Assignment#2 Separation processes
Department of Chemical Engineering
Wah Engineering College.
Question#1:
A 100 kmol mixture of benzene and toluene containing 40 mole per cent benzene is to be
separated to give a product containing 90 mole per cent benzene at the top, and a bottom
product containing not more than 10 mole per cent benzene. The feed enters the column at its
boiling point, and the vapors leaving the column which is condensed but not cooled, provides
reflux and product. It is proposed to operate the unit with a reflux ratio of 3 kmol/kmol product.
It is required to find the number of theoretical plates needed using McCabe-Thiele Method and
the position of entry for the feed.
Solution:
Given Data:
F=100 kmol
Feed Compositions:
Benzene 40%
Toulene 60%
Reflux ratio= 3
To Find:
No. of theoretical plates=?
Feed position=?
Calculation:
Molecular Weight of Benzene = 78
Molecular weight of Toulene = 92
40
78 0.440
40 60
78 92
90
78 0.91390
90 10
78 92
10
78 0.11586
10 90
78 92
Xf
Xd
Xw
 

 

 

Overall material balance
100
100 ...........(1)
F D W
D W
D W
 
 
 
Assignment#2 Separation processes
Department of Chemical Engineering
Wah Engineering College.
Component material balance
* * *
100*0.440 *0.91390 *0.11586
F Xf D Xd W Xw
D W
 
 
Putting value of W from equation (1) into above equation
44 0.91390* (100 )*(0.11586)
32.414 0.79804*D
D 40.617kmol
And From Eq-1
100
100 40.617 59.382kmol
D D
W D
W
  


 
  
Next we will determine the number of ideal trays and feed plate.
 The first step is to plot the equilibrium diagram and on it erect verticals at XD, XF and
XB. Now draw 45o
line on the graph.
 The second step is to draw the q-line. Here q=1, because feed is at its boiling point.
 The third step is to plot the operating lines.
 The rectifying line will start from the XD and ends at the intercept. Intercept of the
rectifying line is
0.91390
0.22848
1 3 1
DX
R
 
 
This point is connected with the XD on the yx reference line.
 From the intersection of rectifying operating line and the feed line, the stripping line is
drawn.
 The fourth step is to draw the rectangular steps between the two operating lines and the
equilibrium curve.
Procedure to draw rectangular curve:
 To find the X and Y co-ordinates by using operating line and equilibrium equation.
 I have done this on excel and the table is as fallow.
Top Section
Stage 1-a Stage 1-b
x y x y
0.9174 0.9174 0.81988 0.9174
0.81988 0.9174 0.81988 0.84426
Stage 2-a Stage 2-b
x y x y
0.81988 0.84426 0.689605 0.84426
0.689605 0.84426 0.689605 0.746554
Assignment#2 Separation processes
Department of Chemical Engineering
Wah Engineering College.
Stage 3-a Stage 3-b
x y x y
0.689605 0.746554 0.546941 0.746554
0.546941 0.746554 0.546941 0.639556
Stage 4-a Stage 4-b
x y x y
0.546941 0.639556 0.421027 0.639556
0.421027 0.639556 0.421027 0.54512
Bottom Section
Stage 1-a Stage 1-b
x y x y
0.1158 0.1158 0.1158 0.24217
0.1158 0.24217 0.208166 0.24217
Stage 2-a Stage 2-b
x y x y
0.208166 0.24217 0.208166 0.390784
0.208166 0.390784 0.316792 0.390784
Stage 3-a Stage 3-b
x y x y
0.316792 0.390784 0.316792 0.530822
0.316792 0.530822 0.419148 0.530822
Stage 4-a Stage 4-b
x y x y
0.419148 0.530822 0.419148 0.637777
0.419148 0.637777 0.497324 0.637777
And graph is as fallow.
Assignment#2 Separation processes
Department of Chemical Engineering
Wah Engineering College.
Number of theoretical plates = 7
Feed plate = 4
Question#2:
A distillation column receives a feed that is 40 mole % n-pentane and 60 mole % n-hexane.
Feed is saturated liquid with a flow rate of 2,500 lbmol/hr. The column is at 1 atm. A
distillate of 90 mole % n-pentane is desired. A total condenser is used. Reflux is a saturated
liquid. A bottom from the reboiler is 98 mole % n-hexane. Determine the minimum number of
equilibrium trays and the minimum reflux ratio.
Data: Vapor pressure, Psat, data: ln Psat = A - B/ (T + C), where Psat is in kPa and T is in K.
Compound A B C
n-pentane (1) 13.9778 2554.6 - 36.2529
n-hexane (2) 14.0568 2825.42 - 42.7089
Heat of evaporation for n-pentane, = 11,369 Btu/lbmol, CpL,C5 = 39.7 Btu/lbmol×o
F
Heat of evaporation for n-hexane, = 13,572 Btu/lbmol, CpL,C6 = 51.7 Btu/lbmol×o
F
𝛼 𝐷 = 3.1102
𝛼 𝐵 = 2.7955
Solution:
As total condenser is used so minimum number of trays can be find by Fenske equation
1
log[ * ]
1
log( )
D B
D B
m
ave
X X
X X
N
a



0
0.2
0.4
0.6
0.8
1
0 0.2 0.4 0.6 0.8 1
Assignment#2 Separation processes
Department of Chemical Engineering
Wah Engineering College.
𝛼 𝐷 = 3.1102
𝛼 𝐵 = 2.7955
1
2
1
2
( * )
(3.1102*2.7955)
2.9486
ave D B
ave
ave
a a a
a
a



1 0.9 1 0.1log[ * ] log( * )
1 1 .9 0.1
log( ) log(2.9486)
log(81)
log(2.9486)
4.1
D B
D B
m
ave
m
m
X X
X X
N
a
N
N
 
  


Minimum reflux ratio
*(1 )1
[ ( )]
1 (1 )
1 0.9 2.9486*(1 0.9)
[ ( )]
2.9486 1 0.4 (1 0.4)
0.9024
ave DD
m
ave F F
m
m
a XX
R
a X X
R
R

 
 

 
 

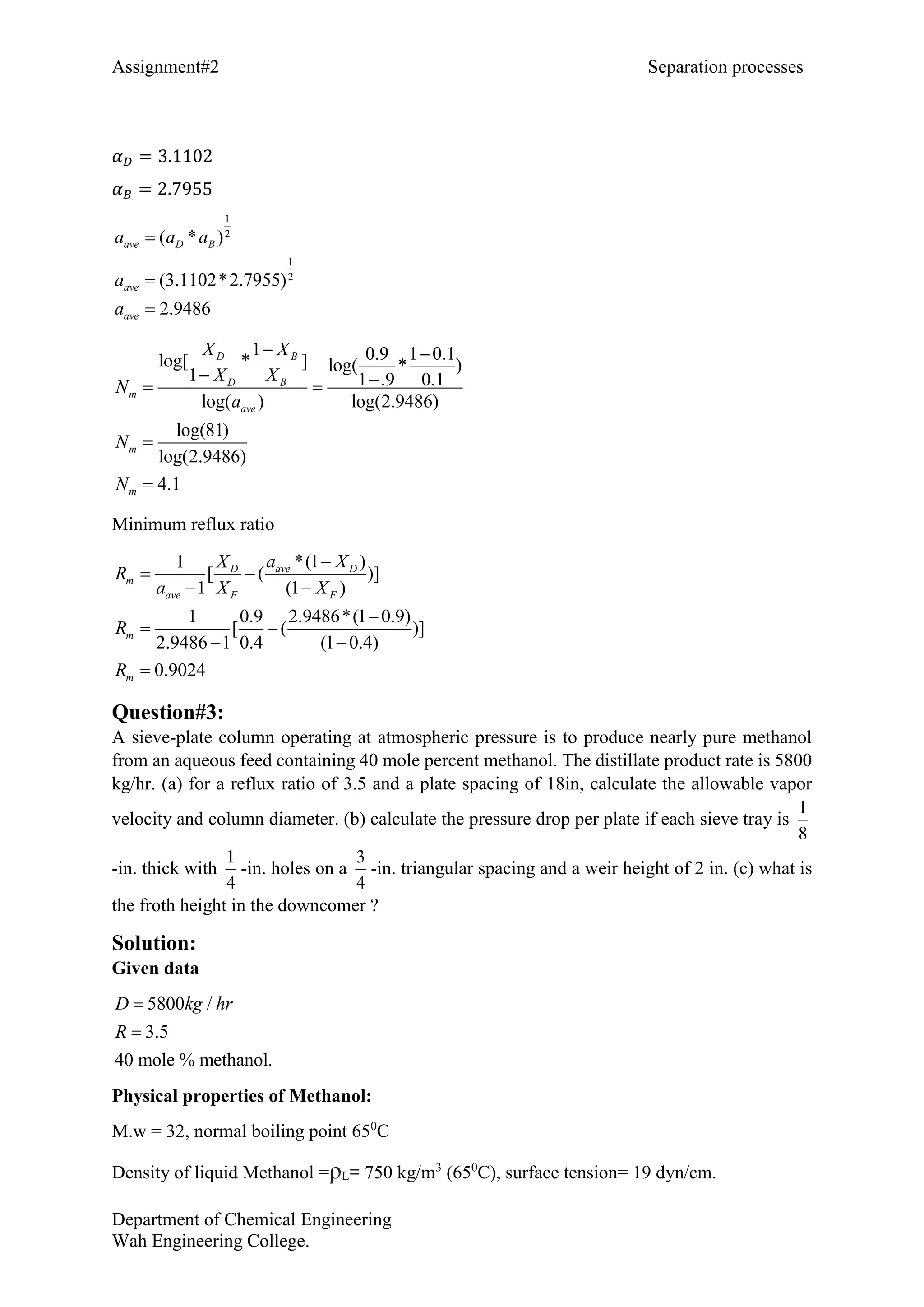
Question#3:
A sieve-plate column operating at atmospheric pressure is to produce nearly pure methanol
from an aqueous feed containing 40 mole percent methanol. The distillate product rate is 5800
kg/hr. (a) for a reflux ratio of 3.5 and a plate spacing of 18in, calculate the allowable vapor
velocity and column diameter. (b) calculate the pressure drop per plate if each sieve tray is
1
8
-in. thick with
1
4
-in. holes on a
3
4
-in. triangular spacing and a weir height of 2 in. (c) what is
the froth height in the downcomer ?
Solution:
Given data
5800 /
3.5
40 mole % methanol.
D kg hr
R


Physical properties of Methanol:
M.w = 32, normal boiling point 650
C
Density of liquid Methanol =ρL= 750 kg/m3
(650
C), surface tension= 19 dyn/cm.
Assignment#2 Separation processes
Department of Chemical Engineering
Wah Engineering College.
Calculations:
ρL= 332*273
1.15 /
22.4*338
kg m
(a). vapor velocity calculation first we need to calculate Flv first.
1
2
2
1
0.2
2
1
0.2
2
3.5
3.4*10
4.5
from fig.21.26 (unit operation mccabe)
for 18-in. spacing.
0.29
As we know that
20
0.29
20
75
0.2 *9
lv
v
v c
c
c
v
l
v
l v
l v
v
l
F
v
k
k u
so
u
u


 
   
 

   
    
  
   
    
  



ρ
ρ
ρ
ρ ρ
ρ ρ
ρ
1
0.2
2
3
3
0 1.15 19
*
1.15 20
7.32ft/ s
As 1 ft/s = 0.3046 m /
2.23 /
vapor flow rate:
( 1)
As
5800
D 5800kg/ hr 1.4009 /
3600*1.15
( 1) 1.4009*(3.5 1) 6.30 /
As we know that
Column diam
c
c
u
s
so
u m s
V D R
m s
so
V D R m s
   
   
   


 
  
    
1
24*column area
eter = =
bubbling area
so column area =
0.7
cD

 
 
 
 
 
 
Assignment#2 Separation processes
Department of Chemical Engineering
Wah Engineering College.
2vapor flow rate 6.30
And Bubbling area = = =2.83m
Allowable Vapor velocity 2.23
If the Bubbling Area is 0.7 of the total column area,
then
bubbling area 2.83
column area = = =4.04
0.7 0.7
   
   
  
   
   
   
2
1
2
m
4*4.04
column diameter = = =2.27mcD

 
 
 
(b). Pressure Drop Calculation.
2
2
2
3
The plate area of one unit of three holes on a triangular -in. pitch is
4
1 3 3
* * * 3 / 2 9 3 / 64 .
2 4 4
The hole area in this section (half a hole) is
1 1
* *
2 4 4 128
64
Thus the hole area is *
128
in
in
 

 
 
 
 
 
 
2
d 2
2
0.1008
9 3
As
Bubbling area 2.23
Vapor velocity through holes = 22.1 /
hole area 0.1008
pressure Drop through holes
h 51* *
2
0.73 (from fig.21.25, unit operations
o
o v
lo
o
u m s
u
C g
C

   
     
   
   
    
   

ρ
ρ
2
2
mccabe)
51*22.1 *1.15
so 71.7 mm of methanol
0.73 *750
head of liquid on plate
weir height: 2*2.54 50.8
d
w
h
h mm
 
  
 
 
Height of the liquid above weir: Assume the downcomer area is 15% of the column area on
each side of the column.
Chord length for such a segmental doencomer is 1.62 times the radius of the column, so
2.27
1.62* 1.62* 1.84
2 2
c
w
D
L m
   
    
  
(from perry’s chemical engineering page 1-26)
Assignment#2 Separation processes
Department of Chemical Engineering
Wah Engineering College.
Liquid flow rate:
3
2 2
3 3
ow
* 5800*3.5
0.45 / min
750*60
As
0.4
( )
0.6
0.6*(50.8 17.0) 40.7mm
As total head o
5
h 43.4 43.4*
f liquid
40.7 71.7 1124.4
17
1.84
l
l w ow
l
t
w
l d
l
l
As
h h
D R
q m
q
mm
h
with
h
h h h mm
l


  
   
    
 

  
    

  
ρ
(c).froth height:
Estimate hf.l=10 mm methanol.
.( ) 2*40.7 71.7 10 163.1mm
163.1
326
0.5 0.5
w ow d f lc
c
h h h h
And
Z
Z mm
Z       

 
 

pressure drop calculation in sieve plate distillation column

  • 1.
    Assignment#2 Separation processes Departmentof Chemical Engineering Wah Engineering College. Question#1: A 100 kmol mixture of benzene and toluene containing 40 mole per cent benzene is to be separated to give a product containing 90 mole per cent benzene at the top, and a bottom product containing not more than 10 mole per cent benzene. The feed enters the column at its boiling point, and the vapors leaving the column which is condensed but not cooled, provides reflux and product. It is proposed to operate the unit with a reflux ratio of 3 kmol/kmol product. It is required to find the number of theoretical plates needed using McCabe-Thiele Method and the position of entry for the feed. Solution: Given Data: F=100 kmol Feed Compositions: Benzene 40% Toulene 60% Reflux ratio= 3 To Find: No. of theoretical plates=? Feed position=? Calculation: Molecular Weight of Benzene = 78 Molecular weight of Toulene = 92 40 78 0.440 40 60 78 92 90 78 0.91390 90 10 78 92 10 78 0.11586 10 90 78 92 Xf Xd Xw          Overall material balance 100 100 ...........(1) F D W D W D W      
  • 2.
    Assignment#2 Separation processes Departmentof Chemical Engineering Wah Engineering College. Component material balance * * * 100*0.440 *0.91390 *0.11586 F Xf D Xd W Xw D W     Putting value of W from equation (1) into above equation 44 0.91390* (100 )*(0.11586) 32.414 0.79804*D D 40.617kmol And From Eq-1 100 100 40.617 59.382kmol D D W D W           Next we will determine the number of ideal trays and feed plate.  The first step is to plot the equilibrium diagram and on it erect verticals at XD, XF and XB. Now draw 45o line on the graph.  The second step is to draw the q-line. Here q=1, because feed is at its boiling point.  The third step is to plot the operating lines.  The rectifying line will start from the XD and ends at the intercept. Intercept of the rectifying line is 0.91390 0.22848 1 3 1 DX R     This point is connected with the XD on the yx reference line.  From the intersection of rectifying operating line and the feed line, the stripping line is drawn.  The fourth step is to draw the rectangular steps between the two operating lines and the equilibrium curve. Procedure to draw rectangular curve:  To find the X and Y co-ordinates by using operating line and equilibrium equation.  I have done this on excel and the table is as fallow. Top Section Stage 1-a Stage 1-b x y x y 0.9174 0.9174 0.81988 0.9174 0.81988 0.9174 0.81988 0.84426 Stage 2-a Stage 2-b x y x y 0.81988 0.84426 0.689605 0.84426 0.689605 0.84426 0.689605 0.746554
  • 3.
    Assignment#2 Separation processes Departmentof Chemical Engineering Wah Engineering College. Stage 3-a Stage 3-b x y x y 0.689605 0.746554 0.546941 0.746554 0.546941 0.746554 0.546941 0.639556 Stage 4-a Stage 4-b x y x y 0.546941 0.639556 0.421027 0.639556 0.421027 0.639556 0.421027 0.54512 Bottom Section Stage 1-a Stage 1-b x y x y 0.1158 0.1158 0.1158 0.24217 0.1158 0.24217 0.208166 0.24217 Stage 2-a Stage 2-b x y x y 0.208166 0.24217 0.208166 0.390784 0.208166 0.390784 0.316792 0.390784 Stage 3-a Stage 3-b x y x y 0.316792 0.390784 0.316792 0.530822 0.316792 0.530822 0.419148 0.530822 Stage 4-a Stage 4-b x y x y 0.419148 0.530822 0.419148 0.637777 0.419148 0.637777 0.497324 0.637777 And graph is as fallow.
  • 4.
    Assignment#2 Separation processes Departmentof Chemical Engineering Wah Engineering College. Number of theoretical plates = 7 Feed plate = 4 Question#2: A distillation column receives a feed that is 40 mole % n-pentane and 60 mole % n-hexane. Feed is saturated liquid with a flow rate of 2,500 lbmol/hr. The column is at 1 atm. A distillate of 90 mole % n-pentane is desired. A total condenser is used. Reflux is a saturated liquid. A bottom from the reboiler is 98 mole % n-hexane. Determine the minimum number of equilibrium trays and the minimum reflux ratio. Data: Vapor pressure, Psat, data: ln Psat = A - B/ (T + C), where Psat is in kPa and T is in K. Compound A B C n-pentane (1) 13.9778 2554.6 - 36.2529 n-hexane (2) 14.0568 2825.42 - 42.7089 Heat of evaporation for n-pentane, = 11,369 Btu/lbmol, CpL,C5 = 39.7 Btu/lbmol×o F Heat of evaporation for n-hexane, = 13,572 Btu/lbmol, CpL,C6 = 51.7 Btu/lbmol×o F 𝛼 𝐷 = 3.1102 𝛼 𝐵 = 2.7955 Solution: As total condenser is used so minimum number of trays can be find by Fenske equation 1 log[ * ] 1 log( ) D B D B m ave X X X X N a    0 0.2 0.4 0.6 0.8 1 0 0.2 0.4 0.6 0.8 1
  • 5.
    Assignment#2 Separation processes Departmentof Chemical Engineering Wah Engineering College. 𝛼 𝐷 = 3.1102 𝛼 𝐵 = 2.7955 1 2 1 2 ( * ) (3.1102*2.7955) 2.9486 ave D B ave ave a a a a a    1 0.9 1 0.1log[ * ] log( * ) 1 1 .9 0.1 log( ) log(2.9486) log(81) log(2.9486) 4.1 D B D B m ave m m X X X X N a N N        Minimum reflux ratio *(1 )1 [ ( )] 1 (1 ) 1 0.9 2.9486*(1 0.9) [ ( )] 2.9486 1 0.4 (1 0.4) 0.9024 ave DD m ave F F m m a XX R a X X R R            Question#3: A sieve-plate column operating at atmospheric pressure is to produce nearly pure methanol from an aqueous feed containing 40 mole percent methanol. The distillate product rate is 5800 kg/hr. (a) for a reflux ratio of 3.5 and a plate spacing of 18in, calculate the allowable vapor velocity and column diameter. (b) calculate the pressure drop per plate if each sieve tray is 1 8 -in. thick with 1 4 -in. holes on a 3 4 -in. triangular spacing and a weir height of 2 in. (c) what is the froth height in the downcomer ? Solution: Given data 5800 / 3.5 40 mole % methanol. D kg hr R   Physical properties of Methanol: M.w = 32, normal boiling point 650 C Density of liquid Methanol =ρL= 750 kg/m3 (650 C), surface tension= 19 dyn/cm.
  • 6.
    Assignment#2 Separation processes Departmentof Chemical Engineering Wah Engineering College. Calculations: ρL= 332*273 1.15 / 22.4*338 kg m (a). vapor velocity calculation first we need to calculate Flv first. 1 2 2 1 0.2 2 1 0.2 2 3.5 3.4*10 4.5 from fig.21.26 (unit operation mccabe) for 18-in. spacing. 0.29 As we know that 20 0.29 20 75 0.2 *9 lv v v c c c v l v l v l v v l F v k k u so u u                                       ρ ρ ρ ρ ρ ρ ρ ρ 1 0.2 2 3 3 0 1.15 19 * 1.15 20 7.32ft/ s As 1 ft/s = 0.3046 m / 2.23 / vapor flow rate: ( 1) As 5800 D 5800kg/ hr 1.4009 / 3600*1.15 ( 1) 1.4009*(3.5 1) 6.30 / As we know that Column diam c c u s so u m s V D R m s so V D R m s                         1 24*column area eter = = bubbling area so column area = 0.7 cD             
  • 7.
    Assignment#2 Separation processes Departmentof Chemical Engineering Wah Engineering College. 2vapor flow rate 6.30 And Bubbling area = = =2.83m Allowable Vapor velocity 2.23 If the Bubbling Area is 0.7 of the total column area, then bubbling area 2.83 column area = = =4.04 0.7 0.7                        2 1 2 m 4*4.04 column diameter = = =2.27mcD        (b). Pressure Drop Calculation. 2 2 2 3 The plate area of one unit of three holes on a triangular -in. pitch is 4 1 3 3 * * * 3 / 2 9 3 / 64 . 2 4 4 The hole area in this section (half a hole) is 1 1 * * 2 4 4 128 64 Thus the hole area is * 128 in in                2 d 2 2 0.1008 9 3 As Bubbling area 2.23 Vapor velocity through holes = 22.1 / hole area 0.1008 pressure Drop through holes h 51* * 2 0.73 (from fig.21.25, unit operations o o v lo o u m s u C g C                              ρ ρ 2 2 mccabe) 51*22.1 *1.15 so 71.7 mm of methanol 0.73 *750 head of liquid on plate weir height: 2*2.54 50.8 d w h h mm          Height of the liquid above weir: Assume the downcomer area is 15% of the column area on each side of the column. Chord length for such a segmental doencomer is 1.62 times the radius of the column, so 2.27 1.62* 1.62* 1.84 2 2 c w D L m             (from perry’s chemical engineering page 1-26)
  • 8.
    Assignment#2 Separation processes Departmentof Chemical Engineering Wah Engineering College. Liquid flow rate: 3 2 2 3 3 ow * 5800*3.5 0.45 / min 750*60 As 0.4 ( ) 0.6 0.6*(50.8 17.0) 40.7mm As total head o 5 h 43.4 43.4* f liquid 40.7 71.7 1124.4 17 1.84 l l w ow l t w l d l l As h h D R q m q mm h with h h h h mm l                              ρ (c).froth height: Estimate hf.l=10 mm methanol. .( ) 2*40.7 71.7 10 163.1mm 163.1 326 0.5 0.5 w ow d f lc c h h h h And Z Z mm Z            