Embed presentation
Download to read offline






































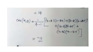
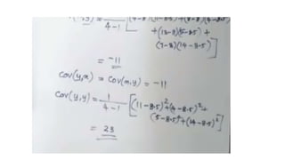
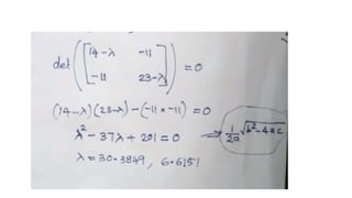
The goals of PCA are to extract the most important information from a data table, compress the data set by retaining this information, simplify the description of the data set, and analyze the structure of observations and variables.





































