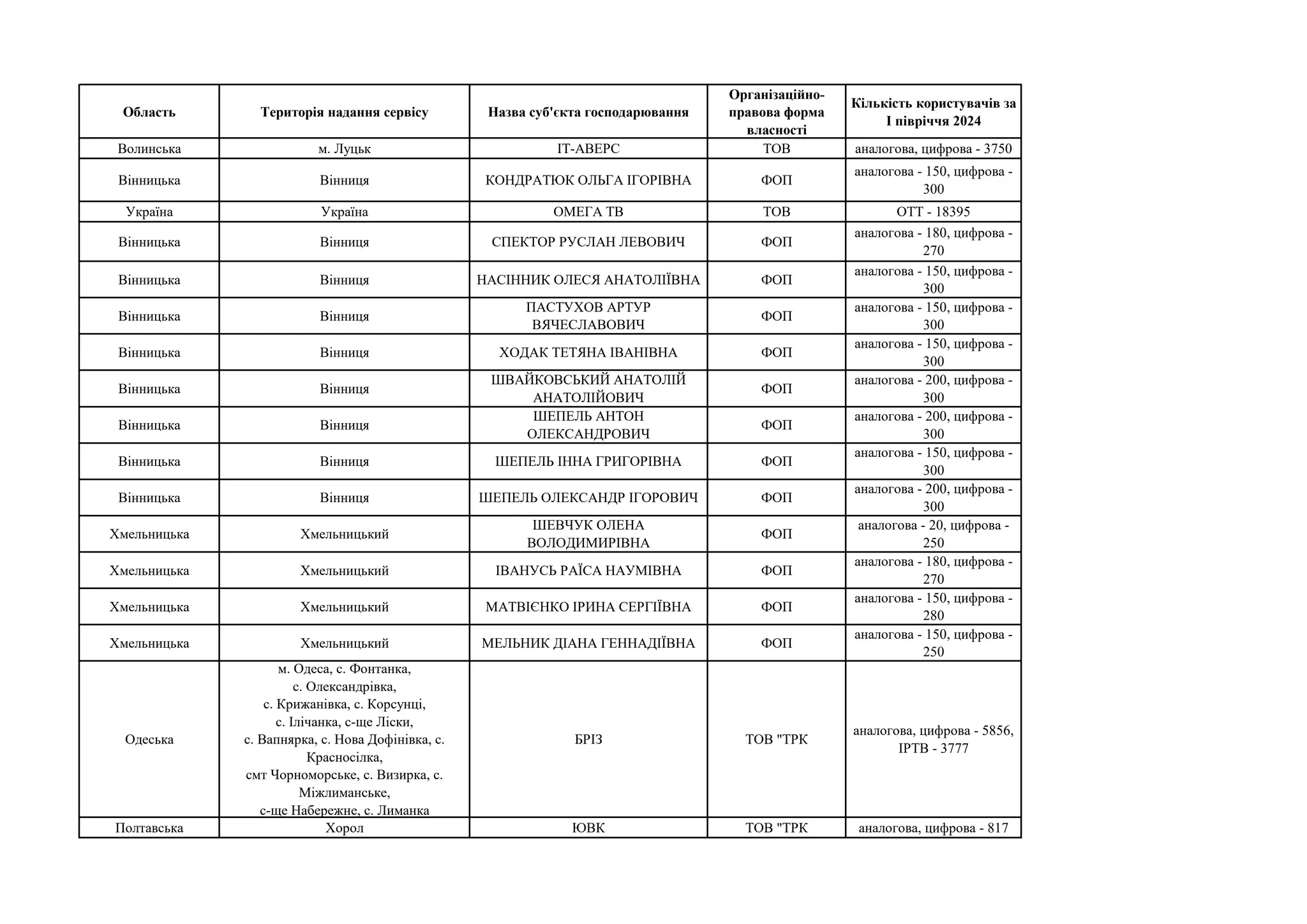
Область Територія надання сервісу Назва суб'єкта господарювання
Організаційно-
правова форма
власності
Кількість користувачів за
І півріччя 2024
Волинська м. Луцьк ІТ-АВЕРС ТОВ аналогова, цифрова - 3750
Вінницька Вінниця КОНДРАТЮК ОЛЬГА ІГОРІВНА ФОП
аналогова - 150, цифрова -
300
Україна Україна ОМЕГА ТВ ТОВ ОТТ - 18395
Вінницька Вінниця СПЕКТОР РУСЛАН ЛЕВОВИЧ ФОП
аналогова - 180, цифрова -
270
Вінницька Вінниця НАСІННИК ОЛЕСЯ АНАТОЛІЇВНА ФОП
аналогова - 150, цифрова -
300
Вінницька Вінниця
ПАСТУХОВ АРТУР
ВЯЧЕСЛАВОВИЧ
ФОП
аналогова - 150, цифрова -
300
Вінницька Вінниця ХОДАК ТЕТЯНА ІВАНІВНА ФОП
аналогова - 150, цифрова -
300
Вінницька Вінниця
ШВАЙКОВСЬКИЙ АНАТОЛІЙ
АНАТОЛІЙОВИЧ
ФОП
аналогова - 200, цифрова -
300
Вінницька Вінниця
ШЕПЕЛЬ АНТОН
ОЛЕКСАНДРОВИЧ
ФОП
аналогова - 200, цифрова -
300
Вінницька Вінниця ШЕПЕЛЬ ІННА ГРИГОРІВНА ФОП
аналогова - 150, цифрова -
300
Вінницька Вінниця ШЕПЕЛЬ ОЛЕКСАНДР ІГОРОВИЧ ФОП
аналогова - 200, цифрова -
300
Хмельницька Хмельницький
ШЕВЧУК ОЛЕНА
ВОЛОДИМИРІВНА
ФОП
аналогова - 20, цифрова -
250
Хмельницька Хмельницький ІВАНУСЬ РАЇСА НАУМІВНА ФОП
аналогова - 180, цифрова -
270
Хмельницька Хмельницький МАТВІЄНКО ІРИНА СЕРГІЇВНА ФОП
аналогова - 150, цифрова -
280
Хмельницька Хмельницький МЕЛЬНИК ДІАНА ГЕННАДІЇВНА ФОП
аналогова - 150, цифрова -
250
Одеська
м. Одеса, с. Фонтанка,
с. Олександрівка,
с. Крижанівка, с. Корсунці,
с. Ілічанка, с-ще Ліски,
с. Вапнярка, с. Нова Дофінівка, с.
Красносілка,
смт Чорноморське, с. Визирка, с.
Міжлиманське,
с-ще Набережне, с. Лиманка
БРІЗ ТОВ "ТРК
аналогова, цифрова - 5856,
ІРТВ - 3777
Полтавська Хорол ЮВК ТОВ "ТРК аналогова, цифрова - 817
Сумська м. Ромни, с. Овлаші Ідеал
ТРК КТ " " у формі
ПП
аналогова, цифрова - 4000
Київська м. Київ Індастріал Медіа Нетворк ТОВ
аналогова - 392, цифрова -
155, ІРТВ - 5620
Сумська Глухів Глухів ТОВ "ТРК аналогова - 5500
Львівська Львів (Франківський р-н) Діалект ТзОВ ТК аналогова, цифрова - 3630
Житомирська Бердичів Астрал КТВ ТОВ
аналогова - 1085, цифрова -
600
Кіровоградська м. Олександрія Кабельні телевізійні мережі ТОВ "ТРК аналогова, цифрова - 3001
Львівська
м. Стрий, с. Дуліби,
с. Грабовець, с. Нежухів,
с. Добрівляни, с. Стрілків,
с. Верчани, с. Слобідка,
с. Підгірці, с. Комарів, с.Лотатники, с.
Ярушичі, с.Олексичі, с. Гайдучина,
с.Бережниця,
смт. Дашава Стрийського р-ну, м.
Дрогобич
ТЕЛЕЛАН ТОВ "ТРК
аналогова - 6000, цифрова -
5728, Інтернет ІРТВ - 240
Рівненська Дубно Вільне слово з України ТОВ "ТРК аналогова - 498
Львівська Новояворівськ Вільне слово ТОВ "ТРК аналогова - 1346
Львівська Сокаль, Соснівка, Стебник ЛЕВ ТОВ "ТРО
аналогова - 2456, цифрова -
1399
Волинська Луцьк Яблонський Олександр Євгенович ФОП цифрова - 1510
Волинська Луцьк Куцирко Ігор Ілларіонович ФОП цифрова - 2020
Житомирська Бердичів Новий Світ ПП "ТРК " аналогова - 238
Львівська Дрогобич ЕКРАН-Сервіс
Комунальне
підприємство
аналогова (базовий - 1972,
соцпакет - 125)
Сумська Лебедин Лебедин ПП ТРК
аналогова - 850, цифрова -
550, ІРТВ - 120
Дніпропетровська м. Кривий Ріг Кабельне телебачення ТОВ "ТРК
аналогова - 6415, цифрова -
14966
Миколаївська м. Южноукраїнськ Квант
ДПТС " " ПрАТ
"Атомсервіс"
Аналогова (мінімальний)-
276, аналогова (базовий) -
1720, аналогова+цифрова
(загальний) - 3379
м.Київ, Київська,
Харківська,
Дніпропетровська,
Запорізька,
Полтавська, Сумська,
Одеська, Рівнеська
обл.
м.Київ, Київська, Харківська,
Дніпропетровська, Запорізька,
Полтавська, Сумська, Одеська, Рівнеська
обл.
Контент Трейдінг ТОВ
аналогова, цифрова, ІРТВ -
244955
Україна Україна Контент Трейдінг ТОВ ОТТ - 3988
Дніпропетровська м. Зеленодольськ ЛІЛІЯ ТВ ТОВ аналогова - 1200
Сумська Ромни РКТ-2 ПП " ТРК аналогова, цифрова - 4288
Чернівецька Новодністровськ РЕАЛ ТБ ТОВ "ТРК
аналогова (розширений
пакет - 468, базовий пакет -
14)
Одеська,
Миколаївська
Україна
Одеська область,
м. Миколаїв
Україна
ТЕНЕТ
ТОВ "НАУКОВО-
ВИРОБНИЧЕ
ПІДПРИЄМСТВО
аналогова - 617, цифрова -
197, ІРТВ - 235, ОТТ - 318
Одеська Біляївка БЄЛНЕТ ТОВ діяльність не здійснюється
Хмельницька Ізяслав Візит-Контакт ПП аналогова - 1015
Сумська Суми Технічний центр Радіо системи ТОВ 0
Житомирська Житомир
Житомирський міський
інформаційний центр - телемережа
ТОВ
аналогова - 4333, цифрова -
0
Сумська смт Недригайлів Юхименко Вячеслав Анатолійович ФОП аналогова - 228
Харківська
Харків
смт Пісочин
МАКСНЕТ ТОВ
аналогова - 4110, цифрова -
450, ІРТВ - 1170
Дніпропетровська
Новомосковськ, Гвардійське,
Меліоративне, Черкаське, Губиниха
МЕГА ЛІНК ТОВ діяльність не здійснюється
Дніпропетровська Дніпро Фрегат ТВ ТОВ діяльність не здійснюється
Вінницька Вінниця БЕНТАЛЬ ТОВ
аналогова - 350, цифрова -
650
Чернівецька Чернівці Планета ТОВ ТРК
аналогова (соціальний - 43,
базовий - 62, розширений -
525) цифрова - 96
Хмельницька Хмельницький ФАВОР ТОВ "ТРК
аналогова - 270, цифрова -
630
Вінницька Ладижин КТЛ ТОВ аналогова - 43
Волинська Ковель
КОВЕЛЬСЬКЕ
ТЕЛЕБАЧЕННЯ,ТЕЛЕФОНІЯ,ІНТЕР
НЕТ
ТОВ аналогова - 972
Одеська, Харківська,
Дніпропетровська
Одеська обл.,
Харківська обл.,
м. Марганець
РЕГІОН ТОВ "ТК
аналогова - 1826, ІРТВ - 27
(Одеська), аналогова - 0,
ІРТВ - 0 (сервіси не
надаються. Харківська),
аналогова - 1355, ІРТВ - 12
(Марганець)
Закарпатська Мукачеве ДВС-САТ ТОВ
аналогова - 431, цифрова -
1770
Івано-Франківська м. Надвірна Еліпс ТОВ "ТРК
аналогова - 600, цифрова -
600
Донецька
Курахове, Дачне, Дальнє, Сонцівка,
Шевченко
Дельта
Приватне
підприємтсво
аналогова - 210, цифрова -
210, ІРТВ - 252
Харківська
Лозова, смт Панютине, смт
Краснопавлівка
Вектор ТОВ ТРК аналогова, цифрова - 2088
Полтавська Кременчук Візит
Приватне
підприємство
"Приватна
телекомпанія
аналогова, цифрова - 15100
Полтавська Миргородська ОТГ СВС-ТВ ПП "Телекомпанія
аналогова - 1200, цифрова -
2200, ІРТВ - 380
Полтавська Пирятинська ОТГ СВС-ТВ ПП "Телекомпанія
аналогова - 600, цифрова -
550
Сумська Суми Майбуття ТОВ "ТРК
аналогова, цифрова - 6105,
ІРТВ - 149
Одеська Одеса АРС ТОВ "Телекомпанія аналогова - 2040, ІРТВ - 13
Одеська
м. Білгород-Дністровський,
Білгород-Дністровський р-н
ЛІС ТОВ "Телекомпанія аналогова - 14560, ІРТВ - 11
Івано-Франківська Івано-Франківська область ЮТІМ ТОВ ІРТВ - 4840
Дніпропетровська м. Тернівка ТТВ-Сервіс ТзОВ "ТРК аналогова - 2000
Полтавська,
Чернігівська
смт Варва, смт Ладан,
м. Заводське
ТЕКС ПП ТРК аналогова, цифрова - 1503
Одеська
м. Ізмаїл, с. Утконосівка,
с. Броска, с. Ларжанка,
с. Стара Некрасівка,
с. Саф'яни, с. Нова Некрасівка,
с. Матроска
Візит Плюс ТОВ "ТРК аналогова, цифрова - 2119
Одеська
м. Одеса
(Київський, Маліновський,
Приморський р-ни)
м. Чорноморськ
Чорне море ТК " " у вигляді ТОВ
аналогова - 737, цифрова -
198, ІРТВ - 25 (м. Одеса),
аналогова - 75, цифрова -
20, ІРТВ - 10 (м.
Чорноморськ)
Харківська Донець Кворум ТОВ аналогова - 720
Вінницька
Калинівка,
смт Стрижавка
ТВІН ПП "ТРК " аналогова - 502
Івано-Франківська
Львівська
Івано-Франківська обл.
Стрийський р-н Львівської обл.
Калуська інформаційна мережа ТОВ ІРТВ - 910
Одеська
м. Одеса (Київський р-н)
м. Балта
Ідеал + ТОВ "ТРК
аналогова - 1584, цифрова -
91 (м. Одеса), аналогова - 20
(м. Балта)
Чернігівська Чернігів ТЕРРА ПП "ТРА аналогова - 6576
Чернігівська Чернігів ОСНОВА-ТВ ТОВ
аналогова - 5380, цифрова -
2622
Миколаївська Врадіївка ГІГАБАЙТ+ ТОВ аналогова - 500
Житомирська
Андрушівка,
с. Гальчин
Вдовиченко Микола Васильович ФОП аналогова - 550
Львівська
м. Червоноград, м. Соснівка,
смт Гірник, с. Острів
Федусь Ганна Богданівна ФОП
аналогова - 379, цифрова -
4558, ІРТВ - 0
Львівська
м. Червоноград,
смт Гірник, с. Острів
ММДС ТВ ТОВ
аналогова - 4890, цифрова -
0, ІРТВ - 0
Вінницька м. Вінниця Вінтелепорт
ТОВ
Телекомунікаційна
кмпанія
ІРТВ - 1508
Житомирська Звягель Студія Калина ПП аналогова, цифрова - 1695
Сумська Сумська область СІТБ ТОВ
аналогова, цифрова - 4343,
ІРТВ - 36
Сумська
Чернігівська
Сумська область
Новгород-Сіверський р-н Чернігівської
обл.
СІТБ ПРЕМІУМ ТОВ
аналогова, цифрова - 12519,
ІРТВ - 213
Сумська Сумська область СІТБ ПЛЮС ТОВ
аналогова, цифрова - 6576,
ІРТВ - 65
Закарпатська
м. Свалява, с. Стройне,
с. Солочин, с. Тибава,
с. Мала Мартинка, с. Дусино,
с. Росош, с. Плав’я Мукачівського р-ну,
с. Керецьки Хустського р-ну
Кекіс Ігор Васильович ФОП аналогова - 1571
Дніпропетровська м. Павлоград KTV-Плюс ТзОВ "ТРК
аналогова (соціальний - 400,
базовий - 408)
Рівненська Вараш Енергія ТОВ "Телекомпанія"
аналогова - 860, цифрова -
1210
Одеська
Пересипський, Приморський,
Хаджибейський райони м. Одеса,
смт Авангард, с. Лиманка
ЦЕНТР-ТВ ТОВ
аналогова, цифрова - 13700,
ІРТВ - 462
Одеська
с. Кароліно-Бугаз,
смт Затока,
Приморський р-н м. Одеса
Турченко Валентин Спиридонович ФОП аналогова, цифрова - 2300
Одеська
Хаджибейський р-н м. Одеси,
с. Кароліно-Бугаз,
с. Ліски,
с. Крижанівка,
смт. Затока
Сана плюс ТОВ аналогова, цифрова - 4571
Житомирська Житомир Телеінформаційні технології ТОВ ТРК
аналогова - 3403, цифрова -
0
Житомирська Житомир Фомін Юрій Миколайович ФОП
аналогова - 3480, цифрова -
0
Житомирська Коростень Он Лайн ПП
аналогова - 318, цифрова -
558
Івано-Франківська Івано-Франківська обл. Галстрім ТОВ "ТРК
аналогова - 2621, цифрова -
7943, ІРТВ - 103
Дніпропетровська Кривий Ріг ГРАНД ТОВ аналогова, цифрова - 4155
Сумська м. Охтирка ТВК ТОВ "ТК
аналогова - 1193, цифрова -
205, ІРТВ - 317
Житомирська Бердичів Бессаліцьких Віктор Леонідович ФОП аналогова - 668
Чернівецька Чернівці Лангейт ТОВ аналогова - 1457
Хмельницька м. Шепетівка ЛАЙК ТВ ТОВ ТРК
аналогова - 1646, цифрова -
0
Полтавська м. Кременчук ЧУМГАК ТОВ ТК аналогова - 2041
Волинська м. Луцьк ІНТЕРНЕТ ТЕХНОЛОГІЯ ТОВ аналогова, цифрова - 1050
Донецька Добропілля Ковальова Тетяна Мар`янівна ФОП
аналогова, цифрова (УМС -
467, базовий - 552)
Закарпатська
с. Поляна, с. Яківське,
с. Павлово, с. Плоске,
с. Родніківка
Техно-сервіс ТОВ "ТК аналогова, цифрова - 630
Сумська
м. Кролевець
м. Шостка
ІНВЕСТ ТЕЛЕКОМ УКРАЇНА ТОВ
аналогова - 951 (Шостка),
аналогова - 224 (Кролевець)
Закарпатська Ужгород, Чоп Тевіант
ТОВ "Спільне мале
підприємство
аналогова, цифрова - 4027
Черкаська Черкаська обл. МАКЛАУТ ТВ СМІЛА ТОВ
аналогова - 66, цифрова -
103, ІРТВ - 124
Черкаська Черкаська обл. МАКЛАУТ ТВ ЗВЕНИГОРОДКА ТОВ
аналогова - 0, цифрова - 0,
ІРТВ - 23
Черкаська Черкаська обл. МАКЛАУТ ТВ ВАТУТІНО ТОВ
аналогова - 0, цифрова - 0,
ІРТВ - 20
Черкаська Черкаська обл. МАКЛАУТ ТВ ЧЕРКАСИ ТОВ
аналогова - 483, цифрова -
582, ІРТВ - 0
Черкаська Черкаська обл. МАКЛАУТ ТВ КОРСУНЬ ТОВ
аналогова - 214, цифрова -
0, ІРТВ - 0
Черкаська
Київська
Черкаська обл.,
Київська обл.
МакЛаут ТВ Переяслав ТОВ ІРТV - 43
Черкаська Черкаська обл. Інженер ТОВ "Телекомпанія
аналогова - 568, цифрова -
0, ІРТV - 116
Вінницька м. Гайсин ВДВ ПП "ТРК аналогова - 860
Івано-Франківська
Бурштин
Галич
РАІ ТОВ "Телекомпанія
аналогова 500, цифрова -
600 (м. Бурштин)
аналогова - 100, цифрова -
120 (м. Галич)
Миколаївська
м. Миколаїв, с. Зарічне,
с. Радісний сад,
с. Новоблгданівка,
с. Стара Богданівка,
с. Козирка, с. Прибузьке,
с. Каталине, с. Парутине,
с. Дмитрівка,
м. Южноукраїнськ
Дикий Сад ПП IPTV - 2485
Вінницька
м. Ладижин,
смт Тростянець
Тодор ПП ТРК
аналогова - 1502, цифрова -
1032
Дніпропетровська м. Павлоград Медіа-Інформ ТОВ "ТРК
аналогова,
цифрова,
ІРТV - 1315
Закарпатська
с. Драчине, с. Жденієво,
с. Підполоззя, с. Нижні Ворота, с.
Верхні Ворота,
с. Завадка, с. Пилипець,
с. Ізки
Соляр Петро Ярославович ФОП аналогова - 408
Закарпатська м. Свалява, с. Неліпино Глобал-САТ ТОВ аналогова, цифрова - 310
Харківська Первомайський Орбіта-ТВ
ТОВ
"Побутрадіотехніка -
телекомпанія
аналогова - 4504
Київська Київ (Голосіївський, Деснянський р-н) Консолідована телевізійна мережа ТОВ
Київська
Київ (Дніпровський та Солом'янський р-
ни)
Консолідована телевізійна мережа ТОВ
Кіровоградська
м. Кропивницький,
м. Олександрія
Шторм-ТВ ТОВ
аналогова, цифрова - 9593,
ІРТВ - 451
Житомирська Житомир Житомирські інформаційні мережі ТОВ
аналогова - 1805, цифрова -
0
Закарпатська
Боржава, Бене, Вари, Мала Бийгань,
Дийда, Мужієво, Яноші,Косонь, Шом,
Запсонь, Берігівського р-ну
Закарпатської обл.
БЕРЕГ ТВ-СЕЛО ТОВ "Телекомпанія аналогова - 657, цифрова - 0
Вінницька Вінниця Дячок Андрій Сергійович ФОП
аналогова - 150, цифрова -
250
Вінницька Вінниця Паращук Наталя Миколаївна ФОП
аналогова - 180, цифрова -
270
Черкаська
Київська
Черкаська обл.,
Київська обл.
Маклаут ТВ ТОВ ІРТV - 571
Черкаська
Київська
Черкаська обл.,
Київська обл.
Кабельне телебачення - Золотоноша ТОВ "ТК "
аналогова - 236, цифрова -
304, ІРТВ - 60
Україна Україна ПЛЮС ТБ ТОВ ОТТ - 308150
Київська Славутич Юніверс Лайн ТОВ аналогова - 1051, цифрова 0
Україна Україна ВІЖН ТБ ТОВ DTH - 90618
Івано-Франківська Івано-Франківська обл. ЮТІМ ДЕВЕЛОПМЕНТ ТОВ ІРТВ - 213
Україна Україна ОТТ Україна ТОВ ОТТ - 202508
Київська Славутич Юніверс ТБ ТОВ аналогова - 680
Львівська Львівська обл. АСТРА-НЕТ ПП
аналогова - 523, цифрова -
526, ІРТВ - 1049
ІРТВ - 4454
Одеська
м. Білгород-Дністровський, с. Затока,
Прибрежне, Бритівка, Випасне, Молога,
Салгани, Шабо, Сергіївка, Кароліно-
Бугаз, Грибівка
АТВ плюс ПП "ТРК
Аналогова, цифрова, ІРТВ -
567
Миколаївська смт Криве Озеро Екран ТОВ аналогова - 150
Вінницька Вінниця КАРМЕЛЬ ТОВ "ТРК " "
аналогова - 250, цифрова -
650
Миколаївська м. Миколаїв НОРМА-К ТОВ аналогова - 1525
Одеська Одеса (Київський р-н) Ніка ТВ ТОВ - Телекомпанія аналогова - 1768
Запорізька Енергодар Енергоатом АТ "НАЕК " "
діяльність не здійснюється
(окупована територія)
Київська Богуслав Кабельне телебачення Богуслав ПП аналогова - 620
Львівська м. Перемишляни ГАЛАКТ
Приватне
підприємство
аналогова - 532
Донецька Курахове Зеніт ТОВ "ТРК
аналогова, цифрова - 292,
ІРТВ - 1
Полтавська м. Кременчук ВІЗИТ-НЕТ ТОВ аналогова, цифрова - 15100
Дніпропетровська м. Павлоград КАДР-ТБ ТОВ "ТРК
аналогова,
цифрова,
ІРТV - 1547
Закарпатська м.Берегове та Берегівський район ТВОПТИМУМ ТОВ ІРТВ - 785
Закарпатська Міжгір’я Міжгір’я ТВ ТОВ "ТРК " " аналогова - 550
Закарпатська Воловець смт Куриця Світлана Михайлівна
Фізична особа -
підприємець
аналогова - 150
Провайдери звітність Providers ((1)).pdf
Провайдери звітність Providers ((1)).pdf
Провайдери звітність Providers ((1)).pdf
Провайдери звітність Providers ((1)).pdf
Провайдери звітність Providers ((1)).pdf
Провайдери звітність Providers ((1)).pdf
Провайдери звітність Providers ((1)).pdf
Провайдери звітність Providers ((1)).pdf
Провайдери звітність Providers ((1)).pdf
Провайдери звітність Providers ((1)).pdf
Провайдери звітність Providers ((1)).pdf
Провайдери звітність Providers ((1)).pdf
Провайдери звітність Providers ((1)).pdf
Провайдери звітність Providers ((1)).pdf
Провайдери звітність Providers ((1)).pdf
Провайдери звітність Providers ((1)).pdf
Провайдери звітність Providers ((1)).pdf
Провайдери звітність Providers ((1)).pdf
Провайдери звітність Providers ((1)).pdf
Провайдери звітність Providers ((1)).pdf
Провайдери звітність Providers ((1)).pdf
Провайдери звітність Providers ((1)).pdf
Провайдери звітність Providers ((1)).pdf
Провайдери звітність Providers ((1)).pdf
Провайдери звітність Providers ((1)).pdf
Провайдери звітність Providers ((1)).pdf
Провайдери звітність Providers ((1)).pdf
Провайдери звітність Providers ((1)).pdf
Провайдери звітність Providers ((1)).pdf
Провайдери звітність Providers ((1)).pdf
Провайдери звітність Providers ((1)).pdf
Провайдери звітність Providers ((1)).pdf
Провайдери звітність Providers ((1)).pdf
Провайдери звітність Providers ((1)).pdf
Провайдери звітність Providers ((1)).pdf
Провайдери звітність Providers ((1)).pdf
Провайдери звітність Providers ((1)).pdf
Провайдери звітність Providers ((1)).pdf
Провайдери звітність Providers ((1)).pdf
Провайдери звітність Providers ((1)).pdf
Провайдери звітність Providers ((1)).pdf
Провайдери звітність Providers ((1)).pdf
Провайдери звітність Providers ((1)).pdf
Провайдери звітність Providers ((1)).pdf
Провайдери звітність Providers ((1)).pdf
Провайдери звітність Providers ((1)).pdf
Провайдери звітність Providers ((1)).pdf
Провайдери звітність Providers ((1)).pdf
Провайдери звітність Providers ((1)).pdf
Провайдери звітність Providers ((1)).pdf
Провайдери звітність Providers ((1)).pdf
Провайдери звітність Providers ((1)).pdf
Провайдери звітність Providers ((1)).pdf
Провайдери звітність Providers ((1)).pdf
Провайдери звітність Providers ((1)).pdf
Провайдери звітність Providers ((1)).pdf
Провайдери звітність Providers ((1)).pdf
Провайдери звітність Providers ((1)).pdf
Провайдери звітність Providers ((1)).pdf
Провайдери звітність Providers ((1)).pdf
Провайдери звітність Providers ((1)).pdf
Провайдери звітність Providers ((1)).pdf
Провайдери звітність Providers ((1)).pdf
Провайдери звітність Providers ((1)).pdf
Провайдери звітність Providers ((1)).pdf
Провайдери звітність Providers ((1)).pdf
Провайдери звітність Providers ((1)).pdf
Провайдери звітність Providers ((1)).pdf
Провайдери звітність Providers ((1)).pdf
Провайдери звітність Providers ((1)).pdf
Провайдери звітність Providers ((1)).pdf
Провайдери звітність Providers ((1)).pdf
Провайдери звітність Providers ((1)).pdf
Провайдери звітність Providers ((1)).pdf
Провайдери звітність Providers ((1)).pdf
Провайдери звітність Providers ((1)).pdf
Провайдери звітність Providers ((1)).pdf
Провайдери звітність Providers ((1)).pdf
Провайдери звітність Providers ((1)).pdf
Провайдери звітність Providers ((1)).pdf
Провайдери звітність Providers ((1)).pdf
Провайдери звітність Providers ((1)).pdf
Провайдери звітність Providers ((1)).pdf
Провайдери звітність Providers ((1)).pdf
Провайдери звітність Providers ((1)).pdf
Провайдери звітність Providers ((1)).pdf
Провайдери звітність Providers ((1)).pdf
Провайдери звітність Providers ((1)).pdf
Провайдери звітність Providers ((1)).pdf
Провайдери звітність Providers ((1)).pdf
Провайдери звітність Providers ((1)).pdf
Провайдери звітність Providers ((1)).pdf
Провайдери звітність Providers ((1)).pdf
Провайдери звітність Providers ((1)).pdf
Провайдери звітність Providers ((1)).pdf
Провайдери звітність Providers ((1)).pdf
Провайдери звітність Providers ((1)).pdf
Провайдери звітність Providers ((1)).pdf
Провайдери звітність Providers ((1)).pdf
Провайдери звітність Providers ((1)).pdf
Провайдери звітність Providers ((1)).pdf
Провайдери звітність Providers ((1)).pdf
Провайдери звітність Providers ((1)).pdf
Провайдери звітність Providers ((1)).pdf
Провайдери звітність Providers ((1)).pdf
Провайдери звітність Providers ((1)).pdf
Провайдери звітність Providers ((1)).pdf
Провайдери звітність Providers ((1)).pdf
Провайдери звітність Providers ((1)).pdf
Провайдери звітність Providers ((1)).pdf
Провайдери звітність Providers ((1)).pdf
Провайдери звітність Providers ((1)).pdf
Провайдери звітність Providers ((1)).pdf
Провайдери звітність Providers ((1)).pdf
Провайдери звітність Providers ((1)).pdf
Провайдери звітність Providers ((1)).pdf
Провайдери звітність Providers ((1)).pdf
Провайдери звітність Providers ((1)).pdf
Провайдери звітність Providers ((1)).pdf
Провайдери звітність Providers ((1)).pdf
Провайдери звітність Providers ((1)).pdf
Провайдери звітність Providers ((1)).pdf
Провайдери звітність Providers ((1)).pdf
Провайдери звітність Providers ((1)).pdf
Провайдери звітність Providers ((1)).pdf
Провайдери звітність Providers ((1)).pdf
Провайдери звітність Providers ((1)).pdf
Провайдери звітність Providers ((1)).pdf
Провайдери звітність Providers ((1)).pdf
Провайдери звітність Providers ((1)).pdf
Провайдери звітність Providers ((1)).pdf
Провайдери звітність Providers ((1)).pdf
Провайдери звітність Providers ((1)).pdf
Провайдери звітність Providers ((1)).pdf
Провайдери звітність Providers ((1)).pdf
Провайдери звітність Providers ((1)).pdf
Провайдери звітність Providers ((1)).pdf
Провайдери звітність Providers ((1)).pdf
Провайдери звітність Providers ((1)).pdf
Провайдери звітність Providers ((1)).pdf
Провайдери звітність Providers ((1)).pdf
Провайдери звітність Providers ((1)).pdf
Провайдери звітність Providers ((1)).pdf
Провайдери звітність Providers ((1)).pdf
Провайдери звітність Providers ((1)).pdf
Провайдери звітність Providers ((1)).pdf
Провайдери звітність Providers ((1)).pdf
Провайдери звітність Providers ((1)).pdf
Провайдери звітність Providers ((1)).pdf
Провайдери звітність Providers ((1)).pdf

Провайдери звітність Providers ((1)).pdf

  • 1.
    Область Територія наданнясервісу Назва суб'єкта господарювання Організаційно- правова форма власності Кількість користувачів за І півріччя 2024 Волинська м. Луцьк ІТ-АВЕРС ТОВ аналогова, цифрова - 3750 Вінницька Вінниця КОНДРАТЮК ОЛЬГА ІГОРІВНА ФОП аналогова - 150, цифрова - 300 Україна Україна ОМЕГА ТВ ТОВ ОТТ - 18395 Вінницька Вінниця СПЕКТОР РУСЛАН ЛЕВОВИЧ ФОП аналогова - 180, цифрова - 270 Вінницька Вінниця НАСІННИК ОЛЕСЯ АНАТОЛІЇВНА ФОП аналогова - 150, цифрова - 300 Вінницька Вінниця ПАСТУХОВ АРТУР ВЯЧЕСЛАВОВИЧ ФОП аналогова - 150, цифрова - 300 Вінницька Вінниця ХОДАК ТЕТЯНА ІВАНІВНА ФОП аналогова - 150, цифрова - 300 Вінницька Вінниця ШВАЙКОВСЬКИЙ АНАТОЛІЙ АНАТОЛІЙОВИЧ ФОП аналогова - 200, цифрова - 300 Вінницька Вінниця ШЕПЕЛЬ АНТОН ОЛЕКСАНДРОВИЧ ФОП аналогова - 200, цифрова - 300 Вінницька Вінниця ШЕПЕЛЬ ІННА ГРИГОРІВНА ФОП аналогова - 150, цифрова - 300 Вінницька Вінниця ШЕПЕЛЬ ОЛЕКСАНДР ІГОРОВИЧ ФОП аналогова - 200, цифрова - 300 Хмельницька Хмельницький ШЕВЧУК ОЛЕНА ВОЛОДИМИРІВНА ФОП аналогова - 20, цифрова - 250 Хмельницька Хмельницький ІВАНУСЬ РАЇСА НАУМІВНА ФОП аналогова - 180, цифрова - 270 Хмельницька Хмельницький МАТВІЄНКО ІРИНА СЕРГІЇВНА ФОП аналогова - 150, цифрова - 280 Хмельницька Хмельницький МЕЛЬНИК ДІАНА ГЕННАДІЇВНА ФОП аналогова - 150, цифрова - 250 Одеська м. Одеса, с. Фонтанка, с. Олександрівка, с. Крижанівка, с. Корсунці, с. Ілічанка, с-ще Ліски, с. Вапнярка, с. Нова Дофінівка, с. Красносілка, смт Чорноморське, с. Визирка, с. Міжлиманське, с-ще Набережне, с. Лиманка БРІЗ ТОВ "ТРК аналогова, цифрова - 5856, ІРТВ - 3777 Полтавська Хорол ЮВК ТОВ "ТРК аналогова, цифрова - 817
  • 2.
    Сумська м. Ромни,с. Овлаші Ідеал ТРК КТ " " у формі ПП аналогова, цифрова - 4000 Київська м. Київ Індастріал Медіа Нетворк ТОВ аналогова - 392, цифрова - 155, ІРТВ - 5620 Сумська Глухів Глухів ТОВ "ТРК аналогова - 5500 Львівська Львів (Франківський р-н) Діалект ТзОВ ТК аналогова, цифрова - 3630 Житомирська Бердичів Астрал КТВ ТОВ аналогова - 1085, цифрова - 600 Кіровоградська м. Олександрія Кабельні телевізійні мережі ТОВ "ТРК аналогова, цифрова - 3001 Львівська м. Стрий, с. Дуліби, с. Грабовець, с. Нежухів, с. Добрівляни, с. Стрілків, с. Верчани, с. Слобідка, с. Підгірці, с. Комарів, с.Лотатники, с. Ярушичі, с.Олексичі, с. Гайдучина, с.Бережниця, смт. Дашава Стрийського р-ну, м. Дрогобич ТЕЛЕЛАН ТОВ "ТРК аналогова - 6000, цифрова - 5728, Інтернет ІРТВ - 240 Рівненська Дубно Вільне слово з України ТОВ "ТРК аналогова - 498 Львівська Новояворівськ Вільне слово ТОВ "ТРК аналогова - 1346 Львівська Сокаль, Соснівка, Стебник ЛЕВ ТОВ "ТРО аналогова - 2456, цифрова - 1399 Волинська Луцьк Яблонський Олександр Євгенович ФОП цифрова - 1510 Волинська Луцьк Куцирко Ігор Ілларіонович ФОП цифрова - 2020 Житомирська Бердичів Новий Світ ПП "ТРК " аналогова - 238 Львівська Дрогобич ЕКРАН-Сервіс Комунальне підприємство аналогова (базовий - 1972, соцпакет - 125)
  • 3.
    Сумська Лебедин ЛебединПП ТРК аналогова - 850, цифрова - 550, ІРТВ - 120 Дніпропетровська м. Кривий Ріг Кабельне телебачення ТОВ "ТРК аналогова - 6415, цифрова - 14966 Миколаївська м. Южноукраїнськ Квант ДПТС " " ПрАТ "Атомсервіс" Аналогова (мінімальний)- 276, аналогова (базовий) - 1720, аналогова+цифрова (загальний) - 3379 м.Київ, Київська, Харківська, Дніпропетровська, Запорізька, Полтавська, Сумська, Одеська, Рівнеська обл. м.Київ, Київська, Харківська, Дніпропетровська, Запорізька, Полтавська, Сумська, Одеська, Рівнеська обл. Контент Трейдінг ТОВ аналогова, цифрова, ІРТВ - 244955 Україна Україна Контент Трейдінг ТОВ ОТТ - 3988 Дніпропетровська м. Зеленодольськ ЛІЛІЯ ТВ ТОВ аналогова - 1200 Сумська Ромни РКТ-2 ПП " ТРК аналогова, цифрова - 4288 Чернівецька Новодністровськ РЕАЛ ТБ ТОВ "ТРК аналогова (розширений пакет - 468, базовий пакет - 14) Одеська, Миколаївська Україна Одеська область, м. Миколаїв Україна ТЕНЕТ ТОВ "НАУКОВО- ВИРОБНИЧЕ ПІДПРИЄМСТВО аналогова - 617, цифрова - 197, ІРТВ - 235, ОТТ - 318 Одеська Біляївка БЄЛНЕТ ТОВ діяльність не здійснюється Хмельницька Ізяслав Візит-Контакт ПП аналогова - 1015 Сумська Суми Технічний центр Радіо системи ТОВ 0 Житомирська Житомир Житомирський міський інформаційний центр - телемережа ТОВ аналогова - 4333, цифрова - 0 Сумська смт Недригайлів Юхименко Вячеслав Анатолійович ФОП аналогова - 228
  • 4.
    Харківська Харків смт Пісочин МАКСНЕТ ТОВ аналогова- 4110, цифрова - 450, ІРТВ - 1170 Дніпропетровська Новомосковськ, Гвардійське, Меліоративне, Черкаське, Губиниха МЕГА ЛІНК ТОВ діяльність не здійснюється Дніпропетровська Дніпро Фрегат ТВ ТОВ діяльність не здійснюється Вінницька Вінниця БЕНТАЛЬ ТОВ аналогова - 350, цифрова - 650 Чернівецька Чернівці Планета ТОВ ТРК аналогова (соціальний - 43, базовий - 62, розширений - 525) цифрова - 96 Хмельницька Хмельницький ФАВОР ТОВ "ТРК аналогова - 270, цифрова - 630 Вінницька Ладижин КТЛ ТОВ аналогова - 43 Волинська Ковель КОВЕЛЬСЬКЕ ТЕЛЕБАЧЕННЯ,ТЕЛЕФОНІЯ,ІНТЕР НЕТ ТОВ аналогова - 972 Одеська, Харківська, Дніпропетровська Одеська обл., Харківська обл., м. Марганець РЕГІОН ТОВ "ТК аналогова - 1826, ІРТВ - 27 (Одеська), аналогова - 0, ІРТВ - 0 (сервіси не надаються. Харківська), аналогова - 1355, ІРТВ - 12 (Марганець) Закарпатська Мукачеве ДВС-САТ ТОВ аналогова - 431, цифрова - 1770 Івано-Франківська м. Надвірна Еліпс ТОВ "ТРК аналогова - 600, цифрова - 600 Донецька Курахове, Дачне, Дальнє, Сонцівка, Шевченко Дельта Приватне підприємтсво аналогова - 210, цифрова - 210, ІРТВ - 252 Харківська Лозова, смт Панютине, смт Краснопавлівка Вектор ТОВ ТРК аналогова, цифрова - 2088 Полтавська Кременчук Візит Приватне підприємство "Приватна телекомпанія аналогова, цифрова - 15100
  • 5.
    Полтавська Миргородська ОТГСВС-ТВ ПП "Телекомпанія аналогова - 1200, цифрова - 2200, ІРТВ - 380 Полтавська Пирятинська ОТГ СВС-ТВ ПП "Телекомпанія аналогова - 600, цифрова - 550 Сумська Суми Майбуття ТОВ "ТРК аналогова, цифрова - 6105, ІРТВ - 149 Одеська Одеса АРС ТОВ "Телекомпанія аналогова - 2040, ІРТВ - 13 Одеська м. Білгород-Дністровський, Білгород-Дністровський р-н ЛІС ТОВ "Телекомпанія аналогова - 14560, ІРТВ - 11 Івано-Франківська Івано-Франківська область ЮТІМ ТОВ ІРТВ - 4840 Дніпропетровська м. Тернівка ТТВ-Сервіс ТзОВ "ТРК аналогова - 2000 Полтавська, Чернігівська смт Варва, смт Ладан, м. Заводське ТЕКС ПП ТРК аналогова, цифрова - 1503 Одеська м. Ізмаїл, с. Утконосівка, с. Броска, с. Ларжанка, с. Стара Некрасівка, с. Саф'яни, с. Нова Некрасівка, с. Матроска Візит Плюс ТОВ "ТРК аналогова, цифрова - 2119 Одеська м. Одеса (Київський, Маліновський, Приморський р-ни) м. Чорноморськ Чорне море ТК " " у вигляді ТОВ аналогова - 737, цифрова - 198, ІРТВ - 25 (м. Одеса), аналогова - 75, цифрова - 20, ІРТВ - 10 (м. Чорноморськ) Харківська Донець Кворум ТОВ аналогова - 720 Вінницька Калинівка, смт Стрижавка ТВІН ПП "ТРК " аналогова - 502 Івано-Франківська Львівська Івано-Франківська обл. Стрийський р-н Львівської обл. Калуська інформаційна мережа ТОВ ІРТВ - 910 Одеська м. Одеса (Київський р-н) м. Балта Ідеал + ТОВ "ТРК аналогова - 1584, цифрова - 91 (м. Одеса), аналогова - 20 (м. Балта) Чернігівська Чернігів ТЕРРА ПП "ТРА аналогова - 6576 Чернігівська Чернігів ОСНОВА-ТВ ТОВ аналогова - 5380, цифрова - 2622 Миколаївська Врадіївка ГІГАБАЙТ+ ТОВ аналогова - 500 Житомирська Андрушівка, с. Гальчин Вдовиченко Микола Васильович ФОП аналогова - 550
  • 6.
    Львівська м. Червоноград, м.Соснівка, смт Гірник, с. Острів Федусь Ганна Богданівна ФОП аналогова - 379, цифрова - 4558, ІРТВ - 0 Львівська м. Червоноград, смт Гірник, с. Острів ММДС ТВ ТОВ аналогова - 4890, цифрова - 0, ІРТВ - 0 Вінницька м. Вінниця Вінтелепорт ТОВ Телекомунікаційна кмпанія ІРТВ - 1508 Житомирська Звягель Студія Калина ПП аналогова, цифрова - 1695 Сумська Сумська область СІТБ ТОВ аналогова, цифрова - 4343, ІРТВ - 36 Сумська Чернігівська Сумська область Новгород-Сіверський р-н Чернігівської обл. СІТБ ПРЕМІУМ ТОВ аналогова, цифрова - 12519, ІРТВ - 213 Сумська Сумська область СІТБ ПЛЮС ТОВ аналогова, цифрова - 6576, ІРТВ - 65 Закарпатська м. Свалява, с. Стройне, с. Солочин, с. Тибава, с. Мала Мартинка, с. Дусино, с. Росош, с. Плав’я Мукачівського р-ну, с. Керецьки Хустського р-ну Кекіс Ігор Васильович ФОП аналогова - 1571 Дніпропетровська м. Павлоград KTV-Плюс ТзОВ "ТРК аналогова (соціальний - 400, базовий - 408) Рівненська Вараш Енергія ТОВ "Телекомпанія" аналогова - 860, цифрова - 1210 Одеська Пересипський, Приморський, Хаджибейський райони м. Одеса, смт Авангард, с. Лиманка ЦЕНТР-ТВ ТОВ аналогова, цифрова - 13700, ІРТВ - 462 Одеська с. Кароліно-Бугаз, смт Затока, Приморський р-н м. Одеса Турченко Валентин Спиридонович ФОП аналогова, цифрова - 2300
  • 7.
    Одеська Хаджибейський р-н м.Одеси, с. Кароліно-Бугаз, с. Ліски, с. Крижанівка, смт. Затока Сана плюс ТОВ аналогова, цифрова - 4571 Житомирська Житомир Телеінформаційні технології ТОВ ТРК аналогова - 3403, цифрова - 0 Житомирська Житомир Фомін Юрій Миколайович ФОП аналогова - 3480, цифрова - 0 Житомирська Коростень Он Лайн ПП аналогова - 318, цифрова - 558 Івано-Франківська Івано-Франківська обл. Галстрім ТОВ "ТРК аналогова - 2621, цифрова - 7943, ІРТВ - 103 Дніпропетровська Кривий Ріг ГРАНД ТОВ аналогова, цифрова - 4155 Сумська м. Охтирка ТВК ТОВ "ТК аналогова - 1193, цифрова - 205, ІРТВ - 317 Житомирська Бердичів Бессаліцьких Віктор Леонідович ФОП аналогова - 668 Чернівецька Чернівці Лангейт ТОВ аналогова - 1457 Хмельницька м. Шепетівка ЛАЙК ТВ ТОВ ТРК аналогова - 1646, цифрова - 0 Полтавська м. Кременчук ЧУМГАК ТОВ ТК аналогова - 2041 Волинська м. Луцьк ІНТЕРНЕТ ТЕХНОЛОГІЯ ТОВ аналогова, цифрова - 1050 Донецька Добропілля Ковальова Тетяна Мар`янівна ФОП аналогова, цифрова (УМС - 467, базовий - 552) Закарпатська с. Поляна, с. Яківське, с. Павлово, с. Плоске, с. Родніківка Техно-сервіс ТОВ "ТК аналогова, цифрова - 630 Сумська м. Кролевець м. Шостка ІНВЕСТ ТЕЛЕКОМ УКРАЇНА ТОВ аналогова - 951 (Шостка), аналогова - 224 (Кролевець)
  • 8.
    Закарпатська Ужгород, ЧопТевіант ТОВ "Спільне мале підприємство аналогова, цифрова - 4027 Черкаська Черкаська обл. МАКЛАУТ ТВ СМІЛА ТОВ аналогова - 66, цифрова - 103, ІРТВ - 124 Черкаська Черкаська обл. МАКЛАУТ ТВ ЗВЕНИГОРОДКА ТОВ аналогова - 0, цифрова - 0, ІРТВ - 23 Черкаська Черкаська обл. МАКЛАУТ ТВ ВАТУТІНО ТОВ аналогова - 0, цифрова - 0, ІРТВ - 20 Черкаська Черкаська обл. МАКЛАУТ ТВ ЧЕРКАСИ ТОВ аналогова - 483, цифрова - 582, ІРТВ - 0 Черкаська Черкаська обл. МАКЛАУТ ТВ КОРСУНЬ ТОВ аналогова - 214, цифрова - 0, ІРТВ - 0 Черкаська Київська Черкаська обл., Київська обл. МакЛаут ТВ Переяслав ТОВ ІРТV - 43 Черкаська Черкаська обл. Інженер ТОВ "Телекомпанія аналогова - 568, цифрова - 0, ІРТV - 116 Вінницька м. Гайсин ВДВ ПП "ТРК аналогова - 860 Івано-Франківська Бурштин Галич РАІ ТОВ "Телекомпанія аналогова 500, цифрова - 600 (м. Бурштин) аналогова - 100, цифрова - 120 (м. Галич) Миколаївська м. Миколаїв, с. Зарічне, с. Радісний сад, с. Новоблгданівка, с. Стара Богданівка, с. Козирка, с. Прибузьке, с. Каталине, с. Парутине, с. Дмитрівка, м. Южноукраїнськ Дикий Сад ПП IPTV - 2485 Вінницька м. Ладижин, смт Тростянець Тодор ПП ТРК аналогова - 1502, цифрова - 1032 Дніпропетровська м. Павлоград Медіа-Інформ ТОВ "ТРК аналогова, цифрова, ІРТV - 1315
  • 9.
    Закарпатська с. Драчине, с.Жденієво, с. Підполоззя, с. Нижні Ворота, с. Верхні Ворота, с. Завадка, с. Пилипець, с. Ізки Соляр Петро Ярославович ФОП аналогова - 408 Закарпатська м. Свалява, с. Неліпино Глобал-САТ ТОВ аналогова, цифрова - 310 Харківська Первомайський Орбіта-ТВ ТОВ "Побутрадіотехніка - телекомпанія аналогова - 4504 Київська Київ (Голосіївський, Деснянський р-н) Консолідована телевізійна мережа ТОВ Київська Київ (Дніпровський та Солом'янський р- ни) Консолідована телевізійна мережа ТОВ Кіровоградська м. Кропивницький, м. Олександрія Шторм-ТВ ТОВ аналогова, цифрова - 9593, ІРТВ - 451 Житомирська Житомир Житомирські інформаційні мережі ТОВ аналогова - 1805, цифрова - 0 Закарпатська Боржава, Бене, Вари, Мала Бийгань, Дийда, Мужієво, Яноші,Косонь, Шом, Запсонь, Берігівського р-ну Закарпатської обл. БЕРЕГ ТВ-СЕЛО ТОВ "Телекомпанія аналогова - 657, цифрова - 0 Вінницька Вінниця Дячок Андрій Сергійович ФОП аналогова - 150, цифрова - 250 Вінницька Вінниця Паращук Наталя Миколаївна ФОП аналогова - 180, цифрова - 270 Черкаська Київська Черкаська обл., Київська обл. Маклаут ТВ ТОВ ІРТV - 571 Черкаська Київська Черкаська обл., Київська обл. Кабельне телебачення - Золотоноша ТОВ "ТК " аналогова - 236, цифрова - 304, ІРТВ - 60 Україна Україна ПЛЮС ТБ ТОВ ОТТ - 308150 Київська Славутич Юніверс Лайн ТОВ аналогова - 1051, цифрова 0 Україна Україна ВІЖН ТБ ТОВ DTH - 90618 Івано-Франківська Івано-Франківська обл. ЮТІМ ДЕВЕЛОПМЕНТ ТОВ ІРТВ - 213 Україна Україна ОТТ Україна ТОВ ОТТ - 202508 Київська Славутич Юніверс ТБ ТОВ аналогова - 680 Львівська Львівська обл. АСТРА-НЕТ ПП аналогова - 523, цифрова - 526, ІРТВ - 1049 ІРТВ - 4454
  • 10.
    Одеська м. Білгород-Дністровський, с.Затока, Прибрежне, Бритівка, Випасне, Молога, Салгани, Шабо, Сергіївка, Кароліно- Бугаз, Грибівка АТВ плюс ПП "ТРК Аналогова, цифрова, ІРТВ - 567 Миколаївська смт Криве Озеро Екран ТОВ аналогова - 150 Вінницька Вінниця КАРМЕЛЬ ТОВ "ТРК " " аналогова - 250, цифрова - 650 Миколаївська м. Миколаїв НОРМА-К ТОВ аналогова - 1525 Одеська Одеса (Київський р-н) Ніка ТВ ТОВ - Телекомпанія аналогова - 1768 Запорізька Енергодар Енергоатом АТ "НАЕК " " діяльність не здійснюється (окупована територія) Київська Богуслав Кабельне телебачення Богуслав ПП аналогова - 620 Львівська м. Перемишляни ГАЛАКТ Приватне підприємство аналогова - 532 Донецька Курахове Зеніт ТОВ "ТРК аналогова, цифрова - 292, ІРТВ - 1 Полтавська м. Кременчук ВІЗИТ-НЕТ ТОВ аналогова, цифрова - 15100 Дніпропетровська м. Павлоград КАДР-ТБ ТОВ "ТРК аналогова, цифрова, ІРТV - 1547 Закарпатська м.Берегове та Берегівський район ТВОПТИМУМ ТОВ ІРТВ - 785 Закарпатська Міжгір’я Міжгір’я ТВ ТОВ "ТРК " " аналогова - 550 Закарпатська Воловець смт Куриця Світлана Михайлівна Фізична особа - підприємець аналогова - 150