2011 ‫الئحة المنتقالت في إطار الحركة التكميلية ابتداء من دجنبر‬
                                                         ‫االلتحاق بالزوج‬
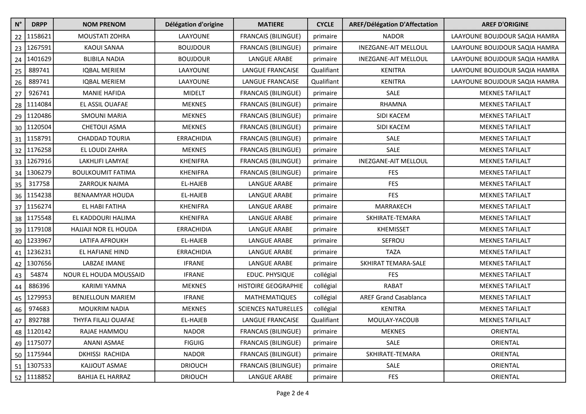
N°   DRPP       NOM PRENOM        Délégation d'origine        MATIERE               CYCLE      AREF/Délégation D'Affectation           AREF D'ORIGINE
1    861923    SAIDA BOUYACOUB      MOHAMMEDIA             LANGUE ARABE           primaire        SKHIRAT TEMARA-SALE                   CASABLANCA
2 1175715        NASSIH SANA        MOHAMMEDIA            CULTURE FEMININE        collégial         SKHIRATE-TEMARA                     CASABLANCA
3 1236398      ELKAHHARI NAJET          SETTAT           FRANCAIS (BILINGUE)      primaire        AREF Grand Casablanca             CHAOUIA OUARDIGHA
4 1266084     EL JARMOUNI SALMA         SETTAT           FRANCAIS (BILINGUE)      primaire          SKHIRATE-TEMARA                 CHAOUIA OUARDIGHA
5 1045830       ARASSI HAFIDA           SETTAT             LANGUE ARABE           primaire        AREF Grand Casablanca             CHAOUIA OUARDIGHA
6 1234962     BENMANSOUR SANAA          SETTAT             LANGUE ARABE           primaire        AREF Grand Casablanca             CHAOUIA OUARDIGHA
7 889831       BOUSSAFA FATIHA        KHOURIBGA                ARABE              collégial       AREF Grand Casablanca             CHAOUIA OUARDIGHA
8 1044072      BENQADI SAKINA           SETTAT            CULTURE FEMININE        collégial            MARRAKECH                    CHAOUIA OUARDIGHA
9 1048025       IDRISSI ZOHRA         KHOURIBGA           CULTURE FEMININE        collégial            BENI MELLAL                  CHAOUIA OUARDIGHA
10 1241581     BOULAADAS AICHA       BENSLIMANE          LANGUE ESPAGNOLE         collégial               NADOR                     CHAOUIA OUARDIGHA
11 888122      BENI AOUF ZINEB        KHOURIBGA          SCIENCES NATURELLES      collégial              KENITRA                    CHAOUIA OUARDIGHA
12 973850      EL BAHJA NAIMA         KHOURIBGA          SCIENCES NATURELLES      collégial       AREF Grand Casablanca             CHAOUIA OUARDIGHA
13 1232688       AMAL AHID               SAFI             CULTURE FEMININE        collégial       AREF Grand Casablanca                DOUKALA ABDA
14 1279967    FATNA BENHAMOU             SAFI             CULTURE FEMININE        collégial       AREF Grand Casablanca                DOUKALA ABDA
15 1444995      OUAKKI SIHAME        YOUSSOUFIA          SCIENCES NATURELLES      Qualifiant             KENITRA                       DOUKALA ABDA
16 1234021     SAMIRA AHOUAT             TATA            FRANCAIS (BILINGUE)      primaire                 SALE                       GUELMIM SMARA
17 1308364      SAKHI FATIMA           GUELMIM           FRANCAIS (BILINGUE)      primaire        AGADIR IDA OUTANANE                 GUELMIM SMARA
18 1267175    SANAA HBIBI OUALI          TATA              LANGUE ARABE           primaire                 SALE                       GUELMIM SMARA
19 1280714     ZNITER BOUCHRA          TAN-TAN            CULTURE FEMININE        collégial               RABAT                       GUELMIM SMARA
20 1114421      OUJDID FATIMA          TARFAYA           FRANCAIS (BILINGUE)      primaire          SKHIRATE-TEMARA            LAAYOUNE BOUJDOUR SAQIA HAMRA
21 1122836       OUALI SIHAM          LAAYOUNE           FRANCAIS (BILINGUE)      primaire               MEKNES                LAAYOUNE BOUJDOUR SAQIA HAMRA

                                                                    Page 1 de 4
N°   DRPP         NOM PRENOM          Délégation d'origine        MATIERE               CYCLE      AREF/Délégation D'Affectation           AREF D'ORIGINE
22 1158621       MOUSTATI ZOHRA           LAAYOUNE           FRANCAIS (BILINGUE)      primaire                NADOR                LAAYOUNE BOUJDOUR SAQIA HAMRA
23 1267591         KAOUI SANAA            BOUJDOUR           FRANCAIS (BILINGUE)      primaire        INEZGANE-AIT MELLOUL         LAAYOUNE BOUJDOUR SAQIA HAMRA
24 1401629        BLIBILA NADIA           BOUJDOUR              LANGUE ARABE          primaire        INEZGANE-AIT MELLOUL         LAAYOUNE BOUJDOUR SAQIA HAMRA
25 889741         IQBAL MERIEM            LAAYOUNE            LANGUE FRANCAISE        Qualifiant             KENITRA               LAAYOUNE BOUJDOUR SAQIA HAMRA
26 889741         IQBAL MERIEM            LAAYOUNE            LANGUE FRANCAISE        Qualifiant             KENITRA               LAAYOUNE BOUJDOUR SAQIA HAMRA
27 926741         MANIE HAFIDA              MIDELT           FRANCAIS (BILINGUE)      primaire                 SALE                       MEKNES TAFILALT
28 1114084       EL ASSIL OUAFAE           MEKNES            FRANCAIS (BILINGUE)      primaire               RHAMNA                       MEKNES TAFILALT
29 1120486        SMOUNI MARIA             MEKNES            FRANCAIS (BILINGUE)      primaire              SIDI KACEM                    MEKNES TAFILALT
30 1120504        CHETOUI ASMA             MEKNES            FRANCAIS (BILINGUE)      primaire              SIDI KACEM                    MEKNES TAFILALT
31 1158791       CHADDAD TOURIA          ERRACHIDIA          FRANCAIS (BILINGUE)      primaire                 SALE                       MEKNES TAFILALT
32 1176258       EL LOUDI ZAHRA            MEKNES            FRANCAIS (BILINGUE)      primaire                 SALE                       MEKNES TAFILALT
33 1267916       LAKHLIFI LAMYAE           KHENIFRA          FRANCAIS (BILINGUE)      primaire        INEZGANE-AIT MELLOUL                MEKNES TAFILALT
34 1306279     BOULKOUMIT FATIMA           KHENIFRA          FRANCAIS (BILINGUE)      primaire                 FES                        MEKNES TAFILALT
35 317758        ZARROUK NAIMA             EL-HAJEB             LANGUE ARABE          primaire                 FES                        MEKNES TAFILALT
36 1154238     BENAAMYAR HOUDA             EL-HAJEB             LANGUE ARABE          primaire                 FES                        MEKNES TAFILALT
37 1156274        EL HABI FATIHA           KHENIFRA             LANGUE ARABE          primaire             MARRAKECH                      MEKNES TAFILALT
38 1175548     EL KADDOURI HALIMA          KHENIFRA             LANGUE ARABE          primaire          SKHIRATE-TEMARA                   MEKNES TAFILALT
39 1179108     HAJJAJI NOR EL HOUDA      ERRACHIDIA             LANGUE ARABE          primaire              KHEMISSET                     MEKNES TAFILALT
40 1233967       LATIFA AFROUKH            EL-HAJEB             LANGUE ARABE          primaire               SEFROU                       MEKNES TAFILALT
41 1236231       EL HAFIANE HIND         ERRACHIDIA             LANGUE ARABE          primaire                 TAZA                       MEKNES TAFILALT
42 1307656        LABZAE IMANE              IFRANE              LANGUE ARABE          primaire        SKHIRAT TEMARA-SALE                 MEKNES TAFILALT
43 54874     NOUR EL HOUDA MOUSSAID         IFRANE             EDUC. PHYSIQUE         collégial                FES                        MEKNES TAFILALT
44 886396         KARIMI YAMNA             MEKNES            HISTOIRE GEOGRAPHIE      collégial               RABAT                       MEKNES TAFILALT
45 1279953     BENJELLOUN MARIEM            IFRANE            MATHEMATIQUES           collégial       AREF Grand Casablanca               MEKNES TAFILALT
46 974683        MOUKRIM NADIA             MEKNES            SCIENCES NATURELLES      collégial              KENITRA                      MEKNES TAFILALT
47 892788      THYFA FILALI OUAFAE         EL-HAJEB           LANGUE FRANCAISE        Qualifiant         MOULAY-YACOUB                    MEKNES TAFILALT
48 1120142       RAJAE HAMMOU               NADOR            FRANCAIS (BILINGUE)      primaire               MEKNES                          ORIENTAL
49 1175077        ANANI ASMAE               FIGUIG           FRANCAIS (BILINGUE)      primaire                 SALE                          ORIENTAL
50 1175944       DKHISSI RACHIDA            NADOR            FRANCAIS (BILINGUE)      primaire          SKHIRATE-TEMARA                      ORIENTAL
51 1307533       KAJJOUT ASMAE             DRIOUCH           FRANCAIS (BILINGUE)      primaire                 SALE                          ORIENTAL
52 1118852       BAHIJA EL HARRAZ          DRIOUCH              LANGUE ARABE          primaire                 FES                           ORIENTAL

                                                                        Page 2 de 4
N°   DRPP       NOM PRENOM          Délégation d'origine        MATIERE               CYCLE      AREF/Délégation D'Affectation    AREF D'ORIGINE
53 1279629     KSSIOURA SALWA             NADOR            CULTURE FEMININE         collégial       AREF Grand Casablanca            ORIENTAL
54 1280003   BOUDHANE LOUBNA           OUJDA-ANJAD         CULTURE FEMININE         collégial              SEFROU                    ORIENTAL
55 1122879    AIT OUZDI NAIMA            ZAGOURA           FRANCAIS (BILINGUE)      primaire        AREF Grand Casablanca        SOUSS MASA DARAA
56 1180661    JEANDIRE    IMANE          TINGHIR           FRANCAIS (BILINGUE)      primaire                 SALE                SOUSS MASA DARAA
57 1233946     ADLIOUI HANANE            TINGHIR           FRANCAIS (BILINGUE)      primaire          SKHIRATE-TEMARA            SOUSS MASA DARAA
58 1237435     HAYAT HIBOUSSI            TINGHIR           FRANCAIS (BILINGUE)      primaire               EL-HAJEB              SOUSS MASA DARAA
59 1237791     KARSI BOUCHRA             TINGHIR           FRANCAIS (BILINGUE)      primaire                 SALE                SOUSS MASA DARAA
60 1308154      OUJRI HAYAT            OUARZAZATE          FRANCAIS (BILINGUE)      primaire        AREF Grand Casablanca        SOUSS MASA DARAA
61 738853     EL BALRHITI AMINA    INEZGANE-AIT MELLOUL      LANGUE ARABE           primaire        AREF Grand Casablanca        SOUSS MASA DARAA
62 1121078     ASSADI LOUBNA       INEZGANE-AIT MELLOUL      LANGUE ARABE           primaire              KHEMISSET              SOUSS MASA DARAA
63 1122253    KHARIS     FATIMA        OUARZAZATE            LANGUE ARABE           primaire                 SALE                SOUSS MASA DARAA
64 1154809    AMEZIANE FATIMA          OUARZAZATE            LANGUE ARABE           primaire             MARRAKECH               SOUSS MASA DARAA
65 1175324   CHOUKRI RACHIDA             TINGHIR             LANGUE ARABE           primaire        AREF Grand Casablanca        SOUSS MASA DARAA
66 1179497   MESSNAOUI FATIMA            TINGHIR             LANGUE ARABE           primaire                 SALE                SOUSS MASA DARAA
67 1179992     OUABIRA    AMAL           TINGHIR             LANGUE ARABE           primaire             ERRACHIDIA              SOUSS MASA DARAA
68 1180000    OUADAD     HANAN         OUARZAZATE            LANGUE ARABE           primaire              GUELMIM                SOUSS MASA DARAA
69 1181407     TALIBI RACHIDA            TINGHIR             LANGUE ARABE           primaire          SKHIRATE-TEMARA            SOUSS MASA DARAA
70 1235314   BOUMENDIL TOURIA            ZAGOURA             LANGUE ARABE           primaire              KHEMISSET              SOUSS MASA DARAA
71 1238196     LGHAZI KARIMA           OUARZAZATE            LANGUE ARABE           primaire          SKHIRATE-TEMARA            SOUSS MASA DARAA
72 1266879   GOUMANOUZ FATIMA             TIZNIT             LANGUE ARABE           primaire               KENITRA               SOUSS MASA DARAA
73 1306126     BERRADA SIHAM             TINGHIR             LANGUE ARABE           primaire                 SALE                SOUSS MASA DARAA
74 1306400     CHAKNAT ILHAM           OUARZAZATE            LANGUE ARABE           primaire        AREF Grand Casablanca        SOUSS MASA DARAA
75 1307046     EL YAZIDI SAMYA           ZAGOURA             LANGUE ARABE           primaire              AL HAOUZ               SOUSS MASA DARAA
76 1308488   TAJEMOUATI SOUAD            TINGHIR             LANGUE ARABE           primaire             ERRACHIDIA              SOUSS MASA DARAA
77 1367341      DADDA SOUAD              ZAGOURA             LANGUE ARABE           primaire        AREF Grand Casablanca        SOUSS MASA DARAA
78 77500       OUKASSI NEZHA       INEZGANE-AIT MELLOUL     EDUC. ISLAMIQUE         Qualifiant             MEKNES                SOUSS MASA DARAA
79 716819       ABETTE NEZHA       INEZGANE-AIT MELLOUL     MATHEMATIQUES           Qualifiant          OUJDA-ANJAD              SOUSS MASA DARAA
80 951634      EL ADLOUNI RAJA     AGADIR IDA OUTANANE      MATHEMATIQUES           Qualifiant               FES                 SOUSS MASA DARAA
81 1157572   EL BOUZTATI KARIMA        FAHS ANJRA          FRANCAIS (BILINGUE)      primaire                 SALE                TANGER TETOUAN
82 1237767     KARAKHI SOUAD            OUAZZANE           FRANCAIS (BILINGUE)      primaire               EL-HAJEB              TANGER TETOUAN
83 1269418   SALIH FATIMA ZAHRAA         LARACHE           FRANCAIS (BILINGUE)      primaire        AREF Grand Casablanca        TANGER TETOUAN

                                                                      Page 3 de 4
N°   DRPP           NOM PRENOM             Délégation d'origine        MATIERE               CYCLE      AREF/Délégation D'Affectation      AREF D'ORIGINE
84 1174184         BEN SOUDA KENZA           CHEFCHAOUEN            LANGUE ARABE           primaire               EL-HAJEB                TANGER TETOUAN
85 1180134          SBAI HADHOUM               OUAZZANE             LANGUE ARABE           primaire                 SALE                  TANGER TETOUAN
86 1180865           SNIDI HAFIDA              OUAZZANE             LANGUE ARABE           primaire                 SALE                  TANGER TETOUAN
87 1239741          ZAABOUL MINA               OUAZZANE             LANGUE ARABE           primaire               MEKNES                  TANGER TETOUAN
88 1278852          ERHOUNY LEILA             MDIQ FNIDQ                ARABE              collégial       AREF Grand Casablanca          TANGER TETOUAN
89 1282727         NAIMA EL OUAKILI          CHEFCHAOUEN          SCIENCES NATURELLES      collégial             KHENIFRA                 TANGER TETOUAN
90 968659            FALAKI AICHA               LARACHE           SCIENCES NATURELLES      Qualifiant             MEKNES                  TANGER TETOUAN
91 706528          FATIMA ZERHOUDI            AL HOCEIMA          FRANCAIS (BILINGUE)      primaire            OUJDA-ANJAD              TAZA HOCIMA TAOUNATE
92 1174997           ALLACH AMAL              AL HOCEIMA          FRANCAIS (BILINGUE)      primaire                 FES                 TAZA HOCIMA TAOUNATE
93 1180761         MANSOUR ASMAE              AL HOCEIMA          FRANCAIS (BILINGUE)      primaire               DRIOUCH               TAZA HOCIMA TAOUNATE
94 775499           HITAM FATIMA              AL HOCEIMA            LANGUE ARABE           primaire             BENSLIMANE              TAZA HOCIMA TAOUNATE
95 860429          AMARTI KHADIJA              TAOUNATE             LANGUE ARABE           primaire                 FES                 TAZA HOCIMA TAOUNATE
96 1046491        EL MOUDDEN NAJAT                TAZA              LANGUE ARABE           primaire                 FES                 TAZA HOCIMA TAOUNATE
97 1052224          ACHBAB FATIMA                 TAZA              LANGUE ARABE           primaire                 FES                 TAZA HOCIMA TAOUNATE
98 1114027       MOUSTAKIM KHADIJA             TAOUNATE             LANGUE ARABE           primaire                 FES                 TAZA HOCIMA TAOUNATE
99 1114295          RIDA MERYEM                TAOUNATE             LANGUE ARABE           primaire                 FES                 TAZA HOCIMA TAOUNATE
100 1119245     ALMOUMANE RIFFI ZAKIA          TAOUNATE             LANGUE ARABE           primaire           MOULAY-YACOUB             TAZA HOCIMA TAOUNATE
101 1159307         BAALI HASSANA                 TAZA              LANGUE ARABE           primaire            OUJDA-ANJAD              TAZA HOCIMA TAOUNATE
102 1174019        AMJOUN FATIHA              AL HOCEIMA            LANGUE ARABE           primaire                NADOR                TAZA HOCIMA TAOUNATE
103 1177463         LAKHLIFI RAJAE                TAZA              LANGUE ARABE           primaire               SEFROU                TAZA HOCIMA TAOUNATE
104 1178490      MOUNACH MERYEME               TAOUNATE             LANGUE ARABE           primaire                 FES                 TAZA HOCIMA TAOUNATE
105 1180849        SERRHINI HAJIBA             TAOUNATE             LANGUE ARABE           primaire               MEKNES                TAZA HOCIMA TAOUNATE
106 864541         MERZOUG MALIKA              TAOUNATE             EDUC. PHYSIQUE         collégial                FES                 TAZA HOCIMA TAOUNATE
107 1241497   CHARKANI EL HASSANI HOURIA       TAOUNATE            LANGUE FRANCAISE        collégial                FES                 TAZA HOCIMA TAOUNATE
108 1443764     SMIRES BENNANI ASMAE           TAOUNATE           LANGUE ALLEMANDE         Qualifiant               FES                 TAZA HOCIMA TAOUNATE
109 974066       BOULGHALEGH FATIMA             GUERCIF           SCIENCES NATURELLES      Qualifiant          OUJDA-ANJAD              TAZA HOCIMA TAOUNATE




                                                                             Page 4 de 4

Res mvexp12 rap-conj_listedec2011

  • 1.
    2011 ‫الئحة المنتقالتفي إطار الحركة التكميلية ابتداء من دجنبر‬ ‫االلتحاق بالزوج‬ N° DRPP NOM PRENOM Délégation d'origine MATIERE CYCLE AREF/Délégation D'Affectation AREF D'ORIGINE 1 861923 SAIDA BOUYACOUB MOHAMMEDIA LANGUE ARABE primaire SKHIRAT TEMARA-SALE CASABLANCA 2 1175715 NASSIH SANA MOHAMMEDIA CULTURE FEMININE collégial SKHIRATE-TEMARA CASABLANCA 3 1236398 ELKAHHARI NAJET SETTAT FRANCAIS (BILINGUE) primaire AREF Grand Casablanca CHAOUIA OUARDIGHA 4 1266084 EL JARMOUNI SALMA SETTAT FRANCAIS (BILINGUE) primaire SKHIRATE-TEMARA CHAOUIA OUARDIGHA 5 1045830 ARASSI HAFIDA SETTAT LANGUE ARABE primaire AREF Grand Casablanca CHAOUIA OUARDIGHA 6 1234962 BENMANSOUR SANAA SETTAT LANGUE ARABE primaire AREF Grand Casablanca CHAOUIA OUARDIGHA 7 889831 BOUSSAFA FATIHA KHOURIBGA ARABE collégial AREF Grand Casablanca CHAOUIA OUARDIGHA 8 1044072 BENQADI SAKINA SETTAT CULTURE FEMININE collégial MARRAKECH CHAOUIA OUARDIGHA 9 1048025 IDRISSI ZOHRA KHOURIBGA CULTURE FEMININE collégial BENI MELLAL CHAOUIA OUARDIGHA 10 1241581 BOULAADAS AICHA BENSLIMANE LANGUE ESPAGNOLE collégial NADOR CHAOUIA OUARDIGHA 11 888122 BENI AOUF ZINEB KHOURIBGA SCIENCES NATURELLES collégial KENITRA CHAOUIA OUARDIGHA 12 973850 EL BAHJA NAIMA KHOURIBGA SCIENCES NATURELLES collégial AREF Grand Casablanca CHAOUIA OUARDIGHA 13 1232688 AMAL AHID SAFI CULTURE FEMININE collégial AREF Grand Casablanca DOUKALA ABDA 14 1279967 FATNA BENHAMOU SAFI CULTURE FEMININE collégial AREF Grand Casablanca DOUKALA ABDA 15 1444995 OUAKKI SIHAME YOUSSOUFIA SCIENCES NATURELLES Qualifiant KENITRA DOUKALA ABDA 16 1234021 SAMIRA AHOUAT TATA FRANCAIS (BILINGUE) primaire SALE GUELMIM SMARA 17 1308364 SAKHI FATIMA GUELMIM FRANCAIS (BILINGUE) primaire AGADIR IDA OUTANANE GUELMIM SMARA 18 1267175 SANAA HBIBI OUALI TATA LANGUE ARABE primaire SALE GUELMIM SMARA 19 1280714 ZNITER BOUCHRA TAN-TAN CULTURE FEMININE collégial RABAT GUELMIM SMARA 20 1114421 OUJDID FATIMA TARFAYA FRANCAIS (BILINGUE) primaire SKHIRATE-TEMARA LAAYOUNE BOUJDOUR SAQIA HAMRA 21 1122836 OUALI SIHAM LAAYOUNE FRANCAIS (BILINGUE) primaire MEKNES LAAYOUNE BOUJDOUR SAQIA HAMRA Page 1 de 4
  • 2.
    DRPP NOM PRENOM Délégation d'origine MATIERE CYCLE AREF/Délégation D'Affectation AREF D'ORIGINE 22 1158621 MOUSTATI ZOHRA LAAYOUNE FRANCAIS (BILINGUE) primaire NADOR LAAYOUNE BOUJDOUR SAQIA HAMRA 23 1267591 KAOUI SANAA BOUJDOUR FRANCAIS (BILINGUE) primaire INEZGANE-AIT MELLOUL LAAYOUNE BOUJDOUR SAQIA HAMRA 24 1401629 BLIBILA NADIA BOUJDOUR LANGUE ARABE primaire INEZGANE-AIT MELLOUL LAAYOUNE BOUJDOUR SAQIA HAMRA 25 889741 IQBAL MERIEM LAAYOUNE LANGUE FRANCAISE Qualifiant KENITRA LAAYOUNE BOUJDOUR SAQIA HAMRA 26 889741 IQBAL MERIEM LAAYOUNE LANGUE FRANCAISE Qualifiant KENITRA LAAYOUNE BOUJDOUR SAQIA HAMRA 27 926741 MANIE HAFIDA MIDELT FRANCAIS (BILINGUE) primaire SALE MEKNES TAFILALT 28 1114084 EL ASSIL OUAFAE MEKNES FRANCAIS (BILINGUE) primaire RHAMNA MEKNES TAFILALT 29 1120486 SMOUNI MARIA MEKNES FRANCAIS (BILINGUE) primaire SIDI KACEM MEKNES TAFILALT 30 1120504 CHETOUI ASMA MEKNES FRANCAIS (BILINGUE) primaire SIDI KACEM MEKNES TAFILALT 31 1158791 CHADDAD TOURIA ERRACHIDIA FRANCAIS (BILINGUE) primaire SALE MEKNES TAFILALT 32 1176258 EL LOUDI ZAHRA MEKNES FRANCAIS (BILINGUE) primaire SALE MEKNES TAFILALT 33 1267916 LAKHLIFI LAMYAE KHENIFRA FRANCAIS (BILINGUE) primaire INEZGANE-AIT MELLOUL MEKNES TAFILALT 34 1306279 BOULKOUMIT FATIMA KHENIFRA FRANCAIS (BILINGUE) primaire FES MEKNES TAFILALT 35 317758 ZARROUK NAIMA EL-HAJEB LANGUE ARABE primaire FES MEKNES TAFILALT 36 1154238 BENAAMYAR HOUDA EL-HAJEB LANGUE ARABE primaire FES MEKNES TAFILALT 37 1156274 EL HABI FATIHA KHENIFRA LANGUE ARABE primaire MARRAKECH MEKNES TAFILALT 38 1175548 EL KADDOURI HALIMA KHENIFRA LANGUE ARABE primaire SKHIRATE-TEMARA MEKNES TAFILALT 39 1179108 HAJJAJI NOR EL HOUDA ERRACHIDIA LANGUE ARABE primaire KHEMISSET MEKNES TAFILALT 40 1233967 LATIFA AFROUKH EL-HAJEB LANGUE ARABE primaire SEFROU MEKNES TAFILALT 41 1236231 EL HAFIANE HIND ERRACHIDIA LANGUE ARABE primaire TAZA MEKNES TAFILALT 42 1307656 LABZAE IMANE IFRANE LANGUE ARABE primaire SKHIRAT TEMARA-SALE MEKNES TAFILALT 43 54874 NOUR EL HOUDA MOUSSAID IFRANE EDUC. PHYSIQUE collégial FES MEKNES TAFILALT 44 886396 KARIMI YAMNA MEKNES HISTOIRE GEOGRAPHIE collégial RABAT MEKNES TAFILALT 45 1279953 BENJELLOUN MARIEM IFRANE MATHEMATIQUES collégial AREF Grand Casablanca MEKNES TAFILALT 46 974683 MOUKRIM NADIA MEKNES SCIENCES NATURELLES collégial KENITRA MEKNES TAFILALT 47 892788 THYFA FILALI OUAFAE EL-HAJEB LANGUE FRANCAISE Qualifiant MOULAY-YACOUB MEKNES TAFILALT 48 1120142 RAJAE HAMMOU NADOR FRANCAIS (BILINGUE) primaire MEKNES ORIENTAL 49 1175077 ANANI ASMAE FIGUIG FRANCAIS (BILINGUE) primaire SALE ORIENTAL 50 1175944 DKHISSI RACHIDA NADOR FRANCAIS (BILINGUE) primaire SKHIRATE-TEMARA ORIENTAL 51 1307533 KAJJOUT ASMAE DRIOUCH FRANCAIS (BILINGUE) primaire SALE ORIENTAL 52 1118852 BAHIJA EL HARRAZ DRIOUCH LANGUE ARABE primaire FES ORIENTAL Page 2 de 4
  • 3.
    DRPP NOM PRENOM Délégation d'origine MATIERE CYCLE AREF/Délégation D'Affectation AREF D'ORIGINE 53 1279629 KSSIOURA SALWA NADOR CULTURE FEMININE collégial AREF Grand Casablanca ORIENTAL 54 1280003 BOUDHANE LOUBNA OUJDA-ANJAD CULTURE FEMININE collégial SEFROU ORIENTAL 55 1122879 AIT OUZDI NAIMA ZAGOURA FRANCAIS (BILINGUE) primaire AREF Grand Casablanca SOUSS MASA DARAA 56 1180661 JEANDIRE IMANE TINGHIR FRANCAIS (BILINGUE) primaire SALE SOUSS MASA DARAA 57 1233946 ADLIOUI HANANE TINGHIR FRANCAIS (BILINGUE) primaire SKHIRATE-TEMARA SOUSS MASA DARAA 58 1237435 HAYAT HIBOUSSI TINGHIR FRANCAIS (BILINGUE) primaire EL-HAJEB SOUSS MASA DARAA 59 1237791 KARSI BOUCHRA TINGHIR FRANCAIS (BILINGUE) primaire SALE SOUSS MASA DARAA 60 1308154 OUJRI HAYAT OUARZAZATE FRANCAIS (BILINGUE) primaire AREF Grand Casablanca SOUSS MASA DARAA 61 738853 EL BALRHITI AMINA INEZGANE-AIT MELLOUL LANGUE ARABE primaire AREF Grand Casablanca SOUSS MASA DARAA 62 1121078 ASSADI LOUBNA INEZGANE-AIT MELLOUL LANGUE ARABE primaire KHEMISSET SOUSS MASA DARAA 63 1122253 KHARIS FATIMA OUARZAZATE LANGUE ARABE primaire SALE SOUSS MASA DARAA 64 1154809 AMEZIANE FATIMA OUARZAZATE LANGUE ARABE primaire MARRAKECH SOUSS MASA DARAA 65 1175324 CHOUKRI RACHIDA TINGHIR LANGUE ARABE primaire AREF Grand Casablanca SOUSS MASA DARAA 66 1179497 MESSNAOUI FATIMA TINGHIR LANGUE ARABE primaire SALE SOUSS MASA DARAA 67 1179992 OUABIRA AMAL TINGHIR LANGUE ARABE primaire ERRACHIDIA SOUSS MASA DARAA 68 1180000 OUADAD HANAN OUARZAZATE LANGUE ARABE primaire GUELMIM SOUSS MASA DARAA 69 1181407 TALIBI RACHIDA TINGHIR LANGUE ARABE primaire SKHIRATE-TEMARA SOUSS MASA DARAA 70 1235314 BOUMENDIL TOURIA ZAGOURA LANGUE ARABE primaire KHEMISSET SOUSS MASA DARAA 71 1238196 LGHAZI KARIMA OUARZAZATE LANGUE ARABE primaire SKHIRATE-TEMARA SOUSS MASA DARAA 72 1266879 GOUMANOUZ FATIMA TIZNIT LANGUE ARABE primaire KENITRA SOUSS MASA DARAA 73 1306126 BERRADA SIHAM TINGHIR LANGUE ARABE primaire SALE SOUSS MASA DARAA 74 1306400 CHAKNAT ILHAM OUARZAZATE LANGUE ARABE primaire AREF Grand Casablanca SOUSS MASA DARAA 75 1307046 EL YAZIDI SAMYA ZAGOURA LANGUE ARABE primaire AL HAOUZ SOUSS MASA DARAA 76 1308488 TAJEMOUATI SOUAD TINGHIR LANGUE ARABE primaire ERRACHIDIA SOUSS MASA DARAA 77 1367341 DADDA SOUAD ZAGOURA LANGUE ARABE primaire AREF Grand Casablanca SOUSS MASA DARAA 78 77500 OUKASSI NEZHA INEZGANE-AIT MELLOUL EDUC. ISLAMIQUE Qualifiant MEKNES SOUSS MASA DARAA 79 716819 ABETTE NEZHA INEZGANE-AIT MELLOUL MATHEMATIQUES Qualifiant OUJDA-ANJAD SOUSS MASA DARAA 80 951634 EL ADLOUNI RAJA AGADIR IDA OUTANANE MATHEMATIQUES Qualifiant FES SOUSS MASA DARAA 81 1157572 EL BOUZTATI KARIMA FAHS ANJRA FRANCAIS (BILINGUE) primaire SALE TANGER TETOUAN 82 1237767 KARAKHI SOUAD OUAZZANE FRANCAIS (BILINGUE) primaire EL-HAJEB TANGER TETOUAN 83 1269418 SALIH FATIMA ZAHRAA LARACHE FRANCAIS (BILINGUE) primaire AREF Grand Casablanca TANGER TETOUAN Page 3 de 4
  • 4.
    DRPP NOM PRENOM Délégation d'origine MATIERE CYCLE AREF/Délégation D'Affectation AREF D'ORIGINE 84 1174184 BEN SOUDA KENZA CHEFCHAOUEN LANGUE ARABE primaire EL-HAJEB TANGER TETOUAN 85 1180134 SBAI HADHOUM OUAZZANE LANGUE ARABE primaire SALE TANGER TETOUAN 86 1180865 SNIDI HAFIDA OUAZZANE LANGUE ARABE primaire SALE TANGER TETOUAN 87 1239741 ZAABOUL MINA OUAZZANE LANGUE ARABE primaire MEKNES TANGER TETOUAN 88 1278852 ERHOUNY LEILA MDIQ FNIDQ ARABE collégial AREF Grand Casablanca TANGER TETOUAN 89 1282727 NAIMA EL OUAKILI CHEFCHAOUEN SCIENCES NATURELLES collégial KHENIFRA TANGER TETOUAN 90 968659 FALAKI AICHA LARACHE SCIENCES NATURELLES Qualifiant MEKNES TANGER TETOUAN 91 706528 FATIMA ZERHOUDI AL HOCEIMA FRANCAIS (BILINGUE) primaire OUJDA-ANJAD TAZA HOCIMA TAOUNATE 92 1174997 ALLACH AMAL AL HOCEIMA FRANCAIS (BILINGUE) primaire FES TAZA HOCIMA TAOUNATE 93 1180761 MANSOUR ASMAE AL HOCEIMA FRANCAIS (BILINGUE) primaire DRIOUCH TAZA HOCIMA TAOUNATE 94 775499 HITAM FATIMA AL HOCEIMA LANGUE ARABE primaire BENSLIMANE TAZA HOCIMA TAOUNATE 95 860429 AMARTI KHADIJA TAOUNATE LANGUE ARABE primaire FES TAZA HOCIMA TAOUNATE 96 1046491 EL MOUDDEN NAJAT TAZA LANGUE ARABE primaire FES TAZA HOCIMA TAOUNATE 97 1052224 ACHBAB FATIMA TAZA LANGUE ARABE primaire FES TAZA HOCIMA TAOUNATE 98 1114027 MOUSTAKIM KHADIJA TAOUNATE LANGUE ARABE primaire FES TAZA HOCIMA TAOUNATE 99 1114295 RIDA MERYEM TAOUNATE LANGUE ARABE primaire FES TAZA HOCIMA TAOUNATE 100 1119245 ALMOUMANE RIFFI ZAKIA TAOUNATE LANGUE ARABE primaire MOULAY-YACOUB TAZA HOCIMA TAOUNATE 101 1159307 BAALI HASSANA TAZA LANGUE ARABE primaire OUJDA-ANJAD TAZA HOCIMA TAOUNATE 102 1174019 AMJOUN FATIHA AL HOCEIMA LANGUE ARABE primaire NADOR TAZA HOCIMA TAOUNATE 103 1177463 LAKHLIFI RAJAE TAZA LANGUE ARABE primaire SEFROU TAZA HOCIMA TAOUNATE 104 1178490 MOUNACH MERYEME TAOUNATE LANGUE ARABE primaire FES TAZA HOCIMA TAOUNATE 105 1180849 SERRHINI HAJIBA TAOUNATE LANGUE ARABE primaire MEKNES TAZA HOCIMA TAOUNATE 106 864541 MERZOUG MALIKA TAOUNATE EDUC. PHYSIQUE collégial FES TAZA HOCIMA TAOUNATE 107 1241497 CHARKANI EL HASSANI HOURIA TAOUNATE LANGUE FRANCAISE collégial FES TAZA HOCIMA TAOUNATE 108 1443764 SMIRES BENNANI ASMAE TAOUNATE LANGUE ALLEMANDE Qualifiant FES TAZA HOCIMA TAOUNATE 109 974066 BOULGHALEGH FATIMA GUERCIF SCIENCES NATURELLES Qualifiant OUJDA-ANJAD TAZA HOCIMA TAOUNATE Page 4 de 4