The Terms of References (TORs) for Sub Health Center
Teams (SHCT), the Village Health Centers (VHC), and Village Health Teams
(VHT) were prepared (Annexure – 7.1-7.3).
Activity 2: Motivating The Community For:
(a) Sub center Renovation
Motivating the community to carryout the renovation of selected sub centers was a
challenging task for the research team. It was difficult mostly due to lack of interest of
communities to help in carrying out this activity. As these activities have monetary
implications, the community was somewhat resistant at the first phase of implementation.
After repeated approaches (meetings) with community members, a few of them (Sarpanch
and other Panchayat members) showed interest on this activity. As the implementation
phase was very short, and several activities were to be carried out during this phase, the
project team concentrated on these small segment of the community who showed interest
in carrying out the renovation activities. To state specifically, the project team tried to
approach the larger segment of the community through the Sarpanch and other Panchayat
members.
The larger segment of the community was motivated through the Gram Sabha meetings
where the proposal for carrying out any developmental activities in the village is
discussed and decisions are made. Thus, the involvement of the whole community in
carrying out sub center renovation activities could be argued for in those meetings.
(b) Formation of SHC Team
For keeping the activities carried out in SHC sustainable the sub center health teams were
formed with the following persons as members; Health Supervisor’s, MPW’s, JSR,
AWW and Trained Dai. The Sarpanch of the village was proposed to head the team. The
order of the formation of SHC team was issued by BMO’s/Panchayat office.
(c) Establishment of Village Health Center (VHC) and Village Health Team
As mentioned above, the VHCs were proposed to be opened at inaccessible places.
Though a little amount of money was involved in opening the VHCs, motivating the
villagers for this activity was certainly a challenging task. The initiation for opening the
VHCs was made through meetings organized by the project staff at village level. The
benefits of opening the health center at the village level were explained to the villagers in
the meeting. It was pre decided that the village health centers should be opened in any of
the three places i.e., Panchayat Bhavan, Anganwadi Center or in a building donated by
the villagers / any member of the village. Therefore, the communities were to be
motivated for making some space available for VHC. Gram Sabha was used as platform
for community motivation. After discussing the health issues of the villages in the Gram
Sabha and their possible solutions through VHC, the villagers were ready to donate some
133
Indian Institute of Health Management Research, Jaipur
Strengthening District Health System in Madhya Pradesh through Management Interventions
place in either of the above-mentioned places. Though in most of the cases, the village
health center was opened in the Panchayat Bhavan and the Jana Swasthya Rakshak (JSR)
was given responsibility for running the center, attempts were made to run the VHCs
from Anganwadi centers since there is a close linkage between the services provided
through the Anganwadi centers and the proposed village health centers. After repeated
interactions with the communities, the implementation team could arrange for the
required space for VHCs.
(d) Procurement of Medicines
A detailed discussion on opening of village health centers in the district was made with
the district authorities during the meetings with District Health Team (DHT). The DHT
members appreciated the concept and approved that the health department will supply the
medicines for village health centers. In this connection, Chief Medical and Health Officer
of the district issued a letter to all the Block Medical Officers (BMO) to supply the
necessary medicines to VHCs. In order to keep the village health centers sustainable it
was decided that the block level drug store keepers should supply the medicines through
the concerned health workers and supervisors so that the medicines could be made
available at regular intervals.
In order to look after the day to day functioning of the village health centers a team
consisting of Panch of the village, JSR, AWW and Trained Dai was formed for each
VHC. The places where the NGOs are operational a NGO member was also included
within the team.
(e) Formation of Gramin Swasthya Kalyan Kosh
The immediate question after the opening of the village health centers was how to keep
them sustainable? As persons operating the village health centers were proposed to take
care of all preventive aspects such are sanitation and cleanliness within the village, the
need for money to carryout this activity was felt. Moreover, the concern of the project
team was to facilitate the villagers for meeting emergency health expenses such as
transportation of complicated deliveries to higher facilities. This idea gave birth to the
concept of Gramin Swasthya Kalyan Kosh (Village Health Welfare Fund). The villagers
were explained about the use of the Kosh and as a net result there was not much difficulty
to collect the funds from the villagers to open such a Kosh at village level.
The villagers were requested to contribute voluntarily for the Kosh according to their
ability to pay. The money so collected was deposited in the nearby post office / bank in a
joint account. The names of the account holders were decided by the villagers themselves
and passed in Gram Sabha. The contribution of each household in the village for the
Kosh helped in bringing the ownership of the villagers towards the village health centers.
7.6. FINANCING MECHANISM
(a) Contribution from Communities and PRI
For carrying out the above activities, no direct contribution was received from the
government. The monetary contribution for carrying out the sub center renovation
activities was mostly received from the PRIs and some members of the community. As
contribution from the project was going against its basic philosophy, there was no direct
134
Indian Institute of Health Management Research, Jaipur
Strengthening District Health System in Madhya Pradesh through Management Interventions
monetary contribution from the project budget for carrying out these activities. Table 7.1
gives the amount collected from Communities and Panchayats to carry out the renovation
activity. The contribution of communities in kind is excluded from the calculation. The
opportunity cost of time spent by PRIs/Community members for supervising the
renovation work is calculated based on their monthly income and should be treated as
approximate figures only. The contribution from the project is given in Table 7.2. The
details of the contribution (block wise) for each sub center are given in Annexure 7.6.
Table 7.1: Summary of contribution from PRIs/NGOs, Community and indirect
cost of supervision for SHC renovation
Name of the
block
Commun
ity
PRI and
NGO
Indirect
cost of
No of
SHCs
AC
(Rs.)*
AC
(Rs.)**
Babai 3500 10400 3000 5 2780 3380
Bankhedi 1800 64400 2500 5 13240 13740
Dolariya 0 24800 5000 4 6200 7450
Pipariya 0 40200 3000 5 8040 8640
Seoni Malwa 0 18500 2500 3 6166 7000
Sukhtawa 0 23000 3000 3 7666 8666
Sohagpur 1000 10600 4000 3 3533 4867
Total 6300 191900 23000 28 6803 7677
Average 900 27414 3285 28 6803 7677
Note: Indirect cost includes the cost of supervision in carrying out the renovation activities and are
approximate figures only
* Average cost excluding indirect cost
** Average cost inclusive of indirect cost
(b) Contribution from the project
Though, there was no major monetary contribution from the project for sub center
renovation, the project made arrangements of the following for completing the renovation
work of the selected sub centers:
Supply of Registers and form 6: All the selected 35 sub centers were supplied 10 registers
each for maintenance of basic data. The average cost of each register was Rs.40/-. Total
cost incurred in supply of registers under this intervention is around Rs.14,000.
Nameplate of SHC and painting on wall: On an average Rs.292 per sub center for 24
renovated sub centers. The total cost incurred by the project Rs.7150.
Distribution of quality assurance and PRI checklist: A total amount of Rs.2784/- was
spent by the project team for carrying out this activity in the selected sub centers. It must
be remembered that the checklists were prepared and distributed for all sub centers in the
district.
In addition to above activities the project team also prepared the sub center level plan for
35 selected centers and helped in forming the Sub Health Center (SHC) team. A
summary of the contribution from the project for carrying out this activity is given in
Table 7.2.
135
Indian Institute of Health Management Research, Jaipur
Strengthening District Health System in Madhya Pradesh through Management Interventions
(c) Supervision of SHC renovation work
The renovation activities were mostly supervised by Panchayat persons supported by the
health workers and supervisors of the respective sub centers. In some of the blocks such
as Dolariya, Sukhtawa the NGOs were also involved in renovation activities. As PRI
intervention was going on in Pipariya block, the Local Resource Persons engaged by the
project, supervised the renovation work in that block. However, the field officers and
research officers in charge of the respective blocks supervised the overall works carried
out for sub center renovation.
Table 7.2: Summary of indirect contribution from Project for SHC renovation
Name of the
blocks
Supply of
registers /
form 6
Painting on
wall (services
availability and
tour plan)
Supply of QA
and PRI
Checklist
Painting and
supply of
Nameplate
Total
C
o
s
t
No of
SHC
Total
Cost
No of
SHC
Total
Cost
No of
SHC
Total
Cost
No of
SHC
Babai 2000 5 1050 3 435 5 0 3
Bankhedi 2000 5 600 2 435 5 100 2
Dolariya 2000 5 1200 4 348 4 0 4
Pipariya 2000 5 1750 5 435 5 0 5
Seoni Malwa 2000 5 500 4 348 4 0 4
Sukhtawa 2400 6* 1500 5 435 5 0 5
Sohagpur 1600 4 400 1 348 4 150 1
Total 14000 35 7000 24 2784 32 24
Average cost
(Rs.) 400 292 87 10.4
Note: 1. Though the QA and PRI checklist was supplied to all SHCs in the district, the above calculation is
made only for 35 selected sub centers.
2. The registers supplied to district and block level authorities are excluded from the calculation.
3. The average project cost for each activity= [Total cost of activity/No. of SHCs where activities were
carried out]
* On the demand of health workers, 10 registers were supplied to Sankheda SHC of Sukhtawa block.
7.7. OUTCOMES
(a) SHC Renovation: The project team put substantial efforts for achieving the
objectives related to this intervention. A total number of 34 sub centers were renovated
during the project period. A sub center where all the 12 proposed activities are completed
during the project period have been given a score of 100 per cent. The percentage
achievement of each individual sub centers are calculated on the basis of number of
activities completed during the project period. The achievements of Babai, Bankhedi,
Dolariya, Pipariya, Sukhtawa, Seoni Malwa and Sohagpur are 86.9, 73.9, 77.0, 100.0,
90.2, 77.0 and 62 percent respectively. Thus, the average achievement for the district as a
136
Indian Institute of Health Management Research, Jaipur
Strengthening District Health System in Madhya Pradesh through Management Interventions
whole is 81 per cent (Table –7.3). Details on the activities (indicator wise) carried out in
each block are given in Annexure – 7.7.
137
Indian Institute of Health Management Research, Jaipur
Strengthening District Health System in Madhya Pradesh through Management Interventions
Table 7.3: Achievements on Sub Center Renovation
Name of the block Name of the SHCs Achievement (%)* Average
achievement (%)
Babai Anchalkheda 100
86.9
Gujarwada 100
Ankhmou 100
Sirwad 75.6
Nashribad 58.8
Bankhedi Junheta 84
84
Paraswada 84
Bhairapur 67.2
Piparpani 67.2
Mahuakheda 67.2
Dolariya Kandrakhedi 100
77
Misrod 100
Nanpa 100
Sawalkheda 75.6
Rampur 8.4
Pipariya Sehelwada 100
100
Kherrikala 100
Pousera 100
Taronkala 100
Dhanashree 100
Sukhtawa Taronda 100 90.2
Pathrota 100
Kalaakhar 100
Daudijhunkar 75.6
Pandukhedi 75.6
Seoni Malwa Basaniya 100
77
Nadarwada 100
Dhekna 100
Shivpur 67.2
Archanagaon 16.8
Sohagpur Ranipipariya 100
62
Kamti 84
Isharpur 84
Banskhap 0.0
Machha 42.0
Total achievement for the district (34 sub centers renovated) 81
Note: The block wise average achievement = [Total percentage achievement (block wise)/5]
The percentage is calculated based on selected 12 indicators as given in Annexure –7.7. The sub centers
showing less than 100 per cent indicates that not all the proposed activities could be carried out during the
project period.
138
Indian Institute of Health Management Research, Jaipur
Strengthening District Health System in Madhya Pradesh through Management Interventions
(b) Village Health Centers: Though attempts were initiated to open 35 Village Health
Centers (VHC), the project team was able to open only 27 Village Health centers out of
targeted 35 (i.e., 77.14 per cent achievement) Table- 7.4. This was mostly due to lack of
time in motivating the community for this activity. Closely linked to opening up of VHCs
are the other activities such as: (a) Formation of Village Health Kalyan Team, (b)
Institution of Village Health Kalyan Kosh and (c) Proof of institution of Kosh (photocopy
of the passbook). These activities are indicators for a full-fledged VHC. The VHCs where
all these three activities were completed during the project period are taken as completely
operational. For each of these indicators an aggregate score of 33.4 percent is given.
Thus, the village health centers where all three activities were completed were given a
score of 100 per cent. The average achievement of the project in this regard is around 44
percent. The details of the proposed activities for an operational VHC and their
achievement (Block wise) are given in Annexure – 7.8.
Table 7.4: Status of village health centers in the district
Name of the block Name of the Villages Status of village
health center*
Average (%)
Babai Jawli 100
46.7Modapar 33.4
Khargabalidhana 66.8
Premtala 33.4
Bankhedi Padri thakur 66.8 20.0
Kapoori 33.4
Dolariya Mangwarii 100
80
Suparli 100
Rojada 100
Palanpur 100
Pipariya Sanghai 100
46.7
Kherua 33.4
Kumhawad 33.4
Sarra 33.4
Bhamhori 33.4
Sukhtawa Somalwada 66.8
40.1Kandaikala7 66.8
Pandhari 66.8
Seoni Malwa Rawanpipal 66.8
26.7Malapad 33.4
Baisadeh 33.4
Sohagpur Ajnari 100
46.7
Mahuakheda 33.4
Sosarkheda 33.4
Nimhora 33.4
Ajera 33.4
For the entire district (26 VHCs) 43.8
Note: The block wise average achievement = [Total percentage achievement (block wise)/5]
* The achievements are calculated on the basis of three selected indicators.
Though the project targeted at opening up of 35-village health centers, only 27 of them
could be completed. The following factors were mostly responsible for this:
139
Indian Institute of Health Management Research, Jaipur
Strengthening District Health System in Madhya Pradesh through Management Interventions
Problems from community
• The poor service delivery system at village level demodulated the community to
start up the process by arguing that infrastructure could not act as a catalyst for
the delivery system.
• Chance of fraud with the membership also decreased the rate of community
participation
• Reluctance of higher income groups in participating
• Poor monitoring from the members of the community.
• Extra burden and non-cooperation from the community in right time.
• No cash income at a proper collection time.
• Dependency on the implementing agency was the root cause of the failure in
some region.
Problems of implementing agency
• Lack of sufficient time due to late implementation
• Non- cooperation of the health workers and health officials in the selected
implementation area.
• Frequent change of field staff during the time of implementation.
(c) Gramin Swasthya Kalyan Kosh: As mentioned above, attempts were made to
establish Gramin Swasthya Kalyan Kosh (GSKK) at the places where the village health
centers were opened. The project team could establish GSKK at 13 villages where the
VHCs were opened. In Pipariya block, apart from opening GSKK in the proposed
villages, the GSKK was also established in other villages namely Dokhrikheda,
Thutadehelwada, Sehelwada and Madho. In Bakhedi block the GSKK was also
established at sub center level i.e., Junheta. The details of the amount collected from
community for this Kosh and deposited in the nearby post office are given in Table 7.5.
Table 7.5: Name of the villages where GSKK established and amount deposited
Name of the block Name of the village Amount deposited (as per
the pass book obtained)
Babai Jawli 300
Khargabalidhana 240
Bankhedi Junheta 240
Pandri Thakur 400
Sohagpur Ajnari 900
Seoni Malwa Ravan Pipal* 5000
Pipariya Dokrikheda 130
Sehelwada 200
Thuta Dehelwada 125
Madho 150
140
Indian Institute of Health Management Research, Jaipur
Strengthening District Health System in Madhya Pradesh through Management Interventions
Name of the block Name of the village Amount deposited (as per
the pass book obtained)
Sanghai** 400
Dolariya Palanpur* 6096
Mangawari* 530
Rojda* 2640
Kandrakhedi* 1500
Sukhtawa Somalwada** 300
Kandaikala** 150
Pandri** 160
* The GSKK is merged with Mahila Mandal.
** Passbooks could not be collected during the project period.
7.8. POST INTERVENTION ASSESSMENT
At the end of the intervention phase, the project team carried out a rapid assessment
survey in order to assess their achievements under this intervention. Random sampling
was followed for the selection of sample households. The households who were directly
or indirectly involved in the process of intervention and those who were not involved in
intervention process constituted the sample for interview. The households were
interviewed based on questions of a structured questionnaire. A total number of 122
households scattered around seven blocks of the district were selected for the interview. It
must be noted that the number of respondents in each block were selected on the basis of
their respective achievements. Most of the respondents (around 64 per cent) were males.
7.8.1. Salient findings
(a) Knowledge and awareness of renovation
About two-third households (68 per cent) were aware of the activities initiated for
renovation of sub centers. Of those who were aware about the renovation activity, 70 per
cent were actively involved in the renovation process.
(b) Role of the Community in renovation
The community played their own role in renovation of sub centers. More than 50 percent
of the households participated in the renovation work by making monetary contribution;
contribution in kind; donating labour; and motivating households. Table 7.6 shows that
one-fourth of sample households played important role in motivation. About 18 percent
households paid cash.
Table 7.6: Role of the respondents (who told yes) for their role in renovation process
Role Number of households Percent
Contributed cash 23 18.85
Contribution in kind 4 3.28
Donated Labor 9 7.37
As motivators 31 25.4
Subtotal 67 54.91
No Contribution 61 50.0
Total 128 104.9
141
Indian Institute of Health Management Research, Jaipur
Strengthening District Health System in Madhya Pradesh through Management Interventions
Note: Multiple responses recorded
142
Indian Institute of Health Management Research, Jaipur
Strengthening District Health System in Madhya Pradesh through Management Interventions
(c) Utilization of health services by respondents
Households with knowledge about SHC renovation were enquired on their willingness to
utilize the SHC services after renovation. About 86 per cent of them opined that they
would use the SHC services in the future as they found that the services have improved
after the renovation.
Whether renovation of sub centers has improved access and utilization of services? Most
of the respondents visited the health facilities for receiving the health care that are
primary in nature Around 52 percent of the respondents told that they have received some
kind of health services from their sub centers during last one year.
The services mostly used were: General medical care (45.9 per cent). However, a fairly
large proportion of them availed immunization services (18.85 per cent). Table 7.7.
Table 7.7: Reasons for visiting the sub center during reference period (1 year)
Reasons Service Users
(N=122)
Percent
ANC 14 11.47
PNC 7 5.73
Family Planning 12 9.83
General treatment (Fever, Cold,
First aid, Diarrhea, ARI, Malaria)
56 45.9
Immunization 23 18.85
Note: Multiple responses recorded
(d) Status of Sub centers after renovation
In order to assess the status of SHCs after renovation, the respondents were asked various
questions relating to the availability of furniture, utilization of the services provided etc.
Out of 61 persons who played active role in the renovation process, around 80 per cent of
them were of the opinion that the necessary furniture are available after the SHC
renovation. It is quite encouraging to note that the utilization of the health services has
improved substantially as more than 90 per cent (58) of the respondents replied that the
utilization of the health services available in the SHCs has improved.
(e) Awareness and Utilization of GSKK
It was noted that nearly 83 per cent of the total respondents were aware about the concept
of Gramin Swasthya Kalyan Kosh (GSKK), thus giving us a strong evidence of the
success of the project team in this regard. The evidence becomes stronger when we find
that respondents who were aware about the Kosh, 71.2 per cent of them contributed for
creating the Kosh. They contributed from Rs. 10 to more than Rs. 100 to the local fund at
the village level (Kosh) Table – 7.8.
143
Indian Institute of Health Management Research, Jaipur
Strengthening District Health System in Madhya Pradesh through Management Interventions
Table 7.8: Amount contributed by the respondents for GSKK
Contribution in (Rs.) Frequency Percent
>100 20 16.4
50 – 99 8 6.6
20-49 11 9.0
10-19 30 24.6
5-9 3 2.5
No contribution 50 41.0
Total 122 100.0
When the respondents were asked about the type of services they would like to avail from
GSKK, it was significant to note that most of the respondents were worried about the
sanitation and hygiene in their respective villages (50 per cent). This is certainly a
positive achievement indicating that the people are aware about the importance of
primary health care in the district (Table – 7.9).
Table 7.9: Types of services the respondents would like to avail from GSKK
Responses Frequency
Transportation of emergencies 79
For maintaining better sanitation and hygiene in village 99
For services charges to JSR and AWW 8
For renovation of SHC time to time 15
Total 201
Note: Multiple responses recorded
Most of the respondents (72.1 per cent) were hopeful that the concept of GSKK can be
explained to the people and Koshs could be established in other villages.
These observations could be summarized as under:
• It is evident from the assessment that SHC renovation activities and opening up of
GSKK has been initiated in the selected places
• The SHC renovation has improved the utilization of health services by the public
and it is expected that the services delivery will improve further in future.
• The community could successfully do the SHC renovation activity provided that
they are motivated for this.
• The concept of Gramin Swasthya Kalyan Kosh (GSKK) has been well received
by the communities and there has been greater involvement of the village people
for establishing the same.
• It is quite possible that the GSKK is quite useful for the village people and can be
replicated in other villages
144
Indian Institute of Health Management Research, Jaipur
Strengthening District Health System in Madhya Pradesh through Management Interventions
7.9. LESSONS LEARNT
Participation of the community and taking responsibility of health is crucial in the
changing health scenario. Community involvement in primary health care addresses itself
to the task of mobilization, putting in motion a wide spread process of collective
organization and involvement which leads to increased human and material resources
being channeled in development efforts.
• The major lesson learned is that community is keen to participate in improving
access and availability of health care in their areas, in contrast to the generally
held belief that community is apathetic to public health system and takes no
interest in the development of health facilities. Given the appropriate opportunity
and guidance, as done in the project, mobilizes the community for action.
• Renovation of SHCs or establishment Village Health Center (Gramin Swasthya
Kalyan Kendra) and Gramin Swasthya Kalyan Kosh (GSKK) through community
mobilization is certainly not an easy task, and it was a time consuming process. It
would take 1-2 years for getting the desired outcomes. This is evidenced from the
fact that the project team after putting repeated efforts for nearly 8 months, was
able to renovate 25 percent of the total sub centers in the district with the support
of the community and their representatives. This calls for the political
commitment to community involvement for health and willingness of the health
administration. The district development authorities and PRIs played an important
role.
• Any activity, which needs to be done through community support, needs constant
and continuous meeting with the community with specific reference to the
activities carried out by them and their benefits to the community. This needs
Intersectoral coordination between the health and related departments, NGOs,
private practitioners and other stakeholders.
• In the decentralization process, more powers have been delegated to Gram
Panchayats (GP). It was quite unfortunate that the selected representatives of GP
are not aware about their own responsibilities. In most circumstances, the
resources allocated to GP were not discussed in Gram Sabha Meetings where the
decisions regarding any developmental work is made. This calls for effective
decentralization process in the district and developing capacity of the GPs and
PRIs.
• The village communities could be better mobilized through GP members rather
than any external agency. But the task of mobilizing the Panchayat and local
government, particularly in short run, could better be done through external
agencies and NGOs rather that the people from the health system. In a longer
period, the task of mobilization could be delegated to the health sector after
training the health department staff on community mobilization.
• The required logistics support needs to be provided by the higher officials of the
health and other departments in order to make the health care delivery system
more effective.
145
Indian Institute of Health Management Research, Jaipur
Strengthening District Health System in Madhya Pradesh through Management Interventions
7.9.1. SUSTAINABILITY
Once all the above-mentioned system related problems are addressed, the sustainability
of Village Health Centers (VHC), Gramin Swasthya Kalyan Kosh (GSKK) and SHC
renovation activity is certainly not a difficult task. Our experience from the present
intervention shows that the VHCs as well as GSKK are sustainable in the long run.
However, their long term sustainability certainly needs further community mobilization
which is only possible through constant support from the health department and
Intersectoral coordination, especially delegating the responsibilities to NGOs and other
agencies outside the government system would help in sustaining the activities initiated
by the project team.
7.10. CONCLUSION
The concept of community financing and involvement dates from mid 1970s. Since Alma
Ata, community participation has often been proclaimed as the key to success in the
implementation of primary health care. Under the Strengthening District Health systems
project, the project team carried out quite a large number of experiments and the team
was able to achieve nearly eighty percent of the targeted achievements. The project team
has reached at the following conclusions from this experiment:
• The present health strategies failed to encourage people to think or act for
themselves and did not foster self-reliance.
• There was inadequate awareness at community level; therefore, the services that
are established could not be sustained by local knowledge and resources.
• There have been community contribution in terms of financial resources and
manpower, but there has been little active involvement in the design and
implementation of the project. This was mostly done through the persuasion from
the project team.
• The activities initiated by the project could only be sustainable through better
community mobilization. This should preferably be done by the NGOs and
prerequisites Intersectoral coordination and commitment from the heath
department officials.
146
Indian Institute of Health Management Research, Jaipur
Strengthening District Health System in Madhya Pradesh through Management Interventions
ANNEXURE –7.1
TOR FOR SUB HEALTH CENTER TEAM
Constitution
Sub health center team constituted by the order from the BMO’s.
Composition
• Health Supervisor’s
• MPW’s
• JSR
• AWW
• Trained Dai
The Sarpanch or Panch of the village shall lead the SHC team, where the SHC is located.
Terms of Reference (TOR)
The SHC team shall meet every months and discuss problems of :
• SHC Maintenance
• Drug Store
• MIS (Analysis of Form-6)
• HRD problems
• Coordinate with JSR/AWW/Trained Dai
• SHC team shall address the Gram Sabha on health issue:
-Hygiene
-Sanitation
-Safe water
-MCH
• Check records and reports to be sent.
The Field officer of SDHS project shall be present during the SHC team meeting and
help and guide the SHCT. A register shall be provided by the SDHS project for
maintaining the record of SHCT meeting at the SHC.
The Field officer shall report separately to the SDHS project about the decisions taken at
the meeting.
The implementing team to ensure order is issued by the BMO’s. First meeting will take
place on 27th
Sep’2003.
147
Indian Institute of Health Management Research, Jaipur
Strengthening District Health System in Madhya Pradesh through Management Interventions
ANNEXURE –7.2
TOR FOR VILLAGE HEALTH CENTER (VHC)
What is VHC?
Village Health Center is a place (building) donated by the community for providing the
health services. Jan Swasthya Rakshak (JSR), Trained Dai and AWW will provide the
services to the community especially to those who are unprivileged in the society. There
is a provision of separate labor room in the village health center, which is utilized by the
trained Dai to conduct delivery. The provision of labor room ensures that all the
deliveries, which are to be conducted by the Dai, are safe delivery. The village health
center ensures the safe motherhood practices as well as hundred percent immunization
and health services to mother and children as and when required.
Why VHC?
Quite a few villages in the district are cut off during the rainy seasons and unprivileged
people specially the women and children are deprived of basic health care. Keeping in
mind, Government of Madhya Pradesh health policy of having a Jan Swasthya Rakshak
(JSR), Trained Dai and Anganwadi worker in every village, The SDHS project has
working out on the idea of an establishing Village Health Center with community
mobilization; participation for seeking the financial cooperation was conceived.
Criteria for selection of village
• Unapproachable village during rainy season
• Having a predominant Below Poverty line population
• Should have at least one Trained Dai
• JSR leaving in the village
• Anganwadi worker leaving in the village.
• Land / building for VHC must be provided by the Panchayat.
• Health committee must be formed to mange the VHC, the member consist of
a) Panch
b) Trained Dai
c) JSR
d) Anganwadi worker
e) Local practitioner
f) Two representatives from below poverty line population
• Village Health Center at least 3 kilometer away from Sub Health Center.
• MPW’s will visit Village Health Center at least once a week and spend 2 hours
(fixed) 10 a.m.to12 a.m.
• Health Supervisor will visit Village Health Center once a fortnight.
• Primary Health Center Medical Officer visits once in a month.
148
Indian Institute of Health Management Research, Jaipur
Strengthening District Health System in Madhya Pradesh through Management Interventions
• Villagers and health committee will ensure VHC is opened between 9 am to 11
am.
• CHC will provide essential drugs and medicine and register for recording
equipments for VHC.
• Community will have a corpus fund for emergency.
• Record of Below Poverty line family will be maintained in the center.
Management of the VHC
The Village health Committee will manage by the chairperson of the committee who is
selected by the villages. The corpus fund which is collected by the health committee will
deposited in the bank which can be utilized for the transportation of emergency
obstructed cases (EOC) and to make the additional arrangement as required by the any
service provider. The VHC will remain open 9 AM to 11 AM every day. The JSR,
Trained Dai and AWW will hold clinics and responsible for the cleanness and running of
the VHC. They will also maintain records of their work. The JSR/Trained Dai/AWW will
work as team and any one of them can be Incharge of the VHC. In any village, if JSR is
not available then a person is recruited as depot holder. The depot holder is selected by
health committee. The depot holder will be trained in basic knowledge about the
medicines so that he can provide the minor health care services to the villagers.
Logistics at VHC
(a) Furniture
(b) Equipments (general)
 One Mattress
 Two Bed sheet
 Two Pillows
 Three Towels
 Three Wooden racks to keep Medicines, Registers and
 One Wash Basin
 One Shelters Café
 One B. P. Instrument
 One Weighing Machine-Adult and Child
 One Thermometer
 Ten Register
 Malaria Slides
(c ) Equipment for Delivery
 Enema Can With cathedra
 Mackintosh
 Plastic Apron
 Torch
 Kerosene stove
149
Indian Institute of Health Management Research, Jaipur
Strengthening District Health System in Madhya Pradesh through Management Interventions
 Sauce Pan
 Forceps
 Plastic Bucket.
(d) Drugs and Medicine
• Paracetamol Tab.
• Chloramines Tab.
• Chlorine Tab.
• Vitamin A Solution
• ORS packets
• DDK
• Sprit
• Ear/Eye drops Local / Alb acid drops 10%
• Benzyl benzoate
• Cotton and Gauze
• Bandages
• Trio dine
• Soap- Lifebuoy
• Syringes and Needles
• Saline Stand
150
Indian Institute of Health Management Research, Jaipur
Strengthening District Health System in Madhya Pradesh through Management Interventions
ANNEXURE –7.3
TOR FOR VILLAGE HEALTH TEAM (VHT) AND GSKK
LokLF; dY;k.k Vhe@dks"k
fu;ekoyh
1- laLFkk dk uke %& xzkeh.k LokLF; dY;k.k Vhe
2- laLFkk dk dk;kZy;%& xzkeh.k LokLF; dsUnz
3- laLFkk dk dk;Z{ks= %& xzkeh.k LokLF; dsUnz
4- laLFkk ds mnns’; %&
1 xzkeh.k LokLF; dY;k.k Vhe xkaoksa esa LokLF; ds izfr yksxksa esa tkx:drk
ykus dk dk;Z djsxhA
2 xzkeh.k LokLF; dY;k.k Vhe tulg;ksx ls xzkeh.k LokLF; dY;k.k dks"k ,df=r
djsxhA
3 xzkeh.k LokLF; dY;k.k Vhe ds }kjk xk¡o esa LoPN ikuh] LoLF; okrkoj.k
rFkk f'k'kq ,oe ekr` lqj{kk ds fy, dk;Z djsxhA
4 xzkeh.k LokLF; dY;k.k Vhe ds }kjk xk¡o esa izf'kf{kr nkbZ] vkxauckMh
dk;ZdrkZ ]tuLokLF; j{kd ,oe~ LokLF; dk;Zdrkvksa }kjk dk;Z djok;k tk,xkA
5 xzkeh.k LokLF; dY;k.k Vhe ;g lqfuf'pr djsxh fd muds dk;Z{ks= ds lHkh
yksxkas dks LokLF; lqfo/kk, iw.kZ :i ls le; ij fey jgh gSa A
6 xzkeh.k LokLF; dsUnz ;k mi LokLF; dsUnz ij dk;Zjr dk;ZdrkZ lgh rjg esa
viuh ftEesankfj;ksa dk fuokZgu dj jgs gaS bls lqfuf'pr djsxsa A
7 xzkeh.k LokLF; dsUnz dk j[kj[kko ,oe lk/kuksa dks miyC/k djkukA
5- laLFkk ds dk;Z %&LokLF; dY;k.k Vhe ;g fuf'pr djsxh dh mlds {ks= ds lHkh
1- cq[kkj ds lHkh ejhtksa dh jDr dh tkap gqbZ gS ,oe mudh tkap fjiksZV vk xbZ
gSA
2- Vh-oh- ds ejhtksa dh tkap gks xbZ gS rFkk mUgsa nokbZ izkIr gks xbZ gSA
3- dq"B ds ejhtksa dh igpku gks xbZ gS rFkk mudk mipkj py jgk gSA
4- eksfr;kfcUn ds ejhtksa dks igpku fy;k gS rFkk vkijs'ku ds fy;s uke ntZ gks x;s
gSA
5- lHkh xHkZorh ekrkvksa dk iath;u gks x;k gS rFkk Vhds yxs vkSj vk;ju dh
xksyh fey xbZ gSA
6- ,d ls Ms<+ o"kZ ds cPpksa dks lHkh fu/kkZfjr Vhds yx x;s gSA
7- lHkh izlo izf'kf{kr nkabZ }kjk fd;s tk jgs gSA
8- {ks= ds lHkh dqvksa dk 'kqf)dj.k fu;fer #i ls gks jgk gSA
9- #ds gq, ikuh dh fudklh dh O;oLFkk cuk yh xbZ gSA
6- laLFkk ds lnL; &
1- ljiap@iap v/;{k
2- iapk;r lfpo dks"kk/;{k (vxj xk¡o esa jgrk]gks)
3- tu LokLF; j{kd dks"kk/;{k /lfpo
151
Indian Institute of Health Management Research, Jaipur
Strengthening District Health System in Madhya Pradesh through Management Interventions
4- cgqmnns'kh; dk;ZdrkZ¼iq#"k@efgyk½ lnL;
5- vkaxuokM+h dk;ZdrkZ lnL;
6- çf'kf{kr nkabZ lnL;
7- laLFkk dk;kZy; esa fuEufyf[kr iath j[kh tkosxh %&
1- xHkZorh iath;u jftLVj
2- Vhdkdj.k jftLVj
3- xjhch js[kk ls uhps thou ;kiu djus okyksa dk lwpuk jftLVj
4- ty 'kqf)dj.k tkudkjh jftLVj
5- y{; naifRr jftLVj
6- nokbZ forj.k ,oe LVk¡d jftLVj
7- vks ih Mh jftLVj
8- chekfj;ksa dh fuxjkuh dk jftLVj ( Disease Surveillance Register)
9- vk; O;; ys[kk tks[kk jftLVj
8- laLFkk dh cSBds
1- izfr lkseokj dks xzkeh.k LokLF; dsUnz ij LokLF; lfefr ds lHkh lnL; ,df=r gksdj
fd;s x;s dk;ksZ dh tkudkjh nsxs vkSj vkus okys lIrkg ds fy;s dk;Z fu/kkZfjr
djsaxsA
2- LokLF; dY;k.k Vhe xzkelHkk ds fnu LokLF; ds fo"k;ksa ij tkudkjh iznku djsxh
,oe yksxksa dks LokLF; lqfo/kkvksa dk ykHk mBkus ds fy;s izsfjr djsxhA
9- LokLF; dY;k.k dks"k
1- ,d eq'r nku %&LokLF; dY;k.k Vhe lnL; xkao ds yksxksa ls laidZ dj muls
dks"k ds xBu ds fy;s ,d eq'r nku izkIr djsxhA nku yksxksa dh nsus dh {kerk ij
fu/kkZfjr jgsxkA
2- ekfld nku %& izfr ekg esa gj ifjokj ls ,d fuf'pr jkf'k LokLF; chek ds uke ls
,df=r dh tk,xhA ;g jkf'k #i;s 5 ls 10 #i;s izfr ifjokj gks ldrh gSA LokLF; dY;k.k
Vhe ds lnL; x.k bldk fu/kkZj.k djsaxsA
10- cSad [kkrk %&
laLFkk dh leLr fuf/k fdlh vuqlwfpr cSad ;k iksLV vkfQl esa [kksyh tkosxh ,oe
le;&le; ij /ku tek djus o fudkyus dh izfØ;k tkjh jgsxhA/ku dk vkgj.k v/;{k rFkk
dks"kk/;{k ds la;qDr gLrk{kjksa ls gksxkA
11- LokLF; dY;k.k dks"k ds ykHkkFkhZ
LokLF; dY;k.k dks"k xjhch js[kk ls uhps thou ;kiu dj jgs yksxksa dks LokLF;
lqfo/kk izkIr djus ds fy, vkfFkZd lg;ksx iznku djsxhA
152
Indian Institute of Health Management Research, Jaipur
Strengthening District Health System in Madhya Pradesh through Management Interventions
LokLF; dY;k.k dks"k (EOC) tfVy izlo ,oe tfVy LokLF; leL;kvksa ds fy, okgu dk
izca/k djsxhA
LokLF; dY;k.k dks"k dh jkf'k dk mi;ksx xzkfe.k LokLF; dsUnz ds j[k j[kko ,oe
vko';d lk/kuks adks miyC/k djokus ds fy;s fd;k tk;sxkA
153
Indian Institute of Health Management Research, Jaipur
Strengthening District Health System in Madhya Pradesh through Management Interventions
ANNEXURE –7.4
PANCH SARPANCH CHECKLIST
iap ljiapksa ds fy, psd&fyLV
Ø- iz'u mÙkj
1-
D;k mi&LokLF; dsUæ lIrkg ds fu/kkZfjr fnuksa ij [kqyrk gS  gk¡ ugha
2-
D;k mi&LokLF; dsUæ dh nhokj ij LokLF; dk;ZdrkZvksa dh
dk;Z&;kstuk vkSj nh tkus okyh LokLF; lsokvksa dk mYys[k
fd;k gS 
gk¡ ugha
3
D;k LokLF; dk;ZdrkZ viuk dke dj jgs gSa  gk¡
a
ugh
4-
D;k vkids {ks+= dh lHkh xHkZorh efgyk,a ,oe~ f'k'kqvksa dk
¼0&1 o"kZ½ iath;u LokLF; dk;ZdrkZ ds }kjk fd;k x;k gS 
gk¡ ugha
5-
D;k mi&LokLF; dsUæ ij lHkh fu/kkZfjr o vko';d nokbZ;ka
vPNh rjg ls j[kh gqbZ gS rFkk mudk fjdkMZ Hkh lgh rjg ls j[kk
tk jgk gS 
gk¡ ugha
6-
D;k mi&LokLF; dsUæ ij miyC/k djk;s x;s lHkh midj.k lgh #i ls
gS] vkSj mldk mi;ksx fd;k tk jgk gS 
gk¡ ugha
7-
D;k mi&LokLF; dsUæ dh Vhe dk xBu fd;k x;k gS  gk¡ ugha
8-
D;k mi&LokLF; dsUæ Vhe dh ehfVax gj ekg fu/kkZfjr fnol ij
gksrh gS 
gk¡ ugha
9-
xzke lHkk ds fnu D;k mi LokLF; dsUæ dh Vhe LokLF; ds
eqnnksa ij ckrphr djrh gSa 
gk¡ ugha
1
0
D;k LokLF; dY;k.k lfefr dk xBu fd;k x;k gSa  gk¡ ugha
fnukad % gLrk{kj&ljipa
154
Indian Institute of Health Management Research, Jaipur
Strengthening District Health System in Madhya Pradesh through Management Interventions
ANNEXURE –7.5
WORK PLAN
1- iap @ljiap lqfuf'pr djsxsa dh mudh iapk;r dk mi LokLF; dsUæ fu/kkZfjr le; ij jkst
[kqyk jgsxkA ftl fnu LokLF; dk;ZdrkZ dk Hkze.k mi LokLF; dsUæ ij u gks ml fnu tu
LokLF; j{kd] izf’kf{kr nkbZ ;k vkaxuokM+h dk;ZdrkZ mi LokLF; dsUæ esa jgsA
2- iap@ljiap lqfuf'pr djsxsa dh LokLF; dk;ZdrkZ ¼iq#"k@efgyk½ viuk dk;Z izHkkfor
<ax ls djsA LokLF; dk;ZdrkZ viuh dk;Z;kstuk mi LokLF; dsUæ dh nhoky ij xs# ls vafdr
djs dh dkSu ls fnu fdl xkao esa mudk Hkze.k gSa ,oe~ dkSu lk dk;Z djus okys gSA
3- iap ljiap lqfuf'pr djs dh mi LokLF; dsUæ esa dkSu&dkSu lh LokLF; lsok,a miyC/k gS
mUgsa mi LokLF; dsUæ dh nhoky ij xs# ls vafdr djsA
4- iap ljiap lqfuf'pr djs dh muds {ks= dh lHkh xHkZorh efgyk dk iath;u gqvk gS ,oe~ ;g
Hkh lqfuf'pr djs dh 0&1 o"kZ ds lHkh cPpks dk iath;u gqvk gSsaA
5- iap ljiap lqfuf'pr djs dh mi LokLF; dsUæ ij tks nokbZ;ka vkoafVr gqbZ gS mudk
j[kj[kko ,oe~ fjdkMZ lgh rjg ls j[kk x;k gSA
6- iap ljiap lqfuf'pr djs dh mi LokLF; dsUæ ij miyC/k djk;s x;s midj.kksa dk j[kj[kko ,oe~
bLrseky lgh #i esa gks jgk gSaA
7- iap ljipa lqfuf'pr djs dh mi LokLF; dsUæ dh cSBd esa] LokLF; i;Zos{kd efgu esa ls de
ls de ,d ckj cSBd vko';d #i ls djs ,oe~ ml cSBd esa LokLF; dk;ZdrkZvksa ds lkFk esa tu
LokLF; j{kd] izf’kf{kr nkabZ vkSj vkaxuokM+h dk;ZdrkZ dh mifLFkfr vfuok;Z gksxhA
8- iap ljiap vius mi LokLF; dsUnz ds varxZr ,d miLokLF; dsUnz Vhe dk xBu djsxs ftlesa
LokLF; i;Zos{kd] LokLF; dk;ZdrkZ ¼efgyk ,oe~ iq#"k½]tu LokLF; j{kd] vkaxuokM+h
dk;ZdrkZ ,oe~ izf’kf{kr nkbZ lnL; jgsaxs ftudh gj ekg cSBd gqvk djsxhA Vhe ds xBu
,oe~ fu;fer cSBd dk vkns’k iap ljiap Lo;a fudkysxasA
9- mi LokLF; Vhe dk nkf;Ro gksxk dh oks xzke lHkk esa gj efgus viuh fjiksVZ izLrqr
djs ,oe~ LokLF; lacaf/kr fo"k;ksa ij ppkZ djs tSls dh LoPNrk O;fDrxr ,oe~ xkao dh
LoPNrk] ekr` ,oe~ f'k'kq dY;k.k] LoPN is; ty vkfn A
10 gj xzke iapk;r ds ljiap ;g lqfuf'pr djs dh ,d LokLF; dY;k.k lfefr dk xBu djsxs ftldh v/;
{krk ljiap djsaxs vkSj blds lnL; gksaxs v/;{krk ljiap djsaxs vkSj blds lnL; gksaxs LokLF;
dk;ZdrkZ ¼iq#"k@efgyk½] tuLokLF; j{kd] vkaxuokM+h dk;ZdrkZA LokLF; dY;k.k
lfefr ds varxZr ,d vkdfLed dks"k dk lapkyu djsaxs ftlesa de ls de 2000 #i;s [kkrk ikl ds
Mkd?kj ;k cSad esa [kksyk tk,xkA bu iSls dk mi;ksx vkdfLed LokLF; lsokvksa ds fy,
fd;k tk,xkA [kkl dj mu yksxks ds fy, tks xjhch js[kk ds uhps thou ;kiu dj jgs gSA
155
Indian Institute of Health Management Research, Jaipur
Strengthening District Health System in Madhya Pradesh through Management Interventions
ANNEXURE –7.6
CONTRIBUTION OF PRIS AND COMMUNITIES FOR SUB CENTER RENOVATION
(A) Contribution from PRIs
The PRIs mostly contributed for carrying out the activities such as cleanliness of outside
and inside the sub center, minor repairs, purchase of furniture.
(i) Babai
Name of the
block
Name of the
SHC
PRI Contribution for Amount in
Rupees
Babai Gujarwada White washing 1800
Painting 1200
Anchalkheda White washing 1000
Painting 800
Ankhmou White washing 1800
Sirwad White washing 1800
Painting 1200
Nasirabad White washing 800
Total contribution from PRI 10400
(ii) Bankhedi
Name of the
block
Name of the
SHC
PRI Contribution for Amount in
Rupees
Bankhedi Piparpani White washing 1800
Junheta White washing 1000
Painting 800
Provision of furniture 3000
Construction of labor room 50000
Bhairopur White washing 1000
Paraswada White washing 1800
Provision of furniture 5000
Total contribution from PRI 64400
(iii) Sohagpur
Name of the
block
Name of the
SHC
PRI Contribution for Amount in
Rupees
Sohagpur Ranipipariya White washing, cleaning the
surrounding and provision of
furniture
6800
Painting 500
Kamti White washing 1000
Painting 800
Isherpur White washing 1500
Total contribution from PRIs 10600
156
Indian Institute of Health Management Research, Jaipur
Strengthening District Health System in Madhya Pradesh through Management Interventions
(iv) Dolariya
Name of the
block
Name of the
SHC
PRI and NGO Contribution for Amount in
Rupees
Dolariya Kandrakhedi White washing and renovation 1300
Provision of furniture and other
equipment by NGO and PRI
5500
Nanpa White washing and renovation 2000
Provision of furniture and other
equipment by NGO and PRI
9000
Sawalkheda White washing and renovation 1000
Furniture 500
Misrod White washing and renovation 1500
Provision of furniture by NGO 4000
Total contribution from PRI and NGOs 24800
(v) Pipariya
Name of the
block
Name of the
SHC
PRI and NGO Contribution for Amount in
Rupees
Pipariya Posera White washing and renovation 1700
Provision of furniture and other
equipment by NGO
4000
Taronkala White washing and renovation 8000
Provision of furniture and other
equipment by NGO
4000
Sahelwada White washing and renovation 4000
Provision of furniture and other
equipment by NGO
4000
Kharikala White washing and renovation 5000
Provision of furniture and other
equipment by NGO
4000
Dhanashri White washing and renovation 1500
Provision of furniture and other
equipment by NGO
4000
Total contribution from PRI and NGOs 40200
157
Indian Institute of Health Management Research, Jaipur
Strengthening District Health System in Madhya Pradesh through Management Interventions
(vi) Sukhtawa
Name of the
block
Name of the
SHC
PRI and NGO Contribution for Amount in
Rupees
Sukhtawa Taronda White washing and minor repairs 2500
Major repairs and other works by
PRI
10000
Pathrota White washing and renovation 2500
Provision of electricity supply and
water connection
1500
Kakaakhar White washing and renovation 1500
Provision of furniture and other
equipment by PRI
5000
Total contribution from PRI and NGOs 23000
(vii) Seoni Malwa
Name of the
block
Name of the
SHC
PRI and Contribution for Amount in
Rupees
Seoni Malwa Basaniyakala White washing and renovation and
provision of furniture
6500
Nandarwada White washing and renovation and
provision of furniture
5000
Dhekna White washing and renovation and
provision of furniture
7000
Total contribution from PRI and NGOs 18500
(B) Contribution from community
(i) Babai
Name of the
block
Name of the
SHC
Community contribution for* Amount
Babai Gujarwada Cleaning 300
Arranging the drugs 400
Anchalkheda Cleaning 800
Arranging the drugs 400
Ankhmou Cleaning 300
Arranging the drugs 200
Sirwad Cleaning 300
Arranging the drugs 400
Nasirabad Cleaning 100
Arranging the drugs 300
Total contribution from community 3500
158
Indian Institute of Health Management Research, Jaipur
Strengthening District Health System in Madhya Pradesh through Management Interventions
(ii) Bankhedi
Name of the
block
Name of the
SHC
Community contribution for* Amount
Bankhedi Piparpani Cleaning 300
Junheta Cleaning 500
Arranging the drugs 400
Bhairopur Cleaning 300
Paraswada Cleaning 400
Mahuakheda Cleaning 200
Total contribution from community 1800
(c ) Sohagpur
Name of the
block
Name of the
SHC
Community contribution for* Amount
Sohagpur Ranipipariya Cleaning 200
Kamti Arranging the drugs 400
Isherpur Cleaning 300
Arranging the drugs 100
Total contribution from community 1000
159
Indian Institute of Health Management Research, Jaipur
Strengthening District Health System in Madhya Pradesh through Management Interventions
ANNEXURE –7.7
STAUS OF SUB CENTERS RENOVATED IN DIFFERENT BLOCKS
(i) Babai
Indicators for SHC
renovation
Name of the Sub Centers
Anchalkh
eda
Gujarwa
da
Ankhmou Sirbad Nasiraba
d
1. Cleaning Yes Yes Yes Yes Yes
2. White Washing Yes Yes Yes Yes Yes
3. Minor repairs Yes Yes Yes No No
4. Supply of Furniture Yes Yes Yes Yes No
5. Supply of Registers and
form 6
Yes Yes Yes Yes Yes
6. Name plate of SHC Yes Yes Yes No No
7. Check-List of Q.A. Yes Yes Yes Yes Yes
8. Check-List of PRI
(Sarpanch)
Yes Yes Yes Yes Yes
9. Formation of SHC Team Yes Yes Yes Yes Yes
10. Preparation of SHC plan Yes Yes Yes Yes Yes
11. Painting on Wall,
(services and tour plan)
Yes Yes Yes No No
12. Opening of SHC Yes Yes Yes Yes No
Achievement (86.9%) 100 100 100 75.6 58.8
(ii) Bankhedi
Indicators for SHC
renovation
Name of the Sub Centers
Junheta Paraswad
a
Bhairapu
r
Piparpani Mahuakh
eda
1. Cleaning Yes Yes Yes Yes Yes
2. White Washing Yes Yes Yes No No
3. Minor repairs No No No No No
4. Supply of Furniture Yes Yes No No No
5. Supply of Registers and
form 6
Yes Yes Yes Yes Yes
6. Name plate of SHC No No No Yes Yes
7. Check-List of Q.A. Yes Yes Yes Yes Yes
8. Check-List of PRI
(Sarpanch)
Yes Yes Yes Yes Yes
9. Formation of SHC
Team
Yes Yes Yes Yes Yes
10. Preparation of SHC
plan
Yes Yes Yes Yes Yes
11. Painting on Wall,
(services and tour plan)
Yes Yes No No No
12. Opening of SHC Yes Yes Yes Yes Yes
Achievement (73.9%) 84 84 67.2 67.2 67.2
160
Indian Institute of Health Management Research, Jaipur
Strengthening District Health System in Madhya Pradesh through Management Interventions
(iii) Dolariya
Indicators for SHC
renovation
Name of the Sub Centers
Kandrak
hedi
Misrod Nanpa Sawalkhed
a
Rampur
1. Cleaning Yes Yes Yes No No
2. White Washing Yes Yes Yes No No
3. Minor repairs Yes Yes Yes No No
4. Supply of Furniture Yes Yes Yes Yes No
5. Supply of Registers
and form 6
Yes Yes Yes Yes Yes
6. Name plate of SHC Yes Yes Yes Yes No
7. Check-List of Q.A. Yes Yes Yes Yes No
8. Check-List of PRI
(Sarpanch)
Yes Yes Yes Yes No
9. Formation of SHC
Team
Yes Yes Yes Yes No
10. Preparation of SHC
plan
Yes Yes Yes Yes No
11. Painting on Wall,
(services and tour
plan)
Yes Yes Yes Yes No
12. Opening of SHC Yes Yes Yes Yes No
Achievement (77%) 100 100 100 75.6 8.4
(iv) Pipariya
Indicators for SHC
renovation
Name of the Sub Centers
Sahalwa
da
Kherrikal
a
Pousera Taronkala Dhanashre
e
1. Cleaning Yes Yes Yes Yes Yes
2. White Washing Yes Yes Yes Yes Yes
3. Minor repairs Yes Yes Yes Yes Yes
4. Supply of Furniture Yes Yes Yes No Yes
5. Supply of Registers
and form 6
Yes Yes Yes Yes Yes
6. Name plate of SHC Yes Yes Yes Yes Yes
7. Check-List of Q.A. Yes Yes Yes Yes Yes
8. Check-List of PRI
(Sarpanch)
Yes Yes Yes Yes Yes
9. Formation of SHC
Team
Yes Yes Yes Yes Yes
10. Preparation of SHC
plan
Yes Yes Yes Yes Yes
11. Painting on Wall,
(services and tour
plan)
Yes Yes Yes Yes Yes
12. Opening of SHC Yes Yes Yes Yes Yes
Achievement (100%) 100 100 100 100 100
161
Indian Institute of Health Management Research, Jaipur
Strengthening District Health System in Madhya Pradesh through Management Interventions
(v) Sukhtawa
Indicators for SHC
renovation
Name of the Sub Centers
Taronda Pathrota Kalaakhar Daudijhun
kar
Pandukhe
di
1. Cleaning Yes Yes Yes No No
2. White Washing Yes Yes Yes No No
3. Minor repairs Yes Yes Yes No No
4. Supply of Furniture Yes Yes Yes Yes Yes
5. Supply of Registers
and form 6
Yes Yes Yes Yes Yes
6. Name plate of SHC Yes Yes Yes Yes Yes
7. Check-List of Q.A. Yes Yes Yes Yes Yes
8. Check-List of PRI
(Sarpanch)
Yes Yes Yes Yes Yes
9. Formation of SHC
Team
Yes Yes Yes Yes Yes
10. Preparation of SHC
plan
Yes Yes Yes Yes Yes
11. Painting on Wall,
(services and tour
plan)
Yes Yes Yes Yes Yes
12. Opening of SHC Yes Yes Yes Yes Yes
Achievement (90.2%) 100 100 100 75.6 75.6
(vi) Seoni Malwa
Indicators for SHC
renovation
Name of the Sub Centers
Basaniya Nandarwa
da
Dhekna Shivpur Archangao
n
1. Cleaning Yes Yes Yes No No
2. White Washing Yes Yes Yes No No
3. Minor repairs Yes Yes Yes No No
4. Supply of Furniture Yes Yes Yes Yes No
5. Supply of Registers
and form 6
Yes Yes Yes Yes Yes
6. Name plate of SHC Yes Yes Yes Yes No
7. Check-List of Q.A. Yes Yes Yes Yes No
8. Check-List of PRI
(Sarpanch)
Yes Yes Yes Yes No
9. Formation of SHC
Team
Yes Yes Yes Yes No
10. Preparation of SHC
plan
Yes Yes Yes Yes No
11. Painting on Wall,
(services and tour
plan)
Yes Yes Yes No Yes
12. Opening of SHC Yes Yes Yes Yes No
Achievement (77%) 100 100 100 67.2 16.8
162
Indian Institute of Health Management Research, Jaipur
Strengthening District Health System in Madhya Pradesh through Management Interventions
(vii) Sohagpur
Indicators for SHC
renovation
Name of the Sub Centers
Rani
Pipariya
Kamti Isherpur Banskhap Machha
1. Cleaning Yes Yes Yes No No
2. White Washing Yes Yes Yes No No
3. Minor repairs Yes Yes Yes No No
4. Supply of Furniture Yes Yes Yes No No
5. Supply of Registers
and form 6
Yes Yes Yes No Yes
6. Name plate of SHC Yes No No No No
7. Check-List of Q.A. Yes Yes Yes No Yes
8. Check-List of PRI
(Sarpanch)
Yes Yes Yes No Yes
9. Formation of SHC
Team
Yes Yes Yes No Yes
10. Preparation of SHC
plan
Yes Yes Yes No Yes
11. Painting on Wall,
(services and tour
plan)
Yes No No No No
12. Opening of SHC Yes Yes Yes No No
Achievement (62%) 100 84 84 0.0 42.0
163
Indian Institute of Health Management Research, Jaipur
Strengthening District Health System in Madhya Pradesh through Management Interventions
ANNEXURE –7.8
STATUS OF THE VILLAGE HEALTH CENTERS IN DIFFERENT BLOCKS
(i) Babai
Indicators
Babai
Name of the Gramin Swasthya Kalyan Kendra
Jawali Modapa
r
Khargabalid
ahana
*Prem
tala
Chichli*
1 Formation of Village health
Kalyan Team
Yes Yes Yes Yes No
2 Institution of Village health
Kalyan Kosh
Yes No Yes No No
3 Photocopy of Pass Book Yes No No No No
Achievement (%) 100 33.4 66.8 33.4 0.0
(ii) Bankhedi
Indicators
Bankhedi
Name of the Gramin Swasthya Kalyan Kendra
Padrai thakur Kapoori
1 Formation of Village health
Kalyan Team
Yes Yes
2 Institution of Village health
Kalyan Kosh
Yes No
3 Photocopy of Pass Book No No
Achievement (%) 66.8 33.4
(iii) Dolariya
Indicators
Dolariya
Name of the Gramin Swasthya Kalyan Kendra
Mangwari Suparli Rojada Palanpur
1 Formation of Village health
Kalyan Team
Yes Yes Yes Yes
2 Institution of Village health
Kalyan Kosh
Yes Yes Yes Yes
3 Photocopy of Pass Book Yes Yes Yes Yes
Achievement (%) 100 100 100 100
164
Indian Institute of Health Management Research, Jaipur
Strengthening District Health System in Madhya Pradesh through Management Interventions
(iv) Pipariya
Indicators
Pipariya
Name of the Gramin Swasthya Kalyan Kendra
Sanghai Kherua Kumhawad Sarra Bhamhori
1 Formation of Village health
Kalyan Team
Yes Yes Yes Yes Yes
2 Institution of Village health
Kalyan Kosh
Yes No No No No
3 Photocopy of Pass Book Yes No No No No
Achievement (%) 100 33.4 33.4 33.4 33.4
(v) Sukhtawa
Indicators
Sukhtawa
Name of the Gramin Swasthya Kalyan Kendra
Somalwada Kandaikala Pandhari
1 Formation of Village health
Kalyan Team
Yes Yes Yes
2 Institution of Village health
Kalyan Kosh
Yes Yes Yes
3 Photocopy of Pass Book No No No
Achievement (%) 66.8 66.8 66.8
(vi) Seoni Malwa
Indicators
Seoni Malwa
Name of the Gramin Swasthya Kalyan Kendra
Rawanpipal Malapad Baisadeh
1 Formation of Village health
Kalyan Team
Yes Yes Yes
2 Institution of Village health
Kalyan Kosh
Yes No No
3 Photocopy of Pass Book No No No
Achievement (%) 66.8 33.4 33.4
(vii) Sohagpur
Indicators
Sohagpur
Name of the Gramin Swasthya Kalyan Kendra
Ajnari Mahuakheda Sosarkheda Nimhora Ajera
1 Formation of Village health
Kalyan Team
Yes Yes Yes Yes Yes
2 Institution of Village health
Kalyan Kosh
Yes No No No No
3 Photocopy of Pass Book Yes No No No No
Achievement (%) 100 33.4 33.4 33.4 33.4
165
Indian Institute of Health Management Research, Jaipur
Strengthening District Health System in Madhya Pradesh through Management Interventions
CHAPTER 8
PANCHAYATI RAJ INSTITUTIONS
ENHANCING PARTICIPATION IN PRIMARY HEALTH CARE
8.1. BACKGROUND
Village Panchayats have a crucial role to play in the local governance and development
through participation of the people or the community. The role of Panchayati Raj was
defined in the Directive Principles of State Policy (Article 40). The formal system of
Panchayati Raj was first introduced in 1959. Since then, the system has evolved
differently in different states. Community development was the main focus in the
independent India and Panchayati Raj Institutions (PRIs) were expected to engineer this
through active community participation. A three-tier system was introduced – at the
village, block and the district level. However, over the successive decades, these primary
institutions were practically marginalized for various reasons, especially, due to over
centralization and over bureaucratisation in the country.
A major breakthrough was ushered with the 73rd Amendment in the Indian Constitution.
It was meant to provide constitutional sanction to establish democracy at the grass root
level to enable people to plan and take decisions for the development activities for their
own areas and people. A District Planning Committee (DPC) have been constituted and
given constitutional status. Most of the financial powers and authorities are endowed on
Panchayats by the state legislature. However, the powers and functions vested on
Panchayat Raj Institutions (PRI) vary from state to state.
After the 73rd Constitutional Amendment, Madhya Pradesh enacted the "Madhya
Pradesh Panchayati Raj Adhiniyam", 1993 which received the assent of the Governor of
the state on 24 January 1994. In the country, MP was the first state where, in pursuance
of the constitutional act, the three-tier system was established. The state of Madhya
Pradesh also has the distinction of being the first state to have completed elections of all
the 3 tiers of the Panchayati Raj.
Under the Royal Danish Funded “Strengthening District Health Systems through
Management Interventions” various experiments on role of PRIs, with specific reference
to health sector in Hoshangabad District was carried out. The present report describes
various problems associated with PRIs participation in health care, their feasible solutions
at local level and implementation of possible solutions in the field, outcomes of the effort,
lessons learnt and sustainability of the initiated activities related to PRIs involvement in
health care. Accordingly the present report is divided into six sections. The succeeding
section describes the present PRI structure in the state and district. Various problems
associated with the involvement of PRIs in health care as identified through various
approaches are given in Section 8.3. Section 8.4 gives a brief outline of the interventions
carried out in the district. The outcomes of the interventions are presented in Section 8.5.
Lessons learnt and the sustainability of the initiated interventions is presented in Section
8.6. The concluding remarks are presented at the end of the report.
166
Indian Institute of Health Management Research, Jaipur
Strengthening District Health System in Madhya Pradesh through Management Interventions
8.2. PRESENT PRI STRUCTURE
(i) Structure of Panchayat Raj institution in state
As on today, there are 45 Zilla Panchayats, one in each district, with an overall strength
of 734 members. These members belong to various categories, namely, scheduled caste,
scheduled tribes, backward classes and general category. Women represent 33 percent of
total members. There are 313 Janpad Panchayats with 6456 members in all. The most
significant component of the Panchayati Raj system is Gram Panchayat. There are 22,029
Gram Panchayats, each headed by a Sarpanch. The Gram Panchayat is constituted by a
set number of Panch. There are 3,14,847 Panch in these Gram Panchayats. Exhibit 8.1
depicts the structure of PRI institutions in the state5
Exhibit 8.1: Structure of PRI in Madhya Pradesh
5
This flow chart does not take into account the changes affected due to the implementation of the Madhya
Pradesh Panchayati Raj (Sanshodhan) Adhiniyam,2001
Gram Panchayat
Sarpanch/Panch(S)
Panchayat Sachiv/Karmi
Zila Sarkar
Minister In Charge
Collector (Secretary)
Mp's / Mla's
Members Of The Zila
Panchayat
Members Of The Nagar
Panchayats
To consolidate the plans prepared by
the Panchayats and Municipalities in
the district and to prepare a draft
development plan for the district as
a whole
Zilla Panchayat
Adyaksh
C.E.O. (Secretary)
Elected Representatives
General assembly
General Administration committee
Education committee
Health committee
Agriculture committee
Co-operative /industries committee
Communications / works committee
Janpad Panchayat
Adyaksh
C.E.O. (Secretary)
Elected Representatives
Monitoring of
ANM/MPW/AWW/CHV/Depot
Holder
167
Indian Institute of Health Management Research, Jaipur
Strengthening District Health System in Madhya Pradesh through Management Interventions
(ii) Structure of Panchayati Raj Institutions in Hoshangabad
The Government of Madhya Pradesh enacted the Madhya Pradesh Zilla Yojna Sammittee
Adhiniyam, in 1995. This Sammittee has been assigned to draft a development plan for
the district as a whole.
Shrimati Uma Arse (Adhyaksh/President), who hails from Bankhedi, heads the Zilla
Panchayat in Hoshangabad. The Upadhyaksh /Vice President is Shri Arjun Paliya who
was elected from Pipariya. The Adhyaksh (President) position at the Zilla Panchayat is
reserved for women. At present, the Chief Executive Officer assisting the Adhyaksh is
Shri Hiralal Divedi. Approximately 25-30 Panchayats constitute one ward at the district
level and 3-4 Panchayats constitute one ward at the Janpad / Block level. Table 8.1 gives
the profile of PRI institutions in the district.
Table 8.1: Profile of Panchayati Raj Institutions in Hoshangabad district
Description Number
Number of Zilla Panchayat members 12
Number of Janpad (Block level) Panchayats 7
(Hoshangabad, Babai,
Sohagpur, Pipariya,
Bankhedi, Seoni Malwa,
Kesla)
Total number of Janpad/Block level members 122
Total number of Gram Panchayats 391
Total number of Sarpanch(s) at village level 391
Block having the largest number of Gram Panchayats Seoni Malwa (81)
8.3. DIAGNOSTIC STUDY – PROBLEMS AND ISSUES
As already known, the major objective of the Project was to assess the role PRIS in health
care and strengthen the problems associated with it through various managerial
interventions in order to strengthen Primary health care delivery systems. In order to do
this a diagnostic was carried out by the project team at the beginning of the project. The
salient findings of the study are as follows:
The most significant finding of the study was related to their own roles and
responsibilities as Panchayat members. There is a gross lack of understanding of their
rights and powers in general, and in the context of health services delivery it was quite
minimal. Their knowledge about the health schemes currently operational in the district
was extremely poor and the involvement of Panchayat bodies in the health care delivery
was extremely marginal.
The other key findings are as follows:
• Around 45 per cent of the village level Panchayat representatives were illiterate
giving an indication that their level of understanding about their roles and
responsibilities related to Panchayat is poor.
168
Indian Institute of Health Management Research, Jaipur
Strengthening District Health System in Madhya Pradesh through Management Interventions
• Most (around 48 per cent) of the village level PRI had agriculture as their main
occupation.
• Around 67 per cent of the respondents were elected for the first time as Panchayat
member.
• The respondents had little knowledge about the roles and responsibilities of the
health workers and were of the opinion that the health workers are meant for
carrying out immunisation and distributing the medicines for common health
problems.
• The PRI representatives have little knowledge regarding their rights and powers
vested on them related to health sector. Most of them understand that lodging
complain against the health workers and withholding their payment are their
major responsibilities.
• Majority of the Panchayat members were of the opinion that the main source of
information regarding their rights and power is Gram Panchayat meeting / Gram
Sabha Meetings.
• Few Panchayat members were aware about the health schemes such as Ayushmati
Yojana, Maternity benefit Yojana etc.
• Only 59 percent of the PRI members were aware about the current status of
Swasthya Sammittee in their respective villages.
• Knowledge of the respondents about the major health problems in their respective
areas was also very limited. There was hardly any knowledge of high infant
mortality and maternal mortality rates. They had knowledge of malaria and
tuberculosis, but they did not know about HIV.
• Similarly, their knowledge on population and reproductive health problems was
quite inadequate. They did not even know about various family planning methods
and current users of contraceptives.
The above findings of the diagnostic study clearly reveals that majority of the PRI
representatives did not perceive health care of the people as their concern and
responsibility. Hence their involvement in health services delivery was found to be quite
minimal in the villages and the community.
8.4. INTERVENTIONS
Keeping the above problems in mind, the Project aimed at following interventions:
• Creating awareness of roles and responsibilities of the PRIs in development and
the health sector
• Capacity building of the PRIs in performing their roles and responsibilities
• Enhancing participation of the PRIs in health services delivery
• Involvement of PRIs in monitoring and mobilizing community at the village level
169
Indian Institute of Health Management Research, Jaipur
Strengthening District Health System in Madhya Pradesh through Management Interventions
Some of the interventions were planned for implementation cutting across the entire
Hoshangabad district while the other focused on one Block – Pipariya. The activities
carried out to make the planned interventions successful at the district and block levels
are as follows:
INTERVENTION 1: CREATING AWARENESS ON ROLES AND RESPONSIBILITIES OF
THE PRIS IN DEVELOPMENT AND THE HEALTH SECTOR
(a) District Level Workshops
Two district level workshops were organized at the initial stage of the project. One
workshop was exclusively for the PRIs and the other was for PRIs, NGOs and Health
professionals including private practitioners.
PRI Workshop
The district level workshop was organized at the district headquarter, Hoshangabad on
the premises of Zilla Panchayat on June 14, 2001. The Zilla Panchayat members, Janpad
Adhyaksha, and district and block health officials participated in the workshop. The main
objectives of the workshop were:
• To enable the PRIs to understand the 73rd
amendment in the Constitution
empowering Panchayats and devolution of powers
• To make them aware of the perspectives and changed role of Panchayats in the
context of the constitutional amendment
• To apprise the PRI representatives of the project interventions to strengthen
district health system
• To create awareness on the health services that are available at the village level in
the district
• To orient the PRIs about their role in the improving access and availability of
health services to the people and the community
The workshop provided a unique opportunity for the first time to share the constitutional
amendments and devolution of powers, and their potential role in development change,
including health care. Problems and issues regarding health care access and availability
were raised and possible solutions were discussed.
They were also apprised of the proposed interventions and their role in its effective
implementation through their participation. A tentative work plan was developed jointly
to conduct block level workshops for sharing information and empowering PRI
representatives for performing their responsibilities effectively in enhancing access and
availability of health services at the village level.
Workshop for NGO, PRI and Medical Officers
In order to bring coordination between the health department, PRIs and NGOs a one-day
workshop was organized on 17th
June 2001 at Panchmarhi. The specific objectives of the
workshop were:
170
Indian Institute of Health Management Research, Jaipur
Strengthening District Health System in Madhya Pradesh through Management Interventions
• To seek support from government machinery, PRIs and NGOs for the successful
implementation of the project.
• To motivate the Panchayat members to play an active role in health and health
related services delivery in Hoshangabad district.
• To motivate the health department for helping the PRI members to understand
their roles and responsibility related to health sector.
• To motivate the PRI members to identify the problems related to health and
related services in their respective areas and find out the local solutions through
the resources available with them.
• To identify the problems associated with health sector in the district and prepare
an action plan for corrective action related to primary health care services in the
district.
The workshop was participated by the District Magistrate, Health Officials from state and
district level, PRI members (Janpad Presidents, Sarpanch etc.) and NGOs working in the
field of health in Hoshangabad district. A total number of 55 participants attended the
workshop. During the workshop, the roles and responsibilities of PRIs and NGOs,
specifically related to health sector, were discussed.
(b) Block Level Workshops
In order to make the PRI people aware about the SDHS project and seek their
involvement in carrying out the project related activities at the block level, workshops
were organized in different blocks: namely, Sohagpur, Bankhedi, Dolariya, Sukhtawa and
Pipariya. The workshop had following objectives:
• To sensitize the Panch and Sarpanch of the block regarding the provision of
health services in their villages.
• To train them regarding their role in strengthening the health status of their area.
• To evaluate the present level of knowledge regarding the health services and
institutions.
In all 223 participants attended the workshops. The participants of the workshop included
Chief Executive Officer of Janpad Panchayats, Janpad Panchayat members, Sarpanchs,
Panchs, Panchayat Secretary, BMOs of respective blocks and Health workers.
Several issues and problems were identified during these workshops with regard to the
participation and involvement of PRIs and NGOs in health care services. The key areas
where the Panchayat as well as NGOs can participate for improving the health care
delivery in the district and their role and responsibilities were also identified. Approaches
for coordination with the health department were also suggested by the PRIs and NGOs.
Some of the key problems identified were as below:
• PRIs are not aware of their roles and responsibilities with regard to the health care
services in their areas
171
Indian Institute of Health Management Research, Jaipur
Strengthening District Health System in Madhya Pradesh through Management Interventions
• Lack of knowledge about the constitutional amendments regarding
decentralization and devolution of powers
• Lack of knowledge of the health problems in their areas
• Lack of knowledge about various health programmes and schemes
• Lack of coordination between the health department and PRIs
• Lack of mechanism of coordination with other departments including health
department.
• Lack of resources
• Unavailability of health workers in the area
• Non-functioning health centers in the villages
• Shortage of medicines at the health centers
The key solutions proposed in the workshops were as follows:
• Organize training programmes for PRIs at the district, block and village levels to
orient them to constitutional amendments, roles and responsibilities, and health
problems and programs
• Prepare and distribute resource material for the PRIs
• The Gram Sabha could be used as a platform for sharing information on new
health programs and to evaluate the performance of health workers.
• Organize health campaign – for treatment of minor ailments, carrying out
immunization, supply vitamin A and other supplements
• Constitution of health teams at the sub centers and villages. The team would
consist of PRI members, health worker, JSR, Depot holder, TBA and AWW.
• Organization of village level meetings by the PRIs for dissemination of health and
family planning messages and sanitation at the village level
• Re distributing the villages among the health workers on the basis of population
• Renovation and reconstruction of the sub centers through community
participation and financing
• Making the resources available in required time
• Monitoring the activity of health workers by NGOs
• Meeting of health personnel, NGO and PRI members once in a month
8.5. IMPLEMENTATION
Interventions were implemented in a phased manner, starting initially with Pipariya
Block. In the next phase, other blocks namely, Bankhedi, Sohagpur, Dolariya and
Sukhtawa, were covered.
172
Indian Institute of Health Management Research, Jaipur
Strengthening District Health System in Madhya Pradesh through Management Interventions
8.5.1. About the Block – Pipariya
Pipariya block is located at one extreme end of the Hoshangabad district. It is around 75
kilometers from the district headquarters and 150 kilometers from the state capital. The
block is one of the developed blocks of the district. Around 67 percent of the population
of the block lives in interior villages with minimum accessibility to the health and other
basic facilities. Due to the locational advantage of the block, (closure to Panchmarhi) the
town is considered to be one of the major business places next to Itarsi.
The overall health care activities of the block are under the control of Block Medical
Officer of the Community Health Centre (CHC) located at the block headquarters. The
block is divided in to four sectors (Matkuli, Tarunkala, Rampur and Sandia) on the basis
of population. Each sector scatters around 25-30 thousand population. Under each sector
there are number of sub centres. The field level work is carried out at the sub centre level.
The PRIs have a strong presence in the Pipariya Block. There are 49 Panchayats and have
669 Sarpanch and Panch in these institutions (Table – 8.2).
Table 8.2: Status of PRIs in Pipariya Block
Details of PRI Institutions Number
Number of Panchayat H.Q. 49
Number of Sarpanch / Panch 669
No of Panchayat Sachiv 51
Number of Mahila Sangh 12
Number of village health committee 148
Source: Collected from the Office of BMO Pipariya,
The socio-demographic profile of the Pipariya block and Hoshangabad district is given in
the Table 8.3:
Table 8.3: Socio-demographic profile of Pipariya Block and Hoshangabad district
Characteristics Pipariya Hoshangabad
Population 2001
Total Persons
Male
Female
Rural Persons
Male
Female
Urban Persons
Male
Female
142210
75371
66839
102070
54097
47973
40140
21274
18866
10,85,011
5,71,796
5,13,215
7,96,085
4,83,608
4,37,087
2,99,545
1,62,711
Population (0 to 6 yrs)
Total
Males
19909
10551
172,326
89,423
173
Indian Institute of Health Management Research, Jaipur
Strengthening District Health System in Madhya Pradesh through Management Interventions
Characteristics Pipariya Hoshangabad
Females 9358 82,903
Sex Ratio Female per 1000 males 931 898
Area (sq.km.) NA 8,370
Population Density 1991
(persons/sq.km) 2001
NA
NA
132
162
Decadal Growth Rate (1991-01) % 23 +22.40
Distribution of Sch. Caste % 14.5 16.3
Distribution of Sch.Tribe % 23.3 17.4
Crude Birth Rate (CBR) per 1000 30.30* 27.8
Total Fertility Rate (TFR) NA 5
Couple Protection Rate (CPR) % 62.34 48.5
Crude Death Rate (CDR)per 1000 5.87* 8.0
Infant Mortality Rate (IMR)per 1000
live births
60.5* 92
Literacy rate
Persons
Male
Female
58.78
NA
NA
70.36
81.36
58.02
Sources: Census 2001, provisional totals
Vital statistics GOMP1998, and office of the Block Medical Officer, Pipariya,
* As collected from the basic registers of the health workers during sector level training programme.
INTERVENTION 2: CAPACITY BUILDING OF PRIS
(a) Training of PRIs
Training Programme
At the initial phase of intervention in Pipariya block, a training programme for the PRIs
was organized at Panchmarhi. Sarpanchs, Panchs and some Panchayat secretaries of the
block attended the training program.
The training covered the following areas:
• Panchayati raj institutions – organization and structure
• 73rd
constitutional amendment and its implications
• Roles and responsibilities of the PRI members in primary health care
• Areas of coordination and activities with the health department
• Monitoring of health care and institutions at the village level
• Community mobilization and resource generation
• Leadership and team building at the sub centre and village level
• Organization of health camps for providing access to health services
174
Indian Institute of Health Management Research, Jaipur
Strengthening District Health System in Madhya Pradesh through Management Interventions
Resource Material Development
Book on PRIs
A special booklet was developed for the PRIs. The book included the following areas:
• Panchayati Raj in Madhya Pradesh
• 73rd
constitution and its implications
• Sanitation and Hygiene
• Water-born diseases
• Population problem
• Reproductive health
• RTIs and STIs
• Women’s health
• Nutrition and Balanced Diet
The book described briefly the health problems and their prevention and control. More
importantly, the book described the role of PRIs in each of the problem areas.
Video Film
A video film on PRIs was developed for showing it to PRIs during training program and
subsequently for its use during Panchayat and village level meetings. The film covered
areas such as development and PRIs, role of PRIs in health sector, health problems and
issues and messages from the political leaders including the Chief Minister of the state of
Madhya Pradesh.
Local Resource Persons
Seven Local Resource Persons in consultation with the PRIs were identified to facilitate
the activities of the PRIs in a cluster of Panchayats. The block was divided into seven
clusters of Panchayats, each cluster with seven Panchayats (Total Panchayats – 49).
Criteria were developed to select the Local Resource Persons. Essentially, the individual
should have received education up to class X, should be local resident of the area, and
had excellent communication skills with leadership qualities. The PRIs suggested the
names of PRIs for their clusters.
The Local Resource Persons were given training for 5 days at Bhopal. They were trained
in the areas indicated in the booklet prepared for PRIs. In addition, they were given
training in team building, leadership skills, community mobilization, interpersonal
communication, and planning and monitoring.
During the training, the Local Resource Persons were assisted in developing a plan for
their respective clusters.
175
Indian Institute of Health Management Research, Jaipur
Strengthening District Health System in Madhya Pradesh through Management Interventions
INTERVENTION 3 - ENHANCING PARTICIPATION OF THE PRIS IN HEALTH
SERVICES DELIVERY
Village Level Meetings
The PRIs in coordination with the Local Resource Persons conducted a series of meetings
at the village level in the respective Panchayats. The meetings were specifically meant
for making the communities aware about their own health issues and finding out
appropriate solutions at local level. The booklet prepared by the project team was
distributed among the participants of the training program and the contents of the booklet
explained to them by LRPs.
Organization of health camps
In order to bring the health services to the doorsteps of the villagers, the project team
with the help of active PRI members organized several health camps in Pipariya block.
For carrying out this activity, helps from the block level medical officers and other active
members of the villages were taken. The health camp was supported by the rallies by the
school going children who helped the project team to intimate the villagers about the
organization of health camps. The health camps were organized to treat the minor
ailments and examine the cases, which are to be referred to higher level. The Terms of
Reference (TOR) for health camp is given in Annexure – 8.5.
Gramin Swasthya Kalyan Team
Gramin Swasthya Kalyan Team were constituted by the PRIs to facilitate the health and
family welfare activities and organizing health camps for immunization,
distribution of IFA and Vitamin A, ANC checkup, treatment of malaria and
other illnesses. The team included Health Worker, JSR, AWW, Depot Holder,
TBA and a member from Panchayat. Annexure 8.1.
INTERVENTION 4: INVOLVEMENT OF PRIS IN MONITORING AND MOBILIZING
COMMUNITY AT THE VILLAGE LEVEL
Gramin Swasthya Kendra
Gramin Swasthya Kendras were opened with the active participation of the Panchayat
and community. The main purpose was to involve the community and PRIs in delivering
health care services with the available local resources. For the Gramin Swasthya Kendra
PRIs and community shared the infrastructure. Mobilization was carried out through
various meetings. (Annexure – 8.2)
176
Indian Institute of Health Management Research, Jaipur
Strengthening District Health System in Madhya Pradesh through Management Interventions
Gramin Swasthya Kalyan Kosh
Gramin Swasthya Kalyan Kosh was generated in some villages by the contribution from
community. The Gramin Swasthya Kalyan Kosh was formed by mainly two
sources. One is in Kind and the other one is in Cash. The community
contributed their selves once in a month for the Kosh, which was deposited in
the nearby post office in the name of two members of the village. (Annexure –
8.1)
Operationalizing sub centers
In Pipariya block, most of the sub centers were non-functional due to lack of adequate
infrastructure. The poor status of the sub centers gave an opportunity to involve the PRIs
in health issues. The PRIs were involved in the renovation of the sub centers by sharing
their roles and responsibility in monitoring of the renovation activities. Five sub centers
were renovated and made functional with the help of PRIs.
Monitoring of Sub centers and checklists
Since the PRIs had little knowledge on their roles and responsibilities related to health
sector, the project prepared a checklist (called PRI checklist) and distributed it among the
PRIs of the block. The checklist helped them monitor the sub center activities in their
respective Panchayats. Formation of sub health center team made the procedure easy for
monitoring. The Sarpanch of the sub center headed the team. Health workers, JSR, AWW
and TBA are the other members of the team to facilitate the PRIs in the respective area.
The sub centers team meets regularly once in a month to discuss the problems and
constraints related to health issues in the area. The PRI checklist and TOR for Sub Health
Center Team are given in Annexure 8.3-8.4.
8.6. REPLICABILITY IN OTHER BLCOKS
After successful intervention in Pipariya block the same model with a slight modification
was implemented in other blocks. In the modified approach, Local Resource Persons
(LRPs) were replaced by active PRI members and the implementation was carried under
the leadership of Janpad President. The PRI interventions were replicated in four blocks,
namely, Sohagpur, Bankhedi, Dolariya and Sukhtawa.
A series of training programs cum workshop were organized in the above blocks. The
intervention in these blocks was mainly to train the PRIs for their active participation in
the delivery of primary health care services in the district. The activities in these blocks
were carried out without the recruitment of local resource persons and therefore did not
have monetary implications.
In Pipariya block, the health camp was organized with the help of doctors and the doctors
played a major role in these camps. This led to problem of over crowding, with many
patients coming to the camps with the ailments, which cannot be treated at camp level.
Keeping the projects’ philosophy in mind, for other blocks it was decided that the health
camps would be organized with special focus on primary health care related to MCH
only. The PRI people mostly organized these camps and necessary help from the lower
level health staff such as health supervisors and workers was taken. The camps were
different from the camps organized at Pipariya block – only mothers and children
177
Indian Institute of Health Management Research, Jaipur
Strengthening District Health System in Madhya Pradesh through Management Interventions
attended the camps. Mainly the focus of the camps organized in other blocks was on
primary health care, such as and checkups for the pregnant mothers and children,
improving the sanitation and hygiene of the village by cleaning the villages.
However, it is interesting to note that the PRIs participated actively in the sub center
renovation activity in other blocks also. The PRIs were able to mobilize the resources
available locally for renovating the sub centers. The sub center teams and Gramin
Swasthya Kalyan teams were constituted with the help of PRIs. As Panchayat members
headed the teams, it facilitated the community to take the advantage of PRIs through
continuous interactions and discussing their needs, even other than health care. The teams
are monitoring the activity of the sub centers periodically to find out the local solutions
for the emerging problems. In some of the villages, the village health centers were also
established with the help of PRI members. Five village health centers were opened at
Dolariya block with the help of PRIs. These centers are located at Panchayat buildings,
giving an indication of their active participation in this regard.
The checklist containing various responsibilities of PRI members was distributed among
the PRI members during the training programs conducted at various other blocks. The
checklist helped them in taking initiatives on opening of Gramin Swasthya Kalyan Kosh
in their respective villages.
It is also interesting to note that even if no training / orientation programs were conducted
in rest of the blocks, the project team was able to get all the activities as was done in
other blocks, with the active participation PRIs. This could be observed from the
following section.
8.7. OUTCOMES
Table 8.4: Performance at a Glance
178
Indian Institute of Health Management Research, Jaipur
Strengthening District Health System in Madhya Pradesh through Management Interventions
8.8. POST INTERVENTION ASSESSMENT
In order to assess the impact of the present intervention, a rapid assessment survey was
carried out during the month of January 2004. The Panchayat members of selected
Panchayats where the sub center renovation activity was carried out with PRI participation
constituted the sample respondents. Though it was decided that from each of the selected
Panchayats two members from Panchayat would be interviewed, due to their non-
availability during the period of survey, only 35 PRI members could be interviewed.
(a) Creation of environment for PRI involvement
The findings of the assessment suggest that the project has been able to create and build a
positive environment and set the stage for involvement of PRIs in the health services. The
majority of the PRIs interviewed, reported that the role of the Panchayati Raj institutions
is crucial and important in enhancing access and availability of the health services. There
was a perceptible enthusiasm among the PRI representatives in improving health services
in their villages. This was more so as more than 70 percent of them young and below 40
years age (Table 8.5).
Table 8.5: Age wise classification of the respondents
Age in years Frequency Percent
25-30 4 11.4
31-35 11 31.5
36-40 10 28.5
Indicators Frequencies
Number of Panchayats covered (In Pipariya Block) 49
Number villages covered (In Pipariya Block) 120
Number of Sarpanch trained 49
Number of Panch trained 15
Number of Local Resource Persons 07
Number of training programmes conducted at the district level 2
Number of training programmes conducted at the block level 4
Number of programmes for Panchayat members 8
Number of village meetings conducted by LRP and PRIs 130
Average number of participants in the meetings 17
Gender specific meetings at village level -
1. Male meetings
2. Female meetings
20
20
Number of Swasthya Shivir-
1. By the Help of Medical Officer and PRIs
2. By the help of health workers and PRIs
1
6
Rallies organized
Number of Children Participating In the rallies
25
40
Number of sub-centers renovated 27
Number of Gram Swasthya Kalyan Kendra 30
Number of Gramin Swasthya Kalyan Kosh constituted 23
179
Indian Institute of Health Management Research, Jaipur
Strengthening District Health System in Madhya Pradesh through Management Interventions
41-45 3 8.6
46-50 3 8.6
51-55 3 8.6
56-60 1 2.8
Total 35 100.0
Among the respondents, most of them were Sarpanch (37.1 per cent), followed by
Panchayat Sachiv (25.7 per cent) and other members of Panchayat (Table 8.6).
Table 8.6: Position of the respondent in the present Panchayat
Responses Frequency Percent
Sarpanch 13 37.1
Panchayat Sachiv 9 25.7
Koshadhyksha 4 11.4
Panch 1 2.9
Sammittee Member 4 11.4
Member 2 5.7
Panchayat Karmi 2 5.7
Total 35 100.0
(b) Opinion on the responsibilities of PRIs
They felt that taking care of the health centers is also their responsibility, especially
supporting the health workers and ensuring their safety in the field. The use of the
checklist for monitoring health centers was found to be useful by the representatives.
The PRIs were able to mobiles the resources for renovating the sub centers, which were
non-functional. As many as 30 sub centers were renovated and made functional. They felt
that with their involvement, the sub centers have started opening and functioning
regularly. Most of them felt that the sub centers are kept clean and tidy as compared to
earlier situation. Now medicines and drugs are available at the sub centers due to active
participation in the activities of the health services.
Majority of them felt that JSR and AWW are working better after they started monitoring
the activities in the villages using the checklist developed and provided under the project.
Almost all of them reported to have increased knowledge of the health problems in their
area and the health programmes being undertaken. After their training, the involvement
of the PRIs has significantly increased in implementation of health programmes and
activities, especially in organizing health melas and camps.
Villagers have responded very positively to the participation and involvement of the PRIs
in the activities in their villages. As many as 87 percent village community appreciated
the enhance role and participation of the PRIs in the village activities after their training.
A checklist was prepared and distributed in every selected Panchayat, which was focused
on role and responsibility of the PRIs in sub center level continued association with the
local resource persons and the project staff.
180
Indian Institute of Health Management Research, Jaipur
Strengthening District Health System in Madhya Pradesh through Management Interventions
A heartening phenomenon was that the PRIs would like to carry out the activities on their
own even after the project completion as they felt they were empowered with knowledge
and skills imparted to them (Table 8.7).
Table 8.7: Perception of the respondents regarding the changes observed after the
intervention related to PRI in health sector by the SDHS project team.
Responses Frequency
SHC was functional and found neat and tidy as compared to earlier 21
The health workers are providing services regularly as compared to
earlier 7
The JSR, AWW, Depot holder of the village has started to provide the
services in the SHC
10
The cleanliness and hygienic condition of the village is improved 5
The Panchayat is now a day involving with the health issues of the
village.
5
Sufficient drugs and essential services are provided in the village after
the involvement of the PRIs
11
Proper immunization and registration of pregnant woman and children 6
8.9. LESSONS LEARNT AND SUSTAINABILITY
• The present intervention attempted to examine the effectiveness of PRI
involvement in health sector in improving health services delivery in
Hoshangabad district. A substantial amount of effort was put on this intervention
and the results are quite encouraging. However, the efforts of the project team
played a vital role in bringing the health functionaries and PRIs together to work
for improvement in primary health care delivery system. As the need of the hour
is to bring coordination between these two stakeholders together on a permanent
basis, the prime requirement is to orient the PRIs about their roles and
responsibilities related to health sector.
• Only orientation programs cannot bring a change in the system. Therefore, a
mechanism at the district as well as state level needs to be devised for active
involvement of PRIs in primary health care including the health related activities
such as proper hygiene in their respective villages.
• Though various activities were carried out in the district through the help from
PRIs, in most of the cases the communities are not aware about the allocated
funds for different developmental activities in Panchayats. The information is
kept with President of Janpad Panchayats, Sarpanchs and Koshadhyksha. No
discussions regarding the allocated funds are made in Gram Sabha meetings. This
calls for a system of transparency between the public and PRIs.
• Most of the activities initiated through the support from PRIs are sustainable. The
concepts of Village Health Center, Gramin Swasthya Kalyan Kosh, Swasthya
Kalyan Team, and Sub Health Center Team were highly appreciated by PRIs and
181
Indian Institute of Health Management Research, Jaipur
Strengthening District Health System in Madhya Pradesh through Management Interventions
certainly sustainable. However, their long-term sustainability requires continuous
persuasions from NGOs working in the district and active participation from the
health department. Public awareness campaigns on the role of PRIs and their own
role will also play an extremely important role in this respect.
• Two models: (1) one in Pipariya block where Local resource persons were
appointed for carrying out the activities and had monetary implications (2) in
other blocks through the orientation of PRIs in workshops and without monetary
implications, were tried out under this intervention. No substantial difference in
outputs could be observed between these two approaches, as the outcome of this
intervention is almost same in other blocks also (this could be seen from point 6).
It is therefore difficult to say that the first model was quite successful as the
marginal cost of carrying out any additional activity in Pipariya block is found to
be higher for the similar activities that were carried out in other blocks.
• Nearly five sub centers were renovated through the assistance from PRIs in
Pipariya block. PRIs and communities were made aware about the importance of
maintaining hygiene in their respective villages as preventive measure towards the
spread of communicable diseases. This had monetary involvement. In other
blocks, similar activities were carried out without monetary involvement.
Therefore, it is suggested that any future activity in this regard should be done
with a cost minimization approach.
8.10. CONCLUSION
The PRI intervention aimed at three objectives: (1) making an assessment of the current
status of PRI involvement health sector (2) identifying critical problems associated with
their involvement and designing appropriate solutions for them (3) implementing the
solutions in the field and assessing the impact of our interventions. No doubt that the
involvement of PRIs in improving the primary health care in the district is extremely
poor. Several factors are associated with this (a) lack of knowledge and awareness about
their responsibilities in general and related to health sector in particular (b) lack of
interest to carryout any activity related to health sector. After identification of problems,
specific interventions were designed and implemented in the field. In one block
(Pipariya), an active intervention in this regard was carried out focusing on improving
their knowledge and awareness. In addition, the communities were also made aware
about their health problems with the help of Local Resource Persons appointed by the
project for this purpose. The results were quite encouraging. A similar model with slight
modification was tried out in other blocks of the district. It is surprising to note that the
outcome of these two models were almost same. It is therefore suggested that any
managerial intervention related to PRIs involvement in health sector should initially be
tried out with the existing resources rather that deploying more resources for this activity.
CASE STUDIES
Case study - 1
Panchayat Members Participation For better health care in Junheta
182
Indian Institute of Health Management Research, Jaipur
Strengthening District Health System in Madhya Pradesh through Management Interventions
Smt. K. Singh, ANM of Junheta sub center under Community Health Center
(CHC) Bankhedi, has been serving her clients since last 24 years. Her
enthusiasms gradually came down with inadequate infrastructure, drugs and
equipment and over and above no residential complex for her to stay. Thanks to
the villagers and Sarpanch of Junheta village who made her stay arrangements in
Panchayat building. At least she has a hope that her services could be delivered
better from her place of residence. After understanding her genuine problems, the
SDHS project team made an effort to provide necessary infrastructure and
construct a labor room for conducting deliveries at the sub center as the
Community Health Center (CHC) Bankhedi is nearly 20 kilometers from the sub
center. With continues meetings with Sarpanch and villagers, the team was able
to convince the Sarpanch who agreed to provide all support for the sub center to
be functional. Now Mrs. Singh is as well as the villagers are happy with the newly
renovated sub center and the labor room. They do not have to travel to Bankhedi
for these basic facilities.
Case study - 2
I want my daughter’s marriage at the earliest!
Gopal Prasad and Vidya Bai are living in Village Thutha Dahalwada of Pipariya
Block. Gopal was fighting against his poverty as he had only one acre of land for
maintaining his four-member family including two children. His mental condition
was becoming more pathetic as he had to finish the marriage of her daughter
Sumit who was around 17 years old. In order to sustain his family he withdrew
her daughter from the school and settled her marriage. The information was
spread among the villagers. When Sumit was interviewed she told that she do not
want to do get married now and want to study more. Thanks to Mr. Maniram,
who was appointed by the project as local resource person for the village.
Maniram was conducting a meeting at the village in order to create awareness
among the community about their own health. Gopal was also quite fortunate to
attend the meeting and understand the problems of early marriage. The
knowledge gained through meeting made him to change his mind and after
discussing with his wife, Gopal decided to postpone the marriage of their
daughter for few more years. It was only the villagers who were wandering about
Gopal’s decision.
Similarly was the incident with the Sukirti, aged 16 daughter of Malti Bai and
Paramsukh Raghuvansi of Kherrikala village whose marriage was already
finalized. From the knowledge learnt from the village level meeting conducted by
the Panchayts' local resource person, the community was motivated and they
force Param Sukh to postpone his daughter's marriage. Through our experiences
from PRI intervention, several such instances were handled simply through
motivating the village community.
Case study - 3
183
Indian Institute of Health Management Research, Jaipur
Strengthening District Health System in Madhya Pradesh through Management Interventions
Doctors in Health Camp: A Problem or Solution
In kherrikala village the project team organized a health camp with the help from
Panchayat members. Accordingly, the Sarpanch Mr. Bhagwan Singh Raghuvansi
made necessary arrangements for the camp with the help of project team. The
news about the health camp was spread among the villagers with the help of
school going kids through Prabhatpheri. The doctors from Pipariya CHC arrived
at the spot to conduct medical checkups. Alas! It is so crowded! was the first
sentence which was immediately uttered by the doctors after arriving at the spot.
The doctors and whole team had to work for 12 hours for checking all the cases
who attended the camp. No doubt, the camp was a grand success. The concept of
time management and care to the right people were certainly questionable points
in this camp. Does a health camp really need a specialist doctor? Certainly there
is confusion between the concepts of health and medical camp. The overcrowding
in the camp was due to the presence of specialist doctor.
Case study – 4
No doctors, but health Camp!
Health Camp was always becomes an attraction for the villagers. The people of
Junhetta village, which is nearly 20 kilometers from Bankhedi block, derived the
benefits from the health camp organized by SDHS project with the cooperation
from PRIs and health department. The grass root level health workers, in
coordination with Panchayat, arranged all the necessary requisites for the camp.
The focus of this health camp was on the ANC checkups, distribution of IFA
tablets, immunization and cleanliness of village for prevention. All the activities
of the camp were finished within stipulated time and the people were happier with
this new approach in organizing a health camp.
The basic point which needs to be understood is that the health camp should aim
at providing primary and preventive care to the community rather than checking
the cases which could not be handled in the camp. The medical camps certainly
need doctors as the emphasis of medical camp is on medical checkups.
184
Indian Institute of Health Management Research, Jaipur
Strengthening District Health System in Madhya Pradesh through Management Interventions
ANNEXURE –8.1
TORS FOR GRAMIN SWASTHYA KALYAN TEAM AND
GRAMIN SWASTHYA KALYAN KOSH (GSKK)
LokLF; dY;k.k Vhe@dks"k
fu;ekoyh
1- laLFkk dk uke %& xzkeh.k LokLF; dY;k.k Vhe
2- laLFkk dk dk;kZy;%& xzkeh.k LokLF; dsUnz
3- laLFkk dk dk;Z{ks= %& xzkeh.k LokLF; dsUnz
4- laLFkk ds mnns’; %&
8 xzkeh.k LokLF; dY;k.k Vhe xkaoksa esa LokLF; ds izfr yksxksa esa tkx:drk
ykus dk dk;Z djsxhA
9 xzkeh.k LokLF; dY;k.k Vhe tulg;ksx ls xzkeh.k LokLF; dY;k.k dks"k ,df=r
djsxhA
10 xzkeh.k LokLF; dY;k.k Vhe ds }kjk xk¡o esa LoPN ikuh] LoLF; okrkoj.k
rFkk f'k'kq ,oe ekr` lqj{kk ds fy, dk;Z djsxhA
11 xzkeh.k LokLF; dY;k.k Vhe ds }kjk xk¡o esa izf'kf{kr nkbZ] vkxauckMh
dk;ZdrkZ ]tuLokLF; j{kd ,oe~ LokLF; dk;Zdrkvksa }kjk dk;Z djok;k tk,xkA
12 xzkeh.k LokLF; dY;k.k Vhe ;g lqfuf'pr djsxh fd muds dk;Z{ks= ds lHkh
yksxkas dks LokLF; lqfo/kk, iw.kZ :i ls le; ij fey jgh gSa A
13 xzkeh.k LokLF; dsUnz ;k mi LokLF; dsUnz ij dk;Zjr dk;ZdrkZ lgh rjg esa
viuh ftEesankfj;ksa dk fuokZgu dj jgs gaS bls lqfuf'pr djsxsa A
14 xzkeh.k LokLF; dsUnz dk j[kj[kko ,oe lk/kuksa dks miyC/k djkukA
5- laLFkk ds dk;Z %&LokLF; dY;k.k Vhe ;g fuf'pr djsxh dh mlds {ks= ds lHkh
10- cq[kkj ds lHkh ejhtksa dh jDr dh tkap gqbZ gS ,oe mudh tkap fjiksZV vk xbZ
gSA
11- Vh-oh- ds ejhtksa dh tkap gks xbZ gS rFkk mUgsa nokbZ izkIr gks xbZ gSA
12- dq"B ds ejhtksa dh igpku gks xbZ gS rFkk mudk mipkj py jgk gSA
13- eksfr;kfcUn ds ejhtksa dks igpku fy;k gS rFkk vkijs'ku ds fy;s uke ntZ gks x;s
gSA
14- lHkh xHkZorh ekrkvksa dk iath;u gks x;k gS rFkk Vhds yxs vkSj vk;ju dh
xksyh fey xbZ gSA
15- ,d ls Ms<+ o"kZ ds cPpksa dks lHkh fu/kkZfjr Vhds yx x;s gSA
16- lHkh izlo izf'kf{kr nkabZ }kjk fd;s tk jgs gSA
17- {ks= ds lHkh dqvksa dk 'kqf)dj.k fu;fer #i ls gks jgk gSA
18- #ds gq, ikuh dh fudklh dh O;oLFkk cuk yh xbZ gSA
6- laLFkk ds lnL; &
7- ljiap@iap v/;{k
8- iapk;r lfpo dks"kk/;{k (vxj xk¡o esa jgrk]gks)
185
Indian Institute of Health Management Research, Jaipur
Strengthening District Health System in Madhya Pradesh through Management Interventions
9- tu LokLF; j{kd dks"kk/;{k /lfpo
10- cgqmnns'kh; dk;ZdrkZ¼iq#"k@efgyk½ lnL;
11- vkaxuokM+h dk;ZdrkZ lnL;
12- çf'kf{kr nkabZ lnL;
7- laLFkk dk;kZy; esa fuEufyf[kr iath j[kh tkosxh %&
1- xHkZorh iath;u jftLVj
2- Vhdkdj.k jftLVj
3- xjhch js[kk ls uhps thou ;kiu djus okyksa dk lwpuk jftLVj
4- ty 'kqf)dj.k tkudkjh jftLVj
5- y{; naifRr jftLVj
6- nokbZ forj.k ,oe LVk¡d jftLVj
7- vks ih Mh jftLVj
8- chekfj;ksa dh fuxjkuh dk jftLVj ( Disease Surveillance Register)
9- vk; O;; ys[kk tks[kk jftLVj
8- laLFkk dh cSBds
1- izfr lkseokj dks xzkeh.k LokLF; dsUnz ij LokLF; lfefr ds lHkh lnL; ,df=r gksdj
fd;s x;s dk;ksZ dh tkudkjh nsxs vkSj vkus okys lIrkg ds fy;s dk;Z fu/kkZfjr
djsaxsA
2- LokLF; dY;k.k Vhe xzkelHkk ds fnu LokLF; ds fo"k;ksa ij tkudkjh iznku djsxh
,oe yksxksa dks LokLF; lqfo/kkvksa dk ykHk mBkus ds fy;s izsfjr djsxhA
9- LokLF; dY;k.k dks"k
1- ,d eq'r nku %&LokLF; dY;k.k Vhe lnL; xkao ds yksxksa ls laidZ dj muls
dks"k ds xBu ds fy;s ,d eq'r nku izkIr djsxhA nku yksxksa dh nsus dh {kerk ij
fu/kkZfjr jgsxkA
2- ekfld nku %& izfr ekg esa gj ifjokj ls ,d fuf'pr jkf'k LokLF; chek ds uke ls
,df=r dh tk,xhA ;g jkf'k #i;s 5 ls 10 #i;s izfr ifjokj gks ldrh gSA LokLF; dY;k.k
Vhe ds lnL; x.k bldk fu/kkZj.k djsaxsA
10- cSad [kkrk %&
laLFkk dh leLr fuf/k fdlh vuqlwfpr cSad ;k iksLV vkfQl esa [kksyh tkosxh ,oe
le;&le; ij /ku tek djus o fudkyus dh izfØ;k tkjh jgsxhA/ku dk vkgj.k v/;{k rFkk
dks"kk/;{k ds la;qDr gLrk{kjksa ls gksxkA
11- LokLF; dY;k.k dks"k ds ykHkkFkhZ
LokLF; dY;k.k dks"k xjhch js[kk ls uhps thou ;kiu dj jgs yksxksa dks LokLF;
lqfo/kk izkIr djus ds fy, vkfFkZd lg;ksx iznku djsxhA
186
Indian Institute of Health Management Research, Jaipur
Strengthening District Health System in Madhya Pradesh through Management Interventions
LokLF; dY;k.k dks"k (EOC) tfVy izlo ,oe tfVy LokLF; leL;kvksa ds fy, okgu dk izca/k
djsxhA
LokLF; dY;k.k dks"k dh jkf'k dk mi;ksx xzkfe.k LokLF; dsUnz ds j[k j[kko ,oe vko';d
lk/kuks adks miyC/k djokus ds fy;s fd;k tk;sxkA
187
Indian Institute of Health Management Research, Jaipur
Strengthening District Health System in Madhya Pradesh through Management Interventions
ANNEXURE –8.2
TOR FOR GRAMIN SWASTHYA KENDRA (GSK)
What is GSK?
Gramin Swasthya Kendra (Village Health Center) is a place (building) donated by the
community for providing the health services. Jan Swasthya Rakshak (JSR), Trained Dai
and AWW will provide the services to the community especially to those who are
unprivileged in the society. There is a provision of separate labour room in the village
health center which is utilized by the trained Dai to conduct delivery. The provision of
labour room ensures that all the deliveries which are to be conducted by the Dai are safe
delivery. The village health center ensures the safe motherhood practices as well as
hundred percent immunisation and health services to mother and children as and when
required.
Why GSK?
Quite a few villages in the district are cut off during the rainy seasons and unprivileged
people specially the women and children are deprived of basic health care. Keeping in
mind, Government of Madhya Pradesh health policy of having a Jan Swasthya Rakshak
(JSR), Trained Dai and Aganwadi worker in every village, The SDHS project has
working out on the idea of an establishing Village Health Center with community
mobilization; participation for seeking the financial cooperation was conceived.
Criteria for selection of village
• Unapproachable village during rainy season
• Having a predominant Below Poverty line population
• Should have at least one Trained Dai
• JSR leaving in the village
• Aganwadi worker leaving in the village.
• Land / building for GSK must be provided by the Panchayat.
• Health committee must be formed to mange the GSK, the member consist of
a) Panch
b) Trained Dai
c) JSR
d) Aganwadi worker
e) Local practitioner
f) Two representatives from below poverty line population
• Village Health Center at least 3 kilometer away from Sub Health Center.
• MPW’s will visit Village Health Center at least once a week and spend 2 hours
(fixed) 10 a.m.to12 a.m.
• Health Supervisor will visit Village Health Center once a fortnight.
188
Indian Institute of Health Management Research, Jaipur
Strengthening District Health System in Madhya Pradesh through Management Interventions
• Primary Health Center Medical Officer visits once in a month.
• Villagers and health committee will ensure GSK is opened between 9 am to 11
am.
• CHC will provide essential drugs and medicine and register for records
equipments for GSK.
• Community will have a corpus fund for emergency.
• Record of Below Poverty line family will be maintained in the center.
Management of the GSK
The Village health Committee will manage by the chairperson of the committee who is
selected by the villages. The corpus fund which is collected by the health committee will
deposited in the bank which can be utilized for the transportation of emergency
obstructed cases (EOC) and to make the additional arrangement as required by the any
service provider. The GSK will remain open 9 AM to 11 AM every day. The JSR,
Trained Dai and AWW will hold clinics and responsible for the cleanness and running of
the GSK. They will also maintain records of their work. The JSR/Trained Dai/AWW will
work as team and any one of them can be Incharge of the GSK. In any village if JSR is
not available then a person is recruited as depot holder. The depot holder is selected by
health committee. The depot holder will be trained in basic knowledge about the
medicines so that he can provide the minor health care services to the villagers.
Logistics at GSK
(c) Furniture
(d) Equipments (general)
 One Mattress
 Two Bed sheet
 Two Pillows
 Three Towels
 Three Wooden racks to keep Medicines, Registers and
 One Wash Basin
 One Shelters Café
 One B. P. Instrument
 One Weighing Machine-Adult and Child
 One Thermometer
 Ten Register
 Malaria Slides
(c ) Equipment for Delivery
 Enema Can With cathedra
 Mackintosh
 Plastic Apron
 Torch
189
Indian Institute of Health Management Research, Jaipur
Strengthening District Health System in Madhya Pradesh through Management Interventions
 Kerosene stove
 Sauce Pan
 Forceps
 Plastic Bucket.
(d) Drugs and Medicine
• Paracetamol Tab.
• Chloramines Tab.
• Chlorine Tab.
• Vitamin A Solution
• ORS packets
• DDK
• Sprit
• Ear/Eye drops Local / Alb acid drops 10%
• Benzyl benzoate
• Cotton and Gauze
• Bandages
• Trio dine
• Soap- Lifebuoy
• Syringes and Needles
• Saline Stand
190
Indian Institute of Health Management Research, Jaipur
Strengthening District Health System in Madhya Pradesh through Management Interventions
ANNEXURE –8.3
PRI CHECKLIST
iap ljiapksa ds fy, psd&fyLV
Ø- iz'u mÙkj
1-
D;k mi&LokLF; dsUæ lIrkg ds fu/kkZfjr fnuksa ij [kqyrk gS  gk¡ ugha
2-
D;k mi&LokLF; dsUæ dh nhokj ij LokLF; dk;ZdrkZvksa dh
dk;Z&;kstuk vkSj nh tkus okyh LokLF; lsokvksa dk mYys[k
fd;k gS 
gk¡ ugha
3
D;k LokLF; dk;ZdrkZ viuk dke dj jgs gSa  gk¡
a
ugh
4-
D;k vkids {ks+= dh lHkh xHkZorh efgyk,a ,oe~ f'k'kqvksa dk
¼0&1 o"kZ½ iath;u LokLF; dk;ZdrkZ ds }kjk fd;k x;k gS 
gk¡ ugha
5-
D;k mi&LokLF; dsUæ ij lHkh fu/kkZfjr o vko';d nokbZ;ka
vPNh rjg ls j[kh gqbZ gS rFkk mudk fjdkMZ Hkh lgh rjg ls j[kk
tk jgk gS 
gk¡ ugha
6-
D;k mi&LokLF; dsUæ ij miyC/k djk;s x;s lHkh midj.k lgh #i ls
gS] vkSj mldk mi;ksx fd;k tk jgk gS 
gk¡ ugha
7-
D;k mi&LokLF; dsUæ dh Vhe dk xBu fd;k x;k gS  gk¡ ugha
8-
D;k mi&LokLF; dsUæ Vhe dh ehfVax gj ekg fu/kkZfjr fnol ij
gksrh gS 
gk¡ ugha
9-
xzke lHkk ds fnu D;k mi LokLF; dsUæ dh Vhe LokLF; ds
eqnnksa ij ckrphr djrh gSa 
gk¡ ugha
1
0
D;k LokLF; dY;k.k lfefr dk xBu fd;k x;k gSa  gk¡ ugha
fnukad %
gLrk{kj&ljip
191
Indian Institute of Health Management Research, Jaipur
Strengthening District Health System in Madhya Pradesh through Management Interventions
ANNEXURE –8.4
TOR FOR SUB HEALTH CENTER TEAM
Constitution
Sub health center team constituted by the order from the BMO’s.
Composition
• Health Supervisor’s
• MPW’s
• JSR
• AWW
• Trained Dai
The Sarpanch or Panch of the village shall lead the SHC team, where the SHC is located.
Terms of Reference (TOR)
The SHC team shall meet every months and discuss problems of :
• SHC Maintenance
• Drug Store
• MIS (Analysis of Form-6)
• HRD problems
• Coordinate with JSR/AWW/Trained Dai
• SHC team shall address the Gram Sabha on health issue:
-Hygiene
-Sanitation
-Safe water
-MCH
• Check records and reports to be sent.
The Field officer of SDHS project shall be present during the SHC team meeting and
help and guide the SHCT. A register shall be provided by the SDHS project for
maintaining the record of SHCT meeting at the SHC.
The Field officer shall report separately to the SDHS project about the decisions taken at
the meeting.
The R.O. to ensure order is issued by the BMO’s. First meeting will take place on 27th
Sep’2003.
192
Indian Institute of Health Management Research, Jaipur
Strengthening District Health System in Madhya Pradesh through Management Interventions
ANNEXURE – 8.5
TERMS OF REFERENCE (TOR) FOR HEALTH CAMP
Concept: - Health Camps Should focus on health issues and on prevention of diseases
and promotion of health.
Health camps are different from medical camps which are primarily disease oriented
diagnosis and treatment of diseases and disability.
Objective of health camps: To make the community aware of its health problems and
find local solutions for them.
Preparation for health camp:
1. Meeting with the Gram Panchayat representative to
• Fix date for health camp in the village
• Discuss the health issues and find local solutions
• Organization of the health camp shall be the responsibility of Gram
Panchayat.
• Inform the people that the health team shall give technical help in the health
camp
• The meeting shall be attended by (a) Gram Panchayat Representatives (2)
Health team comprising of health supervisors, Multi purpose workers, JSR,
AWW and the trained Dai.
Note: Report of the meeting to be submitted to the BMO in writing by the health
supervisor.
Tasks to be performed in health camp:
Prabhatpheri by school children in the morning
Required logistics:
 School teacher to be informed
 Placards and banners with health messages
Responsibility: School teacher
Disinfections of drinking water sources with bleaching powder
Required logistics:
193
Indian Institute of Health Management Research, Jaipur
Strengthening District Health System in Madhya Pradesh through Management Interventions
 Bleaching powder
Responsibility: MPW (M) and JSR
Sanitation:
 All chocked drainage to be cleaned
 Used mobile oil to be poured in all stagnant water and mosquito and fly breeding
sources.
Maternity:
All pregnant woman shall be registered and:
 AN check up done by ANM
 TT given by ANM
 IFA 100 tabs given by ANM
 Health advices given regarding nutrition and care to be taken during pregnancy
Infants:
 Immunization to be done by ANM
 Diarrhoea: ORS Packets to be given by ANM
 ARI – Cotimaxazole tab. To be given by ANM
 MPW has to prepare the slides for malaria of all the fever cases and give 4 tablets
of Chloroquine.
 IEC material is to be distributed
194
Indian Institute of Health Management Research, Jaipur
Strengthening District Health System in Madhya Pradesh through Management Interventions
CHAPTER -9
QUALITY ASSURANCE INTERVENTION
9.1. BACKGROUND
Reduction of maternal as well as infant mortality has been the major attempts towards
achieving “Health for all by 2000 A.D.”. Towards this end, the Government of India as
well as various international agencies such as UNICEF, UNFPA, World Bank etc. have
launched and implemented various projects and programs. Moreover, promotion of
health of mothers and children has been one of the major aspects of family welfare
programme in India.
The improvement of health status of population in general, and women and children in
particular, calls for an appropriate health care delivery system, which could satisfy the
needs of the targeted community. The fact that the health care delivery system in India
suffers from inadequacy of available infrastructure could not be denied if one looks at
bed population and doctor population ratios. Is it possible to attribute these low ratios to
poor quality of care? Is it not possible to improve the quality of care with the available
financial as well as physical resources? Several such questions come to our mind while
we talk about quality of care. This answer is derived through the experience from Royal
Danish funded Strengthening District Health Systems Project, which was implemented in
Hoshangabad district, Madhya Pradesh.
Though the quality of health care needs to be looked into from provider’s as well as
consumer’s prospective, the interventions carried out under this project focused on the
improvement of quality of MCH care from providers prospective and tried to see the
impact of this intervention on the consumers.
The organization of the report is as follows. The succeeding section gives a brief
description of the aims and objectives of present intervention. Section 3 describes the
problems associated with poor quality of care as identified through diagnostic studies.
The interventions planned and implemented in the field to overcome the identified
problems are described in Section 4. Section five deals with the outcome of the
interventions evaluated through a rapid assessment survey. The lessons learnt and
sustainability of the initiated activities under this project is described in Section 6.
Concluding remarks are given at the end of this report.
9.2. OBJECTIVES
As the objective of the project was to improve the primary health care delivery system in
the district, the present intervention aimed at improving the quality of primary health
care especially related to Maternal and Child Health (MCH). To be more specific the
objectives of the present intervention were:
195
Indian Institute of Health Management Research, Jaipur
Strengthening District Health System in Madhya Pradesh through Management Interventions
• To identify the key problems associated with poor quality of MCH services in
the district.
• To design, pre test, and implement Quality Assurance (QA) checklists in the
field in order to enhance consumer satisfaction and develop expertise of the
health functionaries on selected important services related to MCH.
• To monitor the use of quality assurance checklists in the field
• Evaluate the usefulness of the quality checklists in improving the MCH care
delivery in the district through rapid assessment
• Making a note on the lessons learnt and sustainability of quality intervention
9.3. DIAGNOSTIC STUDIES – PROBLEMS AND ISSUES
The problems associated with delivery of quality health care in the district were
identified through a diagnostic study, which was carried out at the initial phase of the
project. The study aimed at–
• Assessing the facilities available at health facilities for delivery of quality of
MCH services
• Assessing the clients’ perception on the quality of MCH services provided by
the health functionaries
For intervention purposes the salient findings of the study are grouped in to two
categories:
(a) Policy Issues
• Specialist doctors not posted at block head quarters, thus posing problem for
appropriate referral care
• Referral units are not well equipped hence EmOC cases could not be attended
• Facilities for EmOC not adequate so cases do not get appropriate treatment in
time. In peripheral institutions (sub centers) the basic instruments such as
height measuring scale, Hemoglobin testing apparatus, BP instrument and
fetoscope are not available.
• Essential drugs for MCH services are not available at the sub center level.
Hence the clients have to procure them from outside sources
(b) Functional Issues
• Lack of home visits by the services providers results in no identification of
high risk cases and therefore no referral
• Lack of adequate training to health workers to handle emergency cases so
clients are dependent on other service providers and suffer casualties.
196
Indian Institute of Health Management Research, Jaipur
Strengthening District Health System in Madhya Pradesh through Management Interventions
• Trained Birth Attendants (TBA) usually conducts the deliveries. Even the
normal deliveries are not attended by ANM’s / any health workers. This
results in high maternal and infant deaths.
• Female supervisors do not help the ANM’s to conduct deliveries. Therefore,
the ANMs do not want to take any risk by themselves.
• Counseling services such as breast-feeding, keeping gap between two
childbirths, adopting appropriate family planning methods and appropriate
care during pregnancy, risk factors associated during pregnancy and after
delivery etc. are not usually provided by the service providers.
• Not all the female service providers perform thorough physical examination to
the satisfaction of the client and risk cases are not identified at their level.
9.4. INTERVENTIONS
INTERVENTION 1: DEVELOPMENT OF QUALITY ASSURANCE (QA) CHECKLIST
Addressing the administrative issues was out of the scope of the project and it was
against projects’ philosophy. The issues regarding the non-availability of specialist
doctors and necessary materials were discussed in District Health Team and Block Health
Team meetings and the authorities were requested to draw their attention on those issues.
In order to improve the MCH services delivery in the district the project put its attention
on the functional issues and planned the interventions accordingly. The implementation
was carried out in a phased manner. The challenging task in front of the project team was
to convince the health care providers that it is not only the equipment and expert man
power which affects the quality of care, rather it is the expertise of the health workers on
providing various services to the consumers which matters more in quality context.
Keeping this point in mind the project developed seven Quality Assurance (QA)
Checklists (checklist for ANC, Intra Natal, PNC, Immunization, ARI, Diarrhea and
family planning) and implemented them in the field (Annexure – 6.1). It must be kept in
the mind that the checklists were not only meant for consumers’ satisfaction, it was also
expected that repeated use of checklists would help the health care providers improving
their expertise in appropriate services delivery.
INTERVENTION 2: TESTING THE FEASIBILITY OF CHECKLIST
Use of checklists for improving the quality of health care was certainly an innovative and
completely new idea. Moreover, it was the first attempt of this kind in the country.
Therefore, it was felt necessary that the usefulness of the checklists tested before its
replication in other blocks of the district. Accordingly, at the initial phase of
implementation, only one block (Bankhedi) was chosen for this purpose and following
activities were carried out:
(a) Training at Bankhedi block: In order to orient the health functionaries about the
concept of Quality Assurance in health care and the importance of the prepared checklists
in improving the quality of services delivery, a training program was organized at
Bankhedi CHC. More specifically the training program was organized with the following
objectives in mind:
197
Indian Institute of Health Management Research, Jaipur
Strengthening District Health System in Madhya Pradesh through Management Interventions
• To impart concept of quality among the health functionaries
• To make them aware about the importance of quality in primary health care
• To explain them the importance and the meaning of the checklists proposed to be
used in the field
Issues discussed
• What does the quality means?
• Why quality needed?
• Requisite for quality improvement
• How do we improve the quality?
• What do we get by providing quality health services?
During the training session, the participants were provided with checklists and each
checklist was explained to them in detail. In order to assess the status of services delivery
in the block, the participants were requested to fill the checklists distributed to them and
it was found that only 20 – 30 per cent of the services mentioned in the checklist are
provided in the field. A large segment of the participants were unaware about some of the
services mentioned in the checklists. The participants realized that the services provided
by them were not up to the satisfaction of consumers. The participants admitted that the
use of quality checklist would help bringing better consumer satisfaction. In addition, it
was also expressed that the checklist would help improve their skills on service delivery.
At the end of the training session the participants were provided with 10 sets of checklists
each and it was requested to them that they should use those checklists while attending
the clients and fill them correctly as the use of checklist will be for their own satisfaction.
b) Follow-up meeting: In order to assess the usefulness and utility of the checklists, a
follow up meeting with the health functionaries was organized after one month. During
the follow up meeting a detailed discussion, regarding the problems and constraints faced
by the health workers while using the checklist was made. The participants shared their
experiences in using the checklist and following points were observed:
• ANC checklist was used extensively by each and every ANM
• Some of the ANM expressed that they are able to perform their activity
systematically after the use of checklist.
• Though the health workers did not know the procedure for inserting IUDs, after
getting the checklist some of them started learning the procedure from medical
officers.
• There was more demand for checklists, thus giving an indication that the workers
were interested in using the checklists
• Some of the participants suggested some necessary modifications in the checklist.
This gave an indication that the participants have read the checklists carefully and
used them.
198
Indian Institute of Health Management Research, Jaipur
Strengthening District Health System in Madhya Pradesh through Management Interventions
INTERVENTION 3: DISTRIBUTION AND TRAINING ON CHECKLIST IN OTHER
BLOCKS
After successful testing of usefulness of checklists in Bankhedi block, the project team
decided to print the checklists and provide the checklist to all the health workers of the
entire district. Accordingly, the checklists were printed and each worker of the district
was supplied with 25 sets of each checklist. The project staff imparted necessary training
on how to use the checklists. The training programs were carried out at respective block
headquarters.
INTERVENTION 4: QUALITY MONITORING AND DISTRIBUTION OF LAMINATED
CHECKLISTS
The field officers in charge of respective blocks along with their research officers
monitored the use of the checklist in the entire district. In order to keep the Quality
Assurance activities sustainable, each sub center was provided with a set of laminated
checklist and it was requested to hang those checklists on the wall so that it can be used at
the time services delivery. In addition, the checklists were also provided to PHCs and
CHCs of the district.
9.5. OUTCOMES
Table 9.1: Achievements at a Glance
Indicators Number
Number of training sessions conducted by the quality expert 2
Number of training programs conducted by the project staff 6
Number of quality checklists printed and distributed 4500
Number of Laminated checklists provided to health care institutions 175
Number of follow up visits made by field staff 21
Number of checklists used by the health functionaries 3275
9.6. POST INTERVENTION ASSESSMENT
After successful completion of project activities, the project team carried out a rapid
assessment survey in order to measure the impact of QA intervention in the district.
The study aimed at following objectives:
• To assess the extent of use of checklist by health workers
• To assess the enhancement in the knowledge of process steps in specific service
delivery.
• To assess perception of clients towards service provided by the health workers.
• A set of indicators were selected for assessing the impact of quality intervention:
• No of ANMs using various checklists
• Percentage of ANMs feel that their performance has increased/Improved
• Percent ANMs perceive that use of checklist has facilitated her work
199
Indian Institute of Health Management Research, Jaipur
Strengthening District Health System in Madhya Pradesh through Management Interventions
• Percent ANM feel that their skills have improved
• Percent ANMs feel satisfied with the use of checklist
• Percent ANMs feel that it has improved quality of services
• Percent of pregnant women administered checklist
• Percent women feel satisfaction with the services provided by ANM
• Percent women feel that ANM has started giving better care
9.6.1. Methodology and Sampling
Two blocks, one at the farthest corner of the district (i.e., Bankhedi) and other closest to
the district (i.e., Dolariya) were selected for rapid assessment. The assessment aimed at
collecting information from the providers as well as the consumers on the changes in the
service delivery before and after the intervention. Accordingly, two sets of structured
questionnaires – one for the providers and other for the receivers were prepared and
administered in the field. Though it was decided that all the ANMs of the selected blocks
would be interviewed for the survey, due to pulse polio program in the district only 23 out
of 34 could be interviewed. From the consumers’ side, a minimum of 10 households
(selected randomly from the services provision register of the ANM after QA intervention)
was decided to be interviewed from the sub center villages of respective ANMs. Due to
unavoidable circumstances, only 249 out of 340 households could be interviewed during
the period of survey. Trained investigators conducted the survey.
9.6.2. Salient findings
Profile of respondents
Out of 23 ANMs who were interviewed during the period of survey, 48 per cent of them
had experience of working in health department for 11-15 years followed by the
respondents, which had work experience of 16-20 years (39 per cent). A negligent
percentage of the respondents had experience of 5-10 years of experience in the
department (Table – 9.2). As expressed by respondents, none of them had received any
service protocol during their period of service and the higher authorities did not put any
attention on quality services delivery to the clients.
Table 9.2: Work experience in Health Department
Experience in Years No of ANMs Percentage
5 -10 1 4.3
11-15 11 48
16-20 9 39
21-25 1 4.3
26 and above 1 4.3
Total 23 100
200
Indian Institute of Health Management Research, Jaipur
Strengthening District Health System in Madhya Pradesh through Management Interventions
9.6.2a. Services Provider’s Prospective
(a) Use of checklists
As the checklists were primarily provided for their use during the services delivery, the
frequency of use of the checklists would give us an indication on the quality services
delivery and efficiency of the health workers in providing the services. From the results
of the survey, it is interesting to note that most of the checklists were used during the
service delivery, with more than 60 per cent of them used during ANC services and
immunization. However, the percentage of utilization still lies below 60 per cent for other
services (Table 9.3).
The important factor that could be attributed for the low utilization of checklists is the
time interval between the supply of checklist and their use. Table 9.4 gives a clear picture
on this aspect. As could be seen from the table, majority of health workers were provided
with QA checklist just 4 months before the completion of project. This was mostly due to
late interventions on Quality Assurance.
Table 9.3: Use of the provided checklists by category
Types of Checklist Quantity Provided Checklist
Administered
% Utilization of
checklist
ANC 605 377 62.31
Intra natal 605 257 42.47
PNC 605 355 58.67
Immunization 605 402 66.44
ARI 605 246 40.66
Diarrhea 605 220 36.36
Oral Pills 590 327 55.42
IUD 590 286 48.47
Total 4810 2470 61.11
Table 9.4: Duration of use of checklist
Time period No of ANMs Percentage
Three month before 3 13
Four month before 19 82.6
More than four month 1 4.3
Total 23 100
The use of the checklists is linked with the work experience of respondents as could be
observed from Table 9.5. The utilization of checklist by low experienced staff was found
to be more compared to experienced workers. This could be attributed to the fact that
workers with low experience are more inclined to bring changes in the system as
compared to more experienced workers. This is evident from the table given below.
201
Indian Institute of Health Management Research, Jaipur
Strengthening District Health System in Madhya Pradesh through Management Interventions
Table 9.5: Acceptance and use of Checklists by years of experience
Experience No. of ANMs Percentage
Share
Checklist
provided
Checklist
used
Acceptance
percentage
5-10 years 1 4.3 210 200 95
11-15 years 11 48 2310 1220 53
16-20 years 9 39 1890 1010 53
21-25 years 1 4.3 210 71 34
26 and above 1 4.3 210 61 29
Total 23 99.9 4830 2562
(a) Improvement in performance of ANMs
Table 9.6 gives the information about the clients served by the ANMs before and after the
quality checklist. It is necessary to note that the number of clients before the
administration of checklists is more than the number after the use of checklist. There are
two possible reasons for this:
1. The clients who were attended before the administration of checklist were not
thoroughly checked. As a result, the number of clients attended will be certainly
be more
2. After the use of checklist, the services were provided as per the checklists. This
certainly takes more time per client, thus acts as contributing factor for less
number of cases
However, the point to be noted here is that more time with the clients is certainly an
indication of improvement in the quality of care. This statement could be supplemented
with the responses from the service providers who expressed their satisfaction with their
service delivery pattern after the use of checklists.
Table 9.6: Number of clients served before and after the use of checklist
Types of checklist Number of clients served before
administration of checklist*
Number of clients served
after checklist**
ANC 1772 964
Intra Natal 363 180
PNC 1246 598
Immunization 1996 982
ARI 616 400
Diarrhea 518 307
Family Planning 1103 728
Source: Data collected from concern ANMs during rapid assessment survey January 2004
*The date pertains to April – August 2003, ** Date pertains September- December 2003
202
Indian Institute of Health Management Research, Jaipur
Strengthening District Health System in Madhya Pradesh through Management Interventions
(b) Improvement of service delivery (component wise)
1. ANC services
For the convenience of analysis, the ANC services are divided into three categories. (a)
General services, (b) Clinical services and (c) Counseling services. It could be observed
from Table 9.7 that out of five general services the ANMs were providing only two
services (i.e., registration and distribution IFA) to all the cases attended by them. Other
services such as taking the history, identification of high-risk cases and TT doses were
not provided to all the clients attended by them. It is noticeable from the table that after
the administration of QA checklist, all the five general services are provided to all the
clients attended by them. Similar trend could be observed for clinical and counseling
services also.
Table 9.7: Ante natal services and improvement in the service delivery
Services Percentage of ANMs
provided services
Before Checklist
Percentage of ANMs
providing services after
checklist
Percentage
Change
General
Registration 100 100 -
History Taking 52 100 48
Identification of High
risk
52 100 48
TT doses 73 100 27
IFA Tablet 100 100 -
Clinical check-up
Pulse rate 26 95.7 69.7
Blood pressure 8.7 100 91.3
Edema 52 95.7 43.7
Position of child 30 100 70
Pelvic outlet 13 91 78
Urine test 8.7 56 47.3
Blood test 8.7 69 60.3
Counseling
Risk factor during
pregnancy
61 100 39
Food intake during
pregnancy
78 100 22
Importance of rest
during pregnancy
74 100 26
203
Indian Institute of Health Management Research, Jaipur
Strengthening District Health System in Madhya Pradesh through Management Interventions
2. Intranatal services
Twenty-two components are listed to provide quality services during Intra natal care.
These components further divided into five sub heads; (a) Preparation (b) Information
about labor (c) Physical check up and risk factors (d) Services during delivery, and (e)
Neo-natal care. The data revels that after the use of QA checklists, there is substantial
improvement in the services delivery for all the components (Table – 9.8).
3. PNC Services
There are 11 components listed out for quality delivery of PNC services. There is a
perceivable change in the PNC services delivery by the health workers after the QA
intervention (Table 9.9)
Table 9.8: Status of Intra natal Services before and after the intervention
Services Percentage of ANMs
provided services
Before Checklist
Percentage of ANMs
providing services after
checklist
Percentage
Change
Preparation
Needle, Syringe, thread
scissor, blade, glove are
sterilized
95 96 1
Analyze the possible
complications
65 96 31
Information about labor
When the labor pain
start
91 96 5
Duration of and interval
of labor pain
61 96 35
Discharge of membrane
water
52 91 39
Bleeding 52 91 39
Discharge of dark black
or green water
26 91 65
Physical check-up and risk factors
Measure pulse rate 48 91 43
Blood pressure 9 96 87
Position of child 44 96 52
Distosia (Falls pain) 4 96 92
Hemorrhage or shock 0 96 96
Infection 4 96 92
During delivery
Clean the perineum of
women
91 96 5
Provide support to
child's head by palm
96 96 -
Ensure that cord is not
wrap at neck
83 96 13
204
Indian Institute of Health Management Research, Jaipur
Strengthening District Health System in Madhya Pradesh through Management Interventions
Clean the mouth and
nose of child
70 96 26
Check the release of
placenta
39 96 57
Neonatal care
Ensure the breathing 74 91 17
Ensure the cry 91 96 5
Tie the cord with
sterilized thread
78 96 18
Wrap the child with
clean cotton cloth and
hand over to mother for
breastfeeding
74 91 17
Table 9.9: Status of PNC services before and after the intervention
Services Percentage of ANMs
provided services
Before Checklist
Percentage of ANMs
providing services
after checklist
Percentage
Change
General
Asked about the
place of delivery
74 100 26
Complication during
the delivery
52 96 44
Status of bleeding 26 100 74
Problem of foul
discharge
26 100 74
Pain in abdomen and
breast
17 100 83
Complain of fever 39 100 61
Physical Examination
Position of uterus 30 100 70
Discharge, swelling
on cervix
22 100 78
Pulse rate 52 100 48
Blood pressure 9 100 91
Check for anemia 26 100 74
4. Immunization services:
For the qualitative immunization services, seven components were listed out. It could be
observed from Table 9.10 that, before the intervention ANMs were providing these
services to almost all the clients. Unfortunately, most of the service providers were not
taking a note of level of vaccine vial for date of expiry. However, after the intervention
there is a substantial change in the attitude of health workers as all the respondents are
taking a note of the same before vaccination. Similar improvements could be observed on
administering appropriate dose, administering the vaccine at prescribed place and
disposing off the needles after the use.
205
Indian Institute of Health Management Research, Jaipur
Strengthening District Health System in Madhya Pradesh through Management Interventions
Table 9.10: Status of Immunization services before and after the intervention
Services Percentage of ANMs
provided services
Before Checklist
Percentage of ANMs
providing services
after checklist
Percentage
Change
Check the label of vaccine
vial for date of expiry
61 100 39
Maintain proper cold chain
and keep the vaccines in ice
pack
100 100 -
Use sterilized syringe for
each administration
100 100 -
Ensure the proper quantity
of dose to be insured in the
syringe before
administration
91 100 9
Administered vaccine at
prescribed place
91 100 9
Syringe and needle
disposed off after the
administration.
91 100 9
Ensure the entry of record
in the immunization
register
100 100 -
5. ARI services
There are 14 components listed out for quality ARI services. ANMs provided only one
service very prominently i.e. enquired whether child is unable to drink any liquid material
properly. However, though the QA checklist could not bring 100 per cent change in
services delivery, still there are noticeable improvements if one analyses Table 9.11
component wise.
6. Diarrhea services
Out of 10 components listed for quality services delivery, ANMs performed quite well on
four components. i.e. knowing about the duration of frequency of loose motion, provide
counseling services to the parents to provide liquid item as more as possible and teach
them about how to prepare ORS solution at home. The present situation (as reported by
the ANMs) reveals that almost all the listed services are provided to the clients after the
intervention (Table 9.12).
206
Indian Institute of Health Management Research, Jaipur
Strengthening District Health System in Madhya Pradesh through Management Interventions
Table 9.11: Status of ARI services before and after the intervention
Services Percentage of ANMs
provided services Before
Checklist
Percentage of ANMs
providing services after
checklist
Percentage
Change
Check the fever 78 100 22
Duration of cough and
cold
61 100 39
Observe the physical
activity status of child
57 100 43
Unable to drink any
liquid material
83 100 17
Examine breathing
rate
57 91 34
Take the temperature 22 100 78
Examine the throat 26 87 61
Examine the ears 13 91 78
Examine sound during
the breathing
65 100 35
Examine the colour of
lips, ears, face and
nails
48 100 52
Classified the category
of illness
9 96 87
Provide or prescribe
antibiotic
48 96 48
Referred child for
better services
48 100 52
Counseled the parents
about the pneumonia
48 100 52
Table 9.12: Status of Diarrhea services before and after intervention
Services Percentage of ANMs
provided services Before
Checklist
Percentage of ANMs
providing services after
checklist
Percentage
Change
Duration and
frequency of loose
motion
91 100 9
Asked about the
mucus with motion
61 100 39
Asked about the
vomiting
26 100 74
Asked about fever 48 100 525
Examine the level of
dehydration
35 100 65
Provide ORS 100 100 -
Does not provide
antibiotic unless
48 100 52
207
Indian Institute of Health Management Research, Jaipur
Strengthening District Health System in Madhya Pradesh through Management Interventions
mucus is present in
motion
Does not provide any
anti diarrhea medicine
39 100 61
Counseled parents to
provide more liquid
item as more as
possible
96 96 -
Inform them about the
preparation of ORS
solution.
83 100 17
7(a). FP services (oral pills)
It can be observed from above table that out of nine quality components of providing oral
pills services, the ANMs were providing only concentrating on two components i.e.,
asking the age of woman and number of children. Other components as listed in Table
9.13 were not taken care of. The use of quality checklist has improved their
understanding on the importance of all the components and at present, almost all the
components are looked carefully before advising the clients to use oral pills as method of
contraception.
Table 9.13: Status of FP Services (Oral Pills) before and after intervention
Services Percentage of ANMs
provided services
Before Checklist
Percentage of ANMs
providing services
after checklist
Percentage
Change
Age of the Women 96 100 4
No of Children 86 100 14
Whether the women suffer
from Heart problem. Blood
pressure or liver disorder
17 100 83
Whether women suffer
from PID
13 100 87
Whether women practicing
breastfeeding
39 100 61
Date of last menstruation 61 100 39
Explain how to take the
pills
44 100 56
Explain about the side
effect
9 100 91
Continuity of the oral pills 22 100 78
7 (b). FP services (IUD Insertion)
It is important to note that figures on IUD insertion were provided by the health workers
in form – 6 on a regular basis, whereas, most of the workers were unaware about the
method of inserting IUDs. Only 39 per cent of the ANMs know about how to insert IUD.
208
Indian Institute of Health Management Research, Jaipur
Strengthening District Health System in Madhya Pradesh through Management Interventions
Because of the execution of the checklist, ANMs have taken immense interest in learning
the procedure for the same and almost all of them are providing satisfactory services.
Table 9.14: Status of Family Planning Services (IUD) before and after intervention
Services Percentage of
ANMs provided
services before
Checklist
Percentage of ANMs
providing services
after checklist
Percentage
Change
Age of the Women 96 100 4
No of Children 83 100 17
Whether the women suffer from
Heart problem. Blood pressure
or liver disorder
9 100 91
Whether women suffer from
PID
9 100 91
Whether women practicing
breastfeeding
39 100 61
Date of last menstruation 57 100 43
Pregnancy test done 44 91 47
Load the Copper -T in inserter
in proper way
39 100 61
Ensure the depth and direction
of inserter
13 100 87
Install the copper -T at right
place
13 100 87
Ensure the position of tread of
Copper-T
17 100 83
The findings described in the previous section were a summary of service delivery status
before and after the quality intervention from providers prospective. No concrete
conclusion regarding the improvement of quality could be derived unless we analyze the
perception of clients on the services provided to them.
9.6.2b. Clients prospective on quality change
For the assessment of perception of the clients about service delivery of the ANMs after
the execution of checklist, 249 clients were interviewed. The distribution of clients (Table
–9.15) shows that majority (33 per cent) of the household respondents were receiving
immunization services followed by family planning and ANC clients (27 per cent each)
and PNC clients (19 per cent). A detailed distribution of the sample households is given
in table below:
209
Indian Institute of Health Management Research, Jaipur
Strengthening District Health System in Madhya Pradesh through Management Interventions
Table: 9.15 - Distribution of sample households based on services received
from the ANMs
Services Number of clients
receiving the
services
Percentage
ANC 68 27
Intra Natal 14 5.6
PNC 48 19
Immunization 82 33
ARI 10 4
Diarrhea 12 4.8
Family Planning 68 27
Total 249 100
In order to get a clear picture on the improvement of quality of services delivery before
and after the intervention, the clients were initially enquired whether they were receiving
any services from the ANMs before the intervention. Out of total clients interviewed,
majority of them (208 responses) received ANC services followed by PNC (200
responses), Immunization (181 responses) family planning (125 responses), ARI (83
responses). These clients received one or the other services from the ANM before the
intervention. When the same clients were requested to give their opinion on the status of
service delivery after the intervention, nearly 80 per cent of them were of the opinion that
the service delivery has improved during last few months (Tables 9.16 and 9.17).
Table 9.16: Services ever received
Services Number of responses
ANC 208
Intra natal 61
PNC 200
Immunization 181
ARI 83
Diarrhea 61
Family Planning 125
Table 9.17: Clients perception on improvement of services delivery after
intervention
Response Number of respondents Percentage
Yes 194 77.9
No 55 22.1
Total 249 100
When enquired about the kind of changes that were observed by the clients, multiple
responses were recorded. Most of the respondents (104) were of the opinion that the
210
Indian Institute of Health Management Research, Jaipur
Strengthening District Health System in Madhya Pradesh through Management Interventions
ANMs examine the clients more thoroughly at present. Eighty respondents were of the
opinion that the ANMs prescribe medicines accurately where as 74 clients reported that
the ANMs explain the problems in very simple language and counsel them properly. Fifty
seven respondents noticed positive change in the behavior of ANMs where as 53 clients
were satisfied with the present treatment of the ANMs as they feel that the ANMs started
treating better than before (Table 9.18).
Table 9.18: Type of changes observed
Responses Number of responses
Examine more thoroughly 104
Explain the problems in very simple language 74
Change in her behavior 57
Prescribed medicines accurately 80
Her treatment is better than before 53
Though majority of clients realized perceivable change in the service delivery of the
ANMs, it is interesting to note that still 5.2 per cent of the clients were not happy with the
services provided by ANMs (Table 9.19). When enquired whether the respondents have
communicated the observed changes to others in the community it was surprising to note
that only 24.1 per cent of them have communicated the changes in services delivery to
others whereas a major portion (75.9 per cent) did not communicate this to others (Table
9.20)
Table 9.19: Satisfaction of clients on the service delivery of ANMs
Responses Number of respondents Percentage
Yes 236 94.8
No 13 5.2
Total 249 100
Table 9.20: Clients Communicated observed changes to others
Responses Number of respondents Percentage
Yes 46 24.1
No 148 75.9
Total 29 100
To summarize, the rapid assessment of the intervention gives us a strong point to claim
that quality assurance intervention was one of the most successful intervention under
SDHS project as it has helped the project to achieve desired outputs within stipulated
time period. The major outcomes of this intervention are:
1. The use of QA checklist helped the health care providers in general and ANMs in
particular to improve their services delivery
211
Indian Institute of Health Management Research, Jaipur
Strengthening District Health System in Madhya Pradesh through Management Interventions
2. The improved services delivery has brought about a change in the minds of the
clients on the poor quality of government run health services
3. As the project was able to achieve its outcomes related to this intervention within
a short span of time, it is clear that the quality assurance checklists could be used
as an important tool for improving the health services delivery in any health
system.
9.7. LESSONS LEARNT AND SUSTAINABILITY
• The major focus of quality assurance intervention was on improving the quality of
Maternal and Child Health (MCH) care at the primary level. The major aim of
this intervention was to bring an improvement in quality of primary health care in
the district. Through the quality of care is an extremely important component in
enhancing the utilization of government run health services due to delay in the
implementation process the benefits of this intervention could not be fully
realized.
• Though it is generally believed that the deep rooted habits of the health
functionaries could not be changed, the same is not fully applicable in case of
quality of health care as the reputation of health functionaries is directly linked to
quality health services. No doubt that the employees working for a long time (20
years or more) are averse to change in the system. Nevertheless, an attitudinal
change could be brought in the minds of younger generation health functionaries
if appropriate training on quality health services delivery is imparted to them.
This was perceivable from our own experience.
• No doubt that the sustainability of quality intervention depends upon enforcement
of proper law and providing appropriate guidelines to lower level health
functionaries and monitoring the activities accordingly.
• Bringing perceivable change in quality of primary health care was tried out under
this intervention. Though it was not possible to bring substantial change in the
system, the results are quite encouraging. It is equally important that the same
aspect is included in secondary level health care, which is an important
component of referral care, though it is really a challenging task to change the
attitude of hospital staff in a short period.
• Over and above the sustainability has been a major issue in any implementation
project. Usually, the initiated activities are not continued for a long period as the
whole implementation activities are carried out with the people from the health
system. One way to sustain these activities could be to involve people from
outside the organization (i.e., NGOs, PRIS and Community people) to enforce the
functionaries to carryout the activities in the long run.
• Needless to add that formation of a quality wing at state as well as district level
would help bringing substantial changes in the quality of services delivery.
9.8. CONCLUSION
212
Indian Institute of Health Management Research, Jaipur
Strengthening District Health System in Madhya Pradesh through Management Interventions
The present intervention was an initial attempt, better to say an experiment, which was
carried out to improve the quality of Maternal and Child Health services in the district.
The tool used for this purpose was quite simple. The administration of checklists to bring
changes in the pattern of service delivery by the lower level health functionaries was not
at all a difficult task. The results from rapid assessment gives strong evidence that
Quality Assurance intervention was quite successful in the district as service delivery
pattern and the attitude of the service providers have changed after the administration of
checklist. It is therefore suggested that the activity should be continued for a longer
period for bringing sustainability in the initiated activity. Moreover, similar simplistic
methods with slight modifications in it could be used for hospitals. The sustainability of
the activity will certainly need the help of people outside the system, which the health
department needs to look into.
213
Indian Institute of Health Management Research, Jaipur
Strengthening District Health System in Madhya Pradesh through Management Interventions
ANNEXURE – 9.1
QUALITY CHECK LISTS
xHkkZoLFkk esaa lsokvksa dh xq.koRrk
¼izR;sd xHkZorh efgyk ds laca/k esa ;g lqfuf'pr djsa½
xHkZorh efgyk dk uke-----------------------------------------------xkao dk
uke---------------------------mi dsUnz dk uke----------------------------------------
lkekU; tkudkjh
D;k vkius mlds dkMZ ;k jsdkMZ dk voyksdu fd;k gS  gkW@ugh
D;k vkius efgyk ds dkMZ ;k jsdkMZ esa fuEu lwpuk,sa viMsV dj yh
gSa %&
efgyk dh vk;q gkW@ugh
vk[kjh ekgokjh dh rkjh[k gkW@ugh
fiNys izlo dh fnukad gkW@ugh
fiNys xHkkZs dh la[;k ,oe izR;sd xHkZ dk ifj.kke gkW@ugh
fiNys xHkZ ds le; vkbZ leL;k,a o tfVyrk,sa gkW@ugh
izlo dh vuqekfur fnukad gkW@ugh
D;k vkius efgyk esa [krjs ds y{k.kksa dk vkdyu fd;k gS 
tkWp gkW@ugh
iYl jsV gkW@ugh
jDrpki gkW@ugh
otu rFkk yEckbZ gkW@ugh
,Mhek@lwtu ds y{k.kksa dh ifgpku gkW@ugh
f'k'kq dh fLFkfr dk vkdayu ¼isV dh tkWp ½ gkW@ugh
isfYod vkmVysV dh i;kZIrk gkW@ugh
[kwu dh tkWp gkW@ugh
is'kkc dh tkWp gkW@ugh
lsok,sa
fVVsul dk Vhdk yxk;k gS  gkW@ugh
vkbZju dh xksfy;ka nh@fy[kh gS  gkW@ugh
iks"k.k&iwjd fn;s@crk,s gSa  gkW@ugh
[krjs ds y{k.k ik, tkus ij jsQjy gkW@ugh
ijke'kZ ¼Counseling)
xHkkZoLFkk ds nkSjku [krjksa ds ckjs esa vPNh rjg le>k fn;k
gS 
gkW@ugh
xHkkZoLFkk ds nkSjku vkgkj ds ckjs esa le>k fn;k gS gkW@ugh
VkiwfrZ
yackbZ ukius dk Ldsy@Vsi gkW@ugh
otu ysus dh e'khu gkW@ugh
LVsFksLdksi o jDrpki ukius dk midj.k gkW@ugh
fVVsul VkDlkbZM Vhds gkW@ugh
vkbZju dh xksfy;ka gkW@ugh
pSdfyLV &A
214
Indian Institute of Health Management Research, Jaipur
Strengthening District Health System in Madhya Pradesh through Management Interventions
izloiwoZ tkap ,oe fLFkfr dk jsdkMZ j[kus gsrq dkMZ ,oe jftLVj gkW@ugh
215
Indian Institute of Health Management Research, Jaipur
Strengthening District Health System in Madhya Pradesh through Management Interventions
izlo lsokvksa dh xq.koRrk
¼izlo laca/kh lsok,as ysus gsrq vkbZ izR;sd efgyk ds laca/k esa ;g lqfuf'pr
djsa½
efgyk dk uke-----------------------------------------------xkao dk uke---------------------------mi
dsUnz dk uke----------------------------------------
izlo dh rS;kjh
uhMYl] lhfjat] /kkxk] dSph] CysM] nLrkus vkfn dks LVjykbZt fd;k
gS 
gkW@ugh
izlo ds fy, lkQ LFkku dh O;oLFkk dh gS  gkW@ugh
lEHkkfor tfVyrkvksa ,oe leL;kvksa dk vkdyu fd;k gS  gkW@ugh
izlo dh tkudkjh %& D;k vkius fuEu ds ckjs esa iwNk gS
izlo ds nnZ dc izkjaHk gq,  gkW@ugh
nnZ fdrus vUrjky ij o fdruh ckj gq,  gkW@ugh
D;k ikuh NwV x;k gS  gkW@ugh
jDr L=ko rks ugh gqvk gS  gkW@ugh
xgjss dkys ;k gjs jax dk L=ko rks ugh gqvk  gkW@ugh
efgyk us dksbZ nokbZ ;k bykt fy;k gS gkW@ugh
;fn fjdkMZ esa lwpuk miyC/k ugha gks rks efgyk ls [krjks ds y{k.kksa
ds ckjs esa
gkW@ugh
efgyk dk 'kkjhfjd ijh{k.k djsa rFkk izlo ds nkSjku /;ku nsas &
D;k vkius %
fu;fer #i ls iYl yh gS  gkW@ugh
fu;fer #i ls jDrpki ekik gS  gkW@ugh
f'k'kq dh fLFkfr dh tkap dh gS  gkW@ugh
;g tkWpk gS fd ikuh dh FkSyh QVh gS ;k ugha  gkW@ugh
D;k vkius fuEu tfVyrkvksa dh igpku dh gS % gkW@ugh
fMLVksfl;k gkW@ugh
gSejst ;k 'kkWd gkW@ugh
,DysEif'k;k gkW@ugh
laØe.k gkW@ugh
cPps dh vlkekU; fLFkfr gkW@ugh
izlo izfØ;k&D;k vkius %
gkFk /kks fy;s gSa  gkW@ugh
efgyk ds isjhfu;e dks lkQ fd;k gS  gkW@ugh
isfjfu;e dks gFksyh ls lgkjk fn;k gS  gkW@ugh
cPpsa ds flj gFksyh ls lgkjk fn;k gSa  gkW@ugh
uky cPps ds flj esa rks ugh fyiVh gqbZ gS] ;g lqfuf'pr fd;k gS  gkW@ugh
cPpsa ds eqag vkSj ukd dks ikssaNk gS  gkW@ugh
uotkr f'k'kq dh ns[kHkky&D;k vkius %
cPps dk jksuk lqfuf'pr fd;k gS  gkW@ugh
uky @ dkWMZ dks lkQ /kkxs ls cka/kk gS  gkW@ugh
dkWMZ dks LVsjkbZy dh gqbZ CysM@dSaph ls dkVk gS  gkW@ugh
pSdfyLV &B
216
Indian Institute of Health Management Research, Jaipur
Strengthening District Health System in Madhya Pradesh through Management Interventions
mls lkQ diM+s ls yisV dj <ad fn;k gS  gkW@ugh
cPps dks ekrk ds ikl Lruiku ds fy, ns fn;k gS  gkW@ugh
tUe ds ,d ?kaVs ds Hkhrj vka[kksa esa ,UVhck;ksfVd vkbuVesaV fn;k
gS 
gkW@ugh
vkWoy & D;k vkius %
lqfuf'pr dj fy;k gS fd iwjh rjg ckgj vk x;k gS  gkW@ugh
cps gq, IyslsUVk dks ckgj fudky fy;k gS  gkW@ugh
cPps }kjk Lruiku izkjaHk djuk lqfuf'pr dj fy;k gSa  gkW@ugh
f'k'kq dh tkWp & D;k vkius %
cPps ds LokLF; o pSrU;rk dh tkap dj yh gSa  gkW@ugh
rkieku ys fy;k gSa  gkW@ugh
g`n;&xfr eki yh gS  gkW@ugh
flj dh tkWp dj yh gSa  gkW@ugh
otu ys fy;k gSa  gkW@ugh
izlo pkVZ@dkMZ@jftLVj esa izlo ,oe tUe laca/kh tkudkfj;ka ntZ dj
nh gSa 
gkW@ugh
217
Indian Institute of Health Management Research, Jaipur
Strengthening District Health System in Madhya Pradesh through Management Interventions
izloksRrj lsokvksa dh xq.koRrk
¼izloksRrj lsok,sa gsrq vkbZ izR;sd efgyk ds laca/k esa ;g lqfuf'pr djsa½
xHkZorh efgyk dk uke-----------------------------------------------xkao dk
uke---------------------------mi dsUnz dk uke----------------------------------------
D;k vkius efgyk ls iwNk gS %
mldk izlo dc o dgkW gqvk  gkW@ugh
izlo dk ifj.kke D;k gqvk  gkW@ugh
izlo ds le; D;k leL;k@tfVyrk gqbZ  gkW@ugh
jDr&L=ko dh fLFkfr D;k gSa  gkW@ugh
D;k nqxZU/k okyk L=ko gks jgk gSa  gkW@ugh
D;k efgyk ds isV ;k Lruksa esa nnZ ;k ruko eglwl gks jgk gSa  gkW@ugh
D;k mls cq[kkj jgk gSa  gkW@ugh
D;k og dksbZ nokb;kW ys jgh gSa  gkW@ugh
og fdl izdkj dk vkgkj ys jgh gS  gkW@ugh
cPpk fdl izdkj dk vkgkj ys jgk gSa  gkW@ugh
D;k vkius fuEu tkWp dh gS %
isV esa lwtu dh igpku] xHkkZ'k; dk vkdkj o fLFkfr gkW@ugh
;ksfu esa lwtu] L=ko] jDrL=ko] ?kko] fQLVwyk gkW@ugh
Lruksa dh tkWp gkW@ugh
iYl jsV dk eki gkW@ugh
jDrpki dk eki gkW@ugh
otu dk eki gkW@ugh
,wuhfe;k dh tkWp gkW@ugh
cq[kkj gkW@ugh
nqxZU/kiw.kZ L=ko gkW@ugh
efgyk dks vk;ju ;k Qksfyd ,sflM dh xksfy;kW nh gSa  gkW@ugh
iwjd iks"k.k dh lykg nh gS  gkW@ugh
D;k vkius xHkZfujks/kd viukus dh lykg nh gs  gkW@ugh
pSdfyLV &C
218
Indian Institute of Health Management Research, Jaipur
Strengthening District Health System in Madhya Pradesh through Management Interventions
Vhdkdj.k lsokvksa dh xq.koRrk
¼Vhdkdj.k lsok,sa ysus gsrq vkbZ izR;sd xHkZorh efgyk@cPps ds laca/k esa ;g
lqfuf'pr djsa½
xHkZorh efgyk dk uke-----------------------------------------------xkao dk
uke---------------------------mi dsUnz dk uke----------------------------------------
Vhdksa dh vko';drk dk vkdyu &D;k vkius
efgyk ds fjdkMZ dh tkWp dj vFkok efgyk ls iwN dj fuf'pr dj fy;k gS
fd D;k mls fVVsul dk Vhdk yxk gSa 
gkW@ugh
efgyk ds ifjokj ds vU; cPpksa ds Vhdkdj.k dh fLFkfr dh tkWp dj yh gS

gkW@ugh
Vhdkdj.k dh rS;kjh & D;k vkius
Vhds dk yscy tkWp fd;k gS fd Vhdk lgh gS rFkk og ,D;ik;j ugha gqvk
gSa 
gkW@ugh
;g lqfuf'pr dj fy;k gS fd lhfjat laØe.k jfgr gSa  gkW@ugh
Vhds ds vkbZliSd ij j[ks rFkk Vhdkdj.k ds nkSjku mls <ad dj j[kk gS  gkW@ugh
Vhdkdj.k dk {ks= rS;kj dj fy;k gSa  gkW@ugh
izR;sd Vhds ds fy, LVsjsykbTM lqbZ dke ys jgh gS  gkW@ugh
izR;sd Vhds ds fy, LVsjsykbTM lhfjat dke ys jgh gS  gkW@ugh
Vhdk lgh Lrj ¼Layer½ij dj jgh gSa  gkW@ugh
lqbZ ,oe lhfjat dks lgh rjhds ls fMLikst&vkQ dj jgha gSa  gkW@ugh
D;k cPps dks vkt vko';d lHkh Vhds yx x, gSa  gkW@ugh
cPps ds dkMZ ij izfof"B;kW dj nh gSa  gkW@ugh
midsUnz ds fjdkMZ@jftLVj esa izfo"B;kW dj nh gSa  gkW@ugh
ijke'kZ & D;k vkius ekrk dks fuEu ckrsa nh gSa %&
fd vkt dkSu dkSu ls Vhds yx x, gSa  gkW@ugh
Vhdks ds lkbZM bQsDV D;k gks ldrs gSa  gkW@ugh
cPps dks Vhdk yxkuk t#jh gS Hkys gh cPpk chekj gks  gkW@ugh
vxyk Vhdk dc o dgkW yxsxk  gkW@ugh
dksYM psu rFkk lIykbZ & D;k vkius ;g lqfuf'pr dj fy;k gS fd %
vkidk osDlhu dsfj;kj lgh fLFkfr esa gS  gkW@ugh
Vhdkdj.k dkMZ i;kZIr ek=k esa gSa  gkW@ugh
lHkh Vhds i;kZIr ek=k esa miyC/k gSa  gkW@ugh
lqbZ rFkk lhfjat dks LVsjsykbZt djus ds fy;s i;kZIr lk/ku miyC/k gSa  gkW@ugh
pSdfyLV &D
219
Indian Institute of Health Management Research, Jaipur
Strengthening District Health System in Madhya Pradesh through Management Interventions
'olu&ra= ds laØe.k laca/kh lsokvksa dh xq.koRrk
¼'olu&ra= ds laØe.k lca/kh lsok,sa ysus gsrq cPps ds laca/k esa ;g lqfuf'pr
djsa½
xHkZorh efgyk dk uke-----------------------------------------------xkao dk
uke---------------------------mi dsUnz dk uke----------------------------------------
lkekU; tkudkjh & D;k vkius iwNk gS fd %
D;k cPpsa dks cq[kkj gSa rFkk fdruk cq[kkj gSa  gkW@ugh
[kkalh dh vof/k fdruh gS  gkW@ugh
cPps ds fØ;kdyki dk Lrj D;k gS  gkW@ugh
is; inkFkZ esa ihus esa l{ke gS  gkW@ugh
xys esa [kjk'k gS  gkW@ugh
dkuksa esa nnZ gks jgk gS  gkW@ugh
ifjokj esa Vh-ch-;k vU; 'okl laca/kh chekjh jgh gS  gkW@ugh
D;k dksbZ bykt fn;k x;k  gkW@ugh
tkWp & D;k vkius %
lkekU; tkWp dh gS  gkW@ugh
'olu nj dk vkdyu fd;k gS  gkW@ugh
rkieku fy;k gS  gkW@ugh
'olu dk voyksdu fd;k gS  gkW@ugh
'olu ds nkSjku vkokt lquh gS  gkW@ugh
xys dh tkWp dh gS  gkW@ugh
dkuksa dh tkWp dh gS  gkW@ugh
gksBksa] dkuksa psgjs rFkk uk[kwuksa ds jax dk voyksdu fd;k gS  gkW@ugh
mipkj ,oe jsQjy & D;k vkius %
cPps dh chekjh dks xEHkhjrk ds vk/kkj ij oxhZd`r fd;k gS  gkW@ugh
cPps dks ,sUVhck;ksfVd fn;k @crk;k gS  gkW@ugh
xaHkhj fueksfu;k ;k 30 fnu ls vf/kd [kkalh jgus ij cPps dks jsQj fd;k
gSa 
gkW@ugh
ijke'kZ & D;k vkius ekrk dks %
cPps dks iwjk bykt fn, tkus ds egRo dks le>k;k gS  gkW@ugh
crk;k gS fd cPps dks Lruiku tkjh j[ksa rFkk vfrfjDr inkFkZ nsa  gkW@ugh
crk;k gS fd cPps ds fy;s lkekU;@fLFkj rkieku cuk, j[ksa  gkW@ugh
xaHkhj laØe.k ds y{k.kksa ds ckjs esa crk fn;k gS  gkW@ugh
crk;k gS fd cPps dh gkyr fxj tkus ij vFkok mlesa lq/kkj ugha gksus ij
iqu% laidZ djsa 
gkW@ugh
vkiwfrZ & D;k vkids ikl fuEu lkexzh gSa %
'olu&nj ekius gsrq lsdsaM dh lqbZ okyh ?kM+h  gkW@ugh
,UVhck;ksfVd nokbZ;k  gkW@ugh
rkieku ekius gsrq FkekZehVj  gkW@ugh
pSdfyLV &E
220
Indian Institute of Health Management Research, Jaipur
Strengthening District Health System in Madhya Pradesh through Management Interventions
nLr jksx laca/kh lsokvksa dh xq.koRrk
¼nLr jksx lca/kh lsok,sa ysus gsrq vk, O;fDr ds laca/k esa ;g lqfuf'pr djsa½
efgyk@ekrk dk uke-----------------------------------------------xkao dk
uke---------------------------mi dsUnz dk uke----------------------------------------
lkekU; tkudkjh & D;k vkius iwNk gS fd %
nLr jksx dc ls gS  gkW@ugha
nLr fdruh ckj rFkk fdruh ek=k esa gks jgs gSa  gkW@ugha
nLr esa [kwu ;k E;wdl vkrs gSa  gkW@ugha
mYVh gksrh gS  gkW@ugha
cq[kkj jgrk gSa  gkW@ugha
dksbZ ?kjsyq mipkj fn;k gS  gkW@ugha
mipkj & D;k vkius %
tyvYirk@ fMgkbZMªs'ku ds Lrj tkap dh gS  gkW@ugha
vks-vkj-,l- fn;k gSa  gkW@ugha
vks-vkj-,l- ds lkFk ?kjsyq mipkj crk;k gS  gkW@ugha
,UVhck;ksfVd ugha fn;k gS tc rd fd nLr ds [kwu ;k E;wdl u gks  gkW@ugha
nLrjks/kd nokbZ ugha nh gS  gkW@ugha
i;kZIr ek=k easa vks-vkj-,l- ns fn;k gS  gkW@ugha
ijke'kZ& D;k vkius ekrk dks crk;k gS &
fd nLr ds nkSjku vfrfjDr is; inkFkZ nsosa  gkW@ugha
vks- vkj- ,l- dk ?kksy dSls rS;kj fd;k tk;  gkW@ugha
vks-vkj-,l- ?kksy fdruh ckj rFkk fdruh ek=k esa fn;k tkuk pkfg,  gkW@ugha
vkiwfrZ & D;k vkids ikl fuEu lkexzh gS %
vks-vkj-,l- ds iSdsV  gkW@ugha
vks-vkj-,l- cukus rFkk cPps dks nsus gsrw i;kZUr lk/ku  gkW@ugha
pSdfyLV &F
221
Indian Institute of Health Management Research, Jaipur
Strengthening District Health System in Madhya Pradesh through Management Interventions
ifjokj fu;kstu lsokvksa dh xq.koRrk
¼ ifjokj fu;kstu lsok,sa ysus vkbZ gsrq efgyk ds laca/k esa ;g lqfuf'pr djsa½
xHkZorh efgyk dk uke-----------------------------------------------xkao dk
uke---------------------------mi dsUnz dk uke----------------------------------------
lkekU; tkudkjh & D;k vkius fuEu tkudkjh yh gS %
efgyk dh vk;q gkW@ugha
fiNys xHkksZ dh la[;k ,oe izR;sd xHkZ dk ifj.kke gkW@ugha
iwoZ esa mi;ksx fd;s x, lk/ku ,oe mudk mi;ksx can djus ds dkj.k gkW@ugha
g`n; jksx] mPp jDrpki ;k yhoj laca/kh chekjh rks ugha gS  gkW@ugha
ih-vkbZ-Mh- rks ugh jgh gS  gkW@ugha
Lruiku djk jgh gS gkW@ugha
vkf[kjh ekgokjh dh rkjh[k gkW@ugha
tkWp & D;k vkius fuEu tkWp dj yh gS 
jDrpki gkW@ugha
Lruksa dh tkWp gkW@ugha
,suhfe;k ds y{k.kksa dh tkp¡ gkW@ugha
lk/ku dk pquko &D;k vkius
iwNk gS fd og vkSj cPpk pkgrh gS vkSj ;fn gk¡ rks dc gkW@ugha
fofHkUu ifjokj fu;kstu lk/kuks ds ckjs esa crk fn;k gS gkW@ugha
fofHkUu lk/kuks ds ykHk o gkfu;kW crk nha gS gkW@ugha
iwNk gS fd mls dkSu lk lk/ku ilan gS gkW@ugha
mlds fy, mfpr lk/ku ds ckjs esa lykg nh gS gkW@ugha
;g lqfuf'pr dj fy;k gS fd og ml lk/ku dks viukus ds fy, lger gS gkW@ugha
vkbZ ;w Mh @dkij &Vh& D;k vkius
efgyk ls lgefr izkIr dj yh gS gkW@ugha
D;k efgyk dh lkekU; tk¡p dj yh gS gkW@ugha
D;k efgyk esa ;ksfu@iztuu ra= ds ladze.k dh tkWp dj yh gS gkW@ugha
;g lqfuf'pr dj fy;k gS fd efgyk dks ekgokjh dh leL;k rks ugha gS 
efgyk ds xHkZorh u gksus dh tkWp dj yh gS gkW@ugha
efgyk dks lgh fLFkfr esa ysVk fn;k gS gkW@ugha
vius gkFkksa dks vPNh rjg /kks fy;k gS @nLrkus igu fy, gS gkW@ugha
,sUVhlsfIVd yks'ku ls efgyk ds LFkkuh; vaxksa dh lQkbZ dh gS gkW@ugha
bUlVZj easa dkij&Vh vPNh rjg ls yxk yh gS  gkW@ugha
D;k bUlVZj dh fn'kk ,oe xgjkbZ lqfuf'pr dh gS  gkW@ugha
dkij&Vh lgh LFkku ij LFkkfir dj nh gS  gkW@ugha
dkij&Vh ds /kkxs dh fLFkfr lqfuf'pr dh gSa  gkW@ugha
xHkZfujks/kd xksfy;kW & D;k vkius
efgyk ls lgefr izkIr dj yh gS  gkW@ugha
D;k efgyk ds jDrpki dh tkWp dj yh gS  gkW@ugha
D;k efgyk esa ;ksfu@iztuu ra= ds laØe.k dh tkWp dj yh gS  gkW@ugha
;g lqfuf'pr dj fy;k gS fd efgyk dks ekgokjh dh leL;k rks ugha gS  gkW@ugha
pSdfyLV &G
222
Indian Institute of Health Management Research, Jaipur
Strengthening District Health System in Madhya Pradesh through Management Interventions
efgyk ds xHkZorh u gksus dh tkWp dj yh gS gkW@ugha
efgyk dks xksfy;ksa dk mi;ksx fdl fnu ls 'kq# djuk gS ;g crk fn;k gS  gkW@ugha
fLVªi@iRrs esa ls xksfy;ksa dk izfrfnu fdl izdkj lsou djuk gS] lQsn
xksfy;kW o yky xksfy;kW dc ysuh gSa] ;g crk fn;k gS 
gkW@ugha
crk fn;k gS fd fdlh fnu xksyh u ys ikus ;k Hkwy tkus dh fLFkfr esa
D;k djuk gS 
gkW@ugha
ijke'kZ& D;k vkius fuEu lykg nh gS %&
ml lk/ku ls laHkkfor lkbM bQSDV~l  gkW@ugha
lkbM bQsDVl gksus dh fLFkfr esa mls D;k djuk gS  gkW@ugha
lk/ku dk fu;fer #i ls mi;ksx vko';d gS  gkW@ugha
lk/ku dh lIykbZ dc o dgkW ls ysuh gS  gkW@ugha
mls dc Qkyksvi ds fy, vkils laidZ djuk gS  gkW@ugha
223
Indian Institute of Health Management Research, Jaipur
Strengthening District Health System in Madhya Pradesh through Management Interventions
CHAPTER -10
CONCLUSION AND FUTURE DIRECTIONS
District Health Systems (DHS), comprising primary health care are key to the delivery of
basic health services in developing countries. The concept of DHS has gained importance
since the Alma Ata Declaration of Health for All in 1978, and subsequently the review of
health situation of its participating countries in 1986 by WHO Global Programme
Committee. The key problematic areas in a DHS are being identified and addressed
through various interventions. Among the major areas of intervention are; decentralized
health planning, community participation, Intersectoral coordination, logistics and supply
management, human resources management, management of health information system,
quality assurance, and finance and resources allocation. The document on “Global and
Regional Review based on Experience in Various Countries” published by WHO in 1995
gives an idea that there have been several intervention projects in various countries to
strengthen their DHS. Majority of the studies have focused their attention on either one or
two of the key areas and the intervention strategies are being framed accordingly. The
present project was an attempt to take major problematic areas in a DHS in India and
tried to design the interventions for each of them. The project was implemented in
Hoshangabad District of Madhya Pradesh, India. The following areas were taken as key
areas of intervention:
1. Decentralized Health Planning
2. Logistics and supply management
3. Health Information System
4. Community participation and financing
5. Intersectoral coordination
6. Quality assurance
Successful implementation of any project prerequisites an appropriate organizational set
up which guides and monitors the project related activities at regular intervals. Since any
District Health Systems project cannot be operational without any support from the State
level health officials, their involvement in the project is highly essential. In addition, none
of the activities at the district level could be carried out without adequate support and
inputs of the health functionaries at the district level and below. As overall activity in a
district is monitored by the district administration, their involvement in the project is
highly essential. Keeping all these points in mind committees were formed at various
level; PAC at state, DIC at district, DHT at district, BHT at blocks, SHCT at sub center,
and VHT at village level. Similar organizations were formed at implementing agency
level. For overall project management (including the finances) a committee, called CPT,
consisting of core member of the project, team was formed and for carrying out day-to-
day activities at the district level one RRT was formed.
224
Indian Institute of Health Management Research, Jaipur
Strengthening District Health System in Madhya Pradesh through Management Interventions
Our experience shows that though formation of committee at state level i.e., PAC, is
necessary, it is not desirable from implementation point of view. Similar experience was
with DIC, which was formed with key officials of district administration as chairperson
and members. From project management point of view DHT, BHT, SHCT, VHT, CPT
and RRT played major role. Though the situation may differ within countries, a general
conclusion from the experience of this project is that successful implementation of any
DHS project needs greater involvement of health functionaries at district level and proper
organizational set up at the implementing agency level.
Implementation strategies in any DHS project could not be set without understanding the
problems related to key problematic areas and participation of various stakeholders
during problem identification and designing the solutions. Towards this end a series of
diagnostic studies related to problematic areas of DHS were conducted and intervention
strategies were designed in participation with the district health functionaries. Though
this exercise should ideally be carried out through the workshops at district and state
level, due to unavoidable circumstances this could not be done. An alternative strategy to
this was to conduct workshops at block levels and design appropriate strategy. As the
project team consisted of specialists on the key areas mentioned above, framing an
implementation strategy and preparing an implementation plan was not a difficult task.
The first area of intervention was streamlining the decentralized planning process
initiated at the state and central level. The major problems identified in this area was that
the centralized health planning was still existent in the district, with the plans being
prepared at district level and passed on to lower levels i.e., blocks, PHCs and sub centers.
Changing the total approach was certainly a challenging task. Moreover, the resistance
from higher authorities to change the old approach posed more difficulty in carrying out
this exercise. However, after frequent workshops and training programs at various levels
the district health functionaries were able to understand the importance of decentralized
planning and the project team was able to introduce the system of decentralized planning
process in the district, with the plan being prepared at sub center level and passed on to
higher level after necessary corrections and incorporations. Due to time constraints, the
planning process could not be started from the village level. Therefore, it is suggested
that the future researchers should attempt to initiate the planning process from the village
level itself with the involvement of village community and Panchayat members.
Appropriate management of Logistics and supply helps in improving health services
delivery to a large extent. Since supply of most of the drugs, equipment and consumables
are from the state level, there was no scope that the state level policy makers could be
oriented towards the project objectives for a single district within the project period.
Moreover, the basic philosophy of the project was to strengthen the management without
any additional resources. Therefore, it was thought that the management of drug stores is
an appropriate area of logistics management, which could be done without any additional
resource implications. The diagnostic study identified various areas related to logistics
and supply management in general. During the implementation phase, only the problems
related to drug store management were taken into consideration and the interventions
designed. The major interventions were; (a) Orientation of drug store keepers of various
levels on appropriate procedure of store management, (b) Renovation of drugstores at
district, block and sub center level, (c) Formation of logistics task force at the district for
225
Indian Institute of Health Management Research, Jaipur
Strengthening District Health System in Madhya Pradesh through Management Interventions
keeping the initiated activities sustainable. The project was able to put substantial impact
in terms of imparting necessary training, developing mechanism for indenting and
supplying the drugs and consumables to lower level, renovating the drug stores at various
levels etc. However, there are several aspects, which remained untouched, (a)
Management of supply chain, (b) Inventory management etc. These points need to be
addressed by the future researchers.
Accurate and reliable Health Information System (HIS) has a crucial role in planning and
monitoring the health programs in DHS. The importance of this vital component of DHS
is either ignored/ poorly understood by the health functionaries. The project attempted to
improve the HIS in the district through targeted interventions framed based on the results
of diagnostic study and problems identified through participatory approach. The
interventions implemented in the field were in the form of training and orientation
programs, streamlining the distribution of reporting formats across the district, provision
of basic registers to lower level health functionaries, developing monitoring and
supervision mechanism and implementing the same in the field, developing village wise
information formats, establishing mechanism for feedback from top to bottom, and
introducing computerized HIS in the district. These interventions were implemented in a
phased manner. No doubt, these interventions were able to bring substantial changes in
HIS of the district. Yet, several things need to be done in order to have a reliable
information system in the district: (a) the decentralized planning process needs to be
strengthened further by taking villages as the bottom; (b) the monitoring mechanism
needs to be followed strictly in order to monitor the actual work progress at grass root
level; (c) the project was able to establish appropriate mechanisms (such as formation of
MIS task force) for establishing feedback mechanism at various levels. This needs to be
further strengthened.
Since the inception of the concept of DHS, the role of community participation in
primary health care has been examined in different countries (WHO, 1995). Yet, the
concept has not gained much momentum as desired. Under the SDHS project attempts
were made to carryout three major activities through community participation: (a)
renovation of selected sub health centers in the district, (b) opening up of VHCs in
selected villages, (c) establishing GSKK in selected villages. It is encouraging that the
communities supported to carry out these activities and the achievement of the project
team was more than eighty per cent in this regard. Influencial people of the community
supported most of the activities carried out under this intervention. It is therefore
necessary that the future attempts towards this end should aim at involving entire
community in primary health care activities.
Under inter sectoral coordination the project attempted to bring coordination between the
Panchayati Raj Institutions (PRIs), NGOs and Health Department in order to improve the
effectiveness of primary health care delivery in the district. Two models were tried out
(a) one with continuous interaction with the PRIs through meetings, workshops and
employing local resource persons (selected by Panchayat members) for carrying out
health related activities such as community awareness, organisation of health camps etc.
In this model the local resource persons acted as intermediary between the implementing
agency (IIHMR), PRI members and health department. (b) Another model where there
were few workshops and no local resource persons were involved. It is interesting to note
226
Indian Institute of Health Management Research, Jaipur
Strengthening District Health System in Madhya Pradesh through Management Interventions
that the net outcome of these two approaches were not significantly different in terms of
project indicators. As the first model had financial implications, it was experimented only
in one block of the district and the outcomes were encouraging. In case the intervention
area is quite large, the second model certainly gives better outcomes compared to the first
one. In addition to involvement of PRIs, the project also solicited involvement of NGOs
in primary health care. However, due to lack of time, visible changes could not be
observed. Since the role of NGOs, particularly in social and other developmental sector,
is increasing day by day, it will be useful to involve them primary health care and test the
feasibility of the same. Moreover, the feasibility of involving the private sector health
care providers could also be tested.
An important contribution of the project was to introduce Quality Assurance (QA) system
in the primary health care. This was attempted through introduction of QA checklist. The
checklist was prepared by renounced quality specialist Dr. S. D. Gupta and the
orientation and training programs were conducted under his supervision. Initially the
intervention was tried in one block of the district and after successful implementation the
checklists were distributed in the entire district. It was encouraging to note that the health
care providers took immense interest in this activity and the overall success was around
60 per cent as was expected. It is therefore suggested that the same checklists could be
used in other districts and the usefulness be tested.
To conclude, the aim of the project was to improve the primary health care delivery
system in Hoshangabad district with the existing resources. The underlying assumption
was that the existing management systems in a DHS are week and could be strengthened
through well-designed management interventions. Therefore, the project attempted
towards setting up appropriate management processes at various levels and tried to
measure the output of each intervention within a short span of 3 and half years. From the
results of assessment studies, it is clearly visible that these processes would certainly
bring improvement in the primary health care delivery system, and subsequently the
health status of the people, if they were kept sustainable. The issue of sustainability is
still a question and lies with the higher level health functionaries of the district.
227

SDHS_PROJECT_FINAL_REPORT-FOR PUBLICATION

  • 1.
    Indian Institute ofHealth Management Research, Jaipur Strengthening District Health System in Madhya Pradesh through Management Interventions STRENGTHENING DISTRICT HEALTH SYSTEM: EXPERIENCE FROM HOSHANGABAD DISTRICT, MADHYA PRADESH, INDIA Prepared by Indian Institute of Health Management Research 1 STRENGTHENING DISTRICT HEALTH SYSTEM IN HOSHANGABAD DISTRICT, MADHYA PRADESH EXPERIENCES FROM IMPLEMENTATION Prepared By Indian Institute of Health Management Research Jaipur
  • 2.
    Indian Institute ofHealth Management Research, Jaipur Strengthening District Health System in Madhya Pradesh through Management Interventions PROJECT TEAM S. D. Gupta, Team Leader P. C. Dash, Project Coordinator, SDHS T. P. Sharma, Project Advisor Research Officers Rohini Jinsiwale Hemant Kumar Mishra 2
  • 3.
    Indian Institute ofHealth Management Research, Jaipur Strengthening District Health System in Madhya Pradesh through Management Interventions FORWARD 3
  • 4.
    Indian Institute ofHealth Management Research, Jaipur Strengthening District Health System in Madhya Pradesh through Management Interventions PREFACE 4
  • 5.
    Indian Institute ofHealth Management Research, Jaipur Strengthening District Health System in Madhya Pradesh through Management Interventions LIST OF ABBREVIATIONS ASO Assistant Statistical Officer AIDS Acquired Immuno Deficiency Syndrome ANC Ante Natal Care ANM Auxiliary Nurse Midwives ARI Acute Respiratory Infection AWW Angana Wadi Worker BEE Block Extension Educator BHT Block Health Team BMO Block Medical Officer BPHC Block Primary Health Center CEO Chief Executive Officer CH Civil Hospital CHC Community Health Center CIDA Canadian International Development Agency CMHO Chief Medical and Health Officer CMO Chief Medical Officer CNAA Community Needs Assessment CPT Core Project Team CSSM Child Survival and Safe Motherhood DA Dearness Allowance DANIDA Danish International Development Agency DH District Hospital DHS District Health Systems DHT District Health Team DIC District Implementation Committee DIO District Immunization Officer DPC District Planning Committee DTC District Training Center EC Eligible Couple ELA Expected Level of Achievement EOC Emergency Obstetrics Care FEFO First Expiry First Out FIFO First In First Out FINNIDA Finnish International Development Agency FP Family Planning FRU First Referral Units GDI Gender Related Development Index GSK Gramin Swasthya Kendra GSKK Gramin Swasthya Kalyan Kendra HIS Health Information System HRD Human Resources Development IDRC International Development Research Center 5
  • 6.
    Indian Institute ofHealth Management Research, Jaipur Strengthening District Health System in Madhya Pradesh through Management Interventions IFA Iron and Folic Acid IIHMR Indian Institute of Health Management Research IPD Inpatient Department IUD Intra Uterine Device JICA Japanese International Corporation Agency JSR Jana Swasthya Rakshya LFA Logical Frame of the Activities LHV Lady Health Visitor LILO Last In Last Out LTF Logistics Task Force MCH Maternal and Child Health MIS Management of Information System MO Medical Officer MP Madhya Pradesh MPW Multi Purpose Workers NGO Non Governmental Organisation NORAD Narwegian Agency for International Development ODA Overseas Development Administration OPD Out Patient Department ORS Oral Rehydration Salt ORT Oral Rehydration Therapy PAC Project Advisory Committee PHC Primary Health Center PNC Post Natal Care PP Post Partum PRI Panchayati Raj Institutions QA Quality Assurance RCH Reproductive and Child Health RDE Royal Danish Embassy RKS Rogi Kalyan Samittee RO Research Officer RRT Resident Research Team RTI Reproductive Tract Infection SAO Senior Accounts Officer SC Sub Center SC Scheduled Caste SDHS Strengthening District Health Systems SHC Sub Health Center SHCT Sub Health Center Team SHCT Sub Health Center Team SHCT Sub Health Center Team SIDA Swedish International Development Authority ST Scheduled Tribe STD Sexually Transmitted Disease STI Sexually Transmitted Infection TA Traveling Allowance 6
  • 7.
    Indian Institute ofHealth Management Research, Jaipur Strengthening District Health System in Madhya Pradesh through Management Interventions TB Tuberculosis TCR Target Couple Register TOR Terms of Reference TT Tetanus Toxide USSR United Soviet Socialist Republic VED Vital Essential and Desirable VHC Village Health Center VHT Village Health Team WHO World Health Organisation 7
  • 8.
    Indian Institute ofHealth Management Research, Jaipur Strengthening District Health System in Madhya Pradesh through Management Interventions LIST OF TABLES Tables Page 3.1: Administrative units and towns in Hoshangabad district 3.2: Socio demographic profile of Hoshangabad district 3.3: Agricultural production in Hoshangabad 3.4. Block wise distribution of number of CHCs, PHCs and SHCs in Hoshangabad 3.5. Manpower availability in Hoshangabad district 3.6. Utilization of various services provided by the government run health facilities in Hoshangabad district 3.7. Value of various performance indicators (block wise and other hospitals) in Hoshangabad district 5.1: Status and source of finance for drug store renovation at block level 5.2: Outcome at a glance 5.3: Status of drug stores as per the feedback received during follow up workshop 5.4: Roster of supply from district to block 5.5: Major findings of rapid assessment 6.1: Outcome of the intervention at a glance 6.2: Number of respondents received training (by source) before the project 6.3: Reports prepared by the health workers 6.4: Accuracy Checking of data before submission 6.5: Type of improvement observed by the health workers 7.1: Summary of contribution from PRIs/NGOs, Community and indirect cost of supervision for SHC renovation 7.2: Summary of contribution from project for SHC renovation 7.3: Achievements on sub center renovation 7.4: Status of village health centers in the district 7.5: Name of the villages where GSKK established and amount deposited 7.6: Role of the respondents (who told yes) for their role in renovation process 7.7: Reasons for visiting the sub-center during the reference period 7.8: Amount contributed by the respondents for GSKK 7.9: Types of services the respondents would like to avail from GSKK 8.1: Profile of Panchayati Raj Institutions in Hoshangabad District 8.2: Status of PRIs in Pipariya Block 8.3: Socio-demographic Profile of Pipariya Block and Hoshangabad District 8.4: Performance at a glance 8.5: Age wise classification of respondents 8.6: Position of the respondents in the present Panchayat 8.7: Perception of the respondents regarding the changes observed after the intervention related to PRI in Health Sector by SDHS Project team 9.1: Achievements at a glance 9.2: Work experience in Health Department 9.3: Use of the provided checklist by category 9.4: Duration of use of checklist 8
  • 9.
    Indian Institute ofHealth Management Research, Jaipur Strengthening District Health System in Madhya Pradesh through Management Interventions 9.5: Acceptance and use of checklists by years of experience 9.6: Number of clients served before and after the use of checklist 9.7: Antenatal services and improvements in services delivery 9.8: Status of intra natal services before and after the intervention 9.9: Status of PNC services before and after the intervention 9.10: Status of Immunization services before and after the intervention 9.11: Status of ARI services before and after the intervention 9.12: Status of Diarrhea services before and after the intervention 9.13: Status of FP services (Oral Pills) before and after intervention 9.14: Status of Family Planning services (IUD) before and after intervention 9.15: Distribution of sample households on the basis of services received from the ANMs. 9.16: Services ever received 9.17: Clients’ perception on improvement of services delivery after intervention 9.18: Type of changes observed 9.19: Satisfaction of clients on the service delivery of ANMs 9.20: Clients communicated observed changes to others 9
  • 10.
    Indian Institute ofHealth Management Research, Jaipur Strengthening District Health System in Madhya Pradesh through Management Interventions LIST OF ANNEXURES Annexure Page 2.1: Terms of Reference for DHT 2.2: TOR for Block Health Teams (BHT) 2.3: Guidelines for DHT and BHT meetings 2.4: TOR for Sub Health Center Team (SHCT) 2.5: TOR for Village Health Team 4.1: Proceeding of Sector Level Training Programs 4.2: Guidelines for Decentralized Planning 4.3: Guidelines for Monitoring and Supervision of Planned Activities 5.1: Proceeding of the Management Training Program for DHT and BHT 5.2: Proceeding of the Management Training Program for Store Keepers 5.3: Follow- up Training of Compounder/ Store Keeper 5.4: Logistics Task Force 5.5: Proceedings of the Meeting with Logistics Task Force 5.6: List of Essential Drugs for SHC 6.1: Training on Form 6 Imparted to the Health Workers at Block Level 6.2: The Efforts of the Project Team and Impact on HIS 6.3: Impact of Introduction of Village wise information format: Example of Babadiya Bhau Sector of Seoni Malwa Block 6.4: Terms of Reference (TOR) of MIS Task Force 7.1: TOR for Sub Health Centers Team 7.2: TOR fro Village Health Center (VHC) 7.3: TOR for Village Health Team (VHT) and GSKK 7.4: Panch Sarpanch Checklist 7.5: Work Plan 7.6: Contribution of PRIs and Communication for Sub Center Renovation 7.7: Status of Sub Centers Renovation in different Blocks 7.8: Status of the Village Health Centers in different Blocks 8.1: TOR for Gramin Swasthya Kalyan Team and Gramin Swasthya Kalyan Kosh 8.2: TOR for Gramin Swasthya Kendra 8.3: PRI Checklist 8.4: TOR for Sub Health Center Team 8.5: Terms of Reference (TOR) for Health Camp 9.1: Quality Check Lists 10
  • 11.
    Indian Institute ofHealth Management Research, Jaipur Strengthening District Health System in Madhya Pradesh through Management Interventions CONTENTS Forward Preface List of abbreviations List of tables List of Annexure Page CHAPTER 1: INTRODUCTION TO THE PROJECT 1.1. Background 1.2. Defining District Health System 1.3. Districts in India 1.4. Problems in District Health System: Indian Scenario 1.5. Strengthening DHS in Hoshangabad 1.6. Critical Management Areas 1.7. Objectives of the Project 1.8. Organisation of the report CHAPTER 2: ORGANIZATIONAL SETUP 2.1. Background 2.2. State Level 2.3. District Level 2.4. Project Level 2.5. Organizational Set-up as per Projects Requirement 2.6. Lessons Learnt 2.7. Conclusion CHAPTER 3: HOSHANGABAD DISTRICT: A PROFILE 3.1. Background 3.2. Profile of the District 3.2.1. General Profile 3.2.2. Socio Demographic Profile 3.2.3. Socio Economic Profile 3.2.4. Health Scenario 3.2.5. Health Care Delivery System 3.2.6. Health Manpower Position 3.2.7. Utilization of Health Services 3.3. Conclusion CHAPTER 4: DECENTRALIZED HEALTH PLANNING 4.1. Background 4.2. Objectives 4.3. Planning Process- Problems and Issues 4.3.1. Backward of planning 4.4. Interventions 4.5. Outcomes 4.6. Lessons Learnt and Sustainability 4.7. Conclusions 11
  • 12.
    Indian Institute ofHealth Management Research, Jaipur Strengthening District Health System in Madhya Pradesh through Management Interventions CHAPTER 5: LOGISTICS MANAGEMENT: IMPROVING MANAGEMENT OF DRUG STORES 5.1. Background 5.2. Objectives 5.3. Diagnostic Study- Problems and Issues 5.4. Interventions 5.5. Outcomes 5.6. Post Intervention Assessment 5.7. Lessons Learnt 5.7.1. Sustainability 5.8. Conclusion CHAPTER 6: IMPROVING MANAGEMENT OF HEALTH INFORMATION SYSTEM (HIS) 6.1.Background 6.2.Objectives 6.3.HIS in the District 6.3.1. Data Generation and Recording Mechanism 6.3.2. Reporting Mechanism 6.3.3. Data Flow Mechanism 6.3.4. Feedback Mechanism 6.4.Diagnostic Study- Problems and Issues 6.5.Interventions 6.6.Outcomes 6.6.1. Analysis of achievements through secondary data 6.7.Post Intervention Assessment 6.7.1.Salient findings 6.8.Lessons Learnt 6.8.1.Sustainability 6.9.Conclusion CHAPTER 7:COMMUNITY FINANCING: RENOVATION OF SUB HEALTH CENTERS FOR ENHANCING ACCESSIBILITY AND UTILIZATION OF HEALTH SERVICES 7.1. Background 7.2. Objectives 7.3. Diagnostic Studies- Problems and Issues 7.4. Interventions 7.5. Implementation Process 7.6. Financing Mechanism 7.7. Outcomes 7.8. Post Intervention Assessment 7.8.1.Salient Findings 7.9. Lessons Learnt 7.9.1. Sustainability 7.10. Conclusion 12
  • 13.
    Indian Institute ofHealth Management Research, Jaipur Strengthening District Health System in Madhya Pradesh through Management Interventions CHAPTER 8: PANCHAYATI RAJ INSTITUTIONS: ENHANCING PARTICIPATION IN PRIMARY HEALTH CARE 8.1. Background 8.2. Present PRI Structure 8.3. Diagnostic Study: Problems and Issues 8.4. Interventions 8.5. Implementation 8.5.1. About the Block: Pipariya 8.6. Replicability in Other Blocks 8.7. Outcomes 8.8. Post Intervention Assessment 8.9. Lessons Learnt and Sustainability 8.10. Conclusion CHAPTER 9: QUALITY ASSURANCE INTERVENTION 9.1. Background 9.2. Objectives 9.3. Diagnostic Studies: Problems and Issues 9.4. Interventions 9.5. Outcomes 9.6. Post Intervention Assessment 9.6.1. Methodology and Sampling 9.6.2. Salient Findings 9.6.2a.Services Providers Prospective 9.6.2b.Clients Prospective on Quality Change 9.7. Lessons Learnt and Sustainability 9.8. Conclusion CHAPTER 10: CONCLUSION AND FUTURE DIRECTIONS BIBLIOGRAPHY 13
  • 14.
    Indian Institute ofHealth Management Research, Jaipur Strengthening District Health System in Madhya Pradesh through Management Interventions CHAPTER 1 INTRODUCTION TO THE PROJECT 1.1. BACKGROUND The main focus of the World Health Organisation (WHO) is the attainment by all peoples of the highest possible level of health, as it is one of the fundamental rights of every human being. After finding out the alarming health situation of its member countries in 1977, the World Health Assembly passed a resolution stating that the main social target of governments and of WHO in the coming decades would aim at attainment of all the people of the world by the year 2000 a level of health that would permit them to lead a socially and economically productive life. This was followed by Alma Ata declaration of Health For All by the year 2000, which was held in the former USSR. India is a signatory to this declaration. After the declaration, many countries worked in the direction to achieve the targets. It was really disappointing to note that most of the attempts to achieve the target of health for all resulted in changes at national level e.g., the development of policy, management capability, training etc., or at the local level, in the organisation of community action, training and utilization of health workers. It was recognized that weakness in national efforts to pursue the goal of health for all has mostly been due to the problems of organisation and management at the district level, as well as lack of adoptability to change and the changes faced by Ministries of health at policy level. This approach resulted in potential reduction in the realization of benefits at grass root level. In view of the above situation, during May 1986, the World Health Assembly further reviewed the health situation and found that, while in some countries substantial progress have been made in strengthening health infrastructure and in coverage by health services, in majority of them there had been a diffuse expansion of health infrastructure resulting in frightening managerial and financial problems in trying to provide for even minimum elements of primary health care. The planning and management of primary health care programmes were still carried out at the central level with little understanding of the problems and constraints at community level. India was not an exception to it. The above-mentioned issues associated with the resource constraints which different countries were facing due to financial crisis, gave birth to the concept of “District Health System”. In May 1986, the World Health Assembly passed a resolution in which it urged its countries to further strengthen the health system infrastructure based on primary health care, focusing on manageable units – i.e., geographical areas small enough to permit effective and efficient management, yet large enough to make it feasible to include all the ingredients required for self-reliant health care. These organizational units were called districts. On the basis of above considerations the WHO’s division of Strengthening of Health Services initiated its districts health systems program. 14
  • 15.
    Indian Institute ofHealth Management Research, Jaipur Strengthening District Health System in Madhya Pradesh through Management Interventions 1.2. DEFINING DISTRICT HEALTH SYSTEM (DHS) In order to facilitate a common understanding the WHO Global Programme Committee in 1986 defined the district health system based on primary health care as “a self contained segment of the national health system comprised of well defined population living within a clearly delineated administrative and geographical area, whether urban or rural. It includes all the institutions and individuals providing health care in the district….A district health system therefore consists of a large variety of interrelated elements that contribute to health in homes, schools, work places and communities, through the health and other related sectors. It includes self-care and all health care workers and facilities, up to and including the hospitals at the first referral level and appropriate laboratory, other diagnostic, and logistics support services. Its component elements need to be well coordinated by an officer assigned to this function in order to draw together all these elements and institutions into a fully comprehensive range of promotive, preventive, curative and rehabilitative health activities” (WHO, 1995) It was widely believed that the district, which is the peripheral organizational unit of national health systems, is particularly suitable as a channel for services to communities as it helps in: • Coordinating top-down and bottom-up planning • Organizing community involvement in planning and implementation • Improving coordination of government and Private health care. • Bringing communities together for solving the problems at their own level Thus the concept of district health system is not a new idea as decentralization and central control have long been important political and organizational strategies. The management of health services for well-defined geographical areas from regional or district centers has been a common feature of most health systems in developed and underdeveloped countries. Yet, it is precisely in this area of organisation and management at the district level that many countries are weak. 1.3. DISTRICTS IN INDIA For the purpose of understanding and analytical convenience, we have divided a typical district in India into three setups: (a) Administrative set up Administratively, the district is divided into several segments (blocks / Tahsils / sub divisions). District Collector, who is usually a civil servant, heads the district and looks after overall developmental activities in the district. Similar kind of activities at block / sub division level are carried out by Block Development Officers / Sub divisional Magistrates. Though the health officials are not directly responsible to these administrative authorities, they are indirectly linked and accountable to district or block/sub divisional administration as health is one component of development. 15
  • 16.
    Indian Institute ofHealth Management Research, Jaipur Strengthening District Health System in Madhya Pradesh through Management Interventions (b) PRI set up After the initiation of decentralization process, the Panchayati Raj set up in the district plays a key role in carrying out various developmental activities in the district. The Panchayat Raj bodies execute most of the developmental activities at village level. Under this set up the District Panchayat (Zilla Panchayat) is headed by Chief Executive Officer (CEO) who is a senior state level officer or a Junior level officer selected through Indian Administrative Services. The organisation below the district level is similar to administrative set up; with the block level Panchayats (known as Janpad Panchayats) being managed by Chief Executive Officers. The Janpad Panchayats are responsible for managing the activities at village level. Sarpanch carries out developmental activities at village level1 . (c) Health care set up In India, for administrative convenience, the country is divided in to several states and each state is divided into several districts. At the country level, the central health ministry is responsible for looking after the matters related to health sector. In Indian context Health being a state subject, majority of decisions are taken at the state level. However, the decisions at state or central level are mostly related to changes in policy and resources allocation. The health ministry at central as well as state level is assisted by number of Civil Servants, who are usually senior level beaurocrats. However, the ministries are not directly responsible for implementation of the activities related to health sector. Chief Medical and Health Officer (CMHO), who is usually a senior doctor, manage the health care activities at the district level. The CMHO is assisted by a number of program officers to implement the health programs in the district. The allocation of resources for the health sector is usually made at the state level. Therefore, the CHMO has no or little control over this. Further, for the implementation of health programs, the district is divided into several blocks with the Block Medical Officer being in overall in charge of blocks for carrying out health care activities. A block is divided into several Primary Health Centers / Sectors (the nomenclature varies from state to state and within districts). In an ideal situation, the Primary Health Centers should be equipped with necessary infrastructure required for primary health care. Each PHC is divided into number of sub centers where the health workers (male and Female) are posted for delivering the health care at the village level. It is quite unfortunate that in most of the districts the health infrastructure at PHC and sub center level is quite poor, thus affecting the delivery of health care to a large extent. To summarize, the health care set up in India is a multi tier system with the central government at the apex and the sub centers at bottom. The implementation of all the activities is carried out at the sub center, PHC and block level. The center and state deal with the policy matters and make necessary arrangement for resources allocation. Thus, the district, which lies between the apex (center and state) and bottom (block, PHC and sub center) of the present set up, plays an important role in bringing coordination between the policy and implementation. The whole system of managing the health 1 A single or a number villages (depending upon the size of the population) constitute a Panchayat. The Sarpanch is a person who is elected by the village members. 16
  • 17.
    Indian Institute ofHealth Management Research, Jaipur Strengthening District Health System in Madhya Pradesh through Management Interventions services primarily lies with the district health authorities and any mismanagement at this level would lead to failure in health services delivery at the grass root level. It is at this level where the management of health services is extremely poor. 1.4. PROBLEMS IN DISTRICT HEALTH SYSTEM: INDIAN SCENARIO (a) Resource Allocation As mentioned earlier, the district health authorities have little / no role to play in the process of resources allocation. The resources are usually allocated from the center or the state based on some pre defined criteria (i.e., population). Burden of diseases and socio economic profile of the districts, which are vital for making decisions on resources allocation, is not given due importance. This results in inequitable distribution of available resources among the districts. Moreover, the level of autonomy for spending the allocated resources (funds) is extremely low at the district level, as a major chunk of the allocated resources constitutes the salary component. Majority of drugs and other supplies are supplied from the state without any due consideration to the requirements of the districts. The donations to the districts that are provided by nongovernmental organizations and international agencies are mostly in kind. Given the present economic scenario and privatization, there is a little scope for bringing any improvement in the process of resources allocation. (b) Organisation and Management The health system in a district is organized as per the policy of the state or central government (as mentioned in Section 1.2). Any external agency has a little role to play in this regard. As mentioned above, the district is an appropriate level for bringing coordination between the policy and implementation level. Therefore, it is essential that the district health system have a good management structure for effective implementation of primary health care at the village level. Though policies for effective management have been developed, the district health managers do not put adequate attention on them. This acts as a major obstacle during implementation of health care programs framed at the policy level. It is at the management level, where the interventions could be framed and improvements in the district health system could be brought about. This forms the basis of the present project. 1.5. STRENGTHENING DHS IN HOSHANGABAD It is with this philosophy and background that the Indian Institute of Health Management Research (IIHMR) submitted a proposal to Royal Danish Embassy (RDE), New Delhi to undertake the task of Strengthening the District Health System through Management Interventions in Madhya Pradesh” during June 2000. IIHMR being a WHO collaborating center on District Health Systems, RDE agreed to fund this project and the agreement between RDE and IIHMR was signed during July 2000. Initially it was proposed that Guna district of Madhya Pradesh would be taken as the study area. Later on, the district was changed because another organization "European Commission" was working in a similar kind of project in Guna. In order to avoid the duplicity of the activities and misuse of resources, IIHMR, in consultation with Royal Danish Embassy and Health Department 17
  • 18.
    Indian Institute ofHealth Management Research, Jaipur Strengthening District Health System in Madhya Pradesh through Management Interventions of Madhya Pradesh changed the project area from Guna to Hoshangabad. However, the selection of district was made with commonly agreed criterion: • District should be compact, moderate in size and accessible thorough rail and bus. • Population of district and geographical areas should be representative of the state as such. • District should have fairly well developed health infrastructure. • The district health administration should be willing to strengthen its health system. The proposed project period was from July 2000 through December 2003. 1.6. CRITICAL MANAGEMENT AREAS Since the introduction of WHO programme, a number of areas of critical importance for the success of primary health care strategy at the district level have been identified and addressed through various interventions. 1. Decentralized Planning: Planning has a key role to play in the management of health services at district level, as it is the primary function before implementation of any health programs. Unfortunately in most of the district health systems in India the top down method is followed. The evidences from different countries show that in most of the cases the plans are made at the top level and passed on to the bottom. This results in wastage of financial as well as human resources. This is an area where the managerial interventions could be designed and implemented for rectifying deep-rooted old habit of planning process. 2. Health information system: The effective decentralization of planning and decision-making is dependent upon a sound information base. The development of a health information system at district level is therefore an important component of activities aimed at improving management. The critical issues related to information system include; the use of information already being produced, the quality of available information, data collection and information formats and procedures. Unfortunately, in most of the countries including India, information system is not so well developed and the conclusions drawn from information received are not fed back to the original source. Though the system of data generation, dissemination and feedback mechanism already exists at the district level, practically they are not used at all. 3. Logistics and supply management: Most of the district health systems face frequent shortage of required Logistics and other supplies. The supply, storage and distribution of drugs do not follow the prescribed norms. The policy makers decide the supply of drugs and other consumables and the district health authorities are given minimum autonomy in this regard. As a result, the district health authorities take no interest in an appropriate procedure of procurement, storage and distribution. Moreover, due to poor drug store management, the wastage is found to be high at all levels of district health system. 18
  • 19.
    Indian Institute ofHealth Management Research, Jaipur Strengthening District Health System in Madhya Pradesh through Management Interventions 4. Management of human resources / Capacity Building: The development of human resources and capacity building has its own role in the effective and efficient delivery of quality health care. Despite its importance, no adequate attention is paid by the district authorities to conduct training and orientation programs at regular intervals. This has affected the efficiency as well as the effectiveness of service delivery to a large extent. Though the district training centers exist in almost all the districts, most of the district training centers operates without an annual training calendar. 5. Community involvement in Health: Community involvement in health has received widespread support and has been accepted as fundamental to health development. As the clients of health services are from the communities, their involvement in planning, financing and management of primary health care plays a vital role in strengthening district health system. Despite numerous activities on the subject during past one and half decade, wide spread and effective community involvement is still a long way off and its overall development has been extremely slow. 6. Quality Assurance: Quality assurance is a relatively new issue in the domain of district health systems. So far it has been mostly confined to the most obvious components in such systems, viz., hospital activities, though various meetings have taken place under the auspices of WHO’s regional offices for South-East Asia together with the District Health Systems unit of the Organization’s division of Strengthening of Health Services for focusing the issue of quality assurance of primary health care activities such as maternal and child health. In most of the cases, the improvement in quality is understood as expansion of health infrastructure rather than following the prescribed norms. 7. Intersectoral action: The establishment and functioning of effective, efficient and equitable district health system, and the implementation of primary care strategy itself, require the full participation of population and a wide range of organizations and institutions. Given the present process of decentralization and increased role of Panchayati Raj institutions, initiatives are to be taken for involving these people for improving the health care delivery in the district. Furthermore, the role of non-governmental organizations in the delivery of primary health care could also not be ignored. What was attempted in this project? • As mentioned elsewhere in the document, it is not possible to allocate more resources to the district health system as the decision regarding the same lies with the policy makers. Therefore, the present project aimed at maximizing the health benefits with available resources and did not attempt to fill up the resource gap in the health system. • Restructuring the present health care set up was almost impossible within the limited period. Moreover, redefining the existing management structure and getting acceptance of the same is almost an impossible task. Therefore, the project 19
  • 20.
    Indian Institute ofHealth Management Research, Jaipur Strengthening District Health System in Madhya Pradesh through Management Interventions did not attempt to change the existing management structure, rather tried to strengthen them with the necessary managerial inputs. • Since the inception of the concept of district health systems, several International Aid agencies i.e., Canadian International Development Agency (CIDA), Danish International Development Agency (DANIDA), Finnish International Development Agency (FINNIDA), International Development Research Center (IDRC), Japanese International Corporation Agency (JICA), Narwegian Agency for International Development (NORAD), Overseas Development Administration (ODA), Swedish International Development Authority (SIDA) etc., have been funding for selected interventions for strengthening the district health system in different countries (WHO 1995). Under this project a comprehensive attempt was made to address most of the major issues, which could possibly be solved through management interventions. To be more specific, the present project had the following objectives: 1.7. OBJECTIVES OF THE PROJECT Developmental Objective Managerial Capacity of the district health system developed so that efficiency and effectiveness of primary health care delivery system is improved within existing resources. Immediate Objectives • Mechanisms for problem identification and designing implementing solutions are developed and established. • Key management process e.g., Logistics and supply, Management of Information System, Human Resource Management etc. are developed and implemented. • Decentralized planning process and strategy development is established. • Quality Assurance system is developed and established. • Approaches to involve PRI’s, NGO’s, Private Sector and Community are developed. • Community Financing Mechanisms are tried out in selected areas. Based on project objectives and activities a logical frame of the activity (LFA) was submitted to funding agency. The project activities span over a period of three and half years. Project activities were implemented in two phases. The first phase of the project was devoted for establishing organizations at various levels for facilitating the project activities, carrying out diagnostic studies and designing appropriate solutions to the problems identified through these studies. The second phase, which started in the second year of the project, was devoted for implementing the strategies and interventions designed during the first phase. 1.8. ORGANIZATION OF THE REPORT 20
  • 21.
    Indian Institute ofHealth Management Research, Jaipur Strengthening District Health System in Madhya Pradesh through Management Interventions The present report gives the details of the interventions carried out during the project period relating to the management areas mentioned in the above paragraphs. The organisation of the report is as follows: The first chapter of the report gives a brief introduction about the project and its objectives. Various organizations that were set up at state, district and implementing agency level for facilitating the implementation of the project are described in Chapter 2. Chapter 3 gives a brief profile of the project area i.e., Hoshangabad. Separate reports on the problems, interventions and outcomes related to key management areas of the district health system is presented from Chapter 4 on wards. Chapter 4 gives the details of the report on Decentralized planning, Chapter 5 on Logistics Management, Chapter 6 on Health Information System, Chapter 7 on community financing, Chapter 8 on role of PRIs, and Chapter 9 on quality Assurance. The concluding remarks are given at the end of the report. 21
  • 22.
    Indian Institute ofHealth Management Research, Jaipur Strengthening District Health System in Madhya Pradesh through Management Interventions CHAPTER 2 ORGANIZATIONAL SETUP 2.1. BACKGROUND In a project, a group of people works together in a particular place to achieve the set objectives within a limited time. Therefore a prime requirement of any project is to set up organizations at appropriate levels, which would facilitate the project activities in order to achieve the goals and objectives of the project in the stipulated time. Given the importance of appropriate organizational setup, the project established organizations at State, District, and implementing agency level for effective implementation of the project. 2.2. STATE LEVEL In order to assist the project team for the successful implementation of the project and provide necessary guidelines, the Project Advisory Committee was constituted at state level under the chairmanship of principal secretary health vide letter no- 3326/3840/2000/2 dated 10th October 2000. The PAC reviewed the progress of the project and guided implementation process of the proposed activities 2.3. DISTRICT LEVEL A similar type of committee named District Implementation Committee (DIC) was formed at the district level under the chairmanship of District Collector. The order of the same was issued by District Collector on 22nd December 2001. The major function of DIC was to monitor and guide the implementation process of the project. 2.4. PROJECT LEVEL (a) Core Project Team (CPT) A team consisting of specialists on different areas was constituted at the Head Office of the Implementing agency (i.e., Indian Institute of Health Management Research), which is located at Jaipur. The director of the head office was the team leader. As the team leader is a busy person, the overall activities of the resident research team were assigned to a senior professor at IIHMR, designated as Project Coordinator, M.P. The following responsibilities were assigned to the core project team: • Visiting the field area at regular intervals for monitoring the activities of RRT • Assisting the project team for keeping coordination with the state level officials • Making necessary arrangements for PAC meetings at regular intervals • As the funding agency was directly releasing the funds to the head office, the CPT was responsible for allocating the necessary funds for carrying out the activities at field level. 22
  • 23.
    Indian Institute ofHealth Management Research, Jaipur Strengthening District Health System in Madhya Pradesh through Management Interventions • Acting as resource persons for various training programs organized at state, district and block level. The progress of the project as well as implementation activities were closely monitored by the CPT through their frequent visits to the field and meetings with project staff employed for carrying out implementation activities in the field. (b) Resident research team (RRT) For day-to-day operation of the project, project offices equipped with necessary research, administrative and other supportive staff and necessary logistics were opened at two places, one at State Capital (Bhopal) and another at the field area (Hoshangabad). The project office at Bhopal was opened to keep close contacts with the state level officials and seek their necessary support for the successful implementation of the project. The office at Hoshangabad was opened to carryout the project activities in the field with the collaboration of district health authorities. The overall charge of these two offices was given to project coordinator appointed by the Core Project Team (CPT). All the research staffs were posted at Hoshangabad for carrying out field activities on a day-to-day basis. The research staff carried out their activities in their respective areas allocated by the project coordinator. The activities of the project staff was closely monitored by the project coordinator on a weekly basis through their weekly progress report submitted to the project coordinator. In addition regular monthly meetings of all the project staff were held at the project office Hoshangabad with all the project staff participating in the meeting. During the monthly meetings of RRT discussions regarding the difficulties faced at the field and initiation of the new activities, which could be carried out during the Project period, were discussed. In addition the RRT was also submitted future activity plan (on monthly basis) to the project coordinator. 2.5. ORGANIZATION SET-UP AS PER PROJECT'S REQUIREMENT In order to assess the progress a detailed mid-term review of the project was carried out by an independent consultant (Dr. T. P. Sharma, Retired Director of Health Services Government of Madhya Pradesh and Ex-DANIDA Advisor) to identify the areas of improvement in the operational management of the project. The project was reviewed based on the proposed Log-frame. As per the review, the organizations, which were set up at, state (i.e., PAC) and district (DIC) were almost non functional and the involvement of district health functionaries was minimal. As the desired support from the state as well as district level committees were lacking, the review suggested to setup organizations at district, block, sub center and village level with active involvement of the health functionaries at all levels. In addition, the review also suggested the involvement of Panchayati Raj Institutions and NGOs in the committees. Accordingly following committees were formed at various levels for effective project implementation. (a) District Health Team (DHT) Block Health Teams (BHT) District Health Team and Block Health Teams were formed to review the performance and facilitate the implementation of the project at the district and block level respectively. Chief Medical and Health Officer of the district was given the responsibility of heading district level team and the responsibility of heading the block level teams was delegated 23
  • 24.
    Indian Institute ofHealth Management Research, Jaipur Strengthening District Health System in Madhya Pradesh through Management Interventions to respective block medical officers. The official letters regarding the formation of teams were issued on 30th January 2003 vide office order number SN/ASO/03-1123 (for DHT) and SN/ASO/03-1124 (For BHT). (Annexure –2.1 and 2.2) The formation of these health teams was expected to provide necessary impetus to the project through the active involvement of district and block health functionaries. Therefore these teams consisted of only the major health functionaries from district as well as block levels. The meetings of DHT as well as BHT held regularly on a monthly basis. During the meetings the problems related to the implementation of different project activities were discussed and Team Approach was followed to solve them in a participatory manner. (Annexure – 2.3) (b) Sub Health Center Team (SHCT) To sensitize and involve the Panchayati Raj Institutions in health sector a Sub health center teams were formed at SHC level. The main purpose of this team is to delegate the responsibility and ownership of the SHC to the community for proper functioning of the SHC. Terms of Reference (TOR) for SHCT are given in Annexure –2.4. (c) Village Health Team (VHT) To provide better health care services at village level the project formed village health teams in remote areas. The main aim of the team is to create awareness among the community about clean environment of their villages focusing on prevention and promotion. Terms of Reference (TOR) for VHT are given in Annexure –2.5. 2.6. LESSONS LEARNT 1. During the project period it was observed that the PAC took little interest in the project activities, as the members of PAC were mostly the state level officials who are usually busy with other works related to health department. As a net result the Project Advisory Committee (PAC) could meet only twice during the project period. 2. The district collector was the chairperson of DIC. The collector being a busy person, the meeting of the DIC could be held only twice. Moreover, the involvement of district and lower level health functionaries in a meeting chaired by the District collector created embarrassing situations for health functionaries. 3. It was therefore felt that in a district health systems project the direct involvement of health functionaries could make the implementation process easier. Our experience from the project gives us strong evidence that setting up of project organizations at the district level with the involvement of health officials at district and block level is more effective way of managing a district health systems project. Carrying out the implementation activities through the formation of DHT, BHT was easier as the cooperation at the district level was found to be more. 4. The implementation activities could be better carried out with the help of Panchayat Raj institutions and community through the formation of SHCT and VHT. 24
  • 25.
    Indian Institute ofHealth Management Research, Jaipur Strengthening District Health System in Madhya Pradesh through Management Interventions 2.7. CONCLUSION There is no doubt that the formation of committees at state and district level with the administrative authorities as chairpersons could provide support for effective implementation of district health systems project. Unfortunately, as these administrative authorities are usually busy, it is difficult to get their support in time. Therefore, from the beginning of the project, more importance should be given to district health authorities and the project organizations should involve the people from the health department of the district rather than policy makers. Needless to add that the organisation, planning, monitoring and implementation of the project activities still lies at the hands of the implementing agency. For the successful implementation of the project, the team members should be adequately trained on project management and should be made clear about the aims and objectives of the project. 25
  • 26.
    Indian Institute ofHealth Management Research, Jaipur Strengthening District Health System in Madhya Pradesh through Management Interventions ANNEXURE – 2.1 TERMS OF REFERENCE FOR DHT Composition: Order issued by CMHO Terms of Reference • Meet once a month on first Monday • Review and Monitor the progress of the previous month • Prepare a Plan of Action for the district according to the project LFA. The district plans will be based on the block plans • The District Health Team will maintain the minutes of its meeting and prepare a monthly progress report • The Project Co-coordinator will act as a facilitator and help the district Health Team in implementing the action plan Activities at the district (a) District Drug Store • Cleanliness • Renovation • White Washing • Provision of Almirahs and racks • Training of Store officers in drug store management • Record keeping which includes provision of registers • The Medical officer in charge of stores will do a weekly check (b) Management of Information System • Training of ASO and sector supervisors along with computers from the block Information analysis, gathering, recording, reporting and feedback • Provision of registers • Installation of computers at block level • Training of ASO and computers in computer management • Registers to be supplied for record keeping of hospital (OPD/lab etc) (c) Human Resources Development • Problem Solving meetings-Class IV, Class III and Class II staff at district level • Maintenance of Attendance register • Maintenance of TA claim register • Maintenance of Medical Claim register • Provision of registers 26
  • 27.
    Indian Institute ofHealth Management Research, Jaipur Strengthening District Health System in Madhya Pradesh through Management Interventions 27
  • 28.
    Indian Institute ofHealth Management Research, Jaipur Strengthening District Health System in Madhya Pradesh through Management Interventions ANNEXURE – 2.2 TOR FOR BLOCK HEALTH TEAMS (BHTS) Composition: Orders issued by CMHO Terms of Reference: • Meet once a month on fixed days • Review and Monitor the progress of the previous month • Prepare a Plan of Action for the block according to the project LFA. • The Block Health Team will maintain the minutes of its meeting and prepare a monthly progress report • The Research officer will act as a facilitator and help the Block Health Team in implementing the action plan Activities (a) Block Drug Store: • Cleanliness • Renovation • White Washing • Provision of Almirahs and racks • Training of Store officers in drug store management • Record keeping, which includes provision of registers • The Medical officer in charge of stores will do a weekly check (b) Management of Health Information System • Training of sector supervisors along with computers from the block in information, gathering, recording, reporting and feedback • Provision of registers • Installation of computers at block level • Training of computers in computer management • Registers to be supplied for record keeping of hospital (OPD/lab etc) (c) Human Resources Development • Problem Solving meetings-Class IV, Class III and Class II staff at block level • Maintenance of Attendance register • Maintenance of TA claim register 28
  • 29.
    Indian Institute ofHealth Management Research, Jaipur Strengthening District Health System in Madhya Pradesh through Management Interventions • Maintenance of Medical Claim register • Provision of registers (d) Sub center Level • Identify five sub centers with government building and MPW for cleanliness/ renovation/provision of registers/white washing/provision of furniture/almirahs and racks/drinking water/delivery rooms/fencing with the help of gram Panchayat and community financing • MIS: Training of MPW and supervisors in information analysis, gathering, recording, reporting and feedback in each block at the sector level • Efforts to be made to get one sub center constructed with the help of PRI and community financing • Training in utilization of Sub health center maintenance and utilization of equipment (e) Sector Level (i) Sector level meetings to be conducted in each section in rotation (ii) Supervisors will check the logistics/records and will prepare a checklist for supervision 29
  • 30.
    Indian Institute ofHealth Management Research, Jaipur Strengthening District Health System in Madhya Pradesh through Management Interventions ANNEXURE – 2.3 GUIDELINES FOR DHT AND BHT MEETINGS Objective Objective is to improve performance through a Team Approach by identifying problems arising out of the day-to-day work situation and finding solutions / Managerial interventions to solve the problems. Need for DHT- BHT: • One of the basic things for decision-making is the recognition and definition of problem. • DHT-BHT meetings are held regularly on a fixed day of every month. • During the interval between two scheduled meetings, effort should be made to collect information and ideas needed to develop the agenda for the coming (Next) meeting. • It depends on the Team Leader to make the meeting interesting enough for his team to attend. Agenda • The agenda for the meeting should be prepared and circulated to all members sufficiently in advance, so that the staff members can come prepared to the meeting and contribute to the achievement of the objectives. • It is essentials to stick to the agenda including starting and ending the meeting on time. Participation of Team Members The team members should study the agenda and note the objectives to be achieved by sharing their experience during the meetings. The members should feel free to make suggestions and state opinions to facilitate the progress. Suggestions to make DHT-BHT meeting more interesting, meaningful, and effective: • RRT members should impress upon the team leaders of DHT and BHT about why the DHT-BHT has been formulated and the functions of DHT-BHT. • Build up the leadership qualities of the DHT-BHT leaders. This can be done if RRT members have a regular dialogue with the team leaders informally, communicate with them, and build a rapport with the DHT-BHT. • Decisions taken at the DHT-BHT meetings should be followed up and an action taken report should be prepared and circulated along with the agenda, for the next meeting the follow up should be done essentially by the DHT-BHT members but RRT should supervise help and guide the members. RRT members should ensure that: • Agenda is prepared, • Action taken report is prepared, • Minutes of the last meeting and decisions taken are circulated in advance to the members of DHT/BHT. 30
  • 31.
    Indian Institute ofHealth Management Research, Jaipur Strengthening District Health System in Madhya Pradesh through Management Interventions ANNEXURE – 2.4 TOR FOR SUB HEALTH CENTER TEAM (SHCT) Constitution Sub health center team constituted by the order from the BMOs of respective blocks. Composition • Health Supervisor’s • MPW’s • JSR • AWW • Trained Dai • The Sarpanch or Panch of the village shall lead the SHC team, where the SHC is located. Terms of Reference (TOR) The SHC team shall meet every month and discuss problems of: • SHC Maintenance • Drug Store • MIS (Analysis of Form-6) • HRD problems • Coordinate with JSR/AWW/Trained Dai • SHC team shall address the Gram Sabha on following issues  Hygiene  Sanitation  Safe water  MCH • Check records and reports to be sent. The Field officer of SDHS project shall be present during the SHC team meeting and help and guide the SHCT. A register shall be provided by the SDHS project for maintaining the record of SHCT meeting at the SHC. The Field officer shall report separately to the SDHS project about the decisions taken at the meeting. The Research Officer to ensure that the order of the same is issued by the BMOs and regular meetings of team members are held 31
  • 32.
    Indian Institute ofHealth Management Research, Jaipur Strengthening District Health System in Madhya Pradesh through Management Interventions 32
  • 33.
    Indian Institute ofHealth Management Research, Jaipur Strengthening District Health System in Madhya Pradesh through Management Interventions ANNEXURE – 2.5 TOR FOR VILLAGE HEALTH TEAM Background Government of Madhya Pradesh has taken a policy decision to have a -  Trained Dai in the every village  Trained Jan Swasthya Rakshak in every village  Trained Anganwadi Worker in every village Government of Madhya Pradesh is one of the few states to Establish Panchayat Raj in the state. In addition, has decentralized health administration and management to the Gram Panchayat. Reduction of Infant Mortality Rate and Maternal Mortality Rate is one the priority of the Government of Madhya Pradesh Strengthening District health System project. (SDHS) • The District comprises of villages. Some of these villages are unapproachable and difficult to reach. The nearest health facility might be kilometers away. • The SDHS project has been in operation since July 2000. The very name of the project signifies the objectives of the project “Strengthening District Health System” • SDHS endeavors to achieve its objective by identifying the health problems and finding local solutions to solve the problems with local efforts through Team Approach. District Block and SHC health teams have been formed. An effort is being made to form a Village Health Team so that people in the village can identify their own health problems and find solutions to solve them. Responsibility: NGO Compositions: Panch, JSR, AWW, Trained Dai, NGO representative Criteria for Selecting the Village • It should be difficult to reach village • It should be at least 3 Km. away from nearest health facility. • The people are informed about the formation and TOR of the VHT. 33
  • 34.
    Indian Institute ofHealth Management Research, Jaipur Strengthening District Health System in Madhya Pradesh through Management Interventions Terms of Reference (TOR) • VHT shall meet initially to identify the health problems and issues of the village and inform the same to health workers (MPWs) • VHT shall try to find local solutions by discussing with people and in Gram Sabha. • With the co-operation of the people a Village Health Center shall be opened. • VHC shall be operated by JSR/AWW and trained Dai every morning. • A list of medicine shall be supplied from the CHC. (Responsibility- Project staff during the project period and Health workers after the Project) • Basic equipments required are kept in the JSR kit and Trained Dai kit. AWW also has been supplied a kit. • VHC shall also act as a Depot Holder and should have the following:  Bleaching Powder  ORS  Chlorine Tablets  Chloroquine Tablet  Nirodh etc. 34
  • 35.
    Indian Institute ofHealth Management Research, Jaipur Strengthening District Health System in Madhya Pradesh through Management Interventions CHAPTER 3 HOSHANGABAD DISTRICT: A PROFILE 3.1. BACKGROUND Before entering into the details of the activities carried out under the project, a brief profile of the district is highly essential, as it would act as a background material on justifying various interventions carried out under this project. The present chapter gives a brief profile of the district, which will help the reader in understanding the general, socio economic, demographic, and health profile of the district. 3.2. PROFILE OF THE DISTRICT 3.2.1. General Profile The district of Hoshangabad is situated in the southern part of the state of Madhya Pradesh. The district is topographically marked by hilly and forests terrain covering nearly 50 per cent of the district. The climate of the district is monsoon tropical one, with high forest cover of around 45 per cent rendering a typical hot and humid effect. The district usually has a high rainfall with around 700 to 900 mm in average per annum. The annual range of temperature varies between a high 45’ C to a low 8’ C except Panchmarhi 35
  • 36.
    Indian Institute ofHealth Management Research, Jaipur Strengthening District Health System in Madhya Pradesh through Management Interventions where the temperature lies between 1 to 2’C during the winter. One of the most beautiful places in Madhya Pradesh and the most famous tourist attraction is Panchmarhi. Popularly known as the “Queen of the Satpuras”, Panchmarhi is situated in the southeastern flanks of the district adjoining Chhindwara district. The place is famous for its Mystique Mountains, dense tropical deciduous forest rich in flora and fauna. The administrative headquarter of the district is located at Hoshangabad town. The district is administratively divided into seven blocks. There are eight towns in the district with the population ranging from 14000 to 120,000. The rest of the population is spread over 935 villages (Table 3.1). Table 3.1: Administrative units and towns in Hoshangabad District Blocks Towns Assembly Segments Seoni Malawi Hoshangabad Hoshangabad Kesla Itarsi Itarsi Dolariya Pipariya Pipariya Babai Babai Seoni-Malwa Sohagpur Sohagpur Pipariya Tawanagar Bankhedi Seoni-Malwa Panchmarhi Source: The Encyclopaedia District Gazetteers Handbook of India, 1997 3.2.2. Socio-Demographic Profile Hoshangabad is spread over an area of 8370 sq. km with its share of 1.8 per cent of the total population of Madhya Pradesh. Hoshangabad is one of the 14 districts where the sex ratio as per the 2001 census in less than 900 (898) and ranks 32nd in the overall rankings of districts in the state. Hoshangabad also ranks 32nd in term of the population size in the state (10,85,011). Rankings by population density (number of persons per square km), the district ranks 29th (162) in the state. The decadal growth rate of population of the district is 22.40 per cent. Table 3.2. In the district literacy rate is very low among the women i.e. 58.02 per cent women are literate. A rural urban comparison of the figures gives an indication that only 48.91 per cent are literate among the rural population. Due to illiteracy associated with unmet needs among the couple, couple protection rate is also low which is just 48.5 per cent. Because of non-approachability and low accessibility to family planning methods, the birth rate of the district is 27.9 per thousand. As per 2001 census figures, maternal morality rate is four per thousand live births and infant mortality rate is 92 per thousand live births and couple protection rate is 48.5 per cent (Table 3.2). 36
  • 37.
    Indian Institute ofHealth Management Research, Jaipur Strengthening District Health System in Madhya Pradesh through Management Interventions Table 3.2: Socio-demographic profile of Hoshangabad district Characteristics Hoshangabad State Population 2001 Total Persons Male Female Rural Persons Male Female Urban Persons Male Female 10,85,011 5,71,796 5,13,215 7,96,085 4,83,608 4,37,087 2,99,545 1,62,711 6,03,85,118 31,456,873 2,89,28,243 5,08,42,333 2,61,64,353 3,46,77,980 1,53,38,837 81,02,940 7,23,597 Population (0 to 6 yrs) Total Males Females 172,326 89,423 82,903 106,18,323 550,04422 511,3901 Sex Ratio 898 920 Area (sq.km.) 8,370 1,73,054 Population Density 1991 (persons/sq.km) 2001 132 162 158 196 Decadal Growth Rate (1991-01) % +22.40 +24.34 Distribution of Sch. Caste % 16.3 Distribution of Sch.Tribe % 17.4 Crude Birth Rate (CBR) per 1000 27.8 31.9 Total Fertility Rate (TFR) 5 4 Couple Protection Rate (CPR) % 48.5 38.51 Crude Death Rate (CDR) per 1000 8.0 11 Infant Mortality Rate (IMR) per 1000 live births 92 94 Maternal mortality rate per 1000 live births 4 per thousand Still Birth Rate 234 Not Available Abortion rate 324 Not Available Life expectancy at birth 55 Not Available Age at Marriage (F) 15-19 15-19 Literacy rate Persons Male Female 70.36 81.36 58.02 64.11 76.78 50.28 Source: Census 2001,provisional totals, Vital statistics GoMP1998 37
  • 38.
    Indian Institute ofHealth Management Research, Jaipur Strengthening District Health System in Madhya Pradesh through Management Interventions 3.2.3. Socio Economic Profile The predominant occupation in the district is agriculture as more than 70 per cent of the households depends on this activity for their livelihood. In spite of strong climatic variations and the dense forest cover, the region has shown some progress on agriculture due to the improved irrigation, fertile soil and high rainfall. The major crops of the region are; Soybean, Rice, Wheat and Jawar and Vegetables and Grams (Table 3.3). Table 3.3: Agricultural Production in Hoshangabad (1989- 99) Crops Area (In hectare) Production (In Metric tons.) Average Yield (Kg. per hectare) Wheat 159825 280278 1827 Rice 11466 11645 1069 Soybean 1175 67450 716 Gram and Vegetables 1075 NA 714 Jawar 23180 22687 979 Source: The Encyclopedia District Gazetteers Handbook of India (1997) and Krishi Vigyan Kendra, Hoshangabad (1999-2000) Hoshangabad is a relatively better off district in the state. This is reflected in the estimated rank of the district in terms of human development index, which ranks districts according to their performance with reference to selected indicators (education, health and income etc.). According to a recently published report on the state's human development, Hoshangabad ranks 13th among all the districts. However, the picture is not so impressive when one looks at the Gender related development index (GDI), which takes into account women's status in education, health, and job opportunities vis-à-vis its male counterpart. According to the same report, Hoshangabad ranks 28th in Gender related development Index. 3.2.4. Health Scenario A study on burden of disease was carried out in the district during May 2001 in order to find out the mortality and morbidity due to various diseases in the district. The key conclusions of this study are mentioned below: • Acute morbidity load was found to be higher in rural areas as compared to urban areas, which may be due to poor sanitary condition, illiteracy and low socio- economic status, but chronic morbidity load was found to be higher in urban areas. • Acute respiratory infection was found to be more common among the acute diseases and cataract was more common amongst the chronic diseases in the surveyed population. • Acute morbidity was found to decrease and chronic morbidity was found to increase with increase in age. • Malaria was found to be a major problem in this district with 31.03 per cent of the Malaria slides tested positive out of 116 peripheral blood smears collected in this survey. 38
  • 39.
    Indian Institute ofHealth Management Research, Jaipur Strengthening District Health System in Madhya Pradesh through Management Interventions • Anaemia was found to be more common problem in females. Vitamin - A, Vitamin - B, Vitamin - D deficiency was found to be higher in males as compared to females. • Mortality in Hoshangabad was found to be 8.37 per 1000 population, which is less than the national figure. Main cause of mortality was found to be cardiac diseases in urban area and Diarrhea in rural areas. 3.2.5. Health Care Delivery System To provide better health services to the people Government health department established one district hospital at Hoshangabad, two civil hospitals; one at Itarsi and other at Panchmarhi. These are the large hospitals having all the indoor and outdoor facilities. Apart from this seven block primary health centers are established in seven developmental blocks, thirteen primary health centers at sector level and one hundred fifty three sub health centers are operational in the district. Along with this, the Indian System of Medicines has also established 34 institutions in this district. Moreover, around 25 private nursing homes are also operational in the district The organizational structure of the healthcare delivery system is similar to Madhya Pradesh. However, in the absence of any medical college in the district, the district has a two tier health care delivery system with PHCs and sub-centers at the bottom and the district hospitals at the apex. 3.2.5a.Primary Health Care The primary health care in the district is delivered through the community health centers primary health centers and sub-centers. The Chief Medical and Health Officer (CMHO) of the district manage this component of the health care. He manages the planning and monitoring of various national and state level programs related to primary health care. Table 3.4: Block wise distribution of number of CHCs, PHCs and SHCs in Hoshangabad Blocks CHC/BPHC Number of sectors Sector PHC Sub Health Centers Babai 1 5 1 19 Bankhedi 1 4 1 16 Dolariya 1 4 2 18 Pipariya 1 4 1 22 Seoni Malwa 1 7 3 26 Sohagpur 1 5 3 19 Sukhtawa 1 7 2 33 Total 7 36 13 153 Source: The Chief Medical and Health Office, Hoshangabad. 39
  • 40.
    Indian Institute ofHealth Management Research, Jaipur Strengthening District Health System in Madhya Pradesh through Management Interventions Exhibit 3.1: Organizational chart of primary health care delivery system in Hoshangabad 40 Chief Medical Health Officer District Program Officers Immunization RCH Training Community Health Centers Block Medical Officer Sector Level PHC MO In-charge Block Level PHC With PP & FRU Units ANM and MPWs functioning at the sub center level for implementing various health programs at village level TB Leprosy
  • 41.
    Indian Institute ofHealth Management Research, Jaipur Strengthening District Health System in Madhya Pradesh through Management Interventions The Chief Medical Health Officer (CMHO) heads the district health system supported by a team of District Program Officers, District Health Officers and other key officials in the district. Exhibit 3.1 shows the organisation of primary health care delivery system in the district. Number of health care institutions (location wise) and other statistics related to primary health care is given in Tables 3.4. 3.2.5b.Secondary Level Health Care District Hospital of Hoshangabad is running in a 200 years building located in the heart of the town. It is a 140-bedded facility with miserable infrastructure. A recent facility survey by Indian Institute of Health Management Research indicates that the hospital suffers from various problems such as lack of staff and equipment, poor waste disposal and MIS system, corruption and malpractice by staff, repetitive political interference and the consequent frequent staff transfers etc. As a result, the utilization as well as the quality has come down simultaneously. On the other hand, the Civil Hospital Itarsi (named as Jan Sewa Roganalay, Itarsi) has shown commendable progress in the delivery of referral services in the recent years. It provides specialized services in the fields of Surgery, Medicine, and other important specialties. The utilization of the services has been high because of good leadership, motivated manpower and over all initiative of the hospital staff to make the hospital as a pioneer institution in the district. In addition, the hospital has set an example for resource generation through user fees. Recently the hospital has been able to open its own blood bank through the funds generated by its Rogi Kalyan Samittee. Civil hospital Panchmarhi has received a step motherly attitude by the health authorities. The hospital is one of the most neglected referral units in the district with lack of manpower and necessary resources. Though the hospital covers a larger catchment area, the utilization of the services is very poor. 3.2.6. Health Manpower Position In the district, total 657 health staff is posted against the sanctioned post of 773. For the administration and implementation of the programs one Chief Medical and Health Officer (CMHO) is posted in the district supported by one district health officer and civil surgeon. In addition, seven programme officers are posted at district level and held responsible for managing various national programs. To provide the services at grass root level seven Block Medical Officers are posted in seven blocks who are supported by 10 sector level medical officers. To provide the health services at village level 304 multi purpose health workers (male/Female) are posted at sub center levels, who are supervised by 56 health supervisors (male/female). Table 3.5 41
  • 42.
    Indian Institute ofHealth Management Research, Jaipur Strengthening District Health System in Madhya Pradesh through Management Interventions Table 3.5: Manpower availability in Hoshangabad District Category Posts Sanctioned In Position Vacant 1. Medical officer 82 72 10 2. Specialists a) Anesthetist 0 0 0 b) Gynecologist 4 3 1 c) Pediatrician 3 3 0 d) Pathologist 0 0 0 e) Dental Surgeon 0 0 0 f) Gen. Surgeon 4 2 2 3. Staff Nurses / Mid Wife 58 58 0 4. Pharmacist/Compounder 35 28 7 5. Lab Tech/ Lab Asst. 33 31 2 6. Radiographer 8 7 1 7. Computer 7 8 1 8. Driver 19 19 0 9. Paramedical Supervisor a) Malaria Inspector 5 5 0 b) BEE 7 4 3 c) PHN/LHV 35 38 0 d) HA 0 0 0 Multipurpose workers a. Male 155 141 14 b. Female 189 184 5 Source: Records from CMHO’s Office Hoshangabad 3.2.7. Utilization of Health Services As a result of lack of adequate infrastructure associated with obvious managerial problems related to Logistics and supply, quality of care, human resources have largely contributed to the poor utilisation of government health care services in the district. Though the detailed data on lower level facilities such as PHCs and sub centres were not available, an attempt was made to collect the information at CHC level and above. The details of the 10 major facilities available in the district and their performance as per the performance indicators are given in Tables 3.6 and 3.7. 42
  • 43.
    Indian Institute ofHealth Management Research, Jaipur Strengthening District Health System in Madhya Pradesh through Management Interventions Table 3.6: Utilization of various services provided by the government run health facilities in Hoshangabad district Indicators Babai Sohagpur Pipariya Bankhedi Dolariya Seoni Malwa Sukhtawa CH Panchmarhi JSR Itarsi DH Hoshangab ad No. of OPD attendance 31561 * 95377 34621 8727 21972 14044 39385 123233 102122 No. of hospital admissions (IPD) 880 1818 3076 - 140 1347 437 464 10408 9504 No. of Emergency admission - * - - 140 - 91 464 - - No. of Minor Surgeries 181 467 - - 14 - 128 - 465 335 No. of Major Surgeries 700 515 - 491 - - - - 346 236 No. of Deliveries Conducted 398 615 1119 142 31 263 45 34 - - No. of Cesarean Sections - - - - - - - - 235 131 No. of Blood Examination 18088 71 29908 21998 - 24752 - 2224 8604 5505 No. of Sputum Examination 117 172 426 780 16 465 - 94 - - No. of Stool Examination - - - - - - - 11 56 11 No. of Urine Examination 700 550 2681 278 - 1002 - 602 2588 1944 No. of X-ray Examination 156 - 1030 460 - 691 - - 1426 2578 No. of ECG Examination - - - - - - - -- 415 316 No. of Ultra Sound examination - - - - - - - - - - No. Blood Bottles made available for transfusion - - - - - - - - - - No. Patients Discharged Discharges after medical advice (DAMA) Regular Discharge 880 2052 - 2600 2600 140 1011 358 - - - Postmortems Performed 40 44 95 49 1 73 - - 160 - *Figures not made available by the hospital authorities. 3.7: Value of various performance indicators (block wise and other hospitals) in Hoshangabad district Indicators/ Year Name of the Blocks Babai Sohagpur Pipariya Bankhedi Dolariya BOR BTR ALS BOR BTR ALS BOR BTR ALS BOR BTR ALS BOR BTR ALS 2001-02 60.9 88 2.53 31.9 90.9 1.28 63.6 76.9 3.02 25.8 86.7 1.1 6.36 0 Seoni Malwa Sukhtawa CH Panchmarhi JSR Itarsi DH Hoshangabad 36 44.9 3 * 14.56 * 106.9 65.1 6 111.6 67.8 6 43
  • 44.
    Indian Institute ofHealth Management Research, Jaipur Strengthening District Health System in Madhya Pradesh through Management Interventions 3.3. CONCLUSION The major intention of this chapter was to give a brief profile of Hoshangabad district, which would help us justifying it as an appropriate district for intervention area. In this context the general, socio economic, socio demographic, health scenario, status of health care delivery system and the utilization of health services at various institutions of the district was presented. A detailed look at the indicators given in this chapter gives us the indication that the district is; moderate in size, representative in terms of its population and geographical areas, having fairly well developed health infrastructure, thus justifying its appropriateness for the implementation of the project. Moreover, the experiences from the district can act as a model for other districts of the state as well as the country. 44
  • 45.
    Indian Institute ofHealth Management Research, Jaipur Strengthening District Health System in Madhya Pradesh through Management Interventions CHAPTER 4 DECENTRALIZED HEALTH PLANNING 4.1. BACKGROUND The district health plan is an archive of policy decisions and modus operandi for the functions of the district health services vis-a-vis the health programs that are to be followed in the year ahead. It contains the strategies to be followed, the areas of concern, as well as the strategies to improve the delivery of health services in the district. Like any other plan the district health plan states the areas where the health programs and the health service delivery have to be strengthened. The objectives of the district health plan are as follows: • To plan for the health services as per community’s need. Therefore, the essential pre condition of a decentralized district health plan is the involvement of the community and lower level health functionaries in the process of plan formulation. • To identify the functional areas where the district health system has to improve upon it’s performance chalked out from previous years achievements and other performance indicators • To identify the problem areas where the previous years have shown relatively poor performance in achieving the targets as set and stressing on to improve the performance in terms of equity, efficiency and coverage • To plan better management of the health services delivery in terms of cost efficiency, logistics, manpower planning, quality assurance, etc. • To reduce the burden of diseases in the community and bring better and efficient health services within the reach of all members of the community, particularly the disadvantaged sections • To introduce more and more micro planning and enhance decentralization so that the community based and community specific health care needs can be met; and • To set carefully benchmarked achievable targets for the district in terms of delivery of services and to consider the scope of improvement in the programs continuing in terms of quality and micro planning. Under the Royal Danish Funded “Strengthening District Health Systems” project an intervention was carried out by Indian Institute of Health Management research, the implementing agency, to initiate decentralized health planning process in Hoshangabad district. The present report describes the whole process of preparation of district health plan, its implementation and monitoring and the outcomes of the process. The succeeding Section describes the objectives of the present intervention. Section 4.3 deals with the existing health planning process and their problems in the district. Section 4.4 gives a 45
  • 46.
    Indian Institute ofHealth Management Research, Jaipur Strengthening District Health System in Madhya Pradesh through Management Interventions detailed outline of the interventions undertaken in this regard and the outcomes of the intervention are presented in Section 4.5. Lessons learnt and sustainability of the activities initiated under this project is described in Section 4.6. The report ends with some concluding remarks, which are useful for future researchers. 4.2. OBJECTIVES As could be seen from the next section that the decentralized planning is already incorporated in the current health sector reform process. Unfortunately, due to one reason or other, the concept of decentralization is not incorporated while preparing the annual health plans for the district. The present project did not make any attempt to introduce any new planning tool or format, rather, it attempted to systematize the existing tools and guidelines in order to improve the present planning process and prepare a realistic plan on the basis of ground reality. Therefore the basic objective was to prepare the district health plan with a bottom up approach, starting from sub center to the district; discuss the same with the district authorities, implement the plan in the field and assess the results of this effort. Following objectives were set in order to make this intervention successful and effective: 1. Orientating the health functionaries towards decentralized planning process 2. Develop and initiate decentralized planning process within the district health system in collaboration with the health functionaries at various levels 3. Prepare the district health plan in collaboration with the health functionaries at various levels and getting them officially approved 4. Share the plan documents at all levels (sub center, block and district) and develop appropriate strategy for its implementation 5. Implementing the plan in the field and assess the change in the system 4.3. PLANNING PROCESS – PROBLEMS AND ISSUES Before describing the interventions undertaken by the project team with regard to decentralized planning it is necessary that a few lines on the existing planning process is described and problems identified. It is equally important to note that no diagnostic study was conduced by the project team with regard to decentralized planning. The problems were identified in a participatory approach through the interactions with district and block health authorities and health workers at grass root level. 4.3.1. Background of Planning When the family planning program was initiated in the 1970’s, the stress was purely on sterilization. Since this met with a lot of resistance, the Family Welfare program was started from 1985-90. The Child Survival and Safe Motherhood Campaign (CSSM) were implemented from 1992-93. This was ultimately replaced with the Reproductive Child Health (RCH) program in 1994 with emphasis on providing the right choice of contraceptives to eligible couples to stabilize the population growth rate. Initially, the trend was to set the targets, which used to flow from the top to bottom but soon it was realized that this approach had major flaws namely- 46
  • 47.
    Indian Institute ofHealth Management Research, Jaipur Strengthening District Health System in Madhya Pradesh through Management Interventions • If the beneficiary is not provided with the contraceptive of his choice, then it is difficult to achieve the targets set in this regard. • Quality of service provided is of poor standards • Manipulation of targets by the health workers at the grass root level Considering the above points, the ‘Target Free approach’ was initiated in April 1996. Though the concept of Target Free Approach and subsequently the Community Needs Assessment Approach is being articulated since 1996, it has not been appreciated in the true sense and has not percolated down to grass root level health workers. For example, the average health worker still perceives the targets as being set from the top. He/she has to get the target figures for himself/herself from the higher authorities and meet them within a stipulated time. It is necessary to understand that “Target Free” does not mean that no targets would be set. Instead, the MPW posted at the sub center now have the responsibility of formulating the targets at the beginning of the year in active consultation with the PRI representatives, which would then be consolidated at the PHC, CHC and the District level. This simply indicates that the plans are to be prepared at the grass root (sub center) level and flow to higher levels. Though the above changes have already been made at the policy level, the district health authorities have not realized the importance of the same and never tried to update themselves with the policy change. To be more specific the following problems were identified relating to decentralized planning: • The concept of target free approach have either not been understood by the higher-level health officials of the district / they do not want to change their old habit of setting the targets from the top level. • The top (district level) health officials set their targets by making a 10 per cent increase over the past years’ performance2 which is usually a faulty approach • At no level of plan formulation the health functionaries are consulted. This resulted in an over/under estimate of the actual situation. • As the lower level health functionaries are not involved in the process of plan formulation, the plans prepared before the initiation of the project were not need based. Rather the target based planning, with the targets set at higher level was followed. • No mechanisms are established at district or block level to monitor the activities of the lower level health functionaries. This resulted in false / under reporting of the actual situation thus, creating another loop hole in the management of health information system 2 The performance data usually obtained from the health functionaries suffers from the following drawbacks: • At each level the data on various indicators are collected and compiled only to send them to their respective higher authorities without verifying the accuracy and the utility of the data being collected. This has ultimately led to inflation and exaggeration of figures at all levels in order to show higher performance. • Feedback system is extremely poor at all the levels. The supervisors do not give any feedback to the health workers on accuracy of data generated. In similar fashion, there is no feedback from BEE to supervisors and so on. • No attempt to establish relationship between MIS and output achieved • Lack of resources (especially stationery at the section and sector level) 47
  • 48.
    Indian Institute ofHealth Management Research, Jaipur Strengthening District Health System in Madhya Pradesh through Management Interventions Thus, there is dilution of the basic philosophy of decentralized planning and the same is transmitted to the lower level. 4.4. INTERVENTIONS The interventions initiated by the project team aimed at addressing the above-mentioned problems. Formulation of sub center level health plan being one of the basic objectives of Decentralized Planning, it requires that the health system functionaries right down to the grass root level be oriented and sensitized in this regard. Therefore, the interventions aimed at: • Orientation and Capacity building of health functionaries on preparing health plan with a bottom up approach – Guidelines for preparation of decentralized district health plan. • Compilation of sub center plan to Block and District Health Plan and sharing workshops • Monitoring the planned activities and preparation of guidelines for monitoring and supervision INTERVENTION 1: ORIENTATION AND CAPACITY BUILDING OF HEALTH FUNCTIONARIES ON DECENTRALIZED PLANNING PROCESS (a) Trainings and Workshops outside the District At initial phase of the present intervention, there was severe resistance from district as well as block level health authorities to change the existing process of planning. A 5 days Training cum workshop was organized at Jaipur to orient them about the decentralized planning process. The workshop was attended by the Health officials from the district as well as the Block Medical Officers from different blocks of the district. As Health Information System is closely linked with planning, during the Training Workshops on MIS, the district as well as block level health functionaries were oriented on preparation and benefits of decentralized plan. This training was conducted at Bhopal and the participants were organized in three batches (three days training to each batch). Sector Medical Officers, Health Supervisors, BEE's and staff dealing with the data section in CMHO office participated in the training program, which was conducted in Bhopal. (b) District level workshops Two workshops cum training programs (one for District Health Team and Block Health Teams, and another for the major health functionaries at the block level dealing with planning) were organized at District Training Center, Hoshangabad for orienting the health functionaries on appropriate MIS and importance of decentralized planning for appropriate delivery of health care. 48
  • 49.
    Indian Institute ofHealth Management Research, Jaipur Strengthening District Health System in Madhya Pradesh through Management Interventions (c) Block Level Workshops During the project period, the project team attended all the monthly meetings, which are usually held at block headquarters. As all the health functionaries of the block attend this meeting, it was used as a forum for imparting necessary training to all the block level health functionaries on decentralized planning. As the planning process starts during March-April of each year, the trainings were imparted in the monthly meetings of March and April during the project period. (d) Sector Level Workshop cum Training Programs In order to seek active participation of the lower level health functionaries (health supervisors and workers), the project team put substantial effort to conduct the training programs at the sector headquarters of each block. Training of the grass root level multipurpose workers (male and female) was carried out subsequent to the training program at Bhopal and Block Headquarters. Consent and support was solicited from the Block Medical Officers and Block Extension Educators in this regard. At some blocks, the supervisors also acted as trainers for these training programs. The project team did overall coordination of the training programs at sector level. The training programs were conducted in a participatory manner. The active participation of the lower level health functionaries was solicited through understanding their field level problems and finding out local solutions to them (Details are given in Annexure - 4.1.). As per the guidelines of government of India, the sub center level planning for the year ahead is submitted through Form 1. Therefore, the major focus of the training was to explain the participants on the details of Form 1. Accordingly, Form 1 was distributed among the participants and the definition of each row in the form was explained to them. The method of estimating the figures for each column in Form 1 was explained to them in detail. Annexure - 4.2. gives the details of the training imparted on decentralized planning at sector level and the guidelines provided to them in this regard. INTERVENTION 2: COMPILATION OF SUB CENTER PLAN TO BLOCK AND DISTRICT HEALTH PLANS AND SHARING WORKSHOPS The sub center level plan prepared in the above manner was used as the basis for the preparation of sector; block and district level health plans. It is worth mentioning that the workers prepared the sub center level plans during the workshop cum training programs conducted at sector levels. As preparation of Sector (PHC), Block and District level plans were just summation of the sub center level plans, the project team helped the health functionaries to compile them for their respective sectors/blocks. The figures were compiled in prescribed format (Form 2 for sector and 3 for Block). The block level plans thus prepared were shared with the block level officials in the special meeting organized by the project team. Discussions on the block level plan document were made and the necessary suggestions were incorporated before their submission to the district. The district health plan was just the compilation of the block level plans. The project team in consultation with the block and district level health officials carried out the compilation work. The district health plan for each year (during the project period) was finalized in a combined workshop of all district and block level health officials organized at district level. 49
  • 50.
    Indian Institute ofHealth Management Research, Jaipur Strengthening District Health System in Madhya Pradesh through Management Interventions INTERVENTION 3: MONITORING THE PLAN ACTIVITIES AND PREPARATION OF GUIDELINES FOR MONITORING AND SUPERVISION Decentralization, like any other organizational change, needs to be carefully monitored evaluated in order to ensure that the desired results are achieved and the emerging side effects are considered and addressed. The activities of the project team did not end with the preparation of plan document for each financial year during the project period. Substantial efforts were initiated by the project team to bring the prepared plan into action. Accordingly, the final figures of target were distributed among all the health workers of the district. In addition, the project team fixed village wise targets with the help of health workers. The monitoring of the planned activities was made in consultation and collaboration of district health authorities. The district authorities were of the opinion that a feedback of every visit of the field team should be submitted to them so that corrective measures on implementation could be taken. In addition, they suggested that one of the district official should accompany the project team for facilitating the monitoring activities. Accordingly a tour plan of the project team was submitted to the Chief Medical and Health Officer (CMHO) of the district and a copy of each visit report was submitted to CMHO for taking corrective measures in case there was any problem in implementing the planned activities. The involvement of district authorities made the monitoring activity as a successful event. Nearly 60 per cent of the sub centers that were not following the planned activities started rectifying themselves and planned their activities accordingly. The monitoring was mostly done through the participation of the project team in the sector, block and district level meetings. In addition, a supervisory checklist was prepared and handed over to the district for proper monitoring and supervision (Annexure - 4.3). 4.5. OUTCOMES Performance of Activities Process indicators Number Number of training programs outside the district 2 Number of district level training programs 2 Number of block level workshops / training sessions 28 Number of sector level training programs 72 Number of District level workshops 2 Number of Block level workshops 14 Number of Sector level meeting attended by project team 144 Number of block level monthly meeting attended by project team 147 Number of Block health plans prepared and approved 14 Number of District health plans approved by district and state 2 Years Number of health worker trained on decentralized planning 306 Average number of participants per training 15 Number of district health plan guidelines distributed 153 Number of sub centers who prepared their own plan during 2003-04 153 50
  • 51.
    Indian Institute ofHealth Management Research, Jaipur Strengthening District Health System in Madhya Pradesh through Management Interventions 4.6. LESSONS LEARNT AND SUSTAINABILITY • Within the district health system, it is important that the bottom level health functionaries are involved during the process of preparation and execution of the plan so that the benefits of decentralized planning process initiated in the district could be fully realized and the system can lead to modifications and changes, as required. • Sustaining the commitment of the district health functionaries and other health workers to achieving the goals and objectives of the health system, their involvement in planning health services and action is highly essential. Explicit discussions on the objectives and goals of the health system and the ways to achieve them through appropriate planning in a participatory way would certainly lead to better results. • There is an urgent need for wide dissemination of information about national priorities, goals, objectives and strategies • Participation of health providers and clients in the process of problem identification and their local solutions would certainly help bringing proper coordination between the community and health system • The formulation of district health plan should be made in active participation with the health workers, public and PRIs. The approach should essentially be participatory rather than enforcing • The preparation of village level health plan needs the support from the village level health providers e.g., Anganwadi Workers and Jana Swasthya Rakshyaks (JSR) and private practitioners working at the village level. Appropriate mechanism need to be developed for their active involvement during the process of plan formulation. • Development and use of operational work plans that specify activities, targets and the time frame within which they have to be fulfilled, as well as assigning clear responsibilities to teams and individual workers would help monitoring the planned activities in a better way • Development of appropriate managerial styles that facilitate a free flow of information in all directions would certainly help in sustaining the initiated activities in the district 4.7. CONCLUSIONS Though the concept of decentralization has gained prominence worldwide, the concept has not yet been understood by majority of the health functionaries in Hoshangabad district. This has led to repetition of old method of preparing the district health plan – preparing the plan at the top level and enforcing the same to bottom level health functionaries of the district. The SDHS project attempted to bring a change in the system by making the health functionaries understand the importance of decentralized planning. It was certainly a hard task for the project to a change in the system. After repeated 51
  • 52.
    Indian Institute ofHealth Management Research, Jaipur Strengthening District Health System in Madhya Pradesh through Management Interventions orientation and training programs the project able to change the minds of health functionaries and initiate the decentralized planning process in the district. During the project period necessary trainings were imparted and guidelines were developed and distributed among the health functionaries for preparation of district health plan with bottom up approach. The training sessions on the method of plan formulation were conducted at sub center levels in order to seek their active participation. No doubt, such exercises helped the project team to change their old habits of planning and introduction of actual decentralized planning process in the district. During the year 2001-02 and 2002-03 ample amount of time were invested for this exercise. However, it is encouraging noting that during the year 2003-04, the sub center level health plans were prepared by the health workers themselves and the same plan was percolated to block and district levels. There is a sea of change in this respect. However, as other interventions carried out under this project, the question of sustainability remains at the hands of health functionaries at the district level. 52
  • 53.
    Indian Institute ofHealth Management Research, Jaipur Strengthening District Health System in Madhya Pradesh through Management Interventions ANNEXURE - 4.1 PROCEEDINGS OF SECTOR LEVEL TRAINING PROGRAMS Problem Solving Mechanism At the beginning of each training program, problem identification and problem solving was followed in order to identify the field level problems faced by the health workers and demarcate the problems that could be solved at their own level. The participants were requested to write down the problems on a white sheet (provide by the project team). Then one representative among the participants was requested to readout the problems and the problems, (given in the table below) which are faced frequently in the field were noted down by the trainer. The solutions to those problems were sorted out through a brain storming session among the participants. The main intention at this phase of the training was to observe the number of problems that could be addressed at the field level itself. A detailed discussion on problems mentioned by the workers and possible solutions found out during the training programs is given below: Sl No Problems Encountered Solution 1 No Cooperation of the community or from the village representatives during their visits. Regarding the first issue, (problem) it was explained that the workers visiting the villages are not able to communicate with the village level representatives properly. Any powerful person may misbehave with the workers for once, but not always if the workers want to convince him/her and give proper explanation to the questions asked by him/her. Thus, the worker could reduce the non co-operation by the public (particularly PRIs) largely by themselves. Almost all the participants agreed with this solution. 2 Difficulty in carrying the necessary materials for the field visits to in accessible places. Difficulty in carrying the necessary materials to the field was shown as another problem faced by the health workers. But it was agreed in the training that there is no need to take all the materials and vaccines to the field as the workers are intended to know about their workload in the next visit from their registers. Therefore they should take only the materials and vaccines required by them to the field. This will reduce their burden of carrying all the materials to the field. 3 No adequate stationary for reporting Adequate stationary (particularly form 6) will be made available to the workers from the directorate through CMHO office. However, IIHMR can help in fastening the process of sending forms to the district. IIHMR has already provided them form 1 (one to 53
  • 54.
    Indian Institute ofHealth Management Research, Jaipur Strengthening District Health System in Madhya Pradesh through Management Interventions each sub centre). Since each sub centre requires at least two forms (Form 1) it was promised that the forms will be provided to the sector supervisor, who, in, turn will distribute them to their respective workers. 4 There is no motivational incentive for the workers who are performing their duty perfectly. Though the workers are given multiple responsibilities, no motivational incentive is given to them. It was disclosed that there is rewarding system in the district to reward the best workers. It was mentioned that the issue would be brought to the notice of BMO and CMHO and corrective measures taken. 5 Some places there are no male workers posted in the block, which doubles the workload of ANM. The decision in this regard could me made at the higher level. A list will be prepared for the SCs where the posts ate vacant and it will be explained to the CMHO that it is difficult to carryout the MCH activities in the absence of a male worker. The copy of the same will be send to higher level for necessary action. 7 There are no government buildings for running the sub centre Regarding the non-availability of the sub centre building no decision could be taken in the training session as this is a policy issue and the solution lies with the higher authorities. However, the temporary solution to this problem could be to run the sub centre services at the Panchayat Bhavan or any other place and the villagers of that section will be requested to co-operate in this regard. Also it was decided that, if necessary, IIHMR can go with the BMO and make alternative arrangement for this at the section headquarters and the supervisors were requested to find out other solutions if there is any. However, the argument on this point mostly focussed on the stay of the health workers at their respective headquarters. Though it was felt that stay at headquarters would improve the services delivery, no consensus could be arrived in the training program. 8 The targets fixed by the government are more than what should be. The concept of decentralised planning was explained to them in detail and the workers were provided with guidelines for preparing their own plan by referring the guidelines. Though this session took nearly 2 hours, it helped the project team to bring active participation of health workers in the process of plan formulation. 54
  • 55.
    Indian Institute ofHealth Management Research, Jaipur Strengthening District Health System in Madhya Pradesh through Management Interventions ANNEXURE – 4.2 GUIDELINES FOR DECENTRALIZED PLANNING • Apart from the C.N.A survey, the MPW should set the targets in active consultation with others who are involved in delivery of health services namely the trained Dai/Anganwadi worker/ community health volunteer and the PRI representatives. This will help in estimating the targets correctly largely and ensure their involvement in the planning process. Co-operation, particularly from the PRI representatives has to be solicited actively by the workers through repeated interactions rather than waiting for them to come forward and take part in the process. • The targets set should be compared with the last year’s achievement and it is usually seen that the target should be 5-25 per cent more than the last year’s achievement figures. Less than 5 per cent and more than 25 per cent would indicate either an underestimation or overestimation of targets respectively. • Formulation of targets should not be exclusively based on either the survey or the various formulae used- instead; it should be finalized after consulting the AWW/PRI and other members in a particular village. • Information regarding the birth rate and population will help the health worker in estimating whether she is registering and providing services to all the ANC women in her area and whether all the children are being immunized or not. • The column on referrals (for delivery/post natal complications/high risk children) to CHC/FRU will indicate the quality of services being provided by the health worker. • Information about RTI/STI and their referrals is also provided under the Reproductive Child Health Program in Form 1 • Information about Oral Rehydration Therapy (ORT) being provided to children and formulation of requirement of ORS packets should be given utmost importance as this is a leading cause of death among children in various blocks. Form 1 was distributed to all the workers so that they can understand the indicators and appreciate the importance of setting targets appropriately for the year. This is important because majority of the workers do not own the targets set by themselves - they still perceive the targets as being imposed from the top. In addition, there is the tendency to inflate the achievement figures for the last year and hence the targets are increased based on these figures for the next year. Capacity building of Multipurpose Workers (Male and Female) at the sector level specifically for making the Decentralized plan. The participants of the training programme were briefed about the planning process and were explained in detail how the Form 1 should be filled. Form 1 was distributed to all the participants and they were instructed to fill in their achievement figures as required in form 1. It was emphasized that the figures quoted by them should be supplemented by 55
  • 56.
    Indian Institute ofHealth Management Research, Jaipur Strengthening District Health System in Madhya Pradesh through Management Interventions their records and reports. There should be no false and exaggerated reporting. Details of the training provided for filling up form 1 is given in the following table: Guidelines for preparing District health Action Plan “A Bottom up Approach” under Community Need Assessment Programme S.No Indicators in Form 1 Guidelines for preparing plan 1 The Actual Population of the Sub health Center (SHC) Population for the current year = Previous year’s population + New births + Newly married women + New families in the village (migrated in) - Deaths occurred in the given year – Families shifted from the village (migrated out) 2 Schedule cast and Schedule Tribe Population of the SHC Door to door Village survey to get the first hand information about the Schedule cast and schedule tribe population. On the other hand if the SC/ST population for previous year is available then follow the similar steps as given above to calculated current year’s SC/ST population. 3 Number of eligible couples As per the Community Need Assessment (CNAA) norm, there is 170 eligible couple for 1000 population. Before calculating the eligible couple for the SHC, the worker can calculate the number of EC in their area from Target Couple Register (TCR). Worker should less the number of those EC who adopted permanent method for limiting their family and those EC who attained the age of 50 years (female partner) and should add newly married women who came from other village irrespective of age factor. 4 Total number of ANC To calculate the ANC, the worker should know the ANC registration and number of birth took place in last year, as well as the birth rate of the district. Based on this the worker can project the ANC registration for current year. For calculating ANC (Population of current year × Birth rate/1000) + 10% of the total ANC (Wastage) 56
  • 57.
    Indian Institute ofHealth Management Research, Jaipur Strengthening District Health System in Madhya Pradesh through Management Interventions Maternal and Child Health S.No Indicators in Form 1 Guidelines for preparing plan 1 ANC Registration A minimum of 60 per cent of the total ANCs should be registered within 12 weeks of pregnancy. 100 per cent of the ANC should be registered for providing health services 2 Complicated cases referred. At least 15 per cent of the total ANC suffered from the pregnancy related complications. Hence, these cases must be identified and referred for better health care center. 3 TT1, TT2 and Booster TT doses should be given to 100 per cent of the ANC cases. TT1 and TT2 dose given to all the ANC who are prime or having the spacing of more than two years among her children. Booster dose to be administered to those ANC who are multi-para and spacing among the children is less than 3 years. 4 The Number of Anemic pregnant women who are treated for Anemia (Prophylactic) Nearly 50 per cent of the ANCs suffer from Anemia means right from the first trimester or before pregnancy they are anemic hence they required double dose of IFA. The worker should keep in mind that 50 per cent of the total ANC should be provided with double dose of IFA. 5 Number of ANC given IFA (Therapeutic) The worker should provide IFA to 100 per cent of the ANC registered with them. 6 Total number of deliveries Total deliveries taken place in there areas Total deliveries = (Population ×birth rate)/1000 7 Deliveries by trained personals By ANM By LHV By Trained Dai Ninety five per cent of the total domiciliary deliveries should be conducted by trained personal i.e. ANM, LHV and trained Dai. 8 Deliveries by others Five per cent of the total domiciliary deliveries are attended by untrained personal. 9 Institutional deliveries Nearly 33 per cent of total deliveries should be institutional deliveries. 10 Referred to PHC / FRU Usually 10 per cent of the pregnant women suffer from related complication and they need to be referred for better care services 57
  • 58.
    Indian Institute ofHealth Management Research, Jaipur Strengthening District Health System in Madhya Pradesh through Management Interventions 11 Referred new born babies Ten per cent of the newborn babies suffer from complications. They need to be referred for better care services. 12 RTI / STI About 25 per cent of the total eligible couples get affected from one or the other RTI and STI problem. Hence, the worker has to provide proper counseling to identify the problems and referred them to advance treatment. 13 Immunization for BCG, DPT, Polio and Measles and full immunization. The number for immunization must be equal to total number of births taken place during the period and there should be cent per cent coverage for the primary immunization 14 DPT and Polio Booster The number of children for secondary immunization is 10 per cent less than the total estimated births in the year 15 DT (5 Yrs) Norm: 30 / 1000 16 TT (10 Yrs) Norm: 28 / 1000 Population. 17 TT (16 Yrs) Norm: 27 / 1000 Population 18 Vitamin A from 9 months to 3 years. Total doses: First dose: No of live births × 1 Second dose: No of children given DPT booster (10 per cent less to the total births took place during the year) Third dose: Total dose - (First dose + second dose) 19 IFA (Small) Fifty per cent of the children below 5 years [(30/1000) × .5] 20 ARI < 5 years It was observed that ARI occurred two times in a season hence the calculation for the ARI episode is Total number of child births × 2 21 Referred cases Ten per cent of the total children suffered from ARI need to be referred. 22 Diarrhea: 0-5 Years. If the work regarding ORT is attended properly, it should be increased by 15-20 per cent compared to previous year 23 Total diarrhea episodes: It was observed that on an average diarrhea occurs three times in a year. The calculation of number of diarrhea episodes will be: Total number of child births × 3 24 Referred cases Ten per cent of the total diarrhea episodes develop complications and need to be referred for advance treatment. 58
  • 59.
    Indian Institute ofHealth Management Research, Jaipur Strengthening District Health System in Madhya Pradesh through Management Interventions Family Planning The target for Family Planning Programme is set by Department of Health and Family welfare Government of Madhya Pradesh S.No Indicators in Form 1 Guidelines for preparing plan 2 LTT 5 percent of the eligible couples 3 IUD 4 percent of the eligible couples 4 OP 5 percent of the eligible couples 5 Nirodh 19 percent of the eligible couples Other National Programme S.No Indicators in Form 1 Guidelines for preparing plan 1 Malaria All fever cases treated as malaria suspected case and worker should prepare the slide. Total number of fever cases in a year would be 12 – 15 per cent of total population suffered from the fever. Malaria Positive 1- 2 per cent of the total slides prepared 2 Tuberculosis Positive cases Around 10 per cent of the symptomatic cases suffer from TB. 3 Leprosy Positive cases 0.17 of the suspected cases In addition to the program components the health worker were also explained how to fill up the columns related to infrastructure and logistics and other supplies requirement for the year ahead. It was explained that while calculating the requirement of drugs and other consumables they need to take into consideration of the figures estimated by following the above guideline and calculate accordingly. 59
  • 60.
    Indian Institute ofHealth Management Research, Jaipur Strengthening District Health System in Madhya Pradesh through Management Interventions ANNEXURE – 4.3 GUIDELINES FOR MONITORING AND SUPERVISION OF PLANNED ACTIVITIES MONITORING Monitoring is a periodic collection and analysis of selected indicators of the programme to enable health managers to determine whether key activities are being carried out as per the action plan. It is carried out at both the services delivery unit through direct contact with health workers and at the managing office by examining periodic reports Monitoring provides feedback to project manager in order to improve the operation plan and to take mid course corrective measures if necessary. Getting regular feed back is one way of finding out whether the planned activities are being carried out in the right direction. These feedbacks are usually small in scale and short in time to review the on- going activities. The project manager decides the format of the feedback and the indicators to be included. The purpose of monitoring is to initiate mid-course corrective measures to improve the performance and the quality of services. The list of selected indicators of RCH services that are linked with the set of planned activities is given in the last section of the chapter SUPERVISION The major challenges for supervisors are getting things done through his subordinates in desirable way. The availability of protocols and instructions, training sessions, list of rules and written procedures are not enough to get the works done through other people in the health system. The important thing is to have direct personal contact with the field staff on regular basis, to listen carefully other aspects of the problem of health workers for not achieving the desired output and to renew the enthusiasm of the field staff for the work they are doing. The personal contact is important both for effective operation of the programme and for staff moral and for commitments. The purpose of supervision is to guide, support and assist the field staff to perform well and carryout their assigned task What supervisor should do? • The main function of Supervisor is to help field staff to perform their jobs effectively by providing guidance and training, assistance with resources of logistics, support, encouragement and advocacy of their problems • Supervisor’s role is a problem solver who supports the field staff not a faultfinder who will be always criticizing them. • Respect field staff and their contribution towards their work, encourage them to make suggestions and involve them in decision-making. 60
  • 61.
    Indian Institute ofHealth Management Research, Jaipur Strengthening District Health System in Madhya Pradesh through Management Interventions • Conduct periodic performance appraisal for field staff to review past performance in order to make sure that person is doing well against the set objectives of the programme. Improving Staff Performance Supervisors are required to work with field staff to set the performance objectives for each individual. The following points are crucial for improving the performance of the field staff The field staff should be able to achieve their performance objectives throughout their own efforts, do not set objectives over which they have little or no control Performance objectives should be specific, it should be time bounded stating with the activities to occur for the date by which it will be completed. RESPONSIBILITIES Chief Medical and Health Officer • CMHO is the responsible person for the district and accountable to the Director of health (at the state) about the performance of the district. Hence, the CMHO has to make necessary arrangements of logistics and other requirement for achieving the targets set by the health workers. • Identify the problematic blocks, particularly problem areas where the targets are not achieved against the set objective. • Make the alternative arrangements in those blocks where the BMO is facing the problem in achieving the targets. • Make the provision of staff/other alternative arrangement where the posts are vacant. • Sort out the administrative and management problems to streamline the activities and smooth functioning of the block and sectors. • Provide all administrative and management support to the BMO for smooth functioning to achieve the set objectives. • Appreciation to the work performed by block to increase the work motivation among the field staff. • Periodic evaluation of performance at the block as well as the district level Programme Officers • Set the target for the National programmes and distribute them among the blocks • For effective monitoring of activities at each level, i.e. block. Sector and section level, delegate the responsibilities to the concerned BMO. 61
  • 62.
    Indian Institute ofHealth Management Research, Jaipur Strengthening District Health System in Madhya Pradesh through Management Interventions • Identify the disease prone areas to give more attention to check the outbreak of the disease. • Periodic training to the field staff for case identification (particularly on case definition) • Organize camps to achieve the targeted objectives • Emphasize more on routine programme rather than event base programme. • Periodic evaluation of performance. Block Medical Officer • During the initial period of the programme, i.e. in the month of April, the BMO should obtain the information on the Eligible couples through health workers and guide them accordingly to prepare their visit plans to cover all the listed eligible couples for registration and to provide the required services. • Set the target for the different services as per the actual population and distribute them among the health workers as on monthly basis. • Once the target is set for the each programme, assess the monthly progress of the health workers as against the target and give them the feedback to fulfill the given target. • With the help of supporting staff, visit the sectors/sections periodically and carry out verification of services provided by the health workers at village level. • Ensure the stay of health workers at the headquarters where the SC building exists/make alternative arrangements where the SC building does not exist. Sector Medical Officer • Check the movement of supervisor as per the advance plan submitted to the sector medical officer. • Surprise visit to the health workers Head quarter village to check the activities and records. • Call sector level meetings, evaluate the performance of the health workers, and give them the feedback to improve the performance. • Verify the beneficiaries by surprise visit. • Physical verification of the stock and recording register of the workers. Supervisor (Male/Female) • Spend six days in the field each week: verify acceptors and home visits, and provide in service training to Fieldworkers. • During the household survey, assist the Fieldworkers in mapping the assigned areas, planning the order in which homes will be visited, assigning serial numbers to couples, and introducing the Fieldworkers in the community. • Verify the benchmark information collected by the Fieldworkers by selecting one couple at random to revisit and then revisiting every tenth or eleventh couple. 62
  • 63.
    Indian Institute ofHealth Management Research, Jaipur Strengthening District Health System in Madhya Pradesh through Management Interventions Check whether the information is correct, make corrections if needed, and inform the Fieldworker(s) for any errors. • When the benchmark survey is complete, spend at least two days verifying active users without accompanying Fieldworkers and at least two days accompanying Fieldworkers during their home visits. • When the Fieldworker is on leave or in training, visit the eligible couples in the Fieldworker’s place. • Accompany each Fieldworker to at least eight homes each month, to provide guidance to the Fieldworkers on counseling and educating couples. • While in the field: arrange community education activities: arrange to accompany clients for IUD insertions, injections, or sterilizations: organize immunization sessions • Supervisors should prepare a schedule and checklist for periodic supervisory visit. The schedule should include sessions that specify the dates, time, places and the people to be supervised. The schedule should also include the subject to be discussed during the each session. The following points are important for each supervisory visit- o Provides advance notice of the supervisory visits and session to field staff at all location. o Arrange and co-ordinate the supervisory visits in a convenient and economical manner. o Identify what support or help may be needed to get the job done properly by field staff. • Check the basic data on performance (Form 6). Here mostly the accuracy of data provided by the health worker needs to be checked and the errors are to be corrected. • Compile the data (accurately) for the sector and supply the same in form 7 to the CHC. Health workers (Male /Female) • During the initial period of the programme, i.e. in moth of April, field worker should identify currently married couples in the assigned area through household survey and couple registration. Visit 15 to 25 couples per day until all couples have been visited • When all couples have been identified and registered, visit them again in numerical order, according to a pre-scheduled work plan. Provide family planning education, contraceptive supply, and accompany clients who are interested in clinical methods to the clinic • Keep accurate records of daily visits, contraceptive distribution, and referrals. • Submit Fieldworker’s Daily Records to the respective Field Supervisor at the end of each month 63
  • 64.
    Indian Institute ofHealth Management Research, Jaipur Strengthening District Health System in Madhya Pradesh through Management Interventions SUGGESTED SUPERVISORY CHECKLIST Name of Block : ………………………………………………………….. Name of Store keeper/in-charge: ………………………………………………………….. • Sub centers having over stock/under stock of drugs, equipment and other essential items 1. Monitoring of stock record Name of Drugs Required quantity Supplied quantity Not available Difference (+, -) • Block maintain medicines as per FEFO technique of logistics and supply management • Maintaining indent file 2. Monitoring of MIS Name of format/report Reporting format available in adequate quantity Distributed to all health workers Received reports from the field staff in given time frame Timely submission of report to the district Weekly Report Birth Registration Death Registration Marriage registration Eligible couple registration Form 6 64
  • 65.
    Indian Institute ofHealth Management Research, Jaipur Strengthening District Health System in Madhya Pradesh through Management Interventions 3. Training of the Staff (for each worker) Name of Training Training provided by No of workers Trained RCH AIDS Pulse polio Immunization Case detection MIS Record Keeping Programme Planning Community Participation Target setting 4. Monitoring of disease surveillance Disease No of cases identified Treatment Initiated Referred to Malaria Tuberculosis Leprosy RTI/STD Polio Blindness Water born diseases Acute respiratory Infection Jaundice 5. Monitoring of work performed during the month Programme Target for the month Achievement against target Percentage achievement ANC cases registered > 16 weeks ANC No of Births in the month BCG DPT + polio 1 DPT + Polio 2 DPT + polio 3 Measles 65
  • 66.
    Indian Institute ofHealth Management Research, Jaipur Strengthening District Health System in Madhya Pradesh through Management Interventions Complete Immunization DT 5 years DT 10 years DT 16 years IUD Oral Pills Condom LTT TT VT Malaria Tuberculosis Leprosy Blindness ARI Water Born Disease Polio AFP MONITORING AND SUPERVISION PLAN AT DISTRICT LEVEL 1. Monthly meeting at District Level First Monday of the Month: BMO and Programme Officer meeting at CMHO office Last working day of the Month: Supervisors meeting (male/female) 2. Monthly meeting at Block Level Bankhedi : First Wednesday of the week in every month Pipariya : First Wednesday of the week in every month Sohagpur : First Thursday of the week in every month Babai : First Thursday of the week in every month Sukhtawa : First Friday of the week in every month Seoni Malwa : First Friday of the week in every month Dolariya : First Friday of the week in every month 3. Monthly Sector Medical Officer meeting at Block Bankhedi : 15th day of every month Pipariya : 15th day of every month Sohagpur : 15th day of every month Babai : 15th day of every month Sukhtawa : 14th day of every month Seoni Malwa : 14th day of every month Dolariya : 14th day of every month 66
  • 67.
    Indian Institute ofHealth Management Research, Jaipur Strengthening District Health System in Madhya Pradesh through Management Interventions 4. Weekly Sector Level Meeting Every Monday : Supervisors meeting at block Every Saturday : Health workers meeting at sector head quarter 5. Record Keeping Weekly report : Health workers submitted the weekly report in given format during sector level meeting to the supervisors. If some of them have not submitted, report the same to the sector MO and BMO Monthly report : 1. health workers submitted complied weekly report in form 6 to the supervisor by 25th day of the month. 2. Supervisor compiled all the health workers report into form 6 and submitted sector report to the BMO. 3. At BMO level all the sector level report compiled into form 7 and submitted to the CMHO office. 4. At CMHO level all the block level report compiled into form 8 and submitted to the Director health. Note: It must be noted that the accuracy of the report needs to be verified at the SC level so that false reporting is avoided. 67
  • 68.
    Indian Institute ofHealth Management Research, Jaipur Strengthening District Health System in Madhya Pradesh through Management Interventions CHAPTER -5 LOGISTICS MANAGEMENT: IMPROVING MANAGEMENT OF DRUG STORES 5.1. BACKGROUND Logistics and supply management plays a vital role in effective functioning health care delivery system. It is the crucial function of the district health system to ensure availability and adequacy of drugs and other supplies at all levels. The mechanism involves procurement, transportation, distribution through the supply chain from state to district, from district to blocks and from blocks to PHCs and sub centres), and storage at different levels, and finally distribution at the consumer level. Unfortunately, the logistics and supply management is not considered as an important managerial function in the health system, and as a consequence the procurement and supply has adversely affected access and availability of health services. There are several factors viz., existence of push system, non existence of appropriate demand based indenting, inadequate storage facility, lack of attention for appropriate storage and maintenance of drug stores, maintenance of proper records etc. are responsible for weak management of logistics and other supplies at various levels. Within the health system high costs and frequent shortages of scarce resources such as drugs, vaccines, contraceptives and various type of equipment remains a chronic problem and unless these can be mobilised and used effectively, it is difficult to improve the delivery of health services. For that in the last one and a half decade, lot of funds have been invested through various agencies to provide the required inputs in the form of physical infrastructure, equipment, drugs and other supplies, manpower and its development with training session. Thus, the logistics management has now become the primary need of health care delivery system as it acts as the basic pillar for any services delivery. Therefore, more concerted efforts are required in this sphere of activities. The health system particularly will have to respond to the need of logistics management because of shorter product cycle especially medicines, large client share of poor section, and high cost incurred in logistics management and less use of computing technology. In the large organisation such as health system complexities of co-ordination are very large. In some how, the expiry drugs as well as large amount of unused drugs played a crucial role on the financial aspects of the health system. Logistics management is thus, a multifaceted activity addressing issues related to the entire supply chain and is no longer concerned only with stocking and distribution of supplies. The logistics management in the health sector involves a sequence of inter dependent activities from source of supplies to its users. These activities are mainly classified into two groups, the first one has been focused on the selection as well as quantification of the drugs and equipment (indenting), where as the second part was 68
  • 69.
    Indian Institute ofHealth Management Research, Jaipur Strengthening District Health System in Madhya Pradesh through Management Interventions concentrated on the storage, procurement as well as supply of the drugs to the peripheral organisation / institution. Group I Activities • Selecting the commodities to be used as per the criteria or drugs policy. • Forecasting the quantities to be procured. • Supplying the commodities from the source. • Receiving and verifying the commodities. Group II Activities • Inventory control, including processing orders from lower levels. • Storing at central warehouse. • Transporting supplies. • Storing at lower programme level. • Monitoring the quality of each item of supplies on regular basis. • Distributing services to patients. • Recording, reporting and analysing consumption and supply status. Under the Strengthening District Health Systems project, a series of problems associated with the logistics and supply management system in Hoshangabad district were identified. Addressing all the issues related to logistics management is certainly a time consuming process because of severe resistance of the health functionaries to adopt a change in the existing system. Therefore, keeping the project period in mind and without diluting the project objectives, the project focussed its attention on improving the drug store management, which is crux to entire logistics management system, at various levels. Accordingly, a series of interventions were designed and the implementation of the same was carried out in the field. The present report describes the whole process of drug store management interventions carried out under this project, their success, lessons learnt and their sustainability. Section 5.2 is a brief description on the objectives of the present intervention. The problems associated with the logistics and supply management system in the district, as identified through different approaches, are presented in Section 5.3. Proposed interventions for improving management of drug stores in the district are described in Section 5.4. Section 5.5 gives a detailed outline of the performance outputs of the project, which is measured through quantitative survey and rapid assessment. Section 5.6 describes the lessons learnt and sustainability of the activities initiated under this project. The concluding remarks are presented at the end of the chapter. 5.2. OBJECTIVES The project aimed at fulfilling following objectives under this intervention: 69
  • 70.
    Indian Institute ofHealth Management Research, Jaipur Strengthening District Health System in Madhya Pradesh through Management Interventions • To identify the critical problems associated with present Logistics and supply management with special emphasis on the problems of drug stores at various levels in the district • To identify appropriate solutions to overcome the problems associated with the drug store management at various levels • To orient the staff on various aspects of logistics management in general and management of drug stores in particular • To implement the proposed solutions related to problems associated with supply, inventory, procurement and disbursement • To identify the problems and constraints during the process of implementation • To describe lessons learnt during implementation and feasibility of drug store management 5.3. DIAGNOSTIC STUDY – PROBLEMS AND ISSUES In order to understand the existing logistics management system in the district and problems associated with it, a diagnostic study on logistics management was carried out at the initial phase of the project. This study was intended to identify critical areas of logistics management, which adversely affect the smooth functioning of the programmes, such as, lack of co-ordination, wrong prediction of required supplies, inventory related issues and others. More specifically the objectives of the diagnostic study were as follows: • To assess the major functions related to drug/contraceptive/vaccine supply system. • To assess the existing drugs supply systems in terms of resources, strengths and weaknesses. • To suggest action plan based on the findings of the evaluation. The key problems identified through diagnostic study are as follows: • The list of essential drugs was found only in a few health care institutions, whatever the level may be. • The future orders are placed on the basis of past experience of health functionaries. No preliminary assessment is made on how much drugs and other supplies are to be procured from respective higher levels. • Non-availability of needed medicines to the patients at Primary Health Centres. It may be mainly due to inadequate budget for medicines or inappropriate planning. • The indenting system is not effective, as most of the time it is the push 3 system and not the pull system, which is operational. 3 Push system can be defined as a system when supply is pushed at the lower level without demand and pull system is the system when supply is procured at lower level based on specific needs. 70
  • 71.
    Indian Institute ofHealth Management Research, Jaipur Strengthening District Health System in Madhya Pradesh through Management Interventions • There is no need-based supply procedure in the District and all the PHCs receive supply on the uniform distribution basis without realising that there are different needs at different PHCs. • There is lack of storage space and grassroots level workers have never received training on logistic management. • Drugs are supplied to the PHCs and sub centres level, which are available in the stock irrespective of the demand. • Some important drugs are purchased / procured with very near expiry date and state authorities as well as in the district store find it very difficult to distribute them within expiry time. • The proper information system does not exist and there is significant mismatch between what the clients receive and what is recorded as distributed by the service provider. • There are multiple channels of supplying the drugs, contraceptives, vaccines and equipment in the district and it had to go through a long steps. • Normally, plenty of supply of all FP devices is received every quarter from state and pushed to the sub centre level. • Supply of vaccines, controlled by the state, normally matches the real requirement but wastage was reported to be very high • The reality that all sub-centres are not equally performing is not taken into account in kit preparation. • The estimates on requirement are made based on mainly experience and not on actual records of past consumption. There are occasional drug/ medicine shortage/ excess situations as no scientific inventory control technique is applied and concept of reorder level, buffer stock, etc. is not effectively implemented due to lack of necessary technical skill among the storekeepers. • There is no decentralisation of financial power with respect to decision-making on maintenance and repair. • Lack of appropriate training of the staff dealing with logistics and other supplies at various levels. Due to the inefficiency in management the store keepers as well as the health workers were not serious about the logistic part within the system. 5.4. INTERVENTIONS As mentioned at the beginning of the report, the project focussed its attention on management of drug stores rather than whole logistics management system in the district. Accordingly the interventions were designed and implemented in the field. Following interventions were planned and designed for implementation in the field: • Improving the skills of the drug store keepers at various levels for better logistics management and establishing appropriate procedure for procurement and 71
  • 72.
    Indian Institute ofHealth Management Research, Jaipur Strengthening District Health System in Madhya Pradesh through Management Interventions distribution of drugs and other logistics. This was mostly done through the capacity building training programs for the drug store keepers at the block and district levels. • Renovation of drug stores at district, block and sub center level for proper storage and maintenance of drugs and other materials. • Provision of the Stock registers and its proper maintenance in the sub center / PHCs / block level. • Designing appropriate mechanism for continuing monitoring of the activities related to drug store management within the system Each of these interventions and their process are described below: INTERVENTION 1: IMPROVING THE SKILLS OF THE DRUG STORE KEEPERS AT VARIOUS LEVELS (a) District level Workshops Training Workshop for DHT and BHT Imparting appropriate training on logistics management and their importance was the first step followed to make the planned interventions more effective. Two district level workshops were organized at the initial stage of this intervention. The first training program was organized for the District Health Team and Block Health Team Members. The training was focused on three important aspects i.e., MIS, Logistics Management and Human Resources Development. The details of the training program are given in Annexure 5.1. Training Workshop for Store Keepers A two-day workshop on logistics management was organized at the District Training Center located in Chief Medical and Health Officer’s (CMHO) office premises. District and block health officials responsible for drug store management participated in the workshop. The workshop aimed at: • Developing the capacity of drug store keepers for appropriate management of their respective drug stores • Developing the capacity of the storekeepers to manage the drugs and articles as per the cost and need of the organization. • Providing necessary managerial guidelines for better management of their drug stores • Explaining the approaches to find out the local solutions to the problems related to their respective drug stores The workshop provided a unique opportunity for understanding the problems associated with logistics management and the local solutions to those problems. The arrangement of drugs as per FIFO and VED classification and their importance was explained to the participants. Besides this, need based calculation, indenting, procurement, storage and importance of maintaining cleanliness of drug stores and disbursement in proper time was 72
  • 73.
    Indian Institute ofHealth Management Research, Jaipur Strengthening District Health System in Madhya Pradesh through Management Interventions explained in brief. The training program was highly appreciated by the participants. As per the assessment of the participants, the workshop helped understand problems associated with their drug stores and almost all the participants promised to arrange their stores accordingly. They were also apprised of the proposed interventions and their role in its effective implementation through their participation (Annexure - 5.2). Follow up workshop cum training For assessing the impact of the training at the field level a follow up workshop was organized by the project team after one month with the following objectives: • To follow up the work carried by the drug store keepers after the first phase of training • To understand the problems associated with the implementation of ideas that was imparted during the training (first phase) and find out appropriate solutions in a participatory manner • To develop an appropriate mechanism of indention and distribution at block and district levels. • To establish an appropriate indenting procedure at the district level. The detail of the discussions held during this follow up workshop is given in Annexure 5.3. (b) Block Level Workshops All the seven block level drug stores and drug stores at 35 selected sub centers in the district were covered under the intervention. Though the block level drug store keepers were trained at district level on drug store management, the objective of the project team was to spread the training inputs down to the sub center level. Moreover, the training program conducted for the block level storekeepers did not result in expected out comes. Therefore, similar training programs were conducted at block level to bring better motivation among the drug store keepers for managing their stores. Furthermore, as the aim of the project team was to bring improvement in the drug stores of the primary health centers and selected sub centers, training of the health worker and supervisors responsible for the sub centers was a prime requisite. Accordingly, the block level training programs were organized in respective blocks after a detailed discussion with the Block Health Team members. The drug store keepers, health workers and supervisors of respective blocks attended the workshop cum training program. The workshops aimed at the following: • Building the capacity of health workers to maintain the store in their respective sub centers • To find out the problems and constraints in managing the store at block and sub center level • To train the health workers on appropriate method of procurement and distribution 73
  • 74.
    Indian Institute ofHealth Management Research, Jaipur Strengthening District Health System in Madhya Pradesh through Management Interventions • To train the health workers regarding the importance of appropriate storage and cleanliness of the drug stores • To establish an inventory in logistic management. In total 153 participants attended the workshops organized at different block headquarters. As the workshops were conducted in a participatory way, the following problems related to logistics / drug store management emerged as the key factors responsible for improper management of stores at block and sub center levels: • Push system of drugs at sub center level. • Indention and supply of drugs on the basis of past experience rather than need based assessment • Untrained staff in logistic management • Problems in transportation • Poor, untimely and haphazard indenting system in the district, block and sub center • Lack of monitoring by the higher officials at all the levels • Wastage of medicines and other consumables due to poor logistics management • Lack of adequate space and furniture for the storage of medicine • Lack of stationary for maintaining stock register • Non availability of drugs as per indention • Lack of manpower for distribution of the drugs in the block level. The participants of the workshop were explained various aspect of logistics management (i.e., indention, procurement, supply, storage etc.). Though the workshop was intended for imparting training on logistics management, the problems, which emerged during the workshop, formed the basis for further interventions on this important aspect of health care delivery system in the district. INTERVENTION 2: RENOVATION OF DRUG STORES (a) Renovation at Block Level Although the training was imparted to the staff at all the levels, putting the training inputs into practice was a challenging task for the project team. As changing the old system of logistics management was an impossible task for the project team, the major concentration was on the aspects which were doable during the project period. One important aspect that was taken up during the intervention phase was to renovate the drug stores at the block level. Needless to say, that the renovation activity had monetary implications as almost all the block level stores were in miserable shape. Arrangement of money for this purpose was discussed in block health team meetings and dialogue regarding the same was initiated with the health functionaries at the block level, block 74
  • 75.
    Indian Institute ofHealth Management Research, Jaipur Strengthening District Health System in Madhya Pradesh through Management Interventions Panchayat members and block administration with the project team. However, the renovation activities were carried out in the presence of the project team helped by health functionaries at the block level. Renovation activities included: • White washing and minor repairs • Cleanliness of drug store • Purchase of necessary furniture • Shifting of drug store to appropriate location • Painting of racks • Arrangement of drugs as per ABC / VED classification • Maintenance of stock register • Availability of the list of essential drugs and display Almost all the drug stores at the block level were renovated with the help of funds from Rogi Kalyan Sammittee at respective block PHCs/CHCs Table 5.1. Table 5.1: Status and source of finance for drug store renovation at block level Block Source of financing Current Status Babai Resources from RKS and help from Block level health functionaries Partially renovated Bankhedi Resources from RKS and help from Block level health functionaries Complete Dolariya Resources from RKS and help from Block level health functionaries Complete Pipariya Resources from RKS and help from Block level health functionaries Complete Sohagpur Not implemented Not renovated Sukhtawa Resources from RKS and help from Block level health functionaries Complete Seoni Malwa Not implemented Not renovated It is quite encouraging to note that the state has prepared its drug policy with the assistance from DANIDA M.P. and the policy is in the process of consideration by the government health officials for implementation. The document contains a list of essential drugs for the drug stores at different levels. The list of essential drugs was collected from the document prepared by DANIDA and distributed to the respective block stores by the project staff (Annexure – 5.6). After consultation with block health team members, appropriate date for indenting and distributing the drugs to peripheral health care institutions was decided and a copy of the same was made available to all drug store keepers at block level. 75
  • 76.
    Indian Institute ofHealth Management Research, Jaipur Strengthening District Health System in Madhya Pradesh through Management Interventions (b) Renovation at District Level After imparting training on proper drug store management, no substantial progress could be observed in the management of district drug store. This was mostly due to: (a) lack of interest of the storekeeper at the district level (b) lack of resources to carry out the renovation activity. Though attempts were made to make the funds available from the budget allocated to CMHO and from RKS of District Hospital Hoshangabad to carry out this activity, all the attempts turned to be futile. Even after cleaning and arranging the drug store twice, it was quite frustrating to note that due to lack of interest of the district health officials the stores returned to its original position. Though this issue was discussed in district health team meetings, an estimate of carrying out the renovation was submitted just two months before the completion of the project. Since the project period was ending, it was decided by the implementing agency that the drug store at the district level would be renovated from the project funds. Accordingly, the project spent around Rs.5000/- to renovate the district drug store. The renovation was carried out in the presence of project staff and they took the responsibility of all the activities related to drug store renovation. (c) Renovation at Sub Center Level The renovation of drug stores was carried along with sub center renovation. The activities were funded by gram Panchayat members, public residing nearer to sub centers, NGOs and partly by the project. The drug stores were properly arranged after imparting on the job training to the health workers. It was interesting to note that all the activities related to logistics management (i.e., cleaning, arranging the drugs as per Last In Last Out (LILO) / First In First Out (FIFO) mechanism was carried out by the health workers and supervisors themselves. Apart from the other responsibilities assigned to Sub Health Center Team (SHCT), it was also required to take care of appropriate management of logistics at sub center level. INTERVENTION 3: PROVISION OF STOCK REGISTERS AT ALL LEVELS Maintenance of proper records on the stock of various medicines, consumables and other logistics, and their distribution to peripheral institutions is an important aspect of logistics management. This record helps in maintaining buffer stocks so that the drugs could be indented before the stock gets over. Before project, none of the health care institutions could understand the importance of buffer stock and maintaining the records accordingly. In some of the blocks and sub centers this problem was due to non-availability / inadequate supply of registers. During the project period, in addition to providing necessary training, registers were also supplied to block PHCs and selected sub centers for maintaining proper record on logistics. Four types of registers were provided to the selected sub centers and block stores. List of essential drugs were distributed to the selected sub centers in five blocks. The essential drug list was shared with the storekeepers of the blocks to bring uniformity in the indenting procedure. In consultation with the BMOs and block level storekeepers specific dates were fixed for indention and procurement of drugs by the sub centers. A similar exercise was carried out at the district level during the follow up training of the 76
  • 77.
    Indian Institute ofHealth Management Research, Jaipur Strengthening District Health System in Madhya Pradesh through Management Interventions storekeepers where a decision regarding the date of receiving the indent and supply of logistics was decided collectively by the district and block storekeepers. INTERVENTION 4: DESIGNING MECHANISM FOR APPROPRIATE MONITORING From our experience from district level drug store management, it was felt that a task force consisting various personnel related to logistics management be constituted in order to streamline the present system. The task force was named as Logistics Task Force (LTF) and the order of the formation of the same was issued by the Chief Medical and Health Officer (CMHO) of the district. The LTF was made responsible for visiting the block level drug stores and bringing necessary changes in the present logistics management system and keeping the activities initiated by the project sustainable. A meeting of the logistics task force was held during the month of December 2003 where the members of the task force were explained about their roles and responsibilities (Annexure 5.5). As the project was coming to an end, the project team could not monitor the activities of the task force. However, it is hoped that a well functioning LTF would certainly help bringing changes in the system. The TOR of logistics task force is given in Annexure – 5.4. Though similar type of task forces was not constituted at block level, it was expected that the Block Health Team members would take the responsibility for the same. In relevance to this, a checklist was developed for the monitoring of the activities related to logistic management. The checklist prepared under this project facilitates the health supervisors and others to know about the requirement and maintenance related to logistic management. 5.5. OUTCOMES Table 5.2: Outcome at Glance Indicators Number No of workshop organized in district level 2 No of workshop organized in block level 7 No of workshop organized in sector level 45 No of drug stores renovated 6 No of drug stores organized properly at sub center level 30 No of health workers trained in logistic management 153 No of store keepers trained in logistic management 7 No of sub center where essential drug list were available 30 No of blocks where essential drug list were distributed and available 5 No of blocks having an indenting and procurement system in a fixed day 4 No of sub center issued with stock registers form project 35 No of sub center maintaining the stock registers on regular basis 35 No of sub center where monitoring was done on regular basis by the supervisor 35 77
  • 78.
    Indian Institute ofHealth Management Research, Jaipur Strengthening District Health System in Madhya Pradesh through Management Interventions Feedback from Drug Store Keepers As discussed earlier, a follow up workshop of all the block level storekeepers were held at district headquarters in order to assess progress of the work related to drug store management. Table 5.3 gives the feedbacks of the participants on the status of their drug store. 78
  • 79.
    Indian Institute ofHealth Management Research, Jaipur Strengthening District Health System in Madhya Pradesh through Management Interventions Table 5.3: Status of Drug Stores as per the Feedback received during follow up Workshop Tasks Blocks Babai Sohagpur Pipariya Dolariya Seoni Malwa Itarsi District Drug stores regularly cleaned Yes Yes Yes Yes Yes Yes Yes List of Available Medicines Yes Yes Yes Yes No Yes Yes List of expiry date medicines NA No Yes NA NA NA Yes Provision of buffer stock Yes No No Yes No Yes Yes Days fixed to procure the medicines from district Yes No No Yes No NA No List of SHC medicines prepared Yes No Yes Yes No NA NA Days for supply of medicines to the SHC are fixed Yes No No Yes No NA No Stock Register prepared Yes No Yes Yes Yes Yes Yes Entries in Stock register maintain properly Yes No Yes Yes Yes Yes Yes Indenting register available Yes No Yes Yes Yes Yes Yes Medicines from district available as per the requirement Yes No Yes Yes Yes NA NA Medicines from district available on time Yes Yes Yes Yes No NA NA BMO inspect the store regularly Yes Yes Yes Yes Yes Yes NA Storekeeper from Bankhedi was not present in the training and at Sukhtawa Storekeeper has resigned hence, the post is vacant 79
  • 80.
    Indian Institute ofHealth Management Research, Jaipur Strengthening District Health System in Madhya Pradesh through Management Interventions In the same workshop decision regarding the procurement and indention of the medicines and other consumables from the district to block level was decided in the presence of all the drug store keepers of the district. The following table gives the details of the dates decided for the supply of medicines from district to block. The decision regarding the supply of medicines from block level to down was decided at respective block health team meetings and in most of the blocks it was decided that the block level meeting day will be the appropriate day for collecting the drugs from the block level (Table 5.4). Table 5.4: Roster of Supply from District to Block Block Date in the first week Date in the last week Babai 3 day of the month 20th day of the month Sohagpur 5th day of the month 21st day of the month Pipariya 2nd day of the month 22nd day of the month Bankhedi 6th day of the month 23rd day of the month Dolariya 4th day of the month 24th day of the month Seoni Malwa 1st day of the month 25th day of the month Sukhtawa 7th day of the month 26th day of the month Note: The medicines can be provided to the block with the supply of vaccines Two blocks can be covered in a same day 5.6. POST INTERVENTION ASSESSMENT In order to assess the impact of the activities related to this intervention, a rapid assessment survey was conducted during January 2004. Among the sample respondents were all the storekeepers of 7 blocks and health care providers (especially the health workers) from 10 selected sub centers. Salient Findings (a) Training sessions and their impact As could be observed from Table 5.5, 98.1 per cent of the respondents received training on logistics management under this intervention. Proper arrangement of drugs As per the responses obtained, before the initiation of the project, only 48.1 per cent of the respondents were following FIFO / LILO mechanism for arranging their drugs. It is quite interesting to note that after the intervention and appropriate training 88.9 per cent of the respondents have started doing so in their respective stores. This could be attributed to the impact of the trainings imparted to health functionaries at various levels. Maintenance of buffer stock Before the intervention, none of the health functionaries had any idea about the concept of buffer stock in logistics management. This concept was explained to the health functionaries in detail during the training programs conducted at various levels. As the net outcome, at present, nearly 65 per cent of the respondents are maintaining buffer stocks at their respective stores. 81
  • 81.
    Indian Institute ofHealth Management Research, Jaipur Strengthening District Health System in Madhya Pradesh through Management Interventions (b) Improvement in maintaining the stock registers Verification of stock registers In the similar fashion, there is substantial improvement in maintenance of stock registers at various levels. It is also interesting to note that 96.3 per cent of the respondents responded that their stock registers are checked regularly after the SDHS project intervention. Before the implementation of the project activities, there was no adequate and appropriate place available for keeping the logistics at sub center and block level. The renovation activities facilitated them to find appropriate storage space at their respective facilities (74.1 per cent of the respondents accepted this). (c) Precautions at the time of procurement As already mentioned, from supply side there is a push system, which is existent in the district. As a result, the drugs, which are near to expiry, are usually pushed to peripheral institutions for use. The interventions from SDHS project show substantial impact on this aspect and at present the health functionaries take sufficient precaution at the time of procurement of drugs. In addition to above-mentioned improvements, there have been substantial changes in indenting and procurement mechanism, as the list of essential drugs are presently available and the date of indention is set by the project team in consultation with block and district level officials. Table 5.5: Major findings of rapid assessment Tasks and Activities Percent Received training on logistics and supply management 98.1 Usefulness of the training for skill improvement 100 Availability of stock register (after intervention) 100 Stock registers properly filled (after intervention) 100 Tally of consumption with the stock register and form 6 after intervention 98.1 Knowledge on LILO and FIFO system before intervention 48.1 Arrangement of drugs as per LILO and FIFO method after intervention 88.9 Maintenance of buffer stock after intervention 64.8 Checking of stock registers by respective higher authorities after intervention 96.3 Availability of space for logistics after renovation and training 74.1 Availability of expiry drugs after renovation and training. 24.1 Knowledge on indention, procurement and disbursement system after intervention 48.1 Availability of overstock or under stock after intervention 24.1 Regular indenting of drugs (as per requirement) after intervention 98.1 Availability of list of essential drug list after intervention 90.7 Decision on indenting the logistics as per need 68.5 82
  • 82.
    Indian Institute ofHealth Management Research, Jaipur Strengthening District Health System in Madhya Pradesh through Management Interventions 5.7. LESSONS LEARNT Quite a few lessons have been learnt from the above intervention, which needs to be taken care of if present logistics management in the district needs to be strengthened: • The prime requisite before starting any intervention activity is training and orientation. It should be clearly explained to the medical officers, drug store keepers and health officials involved in the activity that the aim of the intervention is to bring changes in the logistics and supply systems, their active participation is crucial. Most importantly, involvement of lower level health functionaries will certainly make the intervention more effective • Vertical and horizontal integration of the supply chain and logistics management is necessary. The system needs to be introduced in the entire district and all levels, i.e. district to the sub center level. The intervention activities may be implemented in a phased manner starting from higher level to lower level with proper plan and time schedule. • Training in management of stores is very important for developing requisite competence and skills at all levels. Lack of trained manpower on logistics management was a major problem during the phase of implementation. • It is important to identify essential drugs and medicines at the PHC and sub center levels. A list of critical medicines must be identified for which the stocks should always be maintained at these levels. List of such medicines in the OPD and indoor departments enables the doctors to prescribe these medicines rationally. • Display of list of available medicines in the increases awareness of people and empowers them with the information to demand these medicines and supplies. • The health department rather than any external agency should do monitoring of the implementation activities regularly in order to overcome the problem of system resistance. The medical officers, storekeepers and health functionaries should own monitoring responsibility. • The changes and improvements should be shared with each concerned person in the district and block 5.7.1. SUSTAINABILITY In order to keep the activities initiated by the project sustainable the following measures are desirable: • Training of drug store keepers at regular intervals on logistics and supply management would keep the activities initiated by the project sustainable • Monitoring and surprise check of the drug stores by supervisors at SHC level, BMOs at the block level and the Logistics task force at block and district level will keep the activities initiated by the project sustainable. 83
  • 83.
    Indian Institute ofHealth Management Research, Jaipur Strengthening District Health System in Madhya Pradesh through Management Interventions • Appointment of trained store keepers, which is mostly a policy issue, would help effective management of drug stores at different levels • The introduction of pull system, rather than currently existent push system would help the sustainability of the activities • The establishment of Block Health Teams, District Health Team and Logistics Task Force was the attempt to establish the desired processes at various levels for appropriate logistics management. The functioning of these teams is vital for bringing changes in the system and keeping the activities sustainable • It is a fact that the prescription behavior of the physicians plays an important role in minimizing the wastage of drugs and other consumables. In order to avoid the wastage of drugs the prescription behavior of the physicians need to be regulated by higher authorities. • In order to manage the complicated cases needing the medicines, which are not available at the hospital level, a drug revolving fund could be created and the medicines could be kept at the hospital drug store itself. These drugs could be purchased by the patients on a no profit no loss basis. Needless to add that the interest and motivation of health officials at the district and state level play a vital role for maintaining sustainability of initiated activities. 5.8. CONCLUSION Within the limited period, the SDHS project team put serious effects to bring changes in the old drug store management system in the district. It was certainly a challenging task before the project team. The interventions were mostly implemented towards bringing changes in present drug store management in the district. The interventions such as training the health functionaries on various store management; developing and implementing appropriate method of indention, procurement and distribution were implemented at the district, block and sub center level. The project team also attempted to renovate the existing drug stores at various levels. Though it could not be claimed that the efforts were translated to 100 per cent achievement, the team was able to achieve positive results from most of the interventions, especially a positive mindset and attitude. The establishment of Logistics Task Force at the district level is one of the significant achievements under the project. However, for sustainability of the initiated activities it is necessary that the higher-level health officials take interest on this important managerial aspect and act appropriately. 84
  • 84.
    Indian Institute ofHealth Management Research, Jaipur Strengthening District Health System in Madhya Pradesh through Management Interventions ANNEXURE– 5.1 PROCEEDING OF THE MANAGEMENT TRAINING PROGRAM FOR DHT AND BHT VENUE: IPP6, HOSHANGABAD DATE: 12-15TH MAY 2002 As a part of the intervention under SDHS Project a four days training programme of the Block Health Team (BHT) and district Health Team (DHT) members of the district was conducted at IPP6 meeting hall during 12-15th 2003. The major objective of this training programme was to train the members of the teams on Role and Role Efficacy, Managerial Styles, Team Building, Inter Personal Communication, Logistics Management and Community Participation in health care. As the training load was around 40 the training was conducted in two batches the details of which is given below: FIRST BATCH: DATE 12-13 MAY 2003. Name of the participants Designation 1. Dr. N. K. Bais CMHO, Hoshangabad 2. Dr. Gouri Sexana DHO, Hoshangabad 3. Dr. Nagar Civil Surgeon, DH, Hoshangabad 4. Dr. Akhtar DTO, Hoshangabad 5. Mr. Satish Patel MCH-Store in Charge 6. Mr. Rajesh Ahirwal ASO, Hoshangabad 7. Mr. A. K. Goutam Store Keeper, CMHO office 8. Mr. L. P. Yadav Accountant, CMHO Office 9. Dr. M. S. Power BMO, Dollariya 10. Mrs. Sashi Batham BEE, Dollariya 11. Mr. Mahesh Senior MPS, Dollariya 12. Mr. Rajesh Rajput Computor, Dollariya 13. Mr. Masiha Store Keeper, Dollariya 14. Mrs. Meena Rajput LHV – Sukhtawa 15. Mr. Vijay Nakul Store Keeper, Sukhtawa 16. Mr. Mahesh Panthi BEE, Sukhtawa 17. Mr. Hargovind Singh Sukhtawa SECOND BATCH: DATE: 14-15TH MAY 2003 Name of the participants Designation 1. Dr. G. C. Soni BMO, Sohagpur 2. Dr. M.K. Chandel BMO, Bankhedi 3. Dr. A.K. Verma BMO, Pipariya 4. Dr. Mrs. Babita BMO, Sukhtawa 5. Mr. K. S. Chawhan MPS, Pipariya 6. Mr. P. Gaur Computer, Bankhedi 7. Mr. P. N. Verma MPS, Bankhedi 85
  • 85.
    Indian Institute ofHealth Management Research, Jaipur Strengthening District Health System in Madhya Pradesh through Management Interventions 8. Mrs. Usha Rajput BEE / LHV, Bankhedi 9. Mr. S. R. Gaur NMA, Babai 10. Mr. Tiwari BEE, Babai 11. Mr. Sunil Malviya Accountant, Babai 12. Mr. Sani Storekeeper, Babai 13. Mr. S. S. Patel Accountant, Sohagpur 14. Mr. P. N. Yadav Storekeeper, Sohagpur 15. Mr. G. C. Malvi MPS, Babai 16. Mr. B. K. Gupta Incharge computer, Pipariya 17. Mr. Sultan Khan Storekeeper, Pipariya 18. Mr. R. P. Badku I/C BEE, Seoni Malwa 19. Mr. R. K. Durvey Accountant, Pipariya Dr. K. L. Sahu, Director, DSU inaugurated the training session on 12th May 2003. This was followed by a brief introduction about the project by Dr. Bias, CMHO and Dr. T. P. Sharma, Advisor of the project. The first and second session on role and Role efficacy and Managerial styles was taken by Dr. V. N. Srivastava assisted by Dr. Sudhir Kumar. This was a quite long lecturer where Dr. Srivastava gave the theoretical concepts on the above aspects. Every session was followed by a summary of the session by Dr. Sudhir Kumar. The sessions on second day i.e., 13th May 2003 started with a brief recap of the previous day’s session by Dr. Sudhir Kumar. The sessions on Inter personal communication, logistics management was exclusively taken by Dr. Sudhir Kumar with a short addition by Dr. T. P. Sharma on how the concepts explained could be applied in practical field situations. The last session of the first batch i.e., on community participation in health care was taken by Dr. T. P. Sharma, Advisor of the Project. The sessions on third and fourth day were taken in the similar fashion but with a little deviation from the previous two days sessions. The major difference of last two days session was that the concepts which were explained to the participants by Dr. V. N. Srivastava was linked to the health sector which was lacking during the first two days training given by Prof. Srivastava. The feedback of the participants of the two batches was taken in a format developed by IIHMR Bhopal. An analysis of the feedback of the participants on the training sessions would help improving the other training programs that are proposed to be conducted in the future months. Though in total 36 participants attended the training program we could obtain the feedback from 35 participants, as one of the participant was absent on the last day. ANALYSIS OF THE FEEDBACK FROM THE RESPONDENTS: The objective of the training program was clear to each participant and as was expressed by the participants, 97.1 (34) per cent of them found the program to be relevant. In the similar fashion 91.4 (32) per cent of the participants found the programme to be useful for them. Since the programme was designed for BHT and DHT members of the district, 86
  • 86.
    Indian Institute ofHealth Management Research, Jaipur Strengthening District Health System in Madhya Pradesh through Management Interventions almost all (except one) expressed that the training programme was extremely helpful for the BHT and DHT members to improve the district health system. (Appendix Tables 5.1.1, 5.1.2 and 5.1.3). Appendix Table 5.1.1 gives the details of the usefulness of individual sessions as obtained from the feedback form of the participants. As multiple responses were obtained on this aspect, the total will not add up to 35. As could be seen from the table the session on role efficacy was highly appreciated by majority of the participants (24 responses) followed by teamwork and session on logistics management. There is a clear indication that the BHT and DHT members who were the selective participants for the training program and considered to have adequate knowledge on the topics taught to them were not responsive on team building and logistics management. This may be due to their high expectation from the trainers on logistics management and team building. Appendix Table 5.1.1: Things, which were highly useful for the participants in the training Subject Number Role and role efficacy 6 Team work 11 Team Building 8 Role efficacy 24 Logistics Management 10 All of them 6 No Response 1 Total 66 Appendix Table 5.1.2 shows the responses on the sessions that were found to be least useful for the participants. It is interesting to note that most of the respondents have declined to respond to this question, thus implying that the majority of the participants were satisfied with the training program. However, only one person was not satisfied with any of the sessions and two there were two responses who found logistics management to be least useful in the training. Appendix Table 5.1.2: Things, which were least useful for the participants in the training Topic Number of responses No Response 31 Team work 1 Logistics Management 3 All 1 Total 36 87
  • 87.
    Indian Institute ofHealth Management Research, Jaipur Strengthening District Health System in Madhya Pradesh through Management Interventions Appendix Table 5.1.3 gives various suggestions of the participants regarding the improvement of the training programme. As the training was initially planned for 4 days for each batch and subsequently due to administrative problems it was imparted in two days for each batch it is obvious that there was lack of time for the trainers to cover all the topics within two days. Therefore the there are many responses on increasing the duration of training. Since multiple responses were obtained in this regard, out of total number of responses (46) 17 responses were on giving more time for this type of training. This response was followed by the language of training (i.e., except the doctors almost all of them were of the opinion that the training should be imparted in Hindi) where they have expressed their lack of understanding of the English language. This was quite evident during the training programme as the trainers had to translate their tools from English to Hindi while administering them. Even the evaluation forms were orally translated in Hindi after administering them. Out of 46 responses, 11 responses were obtained in this regard. It is surprising to note that a chunk of the respondents were of the opinion that the training should be imparted to all the persons working in the health department. This shows a high level of concern of those participants about the others and they feel that if this type of training could be imparted to all the health functionaries then there would certainly be a change in the system. The next suggestion of the participants was to change the venue of training from Hoshangabad to either Jaipur or Bhopal. This was mostly due to the disturbances during the training. Moreover, as expressed by some of the participants, the training should be imparted in a calm and quite environment instead of IPP6 hall where there are always disturbances by the outsiders as CMHO office is attached to it. Six responses were obtained in this regard. Appendix Table 5.1.3: Suggestions for improving the management training Programme Suggestions on improvement Number of responses More time 17 Posters and mass media 1 Training for all employees 10 Imparting the whole training in Hindi 11 Change of venue of training 6 No response 1 Total 46 Appendix Table 5.1.4 gives the details of the areas where the management trainings are needed. As multiple responses were obtained in this regard, the total number of responses will not add up to number of participants (35). As per the suggestions recorded 12 responses were regarding the RCH programme followed by training on MIS and community participation. 88
  • 88.
    Indian Institute ofHealth Management Research, Jaipur Strengthening District Health System in Madhya Pradesh through Management Interventions Appendix Table 5.1.4: Additional areas where the training is needed Suggested areas of training Number of responses No Response 8 Record keeping 2 MIS 11 RCH 12 Community participation 5 Leadership 1 Total 39 89
  • 89.
    Indian Institute ofHealth Management Research, Jaipur Strengthening District Health System in Madhya Pradesh through Management Interventions ANNEXURE 5.2 PROCEEDING OF THE MANAGEMENT TRAINING PROGRAM FOR STORE KEEPERS VENUE: IPP6, HOSHANGABAD, DATE: 9TH JUNE 2003 A training program for all block and district level drug store keepers was organized on 9th June 2003 at IPP6, Hoshangabad. The major objective of the training program was to impart necessary training to drug store keepers on appropriate logistics and supply management and improve their knowledge on this aspect so that after going back to their respective work places some change in the logistics management is brought about. The training session was conducted by Dr. Hari Singh, Advisor, Danida who has a very good back ground regarding the logistic and supply management. The training session for the logistic management was mainly contained the problem identification from the participants, drug listing, ABC and VED analysis, Buffer Stock, indenting and procurement. The major purpose of the training programme was to train the storekeepers on the management of the drugs and store in their respective working place. The list of participants is given below: List of the participants: S.NO. Name of Participant Designation Block 1 Mr. Atul Gour Store keeper CHC Bankhedi 2 Mr. K.S. Rathore Store keeper CH Itarsi 3 Mr. Bhaije Patel MCH Store keeper CHC Bankhedi 4 Mr. R.K.Vyas Compounder DH Hoshangabad 5 Mr. B.K.Gupta MCH Store keeper CHC Pipariya 6 Mr. Sultan khan Store keeper CHC Pipariya 7 Mr. Satish Patel MCH Store keeper DH Hoshangabad 8 Mr.s. C.Rajan MCH Store keeper CHC Babai 9 Mr. R.N.Mishra Store in charge CHC Babai 10 Mr. A.Gautam Store keeper DH Hoshangabad 11 Mr. P.N. Yadav Store Keeper CHC Sohagpur 12 Mr. M. Tandekar Store keeper BPHC Dolariya Resource Persons: 13 Dr. Hari Singh Advisor Danida Bhopal 14 Dr. T.P.Sharma Advisor IIHMR. Bhopal 15 Dr. Akhtar DTO (Training) DTO Hoshangabad 16 Dr. Gouri Saxsena DHO (Training) DHO Hoshangabad Project Staff: 17 Mrs.Rohini Jinsewale Research Officer Hoshangabad 18 Mr. Hemant Mishra Research Officer Hoshangabad 19 Mr. G.C.Jain SAO, IIHMR Bhopal 20 Mr. N. Raghuwanshi Field Officer Pipariya 21 Mr. Ganesh Rajput Field Officer Dolariya, Seoni Malwa 90
  • 90.
    Indian Institute ofHealth Management Research, Jaipur Strengthening District Health System in Madhya Pradesh through Management Interventions 22 Mr. Harish Batra Field Officer Sukhtawa 23 Mr. Virendra singh Rajput Field Officer Pipariya 24 Mr. Mohd. Ahte Sham Field Officer Bankhedi The training session was inaugurated by Dr. T.P.Sharma, honorary advisor, IIHMR on 9th July 2003. The training session started with a brief introduction on District Health system project running in the Hoshangabad district. The training session was divided into two parts: 1. The First part mainly contained the problems of the store keeper in maintaining their store and the ABC classification of the drugs, 2. Second session was mainly dedicated to the VED analysis of the drugs, indenting of the drugs, record keeping and Buffer stock. In the starting of the lecturer was given by Dr. Hari Singh regarding the importance of drug store in any health system. He shared that to run the hospital and to provide better health services proper drug store management plays a vital role. Therefore, the management of the drug store is an essential component, which is necessary for a smooth delivery of health services. In this context, Dr. Hari Singh explained methods, which would help the store managers to distribute and control the drugs to benefit the patients. The training session was held in a participatory manner. The participants were asked about the present system of flow of drugs from the top to grass root level. He gave some vital suggestions in this regard. After the discussion, he shared the ABC classification of analysis for the drugs. The usefulness of ABC classification was explained in detail with examples and the method of classifying the drugs by using this method were explained to the participants. The second session was devoted for VED classification of drugs. He requested the participants to classify the medicines found in their store as per the ABC and VED classification. He also explained how these medicines should flow from one level to the other. For this he suggested two mechanisms, FIFO and LILO. Te store managers were requested to organize their drugs as per the first in first out and last in last out methods. By this the store managers has to keep less number of records of the drugs as each and every day the drugs are to be distributed to the lower level. Besides this, he also requested to keep eye on the expiry of the medicines. As per his instruction all the recent expiry medicines should be used as soon as possible before the expiry date. By this, the stock amount in the block level will be less and the managers are able to manage the store more efficiently. For this he suggested to prepare the buffer stock for each drugs. The main objective of this was to make the indenting of the block in right time during the last time when medicines are going to be end. According to him by doing so in the required time when the blocks are using the buffer stock, the district will send the necessary drugs immediately. In the last session more emphasis was given on indenting, Procurement and disbursement of the drugs for the better management in the store. With this, he also requested to make the stock register up to date for getting a clear idea on the status of their stores. 91
  • 91.
    Indian Institute ofHealth Management Research, Jaipur Strengthening District Health System in Madhya Pradesh through Management Interventions In addition to this honorary advisor took a session and he requested the store managers to maintain the logistic system in the five sub health center chosen for development from each block. The main purpose of this training was to share the knowledge regarding the store and logistic management among the store managers of all the blocks and district. The feedback of the participants was collected in a format developed by IIHMR Hoshangabad. An analysis of those feedback collected from the participant on the training session would help to improve the other training programs that are proposed to be conducted in the coming future. Feedback from the participants Appendix Table No: 5.2.1: views regarding the training program Responses Frequency Percent Highly useful 8 72.7 Useful 2 18.2 Moderate 1 9.1 Total 11 100.0 Table No: 5.2.2: Things that were highly useful for the participants in the training Responses Frequency Percent All are very useful 9 81.8 ABC and VED analysis 2 18.2 Total 11 100.0 Table No: 3: Things that were less useful for the participants in the training Responses Frequency Percent Not having any power with the store keeper 1 9.1 All are useful 10 90.9 Total 11 100.0 Table No: 5: Suggestions regarding better store management from the participant. Responses Frequency Percent Proper infrastructure 7 63.6 Implementation of modern store management 1 9.1 Monitoring by the medical authority from time to time. 1 9.1 Assistant for the store manager. 2 18.2 Total 11 100.0 92
  • 92.
    Indian Institute ofHealth Management Research, Jaipur Strengthening District Health System in Madhya Pradesh through Management Interventions ANNEXURE - 5.3 FOLLOW-UP TRAINING OF COMPOUNDER/STORE KEEPER On 16th October 2003 a follow-up meeting of store keeper was organized to get the feed back of previous training and the status of the stores Issues discussed in the meeting Present Drug supply System in the district 1. The District storekeeper informed that he maintain the two month stock with him to distribute the blocks. 2. The block storekeeper informed that they do not received the medicines as per their indent. Hence, they get only those medicines, which are available at district store. 3. There are no any fixed dates to procure the medicines from store. 4. Vehicles are not available to transport the medicines. 5. There is under stock of required medicines (like antibiotic tetracycline, tab. paracetamol, ORS packets, chlorine tab. etc., and over stock of least required medicines or articles (like OP, Condom, surgical globes, IV fluids etc.). Solutions suggested by the Storekeepers 1. There must be a day fixed for every block so accordingly the storekeeper can procure the medicines. 2. Vehicle for transportation could be made available by the CMHO. 3. Stock of all the medicines must be available at district store whenever required. 4. The storekeeper suggested the medicines must be distributed in the first week of the month or last week of the month. If storekeeper received the medicines in the first week of the month, so they can distribute the medicines to the SHC and PHC in second week. In addition, if they received the medicines in the last week of the month so they can distribute the medicines to SHC and PHC in first week of the month. 5. The storekeeper suggested that they must have one-month back-up stock with them for meeting the emergency requirements. They do not depended upon the district for every time. 93
  • 93.
    Indian Institute ofHealth Management Research, Jaipur Strengthening District Health System in Madhya Pradesh through Management Interventions ANNEXURE - 5.4 LOGISTICS TASK FORCE Task: Constitution of a Logistics Task Force (LTF) at the district level Objective: To improve the drug store management at all the levels of the district and keep the sustainability of the activities initiated by the SDHS project team Composition: 1. CMHO Chairperson 2. District Store Officer Secretary 3. DHO Member 3. DTO Member 4. District drug store keeper Member 5. Project Coordinator Member Functions: 1. Visiting the block level drug stores at regular intervals on a monthly basis. 2. Assessing the status of drug stores in the district through the discussion with the respective block medical officers, sector medical officers and other health functionaries. 3. Developing appropriate procedure for inventory management 4. Preparing a status report of the same and taking corrective measures after the assessment Indicator: 1. Number of institutions having appropriate drug store management Output: Processes for appropriate logistics management at the district and block level established. 94
  • 94.
    Indian Institute ofHealth Management Research, Jaipur Strengthening District Health System in Madhya Pradesh through Management Interventions ANNEXURE - 5.5 PROCEEDINGS OF THE MEETING WITH LOGISTICS TASK FORCE VENUE: DTC HOSHANGABAD, DATE- 16TH DECEMBER 2003 For implementing the different activities related to SDHS project and keeping the activities initiated by the project sustainable a meeting of Logistics Task Force (LTF) was held under the chairmanship of Chief Medical and Health Officer of the district. Following health functionaries of the district participated in the meeting: Name Designation Dr. N.K. Bais DIO, Hoshangabad Dr. Gouri Saxsena DHO, Hoshangabad Dr. Bamhonia DTO, Hoshangabad Dr. Akhtar Ex-DTO, Hoshangabad Dr. Vinay Dubey DMO, Hoshangabad Mr. Rajesh Ahirwar ASO, Hoshangabad Dr. T. P. Sharma Advisor, IIHMR Mrs. R. Jinsiwale RO, IIHMR Mr. Hemant Mishra RO, IIHMR Mr. G. C. Jain SAO, IIHMR In the beginning of the workshop cum meeting, honorable Advisor of IIHMR, Dr, T.P. Sharma informed the participants that the project is coming to its end on 31st December 2003. He also requested the participants that after 31st December the district health team and different task forces constituted at district level should monitor the activities initiated by the project. In this context, the importance of LTF and its functions was explained to the participants. In addition it was also explained how a well functioning task force would help bringing changes in present MIS and Logistics management in the district as well as block level. It was explained in the meeting that various task forces constituted by the efforts from the project team is intended to work in a team approach for bringing improvements in the present health system. It was decided in the meeting that the LTF would visit and inspect all the drug stores at the block level and suggest corrective measures to improve the same. The responsibility of monitoring the drug stores at sub center level will be delegated to respective Block Health Teams (BHTs). The LTF will meet on a fixed date of the month in order to review the status of drug stores at block and district level so that necessary steps could be initiated in this regard. The meeting ended with vote of thanks by the project team. 95
  • 95.
    Indian Institute ofHealth Management Research, Jaipur Strengthening District Health System in Madhya Pradesh through Management Interventions ANNEXURE - 5.6 LIST OF ESSENTIAL DRUGS FOR SHC 1. Analgesics, Antipyretics Paracetamol : Tab. 500mg, Syp. 125 mg/ 5ml 2. Antiallergic Chloropheniramine maleate Tab. 4mg Pheniramine maleate Inj.22.75 mg / ml 3. Anti-Infective Drugs (a) Intestinal Anthelmintics Mebendazole Tab. 100 mg (b) Antibacterials Sulfamethoxazole + Trimethoprim (As per RCH) Tab.100 mg + 20 mg (c) Anti-Protozoal Drugs Chloroquine phosphate Tab. 250 mg (d) Scabicidies And Pediculocides Benzyl benzoate emulsion 25% 4. Disnfectants And Antiseptics Povidone iodine Ointment 5% Spirit Cetrimide (3%)+ Chlorhexiidine (1.5%) Gention violet Solution 1% 5. Drugs Affecting Blood Iron Folic Acid As per RCH 6. Gastro Intestinal Drugs (a) Antacid Magnesium trisilicate + Tab. (500mg + 250 mg) Aluminum hydroxide (b) Drugs Used In Diarrhoea Oral Rehydraion Solution (WHO) As per Reproductive Child Health 7. Contraceptives Ethinyl oestradiol + levonorgestrel As per RCH 8. Oxytocics And Antioxytocics Methyl ergometrine maleate Tab. 0.125 mg. Inj. 0.2 mg/ml 9. Solution Water for injection Injection 10. Vitamins And Minerals Vitamin B1, B6, B12 Tab.10mg+3mg+15mcg Vitamin -A Syp. 50000 IU/ml & 1.5 lac IU/ml 11. Ent And Eye Drugs Gentamicin Ear/Eye drops (0.3 % w/v) Source: Drug policy, Prepared by DSU, Bhopal 96
  • 96.
    Indian Institute ofHealth Management Research, Jaipur Strengthening District Health System in Madhya Pradesh through Management Interventions CHAPTER 6 IMPROVING MANAGEMENT OF HEALTH INFORMATION SYSTEM (HIS) 6.1. BACKGROUND A strong and sound information system is a prime requisite for effective management of the health care for planning, implementation and monitoring of health programmes and services. Health information provides a sound basis for policy and decision-making, and evolving new strategies. Unfortunately, management of health information is not given desired importance and it one most ineffective system in health care systems. In the past, several efforts have been made to strengthen and even develop new information system in several projects without much headway. Most HIS projects developed a new system and attempted to replace the existing systems. While new systems are introduced, the old continued. HIS is an integral part of the management system, no organization wide interventions were undertaken to support HIS. As a result, the efforts could not succeed. Under the project strengthening district health system in Hoshangabad, the effort was to make the existing system effective and functional rather than replacing the system with new one. The issues in the other key management areas such as logistics management, human resource management, were addressed along with management of health information system for effective delivery of primary health care. The problems associated with these areas are so deep rooted that any attempt to bring the existing system to the track results in severe resistance from the health functionaries starting from bottom to top. The present document reports the results of the HIS interventions, which was carried out in Hoshangabad district, Madhya Pradesh, under this project. The basic concept was to strengthen the existing system to make it effectively functioning. The succeeding section gives a brief outline on the objectives of intervention. The scenario of HIS in Hoshangabad district is given in Section 6.3. The identification of problems associated with HIS in the district and the methods of problem identification followed under this project is given in Section 6.4. Section 6.5 gives a brief note on the intervention approaches and describes the whole implementation process. The outcomes/achievements under this intervention are given in section 6.6. The results of the rapid assessment survey are presented in Section 6.7. Section 6.8 gives the limitations of the present intervention, lessons learnt and the sustainability of the interventions initiated under the project. The concluding remarks are given at the end of the report. 6.2. OBJECTIVES As mentioned above, HIS is one of the key management areas in the health sector. Prior to describing the present HIS in the district, it must be mentioned that the present project aimed at identifying the problems related to present HIS in the district, finding out their solutions in a participatory approach and implementing those solutions in the field to 97
  • 97.
    Indian Institute ofHealth Management Research, Jaipur Strengthening District Health System in Madhya Pradesh through Management Interventions facilitate data collection and recording, flow of information and use of information in performance assessment and planning of health services. Following were the specific objectives of the present intervention: • To review and assess existing information system in the district • To identify key managerial problems and issues in the existing information system • To develop and implement key management processes (including diseases surveillance) in the information system to facilitate data recording and reporting, flow of information, data analysis, assess performance and feedback • To develop and test feasibility of Computerized HMIS in the district 6.3. HIS IN THE DISTRICT The district health systems typically have four levels i.e. sub center, PHC, Block PHC/CHC and district headquarters. The information system has four main functions at various levels, namely, data generation and recording, compilation and analysis, flow of information, utilization and feedback system. 6.3.1. Data Generation and Recording Mechanism The data is generated mainly at the level of sub centers and primary health centers. The health workers at these levels maintain the service delivery data and the basic socio- demographic information of their area. Following registers are maintained at the sub centers: (a) Four registration registers - Marriage registration register - ANC Registration register - Birth Registration register - Death Registration register (b) ANC service delivery registers (c) Immunization Register (d) Target Couple Register (e) Family Planning Register (f) Family survey Register (g) OPD Register (h) Daily Diary (i) Stock Register 6.3.2. Reporting Mechanism 98
  • 98.
    Indian Institute ofHealth Management Research, Jaipur Strengthening District Health System in Madhya Pradesh through Management Interventions Health workers report their weekly progress in weekly reporting formats. At the end of the month the workers compile their weekly reported figures in Form – 6, which is the official data reporting format on monthly progress. In addition, the workers also prepare the following reports (the formats for which change time to time as per the requirement of agencies supporting the programs): (a) Complete Immunization report (b) AFP Report (c) Pulse Polio Report (d) Epidemic Report (e) FP Report etc. 6.3.3. Data Flow Mechanism On the 16th day of each month, the workers submit their sub-health center monthly report to their respective supervisors in Form-6. It is thus imperative that the report consists of the performance from mid of last month to mid of present month. The supervisions, after receiving the report of all the sub centers under their control, compile them in form 7 and submit to Block Extension Educator / Computer of BMO’s office between 20-25th day of the month. The Block extension educator or computer compiles all the sector level reports, prepare the report for the block in form-8, and send it to the district before 5th day of the next month. The Assistant Statistical Officer (ASO) at the district level after receiving the forms from block level, compile them in form-9 and sends it to the state by 10th each month. Exhibit 6.1 demonstrates the data flow mechanism in the district. 6.3.4 Feedback Mechanism The feedback was given generally in the staff meetings at various levels, which were organized periodically on the fixed dates in each month. These meetings included: Sector Level Weekly/Fortnightly Meetings: As per the instruction of the health department of the district, the health supervisors of respective sectors need to call a sector level meeting (usually organized at the sector headquarters on an weekly basis, preferably Saturday) in order to review the progress of the work during the week, sort out the field level problems faced by the health workers and finding out the solutions in a participatory manner. The weekly work progress by the health workers are reported in the weekly reporting format, which is prepared by the health workers themselves. Block Level Monthly Meeting: The monthly meeting of all the health workers and supervisors are conducted at the respective block levels on a fixed day (during the last week) of the month. The block medical officer heads the meeting assisted by sector medical officers, Block Extension Educator and the Computer who are posted at the block level. This meeting is usually used as a platform for monitoring the activities undertaken in each sector and making future strategies for implementation of the health activities. District Level Monthly Meetings: Each month meetings of District Programme Officers, 99
  • 99.
    Indian Institute ofHealth Management Research, Jaipur Strengthening District Health System in Madhya Pradesh through Management Interventions BMO, Medical Officers, BEE and Assistant Statistical Officers are organized to review the information submitted by the BMOs and feedback is given on the performance. During the meeting, measures to improve the performance are also discussed. Exhibit 1: Flow of data from Sub center to higher level State Health and Family Welfare Department District Chief Medical and Health Officer Block Medical Officer Blocks submit report on the 25th day of every District Submits report to the state during first week of month Sector Supervisor (1) Sector Supervisor (2) Sector Supervisor (3) SC (1) SC (2) SC (3) SC (1) SC (2) SC (3) SC (1) SC (2) SC (3) Sectors submit report on 20th day of every month SHCs submit report on 16th day of every month 100
  • 100.
    Indian Institute ofHealth Management Research, Jaipur Strengthening District Health System in Madhya Pradesh through Management Interventions 6.4. DIAGNOSTIC STUDY – PROBLEMS AND ISSUES The existing health information system has been described in the preceding section. It gives an impression that the existing HIS in the district is adequate and appropriate. However, the system is not effectively functional. These are several problems. The desired data and information is not available at various levels; there are problems with the flow of information; competence of health functionaries; compilation and analysis; dissemination and feedback. The major problem with the system is the deep-rooted practices of the health functionaries that has made the existing system practically non operational. In order to identify problems and issues in efficient functioning of the information system, a diagnostic study for identifying the problems related to management of health information system was carried out at the beginning of the project. In addition, the project also followed participatory approach (i.e., participation in the meetings at sector, section and block level) to identify the problems and find out local solutions to the existing problems. The following key problems were identified to be associated with the management of HIS in the district: • Lack of understanding of the health functionaries and supervisors about the purpose and use of the data collected by them. They did not realize the importance of the information planning monitoring and decision making. They were also not aware of the health policy goals at the national and the state level. • There was no district planning process and no district and block health plans were available. CNAA was not undertaken, as they did not know the process. • Lack of clarity of the performance and outcome indicators. The understanding these indicators was highly restricted. Further, these indicators were not shared with them. • Lack competency and skills among the health functionaries and supervisors in information system at large, especially compilation and analysis of information. • Inadequacy or short supply of printed reporting formats (Form 6) and registers which results in non- uniformity in data reporting. No sufficient stationery was available at the sub center, sector and block levels. • Incompleteness of registers and records was another major problem. The registers and records were not regularly maintained for various reasons. • Lack of understanding of reporting formats, especially Form 6, which was essential for CNAA and district planning process. As a result, there was non/ under reporting of important information required for the planning purposes and disease surveillance. • Health supervisors did not properly check inaccuracies of reported data as the records. • No timely submission of reports to the higher next higher levels. 101
  • 101.
    Indian Institute ofHealth Management Research, Jaipur Strengthening District Health System in Madhya Pradesh through Management Interventions • No proper compilation and analysis of information at all levels. • Lack of feed back mechanism from higher to lower level: The main concentration at each level has been compilation rather than analysis of the reported information and providing appropriate feedback at different levels. • Excess of written work due to multiplicity of reporting formats, which often creates over lapping of information and less time to the worker to concentrate on her/his work 6.5. INTERVENTIONS Based on the problems and issues identified, following interventions were planned for implementation: • Supply of critical inputs especially various forms and registers. • Capacity building of health functionaries on management of HIS through training programs and workshops • Preparation of district health plan and training • Establishing mechanism for initiation of feedback system in the district. • Development of computerized HMIS in the district INTERVENTION 1: SUPPLY OF CRITICAL INPUTS (a) Supply of CNAA Forms Although the forms are available at district level, they are not supplied to each block in required quantity. As a result, there was uneven distribution of forms to sub centers and sectors. For some blocks, the forms are available in large quantity whereas for some of the blocks the forms were inadequate. It was also found that the district health authorities do not take any interest in this regard. Therefore, the project team took the responsibility of distributing the forms at the sub center level. Wherever it was found that the printed forms are not available at the SHC and PHC level, the project staff made necessary arrangements to supply these forms and registers. Form 6, which is an essential input for CNAA was supplied to all sub centers. (b) Supply of Registers for Record Keeping The recording of basic data happens at the field level. The basic data is then compiled and translated into weekly reporting formats. The basic problem in this regard was, the supply of registers was quite inadequate. The health workers were using four registration registers a quite long time. Due to inadequacy of the number of pages in those registers, the workers had to purchase ordinary registers from the market and use them as registers. This practice poses financial burden on the workers which results in the negligence of the workers to record the necessary data. Furthermore, as the printed registers were not made available to them, the reporting of basic data was not maintained in a uniform format in the entire district. Because of lack of uniformity in data recording, the workers often face the problem of availability of some important information required by the higher authorities and the health workers make false reporting. 102
  • 102.
    Indian Institute ofHealth Management Research, Jaipur Strengthening District Health System in Madhya Pradesh through Management Interventions In addition to inadequate supply of four basic registration registers, other service delivery registers were also not supplied to the health workers. In order to reduce the monetary burden of purchasing the registers, the workers used to maintain a single register for recording four to five types of services. In order to solve these problems the project team supplied 10 registers each to 35 selected sub centers. Prior to the distribution of registers the project staff made an assessment of the extent of these problems and developed the recording indicators for the following registers: 1. Indicators for Four Registration register 2. ANC service delivery register 3. Immunization register 4. OPD register 5. Stock register 6. Eligible couple register 7. Disease surveillance register 8. Family Survey Register This was done on an experimental basis to see whether the supply of registers help in accuracy and uniformity in recording and reporting. Requisite training was imparted to all health functionaries on the columns and the contents of each column. The training programs were conducted in respective block headquarters. (c) Development and supply of village wise information format The service delivery information at the village level forms the basic information required to prepare Form – 6. It was noted that majority (nearly 80 per cent) of the workers do not maintain consolidated village wise information still compiled form 6 is submitted by them to their respective supervisors. Another point, which was observed during monitoring, was that most of the health workers did not cover all the villages allotted to them because of long distance from their respective headquarters but the information of those villages appeared in their services delivery register. In order to rectify this problem, the project team attempted to develop a village wise information format on a single page that will contain all the information printed on Form 6. Such information could be directly transferred to Form 6. INTERVENTION 2: CAPACITY BUILDING OF HEALTH FUNCTIONARIES Supply and distribution of Form 6 would not ensure accurate recording and reporting of data, as most of the health workers in the district did not understand Form 6 appropriately. As Form 6 is the basis of all data reporting system, a clear understanding of the definitions of the indicators given in the form was a prime requisite for ensuring accurate data recording and reporting. The project team put substantial effort to train all the health workers of the district on this important data-reporting format. The training programs were conducted in a participatory way at the block level. The details of the training imparted in this regard are given in Annexure – 6.1. 103
  • 103.
    Indian Institute ofHealth Management Research, Jaipur Strengthening District Health System in Madhya Pradesh through Management Interventions (a) Training of District Programme Officers and Block Medical Officers A five days training program for BMOs and Program officers of the district was organized at IIHMR during 2001. The programme covered introduction to the project, various interventions to be implemented and collaborative work. Among the various topics covered in this program, the importance was given to Management of Human Resources, Management of Health Information System, Preparation of District health Plan. (b) Training of Block and Sector level Staff At the initial phase of the intervention it was found that lack of understanding of the higher level health functionaries (supervisors, BEEs, Computers and Sector medical officers and ASO) on the importance of Form 6, 7, 8 and 9 is the major factor responsible for poor data reporting and recording. Accordingly, a training program of these health functionaries was organized at Bhopal. Reputed MIS specialists from the state level conducted this training program. During the training program, the participants were explained about the definitions of each column in Form – 6. It was expected that the training program would help in giving appropriate feedback (from higher to lower) and ultimately help in improving the management of health information system at all the levels. To reinforce, another workshop cum training program of the health functionaries dealing with HIS at district, block and selected supervisors was organized at the district level during July 2003 in order orient them the importance of HIS in policy making purposes and making them to realize that the figures supplied at various level are not for the sake of reporting, rather these information could be used for planning and better management of health services at various levels. The Reputed HIS specialist and Advisor of DANIDA, Bhopal, conducted the training program. In this training program a detailed discussion on Form –6, 7 and 8 was made and the definition of the indicators explained to participants. In addition to formal training, regular interaction and review was undertaken in the monthly meetings at the sector and block levels. INTERVENTION 3: PREPARATION OF DISTRICT HEALTH PLAN Using information for performance assessment and levels of achievement, and developing strategies based on the information available and finally developing a district plan was a major intervention. The district health plan is an archive of policy decisions and modus operandi for the functions of the district health services vis-a-vis the health programs that are to be followed in the year ahead. It would contain the strategies to be followed, the areas of concern, as well as the strategies to improve the delivery of health services in the district. Like any other plan the district health plan states the areas where the health programs and the health service delivery have to be strengthened. Thus, the plan document contained clearly bench marked targets that were expected to be achieved by the district by the end of the year. Before project period, the targets for the health department were set by the district level authorities, which were just passed on to the block and lower level health functionaries 104
  • 104.
    Indian Institute ofHealth Management Research, Jaipur Strengthening District Health System in Madhya Pradesh through Management Interventions for achieving them. The sub center level health functionaries were not involved at any stage of plan formulation. As a result, the health workers of the district had a feeling that they are given certain targets by the health department, which they have to achieve during a stipulated time. The concept of decentralized planning was reinforced in the district by the project team in the year 2001-02. Subsequently the health workers were trained on how to prepare their own plan and set the targets for themselves. This process has brought a sea of change in the district HIS. As the workers themselves set the sub center level targets, the degree of false reporting have been reduced to large extent (Details on decentralized planning is given in Chapter -4). INTERVENTION 4: MONITORING AND ON THE JOB TRAINING TO HEALTH FUNCTIONARIES Preparation of district health plan and setting the targets in a decentralized way was only the initial step towards strengthening of the district health system. In order to assess the extent to which the planned activities are implemented, the project team did a close monitoring of the activities of the health functionaries at different levels in close collaboration with the district and block health teams. This was mostly done through their participation in sector, block and district level meetings. In order to ensure the correct reporting of the day-to-day activities by health workers, the sector level meetings were used as the platform. During each meeting the health workers were explained the strategies to be followed to achieve the targets. Not only the information was monitored, the workers were also explained about appropriate method of recording and reporting of their achieved figures during these meetings. The project team also imparted necessary on the job training to the health workers during their field visits. During sector and block level meetings Form-6 and the basic registers were checked thoroughly by the project team and necessary corrections made, wherever it was necessary. This approach helped the health workers to understand the importance of correct reporting. As could be seen from Annexure 6.2 that the degree of false reporting has been reduced over the project period. INTERVENTION 5: ESTABLISHING MONITORING AND FEEDBACK MECHANISM As mentioned at the beginning of the report there was no proper feedback system in the district starting from supervisor at sector level to assistant statistical officer at the district level. The higher-level health functionaries compile and sent the data to their respective superiors in hierarchy. Therefore, data compilation plays a dominant role over analysis of data and feedback mechanism. This system, though have far-reaching negative consequences, have never been given any importance at sector, block and the district level. Constitution of Task Force: Attempts to solve this problem were partially initiated through orientation workshops and training programs which were conducted at different levels by the project staff and external consultants. With a hope to have a permanent solution to this problem, a district level Management Information System (MIS) Task Force was constituted with the official order from CMHO. The terms of reference and the responsibilities of MIS Task Force is given in Annexure 6.4. The major aim behind constitution of this Task Force was to develop appropriate feedback mechanism and 105
  • 105.
    Indian Institute ofHealth Management Research, Jaipur Strengthening District Health System in Madhya Pradesh through Management Interventions streamline the reporting mechanism in the district. This process was initiated a few months before the completion of the project. Therefore, the effect of this intervention could not be realized during the project period. Constitution of District Health Teams: The District Health Team (DHT) was constituted by the Order from Chief Medical and Health Officer (CMHO) order during March 2003. The Chief Medical and Health Officer heads the team and other district health officials i.e., DHO, DIO, Civil Surgeon, Asst. Statistical Officer, Accounts Officer, District Training Officer, District Store Officer, District Store Keeper, one member from the NGO and a Private Practitioner constitutes the whole team. The DHT sits once in a month in order to review the performance and discuss various issues related to health sector and tries to identify problems related to key management areas in the district and solve them in the meeting through participatory approach. Block Health Teams: The Block Health Team (BHT) was constituted by the Order from Chief Medical and Health Officers (CMHO) order during March 2003. The Block Medical Officer heads the team and other block level health officials i.e., Block Extension Educator (BEE), Computer, Accountant, Drug store keeper and a senior level supervisor constitute the BHT. The BHT sits once in a month in order to review progress on selected indicators and discuss various issues related to health sector and tries to identify problems related to key management areas in the block and solve them in the meeting through participatory approach. INTERVENTION 6: DEVELOPMENT AND IMPLEMENTATION OF COMPUTERIZED HIS In order to strengthen the current HIS in the district and reduce computational burden of manual reporting system, attempts were made to develop and implement computerized HIS software in the district. As there are several agencies working in the area of computerized HIS, a state level workshop of all the agencies preparing HIS software was organized by the order of Principal Secretary Health. The software prepared by all the agencies were demonstrated in the workshop and it was decided that the software prepared by the IIHMR project team suits to the need of the state health authorities, as the software is user friendly and deals with the strengthening the existing information system. It was decided in the workshop that the software prepared by the project team would be implemented in one block of the district on an experimental basis. After its successful field-testing, a decision regarding introducing the software in the entire district could be made. About the software package A team of specialists developed the software package. The software has following features: • For making the software operational, the user has to enter login name and password. This feature prevents other people assessing the data • After entering the user name and password, the user can operate the software by clicking on various options. In order to get the desired output the entry of basic data is necessary. For data entry the software has the following steps are to be followed: (a) Enter the name of the district for which the data is to be fed. 106
  • 106.
    Indian Institute ofHealth Management Research, Jaipur Strengthening District Health System in Madhya Pradesh through Management Interventions (b) After entering the name of the district the software asks for basic information pertaining to the district such as; area, number of CHC, number of PHC, number of sub centers, number of MCH centers and other health facility related information. In addition, some basic statistics like number of Tahsils, revenue villages, blocks etc. (c) Select the name of the block for which the data is to be entered. The command prompt asks detailed information about the block and that needs to be entered. (d) From the menu, select the name of the block and CHC for which one wants to enter the data. The command prompt automatically asks for the information on the infrastructure related to the health facility. (e) In the similar fashion the software asks for the information for PHC, sub center, village etc. which can easily be entered into the computer through command prompt. (f) The software is having the options for entering the information in Hindi as well as English as required by the user. (g) After entering the general information about the district, block, PHC, sub center and village one can select them and enter the information related to various health services such as immunization, ANC registration, PNC care etc. At each step of data entry the software asks for the detailed information. As the above basic information was necessary to make the software operational, a household survey was conducted in one section of the block for collecting this information. A structured questionnaire consisting of various questions relating to required information for the software was administered in the field for this purpose. After the successful completion of the survey the basic information was entered in the computer by using the software and the field-testing was completed successfully. The prepared software is able to generate the following reports: • Monthly reports (Form, 6,7,8,9) for SHC, PHC, District • SHC level on line information about the services provided • Client wise information at the household level • Information about outbreaks of disease • Indicator wise information (i.e. Immunization, ANC. PNC etc.) • Information on the available health infrastructure etc. The HIS software was installed in one block (Bankhedi) of the district. The necessary hard wares (one PIII computer along with UPS and Printer) were supplied by the project for making the software operational. The responsibility of handling the computer and monitoring the activities related to computerized HIS was delegated to a medical officer posted at Bankhedi CHC. The medical officer was sent to Jaipur for a five days training on basic operations of computer and the installed software. After successful field testing the computer as well as the software was handed over to the block level health authorities officially. 107
  • 107.
    Indian Institute ofHealth Management Research, Jaipur Strengthening District Health System in Madhya Pradesh through Management Interventions 6.6. OUTCOMES Table 6.1: Outcome of the Intervention at a glance Process indicators Number Number of training programs for health supervisors, BEEs, Computers and sector medical officers (at Bhopal, Jaipur and Hoshangabad) 4 Number of Form 6 supplied and distributed 2000 Number of Trg. Programs on Form 6 for health worker and supervisors at Block level (7 blocks for two years) 14 Number of Trg. Programs for health worker and supervisors at Sector level (36 sectors for two years) 72 Number training programs on Form 1 at Block level (7 blocks for 2 years) 14 Number training programs on Form 1 at sector level (36 sectors for two years) 72 Number of block health plans prepared and approved (2 years) 14 Supply of registers 350 Number of registers supplied at the district level 20 Number of registers (stock and TA/DA register) supplied at the block level 21 Training on filling the registers (at block level) 7 Number of village wise information format printed and distributed 12000 Number of MIS task force 1 Number of meetings with MIS task force 1 Number of trainings on disease surveillance (at district level) 1 Number of training programs on computerized HIS 4 6.6.1. Analysis of achievements through secondary data An analysis of the impact of the present intervention is given in Annexure – 6.2, 6.3 and 6.4. The assessments given in annexure have been made based on available secondary information collected from the field, block and district levels. In addition, a rapid assessment survey was carried out at the end of the project in order to assess the situation of MIS after the interventions. 6.7. POST INTERVENTION ASSESSMENT A rapid assessment of MIS interventions in Hoshangabad District was carried out to assess the performance of the interventions. A total of 70 sub centers out of existing 153, scattered around 7 blocks of the district were selected. . Though it was decided that 70 sub centers would be covered during the survey, due to unavoidable circumstances (i.e., Pulse polio program during the survey period), only 57 could be covered. The respondents were mostly the health workers (male/female) working in different sub centers of the blocks. 108
  • 108.
    Indian Institute ofHealth Management Research, Jaipur Strengthening District Health System in Madhya Pradesh through Management Interventions 6.7.1. Salient findings (a) Trainings received before the project Most of the respondents (77 per cent) had the experience of working in health department for 10-20 years. Almost all of them received training either at District / State training center or through the training programs organized by the donor agency at state level. Nearly 76 per cent of the respondents received training in district training center followed by 12.3 per cent each who received their training either by some donor agency or state training center (Table 6.2). Table 6.2: Number of respondents received training (by source) before the Project Organizing Agency No of Respondents Percentage Donor agency 7 12.3 District Training Center 43 75.4 State Training Center 7 12.3 Total 57 100 (b) Pattern of reporting prior to the project As informed by the respondents, they have to prepare various types of reports for submission to higher authorities. It must be noted that only 43.9 per cent of respondents used to prepare diseases surveillance report (Table 6.3). The workers used to spend 1 day to 7 days for the preparation of these reports. It was expressed by the respondents that before this project they were preparing the reports for just fulfilling their responsibility. The reported figures before the inception of the project were over / under estimates of the actual figures. Table 6.3: Reports prepared by the health workers Reports Number of respondents Percent ANC report 57 100 Immunization report 57 100 Family Planning report 57 100 Monthly report (Form-6) 57 100 Weekly report 57 100 Disease Surveillance 25 43.9 Swasthya Sammmittee report 30 52.6 Malaria report 57 100 School health report 57 100 Rajiv Gandhi Mission report 32 56.1 Four Registration report 57 100 Tuberculosis report 57 100 Polio Surveillance report (AFP) 57 100 Leprosy report 57 100 Other national programmes 57 100 109
  • 109.
    Indian Institute ofHealth Management Research, Jaipur Strengthening District Health System in Madhya Pradesh through Management Interventions (c) Trainings after the initiation of the project and impact Improvement in quality of data reporting All most all the respondents received the intensive on the job and classroom training under Strengthening District Health System Project. When asked about the impact of the training, almost all the respondents were of the opinion that all the training programs conducted under SDHS project, were highly useful for them as the training was imparted at periodic intervals and covered topics, which are of their day-to-day use. All the respondents were of the opinion that they are able to understand the importance of reporting indicators during the training programs and following the same for their day-to- day reporting. Moreover the habit of accuracy checking before its submission is a significant achievement under this project. This could be observed from Table 6.4. Though a comparison between Table 6.3 and 6.4 do not give us any impressive figure on quantitative improvement in data reporting, there is certainly a qualitative change in the reporting system. Table 6.4: Accuracy checking of data before submission of report (multiple responses) Indicators Responses ANC Registration 57 (100.0) No. of deliveries against the registration 51 (89.5) Birth & Death 45 (78.9) Three ANC check-up as per registration 52 (91.2) Three PNC check-up as per deliveries 49 (86.0) Immunization 57 (100.0) All Indicators in form-6 20 (35.1) Figures within parenthesis shows the percentage values Improvements in other aspects When asked about the kind of improvement after the initiation of the project, multiple responses were recorded from the respondents (Table 6.5). The most important among them is “accuracy in preparation of report” regarding which 57 responses were obtained, followed by analysis and cross checking of the reported figures (54 responses), regular and timely reporting (52 responses) etc. Table 6.5. In addition, the workers observed that their work efficiency has been improved as compared to earlier. Presently the workers are able to plan their work schedules in a better fashion, which has reduced the degree of false reporting. (Table 6.5). 110
  • 110.
    Indian Institute ofHealth Management Research, Jaipur Strengthening District Health System in Madhya Pradesh through Management Interventions Table 6.5: Type of improvement observed by the health workers Type of improvement Number Better planning for target achievement 39 (68.4) Reduction in false reporting 42 (73.7) Maintaining stock position 34 (59.6) Regular and timely reporting 52 (91.3) Develop understanding about indicators 56 (98.2) Accuracy in preparation of report 57 (100.0) Analysis and cross check of the indicators 54 (94.7) Figures within parenthesis shows the percentage values Improvements in availability of critical inputs In addition to above achievements, as reported by all the respondents, there has been a substantial improvement in the availability of data reporting formats. Form 6, 7 and 8, which were not available at sub center, sector and block levels respectively, are now available in adequate quantity. This shows a significant achievement under the project. To summarize, the following are the important findings from the rapid assessment survey: • After the initiation of the project the training on HIS has been on the lines of requirement of health functionaries • Presently the workers are able to understand the importance of HIS which has improved their reporting system largely. • The workers are able to plan their activities in a better fashion and do not feel that they are over burdened with the work of reporting • Before the submission of reports, the workers are presently analyzing the reports by them selves and cross checking the reported figures • The SDHS project has been successful in making the reporting formats available at each level and as per their requirement 6.8. LESSONS LEARNT Quite a number of lessons have been learnt under this intervention. • The health functionaries are not properly oriented on the importance of health information system. They understand that the information that they submit in different formats is only for the purpose of evaluating their work performance. This understanding has created a deep-rooted habit of under / over reporting of the figures which just indicates their better performance. • No specific training / orientation programs are conducted at regular intervals on MIS. The workers who are trained on this aspect before joining the job have 111
  • 111.
    Indian Institute ofHealth Management Research, Jaipur Strengthening District Health System in Madhya Pradesh through Management Interventions either forgotten / the past trainings were quite inadequate to deal with the existing MIS. • There is severe resistance of the health functionaries to adopt any new method as they feel that their present knowledge is adequate to carry out the task and any change in that is an additional burden on them. • The concepts of decentralized planning and target free approach have not entered in the minds of health functionaries. As the health workers are not involved at any stage of plan formulation, they feel that the targets are the order from the higher authorities. This has resulted in their lack of ownership of their own plan. • As there is no feedback mechanism, their respective higher authorities do not point out the mistakes committed at various levels. This has resulted in false reporting, as there is no fear from the higher authorities. • The sector level meetings, which are meant for assessing the work of health workers and taking corrective measures in this regard, are usually used as a platform for the discussion of their personal problems and taken very casually. Even in some of the blocks the sector level meetings are not conducted at all. • The block level meetings, though conducted in each month, is only used to evaluate the performance of the grass root level health functionaries and collect the compiled information in form 6 and 7. • The project could not do much in the areas of utilization of information for policy-making purposes, as there is no feed back mechanism in the system. However, the constitution of MIS task force was the only attempt initiated by project. • Installing computers at the block level where there is no specific person trained on computers, make the introduction of computerized HIS a difficult task. • The problem of lack of printed registers and formats will persist as long as no initiation is taken by the higher level health officials at block and district level 6.8.1. SUSTAINABILITY • Though attempts were made to strengthen the present HIS through SDHS project, the success of the project team was not much as is expected. As the major objective of the project was to set up the processes at various levels, the team succeeded in doing so. • The process of imparting trainings at various levels, developing decentralized planning, supplying and distributing reporting formats, monitoring the activities of the health workers through participation in sector and block level meetings, establishing feedback mechanism through the formation of MIS task force, introducing computerized HIS in the district etc. has been initiated during the project period. It goes beyond saying that the initiation of above activities has brought enormous change in the present system. 112
  • 112.
    Indian Institute ofHealth Management Research, Jaipur Strengthening District Health System in Madhya Pradesh through Management Interventions • Though the supply of critical inputs such as necessary reporting formats, registers is not a sustainable activity, it does have significant role in improving the health information system in the district. Therefore an easy process of making the critical inputs available needs to be devised at district and block level. • The activities related to capacity building of the health functionaries can be made as a sustainable activity if initiatives are taken from the District Training Center to do so. • No doubt that multiplicity of reporting poses severe workload on the health workers. Unfortunately no attention could be put by the project to simplify the reporting formats as it is time consuming and the decisions regarding the same is to be made at higher levels. • As per the experiences from the project, the sustainability of computerized HIS is still under doubt, as this requires inputs such as computers, printers that are to be installed at respective levels. Moreover, the availability of trained manpower to operate computerized software needs to be looked into in detail. The policy makers are required to give serious thoughts over it, as this is the future direction towards improving HIS. • The present project aimed at improving the HIS at primary level. The hospital- based information also plays a vital role as hospitals consume major chunk of the resources allocated to the health sector. Moreover since the district as well as sub district hospitals are mostly the first referral centers, a sound information base at the hospital level would certainly help the policy makers for their better planning and utilization. This point needs to be taken care while any future attempt towards improving HIS is made. 6.9. CONCLUSION The present document attempted to describe the present HIS in the district, their problems and the interventions initiated by SDHS project to improve the system. Apart from other problems described in the text, the most important problem associated with the existing MIS in the district is lack of feed back mechanism and inadequate monitoring and supervision. No doubt that these problems emerge due to lack of manpower and money, which is claimed to be the major factor responsible for poor reporting and recording mechanism. Keeping these factors aside, the project team attempted to improve the system within the existing set up. Quite a number of activities were carried out under this project to bring a change in the deep-rooted habit of health workers in maintaining their performance data. Apart from other aspects, training at regular intervals, training on important aspects like disease surveillance, appropriate monitoring, and establishing feed back mechanism helped the project team to bring substantial change in the system. The processes initiated by the project have far reaching consequences in improving the HIS of the district in the long run. Bringing change in a system by breaking the deep-rooted habits of the health functionaries is no doubt a challenging task. It is therefore suggested that the higher-level health officials keep an eye on the initiated activities for an improved and reliable health information system in the district. 113
  • 113.
    Indian Institute ofHealth Management Research, Jaipur Strengthening District Health System in Madhya Pradesh through Management Interventions ANNEXURE 6.1 TRAINING ON FORM 6 IMPARTED TO THE HEALTH WORKERS AT BLOCK LEVEL Sl. No Indicators Present Level of Knowledge of the workers What the workers were explained during training? 1 Total Registered ANC cases All the workers were of the opinion that each pregnant woman should be registered for ANC. Unfortunately due to workload and late information of pregnancy they are not able to do so. (Point 1 a) They were informed that registration means reporting of 100% of ANC cases whether they avail the public or private facilities and the names of the users of private facility need to be entered in the register maintained by the ANM. 2 Registration within 12 weeks (early registration) Limited efforts were made to register the ANC cases within three months of pregnancy. The workers explained that there are social reasons associated with it. (Point 1 b) They were informed that the number of possible pregnancies could be estimated by looking at their marriage registers and making frequent visits to their respective villages and consulting the AWWs during their visits. Identification of the ANC cases at the early stage would help them avoid possible complications during delivery and a decision could be made on whether the institutional delivery is required or not. They were also explained that more number of early registrations reflects their work quality. 3 Three check- ups of ANC Cases during pregnancy. Except some senior level female health workers, others seem to have little knowledge on this aspect. They understand that the community should contact them at the time of complications during pregnancy. (Point 2) Participants were explained that the three check-ups of women are utmost importance as during these checkups diagnosis could be made regarding the complications expected during pregnancy. This would help them for early referral of the complicated cases. They were also informed that the first check-up should be during the 3-4 months of pregnancy for taking the information such as height, weight and pervious history of pregnancy etc. from the 114
  • 114.
    Indian Institute ofHealth Management Research, Jaipur Strengthening District Health System in Madhya Pradesh through Management Interventions Sl. No Indicators Present Level of Knowledge of the workers What the workers were explained during training? women. The requirement of blood and urine test should also be explained to the clients. Second check-up need to be carried out during 6-7 months in order to check the blood pressure, urine sugar level etc. in order to avoid complications during pregnancy. Third check-up needs to be carried out before the delivery to identify the position of the child and other complication associated with and delivery. 4 Referral of the high risk cases to the nearby FRUs / CHCs Few participants (30 per cent) understand the meaning of high-risk pregnancies. However, when the workers are not able to handle the cases at SC level they send them to nearly referral centers. (Point 3) They were informed that any delivery in their working areas, which were referred / advised by them for institutional delivery, should be reported under this column of form- 6. The high risk factor include early pregnancy, severe anemic cases, previous history of caesarian, aborted cases, cases having more than five children, Pregnancy at the late age, patients with high BP and position of the baby before delivery, swelling on feet etc. These types of cases should be referred to nearby CHC/FRU for delivery and the workers should not take any risk in these types of complications. 5 TT1, TT2 and Booster dose There was discrepancy of opinion on the doses of TT immunization. Some workers were of the opinion that all the three TT doses need to be given to any ANC. Others were of the opinion that TT1 and TT2 doses should be administered to those women who are first time pregnant and booster The workers were explained about the importance of TT vaccination and right schedule and doses of TT. They were informed that TT1 and TT2 doses should be given to those women who are prime Para and to those multi Para who has completed two years of previous delivery. The booster dose should be given to those women who are multi Para and whose younger child is less than two years old. 115
  • 115.
    Indian Institute ofHealth Management Research, Jaipur Strengthening District Health System in Madhya Pradesh through Management Interventions Sl. No Indicators Present Level of Knowledge of the workers What the workers were explained during training? dose to those women who are multi Para within 2 years (Point 4). 6 Number of pregnant women who are under treatment for iron deficiency Most of the workers could not tell the difference between 5th and 6th row of form 6. They report same figures in both the columns. (Point 5) The workers were informed that there is printing error in the form. This column indicates (row 5th in form 6) the number of women who were under treatment for iron deficiency (Extra doses of IFA tables 100+100) 7 Number pregnant women given iron tablets Most of the workers could not tell the difference between 5th and 6th row of form 6. They report same figures in both the columns. (Point 6) Regular doses of IFA to every pregnant woman (100 tables). Row 6 report about all the registered cases given IFA tablets for the prevention of anemia. 8 Referred delivery cases to PHC/FRU Majority of the health workers do not report the figures on the number of institutional delivery cases (whether at government / Private) (Points 2.1, 2.2, 2.3, 2.4 ….3.3) The health workers were informed that there is a difference between the number of registered births and number of deliveries in their form 6. This is mostly due non-reporting of high-risk cases. Therefore they should keep a note of all the deliveries in their field area weather delivered at home or in hospital. 9 Referred high risk infants Majority of the workers informed that they are not aware about the symptoms of the high- risk infants hence there is underreporting of referral cases. (Points 3.4) The workers were informed that there are three main symptoms among the infants based on which they can refer the infants for treatment: 1. color of infants, ( Red, blue, Yellow). 2. Low birth weight (weight less than 2.5 kg), 3. Babies unable to suck milk etc. Such infants should be referred for treatment and their numbers should be reported as high-risk infants in form 6. 10 Visit of the workers after the delivery. Very few workers have knowledge about the importance of postnatal care. Hence follow up PNC case is low. (Points 4, 4.1) The workers were informed that three check-up visits should be made by the ANM: (1) On the day of delivery to check the status of mother and child (2) After 7 days of delivery to examine the uterus 116
  • 116.
    Indian Institute ofHealth Management Research, Jaipur Strengthening District Health System in Madhya Pradesh through Management Interventions Sl. No Indicators Present Level of Knowledge of the workers What the workers were explained during training? position and identify the complications and (3) Within 45 days to check the normal position of mother and child. The number of women who received these three check ups should be reported in this row of form 6. 11 Complicated referred cases (PNC) Majority of the workers were not aware about the complications during the postnatal care. Therefore there is gross under reporting of this figure in form 6 (Point 4.2) The workers were advised that if the PNC suffer from fever, uterus pain, profound smelling discharge, breast pain etc. they should be referred to PHC/FRU for treatment. The total number of such PNC cases should be reported in this row of form 6. 12 Maternal deaths during pregnancy Very few workers were aware about the definition of maternal death. Therefore the figure under this row is always under reported (Point 5) The workers were informed that any death during the period of pregnancy and at the time of delivery should be reported as maternal deaths. Apart from this the deaths due to abortion or MTP should also be recorded under maternal death. 13 RTI / STI cases Majority of the health workers did not have any knowledge in this regard (Points 6, 6.1…) The participants were explained that the cases with the symptoms of white discharge blister at vaginal place, itching during urination, severe back pain etc. should be considered as RTI/STI cases. The number of such cases seen by the worker should be reported in form 6. 14 Immunization : BCG, DPT1, 2, 3; Polio 1, 2, 3; Measles Most of the workers have proper knowledge on the doses and time of immunization. It was expressed that due to unavoidable reasons all the required doses could not be given to the children in time (Points 7, 7.1 Nothing was explained to them in this regard. Only the workers were queried on their reporting figures on immunization. 15 Complete immunization All the workers have adequate knowledge on this aspect. (Point 7.1, last row) The workers were explained that complete immunization means immunization for DPT, Polio and measles. The children receiving all 117
  • 117.
    Indian Institute ofHealth Management Research, Jaipur Strengthening District Health System in Madhya Pradesh through Management Interventions Sl. No Indicators Present Level of Knowledge of the workers What the workers were explained during training? these doses should be treated as completely immunized child. They were informed that if a child gets all the vaccines as per the schedule and completed measles vaccine by the age of 12 months could be treated as completely immunized child. The number of such child should be reported in form 6. 16 Booster doses It was reported by most of the workers that they concentrate only on primary immunization. They give the booster doses to all the children above 18 months whoever comes during immunization session. No special efforts are made by them in this regard (Point 7.2) It was informed to the workers that the workers should provide the secondary immunization (booster doses) as the booster dose certifies complete immunity from the vaccine preventable diseases. 17 Vitamin A Though the workers have knowledge regarding the importance of vitamin A, they make no special efforts for providing this to children (Point 8) The workers were informed to provide Vitamin A along with the measles dose. 18 Childhood diseases (Diphtheria, Polio, Neonatal Tetanus, Measles Though majority of health workers have knowledge on the signs and symptoms of these diseases, majority of them did not have knowledge on this. It was also clearly stated by the health workers that these figures are grossly under reported because of fear from higher authorities (Points 9, 9.1, 9.2) The workers were explained about the signs and symptoms of these diseases and were requested to keep an eye on these diseases in order to prevent their spread over. They were requested to report such cases so that precautionary measures could be initiated at the higher level for their outbreak. 19 ARI, Diarrhea Though majority of workers have knowledge regarding and ARI and The workers were explained about the signs and symptoms of the disease and requested to report the 118
  • 118.
    Indian Institute ofHealth Management Research, Jaipur Strengthening District Health System in Madhya Pradesh through Management Interventions Sl. No Indicators Present Level of Knowledge of the workers What the workers were explained during training? diarrhea, no adequate attention is given by the health workers to report the figures (Points 9.3, 9.4) actual figures on number of episodes in their respective areas for the same in form 6. 20 Infant Mortality The workers have adequate knowledge on these aspects (Points 10) The health workers were requested to report number of infant deaths in their respective areas and their causes so that precautionary measures could be initiated from the higher level for their prevention. 21 FP services The workers have adequate knowledge on these aspects (Points 11) The health workers were requested to provide actual figures on the beneficiaries of spacing methods. 22 Malaria Each worker knows the signs and symptoms of Malaria. Unfortunately the malaria positive cases are under reported giving a clear indication that the workers do not do any follow up visit to the symptomatic cases. (Point 13, 13.1). The workers were requested to keep the information on malaria positive cases and report them on form 6. 23 Tuberculosis The workers have adequate knowledge on signs and symptoms of the disease (Point 13.2). The workers were requested to send the symptomatic cases to the nearby microscopic center so that early diagnosis could be made. All the positive cases should be reported in form 6. 119
  • 119.
    Indian Institute ofHealth Management Research, Jaipur Strengthening District Health System in Madhya Pradesh through Management Interventions ANNEXURE – 6.2 THE EFFORTS OF THE PROJECT TEAM AND IMPACT ON HIS In order to correct the information flow in the district from the bottom to the top the following exercise was carried out by the project team during the project period: 1. Imparting on the job training on Form 1 (Planning). This training was conducted at the section as well as sector level. All the health workers and supervisors were trained on this aspect and were explained how to make the plan with bottom up approach. The health workers prepared district health plan for the years 2001-02, 2002-03 and 2003-04 with assistance from the project team. 2. Similar training on form 6 was imparted to the health workers and supervisors. 3. The targets of the health workers (which was prepared by them) was then computerized and distributed among each worker, supervisors as well as the BMOs (block wise). 4. The project team through attending their sector and block level meetings closely monitored the activities of the health workers as well as the supervisors. 5. Sometimes random visits to different blocks were made to check the reporting of health workers. 6. The feedback to the workers on their recording and reporting formats were given on the spot during the sector and section level meetings. The impact of the above activities resulted in the reduction of false reporting by the health workers. Analysis of achievement of the district and impact assessment of the efforts from the project team Health Indicators Achievement in figures 01-02 % Ach against target Achievement in figures 02-03 % Ach against target Population Eligible Couples Number of ANC Cases registered 40124 115 36697 102 High Risk Pregnancies (Referred) 5723 109 815 15 TT1 19885 57 22513 63 TT2 22399 64 21665 61 Booster 15074 13375 Number of Anaemic cases Treated 14134 81 13571 76 No of Pregnant woman given Iron tablets 26286 75 32607 91 Number of Deliveries 21234 68 29843 93 Deliveries by ANM / LHV+Trained dais 17215 58 18818 61 Deliveries by others 1410 90 2536 157 Institutional Deliveries 6663 64 8376 79 Referred to PHI / FRU 1692 54 816 25 Number of high risk babies 775 25 10 0 120
  • 120.
    Indian Institute ofHealth Management Research, Jaipur Strengthening District Health System in Madhya Pradesh through Management Interventions Health Indicators Achievement in figures 01-02 % Ach against target Achievement in figures 02-03 % Ach against target referred Number of women Ref. for MTPs 393 431 RTI/STI 15743 35 27840 40 BCG 22740 82 31533 105 DPT 1 24457 88 30822 103 DPT 2 23937 86 29302 98 DPT 3 24922 90 29359 98 Polio 0 4626 0 0 Polio 1 23831 86 30822 103 Polio 2 22539 81 29302 98 Polio 3 23519 85 29495 98 Measles 24471 88 29540 99 Complete immunization 23635 85 29538 99 DPT Booster (> 18 Months) 17076 69 19092 66 Polio Booster (> 18 months) 16180 65 19092 66 DT (5 Yrs) 27140 88 25822 82 TT (10 Yrs) 30367 103 33244 109 TT (16 Yrs) 31996 112 27615 94 IFA Tablets (5 Yr) 22694 148 24797 46 Vitamin A ( 9 months to 3 yrs) 22751 27 86841 54 First Dose 26074 94 26461 82 Second dose 21157 85 24508 85 Third, fourth and fifth dose 32707 107 35872 36 ARI (< 5 Yrs) 14498 24 5766 2 Given Cotrimaxizole tablets 14832 242 158372 49 Referred ARI cases 1407 229 18839 58 Number of diarrhea episodes 7134 8 1059 0 Episodes given ORS 22675 25 17383 4 Episodes referred 790 9 2399 5 Family Planning (Sterilization) 4774 51 9420 156 Couples Adopting spacing methods 32057 62 51428 126 IUD 5556 77 7195 118 Oral Pills 7902 86 9218 102 Nirodh 24762 71 35015 136 Source: Collected from the records of Chief Medical and Health officer of the district The following points could be observed from the table: 1. A comparison between the percentage of achievement during 2001-02 and 2002- 03 does not give us any eye-catching clue on the improvement in the performance during the year 2002-03. This could only be attributed to the fact that due to close monitoring by the project staff, the false reporting has reduced largely. How? a) The percentage achievement in the number of ANC cases registered during 2002-03 is less than that of the previous year. If one thinks over this point several questions would come to the mind. Is it really possible 121
  • 121.
    Indian Institute ofHealth Management Research, Jaipur Strengthening District Health System in Madhya Pradesh through Management Interventions that one can achieve 115 percent over the target? The target calculation is usually made based on certain estimates and Expected Level of Achievement (ELA) is calculated by taking 30 as the birth rate for the whole district. This type of crude estimate does not hold good for all the blocks in the district. This rate may differ from sector to sector and even among the sections. An experiment in this regard was done in two blocks of the district (Dolariya and Seoni Malwa). Village wise form 6 was printed and distributed among the health workers of the district. However only one sector i.e., Babadia Bhau, in Seoni Malwa block could be closely monitored. It is surprising to note that the birth rate of that sector was quite lower than what was used for estimating the ELA. This certainly shows a positive improvement in the quality of reporting. b) Similar argument holds good for the other indicators (except the indicators on spacing methods). 2. A comparison between the figures within the achievement column for 2001-02 and 2002-03 gives us the following clues on the improvement of the management information system in the district during last two years. How? a) If we compare the figures within the columns, for example take the case of number of deliveries. While in 2001-02 out of total registered cases (115 percent) only 68 percent gave birth to child (as per the report), the same is not true for 2002-03. This is a clear indication of improvement in the reporting system and the impact of the trainings imparted during the last year. b) Similar argument could be put if a comparison is made within the achievement columns for other indicators. The above arguments become clearer if we look at the absolute figures of achievement across and among the columns and compare it with their expected level of achievements given below: Expected Level of Achievements as was set by the district health authorities in collaboration with SDHS Project Team, IIHMR Health Indicators ELA 01-02 ELA 02-03 ELA 03-04 Population 1057886 1085011 1123785 Eligible Couples 179841 184452 191044 Number of ANC Cases registered 34910 35805 37085 High Risk Pregnancies (Referred) 5237 5371 5563 TT1 34910 35805 37085 TT2 34910 35805 22251 Booster NN NN 14834 Number of Anaemic cases Treated 17455 17903 18542 No of Pregnant woman given Iron tablets 34910 35805 37085 Number of Deliveries 31419 32225 33376 Deliveries by ANM / 29848 30614 31708 122
  • 122.
    Indian Institute ofHealth Management Research, Jaipur Strengthening District Health System in Madhya Pradesh through Management Interventions Health Indicators ELA 01-02 ELA 02-03 ELA 03-04 LHV+Trained dais Deliveries by others 1571 1611 1669 Institutional Deliveries 10368 10634 11014 Referred to PHI / FRU 3142 3222 3338 Number of high risk babies referred 3142 3222 3338 Number of women Ref. for MTPs NN NN NN RTI/STI 44960 70092 47761 BCG 27759 29969 31040 DPT 1 27759 29969 31040 DPT 2 27759 29969 31040 DPT 3 27759 29969 31040 Polio 0 0 0 0 Polio 1 27759 29969 31040 Polio 2 27759 29969 31040 Polio 3 27759 29969 31040 Measles 27759 29969 31040 Complete immunization 27759 29969 31040 DPT Booster (> 18 Months) 24774 29002 27702 Polio Booster (> 18 months) 24774 29002 27702 DT (5 Yrs) 30679 31466 32590 TT (10 Yrs) 29621 30380 31466 TT (16 Yrs) 28563 29295 30342 IFA Tablets (5 Yr) 15339 54251 16295 Vitamin A ( 9 months to 3 yrs) 83212 161124 91332 First Dose 27759 32225 31040 Second dose 24774 29002 27702 Third, fourth and fifth dose 30679 99897 32590 ARI (< 5 Yrs) 61357 322248 65180 Given Cotrimaxizole tablets 6136 322249 6518 Referred ARI cases 614 32225 652 Number of diarrhoeal episodes 92036 483372 97769 Episodes given ORS 92036 483372 97769 Episodes referred 9204 48337 9777 Family Planning (Sterilization) 9420 6040 9420 Couples Adopting spacing methods 51428 40907 51428 IUD 7195 6091 7195 Oral Pills 9218 9042 9218 Nirodh 35015 25774 35015 123
  • 123.
    Indian Institute ofHealth Management Research, Jaipur Strengthening District Health System in Madhya Pradesh through Management Interventions ANNEXURE –6.3 IMPACT OF INTRODUCTION OF VILLAGE WISE INFORMATION FORMAT: EXAMPLE OF BABADIYA BHAU SECTOR OF SEONI MALWA BLOCK The project team prepared the district health plan in collaboration with the sub center, sector and block, and district level health functionaries. In the first stage training on plan preparation was imparted to all the health workers of the district. After the training, workers prepared the plan for their respective sub centers. The Sub Health Center plan set up the need for SHC as a whole not the need for individual villages under the SHC. An innovative task was taken up in the Babadiya Bhau Sector of Seoni Malwa on an experimental basis. The workers of this sector were trained on setting their village wise targets for the year 2002-03 which was further divided into monthly targets. This exercise helped us to identify the need for different category of services that are to be provided by the health workers. After the required training on how to fill village wise formats, the forms were supplied to them and they were requested to collect village wise information in that format. After the data collection, they were provided with performance indicator monitoring sheet for self-analysis of their performance. Analysis of performance of Babadiya Bhau Sector- after the intervention. Health Indicators 2001-2002 2002-2003 Population 21316 21850 Eligible Couples 3624 3714 Number of ANC Cases registered 593 538 High Risk Pregnancies (Referred) 96 72 TT1 474 505 TT2 315 460 Booster 215 0 Number of Anaemic cases Treated 247 230 No of Pregnant woman given Iron tablets 571 538 Number of Deliveries 408 501 Deliveries by ANM / LHV+Trained dais 736 287 Deliveries by others 0 0 Institutional Deliveries 115 72 Referred to PHI / FRU 27 142 Number of high risk babies referred 14 3 Number of women Ref. for MTPs 14 14 RTI/STI 0 1648 BCG 381 501 DPT 1 407 467 DPT 2 356 451 DPT 3 344 462 124
  • 124.
    Indian Institute ofHealth Management Research, Jaipur Strengthening District Health System in Madhya Pradesh through Management Interventions Health Indicators 2001-2002 2002-2003 Polio 0 0 0 Polio 1 407 467 Polio 2 356 451 Polio 3 453 462 Measles 451 503 Complete immunization 786 503 DPT Booster (> 18 Months) 401 455 Polio Booster (> 18 months) 401 0 DT (5 Yrs) 568 532 TT (10 Yrs) 514 612 TT (16 Yrs) 525 472 IFA Tablets (5 Yr) 464 0 Vitamin A ( 9 months to 3 yrs) 93 2095 First Dose 342 503 Second dose 143 455 Third, fourth and fifth dose 146 1137 ARI (< 5 Yrs) 0 0 Given Cotrimaxizole tablets 16 1355 Referred ARI cases 16 54 Number of diarrhea episodes 28 0 Episodes given ORS 28 1691 Episodes referred 26 63 Family Planning (Adopted permanent methods) 104 121 IUD 106 48 Oral Pills 113 59 Nirodh 263 275 Data Analysis • ANC registration figure for the year 2001-2002 is more than the registration figure for the year 2002-2003. However, it is also being noted that the difference among the number of registration and number of delivery took place. This gap is less in the year 2002-2003. • In the year 2001-2002 there was inconsistency of data this can be visualized from the figure reported for number of delivery did not tally with the deliveries conducted by ANM/LHV and other as compare to the figure mentioned for the year 2002-2003. • The figure for the complete immunization still needs more follow-ups; still there is the scope for improvement in this regard. • There is slight increase in the performance of permanent family planning method. The data analysis shows that there is an increase in the service delivery and accurate reporting of the figures. 125
  • 125.
    Indian Institute ofHealth Management Research, Jaipur Strengthening District Health System in Madhya Pradesh through Management Interventions ANNEXURE – 6.4 TERMS OF REFERENCE (TOR) OF MIS TASK FORCE Task: Constitution of a MIS task force at the district level Objective To improve the reporting mechanism at the district level and take corrective measures Composition 1. CMHO Chairperson 2. DHO Secretary 3. DTO Member 4. ASO Member 5. Project Coordinator Member Functions 1. Collection of block level performance reports on a fixed date of the month 2. Analyzing and providing regular feedback in each month 3. Imparting necessary training to the staff dealing with HIS 4. Sending the district level reports on a fixed date of the month Indicator 1. Number of institutions sending the reports on a fixed date 2. Number of reports analyzed and feedback given 3. Number of staff trained on proper data reporting Output: Processes for accurate data reporting, their analysis and feedback mechanism established in the district. 126
  • 126.
    Indian Institute ofHealth Management Research, Jaipur Strengthening District Health System in Madhya Pradesh through Management Interventions CHAPTER 7 COMMUNITY FINANCING: RENOVATION OF SUB HEALTH CENTERS FOR ENHANCING ACCESSIBILITY AND UTILIZATION OF HEALTH SERVICES 7.1. BACKGROUND The concept of financing the health services through community participation is no more new in the recent times. Evidence from different countries reveals that community participation in health care help enhancing the demand for government run health services, which, in turn, improves the service delivery to a large extent. The basic question here is why there is a need for community participation in health care where the provision of health services, in developing countries, is assumed to be the sole responsibility of government. Several factors are associated with this concept, such as, (a) due to resource constraint, the governments of developing as well as developed countries are gradually curtailing their allocation towards health sector, (b) due to unique nature of the demand for health services (i.e., the demand is supplier induced), associated with its rising cost, the household (out of pocket) expenditure on health is increasing, and (c) deterioration in the quality of services due to improper supervision and lack of competence. These reasons form the basis for community participation in health care. It is believed that community participation in health care can help improving the service delivery system, as communities can gain their ownership through their active involvement. Under this conceptual framework an intervention was carried out in Hoshangabad district under the Royal Danish Embassy Funded “Strengthening District Health Systems Through Management Interventions” project. The present document attempts to examine the role of community participation in health care and describes the process, out comes and lessons learnt from the experiment under the above-mentioned project. In Hoshangabad district the hospital-based health services (i.e., services provided through Community Health Centers, Civil Hospitals and District Hospitals) are partially financed through user fees that are collected through Rogi Kalyan Sammittee (RKS). The RKSs are established at the hospital level and regulated as per the rules and regulations laid down by the Government of Madhya Pradesh. The patients availing the services provided at OPD, IPD and various diagnosis departments pay a nominal fee, which is usually fixed by the members of RKS. The hospitals having RKS have autonomy of spending the collected funds for the development of their own hospitals and the members of RKS make decisions regarding the utilization of collected funds. Instead of going into the details of RKS, it is necessary to note that the RKS are usually meant for curative care and the degree of community involvement in this is negligible As the focus of the present project was to strengthen primary health care, the RKS did not play any significant role. Therefore, the project focused its attention on the effective delivery of primary health care through community participation and financing. The 127
  • 127.
    Indian Institute ofHealth Management Research, Jaipur Strengthening District Health System in Madhya Pradesh through Management Interventions present report is based on the experience of implementing community financing of health care, especially, infrastructure development. The present document is as organized in the following sections: Section 7.2 describes the major objectives of the present intervention. Approaches followed for identifying the problems related to community involvement in health care are given in section 7.3. The interventions initiated to solve the identified problems are described in Section 7.4. Section 7.5 gives a brief description on the scope of the present intervention and intervention approaches. The outcomes of the intervention are given in Section 7.6. Section 7.7 presents the results of the rapid assessment carried out under this intervention. Lessons learnt and the future course of action that is useful for the future researchers is given in the section 7.8. The concluding remarks are presented at the end of the chapter. It must be mentioned that the terms ‘experiment’ and ‘intervention’ are used synonymously throughout this document. 7.2. OBJECTIVES It would be worthwhile to mention that the aims and objectives of the present intervention was to test the feasibility of community approaches to financing health services for effective delivery of primary health care. The following were the objectives of the present intervention study: • To identify the problems related to community involvement in health care through diagnostic studies • To plan appropriate interventions to assess the extent to which the community can participate in primary health care delivery system in the district • To implement the planned interventions in selected areas of the district in order to test their feasibility in study area • To assess the effectiveness of interventions after implementing them in the field • To disseminate the knowledge gained and the lessons learnt during the study • To suggest measures and approaches for effective interventions for community participation in financing primary health care. 7.3. DIAGNOSTIC STUDIES – PROBLEMS AND ISSUES At the initial stage of the project, diagnostic study on community financing was carried out in order to assess the socio economic and health status, and the ability of the people to pay for a proposed community-financing scheme. In addition, a detailed analysis of the household as well as government expenditure on health was carried out in order to find out the justification for community participation in health care. During the diagnostic study a total of 301 households, scattered around 7 blocks and 3 urban areas, were surveyed. Details of the findings from the household survey are given in diagnostic study report. Some of the salient findings, which are useful for the justification of the interventions undertaken on community financing, are given below: • Total government expenditure (at current prices) on primary health care is almost stable during last five years with small fluctuations in between. 128
  • 128.
    Indian Institute ofHealth Management Research, Jaipur Strengthening District Health System in Madhya Pradesh through Management Interventions • The nearest public health facility was more that 5 kilometres from the place of residence for 30 percent of the surveyed households. • Majority of the households (more than 50 per cent) were using private health facilities due to: (a) non availability of doctors and the required staff at the facility, (b) long distance of health facility from their residence, and (c) poor quality of health services in government facilities as perceived by them. • Around 6 percent of the total household expenditure is devoted for health care, which is slightly higher for a district like Hoshangabad. • A major portion of this expenditure goes on purchase of medicines followed by consultancy fees. • The estimated per capita out-of-pocket health expenditure is around Rs.185 and average expenditure per user of the health services is Rs.765. • Though majority of the sample households were in favour of joining the proposed community-financing scheme4 , they were ready to pay for the scheme for comprehensive benefits i.e., hospitalisation, outpatient care and chronic illness. This gives a clear indication that nobody was ready to pay for the primary health care. In addition to the diagnostic study, problems associated with the delivery of primary health care, were reported during discussions and brainstorming with District Health Team (DHT) and Block Health Teams (BHT). Some of the key problems and issues were: • Sub center buildings in most of the blocks were in hazardous condition due to lack of maintenance. • The sector level health supervisors and SHC health workers hardly work in teams. • There was a lack of coordination between the health department staff at the grass root level, PRIs, community and NGOs • The SHC health workers scarcely visited villages that were inaccessible/distant from their headquarters • The services of JSRs and Dais who are trained by the government and available at the village level are not used optimally. • No proper sanitation and hygiene was maintained in the villages. This leads to spread of diseases, which could be prevented at the local level if preventive measures are initiated. 4 Proposed scheme: Since most people do not have adequate saving for unexpected health care needs, a fund will be created for the purpose. The community will manage the fund with contribution from the individuals who will be the members. The responsibility of handling the funds collected through community contribution will be assigned to a person commonly agreed by the members. Each person contributing for the fund would be provided the requisite money during his or any member of his family's illness. The money would be returned to the committee within a stipulated time and with a nominal interest or interest free, the decision regarding which would be taken in a common forum. Persons contributing for this fund can withdraw his / her membership from the scheme if he/she feel the scheme to be unsatisfactory. 129
  • 129.
    Indian Institute ofHealth Management Research, Jaipur Strengthening District Health System in Madhya Pradesh through Management Interventions • The villagers of the inaccessible/far off villages faced severe difficulties during emergencies, as the higher-level health facilities are located at the block or district headquarters. 7.4. INTERVENTIONS Based on the results of diagnostic study and discussions with DHT and BHT members, interventions were planed for implementation. These included: • Renovation of selected sub-center buildings • Making sub-centers functional • Opening up of village health centers at the village level • Constitution of village health teams • Establishment of Gramin Swasthya Kalyan Rosh INTERVENTION 1: RENOVATION OF SELECTED SUB-CENTER BUILDINGS It was expected that the renovation of sub centers through community participation would help in enhancing: (a) the utilization and therefore the demand for government run health services, (b) the equity in the delivery of primary health care and (c) the quality of services through health functionaries in SHCs. The assessment of the achievements of sub center renovation was made based on pre decided indicators. (a) Selection of Sub centers Thirty-five sub centers, scattered in seven blocks of the district, were selected for renovation through the participation of community and its representatives. The sub centers were selected after consultation with respective Block Medical Officers of the district. The sub centers were selected on the basis of commonly agreed criteria: • The location of SHCs needs to be in a government owned building • At least one health worker / service provider should be staying at the sub center or close to the sub center. • The building should be in such a condition that it could be renovated during the project period. The list of selected sub centers (block wise) taken for renovation under the project is as follows: Pipariya: Kherikala, Sehelwada, Pousera, Dhanashree, Lanjhi Bankhedi: Junheta, Piparpani, Bhairpur, Paraswada, Mahuakheda Babai: Anchalkheda, Gujarwada, Sirwad, Nashirabad, Ankhmou Sukhtawa: Pandukhedi, Kalaakhar, Daudijhunkar, Toronda, Pathrota Dolariya: Misrod, Sawalkheda, Kandrakhedi, Rampur, Nanpa Seoni Malwa: Shivpur, Archanagaon, Dhekna, Basaniyakala, Nandarwada Sohagpur: Ranipipariya, Kamti, Isharpur, Macha, Banskhapa 130
  • 130.
    Indian Institute ofHealth Management Research, Jaipur Strengthening District Health System in Madhya Pradesh through Management Interventions (b) Components of Renovation Following items were selected for sub center renovation: Cleanliness: The inside as well as the surroundings of the selected SHCs was found to be extremely unclean and dirty. Therefore, it was proposed to clean the same under this intervention. White Washing: As a part of the cleanliness of the sub centers, it was proposed to whitewash all the selected sub centers under this intervention. Minor repairs: In addition to the cleanliness, it was also proposed to carry out the minor works such as repairing of walls and rags inside the sub center through community participation. Painting on Wall (services and tour plan): In order to make the beneficiaries aware about the availability of various services and staff, it was proposed to paint the sub center walls containing the services available in the sub center and the tour plan of the sub center staff Supply of Furniture: The necessary furniture such as; examination table, chairs, benches etc., required for delivering patient care were not available at selected sub centers. In addition, the sub centers did not have the almirahs and wooden rags for keeping the drugs. Under the intervention, it was proposed to provide the necessary furniture for patient care and better logistics management. Nameplate of SHC: It was proposed to paint the nameplate of the sub centers and wherever there were no nameplates, to provide them through community. INTERVENTION 2: MAKING SUB-CENTERS FUNCTIONAL (a) Constitution of Sub Health Center Teams (SHCT): Formation of Sub Health Center Teams (SHCT) in order to bring better coordination among the health functionaries, PRIs and NGOs working in that area. The team approached was adopted for keeping the renovated sub centers sustainable. The basic objective of formation of such teams was intended to keep the activities initiated by the project team sustainable. The team was proposed to be formed by the order from Block Medical Officer. A separate TOR was prepared for the sub center teams. (b) Supply of Registers, Form 6 and training: Each sub center was supplied with at least 10 registers for the maintenance of basic data on services provision and stock of logistics and provide training on management of Health Information System (HIS) and logistics. (c) Checklist of Quality Assurance: Sub centers are meant to provide various primary health care services such as ANC, PNC, Immunization, and Family planning etc. to the people residing within its periphery. Though the SHC staff provide these services, due to lack of periodic training the services provided by them lack appropriate quality. In order to bring better quality in the services delivery, seven quality checklists related to various services were proposed to be supplied to the selected sub centers. (d) Checklist of PRI (Sarpanch): Under the decentralization process, it is proposed by the Government of Madhya Pradesh to handover all sub centers in the state to their respective Gram Panchayat for their maintenance. The members of gram Panchayat are 131
  • 131.
    Indian Institute ofHealth Management Research, Jaipur Strengthening District Health System in Madhya Pradesh through Management Interventions required to monitor activities of their sub centers. As most of the PRI members are not aware about their responsibilities (found through diagnostic study on PRIs), it was proposed to provide a checklist containing various responsibilities of PRI members. It was also decided that the checklist would be made available to all the selected sub centers taken for renovation under the project (Annexure 7.4-7.5). (e) Preparation of SHC plan: It was proposed to prepare the action plan of the selected SHCs in order to orient the SHC staff about the project activities and improve the supportive supervision to carry out the activities in the field. (f) Working Time SHC: Most of the sub centers remain closed for 4-5 days in a week. This results in under utilization of available services at sub centers. The project team made efforts to keep the center open with the help of SHC team members. In addition to sub center renovation, following activities were also carried out under this intervention: INTERVENTION 3: OPENING UP OF VILLAGE HEALTH CENTERS Initiation was made to open at least 35 Village Health Centers (VHC) at the remote villages of the selected sub centers which are usually cut off during the rainy seasons or inaccessible to the villagers due to lack of transportation. There are three major reasons for opening the VHCs: • The village health centers would help bringing the health services to the door steps of the people which will help in enhancing the utilization of government health services • This would help the villagers to avoid unnecessary and painful travel to higher facilities for getting basic care • The opening up of village health center was also aimed at utilizing the available health manpower at the village level. For example, JSRs and DAIs are available at the village level, but due to lack of coordination, their services are not utilized to the extent it should be. Moreover, at present they are external agents to the system. The opening up of village health centers was an initial attempt towards internalizing them within the system. INTERVENTION 4: CONSTITUTION OF VILLAGE HEALTH TEAMS To form Village Health Teams (VHT) in order to utilize the services of JSR and Dai who are available at the village level. It was expected that the team would help the activities of village health centers sustainable after the completion of the project. INTERVENTION 5: ESTABLISHMENT OF GRAMIN SWASTHYA KALYAN KOSH To initiate Gramin Swasthya Kalyan Kosh (GSKK) at selected places of the district for maintaining good sanitation and meeting the expenses during emergency health situations at the village level. 7.5. IMPLEMENTATION PROCESS A sub center where all the above activities were carried out with the support from the community, PRI and project team is called a completely renovated sub center. The field 132
  • 132.
    Indian Institute ofHealth Management Research, Jaipur Strengthening District Health System in Madhya Pradesh through Management Interventions officers, supported by respective research officers, carried out the intervention activities. The following method was followed to carry out the proposed activities under this intervention: Activity 1: Preparation of TOR In order to make the intervention activities successful the project team followed a systematic approach. The Terms of References (TORs) for Sub Health Center Teams (SHCT), the Village Health Centers (VHC), and Village Health Teams (VHT) were prepared (Annexure – 7.1-7.3). Activity 2: Motivating The Community For: (a) Sub center Renovation Motivating the community to carryout the renovation of selected sub centers was a challenging task for the research team. It was difficult mostly due to lack of interest of communities to help in carrying out this activity. As these activities have monetary implications, the community was somewhat resistant at the first phase of implementation. After repeated approaches (meetings) with community members, a few of them (Sarpanch and other Panchayat members) showed interest on this activity. As the implementation phase was very short, and several activities were to be carried out during this phase, the project team concentrated on these small segment of the community who showed interest in carrying out the renovation activities. To state specifically, the project team tried to approach the larger segment of the community through the Sarpanch and other Panchayat members. The larger segment of the community was motivated through the Gram Sabha meetings where the proposal for carrying out any developmental activities in the village is discussed and decisions are made. Thus, the involvement of the whole community in carrying out sub center renovation activities could be argued for in those meetings. (b) Formation of SHC Team For keeping the activities carried out in SHC sustainable the sub center health teams were formed with the following persons as members; Health Supervisor’s, MPW’s, JSR, AWW and Trained Dai. The Sarpanch of the village was proposed to head the team. The order of the formation of SHC team was issued by BMO’s/Panchayat office. (c) Establishment of Village Health Center (VHC) and Village Health Team As mentioned above, the VHCs were proposed to be opened at inaccessible places. Though a little amount of money was involved in opening the VHCs, motivating the villagers for this activity was certainly a challenging task. The initiation for opening the VHCs was made through meetings organized by the project staff at village level. The benefits of opening the health center at the village level were explained to the villagers in the meeting. It was pre decided that the village health centers should be opened in any of the three places i.e., Panchayat Bhavan, Anganwadi Center or in a building donated by the villagers / any member of the village. Therefore, the communities were to be motivated for making some space available for VHC. Gram Sabha was used as platform for community motivation. After discussing the health issues of the villages in the Gram Sabha and their possible solutions through VHC, the villagers were ready to donate some 133
  • 133.
    Indian Institute ofHealth Management Research, Jaipur Strengthening District Health System in Madhya Pradesh through Management Interventions place in either of the above-mentioned places. Though in most of the cases, the village health center was opened in the Panchayat Bhavan and the Jana Swasthya Rakshak (JSR) was given responsibility for running the center, attempts were made to run the VHCs from Anganwadi centers since there is a close linkage between the services provided through the Anganwadi centers and the proposed village health centers. After repeated interactions with the communities, the implementation team could arrange for the required space for VHCs. (d) Procurement of Medicines A detailed discussion on opening of village health centers in the district was made with the district authorities during the meetings with District Health Team (DHT). The DHT members appreciated the concept and approved that the health department will supply the medicines for village health centers. In this connection, Chief Medical and Health Officer of the district issued a letter to all the Block Medical Officers (BMO) to supply the necessary medicines to VHCs. In order to keep the village health centers sustainable it was decided that the block level drug store keepers should supply the medicines through the concerned health workers and supervisors so that the medicines could be made available at regular intervals. In order to look after the day to day functioning of the village health centers a team consisting of Panch of the village, JSR, AWW and Trained Dai was formed for each VHC. The places where the NGOs are operational a NGO member was also included within the team. (e) Formation of Gramin Swasthya Kalyan Kosh The immediate question after the opening of the village health centers was how to keep them sustainable? As persons operating the village health centers were proposed to take care of all preventive aspects such are sanitation and cleanliness within the village, the need for money to carryout this activity was felt. Moreover, the concern of the project team was to facilitate the villagers for meeting emergency health expenses such as transportation of complicated deliveries to higher facilities. This idea gave birth to the concept of Gramin Swasthya Kalyan Kosh (Village Health Welfare Fund). The villagers were explained about the use of the Kosh and as a net result there was not much difficulty to collect the funds from the villagers to open such a Kosh at village level. The villagers were requested to contribute voluntarily for the Kosh according to their ability to pay. The money so collected was deposited in the nearby post office / bank in a joint account. The names of the account holders were decided by the villagers themselves and passed in Gram Sabha. The contribution of each household in the village for the Kosh helped in bringing the ownership of the villagers towards the village health centers. 7.6. FINANCING MECHANISM (a) Contribution from Communities and PRI For carrying out the above activities, no direct contribution was received from the government. The monetary contribution for carrying out the sub center renovation activities was mostly received from the PRIs and some members of the community. As contribution from the project was going against its basic philosophy, there was no direct 134
  • 134.
    Indian Institute ofHealth Management Research, Jaipur Strengthening District Health System in Madhya Pradesh through Management Interventions monetary contribution from the project budget for carrying out these activities. Table 7.1 gives the amount collected from Communities and Panchayats to carry out the renovation activity. The contribution of communities in kind is excluded from the calculation. The opportunity cost of time spent by PRIs/Community members for supervising the renovation work is calculated based on their monthly income and should be treated as approximate figures only. The contribution from the project is given in Table 7.2. The details of the contribution (block wise) for each sub center are given in Annexure 7.6. Table 7.1: Summary of contribution from PRIs/NGOs, Community and indirect cost of supervision for SHC renovation Name of the block Commun ity PRI and NGO Indirect cost of No of SHCs AC (Rs.)* AC (Rs.)** Babai 3500 10400 3000 5 2780 3380 Bankhedi 1800 64400 2500 5 13240 13740 Dolariya 0 24800 5000 4 6200 7450 Pipariya 0 40200 3000 5 8040 8640 Seoni Malwa 0 18500 2500 3 6166 7000 Sukhtawa 0 23000 3000 3 7666 8666 Sohagpur 1000 10600 4000 3 3533 4867 Total 6300 191900 23000 28 6803 7677 Average 900 27414 3285 28 6803 7677 Note: Indirect cost includes the cost of supervision in carrying out the renovation activities and are approximate figures only * Average cost excluding indirect cost ** Average cost inclusive of indirect cost (b) Contribution from the project Though, there was no major monetary contribution from the project for sub center renovation, the project made arrangements of the following for completing the renovation work of the selected sub centers: Supply of Registers and form 6: All the selected 35 sub centers were supplied 10 registers each for maintenance of basic data. The average cost of each register was Rs.40/-. Total cost incurred in supply of registers under this intervention is around Rs.14,000. Nameplate of SHC and painting on wall: On an average Rs.292 per sub center for 24 renovated sub centers. The total cost incurred by the project Rs.7150. Distribution of quality assurance and PRI checklist: A total amount of Rs.2784/- was spent by the project team for carrying out this activity in the selected sub centers. It must be remembered that the checklists were prepared and distributed for all sub centers in the district. In addition to above activities the project team also prepared the sub center level plan for 35 selected centers and helped in forming the Sub Health Center (SHC) team. A summary of the contribution from the project for carrying out this activity is given in Table 7.2. 135
  • 135.
    Indian Institute ofHealth Management Research, Jaipur Strengthening District Health System in Madhya Pradesh through Management Interventions (c) Supervision of SHC renovation work The renovation activities were mostly supervised by Panchayat persons supported by the health workers and supervisors of the respective sub centers. In some of the blocks such as Dolariya, Sukhtawa the NGOs were also involved in renovation activities. As PRI intervention was going on in Pipariya block, the Local Resource Persons engaged by the project, supervised the renovation work in that block. However, the field officers and research officers in charge of the respective blocks supervised the overall works carried out for sub center renovation. Table 7.2: Summary of indirect contribution from Project for SHC renovation Name of the blocks Supply of registers / form 6 Painting on wall (services availability and tour plan) Supply of QA and PRI Checklist Painting and supply of Nameplate Total C o s t No of SHC Total Cost No of SHC Total Cost No of SHC Total Cost No of SHC Babai 2000 5 1050 3 435 5 0 3 Bankhedi 2000 5 600 2 435 5 100 2 Dolariya 2000 5 1200 4 348 4 0 4 Pipariya 2000 5 1750 5 435 5 0 5 Seoni Malwa 2000 5 500 4 348 4 0 4 Sukhtawa 2400 6* 1500 5 435 5 0 5 Sohagpur 1600 4 400 1 348 4 150 1 Total 14000 35 7000 24 2784 32 24 Average cost (Rs.) 400 292 87 10.4 Note: 1. Though the QA and PRI checklist was supplied to all SHCs in the district, the above calculation is made only for 35 selected sub centers. 2. The registers supplied to district and block level authorities are excluded from the calculation. 3. The average project cost for each activity= [Total cost of activity/No. of SHCs where activities were carried out] * On the demand of health workers, 10 registers were supplied to Sankheda SHC of Sukhtawa block. 7.7. OUTCOMES (a) SHC Renovation: The project team put substantial efforts for achieving the objectives related to this intervention. A total number of 34 sub centers were renovated during the project period. A sub center where all the 12 proposed activities are completed during the project period have been given a score of 100 per cent. The percentage achievement of each individual sub centers are calculated on the basis of number of activities completed during the project period. The achievements of Babai, Bankhedi, Dolariya, Pipariya, Sukhtawa, Seoni Malwa and Sohagpur are 86.9, 73.9, 77.0, 100.0, 90.2, 77.0 and 62 percent respectively. Thus, the average achievement for the district as a 136
  • 136.
    Indian Institute ofHealth Management Research, Jaipur Strengthening District Health System in Madhya Pradesh through Management Interventions whole is 81 per cent (Table –7.3). Details on the activities (indicator wise) carried out in each block are given in Annexure – 7.7. 137
  • 137.
    Indian Institute ofHealth Management Research, Jaipur Strengthening District Health System in Madhya Pradesh through Management Interventions Table 7.3: Achievements on Sub Center Renovation Name of the block Name of the SHCs Achievement (%)* Average achievement (%) Babai Anchalkheda 100 86.9 Gujarwada 100 Ankhmou 100 Sirwad 75.6 Nashribad 58.8 Bankhedi Junheta 84 84 Paraswada 84 Bhairapur 67.2 Piparpani 67.2 Mahuakheda 67.2 Dolariya Kandrakhedi 100 77 Misrod 100 Nanpa 100 Sawalkheda 75.6 Rampur 8.4 Pipariya Sehelwada 100 100 Kherrikala 100 Pousera 100 Taronkala 100 Dhanashree 100 Sukhtawa Taronda 100 90.2 Pathrota 100 Kalaakhar 100 Daudijhunkar 75.6 Pandukhedi 75.6 Seoni Malwa Basaniya 100 77 Nadarwada 100 Dhekna 100 Shivpur 67.2 Archanagaon 16.8 Sohagpur Ranipipariya 100 62 Kamti 84 Isharpur 84 Banskhap 0.0 Machha 42.0 Total achievement for the district (34 sub centers renovated) 81 Note: The block wise average achievement = [Total percentage achievement (block wise)/5] The percentage is calculated based on selected 12 indicators as given in Annexure –7.7. The sub centers showing less than 100 per cent indicates that not all the proposed activities could be carried out during the project period. 138
  • 138.
    Indian Institute ofHealth Management Research, Jaipur Strengthening District Health System in Madhya Pradesh through Management Interventions (b) Village Health Centers: Though attempts were initiated to open 35 Village Health Centers (VHC), the project team was able to open only 27 Village Health centers out of targeted 35 (i.e., 77.14 per cent achievement) Table- 7.4. This was mostly due to lack of time in motivating the community for this activity. Closely linked to opening up of VHCs are the other activities such as: (a) Formation of Village Health Kalyan Team, (b) Institution of Village Health Kalyan Kosh and (c) Proof of institution of Kosh (photocopy of the passbook). These activities are indicators for a full-fledged VHC. The VHCs where all these three activities were completed during the project period are taken as completely operational. For each of these indicators an aggregate score of 33.4 percent is given. Thus, the village health centers where all three activities were completed were given a score of 100 per cent. The average achievement of the project in this regard is around 44 percent. The details of the proposed activities for an operational VHC and their achievement (Block wise) are given in Annexure – 7.8. Table 7.4: Status of village health centers in the district Name of the block Name of the Villages Status of village health center* Average (%) Babai Jawli 100 46.7Modapar 33.4 Khargabalidhana 66.8 Premtala 33.4 Bankhedi Padri thakur 66.8 20.0 Kapoori 33.4 Dolariya Mangwarii 100 80 Suparli 100 Rojada 100 Palanpur 100 Pipariya Sanghai 100 46.7 Kherua 33.4 Kumhawad 33.4 Sarra 33.4 Bhamhori 33.4 Sukhtawa Somalwada 66.8 40.1Kandaikala7 66.8 Pandhari 66.8 Seoni Malwa Rawanpipal 66.8 26.7Malapad 33.4 Baisadeh 33.4 Sohagpur Ajnari 100 46.7 Mahuakheda 33.4 Sosarkheda 33.4 Nimhora 33.4 Ajera 33.4 For the entire district (26 VHCs) 43.8 Note: The block wise average achievement = [Total percentage achievement (block wise)/5] * The achievements are calculated on the basis of three selected indicators. Though the project targeted at opening up of 35-village health centers, only 27 of them could be completed. The following factors were mostly responsible for this: 139
  • 139.
    Indian Institute ofHealth Management Research, Jaipur Strengthening District Health System in Madhya Pradesh through Management Interventions Problems from community • The poor service delivery system at village level demodulated the community to start up the process by arguing that infrastructure could not act as a catalyst for the delivery system. • Chance of fraud with the membership also decreased the rate of community participation • Reluctance of higher income groups in participating • Poor monitoring from the members of the community. • Extra burden and non-cooperation from the community in right time. • No cash income at a proper collection time. • Dependency on the implementing agency was the root cause of the failure in some region. Problems of implementing agency • Lack of sufficient time due to late implementation • Non- cooperation of the health workers and health officials in the selected implementation area. • Frequent change of field staff during the time of implementation. (c) Gramin Swasthya Kalyan Kosh: As mentioned above, attempts were made to establish Gramin Swasthya Kalyan Kosh (GSKK) at the places where the village health centers were opened. The project team could establish GSKK at 13 villages where the VHCs were opened. In Pipariya block, apart from opening GSKK in the proposed villages, the GSKK was also established in other villages namely Dokhrikheda, Thutadehelwada, Sehelwada and Madho. In Bakhedi block the GSKK was also established at sub center level i.e., Junheta. The details of the amount collected from community for this Kosh and deposited in the nearby post office are given in Table 7.5. Table 7.5: Name of the villages where GSKK established and amount deposited Name of the block Name of the village Amount deposited (as per the pass book obtained) Babai Jawli 300 Khargabalidhana 240 Bankhedi Junheta 240 Pandri Thakur 400 Sohagpur Ajnari 900 Seoni Malwa Ravan Pipal* 5000 Pipariya Dokrikheda 130 Sehelwada 200 Thuta Dehelwada 125 Madho 150 140
  • 140.
    Indian Institute ofHealth Management Research, Jaipur Strengthening District Health System in Madhya Pradesh through Management Interventions Name of the block Name of the village Amount deposited (as per the pass book obtained) Sanghai** 400 Dolariya Palanpur* 6096 Mangawari* 530 Rojda* 2640 Kandrakhedi* 1500 Sukhtawa Somalwada** 300 Kandaikala** 150 Pandri** 160 * The GSKK is merged with Mahila Mandal. ** Passbooks could not be collected during the project period. 7.8. POST INTERVENTION ASSESSMENT At the end of the intervention phase, the project team carried out a rapid assessment survey in order to assess their achievements under this intervention. Random sampling was followed for the selection of sample households. The households who were directly or indirectly involved in the process of intervention and those who were not involved in intervention process constituted the sample for interview. The households were interviewed based on questions of a structured questionnaire. A total number of 122 households scattered around seven blocks of the district were selected for the interview. It must be noted that the number of respondents in each block were selected on the basis of their respective achievements. Most of the respondents (around 64 per cent) were males. 7.8.1. Salient findings (a) Knowledge and awareness of renovation About two-third households (68 per cent) were aware of the activities initiated for renovation of sub centers. Of those who were aware about the renovation activity, 70 per cent were actively involved in the renovation process. (b) Role of the Community in renovation The community played their own role in renovation of sub centers. More than 50 percent of the households participated in the renovation work by making monetary contribution; contribution in kind; donating labour; and motivating households. Table 7.6 shows that one-fourth of sample households played important role in motivation. About 18 percent households paid cash. Table 7.6: Role of the respondents (who told yes) for their role in renovation process Role Number of households Percent Contributed cash 23 18.85 Contribution in kind 4 3.28 Donated Labor 9 7.37 As motivators 31 25.4 Subtotal 67 54.91 No Contribution 61 50.0 Total 128 104.9 141
  • 141.
    Indian Institute ofHealth Management Research, Jaipur Strengthening District Health System in Madhya Pradesh through Management Interventions Note: Multiple responses recorded 142
  • 142.
    Indian Institute ofHealth Management Research, Jaipur Strengthening District Health System in Madhya Pradesh through Management Interventions (c) Utilization of health services by respondents Households with knowledge about SHC renovation were enquired on their willingness to utilize the SHC services after renovation. About 86 per cent of them opined that they would use the SHC services in the future as they found that the services have improved after the renovation. Whether renovation of sub centers has improved access and utilization of services? Most of the respondents visited the health facilities for receiving the health care that are primary in nature Around 52 percent of the respondents told that they have received some kind of health services from their sub centers during last one year. The services mostly used were: General medical care (45.9 per cent). However, a fairly large proportion of them availed immunization services (18.85 per cent). Table 7.7. Table 7.7: Reasons for visiting the sub center during reference period (1 year) Reasons Service Users (N=122) Percent ANC 14 11.47 PNC 7 5.73 Family Planning 12 9.83 General treatment (Fever, Cold, First aid, Diarrhea, ARI, Malaria) 56 45.9 Immunization 23 18.85 Note: Multiple responses recorded (d) Status of Sub centers after renovation In order to assess the status of SHCs after renovation, the respondents were asked various questions relating to the availability of furniture, utilization of the services provided etc. Out of 61 persons who played active role in the renovation process, around 80 per cent of them were of the opinion that the necessary furniture are available after the SHC renovation. It is quite encouraging to note that the utilization of the health services has improved substantially as more than 90 per cent (58) of the respondents replied that the utilization of the health services available in the SHCs has improved. (e) Awareness and Utilization of GSKK It was noted that nearly 83 per cent of the total respondents were aware about the concept of Gramin Swasthya Kalyan Kosh (GSKK), thus giving us a strong evidence of the success of the project team in this regard. The evidence becomes stronger when we find that respondents who were aware about the Kosh, 71.2 per cent of them contributed for creating the Kosh. They contributed from Rs. 10 to more than Rs. 100 to the local fund at the village level (Kosh) Table – 7.8. 143
  • 143.
    Indian Institute ofHealth Management Research, Jaipur Strengthening District Health System in Madhya Pradesh through Management Interventions Table 7.8: Amount contributed by the respondents for GSKK Contribution in (Rs.) Frequency Percent >100 20 16.4 50 – 99 8 6.6 20-49 11 9.0 10-19 30 24.6 5-9 3 2.5 No contribution 50 41.0 Total 122 100.0 When the respondents were asked about the type of services they would like to avail from GSKK, it was significant to note that most of the respondents were worried about the sanitation and hygiene in their respective villages (50 per cent). This is certainly a positive achievement indicating that the people are aware about the importance of primary health care in the district (Table – 7.9). Table 7.9: Types of services the respondents would like to avail from GSKK Responses Frequency Transportation of emergencies 79 For maintaining better sanitation and hygiene in village 99 For services charges to JSR and AWW 8 For renovation of SHC time to time 15 Total 201 Note: Multiple responses recorded Most of the respondents (72.1 per cent) were hopeful that the concept of GSKK can be explained to the people and Koshs could be established in other villages. These observations could be summarized as under: • It is evident from the assessment that SHC renovation activities and opening up of GSKK has been initiated in the selected places • The SHC renovation has improved the utilization of health services by the public and it is expected that the services delivery will improve further in future. • The community could successfully do the SHC renovation activity provided that they are motivated for this. • The concept of Gramin Swasthya Kalyan Kosh (GSKK) has been well received by the communities and there has been greater involvement of the village people for establishing the same. • It is quite possible that the GSKK is quite useful for the village people and can be replicated in other villages 144
  • 144.
    Indian Institute ofHealth Management Research, Jaipur Strengthening District Health System in Madhya Pradesh through Management Interventions 7.9. LESSONS LEARNT Participation of the community and taking responsibility of health is crucial in the changing health scenario. Community involvement in primary health care addresses itself to the task of mobilization, putting in motion a wide spread process of collective organization and involvement which leads to increased human and material resources being channeled in development efforts. • The major lesson learned is that community is keen to participate in improving access and availability of health care in their areas, in contrast to the generally held belief that community is apathetic to public health system and takes no interest in the development of health facilities. Given the appropriate opportunity and guidance, as done in the project, mobilizes the community for action. • Renovation of SHCs or establishment Village Health Center (Gramin Swasthya Kalyan Kendra) and Gramin Swasthya Kalyan Kosh (GSKK) through community mobilization is certainly not an easy task, and it was a time consuming process. It would take 1-2 years for getting the desired outcomes. This is evidenced from the fact that the project team after putting repeated efforts for nearly 8 months, was able to renovate 25 percent of the total sub centers in the district with the support of the community and their representatives. This calls for the political commitment to community involvement for health and willingness of the health administration. The district development authorities and PRIs played an important role. • Any activity, which needs to be done through community support, needs constant and continuous meeting with the community with specific reference to the activities carried out by them and their benefits to the community. This needs Intersectoral coordination between the health and related departments, NGOs, private practitioners and other stakeholders. • In the decentralization process, more powers have been delegated to Gram Panchayats (GP). It was quite unfortunate that the selected representatives of GP are not aware about their own responsibilities. In most circumstances, the resources allocated to GP were not discussed in Gram Sabha Meetings where the decisions regarding any developmental work is made. This calls for effective decentralization process in the district and developing capacity of the GPs and PRIs. • The village communities could be better mobilized through GP members rather than any external agency. But the task of mobilizing the Panchayat and local government, particularly in short run, could better be done through external agencies and NGOs rather that the people from the health system. In a longer period, the task of mobilization could be delegated to the health sector after training the health department staff on community mobilization. • The required logistics support needs to be provided by the higher officials of the health and other departments in order to make the health care delivery system more effective. 145
  • 145.
    Indian Institute ofHealth Management Research, Jaipur Strengthening District Health System in Madhya Pradesh through Management Interventions 7.9.1. SUSTAINABILITY Once all the above-mentioned system related problems are addressed, the sustainability of Village Health Centers (VHC), Gramin Swasthya Kalyan Kosh (GSKK) and SHC renovation activity is certainly not a difficult task. Our experience from the present intervention shows that the VHCs as well as GSKK are sustainable in the long run. However, their long term sustainability certainly needs further community mobilization which is only possible through constant support from the health department and Intersectoral coordination, especially delegating the responsibilities to NGOs and other agencies outside the government system would help in sustaining the activities initiated by the project team. 7.10. CONCLUSION The concept of community financing and involvement dates from mid 1970s. Since Alma Ata, community participation has often been proclaimed as the key to success in the implementation of primary health care. Under the Strengthening District Health systems project, the project team carried out quite a large number of experiments and the team was able to achieve nearly eighty percent of the targeted achievements. The project team has reached at the following conclusions from this experiment: • The present health strategies failed to encourage people to think or act for themselves and did not foster self-reliance. • There was inadequate awareness at community level; therefore, the services that are established could not be sustained by local knowledge and resources. • There have been community contribution in terms of financial resources and manpower, but there has been little active involvement in the design and implementation of the project. This was mostly done through the persuasion from the project team. • The activities initiated by the project could only be sustainable through better community mobilization. This should preferably be done by the NGOs and prerequisites Intersectoral coordination and commitment from the heath department officials. 146
  • 146.
    Indian Institute ofHealth Management Research, Jaipur Strengthening District Health System in Madhya Pradesh through Management Interventions ANNEXURE –7.1 TOR FOR SUB HEALTH CENTER TEAM Constitution Sub health center team constituted by the order from the BMO’s. Composition • Health Supervisor’s • MPW’s • JSR • AWW • Trained Dai The Sarpanch or Panch of the village shall lead the SHC team, where the SHC is located. Terms of Reference (TOR) The SHC team shall meet every months and discuss problems of : • SHC Maintenance • Drug Store • MIS (Analysis of Form-6) • HRD problems • Coordinate with JSR/AWW/Trained Dai • SHC team shall address the Gram Sabha on health issue: -Hygiene -Sanitation -Safe water -MCH • Check records and reports to be sent. The Field officer of SDHS project shall be present during the SHC team meeting and help and guide the SHCT. A register shall be provided by the SDHS project for maintaining the record of SHCT meeting at the SHC. The Field officer shall report separately to the SDHS project about the decisions taken at the meeting. The implementing team to ensure order is issued by the BMO’s. First meeting will take place on 27th Sep’2003. 147
  • 147.
    Indian Institute ofHealth Management Research, Jaipur Strengthening District Health System in Madhya Pradesh through Management Interventions ANNEXURE –7.2 TOR FOR VILLAGE HEALTH CENTER (VHC) What is VHC? Village Health Center is a place (building) donated by the community for providing the health services. Jan Swasthya Rakshak (JSR), Trained Dai and AWW will provide the services to the community especially to those who are unprivileged in the society. There is a provision of separate labor room in the village health center, which is utilized by the trained Dai to conduct delivery. The provision of labor room ensures that all the deliveries, which are to be conducted by the Dai, are safe delivery. The village health center ensures the safe motherhood practices as well as hundred percent immunization and health services to mother and children as and when required. Why VHC? Quite a few villages in the district are cut off during the rainy seasons and unprivileged people specially the women and children are deprived of basic health care. Keeping in mind, Government of Madhya Pradesh health policy of having a Jan Swasthya Rakshak (JSR), Trained Dai and Anganwadi worker in every village, The SDHS project has working out on the idea of an establishing Village Health Center with community mobilization; participation for seeking the financial cooperation was conceived. Criteria for selection of village • Unapproachable village during rainy season • Having a predominant Below Poverty line population • Should have at least one Trained Dai • JSR leaving in the village • Anganwadi worker leaving in the village. • Land / building for VHC must be provided by the Panchayat. • Health committee must be formed to mange the VHC, the member consist of a) Panch b) Trained Dai c) JSR d) Anganwadi worker e) Local practitioner f) Two representatives from below poverty line population • Village Health Center at least 3 kilometer away from Sub Health Center. • MPW’s will visit Village Health Center at least once a week and spend 2 hours (fixed) 10 a.m.to12 a.m. • Health Supervisor will visit Village Health Center once a fortnight. • Primary Health Center Medical Officer visits once in a month. 148
  • 148.
    Indian Institute ofHealth Management Research, Jaipur Strengthening District Health System in Madhya Pradesh through Management Interventions • Villagers and health committee will ensure VHC is opened between 9 am to 11 am. • CHC will provide essential drugs and medicine and register for recording equipments for VHC. • Community will have a corpus fund for emergency. • Record of Below Poverty line family will be maintained in the center. Management of the VHC The Village health Committee will manage by the chairperson of the committee who is selected by the villages. The corpus fund which is collected by the health committee will deposited in the bank which can be utilized for the transportation of emergency obstructed cases (EOC) and to make the additional arrangement as required by the any service provider. The VHC will remain open 9 AM to 11 AM every day. The JSR, Trained Dai and AWW will hold clinics and responsible for the cleanness and running of the VHC. They will also maintain records of their work. The JSR/Trained Dai/AWW will work as team and any one of them can be Incharge of the VHC. In any village, if JSR is not available then a person is recruited as depot holder. The depot holder is selected by health committee. The depot holder will be trained in basic knowledge about the medicines so that he can provide the minor health care services to the villagers. Logistics at VHC (a) Furniture (b) Equipments (general)  One Mattress  Two Bed sheet  Two Pillows  Three Towels  Three Wooden racks to keep Medicines, Registers and  One Wash Basin  One Shelters Café  One B. P. Instrument  One Weighing Machine-Adult and Child  One Thermometer  Ten Register  Malaria Slides (c ) Equipment for Delivery  Enema Can With cathedra  Mackintosh  Plastic Apron  Torch  Kerosene stove 149
  • 149.
    Indian Institute ofHealth Management Research, Jaipur Strengthening District Health System in Madhya Pradesh through Management Interventions  Sauce Pan  Forceps  Plastic Bucket. (d) Drugs and Medicine • Paracetamol Tab. • Chloramines Tab. • Chlorine Tab. • Vitamin A Solution • ORS packets • DDK • Sprit • Ear/Eye drops Local / Alb acid drops 10% • Benzyl benzoate • Cotton and Gauze • Bandages • Trio dine • Soap- Lifebuoy • Syringes and Needles • Saline Stand 150
  • 150.
    Indian Institute ofHealth Management Research, Jaipur Strengthening District Health System in Madhya Pradesh through Management Interventions ANNEXURE –7.3 TOR FOR VILLAGE HEALTH TEAM (VHT) AND GSKK LokLF; dY;k.k Vhe@dks"k fu;ekoyh 1- laLFkk dk uke %& xzkeh.k LokLF; dY;k.k Vhe 2- laLFkk dk dk;kZy;%& xzkeh.k LokLF; dsUnz 3- laLFkk dk dk;Z{ks= %& xzkeh.k LokLF; dsUnz 4- laLFkk ds mnns’; %& 1 xzkeh.k LokLF; dY;k.k Vhe xkaoksa esa LokLF; ds izfr yksxksa esa tkx:drk ykus dk dk;Z djsxhA 2 xzkeh.k LokLF; dY;k.k Vhe tulg;ksx ls xzkeh.k LokLF; dY;k.k dks"k ,df=r djsxhA 3 xzkeh.k LokLF; dY;k.k Vhe ds }kjk xk¡o esa LoPN ikuh] LoLF; okrkoj.k rFkk f'k'kq ,oe ekr` lqj{kk ds fy, dk;Z djsxhA 4 xzkeh.k LokLF; dY;k.k Vhe ds }kjk xk¡o esa izf'kf{kr nkbZ] vkxauckMh dk;ZdrkZ ]tuLokLF; j{kd ,oe~ LokLF; dk;Zdrkvksa }kjk dk;Z djok;k tk,xkA 5 xzkeh.k LokLF; dY;k.k Vhe ;g lqfuf'pr djsxh fd muds dk;Z{ks= ds lHkh yksxkas dks LokLF; lqfo/kk, iw.kZ :i ls le; ij fey jgh gSa A 6 xzkeh.k LokLF; dsUnz ;k mi LokLF; dsUnz ij dk;Zjr dk;ZdrkZ lgh rjg esa viuh ftEesankfj;ksa dk fuokZgu dj jgs gaS bls lqfuf'pr djsxsa A 7 xzkeh.k LokLF; dsUnz dk j[kj[kko ,oe lk/kuksa dks miyC/k djkukA 5- laLFkk ds dk;Z %&LokLF; dY;k.k Vhe ;g fuf'pr djsxh dh mlds {ks= ds lHkh 1- cq[kkj ds lHkh ejhtksa dh jDr dh tkap gqbZ gS ,oe mudh tkap fjiksZV vk xbZ gSA 2- Vh-oh- ds ejhtksa dh tkap gks xbZ gS rFkk mUgsa nokbZ izkIr gks xbZ gSA 3- dq"B ds ejhtksa dh igpku gks xbZ gS rFkk mudk mipkj py jgk gSA 4- eksfr;kfcUn ds ejhtksa dks igpku fy;k gS rFkk vkijs'ku ds fy;s uke ntZ gks x;s gSA 5- lHkh xHkZorh ekrkvksa dk iath;u gks x;k gS rFkk Vhds yxs vkSj vk;ju dh xksyh fey xbZ gSA 6- ,d ls Ms<+ o"kZ ds cPpksa dks lHkh fu/kkZfjr Vhds yx x;s gSA 7- lHkh izlo izf'kf{kr nkabZ }kjk fd;s tk jgs gSA 8- {ks= ds lHkh dqvksa dk 'kqf)dj.k fu;fer #i ls gks jgk gSA 9- #ds gq, ikuh dh fudklh dh O;oLFkk cuk yh xbZ gSA 6- laLFkk ds lnL; & 1- ljiap@iap v/;{k 2- iapk;r lfpo dks"kk/;{k (vxj xk¡o esa jgrk]gks) 3- tu LokLF; j{kd dks"kk/;{k /lfpo 151
  • 151.
    Indian Institute ofHealth Management Research, Jaipur Strengthening District Health System in Madhya Pradesh through Management Interventions 4- cgqmnns'kh; dk;ZdrkZ¼iq#"k@efgyk½ lnL; 5- vkaxuokM+h dk;ZdrkZ lnL; 6- çf'kf{kr nkabZ lnL; 7- laLFkk dk;kZy; esa fuEufyf[kr iath j[kh tkosxh %& 1- xHkZorh iath;u jftLVj 2- Vhdkdj.k jftLVj 3- xjhch js[kk ls uhps thou ;kiu djus okyksa dk lwpuk jftLVj 4- ty 'kqf)dj.k tkudkjh jftLVj 5- y{; naifRr jftLVj 6- nokbZ forj.k ,oe LVk¡d jftLVj 7- vks ih Mh jftLVj 8- chekfj;ksa dh fuxjkuh dk jftLVj ( Disease Surveillance Register) 9- vk; O;; ys[kk tks[kk jftLVj 8- laLFkk dh cSBds 1- izfr lkseokj dks xzkeh.k LokLF; dsUnz ij LokLF; lfefr ds lHkh lnL; ,df=r gksdj fd;s x;s dk;ksZ dh tkudkjh nsxs vkSj vkus okys lIrkg ds fy;s dk;Z fu/kkZfjr djsaxsA 2- LokLF; dY;k.k Vhe xzkelHkk ds fnu LokLF; ds fo"k;ksa ij tkudkjh iznku djsxh ,oe yksxksa dks LokLF; lqfo/kkvksa dk ykHk mBkus ds fy;s izsfjr djsxhA 9- LokLF; dY;k.k dks"k 1- ,d eq'r nku %&LokLF; dY;k.k Vhe lnL; xkao ds yksxksa ls laidZ dj muls dks"k ds xBu ds fy;s ,d eq'r nku izkIr djsxhA nku yksxksa dh nsus dh {kerk ij fu/kkZfjr jgsxkA 2- ekfld nku %& izfr ekg esa gj ifjokj ls ,d fuf'pr jkf'k LokLF; chek ds uke ls ,df=r dh tk,xhA ;g jkf'k #i;s 5 ls 10 #i;s izfr ifjokj gks ldrh gSA LokLF; dY;k.k Vhe ds lnL; x.k bldk fu/kkZj.k djsaxsA 10- cSad [kkrk %& laLFkk dh leLr fuf/k fdlh vuqlwfpr cSad ;k iksLV vkfQl esa [kksyh tkosxh ,oe le;&le; ij /ku tek djus o fudkyus dh izfØ;k tkjh jgsxhA/ku dk vkgj.k v/;{k rFkk dks"kk/;{k ds la;qDr gLrk{kjksa ls gksxkA 11- LokLF; dY;k.k dks"k ds ykHkkFkhZ LokLF; dY;k.k dks"k xjhch js[kk ls uhps thou ;kiu dj jgs yksxksa dks LokLF; lqfo/kk izkIr djus ds fy, vkfFkZd lg;ksx iznku djsxhA 152
  • 152.
    Indian Institute ofHealth Management Research, Jaipur Strengthening District Health System in Madhya Pradesh through Management Interventions LokLF; dY;k.k dks"k (EOC) tfVy izlo ,oe tfVy LokLF; leL;kvksa ds fy, okgu dk izca/k djsxhA LokLF; dY;k.k dks"k dh jkf'k dk mi;ksx xzkfe.k LokLF; dsUnz ds j[k j[kko ,oe vko';d lk/kuks adks miyC/k djokus ds fy;s fd;k tk;sxkA 153
  • 153.
    Indian Institute ofHealth Management Research, Jaipur Strengthening District Health System in Madhya Pradesh through Management Interventions ANNEXURE –7.4 PANCH SARPANCH CHECKLIST iap ljiapksa ds fy, psd&fyLV Ø- iz'u mÙkj 1- D;k mi&LokLF; dsUæ lIrkg ds fu/kkZfjr fnuksa ij [kqyrk gS gk¡ ugha 2- D;k mi&LokLF; dsUæ dh nhokj ij LokLF; dk;ZdrkZvksa dh dk;Z&;kstuk vkSj nh tkus okyh LokLF; lsokvksa dk mYys[k fd;k gS gk¡ ugha 3 D;k LokLF; dk;ZdrkZ viuk dke dj jgs gSa gk¡ a ugh 4- D;k vkids {ks+= dh lHkh xHkZorh efgyk,a ,oe~ f'k'kqvksa dk ¼0&1 o"kZ½ iath;u LokLF; dk;ZdrkZ ds }kjk fd;k x;k gS gk¡ ugha 5- D;k mi&LokLF; dsUæ ij lHkh fu/kkZfjr o vko';d nokbZ;ka vPNh rjg ls j[kh gqbZ gS rFkk mudk fjdkMZ Hkh lgh rjg ls j[kk tk jgk gS gk¡ ugha 6- D;k mi&LokLF; dsUæ ij miyC/k djk;s x;s lHkh midj.k lgh #i ls gS] vkSj mldk mi;ksx fd;k tk jgk gS gk¡ ugha 7- D;k mi&LokLF; dsUæ dh Vhe dk xBu fd;k x;k gS gk¡ ugha 8- D;k mi&LokLF; dsUæ Vhe dh ehfVax gj ekg fu/kkZfjr fnol ij gksrh gS gk¡ ugha 9- xzke lHkk ds fnu D;k mi LokLF; dsUæ dh Vhe LokLF; ds eqnnksa ij ckrphr djrh gSa gk¡ ugha 1 0 D;k LokLF; dY;k.k lfefr dk xBu fd;k x;k gSa gk¡ ugha fnukad % gLrk{kj&ljipa 154
  • 154.
    Indian Institute ofHealth Management Research, Jaipur Strengthening District Health System in Madhya Pradesh through Management Interventions ANNEXURE –7.5 WORK PLAN 1- iap @ljiap lqfuf'pr djsxsa dh mudh iapk;r dk mi LokLF; dsUæ fu/kkZfjr le; ij jkst [kqyk jgsxkA ftl fnu LokLF; dk;ZdrkZ dk Hkze.k mi LokLF; dsUæ ij u gks ml fnu tu LokLF; j{kd] izf’kf{kr nkbZ ;k vkaxuokM+h dk;ZdrkZ mi LokLF; dsUæ esa jgsA 2- iap@ljiap lqfuf'pr djsxsa dh LokLF; dk;ZdrkZ ¼iq#"k@efgyk½ viuk dk;Z izHkkfor <ax ls djsA LokLF; dk;ZdrkZ viuh dk;Z;kstuk mi LokLF; dsUæ dh nhoky ij xs# ls vafdr djs dh dkSu ls fnu fdl xkao esa mudk Hkze.k gSa ,oe~ dkSu lk dk;Z djus okys gSA 3- iap ljiap lqfuf'pr djs dh mi LokLF; dsUæ esa dkSu&dkSu lh LokLF; lsok,a miyC/k gS mUgsa mi LokLF; dsUæ dh nhoky ij xs# ls vafdr djsA 4- iap ljiap lqfuf'pr djs dh muds {ks= dh lHkh xHkZorh efgyk dk iath;u gqvk gS ,oe~ ;g Hkh lqfuf'pr djs dh 0&1 o"kZ ds lHkh cPpks dk iath;u gqvk gSsaA 5- iap ljiap lqfuf'pr djs dh mi LokLF; dsUæ ij tks nokbZ;ka vkoafVr gqbZ gS mudk j[kj[kko ,oe~ fjdkMZ lgh rjg ls j[kk x;k gSA 6- iap ljiap lqfuf'pr djs dh mi LokLF; dsUæ ij miyC/k djk;s x;s midj.kksa dk j[kj[kko ,oe~ bLrseky lgh #i esa gks jgk gSaA 7- iap ljipa lqfuf'pr djs dh mi LokLF; dsUæ dh cSBd esa] LokLF; i;Zos{kd efgu esa ls de ls de ,d ckj cSBd vko';d #i ls djs ,oe~ ml cSBd esa LokLF; dk;ZdrkZvksa ds lkFk esa tu LokLF; j{kd] izf’kf{kr nkabZ vkSj vkaxuokM+h dk;ZdrkZ dh mifLFkfr vfuok;Z gksxhA 8- iap ljiap vius mi LokLF; dsUnz ds varxZr ,d miLokLF; dsUnz Vhe dk xBu djsxs ftlesa LokLF; i;Zos{kd] LokLF; dk;ZdrkZ ¼efgyk ,oe~ iq#"k½]tu LokLF; j{kd] vkaxuokM+h dk;ZdrkZ ,oe~ izf’kf{kr nkbZ lnL; jgsaxs ftudh gj ekg cSBd gqvk djsxhA Vhe ds xBu ,oe~ fu;fer cSBd dk vkns’k iap ljiap Lo;a fudkysxasA 9- mi LokLF; Vhe dk nkf;Ro gksxk dh oks xzke lHkk esa gj efgus viuh fjiksVZ izLrqr djs ,oe~ LokLF; lacaf/kr fo"k;ksa ij ppkZ djs tSls dh LoPNrk O;fDrxr ,oe~ xkao dh LoPNrk] ekr` ,oe~ f'k'kq dY;k.k] LoPN is; ty vkfn A 10 gj xzke iapk;r ds ljiap ;g lqfuf'pr djs dh ,d LokLF; dY;k.k lfefr dk xBu djsxs ftldh v/; {krk ljiap djsaxs vkSj blds lnL; gksaxs v/;{krk ljiap djsaxs vkSj blds lnL; gksaxs LokLF; dk;ZdrkZ ¼iq#"k@efgyk½] tuLokLF; j{kd] vkaxuokM+h dk;ZdrkZA LokLF; dY;k.k lfefr ds varxZr ,d vkdfLed dks"k dk lapkyu djsaxs ftlesa de ls de 2000 #i;s [kkrk ikl ds Mkd?kj ;k cSad esa [kksyk tk,xkA bu iSls dk mi;ksx vkdfLed LokLF; lsokvksa ds fy, fd;k tk,xkA [kkl dj mu yksxks ds fy, tks xjhch js[kk ds uhps thou ;kiu dj jgs gSA 155
  • 155.
    Indian Institute ofHealth Management Research, Jaipur Strengthening District Health System in Madhya Pradesh through Management Interventions ANNEXURE –7.6 CONTRIBUTION OF PRIS AND COMMUNITIES FOR SUB CENTER RENOVATION (A) Contribution from PRIs The PRIs mostly contributed for carrying out the activities such as cleanliness of outside and inside the sub center, minor repairs, purchase of furniture. (i) Babai Name of the block Name of the SHC PRI Contribution for Amount in Rupees Babai Gujarwada White washing 1800 Painting 1200 Anchalkheda White washing 1000 Painting 800 Ankhmou White washing 1800 Sirwad White washing 1800 Painting 1200 Nasirabad White washing 800 Total contribution from PRI 10400 (ii) Bankhedi Name of the block Name of the SHC PRI Contribution for Amount in Rupees Bankhedi Piparpani White washing 1800 Junheta White washing 1000 Painting 800 Provision of furniture 3000 Construction of labor room 50000 Bhairopur White washing 1000 Paraswada White washing 1800 Provision of furniture 5000 Total contribution from PRI 64400 (iii) Sohagpur Name of the block Name of the SHC PRI Contribution for Amount in Rupees Sohagpur Ranipipariya White washing, cleaning the surrounding and provision of furniture 6800 Painting 500 Kamti White washing 1000 Painting 800 Isherpur White washing 1500 Total contribution from PRIs 10600 156
  • 156.
    Indian Institute ofHealth Management Research, Jaipur Strengthening District Health System in Madhya Pradesh through Management Interventions (iv) Dolariya Name of the block Name of the SHC PRI and NGO Contribution for Amount in Rupees Dolariya Kandrakhedi White washing and renovation 1300 Provision of furniture and other equipment by NGO and PRI 5500 Nanpa White washing and renovation 2000 Provision of furniture and other equipment by NGO and PRI 9000 Sawalkheda White washing and renovation 1000 Furniture 500 Misrod White washing and renovation 1500 Provision of furniture by NGO 4000 Total contribution from PRI and NGOs 24800 (v) Pipariya Name of the block Name of the SHC PRI and NGO Contribution for Amount in Rupees Pipariya Posera White washing and renovation 1700 Provision of furniture and other equipment by NGO 4000 Taronkala White washing and renovation 8000 Provision of furniture and other equipment by NGO 4000 Sahelwada White washing and renovation 4000 Provision of furniture and other equipment by NGO 4000 Kharikala White washing and renovation 5000 Provision of furniture and other equipment by NGO 4000 Dhanashri White washing and renovation 1500 Provision of furniture and other equipment by NGO 4000 Total contribution from PRI and NGOs 40200 157
  • 157.
    Indian Institute ofHealth Management Research, Jaipur Strengthening District Health System in Madhya Pradesh through Management Interventions (vi) Sukhtawa Name of the block Name of the SHC PRI and NGO Contribution for Amount in Rupees Sukhtawa Taronda White washing and minor repairs 2500 Major repairs and other works by PRI 10000 Pathrota White washing and renovation 2500 Provision of electricity supply and water connection 1500 Kakaakhar White washing and renovation 1500 Provision of furniture and other equipment by PRI 5000 Total contribution from PRI and NGOs 23000 (vii) Seoni Malwa Name of the block Name of the SHC PRI and Contribution for Amount in Rupees Seoni Malwa Basaniyakala White washing and renovation and provision of furniture 6500 Nandarwada White washing and renovation and provision of furniture 5000 Dhekna White washing and renovation and provision of furniture 7000 Total contribution from PRI and NGOs 18500 (B) Contribution from community (i) Babai Name of the block Name of the SHC Community contribution for* Amount Babai Gujarwada Cleaning 300 Arranging the drugs 400 Anchalkheda Cleaning 800 Arranging the drugs 400 Ankhmou Cleaning 300 Arranging the drugs 200 Sirwad Cleaning 300 Arranging the drugs 400 Nasirabad Cleaning 100 Arranging the drugs 300 Total contribution from community 3500 158
  • 158.
    Indian Institute ofHealth Management Research, Jaipur Strengthening District Health System in Madhya Pradesh through Management Interventions (ii) Bankhedi Name of the block Name of the SHC Community contribution for* Amount Bankhedi Piparpani Cleaning 300 Junheta Cleaning 500 Arranging the drugs 400 Bhairopur Cleaning 300 Paraswada Cleaning 400 Mahuakheda Cleaning 200 Total contribution from community 1800 (c ) Sohagpur Name of the block Name of the SHC Community contribution for* Amount Sohagpur Ranipipariya Cleaning 200 Kamti Arranging the drugs 400 Isherpur Cleaning 300 Arranging the drugs 100 Total contribution from community 1000 159
  • 159.
    Indian Institute ofHealth Management Research, Jaipur Strengthening District Health System in Madhya Pradesh through Management Interventions ANNEXURE –7.7 STAUS OF SUB CENTERS RENOVATED IN DIFFERENT BLOCKS (i) Babai Indicators for SHC renovation Name of the Sub Centers Anchalkh eda Gujarwa da Ankhmou Sirbad Nasiraba d 1. Cleaning Yes Yes Yes Yes Yes 2. White Washing Yes Yes Yes Yes Yes 3. Minor repairs Yes Yes Yes No No 4. Supply of Furniture Yes Yes Yes Yes No 5. Supply of Registers and form 6 Yes Yes Yes Yes Yes 6. Name plate of SHC Yes Yes Yes No No 7. Check-List of Q.A. Yes Yes Yes Yes Yes 8. Check-List of PRI (Sarpanch) Yes Yes Yes Yes Yes 9. Formation of SHC Team Yes Yes Yes Yes Yes 10. Preparation of SHC plan Yes Yes Yes Yes Yes 11. Painting on Wall, (services and tour plan) Yes Yes Yes No No 12. Opening of SHC Yes Yes Yes Yes No Achievement (86.9%) 100 100 100 75.6 58.8 (ii) Bankhedi Indicators for SHC renovation Name of the Sub Centers Junheta Paraswad a Bhairapu r Piparpani Mahuakh eda 1. Cleaning Yes Yes Yes Yes Yes 2. White Washing Yes Yes Yes No No 3. Minor repairs No No No No No 4. Supply of Furniture Yes Yes No No No 5. Supply of Registers and form 6 Yes Yes Yes Yes Yes 6. Name plate of SHC No No No Yes Yes 7. Check-List of Q.A. Yes Yes Yes Yes Yes 8. Check-List of PRI (Sarpanch) Yes Yes Yes Yes Yes 9. Formation of SHC Team Yes Yes Yes Yes Yes 10. Preparation of SHC plan Yes Yes Yes Yes Yes 11. Painting on Wall, (services and tour plan) Yes Yes No No No 12. Opening of SHC Yes Yes Yes Yes Yes Achievement (73.9%) 84 84 67.2 67.2 67.2 160
  • 160.
    Indian Institute ofHealth Management Research, Jaipur Strengthening District Health System in Madhya Pradesh through Management Interventions (iii) Dolariya Indicators for SHC renovation Name of the Sub Centers Kandrak hedi Misrod Nanpa Sawalkhed a Rampur 1. Cleaning Yes Yes Yes No No 2. White Washing Yes Yes Yes No No 3. Minor repairs Yes Yes Yes No No 4. Supply of Furniture Yes Yes Yes Yes No 5. Supply of Registers and form 6 Yes Yes Yes Yes Yes 6. Name plate of SHC Yes Yes Yes Yes No 7. Check-List of Q.A. Yes Yes Yes Yes No 8. Check-List of PRI (Sarpanch) Yes Yes Yes Yes No 9. Formation of SHC Team Yes Yes Yes Yes No 10. Preparation of SHC plan Yes Yes Yes Yes No 11. Painting on Wall, (services and tour plan) Yes Yes Yes Yes No 12. Opening of SHC Yes Yes Yes Yes No Achievement (77%) 100 100 100 75.6 8.4 (iv) Pipariya Indicators for SHC renovation Name of the Sub Centers Sahalwa da Kherrikal a Pousera Taronkala Dhanashre e 1. Cleaning Yes Yes Yes Yes Yes 2. White Washing Yes Yes Yes Yes Yes 3. Minor repairs Yes Yes Yes Yes Yes 4. Supply of Furniture Yes Yes Yes No Yes 5. Supply of Registers and form 6 Yes Yes Yes Yes Yes 6. Name plate of SHC Yes Yes Yes Yes Yes 7. Check-List of Q.A. Yes Yes Yes Yes Yes 8. Check-List of PRI (Sarpanch) Yes Yes Yes Yes Yes 9. Formation of SHC Team Yes Yes Yes Yes Yes 10. Preparation of SHC plan Yes Yes Yes Yes Yes 11. Painting on Wall, (services and tour plan) Yes Yes Yes Yes Yes 12. Opening of SHC Yes Yes Yes Yes Yes Achievement (100%) 100 100 100 100 100 161
  • 161.
    Indian Institute ofHealth Management Research, Jaipur Strengthening District Health System in Madhya Pradesh through Management Interventions (v) Sukhtawa Indicators for SHC renovation Name of the Sub Centers Taronda Pathrota Kalaakhar Daudijhun kar Pandukhe di 1. Cleaning Yes Yes Yes No No 2. White Washing Yes Yes Yes No No 3. Minor repairs Yes Yes Yes No No 4. Supply of Furniture Yes Yes Yes Yes Yes 5. Supply of Registers and form 6 Yes Yes Yes Yes Yes 6. Name plate of SHC Yes Yes Yes Yes Yes 7. Check-List of Q.A. Yes Yes Yes Yes Yes 8. Check-List of PRI (Sarpanch) Yes Yes Yes Yes Yes 9. Formation of SHC Team Yes Yes Yes Yes Yes 10. Preparation of SHC plan Yes Yes Yes Yes Yes 11. Painting on Wall, (services and tour plan) Yes Yes Yes Yes Yes 12. Opening of SHC Yes Yes Yes Yes Yes Achievement (90.2%) 100 100 100 75.6 75.6 (vi) Seoni Malwa Indicators for SHC renovation Name of the Sub Centers Basaniya Nandarwa da Dhekna Shivpur Archangao n 1. Cleaning Yes Yes Yes No No 2. White Washing Yes Yes Yes No No 3. Minor repairs Yes Yes Yes No No 4. Supply of Furniture Yes Yes Yes Yes No 5. Supply of Registers and form 6 Yes Yes Yes Yes Yes 6. Name plate of SHC Yes Yes Yes Yes No 7. Check-List of Q.A. Yes Yes Yes Yes No 8. Check-List of PRI (Sarpanch) Yes Yes Yes Yes No 9. Formation of SHC Team Yes Yes Yes Yes No 10. Preparation of SHC plan Yes Yes Yes Yes No 11. Painting on Wall, (services and tour plan) Yes Yes Yes No Yes 12. Opening of SHC Yes Yes Yes Yes No Achievement (77%) 100 100 100 67.2 16.8 162
  • 162.
    Indian Institute ofHealth Management Research, Jaipur Strengthening District Health System in Madhya Pradesh through Management Interventions (vii) Sohagpur Indicators for SHC renovation Name of the Sub Centers Rani Pipariya Kamti Isherpur Banskhap Machha 1. Cleaning Yes Yes Yes No No 2. White Washing Yes Yes Yes No No 3. Minor repairs Yes Yes Yes No No 4. Supply of Furniture Yes Yes Yes No No 5. Supply of Registers and form 6 Yes Yes Yes No Yes 6. Name plate of SHC Yes No No No No 7. Check-List of Q.A. Yes Yes Yes No Yes 8. Check-List of PRI (Sarpanch) Yes Yes Yes No Yes 9. Formation of SHC Team Yes Yes Yes No Yes 10. Preparation of SHC plan Yes Yes Yes No Yes 11. Painting on Wall, (services and tour plan) Yes No No No No 12. Opening of SHC Yes Yes Yes No No Achievement (62%) 100 84 84 0.0 42.0 163
  • 163.
    Indian Institute ofHealth Management Research, Jaipur Strengthening District Health System in Madhya Pradesh through Management Interventions ANNEXURE –7.8 STATUS OF THE VILLAGE HEALTH CENTERS IN DIFFERENT BLOCKS (i) Babai Indicators Babai Name of the Gramin Swasthya Kalyan Kendra Jawali Modapa r Khargabalid ahana *Prem tala Chichli* 1 Formation of Village health Kalyan Team Yes Yes Yes Yes No 2 Institution of Village health Kalyan Kosh Yes No Yes No No 3 Photocopy of Pass Book Yes No No No No Achievement (%) 100 33.4 66.8 33.4 0.0 (ii) Bankhedi Indicators Bankhedi Name of the Gramin Swasthya Kalyan Kendra Padrai thakur Kapoori 1 Formation of Village health Kalyan Team Yes Yes 2 Institution of Village health Kalyan Kosh Yes No 3 Photocopy of Pass Book No No Achievement (%) 66.8 33.4 (iii) Dolariya Indicators Dolariya Name of the Gramin Swasthya Kalyan Kendra Mangwari Suparli Rojada Palanpur 1 Formation of Village health Kalyan Team Yes Yes Yes Yes 2 Institution of Village health Kalyan Kosh Yes Yes Yes Yes 3 Photocopy of Pass Book Yes Yes Yes Yes Achievement (%) 100 100 100 100 164
  • 164.
    Indian Institute ofHealth Management Research, Jaipur Strengthening District Health System in Madhya Pradesh through Management Interventions (iv) Pipariya Indicators Pipariya Name of the Gramin Swasthya Kalyan Kendra Sanghai Kherua Kumhawad Sarra Bhamhori 1 Formation of Village health Kalyan Team Yes Yes Yes Yes Yes 2 Institution of Village health Kalyan Kosh Yes No No No No 3 Photocopy of Pass Book Yes No No No No Achievement (%) 100 33.4 33.4 33.4 33.4 (v) Sukhtawa Indicators Sukhtawa Name of the Gramin Swasthya Kalyan Kendra Somalwada Kandaikala Pandhari 1 Formation of Village health Kalyan Team Yes Yes Yes 2 Institution of Village health Kalyan Kosh Yes Yes Yes 3 Photocopy of Pass Book No No No Achievement (%) 66.8 66.8 66.8 (vi) Seoni Malwa Indicators Seoni Malwa Name of the Gramin Swasthya Kalyan Kendra Rawanpipal Malapad Baisadeh 1 Formation of Village health Kalyan Team Yes Yes Yes 2 Institution of Village health Kalyan Kosh Yes No No 3 Photocopy of Pass Book No No No Achievement (%) 66.8 33.4 33.4 (vii) Sohagpur Indicators Sohagpur Name of the Gramin Swasthya Kalyan Kendra Ajnari Mahuakheda Sosarkheda Nimhora Ajera 1 Formation of Village health Kalyan Team Yes Yes Yes Yes Yes 2 Institution of Village health Kalyan Kosh Yes No No No No 3 Photocopy of Pass Book Yes No No No No Achievement (%) 100 33.4 33.4 33.4 33.4 165
  • 165.
    Indian Institute ofHealth Management Research, Jaipur Strengthening District Health System in Madhya Pradesh through Management Interventions CHAPTER 8 PANCHAYATI RAJ INSTITUTIONS ENHANCING PARTICIPATION IN PRIMARY HEALTH CARE 8.1. BACKGROUND Village Panchayats have a crucial role to play in the local governance and development through participation of the people or the community. The role of Panchayati Raj was defined in the Directive Principles of State Policy (Article 40). The formal system of Panchayati Raj was first introduced in 1959. Since then, the system has evolved differently in different states. Community development was the main focus in the independent India and Panchayati Raj Institutions (PRIs) were expected to engineer this through active community participation. A three-tier system was introduced – at the village, block and the district level. However, over the successive decades, these primary institutions were practically marginalized for various reasons, especially, due to over centralization and over bureaucratisation in the country. A major breakthrough was ushered with the 73rd Amendment in the Indian Constitution. It was meant to provide constitutional sanction to establish democracy at the grass root level to enable people to plan and take decisions for the development activities for their own areas and people. A District Planning Committee (DPC) have been constituted and given constitutional status. Most of the financial powers and authorities are endowed on Panchayats by the state legislature. However, the powers and functions vested on Panchayat Raj Institutions (PRI) vary from state to state. After the 73rd Constitutional Amendment, Madhya Pradesh enacted the "Madhya Pradesh Panchayati Raj Adhiniyam", 1993 which received the assent of the Governor of the state on 24 January 1994. In the country, MP was the first state where, in pursuance of the constitutional act, the three-tier system was established. The state of Madhya Pradesh also has the distinction of being the first state to have completed elections of all the 3 tiers of the Panchayati Raj. Under the Royal Danish Funded “Strengthening District Health Systems through Management Interventions” various experiments on role of PRIs, with specific reference to health sector in Hoshangabad District was carried out. The present report describes various problems associated with PRIs participation in health care, their feasible solutions at local level and implementation of possible solutions in the field, outcomes of the effort, lessons learnt and sustainability of the initiated activities related to PRIs involvement in health care. Accordingly the present report is divided into six sections. The succeeding section describes the present PRI structure in the state and district. Various problems associated with the involvement of PRIs in health care as identified through various approaches are given in Section 8.3. Section 8.4 gives a brief outline of the interventions carried out in the district. The outcomes of the interventions are presented in Section 8.5. Lessons learnt and the sustainability of the initiated interventions is presented in Section 8.6. The concluding remarks are presented at the end of the report. 166
  • 166.
    Indian Institute ofHealth Management Research, Jaipur Strengthening District Health System in Madhya Pradesh through Management Interventions 8.2. PRESENT PRI STRUCTURE (i) Structure of Panchayat Raj institution in state As on today, there are 45 Zilla Panchayats, one in each district, with an overall strength of 734 members. These members belong to various categories, namely, scheduled caste, scheduled tribes, backward classes and general category. Women represent 33 percent of total members. There are 313 Janpad Panchayats with 6456 members in all. The most significant component of the Panchayati Raj system is Gram Panchayat. There are 22,029 Gram Panchayats, each headed by a Sarpanch. The Gram Panchayat is constituted by a set number of Panch. There are 3,14,847 Panch in these Gram Panchayats. Exhibit 8.1 depicts the structure of PRI institutions in the state5 Exhibit 8.1: Structure of PRI in Madhya Pradesh 5 This flow chart does not take into account the changes affected due to the implementation of the Madhya Pradesh Panchayati Raj (Sanshodhan) Adhiniyam,2001 Gram Panchayat Sarpanch/Panch(S) Panchayat Sachiv/Karmi Zila Sarkar Minister In Charge Collector (Secretary) Mp's / Mla's Members Of The Zila Panchayat Members Of The Nagar Panchayats To consolidate the plans prepared by the Panchayats and Municipalities in the district and to prepare a draft development plan for the district as a whole Zilla Panchayat Adyaksh C.E.O. (Secretary) Elected Representatives General assembly General Administration committee Education committee Health committee Agriculture committee Co-operative /industries committee Communications / works committee Janpad Panchayat Adyaksh C.E.O. (Secretary) Elected Representatives Monitoring of ANM/MPW/AWW/CHV/Depot Holder 167
  • 167.
    Indian Institute ofHealth Management Research, Jaipur Strengthening District Health System in Madhya Pradesh through Management Interventions (ii) Structure of Panchayati Raj Institutions in Hoshangabad The Government of Madhya Pradesh enacted the Madhya Pradesh Zilla Yojna Sammittee Adhiniyam, in 1995. This Sammittee has been assigned to draft a development plan for the district as a whole. Shrimati Uma Arse (Adhyaksh/President), who hails from Bankhedi, heads the Zilla Panchayat in Hoshangabad. The Upadhyaksh /Vice President is Shri Arjun Paliya who was elected from Pipariya. The Adhyaksh (President) position at the Zilla Panchayat is reserved for women. At present, the Chief Executive Officer assisting the Adhyaksh is Shri Hiralal Divedi. Approximately 25-30 Panchayats constitute one ward at the district level and 3-4 Panchayats constitute one ward at the Janpad / Block level. Table 8.1 gives the profile of PRI institutions in the district. Table 8.1: Profile of Panchayati Raj Institutions in Hoshangabad district Description Number Number of Zilla Panchayat members 12 Number of Janpad (Block level) Panchayats 7 (Hoshangabad, Babai, Sohagpur, Pipariya, Bankhedi, Seoni Malwa, Kesla) Total number of Janpad/Block level members 122 Total number of Gram Panchayats 391 Total number of Sarpanch(s) at village level 391 Block having the largest number of Gram Panchayats Seoni Malwa (81) 8.3. DIAGNOSTIC STUDY – PROBLEMS AND ISSUES As already known, the major objective of the Project was to assess the role PRIS in health care and strengthen the problems associated with it through various managerial interventions in order to strengthen Primary health care delivery systems. In order to do this a diagnostic was carried out by the project team at the beginning of the project. The salient findings of the study are as follows: The most significant finding of the study was related to their own roles and responsibilities as Panchayat members. There is a gross lack of understanding of their rights and powers in general, and in the context of health services delivery it was quite minimal. Their knowledge about the health schemes currently operational in the district was extremely poor and the involvement of Panchayat bodies in the health care delivery was extremely marginal. The other key findings are as follows: • Around 45 per cent of the village level Panchayat representatives were illiterate giving an indication that their level of understanding about their roles and responsibilities related to Panchayat is poor. 168
  • 168.
    Indian Institute ofHealth Management Research, Jaipur Strengthening District Health System in Madhya Pradesh through Management Interventions • Most (around 48 per cent) of the village level PRI had agriculture as their main occupation. • Around 67 per cent of the respondents were elected for the first time as Panchayat member. • The respondents had little knowledge about the roles and responsibilities of the health workers and were of the opinion that the health workers are meant for carrying out immunisation and distributing the medicines for common health problems. • The PRI representatives have little knowledge regarding their rights and powers vested on them related to health sector. Most of them understand that lodging complain against the health workers and withholding their payment are their major responsibilities. • Majority of the Panchayat members were of the opinion that the main source of information regarding their rights and power is Gram Panchayat meeting / Gram Sabha Meetings. • Few Panchayat members were aware about the health schemes such as Ayushmati Yojana, Maternity benefit Yojana etc. • Only 59 percent of the PRI members were aware about the current status of Swasthya Sammittee in their respective villages. • Knowledge of the respondents about the major health problems in their respective areas was also very limited. There was hardly any knowledge of high infant mortality and maternal mortality rates. They had knowledge of malaria and tuberculosis, but they did not know about HIV. • Similarly, their knowledge on population and reproductive health problems was quite inadequate. They did not even know about various family planning methods and current users of contraceptives. The above findings of the diagnostic study clearly reveals that majority of the PRI representatives did not perceive health care of the people as their concern and responsibility. Hence their involvement in health services delivery was found to be quite minimal in the villages and the community. 8.4. INTERVENTIONS Keeping the above problems in mind, the Project aimed at following interventions: • Creating awareness of roles and responsibilities of the PRIs in development and the health sector • Capacity building of the PRIs in performing their roles and responsibilities • Enhancing participation of the PRIs in health services delivery • Involvement of PRIs in monitoring and mobilizing community at the village level 169
  • 169.
    Indian Institute ofHealth Management Research, Jaipur Strengthening District Health System in Madhya Pradesh through Management Interventions Some of the interventions were planned for implementation cutting across the entire Hoshangabad district while the other focused on one Block – Pipariya. The activities carried out to make the planned interventions successful at the district and block levels are as follows: INTERVENTION 1: CREATING AWARENESS ON ROLES AND RESPONSIBILITIES OF THE PRIS IN DEVELOPMENT AND THE HEALTH SECTOR (a) District Level Workshops Two district level workshops were organized at the initial stage of the project. One workshop was exclusively for the PRIs and the other was for PRIs, NGOs and Health professionals including private practitioners. PRI Workshop The district level workshop was organized at the district headquarter, Hoshangabad on the premises of Zilla Panchayat on June 14, 2001. The Zilla Panchayat members, Janpad Adhyaksha, and district and block health officials participated in the workshop. The main objectives of the workshop were: • To enable the PRIs to understand the 73rd amendment in the Constitution empowering Panchayats and devolution of powers • To make them aware of the perspectives and changed role of Panchayats in the context of the constitutional amendment • To apprise the PRI representatives of the project interventions to strengthen district health system • To create awareness on the health services that are available at the village level in the district • To orient the PRIs about their role in the improving access and availability of health services to the people and the community The workshop provided a unique opportunity for the first time to share the constitutional amendments and devolution of powers, and their potential role in development change, including health care. Problems and issues regarding health care access and availability were raised and possible solutions were discussed. They were also apprised of the proposed interventions and their role in its effective implementation through their participation. A tentative work plan was developed jointly to conduct block level workshops for sharing information and empowering PRI representatives for performing their responsibilities effectively in enhancing access and availability of health services at the village level. Workshop for NGO, PRI and Medical Officers In order to bring coordination between the health department, PRIs and NGOs a one-day workshop was organized on 17th June 2001 at Panchmarhi. The specific objectives of the workshop were: 170
  • 170.
    Indian Institute ofHealth Management Research, Jaipur Strengthening District Health System in Madhya Pradesh through Management Interventions • To seek support from government machinery, PRIs and NGOs for the successful implementation of the project. • To motivate the Panchayat members to play an active role in health and health related services delivery in Hoshangabad district. • To motivate the health department for helping the PRI members to understand their roles and responsibility related to health sector. • To motivate the PRI members to identify the problems related to health and related services in their respective areas and find out the local solutions through the resources available with them. • To identify the problems associated with health sector in the district and prepare an action plan for corrective action related to primary health care services in the district. The workshop was participated by the District Magistrate, Health Officials from state and district level, PRI members (Janpad Presidents, Sarpanch etc.) and NGOs working in the field of health in Hoshangabad district. A total number of 55 participants attended the workshop. During the workshop, the roles and responsibilities of PRIs and NGOs, specifically related to health sector, were discussed. (b) Block Level Workshops In order to make the PRI people aware about the SDHS project and seek their involvement in carrying out the project related activities at the block level, workshops were organized in different blocks: namely, Sohagpur, Bankhedi, Dolariya, Sukhtawa and Pipariya. The workshop had following objectives: • To sensitize the Panch and Sarpanch of the block regarding the provision of health services in their villages. • To train them regarding their role in strengthening the health status of their area. • To evaluate the present level of knowledge regarding the health services and institutions. In all 223 participants attended the workshops. The participants of the workshop included Chief Executive Officer of Janpad Panchayats, Janpad Panchayat members, Sarpanchs, Panchs, Panchayat Secretary, BMOs of respective blocks and Health workers. Several issues and problems were identified during these workshops with regard to the participation and involvement of PRIs and NGOs in health care services. The key areas where the Panchayat as well as NGOs can participate for improving the health care delivery in the district and their role and responsibilities were also identified. Approaches for coordination with the health department were also suggested by the PRIs and NGOs. Some of the key problems identified were as below: • PRIs are not aware of their roles and responsibilities with regard to the health care services in their areas 171
  • 171.
    Indian Institute ofHealth Management Research, Jaipur Strengthening District Health System in Madhya Pradesh through Management Interventions • Lack of knowledge about the constitutional amendments regarding decentralization and devolution of powers • Lack of knowledge of the health problems in their areas • Lack of knowledge about various health programmes and schemes • Lack of coordination between the health department and PRIs • Lack of mechanism of coordination with other departments including health department. • Lack of resources • Unavailability of health workers in the area • Non-functioning health centers in the villages • Shortage of medicines at the health centers The key solutions proposed in the workshops were as follows: • Organize training programmes for PRIs at the district, block and village levels to orient them to constitutional amendments, roles and responsibilities, and health problems and programs • Prepare and distribute resource material for the PRIs • The Gram Sabha could be used as a platform for sharing information on new health programs and to evaluate the performance of health workers. • Organize health campaign – for treatment of minor ailments, carrying out immunization, supply vitamin A and other supplements • Constitution of health teams at the sub centers and villages. The team would consist of PRI members, health worker, JSR, Depot holder, TBA and AWW. • Organization of village level meetings by the PRIs for dissemination of health and family planning messages and sanitation at the village level • Re distributing the villages among the health workers on the basis of population • Renovation and reconstruction of the sub centers through community participation and financing • Making the resources available in required time • Monitoring the activity of health workers by NGOs • Meeting of health personnel, NGO and PRI members once in a month 8.5. IMPLEMENTATION Interventions were implemented in a phased manner, starting initially with Pipariya Block. In the next phase, other blocks namely, Bankhedi, Sohagpur, Dolariya and Sukhtawa, were covered. 172
  • 172.
    Indian Institute ofHealth Management Research, Jaipur Strengthening District Health System in Madhya Pradesh through Management Interventions 8.5.1. About the Block – Pipariya Pipariya block is located at one extreme end of the Hoshangabad district. It is around 75 kilometers from the district headquarters and 150 kilometers from the state capital. The block is one of the developed blocks of the district. Around 67 percent of the population of the block lives in interior villages with minimum accessibility to the health and other basic facilities. Due to the locational advantage of the block, (closure to Panchmarhi) the town is considered to be one of the major business places next to Itarsi. The overall health care activities of the block are under the control of Block Medical Officer of the Community Health Centre (CHC) located at the block headquarters. The block is divided in to four sectors (Matkuli, Tarunkala, Rampur and Sandia) on the basis of population. Each sector scatters around 25-30 thousand population. Under each sector there are number of sub centres. The field level work is carried out at the sub centre level. The PRIs have a strong presence in the Pipariya Block. There are 49 Panchayats and have 669 Sarpanch and Panch in these institutions (Table – 8.2). Table 8.2: Status of PRIs in Pipariya Block Details of PRI Institutions Number Number of Panchayat H.Q. 49 Number of Sarpanch / Panch 669 No of Panchayat Sachiv 51 Number of Mahila Sangh 12 Number of village health committee 148 Source: Collected from the Office of BMO Pipariya, The socio-demographic profile of the Pipariya block and Hoshangabad district is given in the Table 8.3: Table 8.3: Socio-demographic profile of Pipariya Block and Hoshangabad district Characteristics Pipariya Hoshangabad Population 2001 Total Persons Male Female Rural Persons Male Female Urban Persons Male Female 142210 75371 66839 102070 54097 47973 40140 21274 18866 10,85,011 5,71,796 5,13,215 7,96,085 4,83,608 4,37,087 2,99,545 1,62,711 Population (0 to 6 yrs) Total Males 19909 10551 172,326 89,423 173
  • 173.
    Indian Institute ofHealth Management Research, Jaipur Strengthening District Health System in Madhya Pradesh through Management Interventions Characteristics Pipariya Hoshangabad Females 9358 82,903 Sex Ratio Female per 1000 males 931 898 Area (sq.km.) NA 8,370 Population Density 1991 (persons/sq.km) 2001 NA NA 132 162 Decadal Growth Rate (1991-01) % 23 +22.40 Distribution of Sch. Caste % 14.5 16.3 Distribution of Sch.Tribe % 23.3 17.4 Crude Birth Rate (CBR) per 1000 30.30* 27.8 Total Fertility Rate (TFR) NA 5 Couple Protection Rate (CPR) % 62.34 48.5 Crude Death Rate (CDR)per 1000 5.87* 8.0 Infant Mortality Rate (IMR)per 1000 live births 60.5* 92 Literacy rate Persons Male Female 58.78 NA NA 70.36 81.36 58.02 Sources: Census 2001, provisional totals Vital statistics GOMP1998, and office of the Block Medical Officer, Pipariya, * As collected from the basic registers of the health workers during sector level training programme. INTERVENTION 2: CAPACITY BUILDING OF PRIS (a) Training of PRIs Training Programme At the initial phase of intervention in Pipariya block, a training programme for the PRIs was organized at Panchmarhi. Sarpanchs, Panchs and some Panchayat secretaries of the block attended the training program. The training covered the following areas: • Panchayati raj institutions – organization and structure • 73rd constitutional amendment and its implications • Roles and responsibilities of the PRI members in primary health care • Areas of coordination and activities with the health department • Monitoring of health care and institutions at the village level • Community mobilization and resource generation • Leadership and team building at the sub centre and village level • Organization of health camps for providing access to health services 174
  • 174.
    Indian Institute ofHealth Management Research, Jaipur Strengthening District Health System in Madhya Pradesh through Management Interventions Resource Material Development Book on PRIs A special booklet was developed for the PRIs. The book included the following areas: • Panchayati Raj in Madhya Pradesh • 73rd constitution and its implications • Sanitation and Hygiene • Water-born diseases • Population problem • Reproductive health • RTIs and STIs • Women’s health • Nutrition and Balanced Diet The book described briefly the health problems and their prevention and control. More importantly, the book described the role of PRIs in each of the problem areas. Video Film A video film on PRIs was developed for showing it to PRIs during training program and subsequently for its use during Panchayat and village level meetings. The film covered areas such as development and PRIs, role of PRIs in health sector, health problems and issues and messages from the political leaders including the Chief Minister of the state of Madhya Pradesh. Local Resource Persons Seven Local Resource Persons in consultation with the PRIs were identified to facilitate the activities of the PRIs in a cluster of Panchayats. The block was divided into seven clusters of Panchayats, each cluster with seven Panchayats (Total Panchayats – 49). Criteria were developed to select the Local Resource Persons. Essentially, the individual should have received education up to class X, should be local resident of the area, and had excellent communication skills with leadership qualities. The PRIs suggested the names of PRIs for their clusters. The Local Resource Persons were given training for 5 days at Bhopal. They were trained in the areas indicated in the booklet prepared for PRIs. In addition, they were given training in team building, leadership skills, community mobilization, interpersonal communication, and planning and monitoring. During the training, the Local Resource Persons were assisted in developing a plan for their respective clusters. 175
  • 175.
    Indian Institute ofHealth Management Research, Jaipur Strengthening District Health System in Madhya Pradesh through Management Interventions INTERVENTION 3 - ENHANCING PARTICIPATION OF THE PRIS IN HEALTH SERVICES DELIVERY Village Level Meetings The PRIs in coordination with the Local Resource Persons conducted a series of meetings at the village level in the respective Panchayats. The meetings were specifically meant for making the communities aware about their own health issues and finding out appropriate solutions at local level. The booklet prepared by the project team was distributed among the participants of the training program and the contents of the booklet explained to them by LRPs. Organization of health camps In order to bring the health services to the doorsteps of the villagers, the project team with the help of active PRI members organized several health camps in Pipariya block. For carrying out this activity, helps from the block level medical officers and other active members of the villages were taken. The health camp was supported by the rallies by the school going children who helped the project team to intimate the villagers about the organization of health camps. The health camps were organized to treat the minor ailments and examine the cases, which are to be referred to higher level. The Terms of Reference (TOR) for health camp is given in Annexure – 8.5. Gramin Swasthya Kalyan Team Gramin Swasthya Kalyan Team were constituted by the PRIs to facilitate the health and family welfare activities and organizing health camps for immunization, distribution of IFA and Vitamin A, ANC checkup, treatment of malaria and other illnesses. The team included Health Worker, JSR, AWW, Depot Holder, TBA and a member from Panchayat. Annexure 8.1. INTERVENTION 4: INVOLVEMENT OF PRIS IN MONITORING AND MOBILIZING COMMUNITY AT THE VILLAGE LEVEL Gramin Swasthya Kendra Gramin Swasthya Kendras were opened with the active participation of the Panchayat and community. The main purpose was to involve the community and PRIs in delivering health care services with the available local resources. For the Gramin Swasthya Kendra PRIs and community shared the infrastructure. Mobilization was carried out through various meetings. (Annexure – 8.2) 176
  • 176.
    Indian Institute ofHealth Management Research, Jaipur Strengthening District Health System in Madhya Pradesh through Management Interventions Gramin Swasthya Kalyan Kosh Gramin Swasthya Kalyan Kosh was generated in some villages by the contribution from community. The Gramin Swasthya Kalyan Kosh was formed by mainly two sources. One is in Kind and the other one is in Cash. The community contributed their selves once in a month for the Kosh, which was deposited in the nearby post office in the name of two members of the village. (Annexure – 8.1) Operationalizing sub centers In Pipariya block, most of the sub centers were non-functional due to lack of adequate infrastructure. The poor status of the sub centers gave an opportunity to involve the PRIs in health issues. The PRIs were involved in the renovation of the sub centers by sharing their roles and responsibility in monitoring of the renovation activities. Five sub centers were renovated and made functional with the help of PRIs. Monitoring of Sub centers and checklists Since the PRIs had little knowledge on their roles and responsibilities related to health sector, the project prepared a checklist (called PRI checklist) and distributed it among the PRIs of the block. The checklist helped them monitor the sub center activities in their respective Panchayats. Formation of sub health center team made the procedure easy for monitoring. The Sarpanch of the sub center headed the team. Health workers, JSR, AWW and TBA are the other members of the team to facilitate the PRIs in the respective area. The sub centers team meets regularly once in a month to discuss the problems and constraints related to health issues in the area. The PRI checklist and TOR for Sub Health Center Team are given in Annexure 8.3-8.4. 8.6. REPLICABILITY IN OTHER BLCOKS After successful intervention in Pipariya block the same model with a slight modification was implemented in other blocks. In the modified approach, Local Resource Persons (LRPs) were replaced by active PRI members and the implementation was carried under the leadership of Janpad President. The PRI interventions were replicated in four blocks, namely, Sohagpur, Bankhedi, Dolariya and Sukhtawa. A series of training programs cum workshop were organized in the above blocks. The intervention in these blocks was mainly to train the PRIs for their active participation in the delivery of primary health care services in the district. The activities in these blocks were carried out without the recruitment of local resource persons and therefore did not have monetary implications. In Pipariya block, the health camp was organized with the help of doctors and the doctors played a major role in these camps. This led to problem of over crowding, with many patients coming to the camps with the ailments, which cannot be treated at camp level. Keeping the projects’ philosophy in mind, for other blocks it was decided that the health camps would be organized with special focus on primary health care related to MCH only. The PRI people mostly organized these camps and necessary help from the lower level health staff such as health supervisors and workers was taken. The camps were different from the camps organized at Pipariya block – only mothers and children 177
  • 177.
    Indian Institute ofHealth Management Research, Jaipur Strengthening District Health System in Madhya Pradesh through Management Interventions attended the camps. Mainly the focus of the camps organized in other blocks was on primary health care, such as and checkups for the pregnant mothers and children, improving the sanitation and hygiene of the village by cleaning the villages. However, it is interesting to note that the PRIs participated actively in the sub center renovation activity in other blocks also. The PRIs were able to mobilize the resources available locally for renovating the sub centers. The sub center teams and Gramin Swasthya Kalyan teams were constituted with the help of PRIs. As Panchayat members headed the teams, it facilitated the community to take the advantage of PRIs through continuous interactions and discussing their needs, even other than health care. The teams are monitoring the activity of the sub centers periodically to find out the local solutions for the emerging problems. In some of the villages, the village health centers were also established with the help of PRI members. Five village health centers were opened at Dolariya block with the help of PRIs. These centers are located at Panchayat buildings, giving an indication of their active participation in this regard. The checklist containing various responsibilities of PRI members was distributed among the PRI members during the training programs conducted at various other blocks. The checklist helped them in taking initiatives on opening of Gramin Swasthya Kalyan Kosh in their respective villages. It is also interesting to note that even if no training / orientation programs were conducted in rest of the blocks, the project team was able to get all the activities as was done in other blocks, with the active participation PRIs. This could be observed from the following section. 8.7. OUTCOMES Table 8.4: Performance at a Glance 178
  • 178.
    Indian Institute ofHealth Management Research, Jaipur Strengthening District Health System in Madhya Pradesh through Management Interventions 8.8. POST INTERVENTION ASSESSMENT In order to assess the impact of the present intervention, a rapid assessment survey was carried out during the month of January 2004. The Panchayat members of selected Panchayats where the sub center renovation activity was carried out with PRI participation constituted the sample respondents. Though it was decided that from each of the selected Panchayats two members from Panchayat would be interviewed, due to their non- availability during the period of survey, only 35 PRI members could be interviewed. (a) Creation of environment for PRI involvement The findings of the assessment suggest that the project has been able to create and build a positive environment and set the stage for involvement of PRIs in the health services. The majority of the PRIs interviewed, reported that the role of the Panchayati Raj institutions is crucial and important in enhancing access and availability of the health services. There was a perceptible enthusiasm among the PRI representatives in improving health services in their villages. This was more so as more than 70 percent of them young and below 40 years age (Table 8.5). Table 8.5: Age wise classification of the respondents Age in years Frequency Percent 25-30 4 11.4 31-35 11 31.5 36-40 10 28.5 Indicators Frequencies Number of Panchayats covered (In Pipariya Block) 49 Number villages covered (In Pipariya Block) 120 Number of Sarpanch trained 49 Number of Panch trained 15 Number of Local Resource Persons 07 Number of training programmes conducted at the district level 2 Number of training programmes conducted at the block level 4 Number of programmes for Panchayat members 8 Number of village meetings conducted by LRP and PRIs 130 Average number of participants in the meetings 17 Gender specific meetings at village level - 1. Male meetings 2. Female meetings 20 20 Number of Swasthya Shivir- 1. By the Help of Medical Officer and PRIs 2. By the help of health workers and PRIs 1 6 Rallies organized Number of Children Participating In the rallies 25 40 Number of sub-centers renovated 27 Number of Gram Swasthya Kalyan Kendra 30 Number of Gramin Swasthya Kalyan Kosh constituted 23 179
  • 179.
    Indian Institute ofHealth Management Research, Jaipur Strengthening District Health System in Madhya Pradesh through Management Interventions 41-45 3 8.6 46-50 3 8.6 51-55 3 8.6 56-60 1 2.8 Total 35 100.0 Among the respondents, most of them were Sarpanch (37.1 per cent), followed by Panchayat Sachiv (25.7 per cent) and other members of Panchayat (Table 8.6). Table 8.6: Position of the respondent in the present Panchayat Responses Frequency Percent Sarpanch 13 37.1 Panchayat Sachiv 9 25.7 Koshadhyksha 4 11.4 Panch 1 2.9 Sammittee Member 4 11.4 Member 2 5.7 Panchayat Karmi 2 5.7 Total 35 100.0 (b) Opinion on the responsibilities of PRIs They felt that taking care of the health centers is also their responsibility, especially supporting the health workers and ensuring their safety in the field. The use of the checklist for monitoring health centers was found to be useful by the representatives. The PRIs were able to mobiles the resources for renovating the sub centers, which were non-functional. As many as 30 sub centers were renovated and made functional. They felt that with their involvement, the sub centers have started opening and functioning regularly. Most of them felt that the sub centers are kept clean and tidy as compared to earlier situation. Now medicines and drugs are available at the sub centers due to active participation in the activities of the health services. Majority of them felt that JSR and AWW are working better after they started monitoring the activities in the villages using the checklist developed and provided under the project. Almost all of them reported to have increased knowledge of the health problems in their area and the health programmes being undertaken. After their training, the involvement of the PRIs has significantly increased in implementation of health programmes and activities, especially in organizing health melas and camps. Villagers have responded very positively to the participation and involvement of the PRIs in the activities in their villages. As many as 87 percent village community appreciated the enhance role and participation of the PRIs in the village activities after their training. A checklist was prepared and distributed in every selected Panchayat, which was focused on role and responsibility of the PRIs in sub center level continued association with the local resource persons and the project staff. 180
  • 180.
    Indian Institute ofHealth Management Research, Jaipur Strengthening District Health System in Madhya Pradesh through Management Interventions A heartening phenomenon was that the PRIs would like to carry out the activities on their own even after the project completion as they felt they were empowered with knowledge and skills imparted to them (Table 8.7). Table 8.7: Perception of the respondents regarding the changes observed after the intervention related to PRI in health sector by the SDHS project team. Responses Frequency SHC was functional and found neat and tidy as compared to earlier 21 The health workers are providing services regularly as compared to earlier 7 The JSR, AWW, Depot holder of the village has started to provide the services in the SHC 10 The cleanliness and hygienic condition of the village is improved 5 The Panchayat is now a day involving with the health issues of the village. 5 Sufficient drugs and essential services are provided in the village after the involvement of the PRIs 11 Proper immunization and registration of pregnant woman and children 6 8.9. LESSONS LEARNT AND SUSTAINABILITY • The present intervention attempted to examine the effectiveness of PRI involvement in health sector in improving health services delivery in Hoshangabad district. A substantial amount of effort was put on this intervention and the results are quite encouraging. However, the efforts of the project team played a vital role in bringing the health functionaries and PRIs together to work for improvement in primary health care delivery system. As the need of the hour is to bring coordination between these two stakeholders together on a permanent basis, the prime requirement is to orient the PRIs about their roles and responsibilities related to health sector. • Only orientation programs cannot bring a change in the system. Therefore, a mechanism at the district as well as state level needs to be devised for active involvement of PRIs in primary health care including the health related activities such as proper hygiene in their respective villages. • Though various activities were carried out in the district through the help from PRIs, in most of the cases the communities are not aware about the allocated funds for different developmental activities in Panchayats. The information is kept with President of Janpad Panchayats, Sarpanchs and Koshadhyksha. No discussions regarding the allocated funds are made in Gram Sabha meetings. This calls for a system of transparency between the public and PRIs. • Most of the activities initiated through the support from PRIs are sustainable. The concepts of Village Health Center, Gramin Swasthya Kalyan Kosh, Swasthya Kalyan Team, and Sub Health Center Team were highly appreciated by PRIs and 181
  • 181.
    Indian Institute ofHealth Management Research, Jaipur Strengthening District Health System in Madhya Pradesh through Management Interventions certainly sustainable. However, their long-term sustainability requires continuous persuasions from NGOs working in the district and active participation from the health department. Public awareness campaigns on the role of PRIs and their own role will also play an extremely important role in this respect. • Two models: (1) one in Pipariya block where Local resource persons were appointed for carrying out the activities and had monetary implications (2) in other blocks through the orientation of PRIs in workshops and without monetary implications, were tried out under this intervention. No substantial difference in outputs could be observed between these two approaches, as the outcome of this intervention is almost same in other blocks also (this could be seen from point 6). It is therefore difficult to say that the first model was quite successful as the marginal cost of carrying out any additional activity in Pipariya block is found to be higher for the similar activities that were carried out in other blocks. • Nearly five sub centers were renovated through the assistance from PRIs in Pipariya block. PRIs and communities were made aware about the importance of maintaining hygiene in their respective villages as preventive measure towards the spread of communicable diseases. This had monetary involvement. In other blocks, similar activities were carried out without monetary involvement. Therefore, it is suggested that any future activity in this regard should be done with a cost minimization approach. 8.10. CONCLUSION The PRI intervention aimed at three objectives: (1) making an assessment of the current status of PRI involvement health sector (2) identifying critical problems associated with their involvement and designing appropriate solutions for them (3) implementing the solutions in the field and assessing the impact of our interventions. No doubt that the involvement of PRIs in improving the primary health care in the district is extremely poor. Several factors are associated with this (a) lack of knowledge and awareness about their responsibilities in general and related to health sector in particular (b) lack of interest to carryout any activity related to health sector. After identification of problems, specific interventions were designed and implemented in the field. In one block (Pipariya), an active intervention in this regard was carried out focusing on improving their knowledge and awareness. In addition, the communities were also made aware about their health problems with the help of Local Resource Persons appointed by the project for this purpose. The results were quite encouraging. A similar model with slight modification was tried out in other blocks of the district. It is surprising to note that the outcome of these two models were almost same. It is therefore suggested that any managerial intervention related to PRIs involvement in health sector should initially be tried out with the existing resources rather that deploying more resources for this activity. CASE STUDIES Case study - 1 Panchayat Members Participation For better health care in Junheta 182
  • 182.
    Indian Institute ofHealth Management Research, Jaipur Strengthening District Health System in Madhya Pradesh through Management Interventions Smt. K. Singh, ANM of Junheta sub center under Community Health Center (CHC) Bankhedi, has been serving her clients since last 24 years. Her enthusiasms gradually came down with inadequate infrastructure, drugs and equipment and over and above no residential complex for her to stay. Thanks to the villagers and Sarpanch of Junheta village who made her stay arrangements in Panchayat building. At least she has a hope that her services could be delivered better from her place of residence. After understanding her genuine problems, the SDHS project team made an effort to provide necessary infrastructure and construct a labor room for conducting deliveries at the sub center as the Community Health Center (CHC) Bankhedi is nearly 20 kilometers from the sub center. With continues meetings with Sarpanch and villagers, the team was able to convince the Sarpanch who agreed to provide all support for the sub center to be functional. Now Mrs. Singh is as well as the villagers are happy with the newly renovated sub center and the labor room. They do not have to travel to Bankhedi for these basic facilities. Case study - 2 I want my daughter’s marriage at the earliest! Gopal Prasad and Vidya Bai are living in Village Thutha Dahalwada of Pipariya Block. Gopal was fighting against his poverty as he had only one acre of land for maintaining his four-member family including two children. His mental condition was becoming more pathetic as he had to finish the marriage of her daughter Sumit who was around 17 years old. In order to sustain his family he withdrew her daughter from the school and settled her marriage. The information was spread among the villagers. When Sumit was interviewed she told that she do not want to do get married now and want to study more. Thanks to Mr. Maniram, who was appointed by the project as local resource person for the village. Maniram was conducting a meeting at the village in order to create awareness among the community about their own health. Gopal was also quite fortunate to attend the meeting and understand the problems of early marriage. The knowledge gained through meeting made him to change his mind and after discussing with his wife, Gopal decided to postpone the marriage of their daughter for few more years. It was only the villagers who were wandering about Gopal’s decision. Similarly was the incident with the Sukirti, aged 16 daughter of Malti Bai and Paramsukh Raghuvansi of Kherrikala village whose marriage was already finalized. From the knowledge learnt from the village level meeting conducted by the Panchayts' local resource person, the community was motivated and they force Param Sukh to postpone his daughter's marriage. Through our experiences from PRI intervention, several such instances were handled simply through motivating the village community. Case study - 3 183
  • 183.
    Indian Institute ofHealth Management Research, Jaipur Strengthening District Health System in Madhya Pradesh through Management Interventions Doctors in Health Camp: A Problem or Solution In kherrikala village the project team organized a health camp with the help from Panchayat members. Accordingly, the Sarpanch Mr. Bhagwan Singh Raghuvansi made necessary arrangements for the camp with the help of project team. The news about the health camp was spread among the villagers with the help of school going kids through Prabhatpheri. The doctors from Pipariya CHC arrived at the spot to conduct medical checkups. Alas! It is so crowded! was the first sentence which was immediately uttered by the doctors after arriving at the spot. The doctors and whole team had to work for 12 hours for checking all the cases who attended the camp. No doubt, the camp was a grand success. The concept of time management and care to the right people were certainly questionable points in this camp. Does a health camp really need a specialist doctor? Certainly there is confusion between the concepts of health and medical camp. The overcrowding in the camp was due to the presence of specialist doctor. Case study – 4 No doctors, but health Camp! Health Camp was always becomes an attraction for the villagers. The people of Junhetta village, which is nearly 20 kilometers from Bankhedi block, derived the benefits from the health camp organized by SDHS project with the cooperation from PRIs and health department. The grass root level health workers, in coordination with Panchayat, arranged all the necessary requisites for the camp. The focus of this health camp was on the ANC checkups, distribution of IFA tablets, immunization and cleanliness of village for prevention. All the activities of the camp were finished within stipulated time and the people were happier with this new approach in organizing a health camp. The basic point which needs to be understood is that the health camp should aim at providing primary and preventive care to the community rather than checking the cases which could not be handled in the camp. The medical camps certainly need doctors as the emphasis of medical camp is on medical checkups. 184
  • 184.
    Indian Institute ofHealth Management Research, Jaipur Strengthening District Health System in Madhya Pradesh through Management Interventions ANNEXURE –8.1 TORS FOR GRAMIN SWASTHYA KALYAN TEAM AND GRAMIN SWASTHYA KALYAN KOSH (GSKK) LokLF; dY;k.k Vhe@dks"k fu;ekoyh 1- laLFkk dk uke %& xzkeh.k LokLF; dY;k.k Vhe 2- laLFkk dk dk;kZy;%& xzkeh.k LokLF; dsUnz 3- laLFkk dk dk;Z{ks= %& xzkeh.k LokLF; dsUnz 4- laLFkk ds mnns’; %& 8 xzkeh.k LokLF; dY;k.k Vhe xkaoksa esa LokLF; ds izfr yksxksa esa tkx:drk ykus dk dk;Z djsxhA 9 xzkeh.k LokLF; dY;k.k Vhe tulg;ksx ls xzkeh.k LokLF; dY;k.k dks"k ,df=r djsxhA 10 xzkeh.k LokLF; dY;k.k Vhe ds }kjk xk¡o esa LoPN ikuh] LoLF; okrkoj.k rFkk f'k'kq ,oe ekr` lqj{kk ds fy, dk;Z djsxhA 11 xzkeh.k LokLF; dY;k.k Vhe ds }kjk xk¡o esa izf'kf{kr nkbZ] vkxauckMh dk;ZdrkZ ]tuLokLF; j{kd ,oe~ LokLF; dk;Zdrkvksa }kjk dk;Z djok;k tk,xkA 12 xzkeh.k LokLF; dY;k.k Vhe ;g lqfuf'pr djsxh fd muds dk;Z{ks= ds lHkh yksxkas dks LokLF; lqfo/kk, iw.kZ :i ls le; ij fey jgh gSa A 13 xzkeh.k LokLF; dsUnz ;k mi LokLF; dsUnz ij dk;Zjr dk;ZdrkZ lgh rjg esa viuh ftEesankfj;ksa dk fuokZgu dj jgs gaS bls lqfuf'pr djsxsa A 14 xzkeh.k LokLF; dsUnz dk j[kj[kko ,oe lk/kuksa dks miyC/k djkukA 5- laLFkk ds dk;Z %&LokLF; dY;k.k Vhe ;g fuf'pr djsxh dh mlds {ks= ds lHkh 10- cq[kkj ds lHkh ejhtksa dh jDr dh tkap gqbZ gS ,oe mudh tkap fjiksZV vk xbZ gSA 11- Vh-oh- ds ejhtksa dh tkap gks xbZ gS rFkk mUgsa nokbZ izkIr gks xbZ gSA 12- dq"B ds ejhtksa dh igpku gks xbZ gS rFkk mudk mipkj py jgk gSA 13- eksfr;kfcUn ds ejhtksa dks igpku fy;k gS rFkk vkijs'ku ds fy;s uke ntZ gks x;s gSA 14- lHkh xHkZorh ekrkvksa dk iath;u gks x;k gS rFkk Vhds yxs vkSj vk;ju dh xksyh fey xbZ gSA 15- ,d ls Ms<+ o"kZ ds cPpksa dks lHkh fu/kkZfjr Vhds yx x;s gSA 16- lHkh izlo izf'kf{kr nkabZ }kjk fd;s tk jgs gSA 17- {ks= ds lHkh dqvksa dk 'kqf)dj.k fu;fer #i ls gks jgk gSA 18- #ds gq, ikuh dh fudklh dh O;oLFkk cuk yh xbZ gSA 6- laLFkk ds lnL; & 7- ljiap@iap v/;{k 8- iapk;r lfpo dks"kk/;{k (vxj xk¡o esa jgrk]gks) 185
  • 185.
    Indian Institute ofHealth Management Research, Jaipur Strengthening District Health System in Madhya Pradesh through Management Interventions 9- tu LokLF; j{kd dks"kk/;{k /lfpo 10- cgqmnns'kh; dk;ZdrkZ¼iq#"k@efgyk½ lnL; 11- vkaxuokM+h dk;ZdrkZ lnL; 12- çf'kf{kr nkabZ lnL; 7- laLFkk dk;kZy; esa fuEufyf[kr iath j[kh tkosxh %& 1- xHkZorh iath;u jftLVj 2- Vhdkdj.k jftLVj 3- xjhch js[kk ls uhps thou ;kiu djus okyksa dk lwpuk jftLVj 4- ty 'kqf)dj.k tkudkjh jftLVj 5- y{; naifRr jftLVj 6- nokbZ forj.k ,oe LVk¡d jftLVj 7- vks ih Mh jftLVj 8- chekfj;ksa dh fuxjkuh dk jftLVj ( Disease Surveillance Register) 9- vk; O;; ys[kk tks[kk jftLVj 8- laLFkk dh cSBds 1- izfr lkseokj dks xzkeh.k LokLF; dsUnz ij LokLF; lfefr ds lHkh lnL; ,df=r gksdj fd;s x;s dk;ksZ dh tkudkjh nsxs vkSj vkus okys lIrkg ds fy;s dk;Z fu/kkZfjr djsaxsA 2- LokLF; dY;k.k Vhe xzkelHkk ds fnu LokLF; ds fo"k;ksa ij tkudkjh iznku djsxh ,oe yksxksa dks LokLF; lqfo/kkvksa dk ykHk mBkus ds fy;s izsfjr djsxhA 9- LokLF; dY;k.k dks"k 1- ,d eq'r nku %&LokLF; dY;k.k Vhe lnL; xkao ds yksxksa ls laidZ dj muls dks"k ds xBu ds fy;s ,d eq'r nku izkIr djsxhA nku yksxksa dh nsus dh {kerk ij fu/kkZfjr jgsxkA 2- ekfld nku %& izfr ekg esa gj ifjokj ls ,d fuf'pr jkf'k LokLF; chek ds uke ls ,df=r dh tk,xhA ;g jkf'k #i;s 5 ls 10 #i;s izfr ifjokj gks ldrh gSA LokLF; dY;k.k Vhe ds lnL; x.k bldk fu/kkZj.k djsaxsA 10- cSad [kkrk %& laLFkk dh leLr fuf/k fdlh vuqlwfpr cSad ;k iksLV vkfQl esa [kksyh tkosxh ,oe le;&le; ij /ku tek djus o fudkyus dh izfØ;k tkjh jgsxhA/ku dk vkgj.k v/;{k rFkk dks"kk/;{k ds la;qDr gLrk{kjksa ls gksxkA 11- LokLF; dY;k.k dks"k ds ykHkkFkhZ LokLF; dY;k.k dks"k xjhch js[kk ls uhps thou ;kiu dj jgs yksxksa dks LokLF; lqfo/kk izkIr djus ds fy, vkfFkZd lg;ksx iznku djsxhA 186
  • 186.
    Indian Institute ofHealth Management Research, Jaipur Strengthening District Health System in Madhya Pradesh through Management Interventions LokLF; dY;k.k dks"k (EOC) tfVy izlo ,oe tfVy LokLF; leL;kvksa ds fy, okgu dk izca/k djsxhA LokLF; dY;k.k dks"k dh jkf'k dk mi;ksx xzkfe.k LokLF; dsUnz ds j[k j[kko ,oe vko';d lk/kuks adks miyC/k djokus ds fy;s fd;k tk;sxkA 187
  • 187.
    Indian Institute ofHealth Management Research, Jaipur Strengthening District Health System in Madhya Pradesh through Management Interventions ANNEXURE –8.2 TOR FOR GRAMIN SWASTHYA KENDRA (GSK) What is GSK? Gramin Swasthya Kendra (Village Health Center) is a place (building) donated by the community for providing the health services. Jan Swasthya Rakshak (JSR), Trained Dai and AWW will provide the services to the community especially to those who are unprivileged in the society. There is a provision of separate labour room in the village health center which is utilized by the trained Dai to conduct delivery. The provision of labour room ensures that all the deliveries which are to be conducted by the Dai are safe delivery. The village health center ensures the safe motherhood practices as well as hundred percent immunisation and health services to mother and children as and when required. Why GSK? Quite a few villages in the district are cut off during the rainy seasons and unprivileged people specially the women and children are deprived of basic health care. Keeping in mind, Government of Madhya Pradesh health policy of having a Jan Swasthya Rakshak (JSR), Trained Dai and Aganwadi worker in every village, The SDHS project has working out on the idea of an establishing Village Health Center with community mobilization; participation for seeking the financial cooperation was conceived. Criteria for selection of village • Unapproachable village during rainy season • Having a predominant Below Poverty line population • Should have at least one Trained Dai • JSR leaving in the village • Aganwadi worker leaving in the village. • Land / building for GSK must be provided by the Panchayat. • Health committee must be formed to mange the GSK, the member consist of a) Panch b) Trained Dai c) JSR d) Aganwadi worker e) Local practitioner f) Two representatives from below poverty line population • Village Health Center at least 3 kilometer away from Sub Health Center. • MPW’s will visit Village Health Center at least once a week and spend 2 hours (fixed) 10 a.m.to12 a.m. • Health Supervisor will visit Village Health Center once a fortnight. 188
  • 188.
    Indian Institute ofHealth Management Research, Jaipur Strengthening District Health System in Madhya Pradesh through Management Interventions • Primary Health Center Medical Officer visits once in a month. • Villagers and health committee will ensure GSK is opened between 9 am to 11 am. • CHC will provide essential drugs and medicine and register for records equipments for GSK. • Community will have a corpus fund for emergency. • Record of Below Poverty line family will be maintained in the center. Management of the GSK The Village health Committee will manage by the chairperson of the committee who is selected by the villages. The corpus fund which is collected by the health committee will deposited in the bank which can be utilized for the transportation of emergency obstructed cases (EOC) and to make the additional arrangement as required by the any service provider. The GSK will remain open 9 AM to 11 AM every day. The JSR, Trained Dai and AWW will hold clinics and responsible for the cleanness and running of the GSK. They will also maintain records of their work. The JSR/Trained Dai/AWW will work as team and any one of them can be Incharge of the GSK. In any village if JSR is not available then a person is recruited as depot holder. The depot holder is selected by health committee. The depot holder will be trained in basic knowledge about the medicines so that he can provide the minor health care services to the villagers. Logistics at GSK (c) Furniture (d) Equipments (general)  One Mattress  Two Bed sheet  Two Pillows  Three Towels  Three Wooden racks to keep Medicines, Registers and  One Wash Basin  One Shelters Café  One B. P. Instrument  One Weighing Machine-Adult and Child  One Thermometer  Ten Register  Malaria Slides (c ) Equipment for Delivery  Enema Can With cathedra  Mackintosh  Plastic Apron  Torch 189
  • 189.
    Indian Institute ofHealth Management Research, Jaipur Strengthening District Health System in Madhya Pradesh through Management Interventions  Kerosene stove  Sauce Pan  Forceps  Plastic Bucket. (d) Drugs and Medicine • Paracetamol Tab. • Chloramines Tab. • Chlorine Tab. • Vitamin A Solution • ORS packets • DDK • Sprit • Ear/Eye drops Local / Alb acid drops 10% • Benzyl benzoate • Cotton and Gauze • Bandages • Trio dine • Soap- Lifebuoy • Syringes and Needles • Saline Stand 190
  • 190.
    Indian Institute ofHealth Management Research, Jaipur Strengthening District Health System in Madhya Pradesh through Management Interventions ANNEXURE –8.3 PRI CHECKLIST iap ljiapksa ds fy, psd&fyLV Ø- iz'u mÙkj 1- D;k mi&LokLF; dsUæ lIrkg ds fu/kkZfjr fnuksa ij [kqyrk gS gk¡ ugha 2- D;k mi&LokLF; dsUæ dh nhokj ij LokLF; dk;ZdrkZvksa dh dk;Z&;kstuk vkSj nh tkus okyh LokLF; lsokvksa dk mYys[k fd;k gS gk¡ ugha 3 D;k LokLF; dk;ZdrkZ viuk dke dj jgs gSa gk¡ a ugh 4- D;k vkids {ks+= dh lHkh xHkZorh efgyk,a ,oe~ f'k'kqvksa dk ¼0&1 o"kZ½ iath;u LokLF; dk;ZdrkZ ds }kjk fd;k x;k gS gk¡ ugha 5- D;k mi&LokLF; dsUæ ij lHkh fu/kkZfjr o vko';d nokbZ;ka vPNh rjg ls j[kh gqbZ gS rFkk mudk fjdkMZ Hkh lgh rjg ls j[kk tk jgk gS gk¡ ugha 6- D;k mi&LokLF; dsUæ ij miyC/k djk;s x;s lHkh midj.k lgh #i ls gS] vkSj mldk mi;ksx fd;k tk jgk gS gk¡ ugha 7- D;k mi&LokLF; dsUæ dh Vhe dk xBu fd;k x;k gS gk¡ ugha 8- D;k mi&LokLF; dsUæ Vhe dh ehfVax gj ekg fu/kkZfjr fnol ij gksrh gS gk¡ ugha 9- xzke lHkk ds fnu D;k mi LokLF; dsUæ dh Vhe LokLF; ds eqnnksa ij ckrphr djrh gSa gk¡ ugha 1 0 D;k LokLF; dY;k.k lfefr dk xBu fd;k x;k gSa gk¡ ugha fnukad % gLrk{kj&ljip 191
  • 191.
    Indian Institute ofHealth Management Research, Jaipur Strengthening District Health System in Madhya Pradesh through Management Interventions ANNEXURE –8.4 TOR FOR SUB HEALTH CENTER TEAM Constitution Sub health center team constituted by the order from the BMO’s. Composition • Health Supervisor’s • MPW’s • JSR • AWW • Trained Dai The Sarpanch or Panch of the village shall lead the SHC team, where the SHC is located. Terms of Reference (TOR) The SHC team shall meet every months and discuss problems of : • SHC Maintenance • Drug Store • MIS (Analysis of Form-6) • HRD problems • Coordinate with JSR/AWW/Trained Dai • SHC team shall address the Gram Sabha on health issue: -Hygiene -Sanitation -Safe water -MCH • Check records and reports to be sent. The Field officer of SDHS project shall be present during the SHC team meeting and help and guide the SHCT. A register shall be provided by the SDHS project for maintaining the record of SHCT meeting at the SHC. The Field officer shall report separately to the SDHS project about the decisions taken at the meeting. The R.O. to ensure order is issued by the BMO’s. First meeting will take place on 27th Sep’2003. 192
  • 192.
    Indian Institute ofHealth Management Research, Jaipur Strengthening District Health System in Madhya Pradesh through Management Interventions ANNEXURE – 8.5 TERMS OF REFERENCE (TOR) FOR HEALTH CAMP Concept: - Health Camps Should focus on health issues and on prevention of diseases and promotion of health. Health camps are different from medical camps which are primarily disease oriented diagnosis and treatment of diseases and disability. Objective of health camps: To make the community aware of its health problems and find local solutions for them. Preparation for health camp: 1. Meeting with the Gram Panchayat representative to • Fix date for health camp in the village • Discuss the health issues and find local solutions • Organization of the health camp shall be the responsibility of Gram Panchayat. • Inform the people that the health team shall give technical help in the health camp • The meeting shall be attended by (a) Gram Panchayat Representatives (2) Health team comprising of health supervisors, Multi purpose workers, JSR, AWW and the trained Dai. Note: Report of the meeting to be submitted to the BMO in writing by the health supervisor. Tasks to be performed in health camp: Prabhatpheri by school children in the morning Required logistics:  School teacher to be informed  Placards and banners with health messages Responsibility: School teacher Disinfections of drinking water sources with bleaching powder Required logistics: 193
  • 193.
    Indian Institute ofHealth Management Research, Jaipur Strengthening District Health System in Madhya Pradesh through Management Interventions  Bleaching powder Responsibility: MPW (M) and JSR Sanitation:  All chocked drainage to be cleaned  Used mobile oil to be poured in all stagnant water and mosquito and fly breeding sources. Maternity: All pregnant woman shall be registered and:  AN check up done by ANM  TT given by ANM  IFA 100 tabs given by ANM  Health advices given regarding nutrition and care to be taken during pregnancy Infants:  Immunization to be done by ANM  Diarrhoea: ORS Packets to be given by ANM  ARI – Cotimaxazole tab. To be given by ANM  MPW has to prepare the slides for malaria of all the fever cases and give 4 tablets of Chloroquine.  IEC material is to be distributed 194
  • 194.
    Indian Institute ofHealth Management Research, Jaipur Strengthening District Health System in Madhya Pradesh through Management Interventions CHAPTER -9 QUALITY ASSURANCE INTERVENTION 9.1. BACKGROUND Reduction of maternal as well as infant mortality has been the major attempts towards achieving “Health for all by 2000 A.D.”. Towards this end, the Government of India as well as various international agencies such as UNICEF, UNFPA, World Bank etc. have launched and implemented various projects and programs. Moreover, promotion of health of mothers and children has been one of the major aspects of family welfare programme in India. The improvement of health status of population in general, and women and children in particular, calls for an appropriate health care delivery system, which could satisfy the needs of the targeted community. The fact that the health care delivery system in India suffers from inadequacy of available infrastructure could not be denied if one looks at bed population and doctor population ratios. Is it possible to attribute these low ratios to poor quality of care? Is it not possible to improve the quality of care with the available financial as well as physical resources? Several such questions come to our mind while we talk about quality of care. This answer is derived through the experience from Royal Danish funded Strengthening District Health Systems Project, which was implemented in Hoshangabad district, Madhya Pradesh. Though the quality of health care needs to be looked into from provider’s as well as consumer’s prospective, the interventions carried out under this project focused on the improvement of quality of MCH care from providers prospective and tried to see the impact of this intervention on the consumers. The organization of the report is as follows. The succeeding section gives a brief description of the aims and objectives of present intervention. Section 3 describes the problems associated with poor quality of care as identified through diagnostic studies. The interventions planned and implemented in the field to overcome the identified problems are described in Section 4. Section five deals with the outcome of the interventions evaluated through a rapid assessment survey. The lessons learnt and sustainability of the initiated activities under this project is described in Section 6. Concluding remarks are given at the end of this report. 9.2. OBJECTIVES As the objective of the project was to improve the primary health care delivery system in the district, the present intervention aimed at improving the quality of primary health care especially related to Maternal and Child Health (MCH). To be more specific the objectives of the present intervention were: 195
  • 195.
    Indian Institute ofHealth Management Research, Jaipur Strengthening District Health System in Madhya Pradesh through Management Interventions • To identify the key problems associated with poor quality of MCH services in the district. • To design, pre test, and implement Quality Assurance (QA) checklists in the field in order to enhance consumer satisfaction and develop expertise of the health functionaries on selected important services related to MCH. • To monitor the use of quality assurance checklists in the field • Evaluate the usefulness of the quality checklists in improving the MCH care delivery in the district through rapid assessment • Making a note on the lessons learnt and sustainability of quality intervention 9.3. DIAGNOSTIC STUDIES – PROBLEMS AND ISSUES The problems associated with delivery of quality health care in the district were identified through a diagnostic study, which was carried out at the initial phase of the project. The study aimed at– • Assessing the facilities available at health facilities for delivery of quality of MCH services • Assessing the clients’ perception on the quality of MCH services provided by the health functionaries For intervention purposes the salient findings of the study are grouped in to two categories: (a) Policy Issues • Specialist doctors not posted at block head quarters, thus posing problem for appropriate referral care • Referral units are not well equipped hence EmOC cases could not be attended • Facilities for EmOC not adequate so cases do not get appropriate treatment in time. In peripheral institutions (sub centers) the basic instruments such as height measuring scale, Hemoglobin testing apparatus, BP instrument and fetoscope are not available. • Essential drugs for MCH services are not available at the sub center level. Hence the clients have to procure them from outside sources (b) Functional Issues • Lack of home visits by the services providers results in no identification of high risk cases and therefore no referral • Lack of adequate training to health workers to handle emergency cases so clients are dependent on other service providers and suffer casualties. 196
  • 196.
    Indian Institute ofHealth Management Research, Jaipur Strengthening District Health System in Madhya Pradesh through Management Interventions • Trained Birth Attendants (TBA) usually conducts the deliveries. Even the normal deliveries are not attended by ANM’s / any health workers. This results in high maternal and infant deaths. • Female supervisors do not help the ANM’s to conduct deliveries. Therefore, the ANMs do not want to take any risk by themselves. • Counseling services such as breast-feeding, keeping gap between two childbirths, adopting appropriate family planning methods and appropriate care during pregnancy, risk factors associated during pregnancy and after delivery etc. are not usually provided by the service providers. • Not all the female service providers perform thorough physical examination to the satisfaction of the client and risk cases are not identified at their level. 9.4. INTERVENTIONS INTERVENTION 1: DEVELOPMENT OF QUALITY ASSURANCE (QA) CHECKLIST Addressing the administrative issues was out of the scope of the project and it was against projects’ philosophy. The issues regarding the non-availability of specialist doctors and necessary materials were discussed in District Health Team and Block Health Team meetings and the authorities were requested to draw their attention on those issues. In order to improve the MCH services delivery in the district the project put its attention on the functional issues and planned the interventions accordingly. The implementation was carried out in a phased manner. The challenging task in front of the project team was to convince the health care providers that it is not only the equipment and expert man power which affects the quality of care, rather it is the expertise of the health workers on providing various services to the consumers which matters more in quality context. Keeping this point in mind the project developed seven Quality Assurance (QA) Checklists (checklist for ANC, Intra Natal, PNC, Immunization, ARI, Diarrhea and family planning) and implemented them in the field (Annexure – 6.1). It must be kept in the mind that the checklists were not only meant for consumers’ satisfaction, it was also expected that repeated use of checklists would help the health care providers improving their expertise in appropriate services delivery. INTERVENTION 2: TESTING THE FEASIBILITY OF CHECKLIST Use of checklists for improving the quality of health care was certainly an innovative and completely new idea. Moreover, it was the first attempt of this kind in the country. Therefore, it was felt necessary that the usefulness of the checklists tested before its replication in other blocks of the district. Accordingly, at the initial phase of implementation, only one block (Bankhedi) was chosen for this purpose and following activities were carried out: (a) Training at Bankhedi block: In order to orient the health functionaries about the concept of Quality Assurance in health care and the importance of the prepared checklists in improving the quality of services delivery, a training program was organized at Bankhedi CHC. More specifically the training program was organized with the following objectives in mind: 197
  • 197.
    Indian Institute ofHealth Management Research, Jaipur Strengthening District Health System in Madhya Pradesh through Management Interventions • To impart concept of quality among the health functionaries • To make them aware about the importance of quality in primary health care • To explain them the importance and the meaning of the checklists proposed to be used in the field Issues discussed • What does the quality means? • Why quality needed? • Requisite for quality improvement • How do we improve the quality? • What do we get by providing quality health services? During the training session, the participants were provided with checklists and each checklist was explained to them in detail. In order to assess the status of services delivery in the block, the participants were requested to fill the checklists distributed to them and it was found that only 20 – 30 per cent of the services mentioned in the checklist are provided in the field. A large segment of the participants were unaware about some of the services mentioned in the checklists. The participants realized that the services provided by them were not up to the satisfaction of consumers. The participants admitted that the use of quality checklist would help bringing better consumer satisfaction. In addition, it was also expressed that the checklist would help improve their skills on service delivery. At the end of the training session the participants were provided with 10 sets of checklists each and it was requested to them that they should use those checklists while attending the clients and fill them correctly as the use of checklist will be for their own satisfaction. b) Follow-up meeting: In order to assess the usefulness and utility of the checklists, a follow up meeting with the health functionaries was organized after one month. During the follow up meeting a detailed discussion, regarding the problems and constraints faced by the health workers while using the checklist was made. The participants shared their experiences in using the checklist and following points were observed: • ANC checklist was used extensively by each and every ANM • Some of the ANM expressed that they are able to perform their activity systematically after the use of checklist. • Though the health workers did not know the procedure for inserting IUDs, after getting the checklist some of them started learning the procedure from medical officers. • There was more demand for checklists, thus giving an indication that the workers were interested in using the checklists • Some of the participants suggested some necessary modifications in the checklist. This gave an indication that the participants have read the checklists carefully and used them. 198
  • 198.
    Indian Institute ofHealth Management Research, Jaipur Strengthening District Health System in Madhya Pradesh through Management Interventions INTERVENTION 3: DISTRIBUTION AND TRAINING ON CHECKLIST IN OTHER BLOCKS After successful testing of usefulness of checklists in Bankhedi block, the project team decided to print the checklists and provide the checklist to all the health workers of the entire district. Accordingly, the checklists were printed and each worker of the district was supplied with 25 sets of each checklist. The project staff imparted necessary training on how to use the checklists. The training programs were carried out at respective block headquarters. INTERVENTION 4: QUALITY MONITORING AND DISTRIBUTION OF LAMINATED CHECKLISTS The field officers in charge of respective blocks along with their research officers monitored the use of the checklist in the entire district. In order to keep the Quality Assurance activities sustainable, each sub center was provided with a set of laminated checklist and it was requested to hang those checklists on the wall so that it can be used at the time services delivery. In addition, the checklists were also provided to PHCs and CHCs of the district. 9.5. OUTCOMES Table 9.1: Achievements at a Glance Indicators Number Number of training sessions conducted by the quality expert 2 Number of training programs conducted by the project staff 6 Number of quality checklists printed and distributed 4500 Number of Laminated checklists provided to health care institutions 175 Number of follow up visits made by field staff 21 Number of checklists used by the health functionaries 3275 9.6. POST INTERVENTION ASSESSMENT After successful completion of project activities, the project team carried out a rapid assessment survey in order to measure the impact of QA intervention in the district. The study aimed at following objectives: • To assess the extent of use of checklist by health workers • To assess the enhancement in the knowledge of process steps in specific service delivery. • To assess perception of clients towards service provided by the health workers. • A set of indicators were selected for assessing the impact of quality intervention: • No of ANMs using various checklists • Percentage of ANMs feel that their performance has increased/Improved • Percent ANMs perceive that use of checklist has facilitated her work 199
  • 199.
    Indian Institute ofHealth Management Research, Jaipur Strengthening District Health System in Madhya Pradesh through Management Interventions • Percent ANM feel that their skills have improved • Percent ANMs feel satisfied with the use of checklist • Percent ANMs feel that it has improved quality of services • Percent of pregnant women administered checklist • Percent women feel satisfaction with the services provided by ANM • Percent women feel that ANM has started giving better care 9.6.1. Methodology and Sampling Two blocks, one at the farthest corner of the district (i.e., Bankhedi) and other closest to the district (i.e., Dolariya) were selected for rapid assessment. The assessment aimed at collecting information from the providers as well as the consumers on the changes in the service delivery before and after the intervention. Accordingly, two sets of structured questionnaires – one for the providers and other for the receivers were prepared and administered in the field. Though it was decided that all the ANMs of the selected blocks would be interviewed for the survey, due to pulse polio program in the district only 23 out of 34 could be interviewed. From the consumers’ side, a minimum of 10 households (selected randomly from the services provision register of the ANM after QA intervention) was decided to be interviewed from the sub center villages of respective ANMs. Due to unavoidable circumstances, only 249 out of 340 households could be interviewed during the period of survey. Trained investigators conducted the survey. 9.6.2. Salient findings Profile of respondents Out of 23 ANMs who were interviewed during the period of survey, 48 per cent of them had experience of working in health department for 11-15 years followed by the respondents, which had work experience of 16-20 years (39 per cent). A negligent percentage of the respondents had experience of 5-10 years of experience in the department (Table – 9.2). As expressed by respondents, none of them had received any service protocol during their period of service and the higher authorities did not put any attention on quality services delivery to the clients. Table 9.2: Work experience in Health Department Experience in Years No of ANMs Percentage 5 -10 1 4.3 11-15 11 48 16-20 9 39 21-25 1 4.3 26 and above 1 4.3 Total 23 100 200
  • 200.
    Indian Institute ofHealth Management Research, Jaipur Strengthening District Health System in Madhya Pradesh through Management Interventions 9.6.2a. Services Provider’s Prospective (a) Use of checklists As the checklists were primarily provided for their use during the services delivery, the frequency of use of the checklists would give us an indication on the quality services delivery and efficiency of the health workers in providing the services. From the results of the survey, it is interesting to note that most of the checklists were used during the service delivery, with more than 60 per cent of them used during ANC services and immunization. However, the percentage of utilization still lies below 60 per cent for other services (Table 9.3). The important factor that could be attributed for the low utilization of checklists is the time interval between the supply of checklist and their use. Table 9.4 gives a clear picture on this aspect. As could be seen from the table, majority of health workers were provided with QA checklist just 4 months before the completion of project. This was mostly due to late interventions on Quality Assurance. Table 9.3: Use of the provided checklists by category Types of Checklist Quantity Provided Checklist Administered % Utilization of checklist ANC 605 377 62.31 Intra natal 605 257 42.47 PNC 605 355 58.67 Immunization 605 402 66.44 ARI 605 246 40.66 Diarrhea 605 220 36.36 Oral Pills 590 327 55.42 IUD 590 286 48.47 Total 4810 2470 61.11 Table 9.4: Duration of use of checklist Time period No of ANMs Percentage Three month before 3 13 Four month before 19 82.6 More than four month 1 4.3 Total 23 100 The use of the checklists is linked with the work experience of respondents as could be observed from Table 9.5. The utilization of checklist by low experienced staff was found to be more compared to experienced workers. This could be attributed to the fact that workers with low experience are more inclined to bring changes in the system as compared to more experienced workers. This is evident from the table given below. 201
  • 201.
    Indian Institute ofHealth Management Research, Jaipur Strengthening District Health System in Madhya Pradesh through Management Interventions Table 9.5: Acceptance and use of Checklists by years of experience Experience No. of ANMs Percentage Share Checklist provided Checklist used Acceptance percentage 5-10 years 1 4.3 210 200 95 11-15 years 11 48 2310 1220 53 16-20 years 9 39 1890 1010 53 21-25 years 1 4.3 210 71 34 26 and above 1 4.3 210 61 29 Total 23 99.9 4830 2562 (a) Improvement in performance of ANMs Table 9.6 gives the information about the clients served by the ANMs before and after the quality checklist. It is necessary to note that the number of clients before the administration of checklists is more than the number after the use of checklist. There are two possible reasons for this: 1. The clients who were attended before the administration of checklist were not thoroughly checked. As a result, the number of clients attended will be certainly be more 2. After the use of checklist, the services were provided as per the checklists. This certainly takes more time per client, thus acts as contributing factor for less number of cases However, the point to be noted here is that more time with the clients is certainly an indication of improvement in the quality of care. This statement could be supplemented with the responses from the service providers who expressed their satisfaction with their service delivery pattern after the use of checklists. Table 9.6: Number of clients served before and after the use of checklist Types of checklist Number of clients served before administration of checklist* Number of clients served after checklist** ANC 1772 964 Intra Natal 363 180 PNC 1246 598 Immunization 1996 982 ARI 616 400 Diarrhea 518 307 Family Planning 1103 728 Source: Data collected from concern ANMs during rapid assessment survey January 2004 *The date pertains to April – August 2003, ** Date pertains September- December 2003 202
  • 202.
    Indian Institute ofHealth Management Research, Jaipur Strengthening District Health System in Madhya Pradesh through Management Interventions (b) Improvement of service delivery (component wise) 1. ANC services For the convenience of analysis, the ANC services are divided into three categories. (a) General services, (b) Clinical services and (c) Counseling services. It could be observed from Table 9.7 that out of five general services the ANMs were providing only two services (i.e., registration and distribution IFA) to all the cases attended by them. Other services such as taking the history, identification of high-risk cases and TT doses were not provided to all the clients attended by them. It is noticeable from the table that after the administration of QA checklist, all the five general services are provided to all the clients attended by them. Similar trend could be observed for clinical and counseling services also. Table 9.7: Ante natal services and improvement in the service delivery Services Percentage of ANMs provided services Before Checklist Percentage of ANMs providing services after checklist Percentage Change General Registration 100 100 - History Taking 52 100 48 Identification of High risk 52 100 48 TT doses 73 100 27 IFA Tablet 100 100 - Clinical check-up Pulse rate 26 95.7 69.7 Blood pressure 8.7 100 91.3 Edema 52 95.7 43.7 Position of child 30 100 70 Pelvic outlet 13 91 78 Urine test 8.7 56 47.3 Blood test 8.7 69 60.3 Counseling Risk factor during pregnancy 61 100 39 Food intake during pregnancy 78 100 22 Importance of rest during pregnancy 74 100 26 203
  • 203.
    Indian Institute ofHealth Management Research, Jaipur Strengthening District Health System in Madhya Pradesh through Management Interventions 2. Intranatal services Twenty-two components are listed to provide quality services during Intra natal care. These components further divided into five sub heads; (a) Preparation (b) Information about labor (c) Physical check up and risk factors (d) Services during delivery, and (e) Neo-natal care. The data revels that after the use of QA checklists, there is substantial improvement in the services delivery for all the components (Table – 9.8). 3. PNC Services There are 11 components listed out for quality delivery of PNC services. There is a perceivable change in the PNC services delivery by the health workers after the QA intervention (Table 9.9) Table 9.8: Status of Intra natal Services before and after the intervention Services Percentage of ANMs provided services Before Checklist Percentage of ANMs providing services after checklist Percentage Change Preparation Needle, Syringe, thread scissor, blade, glove are sterilized 95 96 1 Analyze the possible complications 65 96 31 Information about labor When the labor pain start 91 96 5 Duration of and interval of labor pain 61 96 35 Discharge of membrane water 52 91 39 Bleeding 52 91 39 Discharge of dark black or green water 26 91 65 Physical check-up and risk factors Measure pulse rate 48 91 43 Blood pressure 9 96 87 Position of child 44 96 52 Distosia (Falls pain) 4 96 92 Hemorrhage or shock 0 96 96 Infection 4 96 92 During delivery Clean the perineum of women 91 96 5 Provide support to child's head by palm 96 96 - Ensure that cord is not wrap at neck 83 96 13 204
  • 204.
    Indian Institute ofHealth Management Research, Jaipur Strengthening District Health System in Madhya Pradesh through Management Interventions Clean the mouth and nose of child 70 96 26 Check the release of placenta 39 96 57 Neonatal care Ensure the breathing 74 91 17 Ensure the cry 91 96 5 Tie the cord with sterilized thread 78 96 18 Wrap the child with clean cotton cloth and hand over to mother for breastfeeding 74 91 17 Table 9.9: Status of PNC services before and after the intervention Services Percentage of ANMs provided services Before Checklist Percentage of ANMs providing services after checklist Percentage Change General Asked about the place of delivery 74 100 26 Complication during the delivery 52 96 44 Status of bleeding 26 100 74 Problem of foul discharge 26 100 74 Pain in abdomen and breast 17 100 83 Complain of fever 39 100 61 Physical Examination Position of uterus 30 100 70 Discharge, swelling on cervix 22 100 78 Pulse rate 52 100 48 Blood pressure 9 100 91 Check for anemia 26 100 74 4. Immunization services: For the qualitative immunization services, seven components were listed out. It could be observed from Table 9.10 that, before the intervention ANMs were providing these services to almost all the clients. Unfortunately, most of the service providers were not taking a note of level of vaccine vial for date of expiry. However, after the intervention there is a substantial change in the attitude of health workers as all the respondents are taking a note of the same before vaccination. Similar improvements could be observed on administering appropriate dose, administering the vaccine at prescribed place and disposing off the needles after the use. 205
  • 205.
    Indian Institute ofHealth Management Research, Jaipur Strengthening District Health System in Madhya Pradesh through Management Interventions Table 9.10: Status of Immunization services before and after the intervention Services Percentage of ANMs provided services Before Checklist Percentage of ANMs providing services after checklist Percentage Change Check the label of vaccine vial for date of expiry 61 100 39 Maintain proper cold chain and keep the vaccines in ice pack 100 100 - Use sterilized syringe for each administration 100 100 - Ensure the proper quantity of dose to be insured in the syringe before administration 91 100 9 Administered vaccine at prescribed place 91 100 9 Syringe and needle disposed off after the administration. 91 100 9 Ensure the entry of record in the immunization register 100 100 - 5. ARI services There are 14 components listed out for quality ARI services. ANMs provided only one service very prominently i.e. enquired whether child is unable to drink any liquid material properly. However, though the QA checklist could not bring 100 per cent change in services delivery, still there are noticeable improvements if one analyses Table 9.11 component wise. 6. Diarrhea services Out of 10 components listed for quality services delivery, ANMs performed quite well on four components. i.e. knowing about the duration of frequency of loose motion, provide counseling services to the parents to provide liquid item as more as possible and teach them about how to prepare ORS solution at home. The present situation (as reported by the ANMs) reveals that almost all the listed services are provided to the clients after the intervention (Table 9.12). 206
  • 206.
    Indian Institute ofHealth Management Research, Jaipur Strengthening District Health System in Madhya Pradesh through Management Interventions Table 9.11: Status of ARI services before and after the intervention Services Percentage of ANMs provided services Before Checklist Percentage of ANMs providing services after checklist Percentage Change Check the fever 78 100 22 Duration of cough and cold 61 100 39 Observe the physical activity status of child 57 100 43 Unable to drink any liquid material 83 100 17 Examine breathing rate 57 91 34 Take the temperature 22 100 78 Examine the throat 26 87 61 Examine the ears 13 91 78 Examine sound during the breathing 65 100 35 Examine the colour of lips, ears, face and nails 48 100 52 Classified the category of illness 9 96 87 Provide or prescribe antibiotic 48 96 48 Referred child for better services 48 100 52 Counseled the parents about the pneumonia 48 100 52 Table 9.12: Status of Diarrhea services before and after intervention Services Percentage of ANMs provided services Before Checklist Percentage of ANMs providing services after checklist Percentage Change Duration and frequency of loose motion 91 100 9 Asked about the mucus with motion 61 100 39 Asked about the vomiting 26 100 74 Asked about fever 48 100 525 Examine the level of dehydration 35 100 65 Provide ORS 100 100 - Does not provide antibiotic unless 48 100 52 207
  • 207.
    Indian Institute ofHealth Management Research, Jaipur Strengthening District Health System in Madhya Pradesh through Management Interventions mucus is present in motion Does not provide any anti diarrhea medicine 39 100 61 Counseled parents to provide more liquid item as more as possible 96 96 - Inform them about the preparation of ORS solution. 83 100 17 7(a). FP services (oral pills) It can be observed from above table that out of nine quality components of providing oral pills services, the ANMs were providing only concentrating on two components i.e., asking the age of woman and number of children. Other components as listed in Table 9.13 were not taken care of. The use of quality checklist has improved their understanding on the importance of all the components and at present, almost all the components are looked carefully before advising the clients to use oral pills as method of contraception. Table 9.13: Status of FP Services (Oral Pills) before and after intervention Services Percentage of ANMs provided services Before Checklist Percentage of ANMs providing services after checklist Percentage Change Age of the Women 96 100 4 No of Children 86 100 14 Whether the women suffer from Heart problem. Blood pressure or liver disorder 17 100 83 Whether women suffer from PID 13 100 87 Whether women practicing breastfeeding 39 100 61 Date of last menstruation 61 100 39 Explain how to take the pills 44 100 56 Explain about the side effect 9 100 91 Continuity of the oral pills 22 100 78 7 (b). FP services (IUD Insertion) It is important to note that figures on IUD insertion were provided by the health workers in form – 6 on a regular basis, whereas, most of the workers were unaware about the method of inserting IUDs. Only 39 per cent of the ANMs know about how to insert IUD. 208
  • 208.
    Indian Institute ofHealth Management Research, Jaipur Strengthening District Health System in Madhya Pradesh through Management Interventions Because of the execution of the checklist, ANMs have taken immense interest in learning the procedure for the same and almost all of them are providing satisfactory services. Table 9.14: Status of Family Planning Services (IUD) before and after intervention Services Percentage of ANMs provided services before Checklist Percentage of ANMs providing services after checklist Percentage Change Age of the Women 96 100 4 No of Children 83 100 17 Whether the women suffer from Heart problem. Blood pressure or liver disorder 9 100 91 Whether women suffer from PID 9 100 91 Whether women practicing breastfeeding 39 100 61 Date of last menstruation 57 100 43 Pregnancy test done 44 91 47 Load the Copper -T in inserter in proper way 39 100 61 Ensure the depth and direction of inserter 13 100 87 Install the copper -T at right place 13 100 87 Ensure the position of tread of Copper-T 17 100 83 The findings described in the previous section were a summary of service delivery status before and after the quality intervention from providers prospective. No concrete conclusion regarding the improvement of quality could be derived unless we analyze the perception of clients on the services provided to them. 9.6.2b. Clients prospective on quality change For the assessment of perception of the clients about service delivery of the ANMs after the execution of checklist, 249 clients were interviewed. The distribution of clients (Table –9.15) shows that majority (33 per cent) of the household respondents were receiving immunization services followed by family planning and ANC clients (27 per cent each) and PNC clients (19 per cent). A detailed distribution of the sample households is given in table below: 209
  • 209.
    Indian Institute ofHealth Management Research, Jaipur Strengthening District Health System in Madhya Pradesh through Management Interventions Table: 9.15 - Distribution of sample households based on services received from the ANMs Services Number of clients receiving the services Percentage ANC 68 27 Intra Natal 14 5.6 PNC 48 19 Immunization 82 33 ARI 10 4 Diarrhea 12 4.8 Family Planning 68 27 Total 249 100 In order to get a clear picture on the improvement of quality of services delivery before and after the intervention, the clients were initially enquired whether they were receiving any services from the ANMs before the intervention. Out of total clients interviewed, majority of them (208 responses) received ANC services followed by PNC (200 responses), Immunization (181 responses) family planning (125 responses), ARI (83 responses). These clients received one or the other services from the ANM before the intervention. When the same clients were requested to give their opinion on the status of service delivery after the intervention, nearly 80 per cent of them were of the opinion that the service delivery has improved during last few months (Tables 9.16 and 9.17). Table 9.16: Services ever received Services Number of responses ANC 208 Intra natal 61 PNC 200 Immunization 181 ARI 83 Diarrhea 61 Family Planning 125 Table 9.17: Clients perception on improvement of services delivery after intervention Response Number of respondents Percentage Yes 194 77.9 No 55 22.1 Total 249 100 When enquired about the kind of changes that were observed by the clients, multiple responses were recorded. Most of the respondents (104) were of the opinion that the 210
  • 210.
    Indian Institute ofHealth Management Research, Jaipur Strengthening District Health System in Madhya Pradesh through Management Interventions ANMs examine the clients more thoroughly at present. Eighty respondents were of the opinion that the ANMs prescribe medicines accurately where as 74 clients reported that the ANMs explain the problems in very simple language and counsel them properly. Fifty seven respondents noticed positive change in the behavior of ANMs where as 53 clients were satisfied with the present treatment of the ANMs as they feel that the ANMs started treating better than before (Table 9.18). Table 9.18: Type of changes observed Responses Number of responses Examine more thoroughly 104 Explain the problems in very simple language 74 Change in her behavior 57 Prescribed medicines accurately 80 Her treatment is better than before 53 Though majority of clients realized perceivable change in the service delivery of the ANMs, it is interesting to note that still 5.2 per cent of the clients were not happy with the services provided by ANMs (Table 9.19). When enquired whether the respondents have communicated the observed changes to others in the community it was surprising to note that only 24.1 per cent of them have communicated the changes in services delivery to others whereas a major portion (75.9 per cent) did not communicate this to others (Table 9.20) Table 9.19: Satisfaction of clients on the service delivery of ANMs Responses Number of respondents Percentage Yes 236 94.8 No 13 5.2 Total 249 100 Table 9.20: Clients Communicated observed changes to others Responses Number of respondents Percentage Yes 46 24.1 No 148 75.9 Total 29 100 To summarize, the rapid assessment of the intervention gives us a strong point to claim that quality assurance intervention was one of the most successful intervention under SDHS project as it has helped the project to achieve desired outputs within stipulated time period. The major outcomes of this intervention are: 1. The use of QA checklist helped the health care providers in general and ANMs in particular to improve their services delivery 211
  • 211.
    Indian Institute ofHealth Management Research, Jaipur Strengthening District Health System in Madhya Pradesh through Management Interventions 2. The improved services delivery has brought about a change in the minds of the clients on the poor quality of government run health services 3. As the project was able to achieve its outcomes related to this intervention within a short span of time, it is clear that the quality assurance checklists could be used as an important tool for improving the health services delivery in any health system. 9.7. LESSONS LEARNT AND SUSTAINABILITY • The major focus of quality assurance intervention was on improving the quality of Maternal and Child Health (MCH) care at the primary level. The major aim of this intervention was to bring an improvement in quality of primary health care in the district. Through the quality of care is an extremely important component in enhancing the utilization of government run health services due to delay in the implementation process the benefits of this intervention could not be fully realized. • Though it is generally believed that the deep rooted habits of the health functionaries could not be changed, the same is not fully applicable in case of quality of health care as the reputation of health functionaries is directly linked to quality health services. No doubt that the employees working for a long time (20 years or more) are averse to change in the system. Nevertheless, an attitudinal change could be brought in the minds of younger generation health functionaries if appropriate training on quality health services delivery is imparted to them. This was perceivable from our own experience. • No doubt that the sustainability of quality intervention depends upon enforcement of proper law and providing appropriate guidelines to lower level health functionaries and monitoring the activities accordingly. • Bringing perceivable change in quality of primary health care was tried out under this intervention. Though it was not possible to bring substantial change in the system, the results are quite encouraging. It is equally important that the same aspect is included in secondary level health care, which is an important component of referral care, though it is really a challenging task to change the attitude of hospital staff in a short period. • Over and above the sustainability has been a major issue in any implementation project. Usually, the initiated activities are not continued for a long period as the whole implementation activities are carried out with the people from the health system. One way to sustain these activities could be to involve people from outside the organization (i.e., NGOs, PRIS and Community people) to enforce the functionaries to carryout the activities in the long run. • Needless to add that formation of a quality wing at state as well as district level would help bringing substantial changes in the quality of services delivery. 9.8. CONCLUSION 212
  • 212.
    Indian Institute ofHealth Management Research, Jaipur Strengthening District Health System in Madhya Pradesh through Management Interventions The present intervention was an initial attempt, better to say an experiment, which was carried out to improve the quality of Maternal and Child Health services in the district. The tool used for this purpose was quite simple. The administration of checklists to bring changes in the pattern of service delivery by the lower level health functionaries was not at all a difficult task. The results from rapid assessment gives strong evidence that Quality Assurance intervention was quite successful in the district as service delivery pattern and the attitude of the service providers have changed after the administration of checklist. It is therefore suggested that the activity should be continued for a longer period for bringing sustainability in the initiated activity. Moreover, similar simplistic methods with slight modifications in it could be used for hospitals. The sustainability of the activity will certainly need the help of people outside the system, which the health department needs to look into. 213
  • 213.
    Indian Institute ofHealth Management Research, Jaipur Strengthening District Health System in Madhya Pradesh through Management Interventions ANNEXURE – 9.1 QUALITY CHECK LISTS xHkkZoLFkk esaa lsokvksa dh xq.koRrk ¼izR;sd xHkZorh efgyk ds laca/k esa ;g lqfuf'pr djsa½ xHkZorh efgyk dk uke-----------------------------------------------xkao dk uke---------------------------mi dsUnz dk uke---------------------------------------- lkekU; tkudkjh D;k vkius mlds dkMZ ;k jsdkMZ dk voyksdu fd;k gS gkW@ugh D;k vkius efgyk ds dkMZ ;k jsdkMZ esa fuEu lwpuk,sa viMsV dj yh gSa %& efgyk dh vk;q gkW@ugh vk[kjh ekgokjh dh rkjh[k gkW@ugh fiNys izlo dh fnukad gkW@ugh fiNys xHkkZs dh la[;k ,oe izR;sd xHkZ dk ifj.kke gkW@ugh fiNys xHkZ ds le; vkbZ leL;k,a o tfVyrk,sa gkW@ugh izlo dh vuqekfur fnukad gkW@ugh D;k vkius efgyk esa [krjs ds y{k.kksa dk vkdyu fd;k gS tkWp gkW@ugh iYl jsV gkW@ugh jDrpki gkW@ugh otu rFkk yEckbZ gkW@ugh ,Mhek@lwtu ds y{k.kksa dh ifgpku gkW@ugh f'k'kq dh fLFkfr dk vkdayu ¼isV dh tkWp ½ gkW@ugh isfYod vkmVysV dh i;kZIrk gkW@ugh [kwu dh tkWp gkW@ugh is'kkc dh tkWp gkW@ugh lsok,sa fVVsul dk Vhdk yxk;k gS gkW@ugh vkbZju dh xksfy;ka nh@fy[kh gS gkW@ugh iks"k.k&iwjd fn;s@crk,s gSa gkW@ugh [krjs ds y{k.k ik, tkus ij jsQjy gkW@ugh ijke'kZ ¼Counseling) xHkkZoLFkk ds nkSjku [krjksa ds ckjs esa vPNh rjg le>k fn;k gS gkW@ugh xHkkZoLFkk ds nkSjku vkgkj ds ckjs esa le>k fn;k gS gkW@ugh VkiwfrZ yackbZ ukius dk Ldsy@Vsi gkW@ugh otu ysus dh e'khu gkW@ugh LVsFksLdksi o jDrpki ukius dk midj.k gkW@ugh fVVsul VkDlkbZM Vhds gkW@ugh vkbZju dh xksfy;ka gkW@ugh pSdfyLV &A 214
  • 214.
    Indian Institute ofHealth Management Research, Jaipur Strengthening District Health System in Madhya Pradesh through Management Interventions izloiwoZ tkap ,oe fLFkfr dk jsdkMZ j[kus gsrq dkMZ ,oe jftLVj gkW@ugh 215
  • 215.
    Indian Institute ofHealth Management Research, Jaipur Strengthening District Health System in Madhya Pradesh through Management Interventions izlo lsokvksa dh xq.koRrk ¼izlo laca/kh lsok,as ysus gsrq vkbZ izR;sd efgyk ds laca/k esa ;g lqfuf'pr djsa½ efgyk dk uke-----------------------------------------------xkao dk uke---------------------------mi dsUnz dk uke---------------------------------------- izlo dh rS;kjh uhMYl] lhfjat] /kkxk] dSph] CysM] nLrkus vkfn dks LVjykbZt fd;k gS gkW@ugh izlo ds fy, lkQ LFkku dh O;oLFkk dh gS gkW@ugh lEHkkfor tfVyrkvksa ,oe leL;kvksa dk vkdyu fd;k gS gkW@ugh izlo dh tkudkjh %& D;k vkius fuEu ds ckjs esa iwNk gS izlo ds nnZ dc izkjaHk gq, gkW@ugh nnZ fdrus vUrjky ij o fdruh ckj gq, gkW@ugh D;k ikuh NwV x;k gS gkW@ugh jDr L=ko rks ugh gqvk gS gkW@ugh xgjss dkys ;k gjs jax dk L=ko rks ugh gqvk gkW@ugh efgyk us dksbZ nokbZ ;k bykt fy;k gS gkW@ugh ;fn fjdkMZ esa lwpuk miyC/k ugha gks rks efgyk ls [krjks ds y{k.kksa ds ckjs esa gkW@ugh efgyk dk 'kkjhfjd ijh{k.k djsa rFkk izlo ds nkSjku /;ku nsas & D;k vkius % fu;fer #i ls iYl yh gS gkW@ugh fu;fer #i ls jDrpki ekik gS gkW@ugh f'k'kq dh fLFkfr dh tkap dh gS gkW@ugh ;g tkWpk gS fd ikuh dh FkSyh QVh gS ;k ugha gkW@ugh D;k vkius fuEu tfVyrkvksa dh igpku dh gS % gkW@ugh fMLVksfl;k gkW@ugh gSejst ;k 'kkWd gkW@ugh ,DysEif'k;k gkW@ugh laØe.k gkW@ugh cPps dh vlkekU; fLFkfr gkW@ugh izlo izfØ;k&D;k vkius % gkFk /kks fy;s gSa gkW@ugh efgyk ds isjhfu;e dks lkQ fd;k gS gkW@ugh isfjfu;e dks gFksyh ls lgkjk fn;k gS gkW@ugh cPpsa ds flj gFksyh ls lgkjk fn;k gSa gkW@ugh uky cPps ds flj esa rks ugh fyiVh gqbZ gS] ;g lqfuf'pr fd;k gS gkW@ugh cPpsa ds eqag vkSj ukd dks ikssaNk gS gkW@ugh uotkr f'k'kq dh ns[kHkky&D;k vkius % cPps dk jksuk lqfuf'pr fd;k gS gkW@ugh uky @ dkWMZ dks lkQ /kkxs ls cka/kk gS gkW@ugh dkWMZ dks LVsjkbZy dh gqbZ CysM@dSaph ls dkVk gS gkW@ugh pSdfyLV &B 216
  • 216.
    Indian Institute ofHealth Management Research, Jaipur Strengthening District Health System in Madhya Pradesh through Management Interventions mls lkQ diM+s ls yisV dj <ad fn;k gS gkW@ugh cPps dks ekrk ds ikl Lruiku ds fy, ns fn;k gS gkW@ugh tUe ds ,d ?kaVs ds Hkhrj vka[kksa esa ,UVhck;ksfVd vkbuVesaV fn;k gS gkW@ugh vkWoy & D;k vkius % lqfuf'pr dj fy;k gS fd iwjh rjg ckgj vk x;k gS gkW@ugh cps gq, IyslsUVk dks ckgj fudky fy;k gS gkW@ugh cPps }kjk Lruiku izkjaHk djuk lqfuf'pr dj fy;k gSa gkW@ugh f'k'kq dh tkWp & D;k vkius % cPps ds LokLF; o pSrU;rk dh tkap dj yh gSa gkW@ugh rkieku ys fy;k gSa gkW@ugh g`n;&xfr eki yh gS gkW@ugh flj dh tkWp dj yh gSa gkW@ugh otu ys fy;k gSa gkW@ugh izlo pkVZ@dkMZ@jftLVj esa izlo ,oe tUe laca/kh tkudkfj;ka ntZ dj nh gSa gkW@ugh 217
  • 217.
    Indian Institute ofHealth Management Research, Jaipur Strengthening District Health System in Madhya Pradesh through Management Interventions izloksRrj lsokvksa dh xq.koRrk ¼izloksRrj lsok,sa gsrq vkbZ izR;sd efgyk ds laca/k esa ;g lqfuf'pr djsa½ xHkZorh efgyk dk uke-----------------------------------------------xkao dk uke---------------------------mi dsUnz dk uke---------------------------------------- D;k vkius efgyk ls iwNk gS % mldk izlo dc o dgkW gqvk gkW@ugh izlo dk ifj.kke D;k gqvk gkW@ugh izlo ds le; D;k leL;k@tfVyrk gqbZ gkW@ugh jDr&L=ko dh fLFkfr D;k gSa gkW@ugh D;k nqxZU/k okyk L=ko gks jgk gSa gkW@ugh D;k efgyk ds isV ;k Lruksa esa nnZ ;k ruko eglwl gks jgk gSa gkW@ugh D;k mls cq[kkj jgk gSa gkW@ugh D;k og dksbZ nokb;kW ys jgh gSa gkW@ugh og fdl izdkj dk vkgkj ys jgh gS gkW@ugh cPpk fdl izdkj dk vkgkj ys jgk gSa gkW@ugh D;k vkius fuEu tkWp dh gS % isV esa lwtu dh igpku] xHkkZ'k; dk vkdkj o fLFkfr gkW@ugh ;ksfu esa lwtu] L=ko] jDrL=ko] ?kko] fQLVwyk gkW@ugh Lruksa dh tkWp gkW@ugh iYl jsV dk eki gkW@ugh jDrpki dk eki gkW@ugh otu dk eki gkW@ugh ,wuhfe;k dh tkWp gkW@ugh cq[kkj gkW@ugh nqxZU/kiw.kZ L=ko gkW@ugh efgyk dks vk;ju ;k Qksfyd ,sflM dh xksfy;kW nh gSa gkW@ugh iwjd iks"k.k dh lykg nh gS gkW@ugh D;k vkius xHkZfujks/kd viukus dh lykg nh gs gkW@ugh pSdfyLV &C 218
  • 218.
    Indian Institute ofHealth Management Research, Jaipur Strengthening District Health System in Madhya Pradesh through Management Interventions Vhdkdj.k lsokvksa dh xq.koRrk ¼Vhdkdj.k lsok,sa ysus gsrq vkbZ izR;sd xHkZorh efgyk@cPps ds laca/k esa ;g lqfuf'pr djsa½ xHkZorh efgyk dk uke-----------------------------------------------xkao dk uke---------------------------mi dsUnz dk uke---------------------------------------- Vhdksa dh vko';drk dk vkdyu &D;k vkius efgyk ds fjdkMZ dh tkWp dj vFkok efgyk ls iwN dj fuf'pr dj fy;k gS fd D;k mls fVVsul dk Vhdk yxk gSa gkW@ugh efgyk ds ifjokj ds vU; cPpksa ds Vhdkdj.k dh fLFkfr dh tkWp dj yh gS gkW@ugh Vhdkdj.k dh rS;kjh & D;k vkius Vhds dk yscy tkWp fd;k gS fd Vhdk lgh gS rFkk og ,D;ik;j ugha gqvk gSa gkW@ugh ;g lqfuf'pr dj fy;k gS fd lhfjat laØe.k jfgr gSa gkW@ugh Vhds ds vkbZliSd ij j[ks rFkk Vhdkdj.k ds nkSjku mls <ad dj j[kk gS gkW@ugh Vhdkdj.k dk {ks= rS;kj dj fy;k gSa gkW@ugh izR;sd Vhds ds fy, LVsjsykbTM lqbZ dke ys jgh gS gkW@ugh izR;sd Vhds ds fy, LVsjsykbTM lhfjat dke ys jgh gS gkW@ugh Vhdk lgh Lrj ¼Layer½ij dj jgh gSa gkW@ugh lqbZ ,oe lhfjat dks lgh rjhds ls fMLikst&vkQ dj jgha gSa gkW@ugh D;k cPps dks vkt vko';d lHkh Vhds yx x, gSa gkW@ugh cPps ds dkMZ ij izfof"B;kW dj nh gSa gkW@ugh midsUnz ds fjdkMZ@jftLVj esa izfo"B;kW dj nh gSa gkW@ugh ijke'kZ & D;k vkius ekrk dks fuEu ckrsa nh gSa %& fd vkt dkSu dkSu ls Vhds yx x, gSa gkW@ugh Vhdks ds lkbZM bQsDV D;k gks ldrs gSa gkW@ugh cPps dks Vhdk yxkuk t#jh gS Hkys gh cPpk chekj gks gkW@ugh vxyk Vhdk dc o dgkW yxsxk gkW@ugh dksYM psu rFkk lIykbZ & D;k vkius ;g lqfuf'pr dj fy;k gS fd % vkidk osDlhu dsfj;kj lgh fLFkfr esa gS gkW@ugh Vhdkdj.k dkMZ i;kZIr ek=k esa gSa gkW@ugh lHkh Vhds i;kZIr ek=k esa miyC/k gSa gkW@ugh lqbZ rFkk lhfjat dks LVsjsykbZt djus ds fy;s i;kZIr lk/ku miyC/k gSa gkW@ugh pSdfyLV &D 219
  • 219.
    Indian Institute ofHealth Management Research, Jaipur Strengthening District Health System in Madhya Pradesh through Management Interventions 'olu&ra= ds laØe.k laca/kh lsokvksa dh xq.koRrk ¼'olu&ra= ds laØe.k lca/kh lsok,sa ysus gsrq cPps ds laca/k esa ;g lqfuf'pr djsa½ xHkZorh efgyk dk uke-----------------------------------------------xkao dk uke---------------------------mi dsUnz dk uke---------------------------------------- lkekU; tkudkjh & D;k vkius iwNk gS fd % D;k cPpsa dks cq[kkj gSa rFkk fdruk cq[kkj gSa gkW@ugh [kkalh dh vof/k fdruh gS gkW@ugh cPps ds fØ;kdyki dk Lrj D;k gS gkW@ugh is; inkFkZ esa ihus esa l{ke gS gkW@ugh xys esa [kjk'k gS gkW@ugh dkuksa esa nnZ gks jgk gS gkW@ugh ifjokj esa Vh-ch-;k vU; 'okl laca/kh chekjh jgh gS gkW@ugh D;k dksbZ bykt fn;k x;k gkW@ugh tkWp & D;k vkius % lkekU; tkWp dh gS gkW@ugh 'olu nj dk vkdyu fd;k gS gkW@ugh rkieku fy;k gS gkW@ugh 'olu dk voyksdu fd;k gS gkW@ugh 'olu ds nkSjku vkokt lquh gS gkW@ugh xys dh tkWp dh gS gkW@ugh dkuksa dh tkWp dh gS gkW@ugh gksBksa] dkuksa psgjs rFkk uk[kwuksa ds jax dk voyksdu fd;k gS gkW@ugh mipkj ,oe jsQjy & D;k vkius % cPps dh chekjh dks xEHkhjrk ds vk/kkj ij oxhZd`r fd;k gS gkW@ugh cPps dks ,sUVhck;ksfVd fn;k @crk;k gS gkW@ugh xaHkhj fueksfu;k ;k 30 fnu ls vf/kd [kkalh jgus ij cPps dks jsQj fd;k gSa gkW@ugh ijke'kZ & D;k vkius ekrk dks % cPps dks iwjk bykt fn, tkus ds egRo dks le>k;k gS gkW@ugh crk;k gS fd cPps dks Lruiku tkjh j[ksa rFkk vfrfjDr inkFkZ nsa gkW@ugh crk;k gS fd cPps ds fy;s lkekU;@fLFkj rkieku cuk, j[ksa gkW@ugh xaHkhj laØe.k ds y{k.kksa ds ckjs esa crk fn;k gS gkW@ugh crk;k gS fd cPps dh gkyr fxj tkus ij vFkok mlesa lq/kkj ugha gksus ij iqu% laidZ djsa gkW@ugh vkiwfrZ & D;k vkids ikl fuEu lkexzh gSa % 'olu&nj ekius gsrq lsdsaM dh lqbZ okyh ?kM+h gkW@ugh ,UVhck;ksfVd nokbZ;k gkW@ugh rkieku ekius gsrq FkekZehVj gkW@ugh pSdfyLV &E 220
  • 220.
    Indian Institute ofHealth Management Research, Jaipur Strengthening District Health System in Madhya Pradesh through Management Interventions nLr jksx laca/kh lsokvksa dh xq.koRrk ¼nLr jksx lca/kh lsok,sa ysus gsrq vk, O;fDr ds laca/k esa ;g lqfuf'pr djsa½ efgyk@ekrk dk uke-----------------------------------------------xkao dk uke---------------------------mi dsUnz dk uke---------------------------------------- lkekU; tkudkjh & D;k vkius iwNk gS fd % nLr jksx dc ls gS gkW@ugha nLr fdruh ckj rFkk fdruh ek=k esa gks jgs gSa gkW@ugha nLr esa [kwu ;k E;wdl vkrs gSa gkW@ugha mYVh gksrh gS gkW@ugha cq[kkj jgrk gSa gkW@ugha dksbZ ?kjsyq mipkj fn;k gS gkW@ugha mipkj & D;k vkius % tyvYirk@ fMgkbZMªs'ku ds Lrj tkap dh gS gkW@ugha vks-vkj-,l- fn;k gSa gkW@ugha vks-vkj-,l- ds lkFk ?kjsyq mipkj crk;k gS gkW@ugha ,UVhck;ksfVd ugha fn;k gS tc rd fd nLr ds [kwu ;k E;wdl u gks gkW@ugha nLrjks/kd nokbZ ugha nh gS gkW@ugha i;kZIr ek=k easa vks-vkj-,l- ns fn;k gS gkW@ugha ijke'kZ& D;k vkius ekrk dks crk;k gS & fd nLr ds nkSjku vfrfjDr is; inkFkZ nsosa gkW@ugha vks- vkj- ,l- dk ?kksy dSls rS;kj fd;k tk; gkW@ugha vks-vkj-,l- ?kksy fdruh ckj rFkk fdruh ek=k esa fn;k tkuk pkfg, gkW@ugha vkiwfrZ & D;k vkids ikl fuEu lkexzh gS % vks-vkj-,l- ds iSdsV gkW@ugha vks-vkj-,l- cukus rFkk cPps dks nsus gsrw i;kZUr lk/ku gkW@ugha pSdfyLV &F 221
  • 221.
    Indian Institute ofHealth Management Research, Jaipur Strengthening District Health System in Madhya Pradesh through Management Interventions ifjokj fu;kstu lsokvksa dh xq.koRrk ¼ ifjokj fu;kstu lsok,sa ysus vkbZ gsrq efgyk ds laca/k esa ;g lqfuf'pr djsa½ xHkZorh efgyk dk uke-----------------------------------------------xkao dk uke---------------------------mi dsUnz dk uke---------------------------------------- lkekU; tkudkjh & D;k vkius fuEu tkudkjh yh gS % efgyk dh vk;q gkW@ugha fiNys xHkksZ dh la[;k ,oe izR;sd xHkZ dk ifj.kke gkW@ugha iwoZ esa mi;ksx fd;s x, lk/ku ,oe mudk mi;ksx can djus ds dkj.k gkW@ugha g`n; jksx] mPp jDrpki ;k yhoj laca/kh chekjh rks ugha gS gkW@ugha ih-vkbZ-Mh- rks ugh jgh gS gkW@ugha Lruiku djk jgh gS gkW@ugha vkf[kjh ekgokjh dh rkjh[k gkW@ugha tkWp & D;k vkius fuEu tkWp dj yh gS jDrpki gkW@ugha Lruksa dh tkWp gkW@ugha ,suhfe;k ds y{k.kksa dh tkp¡ gkW@ugha lk/ku dk pquko &D;k vkius iwNk gS fd og vkSj cPpk pkgrh gS vkSj ;fn gk¡ rks dc gkW@ugha fofHkUu ifjokj fu;kstu lk/kuks ds ckjs esa crk fn;k gS gkW@ugha fofHkUu lk/kuks ds ykHk o gkfu;kW crk nha gS gkW@ugha iwNk gS fd mls dkSu lk lk/ku ilan gS gkW@ugha mlds fy, mfpr lk/ku ds ckjs esa lykg nh gS gkW@ugha ;g lqfuf'pr dj fy;k gS fd og ml lk/ku dks viukus ds fy, lger gS gkW@ugha vkbZ ;w Mh @dkij &Vh& D;k vkius efgyk ls lgefr izkIr dj yh gS gkW@ugha D;k efgyk dh lkekU; tk¡p dj yh gS gkW@ugha D;k efgyk esa ;ksfu@iztuu ra= ds ladze.k dh tkWp dj yh gS gkW@ugha ;g lqfuf'pr dj fy;k gS fd efgyk dks ekgokjh dh leL;k rks ugha gS efgyk ds xHkZorh u gksus dh tkWp dj yh gS gkW@ugha efgyk dks lgh fLFkfr esa ysVk fn;k gS gkW@ugha vius gkFkksa dks vPNh rjg /kks fy;k gS @nLrkus igu fy, gS gkW@ugha ,sUVhlsfIVd yks'ku ls efgyk ds LFkkuh; vaxksa dh lQkbZ dh gS gkW@ugha bUlVZj easa dkij&Vh vPNh rjg ls yxk yh gS gkW@ugha D;k bUlVZj dh fn'kk ,oe xgjkbZ lqfuf'pr dh gS gkW@ugha dkij&Vh lgh LFkku ij LFkkfir dj nh gS gkW@ugha dkij&Vh ds /kkxs dh fLFkfr lqfuf'pr dh gSa gkW@ugha xHkZfujks/kd xksfy;kW & D;k vkius efgyk ls lgefr izkIr dj yh gS gkW@ugha D;k efgyk ds jDrpki dh tkWp dj yh gS gkW@ugha D;k efgyk esa ;ksfu@iztuu ra= ds laØe.k dh tkWp dj yh gS gkW@ugha ;g lqfuf'pr dj fy;k gS fd efgyk dks ekgokjh dh leL;k rks ugha gS gkW@ugha pSdfyLV &G 222
  • 222.
    Indian Institute ofHealth Management Research, Jaipur Strengthening District Health System in Madhya Pradesh through Management Interventions efgyk ds xHkZorh u gksus dh tkWp dj yh gS gkW@ugha efgyk dks xksfy;ksa dk mi;ksx fdl fnu ls 'kq# djuk gS ;g crk fn;k gS gkW@ugha fLVªi@iRrs esa ls xksfy;ksa dk izfrfnu fdl izdkj lsou djuk gS] lQsn xksfy;kW o yky xksfy;kW dc ysuh gSa] ;g crk fn;k gS gkW@ugha crk fn;k gS fd fdlh fnu xksyh u ys ikus ;k Hkwy tkus dh fLFkfr esa D;k djuk gS gkW@ugha ijke'kZ& D;k vkius fuEu lykg nh gS %& ml lk/ku ls laHkkfor lkbM bQSDV~l gkW@ugha lkbM bQsDVl gksus dh fLFkfr esa mls D;k djuk gS gkW@ugha lk/ku dk fu;fer #i ls mi;ksx vko';d gS gkW@ugha lk/ku dh lIykbZ dc o dgkW ls ysuh gS gkW@ugha mls dc Qkyksvi ds fy, vkils laidZ djuk gS gkW@ugha 223
  • 223.
    Indian Institute ofHealth Management Research, Jaipur Strengthening District Health System in Madhya Pradesh through Management Interventions CHAPTER -10 CONCLUSION AND FUTURE DIRECTIONS District Health Systems (DHS), comprising primary health care are key to the delivery of basic health services in developing countries. The concept of DHS has gained importance since the Alma Ata Declaration of Health for All in 1978, and subsequently the review of health situation of its participating countries in 1986 by WHO Global Programme Committee. The key problematic areas in a DHS are being identified and addressed through various interventions. Among the major areas of intervention are; decentralized health planning, community participation, Intersectoral coordination, logistics and supply management, human resources management, management of health information system, quality assurance, and finance and resources allocation. The document on “Global and Regional Review based on Experience in Various Countries” published by WHO in 1995 gives an idea that there have been several intervention projects in various countries to strengthen their DHS. Majority of the studies have focused their attention on either one or two of the key areas and the intervention strategies are being framed accordingly. The present project was an attempt to take major problematic areas in a DHS in India and tried to design the interventions for each of them. The project was implemented in Hoshangabad District of Madhya Pradesh, India. The following areas were taken as key areas of intervention: 1. Decentralized Health Planning 2. Logistics and supply management 3. Health Information System 4. Community participation and financing 5. Intersectoral coordination 6. Quality assurance Successful implementation of any project prerequisites an appropriate organizational set up which guides and monitors the project related activities at regular intervals. Since any District Health Systems project cannot be operational without any support from the State level health officials, their involvement in the project is highly essential. In addition, none of the activities at the district level could be carried out without adequate support and inputs of the health functionaries at the district level and below. As overall activity in a district is monitored by the district administration, their involvement in the project is highly essential. Keeping all these points in mind committees were formed at various level; PAC at state, DIC at district, DHT at district, BHT at blocks, SHCT at sub center, and VHT at village level. Similar organizations were formed at implementing agency level. For overall project management (including the finances) a committee, called CPT, consisting of core member of the project, team was formed and for carrying out day-to- day activities at the district level one RRT was formed. 224
  • 224.
    Indian Institute ofHealth Management Research, Jaipur Strengthening District Health System in Madhya Pradesh through Management Interventions Our experience shows that though formation of committee at state level i.e., PAC, is necessary, it is not desirable from implementation point of view. Similar experience was with DIC, which was formed with key officials of district administration as chairperson and members. From project management point of view DHT, BHT, SHCT, VHT, CPT and RRT played major role. Though the situation may differ within countries, a general conclusion from the experience of this project is that successful implementation of any DHS project needs greater involvement of health functionaries at district level and proper organizational set up at the implementing agency level. Implementation strategies in any DHS project could not be set without understanding the problems related to key problematic areas and participation of various stakeholders during problem identification and designing the solutions. Towards this end a series of diagnostic studies related to problematic areas of DHS were conducted and intervention strategies were designed in participation with the district health functionaries. Though this exercise should ideally be carried out through the workshops at district and state level, due to unavoidable circumstances this could not be done. An alternative strategy to this was to conduct workshops at block levels and design appropriate strategy. As the project team consisted of specialists on the key areas mentioned above, framing an implementation strategy and preparing an implementation plan was not a difficult task. The first area of intervention was streamlining the decentralized planning process initiated at the state and central level. The major problems identified in this area was that the centralized health planning was still existent in the district, with the plans being prepared at district level and passed on to lower levels i.e., blocks, PHCs and sub centers. Changing the total approach was certainly a challenging task. Moreover, the resistance from higher authorities to change the old approach posed more difficulty in carrying out this exercise. However, after frequent workshops and training programs at various levels the district health functionaries were able to understand the importance of decentralized planning and the project team was able to introduce the system of decentralized planning process in the district, with the plan being prepared at sub center level and passed on to higher level after necessary corrections and incorporations. Due to time constraints, the planning process could not be started from the village level. Therefore, it is suggested that the future researchers should attempt to initiate the planning process from the village level itself with the involvement of village community and Panchayat members. Appropriate management of Logistics and supply helps in improving health services delivery to a large extent. Since supply of most of the drugs, equipment and consumables are from the state level, there was no scope that the state level policy makers could be oriented towards the project objectives for a single district within the project period. Moreover, the basic philosophy of the project was to strengthen the management without any additional resources. Therefore, it was thought that the management of drug stores is an appropriate area of logistics management, which could be done without any additional resource implications. The diagnostic study identified various areas related to logistics and supply management in general. During the implementation phase, only the problems related to drug store management were taken into consideration and the interventions designed. The major interventions were; (a) Orientation of drug store keepers of various levels on appropriate procedure of store management, (b) Renovation of drugstores at district, block and sub center level, (c) Formation of logistics task force at the district for 225
  • 225.
    Indian Institute ofHealth Management Research, Jaipur Strengthening District Health System in Madhya Pradesh through Management Interventions keeping the initiated activities sustainable. The project was able to put substantial impact in terms of imparting necessary training, developing mechanism for indenting and supplying the drugs and consumables to lower level, renovating the drug stores at various levels etc. However, there are several aspects, which remained untouched, (a) Management of supply chain, (b) Inventory management etc. These points need to be addressed by the future researchers. Accurate and reliable Health Information System (HIS) has a crucial role in planning and monitoring the health programs in DHS. The importance of this vital component of DHS is either ignored/ poorly understood by the health functionaries. The project attempted to improve the HIS in the district through targeted interventions framed based on the results of diagnostic study and problems identified through participatory approach. The interventions implemented in the field were in the form of training and orientation programs, streamlining the distribution of reporting formats across the district, provision of basic registers to lower level health functionaries, developing monitoring and supervision mechanism and implementing the same in the field, developing village wise information formats, establishing mechanism for feedback from top to bottom, and introducing computerized HIS in the district. These interventions were implemented in a phased manner. No doubt, these interventions were able to bring substantial changes in HIS of the district. Yet, several things need to be done in order to have a reliable information system in the district: (a) the decentralized planning process needs to be strengthened further by taking villages as the bottom; (b) the monitoring mechanism needs to be followed strictly in order to monitor the actual work progress at grass root level; (c) the project was able to establish appropriate mechanisms (such as formation of MIS task force) for establishing feedback mechanism at various levels. This needs to be further strengthened. Since the inception of the concept of DHS, the role of community participation in primary health care has been examined in different countries (WHO, 1995). Yet, the concept has not gained much momentum as desired. Under the SDHS project attempts were made to carryout three major activities through community participation: (a) renovation of selected sub health centers in the district, (b) opening up of VHCs in selected villages, (c) establishing GSKK in selected villages. It is encouraging that the communities supported to carry out these activities and the achievement of the project team was more than eighty per cent in this regard. Influencial people of the community supported most of the activities carried out under this intervention. It is therefore necessary that the future attempts towards this end should aim at involving entire community in primary health care activities. Under inter sectoral coordination the project attempted to bring coordination between the Panchayati Raj Institutions (PRIs), NGOs and Health Department in order to improve the effectiveness of primary health care delivery in the district. Two models were tried out (a) one with continuous interaction with the PRIs through meetings, workshops and employing local resource persons (selected by Panchayat members) for carrying out health related activities such as community awareness, organisation of health camps etc. In this model the local resource persons acted as intermediary between the implementing agency (IIHMR), PRI members and health department. (b) Another model where there were few workshops and no local resource persons were involved. It is interesting to note 226
  • 226.
    Indian Institute ofHealth Management Research, Jaipur Strengthening District Health System in Madhya Pradesh through Management Interventions that the net outcome of these two approaches were not significantly different in terms of project indicators. As the first model had financial implications, it was experimented only in one block of the district and the outcomes were encouraging. In case the intervention area is quite large, the second model certainly gives better outcomes compared to the first one. In addition to involvement of PRIs, the project also solicited involvement of NGOs in primary health care. However, due to lack of time, visible changes could not be observed. Since the role of NGOs, particularly in social and other developmental sector, is increasing day by day, it will be useful to involve them primary health care and test the feasibility of the same. Moreover, the feasibility of involving the private sector health care providers could also be tested. An important contribution of the project was to introduce Quality Assurance (QA) system in the primary health care. This was attempted through introduction of QA checklist. The checklist was prepared by renounced quality specialist Dr. S. D. Gupta and the orientation and training programs were conducted under his supervision. Initially the intervention was tried in one block of the district and after successful implementation the checklists were distributed in the entire district. It was encouraging to note that the health care providers took immense interest in this activity and the overall success was around 60 per cent as was expected. It is therefore suggested that the same checklists could be used in other districts and the usefulness be tested. To conclude, the aim of the project was to improve the primary health care delivery system in Hoshangabad district with the existing resources. The underlying assumption was that the existing management systems in a DHS are week and could be strengthened through well-designed management interventions. Therefore, the project attempted towards setting up appropriate management processes at various levels and tried to measure the output of each intervention within a short span of 3 and half years. From the results of assessment studies, it is clearly visible that these processes would certainly bring improvement in the primary health care delivery system, and subsequently the health status of the people, if they were kept sustainable. The issue of sustainability is still a question and lies with the higher level health functionaries of the district. 227