Practical Project Management For Engineers And
Technicians 51 Idc Technology download
https://ebookbell.com/product/practical-project-management-for-
engineers-and-technicians-51-idc-technology-48038954
Explore and download more ebooks at ebookbell.com
Here are some recommended products that we believe you will be
interested in. You can click the link to download.
Project Management For Environmental Construction And Manufacturing
Engineers A Manual For Putting Theory Into Practice 1st Edition
Nolberto Munier Auth
https://ebookbell.com/product/project-management-for-environmental-
construction-and-manufacturing-engineers-a-manual-for-putting-theory-
into-practice-1st-edition-nolberto-munier-auth-4231796
Risk Management For Project Managers Concepts And Practices Goncalves
https://ebookbell.com/product/risk-management-for-project-managers-
concepts-and-practices-goncalves-5846880
Practical Project Management For Engineers Illustrated Nehal Patel
https://ebookbell.com/product/practical-project-management-for-
engineers-illustrated-nehal-patel-33821034
Practical Project Management For Building And Construction Hans
Ottosson
https://ebookbell.com/product/practical-project-management-for-
building-and-construction-hans-ottosson-4155804
Practical Project Management For Agile Nonprofits Approaches And
Templates To Help You Manage With Limited Resources Karen R J White
https://ebookbell.com/product/practical-project-management-for-agile-
nonprofits-approaches-and-templates-to-help-you-manage-with-limited-
resources-karen-r-j-white-46378268
Planning Scheduling Monitoring And Control The Practical Project
Management Of Time Cost And Risk 1st Edition Apm
https://ebookbell.com/product/planning-scheduling-monitoring-and-
control-the-practical-project-management-of-time-cost-and-risk-1st-
edition-apm-51880686
Project Management For Libraries A Practical Approach Robin A Buser
https://ebookbell.com/product/project-management-for-libraries-a-
practical-approach-robin-a-buser-46417650
Strategic Project Management Made Simple Practical Tools For Leaders
And Teams 1st Edition Terry Schmidt
https://ebookbell.com/product/strategic-project-management-made-
simple-practical-tools-for-leaders-and-teams-1st-edition-terry-
schmidt-2365848
Project Managementa Practical Guide For Success 50 Minute Books 2nd
Marion E Haynes
https://ebookbell.com/product/project-managementa-practical-guide-for-
success-50-minute-books-2nd-marion-e-haynes-2091568
Presents
Practical Project Management for Engineers
and Technicians
Revision 5.1
Website: www.idc-online.com
https://www.eit.edu.au/resources/practical-project-management-for-engineers-
and-technicians/
E-mail: idc@idc-online.com
Contents
Chapter 1 – Fundamentals 1
1.1 Definitions 1
1.2 Project Management 2
1.3 Project Life Cycle 4
1.4 Project organizations 6
1.5 Project success 11
1.6 Project planning 13
Chapter 2 – Time Management 23
2.1 Project Planning 23
2.2 The critical path method 24
2.3 The precedence method 31
2.4 Presentation of the scheduled network 34
2.5 Analyzing resources requirements 35
2.6 Progress monitoring and control 37
2.7 Software selection 39
Chapter 3 – Cost Management 41
3.1 Cost estimating 41
3.2 Estimating methods 42
3.3 Forecast final cost 43
3.4 Documentation of estimating procedures 43
3.5 Budgeting 43
3.6 Financial control 44
3.7 Change control 45
3.8 Cost reporting 47
3.9 Value management 48
Chapter 4 – Risk Management 49
4.1 Definition of ‘risk’ 49
4.2 Risk management 50
4.3 Establishing the context 51
4.4 Risk identification 52
4.5 Risk analysis 53
4.6 Risk evaluation 58
4.7 Risk treatment 59
4.8 Monitoring and review 60
Chapter 5 – Quality Management 65
5.1 Quality and quality management basics 65
5.2 Quality assurance systems 71
5.3 ISO 9000:2005 Quality System guidelines 72
5.4 Project quality assurance 73
Chapter 6 – Integrated Time and Cost Management 77
6.1 Earned value analysis 77
6.2 EVM analysis illustrated 79
6.3 Computer based integrated time and cost control 81
Chapter 7 – The Project Manager 83
7.1 Management and leadership 83
7.2 Cultural influences on project management 86
7.3 Authority and power of the project manager 90
7.4 Required attributes of the project manager 91
7.5 Essential functions of project managers 91
7.6 Selection of the project manager 92
Chapter 8 – Contractual Issues in Procurement Contracts 95
8.1 The Commonwealth legal system 96
8.2 Elements of contracts 97
8.3 Procurement strategy issues 101
8.4 Tendering 104
8.5 Vitiating factors 105
8.6 Termination of contracts 106
8.7 Time for completion and extensions of time 108
8.8 Remedies for breach of contract 111
8.9 Liquidated damages for late completion 112
8.10 Penalties and bonuses 112
Chapter 9 – Exercises 115
9.1 Work breakdown structures 115
9.2 Time management 115
9.3 Cost management 116
9.4 Integrated time and cost 121
9.5 Quality management 123
9.6 Risk analysis 125
9.7 Contractual issues 126
9.8 Project quality plan 128
Chapter 10 – Solutions 129
10.1 Work breakdown structures 129
10.2 Time management 134
10.3 Cost management 143
10.4 Integrated time and cost 145
10.5 Quality management 147
10.6 Risk analysis 147
10.7 Contractual issues 151
10.8 Project quality plan 152
Appendix A – Budgets, Variance Analysis, Cost Reporting and Value Management
155
Appendix B – Cost Estimation Methods 211
Appendix C – Reference Cases 325
Chapter 1 – Fundamentals 1
Learning objectives
The objective of this chapter is to:
• Provide an introduction to the concept of project management. This includes
fundamental definitions, basic project management functions, project life cycles and
phases
• Review the types and influences of alternative organization structures, with respect to
both the organizations within which projects are undertaken, and the organization of the
project team
• Review the issues fundamental to successful project outcomes
• Review the essential elements of effective project planning and control
This overview will show how the specific planning and control techniques introduced during
the course are incorporated into the project management function.
These concepts are applicable to the management of projects of any type. While specific
industries and certain types of projects will often require specialist knowledge to effectively
plan and control the project, the principles outlined in this course will generally apply in all
cases.
The definitions and techniques presented here are generally accepted within the project
management discipline. That is; their application is widespread, and there is consensus about
their value.
1.1 Definitions
1.1.1 Project
Performance of work by organisations may be said to involve either operations or projects,
although there may be some overlap.
Operations and projects share a number of characteristics in that they are:
• Planned, executed, and controlled
• Constrained by resource limitations
• Performed by people
Projects are, however, different from operations (such as maintenance or repair work) in that
they are temporary endeavours undertaken to create a. unique product or service. Table 1.1
shows the differences and similarities between operational and project activities.
Table 1.1
Operational vs. project activities
OPERATIONAL ACTIVITYPROJECT ACTIVITY
Planned Yes Yes
Executed Yes Yes
Controlled Yes Yes
Resources consumedYes Yes
Organization Permanent Temporary
Output Non-unique Unique
The primary objectives of a project are commonly defined by reference to function, time, and
cost. In every case there is risk attached to the achievement of the specified project
objectives.
1.1.2 Program
A program is a grouping of individual, but inter-dependent, projects that are managed in an
integrated manner to achieve benefits that would not arise if each project were managed on
its own.
1.1.3 Project management
Project management is the application of specific knowledge, skills, tools, and techniques to
plan, organise, initiate, and control the implementation of the project, in order to achieve the
desired outcome(s) safely.
Note that ‘Project Management’ is also used as a term to describe an organisational approach
known as ‘Management by Projects’, in which elements of ongoing operations are treated as
projects, and project management techniques are applied to these elements.
1.2 Project management
1.2.1 Elements
Successful project management requires that planning and control for each project is properly
integrated.
Planning for the project will include the setting of functional objectives, cost budgets and
schedules, and define all other delivery strategies. Successful planning requires the proper
identification of the desired outputs and outcomes.
Control means putting in place effective and timely monitoring, which allows deviations
from the plan to be identified at an early stage. As a result they can be accommodated without
prejudicing project objectives, and corrective action can be initiated as required.
A project organisation appropriate to the task must be set up, and the duties and
responsibilities of the individuals and groups within the organisation must be clearly defined
and documented. The lack of clear definition of structure and responsibilities leads to
problems with authority, communication, co-ordination and management.
The project management procedures put in place for the project must ensure that monitoring
is focused on the key factors that the results obtained by monitoring are timely as well as
accurate, and that effective control systems are established and properly applied by the
project team. Project management involves five basic processes:
• Initiating: Undertaking the necessary actions to commence the project or project phase
• Planning: Identifying objectives and devising effective means to achieve them
• Executing: Co-ordinating the required resources to implement the plan
• Controlling: Monitoring of the project and taking corrective action where necessary
• Closing: Formalising the acceptance of the project or phase deliverables (the ‘handover’),
and terminating the project in a controlled manner
Within each of these processes there are a number of sub-process involved, all linked via
their inputs and outputs. Each sub-process involves the application of skills and techniques to
convert inputs to outputs. An example of this is the preparation of a project network diagram
(output) by the application of the precedence method (technique) to the identified project
activities (input).
1.2.2 The professional body of knowledge
Project management has developed as a professional discipline since the 1950s. It is claimed,
reasonably, that the military was the first institution that adopted planning and control
processes that could be characterized as formal project management – specifically for the
Normandy invasion, and subsequently for the Manhattan Project. Since the 1970s there has
been a sustained development of project management as a professional discipline.
There are professional project management bodies in most countries. In Australia the
professional organisation is the Australian Institute for Project Management. In New Zealand
it is the New Zealand Chapter of the Project Management Institute (PMI). The international
body is the International Project Management Association.
In defining the knowledge base for project management it is useful to refer to the structures
adopted by the PMI in the USA and the Association for Project Management (APM) in the
UK. Their web addresses are www.pmi.org and www.apm.org.uk respectively.
Table 1.2
Project management body of knowledge
PROJECT INTEGRATION MANAGEMENT
• Project Plan development
• Project Plan Execution
• Overall Change Control
PROJECT SCOPE MANAGEMENT
• Initiation
• Scope Planning
• Scope Definition
• Scope Verification
PROJECT MANAGEMENT
• Systems Management
• Programme Management
• Project Management
• Project Lifecycle
• Project Environment
• Project Strategy
• Project Appraisal
• Project Success/Fail Criteria
• Integration
• Systems % Procedures
• Close-Out
• Scope Change Control
PROJECT TIME MANAGEMENT
• Activity Definition
• Activity Sequencing
• Activity Duration Estimating
• Schedule Development
• Schedule Control
PROJECT COST MANAGEMENT
• Resource Planning
• Cost Estimating
• Cost Budgeting
• Cost Control
PROJECT QUALITY MANAGEMENT
• Quality Planning
• Quality Assurance
• Quality Control
PROJECT HUMAN RESOURCE
MANAGEMENT
• Organisational Planning
• Staff Acquisition
• Team Development
PROJECT COMMUNICATIONS
MANAGEMENT
• Communications Planning
• Information Distribution
• Performance Reporting
• Administration Closure
PROJECT RISK MANAGEMENT
• Risk Identification
• Risk Quantification
• Risk Response Development
• Risk Response Control
PROJECT PROCUREMENT MANAGEMENT
• Procurement Planning
• Solicitation Planning
• Solicitation
• Post Project Appraisal
ORGANISATION and PEOPLE
• Organisation Design
• Control and Co-operation
• Communication
• Leadership
• Delegation
• Team Building
• Conflict Management
• Negotiation
• Management Development
TECHNIQUES and PROCEDURES
• Work Definitions
• Planning
• Scheduling
• Estimating
• Cost Control
• Performance Measurement
• Risk Management
• Value Management
• Change Control
• Mobilisation
GENERAL MANAGEMENT
• Operational/Technical
Management
• Marketing and Sales
• Finance
• Information Technology
• Law
• Procurement
• Quality
• Safety
• Industrial
• Source Selection
• Contract Administration
• Contract Close-out
IIA PMI PMBOK IIB APM PMBOK
1.3 Project life cycle
1.3.1 Lifecycle elements
Projects proceed through a sequence of phases from concept to completion. Collectively, the
separate phases comprise the project ‘life cycle’.
There are only a limited number of generic lifecycles, though the breakdown of the phases
within can be at differing levels of detail. The generic types are usually considered to include
capital works, pharmaceutical, petrochemical, defence procurement, research and
development, and software development. Consequently the initial starting point for managing
the project is to define the type, and select an appropriate life cycle model as the planning
framework.
Figures 1.1 and 1.2 illustrate generic project life cycles for two project types.
Figure 1.1
Project life cycle: capital works project
Figure 1.2
Project life cycle: defence acquisition project
1.3.2 Project phases
Different industries generally have specific standard definitions for each phase, but a generic
description of each phase identified in Figure 1.1 for a capital works project is:
• Pre-feasibility: Identification of needs, and preliminary validation of concept options
• Feasibility: Detailed investigation of feasibility, including preliminary brief, project
estimate and investment analysis
• Planning: Detailed definition of the project with respect to scope, organisation, budget,
and schedule, together with definition of all control procedures
• Implementation: The execution of the scoped project. The components of this phase will
depend upon the nature of the project
• Handover: Passing the facility into the control of the principal. This includes formal
handover of the facilities, user training, operating and maintenance documentation etc.
• Close out: Archiving of the project records, establishing appropriate performance
evaluations, capturing and transferring lessons learned, and dissolving the project
organisation
Project phases share defined characteristics.
• In every instance project management processes undertaken with a specific phase
comprise initiating, planning, executing, controlling, and closing.
• A project phase will have one or more tangible deliverables. Typical deliverables include
work products such as feasibility studies, software functional specifications, product
designs, completed structures, etc.
• Outputs from a phase are typically the inputs to the succeeding phase
Normally, deliverables from any phase require formal approval before the succeeding phase
commences. This can be imposed through the scheduling of compulsory ‘milestones’ (e.g.
design reviews) between phases.
1.4 Project organizations
1.4.1 General
Where projects are set up within existing organisations, the structure and culture of the parent
organisation has great influence on the project, and will be a deciding factor in whether or not
there is a successful outcome. Where the project team is outside the sponsoring or client
organisation, that organisation may exert significant influence on the project.
The organisation of the project team also directly influences the probability of achieving a
successful outcome. The benefits and disadvantages of the various options for project team
organization need to be appreciated.
1.4.2 Projects within existing organizations
Organisational structures have traditionally been defined within the spectrum from fully
functional to fully project oriented. Between those extremes lie a range of matrix structures.
The classic functional structure is a hierarchy, with staff grouped within specialist functions
(e.g. mechanical engineering, accounting etc.), with each staff member reporting directly to
one superior. Such organisations do manage projects that extend beyond the boundaries of a
division, but within a division the scope of the project is considered only as it exists within
the boundary of that division. Project issues and conflicts are resolved by the functional
heads.
In a project management organization the staff are grouped by project, and each group
headed by a project manager who operates with a high level of authority and independence.
Where departments co-exist with the project groups, these generally provide support services
to the project groups.
Matrix organisations may lie anywhere between the above. A matrix approach applies a
project overlay to a functional structure. Characteristics of matrix organisations may be
summarised as follows:
• Weak matrix organizations are those closely aligned to a functional organization, but with
projects set up across the functional boundaries under the auspices of a project co-
ordinator. The project co-ordinator does not have the authority that would be vested in a
project manager
• A strong matrix organization would typically have a formal project group as one of the
divisions. Project managers from within this group (often with the necessary support
staff) manage projects where specialist input is provided from the various functional
groups. The project managers have considerable authority, and the functional managers
are more concerned with the technical standards achieved within their division than with
the overall project execution
• In a balanced matrix the project management is exercised by personnel within functional
divisions who have been given the appropriate authority necessary to manage specific
projects effectively
The different organizational structures, and the corresponding project organization options,
are identified in Figure 1.3. In many cases an organization may involve a mix of these
structures at different levels within the hierarchy. For example, a functional organization will
commonly set up a specific project team with a properly authorized project manager to
handle a critical project.
The influence of the organisation structure on various project parameters is illustrated in
Figure 1.3.
While a matrix approach may be seen as providing an inadequate compromise, in reality it is
often the only realistic option to improve the performance of a functional organization. It
does work, but there are some trade-offs. One factor critical to the effectiveness of the matrix
structure is the authority vested in the person responsible for delivery of the project. A key
predictor of project performance is the title of this person i.e. whether he/she is identified as a
‘project manager’, or something else.
Briefly, the benefits and disadvantages of the matrix approach include (see Table 1.3), also
see Table 1.4:
Table 1.3
Matrix benefits and disadvantages
Benefits Disadvantages
All projects can access a strong technical baseDual reporting structures causes conflict
Good focus on project objectives Competition between projects for resources
Sharing of key people is efficient There may be duplication of effort
Rapid responses to changes Management and project goals in conflict
Individuals have a protected career path
Figure 1.3
Project structures within organizations
Table 1.4
Influences of organization
Organization type Functional Weak matrix
Balanced
matrix
Strong
matrix
Project
Project mgr Authority Little or none Limited
Low to
moderate
Moderate to
high
High to
Total
% Personnel assigned
100% on project
Minimal 0-25% 15-60% 50-95% 85-100%
Project mgr Role Part time Part time Full time Full time Full time
Project mgr Title
Co-
ordinator/Leader
Co-
ordinator/Leader
Project
manager
Project
manager
Project
manager
Project mgr Support
staff
Part time Part time Part time Part time Full time
1.4.3 Project organization
The organisation of the project team is characterised by:
• The principal or project sponsor. This is the beneficial owner of the project
• The Project Control Group (PCG). In some cases this will be the principal, but when the
principal is a large company it is required to identify and make accountable certain
nominated individuals. The function of this group is to exercise approvals required by the
project manager from time to time, controlling the funding to the project manager, and
maintaining an overview of the project through the reporting process
• The project manager. In a ‘perfect world’ the responsibilities, roles and authority of this
person would be defined and documented
• A project control officer or group, if this function is not undertaken by the project
manager. This group of people is responsible for the acquisition and analysis of data
relating to time, cost and quality, and to compare actual figures with the planned figures
• The rest of the project team, which will vary in composition according to the project type,
as well as specific project variables
The project organization may be vertical or horizontal in nature, depending on the span of
control chosen by the project manager. That choice will be a balance between available time
and the desired level of involvement. Typical project structures for a capital works project are
illustrated in Figure 1.4. These illustrate the difference between horizontal, intermediate, and
vertical organisation structures.
In general the horizontal structure is the best option, because the communication channels
between those who execute the project work and the project manager are not subject to
distortion. For instance, in the vertical organisation there is a far higher probability of the
project manager receiving and acting upon inaccurate information. Such inaccuracies may
arise unavoidably, by oversight, carelessly, or deliberately. The impacts can be severe.
Reducing that opportunity, by shortening communication channels and removing the
intermediate filters, improves the likelihood of achieving the desired project outcome.
On large projects the desire to maintain a horizontal structure can be largely achieved by
increasing the size of the ‘project manager’. This is typically done by augmenting the project
manager with support staff that have direct management responsibilities for a portion of the
project. Their interests are aligned with those of the project managers, and a higher reliability
of information may be expected.
Figure 1.4
Project team organization
1.5 Project success
1.5.1 General
Many projects qualify as successes, but we all have experience, anecdotal or otherwise, of
projects that have gone severely wrong. Project failures exist within all industries. Even
today, with the level of awareness for project management processes as well as advanced
tools, there are spectacular failures. These occur even on very large projects where it is
assumed that the investment in management is high. The consequences of failure can be
significant to the sponsoring organisations as well as project personnel.
A 1992 study of some 90 data processing projects, completed in the previous 12 years,
provides a common profile of experience. The study identified the primary factors affecting
the project outcomes as set out in the Table 1.5. These are listed by frequency and severity
(ranked in descending order of impact) in respect of their negative impact on project success.
This analysis provides an instructive basis for any organisation operating, or setting up, a
project management methodology. Note that most of these issues are project management
issues.
Table 1.5
Project problem issues
(O’Connor & Reinsborough, Int’l Journal of Project Management Vol 10 May 1992)
Factor Frequency Severity
Planning/monitoring 71% 1
Staffing 58% 2
Scope management 48% 3
Quality management 44% 4
Communications 42% 5
Technical 36% 7
Management 32% 8
User involvement 30% 6
Implementation issues 28% 9
Operations 24% 11
Organization 24% 10
Estimating 19% >12
1.5.2 Project success criteria
It is a vital step, yet one commonly omitted, to define the project success criteria before
commencing planning and delivery. In other words, define what needs to be achieved if the
project implementation is to be considered a success. The project stakeholders must identify
and rank the project success criteria. The ‘client’s’ preferences are obviously paramount in
this process, and will consider performance right through the life of the product under
development as well as the factors present only during the project.
The objectives of cost, quality, and time are frequently identified as the definitive parameters
of successful projects. These are a very useful measure in many capital works projects where
they can be defined in advance, adopted as performance indicators during project
implementation, provide a basis for evaluating trade-off decisions, and applied with relative
simplicity.
However, this approach to measuring project success is necessarily only a partial assessment
in almost every situation. Projects completed within the targets for such constraints may be
successfully completed from the perspective of the project implementation team, but are not
necessarily from alternative viewpoints such as those of the sponsors or users. In some
instances projects that are not completed within some of the time/cost objectives may still be
considered a success. Common project success criteria include safety, loss of service,
reputation, and relationships.
The process of defining ranked success criteria provides surprising insights in many
instances, and enhances project planning. During project implementation the project success
criteria provide a meaningful basis for establishing project performance indicators to be
incorporated within project progress reports. They are also helpful in making trade-offs,
should that become necessary.
1.5.3 Critical success factors
The results of a study of the critical success factors in projects, published in the June 1996
issue of the International Journal of Project Management, proposes a framework for
determining critical success factors in projects. This study classified critical success factors
applicable to all project types within four interrelated groups. These are set out in Table 1.6
with examples.
Table 1.6
Critical success factors
Factors related to: Example
The specific project Project size, complexity, technology, number of interfaces
The project manager and
team
Project management expertise, authority, systems, personality,
resources
The customer organization Customer commitment, response times, knowledge
The external environment Environment: social, cultural, political, economic, financial, technical
In practice, this is a particularly important and useful framework within which critical success
factors can be identified. Where necessary, these can be managed proactively in order to
maximise the probability of project success.
A survey was conducted amongst members of the PM, seeking to correlate project success
criteria (specified as time, cost, quality, client satisfaction, and other) against the above
factors. Projects included in the survey covered construction, information services, utilities,
environmental and manufacturing. The study concluded that the critical project success
factors primarily arose from the factors related to the project management and project team.
For each industry the project manager’s performance and the technical skills of the project
team were found to be critical to project outcomes. This confirms the conclusions from the
1992 study noted earlier.
It is important to identify, within this framework, the specific critical success factors which
may impact on the project. It is then the reponsibility of the project team to develop strategies
to address these factors, either in the planning or in the implementation phase.
1.5.4 Critical project management issues
The skills, knowledge, and personal attributes of the selected project manager have a critical
impact on the success of the project. These critical skills encompass more than just technical
and project management parameters. A key element in the success of the project manager is
the effective application of non-technical skills (the so-called ‘soft’ skills); including
leadership, team building, motivation, communication, conflict management, personnel
development and negotiation.
It is essential that the project manager, once appointed, has full control of the project within
the limitations defined by the principal or project sponsor. All parties must be made aware of
this single point of authority. The authority delegated to the project manager, and his/her
effectiveness in exercising it, is critical. Project management structures, particularly if the
project is one within an existing organisation and across functional boundaries, creates a
complex web of formal and informal interactions. Lack of clarity in defining the authority of
the project manager invariably leads to difficulties.
The appointment of the project manager should ideally be made sufficiently early in the
project to include management of the feasibility studies. The project manager should be
appointed in order to undertake the project definition. If the project manager is not involved
in the project definition phase, the outputs of this phase (project plan, control procedures,
etc.) must be specifically signed off by the project manager when subsequently appointed to
that role.
1.6 Project planning
1.6.1 The project quality plan
“PROJECTS BADLY PLANNED ARE PROJECTS PLANNED TO FAIL”
The project planning phase is critical to the effective implementation and control of the
project and the basis for project success is established during this phase. The planning
undertaken at this stage is the responsibility of the project manager. The primary output from
this phase is the Project Quality Plan (PQP). The basic element required to properly define
the PQP is the Work Breakdown Structure or WBS.
The PQP comprises the following:
• The PQP sign-off
• The statement of project objectives
• The project charter
• The project plan
• Project control procedures
Note: here lies an inconvenience of terminology. The PQP is much more than a plan for
incorporating quality into the project. There is a comnponent within the PQP that deals
exclusively with quality issues per se.
1.6.2 PQP sign off, project objectives, project charter
PQP sign-off
This is a formal record of the agreement, signed by the Project Manager as well as the PCG
of the PQP. It is confirmation of approval of the plan (e.g. what is to be done, when, who, at
what cost etc) and the processes involved if the desired outcomes are to be achieved.
Project objectives
This is a statement defining the project objectives. The confirmed Project Success Criteria
should be included, together with quantified measures. Unquantified objectives introduce a
high degree of risk to the process, by reducing the ability to measure divergences at an early
stage.
Project charter
Management’s commitment to internal projects (and hence the willingness to make available
the required resources), as well as formal delegation of authorities to the project manager, are
recorded here.
1.6.3 The project plan
The Project Plan is the master plan for the execution of the project, and provides the
framework from which the implementation will develop in a co-ordinated and controlled
manner. The project scope definition, programme and budget are established at this time.
These provide the baseline against which performance can be measured, and against which
approved changes to the project baseline can be properly evaluated. The Project Plan
comprises the following components:
Scope definition
A written scope statement that defines, in appropriate detail, the scope of every project
component and identifies all significant project deliverables. In this context ‘scope’ includes
features and functions of products and/or services, and work to be undertaken to deliver a
conforming output
Work breakdown structure
A Work Breakdown Structure (WBS) is the breakdown of the project into the separate
activities that can be considered entities for the purpose of task assignment and
responsibilities. The WBS is generally presented in a product-oriented hierarchical
breakdown. Successive levels include increasingly detailed descriptions of the project
elements. The lowest level items are referred to as work packages and these are assignable to
individuals within the project team, or to subcontractors.
Orgonization breakdown structure
The Organization Breakdown Structure (OBS) involves the definition of the project structure,
setting out the parties and individuals involved in the execution of the project. It also
formalizes the lines of communication and control that will be followed.
Task assignment
This is a list of the assignment tasks and responsibilities. All tasks and activities previously
defined become the responsibility of specified parties. The WBS and OBS may be extended
to define a ‘task assignment matrix’.
Project schedule
The preliminary master schedule for the project identifies the target milestones for the
project, and the relative phasing of the components.
Project budget
In some cases a project budget is established during the feasibility study, without the benefit
of adequate detail of the concepts evaluated. At that stage a maximum cost may have been
established, because expenditure above that figure would cause the project not to be
economically viable. Where such a constraint exists, and if the feasibility study has not
reliably established the cost of the project, it will be necessary to further develop the design
before committing to the project.
Miscellaneous plans
Additional plans may need to be documented here. These include, inter alia, consultations
and risk management. Alternatively, a strategy for these can be defined in the section dealing
with project controls.
Documentation
All of the above project elements must be documented in the Project Plan. Figure 1.5 shows
the inter-relationships of all these entities.
Figure 1.5
The project plan
1.6.4 Project control procedures
The ultimate success of the project will require that objectives for performance, budget and
time, as defined within the Project Plan, are fulfilled. This will only be possible if the
necessary monitoring and control systems are established prior to the commencement of
project implementation.
Monitoring and reporting should include project performance indicators derived from the
Project Success Criteria. Planning should take into account the critical success factors, i.e. it
should address any potential difficulties that may arise from them.
Control procedures need to be established and documented for the management of the
following parameters:
Administration
Procedures for the administration of the project should be defined. These should include
issues such as:
• Filing
• Document management
• Correspondence controls
• Administrative requirements of the principal
Scope
The definition of scope change control systems which:
• Define circumstances under which scope changes can arise
• Control the process invoked when changes do arise
• Provide for integrated management of the consequences of the changes, i.e. time and
cost implications
Quality
The definition of project-specific quality policies and standards, together with processes for
ensuring that the required quality standards will be achieved. This is best achieved by
reference to the application of, and responsibilities for, Inspection and Test Plans.
Cost
The definition of control procedures which should include:
• Budget and commitment approvals for design, procurement and construction functions
• The issue and control of delegated financial authority, to the project manager controlling
consultants and contractors, as well as to consultants controlling contractors
• Variation control for changes arising during project implementation
• Value engineering
• Cost monitoring, reporting and control systems and procedures
Time
The definition of strategies and procedures for scheduling, monitoring and reporting, likely to
include:
• Programming methods and strategies for master and detail programmes, i.e. definition of
programming techniques as well as the frequency of review and updating
• Progress monitoring and reporting systems and procedures.
Risk
The definition of objectives and procedures for putting in place effective risk management.
Note that there may be a Risk Management activity schedule in the PQP.
Communications
This specifies all requirements for communications within the project and to the
client/sponsor, and is likely to include:
• Meetings – schedules and processes
• Reporting requirements
• Document distribution
• Handover
• Close out
Procurement
This defines strategies and procedures for tendering, as well as for the selection and
management of consultants, suppliers and contractors.
Tendering
This covers documented standardized tendering procedures, tender documentation, and
tender evaluation procedures for each contract type (i.e. service, procurement, construction
etc).
The tendering process is often a very sensitive one, especially if public funds are involved.
Appropriate attention must be paid to ensure that the legal aspects of the process are properly
addressed, and that the process is applied with demonstrable fairness. Recent changes in the
laws applying to tendering should be noted.
Consultants
This refers to a standardized document dealing with the use of consultants. It should cover
issues such as consultants’ briefs and terms of engagement. Consultants’ briefs would
typically include the following items:
• The scope of the work to be undertaken, and any limitations thereon
• The type of services to be provided and the deliverables required (this will be defined
within the WBS for the specific work package)
• Approvals required from the client
• Approvals to be exercised on behalf of the client
• Special requirements of a management, technical or financial nature, for example quality
assurance/quality control programmes, variation control procedures etc.
• Reporting requirements
• Project schedule requirements, for service delivery as well as implementation phases
• Budgets for the proposed implementation deliverables or capital items
• Basis of payment for services to be provided by the consultant
Contracts
The terms of engagement and conditions of contract should be based on standard documents
where these exist. The level of documentation should be appropriate to the values of contracts
let, and usually a number of options are required.
1.6.5 Work breakdown structures
Developing the WBS is fundamental to effective planning and control for the simple reason
that the derived work packages are the primary logical blocks for developing the project time
lines, cost plans and allocation of responsibilities.
Many people either miss out this key step in the project management process, or undertake
the step informally without appreciating how important it is.
Definition and terminology
PMI PMBOK 1996 provides the following definition for a WBS:
A deliverable oriented grouping of project elements which organizes and defines the total
scope of the project: work not in the WBS is outside the scope of the project. Each descending
level represents an increasingly detailed description of the project elements.
The WBS is created by decomposition of the project, i.e. dividing the project into logical
components, and subdividing those until the level of detail necessary to support the
subsequent management processes (planning and controlling) is achieved.
Terminology varies in respect of defining project elements. The use of the terms ‘project’,
‘phase’, ‘stage’, ‘work package’, ‘activity’, ‘element’, ‘task’, ‘sub-task’, ‘cost account’, and
‘deliverable’ is common:
PMBOK terminology provides the following definitions:
• A work package is a deliverable at the lowest level of the WBS
• A work package can be divided into activities
• An activity is an element of work performed; with associated resource requirements,
durations and costs
• An activity can be subdivided into tasks
A properly developed WBS provides a basis for:
• Defining and communicating the project scope
• Identifying all components of work within the project
• Identifying the necessary skills and resources required to undertake the project
• Effective planning of the project (scheduling, resource planning, cost estimating)
The WBS does not identify dependencies between the components, nor does it identify
timing for the components. These are, for example shown in the PERT and Gantt charts (see
next chapter).
Creating the WBS
There are many valid approaches for the decomposition of a project. In many cases there will
be semi-standard WBS templates that can be used or adapted. The WBS should generally
identify both the project management and project deliverables, and should always be defined
to reflect the particular way in which the project is to be managed.
The appropriate level of detail will vary between projects, and at different times within the
same project. Future project phases may need less definition than the current phases – so the
WBS may be progressively developed as the project develops – but this requires a flexible
WBS structure to be selected in the first instance.
In planning the WBS, criteria can be adopted to ensure that the level of detail is appropriate
and consistent. Such criteria might include:
• Are the packages of work in the WBS sensible?
• Can any package be broken down further into sensible components?
• Is each package the responsibility of only one organizational group?
• Does every package represent a reasonable quantity of work?
• Does any package constitute more than, say, 5% (or 10%) of the project?
• Does any package constitute less than, say, 1% (or 2.5%) of the project?
• Does every package provide the basis for effective cost estimating and scheduling?
The following example shows the WBS of a project with geographical location at the second
level (see Figure 1.6).
Figure 1.6
WBS for restaurants project
Alternatively, the various functions (design, build, etc) can be placed at the second level (see
Figure 1.7).
Figure 1.7
Alternative WBS for restaurants project
A third alternative shows a subsystem orientation (see Figure 1.8).
Figure 1.8
Alternative WBS for restaurants project
A fourth alternative shows a logistics orientation as follows (see Figure 1.9):
Figure 1.9
Alternative WBS for restaurants project
The WBS could also be drawn to show a timing orientation (see Figure 1.10).
Figure 1.10
Alternative WBS for restaurants project
Note that ‘Design’ and ‘Execution’ in the WBS above are NOT work packages, they are just
headings. ‘Start up’, however, is a work package since it is at the lowest level in its branch.
The WBS could be broken down even further but the risk here is that the lowest-level
packages could be too small. If ‘advertising’, for example, could be accomplished in 100
hours it might be a good idea to stop at that level. It could then be broken up into activities
and tasks (and even sub-tasks); the duration and resource requirements would then be
aggregated at the ‘advertising’ level, but not individually shown on the WBS.
It is, of course, not necessary to use a sophisticated WBS package; a spreadsheet will work
just fine as the following example shows (see Figure 1.11).
Figure 1.11
WBS using spreadsheet
Chapter 2 – Time Management 23
Learning objective
The objective of this chapter is to provide a comprehensive introduction to the key elements
of effective time management for projects. Time management of a project consists of:
• Planning the project activities to a time scale (i.e. the project schedule)
• Monitoring performance of the implementation phase
• Comparing achieved performance with the project schedule
• Taking corrective action to ensure planned objectives are most likely to be met
The level of project planning that we propose requires a significant input of time and energy
at the start of the project, but considerably reduces the content and cost of management effort
during the project implementation phase. The preparation of the project schedule is only the
first, albeit very important, step.
Time management requires the monitoring and control functions to be carried out effectively
so that the project schedule can be adhered to, or so that any variance from the plan does not
prejudice project objectives.
The planning, monitoring and controlling cycle should be in process continuously until the
project is completed. The project schedule should be prepared with some knowledge of the
monitoring system to be employed. The prerequisite for setting up the monitoring system is
the identification of the key factors to be controlled. It may be, for example, the achievement
of specific milestones or particular resource items. The project manager will have to establish
the boundaries within which these factors need to be constrained. Performance monitoring
must focus on outputs, not inputs; i.e. results not effort.
2.1 Project planning
The principal aim of project management is to effectively utilize the available resources in
order to achieve the planned objective(s).
It is most unlikely, if not impossible, that this aim can be achieved in the absence of rational
planning and scheduling of all component activities, together with the associated human,
material and financial resources. Particular techniques have been developed which allow this
essential planning to be undertaken.
The most commonly used in the field of project management are known collectively as
Project Network Techniques. These comprise:
• The ‘Critical Path’ method (also known as the Activity on Arrow or AoA method)
• The Precedence method (also known as the Activity on Node or AoN method)
The Critical Path method may be the only one many people are familiar with since it is
intuitively attractive. The Precedence method appears, at least from a superficial look at the
comparable diagrams, to be more complex.
However, the Precedence method is far more flexible. The Precedence method has the
advantage of requiring no dummy activities to establish the correct logic for a project. Once
the superficial complexity is overcome, you will find it to be the more powerful tool. Most
computer-based project scheduling software packages use precedence logic and a proper
understanding of the method enables the software to be used to best effect.
Precedence network analyses are normally presented graphically, either as the network
diagram itself, or as a time-scaled bar chart known as a Gantt chart. Critical path networks
can be presented as time-scaled arrow diagrams, or as Gantt charts. All computer-based
project scheduling software packages use Gantt presentations in addition to the network
diagrams.
Project analysis by either method involves the same four steps:
• Defining the activities. For the initial project plan this may involve the breakdown of work
packages used as the basic elements for the other components of the PQP
• Preparation of the logic sequence to determine the relationships between the activities
• Applying activity (time and resource) data for each activity
• Analysis of the network
The following is a brief introduction to these techniques. It will, however, be sufficient to
allow you to fully apply both methods to analyze any situation. There is a vast amount of
literature available on the subject that could be consulted for additional guidance.
2.2 The critical path method
2.2.1 Defining the activities
The first step in project planning is to break the defined work packages into component
activities, and sometimes tasks. It is crucial that this breakdown be carefully considered if the
subsequent output is to be an effective project control tool.
In establishing the activity list, the following principles may assist:
• For an initial analysis the number of activities should be kept to the minimum required to
be useful. This allows for the framework to be developed and checked for consistency
before too much effort has been spent. If found necessary, the activities can be broken
down further at a later stage if that is appropriate
• For a definitive plan it is useful to include more detail so that the schedule in the PQP can
be adopted as the baseline for schedule monitoring
• Who else will be using the schedule, and for what purpose?
• Is it an appropriate master plan, allowing elements to be defined in more detail as
implementation continues?
It is important to note that the word ‘operation’ or ‘activity’ is used in its widest sense. It will
not only include actual physical events, derived form the work packages, but anything that
may exercise a restraint on the completion of the project should be included as an activity.
This will include actions such as obtain finance, obtain approval, place order, and represent
passages of time with no actual activity, e.g. delivery period.
2.2.2 Preparing the logic network
The arrow diagram
In CPM, each activity is represented by an arrow. The tail of an arrow marks the start of the
activity it represents, and the head marks its finish. The start and finish of activities are
called events or nodes. Circles are drawn at the tails and heads of arrows to denote the nodes.
The arrow diagram, or network, is drawn by joining the nodes together to show the logically
correct sequence of activities. The arrows are not drawn to scale; their lengths are
unimportant at this stage. Their directions show the flow of work. Here are a few simple
illustrations.
Figure 2.1 shows two sequential activities indicating that Activity B cannot be started until
Activity A is completed.
Figure 2.1
Network example
Figure 2.2 shows that Activity E must await the completion of both Activities C and D before
it can commence.
Figure 2.2
Network example
Figure 2.3 shows Activities G and H as concurrent activities that can start simultaneously
once Activity F has been completed.
Figure 2.3
Network example
When developing the arrow diagram, three questions are asked of each activity in order to
ensure its logical sequence:
• What must precede it?
• What has to follow it?
• What can take place concurrently with it?
The importance of these three questions cannot be overemphasized. Be aware of the ease of
inadvertently introducing constraints by implication.
Numbering of events
All events are numbered to facilitate identification. This step is usually carried out after the
whole arrow diagram has been drawn. Each activity is identified by two event numbers, e.g.
as (i,j). The (i) number identifies the tail of the arrow, and the (j) number identifies the head
of the arrow. The letters ‘i’ and ‘j’ are chosen at random and have no special significance, but
it is advisable to use multiples of 5 or 10. The reason for this is the flexibility to introduce
additional events into the network. For example, see Figure 2.4.
Activity C is identified by (15, 20), D by (20, 25) and E by (20, 30). Note that for sequential
activities, such as C and D, the (j) number of the preceding activity is the same as the (i)
number of the following activity.
Figure 2.4
Numbering of activities
Dummies
Each activity should have a unique identification. If two concurrent activities both start and
finish at the same nodes they will be identified by the same (i, j) numbers, as shown in Figure
2.5 where both Activities M and N are (15, 30).
Figure 2.5
Concurrent activities
In order to keep the identification of activities unique, a dummy activity is introduced as
shown in Figure 2.6. Activity M is still (15, 30) but Activity N is now (15, 25). Activity (25,
30) is a dummy. Dummy activities are always represented by a dotted arrow.
Figure 2.6
Dummy activities
Another important use for dummies is to keep the sequence logic correct in a group of arrows
where not all preceding and following activities are interdependent. Suppose we have a
situation where starting Activity D depends on the completion of both Activities A and B,
and starting Activity C depends only on completion of Activity A.
The logic shown in Figure 2.7 is incorrect. It introduces a non-existent restraint, namely that
Activity C cannot start until Activity B is complete.
Figure 2.7
Incorrect logic
The correct logic requires the introduction of a dummy activity. Refer to Figure 2.8.
Figure 2.8
Correct logic
Overlapping activities
Unlike the conventional bar chart, no overlapping of activities is permitted in the arrow
diagram. If overlapping exists between activities, then these activities must be broken down
further to provide sequential activities that may subsequently be analyzed.
Figure 2.9 shows two sequential activities, indicating that Activity 2 starts after all of Activity
1 is complete.
Figure 2.9
Non-overlapping activities
For a small job, this is probably the case. For a large job, however, the two activities may
overlap to some extent. This is shown by breaking both activities down into two activities, as
shown in Figure 2.10.
Figure 2.10
Overlapping activities
2.2.3 Adding activity data
The way in which the necessary data is included on the network diagram is very simple. See
Figure 2.11. The required information is added for each activity in the network. Once all
necessary activities are included, the network can be analyzed.
Figure 2.11
Activity data
2.2.4 Analyzing the network
This analysis comprises the following actions:
• adding durations for each of the activities
• adding resources for each of the activities (optional)
• analyzing the network to determine the critical path (based on the activity durations)
Adding activity durations
Durations will normally be fixed by the scheduler allocating a fixed resource for a given time.
Note, however, that some computer programs calculate the duration by consideration the
work content of the activity (for example, 45 man-days) and the available resources.
Time may be expressed in any convenient unit; for example, hours, calendar days, working
days, weeks, months, etc.
Durations may be determined from calculations, experience, and advice. Estimates should be
made on the basis of normal, reasonable, circumstances according to judgment. For a given
quantity of physical work, the duration will depend on the resources allocated.
For physical activities the duration will depend on the quantity of work and the resource to be
applied, the efficiency of the resource, location etc. For outside activities an allowance must
be made for adverse weather.
Adding resources
Resources must be included where they are likely to be a limitation either within the project
itself, or where the project competes with others for resources from a pool. See paragraph 6.0.
The critical path
The purpose of analyzing the network is to determine the critical path, and thus the total
project duration. Once the network has been drawn there will, generally, be more than one
path between the start and finish. The project duration for each path is calculated very simply.
By adding the durations for all the activities that make up the path, various total durations
will be determined. The longest of these is the time required for completion of the project.
The path associated with it is, by definition, the critical path.
In many cases the critical path is obvious, or can be located by considering only a few paths,
and this should be determined as a first step. If the total project duration is too long, review
the planning (for example by reviewing the assumed sequencing, constraints, overlap
opportunities, resources, etc) to reduce the critical path before carrying out the detailed
calculations for the whole schedule.
Earliest start time and earliest finish time
The Earliest Start Time (EST) of any activity means the earliest possible start time of the
activity as determined by the analysis. The EST of any activity is the Earliest Event Time
(EET) of the preceding node, i.e.:
ESTij =EETi
The Earliest Finish Time of an activity is simply the sum of its earliest start time plus its
duration, i.e.:
EFTij = ESTij plus duration
But note that:
EFTij = EETj
The EST of an activity is equal to the EFT of the activity directly preceding it – if there is
only a single precedent activity. If an activity is preceded by more than one activity, its EST
is then the latest of the EFTs of all preceding activities. The logic of this should be clear: an
activity can only start when all preceding activities have been completed. The latest of these
to finish must govern the start of the subject activity.
ESTs are calculated by a forward pass, working from the first to the last activities along all
paths. This analysis determines the EFT for the last node, and this is the minimum time for
completing all activities included in the network.
Latest finish time and latest start time
The Latest Finish Time (LFT) of any activity means the latest possible time it must be
finished if the completion time of the whole project is not to be delayed. The LFT for an
activity is the Latest Event Time (LET) of the succeeding node, i.e.:
LFTij =LETj
The Latest Start Time of an activity is simply the sum of its latest finish time less its duration,
i.e.:
LSTij = LFTij minus duration
But also note that:
LSTij = equals LETi
The LFT for the final activity is taken to be the same as its EFT. The latest times for all other
activities are computed by making a backwards pass from the final activity. The Latest Start
Time (LST) for any activity is obtained by subtracting its duration from its LFT. For each
activity, the LFT must be equal to the LET of the succeeding node. When an activity is,
however, followed by more than one activity, its LFT is equal to the earliest of the LSTs of
all following activities.
The results of the analysis are recorded directly on to the network. The information displayed
is the EET and LET for each node, as shown in Figure 2.12.
Figure 2.12
Results of analysis
Float
Along the critical path none of the activities will have any float; i.e. the EST for each activity
will equal the LST. If any one of those activities is delayed, the completion of the whole
project will be delayed.
In most projects there will be activities for which EST precedes LST, i.e. there is some float.
There are distinct categories of float, of which the following two are the most relevant.
• Total float is the difference between the EFT and LFT of any activity. It is a measure of the
time leeway available for that activity. It gives the time by which an activity’s finish time
can be delayed beyond its earliest finish time without affecting the completion time of
the project as a whole. However, using part or the entire total float of an activity will
generally impact on the float available for other activities.
Total Float = LFT-EFT = LFT – EST – duration
• The free float of an activity is the difference between its EFT time and the earliest of the
ESTs of all its directly following activities. The significance of free float is that it gives the
time by which the finish time of an activity can exceed the earliest finish time without
affecting any subsequent activity.
2.3 The precedence method
2.3.1 General
The Precedence method (also known as the Activity on Node or AoN method) includes the
same four steps as the Critical Path method. There are two fundamental differences between
the Precedence and Critical Path methods of network analysis.
• For precedence analysis the data relating to each activity is contained on the node
• The arrows connecting the activities can show a variety of logical relationships between
activities
The ability to overlap activities more easily using the Precedence method is a considerable
advantage. This method gives the same results as the Critical Path method with respect to
determining the critical path for the project, and the amount of float available for non-critical
activities (those activities not on the critical path). It is often easier to use for people with no
previous programming experience. The work breakdown is performed as per the Critical Path
method.
2.3.3 Preparing the logic network
The precedence diagram
A precedence diagram is based on representing the activities. Activity data is shown within a
box, and relates to the activity, as opposed to the node in the case of the CPM method.
Consequently, time data is referred to as ‘earliest start date’, ‘latest start date’ etc, rather than
‘earliest event time’, ‘latest event time’ etc. Refer to Figure 2.13.
Figure 2.13
Time data
Dependencies
The logical links between activities are known as dependencies. These are generally one of
the following three types as shown in Figure 2.14, i.e.
• Finish-to-start
• Start-to-finish
• Finish-to-finish
It is also possible, but rare, to have Start-to-finish dependencies.
The dependency may have a time component (shown in the following figure as ‘n’). This is
known as ‘lag’. It is also be just a logical constraint.
Figure 2.14
Start-to-finish dependencies
Note that in all cases the logical relationships between A or B and other activities may well
mean that other constraints control the actual start or finish of Activity B, not the dependency
between A and B.
Activity constraints
The timing of activities may be constrained by factors unrelated to logical relationships
between the activities. By default, analysis assumes that all activities start As Soon as
Possible (ASAP type). However, the start or end date for each activity can be controlled by
defining the constraint on it. If the activity constraint conflicts with the logical relationships
between activities, the activity constraint overrides the logical relationship.
Activity constraints may of the following types:
• ASAP As Soon As Possible
• ALAP As Late As Possible
• FNET Finish No Earlier Than
• SNET Start No Earlier Than
• FNLT Finish No Later Than
• SNLT Start No Later Than
• MFO Must Finish On
• MSO Must Start On
Milestones
Milestones are notional activities introduced into the network to mark particular points, say,
completion of each phase (e.g. completion of user definition), or achievement of a critical
series of events (e.g. award of a major contract). Milestones are activities with a defined
duration of ‘0’ time units. Milestones are typically used to enable higher level reporting and
monitoring of the schedule.
Be aware of the fact that a milestone could involve a time-consuming design review that
could take several days or weeks, in which case the milestone should be shown with an
appropriate duration, or else the preceding design review must be incorporated in the project
network diagram.
2.3.4 Analyzing the network
The method of determining ESD, LSD, EFD, and LFD is similar to that for the Critical Path
method, although account must be taken of all defined dependency lags as well as activity
constraints.
With this method it is necessary to create an artificial ‘Start’ and ‘Finish’ activity, both with
zero duration. ESD and EFD are calculated by a forward pass. Calculate the ESD for each
activity by consideration of preceding activities:
•
o EFDa plus n (dependency lag) equals ESDb.
The latest ESDb determined from all precedent paths is the ESDb to be used.
•
o EFDb equals ESDb plus duration.
Once the Finish task is reached, the LSDs and LFDs are calculated by a backward pass.
Calculate the LSD for each activity by consideration of succeeding activities plus
dependencies and durations.
•
o LFDa equals LSDb minus n (dependency lag)
The earliest LFDa determined is the LFDa to be used.
•
o LSDa equals LFDa minus duration
This is not as difficult as it sounds, but some practice is required to master the subtle aspects
of more complex networks.
Example
Activity A has no predecessors, and a duration of 4 time periods (e.g. months). Activity B has
no predecessors either, and a duration of 3 time periods. Activity C has a duration of 2 time
periods and can only start when A is finished. Activity D is expected to take 4 time periods,
and can only start when A and B is finished. The following figure shows the completed
network. Note the following:
• Each activity is labeled in the middle, and the duration is shown at the top, in the centre
field.
• The dummy activities ‘start’ and ‘finish’ have zero duration
Now the forward pass:
• The ‘start’ activity begins and ends at time zero (EST = EFT =0)
• Activity A can begin straight away (EST =0) and ends at time 4 (EFT =4)
• Activity B can also begin straight away (EST = 0) and ends at time 3 (EFT =0)
• C must wait for A. The earliest it can therefore start is at time 4, ending at 6 (EST = 4, EST
= 6)
• D must wait for both A and B to finish and can therefore not start before 4, ending at 8
(EST = 4, EFT = 8)
• The project is only finished when D is completed, at time 8
• The ‘finish’ dummy task has zero duration, and therefore starts and finishes at 8 (EST =
EFT =8)
Next follows the backward pass:
• The ‘finish’ task has zero duration, therefore its LST = LFT = 8
• Completion of C can now be delayed until time 8 (LFT = 8), so with a duration of 2 its LST
is now 6
• There is no slack in C, so its latest times are the same as its earliest times
• Since the earliest D can start is 4, B need not finish before then
• A must finish by 4, otherwise it will delay D
The floats are now calculated as LST minus EFT, or LFT minus EFT, i.e. the bottom number
minus the top number on either the left or the right side of each block. The critical path
interconnects all those blocks with zero slack. Remember that it is possible to have more than
one critical path, and that the critical path may change once the project is under way (see
Figure 2.15).
Figure 2.15
AoN analysis for given example
2.4 Presentation of the scheduled
network
Once the EST and LFT for every activity have been determined, the network can be drawn to
a time scale. This can be in the form of an arrow diagram (Critical Path method) or a bar
chart, or both. Allowable float may be shown. These representations are shown in Figure
2.16.
A time-scaled bar chart is known as a Gantt chart. Probably the most useful representation of
the network, particularly for managing the project, is a Gantt chart that contains all logic links
between activities.
Figure 2.16
Gantt chart
The following is the result of the AoN analysis, also referred to as a PERT chart (see Figure
2.17).
Figure 2.17
PERT chart
2.5 Analyzing resources requirements
2.5.1 Resource loading
A highly valuable feature of project network analysis is the ability to generate information
regarding the project resources associated with the scheduled activities. In many cases a
schedule produced without consideration of the resource implications is meaningless. When
reviewing construction schedules for instance, the associated resource data is always required
to ensure that the planned inputs are, in fact, practical.
Useful resource analysis requires that the demand for each category of resource be identified
separately for each activity. This process can be performed manually, but this can be time
consuming. Computer programs used for Critical Path analysis will generally produce charts
showing resource loading versus time. These are called resource histograms.
2.5.2 Resource leveling
In some project situations the total level of projected resource demands may not be a major
concern, because ample quantities of the required resources are available. It may, however,
be that the pattern of resource usage has undesirable features, such as frequent changes in the
amount of a particular manpower skill category required. Resource-leveling techniques are
useful in such situations because they provide a means of distributing resource usage over
time in order to minimize the variations in manpower, equipment or money expended. They
can also be used to determine whether peak resource requirements can be reduced without
increasing the project duration.
Those activities that have float are rescheduled within the available float to provide the
resource profile that is the most appropriate. The available float is, of course, determined by
the critical path analysis which has been performed with consideration of resource
requirements. During the resource leveling process the project duration is not allowed to
increase.
In the case of a single resource type the process of resource leveling can be conducted
manually for sizeable networks with the aid of magnetic scheduling boards, strips of paper or
other physical devices. However, in situations involving large networks with multiple
resource types the process becomes complicated, since actions taken to level one resource
may tend to produce imbalances for other resources. In such situations the process can really
only be done using a computer.
2.5.3 Constrained resource leveling
The process of resource leveling by rescheduling non-critical activities within the original
project duration may not be sufficient if the resource level for one or more resources is
limited. Where it is not possible to obtain all resource requirements equal to or less than the
available resource levels by this process, it is necessary to extend the project duration
sufficiently to allow the required resources to balance the available resources.
This process is called constrained resource leveling. Again, the process can really only be
done effectively using a computer, but generally all project scheduling software programs
have this feature (see Figure 2.18).
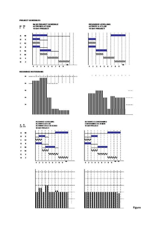
Figure
2.18
Resource analysis
2.6 Progress monitoring and control
2.6.1 Defining the plan
The effectiveness of monitoring depends on the skill with which the programmer has broken
down the project into defined parcels of work. Progress is assessed by measuring the
‘percentage complete’ of individual activities during the project. If it is not possible to assess
the true progress (percentage complete) of significant of significant activities, then reporting
inaccuracies will be the norm and deviations will be difficult to detect. To reduce or avoid
this uncertainty, each activity should be divided into stages, completion of which is both
useful and measurable. This breakdown should be finer rather than coarser. Such ‘activity
milestones’ must be agreed between the Project Manager and the person responsible for the
specific activity at the start of the project.
The importance of this approach can be demonstrated by reference to the two scheduling
scenarios shown in Figure 2.19. In each case progress can only be properly measured on
completion of each activity.
Figure 2.19
Two scheduling scenarios
Assume that in both scenarios Activity A is completed one month late, at which time the
problem is identified for the first time. Under Scenario I the effective rate of improvement
required to complete within the original project duration is 125% (i.e. 5 periods of work
outstanding with 4 periods available to complete). By comparison, in Scenario II the effective
rate of improvement required to complete within the original project duration is 150% (i.e. 3
periods of work outstanding with 2 periods available to complete).
The project manager has a much greater likelihood of achieving the project time objective in
the first scenario.
2.6.3 Monitoring
The project manager must be aware at all times of the actual deviance of the project from the
plan. Monitoring and reporting on progress must be regular and accurate. There is no
justification for the project manager not to know the precise status of the project.
The objective of the progress monitoring system is to:
• Identify areas of the project where performance is below expectations
• Provide information on such deviations from the project plan in sufficient time for
corrective actions to be usefully applied
Most of the available project scheduling computer software programs allow for progress to be
‘posted’, that is, for the current status of programmed activities to be updated on the
computer schedule. The network is then re-analyzed to take into account the new data, and
new completion dates for the remaining activities are computed. Generally the updated
schedule can be compared against an earlier baseline schedule and progress variance, both
historical and future, tabulated. This baseline facility is of extreme benefit when monitoring
performance.
A typical graphic progress report can provide the information shown in Figure 2.20 for each
activity in the schedule.
Figure 2.20
Progress reporting
The effectiveness of the reporting is a crucial element of the project control function. A
reporting format should be standardized for each project, and all progress reporting required
conforming to the specified format. To provide effective control the reporting must be:
• Timely
• Accurate
• Easily interpreted
A formal report should include the following information:
Random documents with unrelated
content Scribd suggests to you:
The Project Gutenberg eBook of Winnetou, the
Apache Knight
This ebook is for the use of anyone anywhere in the United
States and most other parts of the world at no cost and with
almost no restrictions whatsoever. You may copy it, give it away
or re-use it under the terms of the Project Gutenberg License
included with this ebook or online at www.gutenberg.org. If you
are not located in the United States, you will have to check the
laws of the country where you are located before using this
eBook.
Title: Winnetou, the Apache Knight
Author: Marion Ames Taggart
Karl May
Release date: March 23, 2018 [eBook #56823]
Language: English
Credits: Produced by MFR, Barry Abrahamsen, and the Online
Distributed Proofreading Team at http://www.pgdp.net
(This
file was produced from images generously made
available
by The Internet Archive)
*** START OF THE PROJECT GUTENBERG EBOOK WINNETOU, THE
APACHE KNIGHT ***
WINNETOU, THE APACHE KNIGHT.
COMPANION VOLUME.
The Treasure of Nugget Mountain. Edited by Marion Ames Taggart.
12mo, cloth, 85 cents.
JACK HILDRETH AMONG THE INDIANS.
WINNETOU,
THE APACHE KNIGHT.
ADAPTED FOR OUR BOYS AND GIRLS FROM C. MAY
BY
MARION AMES TAGGART.
❦
New York, Cincinnati, Chicago:
BENZIGER BROTHERS,
Printers to the Holy Apostolic See.
Copyright, 1898, by Benziger Brothers.
CONTENTS.
CHAPTER PAGE
I. Toward the Setting Sun, 7
II. My First Buffalo, 16
III. Wild Mustangs and Long-eared Nancy, 27
IV. A Grizzly and a Meeting, 39
V. The Speech of the Apache Chief, 52
VI. A Wish and Its Tragic Fulfilment, 60
VII. A Compact with the Kiowas, 68
VIII. Sam Hawkins Goes Spying, 82
IX. Waiting the Onslaught, 92
X. The Capture of Winnetou, 102
XI. A Difference of Opinion, 116
XII. A Duel, and Capture by the Apaches, 128
XIII. Nursed to Health for a Cruel Fate, 142
XIV. On Trial for Life, 155
XV. A Swim for Freedom, 168
XVI. Tangua’s Punishment, 180
XVII. The End of Rattler, 190
XVIII. Teaching Winnetou, 204
XIX. The Burial of Kleki-Petrah, 214
WINNETOU, THE APACHE KNIGHT.
CHAPTER I.
TOWARD THE SETTING SUN.
It is not necessary to say much about myself. First of all because
there is not very much to tell of a young fellow of twenty-three, and
then because I hope what I have done and seen will be more
interesting than I am, for, between you and me, I often find Jack
Hildreth a dull kind of person, especially on a rainy day when I have
to sit in the house alone with him.
When I was born three other children had preceded me in the
world, and my father’s dreamy blue eyes saw no way of providing
suitably for this superfluous fourth youngster. And then my uncle
John came forward and said: “Name the boy after me, and I’ll be
responsible for his future.” Now Uncle John was rich and unmarried,
and though my father could never get his mind down to anything
more practical than deciphering cuneiform inscriptions, even he saw
that this changed the unflattering prospects of his latest-born into
unusually smiling ones.
So I became Jack Hildreth secundus, and my uncle nobly fulfilled
his part of the contract. He kept me under his own eye, gave me a
horse before my legs were long enough to bestride him,
nevertheless expecting me to sit him fast, punished me well if I was
quarrelsome or domineering with other boys, yet punished me no
less surely if when a quarrel was forced upon me I showed the white
feather or failed to do my best to whip my enemy.
“Fear God, but fear no man. Never lie, or sneak, or truckle for
favor. Never betray a trust. Never be cruel to man or beast. Never
inflict pain deliberately, but never be afraid to meet it if you must. Be
kind, be honest, be daring. Be a man, and you will be a gentleman.”
This was my uncle’s simple code; and as I get older, and see more of
life, I am inclined to think there is none better.
My uncle sent me to the Jesuit college, and I went through as well
as I could, because he trusted me to do so. I did not set the college
world afire, but I stood fairly in my classes, and was first in athletics,
and my old soldier uncle cared for that with ill-concealed pride.
When I left the student’s life, and began to look about on real life
and wonder where to take hold of it, I was so restless and
overflowing with health and strength that I could not settle down to
anything, and the fever for life on the plains came upon me. I
longed to be off to the wild and woolly West—the wilder and woollier
the better—before I assumed the shackles of civilization forever.
“Go if you choose, Jack,” my uncle said. “Men are a better study
than books, after you’ve been grounded in the latter. Begin the study
in the primer of an aboriginal race, if you like; indeed it may be best.
There’s plenty of time to decide on your future, for, as you’re to be
my heir, there’s no pressing need of beginning labor.”
My uncle had the necessary influence to get me appointed as an
engineer with a party which was to survey for a railroad among the
mountains of New Mexico and Arizona—a position I was competent
to fill, as I had chosen civil engineering as my future profession, and
had studied it thoroughly.
I scarcely realized that I was going till I found myself in St. Louis,
where I was to meet the scouts of the party, who would take me
with them to join the surveyors at the scene of our labors. On the
night after my arrival I invited the senior scout, Sam Hawkins, to sup
with me, in order that I might make his acquaintance before starting
in the morning.
I do not know whether the Wild West Show was unconsciously in
my mind, but when Mr. Hawkins appeared at the appointed time I
certainly felt disappointed to see him clad in ordinary clothes and not
in the picturesque costume of Buffalo Bill, till I reflected that in St.
Louis even a famous Indian scout might condescend to look like
every-day mortals.
“So you’re the young tenderfoot; glad to make your acquaintance,
sir,” he said, and held out his hand, smiling at me from an
extraordinary face covered with a bushy beard of many moons’
growth and shadowed by a large nose a trifle awry, above which
twinkled a pair of sharp little eyes.
My guest surprised me not a little, after I had responded to his
greeting, by hanging his hat on the gas-fixture, and following it with
his hair.
“Don’t be shocked,” he said calmly, seeing, I suppose, that this
was unexpected. “You will excuse me, I hope, for the Pawnees have
taken my natural locks. It was a mighty queer feeling, but
fortunately I was able to stand it. I went to Tacoma and bought
myself a new scalp, and it cost me a roll of good dollars. It doesn’t
matter; the new hair is more convenient than the old, especially on a
warm day, for I never could hang my own wig up like that.”
He had a way of laughing inwardly, and his shoulders shook as he
spoke, though he made no sound.
“Can you shoot?” asked my queer companion suddenly.
“Fairly,” I said, not so much, I am afraid, because I was modest as
because I wanted to have the fun of letting him find out that I was a
crack marksman.
“And ride?”
“If I have to.”
“If you have to! Not as well as you shoot, then?”
“Pshaw! what is riding? The mounting is all that is hard; you can
hang on somehow if once you’re up.”
He looked at me to see whether I was joking or in earnest; but I
looked innocent, so he said: “There’s where you make a mistake.
What you should have said is that mounting is hard because you
have to do that yourself, while the horse attends to your getting off
again.”
“The horse won’t see to it in my case,” I said with confidence—
born of the fact that my kind uncle had accustomed me to clinging
to high-strung beasts before I had lost my milk-teeth.
“A kicking broncho is something to try the mettle of a tenderfoot,”
remarked Hawkins dryly.
I suppose you know what a tenderfoot is. He is one who speaks
good English, and wears gloves as if he were used to them. He also
has a prejudice in favor of nice handkerchiefs and well-kept finger-
nails; he may know a good deal about history, but he is liable to
mistake turkey-tracks for bear-prints, and, though he has learned
astronomy, he could never find his way by the stars. The tenderfoot
sticks his bowie-knife into his belt in such a manner that it runs into
his thigh when he bends; and when he builds a fire on the prairie he
makes it so big that it flames as high as a tree, yet feels surprised
that the Indians notice it. But many a tenderfoot is a daring, strong-
bodied and strong-hearted fellow; and though there was no doubt
that I was a tenderfoot fast enough, I hoped to convince Sam
Hawkins that I had some qualities requisite for success on the plains.
By the time our supper was over there was a very good
understanding established between me and the queer little man to
whose faithful love I was to owe so much. He was an eccentric
fellow, with a pretence of crustiness covering his big, true heart; but
it was not hard to read him by the law of contraries, and our mutual
liking dated from that night of meeting.
We set out in the early dawn of the following morning,
accompanied by the other two scouts, Dick Stone and Will Parker,
whom I then saw for the first time, and whom I learned to value
only less than Sam as the truest of good comrades. Our journey was
as direct and speedy as we could make it to the mountain region of
New Mexico, near the Apache Indian reservation, and I was
welcomed by my fellow-workers with a cordiality that gave rise to
hopes of pleasant relations with them which were never realized.
The party consisted of the head engineer, Bancroft, and three men
under him. With them were twelve men intended to serve as our
protectors, a sort of standing army, and for whom, as hardworking
pioneers, I, a new-comer, had considerable respect until I discovered
that they were men of the lowest moral standards.
Although I had entered the service only for experience, I was in
earnest and did my duty conscientiously; but I soon found out that
my colleagues were genuine adventurers, only after money, and
caring nothing for their work except as a means of getting it.
Bancroft was the most dishonest of all. He loved his bottle too well
and got private supplies for it from Santa Fé, and worked harder
with the brandy-flask than with his surveying instruments. Riggs,
Marcy, and Wheeler, the three surveyors, emulated Bancroft in this
unprofitable pursuit; and as I never touched a drop of liquor, I
naturally was the laborer, while the rest alternated between drinking
and sleeping off the effects.
It goes without saying that under such circumstances our work did
not progress rapidly, and at the end of the glorious autumn and
three months of labor we found ourselves with our task still
unaccomplished, while the section with which ours was to connect
was almost completed. Besides our workmen being such as they
were, we had to work in a region infested with Comanches, Kiowas,
and Apaches, who objected to a road through their territory, and we
had to be constantly on our guard, which made our progress still
slower.
Personally my lot was not a bed of roses, for the men disliked me,
and called me “tenderfoot” ten times a day, and took a special
delight in thwarting my will, especially Rattler, the leader of our so-
called guard, and as big a rascal as ever went unhanged. I durst not
speak to them in an authoritative manner, but had to manage them
as a wise woman manages a tyrannical husband without his
perceiving it.
But I had allies in Sam Hawkins and his two companion scouts,
Dick Stone and Will Parker. They were friendly to me, and held off
from the others, in whom Sam Hawkins especially managed to
inspire respect in spite of his droll peculiarities. There was an
alliance formed between us silently, which I can best describe as a
sort of feudal relation; he had taken me under his protection like a
man who did not need to ask if he were understood. I was the
“tenderfoot,” and he the experienced frontiersman whose words and
deeds had to be infallible to me. As often as he had time and
opportunity he gave me practical and theoretical instruction in
everything necessary to know and do in the Wild West; and though I
graduated from the high school later, so to speak, with Winnetou as
master, Sam Hawkins was my elementary teacher.
He made me expert with a lasso, and let me practise with that
useful weapon on his own little person and his horse. When I had
reached the point of catching them at every throw he was delighted,
and cried out: “Good, my young sir! That’s fine. But don’t be set up
with this praise. A teacher must encourage his stupid scholars when
they make a little progress. I have taught lots of young
frontiersmen, and they all learned much easier and understood me
far quicker than you have, but perhaps it’s possible that after eight
years or so you may not be called a tenderfoot. You can comfort
yourself with the thought that sometimes a stupid man gets on as
well as or even a little better than a clever one.”
He said this as if in sober earnest, and I received it in the same
way, knowing well how differently he meant it. We met at a distance
from the camp, where we could not be observed. Sam Hawkins
would have it so; and when I asked why, he said: “For mercy’s sake,
hide yourself, sir. You are so awkward that I should be ashamed to
have these fellows see you, so that’s why I keep you in the shade—
that’s the only reason; take it to heart.”
The consequence was that none of the company suspected that I
had any skill in weapons, or special muscular strength—an ignorance
that I was glad to foster.
One day I gave Rattler an order; it was some trifling thing, too
small for me to remember now, and he would have been willing to
carry it out had not his mood been rather uglier than usual.
“Do it yourself,” he growled. “You impudent greenhorn, I’ll show
you I’m as good as you are any day.”
“You’re drunk,” I said, looking him over and turning away.
“I’m drunk, am I?” he replied, glad of a chance to get at me,
whom he hated.
“Very drunk, or I’d knock you down,” I answered.
Rattler was a big, brawny fellow, and he stepped up in front of
me, rolling up his sleeves. “Who, me? Knock me down? Well, I guess
not, you blower, you kid, you greenhorn—”
He said no more. I hit him square in the face, and he dropped like
an ox. Fearing mischief from Rattler’s followers, and realizing that
now or never was my authority to be established, I drew my pistol,
crying: “If one of you puts his hand to a weapon I’ll shoot him on
the spot.” No one stirred. “Take your friend away, and let him sober
up, and when he comes to his senses he may be more respectful,” I
remarked.
As the men obeyed me, Wheeler, the surveyor, whom I thought
the best of the lot, stepped from the others and came up to me.
“That was a great blow,” he said. “Let me congratulate you. I never
saw such strength. They’ll call you Shatterhand out here.”
This seemed to suit little Sam exactly. He threw up his hat,
shouting joyously: “Shatterhand! Good! A tenderfoot, and already
won a name, and what a name! Shatterhand; Old Shatterhand. It’s
like Old Firehand, who is a frontiersman as strong as a bear. I tell
you, boy, it’s great, and you’re christened for good and all in the
Wild West.”
And so I found myself in a new and strange life, and beginning it
with a new name, which became as familiar and as dear to me as
my own.
CHAPTER II.
MY FIRST BUFFALO.
Three days after the little disciplining I had given Rattler, Mr. White,
the head engineer of the next section, rode over to us to report that
their work was finished, and to inquire what our prospects were for
making speedy connection. When he set out on his return he invited
Sam Hawkins and me to accompany him part of the way through the
valley.
We found him a very agreeable companion; and when we came to
the point where we were to turn back we shook hands cordially,
leaving him with regret. “There’s one thing I want to warn you of,”
Mr. White said in parting. “Look out for redskins.”
“Have you seen them?” Sam asked.
“Not them, but their tracks. Now is the time when the wild
mustangs and the buffaloes go southward, and the Indians follow in
the chase. The Kiowas are all right, for we arranged with them for
the road, but the Apaches and Comanches know nothing of it, and
we don’t dare let them see us. We have finished our part, and are
ready to leave this region; hurry up with yours, and do likewise.
Remember there’s danger, and good-by.”
Sam looked gravely after his retreating form, and pointed to a
footprint near the spring where we had paused for parting. “He’s
quite right to warn us of Indians,” he said.
“Do you mean this footprint was made by an Indian?”
Welcome to our website – the perfect destination for book lovers and
knowledge seekers. We believe that every book holds a new world,
offering opportunities for learning, discovery, and personal growth.
That’s why we are dedicated to bringing you a diverse collection of
books, ranging from classic literature and specialized publications to
self-development guides and children's books.
More than just a book-buying platform, we strive to be a bridge
connecting you with timeless cultural and intellectual values. With an
elegant, user-friendly interface and a smart search system, you can
quickly find the books that best suit your interests. Additionally,
our special promotions and home delivery services help you save time
and fully enjoy the joy of reading.
Join us on a journey of knowledge exploration, passion nurturing, and
personal growth every day!
ebookbell.com

Practical Project Management For Engineers And Technicians 51 Idc Technology

  • 1.
    Practical Project ManagementFor Engineers And Technicians 51 Idc Technology download https://ebookbell.com/product/practical-project-management-for- engineers-and-technicians-51-idc-technology-48038954 Explore and download more ebooks at ebookbell.com
  • 2.
    Here are somerecommended products that we believe you will be interested in. You can click the link to download. Project Management For Environmental Construction And Manufacturing Engineers A Manual For Putting Theory Into Practice 1st Edition Nolberto Munier Auth https://ebookbell.com/product/project-management-for-environmental- construction-and-manufacturing-engineers-a-manual-for-putting-theory- into-practice-1st-edition-nolberto-munier-auth-4231796 Risk Management For Project Managers Concepts And Practices Goncalves https://ebookbell.com/product/risk-management-for-project-managers- concepts-and-practices-goncalves-5846880 Practical Project Management For Engineers Illustrated Nehal Patel https://ebookbell.com/product/practical-project-management-for- engineers-illustrated-nehal-patel-33821034 Practical Project Management For Building And Construction Hans Ottosson https://ebookbell.com/product/practical-project-management-for- building-and-construction-hans-ottosson-4155804
  • 3.
    Practical Project ManagementFor Agile Nonprofits Approaches And Templates To Help You Manage With Limited Resources Karen R J White https://ebookbell.com/product/practical-project-management-for-agile- nonprofits-approaches-and-templates-to-help-you-manage-with-limited- resources-karen-r-j-white-46378268 Planning Scheduling Monitoring And Control The Practical Project Management Of Time Cost And Risk 1st Edition Apm https://ebookbell.com/product/planning-scheduling-monitoring-and- control-the-practical-project-management-of-time-cost-and-risk-1st- edition-apm-51880686 Project Management For Libraries A Practical Approach Robin A Buser https://ebookbell.com/product/project-management-for-libraries-a- practical-approach-robin-a-buser-46417650 Strategic Project Management Made Simple Practical Tools For Leaders And Teams 1st Edition Terry Schmidt https://ebookbell.com/product/strategic-project-management-made- simple-practical-tools-for-leaders-and-teams-1st-edition-terry- schmidt-2365848 Project Managementa Practical Guide For Success 50 Minute Books 2nd Marion E Haynes https://ebookbell.com/product/project-managementa-practical-guide-for- success-50-minute-books-2nd-marion-e-haynes-2091568
  • 5.
    Presents Practical Project Managementfor Engineers and Technicians Revision 5.1 Website: www.idc-online.com https://www.eit.edu.au/resources/practical-project-management-for-engineers- and-technicians/ E-mail: idc@idc-online.com
  • 6.
    Contents Chapter 1 –Fundamentals 1 1.1 Definitions 1 1.2 Project Management 2 1.3 Project Life Cycle 4 1.4 Project organizations 6 1.5 Project success 11 1.6 Project planning 13 Chapter 2 – Time Management 23 2.1 Project Planning 23 2.2 The critical path method 24 2.3 The precedence method 31 2.4 Presentation of the scheduled network 34 2.5 Analyzing resources requirements 35 2.6 Progress monitoring and control 37 2.7 Software selection 39 Chapter 3 – Cost Management 41 3.1 Cost estimating 41 3.2 Estimating methods 42 3.3 Forecast final cost 43 3.4 Documentation of estimating procedures 43
  • 7.
    3.5 Budgeting 43 3.6Financial control 44 3.7 Change control 45 3.8 Cost reporting 47 3.9 Value management 48 Chapter 4 – Risk Management 49 4.1 Definition of ‘risk’ 49 4.2 Risk management 50 4.3 Establishing the context 51 4.4 Risk identification 52 4.5 Risk analysis 53 4.6 Risk evaluation 58 4.7 Risk treatment 59 4.8 Monitoring and review 60 Chapter 5 – Quality Management 65 5.1 Quality and quality management basics 65 5.2 Quality assurance systems 71 5.3 ISO 9000:2005 Quality System guidelines 72 5.4 Project quality assurance 73 Chapter 6 – Integrated Time and Cost Management 77 6.1 Earned value analysis 77 6.2 EVM analysis illustrated 79
  • 8.
    6.3 Computer basedintegrated time and cost control 81 Chapter 7 – The Project Manager 83 7.1 Management and leadership 83 7.2 Cultural influences on project management 86 7.3 Authority and power of the project manager 90 7.4 Required attributes of the project manager 91 7.5 Essential functions of project managers 91 7.6 Selection of the project manager 92 Chapter 8 – Contractual Issues in Procurement Contracts 95 8.1 The Commonwealth legal system 96 8.2 Elements of contracts 97 8.3 Procurement strategy issues 101 8.4 Tendering 104 8.5 Vitiating factors 105 8.6 Termination of contracts 106 8.7 Time for completion and extensions of time 108 8.8 Remedies for breach of contract 111 8.9 Liquidated damages for late completion 112 8.10 Penalties and bonuses 112 Chapter 9 – Exercises 115 9.1 Work breakdown structures 115 9.2 Time management 115
  • 9.
    9.3 Cost management116 9.4 Integrated time and cost 121 9.5 Quality management 123 9.6 Risk analysis 125 9.7 Contractual issues 126 9.8 Project quality plan 128 Chapter 10 – Solutions 129 10.1 Work breakdown structures 129 10.2 Time management 134 10.3 Cost management 143 10.4 Integrated time and cost 145 10.5 Quality management 147 10.6 Risk analysis 147 10.7 Contractual issues 151 10.8 Project quality plan 152 Appendix A – Budgets, Variance Analysis, Cost Reporting and Value Management 155 Appendix B – Cost Estimation Methods 211 Appendix C – Reference Cases 325
  • 10.
    Chapter 1 –Fundamentals 1 Learning objectives The objective of this chapter is to: • Provide an introduction to the concept of project management. This includes fundamental definitions, basic project management functions, project life cycles and phases • Review the types and influences of alternative organization structures, with respect to both the organizations within which projects are undertaken, and the organization of the project team • Review the issues fundamental to successful project outcomes • Review the essential elements of effective project planning and control This overview will show how the specific planning and control techniques introduced during the course are incorporated into the project management function. These concepts are applicable to the management of projects of any type. While specific industries and certain types of projects will often require specialist knowledge to effectively plan and control the project, the principles outlined in this course will generally apply in all cases. The definitions and techniques presented here are generally accepted within the project management discipline. That is; their application is widespread, and there is consensus about their value. 1.1 Definitions 1.1.1 Project Performance of work by organisations may be said to involve either operations or projects, although there may be some overlap. Operations and projects share a number of characteristics in that they are: • Planned, executed, and controlled • Constrained by resource limitations • Performed by people Projects are, however, different from operations (such as maintenance or repair work) in that they are temporary endeavours undertaken to create a. unique product or service. Table 1.1 shows the differences and similarities between operational and project activities. Table 1.1 Operational vs. project activities OPERATIONAL ACTIVITYPROJECT ACTIVITY
  • 11.
    Planned Yes Yes ExecutedYes Yes Controlled Yes Yes Resources consumedYes Yes Organization Permanent Temporary Output Non-unique Unique The primary objectives of a project are commonly defined by reference to function, time, and cost. In every case there is risk attached to the achievement of the specified project objectives. 1.1.2 Program A program is a grouping of individual, but inter-dependent, projects that are managed in an integrated manner to achieve benefits that would not arise if each project were managed on its own. 1.1.3 Project management Project management is the application of specific knowledge, skills, tools, and techniques to plan, organise, initiate, and control the implementation of the project, in order to achieve the desired outcome(s) safely. Note that ‘Project Management’ is also used as a term to describe an organisational approach known as ‘Management by Projects’, in which elements of ongoing operations are treated as projects, and project management techniques are applied to these elements. 1.2 Project management 1.2.1 Elements Successful project management requires that planning and control for each project is properly integrated. Planning for the project will include the setting of functional objectives, cost budgets and schedules, and define all other delivery strategies. Successful planning requires the proper identification of the desired outputs and outcomes. Control means putting in place effective and timely monitoring, which allows deviations from the plan to be identified at an early stage. As a result they can be accommodated without prejudicing project objectives, and corrective action can be initiated as required. A project organisation appropriate to the task must be set up, and the duties and responsibilities of the individuals and groups within the organisation must be clearly defined and documented. The lack of clear definition of structure and responsibilities leads to problems with authority, communication, co-ordination and management.
  • 12.
    The project managementprocedures put in place for the project must ensure that monitoring is focused on the key factors that the results obtained by monitoring are timely as well as accurate, and that effective control systems are established and properly applied by the project team. Project management involves five basic processes: • Initiating: Undertaking the necessary actions to commence the project or project phase • Planning: Identifying objectives and devising effective means to achieve them • Executing: Co-ordinating the required resources to implement the plan • Controlling: Monitoring of the project and taking corrective action where necessary • Closing: Formalising the acceptance of the project or phase deliverables (the ‘handover’), and terminating the project in a controlled manner Within each of these processes there are a number of sub-process involved, all linked via their inputs and outputs. Each sub-process involves the application of skills and techniques to convert inputs to outputs. An example of this is the preparation of a project network diagram (output) by the application of the precedence method (technique) to the identified project activities (input). 1.2.2 The professional body of knowledge Project management has developed as a professional discipline since the 1950s. It is claimed, reasonably, that the military was the first institution that adopted planning and control processes that could be characterized as formal project management – specifically for the Normandy invasion, and subsequently for the Manhattan Project. Since the 1970s there has been a sustained development of project management as a professional discipline. There are professional project management bodies in most countries. In Australia the professional organisation is the Australian Institute for Project Management. In New Zealand it is the New Zealand Chapter of the Project Management Institute (PMI). The international body is the International Project Management Association. In defining the knowledge base for project management it is useful to refer to the structures adopted by the PMI in the USA and the Association for Project Management (APM) in the UK. Their web addresses are www.pmi.org and www.apm.org.uk respectively. Table 1.2 Project management body of knowledge PROJECT INTEGRATION MANAGEMENT • Project Plan development • Project Plan Execution • Overall Change Control PROJECT SCOPE MANAGEMENT • Initiation • Scope Planning • Scope Definition • Scope Verification PROJECT MANAGEMENT • Systems Management • Programme Management • Project Management • Project Lifecycle • Project Environment • Project Strategy • Project Appraisal • Project Success/Fail Criteria • Integration • Systems % Procedures • Close-Out
  • 13.
    • Scope ChangeControl PROJECT TIME MANAGEMENT • Activity Definition • Activity Sequencing • Activity Duration Estimating • Schedule Development • Schedule Control PROJECT COST MANAGEMENT • Resource Planning • Cost Estimating • Cost Budgeting • Cost Control PROJECT QUALITY MANAGEMENT • Quality Planning • Quality Assurance • Quality Control PROJECT HUMAN RESOURCE MANAGEMENT • Organisational Planning • Staff Acquisition • Team Development PROJECT COMMUNICATIONS MANAGEMENT • Communications Planning • Information Distribution • Performance Reporting • Administration Closure PROJECT RISK MANAGEMENT • Risk Identification • Risk Quantification • Risk Response Development • Risk Response Control PROJECT PROCUREMENT MANAGEMENT • Procurement Planning • Solicitation Planning • Solicitation • Post Project Appraisal ORGANISATION and PEOPLE • Organisation Design • Control and Co-operation • Communication • Leadership • Delegation • Team Building • Conflict Management • Negotiation • Management Development TECHNIQUES and PROCEDURES • Work Definitions • Planning • Scheduling • Estimating • Cost Control • Performance Measurement • Risk Management • Value Management • Change Control • Mobilisation GENERAL MANAGEMENT • Operational/Technical Management • Marketing and Sales • Finance • Information Technology • Law • Procurement • Quality • Safety • Industrial
  • 14.
    • Source Selection •Contract Administration • Contract Close-out IIA PMI PMBOK IIB APM PMBOK 1.3 Project life cycle 1.3.1 Lifecycle elements Projects proceed through a sequence of phases from concept to completion. Collectively, the separate phases comprise the project ‘life cycle’. There are only a limited number of generic lifecycles, though the breakdown of the phases within can be at differing levels of detail. The generic types are usually considered to include capital works, pharmaceutical, petrochemical, defence procurement, research and development, and software development. Consequently the initial starting point for managing the project is to define the type, and select an appropriate life cycle model as the planning framework. Figures 1.1 and 1.2 illustrate generic project life cycles for two project types. Figure 1.1 Project life cycle: capital works project
  • 15.
    Figure 1.2 Project lifecycle: defence acquisition project 1.3.2 Project phases Different industries generally have specific standard definitions for each phase, but a generic description of each phase identified in Figure 1.1 for a capital works project is: • Pre-feasibility: Identification of needs, and preliminary validation of concept options • Feasibility: Detailed investigation of feasibility, including preliminary brief, project estimate and investment analysis • Planning: Detailed definition of the project with respect to scope, organisation, budget, and schedule, together with definition of all control procedures • Implementation: The execution of the scoped project. The components of this phase will depend upon the nature of the project • Handover: Passing the facility into the control of the principal. This includes formal handover of the facilities, user training, operating and maintenance documentation etc. • Close out: Archiving of the project records, establishing appropriate performance evaluations, capturing and transferring lessons learned, and dissolving the project organisation Project phases share defined characteristics. • In every instance project management processes undertaken with a specific phase comprise initiating, planning, executing, controlling, and closing. • A project phase will have one or more tangible deliverables. Typical deliverables include work products such as feasibility studies, software functional specifications, product designs, completed structures, etc. • Outputs from a phase are typically the inputs to the succeeding phase Normally, deliverables from any phase require formal approval before the succeeding phase commences. This can be imposed through the scheduling of compulsory ‘milestones’ (e.g. design reviews) between phases.
  • 16.
    1.4 Project organizations 1.4.1General Where projects are set up within existing organisations, the structure and culture of the parent organisation has great influence on the project, and will be a deciding factor in whether or not there is a successful outcome. Where the project team is outside the sponsoring or client organisation, that organisation may exert significant influence on the project. The organisation of the project team also directly influences the probability of achieving a successful outcome. The benefits and disadvantages of the various options for project team organization need to be appreciated. 1.4.2 Projects within existing organizations Organisational structures have traditionally been defined within the spectrum from fully functional to fully project oriented. Between those extremes lie a range of matrix structures. The classic functional structure is a hierarchy, with staff grouped within specialist functions (e.g. mechanical engineering, accounting etc.), with each staff member reporting directly to one superior. Such organisations do manage projects that extend beyond the boundaries of a division, but within a division the scope of the project is considered only as it exists within the boundary of that division. Project issues and conflicts are resolved by the functional heads. In a project management organization the staff are grouped by project, and each group headed by a project manager who operates with a high level of authority and independence. Where departments co-exist with the project groups, these generally provide support services to the project groups. Matrix organisations may lie anywhere between the above. A matrix approach applies a project overlay to a functional structure. Characteristics of matrix organisations may be summarised as follows: • Weak matrix organizations are those closely aligned to a functional organization, but with projects set up across the functional boundaries under the auspices of a project co- ordinator. The project co-ordinator does not have the authority that would be vested in a project manager • A strong matrix organization would typically have a formal project group as one of the divisions. Project managers from within this group (often with the necessary support staff) manage projects where specialist input is provided from the various functional groups. The project managers have considerable authority, and the functional managers are more concerned with the technical standards achieved within their division than with the overall project execution • In a balanced matrix the project management is exercised by personnel within functional divisions who have been given the appropriate authority necessary to manage specific projects effectively The different organizational structures, and the corresponding project organization options, are identified in Figure 1.3. In many cases an organization may involve a mix of these structures at different levels within the hierarchy. For example, a functional organization will
  • 17.
    commonly set upa specific project team with a properly authorized project manager to handle a critical project. The influence of the organisation structure on various project parameters is illustrated in Figure 1.3. While a matrix approach may be seen as providing an inadequate compromise, in reality it is often the only realistic option to improve the performance of a functional organization. It does work, but there are some trade-offs. One factor critical to the effectiveness of the matrix structure is the authority vested in the person responsible for delivery of the project. A key predictor of project performance is the title of this person i.e. whether he/she is identified as a ‘project manager’, or something else. Briefly, the benefits and disadvantages of the matrix approach include (see Table 1.3), also see Table 1.4: Table 1.3 Matrix benefits and disadvantages Benefits Disadvantages All projects can access a strong technical baseDual reporting structures causes conflict Good focus on project objectives Competition between projects for resources Sharing of key people is efficient There may be duplication of effort Rapid responses to changes Management and project goals in conflict Individuals have a protected career path
  • 18.
    Figure 1.3 Project structureswithin organizations Table 1.4 Influences of organization Organization type Functional Weak matrix Balanced matrix Strong matrix Project Project mgr Authority Little or none Limited Low to moderate Moderate to high High to Total
  • 19.
    % Personnel assigned 100%on project Minimal 0-25% 15-60% 50-95% 85-100% Project mgr Role Part time Part time Full time Full time Full time Project mgr Title Co- ordinator/Leader Co- ordinator/Leader Project manager Project manager Project manager Project mgr Support staff Part time Part time Part time Part time Full time 1.4.3 Project organization The organisation of the project team is characterised by: • The principal or project sponsor. This is the beneficial owner of the project • The Project Control Group (PCG). In some cases this will be the principal, but when the principal is a large company it is required to identify and make accountable certain nominated individuals. The function of this group is to exercise approvals required by the project manager from time to time, controlling the funding to the project manager, and maintaining an overview of the project through the reporting process • The project manager. In a ‘perfect world’ the responsibilities, roles and authority of this person would be defined and documented • A project control officer or group, if this function is not undertaken by the project manager. This group of people is responsible for the acquisition and analysis of data relating to time, cost and quality, and to compare actual figures with the planned figures • The rest of the project team, which will vary in composition according to the project type, as well as specific project variables The project organization may be vertical or horizontal in nature, depending on the span of control chosen by the project manager. That choice will be a balance between available time and the desired level of involvement. Typical project structures for a capital works project are illustrated in Figure 1.4. These illustrate the difference between horizontal, intermediate, and vertical organisation structures. In general the horizontal structure is the best option, because the communication channels between those who execute the project work and the project manager are not subject to distortion. For instance, in the vertical organisation there is a far higher probability of the project manager receiving and acting upon inaccurate information. Such inaccuracies may arise unavoidably, by oversight, carelessly, or deliberately. The impacts can be severe. Reducing that opportunity, by shortening communication channels and removing the intermediate filters, improves the likelihood of achieving the desired project outcome. On large projects the desire to maintain a horizontal structure can be largely achieved by increasing the size of the ‘project manager’. This is typically done by augmenting the project manager with support staff that have direct management responsibilities for a portion of the project. Their interests are aligned with those of the project managers, and a higher reliability of information may be expected.
  • 20.
  • 21.
    1.5 Project success 1.5.1General Many projects qualify as successes, but we all have experience, anecdotal or otherwise, of projects that have gone severely wrong. Project failures exist within all industries. Even today, with the level of awareness for project management processes as well as advanced tools, there are spectacular failures. These occur even on very large projects where it is assumed that the investment in management is high. The consequences of failure can be significant to the sponsoring organisations as well as project personnel. A 1992 study of some 90 data processing projects, completed in the previous 12 years, provides a common profile of experience. The study identified the primary factors affecting the project outcomes as set out in the Table 1.5. These are listed by frequency and severity (ranked in descending order of impact) in respect of their negative impact on project success. This analysis provides an instructive basis for any organisation operating, or setting up, a project management methodology. Note that most of these issues are project management issues. Table 1.5 Project problem issues (O’Connor & Reinsborough, Int’l Journal of Project Management Vol 10 May 1992) Factor Frequency Severity Planning/monitoring 71% 1 Staffing 58% 2 Scope management 48% 3 Quality management 44% 4 Communications 42% 5 Technical 36% 7 Management 32% 8 User involvement 30% 6 Implementation issues 28% 9 Operations 24% 11 Organization 24% 10 Estimating 19% >12 1.5.2 Project success criteria It is a vital step, yet one commonly omitted, to define the project success criteria before commencing planning and delivery. In other words, define what needs to be achieved if the
  • 22.
    project implementation isto be considered a success. The project stakeholders must identify and rank the project success criteria. The ‘client’s’ preferences are obviously paramount in this process, and will consider performance right through the life of the product under development as well as the factors present only during the project. The objectives of cost, quality, and time are frequently identified as the definitive parameters of successful projects. These are a very useful measure in many capital works projects where they can be defined in advance, adopted as performance indicators during project implementation, provide a basis for evaluating trade-off decisions, and applied with relative simplicity. However, this approach to measuring project success is necessarily only a partial assessment in almost every situation. Projects completed within the targets for such constraints may be successfully completed from the perspective of the project implementation team, but are not necessarily from alternative viewpoints such as those of the sponsors or users. In some instances projects that are not completed within some of the time/cost objectives may still be considered a success. Common project success criteria include safety, loss of service, reputation, and relationships. The process of defining ranked success criteria provides surprising insights in many instances, and enhances project planning. During project implementation the project success criteria provide a meaningful basis for establishing project performance indicators to be incorporated within project progress reports. They are also helpful in making trade-offs, should that become necessary. 1.5.3 Critical success factors The results of a study of the critical success factors in projects, published in the June 1996 issue of the International Journal of Project Management, proposes a framework for determining critical success factors in projects. This study classified critical success factors applicable to all project types within four interrelated groups. These are set out in Table 1.6 with examples. Table 1.6 Critical success factors Factors related to: Example The specific project Project size, complexity, technology, number of interfaces The project manager and team Project management expertise, authority, systems, personality, resources The customer organization Customer commitment, response times, knowledge The external environment Environment: social, cultural, political, economic, financial, technical In practice, this is a particularly important and useful framework within which critical success factors can be identified. Where necessary, these can be managed proactively in order to maximise the probability of project success.
  • 23.
    A survey wasconducted amongst members of the PM, seeking to correlate project success criteria (specified as time, cost, quality, client satisfaction, and other) against the above factors. Projects included in the survey covered construction, information services, utilities, environmental and manufacturing. The study concluded that the critical project success factors primarily arose from the factors related to the project management and project team. For each industry the project manager’s performance and the technical skills of the project team were found to be critical to project outcomes. This confirms the conclusions from the 1992 study noted earlier. It is important to identify, within this framework, the specific critical success factors which may impact on the project. It is then the reponsibility of the project team to develop strategies to address these factors, either in the planning or in the implementation phase. 1.5.4 Critical project management issues The skills, knowledge, and personal attributes of the selected project manager have a critical impact on the success of the project. These critical skills encompass more than just technical and project management parameters. A key element in the success of the project manager is the effective application of non-technical skills (the so-called ‘soft’ skills); including leadership, team building, motivation, communication, conflict management, personnel development and negotiation. It is essential that the project manager, once appointed, has full control of the project within the limitations defined by the principal or project sponsor. All parties must be made aware of this single point of authority. The authority delegated to the project manager, and his/her effectiveness in exercising it, is critical. Project management structures, particularly if the project is one within an existing organisation and across functional boundaries, creates a complex web of formal and informal interactions. Lack of clarity in defining the authority of the project manager invariably leads to difficulties. The appointment of the project manager should ideally be made sufficiently early in the project to include management of the feasibility studies. The project manager should be appointed in order to undertake the project definition. If the project manager is not involved in the project definition phase, the outputs of this phase (project plan, control procedures, etc.) must be specifically signed off by the project manager when subsequently appointed to that role. 1.6 Project planning 1.6.1 The project quality plan “PROJECTS BADLY PLANNED ARE PROJECTS PLANNED TO FAIL” The project planning phase is critical to the effective implementation and control of the project and the basis for project success is established during this phase. The planning undertaken at this stage is the responsibility of the project manager. The primary output from this phase is the Project Quality Plan (PQP). The basic element required to properly define the PQP is the Work Breakdown Structure or WBS. The PQP comprises the following:
  • 24.
    • The PQPsign-off • The statement of project objectives • The project charter • The project plan • Project control procedures Note: here lies an inconvenience of terminology. The PQP is much more than a plan for incorporating quality into the project. There is a comnponent within the PQP that deals exclusively with quality issues per se. 1.6.2 PQP sign off, project objectives, project charter PQP sign-off This is a formal record of the agreement, signed by the Project Manager as well as the PCG of the PQP. It is confirmation of approval of the plan (e.g. what is to be done, when, who, at what cost etc) and the processes involved if the desired outcomes are to be achieved. Project objectives This is a statement defining the project objectives. The confirmed Project Success Criteria should be included, together with quantified measures. Unquantified objectives introduce a high degree of risk to the process, by reducing the ability to measure divergences at an early stage. Project charter Management’s commitment to internal projects (and hence the willingness to make available the required resources), as well as formal delegation of authorities to the project manager, are recorded here. 1.6.3 The project plan The Project Plan is the master plan for the execution of the project, and provides the framework from which the implementation will develop in a co-ordinated and controlled manner. The project scope definition, programme and budget are established at this time. These provide the baseline against which performance can be measured, and against which approved changes to the project baseline can be properly evaluated. The Project Plan comprises the following components: Scope definition A written scope statement that defines, in appropriate detail, the scope of every project component and identifies all significant project deliverables. In this context ‘scope’ includes features and functions of products and/or services, and work to be undertaken to deliver a conforming output Work breakdown structure A Work Breakdown Structure (WBS) is the breakdown of the project into the separate activities that can be considered entities for the purpose of task assignment and
  • 25.
    responsibilities. The WBSis generally presented in a product-oriented hierarchical breakdown. Successive levels include increasingly detailed descriptions of the project elements. The lowest level items are referred to as work packages and these are assignable to individuals within the project team, or to subcontractors. Orgonization breakdown structure The Organization Breakdown Structure (OBS) involves the definition of the project structure, setting out the parties and individuals involved in the execution of the project. It also formalizes the lines of communication and control that will be followed. Task assignment This is a list of the assignment tasks and responsibilities. All tasks and activities previously defined become the responsibility of specified parties. The WBS and OBS may be extended to define a ‘task assignment matrix’. Project schedule The preliminary master schedule for the project identifies the target milestones for the project, and the relative phasing of the components. Project budget In some cases a project budget is established during the feasibility study, without the benefit of adequate detail of the concepts evaluated. At that stage a maximum cost may have been established, because expenditure above that figure would cause the project not to be economically viable. Where such a constraint exists, and if the feasibility study has not reliably established the cost of the project, it will be necessary to further develop the design before committing to the project. Miscellaneous plans Additional plans may need to be documented here. These include, inter alia, consultations and risk management. Alternatively, a strategy for these can be defined in the section dealing with project controls. Documentation All of the above project elements must be documented in the Project Plan. Figure 1.5 shows the inter-relationships of all these entities.
  • 26.
    Figure 1.5 The projectplan 1.6.4 Project control procedures The ultimate success of the project will require that objectives for performance, budget and time, as defined within the Project Plan, are fulfilled. This will only be possible if the necessary monitoring and control systems are established prior to the commencement of project implementation. Monitoring and reporting should include project performance indicators derived from the Project Success Criteria. Planning should take into account the critical success factors, i.e. it should address any potential difficulties that may arise from them. Control procedures need to be established and documented for the management of the following parameters: Administration Procedures for the administration of the project should be defined. These should include issues such as: • Filing • Document management • Correspondence controls • Administrative requirements of the principal Scope The definition of scope change control systems which: • Define circumstances under which scope changes can arise • Control the process invoked when changes do arise
  • 27.
    • Provide forintegrated management of the consequences of the changes, i.e. time and cost implications Quality The definition of project-specific quality policies and standards, together with processes for ensuring that the required quality standards will be achieved. This is best achieved by reference to the application of, and responsibilities for, Inspection and Test Plans. Cost The definition of control procedures which should include: • Budget and commitment approvals for design, procurement and construction functions • The issue and control of delegated financial authority, to the project manager controlling consultants and contractors, as well as to consultants controlling contractors • Variation control for changes arising during project implementation • Value engineering • Cost monitoring, reporting and control systems and procedures Time The definition of strategies and procedures for scheduling, monitoring and reporting, likely to include: • Programming methods and strategies for master and detail programmes, i.e. definition of programming techniques as well as the frequency of review and updating • Progress monitoring and reporting systems and procedures. Risk The definition of objectives and procedures for putting in place effective risk management. Note that there may be a Risk Management activity schedule in the PQP. Communications This specifies all requirements for communications within the project and to the client/sponsor, and is likely to include: • Meetings – schedules and processes • Reporting requirements • Document distribution • Handover • Close out Procurement This defines strategies and procedures for tendering, as well as for the selection and management of consultants, suppliers and contractors.
  • 28.
    Tendering This covers documentedstandardized tendering procedures, tender documentation, and tender evaluation procedures for each contract type (i.e. service, procurement, construction etc). The tendering process is often a very sensitive one, especially if public funds are involved. Appropriate attention must be paid to ensure that the legal aspects of the process are properly addressed, and that the process is applied with demonstrable fairness. Recent changes in the laws applying to tendering should be noted. Consultants This refers to a standardized document dealing with the use of consultants. It should cover issues such as consultants’ briefs and terms of engagement. Consultants’ briefs would typically include the following items: • The scope of the work to be undertaken, and any limitations thereon • The type of services to be provided and the deliverables required (this will be defined within the WBS for the specific work package) • Approvals required from the client • Approvals to be exercised on behalf of the client • Special requirements of a management, technical or financial nature, for example quality assurance/quality control programmes, variation control procedures etc. • Reporting requirements • Project schedule requirements, for service delivery as well as implementation phases • Budgets for the proposed implementation deliverables or capital items • Basis of payment for services to be provided by the consultant Contracts The terms of engagement and conditions of contract should be based on standard documents where these exist. The level of documentation should be appropriate to the values of contracts let, and usually a number of options are required. 1.6.5 Work breakdown structures Developing the WBS is fundamental to effective planning and control for the simple reason that the derived work packages are the primary logical blocks for developing the project time lines, cost plans and allocation of responsibilities. Many people either miss out this key step in the project management process, or undertake the step informally without appreciating how important it is. Definition and terminology PMI PMBOK 1996 provides the following definition for a WBS: A deliverable oriented grouping of project elements which organizes and defines the total scope of the project: work not in the WBS is outside the scope of the project. Each descending level represents an increasingly detailed description of the project elements.
  • 29.
    The WBS iscreated by decomposition of the project, i.e. dividing the project into logical components, and subdividing those until the level of detail necessary to support the subsequent management processes (planning and controlling) is achieved. Terminology varies in respect of defining project elements. The use of the terms ‘project’, ‘phase’, ‘stage’, ‘work package’, ‘activity’, ‘element’, ‘task’, ‘sub-task’, ‘cost account’, and ‘deliverable’ is common: PMBOK terminology provides the following definitions: • A work package is a deliverable at the lowest level of the WBS • A work package can be divided into activities • An activity is an element of work performed; with associated resource requirements, durations and costs • An activity can be subdivided into tasks A properly developed WBS provides a basis for: • Defining and communicating the project scope • Identifying all components of work within the project • Identifying the necessary skills and resources required to undertake the project • Effective planning of the project (scheduling, resource planning, cost estimating) The WBS does not identify dependencies between the components, nor does it identify timing for the components. These are, for example shown in the PERT and Gantt charts (see next chapter). Creating the WBS There are many valid approaches for the decomposition of a project. In many cases there will be semi-standard WBS templates that can be used or adapted. The WBS should generally identify both the project management and project deliverables, and should always be defined to reflect the particular way in which the project is to be managed. The appropriate level of detail will vary between projects, and at different times within the same project. Future project phases may need less definition than the current phases – so the WBS may be progressively developed as the project develops – but this requires a flexible WBS structure to be selected in the first instance. In planning the WBS, criteria can be adopted to ensure that the level of detail is appropriate and consistent. Such criteria might include: • Are the packages of work in the WBS sensible? • Can any package be broken down further into sensible components? • Is each package the responsibility of only one organizational group? • Does every package represent a reasonable quantity of work? • Does any package constitute more than, say, 5% (or 10%) of the project? • Does any package constitute less than, say, 1% (or 2.5%) of the project? • Does every package provide the basis for effective cost estimating and scheduling?
  • 30.
    The following exampleshows the WBS of a project with geographical location at the second level (see Figure 1.6). Figure 1.6 WBS for restaurants project Alternatively, the various functions (design, build, etc) can be placed at the second level (see Figure 1.7).
  • 31.
    Figure 1.7 Alternative WBSfor restaurants project A third alternative shows a subsystem orientation (see Figure 1.8).
  • 32.
    Figure 1.8 Alternative WBSfor restaurants project A fourth alternative shows a logistics orientation as follows (see Figure 1.9):
  • 33.
    Figure 1.9 Alternative WBSfor restaurants project The WBS could also be drawn to show a timing orientation (see Figure 1.10).
  • 34.
    Figure 1.10 Alternative WBSfor restaurants project Note that ‘Design’ and ‘Execution’ in the WBS above are NOT work packages, they are just headings. ‘Start up’, however, is a work package since it is at the lowest level in its branch. The WBS could be broken down even further but the risk here is that the lowest-level packages could be too small. If ‘advertising’, for example, could be accomplished in 100 hours it might be a good idea to stop at that level. It could then be broken up into activities and tasks (and even sub-tasks); the duration and resource requirements would then be aggregated at the ‘advertising’ level, but not individually shown on the WBS. It is, of course, not necessary to use a sophisticated WBS package; a spreadsheet will work just fine as the following example shows (see Figure 1.11).
  • 35.
  • 36.
    Chapter 2 –Time Management 23 Learning objective The objective of this chapter is to provide a comprehensive introduction to the key elements of effective time management for projects. Time management of a project consists of: • Planning the project activities to a time scale (i.e. the project schedule) • Monitoring performance of the implementation phase • Comparing achieved performance with the project schedule • Taking corrective action to ensure planned objectives are most likely to be met The level of project planning that we propose requires a significant input of time and energy at the start of the project, but considerably reduces the content and cost of management effort during the project implementation phase. The preparation of the project schedule is only the first, albeit very important, step. Time management requires the monitoring and control functions to be carried out effectively so that the project schedule can be adhered to, or so that any variance from the plan does not prejudice project objectives. The planning, monitoring and controlling cycle should be in process continuously until the project is completed. The project schedule should be prepared with some knowledge of the monitoring system to be employed. The prerequisite for setting up the monitoring system is the identification of the key factors to be controlled. It may be, for example, the achievement of specific milestones or particular resource items. The project manager will have to establish the boundaries within which these factors need to be constrained. Performance monitoring must focus on outputs, not inputs; i.e. results not effort. 2.1 Project planning The principal aim of project management is to effectively utilize the available resources in order to achieve the planned objective(s). It is most unlikely, if not impossible, that this aim can be achieved in the absence of rational planning and scheduling of all component activities, together with the associated human, material and financial resources. Particular techniques have been developed which allow this essential planning to be undertaken. The most commonly used in the field of project management are known collectively as Project Network Techniques. These comprise: • The ‘Critical Path’ method (also known as the Activity on Arrow or AoA method) • The Precedence method (also known as the Activity on Node or AoN method) The Critical Path method may be the only one many people are familiar with since it is intuitively attractive. The Precedence method appears, at least from a superficial look at the comparable diagrams, to be more complex.
  • 37.
    However, the Precedencemethod is far more flexible. The Precedence method has the advantage of requiring no dummy activities to establish the correct logic for a project. Once the superficial complexity is overcome, you will find it to be the more powerful tool. Most computer-based project scheduling software packages use precedence logic and a proper understanding of the method enables the software to be used to best effect. Precedence network analyses are normally presented graphically, either as the network diagram itself, or as a time-scaled bar chart known as a Gantt chart. Critical path networks can be presented as time-scaled arrow diagrams, or as Gantt charts. All computer-based project scheduling software packages use Gantt presentations in addition to the network diagrams. Project analysis by either method involves the same four steps: • Defining the activities. For the initial project plan this may involve the breakdown of work packages used as the basic elements for the other components of the PQP • Preparation of the logic sequence to determine the relationships between the activities • Applying activity (time and resource) data for each activity • Analysis of the network The following is a brief introduction to these techniques. It will, however, be sufficient to allow you to fully apply both methods to analyze any situation. There is a vast amount of literature available on the subject that could be consulted for additional guidance. 2.2 The critical path method 2.2.1 Defining the activities The first step in project planning is to break the defined work packages into component activities, and sometimes tasks. It is crucial that this breakdown be carefully considered if the subsequent output is to be an effective project control tool. In establishing the activity list, the following principles may assist: • For an initial analysis the number of activities should be kept to the minimum required to be useful. This allows for the framework to be developed and checked for consistency before too much effort has been spent. If found necessary, the activities can be broken down further at a later stage if that is appropriate • For a definitive plan it is useful to include more detail so that the schedule in the PQP can be adopted as the baseline for schedule monitoring • Who else will be using the schedule, and for what purpose? • Is it an appropriate master plan, allowing elements to be defined in more detail as implementation continues? It is important to note that the word ‘operation’ or ‘activity’ is used in its widest sense. It will not only include actual physical events, derived form the work packages, but anything that may exercise a restraint on the completion of the project should be included as an activity. This will include actions such as obtain finance, obtain approval, place order, and represent passages of time with no actual activity, e.g. delivery period.
  • 38.
    2.2.2 Preparing thelogic network The arrow diagram In CPM, each activity is represented by an arrow. The tail of an arrow marks the start of the activity it represents, and the head marks its finish. The start and finish of activities are called events or nodes. Circles are drawn at the tails and heads of arrows to denote the nodes. The arrow diagram, or network, is drawn by joining the nodes together to show the logically correct sequence of activities. The arrows are not drawn to scale; their lengths are unimportant at this stage. Their directions show the flow of work. Here are a few simple illustrations. Figure 2.1 shows two sequential activities indicating that Activity B cannot be started until Activity A is completed. Figure 2.1 Network example Figure 2.2 shows that Activity E must await the completion of both Activities C and D before it can commence. Figure 2.2 Network example Figure 2.3 shows Activities G and H as concurrent activities that can start simultaneously once Activity F has been completed. Figure 2.3 Network example
  • 39.
    When developing thearrow diagram, three questions are asked of each activity in order to ensure its logical sequence: • What must precede it? • What has to follow it? • What can take place concurrently with it? The importance of these three questions cannot be overemphasized. Be aware of the ease of inadvertently introducing constraints by implication. Numbering of events All events are numbered to facilitate identification. This step is usually carried out after the whole arrow diagram has been drawn. Each activity is identified by two event numbers, e.g. as (i,j). The (i) number identifies the tail of the arrow, and the (j) number identifies the head of the arrow. The letters ‘i’ and ‘j’ are chosen at random and have no special significance, but it is advisable to use multiples of 5 or 10. The reason for this is the flexibility to introduce additional events into the network. For example, see Figure 2.4. Activity C is identified by (15, 20), D by (20, 25) and E by (20, 30). Note that for sequential activities, such as C and D, the (j) number of the preceding activity is the same as the (i) number of the following activity. Figure 2.4 Numbering of activities Dummies Each activity should have a unique identification. If two concurrent activities both start and finish at the same nodes they will be identified by the same (i, j) numbers, as shown in Figure 2.5 where both Activities M and N are (15, 30).
  • 40.
    Figure 2.5 Concurrent activities Inorder to keep the identification of activities unique, a dummy activity is introduced as shown in Figure 2.6. Activity M is still (15, 30) but Activity N is now (15, 25). Activity (25, 30) is a dummy. Dummy activities are always represented by a dotted arrow. Figure 2.6 Dummy activities Another important use for dummies is to keep the sequence logic correct in a group of arrows where not all preceding and following activities are interdependent. Suppose we have a situation where starting Activity D depends on the completion of both Activities A and B, and starting Activity C depends only on completion of Activity A. The logic shown in Figure 2.7 is incorrect. It introduces a non-existent restraint, namely that Activity C cannot start until Activity B is complete.
  • 41.
    Figure 2.7 Incorrect logic Thecorrect logic requires the introduction of a dummy activity. Refer to Figure 2.8. Figure 2.8 Correct logic Overlapping activities Unlike the conventional bar chart, no overlapping of activities is permitted in the arrow diagram. If overlapping exists between activities, then these activities must be broken down further to provide sequential activities that may subsequently be analyzed. Figure 2.9 shows two sequential activities, indicating that Activity 2 starts after all of Activity 1 is complete. Figure 2.9 Non-overlapping activities For a small job, this is probably the case. For a large job, however, the two activities may overlap to some extent. This is shown by breaking both activities down into two activities, as shown in Figure 2.10.
  • 42.
    Figure 2.10 Overlapping activities 2.2.3Adding activity data The way in which the necessary data is included on the network diagram is very simple. See Figure 2.11. The required information is added for each activity in the network. Once all necessary activities are included, the network can be analyzed. Figure 2.11 Activity data 2.2.4 Analyzing the network This analysis comprises the following actions: • adding durations for each of the activities • adding resources for each of the activities (optional) • analyzing the network to determine the critical path (based on the activity durations) Adding activity durations Durations will normally be fixed by the scheduler allocating a fixed resource for a given time. Note, however, that some computer programs calculate the duration by consideration the work content of the activity (for example, 45 man-days) and the available resources. Time may be expressed in any convenient unit; for example, hours, calendar days, working days, weeks, months, etc.
  • 43.
    Durations may bedetermined from calculations, experience, and advice. Estimates should be made on the basis of normal, reasonable, circumstances according to judgment. For a given quantity of physical work, the duration will depend on the resources allocated. For physical activities the duration will depend on the quantity of work and the resource to be applied, the efficiency of the resource, location etc. For outside activities an allowance must be made for adverse weather. Adding resources Resources must be included where they are likely to be a limitation either within the project itself, or where the project competes with others for resources from a pool. See paragraph 6.0. The critical path The purpose of analyzing the network is to determine the critical path, and thus the total project duration. Once the network has been drawn there will, generally, be more than one path between the start and finish. The project duration for each path is calculated very simply. By adding the durations for all the activities that make up the path, various total durations will be determined. The longest of these is the time required for completion of the project. The path associated with it is, by definition, the critical path. In many cases the critical path is obvious, or can be located by considering only a few paths, and this should be determined as a first step. If the total project duration is too long, review the planning (for example by reviewing the assumed sequencing, constraints, overlap opportunities, resources, etc) to reduce the critical path before carrying out the detailed calculations for the whole schedule. Earliest start time and earliest finish time The Earliest Start Time (EST) of any activity means the earliest possible start time of the activity as determined by the analysis. The EST of any activity is the Earliest Event Time (EET) of the preceding node, i.e.: ESTij =EETi The Earliest Finish Time of an activity is simply the sum of its earliest start time plus its duration, i.e.: EFTij = ESTij plus duration But note that: EFTij = EETj The EST of an activity is equal to the EFT of the activity directly preceding it – if there is only a single precedent activity. If an activity is preceded by more than one activity, its EST is then the latest of the EFTs of all preceding activities. The logic of this should be clear: an activity can only start when all preceding activities have been completed. The latest of these to finish must govern the start of the subject activity.
  • 44.
    ESTs are calculatedby a forward pass, working from the first to the last activities along all paths. This analysis determines the EFT for the last node, and this is the minimum time for completing all activities included in the network. Latest finish time and latest start time The Latest Finish Time (LFT) of any activity means the latest possible time it must be finished if the completion time of the whole project is not to be delayed. The LFT for an activity is the Latest Event Time (LET) of the succeeding node, i.e.: LFTij =LETj The Latest Start Time of an activity is simply the sum of its latest finish time less its duration, i.e.: LSTij = LFTij minus duration But also note that: LSTij = equals LETi The LFT for the final activity is taken to be the same as its EFT. The latest times for all other activities are computed by making a backwards pass from the final activity. The Latest Start Time (LST) for any activity is obtained by subtracting its duration from its LFT. For each activity, the LFT must be equal to the LET of the succeeding node. When an activity is, however, followed by more than one activity, its LFT is equal to the earliest of the LSTs of all following activities. The results of the analysis are recorded directly on to the network. The information displayed is the EET and LET for each node, as shown in Figure 2.12. Figure 2.12 Results of analysis Float Along the critical path none of the activities will have any float; i.e. the EST for each activity will equal the LST. If any one of those activities is delayed, the completion of the whole project will be delayed.
  • 45.
    In most projectsthere will be activities for which EST precedes LST, i.e. there is some float. There are distinct categories of float, of which the following two are the most relevant. • Total float is the difference between the EFT and LFT of any activity. It is a measure of the time leeway available for that activity. It gives the time by which an activity’s finish time can be delayed beyond its earliest finish time without affecting the completion time of the project as a whole. However, using part or the entire total float of an activity will generally impact on the float available for other activities. Total Float = LFT-EFT = LFT – EST – duration • The free float of an activity is the difference between its EFT time and the earliest of the ESTs of all its directly following activities. The significance of free float is that it gives the time by which the finish time of an activity can exceed the earliest finish time without affecting any subsequent activity. 2.3 The precedence method 2.3.1 General The Precedence method (also known as the Activity on Node or AoN method) includes the same four steps as the Critical Path method. There are two fundamental differences between the Precedence and Critical Path methods of network analysis. • For precedence analysis the data relating to each activity is contained on the node • The arrows connecting the activities can show a variety of logical relationships between activities The ability to overlap activities more easily using the Precedence method is a considerable advantage. This method gives the same results as the Critical Path method with respect to determining the critical path for the project, and the amount of float available for non-critical activities (those activities not on the critical path). It is often easier to use for people with no previous programming experience. The work breakdown is performed as per the Critical Path method. 2.3.3 Preparing the logic network The precedence diagram A precedence diagram is based on representing the activities. Activity data is shown within a box, and relates to the activity, as opposed to the node in the case of the CPM method. Consequently, time data is referred to as ‘earliest start date’, ‘latest start date’ etc, rather than ‘earliest event time’, ‘latest event time’ etc. Refer to Figure 2.13. Figure 2.13 Time data
  • 46.
    Dependencies The logical linksbetween activities are known as dependencies. These are generally one of the following three types as shown in Figure 2.14, i.e. • Finish-to-start • Start-to-finish • Finish-to-finish It is also possible, but rare, to have Start-to-finish dependencies. The dependency may have a time component (shown in the following figure as ‘n’). This is known as ‘lag’. It is also be just a logical constraint. Figure 2.14 Start-to-finish dependencies Note that in all cases the logical relationships between A or B and other activities may well mean that other constraints control the actual start or finish of Activity B, not the dependency between A and B. Activity constraints The timing of activities may be constrained by factors unrelated to logical relationships between the activities. By default, analysis assumes that all activities start As Soon as Possible (ASAP type). However, the start or end date for each activity can be controlled by defining the constraint on it. If the activity constraint conflicts with the logical relationships between activities, the activity constraint overrides the logical relationship. Activity constraints may of the following types: • ASAP As Soon As Possible • ALAP As Late As Possible • FNET Finish No Earlier Than • SNET Start No Earlier Than • FNLT Finish No Later Than • SNLT Start No Later Than • MFO Must Finish On
  • 47.
    • MSO MustStart On Milestones Milestones are notional activities introduced into the network to mark particular points, say, completion of each phase (e.g. completion of user definition), or achievement of a critical series of events (e.g. award of a major contract). Milestones are activities with a defined duration of ‘0’ time units. Milestones are typically used to enable higher level reporting and monitoring of the schedule. Be aware of the fact that a milestone could involve a time-consuming design review that could take several days or weeks, in which case the milestone should be shown with an appropriate duration, or else the preceding design review must be incorporated in the project network diagram. 2.3.4 Analyzing the network The method of determining ESD, LSD, EFD, and LFD is similar to that for the Critical Path method, although account must be taken of all defined dependency lags as well as activity constraints. With this method it is necessary to create an artificial ‘Start’ and ‘Finish’ activity, both with zero duration. ESD and EFD are calculated by a forward pass. Calculate the ESD for each activity by consideration of preceding activities: • o EFDa plus n (dependency lag) equals ESDb. The latest ESDb determined from all precedent paths is the ESDb to be used. • o EFDb equals ESDb plus duration. Once the Finish task is reached, the LSDs and LFDs are calculated by a backward pass. Calculate the LSD for each activity by consideration of succeeding activities plus dependencies and durations. • o LFDa equals LSDb minus n (dependency lag) The earliest LFDa determined is the LFDa to be used. • o LSDa equals LFDa minus duration This is not as difficult as it sounds, but some practice is required to master the subtle aspects of more complex networks. Example
  • 48.
    Activity A hasno predecessors, and a duration of 4 time periods (e.g. months). Activity B has no predecessors either, and a duration of 3 time periods. Activity C has a duration of 2 time periods and can only start when A is finished. Activity D is expected to take 4 time periods, and can only start when A and B is finished. The following figure shows the completed network. Note the following: • Each activity is labeled in the middle, and the duration is shown at the top, in the centre field. • The dummy activities ‘start’ and ‘finish’ have zero duration Now the forward pass: • The ‘start’ activity begins and ends at time zero (EST = EFT =0) • Activity A can begin straight away (EST =0) and ends at time 4 (EFT =4) • Activity B can also begin straight away (EST = 0) and ends at time 3 (EFT =0) • C must wait for A. The earliest it can therefore start is at time 4, ending at 6 (EST = 4, EST = 6) • D must wait for both A and B to finish and can therefore not start before 4, ending at 8 (EST = 4, EFT = 8) • The project is only finished when D is completed, at time 8 • The ‘finish’ dummy task has zero duration, and therefore starts and finishes at 8 (EST = EFT =8) Next follows the backward pass: • The ‘finish’ task has zero duration, therefore its LST = LFT = 8 • Completion of C can now be delayed until time 8 (LFT = 8), so with a duration of 2 its LST is now 6 • There is no slack in C, so its latest times are the same as its earliest times • Since the earliest D can start is 4, B need not finish before then • A must finish by 4, otherwise it will delay D The floats are now calculated as LST minus EFT, or LFT minus EFT, i.e. the bottom number minus the top number on either the left or the right side of each block. The critical path interconnects all those blocks with zero slack. Remember that it is possible to have more than one critical path, and that the critical path may change once the project is under way (see Figure 2.15).
  • 49.
    Figure 2.15 AoN analysisfor given example 2.4 Presentation of the scheduled network Once the EST and LFT for every activity have been determined, the network can be drawn to a time scale. This can be in the form of an arrow diagram (Critical Path method) or a bar chart, or both. Allowable float may be shown. These representations are shown in Figure 2.16. A time-scaled bar chart is known as a Gantt chart. Probably the most useful representation of the network, particularly for managing the project, is a Gantt chart that contains all logic links between activities. Figure 2.16 Gantt chart
  • 50.
    The following isthe result of the AoN analysis, also referred to as a PERT chart (see Figure 2.17). Figure 2.17 PERT chart 2.5 Analyzing resources requirements 2.5.1 Resource loading A highly valuable feature of project network analysis is the ability to generate information regarding the project resources associated with the scheduled activities. In many cases a schedule produced without consideration of the resource implications is meaningless. When reviewing construction schedules for instance, the associated resource data is always required to ensure that the planned inputs are, in fact, practical. Useful resource analysis requires that the demand for each category of resource be identified separately for each activity. This process can be performed manually, but this can be time consuming. Computer programs used for Critical Path analysis will generally produce charts showing resource loading versus time. These are called resource histograms. 2.5.2 Resource leveling In some project situations the total level of projected resource demands may not be a major concern, because ample quantities of the required resources are available. It may, however, be that the pattern of resource usage has undesirable features, such as frequent changes in the amount of a particular manpower skill category required. Resource-leveling techniques are useful in such situations because they provide a means of distributing resource usage over time in order to minimize the variations in manpower, equipment or money expended. They can also be used to determine whether peak resource requirements can be reduced without increasing the project duration. Those activities that have float are rescheduled within the available float to provide the resource profile that is the most appropriate. The available float is, of course, determined by the critical path analysis which has been performed with consideration of resource requirements. During the resource leveling process the project duration is not allowed to increase.
  • 51.
    In the caseof a single resource type the process of resource leveling can be conducted manually for sizeable networks with the aid of magnetic scheduling boards, strips of paper or other physical devices. However, in situations involving large networks with multiple resource types the process becomes complicated, since actions taken to level one resource may tend to produce imbalances for other resources. In such situations the process can really only be done using a computer. 2.5.3 Constrained resource leveling The process of resource leveling by rescheduling non-critical activities within the original project duration may not be sufficient if the resource level for one or more resources is limited. Where it is not possible to obtain all resource requirements equal to or less than the available resource levels by this process, it is necessary to extend the project duration sufficiently to allow the required resources to balance the available resources. This process is called constrained resource leveling. Again, the process can really only be done effectively using a computer, but generally all project scheduling software programs have this feature (see Figure 2.18).
  • 52.
  • 53.
    2.18 Resource analysis 2.6 Progressmonitoring and control 2.6.1 Defining the plan The effectiveness of monitoring depends on the skill with which the programmer has broken down the project into defined parcels of work. Progress is assessed by measuring the ‘percentage complete’ of individual activities during the project. If it is not possible to assess the true progress (percentage complete) of significant of significant activities, then reporting inaccuracies will be the norm and deviations will be difficult to detect. To reduce or avoid this uncertainty, each activity should be divided into stages, completion of which is both useful and measurable. This breakdown should be finer rather than coarser. Such ‘activity milestones’ must be agreed between the Project Manager and the person responsible for the specific activity at the start of the project. The importance of this approach can be demonstrated by reference to the two scheduling scenarios shown in Figure 2.19. In each case progress can only be properly measured on completion of each activity. Figure 2.19 Two scheduling scenarios Assume that in both scenarios Activity A is completed one month late, at which time the problem is identified for the first time. Under Scenario I the effective rate of improvement required to complete within the original project duration is 125% (i.e. 5 periods of work outstanding with 4 periods available to complete). By comparison, in Scenario II the effective rate of improvement required to complete within the original project duration is 150% (i.e. 3 periods of work outstanding with 2 periods available to complete). The project manager has a much greater likelihood of achieving the project time objective in the first scenario.
  • 54.
    2.6.3 Monitoring The projectmanager must be aware at all times of the actual deviance of the project from the plan. Monitoring and reporting on progress must be regular and accurate. There is no justification for the project manager not to know the precise status of the project. The objective of the progress monitoring system is to: • Identify areas of the project where performance is below expectations • Provide information on such deviations from the project plan in sufficient time for corrective actions to be usefully applied Most of the available project scheduling computer software programs allow for progress to be ‘posted’, that is, for the current status of programmed activities to be updated on the computer schedule. The network is then re-analyzed to take into account the new data, and new completion dates for the remaining activities are computed. Generally the updated schedule can be compared against an earlier baseline schedule and progress variance, both historical and future, tabulated. This baseline facility is of extreme benefit when monitoring performance. A typical graphic progress report can provide the information shown in Figure 2.20 for each activity in the schedule. Figure 2.20 Progress reporting The effectiveness of the reporting is a crucial element of the project control function. A reporting format should be standardized for each project, and all progress reporting required conforming to the specified format. To provide effective control the reporting must be: • Timely • Accurate • Easily interpreted A formal report should include the following information:
  • 55.
    Random documents withunrelated content Scribd suggests to you:
  • 59.
    The Project GutenbergeBook of Winnetou, the Apache Knight
  • 60.
    This ebook isfor the use of anyone anywhere in the United States and most other parts of the world at no cost and with almost no restrictions whatsoever. You may copy it, give it away or re-use it under the terms of the Project Gutenberg License included with this ebook or online at www.gutenberg.org. If you are not located in the United States, you will have to check the laws of the country where you are located before using this eBook. Title: Winnetou, the Apache Knight Author: Marion Ames Taggart Karl May Release date: March 23, 2018 [eBook #56823] Language: English Credits: Produced by MFR, Barry Abrahamsen, and the Online Distributed Proofreading Team at http://www.pgdp.net (This file was produced from images generously made available by The Internet Archive) *** START OF THE PROJECT GUTENBERG EBOOK WINNETOU, THE APACHE KNIGHT ***
  • 63.
  • 64.
    COMPANION VOLUME. The Treasureof Nugget Mountain. Edited by Marion Ames Taggart. 12mo, cloth, 85 cents.
  • 65.
    JACK HILDRETH AMONGTHE INDIANS. WINNETOU, THE APACHE KNIGHT. ADAPTED FOR OUR BOYS AND GIRLS FROM C. MAY BY MARION AMES TAGGART. ❦ New York, Cincinnati, Chicago: BENZIGER BROTHERS, Printers to the Holy Apostolic See.
  • 66.
    Copyright, 1898, byBenziger Brothers.
  • 68.
    CONTENTS. CHAPTER PAGE I. Towardthe Setting Sun, 7 II. My First Buffalo, 16 III. Wild Mustangs and Long-eared Nancy, 27 IV. A Grizzly and a Meeting, 39 V. The Speech of the Apache Chief, 52 VI. A Wish and Its Tragic Fulfilment, 60 VII. A Compact with the Kiowas, 68 VIII. Sam Hawkins Goes Spying, 82 IX. Waiting the Onslaught, 92 X. The Capture of Winnetou, 102 XI. A Difference of Opinion, 116 XII. A Duel, and Capture by the Apaches, 128 XIII. Nursed to Health for a Cruel Fate, 142 XIV. On Trial for Life, 155 XV. A Swim for Freedom, 168 XVI. Tangua’s Punishment, 180 XVII. The End of Rattler, 190 XVIII. Teaching Winnetou, 204 XIX. The Burial of Kleki-Petrah, 214
  • 69.
  • 70.
    CHAPTER I. TOWARD THESETTING SUN. It is not necessary to say much about myself. First of all because there is not very much to tell of a young fellow of twenty-three, and then because I hope what I have done and seen will be more interesting than I am, for, between you and me, I often find Jack Hildreth a dull kind of person, especially on a rainy day when I have to sit in the house alone with him. When I was born three other children had preceded me in the world, and my father’s dreamy blue eyes saw no way of providing suitably for this superfluous fourth youngster. And then my uncle John came forward and said: “Name the boy after me, and I’ll be responsible for his future.” Now Uncle John was rich and unmarried, and though my father could never get his mind down to anything more practical than deciphering cuneiform inscriptions, even he saw that this changed the unflattering prospects of his latest-born into unusually smiling ones. So I became Jack Hildreth secundus, and my uncle nobly fulfilled his part of the contract. He kept me under his own eye, gave me a horse before my legs were long enough to bestride him, nevertheless expecting me to sit him fast, punished me well if I was quarrelsome or domineering with other boys, yet punished me no less surely if when a quarrel was forced upon me I showed the white feather or failed to do my best to whip my enemy.
  • 71.
    “Fear God, butfear no man. Never lie, or sneak, or truckle for favor. Never betray a trust. Never be cruel to man or beast. Never inflict pain deliberately, but never be afraid to meet it if you must. Be kind, be honest, be daring. Be a man, and you will be a gentleman.” This was my uncle’s simple code; and as I get older, and see more of life, I am inclined to think there is none better. My uncle sent me to the Jesuit college, and I went through as well as I could, because he trusted me to do so. I did not set the college world afire, but I stood fairly in my classes, and was first in athletics, and my old soldier uncle cared for that with ill-concealed pride. When I left the student’s life, and began to look about on real life and wonder where to take hold of it, I was so restless and overflowing with health and strength that I could not settle down to anything, and the fever for life on the plains came upon me. I longed to be off to the wild and woolly West—the wilder and woollier the better—before I assumed the shackles of civilization forever. “Go if you choose, Jack,” my uncle said. “Men are a better study than books, after you’ve been grounded in the latter. Begin the study in the primer of an aboriginal race, if you like; indeed it may be best. There’s plenty of time to decide on your future, for, as you’re to be my heir, there’s no pressing need of beginning labor.” My uncle had the necessary influence to get me appointed as an engineer with a party which was to survey for a railroad among the mountains of New Mexico and Arizona—a position I was competent to fill, as I had chosen civil engineering as my future profession, and had studied it thoroughly. I scarcely realized that I was going till I found myself in St. Louis, where I was to meet the scouts of the party, who would take me with them to join the surveyors at the scene of our labors. On the night after my arrival I invited the senior scout, Sam Hawkins, to sup with me, in order that I might make his acquaintance before starting in the morning.
  • 72.
    I do notknow whether the Wild West Show was unconsciously in my mind, but when Mr. Hawkins appeared at the appointed time I certainly felt disappointed to see him clad in ordinary clothes and not in the picturesque costume of Buffalo Bill, till I reflected that in St. Louis even a famous Indian scout might condescend to look like every-day mortals. “So you’re the young tenderfoot; glad to make your acquaintance, sir,” he said, and held out his hand, smiling at me from an extraordinary face covered with a bushy beard of many moons’ growth and shadowed by a large nose a trifle awry, above which twinkled a pair of sharp little eyes. My guest surprised me not a little, after I had responded to his greeting, by hanging his hat on the gas-fixture, and following it with his hair. “Don’t be shocked,” he said calmly, seeing, I suppose, that this was unexpected. “You will excuse me, I hope, for the Pawnees have taken my natural locks. It was a mighty queer feeling, but fortunately I was able to stand it. I went to Tacoma and bought myself a new scalp, and it cost me a roll of good dollars. It doesn’t matter; the new hair is more convenient than the old, especially on a warm day, for I never could hang my own wig up like that.” He had a way of laughing inwardly, and his shoulders shook as he spoke, though he made no sound. “Can you shoot?” asked my queer companion suddenly. “Fairly,” I said, not so much, I am afraid, because I was modest as because I wanted to have the fun of letting him find out that I was a crack marksman. “And ride?” “If I have to.” “If you have to! Not as well as you shoot, then?”
  • 73.
    “Pshaw! what isriding? The mounting is all that is hard; you can hang on somehow if once you’re up.” He looked at me to see whether I was joking or in earnest; but I looked innocent, so he said: “There’s where you make a mistake. What you should have said is that mounting is hard because you have to do that yourself, while the horse attends to your getting off again.” “The horse won’t see to it in my case,” I said with confidence— born of the fact that my kind uncle had accustomed me to clinging to high-strung beasts before I had lost my milk-teeth. “A kicking broncho is something to try the mettle of a tenderfoot,” remarked Hawkins dryly. I suppose you know what a tenderfoot is. He is one who speaks good English, and wears gloves as if he were used to them. He also has a prejudice in favor of nice handkerchiefs and well-kept finger- nails; he may know a good deal about history, but he is liable to mistake turkey-tracks for bear-prints, and, though he has learned astronomy, he could never find his way by the stars. The tenderfoot sticks his bowie-knife into his belt in such a manner that it runs into his thigh when he bends; and when he builds a fire on the prairie he makes it so big that it flames as high as a tree, yet feels surprised that the Indians notice it. But many a tenderfoot is a daring, strong- bodied and strong-hearted fellow; and though there was no doubt that I was a tenderfoot fast enough, I hoped to convince Sam Hawkins that I had some qualities requisite for success on the plains. By the time our supper was over there was a very good understanding established between me and the queer little man to whose faithful love I was to owe so much. He was an eccentric fellow, with a pretence of crustiness covering his big, true heart; but it was not hard to read him by the law of contraries, and our mutual liking dated from that night of meeting. We set out in the early dawn of the following morning, accompanied by the other two scouts, Dick Stone and Will Parker,
  • 74.
    whom I thensaw for the first time, and whom I learned to value only less than Sam as the truest of good comrades. Our journey was as direct and speedy as we could make it to the mountain region of New Mexico, near the Apache Indian reservation, and I was welcomed by my fellow-workers with a cordiality that gave rise to hopes of pleasant relations with them which were never realized. The party consisted of the head engineer, Bancroft, and three men under him. With them were twelve men intended to serve as our protectors, a sort of standing army, and for whom, as hardworking pioneers, I, a new-comer, had considerable respect until I discovered that they were men of the lowest moral standards. Although I had entered the service only for experience, I was in earnest and did my duty conscientiously; but I soon found out that my colleagues were genuine adventurers, only after money, and caring nothing for their work except as a means of getting it. Bancroft was the most dishonest of all. He loved his bottle too well and got private supplies for it from Santa Fé, and worked harder with the brandy-flask than with his surveying instruments. Riggs, Marcy, and Wheeler, the three surveyors, emulated Bancroft in this unprofitable pursuit; and as I never touched a drop of liquor, I naturally was the laborer, while the rest alternated between drinking and sleeping off the effects. It goes without saying that under such circumstances our work did not progress rapidly, and at the end of the glorious autumn and three months of labor we found ourselves with our task still unaccomplished, while the section with which ours was to connect was almost completed. Besides our workmen being such as they were, we had to work in a region infested with Comanches, Kiowas, and Apaches, who objected to a road through their territory, and we had to be constantly on our guard, which made our progress still slower. Personally my lot was not a bed of roses, for the men disliked me, and called me “tenderfoot” ten times a day, and took a special delight in thwarting my will, especially Rattler, the leader of our so-
  • 75.
    called guard, andas big a rascal as ever went unhanged. I durst not speak to them in an authoritative manner, but had to manage them as a wise woman manages a tyrannical husband without his perceiving it. But I had allies in Sam Hawkins and his two companion scouts, Dick Stone and Will Parker. They were friendly to me, and held off from the others, in whom Sam Hawkins especially managed to inspire respect in spite of his droll peculiarities. There was an alliance formed between us silently, which I can best describe as a sort of feudal relation; he had taken me under his protection like a man who did not need to ask if he were understood. I was the “tenderfoot,” and he the experienced frontiersman whose words and deeds had to be infallible to me. As often as he had time and opportunity he gave me practical and theoretical instruction in everything necessary to know and do in the Wild West; and though I graduated from the high school later, so to speak, with Winnetou as master, Sam Hawkins was my elementary teacher. He made me expert with a lasso, and let me practise with that useful weapon on his own little person and his horse. When I had reached the point of catching them at every throw he was delighted, and cried out: “Good, my young sir! That’s fine. But don’t be set up with this praise. A teacher must encourage his stupid scholars when they make a little progress. I have taught lots of young frontiersmen, and they all learned much easier and understood me far quicker than you have, but perhaps it’s possible that after eight years or so you may not be called a tenderfoot. You can comfort yourself with the thought that sometimes a stupid man gets on as well as or even a little better than a clever one.” He said this as if in sober earnest, and I received it in the same way, knowing well how differently he meant it. We met at a distance from the camp, where we could not be observed. Sam Hawkins would have it so; and when I asked why, he said: “For mercy’s sake, hide yourself, sir. You are so awkward that I should be ashamed to
  • 76.
    have these fellowssee you, so that’s why I keep you in the shade— that’s the only reason; take it to heart.” The consequence was that none of the company suspected that I had any skill in weapons, or special muscular strength—an ignorance that I was glad to foster. One day I gave Rattler an order; it was some trifling thing, too small for me to remember now, and he would have been willing to carry it out had not his mood been rather uglier than usual. “Do it yourself,” he growled. “You impudent greenhorn, I’ll show you I’m as good as you are any day.” “You’re drunk,” I said, looking him over and turning away. “I’m drunk, am I?” he replied, glad of a chance to get at me, whom he hated. “Very drunk, or I’d knock you down,” I answered. Rattler was a big, brawny fellow, and he stepped up in front of me, rolling up his sleeves. “Who, me? Knock me down? Well, I guess not, you blower, you kid, you greenhorn—” He said no more. I hit him square in the face, and he dropped like an ox. Fearing mischief from Rattler’s followers, and realizing that now or never was my authority to be established, I drew my pistol, crying: “If one of you puts his hand to a weapon I’ll shoot him on the spot.” No one stirred. “Take your friend away, and let him sober up, and when he comes to his senses he may be more respectful,” I remarked. As the men obeyed me, Wheeler, the surveyor, whom I thought the best of the lot, stepped from the others and came up to me. “That was a great blow,” he said. “Let me congratulate you. I never saw such strength. They’ll call you Shatterhand out here.” This seemed to suit little Sam exactly. He threw up his hat, shouting joyously: “Shatterhand! Good! A tenderfoot, and already won a name, and what a name! Shatterhand; Old Shatterhand. It’s
  • 77.
    like Old Firehand,who is a frontiersman as strong as a bear. I tell you, boy, it’s great, and you’re christened for good and all in the Wild West.” And so I found myself in a new and strange life, and beginning it with a new name, which became as familiar and as dear to me as my own.
  • 79.
    CHAPTER II. MY FIRSTBUFFALO. Three days after the little disciplining I had given Rattler, Mr. White, the head engineer of the next section, rode over to us to report that their work was finished, and to inquire what our prospects were for making speedy connection. When he set out on his return he invited Sam Hawkins and me to accompany him part of the way through the valley. We found him a very agreeable companion; and when we came to the point where we were to turn back we shook hands cordially, leaving him with regret. “There’s one thing I want to warn you of,” Mr. White said in parting. “Look out for redskins.” “Have you seen them?” Sam asked. “Not them, but their tracks. Now is the time when the wild mustangs and the buffaloes go southward, and the Indians follow in the chase. The Kiowas are all right, for we arranged with them for the road, but the Apaches and Comanches know nothing of it, and we don’t dare let them see us. We have finished our part, and are ready to leave this region; hurry up with yours, and do likewise. Remember there’s danger, and good-by.” Sam looked gravely after his retreating form, and pointed to a footprint near the spring where we had paused for parting. “He’s quite right to warn us of Indians,” he said. “Do you mean this footprint was made by an Indian?”
  • 80.
    Welcome to ourwebsite – the perfect destination for book lovers and knowledge seekers. We believe that every book holds a new world, offering opportunities for learning, discovery, and personal growth. That’s why we are dedicated to bringing you a diverse collection of books, ranging from classic literature and specialized publications to self-development guides and children's books. More than just a book-buying platform, we strive to be a bridge connecting you with timeless cultural and intellectual values. With an elegant, user-friendly interface and a smart search system, you can quickly find the books that best suit your interests. Additionally, our special promotions and home delivery services help you save time and fully enjoy the joy of reading. Join us on a journey of knowledge exploration, passion nurturing, and personal growth every day! ebookbell.com