ACTUALIZARE PLAN DE AMENAJARE A TERITORIULUI JUDEŢEAN BOTOŞANI

                                                                   ETAPA 1
                      IDENTIFICAREA ELEMENTELOR CARE CONDIŢIONEAZĂ DEZVOLTAREA
                            ANALIZA SITUAŢIEI EXISTENTE ŞI STUDII DE FUNDAMENTARE

                                            BENEFICIAR: CONSILIUL JUDEŢEAN BOTOŞANI


   UNIVERSITATEA DE ARHITECTURĂ ŞI URBANISM “ION MINCU” – Centrul de Cercetare, Proiectare, Expertiză şi Consulting
                                              proiectant general
                                                               - Contract 9 /2009 -


                               PREŞEDINTE UAUIM - Manager General C.C.P.E.C.: Prof. dr. arh. Emil Barbu Popescu

                                                  Director Tehnic C.C.P.E.C.: Arh. Luminiţa Patron


                                                    Şef proiect: Lect. drd. arh. Gabriel Pascariu


                                                                                                                                Universitatea „Alexandru Ioan Cuza” Iaşi
                                                                                                                                    Facultatea de Geografie şi Geologie
                                                                                                                                            Departamentul de Geografie

                                                                                                                                              Bd. Carol I. Nr.20A, 700505 – Iaşi, România
                                                                                                                                                  Tel.: +4.0232.20.1075, +4.0232.20.1074
                                                                                                                                                                     Fax: +4.0232.20.1474
                                                                                                                                                                 e-mail: geografie@uaic.ro


Universitatea Bucureşti - Centrul
                                                                                                                                                                    http://www.geo.uaic.ro/




  Interdisciplinar de Cercetări        S.C. QUATTRO DESIGN S.R.L. –
                                                                             SC URBATECH S.R.L. – proiectant      Universitatea „Alexandru Ioan
   Avansate Asupra Dinamicii             proiectant de specialitate
                                                                                    de specialitate               Cuza” Iaşi - Departamentul de
Teritoriale (CICADIT) - proiectant
                                     Administrator: arh. Andrei JELESCU,                                                    Geografie
          de specialitate                                                    Administrator - arh. Iustin HEN,
                                        Director General: arh. Toader                                             Rector - Prof. dr. Vasile ISAN,
 Director prof. dr. Ioan IANOŞ,                                                   Şef proiect - arh. Mircea
                                                  POPESCU,                                                       Decan - Prof. dr. Ovidiu Gabrile
  Şef proiect: prof. dr. Cristian                                                     GRIGOROVSCHI
                                      Şef proiect: arh. Şerban POPESCU-                                                     IANCU,
            TĂLÂNGĂ
                                                   CRIVEANU                                                     Şef proiect - Prof.dr. Corneliu IATU


                                                                Decembrie 2009
Actualizare Plan de Amenajarea Teritoriului Judeţean Botoşani                                                                                                       Consiliul Judeţean Botoşani
      ACTUALIZARE PLAN DE AMENAJARE A TERITORIULUI                                                          Universitatea Bucuerşti – CICADIT (subcapitole A.1.1, A.1.2, capitole: B)
                   JUDETEAN BOTOŞANI                                                                        Prof.dr. Cristian TĂLÂNGĂ (director de proiect),
                                                                                                            lector dr. Daniela ZAMFIR,
                                                                                                            Dr. Radu Daniel PINTILII
           ETAPA 1. IDENTIFICAREA ELEMENTELOR CARE
                                                                                                            S.C. QUATTRO DESIGN S.R.L (capitol A.2)
                 CONDIŢIONEAZĂ DEZVOLTAREA
                                                                                                            Arh. Şerban POPESCU-CRIVEANU – coordonator ştiinţific
ANALIZA SITUAŢIEI EXISTENTE - STUDII DE FUNDAMENTARE                                                        Urb. Alexandra ANA-VIŞINESCU
                                                                                                            Arh. Toader POPESCU (pentru A.2.1)
               Beneficiar: CONSILIUL JUDEŢEAN BOTOŞANI                                                      colaboratori:
                                                                                                            Dr. ist. Sergiu IOSIPESCU (pentru A.2.1)
Elaboratori:                                                                                                Ist. Raluca IOSIPESCU (pentru A.2.1)
UNIVERSITATEA DE ARHITECTURĂ ŞI URBANISM „ION MINCU” – Centrul de                                           Soc. Maria MITROI
Cercetare, Proiectare, Expertiză şi Consulting – proiectant general
                                                                                                            Dr. etnolog Ioana POPESCU (pentru A.2.1)
Universitatea Bucureşti - Centrul Interdisciplinar de Cercetări Avansate Asupra Dinamicii
                                                                                                            SC URBATECH SRL (capitol A.4)
Teritoriale (CICADIT) - proiectant de specialitate
                                                                                                            arh. GRIGOROVSCHI MIRCEA (director de poriect)
S.C. QUATTRO DESIGN S.R.L. – Bucureşti – proiectant de specialitate
                                                                                                            arh. HEN IUSTIN CONSTANTIN
SC URBATECH S.R.L. – Iaşi proiectant de specialitate
                                                                                                            ing. DORNEANU MARINA
Universitatea "Alexandru Ioan Cuza" (UAIC) Iaşi - Departamentul de Geografie
                                                                                                            st.arh. POŞA TUDOR ŞTEFAN (desen şi tehnoredactare)
                                                                                                            UAIC - Departamentul de Geografie – Universitatea „Alexandru Ioan Cuza” Iaşi (capitolul C)
                                                                                                            Prof.univ.dr. Corneliu IAŢU (şef colectiv)
Colective de elaborare:
                                                                                                            Mihai BULAI
                                                                                                            Mesalina Dumitriţa BOGHINCIUC
UAUIM – CCPEC (Introducere, subcapitole: A1.3, A1.4, A.1.5, capitole: A3, D)
                                                                                                            Leontina GHEŢĂU
arh. Gabriel PASCARIU (şef proiect)
                                                                                                            Bogdan IBĂNESCU
dr. urb. ecolog Alexandru Ionuţ PETRIŞOR
                                                                                                            Alina Violeta MUNTEANU
urb. Adrian CIOANGHER
urb. Paul IUGA MUREŞAN
                                                                                                            Borderou planşe:
urb. Eugen MARINESCU
urb. Izabella MORTH                                                                                         1.1 Mediu – probleme şi disfuncţionalităţi (UAUIM-CCPEC, CICADIT, QUATTRO DESIGN)
urb. Mădălina MOŢCANU - DUMITRESCU                                                                          2.1 Reţeaua de localităţi şi populaţia – probleme şi disfuncţionalităţi (UAUIM-CCPEC)
urb. Radu SANDOVICI                                                                                         3.1a şi 3.1.b - Infrastructuri tehnice ale teritoriului - probleme şi disfuncţionalităţi –
urb. Liviu VELUDA                                                                                           (URBATECH)
colaboratori:                                                                                               4.1. Structura activităţilor şi zonificarea teritoriului – probleme şi disfuncţionalităţi (UAUIM-
                                                                                                            CCPEC, UAIC)
urb. Irina CIOANGHER
                                                                                                            5.1 Context teritorial – probleme şi disfuncţionalităţi (UAUIM-CCPEC)

Elaboratori: UAUIM-CCPEC, Bucureşti, împreună cu, Universitatea Bucureşti – CICADIT, SC. Quattro Design s.r.l. – Bucureşti, SC. Urbatech s.r.l. – Iaşi, UAIC - Facultatea de Geografie, Iaşi,                   1
Actualizare Plan de Amenajarea Teritoriului Judeţean Botoşani                                                                                                                                                                                            Consiliul Judeţean Botoşani
CURPINS

INTRODUCERE ..................................................................................................................................... 3        B. STRUCTURA SOCIO-DEMOGRAFICĂ ................................................................................... 129
  Obiective generale şi specifice............................................................................................................. 3                B.1 EVOLUŢIA POPULAŢIEI ŞI POTENŢIALUL DEMOGRAFIC................................. 129
  Metodologie şi bază documentară...................................................................................................... 4                       B.1.1 EVOLUŢIA ŞI RITMUL MEDIU ANUAL DE CREŞTERE AL POPULAŢIEI ...... 129
  Principale surse documentare şi relaţii cu alte documentaţii.......................................................... 5                                              B1.1.1 Evoluţia populaţiei la recensăminte (1930-2002).................................................... 129
  Etape de desfăşurare, informarea şi consultarea populaţiei ........................................................... 5                                              B1.1.2 Evoluţia populaţiei în perioada 2000-2008.............................................................. 130
A. STRUCTURA TERITORIULUI....................................................................................................... 7                                      B.1.1.3 Ritmul mediu anual de creştere a populaţiei .......................................................... 132
  A.1 LOCALIZARE ŞI CADRU NATURAL..................................................................................... 7                                        B.1.2 DENSITATEA POPULAŢIEI ......................................................................................... 133
    A.1.1 LOCALIZARE....................................................................................................................... 7                   B.1.3 MIŞCAREA NATURALĂ A POPULAŢIEI .................................................................. 133
    A.1.2 CADRU NATURAL .............................................................................................................. 7                                B.1.3.1 Natalitatea ................................................................................................................ 133
       A.1.2.1 Relieful.............................................................................................................................. 7                 B.1.3.2 Mortalitatea.............................................................................................................. 133
       A.1.2.2 Clima................................................................................................................................. 7                 B.1.3.3Bilanţul natural al populaţiei................................................................................... 133
       A.1.2.3Hidrografia........................................................................................................................ 9             B.1.4 MIŞCAREA MIGRATORIE A POPULAŢIEI.............................................................. 134
       A.1.2.4 Resurse ale solului şi subsolului.................................................................................... 11                                     B.1.4.1 Număr de plecări ................................................................................................. 134
    A.1.3 ZONE PROTEJATE ŞI PEISAJE CULTURALE........................................................... 14                                                                 B.1.4.2 Număr de sosiri.................................................................................................... 134
    A.1.4. PROBLEME DE MEDIU ................................................................................................... 20                                         B.1.4.3Bilanţul migratoriu............................................................................................... 134
    A.1.5. RISCURI NATURALE ...................................................................................................... 27                           B.1.5 BILANŢUL TOTAL AL POPULAŢIEI......................................................................... 135
  A.2. ZONE PROTEJATE ŞI PEISAJE CULTURALE................................................................. 32                                                  B.2 RESURSELE UMANE ........................................................................................................ 136
    A.2.1. EVOLUŢIA ISTORICĂ A JUDEŢULUI ŞI A ÎMPĂRŢIRII ADMINISTRATIVE.. 32                                                                                    B.2.1 STRUCTURA PE GRUPE DE VÂRSTĂ ....................................................................... 136
  ANEXA 2.1. ........................................................................................................................................ 43        B.2.2 STRUCTURA POPULATIEI DUPA NIVELUL DE INSTRUIRE ............................. 137
  A.2.2. PEISAJE CULTURALE........................................................................................................ 64                      C. STRUCTURA ACTIVITĂŢILOR ECONOMICE..................................................................... 139
       A.2.2.1. Macrozonarea peisagistică .......................................................................................... 64                         C.0: INTRODUCERE ÎN GEOGRAFIA MUNCII ................................................................. 139
       A.2.2.2. Arii naturale protejate................................................................................................. 64                     C.1: AGRICULTURA, SILVICULTURA, PISCICULTURA, VÂNATUL ......................... 142
       A.2.2.3. Rezervaţii naturale ...................................................................................................... 65                   C.2: INDUSTRIA, PRODUCŢIA ŞI DISTRIBUŢIA ENERGIEI ELECTRICE ŞI
       A.2.2.4. Iazuri ............................................................................................................................. 65         TERMICE, GAZELOR ŞI APEI, CONSTRUCŢII ................................................................ 149
       ANEXA A.2.1. ............................................................................................................................ 67             C.3: TURISMUL ......................................................................................................................... 156
  A.3 REŢEAUA DE LOCALITĂŢI.................................................................................................. 68                                C.4: SERVICII ECONOMICE.................................................................................................. 161
    A.3.1. ELEMENTE INTRODUCTIVE......................................................................................... 68                                    C.4.1: COMERŢUL .................................................................................................................... 161
    A.3.2. ANALIZE ŞI DATE STATISTICE.................................................................................... 70                                    C.4.2: TRANSPORTURILE ...................................................................................................... 161
  A.4. INFRASTRUCTURI TEHNICE.............................................................................................. 90                                  C.4.3: FINANŢE-BĂNCI ........................................................................................................... 161
    A.4.1. GOSPODĂRIREA APELOR ............................................................................................ 90                                  ....................................................................................................................................................... 162
    A.4.2. REŢELE HIDROEDILITARE ....................................................................................... 100                                    C.4.4: SĂNĂTATE ŞI ASISTENŢĂ SOCIALĂ ...................................................................... 162
    A.4.3. REŢELE DE TRANSPORT ............................................................................................ 102                            D. CONTEXT SUPRA - TERITORIAL (regional, naţional, macro-regional)…………………..164
    A.4.4. RETELE DE TELECOMUNICAŢII ............................................................................. 114                                     D.1. CONTEXT EUROPEAN…………………………… …………………………………….…..164
    A.4.5. REŢELE ENERGETICE ................................................................................................ 116                          D.2 CONTEXT NAŢIONAL ŞI
                                                                                                                                                           REGIONAL……………………………………………………………………..……………….…...165
    A.4.6. SERVICII DE GESTIUNE A DEŞEURILOR............................................................... 121
                                                                                                                                                           Listă cartograme…………………………………………………………………………………..…189

Elaboratori: UAUIM-CCPEC, Bucureşti, împreună cu, Universitatea Bucureşti – CICADIT, SC. Quattro Design s.r.l. – Bucureşti, SC. Urbatech s.r.l. – Iaşi, UAIC - Facultatea de Geografie, Iaşi,                                                                                                                            2
Actualizare Plan de Amenajarea Teritoriului Judeţean Botoşani                                                                                                                 Consiliul Judeţean Botoşani
                                                                                                                         promovarea de “clustere” competitive şi inovative la nivel tras-naţional
INTRODUCERE
                                                                                                                         întărirea reţelelor tehnologice trans-europene
Elaborarea lucrării se va face în conformitate cu prevederile Legii 350 /2001 cu actualizările şi completările
ulterioare precum şi în conformitate cu tema de proiectare din "documentaţia de atribuire" prezentată de                 promovarea managementului riscului la nivel trans-european (mai ales în zone sensibile)
beneficiar. De asemenea lucrarea se va face cu respectarea celor mai importante documente europene în                    întărirea structurilor ecologice şi a resurselor culturale
domeniul planificării spaţiale
                                                                                                                 Obiectivele specifice ale proiectului
       Carta amenajării teritoriului adoptată de CEMAT la Torremolinos (Spania) în 1983
                                                                                                                 Obiectivele specifice sunt precizate prin "tema de proiectare" şi se referă la:
       Perspectiva europeană de dezvoltare spaţială (SDEC /ESDP), adoptată de CE la Potsdam în 1999
                                                                                                                         Identificarea elementelor care condiţionează dezvoltarea judeţului
       Principiile directoare pentru Dezvoltarea teritorială durabilă a Continentului european,
       adoptate de CEMAT la Hanovra în 2000                                                                              Evidenţierea problemelor şi disfuncţionalităţilor din judeţ
       Agenda Teritorială, adoptată în 2007 la Leipzig de reuniunea informală a miniştrilor dezvoltării                  Diagnosticul prospectiv şi general
       urbane şi coeziunii teritoriale                                                                                   Elaborarea strategiei de dezvoltare spaţială a judeţului
Se vor respecta de asemenea prevederile celor mai importante documente strategice naţionale:                             Elaborarea programului de măsuri al judeţului
       PND – Planul Naţional de Dezvoltare                                                                       În raport cu aceste obiective, proiectul va cuprinde o fază de analiză – diagnoză şi evaluare a potenţialului de
       CSDSR - Conceptul Strategic de Dezvoltare Spaţială A României                                             dezvoltare urmată de faza de fundamentare a strategiei de dezvoltare şi stabilirea programului de măsuri.
precum şi Secţiunile aprobate ale PATN:                                                                          Proiectul va urmări de asemenea corelarea strategiei şi programului de măsuri cu prevederile secţiunilor
                                                                                                                 PATN aprobate sau în curs de aprobare precum şi cu documente strategice regionale şi judeţene precum:
       SI – căi de comunicaţii – legea 363 din 2006
                                                                                                                         Planul de dezvoltare regională al regiunii Nord-est
       SII – apa – legea 20 din 2006
                                                                                                                         Programul Operaţional Regional – Regio 2007-2013
       SIII – zone protejate naturale şi construite – legea 5 din 2000
                                                                                                                         Programele Operaţionale Sectoriale pentru Transport, Mediu, Resurse umane şi Competitivitate
       SIV – reţeaua de localităţi – legea 351 din 2001
                                                                                                                         Programele Operaţionale de Cooperare Transfrontalieră
       SV – zone de risc natural – legea 575 din 2001
                                                                                                                         Planul Naţional de Dezvoltare Rurală şi
       SVIII - zone cu resurse turistice – OUG 142 din 2008
                                                                                                                         Strategii sectoriale judeţene şi programele orientative de dezvoltare economică şi socială elaborate de
OBIECTIVE GENERALE ŞI SPECIFICE                                                                                          Instituţia Prefectului din judeţul Botoşani
                                                                                                                 Rezultate estimate ale proiectului
Obiective generale ale proiectului
                                                                                                                     Proiectul se va materializa în predarea următoarelor piese scrise şi desenate conform temei de proiect:
   Conform legii 350 72001, obiectivele principale ale amenajării teritoriului sunt următoarele:
                                                                                                                         memoriu tehnic şi planşe privind situaţia existentă
       dezvoltarea economică şi socială echilibrată a regiunilor şi zonelor, cu respectarea specificului
       acestora;                                                                                                         sinteză privind situaţia existentă şi planşe
       îmbunătăţirea calităţii vieţii oamenilor şi colectivităţilor umane;                                               memoriu privind probleme şi disfuncţionalităţi şi planşe aferente
       gestionarea responsabilă a resurselor naturale şi protecţia mediului;                                             strategia de dezvoltare spaţială – propuneri scrise şi piese desenate
       utilizarea raţională a teritoriului                                                                               sinteză propunerilor şi plane aferente
Actualizarea PATJ Botoşani va urmări respectarea acestor obiective precum şi a obiectivelor care                         programul de măsuri
rezultă din cele mai recente documente şi rapoarte europene:                                                             documentaţiile pentru obţinerea avizelor
       dezvoltare spaţială policentrică şi o nouă relaţie urban – rural                                          Partea scrisă şi desenată se va depune în 4 exemplare şi în format electronic, iar sintezele în câte 2 exemplare
       un acces echivalent la infrastructură şi cunoaştere                                                       şi electronic.
       gestiunea înţeleaptă a patrimoniului natural şi construit
       precum şi


Elaboratori: UAUIM-CCPEC, Bucureşti, împreună cu, Universitatea Bucureşti – CICADIT, SC. Quattro Design s.r.l. – Bucureşti, SC. Urbatech s.r.l. – Iaşi, UAIC - Facultatea de Geografie, Iaşi,                                  3
Actualizare Plan de Amenajarea Teritoriului Judeţean Botoşani                                                                                                                                  Consiliul Judeţean Botoşani
METODOLOGIE ŞI BAZĂ DOCUMENTARĂ
                                                                                                                            Evaluare              Diagnoză
Metoda de studiu va consta în analize teritoriale şi evaluări ale potenţialului natural şi antropic al
judeţului Botoşani, bazat pe indicatori specifici fiecărui domeniu de activitate, pe investigaţii la faţa
locului şi cercetări de teren.
                                                                                                                                                 Viziune
Pentru analiza cadrului natural vor fi utilizate metode specifice analizei geo-morfologice.                                                                              STRATEGIE
Pentru analiza şi evaluarea capitalului uman vor fi utilizate metode specifice din domeniul socio-
demografic.                                                                                                                                                              Politici              Programe
Pentru analiza şi evaluarea potenţialului economic vor fi utilizate metode şi tehnici de analiză şi
evaluare specifice precum analiza factorilor de localizare, analiza ariilor de atractivitate, analiza
factorilor de producţie etc.                                                                                                                                                                   Implementare                  Monitorizare
Pentru evaluarea potenţialului turistic vor fi utilizate sisteme taxonomice consacrate din acest domeniu              Reprezentările grafice vor cuprinde planşele obligatorii precum şi cartograme, carto-diagrame, grafice,
şi vor fi realizate analize comparative cu situaţii similare din alte regiuni sau ţări europene.                      grafuri, scheme logice necesare descrierii şi explicării fenomenelor şi proceselor specifice.
Pentru analiza şi evaluarea potenţialului cultural vor fi realizate analize şi studii istorice şi peisagistice.       Lucrarea este elaborată într-o formaţie pluridisciplinară, care cuprinde: arhitecţi şi arhitecţi cu
În domeniul protecţiei şi conservării mediului vor fi realizate analize şi evaluări cu privire la starea              specializare în urbanism şi amenajarea teritoriului, geografi, ingineri specialişti în drumuri şi
factorilor de mediu şi a riscurilor naturale şi antropice.                                                            transporturi, construcţii şi lucrări hidro - edilitare, sociologi şi economişti cu specializare în urbanism,
                                                                                                                      amenajarea teritoriului şi economişti specializaţi în analize tehnico – economice şi de cost – beneficiu.
Abordarea sistemului de localităţi se va baza de teoria locurilor centrale şi principiul dezvoltării
                                                                                                                      Cuprinderea acestor specialităţi, corespunde cerinţelor formulate în "tema de proiectare".
policentrice.
                                                                                                                      În echipa de elaborare sunt cuprinşi atât specialişti cu experienţă mare şi foarte mare cât şi tineri
Zonificarea teritoriului se va face pe baza analizei de indicatori complecşi şi agregaţi şi va urmări
                                                                                                                      absolvenţi, doctoranzi cu pregătire specifică în arhitectură, urbanism, peisagistică şi construcţii, care
identificarea de Unităţi Teritoriale Specifice şi macro-unităţi de peisaje culturale.
                                                                                                                      vor asigura şi o parte a activităţilor suport necesare desfăşurării studiului (anchete, investigaţii pe teren,
Analiza situaţiei existente va urmări identificarea disparităţilor teritoriale ca o bază pentru                       prelucrare date, reprezentări grafice etc.).
fundamentarea strategiei şi politicilor de dezvoltare şi a programului de măsuri.
                                                                                                                                   Structura echipei de elaborare a cercetării pe niveluri de responsabilitate
Vor fi analizate documentaţiile de urbanism şi amenajarea teritoriului existente şi vor fi realizate
anchete şi investigaţii în teritoriu.
                                                                                                                                                Specialişti cu mare experienţă şi capacitate de sinteză - coordonare
Rapoartele de analiză vor fi urmate de diagnoze şi rapoarte de sinteză.
Pentru definirea strategiei se va utiliza metoda "planificării strategice" şi un proces participativ şi
flexibil. Principiile generale ale planificării strategice (PST) sunt următoarele:                                                         Specialişti cu experienţă specifică domeniilor arhitectură şi inginerie civilă,
                                                                                                                                                                 urbanism, amenajarea teritoriului
        Are caracter cuprinzător, global, dar şi de specificitate /de unicat;
        Stabileşte obiective fundamentale şi direcţii de acţiune care vor ghida o organizaţie în                                              Specialişti cu experienţă specifică în domenii conexe: geografie, turism
        activitatea sa în urma unui efort disciplinat;                                                                                       (geografia turismului), transporturi, ecologie, analize tehnico-economice
        Este un proces prin care se alocă resursele necesare unei organizaţii în vederea împlinirii
        misiunii şi obiectivelor asumate;                                                                                                 Tineri cercetători şi specialişti cu pregătire în domeniile specifice şi conexe ale
                                                                                                                                                     cercetării, cu abilităţi în domeniul graficii computerizate
        Cuprinde un set de concepte, proceduri şi instrumente, care ajută o organizaţie să lucreze într-un
        mediu dinamic şi în continuă schimbare;
                                                                                                                                             Personal cu pregătire specifică în activităţi de gestiune a proiectului şi de
Principiile generale şi etapele planificării strategice vor fi adoptate ca metodă de lucru, cu adaptările specifice                                                          secretariat
cerinţelor "temei de proiectare". Succesiunea activităţilor de elaborare a strategiei va urmări schema:
                                                                                                                      baza de date şi informaţii disponibilă, respectiv numeroasele lucrări de cercetare, studiile şi
                                                                                                                      documentaţiile de urbanism şi amenajarea teritoriului elaborate în ultimii 5 – 10 ani, lucrări de referinţă
                                                                                                                      cu caracter general, lucrări de doctorat, reviste de specialitate etc., care se află în patrimoniul echipei
                                                                                                                      pluridisciplinare reprezintă o resursă importantă alocată proiectului o reprezintă.


Elaboratori: UAUIM-CCPEC, Bucureşti, împreună cu, Universitatea Bucureşti – CICADIT, SC. Quattro Design s.r.l. – Bucureşti, SC. Urbatech s.r.l. – Iaşi, UAIC - Facultatea de Geografie, Iaşi,                                               4
Actualizare Plan de Amenajarea Teritoriului Judeţean Botoşani                                                                                                                     Consiliul Judeţean Botoşani
PRINCIPALE SURSE DOCUMENTARE ŞI RELAŢII CU ALTE                                                                  Reţeaua de localităţi
DOCUMENTAŢII                                                                                                     Infrastructurile tehnice majore
În elaborarea studiului, se vor utiliza informaţiile specifice cuprinse în:                                      Gospodărirea apelor
           documentaţiile de amenajarea teritoriului existente,                                                  Comunicaţii
           documentaţiile de urbanism ale comunelor şi oraşelor din judeţ,                                       Reţele energetice etc.
           "Planul de dezvoltare regională al Regiunii Nord-est"                                                 Telecomunicaţii
           "Planul Naţional de Dezvoltare 2007-2013",                                                            Zonificarea teritoriului
           secţiunile aprobate ale PATN                                                                          Structura socio-demografică
           Conceptul Strategic de Dezvoltare Teritorială – România 2030                                          Evoluţia populaţiei
           Programul Operaţional Regional – Regio                                                                Potenţialul demografic,
           Programe Operaţionale Sectoriale                                                                      Resursele umane
           Strategii sectoriale naţionale şi judeţene                                                            Structura activităţilor
Vor fi utilizate surse şi informaţii de la INS şi direcţiile judeţene de statistică, ministerele de resort şi    Agricultură, piscicultură, silvicultură,
instituţiile deconcentrate ale acestora, în teritoriu, regii naţionale şi judeţene, companii naţionale,          Industrie, construcţii,
Camera de Comerţ şi Industrie etc.
                                                                                                                 Turism,
ETAPE DE DESFĂŞURARE, INFORMAREA ŞI CONSULTAREA                                                                  Comerţ, servicii
POPULAŢIEI                                                                                                       Context teritorial – interjudeţean, regional şi naţional
Perioada şi fazele de desfăşurare                                                                                Strategia de dezvoltare spaţială şi programul de măsuri pe UAT
       Partea I-a – Identificarea elementelor care condiţionează dezvoltarea, cu evidenţierea
       problemelor şi disfuncţionalităţilor şi Sinteza cu partea existentă se va derula pe o perioadă de
       cca. 5 luni                                                                                               Planşe şi cartograme

       Partea a-II-a – Diagnostic prospectiv şi general: evaluarea decalajului dintre situaţia actuală şi        1.1 Mediul – probleme şi discfuncţionalităţi
       cea anticipată şi dorită pentru orizontul stabilit se va derula pe parcursul a cca. 4 luni                1.2 Mediul – propuneri
       Partea a-III-a – Strategia de dezvoltare spaţială şi programul de măsuri şi Sinteza cu propuneri          2.1 Reţeaua de localităţi şi populaţia – probleme şi disfcuncţionalităţi
       va dura cca. 5 luni.
                                                                                                                 2.2 Reţeaua de localităţi şi populaţia – propuneri
Durata totală a elaborării proiectului nu va depăşi 14 luni şi va cuprinde şi întocmirea documentaţiei pentru
                                                                                                                 3.1 Infrastructurile tehnice ale teritoriului - probleme şi disfcuncţionalităţi
avize şi obţinerea avizelor.
                                                                                                                 3.2 Infrastructurile tehnice ale teritoriului – propuneri
Activităţi şi conţinut                                                                                           4.1.Structura activităţilor şi zonificarea teritoriului - probleme şi disfcuncţionalităţi
Proiectul va cuprinde analize, diagnoze şi evaluări ale tuturor elementelor specifice dezvoltării socio-         4.2. Structura activităţilor şi zonificarea teritoriului – propuneri
economice şi spaţiale. Pe baza concluziilor privitoare la potenţialul existent şi la oportunităţile pieţei, în   5.1 Contextul teritorial - probleme şi disfcuncţionalităţi
urma analizei SWOT, vor fi formulate obiective strategice pentru o dezvoltare durabilă a judeţului,
obiective specifice, priorităţi şi programe de dezvoltare.                                                       5.2 Contextul teritorial - propuneri
Structura şi conţinutul proiectului vor cuprinde, conform temei de proiectare:                                   Sintezele vor urma aceeaşi structură şi conţinut.
Structura teritoriului                                                                                           Vor fi desfăşurate activităţi de:
Cadrul natural                                                                                                           documentare şi colectare date şi informaţii
Zone protejate şi peisaje culturale                                                                                      actualizarea planurilor de bază

Elaboratori: UAUIM-CCPEC, Bucureşti, împreună cu, Universitatea Bucureşti – CICADIT, SC. Quattro Design s.r.l. – Bucureşti, SC. Urbatech s.r.l. – Iaşi, UAIC - Facultatea de Geografie, Iaşi,                     5
Actualizare Plan de Amenajarea Teritoriului Judeţean Botoşani                                                                                                                          Consiliul Judeţean Botoşani
       analize şi diagnoze sectoriale şi spaţiale                                                                         evoluţia istorică şi culturală
        consultări cu beneficiarul                                                                                        stabilirea şi delimitarea zonelor de risc natural
        întocmire a strategiei de dezvoltare spaţială                                                                     starea actuală a factorilor de mediu şi problemele de mediu relevante
        întocmire program de măsuri                                                                                       potenţialul turistic
        întocmire sinteze                                                                                                 organizarea circulaţiei
        întocmirea documentaţii pentru avize                                                                              evoluţia populaţiei
        redactare şi editare memorii tehnice                                                                              riscurile pentru sănătatea populaţiei
        redactare şi editare planşe şi cartograme                                                                         evoluţia funcţiilor economice şi a pieţei muncii
        participări la avizări etc.                                                                                       problemele de locuire
Pentru elaborarea strategiei se va asigura un proces transparent de consultare a principalilor actori             În afara acestor studii solicitate prin tema de proiectare vor fi întocmite şi alte studii referitoare la:
locali. Ca instrument de analiză a grupurilor /organizaţiilor implicate în formularea unei politici publice               studiu privind gospodărirea complexă a apelor
va fi folosită matricea actorilor interesaţi care prevede mijloace de estimare a importanţei şi
impactului potenţial al diferiţilor actori interesaţi într-o anumită problemă de politici publice.                        studiu privind reţeaua de echipamente publice (dotări pentru educaţie, sănătate, justiţie, cultură
Principalii factori luaţi în considerare sunt:                                                                            etc.)
        Grupurile de interese (lista acestor grupuri trebuie sa fie, cel puţin într-o primă etapă, cât mai                studiu privind evoluţia istorică a organizării administrativ-teritoriale
        extinsă posibil);                                                                                                 studiu privind patrimoniul natural şi construit
        Tipul şi nivelul resurselor pe care grupurile /organizaţiile le posedă;                                           studiu pentru identificarea peisajelor culturale
        Capacitatea de a mobiliza aceste resurse;                                                                         studiu de încadrare în teritoriul regional şi naţional
        Poziţia grupului în legătură cu politica discutată.                                                               studiu de mobilitate şi conectivitate în teritoriu
În etapa a 2-a a lucrării vor fi organizate dezbateri şi consultări cu reprezentanţi ai comunităţilor                     studiu privind dezvoltarea sistemului de aşezări al judeţului şi relaţia urban-rural
locale.
                                                                                                                  Se va urmări printre altele identificarea zonelor de influenţă a oraşelor şi definirea zonelor periurbane
Organizarea proiectului                                                                                           precum şi a disparităţilor intra-judeţene.
Proiectul este organizat în 3 etape conform temei de proiectare.                                                  Pentru elaborarea strategiei se va folosi metoda planificării strategice şi va fi asigurată consultarea celor
Pentru elaborarea proiectului va fi parcurse următoarele etape şi faze:                                           mai importanţi actori din cadrul judeţului.
        o etapă de documentare, în care vor fi cercetare documentaţiile existente şi vor fi colectate datele
        necesare
        actualizarea suportului topografic şi a limitelor intravilanelor localităţilor conform PUG-uri aprobate
        notificarea autorităţii de mediu competente pentru protecţia mediului
        elaborarea de studii de fundamentare şi specifice
        analiza situaţie existente şi identificarea problemelor şi disfuncţionlităţilor
        analiza SWOT şi întocmirea diagnosticului prospectiv şi general
        formularea strategiei de dezvoltare spaţială
        propuneri de dezvoltare şi programul de măsuri
        întocmirea sintezelor
        întocmirea documentaţiilor pentru obţinerea avizelor
Studiile de fundamentare se vor referi la:

Elaboratori: UAUIM-CCPEC, Bucureşti, împreună cu, Universitatea Bucureşti – CICADIT, SC. Quattro Design s.r.l. – Bucureşti, SC. Urbatech s.r.l. – Iaşi, UAIC - Facultatea de Geografie, Iaşi,                                  6
Actualizare Plan de Amenajarea Teritoriului Judeţean Botoşani                                                                                                                  Consiliul Judeţean Botoşani
                                                                                                                     m. La limita vestică se diferenţiază ca subunitate Depresiunea Frumuşica - o zonă joasă cu forme
A. STRUCTURA TERITORIULUI                                                                                            domoale brazdată de văi, uneori mlăştinoase.

A.1 Localizare şi cadru natural                                                                                      A.1.2.2 Clima
                                                                                                                     Teritoriul judeţului Botoşani se încadrează zonei de climă temperat - continentală caracteristică districtului
A.1.1 Localizare
                                                                                                                     nordic al Podişului Moldovei, fiind specific un climat mai răcoros, cu veri relativ călduroase mai ales când
Judeţul Botoşani este situat din punct de vedere geografic în extremitatea nord-estică a României,                   sunt lipsite de precipitaţii, şi ierni reci, de cele mai multe ori cu puţină zăpadă, cu geruri şi viscole
având ca vecini Ucraina, respectiv Republica Moldova. Fiind cuprins între râurile Siret la vest şi Prut,             frecvente.
care formează graniţa României cu Republica Moldova, judeţul Botoşani se învecinează doar cu două
judeţe ale Moldovei, şi anume: la vest cu judeţul Suceava, iar la sud cu judeţul Iaşi. Cuprinzând între              - Radiaţia solară globală creşte de la nord la sud, de la 114 la 117 Kcal/cm2/an, cele mai scăzute valori
limitele sale un teritoriu de 4986 km2 ce aparţine părţii de nord a Podişului Moldovei, judeţul Botoşani             înregistrându-se în intervalul decembrie - ianuarie, iar cele mai crescute în intervalul mai - iulie.
ocupă locul 29, ponderea în totalul teritoriului naţional fiind de 2,1%. Coordonate geografice: paralela             - Temperatura aerului prezintă o mare variabilitate în privinţa valorilor medii, minime şi maxime,
47024'16" N (Prăjeni), paralela 48016'06" N (Horodiştea), meridianul 27024'02" E (Dersca), meridianul                schimbarea timpului, uneori chiar de la o zi la alta, fiind destul de frecventă.
27024'32" E (Pleşani-Călăraşi).
                                                                                                                     Temperatura medie anuală înregistrează pe cea mai mare parte a judeţului, valori cuprinse între 8° şi 9° C,
A.1.2 Cadru natural                                                                                                  în sectorul său sud-estic depăşind 9° C, iar pe înălţimile mari din sud-vest şi vest fiind chiar uşor sub 8° C
                                                                                                                     (vezi cartograma C3). Cele mai mari valori medii lunare se înregistrează în iulie, (între 18° şi 20° C în
A.1.2.1 Relieful                                                                                                     jumătatea de vest şi nord - şi peste 20° C în est şi sud-est), iar cele mai mici valori se înregistrează în
Relieful judeţului Botoşani aparţine la două mari unităţi ale Podişului Moldovei: Podişul Sucevei în                 ianuarie (între - 3,5° şi - 4,5° C).
vest (cca 21 %) şi Câmpiei Moldovei în restul teritoriului (cca 79 %).                                               La Botoşani valorile multianuale (1901 - 1990) sunt de 8,8° C media anuală, 20,3° C media lunii iulie şi -
În ansamblu, relieful se prezintă sub forma unor dealuri şi culmi înalte în vest şi nord-vest cu altitudini          4,1° C media lunii ianuarie. Amplitudinea termică anuală este de 24,4° C, ceea ce confirmă caracterul
medii în jur de 400 m, şi sub forma unei câmpii colinare cu altitudini medii de 150 m în rest.                       continental accentuat al climatului.

Trăsăturile generale ale reliefului, întregite de numeroasele aspecte particulare locale permite diferenţierea       Temperaturile extreme au înregistrat valori maxime absolute de 39,4° C la Botoşani şi 38° C la Dorohoi, şi
în cadrul teritoriului judeţului a următoarelor unităţi şi subunităţi geomorfologice:                                minime absolute de - 30,3° C la Botoşani şi - 32,5° C la Dorohoi. În intervalul 1996-2000 temperatura
                                                                                                                     aerului a oscilat între -27,7 ° C (22.11.1996) şi + 38,6° C (22.08.2000), valori care confirmă caracterul
Podişul Sucevei - ocupă partea de vest şi nord vest a teritoriului şi este reprezentat prin două subunităţi:         temperat continental accentuat al climei judeţului.
Culmea Siretului şi Culoarul Siretului.
                                                                                                                     În perioada caldă a anului se înregistrează în medie 70 - 75 zile de vară (cu temperaturi maxime egale sau
- Culmea Siretului (sau Culmea Bour - Dealul Mare) este reprezentată printr-o succesiune de dealuri înalte           mai mari de 25° C) şi 15 - 18 zile tropicale (cu temperaturi maxime egale sau mai mari de 30° C).
(peste 400 - 500 m), dealuri joase (300 - 400 m) şi înşeuări (200 - 300 m), fragmentate dinspre vest de              Numărul mediu al zilelor de iarnă (cu temperaturi maxime egale sau mai mici de 0° C) este de cca. 43.
afluenţi scurţi ai Siretului, iar dinspre est de afluenţii Jijiei. Prezenţa rocilor mai dure (calcare şi gresii) a
favorizat dezvoltarea de platouri structurale şi cueste cu orientare vestică şi nord - vestică, cele din urmă        - Îngheţul se produce în medie toamna în 10-15 octombrie şi primăvara în 15 aprilie, numărul mediu al
afectate de degradări. În cadrul său se disting următoarele subdiviziuni: Dealurile Ibăneştilor, Masivul             zilelor cu îngheţ fiind de cca 120-130, scăzând de la nord la sud. Cel mai timpuriu îngheţ s-a înregistrat
Bour - Hăpăi, Şaua Dersca - Lozna, Dealurile Bucecea, Masivul Dealul - Mare şi Culoarul Siretului.                   toamna în jur de 17 septembrie, iar cel mai târziu la 21-22 mai.

Câmpia Moldovei - ocupă cea mai mare parte a teritoriului judeţului, fiind mai joasă cu 100 - 300 m decât            - Umezeala relativă a aerului are valori medii anuale de peste 75 % în nord şi vest şi între 73-75 % în
culmea din vest. Este o zonă de coline, dealuri şi platouri cu altitudini medii în jur de 200 m, sculptate în        restul teritoriului, cele mai mari medii lunare depăşind 80 % iarna, iar cele mai mici coborând la 65 - 67 %
roci moi (argile, marne, nisipuri) de către o reţea de văi largi cu lunci inundabile şi versanţi afectaţi de         primăvara şi vara. La Botoşani media anuală a umezelii relative a fost de 73 %, cu un maxim mediu în
frecvente procese de degradare, în special alunecări de teren.                                                       decembrie (85 %) şi un minim mediu în intervalul mai-iulie (65 %).

În cuprinsul judeţului au fost identificate două mari subunităţi ale Câmpiei Moldovei: Câmpia Jijiei                 - Nebulozitatea este direct influenţată de temperatura şi umezeala aerului, valoarea medie anuală fiind în
superioare şi a Başeului şi Câmpia Jijiei inferioare şi a Bahluiului:                                                jur de 6,0 zecimi, mai mare în vest, nord-vest şi mai mică în est, sud-est. La Botoşani media anuală a
                                                                                                                     nebulozităţii este de 6,2 zecimi, cu un maxim mediu în decembrie (7,2) şi un minim mediu în august (4,6).
- Câmpia Jijia - Başeu are în cuprinsul său următoarele subdiviziuni: Câmpia Săvenilor, Depresiunea                  Numărul mediu de zile cu cer senin este de 108, cu cer acoperit de 149 şi cu cer noros de 106.
Dorohoi - Botoşani, Culmile calcaroase Ripiceni - Stânca, Lunca Prutului şi Câmpia Jijia - Bahlui (vezi
cartogramele A.1.2.a, A1.2.b).                                                                                       - Precipitaţiile atmosferice care cad pe teritoriul judeţului variază între 450 mm în medie pe an în
                                                                                                                     extremitatea sud-estică şi 600 mm în medie pe an pe înălţimile mari din sud-vest şi nord-vest (vezi
- Câmpia Jijia - Bahlui - se desfăşoară la sud de linia Flămânzi - Chiţoveni - Prisăcani - Hlipiceni -               cartograma C4). Valoarea medie anuală pe ansamblul judeţului este de 550 mm. La Botoşani cantitatea
Rânghileşti, având un relief de coline ce foarte rar depăşesc 200 m, înălţimile medii fiind de 100 - 150             plurianuală de precipitaţii (1901-1990) a fost de 560,7 mm.
Elaboratori: UAUIM-CCPEC, Bucureşti, împreună cu, Universitatea Bucureşti – CICADIT, SC. Quattro Design s.r.l. – Bucureşti, SC. Urbatech s.r.l. – Iaşi, UAIC - Facultatea de Geografie, Iaşi,                                    7
Actualizare Plan de Amenajarea Teritoriului Judeţean Botoşani                                                                                                                        Consiliul Judeţean Botoşani
În timpul anului regimul precipitaţiilor este de asemenea neuniform, cele mai mari cantităţi înregistrându-       - climatul dealurilor înalte din vest şi culoarului Siretului, caracterizată prin temperaturi medii anuale mai
se în luna iunie şi uneori iulie (65-85 mm în medie), iar cele mai mici înregistrându-se iarna şi la începutul    mici de 8° C, precipitaţii peste 550-600 mm în medie pe an, insolaţie moderată sub 2000 ore anual-
primăverii (20-30 mm în medie). Caracteristic pentru regimul pluviometric este atât abundenţa, cât şi             favorabilă dezvoltării pădurii de foioase şi culturilor agricole cu perioadă scurtă de vegetaţie.
deficitul de precipitaţii, ambele fenomene având influenţe negative asupra teritoriului. În acest sens,
menţionăm aversele torenţiale, când într-un timp scurt se pot înregistra cantităţi ce depăşesc cu mult media      - climatul dealurilor joase, corespunzătoare Câmpiei Moldovei, cu temperaturi medii anuale între 8° şi 9°
lunii respective. Astfel, valorile maxime căzute în 24 ore au atins 132 mm la Pomârla, 128 mm la Adăşeni,         C sau chiar uşor peste 9° C, precipitaţii între 450 şi 550 mm în medie pe an, insolaţie peste 2000 ore anual-
125 mm la Bucecea, 124 mm la Ripiceni, 120 mm la Săveni, 100 mm la Dorohoi, 128 la Botoşani.                      favorabilă în general oricăror culturi agricole.
Aversele torenţiale influenţează negativ activitatea economică şi socială, fiind mobilul producerii               Corelaţia dintre temperatura medie a aerului şi cantitatea de precipitaţii sunt relevante în ceea ce
inundaţiilor, aunecărilor de teren, eroziunii de adâncime, etc.                                                   priveşte evoluţia în timp a parametrilor climatici. Datele utilizate sunt prezentate în articolul publicat de
Pe de altă parte, lipsa precipitaţiilor măsurabile timp de 10 zile consecutive în perioada aprilie-octombrie şi   Govindasamy şi colab. (2003); din acestea a fost decupată situaţia la nivelul jud. Botoşani pentru unităţi
14 zile în perioada octombrie-martie, duce la apariţia secetelor, frecvente în tot judeţul, dar mai ales în       pătrate cu latura de 2,50 longitudine × 2,50 latitudine. Aceste date indică o variaţie a temperaturii medii
sectorul sud-estic. În zona Botoşani-Dorohoi durata medie a perioadelor secetoase este în jur de 14-15 zile,      între 7-90 C, cu valori mai scăzute în partea de nord şi de vest a judeţului şi valori mai ridicate în sud-
iar în sud, sud-est aceasta ajunge la 17 zile. Secetele influenţează negativ agricultura judeţului, impunând      est (Fig. A.1.2.2.a)
realizarea de irigaţii.
Precipitaţiile sub formă de ninsoare înregistrează un număr mediu de 27-30 zile în zona Dorohoi-Botoşani
şi sub 20 zile în sud şi sud-est, iar stratul de zăpadă durează în medie cca 60 zile, grosimea sa variind între
10-15 cm. Prima ninsoare se produce în medie în a doua decadă a lunii noiembrie, iar ultima ninsoare în
decada a treia a lunii martie.
În perioadele cu viscol zăpada se depune neuniform, fiind troienită în zonele adăpostite pe grosimi de
câţiva metri, influenţând negativ circulaţia rutieră şi feroviară.
Alte fenomene hidrometeorologice caracteristice judeţului sunt:
- ceaţa - cu o frecvenţă mare în sezonul rece al anului şi o densitate maximă mai ales noaptea, se
         produce în medie în cca. 40 zile anual;
- bruma - se produce în medie în 18-20 zile pe an, frecvenţa maximă fiind în octombrie (5-6 zile);                 Fig.A.1.2.a. Temperatura (stânga) şi precipitaţiile (dreapta) medii în jud. Botoşani. Culorile mai deschise indică valori mai
                                                                                                                                                           scăzute, iar cele închise valori mai ridicate.
- chiciura - se produce mai frecvent în decembrie şi ianuarie, numărul mediu de cazuri fiind cuprins
         între 3-6;                                                                                               Schimbările climatice afectează şi această regiune. Conform datelor publicate de Hijmans şi colab.
                                                                                                                  (2005), predicţiile pentru anul 2100 urmează aceeaşi configuraţie spaţială ca şi clima actuală (Fig.
- Vânturile care bat pe teritoriul judeţului se caracterizează prin diferenţe mari de direcţie şi viteză, fiind   A.1.2.2.b), dar cu valori cuprinse între 9-120 C. Este importantă, pe baza acestor date, distribuţia
determinate atât de circulaţia generală a maselor de aer din această parte a Podişului Moldovei, cât şi de        spaţială a diferenţelor dintre temperatura actuală şi valorile predicţiilor climatice pentru anul 2100 (Fig.
orientarea reliefului. Cea mai mare frecvenţă o au vânturile dinspre nord-vest (23,6 %), urmate de cele           A1.2.2.c). În mare, configuraţia spaţială urmează acelaşi model, în sensul în care în zonele reci
dinspre sud-est (18,7 %), considerate ca dominante. O frecvenţă medie anuală destul de semnificativă se           temperaturile vor creşte mai puţin, iar în ele calde creşterile vor fi mult mai importante, ajungând la
înregistrează şi dinspre direcţia nord (10,7 %). Cele mai mici frecvenţe le au vânturile dinspre est (1,7 %)      medii care depăşesc cu 20 C valorile actuale. Este, de asemenea, important de subliniat faptul că aceste
şi vest (2,1 %). Calmul atmosferic are valori relativ ridicate (28,2 %), indicând condiţii de adăpost             date indică o creştere generalizată la nivelul judeţului Botoşani – altfel spus, predicţiile climatice indică
aerodinamic.                                                                                                      doar creşteri ale temperaturi, neexistând regiuni în care să se preconizeze o răcire comparativ cu situaţia
                                                                                                                  actuală a temperaturii.
Viteza vânturilor a înregistrat valorile medii cele mai mari pe direcţiile dominante (3,8 m/s dinspre nord-
vest şi 2,9 m/s dinspre sud-est), precum şi pe direcţia nord (2,3 m/s). În timpul anului cele mai ridicate
valori ale vitezei vântului s-au înregistrat primăvara pe direcţiile dominante, depăşind 4 m/s, în medie.
Distribuţia neuniformă a elementelor climatice menţionate în timp şi spaţiu, face posibilă delimitarea în
cadrul judeţului a două tipuri climatice:




Elaboratori: UAUIM-CCPEC, Bucureşti, împreună cu, Universitatea Bucureşti – CICADIT, SC. Quattro Design s.r.l. – Bucureşti, SC. Urbatech s.r.l. – Iaşi, UAIC - Facultatea de Geografie, Iaşi,                                                  8
Actualizare Plan de Amenajarea Teritoriului Judeţean Botoşani                                                                                                                                      Consiliul Judeţean Botoşani
                                                                                                                                A.1.2.3Hidrografia
                                                                                                                                Apele subterane. Caracteristicile litologice ale teritoriului au favorizat acumulări de ape subterane la
                                                                                                                                diverse adâncimi şi cu debite variate, putând fi deosebite două mari categorii: ape subterane captive (sau de
                                                                                                                                adâncime) şi ape subterane libere.
                                                                                                                                - Apele subterane de adâncime includ strate acvifere sub presiune, cu caracter ascensional sau artezian,
                                                                                                                                fiind interceptate prin foraje la diverse adâncimi, în depozite siluriene, badeniene, bugloviene. Astfel, în
                                                                                                                                forajele de la Botoşani şi Dângeni au fost interceptate strate acvifere ascendente la -346 şi respectiv -300
                                                                                                                                m. Cele de la Botoşani sunt deosebit de dure, având peste 50° G, iar cele de la Dîngeni au o culoare
                                                                                                                                negricioasă datorită prezenţei sulfurii de fier şi au cca. 8,4 g/l clorură de sodiu şi hidrogen sulfurat. La
                                                                                                                                Oroftiana, Liveni, Ripiceni
                                                                                                                                S-au întâlnit ape subterane acumulate în depozite badeniene, cu mineralizări reduse (sub 7 g/l), ceea ce le
                                                                                                                                face potabile. Tot în valea Prutului la Stânca-Ştefăneşti, sub calcarele recifale bugloviene s-au interceptat
   Fig. A.1.2.2.b. Predicţia valorilor temperaturii (stânga) şi precipitaţiilor (dreapta) medii în jud. Botoşani. Culorile
                         deschise indică valori mai ridicate, iar cele închise valori mai scăzute.
                                                                                                                                ape subterane arteziene, potabile, cu uşor miros de hidrogen sulfurat.
                                                                                                                                - Apele subterane libere includ strate acvifere fără presiune, în general drenate de reţeaua hidrografică, în
                                                                                                                                cadrul cărora se cuprind apele suprafreatice, freatice şi de stratificaţie.
                                                                                                                                Apele subterane freatice se pot grupa în mai multe unităţi hidrogeologice:
                                                                                                                                a. Ape subterane de luncă - întâlnite în depozitele aluvionare ale râurilor principale, în cadrul a două tipuri
                                                                                                                                de acvifere: de tip Siret şi de tip Prut.
                                                                                                                                b. Apele de tip Siret sunt cantonate în nisipurile şi pietrişurile din baza luncii Siretului sub forma unui
                                                                                                                                acvifer principal cu debite constante şi calităţi corespunzătoare. În depozitele nisipo-argiloase de la
                                                                                                                                suprafaţă se mai întâlneşte un acvifer secundar, lenticular, cu debite mai mici şi inconstante.
                                                                                                                                c. Apele de tip Prut sunt cantonate în baza luncilor Prutului (aval de Stânca), Jijiei, Başeului, Sitnei,
                                                                                                                                Miletinului, sub forma unui acvifer principal, precum şi în depozitele permeabile de la suprafaţă sub forma
                                                                                                                                unui acvifer secundar, cu importante variaţii de nivele şi debite. Calitativ sunt ape cu mineralizări şi
  Fig. A1.2.2.c. Diferenţe dintre temperatura (stânga) şi precipitaţiile (dreapta) actuale şi valorile predicţiilor climatice
                                                                                                                                durităţi mari, fiind considerate nepotabile conform STAS 1342/92. În lunca destul de îngustă a Prutului
 pentru anul 2100 în jud. Botoşani. Culorile mai deschise indică valori mai scăzute, iar cele închise valori mai ridicate.
                                                                                                                                amonte de Stânca, acviferul conţine ape corespunzătoare calitativ, fiind admise ca potabile.
În general, configuraţia spaţială a climei o urmează pe cea a reliefului, valorile mai ridicate ale                             d. Ape subterane de terase, cantonate în nisipurile şi uneori pietrişurile din baza acestora, mai importante
temperaturii (actuale sau prezise) corespunzând unităţilor de relief joase (câmpie, luncă), iar cele                            fiind cele din terasele Siretului şi Prutului. Sunt uşor alcaline, cu săruri sub 3 g/l şi duritate sub 30° G, fiind
scăzute, reliefului înalt (deal, munte).                                                                                        admise ca potabile.

În ceea ce priveşte precipitaţiile, ele au fost analizate pe baza aceloraşi date, situaţia actuală fiind                        e. Ape subterane de platouri şi culmi dezvoltate pe gresii şi calcare, cantonate în intercalaţiile nisipoase şi
prezentată în Fig. A1.2.2.a, predicţia în Fig. A.1.2.2.b, iar diferenţele în Fig. A1.2.2.c. Configuraţia                        în fisurile rocilor dure din sectorul dealurilor înalte din vest (Dealul Mare, Bour-Hăpăi). Sunt ape potabile
spaţială este asemănătoare cu cea a temperaturilor, în sensul că regiunilor cu temperaturi scăzute le                           cu debite relativ importante (sub 5 l/s), care dau linii de izvoare din care se alimentează localităţile situate
corespund valori ridicate ale precipitaţiilor, iar celor cu temperaturi ridicate, valori scăzute ale                            pe contactul dintre câmpia colinară şi podiş.
precipitaţiilor. Predicţiile şi diferenţele urmează aceeaşi configuraţie spaţială ca şi precipitaţiile actuale.
                                                                                                                                f. Ape subterane de interfluvii şi versanţi, cantonate în baza depozitelor loessoide eluviale, în cele argilo-
Este, de asemenea, important de subliniat faptul că aceste date indică o scădere aproape generalizată în
                                                                                                                                nisipoase deluviale sau în intercalaţiile nisipoase sarmaţiene, având debite reduse (1-3 l/s) şi la limita
judeţul Botoşani – altfel spus, predicţiile climatice indică scăderi ale precipitaţiilor, regiunile în care se
                                                                                                                                potabilităţii, pe alocuri chiar nepotabile. În cadrul acestor ape pot fi incluse şi cele din şeile Lozna-Dersca,
preconizează o creştere comparativ cu situaţia actuală a precipitaţiilor ocupând o suprafaţă redusă.
                                                                                                                                Bucecea şi Vorona.
De asemenea, se observă că atât configuraţia temperaturii, cât şi cea a precipitaţiilor corespund                               Pe total judeţ, resursele de ape subterane freatice sunt evaluate (conform Studiului de gospodărire a apelor)
altitudinii.                                                                                                                    la 1,780 m3/s din care numai 0,728 m3/s reprezintă resurse exploatabile şi potabile.



Elaboratori: UAUIM-CCPEC, Bucureşti, împreună cu, Universitatea Bucureşti – CICADIT, SC. Quattro Design s.r.l. – Bucureşti, SC. Urbatech s.r.l. – Iaşi, UAIC - Facultatea de Geografie, Iaşi,                                                    9
Actualizare Plan de Amenajarea Teritoriului Judeţean Botoşani                                                                                                                         Consiliul Judeţean Botoşani
Apele de suprafaţă din cadrul judeţului sunt reprezentate de râuri şi lacuri şi aparţin a două mari bazine           Scurgerile maxime au avut ca efect producerea de inundaţii, care au acoperit uneori luncile râurilor
hidrografice: Siret şi Prut. Bazinul râului Prut ocupă 88% din suprafaţa judeţului, iar 12% este ocupat de           aproape în întregime, afectând culturi agricole, drumuri, aşezări.
bazinul râului Siret, situat în partea vestică a judeţului. Repartiţia pe bazine hidrografice se prezintă
astfel: B.H. Prut – 4382 km2, B.H. Siret – 603 km2. Lungimea reţelei hidrografice codificate este 2054               În urma inundaţiilor din anii 1969, 1970, 1975, 1995 au fost identificate zonele inundabile şi cu potenţial
km.                                                                                                                  de inundabilitate: lunca Prutului între Oroftiana şi Româneşti (525 ha terenuri agricole), lunca Başeului
                                                                                                                     aval de Săveni (4200 ha), lunca Jijiei aval de Dângeni (4000 ha, 212 case, 17 Km drumuri), lunca Sitnei
Siretul formează limita de vest a judeţului pe o lungime de 107 Km şi primeşte pe stânga o serie de afluenţi         aval de Roşiori - Stăuceni (530 ha terenuri agricole, 5 Km drumuri).
mici ce nu depăşesc 15 Km în lungime: Molniţa, Valea Huţanilor, Bahna, Vorona, ş.a.
                                                                                                                     Pentru prevenirea şi combaterea acestui risc natural au fost realizate lucrări de regularizare a cursurilor de
Prutul formează limita de nord şi est a teritoriului pe o distanţă de 194 Km, pornind pe dreapta afluenţii:          apă (pe Başeu, Sitna, Miletin, ca şi pe unii afluenţi mai mici) pe o lungime de 228,5 Km, îndiguiri (pe
Ghireni (21 Km), Volovăţ (45 Km), Başeu (106 Km), Corogea (29 Km), Jijia (121 Km, pe teritoriul                      Siret, Prut, Jijia), acumulări (pe Başeu, Jijia, Sitna, Miletin, Prut).
judeţului). Dintre afluenţii de ordinul II ai Prutului, respectiv de ordinul I ai Başeului şi Jijiei, menţionăm:
Podriga (36 Km), Bodeasa (26 Km), Sărata (15 Km), Buhaiu (17 Km), Ibăneasa (42 Km), Sitna (65 Km),                   Scurgerea minimă se produce toamna şi în prima parte a iernii (septembrie-ianuarie), debitele minime
Miletinul (51 Km în teritoriul judeţului).                                                                           zilnice cu asigurarea de 80 % pe principalele râuri fiind de 0,15 m3/s pe Siret la Şerbăneşti-Huţani şi 2,80
                                                                                                                     m3/s la Lespezi; 11,2 m3/s pe Prut la Rădăuţi-Prut; 0,013 pe Jijia aval de pârâul Ibăneasa şi 0 m3/s la
Densitatea reţelei hidrografice permanente este redusă fiind de 0,41 Km/Km2.                                         Todireni. Pe râurile mai mici debitele minime zilnice cu aceeaşi probabilitate de 80 % sunt
                                                                                                                     nesemnificative, prezentând fenomenul de secare.
Alimentarea râurilor se face în proporţie de 86 % din ploi şi zăpezi şi numai 14 % din surse subterane. În
privinţa alimentării de suprafaţă predomină cea din ploi (peste 55 %), alimentarea din zăpezi fiind                  - Lacurile completează reţeaua hidrografică a judeţului, majoritatea fiind create prin bararea văilor. Pe
secundară (sub 45 %).                                                                                                teritoriul judeţului Botoşani există cca. 150 lacuri, în mare parte folosinţe piscicole, dar şi surse de
                                                                                                                     alimentare cu apă în scop potabil pentru un număr important de localităţi. Lacul Bucecea are un volum
Analiza debitelor medii multianuale evidenţiază faptul că cele mai bogate ape sunt Prutul şi Siretul, cu 85          util de 8,73 mil. mc şi asigură alimentarea cu apă potabilă pentru municipiile Botoşani şi Dorohoi,
m3/s şi respectiv 12,7 m3/s la intrarea în judeţ şi 92 m3/s, respectiv 35,0 m3/s la ieşire. Pe celelalte râuri       precum şi pentru zonele limitrofe aducţiunilor. De asemenea, asigură tranzitarea unor debite în perioade
debitele medii au următoarele valori: Jijia la Todireni -2,09 m3/s, Başeul la Ştefăneşti - 1,89 m3/s, Sitna la       excedentare pe derivaţia Siret – Sitna (în acumularea Cătămărăşti) pentru compensarea deficitelor de apă
Todireni - 2,0 m3/s, Miletinul la Cîmpeni 0,47 m3/s, Volovăţul - 0,43 m3/s, Corogea - 0,09 m3/s.                     din bazinul Jijia. Lacul Stânca, cu un volum total de 1285 mil mc şi un volum util de 450 mil. mc,
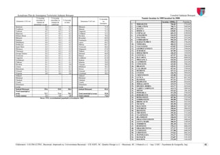
                                                                                                   Tabel A.1.2.3.a   asigură alimentarea cu apă potabilă pentru localităţile Ştefăneşti şi Truşeşti şi, în perspectivă, Santa Mare
                                                                                                                     şi Dângeni, dar produce şi energie electrică, la o putere instalată de 65 mil. kWh. Lacul Negreni, situat
                     Debite măsurate pe râuri în judeţul Botoşani în anul 2004 (mc/s)                                pe râul Negreni în zona localităţii Negreni, asigură apă potabilă pentru oraşul Săveni cu un debit instalat
              Râul         Staţia hidrometrică Debit maxim în anul 2004 m3/s Debit mediu multianual (m3/s)           de 43 l/s. Volumul util este de 10,30 mil. mc. Putem aminti şi alte lacuri cu folosinţă piscicolă, cum ar fi:
        Prut               Radauti-Prut                                  563                          79.6           Iezer, Cătămărăşti, Cal Alb, Mileanca, Dracşani.
        Prut               Stanca aval                                   201                          82.4
                                                                                                                                                                                                                    Tabel A.1.2.3.b
        Volovat            Manoleasa                                    1,39                         0.434
        Baseu              Stefanesti                                   6,97                          1.74
        Jijia              Dorohoi                                      3,02                         0.665
        Jijia              Dangeni                                      21,4                          1.74
                                                                                                                                         Resurse de apa acumulate in judeţul Botoşani
                                                                                                                              Denumirea lacului de acumulare Volum total (mii. m3)   Volum util (mil. m3)
        Jijia              Todireni                                     23,8                          2.25
                                                                                                                              Stânca – Costeşti                         1.400.000                450.000
        Buhai              Padureni                                     1,34                         0.168
                                                                                                                              Cal -Alb                                     16.280                  4.950
        Drislea            Drislea                                      4,46                         0.108
                                                                                                                              Negreni                                      25.600                  8.800
        Deriv. Siret Sitna Bucecea                                      2,38                         0.450
                                                                                                                              Hăneşti                                       6.400                  4.200
        Sitna              Catamarasti                                  2,46                         0.396
                                                                                                                              Mileanca                                     14.350                  5.100
        Sitna              Dracsani                                     5,47                          1.53
                                                                                                                              Iezer                                        14.100                  3.600
        Sitna              Todireni                                     16,2                            2.3
                                                                                                                              Cătămărăşti                                  17.950                  7.520
        Miletin            N.Balcescu                                     7,6                        0.468
                                                                                                                              Dracşani                                     10.710                  8.210
        Sursa: Direcţia Apele Române “Prut” Iaşi
                                                                                                                             Sursa: Direcţia Apele Române “Prut” Iaşi

Volumul cel mai mare de apă este transportat de râuri primăvara şi vara, ca urmare a topirii zăpezilor şi            Parte din aceste lacuri sunt colmatate, depunerile in cuveta lacului fiind în unele cazuri, excesiv de
ploilor specifice acestor anotimpuri, cele mai bogate scurgeri producându-se în lunile aprilie-iunie pe Siret        mari. Din totalul acumulărilor studiate, acumulările Bucecea, Stânca şi Cătămărăşti se încadrează în
şi Prut şi în lunile martie-aprilie pe râurile afluente. De cele mai multe ori în aceste perioade se produc şi       clasa a II-a de calitate, restul fiind situate în clasa a III-a şi a IV-a.
debitele cele mai mari, maximele înregistrate având următoarele valori: 865 m3/s pe Siret la Şerbăneşti-
Huţani şi 1140 m3/s la Lespezi, 3875 m3/s pe Prut la Rădăuţi-Prut, 225 m3/s pe Jijia la Dorohoi şi 375 m3/s
la Todireni, 330 m3/s pe Başeu la Ştefăneşti, 77 m3/s pe Sitna la Botoşani, etc. Majoritatea s-au produs ca
urmare a viiturilor din vara anului 1969.
Elaboratori: UAUIM-CCPEC, Bucureşti, împreună cu, Universitatea Bucureşti – CICADIT, SC. Quattro Design s.r.l. – Bucureşti, SC. Urbatech s.r.l. – Iaşi, UAIC - Facultatea de Geografie, Iaşi,                                   10
Actualizare Plan de Amenajarea Teritoriului Judeţean Botoşani                                                                                                                              Consiliul Judeţean Botoşani
                                                                                                         Tabel A.1.2.3.c   apariţia unor tufărişuri alcătuite din arbuşti ca: Prunus spinosa (porumbarul), Rosa canina (măceşul),
                                                                                                                           Crataegus monogina (păducelul), etc. De-a lungul râurilor ca şi pe solurile de lăcovişte umede, se
                                            Utilizarea lacurilor antropice                                                 întâlneşte o vegetaţie hidrofilă reprezentată prin specii de: Typha latifolia (papură), Phragmites
            Lac              Curs de Vol. tot.                                                                             australis (stuf), Equisetum palustre (barba ursului), Corex riparia (rogoz), Polygonum amphibium
                                                               Folosinţa principală                     Stadiu trofic
      Nume            Tip       apă   (mil. m3)                                                                            (troscot de baltă), etc. În pajiştile stepice xeromezofile se întâlnesc speciile: Festuca valesiaca (păiuş),
 Stânca Costeşti artificial Prut     735        Regularizare debite, alimentare cu apă,               Oligotrof            Stipa joannis, Stipa lessingiana, stipa pulcherima (colilie) în special în jurul localităţilor Todireni,
                                                producerea energiei electrice, atenuarea viiturilor                        Unţeni, Călăraşi, Hlipiceni.
 Negreni          artificial Başeu   10,3       Alimentarea cu apă a oraşului Săveni, irigaţii,       Eutrof
                                                apărarea împotriva inundaţiilor
 Cal Alb          artificial Başeu   6,15       Piscicultură, atenuarea viiturilor, irigaţii          Eutrof               În partea nordică, vestică şi sudică a judeţului, în pajişti şi terenurile agricole se întâlnesc: Festuca
 Mileanca         artificial Podriga 6,1        Piscicultură, atenuarea viiturilor, irigaţii          Mezotrof             valesiaca (păiuşul), Festuca rupicola care ocupă locul fostelor păduri de Quercus robur (stejar).
 Cătămărăşti      artificial Sitna   8          Piscicultură, atenuarea viiturilor, irigaţii          Oligo-mezotrof       Pădurile au o suprafaţă de aproximativ 54.000 ha, reprezentând 12% din suprafaţa judeţului şi sunt
 Dracşani         artificial Sitna   28,6       Piscicultură, atenuarea viiturilor                    Eutrof               alcătuite din stejar şi gorun (37%), carpen (22%), frasin, arţar, jugastru, ulm (20%), salcie, plop, tei
 Hăneşti          artificial Başeu   6,4        Piscicultură, atenuarea viiturilor                    Hipertrof            (14%) şi fag (7%).
 Sursa: Direcţia Apele Române “Prut” Iaşi
                                                                                                                           În nord-vestul judeţului se întind pădurile de gorun, stejar, carpen, tei, arţar, etc. În partea de sud-vest a
În privinţa zonării hidrografice, judeţul Botoşani se încadrează în două mari zone: cu umiditate moderată                  judeţului se întâlnesc păduri de amestec alcătuite din: fag, gorun, carpen, etc., iar pe albiile râurilor Prut
corespunzătoare Podişului Sucevei şi cu umiditate deficitară corespunzătoare Câmpiei Moldovei.                             şi Siret sunt însemnate lunci alcătuite din specii lemnoase de esenţe moi: salcie, plop. Răspunzând
                                                                                                                           cerinţelor strategiei europene de protejare a biodiversităţii care prevede conservarea naturii şi
- Zona hidrografică cu umiditate moderată se caracterizează printr-o scurgere lichidă medie specifică de 2-                gestionarea ei în perspective unei dezvoltări durabile, au fost luate în evidenţă şi alte zone dezinteres
6 l/s/Km2, ape mari de primăvară şi viituri de vară, o alimentare pluvială moderată şi subterană moderată,                 pentru biodiversitatea judeţului (în afara celor 8 situri protejate de interes naţional) şi anume 23 arii
prin ape bicarbonatate cu mineralizări sub 500 mg/l, prin acvifere subterane locale şi continui, prin utilizări            naturale protejate situate în fond forestier încadrate în grupa I funcţională. În acelaşi scop au fost
în alimentarea cu apă potabilă şi industrială, piscicultură, irigaţii.                                                     declaraţi monumente ale naturii 65 arbori seculari şi 7 specii de plante rare ocrotite pe întreg teritoriul
                                                                                                                           judeţului (Hotărârea nr. 5/1995 a Consiliului Judeţean Botoşani).
- Zona hidrografică cu umiditate deficitară se caracterizează printr-o scurgere lichidă medie specifică de 1-                                                                                                             Tabel A.1.2.4.a
2 l/s/Km2, ape mari de primăvară, alimentare pluviovivală şi subterană moderată, prin ape sulfatate sodice
cu mineralizări peste 1000 mg/l, prin acvifere locale, dar continui în lunci, în general nepotabile, prin                                      Specii de floră inventariate conform Legii 462/2001, anexele 3 şi 4
existenţa a numeroase acumulări şi iazuri, prin impurificări mari care dau apei calităţi necorespunzătoare,                  Denumire ştiinţifică şi populară                                        Localizare
prin utilizări locale în alimentări cu apă, piscicultură, irigaţii.                                                         Cypripedium calceolus – papucul        Rezervaţia de tisă Tudora, Pădurea Baisa, Pădurea Corni, Codrul eminescian-
                                                                                                                            doamnei                                comuna M. Eminescu, Hudeşti (sat Baranca), Pădurea Vorona
Pe total judeţ resursele de apă captate se prezintă astfel:
                                                                                                                           În prezent, pădurile sunt ameninţate de o degradare scăpată de sub control şi de transformarea lor spre
                                                                                                         Tabel A.1.2.3.d   alte folosinţe. Se înregistrează o extindere a agriculturii, un păşunat excesiv, tăieri necontrolate,
            Volume captate pe bazine hidrografice în anul 2004                 Volume captate pe activităţi economice      combaterea necorespunzătoare a incendiilor şi daune datorate poluării aerului. Daunele provocate
                       Sursa de    Volume captate Total volum captat                               Volume captate          pădurilor şi pierderea lor conduc la eroziunea solului, reduc diversitatea biologică şi habitatele
 Bazinul hidrografic                                                                 Activităţi
                       captare        (mil. m3)            (mil. m3)                                   (mil. m3)           vieţuitoarelor sălbatice, degradează bazinele hidrografice şi reduc cantitatea de lemne de foc, cherestea
                     suprafaţă          24,29                                  Populaţie                 15,76             şi de alte bunuri necesare dezvoltării umane. Ele reduc numărul de arbori care pot reţine dioxidul de
 B.H. PRUT           subteran            0,89               25,18              Industrie                 10,70
                                                                                                                           carbon, care este un gaz cu efect de seră. Pădurile deţin 54635 ha (10,1 %) din totalul suprafeţei
                     subteran            0,18                                  Irigaţii                   0,52
                     suprafaţă           24,0                                  Piscicultură              23,14
                                                                                                                           judeţului. În tabelele de mai jos sunt prezentate suprafeţele împădurite pe forme de proprietate şi grupe
 B.H. SIRET                                                 24,97              Zootehnie                  0,04             funcţionale:
                     subteran            0,97                                                                                                                                                                       Tabel A.1.2.4.b
                                                                               TOTAL                     50,15
 Sursa: Direcţia Apele Române “Prut” Iaşi

                                                                                                                                            Suprafaţa ocupată cu păduri pe categorii de proprietate
A.1.2.4 Resurse ale solului şi subsolului                                                                                                                              Persoane juridice                          Total
                                                                                                                               RNP Unităţi administrativ teritoriale                          Persoane fizice
                                                                                                                                                                     (unităţi de cult, şcoli)                 Fond forestier
Vegetaţia şi fauna. Vegetaţia naturală a judeţului Botoşani, caracteristică zonei de silvostepă, este                        45.232 ha         14 ha                         508 ha              8881 ha        54.635 ha
alcătuită predominant din plante ierboase în păşuni naturale care ocupă cca. 13% din suprafaţa agricolă                      Sursa: Date prelucrate DJS Botoşani
a judeţului, reprezentate prin asociaţii de graminee adaptate la secetă, ca şi prin unele specii de plante
suculente şi bulbifere, care formează asociaţii vegetale ce ocupă zonele afectate de alunecări de teren
din parte de nord, est-vest şi sud-vest a judeţului. Monotonia covorului erbaceu este modificată de

Elaboratori: UAUIM-CCPEC, Bucureşti, împreună cu, Universitatea Bucureşti – CICADIT, SC. Quattro Design s.r.l. – Bucureşti, SC. Urbatech s.r.l. – Iaşi, UAIC - Facultatea de Geografie, Iaşi,                                                    11
Actualizare Plan de Amenajarea Teritoriului Judeţean Botoşani                                                                                                                       Consiliul Judeţean Botoşani


                                                                                             Tabel A.1.2.4.c                                                                                                      Tabel A.1.2.4.d

                           Suprafaţa ocupată cu păduri pe grupe funcţionale                                               Repartiţia solurilor pe categorii        Repartiţia solurilor pe categorii
                                                 Categoria de proprietate                                                         de utilizare (ha)                              de calitate
Grupa funcţională                 Unităţi administrativ                      Persoane               Total                 Total judeţ               498569 Clasa de calitate                    Suprafaţa (ha)
                          RNP                              Persoane juridice                                              Total agricol, din care: 393472 total                                       387.796
                                        teritoriale                            fizice                FF
           I              7667 ha              -                      139 ha            510 ha      8316 ha               Arabil                    299262 Clasa de calitate a I-a foarte bună       1.365,03
           II            37565 ha            14 ha                    369 ha           8371 ha     46319 ha               Păşuni                     75070 Clasa de calitate a II-a bună           165.388,40
         Total           45232 ha            14 ha                    508 ha           8881 ha     54635 ha               Fâneţe                     14692 Clasa de calitate a III-a mijlocie      129.138,28
Sursa: Date prelucrate DJS Botoşani                                                                                       Terenuri viticole           1773 Clasa de calitate a IV-a slab            57.056,43
                                                                                                                          Terenuri pomicole           2675 Clasa de calitate a V-a foarte slabă     15.769,60
Fauna. În judeţul Botoşani se pot diferenţia două domenii faunistice: unul de silvostepă şi altul de                          Sursa: date prelucrate
pădure.
                                                                                                                    Suportul acestui fond funciar şi agricol este format dintr-o gamă variată de soluri, ca o consecinţă a
Fauna de silvostepă, respectiv din zona de câmpie, este reprezentată prin unele rozătoare ca: popândăul,            diversităţii condiţiilor de relief, climă, ape, vegetaţie.
dăunător pentru culturile cerealiere, o varietate specifică nordului Moldovei de căţelul pământului,                Principalele tipuri de sol din teritoriul judeţului sunt reprezentate prin (vezi cartograma ):
şoarecele de stepă, şobolanul de câmp, iepurele de câmp. Pe seama lor trăiesc unele mustelide ca: dihorul,
                                                                                                                    - Cernoziomuri, tipice şi de pantă, local carbonatice şi vertice, cu o răspândire relativ redusă sub forma
nevăstuica, iar dintre marile carnivore menţionăm vulpea.
                                                                                                                    unor benzi în lungul principalelor văi şi pe unele interfluvii din zona câmpiei colinare (peste 41.000
                                                                                                                    ha).
Avifauna este reprezentată de graur, pitpalacul, ciocârlia de câmp, dumbrăveanca şi unele răpitoare ca:
uliul porumbar. Pe iazurile mai mari ori pe bălţile Prutului se întâlnesc frecvent lişiţa, raţa sălbatică.          - Cernoziomuri cambice, tipice, de pantă, argiloiluviale, vertice, cu o largă răspândire în zona câmpiei
Dintre reptilele mai frecvente sunt şopârlele, iar dintre batracieni: broasca râioasă sau broasca de lac şi         colinare, pe versanţi şi interfluvii, ocupând peste 121.000 ha.
buhaiul de baltă.                                                                                                   - Soluri cenuşii, tipice şi de pantă, local cu cernoziomuri argiloiluviale şi soluri cernoziomoide, ocupă
                                                                                                                    suprafeţe de peste 47.100 ha în partea de nord şi vest a teritoriului, ca şi în zona colinară Copalău -
Fauna de pădure cuprinde unele din elementele menţionate mai sus, dar se caracterizează mai ales prin:              Cozancea - Guranda.
căprioara, întâlnită în toate pădurile din Dealurile Siretului şi în cele din Dealurile Cozancei, mistreţul,
vulpea, care trece şi în câmpie unde vânează rozătoare, şi pisica sălbatică. Avifauna este reprezentată de          - Soluri brune luvice, tipice, erodate, local cu luvisoluri albice, întâlnite în zona dealurilor înalte din
mierlă, sturzul cântător, gaiţa, unele specii de piţigoi, turturica. La acestea se adaugă unele rozătoare ca:       vest, nord-vest şi sud-est, ca şi în zona colinară Copalău - Cozancea, ocupând peste 25.500 ha.
gaia, uliul. Reptilele sunt mai numeroase, reprezentate prin şarpele de pădure şi diferite şopârle.                 - Luvisoluri albice, cu apariţii insulare în nord-vest şi sud-est pe înălţimile mari.
Deosebit de bogată este fauna de frunzar, în care gasteropodele, păianjenii, insectele şi miriapodele               - Lăcovişti şi lăcovişti salinizate, întâlnite în principal în luncile Jijiei şi Başeului, Miletinului, Corogei,
formează o lume puţin studiată. Pentru protejarea faunei sălbatice locale, conform legislaţiei comunitare,          dar şi pe unii versanţi în combinaţie cu cernoziomurile de pantă, ocupând peste 5.000 ha.
pe teritoriul judeţului Botoşani sunt nominalizate, prin Hotărârea Consiliului Judeţean nr. 5/1995, 78              - Soloneţuri şi solonceacuri (sărături), se întâlnesc insular în luncile Başeului şi Jijiei sau pe unii
specii de păsări şi 5 specii de animale care beneficiază de un regim special de ocrotire. Cea mai                   versanţi în combinaţie cu alte soluri de pantă şi de luncă, ocupând cca. 8.000 ha.
reprezentativă zonă din judeţ din punct de vedere al varietăţii avifaunistice este lunca Prutului unde au
fost inventariate 93 de specii de păsări. Acumularea Stânca-Costeşti a fost declarată arie de importanţă            - Regosoluri şi erodisoluri, răspândite în principal pe versanţii cuestiformi şi pe cei afectaţi de eroziuni
avifaunistică prin HG nr. 2151/2004.                                                                                şi alunecări intense, ocupând peste 4.200 ha.
                                                                                                                    - Aluviuni şi soluri aluviale, local cu sărături şi cernoziomuri de luncă, întâlnite în luncile râurilor şi ale
Solul. Fondul funciar al judeţului Botoşani în suprafaţă de 498.569 ha este constituit din 77,8% terenuri cu        afluenţilor secundari, pe o suprafaţă de peste 47.000 ha.
destinaţie agricolă, 11,5% păduri şi terenuri forestiere, 2,8% terenuri cu ape, 3,9% terenuri neproductive,     - Soluri turboase, ocupă un areal restrâns pe valea Bahnei.
4,0% circulaţii şi construcţii. Terenurile agricole sunt constituite din terenuri arabile (58,5%), păşuni şi
                                                                                                                Exceptând zonele acoperite cu păduri, construcţii, ape, majoritatea fondului pedologic este folosit în
fâneţe (17,9%), terenuri viticole şi pomicole (1,4%).
                                                                                                                agricultură, terenurile agricole deţinând o suprafaţă de 387.796 ha. Din punct de vedere al potenţialului lor
                                                                                                                natural de fertilitate, solurile pot fi grupate în următoarele categorii:
                                                                                                                Soluri cu potenţial ridicat de fertilitate, în care se includ toate categoriile de cernoziomuri şi unele soluri
                                                                                                                aluviale, atunci când nu sunt afectate de factori limitativi (eroziuni, alunecări, sărături etc.). Acestea se
                                                                                                                pretează pentru tot felul de utilizări agricole, dar în principal sunt favorabile culturilor cerealiere şi tehnice.

Elaboratori: UAUIM-CCPEC, Bucureşti, împreună cu, Universitatea Bucureşti – CICADIT, SC. Quattro Design s.r.l. – Bucureşti, SC. Urbatech s.r.l. – Iaşi, UAIC - Facultatea de Geografie, Iaşi,                                    12
Actualizare Plan de Amenajarea Teritoriului Judeţean Botoşani                                                                                                                    Consiliul Judeţean Botoşani
Potenţialul lor poate fi ridicat prin măsuri ameliorative şi agrotehnice: irigaţii, combaterea eroziunii şi            şi mai ales foarte slabe a solurilor cu fosfor mobil. Ca urmare, acest deficit în fosfor reprezintă un
excesului de umiditate, îngrăşăminte minerale şi organice în doze moderate.                                            factor limitativ important pentru producţia agricolă din judeţul Botoşani.
                                                                                                                     – Asigurarea solurilor agricole cu potasiu este bună pe ansamblul judeţului, numai 7% din solurile
Soluri cu potenţial moderat de fertilitate sunt solurile cenuşii şi brune luvice, majoritatea solurilor aluviale,
                                                                                                                       agricole sunt slab şi mijlociu aprovizionate.
precum şi cele slab-moderat erodate din prima categorie. Au o pretabilitate aproximativ egală pentru
cereale, pajişti şi culturi viti-pomicole, cu excepţia celor aluviale, apte pentru cereale, plante tehnice,
                                                                                                                     Starea agrochimică a terenurilor agricole, conform datelor din tabelul de mai jos prezintă următoarele
legume şi zarzavaturi, pajişti. Potenţarea fertilităţii naturale prin măsuri ameliorative complexe măreşte
                                                                                                                     aspecte defavorabile:
gama pretabilităţii şi fertilităţii.
                                                                                                                                                                                                            Tabel A.1.2.4.e
Soluri cu potenţial scăzut de fertilitate, includ solurile erodate şi slab evoluate (regosoluri şi erodisoluri) cu
pretabilitate limitată pentru pajişti, plantaţii viti-pomicole şi forestiere, apoi solurile brune şi luvisoluri
albice, pretabile pentru pajişti, plantaţii pomicole, păduri şi unele culturi (cartof, secară, plante furajere),                           Factor limitativ                                    Suprafaţa (ha)
lăcoviştile, pretabile pentru fâneţe şi, în sfârşit, solurile sărăturoase, cu fertilitate aproape nulă. Pentru a                           Eroziune (de la slabă la excesivă)                  104.273,26
aduce aceste soluri la un nivel corespunzător de fertilitate şi productivitate sunt necesare măsuri complexe                               Alunecări (stabilizate, semistabilizate, active) 36.379,81
şi costisitoare.                                                                                                                           Gleizare (de la slabă la excesivă)                  72.764,71
                                                                                                                                           Pseudogleizare (de la slabă la excesivă)            6.555,07
Datorită secetei repetate cat şi a folosirii neraţionale a terenurilor agricole şi arabile, calitatea solurilor a
                                                                                                                                           Inundabilitate                                      29.034,17
scăzut, astfel, în judeţul Botoşani, se întâlnesc următoarele aspecte defavorabile:
 – Eroziunea solului afectează 40,6% din suprafaţa agricolă totală. Solurile excesiv erodate                                            Sursa: OSPA Botoşani
   (reprezentate de ravene ogaşe, cornişe de desprindere) au o pondere de 2,2% din suprafaţa agricolă.                  Pot fi diferenţiate pe teritoriul judeţului următoarele categorii de terenuri degradate:
   În ultimul timp degradarea solurilor prin eroziune s-a intensificat datorită desţelenirii unor suprafeţe             - Terenuri degradate prin eroziuni areolare (de suprafaţă) - întâlnite pe toate suprafeţele cu pante mai
   şi a benzilor înierbate, amplasate pe versanţii cu pante mari.                                                       mari de 3°, fiind cu atât mai afectate cu cât panta este mai mare. Pe pantele de peste 5-6° solul este
 – Alunecările de teren afectează 15 % din suprafaţa totală agricolă, din care cele active 9,1%.                        complet erodat, iar roca la zi favorizează formarea de sărături, aşa cum se întâmplă în bazinul Başeului
   Extinderea alunecărilor de teren în ultimii ani, se datorează lipsei unui program de îmbunătăţiri                    şi al afluentului său Podriga. Eroziunea areolară este larg răspândită, suprafeţe importante fiind
   funciare, care prin lucrări de nivelare, drenaj, înierbare sau împădurire au rolul de a proteja aceste               întâlnite în nord şi vest (comunele Suharău, Pomîrla, Rădăuţi-Prut, Văculeşti, Leorda), în centru
   terenuri.                                                                                                            (comunele Cordăreni, Nicşeni, Vlăsineşti) şi sud-est (Albeşti, Răuseni, Călăraşi).
 – Excesul de umiditate de natură freatică afectează 12,6% din solurile agricole. Lucrările de desecare
                                                                                                                        - Terenuri degradate prin eroziuni torenţiale (ogaşe, ravene, torenţi) - întâlnite pe versanţii cuestiformi
   şi drenaj executate înainte de 1989 pe o parte din aceste terenuri nu mai funcţionează decât parţial
                                                                                                                        cu orientare nordică şi vestică ai văilor principale şi secundare. Suprafeţe mari peste 100 ha afectate de
   sau sunt complet degradate.
                                                                                                                        ravenare şi torenţialitate sunt întâlnite în comunele Hilişeu-Horia, Şendriceni, Stăuceni, dar şi în
 – Aciditatea solurilor poate fi cauzată sau accentuată de tehnologii agricole inadecvate, cum este
                                                                                                                        comunele Hudeşti, Viişoara, Drăguşeni, Copalău, Frumuşica, Vorona, Corni, teritoriile oraşelor
   folosirea an de an a unor doze mari de îngrăşăminte cu reacţie fiziologică acidă. Solurile cu reacţie
                                                                                                                        Dorohoi şi Botoşani (suprafeţe între 50 şi 100 ha).
   acidă ocupă zone mari în partea vestică şi nord-vestică a judeţului. Solurile puternic-moderat acide
   se regăsesc pe 5,9% din suprafaţa agricolă totală. Există un număr de 11 comune în care ponderea                     - Terenuri degradate prin alunecări de teren - întâlnite pe versanţii cuestiformi ai Jijiei, Sitnei,
   solurilor acide este mult mai mare decât media pe judeţ (de ex. Dersca, vf. Câmpului, Corni,                         Miletinului, Başeului, Prutului, pe fruntea teraselor, pe versanţii cu alternanţe de roci plastice, nisipuri,
   Vorona, Curteşti, Suharău, Cristineşti).                                                                             gresii, în bazinele superioare ale râurilor Sitna, Miletin, Başeu, etc. Suprafeţe mai mari de 100 ha
 – Solurile alcaline (cu pH mai mare de 8,4) totalizează 4,7 % din suprafaţa studiată. În unele comune,                 afectate de alunecări se întâlnesc în comunele Hilişeu-Horia, Dresca, Şendriceni, Văculeşti, Ungureni,
   ponderea solurilor alcalizate este mai mare decât media pe judeţ (peste 10% soluri alcalinizate):                    Răchiţi, Stăuceni, Gorbăneşti, Lunca, Albeşti, Todireni, Răuseni, Călăraşi, Santa Mare, Mitoc şi în
   Vlăsineşti, Ştefăneşti, Dângeni, Suliţa, Coţuşca, Gorbăneşti.                                                        treritoriul oraşului Săveni. Comunele cu suprafeţe între 50 şi 100 ha afectate de alunecări sunt:
 – În ceea ce priveşte asigurarea solurilor agricole cu humus, datele de analiză arată că 30% din                       Hudeşti, Suharău, Leorda, Mihai Eminescu, Curteşti, Băluşeni, Truşeşti, Hăneşti, Avrămeni, Coţuşca,
   acestea sunt slab şi foarte slab asigurate cu humus. Cauza cea mai importantă a conţinutului scăzut                  la care se adaugă şi teritoriul oraşului Botoşani.
   de humus constă în eroziunea moderată, puternică sau excesivă ce se constată pe versanţii cu                         - Terenuri degradate prin exces de umiditate şi local sărături - întâlnite în luncile văilor principale şi
   înclinare mare.                                                                                                      secundare. Teritoriile administrative cu suprafeţe mari afectate (peste 100 ha) sunt: Săveni, Albeşti,
 – Azotul reprezintă principalul element de nutriţie implicat în procesele de creştere şi dezvoltare a                  Dângeni, Manoleasa, Păltiniş, Şendriceni, Todireni, Văculeşti, Vârfu Câmpului, iar cele cu suprafeţe
   plantelor. Asigurarea slabă cu azot a fost constatată pe 25% din suprafaţa agricolă totală. În                       între 50 şi 100 ha sunt: Dobârceni, Gorbăneşti, Leorda, Răuseni, Suharău, Stăuceni, Ştefăneşti.
   condiţiile geomorfologice ale judeţului Botoşani, cu o pondere însemnată a terenurilor în pantă,
   eroziunea afectează semnificativ atât rezerva de azot organic, cât şi dinamica de durată a formelor                   Resursele subsolului sunt reprezentate de o serie de roci utile şi substanţe minerale, legate de
   minerale de azot din sol.                                                                                            constituţia geologică a teritoriului, între care menţionăm (vezi cartograma ):
 – Asigurarea foarte slabă şi slabă cu fosfor mobil se regăseşte pe 44% din suprafaţa studiată.                         - Nisipuri silicioase - întâlnite în zona dintre Rădăuţi - Prut şi Miorcani şi în zona Hudeşti - Alba -
   Cercetările agricole au stabilit că au loc pierderi importante de recoltă în cazul aprovizionării slabe              Suharău, exploatate prin puţuri la Miorcani şi Hudeşti.
                                                                                                                        - Flinturi (bile şi fragmente de silex) exploatate la Miorcani, odată cu nisipurile.

Elaboratori: UAUIM-CCPEC, Bucureşti, împreună cu, Universitatea Bucureşti – CICADIT, SC. Quattro Design s.r.l. – Bucureşti, SC. Urbatech s.r.l. – Iaşi, UAIC - Facultatea de Geografie, Iaşi,                                     13
Actualizare Plan de Amenajarea Teritoriului Judeţean Botoşani                                                                                                                              Consiliul Judeţean Botoşani
  - Nisipuri glauconitice - prezente la Rădăuţi - Prut - Crăiniceni.
   - Nisipuri - întâlnite la Păltiniş - cariera Eşanca - la Manoleasa pe Prut, în apropiere de Dorohoi, în
   comuna Stinbieni.
   - Gipsuri - întâlnite în nord între Crasnaleuca - Miorcani - Rădăuţi-Prut - Horodiştea - Cuzlău - Păltiniş
   - Conceşti - Hudeşti - Suhărău - Dersca, dar exploatate rentabil în zona Cuzlău - Păltiniş.
   - Sulf - identificat în teritoriul oraşului Darabani şi la Păltiniş, precum şi pe valea Podriga la cca. 2 km
   sud-vest de Darabani.
   - Turbă - exploatată în zona Dersca - Lozna, pe valea Bahnei.
   - Calcare recifale - întâlnite între Miorcani şi Stânca şi exploatate la Ripiceni, Miorcani, Stânca.
   - Gresii - exploatate în carierele de la Ivăncăuţi - Păltiniş, Hudeşti, Oneaga - Cristeşti, dar prezente şi
   pe teritoriul comunelor Conceşti, Păltiniş, Rădăuţi - Prut, Tudora, Frumuşica, Ibăneşti ş.a.
   - Pietrişuri - exploatate în lungul Prutului la Crasnaleuca, Baranca, Oroftiana, pe Jijia la Răuseni, pe
   Siret la Tudora, Corni, Vârfu Câmpului, ş.a.
   - Argile bentonitice - întâlnite în zona localităţii Crasnaleuca.
   - Argile comune - au o largă răspândire, exploatări mai importante fiind la Bajura-Cuzlău, Mitoc, zona
   Darabani, Iezar-Dorohoi, Albeşti, Ungureni, Săveni, Botoşani, Suharău, Bucecea, Mihăileni, Ilorda,
   etc.
   - Tufuri - apar în zona Hudeşti şi la Cuzlău-Păltiniş.

A.1.3 Zone protejate şi peisaje culturale
A.1.3.1 Zone protejate
Ministerul Mediului şi Gospodăririi Apelor publică, prin intermediul paginii sale Internet, lista ariilor
protejate, conform prevederilor Ordonanţei de Urgenţă a Guvernului României nr. 57/2007 privind
regimul ariilor naturale protejate, conservarea habitatelor naturale, a florei şi faunei sălbatice,
publicată în Monitorul Oficial nr. 442 din 29 iunie 2007, pentru următoarele grupe de arii naturale
protejate:
1. Parcuri naţionale şi naturale – nu există în judeţul Botoşani                                                                           Fig. A.2.1.a. Arii naturale protejate în judeţul Botoşani, pe categorii.
2. Rezervaţii ştiinţifice, rezervaţii naturale şi monumente ale naturii
3. Situri de Importanţă Comunitară (reţeaua ecologică europeană Natura 2000)                                      Ariile naturale protejate din categoria a III-a corespund prevederilor OM nr. 776/2007 privind
4. Situri de Protecţie Avifaunistică (reţeaua ecologică europeană Natura 2000)                                    declararea siturilor de importanţă comunitară ca parte integrantă a reţelei ecologice Natura 2000 în
5. Limita de aplicare a Convenţiei-cadru privind protecţia şi dezvoltarea durabilă a Carpaţilor                   România, publicat în Monitorul Oficial nr. 615 din 15 septembrie 2007, iar cele din categoria a IV-a
(Convenţia Carpatică), adoptată la Kiev la 22 mai 2003 – nu există în judeţul Botoşani                            HG nr. 1284/2007 privind declararea ariilor de protecţie specială avifaunistică ca parte integrantă a
                                                                                                                  reţelei ecologice europene Natura 2000 în România, publicată în Monitorul Oficial nr. 739 din 31
                                                                                                                  octombrie 2007.

                                                                                                                  Situaţia ariilor naturale protejate din categoriile a II-a, a III-a şi a IV-a la nivelul judeţului Botoşani este
                                                                                                                  prezentată, pe baza datelor puse la dispoziţia publicului pe site-ul ministerului de resort, în Fig. A.2.1.a.




Elaboratori: UAUIM-CCPEC, Bucureşti, împreună cu, Universitatea Bucureşti – CICADIT, SC. Quattro Design s.r.l. – Bucureşti, SC. Urbatech s.r.l. – Iaşi, UAIC - Facultatea de Geografie, Iaşi,                                  14
Actualizare Plan de Amenajarea Teritoriului Judeţean Botoşani                                                                                                                    Consiliul Judeţean Botoşani
                                                                                             Tabel A.2.1.a                                                                                                   Tabel A.2.1.b

                Arii protejate prin Hotărârea 5/1995 a Consiliului Judeţean Botoşani                                                                     Monumente ale naturii
                Numele                                   Tipul        Suprafaţa (ha)                                       Denumire                           Localizare                            Administrator
                Pădurea Ciornohal                        forestier    76,5                                      Stejar (5 buc)               Municipiul Botoşani                      Consiliul Local Botoşani
                Rezervaţia de tisă                       forestier    119                                       Stejar brumăriu              Municipiul Botoşani                      Consiliul Local Botoşani
                Arinişul de la Horlăceni                 forestier    5,0                                       Salcâm japonez               Municipiul Botoşani                      Consiliul Local Botoşani
                Făgetul secular de la Stuhoasa           forestier    60,5                                      Paulonia                     Municipiul Botoşani                      Consiliul Local Botoşani
                Pădurea Vorona                           forestier    149,4                                     Fagul roşu                   Municipiul Botoşani                      Consiliul Local Botoşani
                Codrul eminescian de la Ipoteşti         forestier    762,4                                     Tei (2 buc)                  Municipiul Botoşani                      Consiliul Local Botoşani
                Pădurea Guranda                          forestier    62,2                                      Pin (2 exemplare)            Municipiul Botoşani                      Consiliul Local Botoşani
                Pădurea Polonic                          forestier    34,7                                      Ginko biloba                 Municipiul Botoşani                      Consiliul Local Botoşani
                Pădurea Rediu                            forestier    155,1                                     Magnolia (4 exemplare)       Municipiul Botoşani                      Consiliul Local Botoşani
                Pădurea Agafton-Baisa                    forestier    75,8                                      Plopul alb                   Municipiul Botoşani                      Consiliul Local Botoşani
                Pădurea Buduhala-Copălău                 forestier    46,6                                      Molid argintiu (6 exemplare) Municipiul Botoşani                      Consiliul Local Botoşani
                Pădurea Ţiganca                          forestier    86,0                                      Salcâm japonez               Municipiul Botoşani                      Consiliul Local Botoşani
                Pădurea Frumuşica                        forestier    12,2                                      Stejar secular (4 exemplare) Comuna Cordăreni                         Consiliul Local Cordăreni
                Pădurea Schitul Balş                     forestier    57,3                                      Stejar secular (6 exemplare) Pădurea Teioasa                          Ocolul Silvic Darabani
                Pădurea Mănăstirea Cozancea              forestier    71,3                                      Stejar secular               Pădurea Guranda – Durneşti               Ocolul Silvic Truşeşti
                Pădurea Şendriceni – Horlăceni           forestier    170,8+71,6                                Stejar secular (2 exemplare) Pădurea Nicolae Bălcescu                 Ocolul Silvic Flămânzi
                                                                                                                Stejar secular (2 exemplare) Parcul spitalului Vârf u Câmpului        Spitalul Vârfu Câmpului
                Pădurea Văculeşti                        forestier    221,2
                                                                                                                Stejar secular (3 exemplare) Poiniţa-Dracşani                         Ocolul Silvic Botoşani
                Pădurea Horlăceni                        forestier    258+234,5
                                                                                                                Stejar secular               Pădurea Băiceni                          Ocolul Silvic Mihai Eminescu
                Pădurea Săveni                           forestier    24,0
                                                                                                                Stejar secular               Poiana Florii –Pădurea Guranda           Ocolul Silvic Truşeşti
                Pădurea Rai                              forestier    289,2
                                                                                                                Stejar secular               DN Botoşani-Iaşi                         Ocolul Silvic Flămânzi
                Pădurea Trestioara                       forestier    72,6
                                                                                                                Stejar secular               Pădurea Tudora                           Ocolul Silvic Mihai Eminescu
                Pădurea Valea Marcului                   forestier    180,6
                                                                                                                Stejar secular               SC CONTED SA Dorohoi                     SC CONTED SA Dorohoi
                Bălţile Siretului                        floristic    2,0
                                                                                                                Plop alb                     Comuna Vorona                            DJDP Botoşani
                Stânca – Ripiceni                        floristic    1,0
                                                                                                                Gingko biloba (2 exemplare) Parcul Brăeşti                            Consiliul Local Brăeşti
                Stânca – Ştefăneşti                      floristic    1,0                                       Salcâm japonez (3 exemplare) Grădina de vară Dorohoi                  Consiliul Local Dorohoi
                Turbăria Dersca                          floristic    10,0                                      Gorunul lui Cuza             Pădurea Vorona                           Consiliul Local Vorona
                Zona Cornişa                             forestier    7,0                                       Gorunul lui Coroi            Pădurea Durneşti                         Ocolul Silvic Truşeşti
                Pădurea de salcâmi Darabani              forestier    35,0                                      Castanul lui Eminescu        Casa de copii Pomârla                    Casa de copii Pomârla
                Pădurea zăvoi Siret                      forestier    573,0                                     Molid argintiu               Casa memorială “Mihai Eminescu” Ipoteşti Casa memorială “Mihai Eminescu” Ipoteşti
                Pădurea zăvoi Prut                       forestier    963,0                                     Molid argintiu (2 exemplare) Parcul Dorohoi                           Consiliul Local Dorohoi
                Pădurea zăvoi Prut                       forestier    484,4                                     Ienupăr                      Pădurea Tudora-Vorona                    Ocolul Silvic Mihai Eminescu
                                                                                                                Ienupăr (2 exemplare)        Parcul Dorohoi                           Consiliul Local Dorohoi
În judeţul Botoşani există un număr de 31 arii naturale protejate cu suprafaţa totală de 5372,7 ha, ceea        Masa tâlharilor              Între comunele Frumuşica şi Flămânzi     Ocolul Sivic Flămânzi
ce reprezintă cca. 1,09% din suprafaţa totală a judeţului. Din acestea, 23 sunt protejate în plan local (şi
sunt în fond forestier), iar 8 rezervaţii naturale, cu suprafaţa de 275 ha, sunt nominalizate în Legea nr.    Conform angajamentelor asumate de România în negocierea Capitolul 22 Mediu – secţiunea Protecţia
5/2000, fiind incluse în Reţeaua Naţională de Arii Protejate. Acestea sunt: Făgetul secular de la             Naturii, APM Botoşani a completat Formularele Standard pentru opt propuneri de situri Natura
Stuhoasa, Pădurea Tudora, Pădurea Cionohal, Arinişul de la Horlăceni, Rezervaţia floristică de la             2000: Pădurea Tudora, Pădurea Vorona, Pădurea Ciornohal, Turbăria de la Dersca, Lac Stânca –
Stânca, Rezervaţia floristică de la Ripiceni, Rezervaţia floristică „Bălţile Siretului” din comuna            Costeşti, Iaz Hăneşti, Iezer Dorohoi, Balta Lată, Rezervaţia floristica Stânca şi Rezervaţia floristica
Bucecea şi Rezervaţia de turbă din comuna Dersca. Aceste situri protejate sunt considerate eşantioane         Ripiceni.
reprezentative pentru flora şi fauna judeţului în care sunt conservate ecosisteme complexe şi tipuri de
habitate cum ar fi: stâncării, păduri de foioase, zone umede, turbării. În aceste teritorii protejate sunt    Dintre categoriile de situri care vor intra în componenţa reţelei Natura 2000, situaţia se prezintă astfel:
conservate ecosisteme complexe şi tipuri de habitate caracteristice judeţului Botoşani: stâncării, păduri     Situri de Importanţă Comunitară – Pădurea Tudora, Pădurea Vorona, Pădurea Ciornohal, Turbăria de la
de foioase, zone umede, turbării.                                                                             Dersca, Rezervaţia floristica Stânca şi Rezervaţia floristica Ripiceni; Arii de Protecţie Avifaunistică –
                                                                                                              Lac Stânca – Costeşti, Iaz Hăneşti, Iezer Dorohoi şi Balta Lată; potenţiale situri Natura 2000 incluse în
                                                                                                              CORINE Biotopes – Pădurea Tudora, Pădurea Vorona, Pădurea Ciornohal, Turbăria de la Dersca,
                                                                                                              Rezervaţia floristica Stânca şi Rezervaţia floristica Ripiceni; alte propuneri – Lac Stânca – Costeşti, Iaz
                                                                                                              Hăneşti, Iezer Dorohoi şi Balta Lată.


Elaboratori: UAUIM-CCPEC, Bucureşti, împreună cu, Universitatea Bucureşti – CICADIT, SC. Quattro Design s.r.l. – Bucureşti, SC. Urbatech s.r.l. – Iaşi, UAIC - Facultatea de Geografie, Iaşi,                                15
Actualizare Plan de Amenajarea Teritoriului Judeţean Botoşani                                                                                                                                    Consiliul Judeţean Botoşani
                                                                                                               Tabel A.2.1.c   Pădurea Ciornohal
                                                                                                                               Suprafaţă: 265 ha
                                                   Rezervaţii naturale
        Denumire                 Localizare           Suprafaţa (ha)                   Administrator                           Regiunea biogeografică: continentală
 Pădurea Ciornohal            Comuna Călăraşi       76,5             Direcţia Silvică Botoşani – Ocolul Silvic Truşeşti
 Rezervaţia de Tisă           Comuna Tudora         119              Direcţia Silvică Botoşani – Ocolul Silvic Mihai           Tipuri de habitate prezente în sit: păduri dacice de stejar şi carpen
                                                                     Eminescu                                                  Specii de importanţă comunitară: Iris aphylla ssp. hungarica
 Arinişul de la Horlăceni     Comuna Şendriceni     5                Direcţia Silvică Botoşani – Ocolul Silvic Dorohoi
 Făgetul Secular de la        Comuna Suharău        60,5             Direcţia Silvică Botoşani – Ocolul Silvic Dorohoi         Alte specii importante de floră şi faună: Carex brevicollis, Cephalanthera damasonium, Cotinus
 Stuhoasa                                                                                                                      coggygria, Cotinus coggygria, Crocus reticulatus, Cypripedium calceolus forma viridiflorum, Dianthus
 Rezervaţia floristică        Comuna Bucecea        2                  Consiliul Local Bucecea                                 capitatus, Echium rossicum, Hierochloe repens, Phlomis herba-venti ssp. pungens, Prunus fruticosa,
 complexă Bălţile Siretului
                                                                                                                               Prunus tenella, Rumex tuberosus, Serratula radiata, Symphytum ottomanum, Symphytum ottomanum,
 Rezervaţia floristică de     Satul Stânca, comuna 1                   Consiliul Local Ştefăneşti
 Schiwereckia podolica        Ştefăneşti                                                                                       Trinia multicaulis
 Turbăria de la Dersca        Satul Lozna, comuna 10                   Consiliul local Dersca                                  Acoperirea şi utilizarea terenului: culturi (teren arabil), păşuni, păduri de foioase
                              Dersca
 Rezervaţia floristică de     Comuna Ripiceni      1                   Consiliul Local Ripiceni                                Alte caracteristici ale sitului: teritoriul în care se află situl aparţine miocenului reprezentat prin depozite
 Schiwereckia podolica                                                                                                         sarmatice iar din punct de vedere petrografic predomină marnele argiloase, apoi argilele şi mai puţin
 Lacul Stânca Costeşti        Sat Stanca, oraş      2950               Administratia Nationala “Apele Romane”                  loess-ul. Pădurea Ciornohal aparţine provinciei balcano-meossiace şi este staţiunea cea mai nordică cu
                              Stefanesti
                                                                                                                               Cotinus coggygria, element pontic sub-mediteranean de mare însemnătate fitogeografică. Aici se
                                                                                                                               întâlnesc şi numeroase elemente continentale şi sudice specifice stepei. Dintre numeroasele specii
                                                                                                                               continentale, unele fiind chiar rare, cităm: Adonis vernalis, Amygdalus nana, Centaurea orientalis,
                                                                                                               Tabel A.2.1.d
                                                                                                                               Veronica spicata. Din grupul speciilor pontice, enumerăm: pontice – Alyssum hirsutum, Dianthus
                                                   Categoria
                                                                                                                               membranaceus, Marrubium praecox; pontico-submediteraneene – Ranunculus illyricus, Salvia
                      Denumire sit                              Situri CORINE Biotopes         Alte propuneri                  pratensis, Trifolium pannonicus; pontico-panonice – Acer tataricum, Ajuga laxmani, Carduus
                                                 pSIC pSPA
                                                                                                                               hamulosus, pontico-balcanice – Arum orientale, Cytisus austriacus, Linum flavum. Numeroase sunt şi
              Pădurea Tudora                     x              x
              Pădurea Ciornohal                  x              x                                                              speciile sub-mediteraneene, iar dintre acestea cităm: Bupleurum praealtum, Calamintha acinos,
              Pădurea Vorona                     x              x                                                              Herniaria incana. Elementul daco-balcanic este reprezentat numai prin specia Rhinanthus rumelicus.
              Turbăria de la Dersca              x              x                                                              Calitate şi importanţă: situl este important din punct de vedere bioconservativ şi a fost obiect de studiu
              Balta Lată                                x                                      x
              Iezer Dorohoi                             x                                      x
                                                                                                                               încă din anul 1909 de către Petre Enculescu. Este o pădure tipică pentru silvostepa nordică din
              Iaz Hanesti                               x                                      x                               România. Din punct de vedere fitogeografic, aici este limita nordică a arealului speciei Cotinus
              Lac Stânca-Costeşti                       x                                      x                               coggygria în România, element pontic-submediteranean. Pădurea este bine conservată, neexistând
              Rezervaţia floristică Stânca       x              x                                                              factori de degradare.
              Rezervaţia floristică Ripiceni     x      x       x
                                                                                                                               Desemnarea sitului: este inclus în Anexa I a Legii nr. 5/2000, la poziţia 2230 – "Pădurea Ciornohal".
                                                                                                                               Din punct de vedere administrativ apar ine comunei Călăraşi. Este o rezervaţie de interes botanic în
                                                                                                               Tabel A.2.1.e
                                                                                                                               principal, fiind inclusă în categoria IV – IUCN.
                                                 Situri NATURA 2000                                                            Tip de proprietate: proprietate a statului.
                          Situri de Importanţă Comunitară                                                                      Management: instituţia responsabilă pentru managementul sitului este Direcţia Silvică Botoşani, care a
                                                                                          Arii de Protecţie Avifaunistică
        Denumire sit                   Tip habitat, specii de interes comunitar
                                                                                                                               preluat în custodie situl, contract nr. 5109/25.08.05. Există plan de management întocmit de custode
 Pădurea Tudora                  Păduri cu stejar pedunculat sau stejar subatlantic şi   Lac Stânca-Costeşti
                                 medioeuropean şi cu Carpinion betuli                                                          Direcţia Silvică Botoşani, avizat de Academia Română.
 Pădurea Vorona                  Cypripedium calceolus                                   Iaz Hăneşti
 Pădurea Ciornohal               Păduri eurosiberiene cu Quercus robur                   Iezer Dorohoi
 Turbăria de la Dersca           Depresiuni pe substraturi turboase, asociaţii de        Balta Lată
                                 lizieră cu ierburi înalte hidrofile                                                           Pădurea Tudora
 Rezervaţia floristică Stânca Pante stâncoase calcaroase cu vegetaţie chasmofitică
 Rezervaţia floristică Ripiceni Pante stâncoase calcaroase cu vegetaţie chasmofitică                                           Suprafaţă: 245 ha
                                                                                                                               Regiunea biogeografică: continentală
Prezentăm în continuare o descriere succintă a ariilor naturale protejate din judeţul Botoşani, parte
integrantă a reţelei ecologice europene Natura 2000.                                                                           Tipuri de habitate prezente în sit: subatlantice şi medioeuropene de stejar sau stejar cu carpen din
                                                                                                                               Carpinion betuli

Elaboratori: UAUIM-CCPEC, Bucureşti, împreună cu, Universitatea Bucureşti – CICADIT, SC. Quattro Design s.r.l. – Bucureşti, SC. Urbatech s.r.l. – Iaşi, UAIC - Facultatea de Geografie, Iaşi,                                              16
Actualizare Plan de Amenajarea Teritoriului Judeţean Botoşani                                                                                                                        Consiliul Judeţean Botoşani
Alte specii importante de floră şi faună: Accipiter gentilis, Aegithalos caudatus, Asio otus, Buteo buteo,         Alte caracteristici ale sitului: situl este situat pe platforma moldovenească a cărei fundament este format
Carduelis carduelis, Carduelis chloris, Certhia familiaris, Coccothraustes coccothraustes, Cuculus                 din roci cristaline, magmatice si roci eruptive ce alcătuiesc un soclu rigid care a suferit o serie de
canorus, Dendrocopos major, Dendrocopos medius, Dendrocopos minor, Dryocopus martius,                              mişcări de ridicare şi coborâre de-a lungul erelor geologice, având loc mai multe transgresiuni şi
Emberiza citrinella, Erithacus rubecula, Falco tinnunculus, Ficedula albicollis, Ficedula hypoleuca,               regresiuni marine. Odată cu sfârşitul etapei de arie mobilă, geosinclinală, relieful cristalin a fost preluat
Hippolais icterina, Hippolais pallida, Hippolais polyglotta, Luscinia megarhynchos, Muscicapa                      de către agenţii externi care şi-au început activitatea de eroziune. Succesiunea de formaţiuni geologice
striata, Oriolus oriolus, Otus scops, Parus caeruleus, Parus lugubris, Parus major, Parus palustris,               prezentate pe cursul Prutului poate fi sintetizată în: orizontul de gresii cu silexuri din Badenianul
Passer montanus, Phasianus colchicus, Phoenicurus phoenicurus, Phylloscopus collybita,                             superior, care a constituit o resursă importantă pentru dezvoltarea unor comunităţi umane paleolitice;
Phylloscopus sibilatrix, Phylloscopus trochilus, Picus viridis, Regulus regulus, Scolopax rusticola,               nivelul de gipsuri din Badenianul superior cantonează ample fenomene carstice cunoscute pe Terra in
Sitta europaea, Streptopelia decaocto, Streptopelia turtur, Strix aluco, Sturnus vulgaris, Sylvia                  gipsuri; calcarele cu Liţoţamnium din Badenianul superior cu potenţial carstic atestat în alte zone;
atricapilla, Sylvia borin, Sylvia curruca, Troglodytes troglodytes, Turdus merula, Turdus philomelos,              calcarele recifale bugloviene reprezintă probabil cea mai extinsă barieră fosilă de corali din Europa.
Capreolus capreolus, Cervus elaphus, Felis silvestris silvestris, Martes martes, Mustela putorius                  Lacul Stânca-Costeşti este un lac de acumulare construit în vederea exploatării hidroenergiei;lacul
putorius, Sciurus vulgaris, Cephalanthera damasonium, Epipactis helleborine, Galanthus nivalis,                    prezintă variaţii de nivel în funcţie de regimul precipitaţiilor şi utilizare. Sub depunerile mâloase există
Orchis purpurea, Platanthera bifolia, Taxus baccata                                                                un punct stâncos calcaros care poate fi observat şi la ţărm.
Acoperirea şi utilizarea terenului: pajişti naturale, stepe, păduri de foioase                                     Calitate şi importanţă: avifauna din perimetrul lacului de acumulare este constituită din 178 de specii de
                                                                                                                   păsări, unele cu apariţii neregulate, altele fiind prezente în timpul pasajului şi mai ales, iarna, lacul de
Alte caracteristici ale sitului: situl prezint importanţă ştiinţifică din punct de vedere al bogăţiei floristice
                                                                                                                   acumulare fiind un important cartier de internare a păsărilor din bazinul românesc al Prutului. Avifauna
şi diversităţii vegetaţiei. În areal este semnalată şi prezenţa arboretului de Taxus baccata, specie declarată
                                                                                                                   regiunii cuprinde 136 de specii folosite drept criterii pentru identificarea ariilor de importanţă
monument al naturii. Însemnătate fitogeografică deosebită o au şi elementele alpino-carpatice, alpino-
                                                                                                                   avifaunistică, reprezentând 76,40% din totalul avifaunei râului Prut: aglomerări de specii migratoare,
boreale şi atlantice (Gentiana ciliata, Crocus beuffelianus, Carex pendula, Hedera helix). Se remarcă şi o
                                                                                                                   neameninţate la nivelul Uniunii Europene – 1 specie, aglomerări mari de păsări de apă în timpul
serie de elemente dacice, balcanice de diverse nuanţe (Cardamine glanduligera, Echinops commutatus,
                                                                                                                   migraţiei şi iarna. Zona propusă cuprinde lacul de acumulare amenajată pe valea Prut, în amonte de
Telekia speciosa). Numeroase sunt şi elementele sudice de diferite nuanţe: pontice, pontic-
                                                                                                                   Costeşti – până la localitatea Sadoveni. Lacurile sunt un important loc de popas pentru păsările de apă
submediteraneene (Lathyrus venetus, Cerinthe minor), sub-mediteraneene (Lathirus nissolia, Stachys
                                                                                                                   în timpul migraţiei, respectiv putând fii observate regulat stoluri mari de raţe, gâşte, pescăruşi, lişiţe,
germanica, Asparagus tenuifolius) şi continentale (Koeleria macrantha, Lavathera thuringiaca). Zona
                                                                                                                   cufundari etc. În perioada de cuibărit puţine păsări de apă pot fi întâlnite, dar avifauna clocitoare poate
este alcătuită din formaţiuni sedimentare de vârstă sarmaţiană cu un facies petrografic mai rezistent
                                                                                                                   să se îmbogăţească pe măsură ce pe malurile lacului se dezvoltă o vegetaţie mai abundentă. După datele
(gresii şi calcare oolitice cu intercalaţii de argile).
                                                                                                                   din prezent, o specie atinge pragul de aglomerare în migraţie, dar probabil vor fi mai multe cu
Calitate şi importanţă: situl cuprinde un complex de asociaţii forestiere în parte unice (Făgetum                  intensificarea observaţiilor Situl este cel mai important cartier de iernare al păsărilor acvatice din
moldavicum) la interferenţă de areale biogeografice distincte în făgetogorunete. Situl este bine                   bazinul românesc al Prutului.
conservat, datorită monitorizării permanente şi respectării regulamentului ariei naturale protejate.
                                                                                                                   Desemnarea sitului: a fost desemnat ca Arie de Protecţie Specială Avifaunistică prin Hotărârea de
Desemnarea sitului: staţiunea de tisă Tudora a fost semnalată încă din anul 1937 de V. Tufescu. Actul              Guvern nr. 2151/2004.
de declarare la nivel local este HCJ nr. 5/1995, iar ultimul act de declarare la nivel naţional este Legea
                                                                                                                   Management: APM Botoşani a întocmit Planul de management al sitului, care a fost avizat de
nr. 5/2000.
                                                                                                                   Academia Română.
Tip de proprietate: toată suprafaţa sitului de 119 ha aparţine fondului forestier proprietate publică a
statului.                                                                                                          Iazurile de pe valea Ibănesei – Başeului – Podrigăi
Management: situl cu suprafaţa de 119 ha este preluat în custodie de Direcţia Silvică Botoşani. Există             Suprafaţă: 2512 ha
plan de management avizat de Academia Română.                                                                      Regiunea biogeografică: continentală
Lacul Stânca Costeşti                                                                                              Alte specii importante de floră şi faună: Circus aeruginosus, Ixobrychus minutus, Nycticorax
                                                                                                                   nycticorax, Egretta alba, Egretta garzetta, Ardea purpurea, Ciconia ciconia, Chlidonias hybridus,
Suprafaţă: 2052 ha
                                                                                                                   Porzana parva, Anthus campestris, Lanius minor, Aythya nyroca, Chlidonias niger, Ciconia ciconia,
Regiunea biogeografică: continentală                                                                               Egretta alba, Egretta garzetta, Sterna hirundo, Gavia arctica, Gavia stellata, Philomachus pugnax,
Specii de importanţă comunitară: Allium saxatile, Aquila clanga, Aquila heliaca, Aquila pomarina,                  Mergus albellus, Phalacrocorax pygmeus, Nycticorax nycticorax, Chlidonias hybridus, Tringa glareola
Ardeola ralloides, Aythya nyroca, Ciconia ciconia, Dendrocopos syriacus, Egretta garzetta, Falco                   Acoperirea şi utilizarea terenului: râuri, lacuri, mlaştini, turbării, culturi (teren arabil), păşuni, alte
columbarius, Gavia arctica, Haliaeetus albicilla, Hieraaetus pennatus, Ixobrychus minutus, Lanius                  terenuri arabile
collurio, Lanius minor, Mergus albellus, Milvus migrans, Pandion haliaetus, Pernis apivorus, Podiceps
                                                                                                                   Alte caracteristici ale sitului: situl se găseşte la sud-est de pintenul deluros al Ibăneştilor, fiind încadrat
auritus, Schivereckia podolica, Silene chlorantha, Sisymbrium polymorphum
                                                                                                                   în Câmpia Jijiei Superioare şi a Başeului. Situl este alcătuit din numeroase iazuri şi acumulări:
Acoperirea şi utilizarea terenului: râuri, lacuri, culturi (teren arabil)

Elaboratori: UAUIM-CCPEC, Bucureşti, împreună cu, Universitatea Bucureşti – CICADIT, SC. Quattro Design s.r.l. – Bucureşti, SC. Urbatech s.r.l. – Iaşi, UAIC - Facultatea de Geografie, Iaşi,                                  17
Actualizare Plan de Amenajarea Teritoriului Judeţean Botoşani                                                                                                                    Consiliul Judeţean Botoşani
Acumulările Negreni, Mileanca, Cal Alb, Iazurile Lişmăniţa, Ibăneasa, Vorniceni, Prisaca, Tătărăşeni,         Turbăria de la Dersca
Neculce, Borzeşti, Havârna, fiind un excelent habitat pentru speciile de păsări specifice zonelor umede.
                                                                                                              Suprafaţă: 10 ha
Calitate şi importanţă: populaţii importante din specii ameninţate la nivelul Uniunii Europene – 3 specii
                                                                                                              Regiunea biogeografică: continentală
erete de stuf (Circus aeroginosus), creşteţ cenuşiu (Porzana parva), egretă mare (Egreta alba),
aglomerări mari de păsări acvatice – lacuri situate în valea Başeului şi în văile adiacente. Sunt un          Tipuri de habitate prezente în sit: lacuri eutrofe naturale cu vegetaţie tip Magnopotamion sau
important loc de popas pentru păsările migratoare, adăpostesc regulat peste 20.000 de păsări de apă           Hydrocharition, turbării degradate capabile de regenerare natural
migratoare în timpul migraţiei. Din punct de vedere al păsărilor cuibăritoare zona este importantă            Specii de importanţă comunitară: Angelica palustris
pentru populaţia de erete de stuf (Circus aeroginosus), creşteţ cenuşiu (Porzana parva) şi egretă mare
(Egreta alba). În stufăriş respectiv pe copacii de pe insula din lacul Hăneşti există colonii mixte de        Alte specii importante de floră şi faună: Dactylorhiza incarnata, Menyanthes trifoliata, Menyanthes
stârci, ca stârcul de noapte (Nycticorax nycticorax). Pe unele lacuri din valea Ibănesei găsim colonii de     trifoliata, Orchis laxiflora ssp. Elegans, Pedicularis sceptrum-carolinum, Peucedanum sceptrum-
chirighiţă cu obraji albi (Chlidonias hybrida) respectiv de pescăruşi râzător (Larus ridibundus).             carolinum, Phragmites australis, Potentilla palustris, Potentilla palustris, Salix pentandra, Salix
                                                                                                              repens
Management: nu există plan de management.
                                                                                                              Acoperirea şi utilizarea terenului: râuri, lacuri, culturi (teren arabil)
Pădurea Vorona                                                                                                Alte caracteristici ale sitului: situl este situat în partea de vest a judeţului Botoşani. Din punct de vedere
Suprafaţă: 381 ha                                                                                             geologic perimetrul Lozna-Dersca se încadrează în Platforma Moldovenească ce posedă un pachet de
                                                                                                              sedimente în grosime de 1000-5000 m. Fundamentul cristalin este alcătuit din micaşisturi, şisturi
Regiunea biogeografică: continentală                                                                          amfibolice – roci mezometamorfice, iar în partea superioară de roci epimetamorfice de tipul şisturilor
Tipuri de habitate prezente în sit: păduri dacice de stejar şi carpen                                         sercito-cloritoase, roci carbonatice, roci porfirogene. Stiva de sedimente dispuse peste fundamentul
                                                                                                              cristalin apar în paleozoicului, mezozoicului şi neozoicului. Datorită capilarităţii ridicate a plantelor ce
Specii de importanţă comunitară: Cypripedium calceolus
                                                                                                              alcătuiesc stratul turbifer apa îşi găseşte un bun locaş de acumulare în aceste zăcăminte (apa de
Alte specii importante de floră şi faună: Cardamine glanduligera, Cephalanthera longifolia,                   zăcământ). Apele au un aspect de mlaştină datorită dispunerii zăcămintelor pe un pat argilos
Dactylorhiza maculata, Gentiana asclepiadea, Gentianella ciliata, Melampyrum bihariense, Silene               impermeabil, Turbăria de la Dersca fiind o mlaştină eutrofă.
vulgaris, Symphytum cordatum
                                                                                                              Calitate şi importanţă: este habitat rar în România prin grosimea stratului de turbă eutrofă până la
Acoperirea şi utilizarea terenului: păduri de foioase, alte terenuri artificiale (localităţi şi mine)         neutră (1,5-6 m grosime). Aici sunt adăpostite unele specii de plante rare în flora vasculară a României.
Alte caracteristici ale sitului: substratul geologic de vârstă sarmaţiană al sitului este reprezentat prin    Stratul de turbă este format în special din briofite printre care dominant este Drepanocladus aduncus şi
roci alcătuite din conglomerate, alternând cu gresii, nisipuri şi argile vinete. Solul predominant este cel   alte specii cum sunt Chrysohypnum sommerfeltii, C. chrysohypnum, Callergon giganteum, Funaria
brun de pădure, iar pe alocuri apare podzolul. Flora rezervaţiei Vorona prezintă un remarcabil interes        hygrometrica, Marchantia plymorpha. Turba are un pH de 6,8-7,6 şi s-a format pe un strat impermeabil
sub aspect fitogeografic. Elementele floristice predominante sunt cele eurasiatice, europene şi               de argilă peste care se află un strat de pietriş de râu. Temperatura medie anuală este de 8,30 C şi media
circumpolare. Se întâlnesc însă şi elemente alpino-carpatice, alpino-boreale şi atlantice (Carex pendula,     multianuală a precipitaţiilor este de 563,3 mm.
Crocus heuffelianus, Festuca rubra, Hedera helix), precum şi o serie de specii dacice şi balcanice            Desemnarea sitului: este inclusă în Anexa I a Legii nr. 5/2000, la poziţia 2227 – "Turbăria de la
(Cardamine glanduligera, Melampyrum bihariense). Importanţă deosebită au şi speciile de origine               Dersca". Din punct de vedere administrativ aparţine comunei Dersca. Este o rezervaţie de interes
continentală şi sudică. Dintre acestea, enumerăm: Cerinthe minor, Iris hungarica, Lathyrus venetus,           botanic în principal, fiind inclusă în categoria a IV-a a IUCN.
Muscari commosum, Stachys germanica, Trifolium pannonicum.
                                                                                                              Tip de proprietate: terenurile apar in persoanelor particulare. Situl nu este preluat în custodie, dar se
Calitate şi importanţă: cercetările asupra florei şi vegetaţiei din sit reliefează bogăţia genofondului       află în administrarea Consiliului Local al Comunei Lozna.
existent şi însemnătatea fitogeografică a covorului vegetal. Covorul vegetal este variat şi prezintă un
                                                                                                              Management: planul de management a fost realizat de APM Botoşani şi a fost avizat de Academia
interes ştiinţific deosebit, cu o expresivitate remarcabilă pentru această zonă colinară. Specia floristică
                                                                                                              Română. Responsabilitatea pentru implementarea acţiunilor din planul de management revine APM
Cypripedium calceolus este nominalizată în Anexa 2 a Directivei Habitate şi în lista roşie naţională
                                                                                                              Botoşani şi Consiliului Local Lozna.
alături de Dactylorhiza maculata şi Cephalanthera longifolia).
Desemnarea sitului: situl se află sub regim protectiv local, fiind nominalizat în Hotărârea nr. 5/1995 al     Stânca-Ştefăneşti
CJ Botoşani.
                                                                                                              Suprafaţă: 1 ha
Tip de proprietate: proprietate privată a Mânăstirii Vorona şi fond forestier proprietate publică a           Regiunea biogeografică: continentală
statului.
                                                                                                              Tipuri de habitate prezente în sit: comunităţi rupicole calcifile sau pajişti bazifite din Alysso-Sedion albi
Management: există o parte din planul de management (plan de măsuri) elaborat de APM Botoşani şi
avizat de Academia Română.                                                                                    Alte specii importante de floră şi faună: Larus argentatus, Streptopelia turtur, Adonis vernalis, Ajuga
                                                                                                              laxmannii, Allium saxatile, Astragalus austriacus, Aurinia saxatilis, Centaurea orientalis, Dianthus

Elaboratori: UAUIM-CCPEC, Bucureşti, împreună cu, Universitatea Bucureşti – CICADIT, SC. Quattro Design s.r.l. – Bucureşti, SC. Urbatech s.r.l. – Iaşi, UAIC - Facultatea de Geografie, Iaşi,                            18
Actualizare Plan de Amenajarea Teritoriului Judeţean Botoşani                                                                                                          Consiliul Judeţean Botoşani
capitatus, Pulsatilla montana, Schivereckia podolica, Sempervivum ruthenicum, Silene chlorantha,
Sisymbrium polymorphum, Veronica spicata ssp. incana
Acoperirea şi utilizarea terenului: râuri, lacuri, mlaştini, turbării
Alte caracteristici ale sitului: situl este situat în partea de est a judeţului Botoşani, în Câmpia Moldovei.
Stâncăria principală este constituit din calcare recifale sarmatice, acoperite parţial cu loess. Pantele sunt
acoperite cu cernoziomuri de pantă carbonatice şi cu cernoziom levigat. Clima este temperat
continentală de tip est-european.
Calitate şi importanţă: Situl prezintă un mare număr de specii continental-sud-estice (cont. + pont. +
medit.-pont. + submedit. + balcano-dacice) care împreună cu speciile europene şi eurasiatice dau un
caracter ponto-sarmatic particular acestei regiuni, unica staţiune în România cu Schiverekia podolica ce
intră aici într-o asociaţie rupestră calcicolă cu totul deosebită de cele montane. Specia se află în această
staţiune floristică la limita vestică a arealului ei de răspândire. Importanţa sitului rezidă şi din faptul că
în acest areal vegetează câteva specii endemice dintre care amintim Veronica incana, Astragalus
austriacus, Sempervivum ruthenicum.
Desemnarea sitului: ultima lege prin care situl a fost declarat rezervaţie naturală de interes naţional este
Legea nr. 5/2000.
Tip de proprietate: toată suprafaţa rezervaţiei este proprietate de stat aparţinând Nodului Hidrotehnic
Stânca – ANAR Bucureşti. Situl este inclus în întregime în APSA Lac Stânca-Costeşti.
Management: există Plan de Management pentru Aria de Protecţie Specială Avifaunistică Lac Stânca-
Costeşti care cuprinde în întregime situl, plan care va fi implementat de custode.




Elaboratori: UAUIM-CCPEC, Bucureşti, împreună cu, Universitatea Bucureşti – CICADIT, SC. Quattro Design s.r.l. – Bucureşti, SC. Urbatech s.r.l. – Iaşi, UAIC - Facultatea de Geografie, Iaşi,          19
Actualizare Plan de Amenajarea Teritoriului Judeţean Botoşani                                                                                                              Consiliul Judeţean Botoşani
A.1.4. Probleme de mediu
A.1.4.1. Tipuri de ecosisteme
Având în vedere scara spaţială de abordare a acestui tip de studiu recomandată de ecologia sistemică în
raport cu tipologia stabilită de Nomenclatorul Unităţilor Statistice Teritoriale (NUTS), cadrul natural
poate fi descris prin analiza complexelor de ecosisteme regionale, pe baza datelor de acoperire şi
utilizare a terenurilor din cadrul programului CORINE (Informaţii de Mediu Coordonate pentru
Europa) la nivelul al doilea al clasificării (Petrişor, 2007).

  Tipuri de ecosisteme din judeţul Botoşani, conform clasificării CORINE
  Nivelul                                                             Suprafaţă        Suprafaţă
             Nivelul 2                     Nivelul 3
  1                                                                   (ha)             (%)
                                           Ţesut urban continuu       22,47            0,05
             Ţesut urban
  Suprafeţ                                 Ţesut urban discontinuu    4172,35          9,01
  e          Industrie, comerţ, transport Industrie sau comerţ        330,91           0,71
  artificial Suprafeţe artificiale         Spaţii verzi urbane        2,72             0,01
  e          neagricole acoperite de
             vegetaţie                     Sport şi loisir            3,34             0,01
             Teren arabil                  Teren arabil neirigat      23391,93         50,53
                                           Vii                        251,98           0,54                  Fig. 1a. Modificări în utilizarea terenurilor în perioada 1990-2000 în judeţul Botoşani – nivelul al III-
             Culturi permanente                                                                                                                     lea al clasificării CORINE.
                                           Livezi                     237,60           0,51
  Suprafeţ
  e          Păşuni                        Păşuni                     6722,34          14,52
  agricole                                 Culturi complexe           1451,98          3,14
             Suprafeţe agricole eterogene Teren agricol cu porţiuni
                                           importante acoperite de    3223,15          6,96
                                           vegetaţie naturală
                                           Păduri de foioase          4994,57          10,79
             Păduri
  Păduri,                                  Păduri de amestec          10,10            0,02
  zone                                     Pajişti naturale           5,14             0,01
  semi-      Tufărişuri, vegetaţie erbacee
                                           Liziere                    119,63           0,26
  naturale Spaţii deschise lipsite de
                                           Plaje, dune                7,77             0,02
             vegetaţie
  Zone
             Zone umede interioare         Mlaştini interioare        544,66           1,18
  umede
                                           Cursuri de apă             399,65           0,86
  Ape        Ape interioare
                                           Ape stătătoare             403,72           0,87

Aceste date arată că, în ordine descrescătoare a suprafeţelor ocupate, cele mai importante tipuri de
ecosisteme sunt agroecosistemele, în particular terenurile agricole neirigate (51% din suprafaţa totală),
păşunile (15% din suprafaţa totală) şi terenurile agricole acoperite de vegetaţie naturală (7% din
suprafaţa totală), pădurile, în particular cele de foioase (11% din suprafaţa totală) şi ecosistemele
urbane şi rurale (9% din suprafaţa totală).
                                                                                                              Fig. 1b. Modificări în acoperirea terenurilor în perioada 1990-2000 în judeţul Botoşani – nivelul I al
                                                                                                                                                      clasificării CORINE.

Elaboratori: UAUIM-CCPEC, Bucureşti, împreună cu, Universitatea Bucureşti – CICADIT, SC. Quattro Design s.r.l. – Bucureşti, SC. Urbatech s.r.l. – Iaşi, UAIC - Facultatea de Geografie, Iaşi,                       20
Actualizare Plan de Amenajarea Teritoriului Judeţean Botoşani                                                                                                                             Consiliul Judeţean Botoşani
Datele europene permit şi evidenţierea schimbărilor survenite în ocuparea şi utilizarea terenurilor în          Biotopuri
perioada 1990-2000. Pentru acesta, potrivit metodologiei prezentate de Petrişor (2008), nivelul al III-
                                                                                                                         Relieful
lea al clasificării indică magnitudinea schimbărilor (Fig. 1a), în timp ce primul nivel prezintă relevanţă
ecologică (Fig. 1b). Din analiza acestor date rezultă că suprafaţa totală afectată de schimbări la nivelul      Judeţul Botoşani este situat din punct de vedere geografic în extremitatea nord-estică a României,
al III-lea este de 500,5 ha, iar la nivelul I, de 118,3, ultimele modificări apărând în special în sud+estul    având ca vecini Ucraina, respectiv Republica Moldova. Fiind cuprins între râurile Siret la vest şi Prut,
judeţului ca posibil rezultat al unor activităţi de hidro-amenajare a unor zone agricole.                       care formează graniţa României cu Republica Moldova, judeţul Botoşani se învecinează doar cu două
                                                                                                                judeţe ale Moldovei, şi anume: la vest cu judeţul Suceava, iar la sud cu judeţul Iaşi. Cuprinzând între
Conform datelor furnizate de Direcţia Judeţeană de Statistică Botoşani situaţia fondului funciar se             limitele sale un teritoriu de 4965 km2 ce aparţine părţii de nord a Podişului Moldovei, judeţul Botoşani
prezintă astfel: total judeţ: 498569 ha, din care terenuri agricole: 393472 ha, din care: terenuri              ocupă locul 29, ponderea în totalul teritoriului naţional fiind de 2,1%. Coordonate geografice: paralela
arabile: 299262 ha, păşuni: 75070 ha, fâneţe: 14692 ha, vii: 1773 ha şi livezi: 2675 ha, şi terenuri            47024'16" N (Prăjeni), paralela 48016'06" N (Horodiştea), meridianul 27024'02" E (Dersca), meridianul
neagricole: 105097 ha, din care păduri şi alte terenuri din fondul forestier: 57212 ha, terenuri cu ape şi      27024'32" E (Pleşani-Călăraşi).
ape cu sulf: 13794 ha, căi de comunicaţii şi căi ferate: 8368 ha, terenuri ocupate cu construcţii şi curţi:
11628 ha şi terenuri degradate şi neproductive: 14095 ha.                                                                              Tipuri de habitate inventariate conform Legii 462/2001, Anexa 2
                                                                                                                                            Tip habitat                                                  Localizare
Habitatele naturale                                                                                               Pante stâncoase calcaroase cu vegetaţie chasmofitică              Malul stâncos al Prutului de la Stânca şi Ripiceni
                                                                                                                  Depresiuni pe substraturi turboase                                Rezervaţia Turbăria de la Dersca
Principalele tipuri de habitate inventariate pe teritoriul judeţului Botoşani sunt: habitatele de pădure,         Galerii cu Salix alba si Populus alba                             Pădurea Zavoi Prut de la Badiuţi până la Sânta Mare
habitate de pajişti şi tufărişuri, habitate de stâncării, turbării şi mlaştini, habitate de ape dulci.            Păduri cu stejar pedunculat sau stejar subatlantic şi             Pădurea Tudora
                                                                                                                  medioeuropean şi cu Carpinion betuli
Habitatele de pădure însumează 57215 ha ceea ce reprezintă 11,5% din teritoriul judeţului, procent                Păduri panonice cu Ouercus petraea şi Carpinus betulus            Pădurea Tudora
care se situează sub media pe ţară (care este de 27%). Cunoaşterea traiectoriei şi evoluţia spre care
tinde ecosistemul forestier este deosebit de importantă deoarece el constituie habitatul natural pentru
diverse specii de floră şi faună sălbatică. Menţinerea unui echilibru dinamic în acest tip de ecosistem         Relieful judeţului Botoşani aparţine la două mari unităţi ale Podişului Moldovei: Podişul Sucevei în
influenţează direct şi benefic nivelul diversităţii biologice din judeţul nostru şi păstrarea relaţiilor        vest (cca. 21%) şi Câmpia Moldovei în restul teritoriului (cca. 79%). În ansamblu, relieful se prezintă
complexe în cadrul biocenozelor.                                                                                sub forma unor dealuri şi culmi înalte în vest şi nord-vest cu altitudini medii în jur de 400 m şi sub
                                                                                                                forma unei câmpii colinare cu altitudini medii de 150 m în rest.
Habitatele de pajişti (păşuni şi fâneţe) însumează 89.285 ha care reprezintă 17,9% din suprafaţa
judeţului Botoşani. Pajiştile, ca şi pădurile, constituie un echilibru ecologic în cadrul acţiunilor şi         Datele privind relieful judeţului Botoşani au fost derivate din modelul digital de elevaţie prezentat de
retroacţiunilor dintre floră, faună, sol şi climă de aceea conservarea şi valorificarea lor judicioasă a fost   Jarvis şi colab. (2008), valorile de altitudine pentru Botoşani, prezentate în Fig. 2a, sunt cuprinse între 32-
urmărită de specialiştii noştri în aceeaşi măsură ca şi în cazul ecosistemului forestier. Pajiştile din         531 m. Pe baza acestora a fost elaborată harta reliefului (Fig. 2b) astfel: luncă – 0-20 m, câmpie – 20-200
judeţul Botoşani se înscriu în categoria pajişti secundare (fâneţe secundare sau păşuni). În general, se        m, deal/podiş – 200-1000 m, munte – peste 800 m (Petrişor, articol în curs de publicare); dintre acestea,
poate aprecia că starea acestor habitate este bună datorită respectării regulilor în organizarea                doar formele de câmpie şi deal sau podiş sunt prezente în judeţul Botoşani.
păşunatului şi evitarea încărcării păşunilor cu un număr excesiv de animale sau folosirii unilaterale a
ovinelor sau a caprinelor.
Habitatele de stâncării se întâlnesc în comunele Ştefăneşti, Ripiceni şi Manoleasa. Calcarele recifale
din aceste habitate reprezintă mediul de viaţă prielnic pentru o plantă termofilă foarte rară Schivereckia
podolica motiv pentru care aici s-au constituit rezervaţiile ştiinţifice de la Stânca-Ştefăneşti şi Ripiceni.
Habitatele de turbărie sunt reprezentate de „Turbăria de la Dersca” unde este constituită şi o
rezervaţie floristică cu o deosebită valoare monumentală şi estetică în care s-a urmărit conservarea
frumuseţilor naturale ce le reprezintă.
Habitate de ape dulci – cele mai importante lacuri de pe teritoriul judeţului Botoşani sunt: acumularea
cu rol complex Stânca Ştefăneşti pe râul Prut, acumulările Bucecea şi Rogojeşti pe râul Siret, Cal Alb
pe râul Podriga şi Negreni pe râul Başeu. La aceste lacuri se adaugă resursele de apă de suprafaţă.
Aceste medii acvatice constituie habitatul a numeroase specii de peşti printre care amintim: plătica,
şalăul, crapul românesc, roşioara, bibanul, carasul, etc.
                                                                                                                 Fig. 2a. Altitudinile în jud. Botoşani. Culorile mai deschise      Fig. 2b. Relieful în jud. Botoşani. Culorile corespund
                                                                                                                indică valori mai scăzute, iar cele închise valori mai ridicate.   unităţilor de relief astfel: verde deschis – câmpie, maro –
                                                                                                                                                                                                             deal/podiş.

Elaboratori: UAUIM-CCPEC, Bucureşti, împreună cu, Universitatea Bucureşti – CICADIT, SC. Quattro Design s.r.l. – Bucureşti, SC. Urbatech s.r.l. – Iaşi, UAIC - Facultatea de Geografie, Iaşi,                                               21
Actualizare Plan de Amenajarea Teritoriului Judeţean Botoşani                                                                                                                                              Consiliul Judeţean Botoşani
       Clima – temperatura
Datele utilizate sunt prezentate în articolul publicat de Govindasamy şi colab. (2003); din acestea a fost
decupată situaţia la nivelul jud. Botoşani pentru unităţi pătrate cu latura de 2,50 longitudine × 2,50
latitudine. Aceste date indică o variaţie a temperaturii medii între 7-90 C, cu valori mai scăzute în partea
de nord şi de vest a judeţului şi valori mai ridicate în sud-est (Fig. 3a).




                                                                                                                               Fig. 3c. Diferenţe dintre temperatura (stânga) şi precipitaţiile (dreapta) actuale şi valorile predicţiilor climatice pentru
                                                                                                                                  anul 2100 în jud. Botoşani. Culorile mai deschise indică valori mai scăzute, iar cele închise valori mai ridicate.

                                                                                                                              În general, configuraţia spaţială a climei o urmează pe cea a reliefului, valorile mai ridicate ale
                                                                                                                              temperaturii (actuale sau prezise) corespunzând unităţilor de relief joase (câmpie, luncă), iar cele
                                                                                                                              scăzute, reliefului înalt (deal, munte).
  Fig. 3a. Temperatura (stânga) şi precipitaţiile (dreapta) medii în jud. Botoşani. Culorile mai deschise indică valori mai
                                                                                                                              În ceea ce priveşte precipitaţiile, ele au fost analizate pe baza aceloraşi date, situaţia actuală fiind
                                        scăzute, iar cele închise valori mai ridicate.
                                                                                                                              prezentată în Fig. 3a, predicţia în Fig. 3b, iar diferenţele în Fig. 3c. Configuraţia spaţială este
                                                                                                                              asemănătoare cu cea a temperaturilor, în sensul că regiunilor cu temperaturi scăzute le corespund valori
Schimbările climatice afectează şi această regiune. Conform datelor publicate de Hijmans şi colab.
                                                                                                                              ridicate ale precipitaţiilor, iar celor cu temperaturi ridicate, valori scăzute ale precipitaţiilor. Predicţiile
(2005), predicţiile pentru anul 2100 urmează aceeaşi configuraţie spaţială ca şi clima actuală (Fig. 3b),
                                                                                                                              şi diferenţele urmează aceeaşi configuraţie spaţială ca şi precipitaţiile actuale. Este, de asemenea,
dar cu valori cuprinse între 9-120 C. Este importantă, pe baza acestor date, distribuţia spaţială a
                                                                                                                              important de subliniat faptul că aceste date indică o scădere aproape generalizată în judeţul Botoşani –
diferenţelor dintre temperatura actuală şi valorile predicţiilor climatice pentru anul 2100 (Fig. 3c). În
                                                                                                                              altfel spus, predicţiile climatice indică scăderi ale precipitaţiilor, regiunile în care se preconizează o
mare, configuraţia spaţială urmează acelaşi model, în sensul în care în zonele reci temperaturile vor
creşte mai puţin, iar în ele calde creşterile vor fi mult mai importante, ajungând la medii care depăşesc                     creştere comparativ cu situaţia actuală a precipitaţiilor ocupând o suprafaţă redusă.
cu 20 C valorile actuale. Este, de asemenea, important de subliniat faptul că aceste date indică o creştere
                                                                                                                              De asemenea, se observă că atât configuraţia temperaturii, cât şi cea a precipitaţiilor corespund
generalizată la nivelul judeţului Botoşani – altfel spus, predicţiile climatice indică doar creşteri ale
temperaturi, neexistând regiuni în care să se preconizeze o răcire comparativ cu situaţia actuală a                           altitudinii.
temperaturii.                                                                                                                 Calitatea biotopului
                                                                                                                              Starea calităţii atmosferei
                                                                                                                              APM Botoşani supraveghează calitatea aerului printr-o reţea de monitorizare structurată astfel: poluanţi
                                                                                                                              gazoşi, prin 4 puncte în flux de 24 ore, amplasate în municipiul Botoşani (APM, SC
                                                                                                                              ELECTROCONTACT SA şi Staţia de epurare) şi în zona de frontieră – Darabani (Staţia meteo);
                                                                                                                              pulberi în suspensie, în două puncte în flux de 24 ore situate în municipiul Botoşani (APM Botoşani şi
                                                                                                                              SC STORSACK RO. SRL Botoşani); pulberi sedimentabile în 5 puncte în flux lunar situate pe întreg
                                                                                                                              teritoriul judeţului Botoşani (APM Botoşani, Staţia meteo Botoşani, Staţia de epurare Darabani, Staţia
                                                                                                                              de epurare Săveni, Staţia de epurare Bucecea); calitatea precipitaţiilor în 3 puncte, din care unul în
                                                                                                                              zona de frontieră cu Republica Ucraina (APM Botoşani, Staţia de tratare Dorohoi, Staţia meteo
                                                                                                                              Darabani); oxizi de azot, într-un singur punct (sediul APM Botoşani) cu “Monitorul automat pentru
                                                                                                                              NOx”. Principalele surse de poluare sunt prezentate în Fig. 5.



  Fig. 3b. Predicţia valorilor temperaturii (stânga) şi precipitaţiilor (dreapta) medii în jud. Botoşani. Culorile deschise
                               indică valori mai ridicate, iar cele închise valori mai scăzute.

Elaboratori: UAUIM-CCPEC, Bucureşti, împreună cu, Universitatea Bucureşti – CICADIT, SC. Quattro Design s.r.l. – Bucureşti, SC. Urbatech s.r.l. – Iaşi, UAIC - Facultatea de Geografie, Iaşi,                                                                 22
Actualizare Plan de Amenajarea Teritoriului Judeţean Botoşani                                                                                                                Consiliul Judeţean Botoşani
                                                                                                                                     Debite măsurate pe râuri în judeţul Botoşani în anul 2004 (mc/s)
                                                                                                                              Râul         Staţia hidrometrică Debit maxim în anul 2004 m3/s Debit mediu multianual (m3/s)
                                                                                                                        Prut               Radauti-Prut                    563                           79.6
                                                                                                                        Prut               Stanca aval                     201                           82.4
                                                                                                                        Volovat            Manoleasa                       1,39                         0.434
                                                                                                                        Baseu              Stefanesti                      6,97                          1.74
                                                                                                                        Jijia              Dorohoi                         3,02                         0.665
                                                                                                                        Jijia              Dangeni                         21,4                          1.74
                                                                                                                        Jijia              Todireni                        23,8                          2.25
                                                                                                                        Buhai              Padureni                        1,34                         0.168
                                                                                                                        Drislea            Drislea                         4,46                         0.108
                                                                                                                        Deriv. Siret Sitna Bucecea                         2,38                         0.450
                                                                                                                        Sitna              Catamarasti                     2,46                         0.396
                                                                                                                        Sitna              Dracsani                        5,47                          1.53
                                                                                                                        Sitna              Todireni                        16,2                           2.3
                                                                                                                        Miletin            N.Balcescu                       7,6                         0.468
                                                                                                                        Sursa: Direcţia Apele Române “Prut” Iaşi

                                                                                                                 Starea calităţii apelor pe ansamblul bazinului inclusiv sub aspectul repartiţiei pe tronsoane de
                                                                                                                                    râu de diferite categorii de calitate conform NORCAS/2002
                                                                                                                                                               I             II                III               IV             V
                                                                                                                    Râu           Lungime (km)
                                                                                                                                                          km       %   km          %    km           %     km         %    km       %
                                                                                                               Prut                     237                            237        100
                                                                                                               Başeu                    104                                             83           79    21         21
                                                                                                               Podriga                   40                                             23           57                    17       43
                                                                                                               Jijia                    134                                             52           39    82         61
                                                                                                               Sitna                     78                            11         14    18           23    49         63
                                                                                                               Miletin                   55                                             55           100
                                                                                                               Total judeţ              648                            248        38    231          36    152        23   17       3
                                                                                                               Sursa: Direcţia Apele Române “Prut” Iaşi

                                                                                                                           Volume captate pe bazine hidrografice în anul 2004                 Volume captate pe activităţi economice
                                                                                                                                      Sursa de    Volume captate Total volum captat                               Volume captate
                                                                                                                Bazinul hidrografic                                                                 Activităţi
                                                                                                                                      captare        (mil. m3)            (mil. m3)                                   (mil. m3)
                                                                                                                                    suprafaţă          24,29                                  Populaţie                 15,76
                                                                                                                B.H. PRUT           subteran            0,89               25,18              Industrie                 10,70
                                                                                                                                    subteran            0,18                                  Irigaţii                   0,52
                                                                                                                                    suprafaţă           24,0                                  Piscicultură              23,14
                       Fig. 5. Poluarea atmosferei în judeţul Botoşani (sursa: APM Botoşani).                   B.H. SIRET                                                 24,97              Zootehnie                  0,04
                                                                                                                                    subteran            0,97
                                                                                                                                                                                              TOTAL                     50,15
                                                                                                               Sursa: Direcţia Apele Române “Prut” Iaşi
Starea râurilor
Teritoriul judeţului Botoşani este limitat la extremitatea estică de râul Prut, având afluenţii principali     Starea lacurilor
râul Başeu, cu care confluează în zona localităţii Ştefăneşti, şi râul Jijia cu care confluează în judeţul
Iaşi. La rândul său, râul Jijia are ca afluenţi râurile Sitna şi Miletin. Bazinul râului Prut ocupă 88% din
                                                                                                               Pe teritoriul judeţului Botoşani există cca. 150 lacuri, în mare parte folosinţe piscicole, dar şi surse de
suprafaţa judeţului, iar 12% este ocupat de bazinul râului Siret, situat în partea vestică a judeţului.
                                                                                                               alimentare cu apă în scop potabil pentru un număr important de localităţi. Lacul Bucecea are un volum
Repartiţia pe bazine hidrografice se prezintă astfel: B.H. Prut – 4382 km2, B.H. Siret – 603 km2.
                                                                                                               util de 8,73 mil. mc şi asigură alimentarea cu apă potabilă pentru municipiile Botoşani şi Dorohoi,
Lungimea reţelei hidrografice codificate este 2054 km. Principalele surse de apă de suprafaţă existente
                                                                                                               precum şi pentru zonele limitrofe aducţiunilor. De asemenea, asigură tranzitarea unor debite în perioade
pe teritoriul judeţului Botoşani sunt constituite din râurile Prut şi Siret. Cursurile de apă mici din judeţ
                                                                                                               excedentare pe derivaţia Siret – Sitna (în acumularea Cătămărăşti) pentru compensarea deficitelor de apă
au debite variabile în sezonul primăvară-vară, iar calitatea acestora nu se încadrează în limitele de
                                                                                                               din bazinul Jijia. Lacul Stânca, cu un volum total de 1285 mil mc şi un volum util de 450 mil. mc,
potabilitate. Acumulările cu rol complex existente pe aceste cursuri asigură surse de apă permanente.
                                                                                                               asigură alimentarea cu apă potabilă pentru localităţile Ştefăneşti şi Truşeşti şi, în perspectivă, Santa Mare
Resursele de apa ale judeţului sunt completate de apele subterane, astfel încât la nivelul judeţului
                                                                                                               şi Dângeni, dar produce şi energie electrică, la o putere instalată de 65 mil. kWh. Lacul Negreni, situat
Botoşani avem următoarea situaţie:
                                                                                                               pe râul Negreni în zona localităţii Negreni, asigură apă potabilă pentru oraşul Săveni cu un debit instalat

Elaboratori: UAUIM-CCPEC, Bucureşti, împreună cu, Universitatea Bucureşti – CICADIT, SC. Quattro Design s.r.l. – Bucureşti, SC. Urbatech s.r.l. – Iaşi, UAIC - Facultatea de Geografie, Iaşi,                                       23
Actualizare Plan de Amenajarea Teritoriului Judeţean Botoşani                                                                                                                              Consiliul Judeţean Botoşani
de 43 l/s. Volumul util este de 10,30 mil. mc. Putem aminti şi alte lacuri cu folosinţă piscicolă, cum ar fi:                                                Staţii de epurare orăşeneşti şi comunale
Iezer, Cătămărăşti, Cal Alb, Mileanca, Dracşani.                                                                                   Staţie de epurare            Populaţie deservită     Emisar
                                                                                                                                                                                                   Vol. ape uzate evacuate (mil.     Grad de
                                                                                                                                                                                                               m3)                   epurare
                                                                                                                         SC APA GRUP SA Botosani - Staţia              115344          Sitna      13,915                         corespunzător
                       Resurse de apa acumulate in judeţul Botoşani                                                      de epurare a municipiului Botoşani
         Denumirea lacului de acumulare        Volum total (mii. m3)    Volum util (mil. m3)
                                                                                                                         SC APA GRUP SA Botoşani – staţia               16508          Jijia      2,203                             necorespunzător
         Stânca – Costeşti                     1.400.000                450.000
                                                                                                                         de epurare a municipiului Dorohoi
         Cal -Alb                              16.280                   4.950
                                                                                                                         SC APA GRUP SA Botoşani – staţia                875           Podriga    0,051                             necorespunzător
         Negreni                               25.600                   8.800                                            de epurare a oraşului Darabani
         Hăneşti                               6.400                    4.200                                            SC APA GRUP SA Botoşani – staţia               3480           Başeu      0,268                             necorespunzător
         Mileanca                              14.350                   5.100                                            de epurare a oraşului Săveni
         Iezer                                 14.100                   3.600                                            Consiliul Local Mihai Eminescu                                Dresleuca 0,088                              necorespunzător
         Cătămărăşti                           17.950                   7.520                                            Sursa: Direcţia Apele Române “Prut” Iaşi
         Dracşani                              10.710                   8.210
Sursa: Direcţia Apele Române “Prut” Iaşi
                                                                                                                         Conform datelor furnizate de SGAJ Botoşani s-au înregistrat depăşiri la următorii indicatori:
Parte din aceste lacuri sunt colmatate, depunerile in cuveta lacului fiind în unele cazuri, excesiv de
                                                                                                                         Staţia de epurare a            suspensii, CBO5, CCO-Cr, fosfor total, cloruri, calciu, magneziu, fier ionic total, detergenţi
mari. Din totalul acumulărilor studiate, acumulările Bucecea, Stânca şi Cătămărăşti se încadrează în                     municipiului Dorohoi           sintetici, fenoli, H2S+sulfuri
clasa a II-a de calitate, restul fiind situate în clasa a III-a şi a IV-a.                                               Staţia de epurare a oraşului   suspensii, CBO5, CCO-Cr, amoniu, azot total, fosfor total, reziduu filtrat, detergenţi
                                                                                                                         Darabani                       sintetici, fenoli, H2S+sulfuri, substanţe extractibile
              Lac            Curs de Vol. tot.                                                                           Staţia de epurare a oraşului   suspensii, CBO5, CCO-Cr, amoniu, azot total, fosfor total, detergenţi sintetici, H2S+sulfuri,
                                                                Folosinţa principală                     Stadiu trofic
       Nume           Tip       apă    (mil. m3)                                                                         Săveni                         substanţe extractibile
  Stânca Costeşti artificial Prut     735        Regularizare debite, alimentare cu apă,               Oligotrof
                                                 producerea energiei electrice, atenuarea viiturilor
  Negreni         artificial Başeu    10,3       Alimentarea cu apă a oraşului Săveni, irigaţii,       Eutrof            Starea solurilor
                                                 apărarea împotriva inundaţiilor
                                                                                                                         Datorită secetei repetate cat şi a folosirii neraţionale a terenurilor agricole şi arabile, calitatea solurilor a
  Cal Alb         artificial Başeu    6,15       Piscicultură, atenuarea viiturilor, irigaţii          Eutrof
  Mileanca        artificial Podriga 6,1         Piscicultură, atenuarea viiturilor, irigaţii          Mezotrof          scăzut, astfel, în judeţul Botoşani, se întâlnesc următoarele aspecte defavorabile:
  Cătămărăşti     artificial Sitna    8          Piscicultură, atenuarea viiturilor, irigaţii          Oligo-mezotrof    – Eroziunea solului afectează 40,6% din suprafaţa agricolă totală. Solurile excesiv erodate
  Dracşani        artificial Sitna    28,6       Piscicultură, atenuarea viiturilor                    Eutrof              (reprezentate de ravene ogaşe, cornişe de desprindere) au o pondere de 2,2% din suprafaţa agricolă.
  Hăneşti         artificial Başeu    6,4        Piscicultură, atenuarea viiturilor                    Hipertrof
Sursa: Direcţia Apele Române “Prut” Iaşi
                                                                                                                           În ultimul timp degradarea solurilor prin eroziune s-a intensificat datorită desţelenirii unor suprafeţe
                                                                                                                           şi a benzilor înierbate, amplasate pe versanţii cu pante mari.
1.3.3.4. Starea apelor subterane
                                                                                                                         – Alunecările de teren afectează 15 % din suprafaţa totală agricolă, din care cele active 9,1%.
În judeţul Botoşani calitatea apelor subterane este urmărită prin intermediul laboratorului SGAJ                           Extinderea alunecărilor de teren în ultimii ani, se datorează lipsei unui program de îmbunătăţiri
Botoşani. În localităţile rurale alimentarea cu apă se realizează prin captare de izvoare şi surse proprii                 funciare, care prin lucrări de nivelare, drenaj, înierbare sau împădurire au rolul de a proteja aceste
subterane. În urma monitorizării localităţilor rurale au fost depistate zone deficitare privind asigurarea                 terenuri.
necesarului de apă din punct de vedere cantitativ şi calitativ. Nivelurile piezometrice ale apelor
subterane au evoluat în limite normale, chiar şi în perioada de secetă, nivelurile nu s-au situat sub limita             – Excesul de umiditate de natură freatică afectează 12,6% din solurile agricole. Lucrările de desecare
de exploatare. Excepţie fac în special fântânile piezometrice situate în zonele de deal, mai ales în                       şi drenaj executate înainte de 1989 pe o parte din aceste terenuri nu mai funcţionează decât parţial
perioada de vară-toamnă, unde nivelurile piezometrice au scăzut foarte mult, unele din ele chiar au                        sau sunt complet degradate.
secat temporar. Din totalul forajelor la care s-a studiat calitatea apei doar 2 foraje corespund cerinţelor              – Aciditatea solurilor poate fi cauzată sau accentuată de tehnologii agricole inadecvate, cum este
Legii privind Calitatea Apei Potabile nr. 458/2002: Rădăuţi-Prut F1, Rădăuţi-Prut F3. Se menţionează                       folosirea an de an a unor doze mari de îngrăşăminte cu reacţie fiziologică acidă. Solurile cu reacţie
că această apreciere s-a făcut doar pe baza indicatorilor fizico-chimici. Cele mai frecvente depăşiri s-au                 acidă ocupă zone mari în partea vestică şi nord-vestică a judeţului. Solurile puternic-moderat acide
înregistrat la indicatorii: „amoniu”: cele mai mari depăşiri înregistrându-se în forajele Ştefăneşti F1 (de                se regăsesc pe 5,9% din suprafaţa agricolă totală. Există un număr de 11 comune în care ponderea
6 ori), Dorohoi F1 (de 6 ori), Măşcăteni F 2 (de 7 ori), Săveni F1 (de 6 ori); „azotiţi”: cele mai mari                    solurilor acide este mult mai mare decât media pe judeţ (de ex. Dersca, vf. Câmpului, Corni,
depăşiri înregistrându-se în forajele Dângeni F3 (de 5 ori), Băluşeni F1 (de 3 ori); „azotaţi”: cele mai                   Vorona, Curteşti, Suharău, Cristineşti).
mari depăşiri înregistrându-se în forajele Sadoveni F 3 (de 2 ori), Ştefăneşti F3 (de 2,5 ori); „sulfaţi”:
                                                                                                                         – Solurile alcaline (cu pH mai mare de 8,4) totalizează 4,7 % din suprafaţa studiată. În unele comune,
cele mai mari depăşiri înregistrându-se în forajele Ştefăneşti F3 (de 4 ori, şi repectiv de 7 ori), Dracşani
                                                                                                                           ponderea solurilor alcalizate este mai mare decât media pe judeţ (peste 10% soluri alcalinizate):
(de 11 ori), Săveni (de 6 ori); „mangan”: cele mai mari depăşiri înregistrându-se în forajele Ştefăneşti F
                                                                                                                           Vlăsineşti, Ştefăneşti, Dângeni, Suliţa, Coţuşca, Gorbăneşti.
1 (de 8 ori), Ştefăneşti F2 (de 16 ori), Dângeni F3 (de 2,5 ori), Măşcăteni F3 ( de 7 ori).
                                                                                                                         – În ceea ce priveşte asigurarea solurilor agricole cu humus, datele de analiză arată că 30% din
                                                                                                                           acestea sunt slab şi foarte slab asigurate cu humus. Cauza cea mai importantă a conţinutului scăzut

Elaboratori: UAUIM-CCPEC, Bucureşti, împreună cu, Universitatea Bucureşti – CICADIT, SC. Quattro Design s.r.l. – Bucureşti, SC. Urbatech s.r.l. – Iaşi, UAIC - Facultatea de Geografie, Iaşi,                                                       24
Actualizare Plan de Amenajarea Teritoriului Judeţean Botoşani                                                                                                                                  Consiliul Judeţean Botoşani
   de humus constă în eroziunea moderată, puternică sau excesivă ce se constată                             pe versanţii cu   (stejar). Pădurile au o suprafaţă de aproximativ 54.000 ha, reprezentând 12% din suprafaţa judeţului şi
   înclinare mare.                                                                                                            sunt alcătuite din stejar şi gorun (37%), carpen (22%), frasin, arţar, jugastru, ulm (20%), salcie, plop, tei
                                                                                                                              (14%) şi fag (7%). În nord-vestul judeţului se întind pădurile de gorun, stejar, carpen, tei, arţar, etc. În
– Azotul reprezintă principalul element de nutriţie implicat în procesele de creştere şi dezvoltare a
                                                                                                                              partea de sud-vest a judeţului se întâlnesc păduri de amestec alcătuite din: fag, gorun, carpen, etc., iar
  plantelor. Asigurarea slabă cu azot a fost constatată pe 25% din suprafaţa agricolă totală. În
                                                                                                                              pe albiile râurilor Prut şi Siret sunt însemnate lunci alcătuite din specii lemnoase de esenţe moi: salcie,
  condiţiile geomorfologice ale judeţului Botoşani, cu o pondere însemnată a terenurilor în pantă,
                                                                                                                              plop. Răspunzând cerinţelor strategiei europene de protejare a biodiversităţii care prevede conservarea
  eroziunea afectează semnificativ atât rezerva de azot organic, cât şi dinamica de durată a formelor
                                                                                                                              naturii şi gestionarea ei în perspective unei dezvoltări durabile, au fost luate în evidenţă şi alte zone
  minerale de azot din sol.
                                                                                                                              dezinteres pentru biodiversitatea judeţului (în afara celor 8 situri protejate de interes naţional) şi anume
– Asigurarea foarte slabă şi slabă cu fosfor mobil se regăseşte pe 44% din suprafaţa studiată.                                23 arii naturale protejate situate în fond forestier încadrate în grupa I funcţională. În acelaşi scop au fost
  Cercetările agricole au stabilit că au loc pierderi importante de recoltă în cazul aprovizionării slabe                     declaraţi monumente ale naturii 65 arbori seculari şi 7 specii de plante rare ocrotite pe întreg teritoriul
  şi mai ales foarte slabe a solurilor cu fosfor mobil. Ca urmare, acest deficit în fosfor reprezintă un                      judeţului (Hotărârea nr. 5/1995 a Consiliului Judeţean Botoşani).
  factor limitativ important pentru producţia agricolă din judeţul Botoşani.
– Asigurarea solurilor agricole cu potasiu este bună pe ansamblul judeţului, numai 7% din solurile                                               Specii de floră inventariate conform Legii 462/2001, anexele 3 şi 4
                                                                                                                                Denumire ştiinţifică şi populară                                     Localizare
  agricole sunt slab şi mijlociu aprovizionate.
                                                                                                                               Cypripedium calceolus – papucul     Rezervaţia de tisă Tudora, Pădurea Baisa, Pădurea Corni, Codrul eminescian-
                                                                                                                               doamnei                             comuna M. Eminescu, Hudeşti (sat Baranca), Pădurea Vorona
     Repartiţia solurilor pe categorii de folosinţe Repartiţia solurilor pe categorii de folosinţe                                    Fauna sălbatică
     Total judeţ                                  498569         Clasa de calitate                      Suprafaţa (ha)
     Total agricol, din care:                     393472         total                                  387.796
     Arabil                                       299262         Clasa de calitate a I-a foarte bună    1.365,03              În judeţul Botoşani se pot diferenţia două domenii faunistice: unul de silvostepă şi altul de pădure. Fauna
     Păşuni                                       75070          Clasa de calitate a II-a bună          165.388,40            de silvostepă, respectiv din zona de câmpie, este reprezentată prin unele rozătoare ca: popândăul,
     Fâneţe                                       14692          Clasa de calitate a III-a mijlocie     129.138,28            dăunător pentru culturile cerealiere, o varietate specifică nordului Moldovei de căţelul pământului,
     Vii                                          1773           Clasa de calitate a IV-a slab          57.056,43             şoarecele de stepă, şobolanul de câmp, iepurele de câmp. Pe seama lor trăiesc unele mustelide ca: dihorul,
     Livezi                                       2675           Clasa de calitate a V-a foarte slabă   15.769,60             nevăstuica, iar dintre marile carnivore menţionăm vulpea. Avifauna este reprezentată de graur, pitpalacul,
                                                                                                                              ciocârlia de câmp, dumbrăveanca şi unele răpitoare ca: uliul porumbar. Pe iazurile mai mari ori pe bălţile
Starea agrochimică a terenurilor agricole, conform datelor furnizate de OSPA Botoşani, prezintă                               Prutului se întâlnesc frecvent lişiţa, raţa sălbatică. Dintre reptilele mai frecvente sunt şopârlele, iar dintre
următoarele aspecte defavorabile:                                                                                             batracieni: broasca râioasă sau broasca de lac şi buhaiul de baltă. Fauna de pădure cuprinde unele din
                                                                                                                              elementele menţionate mai sus, dar se caracterizează mai ales prin: căprioara, întâlnită în toate pădurile
                                Factor limitativ                                   Suprafaţa (ha)                             din Dealurile Siretului şi în cele din Dealurile Cozancei, mistreţul, vulpea, care trece şi în câmpie unde
                                Eroziune (de la slabă la excesivă)                 104.273,26
                                                                                                                              vânează rozătoare, şi pisica sălbatică. Avifauna este reprezentată de mierlă, sturzul cântător, gaiţa, unele
                                Alunecări (stabilizate, semistabilizate, active)   36.379,81
                                Gleizare (de la slabă la excesivă)                 72.764,71                                  specii de piţigoi, turturica. La acestea se adaugă unele rozătoare ca: gaia, uliul. Reptilele sunt mai
                                Pseudogleizare (de la slabă la excesivă)           6.555,07                                   numeroase, reprezentate prin şarpele de pădure şi diferite şopârle. Deosebit de bogată este fauna de
                                Inundabilitate                                     29.034,17                                  frunzar, în care gasteropodele, păianjenii, insectele şi miriapodele formează o lume puţin studiată. Pentru
                                                                                                                              protejarea faunei sălbatice locale, conform legislaţiei comunitare, pe teritoriul judeţului Botoşani sunt
Biomul
                                                                                                                              nominalizate, prin Hotărârea Consiliului Judeţean nr. 5/1995, 78 specii de păsări şi 5 specii de animale
        Flora sălbatică                                                                                                       care beneficiază de un regim special de ocrotire. Cea mai reprezentativă zonă din judeţ din punct de
Vegetaţia naturală a judeţului Botoşani, caracteristică zonei de silvostepă, este alcătuită predominant                       vedere al varietăţii avifaunistice este lunca Prutului unde au fost inventariate 93 de specii de păsări.
din plante ierboase în păşuni naturale care ocupă cca. 13% din suprafaţa agricolă a judeţului,                                Acumularea Stânca-Costeşti a fost declarată arie de importanţă avifaunistică prin HG nr. 2151/2004.
reprezentate prin asociaţii de graminee adaptate la secetă, ca şi prin unele specii de plante suculente şi                            Biodiversitatea urbană
bulbifere, care formează asociaţii vegetale ce ocupă zonele afectate de alunecări de teren din parte de
                                                                                                                                                                    Spaţii verzi şi zone de agrement
nord, est-vest şi sud-vest a judeţului. Monotonia covorului erbaceu este modificată de apariţia unor
                                                                                                                                                              Suprafaţa (ha)
tufărişuri alcătuite din arbuşti ca: Prunus spinosa (porumbarul), Rosa canina (măceşul), Crataegus
                                                                                                                                                                                                  Populaţie   Zona verde / cap de locuitor (%)
monogina (păducelul), etc. De-a lungul râurilor ca şi pe solurile de lăcovişte umede, se întâlneşte o                              Oraş      Zone de agrement si parcuri   Spaţii verzi
                                                                                                                                                                                          Total
vegetaţie hidrofilă reprezentată prin specii de: Typha latifolia (papură), Phragmites australis (stuf),                           Botoşani               13                    217         230     126259                    5,6
Equisetum palustre (barba ursului), Corex riparia (rogoz), Polygonum amphibium (troscot de baltă),                                Dorohoi                 4                    35,7       39,7     35171                     3,6
etc. În pajiştile stepice xeromezofile se întâlnesc speciile: Festuca valesiaca (păiuş), Stipa joannis,                           Săveni                  3                     12          15     12024                     5,3
Stipa lessingiana, stipa pulcherima (colilie) în special în jurul localităţilor Todireni, Unţeni, Călăraşi,                       Darabani                3                     13          16      8745                     1,8
Hlipiceni. În partea nordică, vestică şi sudică a judeţului, în pajişti şi terenurile agricole se întâlnesc:
Festuca valesiaca (păiuşul), Festuca rupicola care ocupă locul fostelor păduri de Quercus robur

Elaboratori: UAUIM-CCPEC, Bucureşti, împreună cu, Universitatea Bucureşti – CICADIT, SC. Quattro Design s.r.l. – Bucureşti, SC. Urbatech s.r.l. – Iaşi, UAIC - Facultatea de Geografie, Iaşi,                                                    25
Actualizare Plan de Amenajarea Teritoriului Judeţean Botoşani                                                                                                                            Consiliul Judeţean Botoşani
Suprafaţa spaţiilor verzi în mediul urban este deficitară, iar în cea ce priveşte dotarea spaţiilor verzi cu             Depozite de deşeuri municipale
acces nelimitat, acestea în general nu corespund cerinţelor Ordinului Ministerului Sănătăţii nr.                 Depozitele de deşeuri pot contamina solul şi apa subterană prin levigarea substanţelor toxice conţinute
536/1996 privind norme de igienă şi recomandări pentru mediul de viaţă al populaţiei. Insuficienţa               (metale grele, compuşi cu azot, compuşi cloruraţi, compuşi organici). Levigatul provenit din
locurilor de parcare pentru autovehicule duce la parcarea acestora pe spaţiile verzi şi trotuare.                descompunerea substanţelor organice este îmbogăţit cu nitraţi şi poate determina poluarea severă a pânzei
                                                                                                                 de apă freatică, precum şi eutrofizarea apelor de suprafaţă din zonele învecinate depozitului.
                                                                                                                 Biodegradarea materiilor organice în depozite poate să evacueze în atmosferă gaze toxice şi periculoase.
A.1.4.2. GESTIUNEA DEŞEURILOR                                                                                    Reziduurile menajere au un impact important şi asupra populaţiei fiind vectori importanţi în răspândirea
În prezent, problema deşeurilor menajere se manifestă tot mai acut datorită, pe de o parte, creşterii            infecţiilor. Astfel, reziduurile provenite din diferite surse conţin de obicei o gamă foarte largă de
cantităţii acestora, iar pe de altă parte, a impactului lor negativ, tot mai pronunţat, asupra mediului          microorganisme, sanogeni şi patogeni, care răspândesc boli infecţioase şi parazitare. În condiţii prielnice
înconjurător. Situaţia este gravă şi în mediul rural, unde, suprafeţe destul de importante sunt acoperite        agenţii patogeni pot trăi în reziduuri timp îndelungat (zile, luni), pot pătrunde în sol, apă, provocând
cu deşeuri menajere a căror componenţă este foarte complexă. Depozitarea întâmplătoare pe sol a                  contaminarea prin contact direct şi indirect. De asemenea, reziduurile pot conduce la crearea unor condiţii
deşeurilor, evacuarea acestora în cursurile de apă, arderea necontrolată a deşeurilor în mediul urban            favorabile pentru înmulţirea insectelor şi a rozătoarelor. Depozitarea şi tratarea necorespunzătoare a
reprezintă o serie de riscuri majore pentru mediul ambiant. Gestiunea deşeurilor reprezintă una dintre           deşeurilor solide menajere urbane în depozitele finale pot conduce la poluarea atmosferei prin
problemele cele mai acute de protecţie a mediului. Datorită creşterii consumului în ultimii ani, dar şi a        descompunerea reziduurilor cu conţinut de substanţe organice cu degajarea de substanţe urât mirositoare
tehnologiilor şi instalaţiilor încă învechite din industrie, a crescut cantitatea de deşeuri produsă. De         (amoniac, metan, hidrogen sulfurat), vântul şi curenţii de aer antrenează praful din grămezile de gunoaie
asemenea, există mari cantităţi de deşeuri stocate în depozitele de deşeuri urbane şi industriale, care          şi produsele de ardere apărute în urma auto-aprinderii incomplete a deşeurilor la locurile de depozitare.
ocupă mari suprafeţe de teren şi afectează calitatea mediului, în special a apelor subterane şi de               Desfăşurarea activităţii pe depozite orăşeneşti este deficitară. Pe lângă deşeurile menajere, stradale,
suprafaţă.                                                                                                       comerciale, pe depozitele municipale sunt acceptate, mai mult sau mai puţin legal, şi deşeuri industriale
                                                                                                                 periculoase. Amestecul acestor tipuri de deşeuri poate conduce la producerea unui levigat încărcat cu
                                                                                                                 substanţe nocive care, prin infiltrare, poluează apele de suprafaţă şi subterane sau solul şi implicit
Deşeuri municipale şi asimilabile                                                                                afectează starea de sănătate a populaţiei din zonă. Depozitele de deşeuri din judeţul Botoşani sunt mixte
Deşeurile municipale şi asimilabile reprezintă totalitatea deşeurilor generate, în mediul urban şi în            (60%), acceptând pentru depozitare atât deşeuri de tip urban, cât şi deşeuri industriale, de obicei,
mediul rural, din gospodării, instituţii, unităţi comerciale şi prestatoare de servicii (deşeuri menajere),      nepericuloase.
deşeuri stradale colectate din spaţii publice, străzi, parcuri, spaţii verzi, deşeuri din construcţii şi
demolări, nămoluri de la epurarea apelor uzate orăşeneşti. În mediul urban, gestionarea deşeurilor               Conform APM Botoşani (2008), în prezent există în judeţ 4 depozite neconforme (care ocupă o
municipale este realizată în mod organizat, prin intermediul serviciilor proprii specializate ale                suprafaţă totală de aproape 20 de hectare) şi 168 de gropi de gunoi (80 hectare). Nici unul din aceste
primăriilor sau al firmelor de salubritate. Acest sistem acoperă numai 90% din totalul generatorilor de          amplasamente nu sunt conforme cu Directiva privind depozitarea si prin urmare toate trebuie închise si
deşeuri municipale din mediul urban. În mediul rural nu există servicii organizate pentru gestionarea            reabilitate. Datele limită pentru închiderea celor patru depozite sunt 2008 (Dorohoi), 2012 (Botoşani),
deşeurilor, transportul la locurile de depozitare fiind făcut în mod individual de către generatori.             2014 (Dărăbani) şi 2016 (Săveni).

    Deşeuri municipale colectate (tone/an)              2000        2001         2002          2003                                                                                                       Volum        Volum
                                                                                                                                                                        Supr.     Supr.          Cap.
    Deşeuri menajare de la populaţie                    64395       36591        69454,00      56456,2                                                      Loca-                                         deşeuri      deşeuri    Nr. loc.
                                                                                                                                 Nume depozit                        proiec-tată ocupată        proiec-
    Deşeuri menajere de la agenţii economici            10187       20930        16476,00      10053                                                        lizare                                       depozitat    depozitat   deserviţi
                                                                                                                                                                        (ha)       (ha)        tată (m3)
    Deşeuri din servicii municipale                     108806      81086,50     83434,00      15056,7                                                                                                     (m3)      anual (m3)
    Deşeuri din construcţii, demolări                   -           3324         2836,00       16723              Depozit orăşenesc Săveni                 Săveni 1,2          1,0         60000        42000        4000         3200
    Total                                               183388      138607,5     166200        98288,9            Depozit orăşenesc Darabani               Darabani 1,5        1,5         50000        23000        6400         12820
                                                                                                                  Depozit mixt de deşeuri industriale si
                                                                                                                                                           Dorohoi 2,06        1,3         500000       230000       90000        44125
Colectarea şi transportul deşeurilor urbane: deşeurile menajere rezultate din locuinţe, instituţii şi entităţi    menajere Dorohoi
economice diverse (comerţ, industrie) sunt pre-colectate în recipiente de diferite capacităţi în spaţii           Depozit mixt de deşeuri industriale si
                                                                                                                                                           Botoşani 13,75      6,54        1314000 764000            160000       128700
                                                                                                                  menajere Botoşani
special amenajate în acest scop.
                                                                                                                 Deşeuri de producţie
       Valorificarea deşeurilor municipale
                                                                                                                 Deşeurile de producţie reprezintă totalitatea deşeurilor generate din activităţile industriale; pot fi
În judeţul Botoşani deşeurile municipale nu sunt colectate selectiv în vederea valorificării materialelor
                                                                                                                 deşeuri de producţie nepericuloase şi deşeuri de producţie periculoase.
reciclabile (hârtie, carton, sticlă, metale, materiale plastice) decât într-o măsură foarte mică. Se poate
afirma că aproximativ 40% din componentele deşeurilor municipale reprezintă materiale reciclabile,                                            Deşeuri periculoase                                         Deşeuri nepericuloase
din care cca. 20% au mari şanse de recuperare, nefiind contaminate. Din păcate cea mai mare parte a                                       2000        2001          2002               2003          2000      2001      2002    2003
deşeurilor reciclabile se elimină prin depozitare, pierzându-se astfel mari cantităţi de materii prime            Generate               24,442     115,411       1096,690            15,764       45047.55 21011.114 45972.75 3970.241
secundare şi resurse energetice.                                                                                  Valorificate           8,308        4,390       1050,000           489,382      18342.3954 16876.162 36431.05 1182.87
                                                                                                                  Eliminate                 -           -          8,000                 -        32909.853 3842.404 10273.37 1372.2

Elaboratori: UAUIM-CCPEC, Bucureşti, împreună cu, Universitatea Bucureşti – CICADIT, SC. Quattro Design s.r.l. – Bucureşti, SC. Urbatech s.r.l. – Iaşi, UAIC - Facultatea de Geografie, Iaşi,                                                 26
Actualizare Plan de Amenajarea Teritoriului Judeţean Botoşani                                                                                                                    Consiliul Judeţean Botoşani
                                                                                                                       Localităţi afectate de hazardurile naturale cuprinse în legea 575, cauzele producerii pagubelor la
   Deşeuri generate din activităţi medicale (tone/an)   2002    2003       2004                                                                         hazardurile naturale – inundaţii
   Generate                                             -      37,735     39,639                                                                                                                    Tipuri de inundaţii
   Eliminate                                            -      37,735     39,639                                                  Unitatea administrativ-teritorială                      Pe cursuri de apă             Pe torenţi
   Stoc final                                           -      0,000      0,000                                      Flămânzi                                                      Da                               Da
                                                                                                                     Frumuşica                                                     Da                               Da
A.1.5. RISCURI NATURALE                                                                                              George Enescu                                                 Da                               Nu
                                                                                                                     Hilişeu-Horia                                                 Da                               Nu
A.1.5.1. Vulnerabilitatea la cutremure                                                                               Hlipiceni                                                     Da                               Nu
                                                                                                                     Hudeşti                                                       Da                               Da
Arealul circumscris judeţului Botoşani se încadrează, în macrozona cu magnitudinea seismică 6, iar de                Ibăneşti                                                      Da                               Nu
la o linie orientată NNE – SSV, ce trece pe la sud de municipiul Botoşani, se încadrează în macrozona                Mihălăşeni                                                    Da                               Nu
cu magnitudinea seismică 71, scara MKS, conform SR 11100/1-93 „Zonarea seismică a României”.                         Mileanca                                                      Da                               Nu
Raportat la Normativul pentru proiectarea antiseismică a construcţiilor P100-92 Anexa A Zonarea                      Păltiniş                                                      Da                               Da
seismică a teritoriului României din punct de vedere al normativelor de calcul se situează în zona E de              Rădăuţi-Prut                                                  Da                               Nu
intensitate seismică (grad seismic echivalent), teritoriul judeţului în totalitate, prezentând coeficientul          Răuseni                                                       Da                               Da
                                                                                                                     Ripiceni                                                      Da                               Nu
de seismicitate Ks = 0,12.
                                                                                                                     Roma                                                          Da                               Da
                                                                                                                     Stauceni                                                      Da                               Da
Conform Normativului P100-1/2004, Zonarea teritoriului României în termeni de valori de vârf ale                     Suharău                                                       Da                               Nu
acceleraţiei terenului pentru proiectare ag pentru cutremure cu interval mediu de recurenţă IMR – 100                Suliţa                                                        Da                               Da
ani şi în termeni de perioadă (colţ) Tc a spectrului de răspuns, zona este caracterizată prin ag care                Şendriceni                                                    Da                               Nu
prezintă un coeficient de seismicitate de:                                                                           Ştefăneşti                                                    Da                               Da
─   ag = 0,12 g, în partea de nord a judeţului; Tc=0,7 sec;                                                          Todireni                                                      Da                               Nu
                                                                                                                     Truşeşti                                                      Da                               Da
ag = 0,16 g, în partea de sud a judeţului; Tc=0,7 sec.
                                                                                                                     Tudora                                                        Da                               Da
A.1.5.2. Vulnerabilitatea la inundaţii                                                                               Ungureni                                                      Da                               Nu
                                                                                                                     Văculeşti                                                     Da                               Nu
Date la nivelul judeţului: paguba totală - 242 miliarde lei, paguba specifică - 27 miliarde lei/an, 5                Vârfu Câmpului                                                Da                               Da
miliarde lei/km2, 58 miliarde lei/an/1000; gradul general de vulnerabilitate rezultat - mică, gradul                 Vlădeni                                                       Da                               Nu
general de vulnerabilitate pe hartă - mică.                                                                          Vlăsineşti                                                    Da                               Nu
                                                                                                                     Vorona                                                        Da                               Nu
  Localităţi afectate de hazardurile naturale cuprinse în legea 575, cauzele producerii pagubelor la                 A.1.5.3. Vulnerabilitatea la alunecări de teren
                                   hazardurile naturale – inundaţii
                                                                                  Tipuri de inundaţii
            Unitatea administrativ-teritorială                          Pe cursuri de apă               Pe torenţi     Localităţi afectate de hazardurile naturale cuprinse în legea 575, cauzele producerii pagubelor la
Municipii                                                                                                                                           hazardurile naturale – alunecări de teren
Botoşani                                                       Da                                 Nu                   Unitatea administrativ-teritorială       Potenţialul de producere a alunecărilor        Tipul alunecărilor
Dorohoi                                                        Nu                                 Da                                                                                                      Primară       Reactivată
Oraşe                                                                                                                Municipiul
Darabani                                                       Da                                 Nu                 Botoşani                                 Ridicat                                     Da            Nu
Săveni                                                         Da                                 Nu                 Oraşe
Comune                                                                                                               Darabani                                 Ridicat                                     Da            Nu
Băluşeni                                                       Da                                 Nu                 Săveni                                   Ridicat                                     Da            Nu
Brăeşti                                                        Nu                                 Da                 Comune
Broscăuţi                                                                                                            Albeşti                                  Ridicat                                     Da            Nu
Copălău                                                        Da                                 Da                 Avrămeni                                 Ridicat                                     Da            Nu
Cordăreni                                                      Da                                 Nu                 Băluşeni                                 Ridicat                                     Da            Nu
Corni                                                          Da                                 Nu                 Brăeşti                                  Ridicat                                     Da            Nu
Coţuşca                                                        Da                                 Nu                 Broscăuţi                                Ridicat                                     Da            Nu
Cristeşti                                                      Da                                 Nu                 Bucecea                                  Ridicat                                     Da            Nu
Curteşti                                                       Da                                 Nu                 Călăraşi                                 Ridicat                                     Da            Nu
Dersca                                                         Da                                 Nu                 Conceşti                                 Ridicat                                     Da            Nu
Drăguşeni                                                      Da                                 Nu                 Copalău                                  Ridicat                                     Da            Nu
Durneşti                                                       Da                                 Nu                 Cordăreni                                Ridicat                                     Da            Nu

Elaboratori: UAUIM-CCPEC, Bucureşti, împreună cu, Universitatea Bucureşti – CICADIT, SC. Quattro Design s.r.l. – Bucureşti, SC. Urbatech s.r.l. – Iaşi, UAIC - Facultatea de Geografie, Iaşi,                                        27
Actualizare Plan de Amenajarea Teritoriului Judeţean Botoşani                                                                                                                  Consiliul Judeţean Botoşani
  Localităţi afectate de hazardurile naturale cuprinse în legea 575, cauzele producerii pagubelor la
                               hazardurile naturale – alunecări de teren
  Unitatea administrativ-teritorială    Potenţialul de producere a alunecărilor        Tipul alunecărilor
                                                                                  Primară       Reactivată
Corlăţeni                              Ridicat                                    Da            Nu
Coţuşca                                Ridicat                                    Da            Nu
Cristeşti                              Ridicat                                    Da            Nu
Cristineşti                            Ridicat                                    Da            Nu
Curteşti                               Ridicat                                    Da            Nu
Dângeni                                Ridicat                                    Da            Nu
Dersca                                 Ridicat                                    Da            Nu
Dobârceni                              Ridicat                                    Da            Nu
Drăguşeni                              Ridicat                                    Da            Nu
Durneşti                               Ridicat                                    Da            Nu
George Enescu                          Ridicat                                    Da            Nu
Gorbăneşti                             Ridicat                                    Da            Nu
Hăneşti                                Ridicat                                    Da            Nu
Hilişeu-Horia                          Ridicat                                    Da            Nu
Hlipiceni                              Ridicat                                    Da            Nu
Hudeşti                                Ridicat                                    Da            Nu
Ibăneşti                               Ridicat                                    Da            Nu
Leorda                                 Ridicat                                    Da            Nu
Lunca                                  Ridicat                                    Da            Nu
Manoleasa                              Ridicat                                    Da            Nu
Mihai Eminescu                         Ridicat                                    Da            Nu
Mihălăşeni                             Ridicat                                    Da            Nu
Mitoc                                  Ridicat                                    Da            Nu                                           Fig. 6. Riscuri naturale în judeţul Botoşani.
Nicşeni                                Ridicat                                    Da            Nu
Păltiniş                               Ridicat                                    Da            Nu
Pomârla                                Ridicat                                    Da            Nu
Răchiţi                                Ridicat                                    Da            Nu
Rădăuţi-Prut                           Ridicat                                    Da            Nu
Răuseni                                Ridicat                                    Da            Nu
Ripiceni                               Ridicat                                    Da            Nu
Roma                                   Ridicat                                    Da            Nu
Santa Mare                             Ridicat                                    Da            Nu
Stăuceni                               Ridicat                                    Da            Nu
Suharău                                Ridicat                                    Da            Nu
Suliţa                                 Ridicat                                    Da            Nu
Şendriceni                             Ridicat                                    Da            Nu
Ştiubieni                              Ridicat                                    Da            Nu
Todireni                               Ridicat                                    Da            Nu
Truşeşti                               Ridicat                                    Da            Nu
Tudora                                 Ridicat                                    Da            Nu
Ungureni                               Ridicat                                    Da            Nu
Unţeni                                 Ridicat                                    Da            Nu
Văculeşti                              Ridicat                                    Da            Nu
Vârfu Câmpului                         Ridicat                                    Da            Nu
Viişoara                               Ridicat                                    Da            Nu
Vlăsineşti                             Ridicat                                    Da            Nu
Vorona                                 Ridicat                                    Da            Nu

Situaţia generală a riscurilor naturale la nivelul judeţului este rezumată în Fig. 6.



Elaboratori: UAUIM-CCPEC, Bucureşti, împreună cu, Universitatea Bucureşti – CICADIT, SC. Quattro Design s.r.l. – Bucureşti, SC. Urbatech s.r.l. – Iaşi, UAIC - Facultatea de Geografie, Iaşi,                  28
Actualizare Plan de Amenajarea Teritoriului Judeţean Botoşani                                                                                                                      Consiliul Judeţean Botoşani
                                          TABEL SINTETIC                                                                                                                                         Depozite
                                                                                                                                          Riscuri naturale             Surse de poluare                     Arii naturale protejate
                                                                                                                                                                                                 deşeuri
În cele ce urmează prezentăm un tabel sintetic al situaţiei existente şi problemelor de mediu identificate                              Inun-                                                                       Rezer- Monu-
la nivelul unităţilor administrativ-teritoriale din judeţul Botoşani. De asemenea, Fig. 7 prezintă sinteza                    Nume              Inun- Alune-                                   Salu-
                                                                                                                                         daţii               Indus- Agricul- As- Carbu- Încăl-       Necon-          vaţii mente
acestei analize.                                                                                                                                daţii   cări                                    bri-        SCI SPA
                                                                                                                                         curs                  trie  tură falt ranţi zire            forme          natu-   ale
                                                                                                                                               torente teren                                   zare
                                                                                                                                         apă                                                                         rale naturii
                                                                                  Depozite                             Leorda                            x                                             x
                       Riscuri naturale                Surse de poluare                      Arii naturale protejate   Lozna                                                                           x              x
                                                                                  deşeuri
                     Inun-                                                                       Rezer- Monu-          Lunca                             x                                             x
       Nume                  Inun- Alune-                                   Salu-
                      daţii               Indus- Agricul- As- Carbu- Încăl-       Necon-          vaţii mente          Manoleasa                         x                                             x         x
                             daţii   cări                                    bri-        SCI SPA
                      curs                  trie  tură falt ranţi zire            forme          natu-   ale           Mihai Eminescu                    x                                             x                     x
                            torente teren                                   zare
                      apă                                                                         rale naturii         Mihăileni                                x                  x                   x
MUNICIPII                                                                                                              Mihălăşeni         x              x                                             x
Botoşani               x              x     x      x        x     x       x   x      x                          x      Mileanca           x                                                            x         x
Dorohoi                       x             x               x     x       x   x      x                          x      Mitoc                             x                                             x         x
ORAŞE                                                                                                                  Nicşeni                           x                                             x
Bucecea                               x     x                                        x                 x               Păltiniş           x       x      x                                             x
Dărăbani               x              x     x                     x       x   x      x           x              x      Pomârla                           x                                             x                     x
Flămânzi               x      x                                                      x                          x      Prăjeni                                                                         x
Săveni                 x              x     x               x     x       x   x      x           x                     Răchiţi                           x                                             x
Ştefăneşti             x      x             x                     x                  x           x     x               Rădăuţi-Prut       x              x                                             x
COMUNE                                                                                                                 Răuseni            x       x      x                                             x
Adăşeni                                                                              x                                 Ripiceni           x              x                                             x         x    x
Albeşti                               x                                                                                Roma               x       x      x                                             x
Avrămeni                              x                                              x                                 Româneşti                                                                       x
Băluşeni               x              x                                              x                                 Santa Mare                        x                         x
Blândeşti                                                                            x                                 Şendriceni         x              x                                                            x
Brăeşti                       x       x                                              x                                 Stăuceni           x       x      x
Broscăuţi                             x                                              x                                 Ştiubieni                         x                                             x         x
Călăraşi                              x                                              x       x         x               Suharau            x              x                                                            x
Cândeşti                                                                             x                                 Sulita             x       x      x                                             x
Conceşti                              x                                              x           x                     Todireni           x              x                                             x
Copălău                x      x       x                                              x                          x      Truseşti           x       x      x                         x                   x                     x
Cordăreni              x              x                                                          x                     Tudora             x       x      x                                             x     x        x
Corlăţeni                             x                                                                                Ungureni           x              x                                             x         x
Corni                  x                                                             x                                 Unteni                            x                                             x
Coşula                                                                               x                                 Văculeşti          x              x                                             x
Coţuşca                x              x                                              x                                 Vârfu Câmpului     x       x      x                         x                   x                     x
Cristeşti              x              x                                              x                                 Viişoara                          x                                             x
Cristineşti                           x                                              x                                 Vlădeni            x                                                            x
Curteşti               x              x                                              x                                 Vlăsineşti         x              x                                             x         x
Dângeni                               x                                              x                                 Vorniceni                                                                       x         x
Dersca                 x              x                                              x       x         x               Vorona             x              x      x             x                        x     x               x
Dimacheni
Dobârceni                             x                                              x
Drăguşeni              x              x                                              x
Durneşti               x              x                                              x
Frumuşica              x      x       x                           x                  x
George Enescu          x              x                                              x
Gorbăneşti                            x                                              x
Hăneşti                               x                                              x           x
Havârna                                                                              x           x
Hilişeu-Horia          x              x                           x
Hlipiceni              x              x                                              x
Hudeşti                x      x       x                                              x           x
Ibăneşti               x              x

Elaboratori: UAUIM-CCPEC, Bucureşti, împreună cu, Universitatea Bucureşti – CICADIT, SC. Quattro Design s.r.l. – Bucureşti, SC. Urbatech s.r.l. – Iaşi, UAIC - Facultatea de Geografie, Iaşi,                                    29
Actualizare Plan de Amenajarea Teritoriului Judeţean Botoşani                                                                                                           Consiliul Judeţean Botoşani




                                                                   N




                      Rezervatii stiintifice, naturale, monumente ale naturii
                      Situri de Importanta Comunitara (Natura 2000)
                      Situri de Protectie Avifaunistica (Natura 2000)
                 Modificari in acoperirea si utilizarea terenului (1990-2000)
                      Apa in zona agricola
                      Apa in zona umeda
                      Mlastina in zona agricola
                      Zona agricola in apa
                      Zona agricola in tesut urban
                      Zona umeda in apa
                      Suprafete a caror acoperire sau utilizare s-a modificat (1990-2000)
                 Acoperirea si utilizarea terenului
                      Ape curgatoare sau statatoare
                      Constructii, mine, halde
                      Culturi permanente
                      Industrie, transport, comert
                      Mlastini
                      Paduri
                      Pasuni
                      Spatii forestiere deschise
                      Suprafete agricole eterogene
                      Teren arabil
                      Tesut urban
                      Tufarisuri
                                          Cadrul natural în judeţul Botoşani: utilizarea şi acoperirea terenurilor, modificări ale acestora şi arii naturale protejate




Elaboratori: UAUIM-CCPEC, Bucureşti, împreună cu, Universitatea Bucureşti – CICADIT, SC. Quattro Design s.r.l. – Bucureşti, SC. Urbatech s.r.l. – Iaşi, UAIC - Facultatea de Geografie, Iaşi,          30
Actualizare Plan de Amenajarea Teritoriului Judeţean Botoşani                                                                                                            Consiliul Judeţean Botoşani
Lista figurilor incluse în text:                                                                            Bibliografie
Fig.A.1.2.a. - Temperatura aerului şi precipitaţiile medii în jud. Botoşani.                                Agenţia de Protecţie a Mediului Botoşani (2004), Planul Local de Acţiune pentru Mediu, 110 pag.
Fig. A.1.2.2.b. - Predicţia valorilor temperaturii şi precipitaţiilor medii în jud. Botoşani.               Agenţia de Protecţie a Mediului Botoşani (2008), Master Plan privind gestionarea deşeurilor 2007 -
Fig. A1.2.2.c. - Diferenţe dintre temperatura aerului şi precipitaţiile atmosferice actuale şi valorile             2037 Botoşani, 556 pag.
predicţiilor climatice pentru anul 2100 în jud. Botoşani.
Fig. A.2.1.a. - Arii naturale protejate în judeţul Botoşani, pe categorii.                                  Jarvis A, Reuter HI, Nelson A, Guevara E. (2008), Hole-filled SRTM for the globe Version 4,
                                                                                                                    CGIAR-CSI SRTM 90m Database, http://srtm.csi.cgiar.org.
Lista tabelelor:                                                                                            Govindasamy B, Duffy PB, Coquard J. (2003), High-resolution simulations of global climate, part 2:
                                                                                                                   effects of increased greenhouse cases, Climate Dynamics, vol. 21, pag. 391-404.
Tabel A.1.2.3.a – Debite măsurate pe râuri în judeţul Botoşani în anul 2004 (mc/s)
                                                                                                            Guvernul României (2007), OM nr. 776/2007 privind declararea siturilor de importanţă comunitară
Tabel A.1.2.3.b – Resurse de apă acumulate                                                                        ca parte integrantă a reţelei ecologice Natura 2000 în România, Monitorul Oficial nr. 615, 15
                                                                                                                  septembrie 2007
Tabel A.1.2.3.c –Utilizarea lacurilor antropice
                                                                                                            Guvernul României (2007), HG nr. 1284/2007 privind declararea ariilor de protecţie specială
Tabel A.1.2.3.d – Volume de apă captate pe bazine hidrografice                                                    avifaunistică ca parte integrantă a reţelei ecologice europene Natura 2000 în România,
                                                                                                                  Monitorul Oficial nr. 739, 31 octombrie 2007
Tabel A.1.2.4.a – Specii de floră inventariate
                                                                                                            Hijmans RJ, Cameron SE, Parra JL, Jones PG, Jarvis A. (2005), Very high resolution interpolated
Tabel A.1.2.4.b – Suprafaţa ocupată cu păduri pe categorii de proprietate                                          climate surfaces for global land areas, International Journal of Climatology, vol. 25, pag.
Tabel A.1.2.4.c – Suprafaţa ocupată cu păduri pe grupe funcţionale                                                 1965-1978.
                                                                                                            Petrişor AI (2007), Analiză de mediu cu aplicaţii în urbanism şi peisagistică, Editura Universitară „Ion
Tabel A.1.2.4.c – Repartiţia solurilor
                                                                                                                    Mincu”, Bucureşti, 89 pag., ISBN 978-973-7999-85-6
Tabel A.1.2.4.e – Starea agrochimică a solurilor                                                            Petrişor AI (2008), Levels of biological diversity: a spatial approach to assessment methods,
Tabel A.2.1.a – Arii protejate prin hotărârea CJ Botoşani                                                           Romanian Review of Regional Studies, vol. 4, nr. 1, pag. 41-62.
                                                                                                            Petrişor AI, GIS assessment of geodiversity covered by natural protected areas in Romania, în curs de
Tabel A.2.1.b – Monumente ale naturii                                                                               publicare în Studia Universitatis Vasile Goldiş.
Tabel A.2.1.c – Rezervaţii naturale.                                                                        x x x (1972-1979), Atlas. R.S.România (Atlasul Naţional), Edit. Academiei, Bucureşti.
                                                                                                            x x x (1983), Geografia României, vol.I., Geografie fizică, Edit. Academiei, Bucureşti.
Tabel A.2.1.d – Situri CORINE
                                                                                                            x x x (1983), Enciclopedia geografică a României, Ed.şt.şi enciclop., Bucureşti.
Tabel A.2.1.e – Situri Natura 2000                                                                          x x x (1997), PATJ Botoşani.


Lista cartogramelor:

A.1.2.a - Trepte hipsometrice şi unităţile de relief
A.1.2.b – Harta geologică
A.1.2.c – Bazine hidrografice
A.1.2.d – Resursele naturale




Elaboratori: UAUIM-CCPEC, Bucureşti, împreună cu, Universitatea Bucureşti – CICADIT, SC. Quattro Design s.r.l. – Bucureşti, SC. Urbatech s.r.l. – Iaşi, UAIC - Facultatea de Geografie, Iaşi,                    31
Actualizare Plan de Amenajarea Teritoriului Judeţean Botoşani                                                                                                                           Consiliul Judeţean Botoşani
                                                                                                                                                                                                      7
                                                                                                                           presupune că acesta ar apărut încă de la instituirea domniei . Oricum situaţia s-a perpetuat până la
A.2. ZONE PROTEJATE ŞI PEISAJE CULTURALE                                                                                   finele domniilor fanariote, ultimele prevederi în acest sens datând de la 1819.
                                                                                                                           Cert este că noul ţinut al Botoşanilor a preluat încă de la înfiinţarea sa, către mijlocul sec. XVIII, cea
                                                                                                                           mai mare parte a ţinutului Hârlăului, acesta din urmă fiind socotit ulterior unul dintre ţinuturile mici ale
A.2.1. EVOLUŢIA ISTORICĂ A JUDEŢULUI ŞI A ÎMPĂRŢIRII                                                                       Moldovei, teritoriul său fiind reunit cu acela al Iaşilor în domnia lui Mihail Sturdza (1834-1849).
ADMINISTRATIVE
                                                                                                                           După modificarea graniţelor Moldovei din anii 1775 şi 1812, prin pierderea unor teritorii în favoarea
                                                                                                                           Austriei, respectiv Rusiei, cele două ţinuturi se delimitează prin graniţa de Nord a Moldovei.

A.2.1.1. Istoricul judeţului                                                                                               Organizarea în două judeţe se face în anul 1834 când se delimitează judeţele Dorohoi şi Botoşani, cel
                                                                                                                           din urmă cu capitala în oraşul cu acelaşi nume. Judeţul Dorohoi va avea capitala la Mihăileni (Târgul
Actualul judeţ Botoşani este succesorul unora dintre cele mai vechi ţinuturi ale Moldovei, Hârlău şi                       Nou) între anii 1835 şi 1850, ca urmare a măsurii luate de Mihail Sturdza de instalare a capitalei
Dorohoi.                                                                                                                   judeţului pe moşia sa, situată la vama spre Austria şi în oraşul nou construit special pentru aceasta8.
                                                                                                                           După anul 1850 capitala judeţului revine, în mod normal, la Dorohoi şi oraşul Mihăileni îşi păstrează
Hârlăul apare cu certitudine într-un act dat de Iuga vodă între 2 iulie 1398 şi 28 noiembrie 1399, unde                    numai importanta funcţiune de vamă între Moldova (din 1859 Principatele Unite, apoi Regatul
este amintit în sfatul domnesc boierul Bârlea de la Hârlău1. Curţile domneşti (re)făcute de Ştefan cel                     României) şi Austria (în 1867, când se creează statul dualist austro-ungar, Bucovina revine în întregime
Mare în toamna anului 1486 au consolidat importanţa târgului, rămas pănă târziu capitala ţinutului.                        Austriei).
Abia la 1833 s-a propus desfiinţarea acestuia, fapt petrecut odată cu începutul domniei lui Mihail
Sturdza (1834-1849).                                                                                                       Judeţele Dorohoi şi Botoşani rămân judeţe de graniţă până la sfârşitul anului 1918 când, ca urmare a
                                                                                                                           autodeterminării popoarelor din Rusia Socialistă, Bucovina şi Basarabia se alipesc României. Din acel
Dorohoiul apare pentru prima dată într-un act de la 6 octombrie 1407 în care la Liov boierii Ţării                         moment judeţele susnumite se află în mijlocul părţii de NE a României, fiind înconjurate de judeţele
Moldovei reînnoiesc jurământul omagiului către regela Poloniei, Vladislav Jagello. Între boierii                           Cernăuţi, Hotin, Bălţi, Iaşi, Baia, Suceava şi Rădăuţi. Limitele celor două judeţe considerate împreună
menţionaţi este şi un “Mihail Dorohoianul”, Mihail de la Dorohoiu2. Din anul următor datează şi prima                      cuprindeau un teritoriu mai mare decât cel actual:
menţiune despre vama de la Dorohoi pe drumul dela Siret la Cameniţa. De altfel se pare că însăşi
denumirea târgului provine de la slavonul doroga (drum), ceea ce l-a îndemnat pe Constantin C.                                      -   judeţul Dorohoi cuprindea în partea de NV ţinutul Herţei, până aproape de Cernăuţi;
Giurescu să socoată Dorohoiul chiar anterior întemeierii principatului Moldovei3.
                                                                                                                                    -   ambele judeţe cuprindeau în partea de V un rând de comune situate pe malul drept al
Ţinutul Botoşanilor care nu apare în Descriptio Moldaviae (1716) a lui Dimitrie Cantemir, este                                          Siretului;
menţionat într-un hrisov al principelui Grigore III Ghica din 1766 pentru şcolile din Moldova şi chiar
mai înainte, la 1757, într-o listă de încasări ale goştinei (darea pe porci)4. Apariţia noului ţinut se                             -   judeţul Botoşani cuprindea în partea de S şi Hârlăul;
explică prin decăderea curţilor domneşti de la Hârlău, proces început încă de la mijlocul secolului al                              -   ambele judeţe cuprindeau în partea de E şi o fâşie de teritoriu de pe malul drept al Prutului
XVII-lea şi definitivat odată cu devastările trupelor ruse de ocupaţie a Moldovei în vremea războiului                                  în zona Pererita-Teţcani-Lopatnic-Blesteni-Zătriceni-Terebna-Bădragi, respectiv Cuconeşti-
ruso-austro-otoman din 1736-1739. În acelaşi timp s-a produs afirmarea tot mai puternică a târgului                                     Duruitoarea Veche-Păscăuţi-Braniştea, urmare a situaţiei anterioare anului 1812, când
Botoşanilor.                                                                                                                            ţinuturile Moldovei se întindeau de o parte şi de alta a Prutului.
Prima atestare a acestuia este făcută de pisania bisericii armeneşti din centrul târgului şi care datează de               La sfârşitul perioadei interbelice, prin legea administrativă din anul 1938, se instituie Ţinutul Suceava
la 1350, aşadar anterioară întemeierii principatului Moldovei5. În Descriptio Moldaviae, Dimitrie                          care cuprinde şi judeţul Dorohoi şi Ţinutul Prut care cuprinde şi judeţul Botoşani.
Cantemir arată că târgul Botoşanilor era un apanaj al doamnei ţării, de aici provenind veniturile sale
personale, pentru întreţinerea curţii ei. Nicolae Iorga a dedus din înălţarea bisericilor din târg de                      În anul 1944, ca urmare a ocupării Bucovinei şi Basarabiei de către URSS, judeţele Dorohoi şi Botoşani
doamna Elena a lui Petru Rareş, că acest principe ar fi constituit apanagiul6. Constantin C. Giurescu                      ajung până la graniţa de NE a ţării, iar judeţul Dorohoi pierde zona Herţei (din partea de NV a
                                                                                                                           judeţului).
                                                                                                                           Între anii 1944-1950 se revine la organizarea administrativă pe judeţe, aşa cum era până în anul 1938.

1
  Documenta Romaniae Historica.A.Moldova, vol. I, ed. C. Cihodaru, I. Caproşu şi L. Şimanschi, Bucureşti, 1975, pp. 10-
11.
2
  Mihai Costăchescu, Documente moldoveneşti înainte de Ştefan cel Mare, vol. II, Iaşi, 1932, p. 628.
3
  Constantin C. Giurescu, Târguri sau oraşe şi cetăţi moldovene, Bucureşti, 1967, p.222.
4
  Idem, Istoria românilor, vol. III2, Bucureşti, 1946, p.487.                                                              7
                                                                                                                            Constantin C. Giurescu, Târguri sau oraşe şi cetăţi moldovene, pp. 196-197.
5
  Nicolas Soutzo, Notions statistiques sur la Moldavie, Jassy, 1849, p. 53; Constantin C. Giurescu, Târguri sau oraşe şi   8
                                                                                                                            Oraşul Mihăileni (Târgul Nou) a fost construit după un regulament urbanistic de ing. Balberitz între anii 1835 şi 1842. În
cetăţi moldovene, pp. 90, 195-196.                                                                                         1835 a fost construită şi şoseaua Mihăileni-Siret, de asemenea cu scopul organizării vămii între Moldova şi Austria. Cf. N.
6
  N. Iorga, Studii şi documente, vol. V, p. 651.                                                                           Zahacinschi, Mihăilenii de altădată, 1982, pp. 28-29.
Elaboratori: UAUIM-CCPEC, Bucureşti, împreună cu, Universitatea Bucureşti – CICADIT, SC. Quattro Design s.r.l. – Bucureşti, SC. Urbatech s.r.l. – Iaşi, UAIC - Facultatea de Geografie, Iaşi,                                                        32
Actualizare Plan de Amenajarea Teritoriului Judeţean Botoşani                                                                                                                                       Consiliul Judeţean Botoşani
Prin reforma administrativă din anul 1950 se creează Regiunea Botoşani; în anul 1952 această regiune                                           ANUL ŞI EVENIMENTUL PRIN                          PERIOADA, FORMA DE STAT ŞI
se desfiinţează şi este preluată de Regiunea Iaşi9. În anul 1956 teritoriul actual al judeţului intră în                                       CARE SE SCHIMBĂ FORMA ÎN                               TERITORIUL ŢĂRII
componenţa Regiunii Suceava. Regiunile erau împărţite în raioane şi teritoriul fostelor judeţe Botoşani                                                  STAT
şi Dorohoi au format raioanele Botoşani, Dorohoi, Darabani, Săveni şi Truşeşti. Ca urmare a noii
împărţiri administrative a RSR din 1968, legiuitorul – în fapt Nicolae Ceauşescu şi consilierii săi – nu                                   1352 – Întemeierea              Ţării    Moldovei 1352 – 1456
au mai procedat la reconstituirea judeţelor istorice, ci au procedat grosso-modo, la împărţirea regiunii                                   (Dragos Voievod)
                                                                                                                                                                                               Moldova – stat vasal regilor Ungariei şi
Suceava în două părţi, cea de la Est de Siret devenind actualul judeţ Botoşani. Totodată zona Hârlău din
                                                                                                                                                                                               Poloniei, alternativ. Teritoriul ţării
Sudul judeţului intră în componenţa judeţului Iaşi.
                                                                                                                                                                                               cuprinde Moldova de acum, Bucovina şi
Componenţa judeţului Botoşani este stabilită prin Legea nr. 2/1968 completată prin legea nr.55/1968:                                                                                           Basarabia.
reşedinţa judeţului este municipiul Botoşani care are 3 comune suburbane (Curteşti, Răchiţi şi
                                                                                                                                           1456 – Începutul vasalităţii faţă de 1456 – 1538
Stăuceni); există 3 oraşe – Darabani, Dorohoi, Săveni – şi 66 de comune; judeţul Botoşani are în total
                                                                                                                                           Sultanul Înaltei Porţi (Petru Aron)
73 UATB care din anul 1977 rămân 72, prin unificarea com. Nicolae Bălcescu cu com. Flămânzi.                                                                                    Moldova – stat vasal Sultanului Înaltei
Componenţa UATB din judeţ este prezentată în Anexa nr. 1, în care sunt menţionate şi datele atestării                                                                           Porţi şi stat independent, alternativ.
documentare a localităţilor.
                                                                                                                                           1538 – Instaurarea vasalităţii faţă de 1538 – 1711
O nouă reformă administrativă stabilită prin Legea nr.2/1989 (care abrogă legea nr. 2/1968) reduce                                         Sultanul Înaltei Porţi (Ştefan Lăcustă)
numărul UATB din judeţ la 55, păstrând municipiul şi oraşele care existau în anul 1968. Este urmarea                                                                               Moldova – stat vasal Sultanului Înaltei
politicii de reducere a aparatului administrativ al ţării, de fapt o expresie a luptei împotriva ţărănimii,                                                                        Porţi, condus de domnitori aleşi de boieri
întrucât numărul comunelor din judeţ se reduce de la 66 la 59.                                                                                                                     sau impuşi de armate străine; oraşul Iaşi
                                                                                                                                                                                   devine principala reşedinţă domnească a
Această organizare nouă nu a fost pusă în aplicare şi Decretul Lege al C.F.S.N. nr.38/1990 abrogă legea                                                                            lui Alexandru Lăpuşneanu - 156411 .
de organizare din 1989 şi readuce judeţul la situaţia din 1968, cu excepţia precederilor relative la
comunele suburbane. Ca urmare, în anul 1990 judeţul Botoşani era împărţit, din punct de vedere                                             1711 – Instaurarea domniilor fanariote 1711 – 1828
administrativ, în 72 UATB, din care 1 municipiu, 3 oraşe şi 68 comune.                                                                     (Nicolae Mavrocordat)
                                                                                                                                                                                  Moldova – stat cu capitala la Iaşi, vasal
După 1990 începe procesul de întărire a administraţiei publice locale prin înfiinţarea municipiului                                                                               Sultanului Înaltei Porţi, condus de
Dorohoi (1994), a oraşelor Bucecea, Flămânzi şi Ştefăneşti (2004) şi a unora dintre comunele                                                                                      domnitori greci numiţi de Sultan.
desfiinţate înainte (Adăşeni, Blândeşti, Cândeşti, Coşula, Dimăcheni, Lozna, începând cu anul 2003).                                                                              Teritoriul ţării se diminuează prin
În felul acesta în anul 2009 judeţul Botoşani este împărţit în 78 UATB: 2 municipii, 5 oraşe, 71                                                                                  pierderea Bucovinei (1775) şi Basarabiei
comune.                                                                                                                                                                           (1812).
                                                                                                                                           1828 – Începutul ocupaţiei militare ruseşti         1828 – 1859
                                                                                                                                                                                               Moldova – stat cu capitala la Iaşi, sub
                                                                                                                                                                                               dublul protectorat al Sultanului Înaltei
A.2.1.2. Periodizarea istoriei Moldovei                                                                                                                                                        Porţi şi al Ţarului Rusiei, administrat de
                                                                                                                                                                                               Rusia şi, din 1824, condus de domnitorii
Evoluţia istorică a zonei este analizată succint pe o perioadă mai lungă de timp, perioadă care trebuie                                                                                        pământeni, pe baza Regulamentului
împărţită în câteva etape corespunzătoare dezvoltării şi modernizării ţării. Periodizarea istoriei                                                                                             Organic (1830) şi al Convenţiei de la Paris
Moldovei este conţinută în mai multe lucrări istorice; din motive practice, în cele ce urmează vom                                                                                             (1858). Teritoriul ţării se completează cu
utiliza periodizarea pe care am stabilit-o pe baza criteriului evoluţiei formei de stat10:                                                                                                     judeţele din sudul Basarabiei (1856).
                                                                                                                                           1859 – Alegerea lui Alexandru Ioan Cuza 1859 – 1877
                                                                                                                                           ca domnitor al ambelor principate
                                                                                                                                           (Moldova şi Ţara Românească)            Principatele Unite ale Moldovei şi Ţării
                                                                                                                                                                                   Româneşti – stat sub suzeranitatea
                                                                                                                                                                                   Sultanului Înaltei Porţi şi sub protectoratul
                                                                                                                                                                                   puterilor garante, condus succesiv de
9
  Decăderea oraşului Mihăileni continuă ca urmare a pierderii populaţiei germane şi evreieşti, fiind retrogradată la statutul
                                                                                                                                                                                   principii Al. I. Cuza şi Carol de
de comună.
10                                                                                                                              11
   Datele de bază sunt extrase din C.C. GIURESCU e.a., Istoria României în date, 1971.                                               C. CIHODARU e.a., Istoria oraşului Iaşi, vol. I, p. 86.
Elaboratori: UAUIM-CCPEC, Bucureşti, împreună cu, Universitatea Bucureşti – CICADIT, SC. Quattro Design s.r.l. – Bucureşti, SC. Urbatech s.r.l. – Iaşi, UAIC - Facultatea de Geografie, Iaşi,                                                33
Actualizare Plan de Amenajarea Teritoriului Judeţean Botoşani                                                                                                             Consiliul Judeţean Botoşani
          ANUL ŞI EVENIMENTUL PRIN                   PERIOADA, FORMA DE STAT ŞI                                        ANUL ŞI EVENIMENTUL PRIN                       PERIOADA, FORMA DE STAT ŞI
         CARE SE SCHIMBĂ FORMA ÎN                           TERITORIUL ŢĂRII                                           CARE SE SCHIMBĂ FORMA ÎN                            TERITORIUL ŢĂRII
                       STAT                                                                                                      STAT
                                                    Hohenzollern – Sigmaringen, pe baza
                                                    Convenţiei de la Paris şi a Constituţiei
                                                    (1866). Oraşul Bucureşti este proclamat
                                                    capitala României (1862) şi, în consecinţă,
                                                    oraşul Iaşi pierde calitatea de capitală.                      1989 – Trecerea la sistemul democratic          După 1989
       1877 –       Proclamarea     independenţei 1877 – 1919                                                                                                      România – republică parlamentară cu
       României                                                                                                                                                    capitala la Bucureşti, condusă de
                                                    România – regat independent (1881), cu                                                                         preşedinte, pe baza Constituţiei României
                                                    capitala la Bucureşti, condus succesiv de                                                                      (1991). Oraşul Iaşi este reşedinţa judeţului
                                                    regii Carol I şi Ferdinand. Teritoriul ţării                                                                   Iaşi.
                                                    se diminuează cu judeţele din sudul
                                                    Basarabiei (1878) şi se completează cu
                                                    Dobrogea (1878), Basarabia, Bucovina şi
                                                    Transilvania (toate 1918). În perioada                  A.2.1.3. Atestări documentare ale localităţilor
                                                    1916 – 1918, din cauza ocupării oraşului
                                                    Bucureşti de armatele germană, bulgară şi
                                                    turcă, oraşul Iaşi devine capitala de facto a
                                                    României.                                               Atestări documentare
                                                                                                            Atestarea documentară a localităţilor este un semn de apreciere a vechimii şi importanţei acestora.
                                                                                                            Perioadele istorice sunt cele care au fost prezentate în Cap. A.2.1.2.
                                                                                                            Se constată că 20 UATB cuprind localităţi care ai fost atestate în perioada 1352-1456, a întemeierii
                                                                                                            statului moldovean (25% din UATB din judeţ): în primul rând municipiile actuale Botoşani şi Dorohoi,
       1919 – Ratificarea unirii României de către 1919 – 1947                                              oraşul Ştefăneşti şi fostul oraş Mihăileni; celelalte UATB atestate în această primă perioadă sunt astăzi
       Parlamentul României                                                                                 comune.
                                                   România unită – regat cu capitala la
                                                   Bucureşti, condus succesiv de regele                     Amplasarea în judeţ a acestor UATB este foarte semnificativă: în jurul Dorohoiului; în jurul
                                                   Ferdinand, consiliul de regenţă, regii Carol             Botoşaniului; comunele cu iazuri de pe văile Jijiei, Ibănesei şi Başeului; unele comune de pe malul
                                                   II şi Mihai, pe baza Constituţiei României               drept al Prutului; unele comune de pe malul stâng al Siretului.
                                                   (1923). Teritoriul ţării se diminuează
                                                   temporar cu Transilvania de nord (1940 –
                                                   1944) şi definitiv cu Basarabia şi Bucovina              Harta Cantemir (1716)
                                                   (din 1944).
                                                                                                            După hărţi mai vechi, informaţii de la refugiaţii din Rusia după bătălia de la Stănileşti (1711) şi după
                                                                                                            propriile amintiri, Dimitrie Cantemir a elaborat o hartă a Moldovei care, într-o formă redusă, realizată
                                                                                                            de geograful francez J. B. D’Anville, a fost descoperită în 1924 de către George Vâlsan la Biblioteca
                                                                                                            Naţională de la Paris. Originalul acestei hărţi, mult mai mare, fusese văzut în Rusia de geograful
                                                                                                            francez V. J. Deslile, curând după moartea lui Dimitrie Cantemir (1723).
       1947 – Proclamarea Republicii Populare 1947 – 1989
       Române, din 1965 Republica Socialistă                                                                Harta lui Cantemir înfăţişează principatul Moldovei în jurul anului 1700, mai precis o sinteză a situaţiei
       România                                România socialistă – republică cu capitala
                                                                                                            din anii 1685-1711 a intervalului domniilor principilor din familia Cantemir. Harta înfăţişează între
                                              la Bucureşti, condusă de Partidul
                                                                                                            altele teritoriul judeţului Botoşani de astăzi, care era acoperit atunci de ţinuturile Dorohoi şi Hârlău. În
                                              Muncitoresc Român (din 1965 – Partidul
                                                                                                            aceste ţinuturi harta menţionează 48 de aşezări în Dorohoi, dintre care două oraşe – Dorohoi şi
                                              Comunist Român), pe baza Constituţiilor
                                                                                                            Ştefăneşti -, şi 43 de aşezări în Hârlău, dintre care două oraşe – Hârlău şi Botoşani.
                                              din 1948 şi 1965. Oraşul Iaşi devine oraş
                                              de subordonare republicană şi reşedinţa                       Iată mai departe lista localităţilor din actualul judeţ Botoşani depistate în harta lui Cantemir.
Elaboratori: UAUIM-CCPEC, Bucureşti, împreună cu, Universitatea Bucureşti – CICADIT, SC. Quattro Design s.r.l. – Bucureşti, SC. Urbatech s.r.l. – Iaşi, UAIC - Facultatea de Geografie, Iaşi,                        34
Actualizare Plan de Amenajarea Teritoriului Judeţean Botoşani                                                                                                               Consiliul Judeţean Botoşani
      - în ţinutul Hârlău: Cândeşti, Călineşti, Leorda, Văculeşti, Mândreşti, Cucoreni Costineşti,               Dintre satele ce ţineau de târg enumerăm
          Mănăstirea Doamnei, Botoşani, Todireşti, Stăuceni, Tudora, Băluşeni, Coşula, Dragşini,
          Călugăreni, Durneşti, Strahotin, Ionăşeni, Drujeşti, Cerneşti, Orăşeni, Storeşti, Pleşeşti.                 – Măcicătenii, pe Jijia, pomenit într-un document de la Petru Şchiopul din 1 august 1583
                                                                                                                      – Teişoara, pomenit la 9 septembrie 1584
      -   în ţinutul Dorohoi: Pomârla, Falegara (?), Ibăneşti, Liveni, Dumeni, Popeni, Şipoteni,
          Cordăreni, Silişeni, Buceaciul, Şindriceni, Dorohoi, Broscăuţi, Vlădeni, Vorniceni, Glodeni,                – Onţenii, întăriţi, la 20 decembrie 1588, mănăstirii Moldoviţa
          Stânceni, Comăneşti, Hudeşti, Ibăneasa, Tătărăşeni, Boranca, Dolniceni, Păltiniş, Crăiniceni,
          Coceni, Cuzlău, Rădăuţi, Bivolu, Ştiubeni, Ghireni, Coţuşca, Truşeşti (?), Stăuceni, Plopeni,               – Stăuceanii, pe Sitna, din ţinutul Hârlăului, dăruiţi de Petru Schiopul mănăstirii Putna
          Săveni, Ripiceni, Şilişcani, Ştefăneşti, Volovăţ, Slobozia, Dobârceni, Bârsăneşti, Mihăileşti,
                                                                                                                      – Mănăstirenii şi Costeştii pe Siret, dăruiţi, la 18 martie 1615 de către Ştefan Tomşa mănăstirii
          Albeşti, Caravia, Iacobeni, Popricani.
                                                                                                                        Solca
Cu semne deosebite, arătând importanţa lor ca aşezări, sunt marcate Botoşanii, Dorohoiul, Ştefăneştii,
                                                                                                                      – Tătărăşanii, cu heleşteu şi cu mori, fostă moşie domnească, în hotarul târgului, amintit la 2
mănăstirea Coşula şi Mănăstirea Doamnei de lângă Dorohoi.
                                                                                                                        septembrie 1752
                                                                                                                 Al doilea mare târg ca importanţă este Dorohoiul, a cărui primă menţiune apare într-un act din 6 oct
Târguri vechi din judeţul Botoşani                                                                               1407 unde, printre boierii moldoveni care semnează la Liov jurământul de credinţă faţă de regele
                                                                                                                 Poloniei Vladislav Jagello apare şi "pan Mihail Dorohoianul". Un an mai târziu, la 6 oct. 1408, întâlnim
Cea mai veche aşezare a judeţului este chiar capitala sa, Botoşanii sau Botăşenii, denumire însemnând            actul prin care se stabileşte la Dorohoi un punct vamal pentru negustorii care vindeau cai la Cameniţa,
"urmaşii lui Botăş" sau Botaş conform istoricului C.C.Giurescu în lucrarea sa de referinţă Târguri sau           cu această ocazie fiind pomenit din nou Mihail Dorohoianul ca pârcălab al ţinutului.
oraşe şi cetăţi moldovene din secolul al X-lea până la mijlocul secolului al XVI-lea. Temeiul datării
timpurii îl constituie menţiunea referitoare la biserica armenească ridicată, conform pisaniei, la 1350,         Dorohoiul se remarcă şi ca zonă importantă din punct de vedere piscicol datorită multor cursuri mici de
fiind astfel socotită şi cea mai veche biserică a comunităţii din ţară. Aceştia au întemeiat nucleul             apă ce formau bălţi şi iezere, dintre care, într-un act din 5 aug. 1620, se pomeneau "iezerul"
comercial al aşezării, în jurul căruia s-au format ulterior cartierele grecimii, calicimii, lipovenilor.         Dorohoiului, "iazul lui Cristea", "iazul lui Bodeiu", "zăgazul lui Toma Purcarul", "hotarul Pescarilor"18.
Despre prigonirea armenilor petrecută în 1551 sub Petru Rareş când au fost dărâmate bisericile lor din
                                                                                                                 Datorită importanţei sale ca târg şi punct vamal, la Dorohoi se fixează reşedinţa vel vornicului de Ţara
"Hotin, Siret şi Iaşi, Vaslui, Botoşani şi Roman" vorbeşte cronicarul armean Minas din Tocat12. Până la
                                                                                                                 de Sus19.
mijlocul sec. XIX centrul localităţii era proprietatea exclusivă a armenilor.
                                                                                                                 Hotarul târgului era delimitat prin stâlpi de piatră care-l separau de hotarele satelor din ocolul
Prima menţiune documentară românească despre Botoşani se află în letopiseţul redactat la curtea lui
                                                                                                                 Dorohoiului. Informaţia provine din documentul din 5 aug 1620 privind hotărnicia satului Şendricenii,
Ştefan cel Mare unde se spune: "în anul 6947 (1439) noembrie 28, au venit tătarii şi au prădat până la
                                                                                                                 aflat la V de oraş. Despre porţile pomenite în acest document nu se poate conchide că oraşul ar fi fost
Botoşani"13.
                                                                                                                 înconjurat de palisade prevăzute cu porţi, ci mai degrabă ar fi vorba de porţi de intrare în sat, fapt
"Curţile domneşti" din Botoşani sunt menţionate într-un act de la 18 martie 161514. În legătură cu               întâlnit chiar şi în timpurile mai recente.
aceste curţi este pusă construirea de către Ştefan cel Mare a unei biserici, cu rol de capelă de curte, din
                                                                                                                 Ocolul Dorohoiului cuprindea următoarele sate
a cărui pisanie aflăm despre terminarea lucrărilor la 30 septembrie 149615.
                                                                                                                         - Şendricenii. Devine silişte în timpul lui Alexandru Lăpuşneanu, pentru ca ulterior, Constantin
O caracteristică a târgului a fost aceea că el a constituit apanajul doamnei ţării, ea încasând veniturile
                                                                                                                         Moghilă să-l dăruiască lui Vasile Orăş, vel vornic de Ţara de sus20.
lui16. N. Iorga atribuie lui Petru Rareş acestă dispoziţiune, poate datorită faptului că doamna Elena
ridică aici două biserici, dintre care cea cu hramul Sf. Gheorghe datată 1541 (7049) era construită în                   - Cîrstineştii. Ajuns şi el sălişte şi dăruit la 16 martie 1591 de Petru Şchiopul diacului Gheorghe
"târgul Botoşanilor"17. C.C.Giurescu atribuie unor timpuri mai vechi dăruirea către doamna ţării a                       Dorohoncea.
veniturilor acestui târg întemeindu-se pe ideea că încă din vremea lui Alexandru cel Bun doamna avea
o curte a ei cu dregători, ceaşnic, diac, vistiernic, curte ce presupunea venituri pentru întreţinerea ei. Tot           - Iubăneştii, dăruit mănăstirii Solca de către Ştefan Tomşa la 30 martie 1615.
Alexandru cel Bun dăruieşte în 1421 fostei sale soţii, Rimgaila, toate veniturile târgurilor Siret şi
                                                                                                                         - Dobrănăuţii, pe Siret, dăruit mănăstirii Dragomirna de vel vornicul Ieremia Moghilă, danie
Volhovăuţului. În acest sens a fost invocat ca argument faptul că vechea pecete a târgului reprezintă un
                                                                                                                         întărită de Radu Mihnea la 2 apr. 1618.
păun; poate în legătură cu păunii crescuţi la curţile domneşti sau poate ca simbol al doamnei ţării?
                                                                                                                         - Silicicanii, pe Başeu, întărit mănăstirii Sf. Nicolae din Iaşi de către Radu Mihnea, la 7 apr.
12
                                                                                                                         1618
   H.Dj. Siruni, Note armene, în Revista Istorică, XV, 1929, p. 130
13
   Cronicile slavo-române, p. 6
14
   Documente. A, veac XVII, vol. III, p. 203
15                                                                                                               18
   Repertoriul monumentelor, p. 124-126                                                                             Documente. A, veac XVII, vol. IV, p. 492-493
16                                                                                                               19
   Descriptio Moldaviae, p. 17                                                                                      Miron Costin, Opere, p. 238, 387
17
   N. Iorga, Studii şi documente, XV, p. 220-221                                                                 20
                                                                                                                    Documente. A, veac XVII, vol. III, p. 19-20
Elaboratori: UAUIM-CCPEC, Bucureşti, împreună cu, Universitatea Bucureşti – CICADIT, SC. Quattro Design s.r.l. – Bucureşti, SC. Urbatech s.r.l. – Iaşi, UAIC - Facultatea de Geografie, Iaşi,                            35
Actualizare Plan de Amenajarea Teritoriului Judeţean Botoşani                                                                                                             Consiliul Judeţean Botoşani
       - Măgura, întărit lui Nicoară vel vornic, la 12 apr. 1620, de Gaşpar Graţiani                         A.2.1.4. Monumente istorice
Unul dintre vechile târguri ale ţinutului Dorohoiului a fost Ştefăneştii aşezat pe râul Başeu, afluent al    Explicaţii generale
Prutului, pomenit pentru prima dată la 1509. Importanţa sa este dată şi de includerea sa în harta lui
Georg Reichersdorf din 1541, din vremea lui Petru Rareş. Întrucât după tradiţie, biserica Sf. Paraschiva     Lista monumentelor istorice LMI a fost publicată în anul 2004 şi a fost completată în anul 2005;
din târg este atribuită lui Ştefan cel Mare, Constantin C. Giurescu a presupus că Ştefăneştii datau din      ambele liste sunt publicate în Monitorul Oficial al României, în numere bis.
vremea acestui principe. Dacă la începutul sec. XVII avea 2000 de case şi atât Miron Costin cât şi
                                                                                                             Codificarea LMI se face printr-un indicativ alfanumeric:
Dimitrie Cantemir îl numeau oraş, peste 200 de ani, istoricul Dionisie Fotino nu-l mai includea în lista
oraşelor ţinutului Dorohoiului.                                                                                 1. BT – I – m – A – 01751
Din sec. XVII, în ţinutul Dorohoiului au apărut şi alte târguri, primul dintre acestea fiind cel al Herţei               II a      B
(1672, hrisov de la Gheorghe vodă Duca). Acesta a aparţinut până la răpirea Bucovinei în 1775 de
ţinutul Cernăuţilor, ulterior devenind între 1776 şi 1788 reşedinţa unui mic ţinut, al cărui teritoriu se               III s
compunea din ceea ce mai rămăsese din ţinutul Cernăuţilor şi o suprafaţă din ţinutul Dorohoiului. Din                   IV
vremea Regulamentului Organic (introdus în Moldova la 1832) teritoriul ţinutului a fost încorporat la
Dorohoi. La 26 iunie 1940 târgul şi zona adiacentă au fost răşluite cu prilejul anexării Basarabiei şi          1. – numărul curent al monumentului pe lista judeţului
Bucovinei de nord de către URSS.
                                                                                                                    BT – numele simplificat al judeţului
După anexarea Bucovinei la Sfântul Imperiu Romano-German în 1775 pe noua frontieră, pe pârâul
Molniţa, a fost întemeiat un punct vamal în preajma căruia proprietarul moşiei Vlădenilor, Costache                       I, II, III, IV – capitolele LMI: I – arheologie; II – arhitectură; III; monumente de for
Mareş, a obţinut privilegiul domnesc pentru întemeierea unui târg. În 1792 el a colonizat aici evrei din                  public; IV – monumente memoriale/funerare.
Galiţia şi după ridicarea caselor, atelierelor meşteşugăreşti şi a prăvăliilor şi-a construit şi el în                         m, a, s – categoriile monumentelor istorice: m – monument; a – ansamblu; s – sit.
marginea târgului curţile. La 1830 moşia Vlădenilor a intrat în proprietatea lui Mihail Sturdza printr-un
schimb de moşii cu Teodor Balş. În 1835 dându-şi seama de importanţa târgului Vlădenilor Mihail                                    A, B – grupa valorică a monumentelor istorice: A – valoare naţională; B – valoare
Sturdza devenit principe al Moldovei, a răscumpărat şi târgul, pe care l-a numit Mihăileni după numele                             locală.
său.
                                                                                                                                       01751 – numărul de cod al monumentelor istorice;
Alt târg din ţinutul Dorohoiului care s-a ridicat la începutul sec. XIX a fost Darabanii, al cărui nume
provine de la denumirea vechii categorii de oşteni din sec. XVII.                                                                      01751.01 – 02 – numărul de cod al monumentelor care face parte dintr-un
                                                                                                                                       ansamblu sau dintr-un sit.
Ultimul târg înălţat la acest statut în sec. XIX a fost Săvenii, întemeierea sa fiind făcută prin hrisovul
din 4/16 august 1818 a lui Scarlat vodă Callimachi la cererea proprietăresei moşiei, domniţa Eufrosina       Explicaţiile sistemului de clasificare sunt date în Ordinul MCC nr.2260/18.04.2008 pentru aprobarea
Mavrogheni.                                                                                                  Normelor metodologice de clasare şi inventariere a monumentelor istorice (M. Of. Nr.540/17.07.2008).

În ţinutul Hârlăului s-a întemeiat pe moşia familiei Balş târgul Frumuşica, la începutul sec. XIX, în        Numărul real al monumentelor istorice este diferit de numărul de poziţii din LMI, pentru că:
preajma anului 1831.                                                                                                -        numele unui ansamblu este numerotat cu număr curent şi este urmat de numele şi
Alte târguri pe teritoriul actualului judeţ Botoşani au fost târgul Suliţa sau Suliţoaia, Drăcşanii.                         numerele curente ale componentelor ansamblului (de ex., un ansamblu format din două
                                                                                                                             entităţi ocupă trei poziţii în LMI);
                                                                                                                    -        un sit care are mai multe componente este înscris în LMI ca şi ansamblurile (de ex., un
                                                                                                                             sit format din două entităţi ocupă trei poziţii în LMI).
                                                                                                             Acest mod de listare are ca rezultat faptul că pe totalul unui judeţ numărul monumentelor istorice este
                                                                                                             mai mic decât numărul de poziţii din LMI pentru judeţul respectiv.
                                                                                                             Situaţia UATB după monumentele istorice
                                                                                                             În LMI 2004 în judeţul Botoşani sunt înregistrate 522 de poziţii, cărora li se adaugă 1 poziţie nouă în
                                                                                                             LMI 2005; rezultă 523 de poziţii, cărora le corespund 453 de monumente istorice (număr real).
                                                                                                             Repartizarea monumentelor istorice din judeţul Botoşani pe capitolele LMI şi pe grupe valorice


Elaboratori: UAUIM-CCPEC, Bucureşti, împreună cu, Universitatea Bucureşti – CICADIT, SC. Quattro Design s.r.l. – Bucureşti, SC. Urbatech s.r.l. – Iaşi, UAIC - Facultatea de Geografie, Iaşi,                      36
Actualizare Plan de Amenajarea Teritoriului Judeţean Botoşani                                                                                                                    Consiliul Judeţean Botoşani
                                      Grupa valorică                           Procent din
                                                                               numărul total al
          Capitolul LMI                                          Total M.I.    M.I. din judeţ                Se remarcă faptul că un număr 10 UATB din întregul judeţ nu au monumente istorice (13% din
                                      A              B                                                       numărul total de UATB din judeţ). De asemenea este remarcabil că 20 UATB (26% din numărul total
                                                                                                             al judeţului) au un număr de 6 – 10 monumente istorice.
Cap. I - Arheologie                   8           194               204               45%
                                                                                                             Subliniem valoarea deosebită a unor monumente istorice ale judeţului: situl arheologic de la Ripiceni,
Cap. II - Arhitectură                31           193               224               49%                    unde s-a descoperit cel mai vechi adăpost omenesc din Europa de Sud-Est (care este reconstituit parţial
                                                                                                             în Muzeul Judeţean Botoşani); aşezarea fortificată de la Stânceşti – com. Mihai Eminescu – perioada
Cap. III – Monumente de               0              17             17                 4%                    fierului; situl arheologic de la Mitoc - com. Mitoc – paleolitic, epoca bronzului; bisericile domnitorului
for public                                                                                                   Ştefan cel Mare – Sf. Nicolae Popăuţi – Botoşani şi Sf. Nicolae Dorohoi; aşezămintele familiei lui
                                                                                                             Petru Rareş – mănăstirea Coşula, bisericile Sf. Gheorghe Botoşani şi Uspenia Botoşani; urmele
Cap. IV – Monumente                   2              6               8                 2%
memoriale/funerare
                                                                                                             zidurilor de apărare ale oraşului Dorohoi – sec. XV.

Total M.I. Jud. Botoşani             41           412               453               100%                   Nu sunt în remarcate în LMI: pivniţele şi galeriile de sub străzile vechi ale mun. Botoşani; staţiile de
                                                                                                             cale ferată ale liniei Vereşti – Leorda - Botoşani; clădirile în stil Art Nouveau din Botoşani. De
Număr                                                                                                        asemenea nu sunt remarcate unele elemente urbanistice şi tehnice importante: alimentarea cu apă a
Procent                              9%           91%              100%                                      mun. Botoşani; oraşul proiectat Mihăileni; iazurile istorice din judeţ (de remarcat că în stema judeţului
                                                                                                             figurează un rac, care simbolizează bogăţia iazurilor din judeţ).


Se constată numărul mare de M.I. cu specific arheologic precum şi valoarea deosebită a M.I. de
arhitectură (14% din totalul M.I. de arhitectură sunt în grupa valorică A).                                  Aşezămintele monahale ortodoxe

Repartiţia M.I. pe UATB ale judeţului este prezentată în tabelul anexă (tabel analitic). Sinteza situaţiei   Pe teritoriul judeţului Botoşani există 11 aşezăminte monahale, dintre care 8 mănăstiri şi 3 schituri
este prezentată în tabelul care urmează:                                                                     pendinte de 3 mănăstiri.
Numărul UATB după numărul real al monumentelor istorice
                          Numărul UATB cu monumente istorice pe capitolele                                   Mănăstiri şi schituri
                                             LMI
Numărul real al                                                               Total jud. Botoşani
M.I. din UATB
                                                                                                             Jurisdicţie: Mitropolia Moldovei şi Bucovinei, Arhiepiscopia Iaşilor
                      Cap. I      Cap. II        Cap. III –      Cap. IV –                  Procent
                      Arheolog    Arhitectură    Monumente       Monumente                  din totalul      NR.   DENUMIREA         HRAMUL        AMPLASAMENTUL        TIPUL MĂNĂSTIRII            DATA
                      ie                         de for public   memoriale/   Număr         UATB
                                                                              UATB                           CRT                                   Sat sau cartier/   Importanţa   Vieţuitori/      ÎNTEMEIERII
                                                                 funerare                                     .                                    UATB
                                                                                                                                                                                   felul de viată   ŞI OBSERVAŢII
1–5                       49              37              5              3       42            54%
                                                                                                             1.    SF.               Sf. Nicolae   CARTIER            mănăstire    călugări/        1496
6 - 10                     7              3               1              -       20            26%                 NICOLAE                         POPĂUŢI/
                                                                                                                                     (06.12)                                       obşte            Mănăstire1750
11 - 15                    2              -               -              -        4             5%                                                 MUN.
                                                                                                                                                                                                    Desfiinţată 1959
16 - 20                    -              1               -              -        -              -                                                 BOTOŞANI
                                                                                                                                                                                                    Reînfiinţată 1990
21 şi mai multe            -              1               -              -        2             2%
                                                                                                             2.    VORONA            Naşterea      COMUNA             mănăstire    maici/           cca. 1600
Nr. total UATB            58              42              6              3       68            87%                                   Maicii        VORONA
                                                                                                                                     Domnului                                      obşte
cu M.I.
                                                                                                                                     (08.09)
Nr. UATB fără             20              36              72          75         10            13%
M.I.                                                                                                         3.    SIHĂSTRIA         Buna          COMUNA             schit        călugări/        1830-1868
                                                                                                                   VORONEI           Vestire       VORONA             aparţine
                                                                                                                                     (25.03)                          măn.         obşte
Total UATB                                      78                               78           100%


Elaboratori: UAUIM-CCPEC, Bucureşti, împreună cu, Universitatea Bucureşti – CICADIT, SC. Quattro Design s.r.l. – Bucureşti, SC. Urbatech s.r.l. – Iaşi, UAIC - Facultatea de Geografie, Iaşi,                           37
Actualizare Plan de Amenajarea Teritoriului Judeţean Botoşani                                                                                                            Consiliul Judeţean Botoşani
                                                     Vorona                                                 Situaţia UATB după numărul aşezămintelor monahale

4.       AGAFTON        Pogorârea     COMUNA         mănăstire   maici/      Începută în sec.
                                                                                                            UATB ÎN CARE EXISTĂ 2                                 2            com. BĂLUŞENI
                        Sfântului     CURTEŞTI                               XVI                            AŞEZĂMINTE MONAHALE
                        Duh                                      obşte                                                                                                         com. VORONA
                                                                             Desfiinţată 1959
                                                                                                            UATB ÎN CARE EXISTĂ 1 AŞEZĂMÂNT                       7            mun. BOTOŞANI
                                                                             Reînfiinţată 1990              MONAHAL
5.       GOROVEI        Sf. Ioan      SAT GOROVEI/   mănăstire   călugări/   1740
                                                                                                                                                                               com. COPĂLĂU
                        Botezătorul   COMUNA
                        (07.01)       VĂCULEŞTI                  obşte
                                                                                                                                                                               com. CURTEŞTI
6.       COZANCEA       Adormirea     COMUNA         mănăstire   călugări/   1684
                        Maicii        SULIŢA                                                                                                                                   com. DURNEŞTI
                        Domnului                                 obşte       Desfiinţată 1959
                        (15.08)                                                                                                                                                com. FRUMUŞICA
                                                                             Reînfiinţată 1990
                                                                                                                                                                               com. SULIŢA
7.       ZOSIN                        SAT            schit       călugări/
                                      STOREŞTI/      aparţine                                                                                                                  com. VĂCULEŞTI
                                      COMUNA         măn.        obşte
                                      BĂLUŞENI       Cozancea
                                                                                                            UATB ÎN CARE NU EXISTĂ                                69
8.       BALŞ                         COMUNA         schit       călugări/                                  AŞEZĂMINTE MONAHALE
                                      FRUMUŞICA      apartine
                                                     măn.        obşte
                                                     Cozancea
                                                                                                            Organizarea administrativă a bisericii ortodoxe în judeţul Botoşani este următoarea:
                                                                                                                   -       Jurisdicţia - Arhiepiscopia Iaşilor cu reşedinţa la Iaşi, Mitropolia Moldovei şi Sucevei;
9.       EROII          Sfânta        SAT            mănăstire   maici/      1945
         NEAMULUI       Treime        GURANDA/                                                                     -       Patru protoerii: Botoşani, Darabani, Dorohoi, Săveni.
                                      COM.                       obşte       Desfiinţată 1959
                                      DURNEŞTI
                                                                             Dărâmată 1960
                                                                                                            Elemente memoriale
                                                                             Reînfiinţată 1990-
                                                                             1991                           Elementele principale pe care se fundamentează memoria locuitorilor sunt următoarele:
10.      SFINŢII        Sfinţii       COM.           mănăstire   călugări/   Reînfiinţată 1990                     -       monumentele istorice şi, în primul rând, cele cuprinse în Cap. III – Monumente de for
         VOIEVOZI       Voievozi      BĂLUŞENI
                                                                 obşte                                                     public şi în Cap. IV – Monumente memoriale / funerare;
11.      SF.            Sf. Nicolae   SAT COŞULA/    mănăstire   călugări/   Biserica sec. XVI                     -       muzeele, colecţiile, arhivele, bibliotecile istorice;
         NICOLAE                      COM.COPĂLAU
         (COŞULA)       (06.12)                                  obşte       Reînfiinţată 1990                     -       bisericile şi cimitirele;
                                                                                                                   -       denumirile elementelor geografice, ale localităţilor şi cartierelor, ale străzilor;
Sursa: VLASIE, Mihai, Ghidul aşezămintelor monahale ortodoxe din România, Bucureşti: Editura                       -       aşezămintele domneşti;
Sophia, 1999, pp 114-118
                                                                                                                   -       locurile bătăliilor importante;
                                                                                                                   -       moşiile şi reşedinţele boiereşti pe moşii;
                                                                                                                   -       reşedinţele boiereşti din oraşele Botoşani şi Dorohoi;
                                                                                                                   -       obiceiurile populare şi folclorul.
                                                                                                            Muzeele, colecţiile, arhivele şi bibliotecile istorice sunt prezentate în Anexa nr. 5.
Elaboratori: UAUIM-CCPEC, Bucureşti, împreună cu, Universitatea Bucureşti – CICADIT, SC. Quattro Design s.r.l. – Bucureşti, SC. Urbatech s.r.l. – Iaşi, UAIC - Facultatea de Geografie, Iaşi,                          38
Actualizare Plan de Amenajarea Teritoriului Judeţean Botoşani                                                                                               Consiliul Judeţean Botoşani
Elemente istorice notorii                                                                                   7 – Com. DÎNGENI, sat DÎNGENI – Conacul MAVROCORDAT
Aşezăminte domneşti:                                                                                        8 – Com. DERSCA, sat DERSCA – Conacul BURBOR
       ŞTEFAN CEL MARE (sec. XV)                                                                            9 – Com. DRĂGUŞENI, sat PODRIGA – Conacul VASILIU
                 –     Bis. Sf. Nicolae Popăuţi – mun. Botoşani                                             10 – Com DURNEŞTI, sat GURANDA – Conacul ALEXANDRESCU
                 –     Bis. Sf. Nicolae – mun. Dorohoi                                                      11 – Com. HUDEŞTI, sat HUDEŞTI – Conacul BOLDUR-LĂŢESCU
       PETRU RAREŞ (sec. XVI)                                                                               12 – Com. MIHAI EMINESCU, sat STÎNCEŞTI – conacul CALLIMACHI (distrus?)
                 –     Măn. Coşula – com. Coşula                                                            13 – Com. MIHĂILENI, sat VLĂDENI – conacul MAREŞ – STURDZA
       DOAMNA ELENA RAREŞ (sec. XVI)                                                                        14 – Oraş SĂVENI – conacul RATOS
                 –     Bis. Sf. Gheorghe – mun. Botoşani                                                    15 – Com. STEFĂNEŞTI, sat STÂNCA – Castelul ROSETTI-ROSNOVANU (distrus?)
                 –     Bis. Sf. Nicolae – mun. Botoşani                                                     16 – Com. ŞTIUBIENI, sat ŞTIUBIENI – Casa KOGĂLNICEANU
       MIHAI STURDZA (sec. XIX)                                                                             17 – Com. TUDORA, sat TUDORA – Conacul CANTACUZINO-PAŞCANU
                 –    Oraşul nou MIHĂILENI (TÂRGUL NOU), construit după plan şi regulament                  18 – Com. TUDORA, sat TUDORA – Conacul RATOS
                 urbanistic, la comanda domnitorului, 1835-1842, ing. BALBERITZ
                                                                                                            19 – Com. VÂRFU CÂMPULUI, sat VÂRFU CÂMPULUI – Conacul MORUZI
                 –   Şoseaua Mihăileni, între MIHĂILENI şi SIRET, construită la comanda
                 domnitorului                                                                               Se adaugă reşedinţele boiereşti din municipiile BOTOŞANI şi DOROHOI, bisericile şi mănăstirile
                                                                                                            ctitorite de domnitori, boieri, bresle, negustori, bisericile catolice, armeneşti, lipoveneşti, sinagogile
                                                                                                            şi cimitirele de toate religiile.
Locurile bătăliilor importante
       - Sat PODRIGA, com. DRĂGUŞENI – 1434, bătălie pentru domnia Moldovei între fiii lui                  Surse:
       Alexandru cel Bun – Iliaş şi Stefan; Iliaş devine domnitorul Moldovei
                                                                                                            L.M.I. 2004
       - ŞTEFĂNEŞTI, BOTOŞANI, DOROHOI – 1509 – distruse de invazia tătarilor (în timpul
       domnitorului Bogdan cel Chior)                                                                       ION, Narcis Dorin, Reşedinţe şi familii aristocrate din România , Bucureşti: Institutul Cultural
                                                                                                            Român, 2007.
       - Sat DRACŞANI, com. SULIŢA – 1616, bătălie intre armata moldo-polonă a lui Alexandru
       Movilă şi armata turcească care câştigă bătălia: sfârşitul protectoratului polonez asupra            ZAHACINSCHI, Nicolae, Mihăilenii de altădată, Bucureşti: Editura Litera, 1982.
       Moldovei

                                                                                                            Obiceiuri populare
Reşedinţe boiereşti pe moşii                                                                                Unele dintre aceste obiceiuri se păstrează în sate.
1 – Com. ALBEŞTI, sat MĂŞCĂŢENI – Conacul STURDZA – GHICA (distrus?)                                        NAŞTEREA:
2 – Com. BRĂEŞTI, sat BRĂEŞTI – Conacul CAPRI                                                               - Se năştea pe pământ sau pe pat, pe ţoale, femeia sufla în sticlă, gravida nu se uita la damblagii,
3 – Oraş BUCECEA, sat CĂLINEŞTI – Conacul MICLESCU                                                          scutece din cămaşa de nuntă a tatălui, prunc pus pe jos lângă mamă şi ridicat de moaşă, bătrână din
                                                                                                            familie sau moaşa satului, tăia buricul, îngrijea cuplul mic 40 de zile, sau până la botez, făcea scalda,
4 – Com. CORLĂŢENI, sat VLĂDENI – Conacul HARET                                                             descânta, închina la icoane, primea haine si mâncare,
5 – Com. CRISTEŞTI, sat CRISTEŞTI – Conacul STURDZA (distrus?)                                              - Scalda cu apă descântată sau sfinţită, busuioc, flori, monedă, miere, lapte, sare, pană de gâscă, clopot,
                                                                                                            se arunca la loc curat, lăuza mânca borş,
6 – Oraş DARABANI – Casa TEODOR BALŞ

Elaboratori: UAUIM-CCPEC, Bucureşti, împreună cu, Universitatea Bucureşti – CICADIT, SC. Quattro Design s.r.l. – Bucureşti, SC. Urbatech s.r.l. – Iaşi, UAIC - Facultatea de Geografie, Iaşi,                            39
Actualizare Plan de Amenajarea Teritoriului Judeţean Botoşani                                                                                                                   Consiliul Judeţean Botoşani
- Trei ursitoare, a treia noapte, masa ursitoarelor, cu apă, vin şi colaci. Mama visa ursita.                   - Focuri de Buna vestire, de Măcinici, Lăsata secului
- Copil singur cu mătură lângă el. Naşii de cununie botează toţi copiii, cu cumetrii sunt rude.                 - Culegere plante de leac de Sânziene
- Moaşa botează dacă e pericol, sau dacă femeia năştea în drum, naşa dădea haine si sfătuia toată viaţa         - Pomeniri de Moşi. Ajunul Crăciunului, Măcinici, Sf. Gheorghe, Paştele Blajinilor Înălţare, Rusalii,
                                                                                                                Hramurile bisericilor din sate, ale mănăstirilor
- La 1 an, tăiat moţ cu borş, sarmale, ţuică
                                                                                                                - Încondeiere ouă de Paşti
- Copilul dădea naşilor respect şi clăci de Lăsata Secului.
                                                                                                                - Cete de feciori, pentru toate obiceiurile de peste an (organizate după vecinătăţi)
- Cumetrie cu petrecere, după botez până la un an. Copilul primea produse, bani.
                                                                                                                - (Şezătoare şi claca nu se mai fac)
- Scalda cu toate de la scalda botez, se juca în jurul ei, se arunca la loc curat si cine voia copii se aşeza
pe ea.                                                                                                          - (Hora satului – duminicile. Nu se mai face)
- Peţitul, croiala: se tocmea zestrea şi se stabilea logodna. Borş, sarmale, vărzare, ţuică.
- Logodna: dura 1 săptămână sau 1 an, se bea şi se mânca, mâini în cruce ale participanţilor, azi simplă        Festivaluri de folclor
petrecere.
                                                                                                                       -       Hora de la Flămânzi – 15 august (Sf. Maria Mare) – festival interjudeţean de folclor,
- Zestrea: la unele fete se făcea foaie. Pământ, animale, haine, ţesături de casă. Azi mobilă. Ladă, sâpet                     cu invitaţi din Republica Moldova;
sau cufăr. Se duce cu carul cu boi. Se juca zestrea pe drum.
                                                                                                                       -       Festivalul comunităţilor etnice din România, Botoşani – luna mai – festival folcloric;
- Chemarea: vornici, ciomag, batiste, rachiu.
                                                                                                                       -       Serbările pădurii şi Ospăţul pădurilor, Vorona – 7-8 septembrie (Sf. Maria Mică) –
NUNTA:                                                                                                                         festival folcloric.
- Mirele cu pene de păun. Cojoc şi suman. Cămaşă cu flori şi cute cusute. Se mai poartă la moarte.
Floare în piept şi batistă la brâu. Se cânta şi juca.
                                                                                                                Cercetările au relevat următoarele aspecte, în funcţie de localităţile cercetate:
- Mireasa gătită de druşte. Se cânta de jale, se juca brâul. Coroniţă din comerţ cu panglici şi balţ.
Cunună şi ştergar. Casâncă neagră şi şal de pluş pe braţ. Cozi strânse la spate. Mărgele, ciuboţele,
basma pentru dezhobotit.                                                                                        CRISTEŞTI
- Daruri pentru nuni, socri, părinţi, rude, vornici, staroste etc.                                              Ţesătură pentru sumane. Se cos la Dorohoi
- Brazi la mireasă, mire şi nun (6). Colaci de cununie, Jamna – colacul nunilor.
OBICEIURI PENTRU O ANUMITĂ DATĂ:                                                                                DARABANI
- Colindatul de Crăciun                                                                                         Târg de vite, iarmaroc
- Pluguşorul de An Nou
- Cu semănatul de An Nou                                                                                        FRUMUŞICA
- Sorcova de An Nou                                                                                             Fost centru ceramic
- Jocurile cu măşti (Capră, căiuţi, urs, malanca) de An Nou
- Teatru popular (Irozi, Jieni) de An Nou                                                                       FLĂMÂNZI
- Mărţişorul                                                                                                    Se ţese şi astăzi. Lână, cânepă, in, bumbac, borangic
- Ramura verde de Sf. Gheorghe şi de Florii Paşti, Înălţare, Rusalii
- Usturoiul de Sf. Andrei (30 noiembrie)                                                                        IBĂNEŞTI

Elaboratori: UAUIM-CCPEC, Bucureşti, împreună cu, Universitatea Bucureşti – CICADIT, SC. Quattro Design s.r.l. – Bucureşti, SC. Urbatech s.r.l. – Iaşi, UAIC - Facultatea de Geografie, Iaşi,                           40
Actualizare Plan de Amenajarea Teritoriului Judeţean Botoşani                                                                                                                 Consiliul Judeţean Botoşani
Centru de pietrari                                                                                          Fabrică de ceramică, lucra modele occidentale pentru export
                                                                                                            Vechi centru ceramic, lucra chiupuri mari, castroane, oale de lapte, oale de sarmale, tigăi, teracotă.
MANOLEASA                                                                                                   Prelucrare piele, blană cojoace, căciuli
Moară cu roată plutitoare                                                                                   Târg săptămânal : iarmaroc de vite – joia
                                                                                                            Cimitir evreiesc, urme ale prăvăliilor vechi evreieşti din centrul localităţii.
MIHĂILENI
Centru de olărit. Oale, ghivece, străchini, farfurii, bibelouri.                                            TODIRENI
Cimitir evreiesc                                                                                            Până în 1918 – 3 mori de apă.
                                                                                                            Acum – moară cu motor
RĂDĂUŢI PRUT
Moară de apă                                                                                                TUDORA
Fântâni cu cumpănă                                                                                          Cojocărit. Cojoace, mintenaşe, pieptare înfundate, căciuli.
Fost centru de olărit – ceramică de influenţă rusească, tip Herţa, smălţuită şi nesmălţuită                 Olărit. Oale negre şi roşii nesmălţuite, oale roşii smălţuite. Vase mari 50 l, găvane, fluierici.
Cojocărit, cojoace şi sumane cu găietane negre. Azi nu se mai fac                                           Han vechi. Joia se pleca la târgul din Botoşani, cu ceramică. Luau ceaunul de mămăligă şi înnoptau în
                                                                                                            codrii Botoşanilor, unde făceau mămăliga pe pirostrii. A doua zi ajungeau în oraş.
Participau la târg la Dorohoi, unde se vindeau şi măştile pt. Jocurile de Anul nou (se făceau tot în
Dorohoi)
                                                                                                            VĂCULEŞTI
ROMA                                                                                                        Cojocărit
Dulgheri şi tâmplari de mobilă
Cojocari. Cojoace, pieptare, căciuli.                                                                       VORONA
Iarmaroc de vite                                                                                            Pădurea Vorona (150 ha, lângă Vorona, rezervaţie de flora si fauna).
                                                                                                            Serbările pădurii şi Ospăţul pădurilor - festival folcloric - 7-8 septembrie
SUHARĂU                                                                                                     Arhitectura populară – consideraţii generale
Sat de olari. Oale de lapte, borcane, ghivece, capace, ceramică roşie, o singură ardere.                    Arhitectura în sate este într-o transformare continuă, care va duce la pierderea totală a exemplarelor de
                                                                                                            arhitectură populară care mai există. Observaţiile de mai jos de bazează pe cercetări făcute în deceniile
Arhitectură de chirpici                                                                                     8 şi 9 ale secolului trecut.
                                                                                                            Gospodăria ţărănească cuprinde corpul pentru locuinţă (casa propriu zisă) şi anexe pentru depozitarea
SULIŢA                                                                                                      cerealelor şi pentru adăpostirea animalelor. Construcţiile anexe sunt din chirpici sau lemn, mai rar din
                                                                                                            cărămidă, acoperişul este din şiţă sau din paie. Împrejmuirea este din scânduri de lemn sau din nuiele,
Olărit, dogărit                                                                                             foarte rar din zid de cărămidă.
                                                                                                            Locuinţa tradiţională:
ŞTEFĂNEŞTI

Elaboratori: UAUIM-CCPEC, Bucureşti, împreună cu, Universitatea Bucureşti – CICADIT, SC. Quattro Design s.r.l. – Bucureşti, SC. Urbatech s.r.l. – Iaşi, UAIC - Facultatea de Geografie, Iaşi,                        41
Actualizare Plan de Amenajarea Teritoriului Judeţean Botoşani                                                                                                           Consiliul Judeţean Botoşani
Locuinţele tradiţionale sunt de 3 tipuri: monocelulare (o singură cameră); bicelulare (tindă cu sobă de      Bibliografie
gătit şi o cameră laterală cu sobă oarbă – „casă”); tricelulare (tindă centrală cu sobă de gătit şi două
camere de locuit dintre care una nu se încălzeşte). Intrarea în casă are o prispă cu stâlpi, amplasată fie      •   Documenta Romaniae Historica.A.Moldova, vol. I, ed. C. Cihodaru, I. Caproşu şi L. Şimanschi,
în dreptul tindei (prispă centrală), fie pe două laturi ale casei (mai rar pe trei laturi); foarte rar se           Bucureşti, 1975;
întâlneşte un foişor central în dreptul intrării.
Construcţiile sunt amplasate în aşa fel încât faţada cu intrarea în casă cu ferestrele principale să fie        •   CARDAS, Andrei e.a., coordonator, BOTOŞANI, MONOGRAFIE, COLECŢIA JUDEŢELE
orientată spre soare (S, SE, SV); peretele orientat spre nord este orb (fără goluri).
                                                                                                                    PATRIEI, Bucureşti: Editura Sport-Turism, 1980;
Sistemul constructiv tradiţional este: temelia din piatră umplută integral cu pământ, talpa casei din
grinzi de lemn rotund sau cioplit în două muchii (esenţe tari – stejar sau ulm); pereţii sunt din chirpici      •   COSTĂCHESCU, Mihai, DOCUMENTE MOLDOVENEŞTI ÎNAINTE DE ŞTEFAN CEL
sau vălătuci de pământ, mai rar din cărămidă (în momentul de faţă se constată folosirea din ce în ce mai
                                                                                                                    MARE, VOL. II, Iaşi, 1932,;
frecventă a cărămizii şi a blocurilor din BCA); acoperişul este în cele mai multe cazuri în patru ape, cu
învelitoarea din şiţă sau din paie.
                                                                                                                •   GHINEA Eliza, GHINEA Dan, LOCALITĂŢILE DIN ROMÂNIA, DICŢIONAR, Bucureşti:
Finisajele constau din tencuială de lut, podele de pământ sau din scânduri; pereţii exteriori sunt văruiţi
în alb sau în albastru; tavanele sunt din scânduri (blăni) de lemn, fixate uneori pe grinzi de lemn.                Editura Enciclopedică, 2000;

Este caracteristică construirea vetrei în tindă; „casa” – camera de locuit are o sobă oarbă şi plită sau        •   GHINOIU, Ion (coord.), ATLASUL ETNOGRAFIC ROMÂN, VOL. I, Academia Română,
cuptor cu horn.
                                                                                                                    Institutul de Etnografie şi Folclor „Constantin Brăiloiu”, Editura Academiei Române şi Regia
Se remarcă faptul că, sub influenţa modelelor de viaţă orăşeneşti, modul de construire în sate se
                                                                                                                    Autonomă „Monitorul Oficial”;
schimbă radical, iar modelele de arhitectură sunt din ce în ce mai aproape de arhitectura urbană de la
periferia oraşelor. La aceasta contribuie materialele de construcţie care există în magazine, precum şi
practicile de construcţie ale meşterilor executanţi.                                                            •   GIURESCU, Constantin, ISTORIA ROMÂNILOR, VOL. III2, Bucureşti, 1946;

                                                                                                                •   GIURESCU, Constantin C. sub conducerea e.a., ISTORIA ROMÂNIEI ÎN DATE, Bucureşti:
                                                                                                                    Editura Enciclopedică Română, 1971;

                                                                                                                •   GIURESCU, Constantin C., TÂRGURI SAU ORAŞE ŞI CETĂŢI MOLDOVENE, Bucureşti,
Listă cartograme:
                                                                                                                    1967;

A.2.1.a. EVOLUŢIA TERITORIULUI JUDEŢULUI BOTOŞANI 1775-1968                                                     •   IORGA, N., STUDII ŞI DOCUMENTE, VOL. V;
A.2.1.b. UATB ÎN PERIOADA 1968-1990
                                                                                                                •   SOUTZO, Nicolas, NOTIONS STATISTIQUES SUR LA MOLDAVIE, Jassy, 1849;
A.2.1.c. UATB ÎN PERIOADA 1990-2009
A.2.1.d. ATESTAREA DOCUMENTARA A UNEI LOCALITĂŢI                                                                •   TUFESCU, Victor, JUDETELE PATRIEI. JUDEŢUL BOTOŞANI, Institutul de Geografie,
A.2.1.e. HARTĂ DIMITRIE CANTEMIR 1716                                                                               Editura Academiei RS România;
A.2.1.f. M.I. DE ARHEOLOGIE
A.2.1.g. M.I. DE ARHITECTURĂ                                                                                    •   VLASIE, Mihai, GHIDUL ASEZĂMINTELOR MONAHALE ORTODOXE DIN ROMÂNIA,

A.2.1.h. TOTAL M.I. ÎN UATB                                                                                         Bucureşti: Editura Sophia, 1999;

A.2.1.i. MANASTIRI ŞI SCHITURI
                                                                                                                •   ZAHACINSCHI, Nicolae, MIHĂILENII DE ALTĂDATĂ, Bucureşti: Editura Litera, 1982.
A.2.1.j. MONUMENTE DE FOR PUBLIC, MEMORIALE, MUYEE ŞI COLECŢII
A.2.1.k. ELEMENTE ISTORICE NOTORII



Elaboratori: UAUIM-CCPEC, Bucureşti, împreună cu, Universitatea Bucureşti – CICADIT, SC. Quattro Design s.r.l. – Bucureşti, SC. Urbatech s.r.l. – Iaşi, UAIC - Facultatea de Geografie, Iaşi,                      42
Actualizare Plan de Amenajarea Teritoriului Judeţean Botoşani                                                                                                                Consiliul Judeţean Botoşani
ANEXA 2.1.                                                                                                                                                 A. MUNICIPII

A.2.1. ANEXA 1 - UATB ÎN ANUL 1968
                                                                                                                 Denumirea municipiului        Comune suburbane                        Sate componente ale comunei
                                                                                                                                                                                                        suburbane

1486 – BULETINUL OFICIAL AL REPUBLICII SOCIALISTE ROMÂNIA, PARTEA I, Nr. 163-165, pp. 43-46.
                                                                                                                I. BOTOŞANI – mun.           1. Curteşti                       1. CURTEŞTI * 1627
                                                               LEGE

  PENTRU MODIFICAREA LEGII Nr.2/1968 PRIVIND ORGANIZAREA ADMINISTRATIVĂ A TERITORIULUI                      din 17.02.1968, menţionat                                           2. Agafton * 1835
                             REPUBLICE SOCIALISTE ROMÂNIA
                                                                                                            doc.ca sat în 1350                                                 3. Băiceni * 1503 (1835)
                                                                                                            (1440, 1835)                                                       4. Hudum *
                                             JUDEŢUL BOTOŞANI                                                                                                                                5. Mănăstirea Doamnei *
                                        cu reşedinţa în municipiul Botoşani                                                                                                     6. Orăşeni-Deal * 1835
                                                                                                                                                                                      7. Orăşeni-Vale * 1835


                    Municipii...................................................         1                                                          2. RĂCHIŢI                      1. RĂCHIŢI –XIX, vechea
                               Oraşe.........................................................   3                                                                                   denumire Răchiţi-Popăuţi
                    Localităţi componente ale municipiilor şi ale                                                                                                                     2. Cişmea * 1776
                      oraşelor..................................................         7                                                                                            3. Costeşti * 1615 (1835)
                    Comune....................................................         69                                                                                             4. Roşiori *
                       - din care suburbane..............................                3
                    Sate...........................................................   338                                                   3. STĂUCENI                      1. STĂUCENI *XVI, 1835 XIX- secolul
                                                                                                            de atestare                                      2. Siliştea *
                       - din care, aparţin oraşelor                                      8
                                                                                                            1627 – anul de atestare                                          3. Tocileni * SEC. XIX


                                                                                                                                                                             4. Victoria – vechea denumire Filipeşti,
                                                                                                                                                                                                    până la 01.01.1965




                                                                                                                                                            B. ORAŞE


                                                                                                            Denumirea oraşului                                                 Sate ce aparţin oraşului



Elaboratori: UAUIM-CCPEC, Bucureşti, împreună cu, Universitatea Bucureşti – CICADIT, SC. Quattro Design s.r.l. – Bucureşti, SC. Urbatech s.r.l. – Iaşi, UAIC - Facultatea de Geografie, Iaşi,                      43
Actualizare Plan de Amenajarea Teritoriului Judeţean Botoşani                                                                                                             Consiliul Judeţean Botoşani
1. DARABANI- menţionat doc. ca sat                                      1. Bajura *                                                       3. Coştiugeni *
în1569, oraş în 1926, comună în 1950,                                   2. Eşanca *                                                       4. Jijia – vechea denumire Şătrăreni până la 01.01.1965, XIV
17.02.1968 oraş care înglobează satele                                  3. Lişmăniţa -sat                                                 5. Măşcăţeni * SEC. XIX
Darabani, Corneşti, Teioasa.                                       înfiinţat la 17.02.1968                                                6. Tudor Vladimirescu *


                                             Localităţi componente                                          2. AVRĂMENI                    1. AVRĂMENI * 1554-1555
                                                   ale oraşului                                                                           2. Adăşeni * sec. XIV
                                                                                                                                          3. Aurel Vlaicu *
2. DOROHOI- menţionat doc. 1407                 1. DOROHOI *                                                                              4. Dimitrie Cantemir – vechea denumire Valea Răchiţii
ca târg, iar ca oraş în 1408 .Denumire           2. Dealu Mare *                                                                          5. Ichimeni 1721– vechea denumire Ichimenii Mari
în sec.XIII-XIV-Dorogunea. Municipiu             3. Loturi Enescu *                                                                       6. Panaitoaia *
din 24.11.1994                                  4. Progresul – vechea den. Putreda,                                                       7. Timuş *
                                                   până la 01.01.1965                                                                     8.Tudor Vladimirescu *
                                                                                                                                          9. Zoiţani *


3. SĂVENI- menţionat doc.în 1546 sat, târg                             1. Bodeasa *                         3. BĂLUŞENI                   1. BĂLUŞENI *
Menţionat în 1818, oraş 1920, comună 1950,                             2. Bozieni * 1667                                              2. Băluşenii Noi – vechea denumire Pârlita până la 01.01.1965
Oraş la 17.02.1968.                                                     3. Chişcăreni *                                               SEC. XVII, 1740
                                                                       4. Petricani * 1501                                            3. Buzeni * 1736 (1835)
                                                                              5. Sat Nou *                                            4. Coşuleni * SEC. XVI,1835
                                                                                                                                      5. Draxini * SEC. XVII
                                                                                                                                      6. Zăiceşti * 1835
                                             . C. Comune

                                                                                                            4. BRĂEŞTI         .      1. BRĂEŞTI * 1790
Nr.                                                                                                                                   2. Poiana *
crt. Denumirea comunei           Satele componente                       Observaţii                                                   3. Popeni * 1518 (1835)
0             1                          2                                    3                                                       4. Vîlcelele – vechea denumire Găureana până la 01.01.1965
1. ALBEŞTI                     1. ALBEŞTI * 1602
                               2. Buimăceni * 1586                                                          5. BROSCĂUŢI              1. BROSCĂUŢI * 1582


Elaboratori: UAUIM-CCPEC, Bucureşti, împreună cu, Universitatea Bucureşti – CICADIT, SC. Quattro Design s.r.l. – Bucureşti, SC. Urbatech s.r.l. – Iaşi, UAIC - Facultatea de Geografie, Iaşi,             44
Actualizare Plan de Amenajarea Teritoriului Judeţean Botoşani                                                                                                              Consiliul Judeţean Botoşani
                        2. Slobozia – vechea denumire Slobozia-Corlăteni                                                                 6. Recia-Verbia – atestat doc. la 1600
                                                                                                                                         7. Vlădeni *
6. BUCECEA               1. BUCECEA * SEC. XVIII, 1835
                          2. Bohoghina *                                                                    12. CORNI                    1. CORNI * SEC. XVIII
                          3. Călineşti * 1835                                                                                            2. Balta Arsă *
                                                                                                                                         3. Mesteacăn *
7. CĂLĂRAŞI               1. CĂLĂRAŞI *                                                                                                  4. Sarafineşti * SEC. XVI
                          2. Libertatea *
                          3. Pleşani * SEC. XVIII                                                           13. COŢUŞCA                 1. COŢUŞCA * SEC. XVII
                                                                                                                                        2. Avram Iancu *
8. CONCEŞTI                 1. CONCEŞTI * 1574-1575                                                                                     3. Cotu Miculinţi * SEC. XVII
                            2. Movileni – sat infiinţat la 17.02.1968                                                                   4. Crasnaleuca * 1660
                                                                                                                                        5. Ghireni * SEC. XVII
9. COPĂLĂU                  1. COPĂLĂU * 1835                                                                                           6. Mihail Kogălniceanu *
                            2. Buda * SEC. XVIII                                                                                        7. Nichiteni *
                            3. Cerbu *                                                                                                  8. Nicolae Bălcesu *
                            4. Coşula * 1535                                                                                            9. Puţureni * 1609
                            5. Cotu - vechea denumire Cotu-Ruşi până la 17.02.1968
                            6. Pădureni – vechea denumire Lingurari până la 01.01.1965                      14. CRISTEŞTI               1. CRISTEŞTI * SEC. XVIII,1835
                            7. Şupitca *                                                                                                2. Oneaga *
                                                                                                                                        3. Schit-Orăşeni * 1708
10. CORDĂRENI               1. CORDĂRENI (1519, 1835) vechea denumire Cordărenii                                                        4. Unguroaia *
                               Vechi până la 17.02.1968
                             2. Griviţa *
                                                                                                            15. CRISTINEŞTI             1. CRISTINEŞTI * 1591
                                                                                                                                        2. Baranca * sec. XVI
11. CORLĂŢENI                1. CORLĂŢENI * 1487
                                                                                                                                        3. Dragalina *
                            2. Carasa *
                                                                                                                                       4. Fundu Herţii * SEC. XIX
                            3. Dimăcheni * 1612
                                                                                                                                       5. Poiana *
                            4. Mateieni * 1610-1611
                            5. Podeni – vechea denumire Podu lui Stamate

Elaboratori: UAUIM-CCPEC, Bucureşti, împreună cu, Universitatea Bucureşti – CICADIT, SC. Quattro Design s.r.l. – Bucureşti, SC. Urbatech s.r.l. – Iaşi, UAIC - Facultatea de Geografie, Iaşi,             45
Actualizare Plan de Amenajarea Teritoriului Judeţean Botoşani                                                                                                          Consiliul Judeţean Botoşani
16. DERSCA               1. DERSCA * 1554-1555                                                                                         la 20.08.1977 (vezi com. Nicolae Bălcescu)
                          2. Lozna * 1614                                                                                            2. Cordun – sat desfiinţat 20.08.1977, unificat cu satul Flămânzi
                          3. Străteni *                                                                                              3. Poiana *


17. DÎNGENI                1. DÎNGENI * 1660                                                                22. FRUMUŞICA            1. FRUMUŞICA * SEC.XIX
                          2. Hulub *                                                                                                 2. Boscoteni- SEC. XVII, vechea denumire Unsa-Boscoteni,
                          3. Iacobeni * 1596                                                                                                     pana la 17.02.1968
                          4. Strahotin * 1562                                                                                        3. Rădeni SEC. XIX
                                                                                                                                     4. Storeşti 1609
18. DOBÎRCENI             1. DOBÎRCENI * SEC. XIV                                                                                    5. Şendreni SEC. XIX
                          2. Bivolari * SEC. XVII                                                                                    6. Vlădeni-Deal 1518
                          3. Cişmăneşti * 1746
                          4. Livada *
                          5. Murguţa *                                                                      23. GEORGE ENESCU 1. DUMENI 1569 (1835)unificat cu sat.Şipoteni 17.02.1968;
                          6. Pădureni – SEC. XVIII, vechea denumire Brăteni, până la                                                                               atestat 1635
                                      20.05.1996
                                                                                                                                     2. Arborea
                                                                                                                                     3. George Enescu 1588– vechea den.Liveni, până la 16.09.1955
19. DRĂGUŞENI              1. DRĂGUŞENI * 1690
                                                                                                                                     4. Popeni
                           2. Podriga * SEC. XVII
                                                                                                                                     5. Stînca
                           3. Sarata-Drăguşeni – vechea denumire Sarata Greacă
                                                                                                            24. GORBĂNEŞTI           1. GORBĂNEŞTI * 1635
                                                                                                                                     2. Bătrîneşti * 1626 (1835)
20. DURNEŞT I            1. DURNEŞTI * 1589
                                                                                                                                     3. George Coşbuc-vechea denumire Staroşilţa-Radu, SEC. XVI
                         2. Băbiceni * SEC. XVI
                                                                                                                                     4. Mihai Eminescu -XIX-vechea denumire Staroşilţa-Stavri
                         3. Bîrsăneşti * 1616
                                                                                                                                     5. Silişcani * 1546
                         4. Broşteni * 1528
                                                                                                                                     6. Socrujeni * SEC. XVII,1835
                         5. Cucuteni – vechea denumire Cucuteni-Tufescu, până la
                                                                                                                                     7. Viforeni *
                                        01.01.1965
                                                                                                                                     8. Vînători
                         6. Guranda =Budeşti* 1701
                                                                                                            25. HAVÎRNA              1. HAVÎRNA * SEC. XVIII, 1835
                                                                                                                                     2. Balinţi * 1430
21. FLĂMÂNZI             1. FLĂMÂNZI 1605–unificat cu com.Nicolae Bălcescu

Elaboratori: UAUIM-CCPEC, Bucureşti, împreună cu, Universitatea Bucureşti – CICADIT, SC. Quattro Design s.r.l. – Bucureşti, SC. Urbatech s.r.l. – Iaşi, UAIC - Facultatea de Geografie, Iaşi,            46
Actualizare Plan de Amenajarea Teritoriului Judeţean Botoşani                                                                                                              Consiliul Judeţean Botoşani
                       3. Galbeni *
                        4. Gîrbeni * SEC. XIX                                                               32. LUNCA                  1. LUNCA *
                        5. Niculcea *                                                                                                  2. Stroieşti * 1576
                        6. Tătărăşeni * SEC. XVII                                                                                      3. Zlătunoaia * 1805
26. HĂNEŞTI              1. HĂNEŞTI * 1586                                                                  33. MANOLEASA              1. MANOLEASA- vechea denumire. Manoleasa-Volovăţ,
                         2. Borolea * SEC. XIV                                                                                                               până la 17.02.1968, SEC. XIX
                         3. Moara Jorii *                                                                                              2. Bold *
                         4. Sarata-Basarab *                                                                                           3. Flondora *
                         5. Slobozia Hăneşti *                                                                                         4. Iorga *
27. HILIŞEU-               1. HILIŞEU-HORIA-vechea den.Hilişeu-Curt, SEC. XVIII                                                        5. Liveni * 1588
HORIA                      2. Corjăuţi * SEC. XVIII                                                                                    6. Loturi *
                           3. Hilişeu-Cloşca * SEC. XIX                                                                                7. Manoleasa-Prut *
                           4. Hilişeu-Crişan 1522-vechile denumiri Hilişeu-Gafencu                                                     8. Sadoveni *
                                             şi Hilişeu- Vârnav                                                                        9. Şerpeniţa * 1721
                          5. Iezer *                                                                                                   10. Zahoreni * SEC. XVI
28. HLIPICENI            1. HLIPICENI * 1546                                                                34. MIHAI EMINESCU          1. IPOTEŞTI * 1660 (1835)
                        2. Dragalina *                                                                                                   2. Baisa *
                        3. Victoria *                                                                                                    3. Cătămăreşti-vechea denumire Cătămăreşti-Vale, sec.
                                                                                                                                                  XIV,1835
29. HUDEŞTI               1. HUDEŞTI 1582– vechea denumire Lupeni
                                                                                                                                         4. Cătămăreşti-Deal *
                          2. Alba *
                                                                                                                                         5. Cerviceşti * 1750 (1835)
                          3. Baranca *
                                                                                                                                         6. Cerviceşti-Deal-vechea den. Cerviceşti-Crac,
                          4. Mlenăuţi * 1594
                                                                                                                                                             până la 17.02.1968
30. IBĂNEŞTI               1. IBĂNEŞTI * 1455
                                                                                                                                         7. Cucorăni * 1550
                           2. Dumbrăviţa *
                                                                                                                                         8. Manoleşti *
31. LEORDA                1. LEORDA * SEC. XIX
                                                                                                                                         9. Stînceşti – atestat la 1538 (1761)
                          2. Belcea *
                                                                                                            35. MIHĂILENI            1. MIHĂILENI * 1792
                          3. Costineşti * 1835
                          4. Dolina * 1835                                                                                               2. Călineşti – menţionat documentar în 1519

                          5. Mitoc * SEC. XVIII                                                                                     3. Cîndeşti –SEC. XIV, vechea denumire Cândeşti-Dorohoi,


Elaboratori: UAUIM-CCPEC, Bucureşti, împreună cu, Universitatea Bucureşti – CICADIT, SC. Quattro Design s.r.l. – Bucureşti, SC. Urbatech s.r.l. – Iaşi, UAIC - Facultatea de Geografie, Iaşi,             47
Actualizare Plan de Amenajarea Teritoriului Judeţean Botoşani                                                                                                              Consiliul Judeţean Botoşani
                                 până în 1968.                                                                                4. Prisăcani 1576 - în com.Flămânzi, 20.08.1977
                                                                                                            40. NICŞENI               1. NICŞENI * SEC. XVII
                        4. Pîrîu Negru * SEC. XVIII
                                                                                                                                    2. Dacia *
                        5. Rogojeşti – menţionat documentar în 1397
                                                                                                                                    3. Dorobanţi * 1870
                        6. Talpa * SEC. XVIII                                                               41. PĂLTINIŞ             1. PĂLTINIŞ * 1605

                       7. Viţcani *                                                                                                 2. Cuzlău * 1721
36. MIHĂLĂŞENI           1. MIHĂLĂŞENI * SEC. XVIII
                                                                                                                                    3. Horodiştea – unificat cu sat Crăiniceni (atestat doc.1476)
                        2. Caraiman *
                                                                                                                                       (1605)        - desf.17.02.1968
                        3. Năstase *
                                                                                                                                    4. Slobozia * 1677 (1835)
                        4. Negreşti *                                                                       42. POMÎRLA              1. POMÎRLA * 1536

                        5. Păun*                                                                                                    2. Hulubeşti *

                        6. Sarata *                                                                                                      3. Racovăţ – vechea denumire Racovăţ-Palanca

                        7. Slobozia Silişcani *
                                                                                                            43. PRĂJENI              1. PRĂJENI * 1576

37. MILEANCA             1. MILEANCA * 1660                                                                                        2. Cîmpeni –SEC. XIX, vechea denumire Lătăi, până la 01.01.1965

                        2. Codreni * (Ciorbeni)1728                                                                                 3. Lupăria *

                        3. Scutari *                                                                                                4. Miletin * SEC. XV

                        4. Seliştea *
                                                                                                            44. RĂDĂUŢI-PRUT          1. RĂDĂUŢI-PRUT *

38. MITOC                1. MITOC *                                                                                                 2. Miorcani * SEC. XVIII

                        2. Horia – vechea denumire Ghireni-Curt                                                                     3. Rediu * SEC. XIX


39. NICOLAE-       1. NICOLAE BĂLCESCU-com.desfiinţată la 20.08.1977, unificată                             45. RĂUSENI             1. RĂUSENI * SEC. XIV

BĂLCESCU                 cu com.Flămânzi                                                                                           2. Doina *

                  2. Bosînceni SEC. XIX– sat desfiinţat (20.08.1977), unificat cu sat                                              3. Pogorăşti * SEC. XIX

                     Nicolae Bălcescu, com.Flămânzi, Botoşani                                                                      4. Rediu *

                  3. Chiţoveni 1657 – sat în com.Flămânzi, 20.08.1977                                                              5. Stolniceni – vechea denumire Stolnici


Elaboratori: UAUIM-CCPEC, Bucureşti, împreună cu, Universitatea Bucureşti – CICADIT, SC. Quattro Design s.r.l. – Bucureşti, SC. Urbatech s.r.l. – Iaşi, UAIC - Facultatea de Geografie, Iaşi,             48
Actualizare Plan de Amenajarea Teritoriului Judeţean Botoşani                                                                                                              Consiliul Judeţean Botoşani
                                                                                                                                              până la 01.01.1965
46. RIPICENI           1. RIPICENI – vechea denumire Ripiceni-Fabrică,                                      50. SUHARĂU             1. SUHARĂU * SEC. XVIII

                                   până la 17.02.1968                                                                              2. Izvoare *

                      2. Cinghiniia *                                                                                              3. Lişna * 1721

                      3. Lehneşti *                                                                                                4. Oroftiana – vechea denumire Oroftiana de Sus,

                      4. Movila Ruptă * SEC. XIX                                                                                                  până 17.02.1928 , SEC. XVIII

                      5. Popoaia *                                                                                                 5. Plevna *

                          6. Ripicenii Vechi-vechea denumire Ripiceni (atestat doc.1448),                                          6. Smîrdan *

                                  până la 17.02.1968
                                                                                                            51. SULIŢA              1. SULIŢA * 1835
                     7. Rîşca * 1542
                                                                                                                                   2. Blîndeşti * 1835

47. ROMA               1. ROMA *                                                                                                   3. Cerchejeni * 1786 (1835)

                      2. Cotîrgaci * SEC. XVIII                                                                                    4. Cheliş *

                                                                                                                                   5. Dracşani – atestat doc. 1538 (1835)
48. ROMÂNEŞTI          1. ROMÂNEŞTI 1550– vechea denumire Ostopeni-Româneşti
                                                                                                                                   6. Şoldăneşti * 1603 (1835)
                      2. Dămideni * 1616

                      3. Româneşti-Vale *                                                                   52. ŞENDRICENI           1. ŞENDRICENI 1611-vechea denumire Ghilia,

                      4. Sărata *                                                                                                                    până la 17.02.1968
49. SANTA MARE           1. SANTA MARE *
                                                                                                                                   2. Horlăceni - mentionat doc.1384
                       2. Bădărăi *
                                                                                                                                   3. Pădureni 1616-vechea denumire Buhai, până la 01.01.1965
                       3. Berza * 1853

                       4. Bogdăneşti *                                                                      53. ŞTEFĂNEŞTI           1. ŞTEFĂNEŞTI – menţionat documentar la 26.05.1435 cu

                       5. Durneşti * SEC. XIV                                                                                             numele Gura Başeului (1509).Până la 17.02.1968 s-a

                       6. Ilişeni * 1587                                                                                                  numit Ştefăneşti Târg.

                       7. Rînghileşti * 1582                                                                                       2. Bădiuţi – atesta.doc. la 1424

                            8. Rînghileşti-Deal-vechea denumire Fotin Enescu,                                                      3. Bobuleşti * 1533


Elaboratori: UAUIM-CCPEC, Bucureşti, împreună cu, Universitatea Bucureşti – CICADIT, SC. Quattro Design s.r.l. – Bucureşti, SC. Urbatech s.r.l. – Iaşi, UAIC - Facultatea de Geografie, Iaşi,             49
Actualizare Plan de Amenajarea Teritoriului Judeţean Botoşani                                                                                                             Consiliul Judeţean Botoşani
                      4. Stînca *                                                                                                 6. Mihai Viteazu- vechea denumire Colonişti

                       5. Ştefăneşti-Sat *                                                                                        7. Mîndreşti *

                                                                                                                                  8. Plopenii Mari * SEC. XVIII
54. ŞTIUBIENI           1. ŞTIUBIENI * SEC. XV
                                                                                                                                  9. Plopenii Mici * 1604
                       2. Ibăneasa *
                                                                                                                                  10. Tăuteşti *
                       3. Negreni *
                                                                                                                                  11. Vicoleni * SEC. XIV, 1635

55.TODIRENI             1. TODIRENI -sat unificat cu Movileni (17.02.1968) 1721
                                                                                                            59. UNŢENI              1. UNŢENI * SEC. XVI, 1835
                       2. Cerneşti – sat unificat cu Siliştea (17.02.1968)
                                                                                                                                   2. Burla * SEC. XVIII
                       3. Floreşti *
                                                                                                                                   3. Burleşti *
                       4. Gîrbeşti * SEC. XVII
                                                                                                                                   4. Mînăstireni * 1615 (1835)
                       5. Iureşti * SEC. XVII
                                                                                                                                   5. Soroceni * (Uriceni) 1587 (1835)

56. TRUŞEŞTI            1. TRUŞEŞTI * 1568                                                                                         6. Valea Grajdului *

                       2. Buhăceni * SEC. XVIII                                                                                    7. Vultureni *

                       3. Ciritei *
                                                                                                            60. VĂCULEŞTI           1. VĂCULEŞTI – XIV, menţionat documentar la 14.04.1415
                       4. Drislea * SEC. XIX
                                                                                                                                   2. Gorovei 1740-1742– vechea denumire Gorovei-Schit
                       5. Ionăşeni * 1801
                                                                                                                                   3. Sauceniţa *
                      6. Păsăteni *
57. TUDORA            1. TUDORA – menţionat documentar la 29.06.1400
                                                                                                            61. VIIŞOARA            1. VIIŞOARA – vechea denumire Bivolu Mare, până la

58. UNGURENI           1. UNGURENI * SEC. XVI                                                                                                       01.01.1965

                      2. Borzeşti * SEC. XIV                                                                                       2. Cuza Vodă *

                      3. Călugăreni * 1763 (1835)                                                                                  3. Viişoara Mică- vechea denumire Bivolu Mic, până la

                      4. Călugărenii Noi *                                                                                                         01.01.1965

                      5. Durneşti *
                                                                                                            62. VÎRFU CÎMPULUI 1. VÎRFU CÎMPULUI *


Elaboratori: UAUIM-CCPEC, Bucureşti, împreună cu, Universitatea Bucureşti – CICADIT, SC. Quattro Design s.r.l. – Bucureşti, SC. Urbatech s.r.l. – Iaşi, UAIC - Facultatea de Geografie, Iaşi,            50
Actualizare Plan de Amenajarea Teritoriului Judeţean Botoşani                                                                                                           Consiliul Judeţean Botoşani
                     2. Ionăşeni * 1602

                      3. Lunca *
63. VLĂDENI             1. VLĂDENI * SEC. XIV

                      2. Brehuieşti * 1796

                      3. Hrişcani * 1583 (1835)

                      4. Huţani *

                      5. Mîndreşti * 1492 (1835)


64. VLĂSINEŞTI          1. VLĂSINEŞTI – menţionat documentar în 1446

                       2. Miron Costin *

                       3. Sîrbi * 1616
65. VORNICENI           1. VORNICENI – menţionat documentar în 1428

                       2. Davidoaia *

                       3. Dealu Crucii *
66. VORONA              1. VORONA –XIV, menţionat documentar în 1403, vechea

                                     denumire Vorona Noua, până la 17.02.1968

                       2. Icuşeni * 1603

                       3. Joldeşti * SEC. XIX

                       4. Poiana *

                       5. Vorona Mare * SEC. XVIII

                       6. Vorona-Teodoru *


       Informaţii din: Ghinea Eliza, Ghinea Dan, Localităţile din România, Dicţionar, Bucureşti:
Editura Enciclopedică, 2000 şi din Andrei Cardaş, coordonator, Botoşani, monografie, colecţia Judeţele
Patriei, Bucureşti: Editura Sport – Turism, 1980,pp. 42-51.




Elaboratori: UAUIM-CCPEC, Bucureşti, împreună cu, Universitatea Bucureşti – CICADIT, SC. Quattro Design s.r.l. – Bucureşti, SC. Urbatech s.r.l. – Iaşi, UAIC - Facultatea de Geografie, Iaşi,          51
Actualizare Plan de Amenajarea Teritoriului Judeţean Botoşani                                                                                                       Consiliul Judeţean Botoşani
A.2.1. ANEXA 2 - UNITĂŢILE ADMINISTRATIV-TERITORIALE DE BAZĂ                                                14    Com. Broscăuţi         C           C           C            C                 C
DIN JUDEŢUL BOTOŞANI 1968-2009                                                                              15    Com. Călăraşi          C           C           C            C                 C

                                                                                                            16    Com. Cîndeşti       în com.                                            C (înfiinţată
                                                                                                                                     Mihăileni                                          prin L344/2003
                                                                          M = municipiu                                                             idem        idem         idem         – vezi com.
                                                                                                                                                                                          Mihăileni)
                                                                          O = oraş

                                                                          CS = comună suburbană             17    Com. Conceşti          C           -           C            C                 C

                                                                          C = comună                        18    Com. Copălău           C           C           C            C         C (diminuată
                                                                                                                                                                                       prin L 337/2003
                                                                                                                                                                                         – vezi com.
                                                                                                                                                                                           Coşula)
        Denumirea         L 2/1968 +      L 2/1989     DL      Recensământ           Situaţia 2009
                                                     38/1990       1992                                     19    Com. Cordăreni         C           -           C            C                 C
          UATB             L 55/1968
                                                                                                            20    Com. Corlăţeni         C           C           C            C         C (diminuată
                                                                                                                                                                                       prin L 343/2003
 1             2               3             4         5              6                   7
                                                                                                                                                                                         – vezi com.
1.     Mun. Botoşani          M             M          M              M                   M                                                                                              Dimăcheni)

2.     Mun. Dorohoi            O             O         O              O              M (înfiinţat           21    Com. Corni             C           C           C            C                 C
                                                                                        prin
                                                                                                            22    Com. Coşula                                                            C (înfiinţată
                                                                                     L104/1994)
                                                                                                                                                                                        prin L337/2003
                                                                                                                                     în com.        idem        idem         idem         – vezi com.
3.     Oraş Bucecea            C             C         C              C           O (înfiinţat                                       Copălău                                               Copălău)
                                                                                 prin L81/2004)
                                                                                                            23    Com. Coţuşca           C           C           C            C                 C
4.     Oraş Darabani           O             O         O              O                   O
                                                                                                            Nr.      Denumirea       L 2/1968 +   L 2/1989      DL       Recensământ     Situaţia 2009
5.     Oraş Flămînzi           C             C         C              C           O (înfiinţat
                                                                                                                                                              38/1990        1992
                                                                                 prin L80/2004)             Crt        UATB          L 55/1968
                                                                                                            .
6.     Oraş Săveni             O             O         O              O                   O
                                                                                                            24    Com. Cristeşti         C           C           C            C                 C
7.     Oraş Ştefăneşti         C             C         C              C           O (înfiinţat
                                                                                 prin L79/2004)             25    Com. Cristineşti       C           C           C            C                 C
8.     Com. Adăşeni        în com.                                                C (înfiinţată
                          Avrămeni                                               prin L402/2005
                                           idem       idem           idem          – vezi com.
                                                                                   Avrămeni)

9.     Com. Albeşti            C             C         C              C                   C
                                                                                                            26    Com. Curteşti      C.S. M.         C           C            C                 C
10     Com. Avrămeni           C             C         C              C           C (diminuată                                       Botoşani
                                                                                 prin L402/2005
                                                                                      – vezi
                                                                                                            27    Com. Dersca            C           C           C            C          C (diminuată
                                                                                  com.Adăşeni)
                                                                                                                                                                                        prin L342/2003
11     Com. Băluşeni           C             C         C              C                   C                                                                                               – vezi com.
                                                                                                                                                                                            Lozna)
12     Com. Blîndeşti                                                             C (înfiinţată
                                                                                 prin L84/2004 –            28    Com. Dimăcheni      în com.                                           C (înfiinţată
                         în com. Suliţa    idem       idem           idem           vezi com.                                        Corlăţeni                                         prin L 343/2003
                                                                                                                                                    idem        idem         idem        – vezi com.
                                                                                      Suliţa)
                                                                                                                                                                                          Corlăţeni)
13     Com. Brăeşti            C             -         C              C                   C


Elaboratori: UAUIM-CCPEC, Bucureşti, împreună cu, Universitatea Bucureşti – CICADIT, SC. Quattro Design s.r.l. – Bucureşti, SC. Urbatech s.r.l. – Iaşi, UAIC - Facultatea de Geografie, Iaşi,            52
Actualizare Plan de Amenajarea Teritoriului Judeţean Botoşani                                                                                                       Consiliul Judeţean Botoşani
29      Com. Dîngeni               C           C         C             C             C                      N.    Bălcescu           Flămânzi,    Flămânzi    Flămânzi     Flămânzi       Flămânzi
                                                                                                                                    20.08.1977)
30      Com. Dobîrceni             C            -        C             C             C
                                                                                                            51    Com. Nicşeni          C            -           C            C                 C
31      Com. Drăguşeni             C           C         C             C             C
                                                                                                            Nr.      Denumirea      L 2/1968 +    L 2/1989      DL       Recensământ     Situaţia 2009
32      Com. Durneşti              C           C         C             C             C                                                                        38/1990        1992
                                                                                                            Crt        UATB         L 55/1968
33      Com. Frumuşica             C           C         C             C             C                      .
34      Com.George                 C           C         C             C             C                      52    Com. Păltiniş         C            C           C            C                 C
        Enescu
                                                                                                            53    Com. Pomîrla          C            C           C            C                 C
35      Com. Gorbăneşti            C           C         C             C             C

36      Com. Havîrna               C           C         C             C             C

37      Com. Hăneşti               C            -        C             C             C
                                                                                                            54    Com. Prăjeni          C            C           C            C                 C
38      Com. Hilişeu-              C           C         C             C             C
        Horia                                                                                               55    Com. Răchiţi       C.S. M.         C           C            C                 C
                                                                                                                                     Botoşani
39      Com. Hlipiceni             C           C         C             C             C
                                                                                                            56    Com. Rădăuţi-         C            C           C            C                 C
                                                                                                                  Prut

                                                                                                            57    Com. Răuseni          C            -           C            C                 C
40      Com. Hudeşti               C           C         C             C             C                      58    Com. Ripiceni         C            C           C            C                 C
41      Com. Ibăneşti              C           C         C             C             C                      59    Com. Roma             C            C           C            C                 C

                                                                                                            60    Com. Romîneşti        C            -           C            C                 C
42      Com. Leorda                C           C         C             C             C                      61    Com. Santa Mare       C            -           C            C                 C
43      Com. Lozna                                                              C (înfiinţată               62    Com. Stăuceni       C.S.M.         C           C            C                 C
                                                                               prin L342/2003                                        Botoşani
                                în com.       idem      idem          idem       – vezi com.
                                Dersca                                             Dersca)                  63    Com. Suharău          C            C           C            C                 C

44      Com. Lunca                 C           C         C             C             C                      64    Com. Suliţa           C            C           C            C         C (diminuată
                                                                                                                                                                                       prin L84/2004 –
45      Com. Manoleasa             C          C21        C             C             C                                                                                                    vezi com.
                                                                                                                                                                                          Blîndeşti)
46      Com. Mihai                 C           C         C             C             C
        Eminescu                                                                                            65    Com. Şendriceni       C            C           C            C                 C
47      Com. Mihăileni             C           C         C             C        C (diminuată                66    Com. Ştiubieni        C            C           C            C                 C
                                                                               prin L344/2003
                                                                                 – vezi com.                67    Com. Todireni         C            C           C            C                 C
                                                                                  Cîndeşti)
                                                                                                            68    Com. Truşeşti         C            C           C            C                 C
48      Com. Mihălăşeni            C            -        C             C             C
                                                                                                            69    Com. Tudora           C            C           C            C                 C
49      Com. Mileanca              C           C         C             C             C
                                                                                                            70    Com. Ungureni         C            C           C            C                 C
50      Com. Mitoc                 C            -        C             C             C
                                                                                                            71    Com. Unţeni           C            -           C            C                 C
F.      Com. Nicolae          C (unificată   în com.   în com.       în com.      în oraşul
                                cu com.                                                                     72    Com. Văculeşti        C            C           C            C                 C

                                                                                                            73    Com. Viişoara         C            -           C            C                 C
21
     Sub numele com. Liveni
Elaboratori: UAUIM-CCPEC, Bucureşti, împreună cu, Universitatea Bucureşti – CICADIT, SC. Quattro Design s.r.l. – Bucureşti, SC. Urbatech s.r.l. – Iaşi, UAIC - Facultatea de Geografie, Iaşi,            53
Actualizare Plan de Amenajarea Teritoriului Judeţean Botoşani                                                                                                          Consiliul Judeţean Botoşani
74   Com.Vîrfu             C             C           C            C              C                          A.2.1. ANEXA 3 - ATESTAREA DOCUMENTARĂ A UNEI LOCALITĂŢI
     Cîmpului
                                                                                                            COMPONENTE A U.A.T.B.
75   Com. Vlădeni          C             C           C            C              C
                                                                                                                                                          PERIOADELE ISTORICE
76   Com. Vlăsineşti       C             C           C            C              C
                                                                                                            NR.         DENUMIRE                                                         după 1859
77   Com. Vorniceni        C             C           C            C              C                          CRT.         U.A.T.B.            1352-    1456-   1538-    1711-    1828-
                                                                                                                                                                                          sau fără
                                                                                                                                             1456     1538    1711     1828     1859
78   Com. Vorona           C             C           C            C              C                                                                                                       informaţii
TOTAL UATB, din            73           59          72            72             78                           1.    Mun. Botoşani            1350
care:
                                                                                                              2.    Mun. Dorohoi
Municipii                  1             1           1            1              2

Oraşe                      3             3           3            3              5
                                                                                                              3.    Oraş Bucecea

Comune suburbane           3             -           -            -              -                            4.    Oraş Darabani
ale M. Botoşani
                                                                                                              5.    Oraş Flămînzi
Comune                     66           55          68            68             71
                                                                                                              6.    Oraş Săveni
                                                                                                              7.    Oraş Ştefăneşti

                                                                                                              8.    Com. Adăşeni
                                                                                                              9.    Com. Albeşti
                                                                                                             10.    Com. Avrămeni
                                                                                                             11.    Com. Băluşeni
                                                                                                             12.    Com. Blîndeşti
                                                                                                             13.    Com. Brăeşti
                                                                                                             14.    Com. Broscăuţi
                                                                                                             15.    Com. Călăraşi
                                                                                                             16.    Com. Cîndeşti
                                                                                                             17.    Com. Conceşti
                                                                                                             18.    Com. Copălău
                                                                                                             19.    Com. Cordăreni
                                                                                                             20.    Com. Corlăţeni
                                                                                                             21.    Com. Corni
                                                                                                             22.    Com. Coşula
                                                                                                             23.    Com. Coţuşca
                                                                                                             24.    Com. Cristeşti

Elaboratori: UAUIM-CCPEC, Bucureşti, împreună cu, Universitatea Bucureşti – CICADIT, SC. Quattro Design s.r.l. – Bucureşti, SC. Urbatech s.r.l. – Iaşi, UAIC - Facultatea de Geografie, Iaşi,          54
Actualizare Plan de Amenajarea Teritoriului Judeţean Botoşani                                                                                                           Consiliul Judeţean Botoşani
 25. Com. Cristineşti                                                                                        52.    Com. Păltiniş
 26.   Com. Curteşti                                                                                         53.    Com. Pomîrla
 27.   Com. Dersca                                                                                           54.    Com. Prăjeni
 28.   Com. Dimăcheni                                                                                        55.    Com. Răchiţi
 29.   Com. Dîngeni                                                                                          56.    Com. Rădăuţi-Prut
 30.   Com. Dobîrceni                                                                                        57.    Com. Răuseni
 31.   Com. Drăguşeni                                                                                        58.    Com. Ripiceni
 32.   Com. Durneşti                                                                                         59.    Com. Roma
 33.   Com. Frumuşica                                                                                        60.    Com. Romîneşti
 34.   Com. George Enescu                                                                                    61.    Com. Santa Mare
 35.   Com. Gorbăneşti                                                                                       62.    Com. Stăuceni
 36.   Com. Havîrna                                                                                          63.    Com. Suharău
 37.   Com. Hăneşti                                                                                          64.    Com. Suliţa
 38.   Com. Hilişeu-Horia                                                                                    65.    Com. Şendriceni
 39.   Com. Hlipiceni                                                                                        66.    Com. Ştiubieni
 40.   Com. Hudeşti                                                                                          67.    Com. Todireni
 41.   Com. Ibăneşti                                                                                         68.    Com. Truşeşti
 42.   Com. Leorda                                                                                           69.    Com. Tudora
 43.   Com. Lozna                                                                                            70.    Com. Ungureni
 44.   Com. Lunca                                                                                            71.    Com. Unţeni
 45.   Com. Manoleasa                                                                                        72.    Com. Văculeşti
       Com.                                                                                                  73.    Com. Viişoara
 46.
       Mihai Eminescu                                                                                        74.    Com. Vîrfu Cîmpului
                                                                   ORAŞ                                      75.    Com. Vlădeni
 47.   Com. Mihăileni                                              NOU
                                                                                                             76.    Com. Vlăsineşti
 48.   Com. Mihălăşeni
                                                                                                             77.    Com. Vorniceni
 49.   Com. Mileanca
                                                                                                             78.    Com. Vorona
 50.   Com. Mitoc
                                                                                                            TOTAL LOCALITĂŢI ATESTATE          20      16       28       8        1             5
 51.   Com. Nicşeni


Elaboratori: UAUIM-CCPEC, Bucureşti, împreună cu, Universitatea Bucureşti – CICADIT, SC. Quattro Design s.r.l. – Bucureşti, SC. Urbatech s.r.l. – Iaşi, UAIC - Facultatea de Geografie, Iaşi,          55
Actualizare Plan de Amenajarea Teritoriului Judeţean Botoşani                                                                                                             Consiliul Judeţean Botoşani
A.2.1. ANEXA 4 - ATESTAREA DOCUMENTARĂ A LOCALITĂŢILOR                                                      Bucecea                                                              *           1835
                                                                                                            Buda                                                                 *
                                                                                                            Buhăceni                                                             *
      *       - atestarea în secolul respectiv                                                              Buimăceni                                    1586
                                                                                                            (Băimăceni, Buzinţi)
               - atestarea în anul respectiv                                                                Burla                                                                *
     1602
                                                                                                            Burleşti
                                                                                                            Buzeni                                                               ante 1736   1835
                                                                                                            Caraiman
                                                  Data atestării documentare                                Carasa
Numele localităţii       Sec. XIV       Sec. XV    Sec. XVI     Sec. XVII      Sec.    Sec. XIX             Călăraşi
                                                                               XVIII                        Călineşti, c. Bucegea                                                            1835
Adăşeni                  *                                                                                  Călineşti, c.                                1519
Agafton                                                                                1835                 Mihăileni
Alba                                                                                                        Călugăreni                                                           1763        1835
Albeşti                                                         1602                                        Călugărenii Noi
Arborea                                                                                                     Cătămăreşti             *                                                        1835
Aurel Vlaicu                                                                                                (Cătămăreşti-Vale)
Avram Iancu                                                                                                 Cătămăreşti-Deal
Avrămeni                                           1554-1555                                                Cerbu
Baisa                                                                                                       Cerchejeni                                                           1786        1835
Bajura                                                                                                      Cerneşti unificat cu
Balinţi                                 1430                                                                Siliştea
Balta Arsă                                                                                                  Cerviceşti                                                           1750        1835
Baranca                                            *                                                        Cerviceşti-Deal
Baranca                                                                                                     (Cerviceşti-Crac)
Băbiceni                                           *                                                        Cheliş
Bădărăi                                                                                                     Chişcăreni
Bădiuţi                                 1424                                                                Chiţoveni                                                1657
Băiceni                                            1503                                1835                 Cinghiniia
Băluşenii Noi                                                   *              1740                         Ciritei
(Pârlita)                                                                                                   Cişmăneşti                                                           1746
Bătrîneşti                                                      1626                   1835                 Cişmea                                                               1776
Belcea                                                                                                      Cîmpeni (Lătăi)                                                                  *
Berza                                                                                  1853                 Cîndeşti (Cândeşti-     *
Bivolari                                           *                                                        Dorohoi)
Bîrsăneşti                                                      1616                                        Codreni (Ciorbeni)                                                   1728
Blîndeşti                                                                              1835                 Conceşti                                     1574-1575
Bobuleşti                                          1533                                                     Copălău                                                                          1835
Bodeasa                                                                                                     Cordăreni                                    1519                                1835
Bogdăneşti                                                                                                  (Cordărenii Vechi)
Bohoghina                                                                                                   Cordun
Bold                                                                                   *                    Corjăuţi                                                             *
Borolea                  *              *                                                                   Corlăţeni                          1487
Borzeşti                 *              *                                                                   Corni                                                                *
Boscoteni (Unsa-                                                *                                           Costeşti                                                 1615                    1835
Boscoteni)                                                                                                  Costineşti                                                                       1835
Bosînceni                                                                              *                    Coştiugeni
Botoşani                 1350           1440                                           1835                 Coşula                                       1535
Bozieni                                                         1667                                        Coşuleni                                     *                                   1835
Brăeşti                                                                        1790                         Cotîrgaci                                                            *
Brehuieşti                                                                     1796                         Cotu (Cotu-Ruşi)
Broscăuţi                                          1582                                                     Numele localităţii      Sec. XIV   Sec. XV   Sec. XVI    Sec. XVII   Sec.        Sec. XIX
Broşteni                                           1528                                                                                                                          XVIII
Numele localităţii       Sec. XIV       Sec. XV    Sec. XVI     Sec. XVII      Sec.    Sec. XIX             Cotu Miculinţi                                           *
                                                                               XVIII                        Coţuşca                                                  *


Elaboratori: UAUIM-CCPEC, Bucureşti, împreună cu, Universitatea Bucureşti – CICADIT, SC. Quattro Design s.r.l. – Bucureşti, SC. Urbatech s.r.l. – Iaşi, UAIC - Facultatea de Geografie, Iaşi,             56
Actualizare Plan de Amenajarea Teritoriului Judeţean Botoşani                                                                                                            Consiliul Judeţean Botoşani
Crasnaleuca                                             1660                                                Schit)                                                              1742
Cristeşti                                                           *        1835                           Griviţa
Cristineşti                                 1591                                                            Guranda = Budeşti                                                   1701
Cucorăni                                    1550                             1835                           Havîrna                                                             *          1835
Cucuteni (Cucuteni-                                                                                         Hăneşti                                      1586
Tufescu)                                                                                                    Hilişeu-Cloşca                                                                 *
Curteşti                                                1627                                                Hilişeu-Crişan                               1522
Cuza Vodă                                                                                                   (Hilişeu-Gafencu şi
Cuzlău                                                              1721                                    Hilişeu-Vârnav)
Dacia                                                                                                       Hilişeu-Horia                                                       *
Darabani (Căbiceni)                         1569                                                            (Hilişeu-Curt)
Davidoaia                                                                                                   Hlipiceni                                    1546
Dămideni                                                1616                                                Horia (Ghireni-Curt)
Dealu Crucii                                                                                                Horlăceni               1384
Dealu Mare                                                                                                  Horodiştea – unificat                                   1605
Dersca                                      1554-1555                                                       cu sat Crăiniceni
Dimăcheni                                               Ante 1612                                           Hrişcani                                     1583                              1835
Dimitrie Cantemir                                                                                           Hudeşti (Lupeni)                             1582
(Valea Răchiţii)                                                                                               Hudum
Dîngeni                                                 1660                                                Hulub
Dobîrceni              *                                                                                    Hulubeşti
Doina                                                                                                       Huţani
Dolina                                                                       1835                           Iacobeni                                     1596
Dorobanţi                                                                    1870                           Ibăneasa
Dorohoi                           1407                                                                      Ibăneşti                           1455
Dracşani                                    1538                             1835                           Ichimeni (Ichimenii                                                 1721
Dragalina                                                                                                   Mari)
Dragalina                                                                                                   Icuşeni                                                 1603
Draxini                                                 *                                                   Ilişeni                                      1587
Drăguşeni                                               1690                                                Ionăşeni, com.                                                                 1801
Drislea                                                                      *                              Truşeşti
Dumbrăviţa                                                                                                  Ionăşeni, com. Vârful                                   1602
Dumeni (Singureni)                          1569                             1835                           Câmpului
Durneşti                                    1589                                                            Iorga
Durneşti, com. Santa   *                                                                                    Ipoteşti                                                1660                   1835
Mare                                                                                                        Iureşti                                                 *
Durneşti,                                                                                                   Izvoare
com.Ungureni                                                                                                Jijia (Şătrăreni)       *
Eşanca                                                                                                      Joldeşti                                                                       *
Flămânzi                                                1605                                                Lehneşti
Flondora                                                                                                    Leorda                                                                         *
Floreşti                                                                                                    Libertatea
Frumuşica                                                                    *                              Lişmăniţa
Fundu Herţii                                                                 *                              Lişna                                                               1721
Galbeni                                                                                                     Livada
George Coşbuc                               *                                                               Liveni                                       1588
(Staroşilţa-Radu)                                                                                           Loturi
George Enescu                               1588                                                            Loturi Enescu
(Liveni)                                                                                                    Numele localităţii      Sec. XIV   Sec. XV   Sec. XVI   Sec. XVII   Sec.       Sec. XIX
Ghireni                                                 *                                                                                                                       XVIII
Numele localităţii     Sec. XIV   Sec. XV   Sec. XVI    Sec. XVII   Sec.     Sec. XIX                       Lozna                                                   1614
                                                                    XVIII                                   Lunca, com. Lunca
Gîrbeni                                                                      *                              Lunca, com. Vârful
Gîrbeşti                                                *                                                   Câmpului
Gorbăneşti                                              1635                                                Lupăria
Gorovei (Gorovei-                                                   1740-                                   Manoleasa                                                                      *
                                                                                                            (Manoleasa-Volovăţ)
Elaboratori: UAUIM-CCPEC, Bucureşti, împreună cu, Universitatea Bucureşti – CICADIT, SC. Quattro Design s.r.l. – Bucureşti, SC. Urbatech s.r.l. – Iaşi, UAIC - Facultatea de Geografie, Iaşi,            57
Actualizare Plan de Amenajarea Teritoriului Judeţean Botoşani                                                                                                            Consiliul Judeţean Botoşani
Manoleasa-Prut                                                                                              Plopenii Mici                                           1604
Manoleşti                                                                                                   Podeni (Podu lui
Mateieni                                               1610-1611                                            Stamate)
Mănăstirea Doamnei                                                                                          Podriga                                                 *
Măşcăţeni                                                                    *                              Pogorăşti                                                                      *
Mesteacăn                                                                                                   Poiana, com. Brăeşti
Mihai Eminescu                                                               *                              Poiana, com.
(Staroşilţa-Stavri)                                                                                         Cristineşti
Mihai Viteazu                                                                                               Poiana, com.
(Colonişti)                                                                                                 Flămânzi
Mihail Kogălniceanu                                                                                         Poiana, com. Vorona
Mihăileni                                                          1792                                     Pomîrla                                     1536
Mihălăşeni                                                         *                                        Popeni, Brăeşti                             1518                               1835
Mileanca                                               1660                                                 Popeni, com. George
Miletin                           *                                                                         Enescu
Miorcani                                                           *                                        Popoaia
Miron Costin                                                                                                Prăjeni                                     1576
Mitoc, com. Mitoc                                                                                           Prisăcani                                   1576
Mitoc, com. Leorda                                                 *                                        Progresul (Putreda)
Mînăstireni                                            1615                  1835                           Puţureni                                                1609
Mîndreşti, com.                   1492                                       1835                           Racovăţ (Racovăţ-
Vlădeni                                                                                                     Palanca)
Mîndreşti, com.                                                                                             Răchiţi (Răchiţi-                                                              *
Ungureni                                                                                                    Popăuţi)
Mlenăuţi                                    1594                                                            Rădăuţi-Prut
Moara Jorii                                                                                                 Rădeni                                                                         *
Movila Ruptă                                                                 *                              Răuseni                *
Movileni –1968                                                                                              Recia-Verbia                                            1600
Murguţa                                                                                                     Rediu, com. Rădăuţi                                                            *
Năstase                                                                                                     Prut
Negreni                                                                                                     Rediu, com. Răuseni
Negreşti                                                                                                    Ripiceni (Ripiceni-
Nichiteni                                                                                                   Fabrică)
Nicolae Bălcescu                                                                                            Ripicenii Vechi                   1448                                         *
Nicolae Bălcesu                                                                                             (Ripiceni)
Nicşeni                                                *                                                    Rînghileşti                                 1582
Niculcea                                                                                                    Rînghileşti-Deal
Oneaga                                                                                                      (Fotin Enescu)
Orăşeni-Deal                                                                 1835                           Rîşca                                       1542
Orăşeni-Vale                                                                 1835                           Rogojeşti              1397
Oroftiana (Oroftiana                                               *                                        Roma
de Sus)                                                                                                     Româneşti (Ostopeni-                        1550
Panaitoaia                                                                                                  Româneşti)
Pădureni (Brăteni)                                                 *                                        Numele localităţii     Sec. XIV   Sec. XV   Sec. XVI    Sec. XVII   Sec.       Sec. XIX
Pădureni (Lingurari)                                                                                                                                                            XVIII
Numele localităţii     Sec. XIV   Sec. XV   Sec. XVI   Sec. XVII   Sec.      Sec. XIX                       Româneşti-Vale
                                                                   XVIII                                    Roşiori
Pădureni (Buhai)                                       1616                                                 Sadoveni
Păltiniş                                               1605                                                 Santa Mare
Păsăteni                                                                                                    Sarafineşti                                 *
Păun                                                                                                        Sarata
Petricani                                   1501                                                            Sarata-Basarab
Pîrîu Negru                                                        *                                        Sarata-Drăguşeni
Pleşani                                                            *                                        (Sarata Greacă)
Plevna                                                                                                      Sat Nou
Plopenii Mari                                                      *                                        Sauceniţa
                                                                                                            Sărata

Elaboratori: UAUIM-CCPEC, Bucureşti, împreună cu, Universitatea Bucureşti – CICADIT, SC. Quattro Design s.r.l. – Bucureşti, SC. Urbatech s.r.l. – Iaşi, UAIC - Facultatea de Geografie, Iaşi,            58
Actualizare Plan de Amenajarea Teritoriului Judeţean Botoşani                                                                                                            Consiliul Judeţean Botoşani
Săveni                                                                                                      Viforeni
Schit-Orăşeni                                                        1708                                   Viişoara (Bivolu
Scutari                                                                                                     Mare)
Seliştea                                                                                                    Viişoara Mică
Silişcani                                     1546                                                          (Bivolu Mic)
Siliştea                                                                                                    Viţcani
Sîrbi                                                    1616                                               Vîlcelele (Găureana)
Slobozia                                                 1677                1835                           Vînători
Slobozia (Slobozia-                                                                                         Vîrfu Cîmpului
Corlăteni)                                                                                                  Vlădeni (Şipoteni)                                      1635
Slobozia Hăneşti                                                                                            Vlădeni                *
Slobozia Silişcani                                                                                          Vlădeni-Deal                                1518
Smîrdan                                                                                                     Vlăsineşti                       1446                   *
Socrujeni                                                *                   1835                           Vorniceni                        1428
Soroceni (Uriceni)                            1578                           1835                           Vorona (Vorona         *         1403
Stăuceni                                      *                              1835                           Noua)
Stînca                                                                                                      Vorona Mare                                                         *
Stînca                                                                                                      Vorona-Teodoru
Stînceşti                                     1538                   1761                                   Vultureni
Stolniceni (Stolnici)                                                                                       Zahoreni                                    *
Storeşti                                                 1609                                               Zăiceşti                                                                       1835
Strahotin                                     1562                                                          Zlătunoaia                                                                     1805
Străteni                                                                                                    Zoiţani
Stroieşti                                     1576
Suharău                                                              *
Suliţa                                                                       1835
Şendreni                                                                     *
Şendriceni (Ghilia)                                      1611
Şerpeniţa                                                            1721
Şoldăneşti                                               1603                1835
Ştefăneşti (Gura                   1435 (?)   1509
Başeului)
Ştefăneşti-Sat
Ştiubieni                          *
Şupitca
Talpa                                                                *
Tătărăşeni                                               *
Tăuteşti
Timuş
Tocileni                                                                     *
Numele localităţii      Sec. XIV   Sec. XV    Sec. XVI   Sec. XVII   Sec.    Sec. XIX
                                                                     XVIII
Todireni unificat cu                                                 1721
Movileni
Truşeşti                                      1568
Tudor Vladimirescu
Tudor Vladimirescu
Tudora                             1400
Ungureni                                      *
Unguroaia
Unţeni                                        *                              1835
Valea Grajdului
Văculeşti               *          1415
Vicoleni                *                                1635
Victoria
Victoria (Filipeşti)

Elaboratori: UAUIM-CCPEC, Bucureşti, împreună cu, Universitatea Bucureşti – CICADIT, SC. Quattro Design s.r.l. – Bucureşti, SC. Urbatech s.r.l. – Iaşi, UAIC - Facultatea de Geografie, Iaşi,            59
Actualizare Plan de Amenajarea Teritoriului Judeţean Botoşani                                                                                                                             Consiliul Judeţean Botoşani
A.2.1. ANEXA 5 - PATJ BOTOŞANI - MONUMENTE ISTORICE CF. L.M.I.
2004/2005



                                  NUMĂR MONUMENTE ISTORICE ÎN CAPITOLELE LMI                                                                  1         2         3     4     5     6     7    8        9       10          11     12
                   CAP. I -                CAP. II -                CAP.III                 CAP.IV                  TOTAL                     10   Com.
                   ARHEOLOGIE              ARHITECTURA              MONUMENTE DE            MONUMENTE               MONUMENTE                                    4/0    3/0    -     -    -    -        -        -          4/0    3/0
                                                                                                                                                   Avrămeni
                                                                    FOR PUBLIC              MEMORIALE/              ISTORICE

                                                                                            FUNERARE                                          11   Com.
                                                                                                                                                                 4/0    3/0   4/3   3/2   -    -        -        -          8/3    6/2
                                                                                                                                                   Băluşeni
     UATB          Nr.          Nr. real   Nr. poziţii   Nr. real   Nr.          Nr. real   Nr.          Nr. real   Nr.          Nr. real
                   poziţii în   de MI      în LMI/       de MI      poziţii în   de MI      poziţii în   de MI      poziţii în   de MI        12   Com.
                                                                                                                                                                 4/0    3/0    -     -    -    -        -        -          4/0    3/0
                   LMI/         /nr.mo-    nr. pozitii   /nr.mo-    LMI/nr.      /nr.mo-    LMI/nr.      /nr.mo-    LMI/nr.      /nr.mo-           Blîndeşti
                   nr.pozitii   nument     în grupa      nument     pozitii în   nument     pozitii în   nument     pozitii în   nument în
                   în grupa     în grupa   valorică A    în grupa   grupa        în grupa   grupa        în grupa   grupa        grupa        13   Com.
                                                                                                                                                                  -      -    3/1   3/1   -    -        -        -          3/1    3/1
                   valorică     valorică                 valorică   valorică     valorică   valorică     valorică   valorică     valorică          Brăeşti
                   A            A                        A          A            A          A            A          A            A
                                                                                                                    (3+5+7+9)    (4+6+8+10)   14   Com.
                                                                                                                                                                  -      -     -     -    -    -        -        -           -      -
                                                                                                                                                   Broscăuţi
1         2            3           4           5            6           7           8           9           10         11           12
                                                                                                                                              15   Com.
                                                                                                                                                                 6/0    5/0    -     -    -    -        -        -          6/0    5/0
1     Mun.                                  117/21                                                                                                 Călăraşi
                      1/0         1/0                    108/18        8/0         8/0         4/1         4/1      130/22        121/19
      Botoşani                                *1
                                                                                                                                              16   Com.
                                                                                                                                                                  -      -    2/0   2/0   -    -        -        -          2/0    2/0
2     Mun.                                   18/3                                                                                                  Cîndeşti
                      1/1         1/1                     17/2         3/0         3/0          -            -        22/4         21/3
      Dorohoi                                 *2
                                                                                                                                              17   Com.
                                                                                                                                                                 1/0    1/0    -     -    -    -        -        -          1/0    1/0
3     Oraş                                                                                                                                         Conceşti
                        -          -          2/0          2/0         2/0         2/0          -            -         4/0          4/0
      Bucecea
                                                                                                                                              18   Com.
                                                                                                                                                                 2/1    2/1    -     -    -    -        -        -          2/1    2/1
4     Oraş                                    5/0                                                                                                  Copălău
                      3/0         2/0                      4/0          -           -           -            -         8/0           6/0
      Darabani                                *2
                                                                                                                                              19   Com.
                                                                                                                                                                 1/0    1/0    -     -    -    -        -        -          1/0    1/0
5     Oraş                                                                                                                                         Cordăreni
                      6/0         5/0         2/0          2/0         2/0         2/0          -            -        10/0          9/0
      Flămînzi
                                                                                                                                              20   Com.
                                                                                                                                                                 8/0    7/0   1/0   1/0   -    -        -        -          9/0    8/0
6     Oraş                                                                                                                                         Corlăţeni
                      6/0         5/0         2/0          2/0          -           -           -            -         8/0          7/0
      Săveni
                                                                                                                                              21   Com.
                                                                                                                                                                 8/0    6/0   1/0   1/0   -    -        -        -          9/0    7/0
7     Oraş                                    6/0                                                                                                  Corni
                      6/0         5/0                      5/0          -           -           -            -        11/0         11/0
      Ştefăneşti                              *2
                                                                                                                                              22   Com.                       9/8
                                                                                                                                                                  -      -          8/8   -    -        -        -          9/8    8/8
8     Com.                                                                                                                                         Coşula                     *2
                        -          -           -             -          -           -           -            -          -            -
      Adăşeni
                                                                                                                                              23   Com.
                                                                                                                                                                 10/0   9/0    -     -    -    -        -        -      10/0       9/0
9     Com.                                                                                                                                         Coţuşca
                      5/0         4/0          -             -          -           -           -            -         5/0          4/0
      Albeşti                                                                                                                                 24   Com.
                                                                                                                                                                 4/0    4/0   2/0   2/0   -    -        -        -          6/0    6/0
                                                                                                                                                   Cristeşti

                                                                                                                                              25   Com.
                                                                                                                                                                 3/0    3/0   1/0   1/0   -    -        -        -          4/0    4/0
                                                                                                                                                   Cristineşti

                                                                                                                                              26   Com.                       7/0
                                                                                                                                                                 8/0    6/0         6/0   -    -        -        -          15/0   12/0
                                                                                                                                                   Curteşti                   *2


Elaboratori: UAUIM-CCPEC, Bucureşti, împreună cu, Universitatea Bucureşti – CICADIT, SC. Quattro Design s.r.l. – Bucureşti, SC. Urbatech s.r.l. – Iaşi, UAIC - Facultatea de Geografie, Iaşi,                                       60
Actualizare Plan de Amenajarea Teritoriului Judeţean Botoşani                                                                                                        Consiliul Judeţean Botoşani

1         2        3        4        5        6        7        8      9        10       11       12      1        2        3       4        5         6        7        8        9       10      11    12

27    Com.                                                                                                59   Com.
                   1/1     1/1      1/0      1/0       -        -      -        -       2/1       2/1                        -       -       1/0      1/0       -        -        -        -      1/0   1/0
      Dersca                                                                                                   Roma

28    Com.                                                                                                60   Com.
                    -       -       1/0      1/0       -        -      -        -       1/0       1/0                        -       -        -        -        -        -        -        -       -     -
      Dimăcheni                                                                                                Romîneşti

29    Com.                                                                                                61   Com.
                   1/0     1/0      1/0      1/0       -        -      -        -       2/0       2/0
      Dîngeni                                                                                                  Santa        1/0     1/0       -        -        -        -        -        -      1/0   1/0
                                                                                                               Mare
30    Com.
                    -       -        -        -        -        -      -        -        -         -
      Dobîrceni                                                                                           62   Com.
                                                                                                                            4/0     3/0       -        -        -        -        -        -      4/0   3/0
                                                                                                               Stăuceni
31    Com.
                   6/0     4/0      1/0      1/0       -        -      -        -       7/0       5/0
      Drăguşeni                                                                                           63   Com.
                                                                                                                            4/0     4/0      2/0      2/0       -        -        -        -      6/0   6/0
                                                                                                               Suharău
32    Com.
                   1/0     1/0      1/0      1/0       -        -      -        -       2/0       2/0
      Durneşti                                                                                            64   Com.                          6/0
                                                                                                                            3/0     2/0               5/0       -        -        -        -      9/0   7/0
                                                                                                               Suliţa                        *2
33    Com.                          3/0
                   5/1     4/1               2/0       -        -      -        -       8/1       6/1
      Frumuşica                     *2                                                                    65   Com.
                                                                                                                            4/0     3/0      3/0      3/0       -        -        -        -      7/0   6/0
                                                                                                               Şendriceni
34    Com.
      George       4/0     3/0       -        -        -        -     1/1      1/1      5/1       4/1     66   Com.
                                                                                                                            4/0     3/0      1/0      1/0       -        -        -        -      5/0   4/0
      Enescu                                                                                                   Ştiubieni

35    Com.                                                                                                67   Com.
                    -       -        -        -        -        -      -        -        -         -                         -       -        -        -        -        -        -        -       -     -
      Gorbăneşti                                                                                               Todireni

36    Com.                          3/0                                                                   68   Com.
                   3/0     2/0               2/0       -        -      -        -       6/0       4/0                       5/0     4/0      1/0      1/0       -        -        -        -      6/0   5/0
      Havîrna                       *2                                                                         Truşeşti

37    Com.                                                                                                69   Com.
                   8/0     7/0      1/0      1/0       -        -      -        -       9/0       8/0                       5/0     4/0      2/0      2/0       -        -        -        -      7/0   6/0
      Hăneşti                                                                                                  Tudora

38    Com.                                                                                                70   Com.
                                    5/0                                                                                     3/0     2/0       -        -        -        -        -        -      3/0   2/0
      Hilişeu-      -       -                4/0       -        -      -        -       5/0       4/0          Ungureni
                                    *2
      Horia
                                                                                                          71   Com.
                                                                                                                            1/0     1/0       -        -        -        -        -        -      1/0   1/0
39    Com.                                                                                                     Unţeni
                   6/0     5/0       -        -        -        -      -        -       6/0       5/0
.     Hlipiceni
                                                                                                          72   Com.                          9/0
                                                                                                                            1/0     1/0               8/0       -        -        -        -     10/0   9/0
40    Com.                                                                                                     Văculeşti                     *2
                   1/0     1/0      3/0      3/0       -        -      -                4/0       4/0
      Hudeşti
                                                                                                          73   Com.
                                                                                                                             -       -        -        -        -        -        -        -       -     -
41    Com.                                                                                                     Viişoara
                   1/0     1/0       -        -       1/0      1/0     -        -       2/0       2/0
      Ibăneşti
                                                                                                          74   Com.
42    Com.                                                                                                     Vîrfu         -       -       1/0      1/0       -        -        -        -      1/0   1/0
                   4/0     3/0       -        -        -        -      -        -       4/0       3/0
      Leorda                                                                                                   Cîmpului




Elaboratori: UAUIM-CCPEC, Bucureşti, împreună cu, Universitatea Bucureşti – CICADIT, SC. Quattro Design s.r.l. – Bucureşti, SC. Urbatech s.r.l. – Iaşi, UAIC - Facultatea de Geografie, Iaşi,                 61
Actualizare Plan de Amenajarea Teritoriului Judeţean Botoşani                                                                                                            Consiliul Judeţean Botoşani

1         2         3       4        5        6        7        8      9        10       11       12      1          2         3        4        5           6       7      8        9       10       11      12

43    Com.                                                                                                75     Com.
                   1/0     1/0       -        -        -        -       -        -      1/0       1/0                          3/0     2/0       -           -       -      -        -        -       3/0     2/0
      Lozna                                                                                                      Vlădeni

44    Com.                                                                                                76     Com.
                    -       -        -        -        -        -       -        -       -         -                           1/0     1/0       -           -       -      -        -        -       1/0     1/0
      Lunca                                                                                                      Vlăsineşti

45    Com.                                                                                                77     Com.
                   7/0     5/0       -        -        -        -       -        -      7/0       5/0                          4/0     3/0      1/0         1/0      -      -        -        -       5/0     4/0
      Manoleasa                                                                                                  Vorniceni

46    Com.                                                                                                78     Com.                           5/0
                                                                                                                               1/0     1/0                  4/0      -      -        -        -       6/0     5/0
                   1/1     1/1      3/0      3/0       -        -      4/0      3/0     8/1       7/1            Vorona                         *2
      Mihai
      Eminescu                                                                                            TOTAL NR.
                                                                                                          MONUMENTE           251/8   204/8   246/36       224/31   17/0   17/0     9/2      8/2    523/46   453/41
47    Com.                                                                                                ISTORICE
                    -       -       2/0      2/0       -        -       -        -      2/0       2/0
      Mihăileni
                                                                                                          TOTAL
48    Com.
                   6/0     5/0      1/0      1/0       -        -       -        -      7/0       6/0                          58               42                   6               3                68
      Mihălăşeni                                                                                          NR. UATB CU
                                                                                                          MONUMENTE
49    Com.
                    -       -        -        -        -        -       -        -       -         -
      Mileanca

50    Com.
      Mitoc
                   15/3    12/3      -        -       1/0      1/0      -        -      16/3     13/3          *1 Din care în categoria “ansambluri” – 12

51    Com.                                                                                                     *2 Din care în categoria “ansambluri” - 1
                   5/0     4/0       -        -        -        -       -        -      5/0       4/0
      Nicşeni

52    Com.
                   16/0    13/0      -        -        -        -       -        -      16/0     13/0
      Păltiniş

53    Com.                          4/0
.                   -       -                3/0       -        -       -        -      4/0       3/0
      Pomîrla                       *2

54    Com.
                   11/0    9/0       -        -        -        -       -        -      11/0      9/0
      Prăjeni

55    Com.
                    -       -        -        -        -        -       -        -       -         -
      Răchiţi

56    Com.
      Rădăuţi-     8/0     6/0      2/0      2/0       -        -       -        -      10/0      8/0
      Prut

57    Com.
                   1/0     1/0       -        -        -        -       -        -      1/0       1/0
      Răuseni

58    Com.
                   4/0     3/0       -        -        -        -       -        -      4/0       3/0
      Ripiceni




Elaboratori: UAUIM-CCPEC, Bucureşti, împreună cu, Universitatea Bucureşti – CICADIT, SC. Quattro Design s.r.l. – Bucureşti, SC. Urbatech s.r.l. – Iaşi, UAIC - Facultatea de Geografie, Iaşi,                       62
Actualizare Plan de Amenajarea Teritoriului Judeţean Botoşani                                                                                                         Consiliul Judeţean Botoşani
                                                                                                            din România, Bucureşti: cIMeC, 2000

A.2.1. ANEXA 6 - MUZEE, COLECŢII, ARHIVE, BIBLIOTECI

Nr.                                                           An
                  Denumire               Amplasament                             Profil principal
crt.                                                       înfiinţare

       MN-Memorialul Ipoteşti-Centrul    com. Mihai        1940/
1.     Naţional de Studii “Mihai         Eminescu, sat                  Istoria literaturii
       Eminescu”                         Ipoteşti          1950

                                                                        Arheologie daco-romană.
2.     MJB-Muzeul Judeţean Botoşani      mun. Botoşani     1955
                                                                        Arheologie preistorică. Istorie

3.     SMJB-Muzeul de Artă               mun. Botoşani     1960         Artă plastică românească

4.     SMJB-Muzeul de Etnografie         mun. Botoşani     1989         Etnografie

       SMJB-Casa memorială
5.                                       mun. Botoşani     1971         Personalităţi istorice
       “Nicolae Iorga”

       SMJB-Muzeul Memorial
6.                                       mun. Botoşani     1995         Istoria tehnicii
       “Octav Onicescu”

       SMJB-Galeriile de artă plastică
7.                                       mun. Botoşani     1981         Artă plastică
       “Ştefan Luchian”

       SMJB-Muzeul de Artă
8.                                       mun. Dorohoi      1986         Artă decorativă
       Decorativă

       SMJB-Muzeul de Ştiinţele                                         Ştiinţele naturii.Botanică.
9.                                       mun. Dorohoi      1953
       Naturii                                                          Zoologie

       SMJB-Muzeul Naţional
10.                                      mun. Dorohoi      1957         Istoria muzicii
       “George Enescu”

                                         com. George
       SMJB-Casa memorială               Enescu, sat
11.                                                        1955         Istoria muzicii
       “George Enescu”                   George Enescu
                                         (fost Liveni)

       SMJB-Colecţia Etnografică
12.                                      com. Mihăileni    1984         Etnografie
       Zahacinschi

                                                                        Arheologie preistorică.
13.    SMJB-Muzeul de arheologie         oraş Săveni       1964
                                                                        Personalităţi istorice

       SMJB-Expoziţia Permanentă
14.                                      oraş Ştefăneşti   1989         Artă plastică românească
       de Artă Plastică Contemporană

       ANJB-Arhivele Naţionale
15.                                      mun. Botoşani                  Arhivă
       judeţul Botoşani

16.    P-Biblioteca mănăstirii Vorona    com. Vorona                    Cărţi religioase sec. XVII-XIX

MJB=MUZEU JUDEŢEAN                          S=SECŢIE A UNUI MUZEU

MN=MUZEU NAŢIONAL                           P=COLECŢIE PRIVATĂ

Sursa: Ministerul Culturii, Direcţia Muzee şi Colecţii, Ghidul muzeelor şi colecţiilor

Elaboratori: UAUIM-CCPEC, Bucureşti, împreună cu, Universitatea Bucureşti – CICADIT, SC. Quattro Design s.r.l. – Bucureşti, SC. Urbatech s.r.l. – Iaşi, UAIC - Facultatea de Geografie, Iaşi,          63
Actualizare Plan de Amenajarea Teritoriului Judeţean Botoşani                                                                                                                  Consiliul Judeţean Botoşani
A.2.2. PEISAJE CULTURALE
                                                                                                                          77. Cu terenuri agricole, rare pajişti stepice puternic modificate şi pajişti cu plante halofile şi
                                                                                                                          pâlcuri de stejar pedunculat cu arţar tătăresc (38 UATB): acest tip de peisaj de câmpie,
A.2.2.1. Macrozonarea peisagistică                                                                                        caracteristic Câmpiei Moldovei, predomină în parţile de N, E şi S ale judeţului reprezentând
                                                                                                                          peisajul dominant în cca. 50% din teritoriul acestuia. Se remarcă faptul că în această zonă de
Teritoriul judeţului Botoşani se încadrează în două categorii de peisaj caracteristice zonelor joase ale                  câmpie au fost amenajate în decursul timpului un număr mare de iazuri, construite prin
Moldovei: (i) peisaje de deal şi podiş sub influenţa climatului continental; (ii) peisaje de câmpie sub                   bararea cursurilor râurilor (vezi Subcapitolul „Iazuri”).
influenţa climatului continental.
                                                                                                                          Peisajul de câmpie continuă spre E, în afara judeţului în Republica Moldova, câmpia
                                                                                                                          fiind fracturată de valea amplă a Prutului.
UATB din judeţ sunt încadrate, parţial sau total, în următoarele subcategorii de peisaj:                                  Subliniem că identificarea peisajelor şi problemelor de protecţie a acestuia trebuie să facă
                                                                                                                          parte din propunerile PUG ale fiecărei UATB în parte.
   I.      PEISAJE DE DEAL ŞI PODIŞ, SUB INFLUENŢA CLIMATULUI CONTINENTAL
           (PARŢIAL PONTIC-SUBMEDITERANEAN):
           A. DEALURI ŞI PODIŞURI ÎNALTE
                                                                                                              A.2.2.2. Arii naturale protejate
           38. Podiş cu păduri de fag cu carpen, de gorun şi stejar pedunculat, pajişti stepizate şi          Dintre cele 10 rute principale de migraţie a păsărilor care străbat atmosfera României, două trec pe
           terenuri agricole (17 UATB): com. Bucecea, Cândeşti, Corni, Cristineşti, Dersca,                   direcţia N-S pe deasupra judeţului Botoşani:
           Frumuşica, Hilişeu-Horia, Ibăneşti, Lozna, Mihăileni, Pomârla, Suharău, Văculeşti, Vlădeni,
           Vârfu Câmpului, Vorona, Tudora.                                                                        1. Ruta VI carpatică – urmăreşte traseul râului Siret
           Zona de podiş este situată în partea de Vest a judeţului, spre graniţa cu Ucraina şi spre limita       2. Ruta VII est-elbică – urmăreşte traseul râului Prut
           cu judeţul Suceava.
                                                                                                                 Din acest motiv asigurarea protecţei păsărilor este un obiectiv major al protecţiei mediului în
           B. DEALURI ŞI PODIŞURI JOASE, DEPRESIUNI CU:                                                       această zonă.
           55. Aspect deluros, cu păduri de gorun cu carpen şi de stejar pedunculat cu gorun şi tei,             Pe teritoriul judeţului Botoşani există două Arii de Protecţie Specială Avifaunsitică, parte a reţelei
           pajişti stepizate şi terenuri agricole (5 UATB): mun. Botoşani, com. Coşula, Cristeşti,            ecologice europene „Natura 2000”:
           Curteşti, Mihai Eminescu.
                                                                                                                  1. ROSPA 0049 – IAZURILE DE PE VALEA IBĂNESEI-BAŞEULUI-PODRIGĂI
           Zona de dealuri şi de podişuri joase este amplasată în partea de SV a judeţului între zona
           dealurilor şi podişurilor înalte şi zona de câmpie.                                                     Suprafaţa totală a sitului protejat este 2512,1 ha, repartizată în teritoriile a 12 unităţi administrativ-
                                                                                                              teritoriale de bază: com. Conceşti, com. Cordăreni, oraşul Darabani, com. Havârna, com. Hăneşti, com.
                                                                                                              Hudeşti, com. Mileanca, oraşul Săveni, com. Ştiubieni, com. Ungureni, com. Vlăsineşti, com.
                                                                                                              Vorniceni.
   II.     PEISAJE DE CÂMPIE SUB INFLUENŢA CLIMATULUI CONTINENTAL
           (PARŢIAL PONTIC-SUBMEDITERANEAN):                                                                      Nu există plan de management al sitului protejat.
           76. Cu terenuri agricole, pajişti stepizate puternic modificate şi pâlcuri de păduri de stejar         Situl este vulnerabil din următoarele motive (cf. Formularului Standard „Natura 2000”):
           pedunculat cu arţar tătăresc (18 UATB): oraş Darabani, oraş Flămânzi, oraş Stefăneşti,
           com. Albeşti, Băluşeni, Blândeşti, Conceşti, Copălău, Dobârceni, Durneşti, Gorbăneşti,                 -   braconaj;
           Hudeşti, Lunca, Păltiniş, Stăuceni, Suliţa, Todireni, Truşeşti.                                        -   vânătoarea în timpul cuibăritului;
           Peisajul de câmpie cu pajişti stepizate şi pâlcuri de păduri se întâlneşte în două zone ale            -   vânătoarea în zona locurilor de cuibărire a speciilor periclitate;
           judeţului Botoşani:
                                                                                                                  -   distrugerea cuiburilor, a pontei sau a puilor;
           -   în partea de NV a judeţului, până la graniţa cu Ucraina;
                                                                                                                  -   deranjarea păsărilor în timpul cuibăritului;
           -   în partea de S a judeţului, între râul Prut şi depresiunea Botoşanilor.
                                                                                                                  -   deranjarea păsărilor ichtiofage în zona de cuibărire a speciilor ocrotite;
                                                                                                                  -   prinderea păsărilor cu capcane;

Elaboratori: UAUIM-CCPEC, Bucureşti, împreună cu, Universitatea Bucureşti – CICADIT, SC. Quattro Design s.r.l. – Bucureşti, SC. Urbatech s.r.l. – Iaşi, UAIC - Facultatea de Geografie, Iaşi,                              64
Actualizare Plan de Amenajarea Teritoriului Judeţean Botoşani                                                                                                                                         Consiliul Judeţean Botoşani
      - pescuitul sportiv în imediata vecinătate a cuiburilor speciilor periclitate;                                                       4. Lacul Dracşani – com. Suliţa (500 ha)
      -   electrocutare şi coliziune în linii electrice;                                                                                   5. Pădurea de Tisă – com. Tudora (129 ha)
      -   pescuitul sportiv în masă care deranjează păsările migratoare;                                                                   6. Pădurea Vorona – com. Vorona (150 ha)
      -   practicarea sporturilor extreme: barcă cu motor, maşini de teren, motor de cross, enduro;                                        7. Stânca-Ştefăneşti (rezervaţei geologică şi florală) – oraş Ştefăneşti
      -   arderea stufului în perioada de cuibărire;
      -   arderea stufului;                                                                                                             Formaţiuni naturale distruse:
      -   arderea vegetaţiei (a miriştii şi a pârloagelor);                                                                                A. PEŞTERA RIPICENI – PEŞTERA DE LA STÂNCA-RIPICENI CANAL, com. Ripiceni
      -   înmulţirea necontrolată a speciilor invazive.                                                                                        Datare: paleolitic, eneolitic.
      2. ROSPA 0058 – LACUL STÂNCA - COSTEŞTI                                                                                                  Cercetată 1924-1926, distrusă de cariera de calcar în prima jumătate a sec. XX.
Suprafaţa totală a sitului protejat este 2051,7 ha22, suprafaţă formată din malul drept al Prutului şi                                     B. SALINA IBĂNEŞTI – COM. IBĂNEŞTI
partea din oglinda de apă care aparţine României. Malul stâng al Prutului şi cealaltă parte a oglinzii de
apă aparţin Republicii Moldova, linia de graniţă fiind talvegul râului Prut. Situl protejat are suprafaţa                                      Exploatare de suprafaţă a sării, semnalată în literatură.
repartizată în teritoriile a 3 unităţi administrativ-teritoriale de bază: com. Manoleasa, com. Ripiceni,                                       Modul de folosire a acestor rezervaţii naturale şi măsurile de protecţie necesare trebuie să fie
oraşul Ştefăneşti. Situl reprezintă cel mai important cartier de iernare a păsărilor acvatice din bazinul                               reglementate prin PUG ale UATB respective.
Prutului.
Nu există plan de management al sitului protejat.
Situl este vulnerabil din următoarele motive (cf. Formularului Standard „Natura 2000”):                                                 A.2.2.4. Iazuri
                                                                                                                                         Existenţa unui mare număr de cursuri de apă cu debite variabile (foarte mari în perioadele de topire a
      -   braconaj;
                                                                                                                                        zăpezii şi ale ploilor bogate din timpul verii) precum şi fragmentarea teritoriului Câmpiei Moldovei au
      -   prinderea păsărilor cu capcane;                                                                                               făcut ca pe toate râurile să se amenajeze mai multe retenţii de apă. Scopul amenajărilor este multiplu:
                                                                                                                                        atenuarea viiturilor, alimentarea cu apă în principal pentru agricultură, piscicultură.
      -   electrocutare şi coliziune în linii electrice;
                                                                                                                                        În judeţul Botoşani sunt amenajate deosebit de multe iazuri pe afluentii Prutului: Ghireni, Volovăţ,
      -   pescuitul sportiv în masă care deranjează păsările migratoare;                                                                Başeu, Jijia cu afluentul dreapta Sitna. În anul 1980 în judeţ existau 148 de iazuri cu suprafaţa totală de
      -   practicarea sporturilor extreme: barcă cu motor;                                                                              cca.3600 ha şi cu volumul de apă de cca. 55 milioane m.c.

      -   arderea stufului.                                                                                                             Vechimea preocupărilor de a amenaja cursurile râurilor este demonstrată de termenii arhaici legaţi de
                                                                                                                                        aceste amenajări: iaz heleşteu – acumulare de apă realizată prin bararea cursului unui râu; hindichiu -
                                                                                                                                        digul iazului; sulinar – canalul de golire al iazului, călugăr – stavilă mobilă pe verticală care permite
                                                                                                                                        golirea iazului.
A.2.2.3. Rezervaţii naturale
                                                                                                                                        Unele dintre amenajările de iazuri din judeţ există, probabil, din sec. XIV; ştiri mai multe despre
   Comitetul judeţean Botoşani a stabilit în decursul timpului ca anumite zone cu calităţi naturale                                     existenţa iazurilor din judeţ există din sec. XVI, când, de exemplu, este menţionat iazul Dorohoiului
deosebite să devină rezervaţii naturale. Informaţiile pe care le avem se referă la următoarele zone:                                    (1587). În secolul XVII in Câmpia Moldovei (judeţul Botoşani şi Iaşi) după unele surse existau cca.
                                                                                                                                        1500 iazuri cu o suprafaţă de cca. 200 000 ha. Tot în acest secol, în anul 1659, ruperea barajului unui
      1. Făgetul Secular– com. Suharău (60 ha)                                                                                          iaz de pe râul Sitna a condus la ruperea mai multor baraje din aval şi la inundarea unor sate. În sec XIX
      2. Pădurea Ciornohol – com. Călăraşi (107 ha)                                                                                     în studiile ştiinţifice se remarcă existenţa acestor amenjări hidrotehnice şi avantajele pe care proprietarii
                                                                                                                                        şi locuitorii le au de pe urma acestora. Un semn al acestor avantaje este, probabil, existenţa unui rac pe
      3. Codrul Eminescu – com. Mihai Eminescu                                                                                          vechea stemă a judeţului Dorohoi (observaţie dr.ist. Sergiu Iosipescu).
                                                                                                                                        Nevoile crescânde de teren agricol au condus la sfârşitul sec. XIX şi la începutul sec. XX la
22
   Semnalăm faptul că suprafaţa totală a sitului este diferită în două acte normative: HGR nr. 2151/2004 – suprafaţa 2950 ha; HGR nr.   desfiinţarea unor iazuri; este celebru cazul iazului Dorohoi (amenajat la izvoarele Jijiei, în amonte de
1284/2007 – suprafaţa 2051,7 ha. Am considerat că ultima cifră este credibilă, provenind din Formularul Standard “Natura 2000” al
sitului.

Elaboratori: UAUIM-CCPEC, Bucureşti, împreună cu, Universitatea Bucureşti – CICADIT, SC. Quattro Design s.r.l. – Bucureşti, SC. Urbatech s.r.l. – Iaşi, UAIC - Facultatea de Geografie, Iaşi,                                                       65
Actualizare Plan de Amenajarea Teritoriului Judeţean Botoşani                                                                                                                  Consiliul Judeţean Botoşani
oraş şi cu dimensiuni impresionante – lungime 30 km, suprafaţă 215 ha, adâncime 8-10 m) care a fost
desfiinţat în acea perioadă.
După anul 1950 o parte dintre iazuri au fost recondiţionate în conformitate cu prescripţiile tehnice
moderne, dându-se unor dintre acumulări şi destinaţia de rezerve de apă pentru sistemele de irigaţie. În
perioada 1970-1985 pe s-au realizat acumulări importante de apă, cu scop principal energetic, pe marile
râuri din judeţ: Stânca-Costeşti pe Prut, Mihăileni şi Bucecea pe Siret.
Marele număr de lacuri şi iazuri din judeţ au deosebit de importante efecte ecologice, prin atenuarea
inundaţiilor, îmbunătăţirea factorilor climatici, şi în primul rând, păstrarea şi refacerea faunei şi florei.
Cele două APSA instituite în judeţ sunt datorate acumulărilor de apă de pe văile Prutului şi ale unor
afluenţi ai săi. Unităţile administrativ-teritoriale în care sunt amenajate retenţii de apă sunt următoarele
(34 UATB, adică 44% din totalul din judeţ): com. Adăşeni, com. Avrămeni, com. Blăndeşti, mun.
Botoşani, com. Broscăuţi, oraşul Bucecea, com. Conceşti, com. Cordăreni, com. Coţuşca, oraşul
Darabani, mun. Dorohoi, com. Drăguşeni, com. Havârna, com. Hăneşti, com. Hudeşti, com.
Manoleasa, com. Mihai Eminescu, com. Mihăileni, com. Mihălăşeni, com. Mileanca, com. Mitoc, com.
Răchiţi, com. Roma, com. Ripiceni, oraşul Săveni, com. Stăuceni, com. Suliţa, oraşul Ştefăneşti, com.
Ştiubieni, com. Ungureni, com. Unţeni, com. Vârfu Câmpului, com. Vlăsineşti, com. Vorniceni, com.
Vorona.
Remarcăm că valoarea istorică şi culturală a iazurilor din judeţul Botoşani nu a fot până acum
semnalată şi studiată. Vechimea amenajărilor hidrotehnice, traditia utilizării acestora, influenţa lor
asupra modului de viaţă al oamenilor, existenţa probabilă a unor elemente tehnice valoroase sunt
numai unele dintre criteriile care pot conduce la valorificarea culturală a iazurilor din judeţ.
BIBLIOGRAFIE:
    •   HGR nr. 2151/2004 (M.Of. nr.38/12.01.2005)
    •   HGR nr.1284/2007 (M.Of. nr.739 bis/31.10.2007)
    •   BORONEANŢ, Vasile, ARHEOLOGIA PEŞTERILOR ŞI MINELOR DIN ROMÂNIA, Bucureşti,
        cIMeC, 2000.
    •   BOTZAN, Marcu, APELE ÎN VIAŢA POPORULUI ROMÂN, Bucureşti, Editura Ceres, 1984.
    •   CARDAS, Andrei e.a., coordonator, BOTOŞANI, MONOGRAFIE, COLECŢIA JUDEŢELE
        PATRIEI, Bucureşti: Editura Sport-Turism, 1980.
    •   DRUGESCU, C., GEACU, S., PLANŞA 29, DRUMURILE DE MIGRAŢIE A PĂSĂRILOR, în                               Parte desenată:
        Academia Română , Institutul de Geografie, Ministerul Industriei şi Resurselor, C.N. Transelectrica
                                                                                                                A.2.2.a. Clasificarea geografică a peisajelor sc. 1:500.000
        S.A., ROMÂNIA, MEDIUL ŞI REŢEAUA ELECTRICĂ DE TRANSPORT, ATLAS GEOGRAFIC,
        Bucureşti: Editura Academiei Române, 2002.                                                              A.2.2.b. Drumurile de migraţie a păsărilor sc. 1:500.000
    •   GIURESCU, Constantin C. sub conducerea e.a., ISTORIA ROMÂNIEI ÎN DATE, Bucureşti: Editura               A.2.2.c. Arii speciale de protecţie avifaunistică şi rezervaţii naturale - cartogramă
        Enciclopedică Română, 1971
    •   POPOVA-CUCU, Ana, PEISAJELE, PLANŞA VI-6, în: Institutul de Geografie al Academiei RS
        România, ATLASUL RS ROMÂNIA, Bucureşti: Editura Academiei RS România, 1973




Elaboratori: UAUIM-CCPEC, Bucureşti, împreună cu, Universitatea Bucureşti – CICADIT, SC. Quattro Design s.r.l. – Bucureşti, SC. Urbatech s.r.l. – Iaşi, UAIC - Facultatea de Geografie, Iaşi,                  66
Actualizare Plan de Amenajarea Teritoriului Judeţean Botoşani                                                                                                                                                  Consiliul Judeţean Botoşani
ANEXA A.2.1.
ARII DE PROTECŢIE SPECIALĂ AVIFAUNISTICĂ, PARTE INTEGRANTĂ A
REŢELEI ECOLOGICE EUROPENE „NATURA 2000”

ROSPA 0049 – IAZURILE DE PA VALEA IBĂNESEI-BAŞEULUI-PODRIGĂI                                                                        ROSPA 0058 – LACUL STÂNCA - COSTEŞTI
SUPRAFAŢA TOTALĂ 2512,1 HA                                                                                                          SUPRAFAŢA TOTALĂ 2051,7 HA

 Unităţile administrativ-teritoriale în care                                                                                          Unităţile administrativ-teritoriale în care
 este localizat situl                              Specii de               Clasa de               Caractersiticile sitului                        este localizat situl              Specii de păsări protejate       Clasa de habitate     Caractersiticile sitului
    Denumirea         Procentul din suprafaţa   păsări protejate   habitate                                                              Denumirea                Procentul din     de CEE
                      terit. UATB care este         de CEE                                                                                                       suprafaţa terit.
                      inclus în sit                                                                                                                             UATB care este
 1. Com.                         2%                                                        - Situl este încadrat în Câmpia Jijiei                                  inclus în sit
 Conceşti                                       - Râuri, lacuri    - Cuibărit: 11 specii   Superioare şi în Câmpia Başeului         1. Com. Manoleasa                  3%
                                                - Mlaştini,        - Pasaj: 14 specii      - Situl este format din iazuri şi                                                            -    Cuibărit: 5              -   Râuri, lacuri    - Lacul Stânca-
 2. Com.                      1%                                                                                                    2. Com. Ripiceni                  22%                    specii                   -   Culturi (teren   Costeşti, inaugurat în
                                                turbării                                   acumulări (suprafaţa totală 1368
 Cordăreni                                      - Culturi (teren                           ha):                                     3. Oraş Ştefăneşti                 1%               -    Iernat: 6 specii             arabil)          anul 1978, este lac
                                                arabil)                                         • Ac. Negreni-172 ha                                                                    -    Pasaj: 10 specii         -   Pădurea          artificial construit cu
 3. Oraş                      1%                - Păşuni                                        • Ac. Mileanca-325 ha                                                                                                     Cinghinia        scop hidroenergetic
 Darabani                                       - Alte terenuri                                 • Ac. Cal Alb-118 ha                                                                                                      (42,9ha)         în colaborare cu
                                                arabile                                               Total 625 ha                  Teritoriul siturilor este limitat de graniţa    Situl este cel mai                                     URSS.
 4. Com.                      4%                                                                • Iazul Lişmăniţa-53 ha             dintre România şi Republica Moldova             important cartier de                                   Dimensiuni: nivel de
 Havârna                                                                                                                                                                            iernare a păsărilor                                    retenţie variabil,
                                                                                                • Iazul Ibăneasa
                                                                                                                                                                                    acvatice din bazinul                                   lungime cca.70km,
                                                                                                • Iazul Vorniceni
                                                                                                                                                                                    românesc al Prutului (au                               suprafaţa cca.
 5. Com.                      4%                                                                • Iazul Prisaca                                                                                                                            6000ha, volum la
 Hăneşti                                                                                                                                                                            fost identificate 178
                                                                                                      Total 209 ha                                                                                                                         NNR cca. 1,5
                                                                                                                                                                                    specii de păsări)
                                                                                                • Iazul Havârna-230 ha                                                                                                                     miliarde mc.
 6. Com.                      3%                                                                • Iazul Tătărăşeni-122ha
 Hudeşti                                                                                        • Iazul Neculce
                                                                                                • Iazul Borzeşti
 7. Com.                      2%                                                                      Total 491 ha
 Mileanca

 8. Oraş Săveni               3%                                                           - Mai există şi alte iazuri
                                                                                           imp. care nu sunt cuprinse în situl
                                                                                           protejat:
 9. Com.                      4%                                                               • Iazul Hăneşti-200ha
 Ştiubieni                                                                                     • Iazul Adăşeni
 10. Com.                     1%                                                               • Iazul Mihălăşeni-60ha
 Ungureni

 11. Com.                     8%
 Vlăsineşti

 12. Com.                     2%
 Vorniceni




Elaboratori: UAUIM-CCPEC, Bucureşti, împreună cu, Universitatea Bucureşti – CICADIT, SC. Quattro Design s.r.l. – Bucureşti, SC. Urbatech s.r.l. – Iaşi, UAIC - Facultatea de Geografie, Iaşi,                                                                 67
Actualizare Plan de Amenajarea Teritoriului Judeţean Botoşani                                                                                                                    Consiliul Judeţean Botoşani
                                                                                                                        • populaţia totală
A.3 REŢEAUA DE LOCALITĂŢI
                                                                                                                        • populaţia fiecărei unităţi componente
A.3.1. Elemente introductive                                                                                            • populaţia urbană şi rurală
Analiza structurii şi distribuţiei reţelei de localităţi într-un teritoriu dat - naţional, regional, judeţean,          • populaţia reşedinţelor administrative (oraşe sau municipii propriu-zise şi sate reşedinţă de
zonal - reprezintă un element specific în cadrul întocmirii documentaţiilor de amenajare a teritoriului.                  comună)
Localităţile constituie arii de concentrare a populaţiei, activităţilor umane, a infrastructurii tehnice, a      Utilizând aceşti indicatori primari se pot calcula o serie de indicatori compuşi, ce exprimă caracteristici
valorilor spirituale şi culturale dintr-un anumit spaţiu. Numărul, mărimea, gradul de dispersie în               medii de distribuţie, structură şi configuraţie a reţelei de localităţi dintr-un anumit teritoriu.
teritoriu al localităţilor sunt tot atâtea elemente ce pot oferi o anumită imagine a nivelului de dezvoltare
socio-economică.                                                                                                 Principalii indicatori compuşi utilizaţi sunt:

Indicatorii utilizaţi pentru caracterizarea reţelei de localităţi sunt, de obicei, indicatori compuşi ce                • de distribuţie şi densitate:
folosesc indicatori primari de tipul: număr oraşe, număr sate, suprafaţă teritoriu etc. Aceşti indicatori               − număr oraşe şi municipii/judeţ
primari pot fi găsiţi în surse statistice, geografice şi cadastrale. Iată principalii indicatori primari:               − număr comune/judeţ
       • număr municipii                                                                                                − număr sate/judeţ
       • număr oraşe                                                                                                    − număr oraşe şi municipii/1000 km.p.
       • număr sate reşedinţă de comună                                                                                 − număr sate/100 km.p.
       • număr sate aparţinătoare comunelor                                                                             − număr sate/comună
       • număr localităţi subordonate oraşelor şi municipiilor                                                          − număr sate/1 oraş
                                                                                                                        − număr comune/1 oraş
       • alte tipuri de aşezări (cătune, colonii, stâne etc.)
                                                                                                                        − distanţa medie între 2 oraşe (km.)
       • tipuri speciale de aşezări (staţiuni balneo-climatice, turistice, ştiinţifice)
                                                                                                                        − distanţa medie între 2 sate (km.)
Este vorba de localităţi ca entităţi fizice în teritoriu şi nu unitatea administrativ-teritorială. Se pot
observa următoarele aspecte:                                                                                            • de mărime:

       a) termenii oraş, municipiu desemnează atât localităţi, cât şi unităţi administrativ-teritoriale de              − mărime medie a oraşelor (număr locuitori)
          bază;                                                                                                         − mărime medie a comunelor (număr locuitori)
       b) numărul satelor reşedinţă de comună este egal cu cel al comunelor;                                            − mărime medie a satelor (număr locuitori)
       c) denumirea de staţiune reprezintă un atribut suplimentar al unui oraş, municipiu (de ex.:                      − categorii de mărime a oraşelor
          Mangalia), sat sau localitate subordonată oraşelor sau municipiilor (de ex.: Mamaia).                         − categorii de mărime a comunelor
Din punct de vedere al unităţilor administrativ-teritoriale interesează:                                                − categorii de mărime a satelor
       • număr judeţe (în cazul unui P.A.T.Z.)                                                                           − număr sate fără locuitori (date recensământ)
       • număr oraşe şi municipii (unităţi administrativ-teritoriale de bază cu caracter urban)                  În ceea ce priveşte grupările categoriale se urmăresc, de regulă, intervalele:

       • număr comune (unităţi administrativ-teritoriale de bază cu caracter rural)                              a) pentru oraşe şi municipii (localităţi urbane)

Alţi indicatori primari sunt:                                                                                        − peste 300.000 locuitori                      − oraşe mari
                                                                                                                     − între 100.000-299.999 locuitori
       • suprafaţa totală a teritoriului în km.p.
                                                                                                                     − între 50.000-99.999 locuitori                − oraşe mijlocii
       • suprafaţa fiecărei unităţi componente (judeţe, municipii, oraşe, comune) în km.p.
                                                                                                                     − între 20.000-49.999 locuitori
       • suprafaţa totală a teritoriilor urbane în km.p.
                                                                                                                     − între 10.000-19.999 locuitori                − oraşe mici
       • suprafaţa totală a teritoriilor rurale în km.p.                                                             − sub 10.000 locuitori
       • suprafaţa zonelor construite a fiecărei unităţi componente în ha.

Elaboratori: UAUIM-CCPEC, Bucureşti, împreună cu, Universitatea Bucureşti – CICADIT, SC. Quattro Design s.r.l. – Bucureşti, SC. Urbatech s.r.l. – Iaşi, UAIC - Facultatea de Geografie, Iaşi,                            68
Actualizare Plan de Amenajarea Teritoriului Judeţean Botoşani                                                                                                          Consiliul Judeţean Botoşani
b) pentru comune (mediu rural)
    − peste 10.000 locuitori                      − comune foarte mari
    − între 5.000-9.999 locuitori                 − comune mari
    − între 3.000-4.999 locuitori                 − comune medii
    − sub 3.000 locuitori                         − comune mici
c) pentru sate
    − peste 5.000 locuitori                       − sate mari
    − între 3.000-4.999 locuitori
    − între 2.000-2.999 locuitori                 − sate medii
    − între 1.000-1.999 locuitori

    − între100 - 999 locuitori                    − sate mici
    − sub 100 locuitori
    − cu 0 locuitori
       • de concentrare:
       − gradul de concentrare a populaţiei urbane (%) sau gradul de urbanizare;
       − gradul de concentrare a populaţiei în reşedinţa de judeţ (municipiu, oraş, comună);
       − indici de concentrare exprimaţi sub forma unor rapoarte ale unor ponderi (de ex.: gradul de
         urbanizare/număr oraşe din total aşezări).
Disfuncţiile sistemului actual de indicatori sunt relativ reduse, dat fiind faptul că datele necesare sunt
accesibile din surse statistice, atlase geografice, planuri cadastrale etc. Un aspect care trebuie semnalat
este însă cel al corectitudinii şi actualităţii unor asemenea informaţii. Câteva exemple în acest sens pot
fi elocvente:
       • suprafaţa unităţilor administrativ-teritoriale
       − deşi Legea nr.69/1991 a administraţiilor publice locale prevede că orice schimbare a limitelor
         administrativ-teritoriale trebuie confirmată de un act legislativ, în ultimii ani, prin aplicarea
         Legii nr.18 a Fondului funciar au avut loc numeroase schimburi de parcele de teren între
         unităţi administrativ-teritoriale învecinate, înregistrate la nivelul oficiilor judeţene de
         cadastru (O.C.O.T.A.); în acest fel, suprafeţele utilizate în cadrul planurilor de amenajare a
         teritoriului nu mai corespund în numeroase cazuri suprafeţelor reale ale comunelor şi
         oraşelor.
       • statutul localităţilor
       − statutul localităţilor este reglementat prin Legea nr.2/1968 a organizării administrativ-
         teritoriale şi prin completările ulterioare ce privesc înfiinţarea de noi municipii, oraşe şi
         comune; totuşi, statutul a numeroase aşezări, în special a celor subordonate oraşelor şi
         municipiilor, dar şi a unor “trupuri” din componenta satelor, nu mai corespunde situaţiei
         reale actuale, nefiind reglementat prin acte legislative.
Aceste incompatibilităţi între informaţia scrisă şi situaţia reală viciază analizele şi evaluările întocmite.




Elaboratori: UAUIM-CCPEC, Bucureşti, împreună cu, Universitatea Bucureşti – CICADIT, SC. Quattro Design s.r.l. – Bucureşti, SC. Urbatech s.r.l. – Iaşi, UAIC - Facultatea de Geografie, Iaşi,          69
Actualizare Plan de Amenajarea Teritoriului Judeţean Botoşani                                                                                                              Consiliul Judeţean Botoşani
                                                                                                                                                                                               nr.
A.3.2. Analize şi date statistice                                                                                                               pop.                            populatie   Localitati
                                                                                                                                 UAT            totala    localitati              2002       (total)     orase   sate
                                                                                                                            18                            Buzeni                     498
            Tabel cuprinzând populaţia pe UAT şi localităţi la recensământul din 2002                                       19                            Cosuleni                   244
                                                                                                                            20                            Draxini                   1915
                                                                                  nr.                                       21                            Zaicesti                   641
                                    pop.                           populatie   Localitati                                   22   Blandesti         2312   Blandesti                  893        3
                       UAT          totala    localitati             2002       (total)     orase   sate                    23                            Cerchejeni                 927
                  1    Botosani      115070   Botosani               115070        1          1      0                      24                            Soldanesti                 492
                  2    Dorohoi        30949   Dorohoi                 29852        4          1      3                      25   Braesti           2231   Braesti                   1361        4
                  3                           Dealu Mare                438                                                 26                            Poiana                     508
                  4                           Loturi Enescu             378                                                 27                            Popeni                     301
                  5                           Progresul                 281                                                 28                            Valcelele                    61
     total municipii                146019                           146019        5         2       3                      29   Broscauti         3450   Broscauti                 3328        2
                  1    Bucecea        5128    Bucecea                  4313        3         1       2                      30                            Slobozia                   122
                  2                           Bohoghina                 179                                                 31   Calarasi          3984   Calarasi                  2752        3
                  3                           Calinesti                 636                                                 32                            Libertatea                 538
                  4    Darabani      11820    Darabani                 8877        4         1       3                      33                            Plesani                    694
                  5                           Bajura                   1874                                                 34   Candesti          2245   Candesti                   168        4
                  6                           Esanca                    361                                                 35                            Calinesti                 1208
                  7                           Lismanita                 708                                                 36                            Talpa                      496
                  8    Flamanzi      11799    Flamanzi                 4586        5         1       4                      37                            Vitcani                    373
                  9                           Nicolae Balcescu         3995                                                 38   Concesti          2063   Concesti                  1685        2
                 10                           Poiana                   1920                                                 39                            Movileni                   378
                 11                           Chitoveni                 614                                                 40   Copalau           4166   Copalau                   2771        3
                 12                           Prisacani                 684                                                 41                            Cerbu                      760
                 13    Saveni         8145    Saveni                   5968        6         1       5                      42                            Cotu                       635
                 14                           Petricani                 689                                                 43   Cordareni         2185   Cordareni                 1579        2
                 15                           Chiscareni                572                                                 44                            Grivita                    606
                 16                           Sat Nou                   150                                                 45   Corlateni         2591   Corlateni                  787        4
                 17                           Bodeasa                   465                                                 46                            Carasa                     700
                 18                           Bozieni                   301                                                 47                            Podeni                     503
                 19    Stefanesti     5628    Stefanesti               1281        5         1       4                      48                            Vladeni                    601
                 20                           Badiuti                   889                                                 49   Corni             6538   Corni                     4127        4
                 21                           Bobulesti                1422                                                 50                            Balta Arsa                 390
                 22                           Stanca                    928                                                 51                            Mesteacan                  473
                 23                           Stefanesti-Sat           1108                                                 52                            Sarafinesti               1548
     total orase                     42520                            42520       23         5      18                      53   Cosula            2958   Cosula                    1223        4
                  1    Adaseni        1617    Adaseni                  1173       2                                         54                            Buda                       279
                  2                           Zoitani                   444                                                 55                            Padureni                   638
                  3    Albesti        6617    Albesti                  2096        6                                        56                            Supitca                    818
                  4                           Buimaceni                 857                                                 57   Cotusca           5357   Cotusca                   1728        9
                  5                           Costiugeni                665                                                 58                            Avram Iancu                  90
                  6                           Jijia                     657                                                 59                            Cotu Miculinti             523
                  7                           Mascateni                 457                                                 60                            Crasnaleuca                732
                  8                           Tudor Vladimirescu       1885                                                 61                            Ghireni                    740
                  9    Avrameni       3873    Avrameni                 1466        7                                        62                            Mihail Kogalniceanu        213
                 10                           Aurel Vlaicu              595                                                 63                            Nichiteni                  664
                 11                           Dimitrie Cantemir         174                                                 64                            Nicolae Balcescu             29
                 12                           Ichimeni                  191                                                 65                            Putureni                   638
                 13                           Panaitoaia                181                                                 66   Cristesti         4710   Cristesti                 2289        4
                 14                           Timus                     431                                                 67                            Oneaga                    1677
                 15                           Tudor Vladimirescu        835                                                 68                            Schit-Oraseni              559
                 16    Baluseni       5046    Baluseni                 1400        6                                        69                            Unguroaia                  185
                 17                           Balusenii noi             348                                                 70   Cristinesti       3875   Cristinesti               1645        5

Elaboratori: UAUIM-CCPEC, Bucureşti, împreună cu, Universitatea Bucureşti – CICADIT, SC. Quattro Design s.r.l. – Bucureşti, SC. Urbatech s.r.l. – Iaşi, UAIC - Facultatea de Geografie, Iaşi,                           70
Actualizare Plan de Amenajarea Teritoriului Judeţean Botoşani                                                                                                                 Consiliul Judeţean Botoşani
                                                                                   nr.                                                                                                           nr.
                                     pop.                           populatie   Localitati                                                        pop.                            populatie   Localitati
                     UAT             totala    localitati             2002       (total)     orase   sate                        UAT              totala    localitati              2002       (total)     orase   sate
                71                             Baranca                   663                                               124   Havarna             5100   Havarna                   3100        6
                72                             Dragalina                 677                                               125                              Balinti                    452
                73                             Fundu Hertii              653                                               126                              Galbeni                    124
                74                             Poiana                    237                                               127                              Garbeni                    445
                75   Curtesti           4341   Curtesti                  679        7                                      128                              Niculcea                     41
                76                             Agafton                   239                                               129                              Tataraseni                 938
                77                             Baiceni                   909                                               130   Hanesti            2348    Hanesti                   1274        5
                78                             Hudum                     142                                               131                              Borolea                    409
                79                             Manastirea Doamnei        621                                               132                              Moara Jorii                108
                80                             Oraseni-deal             1020                                               133                              Sarata-Basarab             472
                81                             Oraseni-Vale              731                                               134                              Slobozia Hanesti             85
                82   Dangeni            3101   Dangeni                   829        4                                      135   Hiliseu-Horia      3714    Hiliseu-Horia              859        5
                83                             Hulub                     643                                               136                              Corjauti                   579
                84                             Iacobeni                 1148                                               137                              Hiliseu-Closca             690
                85                             Strahotin                 481                                               138                              Hiliseu-Crisan             976
                86   Dersca             3038   Dersca                   3038        1                                      139                              Iezer                      610
                87   Dimacheni          1561   Dimacheni                1092        3                                      140   Hlipiceni          3763    Hlipiceni                 1860        3
                88                             Mateieni                  323                                               141                              Dragalina                  449
                89                             Recia-Verbia              146                                               142                              Victoria                  1454
                90   Dobarceni          2907   Dobarceni                 931        6                                      143   Hudesti            6388    Hudesti                   2471        4
                91                             Bivolari                  202                                               144                              Alba                      1548
                92                             Cismanesti                468                                               145                              Baranca                   1044
                93                             Livada                       0                                              146                              Mlenauti                  1325
                94                             Murguta                   522                                               147   Ibanesti           4197    Ibanesti                  2393        2
                95                             Brateni                   784                                               148                              Dumbravita                1804
                96   Draguseni          2872   Draguseni                1680        3                                      149   Leorda             2745    Leorda                    1546        5
                97                             Podriga                  1013                                               150                              Belcea                       34
                98                             Sarata-Draguseni          179                                               151                              Costinesti                 246
                99   Durnesti           4163   Durnesti                 1237        6                                      152                              Dolina                     640
               100                             Babiceni                  553                                               153                              Mitoc                      279
               101                             Barsanesti                212                                               154   Lozna              2085    Lozna                     1060        2
               102                             Brosteni                  284                                               155                              Strateni                  1025
               103                             Cucuteni                  917                                               156   Lunca              4887    Lunca                     1762        3
               104                             Guranda                   960                                               157                              Stroiesti                  946
               105   Frumusica          6117   Frumusica                 739        6                                      158                              Zlatunoaia                2179
               106                             Boscoteni                 701                                               159   Manoleasa          3713    Manoleasa                  689       10
               107                             Radeni                   1007                                               160                              Bold                          0
               108                             Storesti                 1133                                               161                              Flondora                   581
               109                             Sendreni                  763                                               162                              Iorga                      109
               110                             Vladeni-Deal             1774                                               163                              Liveni                     834
               111   George Enescu      3686   Dumeni                   1909        5                                      164                              Loturi                     245
               112                             Arborea                   593                                               165                              Manoleasa-Prut             112
               113                             George Enescu             219                                               166                              Sadoveni                   533
               114                             Popeni                    534                                               167                              Serpenita                     0
               115                             Stanca                    431                                               168                              Zahoreni                   610
               116   Gorbanesti         3598   Gorbanesti               1126        8                                      169   Mihai Eminescu     6493    Ipotesti                   642        9
               117                             Batranesti                289                                               170                              Baisa                        65
               118                             George Cosbuc             264                                               171                              Catamaresti                624
               119                             Mihai Eminescu              11                                              172                              Catamaresti-Deal          2151
               120                             Siliscani                 350                                               173                              Cervicesti                 873
               121                             Socrujeni                 860                                               174                              Cervicesti-Deal              11
               122                             Viforeni                    28                                              175                              Cucorani                   832
               123                             Vanatori                  670                                               176                              Manolesti                  223

Elaboratori: UAUIM-CCPEC, Bucureşti, împreună cu, Universitatea Bucureşti – CICADIT, SC. Quattro Design s.r.l. – Bucureşti, SC. Urbatech s.r.l. – Iaşi, UAIC - Facultatea de Geografie, Iaşi,                             71
Actualizare Plan de Amenajarea Teritoriului Judeţean Botoşani                                                                                                               Consiliul Judeţean Botoşani
                                                                                  nr.                                                                                                          nr.
                                    pop.                           populatie   Localitati                                                       pop.                            populatie   Localitati
                     UAT            totala    localitati             2002       (total)     orase   sate                         UAT            totala    localitati              2002       (total)     orase   sate
               177                            Stancesti                1072                                                230                            Damideni                   560
               178   Mihaileni         2808   Mihaileni                1532        3                                       231                            Romanesti Vale                0
               179                            Parau Negru               561                                                232                            Sarata                       94
               180                            Rogojesti                 715                                                233   Santa Mare        3078   Santa Mare                1225        8
               181   Mihalaseni        2452   Mihalaseni                852        7                                       234                            Badarai                    139
               182                            Caraiman                  209                                                235                            Berza                      239
               183                            Nastase                   224                                                236                            Bogdanesti                 456
               184                            Negresti                  311                                                237                            Durnesti                     89
               185                            Paun                      317                                                238                            Iliseni                    228
               186                            Sarata                    336                                                239                            Ranghilesti                434
               187                            Slobozia Siliscani        203                                                240                            Ranghilesti-Deal           268
               188   Mileanca          3007   Mileanca                 1812        4                                       241   Stauceni          3266   Stauceni                  1217        4
               189                            Codreni                   449                                                242                            Silistea                   428
               190                            Scutari                   331                                                243                            Tocileni                  1140
               191                            Selistea                  415                                                244                            Victoria                   481
               192   Mitoc             2033   Mitoc                    1400        2                                       245   Suharau           5374   Suharau                   2283        6
               193                            Horia                     633                                                246                            Izvoare                      78
               194   Nicseni           2876   Nicseni                  1051        3                                       247                            Lisna                      961
               195                            Dacia                     171                                                248                            Oroftiana                 1138
               196                            Dorobanti                1654                                                249                            Plevna                     211
               197   Paltinis          3313   Paltinis                 2083        4                                       250                            Smardan                    703
               198                            Cuzlau                    183                                                251   Sulita            3237   Sulita                    1261        3
               199                            Horodistea                958                                                252                            Chelis                     395
               200                            Slobozia                    89                                               253                            Dracsani                  1581
               201   Pomarla           2968   Pomarla                  2379        3                                       254   Sendriceni        4210   Sendriceni                2347        3
               202                            Hulubesti                 226                                                255                            Horlaceni                  672
               203                            Racovat                   363                                                256                            Padureni                  1191
               204   Prajeni           3290   Prajeni                  1169        4                                       257   Stiubieni         2862   Stiubieni                 1888        3
               205                            Campeni                   673                                                258                            Ibaneasa                     60
               206                            Luparia                   797                                                259                            Negreni                    914
               207                            Miletin                   651                                                260   Todireni          3612   Todireni                  2105        5
               208   Rachiti           4350   Rachiti                  1059        4                                       261                            Cernesti                   724
               209                            Cismea                    444                                                262                            Floresti                     41
               210                            Costesti                 1589                                                263                            Garbesti                   131
               211                            Rosiori                  1258                                                264                            Iuresti                    611
               212   Radauti-Prut      3923   Radauti-Prut              836        3                                       265   Trusesti          5749   Trusesti                  2605        6
               213                            Miorcani                 2014                                                266                            Buhaceni                   757
               214                            Rediu                    1073                                                267                            Ciritei                       7
               215   Rauseni           2983   Rauseni                  1232        5                                       268                            Drislea                   1074
               216                            Doina                     609                                                269                            Ionaseni                  1175
               217                            Pogorasti                 185                                                270                            Pasateni                   131
               218                            Rediu                     650                                                271   Tudora            5172   Tudora                    5172        1
               219                            Stolnicesti               307                                                272   Ungureni          7058   Ungureni                  2573       11
               220   Ripiceni          2271   Ripiceni                 2271        7                                       273                            Borzesti                   684
               221                            Cinghiniia                   0                                               274                            Calugareni                 401
               222                            Lehnesti                     0                                               275                            Calugarenii Noi            451
               223                            Movila Rupta                 0                                               276                            Durnesti                   279
               224                            Popoaia                      0                                               277                            Mihai Viteazu              505
               225                            Ripicenii Vechi              0                                               278                            Mandresti                  311
               226                            Rasca                        0                                               279                            Plopenii Mari              838
               227   Roma              3229   Roma                     2714        2                                       280                            Plopenii Mici              529
               228                            Cotargaci                 515                                                281                            Tautesti                      0
               229   Romanesti         2200   Romanesti                1546        4                                       282                            Vicoleni                   487

Elaboratori: UAUIM-CCPEC, Bucureşti, împreună cu, Universitatea Bucureşti – CICADIT, SC. Quattro Design s.r.l. – Bucureşti, SC. Urbatech s.r.l. – Iaşi, UAIC - Facultatea de Geografie, Iaşi,                           72
Actualizare Plan de Amenajarea Teritoriului Judeţean Botoşani                                                                                                                   Consiliul Judeţean Botoşani
                                                                                           nr.                      9. La comuna Unteni, lipsesc satele Valea Grajdului si Vultureni in PUG, care au 0 locuitori
                                          pop.                             populatie    Localitati
                        UAT               totala   localitati                2002        (total)     orase   sate   10.La comuna Vorona, apare un nou sat: Vorona Chiţcovata (PUG)
                  283   Unteni               3024  Unteni                       1223        7
                  284                              Burla                         111
                  285                              Burlesti                      673                                              Tabel localităţi cu mai puţin de 100 de locuitori la recensământul din 2002
                  286                              Manastireni                   849
                  287                              Soroceni                      168                                                             comuna                  localitatea        populatia 2002
                  288                              Valea Grajdului                  0                                                       1    Romanesti                  Sarata                94
                  289                              Vultureni                        0                                                       2    Cotusca                Avram Iancu               90
                  290   Vaculesti            2253 Vaculesti                     1207        3                                               3    Paltinis                 Slobozia                89
                  291                              Gorovei                         47                                                       4    Santa Mare               Durnesti                89
                  292                              Saucenita                     999                                                        5    Hanesti              Slobozia Hanesti            85
                  293   Viisoara             2293 Viisoara                      1039        3                                               6    Suharau                   Izvoare                78
                  294                              Cuza Voda                     640
                                                                                                                                            7    Mihai Eminescu             Baisa                 65
                  295                              Viisoara Mica                 614
                                                                                                                                            8    Braesti                  Valcelele               61
                  296   Varfu Campului       3885 Varfu Campului                2088        3
                  297                              Ionaseni                      975                                                        9    Stiubieni                Ibaneasa                60
                  298                              Lunca                         822                                                       10    Vaculesti                Gorovei                 47
                  299   Vladeni              4980 Vladeni                       1298        5                                              11    Havarna                  Niculcea                41
                  300                              Brehuiesti                   1704                                                       12    Todireni                  Floresti               41
                  301                              Hriscani                      159                                                       13    Leorda                    Belcea                 34
                  302                              Hutani                        569                                                       14    Cotusca              Nicolae Balcescu            29
                  303                              Mandresti                    1250                                                       15    Gorbanesti               Viforeni                28
                  304   Vlasinesti           3388 Vlasinesti                    1772        3                                              16    Gorbanesti           Mihai Eminescu              11
                  305                              Miron Costin                  468
                  306                              Sarbi                        1148
                                                                                                                                           17    Mihai Eminescu       Cervicesti-Deal             11
                  307   Vorniceni            4517 Vorniceni                     4087        3                                              18    Trusesti                   Ciritei                7
                  308                              Davidoaia                     161                                                       19    Dobarceni                 Livada                  0
                  309                              Dealu Crucii                  269                                                       20    Manoleasa                  Bold                   0
                  310   Vorona               7999 Vorona                        2466        6                                              21    Manoleasa                Serpenita                0
                  311                              Icuseni                      1353                                                       22    Ripiceni                Cinghiniia                0
                  312                              Joldesti                     1289                                                       23    Ripiceni                 Lehnesti                 0
                  313                              Poiana                       1550
                                                                                                                                           24    Ripiceni              Movila Rupta                0
                  314                              Vorona Mare                   717
                                                                                                                                           25    Ripiceni                  Popoaia                 0
                  315                              Vorona-Teodoru                624
                                                                                                                                           26    Ripiceni             Ripicenii Vechi              0
      total comune                        264295                             264295       315
      total judet                         452834                             452834       343         7      21
                                                                                                                                           27    Ripiceni                   Rasca                  0
                               Sursa: INS, recensământul populaţiei şi locuinţelor 2002
                                                                                                                                           28    Romanesti            Romanesti Vale               0
                                                                                                                                           29    Ungureni                 Tautesti                 0
                                                                                                                                           30    Unteni               Valea Grajdului              0
UAT-uri cu modificări pe care le-au suferit din punct de vedere al denumirii, dispariţiei, sau apariţiei de                                31    Unteni                  Vultureni                 0
noi sate, modificări constatate fie la recensăminte, fie în PUG:                                                                                 total populaţie                                 960
                                                                                                                                                Sursa: INS, recensământul populaţiei şi locuinţelor 2002
1. La comuna Dobârceni, satul Padureni si-a schimbat denumirea in Brateni
2. Flamanzi cuprinde N. Balcescu. Satul Bosanceni care apartinea de N. Balcescu isi schimba
denumirea in Prisacani. In recensamantul in 2002 nu mai apare satul Cordun care apartinea de Flamanzi
3. La comuna Manoleasa, lipsesc din PUG satele Bold si Serpenita, care au 0 locuitori
4. La comuna Mileanca, apare in plus satul Moiseni
5. La comuna Romanesti, lipseste satul Romanesti-vale din PUG
6. La comuna Santa Mare, lipsesc satele Badarai si Durnesti din PUG
7. La comuna Todireni, satul Garbesti isi schimba denumirea in Silistea PUG)
8. La comuna Ungureni, lipsesc satele Plopenii Mari si Tautesti in PUG
Elaboratori: UAUIM-CCPEC, Bucureşti, împreună cu, Universitatea Bucureşti – CICADIT, SC. Quattro Design s.r.l. – Bucureşti, SC. Urbatech s.r.l. – Iaşi, UAIC - Facultatea de Geografie, Iaşi,                      73
Actualizare Plan de Amenajarea Teritoriului Judeţean Botoşani                                                                                                                                                                                                                                                                     Consiliul Judeţean Botoşani
                Tabel localităţi cu peste 2000 de locuitori la recensământul din 2002                            populatie 2002
                                                                                                                140000
                 nr. Crt.   UAT                localitatea              populatia 2002
                       1    Botosani           Botosani                              115070
                                                                                                                120000
                       2    Dorohoi            Dorohoi                                29852
                       3    Darabani           Darabani                                8877                     100000
                       4    Saveni             Saveni                                  5968
                       5    Tudora             Tudora                                  5172
                                                                                                                 80000
                       6    Flamanzi           Flamanzi                                4586
                       7    Bucecea            Bucecea                                 4313
                                                                                                                 60000
                       8    Corni              Corni                                   4127
                       9    Vorniceni          Vorniceni                               4087
                                                                                                                 40000
                      10    Flamanzi           Nicolae Balcescu                        3995
                      11    Broscauti          Broscauti                               3328
                                                                                                                 20000
                      12    Havarna            Havarna                                 3100
                      13    Dersca             Dersca                                  3038
                      14    Copalau            Copalau                                 2771                          0




                                                                                                                                                          Saveni




                                                                                                                                                                                                         Vorniceni




                                                                                                                                                                                                                                                                                                              Ungureni




                                                                                                                                                                                                                                                                                                                                                                 Sendriceni
                                                                                                                                                                                                                                                                                                                                   Vorona




                                                                                                                                                                                                                                                                                                                                                                                          Suharau
                                                                                                                                     Dorohoi
                                                                                                                                               Darabani




                                                                                                                                                                                       Bucecea
                                                                                                                                                                                                 Corni




                                                                                                                                                                                                                                                                                 Calarasi
                                                                                                                                                                                                                                                    Havarna
                                                                                                                                                                                                                                                              Dersca




                                                                                                                                                                                                                                                                                            Roma




                                                                                                                                                                                                                                                                                                                                                       Pomarla




                                                                                                                                                                                                                                                                                                                                                                                                                                                                    Varfu Campului
                                                                                                                                                                                                                     Nicolae Balcescu
                                                                                                                          Botosani




                                                                                                                                                                            Flamanzi




                                                                                                                                                                                                                                        Broscauti




                                                                                                                                                                                                                                                                                                                                                                                                    Ripiceni
                                                                                                                                                                                                                                                                                                                         Hudesti


                                                                                                                                                                                                                                                                                                                                            Ibanesti




                                                                                                                                                                                                                                                                                                                                                                                                                                               Todireni
                                                                                                                                                                                                                                                                                                                                                                                                                                                          Albesti




                                                                                                                                                                                                                                                                                                                                                                                                                                                                                                Miorcani
                                                                                                                                                                   Tudora




                                                                                                                                                                                                                                                                       Copalau




                                                                                                                                                                                                                                                                                                                                                                                                                                                                                     Paltinis
                                                                                                                                                                                                                                                                                                                                                                                                                            Catamaresti-Deal
                                                                                                                                                                                                                                                                                                   Trusesti




                                                                                                                                                                                                                                                                                                                                                                              Cristesti




                                                                                                                                                                                                                                                                                                                                                                                                               Zlatunoaia
                      15    Calarasi           Calarasi                                2752
                      16    Roma               Roma                                    2714
                      17    Trusesti           Trusesti                                2605
                      18    Ungureni           Ungureni                                2573
                      19    Hudesti            Hudesti                                 2471                              Ierarhia localităţilor cu peste 2000 locuitori la recensământul populaţiei şi locuinţelor din 2002
                      20    Vorona             Vorona                                  2466
                      21    Ibanesti           Ibanesti                                2393
                      22    Pomarla            Pomarla                                 2379                 La recensământul populaţiei şi locuinţelor din 2002, judeţul Botoşani cuprindea un număr de 343 de
                      23    Sendriceni         Sendriceni                              2347                 localităţi distribuite în 72 de UAT, dintre care 2 municipii, 2 oraşe şi 68 de comune. După 2002,
                      24    Cristesti          Cristesti                               2289                 următoarele UAT cu statut de comună au devenit oraşe:
                      25    Suharau            Suharau                                 2283
                                                                                                                1. Ştefăneşti în baza Legii nr. 79 din 26/03/2004
                      26    Ripiceni           Ripiceni                                2271
                      27    Lunca              Zlatunoaia                              2179                     2. Flămânzi în baza Legii nr. 80 din 26/03/2004
                      28    Mihai Eminescu     Catamaresti-Deal                        2151
                      29    Todireni           Todireni                                2105                     3. Bucecea în baza Legii nr. 81 din 26/03/2004
                      30    Albesti            Albesti                                 2096
                      31    Varfu Campului     Varfu Campului                          2088                 De asemenea următoarele comune s-au divizat determinând apariţia a 6 noi comune:
                      32    Paltinis           Paltinis                                2083                     1. comuna Coşula, prin reorganizarea comunei Copălău prin Legea nr. 337 din 08/07/2003
                      33    Radauti-Prut       Miorcani                                2014
                            total populatie                                          242543                     2. comuna Lozna, prin reorganizarea comunei Dersca prin Legea nr. 342 din 08/07/2003
                            Sursa: INS, recensământul populaţiei şi locuinţelor 2002
                                                                                                                3. comuna Dimăcheni, prin reorganizarea comunei Corlăţeni prin Legea nr. 343 din 08/07/2003
                                                                                                                4. comuna Cândeşti, prin reorganizarea comunei Mihăileni prin Legea nr. 344 din 08/07/2003
                                                                                                                5. comuna Adăşeni prin reorganizarea comunei Avrămeni prin Legea nr. 402 din 27/12/2005
                                                                                                                6. comuna Blândeşti prin reorganizarea comunei Suliţa prin Legea nr. 84 din 05/04/2004
                                                                                                            În 2002, judeţul Botoşani număra 31 de localităţi cu mai puţin de 100 de locuitori, dintre care 13 cu 0
                                                                                                            locuitori. În 2002, populaţia urbană reprezenta 41,64%, iar cea rurală 58,36%. Cele 2 municipii
                                                                                                            Botoşani şi Dorohoi grupau 32,25% din populaţie, iar primele 33 de localităţi, cu peste 2000 de
                                                                                                            locuitori, grupau 53,56% din populaţie. Mărimea medie a celorlalte 310 localităţi era de cca. 680
                                                                                                            locuitori.


Elaboratori: UAUIM-CCPEC, Bucureşti, împreună cu, Universitatea Bucureşti – CICADIT, SC. Quattro Design s.r.l. – Bucureşti, SC. Urbatech s.r.l. – Iaşi, UAIC - Facultatea de Geografie, Iaşi,                                                                                                                                                                                                                                                                                                              74
Actualizare Plan de Amenajarea Teritoriului Judeţean Botoşani                                                                                                                                    Consiliul Judeţean Botoşani
  Gradul de îndeplinire a indicatorilor cantitativi şi calitativi minimali de definire a localităţilor                               Număr de indicatori minimali de definire îndepliniţi de municipii şi oraşe:
    urbane conform Legii nr. 100 din 19/04/2007 pentru modificarea şi completarea Legii nr.
           351/2001 privind aprobarea PATN - Secţiunea a IV-a - Reţeaua de localităţi                                                   1. Botoşani – 15

                                                Municipiu     Municipiu    Oraş       Oraş        Oraş        Oraş      Oraş            2. Dorohoi - 8
                                                                                                                                        3. Bucecea - 2




                                                                                                                        ŞTEFĂNEŞTI
                                                                                                   FLĂMÂNZI
                                                                                       DĂRĂBANI
                                                   BOTOŞANI




                                                                 DOROHOI



                                                                            BUCECEA




                                                                                                               SĂVENI
                                  UAT                                                                                                   4. Dărăbani - 4
                                                                                                                                        5. Flămânzi - 1
                                                                                                                                        6. Săveni - 7
                            mun 40.000/oras
1. numar locuitori                                 DA            NU        NU         DA          DA          NU        NU              7. Ştefăneşti -1
                            10.000
2. populatia ocupata in
activitati neagricole (%    mun 85%/oras
                                                   DA            DA        NU         NU          NU          DA        NU
din totalul populatiei      75%
ocupate)
3. dotarea locuinţelor cu
                            mun - 80%/oras-
instalaţii de alimentare                           DA            NU        NU         NU          NU          NU        NU
                            70%
cu apă
4. dotarea locuinţelor cu
                            mun - 75%/oras-
baie şi wc în locuinţă (%                          DA            NU        NU         NU          NU          NU        NU
                            55%
din totalul locuinţelor)
5. dotarea locuinţelor cu
instalaţie de încălzire     mun - 45%/oras-
                                                   DA            DA        DA         NU          NU          DA        NU
centrală (% din totalul     35%
locuinţelor)
6. numar de paturi in
                            mun 10/oras 7          DA            DA        NU         NU          NU          DA        NU
spitale la 1000 loc
7. număr medici la 1000
                            mun 2.3/oras 1.8       DA            DA        NU         NU          NU          NU        NU
loc
                            mun – postliceal
8. unitati de invatamant                           DA            NU        NU         NU          NU          NU        NU
                            /oras- liceal
9. dotari culturale si
                                                   DA            DA        NU         NU          NU          DA        NU
sportive
10. locuri in hoteluri      mun 100/oras 50        DA            NU        NU         NU          NU          NU        NU
11. % strazi modernizate    mun 60%/oras
                                                   NU            DA        DA         NU          NU          NU        NU
din total                   50%
12. %strazi cu retele apa   mun 70%/oras
                                                   DA            NU        NU         NU          NU          NU        NU
din total                   60%
13. %strazi cu retele       mun 60%/oras
                                                   DA            NU        NU         NU          NU          NU        NU
canalizare din total        50%
                            mun - cu treapta
                            mecanicasi
14. epurarea apelor
                            bilogica/oras- cu      DA            DA        NU         DA          NU          DA        NU
uzate
                            treapta mecano-
                            chimica
15. % strazi cu retele      mun 70%/oras
                                                   NU            NU        NU         NU          NU          NU        NU
hidranti din total          60%
16. spatii verzi mp/loc     mun 15/oras 10         DA            NU        NU         DA          NU          DA        DA
17. depozit controlat de
                                                   DA            DA        NU         DA          NU          DA        NU
deseuri cu acces asigurat




Elaboratori: UAUIM-CCPEC, Bucureşti, împreună cu, Universitatea Bucureşti – CICADIT, SC. Quattro Design s.r.l. – Bucureşti, SC. Urbatech s.r.l. – Iaşi, UAIC - Facultatea de Geografie, Iaşi,                                    75
Actualizare Plan de Amenajarea Teritoriului Judeţean Botoşani                                                                                                              Consiliul Judeţean Botoşani
             Numărul de unităţi de învăţământ pe UAT în 2006 (publice şi private*)                             Nr. Unităţi administrativ   Număr şcoli                  Număr şcoli   Număr şcoli de    Număr şcoli
                                                                                                                                                          Număr licee
                                                                                                               crt. teritoriale             postliceale                   I-VIII      arte şi meserii    primare
                                                                                                               48. Mihălăşeni                    –             –            2                –              5
  Nr. Unităţi administrativ   Număr şcoli                  Număr şcoli   Număr şcoli de    Număr şcoli
                                             Număr licee                                                       49. Mileanca                      –             –            2                1              1
  crt. teritoriale             postliceale                   I-VIII      arte şi meserii    primare
                                                                                                               50. Mitoc                         –             –            2                –              –
   1               2                3            4             5                6              7               51. Nicşeni                       –             –            2                –              1
  Municipii                                                                                                    52. Păltiniş                      –            –             1                1              3
  1.   Botoşani                   3*           13+1*           14              2              1+1*             53. Pomârla                       –             1            –                –              3
  2.   Dorohoi                     –             3              8              –               3               54. Prăjeni                       –             –            1                1              2
  Oraşe                                                                                                        55. Rădăuţi-Prut                  –             –            1                2              –
  3.   Bucecea                     –             1             –               –               2               56. Răchiţi                       –            –             3                –              2
  4.   Dărăbani                    –             1             5               –               2               57. Răuseni                       –             –            –                1              3
  5.   Flămânzi                    –             1             3               1               1               58. Ripiceni                      –             –            –                1              –
  6.   Săveni                      –             1             2               –               5               59. Roma                          –            –             –                1              3
  7.   Ştefăneşti                  –             1             2               –               1               60. Româneşti                     –             –            1                –              2
  Comune                                                                                                       61. Santa Mare                    –             –            2                –              5
  8.   Albeşti                     –             –             1               1               5               62. Suharau                       –             –            3                2              3
  9.   Adăşeni                     –             –             –               –               –               63. Sulita                        –             –            1                1              –
  10. Avrămeni                     –             –             4               1               4               64. Şendriceni                    –             1            2                –              2
  11. Băluşeni                     –             –             2               1               4               65. Stăuceni                      –             –            2                –              2
  12. Blândeşti                    –             –             1               –               2               66. Ştiubieni                     –             –            1                1              1
  13. Brăeşti                      –             –             1               –               3               67. Todireni                      –             –            1                1              2
  14. Broscăuţi                    –             –             1               –               –               68. Truseşti                      –             1            4                –              –
  15. Călăraşi                     –             –             1               –               3               69. Tudora                        –             –            1                1              1
  16. Cândeşti                     –             –             1               –               4               70. Ungureni                      –             –            4                1              5
  17. Conceşti                     –             –             1               –               1               71. Unteni                        –             –            2                –              4
  18. Copălău                      –             –             1               1               1               72. Văculeşti                     –             –            2                –              –
  19. Cordăreni                    –             –             1               –               1               73. Viişoara                      –             –            2                –              1
  20. Corlăţeni                    –             –             –               1               3               74. Vârfu Câmpului                –             –            2                1              2
  21. Corni                        –             –             1               1               3               75. Vlădeni                       –             –            2                1              1
  22. Coşula                       –             –             –               1               3               76. Vlăsineşti                    –             –            2                –              1
  23. Coţuşca                      –             1             4               –               4               77. Vorniceni                     –             –            3                1              1
  24. Cristeşti                    –             –             1               1               4               78. Vorona                        –            1             6                –              4
  25. Cristineşti                  –             –             2               –               4               Total                             3            27           151              46             173
  26. Curteşti                     –             –             4               –               2
  27. Dersca                       –             –             –               1               –                       Sursa: ISJ Botoşani, http://www.isj.botosani.ro/nou/?action=RETEA&show_section=13
  28. Dângeni                      –             –             2               1               1
  29. Dimacheni                    –             –             1               –               1
  30. Dobârceni                    –             –             1               1               3
  31. Drăguşeni                    –             –             –               1               2
  32. Durneşti                     –             –             1               1               5
  33. Frumuşica                    –             –             2               2               2
  34. George Enescu                –             –             1               1               5
  35. Gorbăneşti                   –             –             2               1               4
  36. Havârna                      –             –             1               1               4
  37. Hăneşti                      –             –             1               1               1
  38. Hilişeu-Horia                –             –             2               1               2
  39. Hlipiceni                    –             –             2               –               2
  40. Hudeşti                      –             –             3               1               2
  41. Ibăneşti                     –             –             2               –               –
  42. Leorda                       –             –             1               –               4
  43. Lozna                        –             –             1               1               –
  44. Lunca                        –             –             2               1               2
  45. Manoleasa                    –             –             1               1               3
  46. Mihai Eminescu               –             –             5               –               1
  47. Mihăileni                    –             –             1               1               3

Elaboratori: UAUIM-CCPEC, Bucureşti, împreună cu, Universitatea Bucureşti – CICADIT, SC. Quattro Design s.r.l. – Bucureşti, SC. Urbatech s.r.l. – Iaşi, UAIC - Facultatea de Geografie, Iaşi,                         76
Actualizare Plan de Amenajarea Teritoriului Judeţean Botoşani                                                                                                           Consiliul Judeţean Botoşani
                                                                   Nivel de echipare cu echipamente socio-culturale la nivel de UAT în 2008

                                                                                Unităţi      Teatre şi
                Nr. Unităţi administrativ                                                                               Terenuri       Bănci
                                                      Spitale     Sanatorii     medico-      instituţii    Muzee                                  Tribunale    Judecătorii     Unităţi de cazare
                crt. teritoriale                                                                                        de sport     comerciale
                                                                                sociale      muzicale
                1     2                                 3             4            5             6            7            8             9            10           11
                1.    Botoşani                          6                                        4            5            20                                                         7
                2.    Dorohoi                           1                                                     3            11                                                         3
                3.    Bucecea                                                                                               3
                4.    Dărăbani                          1                                                                   3
                5.    Flămânzi                                                     1                                       3
                6.    Săveni                            1                          1                          1             1
                7.    Ştefăneşti                                                   1
                8.    Albeşti
                9.    Adăşeni
                10.   Avrămeni                                                                                             1
                11.   Băluşeni                                                                                             3
                12.   Blândeşti                                                                                            1
                13.   Brăeşti
                14.   Broscăuţi                                                                                            1
                15.   Călăraşi
                16.   Cândeşti                                                                                             1
                17.   Conceşti                                                                                             1
                18.   Copălău
                19.   Cordăreni                                                                                            1
                20.   Corlăţeni                                                                                            1
                21.   Corni                                                                                                2
                22.   Coşula                                                                                               1
                23.   Coţuşca                                                                                              1
                24.   Cristeşti
                25.   Cristineşti
                26.   Curteşti                                                                                                                                                1 (tabără şcolară)
                27.   Dersca                                                                                               1
                28.   Dângeni
                29.   Dimacheni
                30.   Dobârceni
                31.   Drăguşeni                                       1                                                    2
                32.   Durneşti                                        1                                                    2
                33.   Frumuşica                                                                                            2
                34.   George Enescu                                                                           1
                35.   Gorbăneşti                                                                                           3
                36.   Havârna
                37.   Hăneşti
                38.   Hilişeu-Horia
                39.   Hlipiceni                                                                                            1
                40.   Hudeşti                                                                                              3
                41.   Ibăneşti
                42.   Leorda
                43.   Lozna                                                                                                1
                44.   Lunca
                45.   Manoleasa

Elaboratori: UAUIM-CCPEC, Bucureşti, împreună cu, Universitatea Bucureşti – CICADIT, SC. Quattro Design s.r.l. – Bucureşti, SC. Urbatech s.r.l. – Iaşi, UAIC - Facultatea de Geografie, Iaşi,          77
Actualizare Plan de Amenajarea Teritoriului Judeţean Botoşani                                                                                                              Consiliul Judeţean Botoşani
                                                                                Unităţi      Teatre şi
                Nr. Unităţi administrativ                                                                                     Terenuri     Bănci
                                                      Spitale     Sanatorii     medico-      instituţii      Muzee                                    Tribunale   Judecătorii    Unităţi de cazare
                crt. teritoriale                                                                                              de sport   comerciale
                                                                                sociale      muzicale
                46. Mihai Eminescu                                                                              1                1                                                  1 (cabană)
                47. Mihăileni                                                      1
                48. Mihălăşeni
                49. Mileanca
                50. Mitoc                                                                                                        1
                51. Nicşeni                                                                                                      1
                52. Păltiniş
                53. Pomârla
                54. Prăjeni                                                                                                      2
                55. Rădăuţi-Prut                                                                                                 1
                56. Răchiţi                                                                                                      3
                57. Răuseni                                                                                                      2
                58. Ripiceni                                                                                                     1
                59. Roma                                                                                                         1
                60. Româneşti
                61. Santa Mare
                62. Suharău                                                        1                                             5
                63. Suliţa                                                         1
                64. Şendriceni                                                                                                   1
                65. Stăuceni
                66. Ştiubieni
                67. Todireni                                                                                                     1
                68. Truseşti                            1
                69. Tudora                                                                                                       1
                70. Ungureni                                                                                                     2
                71. Unteni
                72. Văculeşti
                73. Viişoara
                74. Vârfu Câmpului                                                                                               1
                75. Vlădeni
                76. Vlăsineşti                                                                                                   1
                77. Vorniceni                                                                                                    2
                78. Vorona                                                                                       1               5
                Total                                   10            2            6             4              12              102                                                     12

                                                                                          Sursa: INS, fişa localităţii 2008




Elaboratori: UAUIM-CCPEC, Bucureşti, împreună cu, Universitatea Bucureşti – CICADIT, SC. Quattro Design s.r.l. – Bucureşti, SC. Urbatech s.r.l. – Iaşi, UAIC - Facultatea de Geografie, Iaşi,             78
Actualizare Plan de Amenajarea Teritoriului Judeţean Botoşani                                                                                                             Consiliul Judeţean Botoşani
               Unităţi spitaliceşti şi de asistenţă medico-socială din judeţul Botoşani                                                     Abonamente telefonice la 1000 locuitori 2005
Spitale          Botoşani           Spitalul de urgenta         Secţii cu paturi pentru :                                            Nr.                                          Abonamente
                                    Mavromati                   interne,endocrinologie, cardiologie,ORL,boli                         crt.    Denumire UAT                       /1000 locuitori
                                                                de nutritie,gastroenterologie, chirurgie,boli                        1.      BOTOSANI                                   236,32
                                                                contagioase,oncologie,urologie,orto-                                 2.      DERSCA                                     182,64
                                                                pedie,dermato-venerice,hematologie                                   3.      DOROHOI                                    178,52
                                                                                                                                     4.      MIHAILENI                                  172,90
                                    Spitalul de recuperare      Sectie cu paturi pentru recuperare -                                 5.      MIHAI EMINESCU                             156,06
                                    "Sf.Gheorghe"               cardiovasculara- respiratorie- neurologica,                          6.      ADASENI                                    139,90
                                                                Sectie cu paturi pentru recuperare balneo-                           7.      SAVENI                                     124,45
                                                                fizioterapeutica, Compartiment geriatrie                             8.      ROMANESTI (date 2008)                      113,75
                                                                                                                                     9.      RIPICENI                                   113,11
                                    Spitalul de copii                                                                                10.     BUCECEA                                    112,23
                                    "Sf.Paraschieva"                                                                                 11.     RACHITI                                    105,68
                                    Spitalul de obstetrica-                                                                          12.     SULITA                                     103,25
                                    ginecologie                                                                                      13.     BRAESTI                                    100,18
                                                                                                                                     14.     TRUSESTI                                    94,54
                                    Spitalul de                                                                                      15.     NICSENI                                     90,46
                                    pneumoftiziologie                                                                                16.     VARFU CAMPULUI                              88,32
                                                                                                                                     17.     CORDARENI                                   82,86
                                    Spitalul de psihiatrie
                                                                                                                                     18.     MITOC                                       75,99
                 Dorohoi            Spitalul Municipal                                                                               19.     GEORGE ENESCU                               73,93
                                                                                                                                     20.     MANOLEASA                                   73,51
                 Dărăbani           Spitalul orasenesc                                                                               21.     HILISEU-HORIA                               72,86
                 Saveni             Spitalul orasenesc                                                                               22.     TUDORA                                      71,28
                                                                                                                                     23.     ROMA                                        67,93
                 Truşeşti           Spitalul orasenesc                                                                               24.     STEFANESTI                                  65,54
                                                                                                                                     25.     COTUSCA                                     64,45
                                                                                                                                     26.     CORNI                                       63,52
Sanatorii        Durneşti           Sanatoriul TBC Guranda                                                                           27.     PALTINIS                                    63,01
                                                                                                                                     28.     BROSCAUTI                                   62,75
                                    Sanatoriul de                                                                                    29.     HLIPICENI                                   59,17
                 Drăguşeni          neuropsihiatrie Podriga                                                                          30.     LEORDA                                      58,76
                                                                                                                                     31.     VORNICENI                                   58,70
Unităţi de       Nicolae
                                                                                                                                     32.     VLASINESTI                                  58,56
asistenţă        Balcescu
                                                                                                                                     33.     VACULESTI                                   58,28
medico-socială                                                                                                                       34.     HANESTI                                     57,69
                 Mihaileni                                                                                                           35.     VLADENI                                     57,38
                                                                                                                                     36.     POMARLA                                     56,47
                 Saveni                                                                                                              37.     HAVARNA                                     55,96
                 Suharau                                                                                                             38.     VIISOARA                                    55,84
                                                                                                                                     39.     VORONA                                      55,47
                 Sulita                                                                                                              40.     UNGURENI                                    55,07
                                                                                                                                     41.     RADAUTI-PRUT                                54,69
                 Stefanesti
                                                                                                                                     42.     DOBARCENI                                   53,97
                              Sursa: http://www.dspbotosani.go.ro/directia.html                                                      43.     STIUBIENI                                   53,89
                                                                                                                                     44.     ALBESTI                                     52,85
                                                                                                                                     45.     DURNESTI                                    51,45
                                                                                                                                     46.     DARABANI                                    50,22
                                                                                                                                     47.     GORBANESTI                                  48,70
                                                                                                                                     48.     UNTENI                                      46,15
                                                                                                                                     49.     TODIRENI                                    45,91
                                                                                                                                     50.     AVRAMENI                                    45,62
                                                                                                                                     51.     CORLATENI                                   45,29
                                                                                                                                     52.     DANGENI                                     43,95

Elaboratori: UAUIM-CCPEC, Bucureşti, împreună cu, Universitatea Bucureşti – CICADIT, SC. Quattro Design s.r.l. – Bucureşti, SC. Urbatech s.r.l. – Iaşi, UAIC - Facultatea de Geografie, Iaşi,             79
Actualizare Plan de Amenajarea Teritoriului Judeţean Botoşani                                                                                                               Consiliul Judeţean Botoşani
                        Nr.                                           Abonamente                                                     Indicatori privind calitate locuirii în judeţul Botoşani
                        crt.  Denumire UAT                          /1000 locuitori
                        53.   FLAMANZI                                       43,27                                                                 Suprafaţa                                      Suprafaţa
                                                                                                               Nr.
                        54.   DRAGUSENI                                      43,17                                    Denumire UAT                 locuibilă           Denumire UAT               locuibilă
                                                                                                               crt.
                        55.   PRAJENI                                        41,35                                                                 /locuinţă 2008                                 /persoană - 2008
                        56.   FRUMUSICA                                      39,85                             1.     DERSCA                       49,01               DERSCA                     18,55
                        57.   SENDRICENI                                     35,49                             2.     CANDESTI                     39,33               RADAUTI-PRUT               17,55
                        58.   RAUSENI                                        34,65                             3.     IBANESTI                     39,09               CANDESTI                   16,99
                        59.   CALARASI                                       32,86                             4.     MIHAI EMINESCU               38,91               MIHAILENI                  16,92
                        60.   IBANESTI                                       32,37                             5.     MIHAILENI                    38,75               PALTINIS                   16,59
                        61.   CURTESTI                                       30,95                             6.     CORNI                        37,74               IBANESTI                   15,44
                        62.   MILEANCA                                       30,68                             7.     ROMANESTI                    37,51               ROMANESTI                  15,27
                        63.   LUNCA                                          30,45                             8.     POMARLA                      36,89               CORDARENI                  15,24
                        64.   MIHALASENI                                     26,22                             9.     VLADENI                      36,80               POMARLA                    15,17
                        65.   HUDESTI                                        23,46                             10.    MUNICIPIUL DOROHOI           36,47               VIISOARA                   15,16
                        66.   CRISTINESTI                                    20,39                             11.    ORAS BUCECEA                 36,36               HLIPICENI                  15,03
                        67.   COPALAU                                        20,38                             12.    VORONA                       36,32               SUHARAU                    14,89
                        68.   SANTA MARE                                     18,85                             13.    HLIPICENI                    36,17               DIMACHENI                  14,89
                        69.   SUHARAU                                        12,55                             14.    BROSCAUTI                    36,04               HAVARNA                    14,56
                        70.   STAUCENI                                       11,97                             15.    ORAS DARABANI                35,44               MITOC                      14,55
                        71.   BLANDESTI                                      11,72                             16.    RIPICENI                     35,31               BROSCAUTI                  14,52
                        72.   CRISTESTI                                      11,05                             17.    RADAUTI-PRUT                 35,22               BRAESTI                    14,29
                        73.   COSULA                                          9,85                             18.    VLASINESTI                   35,22               MILEANCA                   14,28
                        74.   LOZNA                                           7,19                             19.    MITOC                        35,20               VACULESTI                  14,27
                        75.   BALUSENI                                        6,86                             20.    PRAJENI                      35,08               CRISTINESTI                14,19
                        76.   DIMACHENI                                       5,35                             21.    MUNICIPIUL BOTOSANI          35,03               GEORGE ENESCU              14,14
                        77.   CANDESTI                                        5,31                             22.    ROMA                         34,79               VARFU CAMPULUI             14,09
                        78.   CONCESTI                                        4,92                             23.    STIUBIENI                    34,72               CORLATENI                  14,02
                        Urban                                               189,69                             24.    ORAS SAVENI                  34,51               MIHAI EMINESCU             13,85
                        Rural                                                56,36                             25.    MANOLEASA                    34,18               STIUBIENI                  13,83
                        Total                                               112,13                             26.    VARFU CAMPULUI               34,05               VLASINESTI                 13,76
                                                                                                               27.    CURTESTI                     33,93               ORAS BUCECEA               13,72
                                    Sursa: INS, fişa localităţii 2008
                                                                                                               28.    VORNICENI                    33,73               CONCESTI                   13,56
                                                                                                               29.    DRAGUSENI                    33,68               VLADENI                    13,55
                                                                                                               30.    SENDRICENI                   33,64               COTUSCA                    13,54
                                                                                                               31.    CRISTINESTI                  33,57               UNTENI                     13,45
                                                                                                               32.    HAVARNA                      33,51               DOBARCENI                  13,23
                                                                                                               33.    DIMACHENI                    33,35               HUDESTI                    13,14
                                                                                                               34.    ORAS FLAMANZI                33,32               NICSENI                    13,09
                                                                                                               35.    BRAESTI                      33,25               RIPICENI                   13,07
                                                                                                               36.    MILEANCA                     32,94               ORAS DARABANI              12,96
                                                                                                               37.    LEORDA                       32,90               VORONA                     12,90
                                                                                                               38.    STAUCENI                     32,59               LUNCA                      12,84
                                                                                                               39.    TODIRENI                     32,58               SULITA                     12,83
                                                                                                               40.    NICSENI                      32,56               CURTESTI                   12,79
                                                                                                               41.    DANGENI                      32,56               MANOLEASA                  12,79
                                                                                                               42.    ORAS STEFANESTI              32,55               MUNICIPIUL DOROHOI         12,79
                                                                                                               43.    UNGURENI                     32,41               HILISEU-HORIA              12,68
                                                                                                               44.    SULITA                       32,27               ORAS STEFANESTI            12,67
                                                                                                               45.    DOBARCENI                    32,20               TRUSESTI                   12,61
                                                                                                               46.    TRUSESTI                     32,14               AVRAMENI                   12,57
                                                                                                               47.    AVRAMENI                     32,13               ROMA                       12,47
                                                                                                               48.    TUDORA                       32,09               VORNICENI                  12,45
                                                                                                               49.    PALTINIS                     32,01               TODIRENI                   12,42
                                                                                                               50.    LOZNA                        31,89               CALARASI                   12,33
                                                                                                               51.    RAUSENI                      31,84               MIHALASENI                 12,30

Elaboratori: UAUIM-CCPEC, Bucureşti, împreună cu, Universitatea Bucureşti – CICADIT, SC. Quattro Design s.r.l. – Bucureşti, SC. Urbatech s.r.l. – Iaşi, UAIC - Facultatea de Geografie, Iaşi,                        80
Actualizare Plan de Amenajarea Teritoriului Judeţean Botoşani                                                                                                              Consiliul Judeţean Botoşani
  Nr.
                                     Suprafaţa                                     Suprafaţa                                    Nivel echipare locuinţe cu utilităţi la recensământul din 2002
         Denumire UAT                locuibilă             Denumire UAT            locuibilă
  crt.                                                                                                                              % locuinţe         % locuinţe
                                     /locuinţă 2008                                /persoană - 2008                                                                                                       % locuinte
  52.   SUHARAU                      31,83                 ORAS SAVENI             12,20                                           racordate la       racordate la     % locuinţe
                                                                                                             Denumire UAT-uri                                                         Denumire UAT-uri        cu
                                                                                                                                    reţeaua de         reţeaua de       cu baie
  53.   ADASENI                      31,73                 SANTA MARE              12,19                                                                                                                  bucatarie
                                                                                                                                alimentare cu apă      canalizare
  54.   UNTENI                       31,53                 DANGENI                 12,18
  55.   SANTA MARE                   31,51                 HANESTI                 12,17                    Botoşani                           91,7            90,6          88,8   Dorohoi                     96,1
  56.   RACHITI                      31,50                 MUNICIPIUL BOTOSANI     12,13                    Dorohoi                            72,5            69,7          69,6   Botoşani                    95,4
  57.   CONCESTI                     31,46                 GORBANESTI              12,02                    Bucecea                            45,4            45,3          44,0   Călăraşi                    92,9
  58.   VIISOARA                     31,30                 CORNI                   11,88                    Săveni                             40,8            40,4          40,2   Săveni                      91,2
  59.   CORLATENI                    31,25                 BALUSENI                11,87                    Truseşti                           18,2            16,3          16,3   Bucecea                     89,7
  60.   COTUSCA                      30,92                 RAUSENI                 11,85                    Dărăbani                           17,4            15,7          15,2   Tudora                      87,3
  61.   ALBESTI                      30,80                 DRAGUSENI               11,76                    Mihai Eminescu                     14,3            12,9          12,1   Copălău                     86,7
  62.   HUDESTI                      30,76                 LEORDA                  11,74                    Ştefăneşti                         14,3            11,6          11,2   Flămânzi                    86,1
  63.   HILISEU-HORIA                30,64                 UNGURENI                11,73                    Flămânzi                            9,0              8,8          8,7   Româneşti                   85,8
  64.   LUNCA                        30,40                 SENDRICENI              11,66                    Ripiceni                            7,8              7,8          6,6   Hlipiceni                   84,6
  65.   CORDARENI                    30,34                 PRAJENI                 11,57                    Leorda                              7,6              6,2          5,6   Leorda                      84,2
  66.   VACULESTI                    30,05                 ADASENI                 11,30                    Răchiţi                             7,5              6,7          6,6   Cristeşti                   83,7
  67.   GEORGE ENESCU                29,91                 LOZNA                   11,17                    Frumuşica                           4,1              3,9          3,1   Stăuceni                    83,4
  68.   MIHALASENI                   29,63                 RACHITI                 11,13                    Mitoc                               3,5              2,8          2,5   Truseşti                    83,3
  69.   BALUSENI                     29,61                 CRISTESTI               10,89                    Pomârla                             3,4              3,0          0,4   Unteni                      82,9
  70.   GORBANESTI                   29,60                 STAUCENI                10,82                    Stăuceni                            3,0              2,4          2,2   Curteşti                    82,7
  71.   HANESTI                      29,16                 DURNESTI                10,82                    Cristineşti                         2,9              0,6          0,5   Albeşti                     82,6
  72.   CRISTESTI                    29,08                 ORAS FLAMANZI           10,76                    Vârfu Câmpului                      2,8              2,8          2,5   Ştefăneşti                  82,2
  73.   CALARASI                     28,84                 TUDORA                  10,66                    Văculeşti                           2,8              1,2          0,5   Mihai Eminescu              82,2
  74.   DURNESTI                     28,62                 FRUMUSICA               10,17                    Şendriceni                          2,6              2,5          2,4   Răuseni                     81,9
  75.   FRUMUSICA                    28,46                 COPALAU                 9,83                     Mihăileni                           2,6              2,6          2,6   Brăeşti                     81,9
  76.   COSULA                       27,48                 BLANDESTI               9,40                     Avrămeni                            2,5              1,0          1,0   Ştiubieni                   81,6
  77.   COPALAU                      27,43                 COSULA                  9,32                     Brăeşti                             2,4              2,4          2,0   Suliţa                      81,6
  78.   BLANDESTI                    24,08                 ALBESTI                 9,26                     Dângeni                             2,3              2,3          2,3   Vârfu Câmpului              80,9
  Urban                              35,12                 Urban                   12,27                    Prăjeni                             2,3              2,3          2,3   Ripiceni                    80,9
  Rural                              32,94                 Rural                   12,90                    Vorona                              2,2              2,1          1,5   Mileanca                    79,8
  Total                              33,79                 Total                   12,64                    Conceşti                            2,1              2,0          1,9   Pomârla                     79,6
                                                                                                            Dersca                              2,1              1,7          1,7   Răchiţi                     79,3
                                                                                                            Roma                                2,1              2,0          1,9   Dângeni                     78,8
                                    Sursa: INS, fişa localităţii 2008                                       Corlăţeni                           2,0              1,8          1,7   Vorona                      78,5
                                                                                                            Tudora                              1,9              1,9          1,9   George Enescu               78,4
                                                                                                            Copălău                             1,9              1,8          1,3   Rădăuţi-Prut                78,0
                                                                                                            Coţuşca                             1,9              1,8          1,8   Avrămeni                    78,0
                                                                                                            Româneşti                           1,8              1,7          1,6   Mihălăşeni                  78,0
                                                                                                            Albeşti                             1,8              1,7          1,7   Dobârceni                   78,0
                                                                                                            Drăguşeni                           1,7              1,7          1,7   Vlăsineşti                  77,6
                                                                                                            Hăneşti                             1,5              1,4          1,4   Mitoc                       77,2
                                                                                                            Vlădeni                             1,5              1,4          1,1   Corni                       76,9
                                                                                                            Lunca                               1,4              0,5          0,5   Nicşeni                     76,9
                                                                                                            Ibăneşti                            1,3              1,2          1,1   Manoleasa                   76,6
                                                                                                            Păltiniş                            1,3              1,3          1,3   Coţuşca                     76,3
                                                                                                            Curteşti                            1,3              1,2          1,2   Roma                        76,2
                                                                                                            Hudeşti                             1,3              0,9          0,6   Şendriceni                  76,1
                                                                                                            Broscăuţi                           1,1              0,9          0,8   Hilişeu-Horia               75,3
                                                                                                            Corni                               1,0              0,9          0,9   Todireni                    75,3
                                                                                                            Nicşeni                             1,0              1,0          0,6   Santa Mare                  74,9
                                                                                                            Răuseni                             1,0              1,0          0,9   Hăneşti                     74,3
                                                                                                            Rădăuţi-Prut                        0,9              0,8          0,8   Gorbăneşti                  73,7
                                                                                                            Durneşti                            0,9              0,5          0,5   Dărăbani                    73,4
                                                                                                            Suliţa                              0,9              0,7          0,6   Văculeşti                   73,2

Elaboratori: UAUIM-CCPEC, Bucureşti, împreună cu, Universitatea Bucureşti – CICADIT, SC. Quattro Design s.r.l. – Bucureşti, SC. Urbatech s.r.l. – Iaşi, UAIC - Facultatea de Geografie, Iaşi,                    81
Actualizare Plan de Amenajarea Teritoriului Judeţean Botoşani                                                                                                         Consiliul Judeţean Botoşani
                         % locuinţe         % locuinţe
                                                                                                          % locuinte
                                                                                                                                          Număr locuinţe la 1000 locuitori în 2008
                        racordate la       racordate la     % locuinţe
Denumire UAT-uri                                                                 Denumire UAT-uri             cu                                                 locuinţe /1000loc     Populaţie
                         reţeaua de         reţeaua de       cu baie
                                                                                                          bucatarie           1.    MIHAILENI                               784,83      2756,00
                     alimentare cu apă      canalizare
Ştiubieni                            0,8              0,8          0,3        Băluşeni                          71,8          2.    CORLATENI                               706,71      2489,00
Cordăreni                            0,8              0,8          0,7        Ibăneşti                          71,4          3.    SULITA                                  685,14      3157,00
Todireni                             0,7              0,7          0,7        Ungureni                          71,3          4.    DERSCA                                  618,81      3190,00
Hlipiceni                            0,7              0,5          0,3        Corlăţeni                         71,2          5.    COPALAU                                 601,19      4190,00
Hilişeu-Horia                        0,7              0,7          0,5        Havârna                           70,4          6.    AVRAMENI                                534,39      3838,00
Băluşeni                             0,5              0,5          0,5        Broscăuţi                         69,8          7.    PALTINIS                                518,25      3232,00
Suharau                              0,5              0,3          0,2        Frumuşica                         69,8          8.    CORDARENI                               502,20      2047,00
Mihălăşeni                           0,4              0,4          0,3        Lunca                             69,2          9.    RADAUTI-PRUT                            498,13      3746,00
Dobârceni                            0,3              0,3          0,3        Păltiniş                          69,1          10.   VIISOARA                                484,23      2156,00
Santa Mare                           0,3              0,3          0,3        Vorniceni                         68,6          11.   VACULESTI                               475,07      2246,00
Mileanca                             0,3              0,3          0,3        Drăguşeni                         67,8          12.   GEORGE ENESCU                           472,97      3588,00
Vlăsineşti                           0,3              0,2          0,2        Vlădeni                           67,4          13.   SUHARAU                                 467,85      5164,00
George Enescu                        0,3              0,2          0,1        Durneşti                          66,0          14.   DIMACHENI                               446,45      1438,00
Vorniceni                            0,2              0,1          0,1        Prăjeni                           61,6          15.   COTUSCA                                 437,97      5062,00
Ungureni                             0,2              0,1          0,1        Cordăreni                         61,0          16.   HAVARNA                                 434,36      4890,00
Gorbăneşti                           0,1              0,1          0,1        Hudeşti                           59,4          17.   MILEANCA                                433,36      2836,00
Călăraşi                             0,1              0,1          0,1        Suharau                           59,0          18.   CANDESTI                                432,04      2222,00
Havârna                              0,1              0,1          0,0        Viişoara                          58,9          19.   CONCESTI                                431,02      1986,00
Unteni                               0,1              0,1          0,1        Mihăileni                         58,3          20.   BRAESTI                                 429,91      2140,00
Manoleasa                            0,1              0,1          0,1        Dersca                            57,1          21.   CALARASI                                427,61      3709,00
Cristeşti                            0,1              0,1          0,0        Conceşti                          55,7          22.   HUDESTI                                 427,12      6305,00
Viişoara                             0,0              0,0          0,0        Cristineşti                       50,5          23.   UNTENI                                  426,78      2950,00
Adăşeni                                                                       Adăşeni                                         24.   CRISTINESTI                             422,80      3834,00
Blândeşti                                                                     Blândeşti                                       25.   LUNCA                                   422,37      4657,00
Cândeşti                                                                      Cândeşti                                        26.   HANESTI                                 417,31      2219,00
Coşula                                                                        Coşula                                          27.   HLIPICENI                               415,49      3810,00
Dimacheni                                                                     Dimacheni                                       28.   MIHALASENI                              415,19      2370,00
Lozna                                                                         Lozna                                           29.   HILISEU-HORIA                           413,77      3659,00
Judeţul Botoşani                   29,6             29,0          28,4        Judeţul Botoşani                  81,6          30.   VARFU CAMPULUI                          413,73      3889,00
Total municipii şi                                                                                                            31.   MITOC                                   413,43      1981,00
oraşe                             72,7            71,4         70,2            Total municipii şi oraşe         92,8          32.   POMARLA                                 411,28      2784,00
Total comune                       2,2             1,9           1,8           Total comune                     74,6          33.   DOBARCENI                               410,94      2852,00
                             Sursa: INS, recensământul populaţiei şi locuinţelor 2002                                         34.   ROMANESTI                               407,06      2125,00
                                                                                                                              35.   GORBANESTI                              405,88      3506,00
                                                                                                                              36.   BROSCAUTI                               402,91      3435,00
                                                                                                                              37.   NICSENI                                 401,98      2826,00
                                                                                                                              38.   BALUSENI                                400,84      5027,00
                                                                                                                              39.   STIUBIENI                               398,46      2866,00
                                                                                                                              40.   IBANESTI                                395,04      4154,00
                                                                                                                              41.   TRUSESTI                                392,46      5733,00
                                                                                                                              42.   VLASINESTI                              390,79      3324,00
                                                                                                                              43.   BLANDESTI                               390,20      2327,00
                                                                                                                              44.   ORAS STEFANESTI                         389,42      5688,00
                                                                                                                              45.   SANTA MARE                              386,94      3109,00
                                                                                                                              46.   TODIRENI                                381,28      3622,00
                                                                                                                              47.   DURNESTI                                378,12      4086,00
                                                                                                                              48.   ORAS BUCECEA                            377,27      5182,00
                                                                                                                              49.   CURTESTI                                377,08      4686,00
                                                                                                                              50.   CRISTESTI                               374,62      4885,00
                                                                                                                              51.   MANOLEASA                               374,27      3599,00
                                                                                                                              52.   DANGENI                                 374,07      3101,00
                                                                                                                              53.   RAUSENI                                 372,30      3105,00

Elaboratori: UAUIM-CCPEC, Bucureşti, împreună cu, Universitatea Bucureşti – CICADIT, SC. Quattro Design s.r.l. – Bucureşti, SC. Urbatech s.r.l. – Iaşi, UAIC - Facultatea de Geografie, Iaşi,         82
Actualizare Plan de Amenajarea Teritoriului Judeţean Botoşani                                                                                                          Consiliul Judeţean Botoşani
                                                      locuinţe /1000loc    Populaţie                         Dinamica locuirii: creşterea fondului de locuinţe în intervalul 1991 /2008 şi respectiv 2002 /2008
                  54.   RIPICENI                                 370,16     2272,00
                                                                                                                                                                                                creştere 2008/2002
                  55.   VORNICENI                                369,23     4439,00                          Nr.                               creştere
                                                                                                                        Denumire UAT                                       Denumire UAT           (nr. locuinţe noi
                  56.   VLADENI                                  368,14     5028,00                          crt.                           2008/1991 (%)
                                                                                                                                                                                                   /1000 locuitori
                  57.   ORAS DARABANI                            365,62    11750,00
                                                                                                             1.     MIHAI EMINESCU              27,35                 CURTESTI                          29,24
                  58.   UNGURENI                                 361,96     7067,00
                                                                                                             2.     CURTESTI                    24,35                 RACHITI                           28,86
                  59.   ROMA                                     358,57     3408,00
                                                                                                             3.     STAUCENI                    21,75                 MIHAI EMINESCU                    26,00
                  60.   FRUMUSICA                                357,37     6156,00
                                                                                                             4.     PRAJENI                     20,86                 SULITA                            22,17
                  61.   LEORDA                                   356,80     2685,00
                                                                                                             5.     RACHITI                     19,35                 BROSCAUTI                         21,54
                  62.   ADASENI                                  356,22     1544,00
                                                                                                             6.     ORAS DARABANI               18,74                 ORAS DARABANI                     21,02
                  63.   MIHAI EMINESCU                           355,82     6922,00
                                                                                                             7.     VORONA                      16,68                 MIHAILENI                         18,14
                  64.   VORONA                                   355,25     8093,00
                  65.   ORAS SAVENI                              353,59     8114,00                          8.     SENDRICENI                  15,86                 HLIPICENI                         17,32
                  66.   RACHITI                                  353,41     4782,00                          9.     ALBESTI                     15,17                 STAUCENI                          17,28
                  67.   MUNICIPIUL DOROHOI                       350,63    30186,00                          10.    HLIPICENI                   14,71                 DERSCA                            16,61
                  68.   LOZNA                                    350,39     2189,00                          11.    DURNESTI                    13,27                 VORONA                            16,43
                  69.   DRAGUSENI                                349,34     2748,00                          12.    UNTENI                      12,41                 COPALAU                           15,75
                  70.   SENDRICENI                               346,60     4446,00                          13.    CORNI                       12,25                 ROMA                              15,55
                  71.   MUNICIPIUL BOTOSANI                      346,34   114885,00                          14.    BROSCAUTI                   12,25                 VLADENI                           15,31
                  72.   COSULA                                   339,11     3002,00                          15.    DOBARCENI                   12,05                 ROMANESTI                         15,06
                  73.   TUDORA                                   332,13     5248,00                          16.    TRUSESTI                    11,88                 CORNI                             12,19
                  74.   STAUCENI                                 332,09     3472,00                          17.    TUDORA                      11,87                 SENDRICENI                        12,15
                  75.   PRAJENI                                  329,99     3388,00                          18.    ROMA                        11,39                 MITOC                             12,12
                  76.   ORAS FLAMANZI                            323,05    12029,00                          19.    TODIRENI                    10,92                 ORAS BUCECEA                      11,77
                  77.   CORNI                                    314,65     6725,00                          20.    LEORDA                      10,62                 IBANESTI                          11,56
                  78.   ALBESTI                                  300,75     6843,00                          21.    DERSCA                      10,40                 CRISTESTI                         11,46
                                                                                                             22.    ROMANESTI                   10,19                 VACULESTI                         11,13
                  Urban                                          349,21   187834,00
                                                                                                             23.    HANESTI                     9,85                  LEORDA                            10,80
                  Rural                                          410,16   263365,00
                                                                                                             24.    ORAS STEFANESTI              9,82                 TODIRENI                          10,77
                  Total                                          384,79   451199,00
                                                                                                             25.    ORAS BUCECEA                 9,71                 HUDESTI                           10,31
                                    Sursa: INS, fişa localităţii 2008                                        26.    MITOC                       9,64                  TRUSESTI                          10,12
                                                                                                             27.    SANTA MARE                  9,56                  BALUSENI                           9,95
                                                                                                             28.    HUDESTI                     9,38                  DURNESTI                           9,54
                                                                                                             29.    FRUMUSICA                   9,18                  UNTENI                             9,49
                                                                                                             30.    CALARASI                    9,15                  VIISOARA                           8,81
                                                                                                             31.    DRAGUSENI                   8,84                  ALBESTI                            8,18
                                                                                                             32.    CRISTESTI                    8,80                 CORLATENI                          8,04
                                                                                                             33.    RAUSENI                     8,65                  AVRAMENI                           7,56
                                                                                                             34.    SULITA                       8,37                 MUNICIPIUL DOROHOI                 7,52
                                                                                                             35.    NICSENI                     8,09                  TUDORA                             7,43
                                                                                                             36.    VLADENI                     7,99                  PRAJENI                            7,38
                                                                                                             37.    RIPICENI                    7,68                  ORAS STEFANESTI                    7,21
                                                                                                             38.    VORNICENI                   7,55                  MIHALASENI                         7,17
                                                                                                             39.    UNGURENI                    7,52                  CONCESTI                           7,05
                                                                                                             40.    GEORGE ENESCU                7,34                 MUNICIPIUL BOTOSANI                7,02
                                                                                                             41.    ORAS FLAMANZI               7,26                  GEORGE ENESCU                      6,97
                                                                                                             42.    VACULESTI                    7,24                 POMARLA                            6,82
                                                                                                             43.    DANGENI                     7,21                  RAUSENI                            6,76
                                                                                                             44.    MUNICIPIUL BOTOSANI         6,86                  MILEANCA                           6,70
                                                                                                             45.    BALUSENI                     6,84                 ORAS FLAMANZI                      6,65
                                                                                                             46.    COPALAU                     6,56                  LUNCA                              6,44
                                                                                                             47.    MUNICIPIUL DOROHOI          6,46                  CORDARENI                          6,35
                                                                                                             48.    POMARLA                     6,22                  SUHARAU                            6,20
                                                                                                             49.    AVRAMENI                    6,16                  NICSENI                            5,66
                                                                                                             50.    CORLATENI                   5,90                  COTUSCA                            5,53
                                                                                                             51.    IBANESTI                     5,67                 HANESTI                            5,41

Elaboratori: UAUIM-CCPEC, Bucureşti, împreună cu, Universitatea Bucureşti – CICADIT, SC. Quattro Design s.r.l. – Bucureşti, SC. Urbatech s.r.l. – Iaşi, UAIC - Facultatea de Geografie, Iaşi,                     83
Actualizare Plan de Amenajarea Teritoriului Judeţean Botoşani                                                                                                            Consiliul Judeţean Botoşani
 Nr.                                 creştere
                                                                                           creştere 2008/2002                 Indicele de motorizare la nivel de UAT, în judeţul Botoşani, în 2007
           Denumire UAT                                             Denumire UAT             (nr. locuinţe noi
 crt.                             2008/1991 (%)                                                                        Nr.
                                                                                              /1000 locuitori                   UAT                număr autoturisme 2007   populaţia 2007   indice de motorizare
 52. CORDARENI                        5,65                    MANOLEASA                             5,28               crt.
 53. MIHAILENI                        5,46                    DOBARCENI                             5,26                                                      1                   2                   3
 54. ORAS SAVENI                      5,44                    VARFU CAMPULUI                        5,14               1.       Botoşani                   16409               115739              141,78
 55. CONCESTI                         5,03                    FRUMUSICA                             4,87               2.       Dorohoi                    3572                30661               116,50
 56. VARFU CAMPULUI                   5,03                    DRAGUSENI                             4,73               3.       Brăeşti                     157                 2144                73,23
 57. LUNCA                            4,02                    CALARASI                              4,58               4.       Bucecea                     363                 5224                69,49
 58. GORBANESTI                       3,87                    UNGURENI                              4,39               5.       Corlăţeni                   162                 2443                66,31
 59. MIHALASENI                       3,69                    CRISTINESTI                           4,17               6.       Săveni                      540                 8156                66,21
 60. MANOLEASA                        3,62                    HAVARNA                               4,09               7.       Dărăbani                    752                11859               63,41
 61. HILISEU-HORIA                    3,20                    VORNICENI                             3,83               8.       Truseşti                    353                 5810               60,76
 62. COTUSCA                          3,16                    DANGENI                               3,55               9        Mihai Eminescu              400                 6807                58,76
 63. BRAESTI                           3,14                   RIPICENI                              3,52               10.      Suliţa                      164                 3183               51,52
 64. MILEANCA                         2,93                    STIUBIENI                             3,49               11.      Mihăileni                   140                 2752               50,87
 65. STIUBIENI                         2,79                   ORAS SAVENI                           3,45               12.      Coţuşca                     255                 5127                49,74
 66. CRISTINESTI                       2,47                   VLASINESTI                            2,11               13.      Curteşti                    214                 4613               46,39
 67. VLASINESTI                        1,72                   BRAESTI                               1,87               14.      Dersca                      145                 3216                45,09
 68. PALTINIS                         1,70                    SANTA MARE                            1,29               15.      Leorda                      114                 2736                41,67
 69. HAVARNA                          1,38                    HILISEU-HORIA                         0,27               16.      Răchiţi                     195                 4740               41,14
 70. VIISOARA                         1,26                    PALTINIS                             -0,93               17.      Ibăneşti                    163                 4150               39,28
 71. RADAUTI-PRUT                     -1,63                   GORBANESTI                           -2,28               18.      Cândeşti                     84                 2223                37,79
 72. SUHARAU                          -1,75                   RADAUTI-PRUT                         -9,61               19.      Ştefăneşti                  208                 5746                36,20
 73. ADASENI                                                  ADASENI                                                  20.      Conceşti                     72                 2013                35,77
 74. BLANDESTI                                                BLANDESTI                                                21.      Broscăuţi                   124                 3476               35,67
 75. CANDESTI                                                 CANDESTI                                                 22.      Gorbăneşti                  125                 3551                35,20
 76. COSULA                                                   COSULA                                                   23       Coşula                      104                 3009               34,56
 77. DIMACHENI                                                DIMACHENI                                                24.      Viişoara                     76                 2222               34,20
 78. LOZNA                                                    LOZNA                                                    25.      Cristineşti                 128                 3796               33,72
 Urban                                7,64                    Urban                                7,93                26.      Lunca                       159                 4773                33,31
 Rural                                13,58                   Rural                               27,57                27.      Corni                       223                 6695                33,31
 Total                                11,26                   Total                               19,39                28.      Hilişeu-Horia               117                 3659                31,98
                                                                                                                       29.      Santa Mare                   99                 3104                31,89
              Sursa: INS, fişa localităţii 2008 şi recensământul populaţiei şi locuinţelor 2002
                                                                                                                       30       Nicşeni                      90                 2860                31,47
                                                                                                                       31.      Vorona                      254                 8097                31,37
                                                                                                                       32.      Stăuceni                    107                 3431                31,19
                                                                                                                       33.      Lozna                        69                 2220                31,08
                                                                                                                       34.      Păltiniş                    100                 3240                30,86
                                                                                                                       35.      Pomârla                      88                 2860                30,77
                                                                                                                       36.      Blândeşti                    74                 2412                30,68
                                                                                                                       37.      Havârna                     151                 4943                30,55
                                                                                                                       38.      Frumuşica                   187                 6170               30,31
                                                                                                                       39.      Copălău                     126                 4253                29,63
                                                                                                                       40.      Cristeşti                   142                 4843                29,32
                                                                                                                       41.      Hăneşti                      65                 2255               28,82
                                                                                                                       42.      Ripiceni                     66                 2301                28,68
                                                                                                                       43.      Suharau                     146                 5239                27,87
                                                                                                                       44.      Vârfu Câmpului              108                 3926                27,51
                                                                                                                       45.      George Enescu                99                 3605                27,46
                                                                                                                       46.      Rădăuţi-Prut                104                 3801               27,36
                                                                                                                       47.      Vlăsineşti                   91                 3353                27,14
                                                                                                                       48.      Hudeşti                     171                 6384               26,79
                                                                                                                       49.      Drăguşeni                    73                 2769                26,36
                                                                                                                       50.      Adăşeni                      41                 1556               26,35
                                                                                                                       51.      Ungureni                    187                 7123                26,25

Elaboratori: UAUIM-CCPEC, Bucureşti, împreună cu, Universitatea Bucureşti – CICADIT, SC. Quattro Design s.r.l. – Bucureşti, SC. Urbatech s.r.l. – Iaşi, UAIC - Facultatea de Geografie, Iaşi,                       84
Actualizare Plan de Amenajarea Teritoriului Judeţean Botoşani                                                                                                        Consiliul Judeţean Botoşani
          Nr.
                  UAT                   număr autoturisme 2007   populaţia 2007   indice de motorizare
                                                                                                                                 Indicele de motorizare pe UAT în judeţul Botoşani, 2007
          crt.
          52.     Cordăreni                       54                 2062                26,19                                             Mitoc

                                                                                                                                        Călăraşi

          53.     Văculeşti                        58                2222                26,10                                         Hlipiceni

                                                                                                                                      Vorniceni
          54.     Dângeni                          81                 3115               26,00                                         Flămânzi

          55.     Roma                            87                 3355                25,93                                       Dimacheni

                                                                                                                                        Răuseni
          56.     Tudora                          134                5292                25,32                                         Mileanca

          57.     Unteni                           74                2936                25,20                                          Durneşti

                                                                                                                                     Mihălăşeni
          58.     Manoleasa                        92                 3669               25,07                                        Avrămeni


          59.     Şendriceni                      110                4423                24,87                                        Dobârceni

                                                                                                                                        Vlădeni
          60      Albeşti                         164                6871                23,87                                           Prăjeni


          61.     Româneşti                        51                2138                23,85                                          T odireni

                                                                                                                                       Ştiubieni

          62.     Băluşeni                        117                5055                23,15                                         Băluşeni


          63      Ştiubieni                        66                 2906               22,71                                       Româneşti

                                                                                                                                         Albeşti

          64.     Todireni                         82                 3655               22,44                                       Şendriceni

                                                                                                                                     Manoleasa
          65.     Prăjeni                          74                3393                21,81                                            Unteni

          66.     Vlădeni                         104                5018                20,73                                           T udora

                                                                                                                                          Roma
          67.     Dobârceni                        58                 2867               20,23                                          Dângeni

          68.     Avrămeni                         77                3841                20,05                                        Văculeşti

                                                                                                                                      Cordăreni
          69.     Mihălăşeni                       47                2394                19,63                                         Ungureni

          70.     Durneşti                         76                4158                18,28                                          Adăşeni

                                                                                                                                      Drăguşeni
          71.     Mileanca                         48                 2900               16,55                                          Hudeşti


          72.     Răuseni                          51                3091                16,50                                        Vlăsineşti

                                                                                                                                    Rădăuţi-Prut

          73.     Dimacheni                        23                 1452               15,84                                   George Enescu


          74.     Flămânzi                        186                12004               15,49                                   Vârfu Câmpului

                                                                                                                                        Suharau

          75.     Vorniceni                        69                4500                15,33                                          Ripiceni

                                                                                                                                        Hăneşti
          76.     Hlipiceni                       54                 3828                14,11                                          Cristeşti

          77.     Călăraşi                        42                 3757                11,18                                          Copălău

                                                                                                                                     Frumuşica
          78.     Mitoc                             3                1997                1,50                                           Havârna

                                                                                                                                      Blândeşti

                                                                                                                                        Pomârla

                                                                                                                                        Păltiniş


          79      Judeţul Botoşani              30238                454167              66,58                                            Lozna

                                                                                                                                       Stăuceni

                  Total municipii şi                                                                                                     Vorona
          80                                    22030                189389             116,32
                  oraşe                                                                                                                 Nicşeni

                                                                                                                                     Santa Mare

          81      Total comune                   8208                264778              31,00                                     Hilişeu-Horia

                                                                                                                                           Corni
                                       Sursa: INS, fişa localităţii 2007                                                                  Lunca

                                                                                                                                      Cristineşti

                                                                                                                                        Viişoara

                                                                                                                                         Coşula

                                                                                                                                     Gorbăneşti

                                                                                                                                      Broscăuţi

                                                                                                                                       Conceşti

                                                                                                                                      Ştefăneşti

                                                                                                                                       Cândeşti

                                                                                                                                        Ibăneşti

                                                                                                                                         Răchiţi

                                                                                                                                         Leorda

                                                                                                                                         Dersca

                                                                                                                                        Curteşti

                                                                                                                                        Coţuşca

                                                                                                                                       Mihăileni

                                                                                                                                          Suliţa

                                                                                                                                 Mihai Eminescu

                                                                                                                                        T ruseşti

                                                                                                                                       Dărăbani

                                                                                                                                         Săveni

                                                                                                                                       Corlăţeni

                                                                                                                                       Bucecea

                                                                                                                                         Brăeşti

                                                                                                                                        Dorohoi

                                                                                                                                       Botoşani

                                                                                                                                                    0   10   20   30   40   50   60   70   80   90   100   110   120   130   140   150




Elaboratori: UAUIM-CCPEC, Bucureşti, împreună cu, Universitatea Bucureşti – CICADIT, SC. Quattro Design s.r.l. – Bucureşti, SC. Urbatech s.r.l. – Iaşi, UAIC - Facultatea de Geografie, Iaşi,                                            85
Actualizare Plan de Amenajarea Teritoriului Judeţean Botoşani                                                                                                           Consiliul Judeţean Botoşani
                                     SERVICII BANCARE
LOCALITATE        BOTOSANI    DOROHOI     DARABANI     FLAMANZI       SAVENI   TRUSESTI   CALARASI
CEC                  1           1           1                          1                    1
BCR                  1           1           1                          1
BRD                  1           1                         1
BANC POST            1           1
CARPATICA            1                                                            1
ALPHA BANK           1
GARANTI              1
BANK
UNICREDIT             1
TIRIAC
PIRAEUS               1
ROM                   1
EXTERA
OTP                   1
BANK
TRANSILVANIA          1           1
VOLKSBANK             1           1



                          CENTRE COMERCIALE - SUPERMARKET
                  LOCALITATE METRO CARREFOUR                   PLUS     DEDEMAN
                  BOTOSANI                                       1         1
                  DOROHOI                                        1
                  SUCEAVA      1       1
                  IASI                 1




Elaboratori: UAUIM-CCPEC, Bucureşti, împreună cu, Universitatea Bucureşti – CICADIT, SC. Quattro Design s.r.l. – Bucureşti, SC. Urbatech s.r.l. – Iaşi, UAIC - Facultatea de Geografie, Iaşi,          86
Actualizare Plan de Amenajarea Teritoriului Judeţean Botoşani                                                                                                                                                  Consiliul Judeţean Botoşani
                                          Situaţia la nivel de UAT a intravilanului pe baza PUG aprobate sau în curs de aprobare (situaţie în curs de actualizare)
                 Sat 1                 Sat 2             Sat 3                  Sat 4                 Sat 5                    Sat 6                  Sat 7                Sat 8               Sat 9
                 Suprafata Ha          Suprafata Ha      Suprafata Ha           Suprafata Ha          Suprafata Ha             Suprafata Ha           Suprafata Ha         Suprafata Ha        Suprafata Ha                            Intravilan Propus

BOTOSANI         Curtesti              Rachiti           Stauceni

DOROHOI          Dorohoi               Dealu Mare        Loturi Enescu          Progresul
                                                                                                                                                                                                                                                   1146,6
BUCECEA          Bucecea               Bohoghina         Calinesti
                               510,3          37,1                    135,1                                                                                                                                                                         682,5
DARABANI         Bajura                Esanca            Lismanita

FLAMANZI         Flamanzi              Cordun            Poiana
                                                                                                                                                                                                                                                  1849,95
SAVENI           Saveni                Petricani         Chiscareni             Sat Nou               Bodeasa                  Bozieni
                                288            78,34                  60,67                   44,09                    65,26                  38,71                                                                                                575,07
STEFANESTI       Stefanesti            Badiuti           Bobulesti              Stanca                Stefanesti-Sat

ADASENI          Adaseni               Zoitani
                              157,82           60,35                                                                                                                                                                                               218,17
ALBESTI          Albesti               Buimaceni         Costiugeni             Jijia                 Mascateni                Tudor Vladimirescu
                              249,31           116,7                127,18                     83,3                    64,82                 193,9                                                                                                 835,21
AVRAMENI         Avrameni              Aurel Vlaicu      Dimitrie Cantemir      Ichimeni              Panaitoaia               Timus                  Tudor Vladimirescu
                               274,7           98,15                  29,6                     61,4                     61,9                  78,5                 154,6                                                                           758,85
BALUSENI         Baluseni              Balusenii noi     Buzeni                 Cosuleni              Draxini                  Zaicesti
                              269,04              41                   144                      83                      443                    210                                                                                                1190,04
BLANDESTI        Blandesti             Cerchejeni        Soldanesti
                              166,01         190,55                 119,25                                                                                                                                                                         475,81
BRAESTI          Braesti               Poiana            Popeni                 Valcelele
                                293              145                    56                      15                                                                                                                                                    509
BROSCAUTI        Broscauti             Slobozia
                                461               34                                                                                                                                                                                                  495
CALARASI         Calarasi              Libertatea        Plesani
                              381,68           57,16                      80                                                                                                                                                                       518,84
CANDESTI         Candesti              Calinesti         Talpa                  Vitcani

CONCESTI         Concesti              Movileni
                                360                 77                                                                                                                                                                                                437
COPALAU          Copalau               Cerbu             Cotu
                           470,95                111,1                   69,9                                                                                                                                                                      651,95
CORDARENI        Cordareni             Grivita
                             344                  171
CORLATENI        Corlateni             Carasa            Podeni                 Vladeni

CORNI            Corni                 Balta Arsa        Mesteacan              Sarafinesti
                                640                 55                    75                   220                                                                                                                                                    990
COSULA           Cosula                Buda              Padureni               Supitca
                                291           23,15                    64,1                113,6                                                                                                                                                   491,85
COTUSCA          Cotusca               Avram Iancu       Cotu Miculinti         Crasnaleuca           Ghireni                  Mihail Kogalniceanu    Nichiteni            Nicolae Balcescu    Putureni
                                385            18,2                     107                   189                       105                     54                   125                  17              170                                      1170,2
CRISTESTI        Cristesti             Oneaga            Schit-Oraseni          Unguroaia
                               475,1          364,8                  113,8                   72,8                                                                                                                                                  1026,5
CRISTINESTI      Cristinesti           Baranca           Dragalina              Fundu Hertii          Poiana
                               501,9          37,73                  270,3                205,19                    49,57                                                                                                                         1064,69
CURTESTI         Curtesti              Agafton           Baiceni                Hudum                 Manastirea Doamnei       Oraseni-deal           Oraseni-Vale
                                161              64                     163                     0                     215                      160                   119                                                                              882


Elaboratori: UAUIM-CCPEC, Bucureşti, împreună cu, Universitatea Bucureşti – CICADIT, SC. Quattro Design s.r.l. – Bucureşti, SC. Urbatech s.r.l. – Iaşi, UAIC - Facultatea de Geografie, Iaşi,                                                          87
Actualizare Plan de Amenajarea Teritoriului Judeţean Botoşani                                                                                                                                                  Consiliul Judeţean Botoşani
                 Sat 1                Sat 2            Sat 3                 Sat 4                 Sat 5                   Sat 6                   Sat 7                  Sat 8                  Sat 9
                 Suprafata Ha         Suprafata Ha     Suprafata Ha          Suprafata Ha          Suprafata Ha            Suprafata Ha            Suprafata Ha           Suprafata Ha           Suprafata Ha                          Intravilan Propus
DANGENI          Dangeni              Hulub            Iacobeni              Strahotin
                           156,81           183,62                157,04                    90,6                                                                                                                                                   588,07
DERSCA           Dersca

DIMACHENI        Dimacheni            Mateieni         Recia-Verbia

DOBARCENI        Dobarceni            Bivolari         Cismanesti            Livada                Murguta                 Padureni
                              156,4           48,45                 97,1     ?                     ?                       ?
DRAGUSENI        Draguseni            Podriga          Sarata-Draguseni
                              270,2           134,8                 32,9                                                                                                                                                                            437,9
DURNESTI         Durnesti             Babiceni         Barsanesti            Brosteni              Cucuteni                Guranda
                              190,6            89,3                 52,5                    69,5                   257,4                  172,58                                                                                                   831,88
FRUMUSICA        Frumusica            Boscoteni        Radeni                Storesti              Sendreni                Vladeni-Deal

GEORGE
ENESCU           Dumeni               Arborea          George Enescu         Popeni                Stanca
                              412,3          181,05                75,74                 88,5                       59,4                                                                                                                           816,99
GORBANESTI       Gorbanesti           Batranesti       George Cosbuc         Mihai Eminescu        Siliscani               Socrujeni               Viforeni               Vanatori
                          243,71              42,15                51,79                  9,2                      68,19                  121,17                  15,75                  78,65                                                     630,61
HAVARNA          Havarna              Balinti          Galbeni               Garbeni               Niculcea                Tataraseni
                            451,5             74,55                 40,1                60,34                    35,54                       122                                                                                                   784,03
HANESTI          Hanesti              Borolea          Moara Jorii           Sarata-Basarab        Slobozia Hanesti

HILISEU-HORIA    Hiliseu-Horia        Corjauti         Hiliseu-Closca        Hiliseu-Crisan        Iezer
                            251,8            142,5                 179,8                 435,5                    289,03                                                                                                                          1298,63
HLIPICENI        Hlipiceni            Dragalina        Victoria

HUDESTI          Hudesti              Alba             Baranca               Mlenauti
                             630,69          278,06                  93,29                  171                                                                                                                                                   1173,04
IBANESTI         Ibanesti             Dumbravita
                             520,14          303,26                                                                                                                                                                                                 823,4
LEORDA           Leorda               Belcea           Costinesti            Dolina +              Mitoc
                               264             10,18                 65,34                                        191,48                                                                                                                              531
LOZNA            Lozna                Strateni

LUNCA            Lunca                Stroiesti        Zlatunoaia
                          335,76              205,6                 365,44                                                                                                                                                                          906,8
MANOLEASA        Manoleasa            Bold             Flondora              Iorga                 Liveni                  Loturi                  Manoleasa-Prut         Sadoveni               Serpenita       Zahoreni????
                          119,15      ????                           61,43              31,41                       236                    55,41                37,97                    81,86   ????                   101,3
MIHAI
EMINESCU         Ipotesti             Baisa            Catamaresti           Catamaresti-Deal      Cervicesti              Cervicesti-Deal         Cucorani               Manolesti              Stancesti

MIHAILENI        Mihaileni            Parau Negru      Rogojesti
                                                                                                                                                                                                                                                  1103,56
MIHALASENI       Mihalaseni           Caraiman         Nastase               Negresti              Paun                    Sarata                  Slobozia Siliscani

MILEANCA         Mileanca             Codreni          Scutari               Selistea              Moiseni?????
                             276,25         103,28                    52,2              73,16                       56,2
MITOC            Mitoc                Horia
                             242,29          114,1                                                                                                                                                                                                 356,39
NICSENI          Nicseni              Dacia            Dorobanti
                               230              44                    285                                                                                                                                                                             559
PALTINIS         Paltinis             Cuzlau           Horodistea            Slobozia
                               668           71,34                    384               49,42                                                                                                                                                     1172,76
POMARLA          Pomarla              Hulubesti        Racovat

Elaboratori: UAUIM-CCPEC, Bucureşti, împreună cu, Universitatea Bucureşti – CICADIT, SC. Quattro Design s.r.l. – Bucureşti, SC. Urbatech s.r.l. – Iaşi, UAIC - Facultatea de Geografie, Iaşi,                                                          88
Actualizare Plan de Amenajarea Teritoriului Judeţean Botoşani                                                                                                                                                  Consiliul Judeţean Botoşani
                 Sat 1                Sat 2             Sat 3                 Sat 4                 Sat 5                   Sat 6                    Sat 7                 Sat 8                Sat 9
                 Suprafata Ha         Suprafata Ha      Suprafata Ha          Suprafata Ha          Suprafata Ha            Suprafata Ha             Suprafata Ha          Suprafata Ha         Suprafata Ha                             Intravilan Propus
                                598             78                      85                                                                                                                                                                               761
PRAJENI          Prajeni              Campeni           Luparia               Miletin
                              156,6          71,69                   143,84                86,61                                                                                                                                                     458,74
RACHITI          Rachiti              Cismea            Costesti              Rosiori
                          131,74             84,53                   174,18               205,33                                                                                                                                                     595,78
RADAUTI PRUT     Radauti-Prut         Miorcani          Rediu
                          230,72             455,2                    169,9                                                                                                                                                                          855,82
RAUSENI          Rauseni              Doina             Pogorasti             Rediu                 Stolnicesti
                                                                                                                                                                                                                                                     556,33
RIPICENI         Ripiceni             Cinghiniia        Lehnesti              Movila Rupta          Popoaia                 Ripicenii Vechi          Rasca
                                228   ???               ???                   ???                   ???                     ???                      ???
ROMA             Roma                 Cotargaci
                           449,9                  87                                                                                                                                                                                                  536,9
ROMANESTI        Romanesti            Damideni          Romanesti Vale        Sarata
                          192,77             119,57     ???                                37,12
SANTA MARE       Santa Mare           Badarai           Berza                 Bogdanesti            Durnesti                Iliseni                  Ranghilesti           Ranghilesti-Deal
                            287       ???                           54,8                     54,5   ???                                      44,58                  80,1                 65,9
STAUCENI         Stauceni             Silistea          Tocileni              Victoria
                           160,4                  50               191,8                     78,2                                                                                                                                                     480,4
SUHARAU          Suharau              Izvoare           Lisna                 Oroftiana             Plevna                  Smardan
                          628,35               15,75               218,9                  350,85                   111,09                   184,62                                                                                                  1509,56
SULITA           Sulita               Chelis            Dracsani
                                                                                                                                                                                                                                                     997,48
SENDRICENI       Sendriceni           Horlaceni         Padureni
                           508,14            134,5                   337,15                                                                                                                                                                          979,79
STIUBIENI        Stiubieni            Ibaneasa          Negreni
                            331,5               13                   145,92                                                                                                                                                                          490,42
TODIRENI         Todireni             Cernesti          Floresti              Garbesti              Iuresti
                             217               116                      32                    44                     117                                                                                                                                526
TRUSESTI         Trusesti             Buhaceni          Ciritei               Drislea               Ionaseni                Pasateni
                            318,1           170,59      ????                               212,5                   276,15                    41,34
TUDORA           Tudora
                           822,15                                                                                                                                                                                                                    822,15
                                                                                                                                                                           Plopenii Mari la
UNGURENI         Ungureni             Borzesti          Calugareni            Calugarenii Noi       Durnesti                Mihai Viteazu            Mandresti             ungureni             PlopeniiMici     Tautesti     Vicoleni
                                602              44,7                   85                  81                      45,67                     115                    87                                  78,6    ???               70
UNTENI           Unteni               Burla             Burlesti              Manastireni           Soroceni                Valea Grajdului          Vultureni
                              193,8          22,66                     92,2              135,5                       44,8   ???                      ???
VACULESTI        Vaculesti            Gorovei           Saucenita
                              272,5           14,7                    291                                                                                                                                                                             578,2
VIISOARA         Viisoara             Cuza Voda         Viisoara Mica
                             232,78        134,25                 175,02                                                                                                                                                                             542,05
VARFU
CAMPULUI         Varfu Campului       Ionaseni          Lunca
                            400,67          237,75                    262,5                                                                                                                                                                          900,92
VLADENI          Vladeni              Brehuiesti        Hriscani              Hutani                Mandresti
                             86,94            74,84                    5,19                32,11                     5,26                                                                                                                            204,34
VLASINESTI       Vlasinesti           Miron Costin      Sarbi
                            180,55               76               124,58                                                                                                                                                                             381,13
VORNICENI        Vorniceni            Davidoaia         Dealu Crucii
                            560,37             36,6                  46,2                                                                                                                                                                            643,17
VORONA           Vorona               Icuseni           Joldesti              Poiana                Vorona Mare             Vorona-Teodoru
                                                                                                                                                                                                                                                    1665,82
                                                                                                       Sursa date: Consiliul Judeţean, PUG-uri aprobate


Elaboratori: UAUIM-CCPEC, Bucureşti, împreună cu, Universitatea Bucureşti – CICADIT, SC. Quattro Design s.r.l. – Bucureşti, SC. Urbatech s.r.l. – Iaşi, UAIC - Facultatea de Geografie, Iaşi,                                                            89
Actualizare Plan de Amenajarea Teritoriului Judeţean Botoşani                                                                                                              Consiliul Judeţean Botoşani
A.4. INFRASTRUCTURI TEHNICE                                                                                          Pentru asigurarea unei surse de alimentare cu apă, importanţă au debitele minime zilnice, a
                                                                                                             căror valoare dictează direct mărimea sursei de apă în regim neamenajat fără lacuri de compensare. Mai
                                                                                                             jos sunt prezentate debite minime zilnice (mc /sec) pe principalele cursuri de apă din judeţul Botoşani:
A.4.1. GOSPODĂRIREA APELOR

A.4.1.1. Caracterizarea generală a bazinelor hidrografice                                                                   Debite minime zilnice pe principalele cursuri de apă din judeţul Botoşani
                                                                                                                                                                                                    Tabel a.4.1.1.
       Suprafaţa judeţului Botoşani este de 4.965 kmp. fiind repartizată pe bazine hidrografice astfel:                                                                          Debite minime zilnice
   b.h. Prut : 4.362 kmp.                                                                                     Nr.           Râul                 Secţiunea                           cu asigurarea:
   b.h. Siret:          603 kmp.                                                                              crt.                                                        80%            90%            95%
       Lungimea reţelei hidrografice codificate este de 2.054 km., cu următoarea repartiţie:                   1.           Siret            Şerbăneşti -Huţani           0,65            0,48           0,39
   râu Prut            233 km.                                                                                 2.           Siret                  Lespezi                2,80            2,30           2,00
   afluenţi Prut     1.555 km.                                                                                 3.            Prut              Rădăuţi - Prut            11,20            9,60           8,50
               TOTAL              1.788 km.                                                                    4.            Prut                 Ungheni                12,80           10,80           9,50
                                                                                                               5.            Jijia            aval pârâu Întors          0,003           0,001             0
   râu Siret       125 km.                                                                                     6.            Jijia          aval pârâu Ibăneasa          0,013        0,005-0,01     0,001-0,003
   afluenţi Siret  141 km                                                                                      7.            Jijia                Todireni                  0               0              0
               TOTAL                  266 km.                                                                Sursa: R.A. Apele Române-Filiala Iaşi

       TOTAL PRUT + SIRET : 2.054 km.                                                                                O altă caracteristică a cursurilor de apă o reprezintă debitul solid, adică transportul de aluviuni.
                                                                                                                     În drumul către albiile colectoare, apele provenite din ploi şi topirea zăpezilor antrenează
       Rezultă din cele de mai sus o densitate a reţelei hidrografice de 0,41 km / kmp.                      importante cantităţi de material solid prin eroziuni de maluri. Tot acest material se constituie în debit
       Climatul este temperat - continental, iar temperatura medie multianuală este de        + 8,7°C.       solid şi este în corelaţie directă cu structura geologică, gradul de împădurire, stadiul amenajării
                                                                                                             torenţilor şi mai ales cu debitul lichid.
        Cantitatea de precipitaţii medie multianuală este de 543,4 l / mp. Maxima anuală a fost                      Pentru râul Siret, valorile determinate sunt de 1,63 t /ha / an în secţiunea Şerbăneşti - Huţani, iar
înregistrată în anul 1969 cu valoarea de 787,3 l / mp., iar minima anuală s-a înregistrat în anul 1946 cu    pe râul Prut de 79 kg / sec (2270 mii tone /an) în secţiunea Ungheni.
valoarea de 323,9 l / mp. Valorile medii lunare sunt cuprinse între 22,4 l / mp. şi 91,5 l / mp.                     Pentru celelalte râuri nu se dispune de măsurători directe datorită perioadei scurte de observaţii,
Minimele se înregistrează în lunile ianuarie - februarie, iar maximele în lunile iunie - iulie.              aprecierea acestui fenomen făcându-se pe bază de corelaţii.
       Intensitatea maximă de precipitaţii în 24 de ore a fost înregistrată la Botoşani, în data de
14.07.1973 şi are valoarea de 128,8 l / mp. (6 l / mp / minut).                                              A.4.1.2. Resurse de apă
      Temperatura maximă istorică a fost de + 39,4° C la S.M. Botoşani ( 17.08.1952), iar cea
                                                                                                                    Denumirea generică de resurse de apă cuprinde resursele de apă de suprafaţă şi resursele
minimă de - 32,5° C la S.M. Dorohoi (15.02.1937).                                                            subterane.
       Debitele minime înregistrate pe principalele cursuri de apă au fost:
                                                                                                             A.4.1.2.1. Resurse de apă de suprafaţă.
    râu Siret : - secţiunea Şerbăneşti - Huţani (iulie 1969) s-a înregistrat valoarea      de 865 mc /sec.
(în timp ce debitul mediu multianual este de 15,4 mc /sec.);
                                                                                                                    Sunt constituite din totalitatea reţelei hidrografice de pe teritoriul judeţului Botoşani, pe cele
- secţiunea Lespezi (iulie 1969) valoarea înregistrată a fost de 1140 mc /sec.                               două bazine principale. Stocul mediu multianual al râului Prut în secţiunea Stânca este de 2500 mil. mc.
   râu Prut : - la staţia hidro Rădăuţi-Prut s-a înregistrat debitul de 3.875 mc /sec. în anul 1969.         (Qo = 81,2 mc /sec), concordat cu partea moldovenească, iar pe afluenţi sunt următoarele valori:

       Din prelucrarea datelor hidrologice după metode cunoscute rezultă următoarele valori cu                                     Stocul mediu multianual pe principalii afluenţi ai râului Prut
probabilitatea de depăşire de o dată la o sută de ani:                                                                                                                                                      Tabel a.4.1.2.
   râu Siret - secţiunea Şerbăneşti - Huţani :                1.035 mc /sec.                                                                             Qo (mc /sec.)                    Stoc (mil. mc.)
                                                                                                             Volovăţ                                     0,432                            13,6
       - secţiunea Lespezi:                           1.735 mc /sec.
                                                                                                             Başeu                                       1,89                             59,6
       În ce priveşte râul Prut, conform acordurilor dintre România şi Republica Moldova, debitul            Corogea                                     0,095                            3,0
maxim în aval de acumularea Stânca-Costeşti este de 700 mc /sec. pentru probabilitatea de 1 % (până la       Jijia (Todireni)                            2,09                             65,9
confluenţa cu râul Jijia), iar pentru Jijia (S.H. Todireni) valoarea este de 400 mc /sec.                    Sitna (am. confl. Jijia                     2,00                             63,07
                                                                                                             Miletin (Câmpeni)                           0,467                            14,7
Elaboratori: UAUIM-CCPEC, Bucureşti, împreună cu, Universitatea Bucureşti – CICADIT, SC. Quattro Design s.r.l. – Bucureşti, SC. Urbatech s.r.l. – Iaşi, UAIC - Facultatea de Geografie, Iaşi,                          90
Actualizare Plan de Amenajarea Teritoriului Judeţean Botoşani                                                                                                                   Consiliul Judeţean Botoşani
Sursa: RA Apele Române-Filiala Iaşi                                                                             TOTAL                                        34,8                        17,8
                                                                                                                Sursa: RA Apele Române-Filiala Iaşi
       Pentru râul Siret, stocul mediu multianual în secţiunea Şerbăneşti - Huţani are valoarea 485,6
mil. mc.
                                                                                                                                        Resursele de adâncime pe principalele bazine hidrografice
A.4.1.2.2. Resurse de apă subterane                                                                                                                                                                          Tabel a.4.1.4.
                                                                                                                Resursă de adâncime                          Potenţial                   Resursă de bilanţ
        Resursele de apă subterană din spaţiul Moldova, de care aparţine şi judeţul Botoşani, sunt              Siret                                        5,9                         5,9
cantonate în strate freatice şi în strate de adâncime.                                                          Prut                                         2,0                         2,0
        Mai jos sunt prezentate următoarele definiţii:                                                          Bârlad                                       5,8                         5,8
- resursă de apă subterană - cantitatea de apă subterană (exprimată în l /sec, mc /zi, mc /an) care poate fi    TOTAL                                        13,7                        13,7
obţinută cu ajutorul construcţiilor de captare, raţionale din punct de vedere tehnic ( foraje, puţuri,          Sursa: RA Apele Române-Filiala Iaşi
drenuri, izvoare) la regimul de exploatare impus şi cu o calitate a apei care trebuie să satisfacă
condiţiile de potabilitate în decursul termenului prevăzut de folosire a apei.                                          Se observă că cele mai importante resurse freatice evaluate sunt localizate în zona râului Siret,
        În funcţie de gradul de cunoaştere a sistemelor acvifere, resursele de ape subterane se împart în       iar resursele de adâncime (100 - 300 m), sunt localizate cu precădere în sudul Moldovei.
“categorii” (A, B, C1, C2 şi de prognoză).                                                                              Pe teritoriul judeţului Botoşani sunt cunoscute următoarele resurse de ape subterane:
    Categoria A - cuprinde rezerve sigure de ape subterane, cunoscute în mod detaliat;                          - ape freatice: - resursă de bilanţ                   0,728 mc/sec.
    Categoria B - cuprinde rezerve de ape subterane stabilite prin lucrări de explorare şi uneori prin                                          - în afară de bilanţ                 1,052 mc/sec.
lucrări de exploatare, fiind cunoscute cu suficientă precizie principalele particularităţi ale condiţiilor de                                   - resursa totală                     1,780 mc/sec.
zăcământ, calitatea apei, condiţii hidrodinamice.                                                                       Nu sunt idenfiticate resurse de apă de adâncime.
    Categoria C1 - cuprinde rezervele probabile de ape subterane stabilite pe baza lucrărilor de                        Debitul maxim captat în cursul anului 1996 (situaţie valabilă cu abateri nesemnificative şi în
prospecţiuni şi explorare.                                                                                      anii anteriori) a fost de 0,08 mc/sec., captându-se un volum total de 889 mii mc.
    Categoria C2 - cuprinde rezervele posibile, stabilite pe baza condiţiilor geologice şi hidrogeologice
cunoscute în linii generale.                                                                                    A.4.1.3. Stadiul actual al lucrărilor, instalaţiilor şi amenajărilor de gospodărire a apelor pe
    Rezervele de prognoză - sunt acele rezerve de apă subterană estimate pe baza unor consideraţii              teritoriul judeţului Botoşani
generale geologice, geofizice şi hidrogeologice pentru unităţi mari hidrogeologice.
        În funcţie de posibilităţile de valorificare a lor într-un anumit moment de referinţă (posibilităţi             Amenajările de gospodărire a apelor au avut în vedere:
determinate de condiţiile tehnice şi economice de exploatare şi de necesităţile de conservare şi de                 acoperirea cerinţei de apă pentru centrele populate, industriale şi alte folosinţe;
protecţie a acestor ape) se definesc “ grupe de rezervă”, “de bilanţ” şi “în afară de bilanţ”.                      combaterea efectelor distructive ale apelor;
        Rezervele “de bilanţ” reprezintă acea parte a rezervelor exploatabile de ape subterane care pot fi          valorificarea potenţialului hidroenergetic al principalelor cursuri de apă;
extrase şi care îndeplinesc condiţiile calitative industriale şi tehnice de exploatare.                             protecţia calităţii surselor de apă;
        Sunt considerate ca rezerve “în afară de bilanţ”, apele subterane care nu se încadrează în
limitele de potabilitate conform STAS 1342/92, luând în considerare mineralizaţia şi duritatea totală           A.4.1.3.1. Amenajările pentru acoperirea cerinţelor de apă (folosinţe consumatoare de apă)
(maxim admise) de 1200 mg /l şi respectiv 30° G, precum şi acelea ale căror posibilităţi de exploatare
(niveluri dinamice foarte coborâte şi debite sub 0,3 l /sec /foraj pot fi considerate în prezent                A.4.1.3.1.1. Captări de ape subterane
neeconomice.
        Ca o caracterizare generală, resursele de apă subterane freatice ale Moldovei sunt evaluate la                  Se constată că multe din forajele existente nu sunt exploatate în prezent, iar marea majoritate a
34,8 mc /sec., din care, ca resursă de bilanţ 17,8 mc /sec.                                                     lor deservesc obiective de interes strict local. Constituie surse de apă pe alimentări cu apă în sisteme
        În privinţa resurselor de apă subterane de adâncime ale Moldovei, ele se cifrează la circa 13,7         centralizate forajele ce aparţin SC. APA GRUP S.A. Dorohoi sector Darabani, pentru alimentarea
mc /sec.                                                                                                        localităţii Darabani la un debit instalat de 6,65 l/sec. (5 drenuri), Primăria Manoleasa - Liveni cu un
        Apele subterane sunt distribuite neuniform pe teritoriul Moldovei, distribuţia acestora pe              foraj ce asigură 1.83 l/sec, Primăria Ripiceni cu 4 foraje ce au un debit instalat de 1.14 l/sec şi Primăria
principalele bazine hidrografice fiind următoarea:                                                              Româneşti cu 5 foraje ce au un debit instalat de 0,625 l/sec.

                           Resursele freatice pe principalele bazine hidrografice                               A.4.1.3.1.2. Surse de suprafaţă (acumulări)
                                                                                              Tabel a.4.1.3.
Resursă freatică                             Potenţial                   Resursă de bilanţ                             Râul Prut - acumularea Stânca - Costeşti. Este cea mai mare acumulare din b.h. Prut, cu un
Siret                                        28                          16,7                                   volum total de 1285 mil. mc. şi util de 450 mil. mc. din care se asigură apa pentru irigaţii în sistemul
Prut                                         4,7                         0,2                                    Manoleasa - Sadoveni (6275 ha.) şi Ripiceni - Stânca (3o25 ha.) (numai în judeţul Botoşani),
Bârlad                                       2,1                         0,9                                    alimentarea cu apă a localităţilor Ştefăneşti şi Truşeşti, pentru un debit instalat de 200 l/sec., precum şi
Elaboratori: UAUIM-CCPEC, Bucureşti, împreună cu, Universitatea Bucureşti – CICADIT, SC. Quattro Design s.r.l. – Bucureşti, SC. Urbatech s.r.l. – Iaşi, UAIC - Facultatea de Geografie, Iaşi,                            91
Actualizare Plan de Amenajarea Teritoriului Judeţean Botoşani                                                                                                                Consiliul Judeţean Botoşani
producerea de energie electrică, la o putere instalată de 65 mil. kwh în anul mediu. În anul 1996 s-au            aducţiunea Cătămăreşti (Botoşani) - Flămânzi, în lungime de 20 km., transportă apa din derivaţia
produs 87,9 mil. kwh. Se precizează că tot din acumularea Stânca, prin regularizarea stocului râului          Siret - Sitna (Bucecea - Cătămăreşti) pentru alimentarea cu apă a localităţii Flămânzi, la un debit
Prut, se asigură alimentarea cu apă a oraşelor Iaşi, Vaslui şi Huşi, precum şi sursa de apă pentru irigaţii   instalat de 0,0025 mc/sec.
în judeţele Iaşi, Vaslui şi Galaţi.                                                                               aducţiunea Bucecea - Dorohoi, în lungime de 21 km., transportă apa din acumularea Bucecea de pe
         B.h. Jijia:                                                                                          râul Siret, în oraşul Dorohoi, avvând un debit instalat de 0,25 mc/sec. (4,1 mil.mc/an).
     Acumularea Ezer - este amplasată pe râul Jijia la 1 km. amonte de oraşul Dorohoi şi controlează o            derivaţia Siret - Sitna, în lungime de 12,6 km., asigură alimentarea cu apă a oraşului Botoşani la un
suprafaţă de bazin de 116 kmp. Acumularea constituie sursă de apă pentru irigarea unei suprafeţe de           debit instalat de 1,5 mc/sec. precum şi transferul de debite de apă din b.h. Siret în b.h. Jijia (în râul
1000 ha şi produce atenuarea viiturilor din bazinul superior al râului Jijia.                                 Sitna). De exemplu, în cursul anului 1996, derivaţia a funcţionat în tot timpul anului şi s-au transferat
     Acumularea Cătămăreşti - este o acumulare complexă amplasată pe râul Sitna, afluent de dreapta al        debite a căror valoare a fost cuprinsă între 0,156 mc/sec. (luna iulie) şi 1,13 mc/sec. în luna mai, cu un
Jijiei, în dreptul localităţii Mihai Eminescu. Rolul acestei acumulări este de a asigura sursa de apă         debit mediu anual de 0,485 mc/sec. (15,332 mil.mc/an).
pentru irigaţii pe o suprafaţă de 6035 ha., apărare împotriva inundaţiilor pentru 400 ha. teren situat în
aval precum şi asigurarea unui debit salubru în albia din aval de 15 -20 l/sec.                               A.4.1.3.1.4. Alimentări cu apă pentru irigaţii
     Acumularea Câmpeni, nepermanentă, amplasată pe râul Miletin, afluent de dreapta al râului Jijia,
are rol de atenuare a viiturilor.                                                                                    Lista sistemelor de irigaţii din judeţul Botoşani este prezentată în anexe.
                                                                                                                     Se remarcă faptul că, din totalul suprafeţei amenajate pentru irigaţii de 19.407 ha., în cursul
       B.h. Başeu:                                                                                            anului 1996 s-au irigat numai 577 ha., adică 3%, situaţie care a existat şi în anii anteriori.
    Acumularea Cal Alb, amplasată pe râul Başeu, în amonte de localitate Havârna, are rolul de a
asigura sursa de apă pentru irigaţii în sistem local pentru o suprafaţă de 1000 ha.                           A.4.1.3.1.5. Alimentări cu apă pentru piscicultură
    Acumularea Negreni, amplasată pe râul Negreni în zona localităţii Negreni, constituie sursă de apă
pentru alimentarea localităţii Săveni cu un debit instalat de 43 l/sec., irigaţii pentru o suprafaţă de 960           Lista principalelor folosinţe cu scop piscicol aflate în funcţiune este prezentată în anexă.
ha precum şi apărarea împotriva inundaţiilor a unei suprafeţe de 1011 ha.                                     Principalii deţinători ai luciilor piscicole sunt S.C. PISCICOLA S.A. Botoşani, primăriile locale,
    Acumularea Mileanca, amplasată pe râul Podriga, afluent de stânga al râului Başeu, are rolul de a         precum şi Apele Române - R.A. - filiala Iaşi care a închiriat luciile piscicole la S.C. PISCICOLA S.A.
asigura sursa de apă pentru irigarea unei suprafeţe de 1000 ha.                                               Botoşani, si altor detinatori.
                                                                                                                      Suprafaţa totală utilizată în scop piscicol este de 2.616 ha., la nivelul anului 2009, pentru care
        B.h. Siret:                                                                                           s-a folosit un volum de 74,6 mil. mc. Suprafaţa totală amenajată în scop piscicol este de 3.731 ha.,
        Pe cursul râului Siret, ce constituie graniţa dintre judeţele Botoşani şi Suceava, sunt amplasate     diferenţa de 1.115 ha. fiind constituită din amenajări mici, din administrarea primăriilor locale, pentru
următoarele două acumulări, aflate sub autoritatea R.A. - Apele Române - filiala Bacău:                       care nu se deţin date certe.
     Acumularea Rogojeşti - amplasată în amonte de localitatea Rogojeşti din judeţul Botoşani şi                      În b.h. Siret, pe teritoriul judeţului Botoşani nu sunt realizate lucrări cu folosinţe piscicole.
Grămeşti din judeţul Suceava, are rolul de a regulariza debitele râului Siret pentru satisfacerea
necesarului de apă pentru alimentări cu apă potabilă, industrială şi irigaţii, precum şi producerea de
energie electrică, la o putere instalată de 3,2 MW. Producţia medie de energie este de 9,06 Gwh/an.           A.4.1.3.1.6. Bilanţul apelor pentru judeţul Botoşani privind alimentări cu apă şi restituţii pentru
     Acumularea Bucecea este amplasată la 2,5 km amonte de localitatea Bucecea şi asigură următoarele         populaţie, industrie şi zootehnie (anul 2008)
funcţiuni:                                                                                                                                                                                          Tabel a.4.1.5.
- alimentarea cu apă a municipiului Botoşani, oraşului Dorohoi, a comunei Bucecea şi a fabricii de                               Debit mediu captat    (l/sec.) Volum captat anual     (mii mc.) Scop utiliz.
zahăr Bucecea, la un debit instalat de 1500 l/sec. (47 mil. mc./an).                                          CAPTĂRI
- tranzitarea unor debite în perioade excedentare pe derivaţia Siret - Sitna (în acumularea Cătămăreşti),                        TOTAL Supraf.          Subter. TOTAL        Supraf.     Subter. apă
pentru compensarea deficitelor de apă din bazinul Jijia.                                                                         47,61       28,01      19,59   1501,54      883,49      618,05 populaţie
                                                                                                              B.H.               15,72       3,37       12,35   476,03       106,44      389,59 industrie
A.4.1.3.1.3. Derivaţii şi aducţiuni pentru satisfacerea cerinţelor de apă ale folosinţelor                    PRUT               2825,61     2821,63    3,97    89108,44 88983,05 125,39 agrozootehnie
                                                                                                                                 2889,17     2853,92    36,15   91113,09 89972,98 1140,11 TOTAL
       Pe teritoriul judeţului Botoşani, sunt executate şi funcţionează următoarele aducţiuni şi derivaţii:   APORT        DIN                                                                     populaţie
    aducţiunea Stânca - Truşeşti, în lungime de 16 km., transportă apa din acumularea Stânca de pe râul       B.H.               682,73      652,84     29,89   21530,84 20588           942,84 +
Prut în localitatea Truşeşti, pentru alimentarea cu apă a acestuia, la un debit de 0,2 mc/sec. (0,9           SIRET                                                                                industrie
mil.mc./an);
                                                                                                              TOTAL              3571,91     3505,86    66,04   112643,93 110560,98 2082.95
    aducţiunea Negreni - Săveni, în lungime de 8,7 km., transportă apa din lacul Negreni de pe râul           Sursa: RA Apele Române-Filiala Iaşi
Negreni în localitatea Săveni, în scopul alimentării cu apă a acesteia, la un debit instalat de 0,1m
mc/sec. (0,5 mil.mc./an).



Elaboratori: UAUIM-CCPEC, Bucureşti, împreună cu, Universitatea Bucureşti – CICADIT, SC. Quattro Design s.r.l. – Bucureşti, SC. Urbatech s.r.l. – Iaşi, UAIC - Facultatea de Geografie, Iaşi,                        92
Actualizare Plan de Amenajarea Teritoriului Judeţean Botoşani                                                                                                             Consiliul Judeţean Botoşani
                                                                                        Tabel a.4.1.6.
                                                                                                                                                                     Zone şi bunuri materiale afectate de inundaţii
RESTITUŢII              Debit         instalat Debit      maxim Debit mediu anual Volum anual (mii                                                                    datorate revărsărilor unui curs de apă sau a
                        (l/sec.)               (l/sec.)         (l/sec.)          mc.)                                                                                           scurgerilor de torenţi
B.H. PRUT               2084,53                946,70           876,74            6537,79                       Nr.      Municipiu, oraş,
                                                                                                                                            Localitatea (satul)
Sursa: RA Apele Române-Filiala Iaşi                                                                             crt.        comuna                                        Proprietatea
                                                                                                                                                                                                 Activităţile social-
                                                                                                                                                                    Nr. locuinţe    Suprafeţe
                                                                                                                                                                                              economice şi obiective
                                                                                                                                                                       /anexe        agricole
                                                                                                                                                                                                       edilitare
                                                                                                                                                                    gospodăreşti       (ha)
A.4.1.3.2. Combaterea efectelor distructive ale apelor
                                                                                                                    0          1                      2                   3             4                  5
                                                                                                                        MUN. BOTOŞANI                             134               111       8 ob.; 1 km. str. ;baz.
        Apariţia cvasiperiodică a inundaţiilor a condus de-a lungul timpului la realizarea a numeroase          1
                                                                                                                                                                                              Step.
lucrări de combatere a efectului acestora. Principalele lucrări sunt cele de regularizări de cursuri de apă,            MUN. DOROHOI                              157               18        14 ob. ; 2Pd.; 1,7 km.
îndiguiri şi consolidări de maluri, precum şi lacuri de acumulare, menţionate anterior.                         2
                                                                                                                                                                                              Str.
                                                                                                                3       OR. BUCECEA                               4                 79        2 alim apă; 0,2 km. D.J.
A.4.1.3.2.1. Lucrări de regularizări de cursuri de apă                                                          4       OR. DARABANI        DARABANI                                150
                                                                                                                                            CORNEŞTI                                          0,1 km str.
         Pe teritoriul judeţului Botoşani, această categorie este cea mai importantă dintre lucrările de                                    LIŞMANIŢA                               348
combatere a efectelor distructive ale apelor.                                                                                               TEIOASA                                 647       1 ob. ; capt.alim. apă
         În prezent, există un număr de32 lucrări de regularizare pe principalele cursuri de apă, care au în                                TOTAL DARABANI                          1145      0,1km.str.; 1 ob.; capt
total o lungime de 228,5 km. şi apără căi de comunicaţie, localităţi şi terenuri agricole.                                                                                                    alim . apă
                                                                                                                5       OR. FLAMINZI        FLAMINZI                                5
A.4.1.3.2.2. Îndiguiri                                                                                                                      CHIŢOVENI             7                 27
                                                                                                                                            CORDUN                                  7
Singurele lucrări de îndiguiri de pe teritoriul judeţului Botoşani sunt:                                                                    N. BALCESCU           14                13        1 ob.; 0,2 km. Str.
    dig mal stâng râu Siret aval acumulare Bucecea, în lungime de 10 km., care apără terenuri agricole;                                     PRISACANI             12                31
    în b.h. Prut, dig C.F.R. în zona Dângeni - Hulub, pe râul Jijia, în lungime de 100 m., care apără                                       TOTAL FLAMINZI        33                83        1 ob. ; capt.alim. apă
                                                                                                                        OR. SĂVENI          SĂVENI                41                308       14 ob.; 0,5 km. DJ 0,3
calea ferată Dorohoi - Truşeşti - Iaşi.
                                                                                                                6                                                                             km.CF.0,3 km. TF;
                                                                                                                                                                                              2km.
A.4.1.3.2.3. Consolidări de maluri                                                                                                          BODEASA               16                32        0,2 km.D.J. ; 0,15 km.
                                                                                                                                                                                              str.
        Pe totalul judeţului Botoşani sunt 32 lucrări de apărări de maluri pe principalele cursuri de apă,                                  BOZIENI               14                40
în lungime totală de 23,9 km.                                                                                                               CHIŞCARENI            18                55
        Trebuie precizat că marea majoritate a lor sunt în prezent degradate.                                                               PETRICANI             26                51
                                                                                                                                            SAT NOU               2
A.4.1.3.2.4. Zone inundabile                                                                                                                TOTAL SĂVENI          117               486       14 ob.; 0,7 km. DJ 0,3
                                                                                                                                                                                              km.CF.0,3 km. TF;
      Ca urmare a inundaţiilor importante produse în anii 1995 şi 2008 au fost identificate                                                                                                   2km, alim . apă; 0,35
următoarele zone care pot fi inundate:                                                                                                                                                        km str.
                                                                                                                        OR. ŞTEFĂNEŞTI      ŞTEFĂNEŞTI            1493              124       68 ob.; 3km.DJ;11
                                                                                                                7
                                                 Zone inundabile                                                                                                                              km.DN.;63 km. DC.
                                                                                               Tabel a.4.1.7.                               BĂDIUŢI               78                75        1 ob.; 1km DN; 7
                                                                                                                                                                                              km.DC
                                                            Zone şi bunuri materiale afectate de inundaţii                                  BOBULEŞTI             167               9         8 ob.; Ikm.DN; 7 km
                                                             datorate revărsărilor unui curs de apă sau a                                                                                     DC.
                                                                        scurgerilor de torenţi                                              STÎNCA                165               62        13 ob.; 0,2km DN; 3km
Nr.      Municipiu, oraş,
                                   Localitatea (satul)                                                                                                                                        DJ.;11 km DC.
crt.        comuna                                               Proprietatea
                                                                                         Activităţile social-                               TOTAL                 1461              1817      90 ob.13,2 km DN;
                                                           Nr. locuinţe    Suprafeţe                                                        ŞTEFĂNEŞTI
                                                                                       economice şi obiective                                                                                 6km DJ;88 km. DC.
                                                              /anexe        agricole
                                                                                              edilitare                                     TOTAL                 1461              1817      90 ob.13,2 km DN;
                                                           gospodăreşti       (ha)
                                                                                                                                            ŞTEFĂNEŞTI                                        6km DJ;88 km. DC.
 0                1                          2                   3             4                 5
                                                                                                                8       COM.ADAŞENI         ADAŞENI               4                 95        8Pd.; 6,5km DC

Elaboratori: UAUIM-CCPEC, Bucureşti, împreună cu, Universitatea Bucureşti – CICADIT, SC. Quattro Design s.r.l. – Bucureşti, SC. Urbatech s.r.l. – Iaşi, UAIC - Facultatea de Geografie, Iaşi,                         93
Actualizare Plan de Amenajarea Teritoriului Judeţean Botoşani                                                                                                          Consiliul Judeţean Botoşani
                                                         Zone şi bunuri materiale afectate de inundaţii                                                             Zone şi bunuri materiale afectate de inundaţii
                                                          datorate revărsărilor unui curs de apă sau a                                                               datorate revărsărilor unui curs de apă sau a
                                                                     scurgerilor de torenţi                                                                                     scurgerilor de torenţi
Nr.       Municipiu, oraş,                                                                                  Nr.     Municipiu, oraş,
                              Localitatea (satul)                                                                                        Localitatea (satul)
crt.         comuna                                         Proprietatea                                    crt.       comuna                                          Proprietatea
                                                                                    Activităţile social-                                                                                        Activităţile social-
                                                      Nr. locuinţe    Suprafeţe                                                                                  Nr. locuinţe    Suprafeţe
                                                                                economice şi obiective                                                                                        economice şi obiective
                                                         /anexe        agricole                                                                                     /anexe        agricole
                                                                                         edilitare                                                                                                   edilitare
                                                      gospodăreşti       (ha)                                                                                    gospodăreşti       (ha)
    0            1                    2                     3             4                  5               0             1                    2                      3             4                  5
                              ZOIŢANI               4                 52        4Pd.                                                    TOTAL CORLATENI        11                39           4km. DC
                              TOTAL ADAŞENI         8                 147       12Pd.; 6,5km DC             21     COM . CORNI          CORNI                                    70           1pd
9       COM. ALBEŞTI          BUIMACENI                               50                                                                BALTA ARSA             10                10           0,2 km DC; 1 pd
                              JIJIA                 4                 785                                                               SARAFINEŞTI                              5            0,1 km. DC; 1 Pd.
                              T. VLADIMIRESCU                         45                                                                TOTAL CORNI            10                85           0,3 km.DC; 2 pd.;1 Pd
                              TOTAL ALBEŞTI         4                 880                                   22     COM. COŞULA          COŞULA                 1                 7
10      COM. AVRAMENI         AVRAMENI                                          0,5km. DC                                               PADURENI               51                20
                              ICHIMENI                                10                                                                TOTAL COŞULA           52                27
                              TIMUS                                   16                                    23     COM . COŢUŞCA        COTU MICULINŢI                           20
                              TOTAL AVRAMENI                          26        0,5km. DC                                               CRASNALEUCA                              35
11      COM. BALUŞENI         BĂLUŞENI              77                65        1 km. DC.                                               GHIRENI                                  28
                              BĂLUŞENII NOI         15                30        3 Pd.;                                                  M.                                       5
                              COŞULENI                                60                                                                KOGALNICEANU
                              DRAXINI               26                10                                                                N. BALCESCU                               2
                              ZĂICEŞTI                                45                                                                PUŢURENI                                  50
                              TOTAL BALUŞENI        118               210       1km. DC.;3 Pd.                                          TOTAL COŢUŞCA                             140
12      COM. BLÎNDEŞTI        BLÎNDEŞTI                               5                                     24     COM CRISTEŞTI        CRISTEŞTI              6                  110
                              CERCHEJENI            40                31        1 km. DC; 3 pd.                                         GHILANESTI                                5
                              TOTAL BLÎNDEŞTI       40                36        1 km. DC; 3 pd.                                         ONEAGA                                    10          0,2 km DJ; 2 Pd; 2 pd.
13      COM . BRĂEŞTI         MITOC                                   23                                                                TOTAL CRISTEŞTI        6                  125         0,2 km DJ; 2 Pd; 2 pd.
                              POPENI                                  122                                   25     COM.CRISTINEŞTI      CRISTINEŞTI            3                  8           1 Pd; 1pd
                              TOTAL BRĂEŞTI                           145                                                               BARANCA                3                  4
14      COM. BROSCĂUŢI        BROSCĂUŢI             13                7                                                                 DRAGALINA              2                  5
                              SLOBOZIA                                17                                                                HERŢA                  9                  21
                              TOTAL BROSCĂUŢI       13                24                                                                TOTAL                  17                 38          1 Pd; 1pd
15      COM. CĂLĂRAŞI         CĂLĂRAŞI              6                 3                                                                 CRISTINEŞTI
                              PLEŞANI                                 1                                     26     COM CURTEŞTI         CURTEŞTI                                  8
                              TOTAL CĂLĂRAŞI        6                 4                                                                 BAICENI                                   5
16      COM. CINDEŞTI         CINDEŞTI              52                18                                                                ORĂŞENI VALE                              22
        COM. CONCEŞTI         CONCEŞTI              25+2 bl..         59        Post pol.;0,5 km. Reţea                                 TOTAL CURTEŞTI                            35
17
                                                                                el.                         27     COM DÎNGENI          DINGENI                                   75
                              MOVILENI              3                 7         2 ob.; bazin alim apă                                   HULUB                                     1
                              TOTALCONCEŞTI         28 + 2 bl         66        Post pol.;0,5 km. Reţea                                 IACOBENI               6                  132
                                                                                el.; 2 ob .; bazin alim                                 STRAHOTIN                                 19
                                                                                apă                                                     TOTAL DÎNGENI          6                  227
18      COM COPALAU           COPALAU               28                150       2 ob.; bazin alim apă       28     COM.DERSCA           DERSCA                 11                 4           2Pd;3pd. ; 2ob.
19      COM.CORDARENI         CORDĂRENI             116               246       5ob.;5 km DC                29     COM. DIMACHENI       DIMACHENI              6                  14
                              GRIVIŢA                                 37                                                                RECIA- VERBIA                             6
                              TOTAL                 116               283       5ob.;5 km DC.                                           TOTAL DIMACHENI        6                  20
                              CORDĂRENl                                                                     30     COM. DOBÎRCENI       DOBÎRCENI              13                 50
20      COM . CORLATENI       CORLATENI             11                 37          4 km ,DC.                                            BIVOLARI                                  1
                              VLADENI                                  2                                                                TOTAL DOBIRCENI        13                 51          10Pd;1pd.

Elaboratori: UAUIM-CCPEC, Bucureşti, împreună cu, Universitatea Bucureşti – CICADIT, SC. Quattro Design s.r.l. – Bucureşti, SC. Urbatech s.r.l. – Iaşi, UAIC - Facultatea de Geografie, Iaşi,                        94
Actualizare Plan de Amenajarea Teritoriului Judeţean Botoşani                                                                                                            Consiliul Judeţean Botoşani
                                                        Zone şi bunuri materiale afectate de inundaţii                                                              Zone şi bunuri materiale afectate de inundaţii
                                                         datorate revărsărilor unui curs de apă sau a                                                                datorate revărsărilor unui curs de apă sau a
                                                                    scurgerilor de torenţi                                                                                      scurgerilor de torenţi
Nr.     Municipiu, oraş,                                                                                    Nr.     Municipiu, oraş,
                             Localitatea (satul)                                                                                         Localitatea (satul)
crt.       comuna                                          Proprietatea                                     crt.       comuna                                          Proprietatea
                                                                                  Activităţile social-                                                                                       Activităţile social-
                                                     Nr. locuinţe    Suprafeţe                                                                                   Nr. locuinţe    Suprafeţe
                                                                               economice şi obiective                                                                                      economice şi obiective
                                                        /anexe        agricole                                                                                      /anexe        agricole
                                                                                       edilitare                                                                                                  edilitare
                                                     gospodăreşti       (ha)                                                                                     gospodăreşti       (ha)
 0           1                      2                      3             4                 5                 0             1                2                          3             4                5
31     COM DRĂGUŞENI        DRĂGUŞENI              6                 80                                                             TOTAL IBĂNEŞTI             2                 14
                            SĂRATA -DRAG.                            10        0,1 km DJ                    42     COM. LEORDA      LEORDA                     75                10        3Pd.
                            PODRIGA                5                 45                                                             COSTINEŞTI                 5
                            TOTALDRĂGUŞENI         11                135       0,1 km DJ                                            DOLINA                     50                16        6Pd
32     COM. DURNEŞTI        BROŞTENI                                 3                                                              TOTAL LEORDA               130               26        9Pd
                            CUCUTENI                                 3                                      43     COM. LOZNA       LOZNA                      8
                            TOTAL DURNEŞTI                           6                                                              STRATENI                   7                 5
33     COM FRUMUŞICA        FRUMUŞICA                                28                                                             TOTAL LOZNA                15                5
34     COM . G, ENESCU      G. ENESCU              4                 9                                      44     COM. LUNCA       LUNCA                      12                13
                            ARBOREA                                  1                                                              STROEŞTI                   28                16
                            POPENI                 3                 7                                                              ZLĂTUNOAIA                 17
                            TOTAL G. ENESCU        7                 17                                                             TOTAL LUNCA                57                29
       COM.                 BĂTRÎNEŞTI             10                25                                     45     COM. MAN0LEASA MANOLEASA                                      5
35
       GORBANEŞTI                                                                                                                   FLONDORA                                     10
                            G. COŞBUC                                 2                                                             IORGA                                        1
                            SILIŞCANI              60                 300                                                           SADOVENI                                     1
                            SOCRUJENI              30                 75                                                            TOTAL                                        17
                            TOTAL                  100                402                                                           MANOLEASA
                            GORBĂNESTI                                                                             COM.          M. CĂTĂMĂRĂŞTI-                                  15
                                                                                                            46
36     COM. HAVIRNA         BALINTI                                   21          2 ob.                            EMINESCU         DEAL
                            GÎRBENI                30                 1                                                             CERVICEŞTI                                    35
                            NICULCEA               38                                                                               STINCEŞTI                  7                  6
                            TOTAL HAVÎRNA          68                 22          2ob.                                              TOTAL          M.          7                  56
37     COM. HĂNEŞTI         HANEŞTI                20                 10          2ob.                                              EMINESCU
                            SĂRATA BASARAB         14                 2                                     47     COM. MIHĂILENI   MIHĂILENI                  35                 12
                            SLOBOZIA-                                 13          0,2km DJ                                          VLĂDENI                    15                 5
                            HĂNEŞTI                                                                                                 TOTAL MIHĂILENI            50                 17
                            TOTAL HĂNEŞTI          34                 25          2 ob, ; 0,2km DJ.                COM.MIHĂLĂŞENI MIHĂLĂŞENI                   40                 150         1km     DJ;2,3      km
                                                                                                            48
38     COM HILIŞEU          CORJĂUTI               5                  60                                                                                                                      Dc;2,5km r.el. 2km r.tf.
                            HILIŞEU -CLOŞCA        17                 197         1 Pd                                                  NĂSTASE                8                  65
                            HILIŞEU -CRIŞAN        10                 50          1Pd; 2km DC.                                          NEGREŞTI               13                 48          0,5km DC;0,5km r.el.
                            TOTAL HILIŞEU          32                 307         2Pd; 2 km DC.                                         PĂUN                   4                  90
39     COM. HLIPICENI       HLIPICENI              9                  359         1 ob.                                                 SĂRATA                 16                 25          0,5kmDJ;0,5 kmDC
                            DRAGALINA                                 14                                                                TOTAL                  81                 378         1,5km DJ;3,3km DC;3
                            VICTORIA                                  5                                                                 MIHĂLĂŞENI                                            km r.el;2 km r.tf.
                            TOTAL HLIPICENI        9                  378         1 ob.                     49     COM. MILEANCA        MILEANCA               47                 10          2 ob. 2km DC
40     COM. HUDEŞTI         HUDEŞTI                10                 87          2 ob.                                                 MOISENI                5                  3
                            ALBA                   5                  58                                                                SCUTARI                11                 7
                            BARANCA                39                 735         3 ob.                                                 TOTAL MILEANCA         63                 20          2 ob. 2km DC
                            TOTAL HUDEŞTI          54                 880         5 ob.                     50     COM. MITOC           MITOC                                     20
41     COM. IBĂNEŞTI        IBĂNEŞTI               2                  11                                                                HORIA                                     10
                            DUMBRĂVITA                                3                                                                 TOTAL MITOC                               30

Elaboratori: UAUIM-CCPEC, Bucureşti, împreună cu, Universitatea Bucureşti – CICADIT, SC. Quattro Design s.r.l. – Bucureşti, SC. Urbatech s.r.l. – Iaşi, UAIC - Facultatea de Geografie, Iaşi,                        95
Actualizare Plan de Amenajarea Teritoriului Judeţean Botoşani                                                                                                            Consiliul Judeţean Botoşani
                                                        Zone şi bunuri materiale afectate de inundaţii                                                              Zone şi bunuri materiale afectate de inundaţii
                                                         datorate revărsărilor unui curs de apă sau a                                                                datorate revărsărilor unui curs de apă sau a
                                                                    scurgerilor de torenţi                                                                                      scurgerilor de torenţi
Nr.     Municipiu, oraş,                                                                                    Nr.     Municipiu, oraş,
                             Localitatea (satul)                                                                                         Localitatea (satul)
crt.       comuna                                          Proprietatea                                     crt.       comuna                                            Proprietatea
                                                                                    Activităţile social-                                                                                         Activităţile social-
                                                     Nr. locuinţe    Suprafeţe                                                                                     Nr. locuinţe    Suprafeţe
                                                                                  economice şi obiective                                                                                       economice şi obiective
                                                        /anexe        agricole                                                                                        /anexe        agricole
                                                                                         edilitare                                                                                                    edilitare
                                                     gospodăreşti       (ha)                                                                                       gospodăreşti       (ha)
 0             1                    2                      3             4                    5              0             1                2                            3             4                 5
51     COM. NICŞENI         NICŞENI                4                 5            0,5 km DJ                                          ROMÎNEŞTI
                            DACIA                                    15                                            COM.        SANTA SANTA MARA                10                 76           5km DN;1,2Km r.el
                                                                                                            61
                            DOROBANŢI                                16                                            MARE
                            TOTAL NICSENI          4                 36           0,5 km DJ                                             BERZA                                     3
52     COM. PĂLTINIŞ        PĂLTINIŞ                                 256                                                                ILIŞENI                                   25
                            CUZLĂU                                   80                                                                 RÎNGHILEŞTI                               1
                            HORODIŞTEA                               148                                                                RINGHILEŞTI-DEAL                          10
                            SLOBOZIA                                 265                                                                TOTAL     SANTA
                            TOTAL PĂLTINIŞ                           749                                                                MARE
53     COM. POMÎRLA         POMÎRLA                80                115          2 ob; 2km DJ              62     COM.STĂUCENI         STĂUCENI               10                 115          5km DN;1,2Km r.el
                            HULUBEŞTI                                20                                                                 TOCILENI               54                 1443
                            RACOVĂŢ                                  15           1 km DJ ;1,5km DC                                     TOTAL STĂUCENI         6                  165
                            TOTAL POflIRLA.        80                150          2 ob;3 km DJ; 1,5 km      63     COM. SUHARĂU         SUHARĂU                60                 1608
                                                                                  DC                                                    IZVOARE                14                 70
54     COM. PRAJENÎ         PRĂJENI                                   3                                                                 OROFTIANA     DE                          3
                            CIMPENI                9                  20                                                                JOS
                            LUPÂRIA                                   10                                                                OROFTIANA     DE       3                  15
                            MÎLETIN                8                  7                                                                 SUS
                            TOTAL PH'.JENI         17                 40                                                                PLEVNA                                    24
55     COM. RÂCHIŢl         RÂCHIŢl                                   11          2 ob.                                                  SMÎRDAN                                  15
                            CIŞMEA                                    8                                                                 TOTAL SUHARĂU                             28
                            COSTEŞTI                                  60                                    64     COM. SULIŢA          SULIŢA                 17                 155
                                                                                                                                        CHELIŞ                      30            31           2 pd
                        ROŞIORI                                       9                                                                 TOTAL SULIŢA           10                 14           1 pd
                        TOTAL RACHITI                                 88          2ob.                      65     COM. ŞENDRICENI      ŞENDRICENI             40                 45           3 pd
       COM.     RĂDĂUŢI RĂDĂUŢI                                       7                                                                 HORLĂCENI              5                  58
56
       PRUT                                                                                                                             PĂDURENI               1                  10
                            REDIU                  2                              1 Pd                                                  TOTAL                  8                  10
                            TOTAL RĂDĂIŢI          2                  7           1Pd                                                   ŞENDRICENI
57     COM.RĂUSENI          RĂUSENI                26                 800         3 Pd                      66     COM. ŞTIUBIENI       ŞTIUBIENI                   14            78
                            DOINA                                     100         2 PD                                                  NEGRENI                20                 9            2km DJ; alim.apă
                            POGORĂŞTI              54                 150         6 Pd                                                  TOTAL ŞTIUBIENI                           87
                            STOLNICENI             5                  20          4Pd.                      67     COM . TODIRENI       TODIRENI               20                 96           2km DJ; alim.apă
                            TOTAL RĂUSENI          85                 1070        15 PD                                                 CERNEŞTI               5                  280
58     COM. RIPICENI        RIPICENI                                  56                                                                FLOREŞTI               5                  120
59     COM. ROMA            ROMA                                      50          1 Pd                                                  GIRBEŞTI               1                  40
                            COTÎRGACI                                 25                                                                IUREŞTI                11                 80
                            TOTAL ROMA                                75          1 Pd                                                  TOTAL TODIRENI                            50
60     COM. ROMÎNEŞTI       ROMÎNEŞTI              56                 460         2km DC                    68     COM. TRUŞEŞTI        TRUŞEŞTI               22                 570
                            DĂMIDENI                                  131                                                               BUHĂCENI               73                 5            7 ob; 0,3 km DN;2
                            SĂRATA                                    220                                                                                                                      kmDC
                            TOTAL                  56                 711         2km DC                                                DRISLEA                10                 1            0,2 km DC;

Elaboratori: UAUIM-CCPEC, Bucureşti, împreună cu, Universitatea Bucureşti – CICADIT, SC. Quattro Design s.r.l. – Bucureşti, SC. Urbatech s.r.l. – Iaşi, UAIC - Facultatea de Geografie, Iaşi,                        96
Actualizare Plan de Amenajarea Teritoriului Judeţean Botoşani                                                                                                                  Consiliul Judeţean Botoşani
                                                        Zone şi bunuri materiale afectate de inundaţii                                                                  Zone şi bunuri materiale afectate de inundaţii
                                                         datorate revărsărilor unui curs de apă sau a                                                                    datorate revărsărilor unui curs de apă sau a
                                                                    scurgerilor de torenţi                                                                                          scurgerilor de torenţi
Nr.     Municipiu, oraş,                                                                                    Nr.      Municipiu, oraş,
                             Localitatea (satul)                                                                                             Localitatea (satul)
crt.       comuna                                          Proprietatea                                     crt.        comuna                                            Proprietatea
                                                                                  Activităţile social-                                                                                           Activităţile social-
                                                     Nr. locuinţe    Suprafeţe                                                                                      Nr. locuinţe    Suprafeţe
                                                                               economice şi obiective                                                                                         economice şi obiective
                                                        /anexe        agricole                                                                                         /anexe        agricole
                                                                                       edilitare                                                                                                      edilitare
                                                     gospodăreşti       (ha)                                                                                        gospodăreşti       (ha)
 0             1                   2                       3             4                 5                 0               1                      2                     3             4                 5
                            IONĂŞENI               51                5                                                                      DEALUL CRUCII                           2
                            TOTAL TRUŞEŞTI                           2                                                                      TOTAL                                   17        2 ob;4 Pd
       COM.TUDORA           TUDORA                 134               13        7ob; 0,3km DN;2,2                                            VORNICENI
69
                                                                               kmDC                         78     COM.VORONA               VORONA                 27                  15
70     COM. UNGURENI        UNGURENI               4                 127       2 ob;5 km dr.expl.                                           ICUŞENI                                    15
                            BORZEŞTI               10                11                                                                     JOLDEŞTI                                   37
                            CĂLUGĂRENI             5                 15                                                                     POIANA                 4
                            CĂLUGĂRENII NOI                          6                                                                      TOTAL VORONA           31                  67
                            DURNEŞTI                                 4                                             TOTAL GENERAL                                   3945                17028 ha    187ob;18,5     kmDN;
                            MINDREŞTI                                17                                                                                            gospodării;                     15,2 kmdj;136,4 dc;72
                            PLOPENII MARI                            5                                                                                             2 blocuri                       Pd;17 pd;4J km.r.el;2,3
                            PLOPENII MICI          5                                                                                                                                               krn r.tf.2J45km străzi;
                            VICOLENI                                 5                                                                                                                             1
                            TOTAL UNGURENI         20                72                                     Sursa: RA Apele Române-Filiala Iaşi
71     COM. UNŢENI          UNŢENI                 21                39
                            BURLA                                              8km DC                       A.4.1.3.3. Valorificarea potenţialului hidroenergetic al principalelor cursuri de apă (folosinţe
                            BURLEŞTI               5                 10        2 pd                         neconsumatoare de apă)
                            MĂNĂSTIRENI            17                13        4 km DC
                            TOTAL UNŢENI           43                62        2 pd; 12 km DC                      Cursurile de apă din spaţiul hidrografic Prut, care ocupă cea mai mare parte a judeţului
72     COM. CULEŞTI         VĂCULEŞTI                                22                                     Botoşani, au un potenţial hidroenergetic neînsemnat.
                            SAUCENIŢA              18                20        1 Pd                                Pe râul Prut s-a valorificat potenţialul hidroenergetic al retenţiei create de realizarea barajului
                            TOTAL                  18                42        1 Pd                         Stânca-Costeşti şi al efectului regularizator al lacului de acumulare prin realizarea în comun cu R.
                            VĂCULEŞTI                                                                       Moldova a CHE Stânca-Costeşti cu o putere instalată de 16 MW şi o producţie medie de energie de 65
       COM. VIIŞOARA        VIIŞOARA               2                  13          6Pd; 0,8 km DJ;0,5        GWh/an.
73
                                                                                  kmDC                             Pe conducta de aducţiune Stânca - Truşeşti se află MHC Stânca, cu o putere instalată de 0,64
74     COM. V.CÎMPULUI      V.CÎMPULUI                                25                                    MW şi o producţie de energie în anul mediu de 1 mil. KWh.
                            IONĂŞENI                                  50
                                                                                                                   Pe râul Siret, în cadrul amenajării hidrotehnice Rogojeşti se află uzina hidroelectrică Rogojeşti,
                            LUNCA                                     7
                                                                                                            cu o putere instalată de 3,2, MW şi o producţie medie de energie de 9,06 GWh/an.
                            TOTAL                                     82
                            V.CÎMPULUI
75     COM. VLĂDENl         VLĂDENl                                   116                                   A.4.1.3.4. Protecţia calităţii surselor de apă
                            BREHUIEŞTI                                150
                            HRIŞCANI                                  54                                           Prin lucrări de protecţie a calităţii surselor de apă se înţeleg măsurile şi instalaţiile care au drept
                            HUŢANI                                    863                                   scop conservarea şi protecţia acestora împotriva poluării.
                            MÎNDREŞTI                                 6
                            TOTAL VLĂDENl                             1189                                  A.4.1.3.4.1. Ape subterane
76     COM. VLĂSINEŞTI      VLĂSINEŞTI             50                 232
                            MIRON COSTIN                              32                                             Caracteristicile litologice ale Platformei Moldoveneşti, reprezentată prin depozite cuaternare şi
                            SÎRBI                  45                 170                                   terţiare dispuse peste formaţiuni mai vechi cretacice, au fost favorabile acumulării de ape subterane la
                            TOTAL                  95                 434                                   diverse adâncimi, dar care, datorită calităţii climatice şi de strat, au în general debite reduse şi conţinut
                            VLASINEŞTI                                                                      ridicat de săruri.
77     COM.VORNICENI        VORNICENI                                 15          2 ob;4 Pd

Elaboratori: UAUIM-CCPEC, Bucureşti, împreună cu, Universitatea Bucureşti – CICADIT, SC. Quattro Design s.r.l. – Bucureşti, SC. Urbatech s.r.l. – Iaşi, UAIC - Facultatea de Geografie, Iaşi,                            97
Actualizare Plan de Amenajarea Teritoriului Judeţean Botoşani                                                                                                                Consiliul Judeţean Botoşani
        Apele freatice se acumulează în primul orizont de materiale permeabile şi se alimentează din             înnisiparea unor foraje, datorită exploatării defectuoase şi dotării cu pompe inadecvate;
precipitaţii , din unităţile hidrogeologice vecine şi local din revărsarea râurilor.
        În bazinul hidrografic Prut, care ocupă în cea mai mare parte teritoriul judeţului Botoşani, apele       aplicarea unor pârghii economice (H.G. 1001/90) care au descurajat folosirea apei subterane acolo
freatice sunt cantonate în depozite argiloase de vârstă sarmaţiană, cu intercalaţii nisipoase de mică         unde nu este absolut necesar.
importanţă hidrogeologică şi orizonturi gipsoase. În aceste condiţii, rezervele exploatabile se întâlnesc
în luncile râurilor, cu depozite slab permeabile şi sulfatate. În general, se observă ape sulfatate cu
mineralizare şi duritate înaltă cu un grad de potabilitate redus.                                             A.4.1.3.4.2. Ape de suprafaţă
       Pentru caracterizarea calitativă a apelor subterane freatice din punct de vedere a caracterului
chimic dominant şi al potabilităţii este fundamentală asigurarea unei reprezentativităţi a probelor.
Aceasta se obţine prin pomparea o perioada minimă până ce apa iese limpede, fără suspensii, pentru                   Caracterizarea apelor de suprafaţă se face pe baza STAS 4706/88 privind indicatorii fizico-
atingerea condiţiilor naturale iniţiale, precum şi un sistem adecvat de recoltare a probelor.                 chimici: regim de oxigen (RO), grad de mineralizare (GM) şi gradul toxicilor speciali(TS).


       Aprecierea calităţii apelor subterane se face conform STAS 1342/91, care se referă la apa              A. RÂURI.
potabilă furnizată de instalaţiile centrale sau surse locale de alimentare cu apă.                                    Determinarea calităţii apei din râuri se face pe baza analizei apei în aşa-numitele secţiuni de
          Se disting două feluri de impurificatori a apelor freatice:                                         control, amplasate pe toate cursurile principale.
    impurificare naturală produsă prin încărcarea excesivă a apelor cu săruri din rocile pe care le                  Râul Prut.
traversează. Aversele de ploaie contribuie la modificarea calităţii apei în corelaţie cu durata acestora şi   a. Secţiunea Darabani. Este o secţiune de referinţă, fiind situată în aval de punctul de intrare în ţară
caracteristicile bazinului de recepţie ( pantă, litologie, grad de acoperire cu vegetaţie).                   (Orofteana). Râul Prut a înregistra în perioada de iarnă şi cea secetoasă (iunie - iulie) debite cuprinse
    impurificarea artificială are loc prin deversarea apelor uzate menajere, industriale, de la unităţi       între 21,7 - 72,0 mc/sec., iar la viituri (aprilie şi septembrie), debite de 300,0 - 700,0 mc/sec.
agrozootehnice sau de la alte surse de poluare: depozite de gunoi pe malurile cursurilor de apă sau           b. Secţiunea Ştefăneşti - Stânca. Este situată în aval de acumularea Stânca-Costeşti şi ca urmare
lacurilor, batale de dejecţii la complexele zootehnice.                                                       debitul râului este variabil în funcţie de debitul uzinat generat de satisfacerea necesarului de apă a
                                                                                                              folosinţelor din aval. Debitul a oscilat între 54,0 mc/sec. în luna iulie şi 163,0 mc/sec. în luna mai.
                                                                                                                       Caracterizare. Pe tronsonul Orofteana - acumularea Stânca-Costeşti în lungime de 239 km.,
                                                                                                              râul Prut prezintă caracteristici fizico-chimice, biologice şi bacteriologice care îl încadrează în categoria
                                                                                                              a II-a de calitate, recomandată de indicatorii RO şi TS. Impurificările se datorează unor cauze aflate pe
                               Principalele surse de poluare a apelor freatice                                teritoriul Ucrainei.
                                                                                            Tabel a.4.1.8.
                                                                                                                     Tronsonul aval acumulare Stânca-Costeşti - apele râului Prut beneficiază de autoepurarea
Nr.        Sursa de poluare            Localizare         Natura poluării Amploarea        Unitatea
                                                                                                              produsă de acumularea Stânca şi trec în categoria I de calitate pentru toţi indicatorii, situaţie ce se
crt.                                                                      poluării
                                                                                                              menţine până la confluenţa cu râul Jijia.
1.         Depozit de gunoi pe mal municipiul             substanţe       medie            Primăria
           r. Jijia                Dorohoi                organice                         Dorohoi                   Râul Başeu.
2.         Depozit de gunoi pe mal comuna                 substanţe       medie            Primăria                  Calitatea apelor râului este urmărită în trei secţiuni de control: Havârna, aval Săveni şi
           r. Podriga              Darabani               organice                         Darabani           Ştefăneşti, în amonte de confluenţa cu râul Prut.
3.         Depozit de gunoi pe mal comuna                 substanţe       medie            Primăria
           r. Varniţa              Frumuşica              organice                         Frumuşica                 Pe tronsonul izvoare - acumulare Hăneşti, în lungime de 72 km., râul este “degradat”, calificativ
Sursa: RA Apele Române-Filiala Iaşi
                                                                                                              dat de indicatorii RO şi TS, ca urmare a unei poluări naturale datorate condiţiilor geomorfologice a
                                                                                                              zonelor străbătute cât şi a poluării produse de evacuarea apelor uzate din localitatea Săveni.
          Concluzii privind apele subterane.                                                                          Pe tronsonul acumulare Hăneşti - confluenţă râu Prut, în lungime de 46 km., râul este încadrat
       În ultimii ani, tendinţa de utilizare a apelor freatice este în scădere şi este pusă pe seama          în categoria a II-a de calitate, dată de valorile TS şi GM.
următorilor factori:                                                                                                 Râul Podriga.
       reducerea activităţii unor unităţi economice;                                                                  Are o lungime supravegheată calitativ de 40 km., în două secţiuni: aval Darabani şi amonte
   renunţarea la fronturile de foraje aflate în administrarea fostelor C.A.P.-uri şi trecerea parţială a      confluenţă cu râu Başeu. Pe tot parcursul râul este “degradat” datorită valorilor RO şi TS, urmare
acestora în conservare;                                                                                       influenţei staţiei de epurare a oraşului Darabani.


Elaboratori: UAUIM-CCPEC, Bucureşti, împreună cu, Universitatea Bucureşti – CICADIT, SC. Quattro Design s.r.l. – Bucureşti, SC. Urbatech s.r.l. – Iaşi, UAIC - Facultatea de Geografie, Iaşi,                           98
Actualizare Plan de Amenajarea Teritoriului Judeţean Botoşani                                                                                                            Consiliul Judeţean Botoşani
      Râul Jijia.                                                                                                                Încadrarea secţiunilor de supraveghere în categorii de calitate
                                                                                                                                                                                                    Tabel a.4.1.9.
      Categoria apei este urmărită pe teritoriul judeţului Botoşani în două secţiuni de control: amonte
Dorohoi şi Todireni.                                                                                        Nr.      Cursul              Secţiunea de                  Categoria de calitate
                                                                                                            Crt.     de apă              supraveghere                  R.O.        G.M.       T.S.      GEN.
       Secţiunea amonte Dorohoi este situată la 14 km. de izvoare debitul fiind cuprins între 0,066         0        1                   2                             3           4          5         6
mc/sec. în august şi 4,04 mc/sec. în luna aprilie.                                                          1.       Prut                Darabani                      II          I          II        II
       Secţiunea Todireni este situată la 104 km faţă de prima secţiune şi este influenţată de apele        2.       Prut                Ştefăneşti                    I           I          I         I
reziduale evacuate pe traseu.                                                                               3.       Başeu               Havârna                       D           I          D         D
        Caracterizare. Tronson izvoare Dorohoi. Râul se încadrează în categoria a III-a de calitate         4.       Podriga             aval Darabani                 D           I          D         D
impusă de RO şi TS, situaţie datorată unei impurificări naturale provocată de dezvoltarea abundentă a       5.       Podriga             amonte Başeu                  D           I          D         D
vegetaţiei acvatice care în procesele de descompunere dă naştere unor compuşi organici responsabili de      6.       Başeu               aval Săveni                   D           III        D         D
calitatea apei din aval.                                                                                    7.       Başeu               Ştefăneşti                    III         II         II        III
                                                                                                            8.       Jijia               amonte Dorohoi                III         I          III       III
        Tronsonul Dorohoi - confluenţă râu Prut. Râul este puternic degradat ca urmare a valorilor RO
                                                                                                            9.       Jijia               Dângeni                       D           I          D         D
şi TS, influenţaţi de sursele de poluare care sunt, în judeţul Botoşani staţia de epurare a municipiului
                                                                                                            10.      Jijia               Truşeşti                      D           II         III       D
Dorohoi şi S.C. ZATRUS S.A. Truşeşti.
                                                                                                            11.      Jijia               Todireni                      D           II         III       D
                                                                                                            12.      Sitna               amonte Leorda                 III         I          II        III
       Râul Sitna.                                                                                          13.      Sitna               Botoşani                      II          I          II        II
                                                                                                            14.      Sitna               Stăuceni                      D           I          III       D
        Are o lungime de 78 km şi a fost supravegheat în trei secţiuni: amonte Leorda, amonte Botoşani
                                                                                                            15.      Sitna               Todireni                      D           I          III       D
şi Todireni.
                                                                                                            16.      Miletin             Nicolae Bălcescu              III         I          III       III
      Pe tronsonul izvoare - amonte Botoşani, în lungime de 28 km., apa este de categoria a II-a,           17.      Siret               Siret                         I           I          I         I
impusă de RO şi TS.                                                                                         18.      Siret               Huţani                        I           I          I         I
       Pe tronsonul amonte Botoşani - confluenţă râul Jijia, în lungime de 50 km., râul se încadrează în    19.      Siret               Lespezi                       I           I          I         I
categoria “degradat” datorită evacuării de ape uzate insuficient epurate de către staţia de epurare a       Sursa: RA Apele Române-Filiala Iaşi
municipiului Botoşani.
                                                                                                            B. STADIUL CALITĂŢII APEI DIN LACURI.
                                                                                                                  Pentru caracterizarea calitativă a apei din acumulări, au fost studiate următoarele lacuri:
       Râul Miletin.
                                                                                                                    - Stânca-Costeşti                              - Mileanca
       Este ţinut sub observaţie în secţiunile Nicolae Bălcescu şi Şipote (judeţul Iaşi).                           - Negreni                                      - Cătămăreşti
        Tronsonul izvoare - N. Bălcescu, în lungime de 37 km., prezintă o apă de categoria a III-a de               - Cal Alb                                      - Drăcşani
calitate.                                                                                                           - Rogojeşti                                    - Bucecea
       Tronsonul N. Bălcescu - confluenţă râul Jijia a fost încadrat în categoria “degradat” datorită
                                                                                                                    Au fost studiate:
impurificării cu apele evacuate fără epurare de localitatea Flămânzi.
                                                                                                                valorile absolute ale indicatorilor de calitate, conform STAS 4706/88;
                                                                                                                valorile comparative ale indicatorilor de calitate din 1996 faţă de anul 1995, determinându-se
       Râul Siret.
                                                                                                            tendinţa de creştere, scădere sau stagnare a valorilor.
      A fost supravegheat în trei secţiuni: Siret, Huţani şi Lespezi (judeţul Iaşi), aferente judeţului
                                                                                                                    Din analiză a rezultat că situaţia globală a calităţii în anul 1996 este uşor înrăutăţită faţă de anul
Botoşani.
                                                                                                            1995, având explicaţie în evoluţia trofică şi în funcţionarea defectuoasă a staţiilor de epurare a
        La toţi indicatorii, analizele fizico-chimice indică o apă de calitatea I, excepţie făcând          localităţilor din amonte.
concentraţia ionilor de Fe, care uneori a depăşit limita categoriei I, dar aceasta s-a datorat fondului
                                                                                                                    Acumularea Stânca-Costeşti, amplasată pe râul Prut, nu are surse de impurificare pe teritoriul
natural al bazinului hidrografic.
                                                                                                            judeţului Botoşani. Volumul mare de apă reţinut în acumulare are capacitatea naturală de autoepurare şi
                                                                                                            anihilare a încărcărilor în anumiţi impurificatori, transportaţi de râul Ciugur (R. Moldova).



Elaboratori: UAUIM-CCPEC, Bucureşti, împreună cu, Universitatea Bucureşti – CICADIT, SC. Quattro Design s.r.l. – Bucureşti, SC. Urbatech s.r.l. – Iaşi, UAIC - Facultatea de Geografie, Iaşi,                          99
Actualizare Plan de Amenajarea Teritoriului Judeţean Botoşani                                                                                                                   Consiliul Judeţean Botoşani
       Calitatea apei din acumulare este de categoria I la unii indicatori, de categoria a II-a la regimul        staţia de epurare se execută lucrări de reamplasare şi modernizare la o parte din obiectele staţiei. Se
de oxigen şi degradat la fosfor, situaţie explicată prin seceta prelungită din anii 1994 şi 1995, când            preconizează ca punerea în funcţiune să se facă la sfârşitul anului 2010. S.C. APA GRUP S.A.
volumul din acumulare a scăzut.                                                                                   Botosani – sect. Stefanesti - Săveni are staţie de epurare pentru capacitatea de 7,22 l/sec. prevăzută cu
                                                                                                                  treaptă mecanică şi biologică, dar realizează randamente scăzute datorită unei exploatări
        Acumularea Negreni, pe râul Başeu, a înregistrat o evoluţie negativă în cursul anului 1996.
                                                                                                                  necorespunzătoare.
        Indicatorii chimici încadrează lacul în categoria a II - III-a de calitate şi uneori “degradat” (dată
de influenţa fosforului).                                                                                                 În localitatea Flămânzi, lucrările începute în anul 1990 la staţia de epurare (lucrare nouă) au fost
                                                                                                                  întrerupte din lipsa finanţării, staţie care se menţine şi în prezent, după trecerea administrării
        Acumularea Cal Alb, pe râul Başeu, manifestă tendinţa de îmbunătăţire a calităţii apei. Pe baza           gospodăriei comunale în sarcina Primăriei.
analizei indicatorilor chimici, apa lacului este de categoria I la majoritatea indicatorilor chimici,
exceptând substanţele organice şi fosforul, care îl încadrează “degradat”.
                                                                                                                  A.4.2. REŢELE HIDROEDILITARE
         Acumularea Mileanca, pe râul Podriga se încadrează în categoria lacurilor cu conservarea
calităţii. Indicatorii chimici sunt în limita categoriei I de calitate, excepţie făcând sulfaţii care situează    A.4.2.1. Alimentare cu apă
lacul în categoria a II-a.
       Acumularea Cătămăreşti, pe râul Sitna prezintă o regresie a calităţii. Indicatorii chimici situează                În judeţul Botoşani există în prezent 44 U.A.T.-uri cu localităţi dotate cu instalaţii centralizate şi
acumularea în categoria I, dar regimul de oxigen o încadrează în categoria a III-a, iar fosforul o                locale de alimentare cu apă, din care 2 municipii, 5 oraşe şi 66 localităţi din 37 de comune. Lungimea
degradează.                                                                                                       simplă a reţelei de distribuţie este la nivel de judeţ de 751,1 km, din care 455,6 km în localităţi urbane şi
                                                                                                                  295,5 în localităţi rurale.
       Acumularea Drăcşani, pe râul Sitna, prezintă o evoluţie negativă a calităţii apei. Valorile
anormal de ridicate ale regimului de oxigen atestă o impurificare puternică şi sistematică cu substanţe                   Debitul total de apă potabilă distribuită este în 2008 de 7.785.000 m³, din care 4.972.000 m³
nedegradate în staţiile de epurare din amonte.                                                                    pentru uz casnic.
        Acumularea Rogojeşti, pe râul Siret, îşi menţine calitatea I, ca şi în anii precedenţi. Se                          Alimentarea cu apă a localităţilor este realizată prin două sisteme: sisteme centralizate şi sisteme
înregistrează totuşi o depăşire la fierul total, cu caracter nepermanent, provenită din fondul natural al         locale.
bazinului hidrografic.                                                                                                   A. Sistemele centralizate de alimentare sunt asigurate de principalele aducţiuni şi derivaţii
        Acumularea Bucecea, pe râul Siret, se încadrează în categoria I, cu aceleaşi observaţii ca mai            (Bucecea - Dorohoi, Siret - Botoşani, Botoşani - Flămânzi, Stânca - Truşeşti, Negreni - Săveni), fiind
sus.                                                                                                              reprezentate prin:
                                                                                                                          A.1. Sistemul Bucecea - Botoşani - Dorohoi - Flămânzi, este alimentat din două surse: o sursă
                                                                                                                  subterană în lunca râului Siret (dren vizitabil) ce asigură un debit de 30 l/s, fără tratare, şi o sursă de
C. SURSE DE POUARE.                                                                                               suprafaţă (acumularea Bucecea) dimensionată la un debit de 2100 l/s, cu tratare.
        Principalele surse de poluare din judeţul Botoşani sunt: S.C. APA GRUP S.A. Botoşani, S.C.                        A.2. Sistemul Ştefăneşti - Truşeşti este alimentat din sursa de suprafaţă acumularea Stânca-
APA GRUP S.A. - sect. Dorohoi, S.C. APA GRUP S.A. – sector Darabani, S.C. APA GRUP S.A. –                         Costeşti, dimensionat la un debit de 100 l/s (cu posibilităţi de extindere până la 200 l/s).
sect. Stefanesti – Săveni.
                                                                                                                          A.3. Sistemul Negreni - Săveni este cel mai mic (aproape un sistem local), alimentat din sursa de
         La S.C. APA GRUP S.A. Botoşani, staţia de epurare funcţionează cu treptele de epurare                    suprafaţă acumularea Negreni.
mecanică (1200 l/sec.) şi biologică, prin aerare cu rotori, la capacitatea de 600 l/sec. Debitul mediu
trecut prin staţie în anul 2008 a fost de 378,65 l/sec., dar randamentul global a fost relativ scăzut, în                 A.4. Sistemul Darabani este deasemenea un sistem aproape local, alimentat din puţuri şi drenuri
special la treapta biologică, care funcţionează necorespunzător, datorită atât incapacităţii de a prelua în       în lunca Prutului cu tratare.
totalitate debitul de ape uzate cât şi deselor defecţiuni la instalaţiile de aerare. Diferenţa de 600 l/sec. se
evacuează în râul Sitna epurată numai în treapta mecanică . este de remarcat situaţia specială existentă
în zona de sud a oraşului, unde colectoarele de canalizare converg în staţia de pompare Tulbureni cu                     B. Sistemele locale sunt sisteme de alimentare cu capacităţi reduse, în principal din surse
un debit mediu zilnic de 393,60 l/sec. Staţia are rolul de a tranzita aceste debite spre staţia de epurare,       subterane, fără tratare. Sistemele locale asigură doar o alimentare cu apă parţială, între 2 şi 80 % din
dar conducta de transport nu poate prelua întregul debit, astfel că o parte (212 l/sec.) este evacuat în          populaţia localităţilor.
pârâul Tescu (afluent al râului Sitna) fără a fi epurate. Pentru rezolvarea acestei probleme, S.C. APA
GRUP S.A. a analizat două variante: mărirea capacităţii de transport a conductei spre staţia de epurare
sau construirea unei staţii de epurare în zonă. Din lipsa resurselor financiare, nu s-a realizat nici una                   Principalele aspecte caracteristice privind alimentarea cu apă a localităţilor sunt următoarele:
din variante.                                                                                                               Municipiul Botoşani
       S.C. APA GRUP S.A. – sect. Dorohoi execută lucrări de refacere a reţelelor de canalizare şi un                       Este alimentat cu apă din acumularea Bucecea (în principal) şi din subteranul luncii Siretului;
nou colector cu diametrul 1000 mm. Spre staţia de epurare, lucrare executată în procent de 100%. În
                                                                                                                            Transportul apei se realizează prin aducţiunea Siret - Botoşani.
Elaboratori: UAUIM-CCPEC, Bucureşti, împreună cu, Universitatea Bucureşti – CICADIT, SC. Quattro Design s.r.l. – Bucureşti, SC. Urbatech s.r.l. – Iaşi, UAIC - Facultatea de Geografie, Iaşi,                                  100
Actualizare Plan de Amenajarea Teritoriului Judeţean Botoşani                                                                                                                    Consiliul Judeţean Botoşani
        Debitul de apă distribuit pentru consumatori este de 5.637.000 m³/an, din care 3.355.000 m³/an                 Caracteristicile principale privind canalizarea şi epurarea apelor uzate se prezintă astfel:
pentru uz casnic;
       Lungimea reţelelor de distribuţie este de 286,2 km;
                                                                                                                        Municipiul Botoşani
       Ponderea populaţiei care se alimentează în sistem centralizat este de 100 %;
                                                                                                                        Canalizare în sistem unitar 90% şi separativ 10%;
       Municipiul Dorohoi                                                                                               Lungimea reţelelor de canalizare 146,20 km;
       Alimentat din acumularea Bucecea;
                                                                                                                        Staţie de epurare cu treaptă mecanică (1200 l/s) şi biologică (600 l/s);
       Transportul apei se realizează prin aducţiunea Bucecea - Dorohoi;
                                                                                                                        Grad de epurare: corespunzător
       Debitul de apă distribuit este de 989.000 m³/an, din care pentru uz casnic 741.00 m³/an;
       Lungimea reţelelelor de distribuţie este de 64,5 km;
                                                                                                                        Municipiul Dorohoi
       Ponderea populaţiei alimentate este de 100 %;                                                                    Canalizare în sistem unitar 76% şi separativ 24%;
       Oraşul Darabani                                                                                                  Lungimea reţelelor de canalizare 45,60 km;
       Alimentat din subteranul luncii Prutului prin puţuri şi dren semivizitabil.                                      Staţie de epurare cu treaptă mecanică (238 l/s) şi biologică (238 l/s);
       Transportul apei se realizează printr-o conductă de aducţiune în lungime de 4,5 km;                              Grad de epurare: necorespunzător
       Debitul de apă distribuit este de 65.000 m³/an, din care pentru uz casnic 39.000 m³/an;
       Lungimea reţelelor de distribuţie este 9,0 km.
                                                                                                                        Oraşul Darabani
       Ponderea populaţiei alimentată în sistem centralizat este de 75 %;
                                                                                                                        Canalizare în sistem unitar 100%;
       Oraş Săveni                                                                                                      Lungimea reţelelor de canalizare 4,1 km;
       Alimentat din acumularea Negreni;                                                                                Staţie de epurare cu treaptă mecanică (15 l/s);
       Transportul apei se face prin aducţiunea Negreni - Săveni.                                                       Grad de epurare: necorespunzător
       Debitul de apă distribuit 123.000 m³/an, din care pentru uz casnic 94.000 m³/zi;
       Lungimea reţelelor de distribuţie este de 28,6 km;
                                                                                                                        Oraş Săveni
       Ponderea populaţiei alimentate în sistem centralizat este de 80 %;                                               Canalizare în sistem unitar 90% şi separativ 10%.
       Localităţile rurale care dispun de instalaţii centralizate de alimentare cu apă sunt in număr de 66.
                                                                                                                        Lungimea reţelelor de calizare 10,20 km.
       Debitul total de apă distribuită consumatorilor din mediul rural în sistem centralizat este de                   Staţie de epurare cu treaptă mecanică 43% şi biologică 43%.
971.000 m³/an, din care pentru uz casnic 743.000 m³/zi.
                                                                                                                        Grad de epurare: necorespunzător
       Lungimea totală a reţelelor de distribuţie este de 295,5 km;
         Ponderea populaţiei care beneficiază de apă în sistem centralizat variază între 2 şi 100%, existând
localităţi cu pondere de peste 50 % chiar şi în sistemele locale de alimentare;                                        În localităţile rurale cu reţele de canalizare şi fără staţii de epurare, deversarea apelor uzate se face
                                                                                                               necontrolat. În restul localităţilor rurale localnicii şi unele obiective social-economice folosesc closete
       Localităţile rurale care nu dispun de alimentare cu apă în sistem centralizat sau local, se             uscate în curţi şi incinte.
alimentează din pânza freatică prin fântâni.


       A.2.2.2. CANALIZARE
         În judeţul Botoşani dispun de instalaţii de canalizare a apelor menajere şi pluviale un număr de 9
localităţi, din care 4 localităţi urbane şi 5 rurale.
        Lungimea totală a reţelelor de canalizare este de 228,2 km, din care 206,5 km în localităţile urbane
şi 21,7 km în localităţile rurale.

Elaboratori: UAUIM-CCPEC, Bucureşti, împreună cu, Universitatea Bucureşti – CICADIT, SC. Quattro Design s.r.l. – Bucureşti, SC. Urbatech s.r.l. – Iaşi, UAIC - Facultatea de Geografie, Iaşi,                              101
Actualizare Plan de Amenajarea Teritoriului Judeţean Botoşani                                                                                                                                        Consiliul Judeţean Botoşani
                                   Sistemul de canalizare din judeţ                                                            Drumurile naţionale
                                                                                                     Tabel a.4.2.2.            În anul 2008, reţeaua de drumuri naţionale de pe teritoriul judeţului Botoşani însuma un număr de
                          Lungimea reţelei de                                                                          9 trasee şi avea o lungime totală de 449,401 km. Prezentăm în tabelul următor lista drumurilor nationale
Localitatea               colectare a apelor reziduale     Epurare ape reziduale                  Emisar               din judeţul Botosani:
                          (km)
BOTOŞANI                  146                              Treapta a doua de tratare              SITNA                                                   Lista drumurilor naţionale din judeţul Botoşani
DOROHOI                   45,2                             Treapta a doua de tratare              JIJIA                                                                                                                                    Tabel a.4.3.1.
DARABANI                  4,9                              Treapta a doua de tratare              BAŞEU                                                                                                                           LUNGIMEA        REALĂ
                                                                                                                                                                                                    POZIŢIA KILOMETRICĂ
                                                                                                                                                                                                                                  (km)
SĂVENI                    10,2                             Treapta a doua de tratare              BAŞEU                Nr. DENUMIREA
                                                                                                                                                  TRASEUL DRUMULUI                                  ORIGINE        DESTINAŢIE
                                                                                                                       crt. DRUMULUI                                                                                              Date     din Date     din
FLĂMÂNZI                  2,5                              Fără tratare                           MILETIN                                                                                           (poziţie       (poziţie       anul 2008    anul 1998
ŞTFĂNEŞTI                 3,1                              Fără tratare                           PRUT                                                                                              kilometrică)   kilometrică)
                                                                                                                                                  Limita jud. Iaşi – Santa Mare – Ştefăneşti –
BUCECEA                   5                                Fără tratare                           SITNA                1   24 C                                                                     43+850         142+250        98,535        98,350
                                                                                                                                                  Manoleasa – Rădăuţi Prut – DN 29A
M. EMINESCU               menajer                          fosă septică                           DRESLEUCA            2   28 B                   Limita jud. Iaşi – Fumuşica – Botoşani – DN 29    39+000         76+758         39,492        37,758
                                                                                                                                                  Limita jud. Suceava – Botoşani – Săveni –
                                                                                                                       3   29                                                                       21+670         99+850         78,274        78,180
                                                                                                                                                  Manoleasa – DN 24C
                                                                                                                                                  Limita jud. Suceava – Vârfu Câmpului – Dorohoi
A.4.3. REŢELE DE TRANSPORT                                                                                             4   29 A                   – Darabani – Rădăuţi Prut – Frontieră Rep.        23+010         98+842         76,551        74,732
                                                                                                                                                  Moldova
                                                                                                                       5   29 B                   Botoşani (DN 29) – Leorda – Dorohoi (DN 29A)      0+000          33+292         33,489        33,292
         În cadrul infrastructurilor tehnice un loc important îl ocupă reţelele transport, compuse din:                                           DN 29B - Cucorăni - Bucecea - Mihăileni –
                                                                                                                       6   29 C                                                                     0+000          43+800         43,975        45,800
                                                                                                                                                  Limita jud. Suceava
         - reţea de transport rutier;
                                                                                                                                                  Botoşani (DN 29B) – Truşeşti - Ştefăneşti – (DN
                                                                                                                       7   29 D                                                                     0+000          48+146         48,718        48,150
         - reţeaua de transport feroviar;                                                                                                         24C)
                                                                                                                       8   29 E                   Stânca (DN 24C) – Frontieră Rep. Moldova          0+000          2+495          2,495         ...
         - reţeaua de transport aeriean;                                                                               9   29 F                   Vorniceni - DN 29A - Cristineşti                  0+000          27+900         27,872        ...
                                                                                                                       10 TOTAL                                                                                                   449,401       416,262
         - reţeaua de transport naval.                                                                                 Sursa: D.R.D.P. Iaşi, Secţia Drumuri Naţionale Botoşani, noiembrie 2009
         Datele necesare analizei, pentru toate tipurile de reţele de transport s-au obţinut din evidenţe
statistice, din planurile de amenajare a teritoriului naţional (secţiunea a II-a), de la societăţile şi regiile care          Sectoarele de drum naţional ce străbat municipiul Botoşani se află în întreţinerea Primăriei
gestionează activitatea în domeniu, menţionate în introducere.                                                         municipiului Botoşani.
                                                                                                                              Lungimea drumurilor naţionale pe tipuri de îmbrăcăminţi se prezintă astfel:
A.4.3.1. Reţeaua de transport rutier                                                                                   - beton asfaltic                           =      296,902 km                                   (66,07 %)
                                                                                                                       - îmbrăcăminţi asfaltice uşoare            =       84,253 km                                   (18,75 %)
         Din analiza echipării cu reţele de transport rutier a judeţului Botoşani au rezultat următoarele:             - beton de ciment                          =       33,052 km                                   (7,35 %)
         Reţeaua de transport rutier cuprinde:                                                                         - drumuri pietruite                        =       35,194 km                                   (7,83 %)
                                                                                                                                               -------------------------
•    9 trasee de drumuri naţionale (449,401 km) din care 1 este drum european (E 58)                                   TOTAL                                      =      449,401 km
•    29 trasee de drumuri judeţene (637,467 km)
•    174 trasee de drumuri comunele (1032,758 km).
                                                                                                                                        Lungimile de îmbrăcăminţi rutiere pe drumurile naţionale din România
       Lungimea totală a drumurilor publice din judeţul Botoşani este de 2119,626 km, reprezentând                                                                                                          Tabel a.4.3.2.
2,59 % din totalul drumurilor publice din România care este de 81.693 km.                                                                                 Îmbrăcăminte de           Îmbrăcăminte
                                                                                                                                     Denumirea                                                               Beton    de                    Pietruire
                                                                                                 2                     Nr. crt.                           beton     asfaltic        bituminoasă                              Pavaj (PV)
       Densitatea drumurilor publice în judeţul Botoşani este de 42,51 km/100 km , valoare peste                                     drumului                                                                ciment (BC)                    (P)
                                                                                                                                                          (IBA)                     uşoară (IBU)
media pe ţară care este de 34,27 km/100 km2.                                                                           0             1                    2                         3                        4               5              6
         Din total lungime drumuri publice situaţia se prezintă astfel:                                                1             DN 24C               46,256                    17,085                   -               -              35,194
                                                                                                                       2             DN 28B               24,526                    -                        14,966          -              -
         -   449,401 km (21,20 %) sunt drumuri naţionale
                                                                                                                       3             DN 29                76,004                    2,270                    -               -              -
         -   637,467 km (30,07 %) sunt drumuri judeţene                                                                4             DN 29A               61,734                    -                        14,817          -              -
         -   1032,758 km (48,73 %) sunt drumuri comunale.                                                              5             DN 29B               31,299                    2,190                    3,265           -              -

Elaboratori: UAUIM-CCPEC, Bucureşti, împreună cu, Universitatea Bucureşti – CICADIT, SC. Quattro Design s.r.l. – Bucureşti, SC. Urbatech s.r.l. – Iaşi, UAIC - Facultatea de Geografie, Iaşi,                                                        102
Actualizare Plan de Amenajarea Teritoriului Judeţean Botoşani                                                                                                                                                                                                                                                                                                                                       Consiliul Judeţean Botoşani




                                                                                                                                                                                                                                                                                                                                                                                                                                  DE
                                                                                                                                                                                                                                                                                                                                                                             TREI




                                                                                                                                                                                                                                                                                                                                                                                                         LOCALITĂŢILE ÎNTRE
                                                                                                                                                                                                                                                                                                                                                                                                         CARE ESTE CUPRINS
                                                                                                                                                                                                                                                                                                                                                                                      PATRU




                                                                                                                                                                                                                                                                                                                                                                                                                                                               ADMINISTRAREA
                                                                                                                                                                                                                                                                                 ALE
                                                        Îmbrăcăminte de                                              Îmbrăcăminte                                                                                                                                                                LUNGIMEA SECTORULUI                                               PE
                     Denumirea                                                                                                                         Beton    de                                                               Pietruire                                                       TIPURI DE ÎMBRACAMINTI
Nr. crt.                                                beton     asfaltic                                           bituminoasă                                                       Pavaj (PV)




                                                                                                                                                                                                                                                                                                                        BETON DE CIMENT
                     drumului                                                                                                                          ciment (BC)                                                               (P)




                                                                                                                                                                                                                                                                                                   BETON ASFALTIC
                                                                                                                                                                                                                                                                                            KM
                                                        (IBA)                                                        uşoară (IBU)




                                                                                                                                                                                                                                                                                                                                                             DRUM PIETRUIT
                                                                                                                                                                                                                                                                                                                                          ÎMBRĂCĂMINTE




                                                                                                                                                                                                                                                                                                                                                                                                                                                                               CATEGORIA DN
                                                                                                                                                                                                                                                                                                                                                                             CU




                                                                                                                                                                                                                                                                                                                                                                                                                                                          MUNICIPIILOR
                                                                                                                                                                                                                                                                                                                                                                                      CU




                                                                                                                                                                                                                                                                                                                                                                                                                                                                                                        ECHIVALENŢI
                                                                                                                                                                                                                                                                                                                                                                                                                                  VIABILITATE
                                                                                                                                                                                                                                 6




                                                                                                                                                                                                                                                                                 SECTORULUI
0                    1                                  2                                                            3                                 4                               5




                                                                                                                                                                                                                                                                                                                                                                                                                                                                                                        KILOMETRI
                                                                                                                                                                                                                                                                                                                                          ASFALTICĂ




                                                                                                                                                                                                                                                                                                                                                                                                         SECTORUL
                                                                                                                                                                                                                                                                                 POZIŢIILE




                                                                                                                                                                                                                                                                                                                                                                                                                                                JUDEŢUL
6                    DN 29C                             8,377                                                        32,329                            3,269                           -                                         -




                                                                                                                                                                                                                                                                                                                                          UŞOARĂ




                                                                                                                                                                                                                                                                                                                                                                             SECTOR



                                                                                                                                                                                                                                                                                                                                                                                      SECTOR




                                                                                                                                                                                                                                                                                                                                                                                                                                  STAREA




                                                                                                                                                                                                                                                                                                                                                                                                                                                                                              RELIEF
                                                                                                                                                                                                                                                                                                                                                                             BENZI



                                                                                                                                                                                                                                                                                                                                                                                      BENZI
7                    DN 29D                             46,211                                                       2,507                             -                               -                                         -




                                                                                                                                                                                                                                                                   DN




                                                                                                                                                                                                                                                                                                                                                                                                                                                          IN
8                    DN 29E                             2,495                                                        -                                 -                               -                                         -                                0     1                        2                  3                     4              5                   6        7        8                      9            10           11        12                   13             14       15
9                    DN 29F                             -                                                            27,872                            -                               -                                         -                                24C   94+300÷96+350            2,069                                                                                         Ripiceni               Ripiceni     B            BT                             S              D        1,773
                                                                                                                                                                                                                                                                  24C   96+350÷103+170           6,930                                                                                         Ripiceni               Manoleas     B            BT                             S              D        5,940
10                   TOTAL                              296,902                                                      84,253                            33,052                          -                                         35,194                           24C   103+170÷103+760          0,590                                                                                         Manoleasa              Manoleas     B            BT                             S              D        0,506
Sursa: DRDP Iaşi, Secţia Drumuri Naţionale Botoşani, noiembrie 2009                                                                                                                                                                                               24C   103+760÷105+800          1,859                                                                                         Manoleasa              Manoleasa    B            BT                             S              D        1,593
                                                                                                                                                                                                                                                                                                                                                                                                                      Prut
                                                                                                                                                                                                                                                                  24C   105+800÷106+650          0,883                                                                                         Manoleasa              Manoleasa    B            BT                             S              D        0,757
        Starea de viabilitate a drumurilor naţionale poate fi considerată în general ca fiind bună, acest fapt                                                                                                                                                                                                                                                                                 Prut                   Prut
                                                                                                                                                                                                                                                                  24C   106+650÷106+900                                                                  0,330                                 Manoleasa              Manoleasa    M            BT                             S              D        0,283
rezultând şi din tabelul următor.                                                                                                                                                                                                                                                                                                                                                              Prut                   Prut
                                                                                                                                                                                                                                                                  24C   106+900÷107+960                                                                  0,980                                 Manoleasa              Iorga        M            BT                             S              D        0,840
                                                                                                                                                                                                                                                                                                                                                                                               Prut
                                       Situaţia de viabilitate a drumurilor la data de 31.12.2008                                                                                                                                                                 24C   107+960÷109+000                                                                  1,040                                 Iorga                  Iorga        M            BT                             S              D        0,891
                                                                                                                                                                                                                                                                  24C   109+000÷110+410                                                                  1,410                                 Iorga                  Liveni       M            BT                             S              D        1,209
                                            detaliată pe DN la nivel secţie (SDN Botoşani)
                                                                                                                                                                                                                                                                  24C   110+410÷114+750                                                                  4,340                                 Liveni                 Liveni       M            BT                             S              D        3,720
                                                                                                                                                                                                                          Tabel a.4.3.3.                          24C   114+750÷117+950                                                                  3,200                                 Liveni                 Mitoc        M            BT                             S              D        2,743




                                                                                                                                                                         DE
                                                                                                                 TREI




                                                                                                                                             LOCALITĂŢILE ÎNTRE
                                                                                                                                             CARE ESTE CUPRINS
                                                                                                                          PATRU




                                                                                                                                                                                                          ADMINISTRAREA
               ALE




                                   LUNGIMEA SECTORULUI                                                 PE
                                                                                                                                                                                                                                                                  24C   117+950÷118+950                                                                  1,000                                 Mitoc                  Mitoc        M            BT                             S              D        0,857
                                   TIPURI DE ÎMBRACAMINTI
                                                                                                                                                                                                                                                                  24C   118+950÷134+500                                                                  15,394                                Mitoc                  MIorcani     M            BT                             S              D        13,195
                                                            BETON DE CIMENT
                                       BETON ASFALTIC
                          KM




                                                                                                 DRUM PIETRUIT




                                                                                                                                                                                                                                                                  24C   134+500÷137+910                                                                  3,410                                 Miorcani               Miorcani     M            BT                             S              D        2,923
                                                                              ÎMBRĂCĂMINTE




                                                                                                                                                                                                                           CATEGORIA DN
                                                                                                                 CU




                                                                                                                                                                                                     MUNICIPIILOR
                                                                                                                          CU




                                                                                                                                                                                                                                                    ECHIVALENŢI
                                                                                                                                                                                                                                                                  24C   137+910÷140+700                                                                  2,790                                 Miorcani               Radauti      M            BT                             S              D        2,391




                                                                                                                                                                         VIABILITATE
               SECTORULUI




                                                                                                                                                                                                                                                    KILOMETRI
                                                                              ASFALTICĂ




                                                                                                                                                                                                                                                                                                                                                                                                                      Prut




                                                                                                                                             SECTORUL
               POZIŢIILE




                                                                                                                                                                                           JUDEŢUL
                                                                                                                                                                                                                                                                  24C   140+700÷142+000                                                                  1,300                                 Radauti                Radauti      M            BT                             S              D        1,114
                                                                              UŞOARĂ




                                                                                                                 SECTOR



                                                                                                                          SECTOR




                                                                                                                                                                         STAREA




                                                                                                                                                                                                                                          RELIEF
                                                                                                                                                                                                                                                                                                                                                                                               Prut                   Prut
                                                                                                                 BENZI



                                                                                                                          BENZI




                                                                                                                                                                                                                                                                  24C   142+000÷142+250                                                   0,250                                                Radauti                Radauti      M            BT                             S              D        0,214
    DN




                                                                                                                                                                                                     IN
                                                                                                                                                                                                                                                                                                                                                                                               Prut                   Prut
0        1                         2                    3                     4              5                   6        7        8                      9               10           11            12                   13              14       15                   98,535                   46,256             0,000                 17,085         35,194              0,000    0,000                                                               0,000                                        84,726
         24   C   IAŞI         –
         BIVOLARI              –                                                                                                                                                                                                                                        28B        TIRGU
         ŞTEFĂNEŞTI            -                                                                                                                                                                                                                                        FRUMOS         –
         MANOLEASA                                                                                                                                                                                                                                                      HIRLAU-
24C      43+850÷43+900                                                        0,050                                                Bivolari               Badarai         B            BT                                 S               D        0,043                BOTOSANI
24C      43+900÷43+925                                                        0,025                                                Badarai                Badarai         B            BT                                 S               D        0,021          28B   39+000÷43+040            4,031                                                                                         Maxut                  Frumusica    B            BT                             E              D        4,031
                                                                                                                                                                                                                                                                  28B   43+040÷45+100            1,845                                                                                         Frumusica              Frumusica    B            BT                             E              D        1,845
24C      43+925÷45+037             1,118                                                                                           Badarai                Badarai         B            BT                                 S               D        0,958
                                                                                                                                                                                                                                                                  28B   45+100÷45+600            0,846                                                                                         Frumusica              Flaminzi     B            BT                             E              D        0.846
24C      45+037÷45+500             0,463                                                                                           Durneşti               Durneşti        B            BT                                 S               D        0,397          28B   45+600÷50+530            4,832                                                                                         Flaminzi               Flaminzi     B            BT                             E              D        4,832
24C      45+500÷45+557                                                        0,057                                                Durneşti               Durneşti        B            BT                                 S               D        0,049          28B   50+530÷52+050            1,467                                                                                         Flaminzi               Cotu         B            BT                             E              D        1,467
24C      45+557÷45+928             0,381                                                                                           Durneşti               Durneşti        B            BT                                 S               D        0,327          28B   52+050÷53+360            1,313                                                                                         Cotu                   Cotu         B            BT                             E              D        1,313
                                                                                                                                                                                                                                                                  28B   53+360÷53+875                               0,527                                                                      Cotu                   Cotu         B            BT                             E              D        0,527
24C      45+928÷46+269             0,341                                                                                           Santa Mare             Santa Mare      B            BT                                 S               D        0,292
                                                                                                                                                                                                                                                                  28B   53+875÷57+100                               3,250                                                                      Copalau                Copalau      B            BT                             E              D        3,250
24C      46+269÷48+000                                                        1,725                                                Santa Mare             Santa Mare      B            BT                                 S               D        1,479          28B   57+100÷57+600                               0,500                                                                      Copalau                Zaicesti     B            BT                             E              D        0,500
24C      48+000÷50+063             2,072                                                                                           Santa Mare             Santa Mare      B            BT                                 S               D        1,776          28B   57+600÷59+000            1,400                                                                                         Copalau                Zaicesti     B            BT                             E              D        1,400
24C      50+063÷57+724             7,691                                                                                           Santa Mare             Ringhilesti-    B            BT                                 S               D        6,592          28B   59+000÷67+600                               8,686                                                                      Copalau                Zaicesti     B            BT                             E              D        8,686
                                                                                                                                                          Deal                                                                                                    28B   67+600÷68+406                               0,796                                                                      Zaicesti               Zaicesti     B            BT                             E              D        0,796
24C      57+724÷58+207             0,481                                                                                           Ringhilesti-           Ringhilesti-    B            BT                                 S               D        0,412          28B   68+406÷68+620                               0,214                                                                      Zaicesti               Botoşani     B            BT                             E              D        0,214
                                                                                                                                   Deal                   Deal                                                                                                    28B   68+620÷69+613                               0,993                                                                      Zaicesti               Botoşani     B            BT                             E              D        0,993
24C      58+207÷58+580             0,371                                                                                           Ringhilesti-           Iliseni         B            BT                                 S               D        0,318          28B   69+613÷71+100            1,529                                                                                         Zaicesti               Botoşani     B            BT                             E              D        1,529
                                                                                                                                   Deal                                                                                                                           28B   71+100÷71+150            0,050                                                                                         Botoşani               Botoşani     B            BT        M                    E              D        0,050
24C      58+580÷58+600                                                        0,020                                                Ringhileşti            Iliseni         B            BT                                 S               D        0,017          28B   71+150÷72+730            1,580                                                                       1,580             Botoşani               Botoşani     B            BT        M                    E              D        2,370
24C      58+600÷59+612                                                        1,028                                                Iliseni                Iliseni         B            BT                                 S               D        0,881          28B   72+730÷74+250            1,520                                                                                         Botoşani               Botoşani     B            BT        M                    E              D        1,737
24C      59+612÷61+129                                                        1,473                                                Iliseni                Damideni        B            BT                                 S               D        1,263          28B   74+250÷75+390            1,023                                                                                         Botoşani               Botoşani     B            BT        M                    E              D        1,710
                                                                                                                                                                                                                                                                  28B   75+390÷76+758            3,090                                                                                3,090    Botoşani               Botoşani     B            BT        M                    E              D        6,180
24C      61+129÷62+261                                                        1,180                                                Damideni               Damideni        B            BT                                 S               D        1,011                39,492                   24,526             14,966                0,000          0,000               1,580    3,090                                                               7,263                                        44,276
24C      62+261÷65+800                                                        3,539                                                Damideni               Romaneşti       B            BT                                 S               D        3,033                29    SUCEAVA –
24C      65+800÷66+000                                                        0,200                                                Romaneşti              Romaneşti       B            BT                                 S               D        0,171                BOTOSANI       –
24C      66+000÷66+930             0,916                                                                                           Romaneşti              Romaneşt        B            BT                                 S               D        0,785                SAVENI          -
                                                                                                                                                                                                                                                                        MANOLEASA
24C      66+930÷67+739                                                        0,811                                                Romaneşti              Romaneşt        B            BT                                 S               D        0,695          29    21+670÷24+070            2,507                                                                                         Dumbraveni             Hutani       B            BT                             E              D        2,507
24C      67+739÷71+653                                                        3,914                                                Bobuleşti              Bobuleşti       B            BT                                 S               D        3,355          29    24+070÷25+300            0,858                                                                                         Hutani                 Hutani       B            BT                             E              D        0,858
24C      71+653÷72+079                                                        0,426                                                Bobuleşti              Badiuţi         B            BT                                 S               D        0,365          29    25+300÷26+800            1,954                                                                                         Hutani                 Vladeni      B            BT                             E              D        1,954
24C      72+079÷73+142                                                        1,142                                                Badiuţi                Badiuţi         B            BT                                 S               D        0,979          29    26+800÷27+650            0,689                                                                                         Vladeni                Vladeni      B            BT                             E              D        0,689
                                                                                                                                                                                                                                                                  29    27+650÷31+200            3,601                                                                                         Vladeni                Baisa        B            BT                             E              D        3,601
24C      73+142÷74+385                                                        1,245                                                Stefanesti             Stefanesti      B            BT                                 S               D        1,067          29    31+200÷31+680            0,475                                                                                         Baisa                  Baisa        B            BT                             E              D        0,475
24C      74+385÷75+580             1,197                                                                                           Stefanesti             Stefanesti      B            BT                                 S               D        1,197          29    31+680÷36+440            4,622                                                                                         Baisa                  Hudum        B            BT                             E              D        4,622
24C      75+580÷77+210             1,643                                                                                           Stefanesti             Stinca          B            BT                                 S               D        1,485          29    36+440÷37+400            1,239                                                                                         Hudum                  Hudum        B            BT                             E              D        1,239
24C      77+210÷77+944             0,744                                                                                           Stinca                 Stinca          B            BT                                 S               D        0,660          29    37+400÷37+900            0,369                                                                                         Hudum                  Botosani     B            BT                             E              D        0,369
                                                                                                                                                                                                                                                                  29    37+900÷39+400            1,484                                                                                1,484    Botosani               Botosani     B            BT                             E              D        3,437
24C      77+944÷94+300             16,507                                                                                          Stinca                 Ripiceni        B            BT                                 S               D        14,149
                                                                                                                                                                                                                                                                  29    39+400÷39+780                                                     0,380                                       0,380    Botosani               Botosani     B            BT                             E              D        1,484


Elaboratori: UAUIM-CCPEC, Bucureşti, împreună cu, Universitatea Bucureşti – CICADIT, SC. Quattro Design s.r.l. – Bucureşti, SC. Urbatech s.r.l. – Iaşi, UAIC - Facultatea de Geografie, Iaşi,                                                                                                                                                                                                                                                                                                           103
Actualizare Plan de Amenajarea Teritoriului Judeţean Botoşani                                                                                                                                                                                                                                                                                                                                Consiliul Judeţean Botoşani




                                                                                                                                                                    DE




                                                                                                                                                                                                                                                                                                                                                                                                                             DE
                                                                                                           TREI




                                                                                                                                         LOCALITĂŢILE ÎNTRE
                                                                                                                                         CARE ESTE CUPRINS




                                                                                                                                                                                                                                                                                                                                                                     TREI




                                                                                                                                                                                                                                                                                                                                                                                                   LOCALITĂŢILE ÎNTRE
                                                                                                                                                                                                                                                                                                                                                                                                   CARE ESTE CUPRINS
                                                                                                                     PATRU




                                                                                                                                                                                                 ADMINISTRAREA




                                                                                                                                                                                                                                                                                                                                                                              PATRU




                                                                                                                                                                                                                                                                                                                                                                                                                                                          ADMINISTRAREA
             ALE




                                                                                                                                                                                                                                                                       ALE
                             LUNGIMEA SECTORULUI                                                 PE                                                                                                                                                                                    LUNGIMEA SECTORULUI                                                 PE
                             TIPURI DE ÎMBRACAMINTI                                                                                                                                                                                                                                    TIPURI DE ÎMBRACAMINTI




                                                      BETON DE CIMENT




                                                                                                                                                                                                                                                                                                                BETON DE CIMENT
                                 BETON ASFALTIC




                                                                                                                                                                                                                                                                                           BETON ASFALTIC
                        KM




                                                                                                                                                                                                                                                                                  KM
                                                                                           DRUM PIETRUIT




                                                                                                                                                                                                                                                                                                                                                     DRUM PIETRUIT
                                                                        ÎMBRĂCĂMINTE




                                                                                                                                                                                                                                                                                                                                  ÎMBRĂCĂMINTE
                                                                                                                                                                                                                 CATEGORIA DN




                                                                                                                                                                                                                                                                                                                                                                                                                                                                          CATEGORIA DN
                                                                                                           CU




                                                                                                                                                                                                                                                                                                                                                                     CU
                                                                                                                                                                                            MUNICIPIILOR




                                                                                                                                                                                                                                                                                                                                                                                                                                                     MUNICIPIILOR
                                                                                                                     CU




                                                                                                                                                                                                                                                                                                                                                                              CU
                                                                                                                                                                                                                                          ECHIVALENŢI




                                                                                                                                                                                                                                                                                                                                                                                                                                                                                                   ECHIVALENŢI
                                                                                                                                                                    VIABILITATE




                                                                                                                                                                                                                                                                                                                                                                                                                             VIABILITATE
             SECTORULUI




                                                                                                                                                                                                                                                                       SECTORULUI
                                                                                                                                                                                                                                          KILOMETRI




                                                                                                                                                                                                                                                                                                                                                                                                                                                                                                   KILOMETRI
                                                                        ASFALTICĂ




                                                                                                                                                                                                                                                                                                                                  ASFALTICĂ
                                                                                                                                         SECTORUL




                                                                                                                                                                                                                                                                                                                                                                                                   SECTORUL
             POZIŢIILE




                                                                                                                                                                                                                                                                       POZIŢIILE
                                                                                                                                                                                  JUDEŢUL




                                                                                                                                                                                                                                                                                                                                                                                                                                           JUDEŢUL
                                                                        UŞOARĂ




                                                                                                                                                                                                                                                                                                                                  UŞOARĂ
                                                                                                           SECTOR




                                                                                                                                                                                                                                                                                                                                                                     SECTOR
                                                                                                                     SECTOR




                                                                                                                                                                                                                                                                                                                                                                              SECTOR
                                                                                                                                                                    STAREA




                                                                                                                                                                                                                                                                                                                                                                                                                             STAREA
                                                                                                                                                                                                                                RELIEF




                                                                                                                                                                                                                                                                                                                                                                                                                                                                                         RELIEF
                                                                                                           BENZI



                                                                                                                     BENZI




                                                                                                                                                                                                                                                                                                                                                                     BENZI



                                                                                                                                                                                                                                                                                                                                                                              BENZI
 DN




                                                                                                                                                                                                                                                            DN
                                                                                                                                                                                            IN




                                                                                                                                                                                                                                                                                                                                                                                                                                                     IN
0      1                     2                    3                     4              5                   6        7         8                       9              10           11        12                   13             14       15             0        1                     2                    3                     4              5                   6        7        8                        9             10           11        12                   13             14       15
29     39+780÷40+300                                                    0,320                                       0,320     Botosani                Botosani       B            BT                             E              D        0,640                                                                                                                                         Deal                     Deal
29     40+300÷41+900         1,400                                                                                  1,400     Botosani                Botosani       B            BT                             E              D        2,800                                                                                                                                         Catamaresti
                                                                                                                                                                                                                                                        29B      5+850÷11+600          5,620                                                                                                                    Cervicesti    B            BT                             P              D        5,620
29     41+900÷42+000                                                    0,100                                       0,100     Botosani                Botosani       B            BT                             E              D        0,200                                                                                                                                         Deal
29     42+000÷43+500                                                    1,470                                                 Botosani                Botosani       B            BT                             E              D        2,345          29B      11+600÷12+210         1,667                                                                                           Cervicesti               Cervicesti    B            BT                             P              D        1,667
29     43+500÷44+100         0,630                                                                                            Botosani                Botosani       B            BT                             E              D        1,260          29B      12+210÷15+200         2,996                                                                                           Cervicesti               Leorda        B            BT                             P              D        2,996
29     44+100÷44+400         0,300                                                                                            Botosani                Rachiti        B            BT                             E              D        0,352          29B      15+200÷16+060         0,857                                                                                           Leorda                   Leorda        B            BT                             P              D        0,857
29     44+400÷44+950         0,550                                                                                            Rachiti                 Rachiti        B            BT                             E              D        0,566          29B      16+060÷20+695         3,604                                                                                           Leorda                   Braiesti      B            BT                             P              D        3,604
29     44+950÷62+060         17,164                                                                                           Rachiti                 Ungureni       B            BT                             S              D        14,808         29B      20+695÷22+520         1,823                                                                                           Braiesti                 Braiesti      B            BT                             P              D        1,823
29     62+060÷65+940         3,943                                                                                            Ungureni                Ungureni       B            BT                             S              D        3,380          29B      22+520÷24+685         2,210                                                                                           Braiesti                 Vaculesti     B            BT                             P              D        2,210
29     65+940÷74+778         8,900                                                                                            Ungureni                Saveni         B            BT                             S              D        7,629          29B      24+685÷25+571         0,978                                                                                           Vaculesti                Vaculesti     B            BT                             P              D        0,978
29     74+778÷77+030         2,314                                                                                            Saveni                  Saveni         B            BT                             S              D        1,983          29B      25+571÷26+996         1,425                                                                                           Vaculesti                Saucenita     B            BT                             P              D        1,425
                                                                                                                                                      Aurel                                                                                             29B      26+996÷27+910         0,904                                                                                           Saucenita                Saucenita     B            BT                             P              D        0,904
29     77+030÷83+505         6,534                                                                                            Saveni                                 B            BT                             S              D        5,601
                                                                                                                                                      Vlaicu                                                                                            29B      27+910÷29+670         1,770                                                                                           Saucenita                Dealu Mare    B            BT                             P              D        1,770
                                                                                                                              Aurel                   Aurel                                                                                             29B      29+670÷30+605         0,935                                                                                           Dealu Mare               Dealu Mare    B            BT                             P              D        0,935
29     83+505÷84+605         1,162                                                                                                                                   B            BT                             S              D        0,996
                                                                                                                              Vlaicu                  Vlaicu                                                                                            29B      30+605÷31+500         0,830                                                                                           Dealu Mare               Dorohoi       B            BT                             P              D        0,830
                                                                                                                              Aurel                                                                                                                     29B      31+500÷32+300         0,800                                                                                           Dorohoi                  Dorohoi       B            BT                             P              D        0,800
29     84+605÷87+384         2,804                                                                                                                    Avrameni       B            BT                             S              D        2,402
                                                                                                                              Vlaicu                                                                                                                    29B      32+300÷33+292         1,137                                                                                  1,137    Dorohoi                  Dorohoi       B            BT                             P              D        2,274
29     87+384÷89+527         2,243                                                                                            Avrameni                Avrameni       B            BT                             S              D        1,923                   33,489                31,299               0,000                 2,190          0,000               0,000    4,234                                                                  5,037                                        37,726
29     89+527÷94+800         5,330                                                                                            Avrameni                Flondora       B            BT                             S              D        4,569                   29C CUCORANI –
29     94+800÷96+900         2,162                                                                                            Flondora                Flondora       B            BT                             S              D        1,853                   VIRFU
29     96+900÷99+850         2,770                                                                                            Manoleasa               Manoleas       B            BT                             S              D        2,374                   CIMPULUI-
       78,274                76,004               0,000                 2,270          0,000               0,000    3,684                                                                   5,784                                        76,916                  MIHAILENI
       29A SUCEAVA –                                                                                                                                                                                                                                    29C      0+000÷1+030           1,030                                                                                           Inters 29B               Cucorani      B            BT                             S              D        0,883
       DOROHOI       –                                                                                                                                                                                                                                  29C      1+030÷1+240           0,210                                                                                           Cucorani                 Cucorani      B            BT                             S              D        0,180
       RADAUTI- PRUT                                                                                                                                                                                                                                    29C      1+240÷2+600                                1,364                                                                      Cucorani                 Cucorani      B            BT                             S              D        1,169
29A    23+010÷23+550                              0,540                                                                       Zvoristea               Vf Camp.       B            BT                             S              D        0,463          29C      2+600÷4+505                                1,905                                                                      Cucorani                 Calinesti     B            BT                             S              D        1,633
29A    23+550÷26+300                              2,750                                                                       Vf Camp.                Vf Camp.       B            BT                             S              D        2,357          29C      4+505÷5+550                                                      1,030                                                Cucorani                 Calinesti     B            BT                             S              D        0,882
29A    26+330÷33+250                              6,905                                                                       Vf. Camp.               Holaceni       B            BT                             S              D        5,918          29C      5+550÷6+770                                                      1,220                                                Calinesti                Calinesti     B            BT                             S              D        1,046
29A    33+250÷34+350                              1,100                                                                       Horlaceni               Horlaceni      B            BT                             S              D        0,942          29C      6+770÷7+320                                                      0,556                                                Calinesti                Bucecea       B            BT                             S              D        0,478
29A    34+350÷37+500                              3,000                                                                       Horlaceni               Dorohoi        B            BT                             S              D        2,571          29C      7+320÷8+000                                                      0,686                                                Bucecea                  Bucecea       B            BT                             S              D        0,589
29A    37+500÷37+770                              0,220                                                                       Horlaceni               Dorohoi        B            BT                             S              D        0,189          29C      8+000÷10+600          2,613                                                                                           Bucecea                  Bucecea       B            BT                             S              D        2,240
29A    37+770÷37+872                              0,302                                                                       Dorohoi                 Dorohoi        B            BT        M                    S              D        0,259          29C      10+600÷11+000         0,413                                                                                           Bucecea                  Ionaseni      B            BT                             S              D        0,354
29A    37+872÷38+655         0,627                                                                                            Dorohoi                 Dorohoi        B            BT        M                    S              D        0,537          29C      11+000÷13+800                                                    2,620                                                Bucecea                  Ionaseni      B            BT                             S              D        2,245
29A    38+655÷39+500         0,872                                                                                  0,872     Dorohoi                 Dorohoi        B            BT        M                    S              D        1;744          29C      13+800÷15+200                                                    1,580                                                Ionaseni                 Ionaseni      B            BT                             S              D        1,354
29A    39+500÷42+250         2,542                                                                                            Dorohoi                 Dorohoi        B            BT        M                    S              D        2,179          29C      15+200÷16+000         0,814                                                                                           Ionaseni                 Ionaseni      B            BT                             S              D        0,698
29A    42+250÷43+457         1,565                                                                                            Dorohoi                 Dumbravita     B            BT                             S              D        1,340          29C      16+000÷16+500                                                    0,500                                                Ionaseni                 Ionaseni      B            BT                             S              D        0,429
29A    43+457÷47+450         4,156                                                                                            Dorohoi                 Dumbravita     B            BT                             S              D        3,562                                                                                                                                                                  Virfu
                                                                                                                                                                                                                                                        29C      16+500÷18+020                                                    1,670                                                Ionaseni                               B            BT                             S              D        1,431
29A    47+450÷48+670         1,229                                                                                            Dumbravit               Dumbravita     B            BT                             S              D        1,053                                                                                                                                                                  Cimpului
29A    48+670÷51+540         2,902                                                                                            Dumbravit               Dragalina      B            BT                             S              D        2,487                                                                                                                                         Virfu                    Virfu
                                                                                                                                                                                                                                                        29C      18+020÷21+000                                                    2,991                                                                                       B            BT                             S              D        2,564
29A    51+540÷54+410         1,775                                                                                            Dragalina               Dragalina      B            BT                             S              D        1,521                                                                                                                                         Cimpului                 Cimpului
29A    53+410÷55+205         1,803                                                                                            Dragalina               Smardan        B            BT                             S              D        1,545                                                                                                                                         Virfu                    Virfu
                                                                                                                                                                                                                                                        29C      21+000÷21+550         0,550                                                                                                                                  B            BT                             S              D        0,471
29A    55+205÷57+010         1,805                                                                                            Smardan                 Smardan        B            BT                             S              D        1,547                                                                                                                                         Cimpului                 Cimpului
29A    57+010÷58+105         1,089                                                                                            Smardan                 Lisna          B            BT                             S              D        0,933                                                                                                                                         Virfu                    Virfu
                                                                                                                                                                                                                                                        29C      21+550÷23+960                                                    2,398                                                                                       B            BT                             S              D        2,056
29A    58+105÷59+710         1,634                                                                                            Lisna                   Lisna          B            BT                             S              D        1,401                                                                                                                                         Cimpului                 Cimpului
29A    59+710÷60+900         1,168                                                                                            Lisna                   Mlenauti       B            BT                             S              D        1,001                                                                                                                                         Virfu
                                                                                                                                                                                                                                                        29C      23+960÷24+500                                                    0,430                                                                         Lunca         B            BT                             S              D        0,368
29A    60+900÷61+436         0,56                                                                                             Mlenauti                Mlenauti       B            BT                             S              D        0,480                                                                                                                                         Cimpului
29A    61+436÷62+630         1,184                                                                                            Mlenauti                Hudesti        B            BT                             S              D        1,014          29C      24+500÷28+300                                                    4,010                                                Lunca                    Lunca         B            BT                             S              D        3,437
29A    62+630÷66+250         3,667                                                                                            Hudesti                 Hudesti        B            BT                             S              D        3,143          29C      28+300÷29+050                                                    0,650                                                Lunca                    Talpa         B            BT                             S              D        0,557
29A    66+250÷72+100         5,842                                                                                            Hudesti                 Darabani       B            BT                             S              D        5,007          29C      29+050÷30+500                                                    1,446                                                Talpa                    Talpa         B            BT                             S              S        1,239
29A    72+100÷76+900         5,000                                                                                            Darabani                Darabani       B            BT                             S              D        6,860          29C      30+550÷32+450                                                    1,919                                                Talpa                    Cindesti      B            BT                             S              S        1,645
29A    76+900÷82+100         5,276                                                                                            Darabani                Paltinis       B            BT                             S              D        4,522          29C      32+450÷35+980                                                    3,530                                                Cindesti                 Cindesti      B            BT                             S              S        3,026
29A    82+100÷84+980         2,754                                                                                            Paltinis                Paltinis       B            BT                             S              D        2,360          29C      35+980÷38+450                                                    2,472                                                Cindesti                 Mihaileni     B            BT                             S              S        2,119
29A    84+980÷86+850         1,921                                                                                            Paltinis                Horodiste      B            BT                             S              D        1,647          29C      38+450÷41+000                                                    2,571                                                Mihaileni                Mihaileni     B            BT                             S              S        2,204
29A    86+850÷91+171         4,308                                                                                            Horodistea              Horodiste      B            BT                             S              D        3,693          29C      41+000÷41+400         0,400                                                                                           Mihaileni                Mihaileni     B            BT                             S              S        0,343
29A    91+171÷94+800         3,716                                                                                            Horodistea              Rediu          B            BT                             S              D        3,185          29C      41+400÷43+000         1,621                                                                                           Mihaileni                Siret         B            BT                             S              S        1,389
29A    94+800÷96+200         1,459                                                                                            Rediu                   Rediu          B            BT                             S              D        1,251          29C      43+000÷43+050                                                    0,050                                                Mihaileni                Siret         B            BT                             S              S        0,044
                                                                                                                                                      Radauti                                                                                           29C      43+050÷43+800         0,726                                                                                           Mihaileni                Siret         B            BT                             S              S        0,622
29A    96+200÷96+950         0,727                                                                                            Rediu                                  B            BT                             S              D        0,623          29C      43+800÷44+230         0,430                                                                                           Mihaileni                Siret         B            SV                             S              S        0,368
                                                                                                                                                      Prut
                                                                                                                              Radauti                 Radauti                                                                                           29C      44+230÷45+800                                                    1,560                                                Mihaileni                Siret         B            SV                             S              S        1,337
29A    96+950÷97+942         0,847                                                                                                                                   B            BT                             S              D        0,726                   45,965                8,807                3,269                 33,889         0,000               0,000    0,000                                                                  0,000                                        39,4
                                                                                                                              Prut                    Prut
                                                                                                                              Radauti                 Pod                                                                                                        29D BOTOSANI –
29A    97+942÷98+842         1,306                                                                                                                                   B            BT                             S              D        1,119                   TRUSESTI      -
                                                                                                                              Prut                    Lipcani
       76,551                61,734               14,817                0,000          0,000               0,000    0,872                                                                   4,343                                        69,179                  STEFANESTI
       29B BOTOSANI -                                                                                                                                                                                                                                   29D      0+000÷2+000                                                      2,507                                                Botosani                 Botosani      B            BT        M                    S              D        2,507
       DOROHOI                                                                                                                                                                                                                                          29D      2+000÷2+800           0,800                                                                                           Botosani                 Botosani      B            BT        M                    S              D        0,686
29B    0+000÷2+190                                                      2,190                                       2,190     Botosani                Botosani       B            BT        M                    P              D        4,380          29D      2+800÷6+640           3,856                                                                                           Botosani                 Stauceni      B            BT                             S              D        3,305
29B    2+190÷3+000           0,910                                                                                  0,910     Botosani                Botosani       B            BT        M                    P              D        1,820          29D      6+640÷8+650           1,969                                                                                           Stauceni                 Stauceni      B            BT                             S              D        1,688
29B    3+000÷5+850           2,833                                                                                            Catamarasti             Catamaresti    B            BT                             P              D        2,833          29D      8+650÷10+950          2,365                                                                                           Stauceni                 Victoria      B            BT                             S              D        2,027


Elaboratori: UAUIM-CCPEC, Bucureşti, împreună cu, Universitatea Bucureşti – CICADIT, SC. Quattro Design s.r.l. – Bucureşti, SC. Urbatech s.r.l. – Iaşi, UAIC - Facultatea de Geografie, Iaşi,                                                                                                                                                                                                                                                                                                      104
Actualizare Plan de Amenajarea Teritoriului Judeţean Botoşani                                                                                                                                                                                                                                                                                        Consiliul Judeţean Botoşani




                                                                                                                                                                                    DE
                                                                                                                      TREI




                                                                                                                                                         LOCALITĂŢILE ÎNTRE
                                                                                                                                                         CARE ESTE CUPRINS
                                                                                                                                PATRU




                                                                                                                                                                                                                 ADMINISTRAREA
             ALE
                                    LUNGIMEA SECTORULUI                                                  PE                                                                                                                                                                                                     Localitatea     Supra         Intra                                   Anul      An        Clasa
                                    TIPURI DE ÎMBRACAMINTI                                                                                                                                                                                                              Nr.    DN    Pozitie                                                          Lung.     Tip        Nr. tot.
                                                                                                                                                                                                                                                                                                 Obstacol       cea mai         struc         struc                                   de        consoli   de
                                                                                                                                                                                                                                                                        crt.   id    (km)                                                             totala    fundatii   deschid.




                                                            BETON DE CIMENT
                                       BETON ASFALTIC
                                                                                                                                                                                                                                                                                                                apropiata       tura          tura                                    constr.   dare      încar.
                        KM




                                                                                                   DRUM PIETRUIT
                                                                                ÎMBRĂCĂMINTE




                                                                                                                                                                                                                                 CATEGORIA DN
                                                                                                                      CU




                                                                                                                                                                                                            MUNICIPIILOR
                                                                                                                                                                                                                                                                        12     28B 42+976        Scurgere       Frumusica       BP            B       27,000    I          1          1973      -         E




                                                                                                                                CU




                                                                                                                                                                                                                                                          ECHIVALENŢI
                                                                                                                                                                                    VIABILITATE
             SECTORULUI




                                                                                                                                                                                                                                                          KILOMETRI
                                                                                                                                                                                                                                                                        13     28B 45+285        Scurgere       Frumisica       BP            B       18,400    I          1          1973      -         E




                                                                                ASFALTICĂ




                                                                                                                                                         SECTORUL
             POZIŢIILE




                                                                                                                                                                                                  JUDEŢUL
                                                                                                                                                                                                                                                                        14     28B 47+193        P.Varnita      Flaminzi        BP            B       39,800    I          3          1968      -         E




                                                                                UŞOARĂ




                                                                                                                      SECTOR



                                                                                                                                SECTOR




                                                                                                                                                                                    STAREA




                                                                                                                                                                                                                                                RELIEF
                                                                                                                      BENZI



                                                                                                                                BENZI
                                                                                                                                                                                                                                                                        15     28B 57+603        P.Miletin      Buda            BP            B       35,200    I          1          1968      -         E
 DN




                                                                                                                                                                                                                                                                        16     28B 71+475        P.Dresleu      Botosani        BP            B       9,100     D          1          1972      -         E




                                                                                                                                                                                                            IN
0      1                            2                   3                       4              5                     6         7           8                          9              10           11        12                   13             14       15             17     29   21+810       R. Siret       Hutani          BA            B       120,330   C          3          1964      2000      E
29D    10+950÷12+100                1,156                                                                                                  Victoria                   Victoria       B            BT                             S              D        0,991          18     29   23+161       Scurgere       Hutani          BA            B       22,570    D          1          1966      -         I
29D    12+100÷16+200                4,114                                                                                                  Victoria                   Siliscani      B            BT                             S              D        3,256
29D    16+200÷16+900                0,700                                                                                                  Siliscani                  Siliscani      B            BT                             S              D        0,600
                                                                                                                                                                                                                                                                        19     29   23+457       Scurgere       Hutani          BA            B       35,800    D          2          1964      2002      E
29D    16+900÷26+900                9,991                                                                                                  Siliscani                  Drislea        B            BT                             S              D        8,564          20     29   23+620       Scurgere       Hutani          BA            B       22,660    D          1          1964      -         I
29D    26+900÷29+180                2,107                                                                                                  Drislea                    Drislea        B            BT                             S              D        1,806          21     29   23+720       Scurgere       Hutani          BA            B       22,100    D          1          1964      -         I
29D    29+180÷30+720                1,730                                                                                                  Drislea                    Trusesti       B            BT                             S              D        1,483          22     29   23+875       Scurgere       Hutani          BA            B       19,480    D          1          1964      -         I
29D    30+720÷32+528                1,766                                                                                                  Trusesti                   Trusesti       B            BT                             S              D        1,754
29D    32+528÷36+380                3,756                                                                                                  Trusesti                   Guranda        B            BT                             S              D        3,756
                                                                                                                                                                                                                                                                        23     29   23+948       Girla Morii    Hutani          BA            B       46,580    D          3          1964      2002      E
29D    36+380÷38+180                1,925                                                                                                  Guranda                    Guranda        B            BT                             S              D        1,925          24     29   27+780       P.Vladeni      Vladeni         BA            B       21,200    D          1          1964      -         I
29D    38+180÷40+459                2,287                                                                                                  Guranda                    Cucuteni       B            BT                             S              D        2,287          25     29   36+309       P.Rau          Baisa           BA            B       20,800    D          1          1964      -         I
29D    40+459÷44+135                3,657                                                                                                  Cucuteni                   Cucuteni       B            BT                             S              D        3,657          26     29   37+770       P.Deleanca     Botosani        BA            B       18,650    D          1          1965      -         I
29D    44+135÷47+131                3,007                                                                                                  Cucuteni                   Stefanesti     B            BT                             S              D        3,007
29D    47+131÷48+146                1,025                                                                                                  Stefanesti                 Stefanesti     B            BT                             S              D        1,025          27     29   44+132       P. Situa       Botosani        BP            B       27,300    D          1          1968      -         E
       48,718                       46,211              0,000                   2,507          0,000                 0,000     0,000                                                                        3,307                                        44,594         28     29   48+555       P.Minzoaia     Rachiti         BP            B       27,200    D          1          1968      -         E
       29E STINCA               –                                                                                                                                                                                                                                       29     29   53+944       P.Maistrului Manastiren        BP            B       22,100    D          1          1968      -         E
       FRONTIERA
       MOLDOVA
                                                                                                                                                                                                                                                                        30     29   64+820       R.Jijia        Ungheni         BP            BA      39,200    C          2          1968      -         E
29E    0+000÷1+800                  1,800                                                                                                  Stinca                     Stinca         R            BT                             S              D        1,800          31     29   74+788       Cale ferata    Saveni          BP            BA      55,000    D          2          1995      -         E
29E    1+800÷2+495                  0,695                                                                                                  Stinca
                                                                                                                                                                      Frontiera
                                                                                                                                                                                     R            BT                             S              D        0,695          32     29   75+450       P. Baseu       Saveni          BP            BA      52,360    I          2          1974      -         E
                                                                                                                                                                      Moldova
                                                                                                                                                                                                                                                                        33     29   84+800       Scurgere       A.Vlaicu        BP            B       30,100    C          1          1974      -         E
       2,495                        2,495               0,000                   0,000          0,000                 0,000     0,000                                                                        0,000                                        2,495
       29F VORNICENI -                                                                                                                                                                                                                                                  34     29   95+065       Scurgere       Fleodora        BP            B       11,200    D          1          1973      -         E
       CRISTESTI                                                                                                                                                                                                                                                        35     29   95+300       P.Volovat      Fleodora        BP            B       35,600    C          1          1974      -         E
29F    0+00÷3+646                                                               3,696                                                      Vorniceni                  Vorniceni      R            BT                             S              D        3,168          36     29A 36+065        P. Intors      Dorohoi         BA            B       46,400    D          2          1963      2008      I
29F    3+646÷5+150                                                              1,511                                                      Vorniceni                  Cordareni      R            BT                             S              D        1,295
29F    5+150÷9+702                                                              4,541                                                      Cordareni                  Cordareni      R            BT                             S              D        3,893
                                                                                                                                                                                                                                                                        37     29A 40+155        R. Jijia       Dorohoi         BP            B       37,200    I          1          1976      -         E
29F    9+702÷10+696                                                             1,000                                                      Cordareni                  Dumeni         M            BT                             S              D        0,857          38     29A 43+765        Scurgere       Dorohoi         BP            B       13,000    D          1          1976      -         E
29F    10+696÷15+274                                                            4,596                                                      Dumeni                     Dumeni         M            BT                             S              D        3,939          39     29A 47+440        Scurgere       Dumbravita      BA            B       14,000    D          1          1968      -         E
29F    015+274÷17+064                                                           1,786                                                      Dumeni                     G. Enescu      M            BT                             S              D        1,531          40     29A 51+295        P.Chilauca     Dragalina       BP            B       11,800    D          1          1969      -         E
29F    17+064÷19+189                                                            2,124                                                      G. Enescu                  G. Enescu      M            BT                             S              D        1,821
29F    19+189÷20+182                                                            0,996                                                      G. Enescu                  Dragalina      M            BT                             S              D        0,854          41     29A 63+320        P. Baseu       Hudesti         BP            B       30,400    D          1          1969      -         E
29F    20+182÷22+238                                                            2,068                                                      Dragalina                  Dragalina      M            BT                             S              D        1,773          42     29A 96+100        P. Isnovat     Rediu           BP            B       13,000    D          1          1970      -         E
29F    22+238÷26+140                                                            3,902                                                      Dragalina                  Cristinesti    M            BT                             S              D        3,345          43     29B 14+265        P. Dreslean    Leorda          BA            B       22,900    D          1          1965      -         I
29F    26+140÷27+900                                                            1,652                                                      Cristinesti                Cristinesti    M            BT                             S              D        1,416
                                                                                                                                                                                                                                                                        44     29B 33+277        P. Jijioara    Dorohoi         BP            B       14,300    D          1          1991      -         I
       27,872                       0,000               0,000                   27,872         0,000                 0,000     0,000                                                                        0,000                                        23,892
       TOTAL SDN                                                                                                                                                                                                                                                        45     29C 4+354         Scurgere       Calinesti       BA            B       6,950     D          1          1901      -         I
       451,391                      297,332             33,052                  85,813         35,194                1,580     11,883                                                                       25,734                                       423,204        46     29C 8+380         Cale ferata    Bucecea         BA            B       30,000    D          3          1960      -         I
Sursa: DRDP Iaşi, Secţia Drumuri Naţionale Botoşani, noiembrie 2009                                                                                                                                                                                                     47     29C 18+060        Scurgere       Vf.Cimpului BP                B       12,350    D          1          1980      -         E
                                                                                                                                                                                                                                                                        48     29C 18+758        Scurgere       Vf.Cimpului BP                B       12,200    D          1          1981      -         E
                                                                                                                                                                                                                                                                        49     29C 21+178        Girla Morii    Vf.Cimpului BP                B       12,600    D          1          1980      -         E
        În judeţul Botoşani pe reţeaua de drumuri naţionale se află un număr de 61 lucrări de artă (poduri şi                                                                                                                                                           50     29C 23+330        P.Morii        Vf.Cimpului BA                B       12,000    D          1          1967      -         E
pasaje) însumând o lungime totală de 1.679,65 metri, starea tehnică a acestora fiind în general bună.                                                                                                                                                                   51     29C 40+470        P.Molnita      MIhaileni       BA            B       16,800    D          1          1967      -         E
Prezentăm în tabelul următor situaţia acestor 61 lucrări de artă:                                                                                                                                                                                                       52     29C 44+532        Canal          Siret           MET+BA        B       12,700    D          1          1901      -          I
                                                                                                                                                                                                                                                                        53     29D 7+300         R. Sitna       Stauceni        BP            B       27,100    I          1          1960      2003      E
                                                                                                                                                                                                                                                                        54     29D 7+466         P.Teioasa      Stauceni        BA            B       20,000    D          1          1960      -         I
                             Lista lucrărilor de artă situate pe drumurile naţionale din judeţul Botoşani                                                                                                                                                               55     29D 14+920        P.Burla        Siliscani       BA            B       11,900    D          1          1961      -         I
                                                                                                        Tabel a.4.3.4.                                                                                                                                                  56     29D 16+600        P. Satului     Siliscani       BA            B       9,000     D          1          1961      -         I
                                                                              Localitatea                          Supra           Intra                                                                    Anul                           An             Clasa         57     29D 17+520        P.Siliscani    Siliscani       BA            B       8,000     D          1          1961      -         I
Nr.    DN      Pozitie                                                                                                                       Lung.                     Tip          Nr. tot.
                                    Obstacol                                  cea mai                              struc           struc                                                                    de                             consoli        de            58     29D 19+100        Scurgere       Siliscani       BA            B       6,700     D          1          1961      -         I
crt.   id      (km)                                                                                                                          totala                    fundatii     deschid.
                                                                              apropiata                            tura            tura                                                                     constr.                        dare           încar.        59     29D 28+105        P.Drislea      Drislea         BA            B       27,500    D          3          1960      -         I
1      24C     45+750               P.Rosu                                    Santa Mare                           BP              BA        77,600                    I,C          3                       1975                           1985           E             60     29D 30+971        Scurgere       Trusesti        BA            B       10,000    D          1          1960      -         I
2      24C     58+380               P. Caragea                                Ringhilesti                          BP              B         11,700                    D            1                       1975                             -            E             61     29D 31+516        R.Jijia        Trusesti        BA            B       58,600    I          3          1969      -         E
3      24C     61+390               Scurgerea                                 Damideni                             BP              B         7,120                     D            1                       1976                           -              E             Sursa: DRDP Iaşi, Secţia Drumuri Naţionale Botoşani, noiembrie 2009
4      24C     76+045               R.Baseu                                   Stefanesti                           BP              BA        60,600                    I            3                       1975                           -              E
5      24C     90+520               Canal                                     Ripiceni                             BP              B         12,400                    D            1                       1975                           -              E
6      24C     98+765               P.Manolea                                 Ripiceni                             BP              B         16,800                    D            1                       1973                           -              E                      Dintre cele 61 de poduri existente, un număr de 10 poduri necesită lucrări cu prioritate:
7      24C     100+300              P.Volovat                                 Ripiceni                             BP              B         106,600                   I,D          4                       1975                           -              E
8      24C     103+450              P.Volovat                                 Manoleasa                            BP              B         35,000                    I            1                       1975                           -              E                                                     Poduri ce necesită lucrări cu prioritate
9      24C     114+835              Scurgere                                  Livezi                               BP              B         22,400                    D            1                       1980                           -              E
10     24C     141+910              P.Radauti                                 RadautiPrut                          BA              B         10,900                    D            1                       1965                           -              I
                                                                                                                                                                                                                                                                                                                                                                                        Tabel a.4.3.5.
11     28B     42+415               Cale ferata                               Frumusica                            BP              BA        41,400                    I            3                       1991                           -              E                     Nr. Crt.                      DN                        Pozitia                                Lungime (m)

Elaboratori: UAUIM-CCPEC, Bucureşti, împreună cu, Universitatea Bucureşti – CICADIT, SC. Quattro Design s.r.l. – Bucureşti, SC. Urbatech s.r.l. – Iaşi, UAIC - Facultatea de Geografie, Iaşi,                                                                                                                                                                                                             105
Actualizare Plan de Amenajarea Teritoriului Judeţean Botoşani                                                                                                                            Consiliul Judeţean Botoşani
1                      29              23+720                                    22,10                                                                          Situaţia zonelor grav înzăpezibile
2                      29              36+309                                    20,00                                                                                                                               Tabel a.4.3.7.
3                      29              75+150                                    52,36                                Nr. Crt.                               DN                Poz km
4                      29              95+065                                    11,20                                1                                      29                51+300÷52+600
5                      24C             45+750                                    77,60                                2                                      29                55+100÷57+200
6                      24C             98+765                                    16,80                                3                                      29                58+900÷62+300
7                      24C             100+300                                   106,60                               4                                      29                66+000÷74+800
8                      24C             103+450                                   35,00                                5                                      29A               42+300÷42+700
9                      29D             28+105                                    27,50                                6                                      29A               54+100÷54+800
10                     29D             31+516                                    58,60                                7                                      29A               66+800÷68+800
Sursa: DRDP Iaşi, Secţia Drumuri Naţionale Botoşani, noiembrie 2009                                                   8                                      29A               71+000÷73+200
                                                                                                                      9                                      29A               81+000÷83+000
                                                                                                                      10                                     29A               85+000÷87+000
       La nivelul judeţului Botoşani, mai multe zone sunt afectate de diverşi factori naturali (tasări şi             11                                     29A               92+000÷94+000
alunecări, zone grav înzăpezibile, etc).                                                                              12                                     29D               22+000÷24+000
                                                                                                                      13                                     29D               46+000÷47+000
                                  Situaţia zonelor afectate de tasări sau alunecări                                   14                                     29C               6+000÷7+000
                                                                                                     Tabel a.4.3.6.   Sursa: DRDP Iaşi, Secţia Drumuri Naţionale Botoşani, noiembrie 2009
     Nr. Crt.          DN            Poziţie kilometrică                                  Fenomen
1                    29D          5+100÷6+400                         Tasare                                                 De asemenea un număr de 5 drumuri naţionale au sectoare de drum a căror stare tehnică este
2                    29D          8+600÷9+600                         Tasare                                          proastă, având capacitatea portantă depăşită.
3                    29D          18+560÷20+860                       Ebulmente, tasari ,alunecari
4                    29D          28+750÷29+200                       Tasare                                                              Drumuri naţionale cu sectoare având capacitatea portantă depăşită
5                    29D          30+750÷30+850                       Tasare                                                                                                                                          Tabel a.4.3.8.
6                    29D          45+300÷45+700                       Tasare                                          Nr. Crt.                               DN                       Poz km
7                    24C          43+900÷44+600                       24C                                             1                                      29D                      18+560÷20+860
8                    24C          45+750                              Tasare rampa pod                                2                                      24C                      54+060÷56+000
9                    24C          54+060÷56+000                       Denivelari, tasari                              3                                      28B                      48+900÷49+300
10                   28B          39+000÷40+200                       Tasari, alunecari                               4                                      29                       54+700÷54+900
11                   28B          42+570÷42+800                       Tasari                                          5                                      29                       61+800÷62+100
12                   28B          48+900÷49+300                       Tasari, alunecari                               6                                      29                       96+300÷96+700
13                   28B          63+800÷64+100                       Alunecari                                       7                                      29B                      11+200÷11+600
14                   29           49+600÷49+900                       Tasari                                          8                                      29B                      14+100÷14+300
15                   29           53+600÷53+900                       Tasari                                          Sursa: DRDP Iaşi, Secţia Drumuri Naţionale Botoşani, noiembrie 2009
16                   29           54+700÷54+900                       Tasari
17                   29           61+800÷62+100                       Denivelari, tasari                                     Se impun de urgenţă efectuarea de lucrări de modernizare pe drumul naţional DN 28B pe
18                   29           70+500÷70+600                       Tasari, alunecari                               sectorul cuprins între km 39+000 şi km 76+760, precum şi pe drumul naţional DN 24C pe sectorul
19                   29           74+880÷74+900                       Tasare rampa pasaj                              cuprins între km 43+850 şi km 142+250.
20                   29           84+800÷84+900                       Tasare rampa pod
21                   29           96+300÷96+700                       Denivelari, tasari
22                   29A          29+800÷30+200                       Tasari, alunecari
23                   29A          35+200÷735+500                      Tasari
24                   29A          77+100÷78+200                       Tasari
25                   29B          11+200÷11+600                       Denivelari, tasari
26                   29B          14+100÷14+300                       Denivelari, tasari
Sursa: DRDP Iaşi, Secţia Drumuri Naţionale Botoşani, noiembrie 2009




Elaboratori: UAUIM-CCPEC, Bucureşti, împreună cu, Universitatea Bucureşti – CICADIT, SC. Quattro Design s.r.l. – Bucureşti, SC. Urbatech s.r.l. – Iaşi, UAIC - Facultatea de Geografie, Iaşi,                                   106
Actualizare Plan de Amenajarea Teritoriului Judeţean Botoşani                                                                                                                                              Consiliul Judeţean Botoşani
         Drumurile judeţene au rolul de a asigura, pe de o parte, legăturile rutiere între principalele                 Nr. DENUMIREA
                                                                                                                                                                                                                 POZIŢIA                       LUNGIMEA
localităţi ale Judeţului şi, pe de altă parte, de a colecta şi dirija către drumurile naţionale traficul rutier local   crt. DRUMULUI
                                                                                                                                                     TRASEUL DRUMULUI                                            KILOMETRICĂ                   REALĂ
                                                                                                                                                                                                                 ORIGINE DESTINAŢIE            (Km)
ce se desfăşoară pe drumurile comunale. Prezentăm în tabelul următor lista celor 29 drumuri judeţene din
                                                                                                                        0 1                          2                                                           3       4                     5
judeţul Botosani:
                                                                                                                        30 TOTAL                                                                                                               637,467
                                                                                                                        Sursa: D.J.D.P.Botoşani, noiembrie 2009
                                                                                                     Tabel a.4.3.9.
                                                                                POZIŢIA                LUNGIMEA               Sectoarele de drum judeţean ce străbat municipiile Botoşani şi Dorohoi, precum şi oraşele
Nr. DENUMIREA
                        TRASEUL DRUMULUI                                        KILOMETRICĂ            REALĂ
crt. DRUMULUI
                                                                                ORIGINE DESTINAŢIE     (Km)             Darabani, Săveni, Bucecea, Ştefăneşti şi Flămânzi se află în întreţinerea primăriilor acestora.
0   1                   2                                                       3       4              5
1   207 L               Corni (DJ 208H) - Limita Jud. Suceava                   0+000   2+500          2,500                   Reţeaua de drumuri judeţene însumează o lungime totală de 637,467 Km (sursa D.J.D.P.
2   207 N               Botoşani - Curteşti - Orăşeni Deal - Cristeşti - E 58   0+000   13+900         13,900           Botoşani), din care, pe tipuri de îmbrăcăminţi:
                        E 58 - Orăşeni Deal - Poiana - Vorona - Vorona
3   208 C                                                                       0+000    21+870        21,870
                        Mare - Joldeşti - Limita Jud. Suceava                                                           - îmbrăcăminte asfaltică                          =         140,383 km                   (22,02%)
4   208 D               Limita Jud. Suceava - Bucecea (DN 29C)                  18+140   21+740        3,600            - îmbrăcăminţi asfaltice uşoare                   =         264,263 km                   (41,46%)
                        DN 29 (Baisa) - Corni - Vorona - Oneaga - Pădureni -                                            - pietruiri                                       =         226,821 km                   (35,58%)
5   208 H                                                                       0+000    47+570        46,830
                        Copălău – Suliţa (DJ 297)
                        Limita Jud. Suceava (Tudora) - Tudora - Joldeşti (DJ
                                                                                                                        - pământ                                          =         6,000 km                     (0,94%)
6   208 I                                                                       3+660    13+800        10,140           -------------------------
                        208C)
7   208 T               Limita Jud. Suceava (DN 29) - Călineşti (DN 29C)        15+610   19+960        4,350            TOTAL                                             =         637,467 Km                   (100%)
                        Limita Jud. Iaşi - Rediu - Răuseni - Hlipiceni -
                        Todireni - Albeşti - Truşeşti - Dângeni - Hăneşti -                                                        Lungimile de îmbrăcăminţi rutiere pe drumurile judeţene din judeţul BOTOŞANI
8   282                                                                         58+625   164+845       106,220
                        Vlăsineşti - Săveni - Drăguşeni - Coţuşca - Rădăuţi                                                                                                                                Tabel a.4.3.10.
                        Prut                                                                                                       Denumirea drumului      Îmbrăcăminte asfaltică     Îmbrăcăminte bituminoasă uşoară (IAU)   Pietruire (P)   Drum de pământ
                                                                                                                        Nr. crt.
9   282 A               DN 29D (Şoldăneşti) - Ionăşeni                          0+000    5+670         5,670                                               (IA)                                                                               (DP)
                        Limita Jud. Iaşi (Miletin) - Prăjeni - Câmpeni -                                                0          1                       2                          3                                       6               7
10 282 B                                                                        34+740   51+530        16,790           1          DJ 207L                 n.c.                       n.c.                                    n.c.            n.c.
                        Flămânzi (DN 28B)                                                                               2          DJ 208N                 n.c.                       n.c.                                    n.c.            n.c.
11 282 H                Răuseni (DJ 282) - DN 24C (Berza)                       0+000    11+540        11,540           3          DJ 208C                 -                          11,870                                  -               -
12 291                  Leorda (DN 29B) - Bucecea - Huţani (DN 29)              0+000    15+830        15,830           4          DJ 208D                 -                          2,960                                   -               -
                        Şendriceni (DJ 291C) - Lozna - Dersca - Mihăileni                                               5          DJ 208H                 -                          -                                       16,720          -
13 291 B                                                                        0+000    20+750        20,750           6          DJ 208I                 -                          4,340                                   -               -
                        (DN 29C)                                                                                        7          DJ 208T                 -                          -                                       4,350           -
                        Dorohoi (DN 29A) - Ezer - Pomârla - Fundu Herţii -                                              8          DJ 282                  5,900                      23,615                                  7,714           -
14 291 C                                                                        0+000    27+450        27,450
                        Baranca (DJ 298)                                                                                9          DJ 282A
                        Dorohoi (DN 29A) - Ibăneşti - Cristineşti - Suharău -                                           10         DJ 282B
15 291 D                                                                        0+000    46+220        46,220           11         DJ 282H                 -                          0,890                                   4,000           -
                        Oroftiana - Baranca - Bajura (DN 29A)                                                           12         DJ 291                  2,300                      9,630                                   -               -
16 291 F                DJ 291D - Oroftiana - Frontieră Ucraina                 0+000    2+300         2,300            13         DJ 291B                 -                          7,900                                   12,850          -
                        Dorohoi (DN 29A) - Broscăuţi - Corlăteni - Vorniceni                                            14         DJ 291C                 19,600                     -                                       5,350           -
17 292                                                                          0+000    46+350        46,350           15         DJ 291D                 -                          0,900                                   -               6,000
                        - Stiubeni - Săveni (DN 29)
                                                                                                                        16         DJ 291F                 -                          -                                       2,300           -
                        DN 29A (Dorohoi) - Dumeni - Ghireni - DN 24C                                                    17         DJ 292                  -                          -                                       8,364           -
18 293                                                                          0+000    47+700        47,700
                        (Ghireni)                                                                                       18         DJ 293                  -                          26,090                                  8,000           -
19 293 A                Cotuşca (DJ 282) - Păltiniş (DN 29A)                    0+000    18+170        18,170           19         DJ 293A                 -                          -                                       9,190           -
20 294                  DN 29 - Dingeni - Mihălăşeni                            0+000    29+160        29,160           20         DJ 294                  -                          5,550                                   12,160          -
                                                                                                                        21         DJ 294A                 -                          2,100                                   -               -
21 294 A                Avrămeni (DN 29) - Pănăiţoaia - Mitoc                   0+000    14+550        14,550           22         DJ 294B                 n.c.                       n.c.                                    n.c.            n.c.
                        Stefăneşti (DN 24C) - Murguţa - Dobârceni -                                                     23         DJ 294C                 n.c.                       n.c.                                    n.c.            n.c.
22 294 B                                                                        0+000    18+160        18,160
                        Pădureni (DJ 294)                                                                               24         DJ 296                  -                          12,150                                  2,220           -
23 294 C                Manoleasa (DN 29) - Hăneşti (DJ 282)                    0+000    12+500        12,500           25         DJ 296A                 n.c.                       n.c.                                    n.c.            n.c.
                                                                                                                        26         DJ 296B                 n.c.                       n.c.                                    n.c.            n.c.
24 296                  Botoşani - Roma - Nicseni - DJ 292 (Podeni)             0+000    26+000        26,000           27         DJ 297                  n.c.                       n.c.                                    n.c.            n.c.
25 296 A                Stăuceni (DN 29D) - Roşiori - Costeşti (DJ 296)         0+000    13+700        11,227           28         DJ 298                  -                          1,520                                   7,320           -
                        Plopenii Mari (DN 29) - Mândreşti - Călugăreni -                                                29         DJ 298A                 4,000                      -                                       -               -
26 296 B                                                                        0+000    12+900        12,900           30         TOTAL                   31,800                     115,265                                 100,538         6,000
                        Călugărenii Mari (DJ 296)
                                                                                                                        Sursa: D.J.D.P.Botoşani, noiembrie 2009; n.c. - date necomunicate; - date parţiale
27 297                  DN 29 (Blândeşti) - Suliţa - Todireni - DJ 282          0+000    25+950        25,950
28 298                  DN 29F - Cristineşti - Baranca                          27+900   36+740        8,840
                        DN 29A (Dărăbani) - Dărăbani - Havârna - DJ 293                                                       În judeţul Botoşani, pe reţeaua de drumuri judeţene se află un număr de 34 lucrări de artă
29 298 A                                                                        0+000    10+000        10,000           (poduri), dintre care:
                        (Havârna)
                                                                                                                              - 94 % (32 poduri) corespund cerinţelor de capacitate portantă (clasa "E" de încărcare)
Elaboratori: UAUIM-CCPEC, Bucureşti, împreună cu, Universitatea Bucureşti – CICADIT, SC. Quattro Design s.r.l. – Bucureşti, SC. Urbatech s.r.l. – Iaşi, UAIC - Facultatea de Geografie, Iaşi,                                                           107
Actualizare Plan de Amenajarea Teritoriului Judeţean Botoşani                                                                                                                                                                                                                                                                                                   Consiliul Judeţean Botoşani
respectiv capacitate de circulaţie (lăţimea părţii carosabile) ale traficului actual;                                                                                                                                                                                                           Nr.            Drum                                                                    Lungime
                                                                                                                                                                                                                                                                                                                                           Tronson
       - 6 % (2 poduri) cu caracteristici corespunzătoare clasei I de încărcare;                                                                                                                                                                                                                Crt.           judeţean                                                                (km)
                                                                                                                                                                                                                               Tabel a.4.3.11.                                                  0              1                           2                                           3




                                                                                                                                                                                                                               Dacă se poatr trece prin
                                                           (curs apă, vale,cale de
                                                                                                                                                                                                                                                                                                               DJ 282A                     Km 1+700÷2+200                              0,500
               drumului pe care se află




                                                           Denumirea obstacolului
                                                                                                                                                   Lăţime(m)                                                                                                                                    3
               Denumirea şi numărul



                                                                                                                                                                                                                                                                                                                                           Total                                       0,500




                                                                                                                                                                                 Starea de viabilitate




                                                                                                                                                                                                                                                          Dacă se poate ocoli
                                                                                                                                                                                                          Clasa de încărcare
                                                                                                                                                                                                                                                                                                               DJ 291C                     Km 20+700÷20+800                            0,100




                                                                                                                                                   Parte carosabilă
                                                                                                      Suprastructură/
                                                                                                                                                                                                                                                                                                4




                                                                                                                        Lungime (m)
                                                           comunicaţie)




                                                                                                                                                                                                                                                                                 Configuraţia
                                                                                                                                                                                                                                                                                                                                           Total                                       0,100




                                                                                                                        Deschideri-
                                                                                        Localitatea




                                                                                                                                      Totală (m)
                                                                                                      Materialul
                                                                                                      de constr.
                                                                                        apropiată




                                                                                                                                                                                                                                                                                 malurilor
                                                                                                                                      Lungime
                                                                                        cea mai
    Nr. Crt.




                                                                                                                                                                                                                                                                                                               DJ 292                      Km4+500÷4+600                               0,100
                                              Poziţia




                                                                                                                                                                      Totală
                                              (km)




                                                                                                                                                                                                                               vad
                                                                                                                                                                                                                                                                                                5                                          Km 27+300÷27+800                            0,500
1              DJ 208C                      5+300       p.Miletin                     Orăşeni Vale    BA/BA             29            29           7,00               9,00     Medie                     E                       Da                       Da                    Păm.
2              DJ 208D                      18+189      r. Siret                      Hînţeşti        BA/BA             98            98           7,00               9,00     Bună                      E                       Nu                       Da                    Abrupt
                                                                                                                                                                                                                                                                                                                                           Total                                       0,600
3              DJ 208H                      24+440      p.Sihăstrie                   Vorona          BA/BA             18            18           7,00               9,00     Bună                      E                       Nu                       Da                    Păm.                           DJ 293                      Km 8+000÷9+000                              1,000
4              DJ 208H                      35+150      p.Horoghiuca                  Oneaga          BA/BA             31            31           7,00               9,00     Bună                      E                       Nu                       Da                    Păm.            6
5              DJ 208H                      39+800      p.Miletin                     Copalau         BA/BA             22            22           7,00               9,00     Medie                     I                       Nu                       Da                    Păm.
                                                                                                                                                                                                                                                                                                                                           Total                                       1,000
6              DJ 208H                      47+420      p.Sitna                       Dracsani        BA/BA             29            29           7,00               9,00     Bună                      E                       Nu                       Da                    Abrupt                         DJ 296                      Km 2+100÷4+700                              2,600
7              DJ 208I                      7+745       p.Plesu                       Tudora          BA/BA             29            29           7,00               9,00     Bună                      E                       Nu                       Da                    Abrupt
8              DJ 282                       77+389      p. Sitna                      Todireni        BA/BA             33            33           7,00               9,00     Medie                     E                       Nu                       Da                    Abrupt
                                                                                                                                                                                                                                                                                                                                           Km 11+480÷12+320                            0,840
9              DJ 282                       83+425      r. Jijia                      Albesti         BA/BA             42            42           7,00               9,00     Bună                      E                       Nu                       Da                    Abrupt          7                                          Km 14+000÷15+380                            1,380
10             DJ 282                       88+900      r. jijia                      Albesti         BA/BA             38            38           7,00               9,00     Bună                      E                       Nu                       Da                    Abrupt                                                     Km 18+400÷18+950                            0,550
11             DJ 282                       94+130      descarcare                    Mascateni       BA/BA             16            16           7,00               9,00     Bună                      E                       Da                       Da                    Păm.
12             DJ 282                       94+975      r. Jijia                      Mascateni       BA/BA             40            40           7,00               9,00     Medie                     E                       Nu                       Da                    Abrupt                                                     Total                                       5,370
13             DJ 282                       147+190     p. Volovat                    Nichiteni       BA/BA             33            33           7,00               9,00     Bună                      E                       Da                       Da                    Păm.            TOTAL                                                                                  14,570
14             DJ 282B                      40+650      p. Miletin                    Prajeni         BA/BA             39            39           7,00               9,00     Bună                      E                       Nu                       Da                    Abrupt
                                                                                                                                                                                                                                                                                                Sursa: D.J.D.P.Botoşani, noiembrie 2009
15             DJ 282B                      50+700      p.Tulburea                    Flamanzi        BA/BA             18            18           7,00               9,00     Bună                      E                       Nu                       Da                    Păm.
16             DJ 282H                      0+840       r. Jijia                      Rauseni         BA/BA             76            76           7,00               9,00     Bună                      E                       Nu                       Da                    Abrupt
17             DJ 291B                      1+236       p. Buhai                      Sendriceni      BA/BA             25            25           7,00               9,00     Bună                      E                       Nu                       Da                    Abrupt
18             DJ 292                       4+980       r. Jijia                      Broscauti       BA/M              40            40           7,00               9,00     Medie                     I                       Nu                       Da                    Abrupt
19             DJ 292                       19+200      r. Jijia                      Corlateni       BA/BA             51            51           7,00               9,00     Bună                      E                       Nu                       Da                    Păm.
20             DJ 292                       21+126      r. Jijia                      Corlateni       BA/BA             41            41           7,00               9,00     Bună                      E                       Nu                       Da                    Păm.
21             DJ 292                       33+259      p.Ibaneasa                    Vorniceni       BA/BA             26            26           7,00               9,00     Bună                      E                       Da                       Da                    Păm.
22             DJ 293                       20+323      p.Baseu                       Havarna         BA/BA             46            46           7,00               9,00     Medie                     E                       Nu                       Da                    Păm.                                          Tronsoane de drumuri judeţene afectate de inundaţii
23             DJ 293                       26+300      p. Podriga                    Mileanca        BA/BA             36            36           7,00               9,00     Bună                      E                       Nu                       Da                    Păm.                                                                                                     Tabel a.4.3.12.
24             DJ 294                       11+720      r. Jijia                      Dangeni         BA/BA             38            38           7,00               9,00     Bună                      E                       Da                       Da                    Abrupt
25             DJ 294                       23+300      p.Baseu                       Mihalaseni      BA/BA             43            43           7,00               9,00     Bună                      E                       Nu                       Da                    Abrupt                                                                                                 Lungime
                                                                                                                                                                                                                                                                                                Nr. crt            Drum judeţean                     Tronson
26             DJ 294C                      0+100       p.Volovat                     Manoleasa       BA/BA             36            36           7,00               9,00     Bună                      E                       Nu                       Da                    Abrupt                                                                                                 (km)
27             DJ 294C                      12+180      p.Baseu                       Hanesti         BA/BA             42            42           7,00               9,00     Bună                      E                       Da                       Da                    Abrupt
2              DJ 296                       3+296       p.Sitna                       Cismea          BA/BA             29            29           7,00               9,00     Bună                      E                       Da                       Da                    Abrupt          0                  1                                 2                                 3
29             DJ 296                       12+195      p. Porcareasa                 Roma            BA/BA             20            20           7,00               9,00     Medie                     E                       Da                       Da                    Păm.                                                                 Km 33+100÷40+000                  7,000
30             DJ 296                       25+657      r. Jijia                      Podeni          BA/BA             42            42           7,00               9,00     Bună                      E                       Nu                       Da                    Abrupt          1                  DJ 291 D
31             DJ 296A                      1+200       p.Dresleuca                   Cismea          BA/BA             14            14           7,00               9,00     Bună                      E                       Da                       Da                    Păm.
                                                                                                                                                                                                                                                                                                                                                     Total                             7,000
32             DJ 297                       0+250       descarcare                    Blandesti       BA/BA             16            16           7,00               9,00     Bună                      E                       Da                       Da                    Păm.                                                                 Km 8+600÷8+900                    0,300
33             DJ 297                       11+550      p.Sulitoaia                   Sulita          BA/BA             17            17           7,00               9,00     Bună                      E                       Nu                       Da                    Păm.            2                  DJ 298 A
34             DJ 298A                      8+957       p.Podriga                     Darabani        BA/BA             60            60           7,00               9,00     Medie                     E                       Nu                       Da                    Abrupt
                                                                                                                                                                                                                                                                                                                                                     Total                             0,300
Sursa: D.J.D.P.Botoşani, noiembrie 2009                                                                                                                                                                                                                                                         TOTAL                                                                                  7,300
                                                                                                                                                                                                                                                                                                Sursa: D.J.D.P.Botoşani, noiembrie 2009
                                                        Tronsoane de drumuri judeţene cu alunecări de teren
                                                                                                                                                                                                             Tabel a.4.3.12.                                                                                                         Tronsoane de drumuri judeţene inundabile
Nr.                                       Drum
Patj bt etapai-memo1
Patj bt etapai-memo1
Patj bt etapai-memo1
Patj bt etapai-memo1
Patj bt etapai-memo1
Patj bt etapai-memo1
Patj bt etapai-memo1
Patj bt etapai-memo1
Patj bt etapai-memo1
Patj bt etapai-memo1
Patj bt etapai-memo1
Patj bt etapai-memo1
Patj bt etapai-memo1
Patj bt etapai-memo1
Patj bt etapai-memo1
Patj bt etapai-memo1
Patj bt etapai-memo1
Patj bt etapai-memo1
Patj bt etapai-memo1
Patj bt etapai-memo1
Patj bt etapai-memo1
Patj bt etapai-memo1
Patj bt etapai-memo1
Patj bt etapai-memo1
Patj bt etapai-memo1
Patj bt etapai-memo1
Patj bt etapai-memo1
Patj bt etapai-memo1
Patj bt etapai-memo1
Patj bt etapai-memo1
Patj bt etapai-memo1
Patj bt etapai-memo1
Patj bt etapai-memo1
Patj bt etapai-memo1
Patj bt etapai-memo1
Patj bt etapai-memo1
Patj bt etapai-memo1
Patj bt etapai-memo1
Patj bt etapai-memo1
Patj bt etapai-memo1
Patj bt etapai-memo1
Patj bt etapai-memo1
Patj bt etapai-memo1
Patj bt etapai-memo1
Patj bt etapai-memo1
Patj bt etapai-memo1
Patj bt etapai-memo1
Patj bt etapai-memo1
Patj bt etapai-memo1
Patj bt etapai-memo1
Patj bt etapai-memo1
Patj bt etapai-memo1
Patj bt etapai-memo1
Patj bt etapai-memo1
Patj bt etapai-memo1
Patj bt etapai-memo1
Patj bt etapai-memo1
Patj bt etapai-memo1
Patj bt etapai-memo1
Patj bt etapai-memo1
Patj bt etapai-memo1
Patj bt etapai-memo1
Patj bt etapai-memo1
Patj bt etapai-memo1
Patj bt etapai-memo1
Patj bt etapai-memo1
Patj bt etapai-memo1
Patj bt etapai-memo1
Patj bt etapai-memo1
Patj bt etapai-memo1
Patj bt etapai-memo1
Patj bt etapai-memo1
Patj bt etapai-memo1
Patj bt etapai-memo1
Patj bt etapai-memo1
Patj bt etapai-memo1
Patj bt etapai-memo1
Patj bt etapai-memo1
Patj bt etapai-memo1
Patj bt etapai-memo1
Patj bt etapai-memo1

Patj bt etapai-memo1

  • 2.
    ACTUALIZARE PLAN DEAMENAJARE A TERITORIULUI JUDEŢEAN BOTOŞANI ETAPA 1 IDENTIFICAREA ELEMENTELOR CARE CONDIŢIONEAZĂ DEZVOLTAREA ANALIZA SITUAŢIEI EXISTENTE ŞI STUDII DE FUNDAMENTARE BENEFICIAR: CONSILIUL JUDEŢEAN BOTOŞANI UNIVERSITATEA DE ARHITECTURĂ ŞI URBANISM “ION MINCU” – Centrul de Cercetare, Proiectare, Expertiză şi Consulting proiectant general - Contract 9 /2009 - PREŞEDINTE UAUIM - Manager General C.C.P.E.C.: Prof. dr. arh. Emil Barbu Popescu Director Tehnic C.C.P.E.C.: Arh. Luminiţa Patron Şef proiect: Lect. drd. arh. Gabriel Pascariu Universitatea „Alexandru Ioan Cuza” Iaşi Facultatea de Geografie şi Geologie Departamentul de Geografie Bd. Carol I. Nr.20A, 700505 – Iaşi, România Tel.: +4.0232.20.1075, +4.0232.20.1074 Fax: +4.0232.20.1474 e-mail: geografie@uaic.ro Universitatea Bucureşti - Centrul http://www.geo.uaic.ro/ Interdisciplinar de Cercetări S.C. QUATTRO DESIGN S.R.L. – SC URBATECH S.R.L. – proiectant Universitatea „Alexandru Ioan Avansate Asupra Dinamicii proiectant de specialitate de specialitate Cuza” Iaşi - Departamentul de Teritoriale (CICADIT) - proiectant Administrator: arh. Andrei JELESCU, Geografie de specialitate Administrator - arh. Iustin HEN, Director General: arh. Toader Rector - Prof. dr. Vasile ISAN, Director prof. dr. Ioan IANOŞ, Şef proiect - arh. Mircea POPESCU, Decan - Prof. dr. Ovidiu Gabrile Şef proiect: prof. dr. Cristian GRIGOROVSCHI Şef proiect: arh. Şerban POPESCU- IANCU, TĂLÂNGĂ CRIVEANU Şef proiect - Prof.dr. Corneliu IATU Decembrie 2009
  • 3.
    Actualizare Plan deAmenajarea Teritoriului Judeţean Botoşani Consiliul Judeţean Botoşani ACTUALIZARE PLAN DE AMENAJARE A TERITORIULUI Universitatea Bucuerşti – CICADIT (subcapitole A.1.1, A.1.2, capitole: B) JUDETEAN BOTOŞANI Prof.dr. Cristian TĂLÂNGĂ (director de proiect), lector dr. Daniela ZAMFIR, Dr. Radu Daniel PINTILII ETAPA 1. IDENTIFICAREA ELEMENTELOR CARE S.C. QUATTRO DESIGN S.R.L (capitol A.2) CONDIŢIONEAZĂ DEZVOLTAREA Arh. Şerban POPESCU-CRIVEANU – coordonator ştiinţific ANALIZA SITUAŢIEI EXISTENTE - STUDII DE FUNDAMENTARE Urb. Alexandra ANA-VIŞINESCU Arh. Toader POPESCU (pentru A.2.1) Beneficiar: CONSILIUL JUDEŢEAN BOTOŞANI colaboratori: Dr. ist. Sergiu IOSIPESCU (pentru A.2.1) Elaboratori: Ist. Raluca IOSIPESCU (pentru A.2.1) UNIVERSITATEA DE ARHITECTURĂ ŞI URBANISM „ION MINCU” – Centrul de Soc. Maria MITROI Cercetare, Proiectare, Expertiză şi Consulting – proiectant general Dr. etnolog Ioana POPESCU (pentru A.2.1) Universitatea Bucureşti - Centrul Interdisciplinar de Cercetări Avansate Asupra Dinamicii SC URBATECH SRL (capitol A.4) Teritoriale (CICADIT) - proiectant de specialitate arh. GRIGOROVSCHI MIRCEA (director de poriect) S.C. QUATTRO DESIGN S.R.L. – Bucureşti – proiectant de specialitate arh. HEN IUSTIN CONSTANTIN SC URBATECH S.R.L. – Iaşi proiectant de specialitate ing. DORNEANU MARINA Universitatea "Alexandru Ioan Cuza" (UAIC) Iaşi - Departamentul de Geografie st.arh. POŞA TUDOR ŞTEFAN (desen şi tehnoredactare) UAIC - Departamentul de Geografie – Universitatea „Alexandru Ioan Cuza” Iaşi (capitolul C) Prof.univ.dr. Corneliu IAŢU (şef colectiv) Colective de elaborare: Mihai BULAI Mesalina Dumitriţa BOGHINCIUC UAUIM – CCPEC (Introducere, subcapitole: A1.3, A1.4, A.1.5, capitole: A3, D) Leontina GHEŢĂU arh. Gabriel PASCARIU (şef proiect) Bogdan IBĂNESCU dr. urb. ecolog Alexandru Ionuţ PETRIŞOR Alina Violeta MUNTEANU urb. Adrian CIOANGHER urb. Paul IUGA MUREŞAN Borderou planşe: urb. Eugen MARINESCU urb. Izabella MORTH 1.1 Mediu – probleme şi disfuncţionalităţi (UAUIM-CCPEC, CICADIT, QUATTRO DESIGN) urb. Mădălina MOŢCANU - DUMITRESCU 2.1 Reţeaua de localităţi şi populaţia – probleme şi disfuncţionalităţi (UAUIM-CCPEC) urb. Radu SANDOVICI 3.1a şi 3.1.b - Infrastructuri tehnice ale teritoriului - probleme şi disfuncţionalităţi – urb. Liviu VELUDA (URBATECH) colaboratori: 4.1. Structura activităţilor şi zonificarea teritoriului – probleme şi disfuncţionalităţi (UAUIM- CCPEC, UAIC) urb. Irina CIOANGHER 5.1 Context teritorial – probleme şi disfuncţionalităţi (UAUIM-CCPEC) Elaboratori: UAUIM-CCPEC, Bucureşti, împreună cu, Universitatea Bucureşti – CICADIT, SC. Quattro Design s.r.l. – Bucureşti, SC. Urbatech s.r.l. – Iaşi, UAIC - Facultatea de Geografie, Iaşi, 1
  • 4.
    Actualizare Plan deAmenajarea Teritoriului Judeţean Botoşani Consiliul Judeţean Botoşani CURPINS INTRODUCERE ..................................................................................................................................... 3 B. STRUCTURA SOCIO-DEMOGRAFICĂ ................................................................................... 129 Obiective generale şi specifice............................................................................................................. 3 B.1 EVOLUŢIA POPULAŢIEI ŞI POTENŢIALUL DEMOGRAFIC................................. 129 Metodologie şi bază documentară...................................................................................................... 4 B.1.1 EVOLUŢIA ŞI RITMUL MEDIU ANUAL DE CREŞTERE AL POPULAŢIEI ...... 129 Principale surse documentare şi relaţii cu alte documentaţii.......................................................... 5 B1.1.1 Evoluţia populaţiei la recensăminte (1930-2002).................................................... 129 Etape de desfăşurare, informarea şi consultarea populaţiei ........................................................... 5 B1.1.2 Evoluţia populaţiei în perioada 2000-2008.............................................................. 130 A. STRUCTURA TERITORIULUI....................................................................................................... 7 B.1.1.3 Ritmul mediu anual de creştere a populaţiei .......................................................... 132 A.1 LOCALIZARE ŞI CADRU NATURAL..................................................................................... 7 B.1.2 DENSITATEA POPULAŢIEI ......................................................................................... 133 A.1.1 LOCALIZARE....................................................................................................................... 7 B.1.3 MIŞCAREA NATURALĂ A POPULAŢIEI .................................................................. 133 A.1.2 CADRU NATURAL .............................................................................................................. 7 B.1.3.1 Natalitatea ................................................................................................................ 133 A.1.2.1 Relieful.............................................................................................................................. 7 B.1.3.2 Mortalitatea.............................................................................................................. 133 A.1.2.2 Clima................................................................................................................................. 7 B.1.3.3Bilanţul natural al populaţiei................................................................................... 133 A.1.2.3Hidrografia........................................................................................................................ 9 B.1.4 MIŞCAREA MIGRATORIE A POPULAŢIEI.............................................................. 134 A.1.2.4 Resurse ale solului şi subsolului.................................................................................... 11 B.1.4.1 Număr de plecări ................................................................................................. 134 A.1.3 ZONE PROTEJATE ŞI PEISAJE CULTURALE........................................................... 14 B.1.4.2 Număr de sosiri.................................................................................................... 134 A.1.4. PROBLEME DE MEDIU ................................................................................................... 20 B.1.4.3Bilanţul migratoriu............................................................................................... 134 A.1.5. RISCURI NATURALE ...................................................................................................... 27 B.1.5 BILANŢUL TOTAL AL POPULAŢIEI......................................................................... 135 A.2. ZONE PROTEJATE ŞI PEISAJE CULTURALE................................................................. 32 B.2 RESURSELE UMANE ........................................................................................................ 136 A.2.1. EVOLUŢIA ISTORICĂ A JUDEŢULUI ŞI A ÎMPĂRŢIRII ADMINISTRATIVE.. 32 B.2.1 STRUCTURA PE GRUPE DE VÂRSTĂ ....................................................................... 136 ANEXA 2.1. ........................................................................................................................................ 43 B.2.2 STRUCTURA POPULATIEI DUPA NIVELUL DE INSTRUIRE ............................. 137 A.2.2. PEISAJE CULTURALE........................................................................................................ 64 C. STRUCTURA ACTIVITĂŢILOR ECONOMICE..................................................................... 139 A.2.2.1. Macrozonarea peisagistică .......................................................................................... 64 C.0: INTRODUCERE ÎN GEOGRAFIA MUNCII ................................................................. 139 A.2.2.2. Arii naturale protejate................................................................................................. 64 C.1: AGRICULTURA, SILVICULTURA, PISCICULTURA, VÂNATUL ......................... 142 A.2.2.3. Rezervaţii naturale ...................................................................................................... 65 C.2: INDUSTRIA, PRODUCŢIA ŞI DISTRIBUŢIA ENERGIEI ELECTRICE ŞI A.2.2.4. Iazuri ............................................................................................................................. 65 TERMICE, GAZELOR ŞI APEI, CONSTRUCŢII ................................................................ 149 ANEXA A.2.1. ............................................................................................................................ 67 C.3: TURISMUL ......................................................................................................................... 156 A.3 REŢEAUA DE LOCALITĂŢI.................................................................................................. 68 C.4: SERVICII ECONOMICE.................................................................................................. 161 A.3.1. ELEMENTE INTRODUCTIVE......................................................................................... 68 C.4.1: COMERŢUL .................................................................................................................... 161 A.3.2. ANALIZE ŞI DATE STATISTICE.................................................................................... 70 C.4.2: TRANSPORTURILE ...................................................................................................... 161 A.4. INFRASTRUCTURI TEHNICE.............................................................................................. 90 C.4.3: FINANŢE-BĂNCI ........................................................................................................... 161 A.4.1. GOSPODĂRIREA APELOR ............................................................................................ 90 ....................................................................................................................................................... 162 A.4.2. REŢELE HIDROEDILITARE ....................................................................................... 100 C.4.4: SĂNĂTATE ŞI ASISTENŢĂ SOCIALĂ ...................................................................... 162 A.4.3. REŢELE DE TRANSPORT ............................................................................................ 102 D. CONTEXT SUPRA - TERITORIAL (regional, naţional, macro-regional)…………………..164 A.4.4. RETELE DE TELECOMUNICAŢII ............................................................................. 114 D.1. CONTEXT EUROPEAN…………………………… …………………………………….…..164 A.4.5. REŢELE ENERGETICE ................................................................................................ 116 D.2 CONTEXT NAŢIONAL ŞI REGIONAL……………………………………………………………………..……………….…...165 A.4.6. SERVICII DE GESTIUNE A DEŞEURILOR............................................................... 121 Listă cartograme…………………………………………………………………………………..…189 Elaboratori: UAUIM-CCPEC, Bucureşti, împreună cu, Universitatea Bucureşti – CICADIT, SC. Quattro Design s.r.l. – Bucureşti, SC. Urbatech s.r.l. – Iaşi, UAIC - Facultatea de Geografie, Iaşi, 2
  • 5.
    Actualizare Plan deAmenajarea Teritoriului Judeţean Botoşani Consiliul Judeţean Botoşani promovarea de “clustere” competitive şi inovative la nivel tras-naţional INTRODUCERE întărirea reţelelor tehnologice trans-europene Elaborarea lucrării se va face în conformitate cu prevederile Legii 350 /2001 cu actualizările şi completările ulterioare precum şi în conformitate cu tema de proiectare din "documentaţia de atribuire" prezentată de promovarea managementului riscului la nivel trans-european (mai ales în zone sensibile) beneficiar. De asemenea lucrarea se va face cu respectarea celor mai importante documente europene în întărirea structurilor ecologice şi a resurselor culturale domeniul planificării spaţiale Obiectivele specifice ale proiectului Carta amenajării teritoriului adoptată de CEMAT la Torremolinos (Spania) în 1983 Obiectivele specifice sunt precizate prin "tema de proiectare" şi se referă la: Perspectiva europeană de dezvoltare spaţială (SDEC /ESDP), adoptată de CE la Potsdam în 1999 Identificarea elementelor care condiţionează dezvoltarea judeţului Principiile directoare pentru Dezvoltarea teritorială durabilă a Continentului european, adoptate de CEMAT la Hanovra în 2000 Evidenţierea problemelor şi disfuncţionalităţilor din judeţ Agenda Teritorială, adoptată în 2007 la Leipzig de reuniunea informală a miniştrilor dezvoltării Diagnosticul prospectiv şi general urbane şi coeziunii teritoriale Elaborarea strategiei de dezvoltare spaţială a judeţului Se vor respecta de asemenea prevederile celor mai importante documente strategice naţionale: Elaborarea programului de măsuri al judeţului PND – Planul Naţional de Dezvoltare În raport cu aceste obiective, proiectul va cuprinde o fază de analiză – diagnoză şi evaluare a potenţialului de CSDSR - Conceptul Strategic de Dezvoltare Spaţială A României dezvoltare urmată de faza de fundamentare a strategiei de dezvoltare şi stabilirea programului de măsuri. precum şi Secţiunile aprobate ale PATN: Proiectul va urmări de asemenea corelarea strategiei şi programului de măsuri cu prevederile secţiunilor PATN aprobate sau în curs de aprobare precum şi cu documente strategice regionale şi judeţene precum: SI – căi de comunicaţii – legea 363 din 2006 Planul de dezvoltare regională al regiunii Nord-est SII – apa – legea 20 din 2006 Programul Operaţional Regional – Regio 2007-2013 SIII – zone protejate naturale şi construite – legea 5 din 2000 Programele Operaţionale Sectoriale pentru Transport, Mediu, Resurse umane şi Competitivitate SIV – reţeaua de localităţi – legea 351 din 2001 Programele Operaţionale de Cooperare Transfrontalieră SV – zone de risc natural – legea 575 din 2001 Planul Naţional de Dezvoltare Rurală şi SVIII - zone cu resurse turistice – OUG 142 din 2008 Strategii sectoriale judeţene şi programele orientative de dezvoltare economică şi socială elaborate de OBIECTIVE GENERALE ŞI SPECIFICE Instituţia Prefectului din judeţul Botoşani Rezultate estimate ale proiectului Obiective generale ale proiectului Proiectul se va materializa în predarea următoarelor piese scrise şi desenate conform temei de proiect: Conform legii 350 72001, obiectivele principale ale amenajării teritoriului sunt următoarele: memoriu tehnic şi planşe privind situaţia existentă dezvoltarea economică şi socială echilibrată a regiunilor şi zonelor, cu respectarea specificului acestora; sinteză privind situaţia existentă şi planşe îmbunătăţirea calităţii vieţii oamenilor şi colectivităţilor umane; memoriu privind probleme şi disfuncţionalităţi şi planşe aferente gestionarea responsabilă a resurselor naturale şi protecţia mediului; strategia de dezvoltare spaţială – propuneri scrise şi piese desenate utilizarea raţională a teritoriului sinteză propunerilor şi plane aferente Actualizarea PATJ Botoşani va urmări respectarea acestor obiective precum şi a obiectivelor care programul de măsuri rezultă din cele mai recente documente şi rapoarte europene: documentaţiile pentru obţinerea avizelor dezvoltare spaţială policentrică şi o nouă relaţie urban – rural Partea scrisă şi desenată se va depune în 4 exemplare şi în format electronic, iar sintezele în câte 2 exemplare un acces echivalent la infrastructură şi cunoaştere şi electronic. gestiunea înţeleaptă a patrimoniului natural şi construit precum şi Elaboratori: UAUIM-CCPEC, Bucureşti, împreună cu, Universitatea Bucureşti – CICADIT, SC. Quattro Design s.r.l. – Bucureşti, SC. Urbatech s.r.l. – Iaşi, UAIC - Facultatea de Geografie, Iaşi, 3
  • 6.
    Actualizare Plan deAmenajarea Teritoriului Judeţean Botoşani Consiliul Judeţean Botoşani METODOLOGIE ŞI BAZĂ DOCUMENTARĂ Evaluare Diagnoză Metoda de studiu va consta în analize teritoriale şi evaluări ale potenţialului natural şi antropic al judeţului Botoşani, bazat pe indicatori specifici fiecărui domeniu de activitate, pe investigaţii la faţa locului şi cercetări de teren. Viziune Pentru analiza cadrului natural vor fi utilizate metode specifice analizei geo-morfologice. STRATEGIE Pentru analiza şi evaluarea capitalului uman vor fi utilizate metode specifice din domeniul socio- demografic. Politici Programe Pentru analiza şi evaluarea potenţialului economic vor fi utilizate metode şi tehnici de analiză şi evaluare specifice precum analiza factorilor de localizare, analiza ariilor de atractivitate, analiza factorilor de producţie etc. Implementare Monitorizare Pentru evaluarea potenţialului turistic vor fi utilizate sisteme taxonomice consacrate din acest domeniu Reprezentările grafice vor cuprinde planşele obligatorii precum şi cartograme, carto-diagrame, grafice, şi vor fi realizate analize comparative cu situaţii similare din alte regiuni sau ţări europene. grafuri, scheme logice necesare descrierii şi explicării fenomenelor şi proceselor specifice. Pentru analiza şi evaluarea potenţialului cultural vor fi realizate analize şi studii istorice şi peisagistice. Lucrarea este elaborată într-o formaţie pluridisciplinară, care cuprinde: arhitecţi şi arhitecţi cu În domeniul protecţiei şi conservării mediului vor fi realizate analize şi evaluări cu privire la starea specializare în urbanism şi amenajarea teritoriului, geografi, ingineri specialişti în drumuri şi factorilor de mediu şi a riscurilor naturale şi antropice. transporturi, construcţii şi lucrări hidro - edilitare, sociologi şi economişti cu specializare în urbanism, amenajarea teritoriului şi economişti specializaţi în analize tehnico – economice şi de cost – beneficiu. Abordarea sistemului de localităţi se va baza de teoria locurilor centrale şi principiul dezvoltării Cuprinderea acestor specialităţi, corespunde cerinţelor formulate în "tema de proiectare". policentrice. În echipa de elaborare sunt cuprinşi atât specialişti cu experienţă mare şi foarte mare cât şi tineri Zonificarea teritoriului se va face pe baza analizei de indicatori complecşi şi agregaţi şi va urmări absolvenţi, doctoranzi cu pregătire specifică în arhitectură, urbanism, peisagistică şi construcţii, care identificarea de Unităţi Teritoriale Specifice şi macro-unităţi de peisaje culturale. vor asigura şi o parte a activităţilor suport necesare desfăşurării studiului (anchete, investigaţii pe teren, Analiza situaţiei existente va urmări identificarea disparităţilor teritoriale ca o bază pentru prelucrare date, reprezentări grafice etc.). fundamentarea strategiei şi politicilor de dezvoltare şi a programului de măsuri. Structura echipei de elaborare a cercetării pe niveluri de responsabilitate Vor fi analizate documentaţiile de urbanism şi amenajarea teritoriului existente şi vor fi realizate anchete şi investigaţii în teritoriu. Specialişti cu mare experienţă şi capacitate de sinteză - coordonare Rapoartele de analiză vor fi urmate de diagnoze şi rapoarte de sinteză. Pentru definirea strategiei se va utiliza metoda "planificării strategice" şi un proces participativ şi flexibil. Principiile generale ale planificării strategice (PST) sunt următoarele: Specialişti cu experienţă specifică domeniilor arhitectură şi inginerie civilă, urbanism, amenajarea teritoriului Are caracter cuprinzător, global, dar şi de specificitate /de unicat; Stabileşte obiective fundamentale şi direcţii de acţiune care vor ghida o organizaţie în Specialişti cu experienţă specifică în domenii conexe: geografie, turism activitatea sa în urma unui efort disciplinat; (geografia turismului), transporturi, ecologie, analize tehnico-economice Este un proces prin care se alocă resursele necesare unei organizaţii în vederea împlinirii misiunii şi obiectivelor asumate; Tineri cercetători şi specialişti cu pregătire în domeniile specifice şi conexe ale cercetării, cu abilităţi în domeniul graficii computerizate Cuprinde un set de concepte, proceduri şi instrumente, care ajută o organizaţie să lucreze într-un mediu dinamic şi în continuă schimbare; Personal cu pregătire specifică în activităţi de gestiune a proiectului şi de Principiile generale şi etapele planificării strategice vor fi adoptate ca metodă de lucru, cu adaptările specifice secretariat cerinţelor "temei de proiectare". Succesiunea activităţilor de elaborare a strategiei va urmări schema: baza de date şi informaţii disponibilă, respectiv numeroasele lucrări de cercetare, studiile şi documentaţiile de urbanism şi amenajarea teritoriului elaborate în ultimii 5 – 10 ani, lucrări de referinţă cu caracter general, lucrări de doctorat, reviste de specialitate etc., care se află în patrimoniul echipei pluridisciplinare reprezintă o resursă importantă alocată proiectului o reprezintă. Elaboratori: UAUIM-CCPEC, Bucureşti, împreună cu, Universitatea Bucureşti – CICADIT, SC. Quattro Design s.r.l. – Bucureşti, SC. Urbatech s.r.l. – Iaşi, UAIC - Facultatea de Geografie, Iaşi, 4
  • 7.
    Actualizare Plan deAmenajarea Teritoriului Judeţean Botoşani Consiliul Judeţean Botoşani PRINCIPALE SURSE DOCUMENTARE ŞI RELAŢII CU ALTE Reţeaua de localităţi DOCUMENTAŢII Infrastructurile tehnice majore În elaborarea studiului, se vor utiliza informaţiile specifice cuprinse în: Gospodărirea apelor documentaţiile de amenajarea teritoriului existente, Comunicaţii documentaţiile de urbanism ale comunelor şi oraşelor din judeţ, Reţele energetice etc. "Planul de dezvoltare regională al Regiunii Nord-est" Telecomunicaţii "Planul Naţional de Dezvoltare 2007-2013", Zonificarea teritoriului secţiunile aprobate ale PATN Structura socio-demografică Conceptul Strategic de Dezvoltare Teritorială – România 2030 Evoluţia populaţiei Programul Operaţional Regional – Regio Potenţialul demografic, Programe Operaţionale Sectoriale Resursele umane Strategii sectoriale naţionale şi judeţene Structura activităţilor Vor fi utilizate surse şi informaţii de la INS şi direcţiile judeţene de statistică, ministerele de resort şi Agricultură, piscicultură, silvicultură, instituţiile deconcentrate ale acestora, în teritoriu, regii naţionale şi judeţene, companii naţionale, Industrie, construcţii, Camera de Comerţ şi Industrie etc. Turism, ETAPE DE DESFĂŞURARE, INFORMAREA ŞI CONSULTAREA Comerţ, servicii POPULAŢIEI Context teritorial – interjudeţean, regional şi naţional Perioada şi fazele de desfăşurare Strategia de dezvoltare spaţială şi programul de măsuri pe UAT Partea I-a – Identificarea elementelor care condiţionează dezvoltarea, cu evidenţierea problemelor şi disfuncţionalităţilor şi Sinteza cu partea existentă se va derula pe o perioadă de cca. 5 luni Planşe şi cartograme Partea a-II-a – Diagnostic prospectiv şi general: evaluarea decalajului dintre situaţia actuală şi 1.1 Mediul – probleme şi discfuncţionalităţi cea anticipată şi dorită pentru orizontul stabilit se va derula pe parcursul a cca. 4 luni 1.2 Mediul – propuneri Partea a-III-a – Strategia de dezvoltare spaţială şi programul de măsuri şi Sinteza cu propuneri 2.1 Reţeaua de localităţi şi populaţia – probleme şi disfcuncţionalităţi va dura cca. 5 luni. 2.2 Reţeaua de localităţi şi populaţia – propuneri Durata totală a elaborării proiectului nu va depăşi 14 luni şi va cuprinde şi întocmirea documentaţiei pentru 3.1 Infrastructurile tehnice ale teritoriului - probleme şi disfcuncţionalităţi avize şi obţinerea avizelor. 3.2 Infrastructurile tehnice ale teritoriului – propuneri Activităţi şi conţinut 4.1.Structura activităţilor şi zonificarea teritoriului - probleme şi disfcuncţionalităţi Proiectul va cuprinde analize, diagnoze şi evaluări ale tuturor elementelor specifice dezvoltării socio- 4.2. Structura activităţilor şi zonificarea teritoriului – propuneri economice şi spaţiale. Pe baza concluziilor privitoare la potenţialul existent şi la oportunităţile pieţei, în 5.1 Contextul teritorial - probleme şi disfcuncţionalităţi urma analizei SWOT, vor fi formulate obiective strategice pentru o dezvoltare durabilă a judeţului, obiective specifice, priorităţi şi programe de dezvoltare. 5.2 Contextul teritorial - propuneri Structura şi conţinutul proiectului vor cuprinde, conform temei de proiectare: Sintezele vor urma aceeaşi structură şi conţinut. Structura teritoriului Vor fi desfăşurate activităţi de: Cadrul natural documentare şi colectare date şi informaţii Zone protejate şi peisaje culturale actualizarea planurilor de bază Elaboratori: UAUIM-CCPEC, Bucureşti, împreună cu, Universitatea Bucureşti – CICADIT, SC. Quattro Design s.r.l. – Bucureşti, SC. Urbatech s.r.l. – Iaşi, UAIC - Facultatea de Geografie, Iaşi, 5
  • 8.
    Actualizare Plan deAmenajarea Teritoriului Judeţean Botoşani Consiliul Judeţean Botoşani analize şi diagnoze sectoriale şi spaţiale evoluţia istorică şi culturală consultări cu beneficiarul stabilirea şi delimitarea zonelor de risc natural întocmire a strategiei de dezvoltare spaţială starea actuală a factorilor de mediu şi problemele de mediu relevante întocmire program de măsuri potenţialul turistic întocmire sinteze organizarea circulaţiei întocmirea documentaţii pentru avize evoluţia populaţiei redactare şi editare memorii tehnice riscurile pentru sănătatea populaţiei redactare şi editare planşe şi cartograme evoluţia funcţiilor economice şi a pieţei muncii participări la avizări etc. problemele de locuire Pentru elaborarea strategiei se va asigura un proces transparent de consultare a principalilor actori În afara acestor studii solicitate prin tema de proiectare vor fi întocmite şi alte studii referitoare la: locali. Ca instrument de analiză a grupurilor /organizaţiilor implicate în formularea unei politici publice studiu privind gospodărirea complexă a apelor va fi folosită matricea actorilor interesaţi care prevede mijloace de estimare a importanţei şi impactului potenţial al diferiţilor actori interesaţi într-o anumită problemă de politici publice. studiu privind reţeaua de echipamente publice (dotări pentru educaţie, sănătate, justiţie, cultură Principalii factori luaţi în considerare sunt: etc.) Grupurile de interese (lista acestor grupuri trebuie sa fie, cel puţin într-o primă etapă, cât mai studiu privind evoluţia istorică a organizării administrativ-teritoriale extinsă posibil); studiu privind patrimoniul natural şi construit Tipul şi nivelul resurselor pe care grupurile /organizaţiile le posedă; studiu pentru identificarea peisajelor culturale Capacitatea de a mobiliza aceste resurse; studiu de încadrare în teritoriul regional şi naţional Poziţia grupului în legătură cu politica discutată. studiu de mobilitate şi conectivitate în teritoriu În etapa a 2-a a lucrării vor fi organizate dezbateri şi consultări cu reprezentanţi ai comunităţilor studiu privind dezvoltarea sistemului de aşezări al judeţului şi relaţia urban-rural locale. Se va urmări printre altele identificarea zonelor de influenţă a oraşelor şi definirea zonelor periurbane Organizarea proiectului precum şi a disparităţilor intra-judeţene. Proiectul este organizat în 3 etape conform temei de proiectare. Pentru elaborarea strategiei se va folosi metoda planificării strategice şi va fi asigurată consultarea celor Pentru elaborarea proiectului va fi parcurse următoarele etape şi faze: mai importanţi actori din cadrul judeţului. o etapă de documentare, în care vor fi cercetare documentaţiile existente şi vor fi colectate datele necesare actualizarea suportului topografic şi a limitelor intravilanelor localităţilor conform PUG-uri aprobate notificarea autorităţii de mediu competente pentru protecţia mediului elaborarea de studii de fundamentare şi specifice analiza situaţie existente şi identificarea problemelor şi disfuncţionlităţilor analiza SWOT şi întocmirea diagnosticului prospectiv şi general formularea strategiei de dezvoltare spaţială propuneri de dezvoltare şi programul de măsuri întocmirea sintezelor întocmirea documentaţiilor pentru obţinerea avizelor Studiile de fundamentare se vor referi la: Elaboratori: UAUIM-CCPEC, Bucureşti, împreună cu, Universitatea Bucureşti – CICADIT, SC. Quattro Design s.r.l. – Bucureşti, SC. Urbatech s.r.l. – Iaşi, UAIC - Facultatea de Geografie, Iaşi, 6
  • 9.
    Actualizare Plan deAmenajarea Teritoriului Judeţean Botoşani Consiliul Judeţean Botoşani m. La limita vestică se diferenţiază ca subunitate Depresiunea Frumuşica - o zonă joasă cu forme A. STRUCTURA TERITORIULUI domoale brazdată de văi, uneori mlăştinoase. A.1 Localizare şi cadru natural A.1.2.2 Clima Teritoriul judeţului Botoşani se încadrează zonei de climă temperat - continentală caracteristică districtului A.1.1 Localizare nordic al Podişului Moldovei, fiind specific un climat mai răcoros, cu veri relativ călduroase mai ales când Judeţul Botoşani este situat din punct de vedere geografic în extremitatea nord-estică a României, sunt lipsite de precipitaţii, şi ierni reci, de cele mai multe ori cu puţină zăpadă, cu geruri şi viscole având ca vecini Ucraina, respectiv Republica Moldova. Fiind cuprins între râurile Siret la vest şi Prut, frecvente. care formează graniţa României cu Republica Moldova, judeţul Botoşani se învecinează doar cu două judeţe ale Moldovei, şi anume: la vest cu judeţul Suceava, iar la sud cu judeţul Iaşi. Cuprinzând între - Radiaţia solară globală creşte de la nord la sud, de la 114 la 117 Kcal/cm2/an, cele mai scăzute valori limitele sale un teritoriu de 4986 km2 ce aparţine părţii de nord a Podişului Moldovei, judeţul Botoşani înregistrându-se în intervalul decembrie - ianuarie, iar cele mai crescute în intervalul mai - iulie. ocupă locul 29, ponderea în totalul teritoriului naţional fiind de 2,1%. Coordonate geografice: paralela - Temperatura aerului prezintă o mare variabilitate în privinţa valorilor medii, minime şi maxime, 47024'16" N (Prăjeni), paralela 48016'06" N (Horodiştea), meridianul 27024'02" E (Dersca), meridianul schimbarea timpului, uneori chiar de la o zi la alta, fiind destul de frecventă. 27024'32" E (Pleşani-Călăraşi). Temperatura medie anuală înregistrează pe cea mai mare parte a judeţului, valori cuprinse între 8° şi 9° C, A.1.2 Cadru natural în sectorul său sud-estic depăşind 9° C, iar pe înălţimile mari din sud-vest şi vest fiind chiar uşor sub 8° C (vezi cartograma C3). Cele mai mari valori medii lunare se înregistrează în iulie, (între 18° şi 20° C în A.1.2.1 Relieful jumătatea de vest şi nord - şi peste 20° C în est şi sud-est), iar cele mai mici valori se înregistrează în Relieful judeţului Botoşani aparţine la două mari unităţi ale Podişului Moldovei: Podişul Sucevei în ianuarie (între - 3,5° şi - 4,5° C). vest (cca 21 %) şi Câmpiei Moldovei în restul teritoriului (cca 79 %). La Botoşani valorile multianuale (1901 - 1990) sunt de 8,8° C media anuală, 20,3° C media lunii iulie şi - În ansamblu, relieful se prezintă sub forma unor dealuri şi culmi înalte în vest şi nord-vest cu altitudini 4,1° C media lunii ianuarie. Amplitudinea termică anuală este de 24,4° C, ceea ce confirmă caracterul medii în jur de 400 m, şi sub forma unei câmpii colinare cu altitudini medii de 150 m în rest. continental accentuat al climatului. Trăsăturile generale ale reliefului, întregite de numeroasele aspecte particulare locale permite diferenţierea Temperaturile extreme au înregistrat valori maxime absolute de 39,4° C la Botoşani şi 38° C la Dorohoi, şi în cadrul teritoriului judeţului a următoarelor unităţi şi subunităţi geomorfologice: minime absolute de - 30,3° C la Botoşani şi - 32,5° C la Dorohoi. În intervalul 1996-2000 temperatura aerului a oscilat între -27,7 ° C (22.11.1996) şi + 38,6° C (22.08.2000), valori care confirmă caracterul Podişul Sucevei - ocupă partea de vest şi nord vest a teritoriului şi este reprezentat prin două subunităţi: temperat continental accentuat al climei judeţului. Culmea Siretului şi Culoarul Siretului. În perioada caldă a anului se înregistrează în medie 70 - 75 zile de vară (cu temperaturi maxime egale sau - Culmea Siretului (sau Culmea Bour - Dealul Mare) este reprezentată printr-o succesiune de dealuri înalte mai mari de 25° C) şi 15 - 18 zile tropicale (cu temperaturi maxime egale sau mai mari de 30° C). (peste 400 - 500 m), dealuri joase (300 - 400 m) şi înşeuări (200 - 300 m), fragmentate dinspre vest de Numărul mediu al zilelor de iarnă (cu temperaturi maxime egale sau mai mici de 0° C) este de cca. 43. afluenţi scurţi ai Siretului, iar dinspre est de afluenţii Jijiei. Prezenţa rocilor mai dure (calcare şi gresii) a favorizat dezvoltarea de platouri structurale şi cueste cu orientare vestică şi nord - vestică, cele din urmă - Îngheţul se produce în medie toamna în 10-15 octombrie şi primăvara în 15 aprilie, numărul mediu al afectate de degradări. În cadrul său se disting următoarele subdiviziuni: Dealurile Ibăneştilor, Masivul zilelor cu îngheţ fiind de cca 120-130, scăzând de la nord la sud. Cel mai timpuriu îngheţ s-a înregistrat Bour - Hăpăi, Şaua Dersca - Lozna, Dealurile Bucecea, Masivul Dealul - Mare şi Culoarul Siretului. toamna în jur de 17 septembrie, iar cel mai târziu la 21-22 mai. Câmpia Moldovei - ocupă cea mai mare parte a teritoriului judeţului, fiind mai joasă cu 100 - 300 m decât - Umezeala relativă a aerului are valori medii anuale de peste 75 % în nord şi vest şi între 73-75 % în culmea din vest. Este o zonă de coline, dealuri şi platouri cu altitudini medii în jur de 200 m, sculptate în restul teritoriului, cele mai mari medii lunare depăşind 80 % iarna, iar cele mai mici coborând la 65 - 67 % roci moi (argile, marne, nisipuri) de către o reţea de văi largi cu lunci inundabile şi versanţi afectaţi de primăvara şi vara. La Botoşani media anuală a umezelii relative a fost de 73 %, cu un maxim mediu în frecvente procese de degradare, în special alunecări de teren. decembrie (85 %) şi un minim mediu în intervalul mai-iulie (65 %). În cuprinsul judeţului au fost identificate două mari subunităţi ale Câmpiei Moldovei: Câmpia Jijiei - Nebulozitatea este direct influenţată de temperatura şi umezeala aerului, valoarea medie anuală fiind în superioare şi a Başeului şi Câmpia Jijiei inferioare şi a Bahluiului: jur de 6,0 zecimi, mai mare în vest, nord-vest şi mai mică în est, sud-est. La Botoşani media anuală a nebulozităţii este de 6,2 zecimi, cu un maxim mediu în decembrie (7,2) şi un minim mediu în august (4,6). - Câmpia Jijia - Başeu are în cuprinsul său următoarele subdiviziuni: Câmpia Săvenilor, Depresiunea Numărul mediu de zile cu cer senin este de 108, cu cer acoperit de 149 şi cu cer noros de 106. Dorohoi - Botoşani, Culmile calcaroase Ripiceni - Stânca, Lunca Prutului şi Câmpia Jijia - Bahlui (vezi cartogramele A.1.2.a, A1.2.b). - Precipitaţiile atmosferice care cad pe teritoriul judeţului variază între 450 mm în medie pe an în extremitatea sud-estică şi 600 mm în medie pe an pe înălţimile mari din sud-vest şi nord-vest (vezi - Câmpia Jijia - Bahlui - se desfăşoară la sud de linia Flămânzi - Chiţoveni - Prisăcani - Hlipiceni - cartograma C4). Valoarea medie anuală pe ansamblul judeţului este de 550 mm. La Botoşani cantitatea Rânghileşti, având un relief de coline ce foarte rar depăşesc 200 m, înălţimile medii fiind de 100 - 150 plurianuală de precipitaţii (1901-1990) a fost de 560,7 mm. Elaboratori: UAUIM-CCPEC, Bucureşti, împreună cu, Universitatea Bucureşti – CICADIT, SC. Quattro Design s.r.l. – Bucureşti, SC. Urbatech s.r.l. – Iaşi, UAIC - Facultatea de Geografie, Iaşi, 7
  • 10.
    Actualizare Plan deAmenajarea Teritoriului Judeţean Botoşani Consiliul Judeţean Botoşani În timpul anului regimul precipitaţiilor este de asemenea neuniform, cele mai mari cantităţi înregistrându- - climatul dealurilor înalte din vest şi culoarului Siretului, caracterizată prin temperaturi medii anuale mai se în luna iunie şi uneori iulie (65-85 mm în medie), iar cele mai mici înregistrându-se iarna şi la începutul mici de 8° C, precipitaţii peste 550-600 mm în medie pe an, insolaţie moderată sub 2000 ore anual- primăverii (20-30 mm în medie). Caracteristic pentru regimul pluviometric este atât abundenţa, cât şi favorabilă dezvoltării pădurii de foioase şi culturilor agricole cu perioadă scurtă de vegetaţie. deficitul de precipitaţii, ambele fenomene având influenţe negative asupra teritoriului. În acest sens, menţionăm aversele torenţiale, când într-un timp scurt se pot înregistra cantităţi ce depăşesc cu mult media - climatul dealurilor joase, corespunzătoare Câmpiei Moldovei, cu temperaturi medii anuale între 8° şi 9° lunii respective. Astfel, valorile maxime căzute în 24 ore au atins 132 mm la Pomârla, 128 mm la Adăşeni, C sau chiar uşor peste 9° C, precipitaţii între 450 şi 550 mm în medie pe an, insolaţie peste 2000 ore anual- 125 mm la Bucecea, 124 mm la Ripiceni, 120 mm la Săveni, 100 mm la Dorohoi, 128 la Botoşani. favorabilă în general oricăror culturi agricole. Aversele torenţiale influenţează negativ activitatea economică şi socială, fiind mobilul producerii Corelaţia dintre temperatura medie a aerului şi cantitatea de precipitaţii sunt relevante în ceea ce inundaţiilor, aunecărilor de teren, eroziunii de adâncime, etc. priveşte evoluţia în timp a parametrilor climatici. Datele utilizate sunt prezentate în articolul publicat de Pe de altă parte, lipsa precipitaţiilor măsurabile timp de 10 zile consecutive în perioada aprilie-octombrie şi Govindasamy şi colab. (2003); din acestea a fost decupată situaţia la nivelul jud. Botoşani pentru unităţi 14 zile în perioada octombrie-martie, duce la apariţia secetelor, frecvente în tot judeţul, dar mai ales în pătrate cu latura de 2,50 longitudine × 2,50 latitudine. Aceste date indică o variaţie a temperaturii medii sectorul sud-estic. În zona Botoşani-Dorohoi durata medie a perioadelor secetoase este în jur de 14-15 zile, între 7-90 C, cu valori mai scăzute în partea de nord şi de vest a judeţului şi valori mai ridicate în sud- iar în sud, sud-est aceasta ajunge la 17 zile. Secetele influenţează negativ agricultura judeţului, impunând est (Fig. A.1.2.2.a) realizarea de irigaţii. Precipitaţiile sub formă de ninsoare înregistrează un număr mediu de 27-30 zile în zona Dorohoi-Botoşani şi sub 20 zile în sud şi sud-est, iar stratul de zăpadă durează în medie cca 60 zile, grosimea sa variind între 10-15 cm. Prima ninsoare se produce în medie în a doua decadă a lunii noiembrie, iar ultima ninsoare în decada a treia a lunii martie. În perioadele cu viscol zăpada se depune neuniform, fiind troienită în zonele adăpostite pe grosimi de câţiva metri, influenţând negativ circulaţia rutieră şi feroviară. Alte fenomene hidrometeorologice caracteristice judeţului sunt: - ceaţa - cu o frecvenţă mare în sezonul rece al anului şi o densitate maximă mai ales noaptea, se produce în medie în cca. 40 zile anual; - bruma - se produce în medie în 18-20 zile pe an, frecvenţa maximă fiind în octombrie (5-6 zile); Fig.A.1.2.a. Temperatura (stânga) şi precipitaţiile (dreapta) medii în jud. Botoşani. Culorile mai deschise indică valori mai scăzute, iar cele închise valori mai ridicate. - chiciura - se produce mai frecvent în decembrie şi ianuarie, numărul mediu de cazuri fiind cuprins între 3-6; Schimbările climatice afectează şi această regiune. Conform datelor publicate de Hijmans şi colab. (2005), predicţiile pentru anul 2100 urmează aceeaşi configuraţie spaţială ca şi clima actuală (Fig. - Vânturile care bat pe teritoriul judeţului se caracterizează prin diferenţe mari de direcţie şi viteză, fiind A.1.2.2.b), dar cu valori cuprinse între 9-120 C. Este importantă, pe baza acestor date, distribuţia determinate atât de circulaţia generală a maselor de aer din această parte a Podişului Moldovei, cât şi de spaţială a diferenţelor dintre temperatura actuală şi valorile predicţiilor climatice pentru anul 2100 (Fig. orientarea reliefului. Cea mai mare frecvenţă o au vânturile dinspre nord-vest (23,6 %), urmate de cele A1.2.2.c). În mare, configuraţia spaţială urmează acelaşi model, în sensul în care în zonele reci dinspre sud-est (18,7 %), considerate ca dominante. O frecvenţă medie anuală destul de semnificativă se temperaturile vor creşte mai puţin, iar în ele calde creşterile vor fi mult mai importante, ajungând la înregistrează şi dinspre direcţia nord (10,7 %). Cele mai mici frecvenţe le au vânturile dinspre est (1,7 %) medii care depăşesc cu 20 C valorile actuale. Este, de asemenea, important de subliniat faptul că aceste şi vest (2,1 %). Calmul atmosferic are valori relativ ridicate (28,2 %), indicând condiţii de adăpost date indică o creştere generalizată la nivelul judeţului Botoşani – altfel spus, predicţiile climatice indică aerodinamic. doar creşteri ale temperaturi, neexistând regiuni în care să se preconizeze o răcire comparativ cu situaţia actuală a temperaturii. Viteza vânturilor a înregistrat valorile medii cele mai mari pe direcţiile dominante (3,8 m/s dinspre nord- vest şi 2,9 m/s dinspre sud-est), precum şi pe direcţia nord (2,3 m/s). În timpul anului cele mai ridicate valori ale vitezei vântului s-au înregistrat primăvara pe direcţiile dominante, depăşind 4 m/s, în medie. Distribuţia neuniformă a elementelor climatice menţionate în timp şi spaţiu, face posibilă delimitarea în cadrul judeţului a două tipuri climatice: Elaboratori: UAUIM-CCPEC, Bucureşti, împreună cu, Universitatea Bucureşti – CICADIT, SC. Quattro Design s.r.l. – Bucureşti, SC. Urbatech s.r.l. – Iaşi, UAIC - Facultatea de Geografie, Iaşi, 8
  • 11.
    Actualizare Plan deAmenajarea Teritoriului Judeţean Botoşani Consiliul Judeţean Botoşani A.1.2.3Hidrografia Apele subterane. Caracteristicile litologice ale teritoriului au favorizat acumulări de ape subterane la diverse adâncimi şi cu debite variate, putând fi deosebite două mari categorii: ape subterane captive (sau de adâncime) şi ape subterane libere. - Apele subterane de adâncime includ strate acvifere sub presiune, cu caracter ascensional sau artezian, fiind interceptate prin foraje la diverse adâncimi, în depozite siluriene, badeniene, bugloviene. Astfel, în forajele de la Botoşani şi Dângeni au fost interceptate strate acvifere ascendente la -346 şi respectiv -300 m. Cele de la Botoşani sunt deosebit de dure, având peste 50° G, iar cele de la Dîngeni au o culoare negricioasă datorită prezenţei sulfurii de fier şi au cca. 8,4 g/l clorură de sodiu şi hidrogen sulfurat. La Oroftiana, Liveni, Ripiceni S-au întâlnit ape subterane acumulate în depozite badeniene, cu mineralizări reduse (sub 7 g/l), ceea ce le face potabile. Tot în valea Prutului la Stânca-Ştefăneşti, sub calcarele recifale bugloviene s-au interceptat Fig. A.1.2.2.b. Predicţia valorilor temperaturii (stânga) şi precipitaţiilor (dreapta) medii în jud. Botoşani. Culorile deschise indică valori mai ridicate, iar cele închise valori mai scăzute. ape subterane arteziene, potabile, cu uşor miros de hidrogen sulfurat. - Apele subterane libere includ strate acvifere fără presiune, în general drenate de reţeaua hidrografică, în cadrul cărora se cuprind apele suprafreatice, freatice şi de stratificaţie. Apele subterane freatice se pot grupa în mai multe unităţi hidrogeologice: a. Ape subterane de luncă - întâlnite în depozitele aluvionare ale râurilor principale, în cadrul a două tipuri de acvifere: de tip Siret şi de tip Prut. b. Apele de tip Siret sunt cantonate în nisipurile şi pietrişurile din baza luncii Siretului sub forma unui acvifer principal cu debite constante şi calităţi corespunzătoare. În depozitele nisipo-argiloase de la suprafaţă se mai întâlneşte un acvifer secundar, lenticular, cu debite mai mici şi inconstante. c. Apele de tip Prut sunt cantonate în baza luncilor Prutului (aval de Stânca), Jijiei, Başeului, Sitnei, Miletinului, sub forma unui acvifer principal, precum şi în depozitele permeabile de la suprafaţă sub forma unui acvifer secundar, cu importante variaţii de nivele şi debite. Calitativ sunt ape cu mineralizări şi Fig. A1.2.2.c. Diferenţe dintre temperatura (stânga) şi precipitaţiile (dreapta) actuale şi valorile predicţiilor climatice durităţi mari, fiind considerate nepotabile conform STAS 1342/92. În lunca destul de îngustă a Prutului pentru anul 2100 în jud. Botoşani. Culorile mai deschise indică valori mai scăzute, iar cele închise valori mai ridicate. amonte de Stânca, acviferul conţine ape corespunzătoare calitativ, fiind admise ca potabile. În general, configuraţia spaţială a climei o urmează pe cea a reliefului, valorile mai ridicate ale d. Ape subterane de terase, cantonate în nisipurile şi uneori pietrişurile din baza acestora, mai importante temperaturii (actuale sau prezise) corespunzând unităţilor de relief joase (câmpie, luncă), iar cele fiind cele din terasele Siretului şi Prutului. Sunt uşor alcaline, cu săruri sub 3 g/l şi duritate sub 30° G, fiind scăzute, reliefului înalt (deal, munte). admise ca potabile. În ceea ce priveşte precipitaţiile, ele au fost analizate pe baza aceloraşi date, situaţia actuală fiind e. Ape subterane de platouri şi culmi dezvoltate pe gresii şi calcare, cantonate în intercalaţiile nisipoase şi prezentată în Fig. A1.2.2.a, predicţia în Fig. A.1.2.2.b, iar diferenţele în Fig. A1.2.2.c. Configuraţia în fisurile rocilor dure din sectorul dealurilor înalte din vest (Dealul Mare, Bour-Hăpăi). Sunt ape potabile spaţială este asemănătoare cu cea a temperaturilor, în sensul că regiunilor cu temperaturi scăzute le cu debite relativ importante (sub 5 l/s), care dau linii de izvoare din care se alimentează localităţile situate corespund valori ridicate ale precipitaţiilor, iar celor cu temperaturi ridicate, valori scăzute ale pe contactul dintre câmpia colinară şi podiş. precipitaţiilor. Predicţiile şi diferenţele urmează aceeaşi configuraţie spaţială ca şi precipitaţiile actuale. f. Ape subterane de interfluvii şi versanţi, cantonate în baza depozitelor loessoide eluviale, în cele argilo- Este, de asemenea, important de subliniat faptul că aceste date indică o scădere aproape generalizată în nisipoase deluviale sau în intercalaţiile nisipoase sarmaţiene, având debite reduse (1-3 l/s) şi la limita judeţul Botoşani – altfel spus, predicţiile climatice indică scăderi ale precipitaţiilor, regiunile în care se potabilităţii, pe alocuri chiar nepotabile. În cadrul acestor ape pot fi incluse şi cele din şeile Lozna-Dersca, preconizează o creştere comparativ cu situaţia actuală a precipitaţiilor ocupând o suprafaţă redusă. Bucecea şi Vorona. De asemenea, se observă că atât configuraţia temperaturii, cât şi cea a precipitaţiilor corespund Pe total judeţ, resursele de ape subterane freatice sunt evaluate (conform Studiului de gospodărire a apelor) altitudinii. la 1,780 m3/s din care numai 0,728 m3/s reprezintă resurse exploatabile şi potabile. Elaboratori: UAUIM-CCPEC, Bucureşti, împreună cu, Universitatea Bucureşti – CICADIT, SC. Quattro Design s.r.l. – Bucureşti, SC. Urbatech s.r.l. – Iaşi, UAIC - Facultatea de Geografie, Iaşi, 9
  • 12.
    Actualizare Plan deAmenajarea Teritoriului Judeţean Botoşani Consiliul Judeţean Botoşani Apele de suprafaţă din cadrul judeţului sunt reprezentate de râuri şi lacuri şi aparţin a două mari bazine Scurgerile maxime au avut ca efect producerea de inundaţii, care au acoperit uneori luncile râurilor hidrografice: Siret şi Prut. Bazinul râului Prut ocupă 88% din suprafaţa judeţului, iar 12% este ocupat de aproape în întregime, afectând culturi agricole, drumuri, aşezări. bazinul râului Siret, situat în partea vestică a judeţului. Repartiţia pe bazine hidrografice se prezintă astfel: B.H. Prut – 4382 km2, B.H. Siret – 603 km2. Lungimea reţelei hidrografice codificate este 2054 În urma inundaţiilor din anii 1969, 1970, 1975, 1995 au fost identificate zonele inundabile şi cu potenţial km. de inundabilitate: lunca Prutului între Oroftiana şi Româneşti (525 ha terenuri agricole), lunca Başeului aval de Săveni (4200 ha), lunca Jijiei aval de Dângeni (4000 ha, 212 case, 17 Km drumuri), lunca Sitnei Siretul formează limita de vest a judeţului pe o lungime de 107 Km şi primeşte pe stânga o serie de afluenţi aval de Roşiori - Stăuceni (530 ha terenuri agricole, 5 Km drumuri). mici ce nu depăşesc 15 Km în lungime: Molniţa, Valea Huţanilor, Bahna, Vorona, ş.a. Pentru prevenirea şi combaterea acestui risc natural au fost realizate lucrări de regularizare a cursurilor de Prutul formează limita de nord şi est a teritoriului pe o distanţă de 194 Km, pornind pe dreapta afluenţii: apă (pe Başeu, Sitna, Miletin, ca şi pe unii afluenţi mai mici) pe o lungime de 228,5 Km, îndiguiri (pe Ghireni (21 Km), Volovăţ (45 Km), Başeu (106 Km), Corogea (29 Km), Jijia (121 Km, pe teritoriul Siret, Prut, Jijia), acumulări (pe Başeu, Jijia, Sitna, Miletin, Prut). judeţului). Dintre afluenţii de ordinul II ai Prutului, respectiv de ordinul I ai Başeului şi Jijiei, menţionăm: Podriga (36 Km), Bodeasa (26 Km), Sărata (15 Km), Buhaiu (17 Km), Ibăneasa (42 Km), Sitna (65 Km), Scurgerea minimă se produce toamna şi în prima parte a iernii (septembrie-ianuarie), debitele minime Miletinul (51 Km în teritoriul judeţului). zilnice cu asigurarea de 80 % pe principalele râuri fiind de 0,15 m3/s pe Siret la Şerbăneşti-Huţani şi 2,80 m3/s la Lespezi; 11,2 m3/s pe Prut la Rădăuţi-Prut; 0,013 pe Jijia aval de pârâul Ibăneasa şi 0 m3/s la Densitatea reţelei hidrografice permanente este redusă fiind de 0,41 Km/Km2. Todireni. Pe râurile mai mici debitele minime zilnice cu aceeaşi probabilitate de 80 % sunt nesemnificative, prezentând fenomenul de secare. Alimentarea râurilor se face în proporţie de 86 % din ploi şi zăpezi şi numai 14 % din surse subterane. În privinţa alimentării de suprafaţă predomină cea din ploi (peste 55 %), alimentarea din zăpezi fiind - Lacurile completează reţeaua hidrografică a judeţului, majoritatea fiind create prin bararea văilor. Pe secundară (sub 45 %). teritoriul judeţului Botoşani există cca. 150 lacuri, în mare parte folosinţe piscicole, dar şi surse de alimentare cu apă în scop potabil pentru un număr important de localităţi. Lacul Bucecea are un volum Analiza debitelor medii multianuale evidenţiază faptul că cele mai bogate ape sunt Prutul şi Siretul, cu 85 util de 8,73 mil. mc şi asigură alimentarea cu apă potabilă pentru municipiile Botoşani şi Dorohoi, m3/s şi respectiv 12,7 m3/s la intrarea în judeţ şi 92 m3/s, respectiv 35,0 m3/s la ieşire. Pe celelalte râuri precum şi pentru zonele limitrofe aducţiunilor. De asemenea, asigură tranzitarea unor debite în perioade debitele medii au următoarele valori: Jijia la Todireni -2,09 m3/s, Başeul la Ştefăneşti - 1,89 m3/s, Sitna la excedentare pe derivaţia Siret – Sitna (în acumularea Cătămărăşti) pentru compensarea deficitelor de apă Todireni - 2,0 m3/s, Miletinul la Cîmpeni 0,47 m3/s, Volovăţul - 0,43 m3/s, Corogea - 0,09 m3/s. din bazinul Jijia. Lacul Stânca, cu un volum total de 1285 mil mc şi un volum util de 450 mil. mc, Tabel A.1.2.3.a asigură alimentarea cu apă potabilă pentru localităţile Ştefăneşti şi Truşeşti şi, în perspectivă, Santa Mare şi Dângeni, dar produce şi energie electrică, la o putere instalată de 65 mil. kWh. Lacul Negreni, situat Debite măsurate pe râuri în judeţul Botoşani în anul 2004 (mc/s) pe râul Negreni în zona localităţii Negreni, asigură apă potabilă pentru oraşul Săveni cu un debit instalat Râul Staţia hidrometrică Debit maxim în anul 2004 m3/s Debit mediu multianual (m3/s) de 43 l/s. Volumul util este de 10,30 mil. mc. Putem aminti şi alte lacuri cu folosinţă piscicolă, cum ar fi: Prut Radauti-Prut 563 79.6 Iezer, Cătămărăşti, Cal Alb, Mileanca, Dracşani. Prut Stanca aval 201 82.4 Tabel A.1.2.3.b Volovat Manoleasa 1,39 0.434 Baseu Stefanesti 6,97 1.74 Jijia Dorohoi 3,02 0.665 Jijia Dangeni 21,4 1.74 Resurse de apa acumulate in judeţul Botoşani Denumirea lacului de acumulare Volum total (mii. m3) Volum util (mil. m3) Jijia Todireni 23,8 2.25 Stânca – Costeşti 1.400.000 450.000 Buhai Padureni 1,34 0.168 Cal -Alb 16.280 4.950 Drislea Drislea 4,46 0.108 Negreni 25.600 8.800 Deriv. Siret Sitna Bucecea 2,38 0.450 Hăneşti 6.400 4.200 Sitna Catamarasti 2,46 0.396 Mileanca 14.350 5.100 Sitna Dracsani 5,47 1.53 Iezer 14.100 3.600 Sitna Todireni 16,2 2.3 Cătămărăşti 17.950 7.520 Miletin N.Balcescu 7,6 0.468 Dracşani 10.710 8.210 Sursa: Direcţia Apele Române “Prut” Iaşi Sursa: Direcţia Apele Române “Prut” Iaşi Volumul cel mai mare de apă este transportat de râuri primăvara şi vara, ca urmare a topirii zăpezilor şi Parte din aceste lacuri sunt colmatate, depunerile in cuveta lacului fiind în unele cazuri, excesiv de ploilor specifice acestor anotimpuri, cele mai bogate scurgeri producându-se în lunile aprilie-iunie pe Siret mari. Din totalul acumulărilor studiate, acumulările Bucecea, Stânca şi Cătămărăşti se încadrează în şi Prut şi în lunile martie-aprilie pe râurile afluente. De cele mai multe ori în aceste perioade se produc şi clasa a II-a de calitate, restul fiind situate în clasa a III-a şi a IV-a. debitele cele mai mari, maximele înregistrate având următoarele valori: 865 m3/s pe Siret la Şerbăneşti- Huţani şi 1140 m3/s la Lespezi, 3875 m3/s pe Prut la Rădăuţi-Prut, 225 m3/s pe Jijia la Dorohoi şi 375 m3/s la Todireni, 330 m3/s pe Başeu la Ştefăneşti, 77 m3/s pe Sitna la Botoşani, etc. Majoritatea s-au produs ca urmare a viiturilor din vara anului 1969. Elaboratori: UAUIM-CCPEC, Bucureşti, împreună cu, Universitatea Bucureşti – CICADIT, SC. Quattro Design s.r.l. – Bucureşti, SC. Urbatech s.r.l. – Iaşi, UAIC - Facultatea de Geografie, Iaşi, 10
  • 13.
    Actualizare Plan deAmenajarea Teritoriului Judeţean Botoşani Consiliul Judeţean Botoşani Tabel A.1.2.3.c apariţia unor tufărişuri alcătuite din arbuşti ca: Prunus spinosa (porumbarul), Rosa canina (măceşul), Crataegus monogina (păducelul), etc. De-a lungul râurilor ca şi pe solurile de lăcovişte umede, se Utilizarea lacurilor antropice întâlneşte o vegetaţie hidrofilă reprezentată prin specii de: Typha latifolia (papură), Phragmites Lac Curs de Vol. tot. australis (stuf), Equisetum palustre (barba ursului), Corex riparia (rogoz), Polygonum amphibium Folosinţa principală Stadiu trofic Nume Tip apă (mil. m3) (troscot de baltă), etc. În pajiştile stepice xeromezofile se întâlnesc speciile: Festuca valesiaca (păiuş), Stânca Costeşti artificial Prut 735 Regularizare debite, alimentare cu apă, Oligotrof Stipa joannis, Stipa lessingiana, stipa pulcherima (colilie) în special în jurul localităţilor Todireni, producerea energiei electrice, atenuarea viiturilor Unţeni, Călăraşi, Hlipiceni. Negreni artificial Başeu 10,3 Alimentarea cu apă a oraşului Săveni, irigaţii, Eutrof apărarea împotriva inundaţiilor Cal Alb artificial Başeu 6,15 Piscicultură, atenuarea viiturilor, irigaţii Eutrof În partea nordică, vestică şi sudică a judeţului, în pajişti şi terenurile agricole se întâlnesc: Festuca Mileanca artificial Podriga 6,1 Piscicultură, atenuarea viiturilor, irigaţii Mezotrof valesiaca (păiuşul), Festuca rupicola care ocupă locul fostelor păduri de Quercus robur (stejar). Cătămărăşti artificial Sitna 8 Piscicultură, atenuarea viiturilor, irigaţii Oligo-mezotrof Pădurile au o suprafaţă de aproximativ 54.000 ha, reprezentând 12% din suprafaţa judeţului şi sunt Dracşani artificial Sitna 28,6 Piscicultură, atenuarea viiturilor Eutrof alcătuite din stejar şi gorun (37%), carpen (22%), frasin, arţar, jugastru, ulm (20%), salcie, plop, tei Hăneşti artificial Başeu 6,4 Piscicultură, atenuarea viiturilor Hipertrof (14%) şi fag (7%). Sursa: Direcţia Apele Române “Prut” Iaşi În nord-vestul judeţului se întind pădurile de gorun, stejar, carpen, tei, arţar, etc. În partea de sud-vest a În privinţa zonării hidrografice, judeţul Botoşani se încadrează în două mari zone: cu umiditate moderată judeţului se întâlnesc păduri de amestec alcătuite din: fag, gorun, carpen, etc., iar pe albiile râurilor Prut corespunzătoare Podişului Sucevei şi cu umiditate deficitară corespunzătoare Câmpiei Moldovei. şi Siret sunt însemnate lunci alcătuite din specii lemnoase de esenţe moi: salcie, plop. Răspunzând cerinţelor strategiei europene de protejare a biodiversităţii care prevede conservarea naturii şi - Zona hidrografică cu umiditate moderată se caracterizează printr-o scurgere lichidă medie specifică de 2- gestionarea ei în perspective unei dezvoltări durabile, au fost luate în evidenţă şi alte zone dezinteres 6 l/s/Km2, ape mari de primăvară şi viituri de vară, o alimentare pluvială moderată şi subterană moderată, pentru biodiversitatea judeţului (în afara celor 8 situri protejate de interes naţional) şi anume 23 arii prin ape bicarbonatate cu mineralizări sub 500 mg/l, prin acvifere subterane locale şi continui, prin utilizări naturale protejate situate în fond forestier încadrate în grupa I funcţională. În acelaşi scop au fost în alimentarea cu apă potabilă şi industrială, piscicultură, irigaţii. declaraţi monumente ale naturii 65 arbori seculari şi 7 specii de plante rare ocrotite pe întreg teritoriul judeţului (Hotărârea nr. 5/1995 a Consiliului Judeţean Botoşani). - Zona hidrografică cu umiditate deficitară se caracterizează printr-o scurgere lichidă medie specifică de 1- Tabel A.1.2.4.a 2 l/s/Km2, ape mari de primăvară, alimentare pluviovivală şi subterană moderată, prin ape sulfatate sodice cu mineralizări peste 1000 mg/l, prin acvifere locale, dar continui în lunci, în general nepotabile, prin Specii de floră inventariate conform Legii 462/2001, anexele 3 şi 4 existenţa a numeroase acumulări şi iazuri, prin impurificări mari care dau apei calităţi necorespunzătoare, Denumire ştiinţifică şi populară Localizare prin utilizări locale în alimentări cu apă, piscicultură, irigaţii. Cypripedium calceolus – papucul Rezervaţia de tisă Tudora, Pădurea Baisa, Pădurea Corni, Codrul eminescian- doamnei comuna M. Eminescu, Hudeşti (sat Baranca), Pădurea Vorona Pe total judeţ resursele de apă captate se prezintă astfel: În prezent, pădurile sunt ameninţate de o degradare scăpată de sub control şi de transformarea lor spre Tabel A.1.2.3.d alte folosinţe. Se înregistrează o extindere a agriculturii, un păşunat excesiv, tăieri necontrolate, Volume captate pe bazine hidrografice în anul 2004 Volume captate pe activităţi economice combaterea necorespunzătoare a incendiilor şi daune datorate poluării aerului. Daunele provocate Sursa de Volume captate Total volum captat Volume captate pădurilor şi pierderea lor conduc la eroziunea solului, reduc diversitatea biologică şi habitatele Bazinul hidrografic Activităţi captare (mil. m3) (mil. m3) (mil. m3) vieţuitoarelor sălbatice, degradează bazinele hidrografice şi reduc cantitatea de lemne de foc, cherestea suprafaţă 24,29 Populaţie 15,76 şi de alte bunuri necesare dezvoltării umane. Ele reduc numărul de arbori care pot reţine dioxidul de B.H. PRUT subteran 0,89 25,18 Industrie 10,70 carbon, care este un gaz cu efect de seră. Pădurile deţin 54635 ha (10,1 %) din totalul suprafeţei subteran 0,18 Irigaţii 0,52 suprafaţă 24,0 Piscicultură 23,14 judeţului. În tabelele de mai jos sunt prezentate suprafeţele împădurite pe forme de proprietate şi grupe B.H. SIRET 24,97 Zootehnie 0,04 funcţionale: subteran 0,97 Tabel A.1.2.4.b TOTAL 50,15 Sursa: Direcţia Apele Române “Prut” Iaşi Suprafaţa ocupată cu păduri pe categorii de proprietate A.1.2.4 Resurse ale solului şi subsolului Persoane juridice Total RNP Unităţi administrativ teritoriale Persoane fizice (unităţi de cult, şcoli) Fond forestier Vegetaţia şi fauna. Vegetaţia naturală a judeţului Botoşani, caracteristică zonei de silvostepă, este 45.232 ha 14 ha 508 ha 8881 ha 54.635 ha alcătuită predominant din plante ierboase în păşuni naturale care ocupă cca. 13% din suprafaţa agricolă Sursa: Date prelucrate DJS Botoşani a judeţului, reprezentate prin asociaţii de graminee adaptate la secetă, ca şi prin unele specii de plante suculente şi bulbifere, care formează asociaţii vegetale ce ocupă zonele afectate de alunecări de teren din parte de nord, est-vest şi sud-vest a judeţului. Monotonia covorului erbaceu este modificată de Elaboratori: UAUIM-CCPEC, Bucureşti, împreună cu, Universitatea Bucureşti – CICADIT, SC. Quattro Design s.r.l. – Bucureşti, SC. Urbatech s.r.l. – Iaşi, UAIC - Facultatea de Geografie, Iaşi, 11
  • 14.
    Actualizare Plan deAmenajarea Teritoriului Judeţean Botoşani Consiliul Judeţean Botoşani Tabel A.1.2.4.c Tabel A.1.2.4.d Suprafaţa ocupată cu păduri pe grupe funcţionale Repartiţia solurilor pe categorii Repartiţia solurilor pe categorii Categoria de proprietate de utilizare (ha) de calitate Grupa funcţională Unităţi administrativ Persoane Total Total judeţ 498569 Clasa de calitate Suprafaţa (ha) RNP Persoane juridice Total agricol, din care: 393472 total 387.796 teritoriale fizice FF I 7667 ha - 139 ha 510 ha 8316 ha Arabil 299262 Clasa de calitate a I-a foarte bună 1.365,03 II 37565 ha 14 ha 369 ha 8371 ha 46319 ha Păşuni 75070 Clasa de calitate a II-a bună 165.388,40 Total 45232 ha 14 ha 508 ha 8881 ha 54635 ha Fâneţe 14692 Clasa de calitate a III-a mijlocie 129.138,28 Sursa: Date prelucrate DJS Botoşani Terenuri viticole 1773 Clasa de calitate a IV-a slab 57.056,43 Terenuri pomicole 2675 Clasa de calitate a V-a foarte slabă 15.769,60 Fauna. În judeţul Botoşani se pot diferenţia două domenii faunistice: unul de silvostepă şi altul de Sursa: date prelucrate pădure. Suportul acestui fond funciar şi agricol este format dintr-o gamă variată de soluri, ca o consecinţă a Fauna de silvostepă, respectiv din zona de câmpie, este reprezentată prin unele rozătoare ca: popândăul, diversităţii condiţiilor de relief, climă, ape, vegetaţie. dăunător pentru culturile cerealiere, o varietate specifică nordului Moldovei de căţelul pământului, Principalele tipuri de sol din teritoriul judeţului sunt reprezentate prin (vezi cartograma ): şoarecele de stepă, şobolanul de câmp, iepurele de câmp. Pe seama lor trăiesc unele mustelide ca: dihorul, - Cernoziomuri, tipice şi de pantă, local carbonatice şi vertice, cu o răspândire relativ redusă sub forma nevăstuica, iar dintre marile carnivore menţionăm vulpea. unor benzi în lungul principalelor văi şi pe unele interfluvii din zona câmpiei colinare (peste 41.000 ha). Avifauna este reprezentată de graur, pitpalacul, ciocârlia de câmp, dumbrăveanca şi unele răpitoare ca: uliul porumbar. Pe iazurile mai mari ori pe bălţile Prutului se întâlnesc frecvent lişiţa, raţa sălbatică. - Cernoziomuri cambice, tipice, de pantă, argiloiluviale, vertice, cu o largă răspândire în zona câmpiei Dintre reptilele mai frecvente sunt şopârlele, iar dintre batracieni: broasca râioasă sau broasca de lac şi colinare, pe versanţi şi interfluvii, ocupând peste 121.000 ha. buhaiul de baltă. - Soluri cenuşii, tipice şi de pantă, local cu cernoziomuri argiloiluviale şi soluri cernoziomoide, ocupă suprafeţe de peste 47.100 ha în partea de nord şi vest a teritoriului, ca şi în zona colinară Copalău - Fauna de pădure cuprinde unele din elementele menţionate mai sus, dar se caracterizează mai ales prin: Cozancea - Guranda. căprioara, întâlnită în toate pădurile din Dealurile Siretului şi în cele din Dealurile Cozancei, mistreţul, vulpea, care trece şi în câmpie unde vânează rozătoare, şi pisica sălbatică. Avifauna este reprezentată de - Soluri brune luvice, tipice, erodate, local cu luvisoluri albice, întâlnite în zona dealurilor înalte din mierlă, sturzul cântător, gaiţa, unele specii de piţigoi, turturica. La acestea se adaugă unele rozătoare ca: vest, nord-vest şi sud-est, ca şi în zona colinară Copalău - Cozancea, ocupând peste 25.500 ha. gaia, uliul. Reptilele sunt mai numeroase, reprezentate prin şarpele de pădure şi diferite şopârle. - Luvisoluri albice, cu apariţii insulare în nord-vest şi sud-est pe înălţimile mari. Deosebit de bogată este fauna de frunzar, în care gasteropodele, păianjenii, insectele şi miriapodele - Lăcovişti şi lăcovişti salinizate, întâlnite în principal în luncile Jijiei şi Başeului, Miletinului, Corogei, formează o lume puţin studiată. Pentru protejarea faunei sălbatice locale, conform legislaţiei comunitare, dar şi pe unii versanţi în combinaţie cu cernoziomurile de pantă, ocupând peste 5.000 ha. pe teritoriul judeţului Botoşani sunt nominalizate, prin Hotărârea Consiliului Judeţean nr. 5/1995, 78 - Soloneţuri şi solonceacuri (sărături), se întâlnesc insular în luncile Başeului şi Jijiei sau pe unii specii de păsări şi 5 specii de animale care beneficiază de un regim special de ocrotire. Cea mai versanţi în combinaţie cu alte soluri de pantă şi de luncă, ocupând cca. 8.000 ha. reprezentativă zonă din judeţ din punct de vedere al varietăţii avifaunistice este lunca Prutului unde au fost inventariate 93 de specii de păsări. Acumularea Stânca-Costeşti a fost declarată arie de importanţă - Regosoluri şi erodisoluri, răspândite în principal pe versanţii cuestiformi şi pe cei afectaţi de eroziuni avifaunistică prin HG nr. 2151/2004. şi alunecări intense, ocupând peste 4.200 ha. - Aluviuni şi soluri aluviale, local cu sărături şi cernoziomuri de luncă, întâlnite în luncile râurilor şi ale Solul. Fondul funciar al judeţului Botoşani în suprafaţă de 498.569 ha este constituit din 77,8% terenuri cu afluenţilor secundari, pe o suprafaţă de peste 47.000 ha. destinaţie agricolă, 11,5% păduri şi terenuri forestiere, 2,8% terenuri cu ape, 3,9% terenuri neproductive, - Soluri turboase, ocupă un areal restrâns pe valea Bahnei. 4,0% circulaţii şi construcţii. Terenurile agricole sunt constituite din terenuri arabile (58,5%), păşuni şi Exceptând zonele acoperite cu păduri, construcţii, ape, majoritatea fondului pedologic este folosit în fâneţe (17,9%), terenuri viticole şi pomicole (1,4%). agricultură, terenurile agricole deţinând o suprafaţă de 387.796 ha. Din punct de vedere al potenţialului lor natural de fertilitate, solurile pot fi grupate în următoarele categorii: Soluri cu potenţial ridicat de fertilitate, în care se includ toate categoriile de cernoziomuri şi unele soluri aluviale, atunci când nu sunt afectate de factori limitativi (eroziuni, alunecări, sărături etc.). Acestea se pretează pentru tot felul de utilizări agricole, dar în principal sunt favorabile culturilor cerealiere şi tehnice. Elaboratori: UAUIM-CCPEC, Bucureşti, împreună cu, Universitatea Bucureşti – CICADIT, SC. Quattro Design s.r.l. – Bucureşti, SC. Urbatech s.r.l. – Iaşi, UAIC - Facultatea de Geografie, Iaşi, 12
  • 15.
    Actualizare Plan deAmenajarea Teritoriului Judeţean Botoşani Consiliul Judeţean Botoşani Potenţialul lor poate fi ridicat prin măsuri ameliorative şi agrotehnice: irigaţii, combaterea eroziunii şi şi mai ales foarte slabe a solurilor cu fosfor mobil. Ca urmare, acest deficit în fosfor reprezintă un excesului de umiditate, îngrăşăminte minerale şi organice în doze moderate. factor limitativ important pentru producţia agricolă din judeţul Botoşani. – Asigurarea solurilor agricole cu potasiu este bună pe ansamblul judeţului, numai 7% din solurile Soluri cu potenţial moderat de fertilitate sunt solurile cenuşii şi brune luvice, majoritatea solurilor aluviale, agricole sunt slab şi mijlociu aprovizionate. precum şi cele slab-moderat erodate din prima categorie. Au o pretabilitate aproximativ egală pentru cereale, pajişti şi culturi viti-pomicole, cu excepţia celor aluviale, apte pentru cereale, plante tehnice, Starea agrochimică a terenurilor agricole, conform datelor din tabelul de mai jos prezintă următoarele legume şi zarzavaturi, pajişti. Potenţarea fertilităţii naturale prin măsuri ameliorative complexe măreşte aspecte defavorabile: gama pretabilităţii şi fertilităţii. Tabel A.1.2.4.e Soluri cu potenţial scăzut de fertilitate, includ solurile erodate şi slab evoluate (regosoluri şi erodisoluri) cu pretabilitate limitată pentru pajişti, plantaţii viti-pomicole şi forestiere, apoi solurile brune şi luvisoluri albice, pretabile pentru pajişti, plantaţii pomicole, păduri şi unele culturi (cartof, secară, plante furajere), Factor limitativ Suprafaţa (ha) lăcoviştile, pretabile pentru fâneţe şi, în sfârşit, solurile sărăturoase, cu fertilitate aproape nulă. Pentru a Eroziune (de la slabă la excesivă) 104.273,26 aduce aceste soluri la un nivel corespunzător de fertilitate şi productivitate sunt necesare măsuri complexe Alunecări (stabilizate, semistabilizate, active) 36.379,81 şi costisitoare. Gleizare (de la slabă la excesivă) 72.764,71 Pseudogleizare (de la slabă la excesivă) 6.555,07 Datorită secetei repetate cat şi a folosirii neraţionale a terenurilor agricole şi arabile, calitatea solurilor a Inundabilitate 29.034,17 scăzut, astfel, în judeţul Botoşani, se întâlnesc următoarele aspecte defavorabile: – Eroziunea solului afectează 40,6% din suprafaţa agricolă totală. Solurile excesiv erodate Sursa: OSPA Botoşani (reprezentate de ravene ogaşe, cornişe de desprindere) au o pondere de 2,2% din suprafaţa agricolă. Pot fi diferenţiate pe teritoriul judeţului următoarele categorii de terenuri degradate: În ultimul timp degradarea solurilor prin eroziune s-a intensificat datorită desţelenirii unor suprafeţe - Terenuri degradate prin eroziuni areolare (de suprafaţă) - întâlnite pe toate suprafeţele cu pante mai şi a benzilor înierbate, amplasate pe versanţii cu pante mari. mari de 3°, fiind cu atât mai afectate cu cât panta este mai mare. Pe pantele de peste 5-6° solul este – Alunecările de teren afectează 15 % din suprafaţa totală agricolă, din care cele active 9,1%. complet erodat, iar roca la zi favorizează formarea de sărături, aşa cum se întâmplă în bazinul Başeului Extinderea alunecărilor de teren în ultimii ani, se datorează lipsei unui program de îmbunătăţiri şi al afluentului său Podriga. Eroziunea areolară este larg răspândită, suprafeţe importante fiind funciare, care prin lucrări de nivelare, drenaj, înierbare sau împădurire au rolul de a proteja aceste întâlnite în nord şi vest (comunele Suharău, Pomîrla, Rădăuţi-Prut, Văculeşti, Leorda), în centru terenuri. (comunele Cordăreni, Nicşeni, Vlăsineşti) şi sud-est (Albeşti, Răuseni, Călăraşi). – Excesul de umiditate de natură freatică afectează 12,6% din solurile agricole. Lucrările de desecare - Terenuri degradate prin eroziuni torenţiale (ogaşe, ravene, torenţi) - întâlnite pe versanţii cuestiformi şi drenaj executate înainte de 1989 pe o parte din aceste terenuri nu mai funcţionează decât parţial cu orientare nordică şi vestică ai văilor principale şi secundare. Suprafeţe mari peste 100 ha afectate de sau sunt complet degradate. ravenare şi torenţialitate sunt întâlnite în comunele Hilişeu-Horia, Şendriceni, Stăuceni, dar şi în – Aciditatea solurilor poate fi cauzată sau accentuată de tehnologii agricole inadecvate, cum este comunele Hudeşti, Viişoara, Drăguşeni, Copalău, Frumuşica, Vorona, Corni, teritoriile oraşelor folosirea an de an a unor doze mari de îngrăşăminte cu reacţie fiziologică acidă. Solurile cu reacţie Dorohoi şi Botoşani (suprafeţe între 50 şi 100 ha). acidă ocupă zone mari în partea vestică şi nord-vestică a judeţului. Solurile puternic-moderat acide se regăsesc pe 5,9% din suprafaţa agricolă totală. Există un număr de 11 comune în care ponderea - Terenuri degradate prin alunecări de teren - întâlnite pe versanţii cuestiformi ai Jijiei, Sitnei, solurilor acide este mult mai mare decât media pe judeţ (de ex. Dersca, vf. Câmpului, Corni, Miletinului, Başeului, Prutului, pe fruntea teraselor, pe versanţii cu alternanţe de roci plastice, nisipuri, Vorona, Curteşti, Suharău, Cristineşti). gresii, în bazinele superioare ale râurilor Sitna, Miletin, Başeu, etc. Suprafeţe mai mari de 100 ha – Solurile alcaline (cu pH mai mare de 8,4) totalizează 4,7 % din suprafaţa studiată. În unele comune, afectate de alunecări se întâlnesc în comunele Hilişeu-Horia, Dresca, Şendriceni, Văculeşti, Ungureni, ponderea solurilor alcalizate este mai mare decât media pe judeţ (peste 10% soluri alcalinizate): Răchiţi, Stăuceni, Gorbăneşti, Lunca, Albeşti, Todireni, Răuseni, Călăraşi, Santa Mare, Mitoc şi în Vlăsineşti, Ştefăneşti, Dângeni, Suliţa, Coţuşca, Gorbăneşti. treritoriul oraşului Săveni. Comunele cu suprafeţe între 50 şi 100 ha afectate de alunecări sunt: – În ceea ce priveşte asigurarea solurilor agricole cu humus, datele de analiză arată că 30% din Hudeşti, Suharău, Leorda, Mihai Eminescu, Curteşti, Băluşeni, Truşeşti, Hăneşti, Avrămeni, Coţuşca, acestea sunt slab şi foarte slab asigurate cu humus. Cauza cea mai importantă a conţinutului scăzut la care se adaugă şi teritoriul oraşului Botoşani. de humus constă în eroziunea moderată, puternică sau excesivă ce se constată pe versanţii cu - Terenuri degradate prin exces de umiditate şi local sărături - întâlnite în luncile văilor principale şi înclinare mare. secundare. Teritoriile administrative cu suprafeţe mari afectate (peste 100 ha) sunt: Săveni, Albeşti, – Azotul reprezintă principalul element de nutriţie implicat în procesele de creştere şi dezvoltare a Dângeni, Manoleasa, Păltiniş, Şendriceni, Todireni, Văculeşti, Vârfu Câmpului, iar cele cu suprafeţe plantelor. Asigurarea slabă cu azot a fost constatată pe 25% din suprafaţa agricolă totală. În între 50 şi 100 ha sunt: Dobârceni, Gorbăneşti, Leorda, Răuseni, Suharău, Stăuceni, Ştefăneşti. condiţiile geomorfologice ale judeţului Botoşani, cu o pondere însemnată a terenurilor în pantă, eroziunea afectează semnificativ atât rezerva de azot organic, cât şi dinamica de durată a formelor Resursele subsolului sunt reprezentate de o serie de roci utile şi substanţe minerale, legate de minerale de azot din sol. constituţia geologică a teritoriului, între care menţionăm (vezi cartograma ): – Asigurarea foarte slabă şi slabă cu fosfor mobil se regăseşte pe 44% din suprafaţa studiată. - Nisipuri silicioase - întâlnite în zona dintre Rădăuţi - Prut şi Miorcani şi în zona Hudeşti - Alba - Cercetările agricole au stabilit că au loc pierderi importante de recoltă în cazul aprovizionării slabe Suharău, exploatate prin puţuri la Miorcani şi Hudeşti. - Flinturi (bile şi fragmente de silex) exploatate la Miorcani, odată cu nisipurile. Elaboratori: UAUIM-CCPEC, Bucureşti, împreună cu, Universitatea Bucureşti – CICADIT, SC. Quattro Design s.r.l. – Bucureşti, SC. Urbatech s.r.l. – Iaşi, UAIC - Facultatea de Geografie, Iaşi, 13
  • 16.
    Actualizare Plan deAmenajarea Teritoriului Judeţean Botoşani Consiliul Judeţean Botoşani - Nisipuri glauconitice - prezente la Rădăuţi - Prut - Crăiniceni. - Nisipuri - întâlnite la Păltiniş - cariera Eşanca - la Manoleasa pe Prut, în apropiere de Dorohoi, în comuna Stinbieni. - Gipsuri - întâlnite în nord între Crasnaleuca - Miorcani - Rădăuţi-Prut - Horodiştea - Cuzlău - Păltiniş - Conceşti - Hudeşti - Suhărău - Dersca, dar exploatate rentabil în zona Cuzlău - Păltiniş. - Sulf - identificat în teritoriul oraşului Darabani şi la Păltiniş, precum şi pe valea Podriga la cca. 2 km sud-vest de Darabani. - Turbă - exploatată în zona Dersca - Lozna, pe valea Bahnei. - Calcare recifale - întâlnite între Miorcani şi Stânca şi exploatate la Ripiceni, Miorcani, Stânca. - Gresii - exploatate în carierele de la Ivăncăuţi - Păltiniş, Hudeşti, Oneaga - Cristeşti, dar prezente şi pe teritoriul comunelor Conceşti, Păltiniş, Rădăuţi - Prut, Tudora, Frumuşica, Ibăneşti ş.a. - Pietrişuri - exploatate în lungul Prutului la Crasnaleuca, Baranca, Oroftiana, pe Jijia la Răuseni, pe Siret la Tudora, Corni, Vârfu Câmpului, ş.a. - Argile bentonitice - întâlnite în zona localităţii Crasnaleuca. - Argile comune - au o largă răspândire, exploatări mai importante fiind la Bajura-Cuzlău, Mitoc, zona Darabani, Iezar-Dorohoi, Albeşti, Ungureni, Săveni, Botoşani, Suharău, Bucecea, Mihăileni, Ilorda, etc. - Tufuri - apar în zona Hudeşti şi la Cuzlău-Păltiniş. A.1.3 Zone protejate şi peisaje culturale A.1.3.1 Zone protejate Ministerul Mediului şi Gospodăririi Apelor publică, prin intermediul paginii sale Internet, lista ariilor protejate, conform prevederilor Ordonanţei de Urgenţă a Guvernului României nr. 57/2007 privind regimul ariilor naturale protejate, conservarea habitatelor naturale, a florei şi faunei sălbatice, publicată în Monitorul Oficial nr. 442 din 29 iunie 2007, pentru următoarele grupe de arii naturale protejate: 1. Parcuri naţionale şi naturale – nu există în judeţul Botoşani Fig. A.2.1.a. Arii naturale protejate în judeţul Botoşani, pe categorii. 2. Rezervaţii ştiinţifice, rezervaţii naturale şi monumente ale naturii 3. Situri de Importanţă Comunitară (reţeaua ecologică europeană Natura 2000) Ariile naturale protejate din categoria a III-a corespund prevederilor OM nr. 776/2007 privind 4. Situri de Protecţie Avifaunistică (reţeaua ecologică europeană Natura 2000) declararea siturilor de importanţă comunitară ca parte integrantă a reţelei ecologice Natura 2000 în 5. Limita de aplicare a Convenţiei-cadru privind protecţia şi dezvoltarea durabilă a Carpaţilor România, publicat în Monitorul Oficial nr. 615 din 15 septembrie 2007, iar cele din categoria a IV-a (Convenţia Carpatică), adoptată la Kiev la 22 mai 2003 – nu există în judeţul Botoşani HG nr. 1284/2007 privind declararea ariilor de protecţie specială avifaunistică ca parte integrantă a reţelei ecologice europene Natura 2000 în România, publicată în Monitorul Oficial nr. 739 din 31 octombrie 2007. Situaţia ariilor naturale protejate din categoriile a II-a, a III-a şi a IV-a la nivelul judeţului Botoşani este prezentată, pe baza datelor puse la dispoziţia publicului pe site-ul ministerului de resort, în Fig. A.2.1.a. Elaboratori: UAUIM-CCPEC, Bucureşti, împreună cu, Universitatea Bucureşti – CICADIT, SC. Quattro Design s.r.l. – Bucureşti, SC. Urbatech s.r.l. – Iaşi, UAIC - Facultatea de Geografie, Iaşi, 14
  • 17.
    Actualizare Plan deAmenajarea Teritoriului Judeţean Botoşani Consiliul Judeţean Botoşani Tabel A.2.1.a Tabel A.2.1.b Arii protejate prin Hotărârea 5/1995 a Consiliului Judeţean Botoşani Monumente ale naturii Numele Tipul Suprafaţa (ha) Denumire Localizare Administrator Pădurea Ciornohal forestier 76,5 Stejar (5 buc) Municipiul Botoşani Consiliul Local Botoşani Rezervaţia de tisă forestier 119 Stejar brumăriu Municipiul Botoşani Consiliul Local Botoşani Arinişul de la Horlăceni forestier 5,0 Salcâm japonez Municipiul Botoşani Consiliul Local Botoşani Făgetul secular de la Stuhoasa forestier 60,5 Paulonia Municipiul Botoşani Consiliul Local Botoşani Pădurea Vorona forestier 149,4 Fagul roşu Municipiul Botoşani Consiliul Local Botoşani Codrul eminescian de la Ipoteşti forestier 762,4 Tei (2 buc) Municipiul Botoşani Consiliul Local Botoşani Pădurea Guranda forestier 62,2 Pin (2 exemplare) Municipiul Botoşani Consiliul Local Botoşani Pădurea Polonic forestier 34,7 Ginko biloba Municipiul Botoşani Consiliul Local Botoşani Pădurea Rediu forestier 155,1 Magnolia (4 exemplare) Municipiul Botoşani Consiliul Local Botoşani Pădurea Agafton-Baisa forestier 75,8 Plopul alb Municipiul Botoşani Consiliul Local Botoşani Pădurea Buduhala-Copălău forestier 46,6 Molid argintiu (6 exemplare) Municipiul Botoşani Consiliul Local Botoşani Pădurea Ţiganca forestier 86,0 Salcâm japonez Municipiul Botoşani Consiliul Local Botoşani Pădurea Frumuşica forestier 12,2 Stejar secular (4 exemplare) Comuna Cordăreni Consiliul Local Cordăreni Pădurea Schitul Balş forestier 57,3 Stejar secular (6 exemplare) Pădurea Teioasa Ocolul Silvic Darabani Pădurea Mănăstirea Cozancea forestier 71,3 Stejar secular Pădurea Guranda – Durneşti Ocolul Silvic Truşeşti Pădurea Şendriceni – Horlăceni forestier 170,8+71,6 Stejar secular (2 exemplare) Pădurea Nicolae Bălcescu Ocolul Silvic Flămânzi Stejar secular (2 exemplare) Parcul spitalului Vârf u Câmpului Spitalul Vârfu Câmpului Pădurea Văculeşti forestier 221,2 Stejar secular (3 exemplare) Poiniţa-Dracşani Ocolul Silvic Botoşani Pădurea Horlăceni forestier 258+234,5 Stejar secular Pădurea Băiceni Ocolul Silvic Mihai Eminescu Pădurea Săveni forestier 24,0 Stejar secular Poiana Florii –Pădurea Guranda Ocolul Silvic Truşeşti Pădurea Rai forestier 289,2 Stejar secular DN Botoşani-Iaşi Ocolul Silvic Flămânzi Pădurea Trestioara forestier 72,6 Stejar secular Pădurea Tudora Ocolul Silvic Mihai Eminescu Pădurea Valea Marcului forestier 180,6 Stejar secular SC CONTED SA Dorohoi SC CONTED SA Dorohoi Bălţile Siretului floristic 2,0 Plop alb Comuna Vorona DJDP Botoşani Stânca – Ripiceni floristic 1,0 Gingko biloba (2 exemplare) Parcul Brăeşti Consiliul Local Brăeşti Stânca – Ştefăneşti floristic 1,0 Salcâm japonez (3 exemplare) Grădina de vară Dorohoi Consiliul Local Dorohoi Turbăria Dersca floristic 10,0 Gorunul lui Cuza Pădurea Vorona Consiliul Local Vorona Zona Cornişa forestier 7,0 Gorunul lui Coroi Pădurea Durneşti Ocolul Silvic Truşeşti Pădurea de salcâmi Darabani forestier 35,0 Castanul lui Eminescu Casa de copii Pomârla Casa de copii Pomârla Pădurea zăvoi Siret forestier 573,0 Molid argintiu Casa memorială “Mihai Eminescu” Ipoteşti Casa memorială “Mihai Eminescu” Ipoteşti Pădurea zăvoi Prut forestier 963,0 Molid argintiu (2 exemplare) Parcul Dorohoi Consiliul Local Dorohoi Pădurea zăvoi Prut forestier 484,4 Ienupăr Pădurea Tudora-Vorona Ocolul Silvic Mihai Eminescu Ienupăr (2 exemplare) Parcul Dorohoi Consiliul Local Dorohoi În judeţul Botoşani există un număr de 31 arii naturale protejate cu suprafaţa totală de 5372,7 ha, ceea Masa tâlharilor Între comunele Frumuşica şi Flămânzi Ocolul Sivic Flămânzi ce reprezintă cca. 1,09% din suprafaţa totală a judeţului. Din acestea, 23 sunt protejate în plan local (şi sunt în fond forestier), iar 8 rezervaţii naturale, cu suprafaţa de 275 ha, sunt nominalizate în Legea nr. Conform angajamentelor asumate de România în negocierea Capitolul 22 Mediu – secţiunea Protecţia 5/2000, fiind incluse în Reţeaua Naţională de Arii Protejate. Acestea sunt: Făgetul secular de la Naturii, APM Botoşani a completat Formularele Standard pentru opt propuneri de situri Natura Stuhoasa, Pădurea Tudora, Pădurea Cionohal, Arinişul de la Horlăceni, Rezervaţia floristică de la 2000: Pădurea Tudora, Pădurea Vorona, Pădurea Ciornohal, Turbăria de la Dersca, Lac Stânca – Stânca, Rezervaţia floristică de la Ripiceni, Rezervaţia floristică „Bălţile Siretului” din comuna Costeşti, Iaz Hăneşti, Iezer Dorohoi, Balta Lată, Rezervaţia floristica Stânca şi Rezervaţia floristica Bucecea şi Rezervaţia de turbă din comuna Dersca. Aceste situri protejate sunt considerate eşantioane Ripiceni. reprezentative pentru flora şi fauna judeţului în care sunt conservate ecosisteme complexe şi tipuri de habitate cum ar fi: stâncării, păduri de foioase, zone umede, turbării. În aceste teritorii protejate sunt Dintre categoriile de situri care vor intra în componenţa reţelei Natura 2000, situaţia se prezintă astfel: conservate ecosisteme complexe şi tipuri de habitate caracteristice judeţului Botoşani: stâncării, păduri Situri de Importanţă Comunitară – Pădurea Tudora, Pădurea Vorona, Pădurea Ciornohal, Turbăria de la de foioase, zone umede, turbării. Dersca, Rezervaţia floristica Stânca şi Rezervaţia floristica Ripiceni; Arii de Protecţie Avifaunistică – Lac Stânca – Costeşti, Iaz Hăneşti, Iezer Dorohoi şi Balta Lată; potenţiale situri Natura 2000 incluse în CORINE Biotopes – Pădurea Tudora, Pădurea Vorona, Pădurea Ciornohal, Turbăria de la Dersca, Rezervaţia floristica Stânca şi Rezervaţia floristica Ripiceni; alte propuneri – Lac Stânca – Costeşti, Iaz Hăneşti, Iezer Dorohoi şi Balta Lată. Elaboratori: UAUIM-CCPEC, Bucureşti, împreună cu, Universitatea Bucureşti – CICADIT, SC. Quattro Design s.r.l. – Bucureşti, SC. Urbatech s.r.l. – Iaşi, UAIC - Facultatea de Geografie, Iaşi, 15
  • 18.
    Actualizare Plan deAmenajarea Teritoriului Judeţean Botoşani Consiliul Judeţean Botoşani Tabel A.2.1.c Pădurea Ciornohal Suprafaţă: 265 ha Rezervaţii naturale Denumire Localizare Suprafaţa (ha) Administrator Regiunea biogeografică: continentală Pădurea Ciornohal Comuna Călăraşi 76,5 Direcţia Silvică Botoşani – Ocolul Silvic Truşeşti Rezervaţia de Tisă Comuna Tudora 119 Direcţia Silvică Botoşani – Ocolul Silvic Mihai Tipuri de habitate prezente în sit: păduri dacice de stejar şi carpen Eminescu Specii de importanţă comunitară: Iris aphylla ssp. hungarica Arinişul de la Horlăceni Comuna Şendriceni 5 Direcţia Silvică Botoşani – Ocolul Silvic Dorohoi Făgetul Secular de la Comuna Suharău 60,5 Direcţia Silvică Botoşani – Ocolul Silvic Dorohoi Alte specii importante de floră şi faună: Carex brevicollis, Cephalanthera damasonium, Cotinus Stuhoasa coggygria, Cotinus coggygria, Crocus reticulatus, Cypripedium calceolus forma viridiflorum, Dianthus Rezervaţia floristică Comuna Bucecea 2 Consiliul Local Bucecea capitatus, Echium rossicum, Hierochloe repens, Phlomis herba-venti ssp. pungens, Prunus fruticosa, complexă Bălţile Siretului Prunus tenella, Rumex tuberosus, Serratula radiata, Symphytum ottomanum, Symphytum ottomanum, Rezervaţia floristică de Satul Stânca, comuna 1 Consiliul Local Ştefăneşti Schiwereckia podolica Ştefăneşti Trinia multicaulis Turbăria de la Dersca Satul Lozna, comuna 10 Consiliul local Dersca Acoperirea şi utilizarea terenului: culturi (teren arabil), păşuni, păduri de foioase Dersca Rezervaţia floristică de Comuna Ripiceni 1 Consiliul Local Ripiceni Alte caracteristici ale sitului: teritoriul în care se află situl aparţine miocenului reprezentat prin depozite Schiwereckia podolica sarmatice iar din punct de vedere petrografic predomină marnele argiloase, apoi argilele şi mai puţin Lacul Stânca Costeşti Sat Stanca, oraş 2950 Administratia Nationala “Apele Romane” loess-ul. Pădurea Ciornohal aparţine provinciei balcano-meossiace şi este staţiunea cea mai nordică cu Stefanesti Cotinus coggygria, element pontic sub-mediteranean de mare însemnătate fitogeografică. Aici se întâlnesc şi numeroase elemente continentale şi sudice specifice stepei. Dintre numeroasele specii continentale, unele fiind chiar rare, cităm: Adonis vernalis, Amygdalus nana, Centaurea orientalis, Tabel A.2.1.d Veronica spicata. Din grupul speciilor pontice, enumerăm: pontice – Alyssum hirsutum, Dianthus Categoria membranaceus, Marrubium praecox; pontico-submediteraneene – Ranunculus illyricus, Salvia Denumire sit Situri CORINE Biotopes Alte propuneri pratensis, Trifolium pannonicus; pontico-panonice – Acer tataricum, Ajuga laxmani, Carduus pSIC pSPA hamulosus, pontico-balcanice – Arum orientale, Cytisus austriacus, Linum flavum. Numeroase sunt şi Pădurea Tudora x x Pădurea Ciornohal x x speciile sub-mediteraneene, iar dintre acestea cităm: Bupleurum praealtum, Calamintha acinos, Pădurea Vorona x x Herniaria incana. Elementul daco-balcanic este reprezentat numai prin specia Rhinanthus rumelicus. Turbăria de la Dersca x x Calitate şi importanţă: situl este important din punct de vedere bioconservativ şi a fost obiect de studiu Balta Lată x x Iezer Dorohoi x x încă din anul 1909 de către Petre Enculescu. Este o pădure tipică pentru silvostepa nordică din Iaz Hanesti x x România. Din punct de vedere fitogeografic, aici este limita nordică a arealului speciei Cotinus Lac Stânca-Costeşti x x coggygria în România, element pontic-submediteranean. Pădurea este bine conservată, neexistând Rezervaţia floristică Stânca x x factori de degradare. Rezervaţia floristică Ripiceni x x x Desemnarea sitului: este inclus în Anexa I a Legii nr. 5/2000, la poziţia 2230 – "Pădurea Ciornohal". Din punct de vedere administrativ apar ine comunei Călăraşi. Este o rezervaţie de interes botanic în Tabel A.2.1.e principal, fiind inclusă în categoria IV – IUCN. Situri NATURA 2000 Tip de proprietate: proprietate a statului. Situri de Importanţă Comunitară Management: instituţia responsabilă pentru managementul sitului este Direcţia Silvică Botoşani, care a Arii de Protecţie Avifaunistică Denumire sit Tip habitat, specii de interes comunitar preluat în custodie situl, contract nr. 5109/25.08.05. Există plan de management întocmit de custode Pădurea Tudora Păduri cu stejar pedunculat sau stejar subatlantic şi Lac Stânca-Costeşti medioeuropean şi cu Carpinion betuli Direcţia Silvică Botoşani, avizat de Academia Română. Pădurea Vorona Cypripedium calceolus Iaz Hăneşti Pădurea Ciornohal Păduri eurosiberiene cu Quercus robur Iezer Dorohoi Turbăria de la Dersca Depresiuni pe substraturi turboase, asociaţii de Balta Lată lizieră cu ierburi înalte hidrofile Pădurea Tudora Rezervaţia floristică Stânca Pante stâncoase calcaroase cu vegetaţie chasmofitică Rezervaţia floristică Ripiceni Pante stâncoase calcaroase cu vegetaţie chasmofitică Suprafaţă: 245 ha Regiunea biogeografică: continentală Prezentăm în continuare o descriere succintă a ariilor naturale protejate din judeţul Botoşani, parte integrantă a reţelei ecologice europene Natura 2000. Tipuri de habitate prezente în sit: subatlantice şi medioeuropene de stejar sau stejar cu carpen din Carpinion betuli Elaboratori: UAUIM-CCPEC, Bucureşti, împreună cu, Universitatea Bucureşti – CICADIT, SC. Quattro Design s.r.l. – Bucureşti, SC. Urbatech s.r.l. – Iaşi, UAIC - Facultatea de Geografie, Iaşi, 16
  • 19.
    Actualizare Plan deAmenajarea Teritoriului Judeţean Botoşani Consiliul Judeţean Botoşani Alte specii importante de floră şi faună: Accipiter gentilis, Aegithalos caudatus, Asio otus, Buteo buteo, Alte caracteristici ale sitului: situl este situat pe platforma moldovenească a cărei fundament este format Carduelis carduelis, Carduelis chloris, Certhia familiaris, Coccothraustes coccothraustes, Cuculus din roci cristaline, magmatice si roci eruptive ce alcătuiesc un soclu rigid care a suferit o serie de canorus, Dendrocopos major, Dendrocopos medius, Dendrocopos minor, Dryocopus martius, mişcări de ridicare şi coborâre de-a lungul erelor geologice, având loc mai multe transgresiuni şi Emberiza citrinella, Erithacus rubecula, Falco tinnunculus, Ficedula albicollis, Ficedula hypoleuca, regresiuni marine. Odată cu sfârşitul etapei de arie mobilă, geosinclinală, relieful cristalin a fost preluat Hippolais icterina, Hippolais pallida, Hippolais polyglotta, Luscinia megarhynchos, Muscicapa de către agenţii externi care şi-au început activitatea de eroziune. Succesiunea de formaţiuni geologice striata, Oriolus oriolus, Otus scops, Parus caeruleus, Parus lugubris, Parus major, Parus palustris, prezentate pe cursul Prutului poate fi sintetizată în: orizontul de gresii cu silexuri din Badenianul Passer montanus, Phasianus colchicus, Phoenicurus phoenicurus, Phylloscopus collybita, superior, care a constituit o resursă importantă pentru dezvoltarea unor comunităţi umane paleolitice; Phylloscopus sibilatrix, Phylloscopus trochilus, Picus viridis, Regulus regulus, Scolopax rusticola, nivelul de gipsuri din Badenianul superior cantonează ample fenomene carstice cunoscute pe Terra in Sitta europaea, Streptopelia decaocto, Streptopelia turtur, Strix aluco, Sturnus vulgaris, Sylvia gipsuri; calcarele cu Liţoţamnium din Badenianul superior cu potenţial carstic atestat în alte zone; atricapilla, Sylvia borin, Sylvia curruca, Troglodytes troglodytes, Turdus merula, Turdus philomelos, calcarele recifale bugloviene reprezintă probabil cea mai extinsă barieră fosilă de corali din Europa. Capreolus capreolus, Cervus elaphus, Felis silvestris silvestris, Martes martes, Mustela putorius Lacul Stânca-Costeşti este un lac de acumulare construit în vederea exploatării hidroenergiei;lacul putorius, Sciurus vulgaris, Cephalanthera damasonium, Epipactis helleborine, Galanthus nivalis, prezintă variaţii de nivel în funcţie de regimul precipitaţiilor şi utilizare. Sub depunerile mâloase există Orchis purpurea, Platanthera bifolia, Taxus baccata un punct stâncos calcaros care poate fi observat şi la ţărm. Acoperirea şi utilizarea terenului: pajişti naturale, stepe, păduri de foioase Calitate şi importanţă: avifauna din perimetrul lacului de acumulare este constituită din 178 de specii de păsări, unele cu apariţii neregulate, altele fiind prezente în timpul pasajului şi mai ales, iarna, lacul de Alte caracteristici ale sitului: situl prezint importanţă ştiinţifică din punct de vedere al bogăţiei floristice acumulare fiind un important cartier de internare a păsărilor din bazinul românesc al Prutului. Avifauna şi diversităţii vegetaţiei. În areal este semnalată şi prezenţa arboretului de Taxus baccata, specie declarată regiunii cuprinde 136 de specii folosite drept criterii pentru identificarea ariilor de importanţă monument al naturii. Însemnătate fitogeografică deosebită o au şi elementele alpino-carpatice, alpino- avifaunistică, reprezentând 76,40% din totalul avifaunei râului Prut: aglomerări de specii migratoare, boreale şi atlantice (Gentiana ciliata, Crocus beuffelianus, Carex pendula, Hedera helix). Se remarcă şi o neameninţate la nivelul Uniunii Europene – 1 specie, aglomerări mari de păsări de apă în timpul serie de elemente dacice, balcanice de diverse nuanţe (Cardamine glanduligera, Echinops commutatus, migraţiei şi iarna. Zona propusă cuprinde lacul de acumulare amenajată pe valea Prut, în amonte de Telekia speciosa). Numeroase sunt şi elementele sudice de diferite nuanţe: pontice, pontic- Costeşti – până la localitatea Sadoveni. Lacurile sunt un important loc de popas pentru păsările de apă submediteraneene (Lathyrus venetus, Cerinthe minor), sub-mediteraneene (Lathirus nissolia, Stachys în timpul migraţiei, respectiv putând fii observate regulat stoluri mari de raţe, gâşte, pescăruşi, lişiţe, germanica, Asparagus tenuifolius) şi continentale (Koeleria macrantha, Lavathera thuringiaca). Zona cufundari etc. În perioada de cuibărit puţine păsări de apă pot fi întâlnite, dar avifauna clocitoare poate este alcătuită din formaţiuni sedimentare de vârstă sarmaţiană cu un facies petrografic mai rezistent să se îmbogăţească pe măsură ce pe malurile lacului se dezvoltă o vegetaţie mai abundentă. După datele (gresii şi calcare oolitice cu intercalaţii de argile). din prezent, o specie atinge pragul de aglomerare în migraţie, dar probabil vor fi mai multe cu Calitate şi importanţă: situl cuprinde un complex de asociaţii forestiere în parte unice (Făgetum intensificarea observaţiilor Situl este cel mai important cartier de iernare al păsărilor acvatice din moldavicum) la interferenţă de areale biogeografice distincte în făgetogorunete. Situl este bine bazinul românesc al Prutului. conservat, datorită monitorizării permanente şi respectării regulamentului ariei naturale protejate. Desemnarea sitului: a fost desemnat ca Arie de Protecţie Specială Avifaunistică prin Hotărârea de Desemnarea sitului: staţiunea de tisă Tudora a fost semnalată încă din anul 1937 de V. Tufescu. Actul Guvern nr. 2151/2004. de declarare la nivel local este HCJ nr. 5/1995, iar ultimul act de declarare la nivel naţional este Legea Management: APM Botoşani a întocmit Planul de management al sitului, care a fost avizat de nr. 5/2000. Academia Română. Tip de proprietate: toată suprafaţa sitului de 119 ha aparţine fondului forestier proprietate publică a statului. Iazurile de pe valea Ibănesei – Başeului – Podrigăi Management: situl cu suprafaţa de 119 ha este preluat în custodie de Direcţia Silvică Botoşani. Există Suprafaţă: 2512 ha plan de management avizat de Academia Română. Regiunea biogeografică: continentală Lacul Stânca Costeşti Alte specii importante de floră şi faună: Circus aeruginosus, Ixobrychus minutus, Nycticorax nycticorax, Egretta alba, Egretta garzetta, Ardea purpurea, Ciconia ciconia, Chlidonias hybridus, Suprafaţă: 2052 ha Porzana parva, Anthus campestris, Lanius minor, Aythya nyroca, Chlidonias niger, Ciconia ciconia, Regiunea biogeografică: continentală Egretta alba, Egretta garzetta, Sterna hirundo, Gavia arctica, Gavia stellata, Philomachus pugnax, Specii de importanţă comunitară: Allium saxatile, Aquila clanga, Aquila heliaca, Aquila pomarina, Mergus albellus, Phalacrocorax pygmeus, Nycticorax nycticorax, Chlidonias hybridus, Tringa glareola Ardeola ralloides, Aythya nyroca, Ciconia ciconia, Dendrocopos syriacus, Egretta garzetta, Falco Acoperirea şi utilizarea terenului: râuri, lacuri, mlaştini, turbării, culturi (teren arabil), păşuni, alte columbarius, Gavia arctica, Haliaeetus albicilla, Hieraaetus pennatus, Ixobrychus minutus, Lanius terenuri arabile collurio, Lanius minor, Mergus albellus, Milvus migrans, Pandion haliaetus, Pernis apivorus, Podiceps Alte caracteristici ale sitului: situl se găseşte la sud-est de pintenul deluros al Ibăneştilor, fiind încadrat auritus, Schivereckia podolica, Silene chlorantha, Sisymbrium polymorphum în Câmpia Jijiei Superioare şi a Başeului. Situl este alcătuit din numeroase iazuri şi acumulări: Acoperirea şi utilizarea terenului: râuri, lacuri, culturi (teren arabil) Elaboratori: UAUIM-CCPEC, Bucureşti, împreună cu, Universitatea Bucureşti – CICADIT, SC. Quattro Design s.r.l. – Bucureşti, SC. Urbatech s.r.l. – Iaşi, UAIC - Facultatea de Geografie, Iaşi, 17
  • 20.
    Actualizare Plan deAmenajarea Teritoriului Judeţean Botoşani Consiliul Judeţean Botoşani Acumulările Negreni, Mileanca, Cal Alb, Iazurile Lişmăniţa, Ibăneasa, Vorniceni, Prisaca, Tătărăşeni, Turbăria de la Dersca Neculce, Borzeşti, Havârna, fiind un excelent habitat pentru speciile de păsări specifice zonelor umede. Suprafaţă: 10 ha Calitate şi importanţă: populaţii importante din specii ameninţate la nivelul Uniunii Europene – 3 specii Regiunea biogeografică: continentală erete de stuf (Circus aeroginosus), creşteţ cenuşiu (Porzana parva), egretă mare (Egreta alba), aglomerări mari de păsări acvatice – lacuri situate în valea Başeului şi în văile adiacente. Sunt un Tipuri de habitate prezente în sit: lacuri eutrofe naturale cu vegetaţie tip Magnopotamion sau important loc de popas pentru păsările migratoare, adăpostesc regulat peste 20.000 de păsări de apă Hydrocharition, turbării degradate capabile de regenerare natural migratoare în timpul migraţiei. Din punct de vedere al păsărilor cuibăritoare zona este importantă Specii de importanţă comunitară: Angelica palustris pentru populaţia de erete de stuf (Circus aeroginosus), creşteţ cenuşiu (Porzana parva) şi egretă mare (Egreta alba). În stufăriş respectiv pe copacii de pe insula din lacul Hăneşti există colonii mixte de Alte specii importante de floră şi faună: Dactylorhiza incarnata, Menyanthes trifoliata, Menyanthes stârci, ca stârcul de noapte (Nycticorax nycticorax). Pe unele lacuri din valea Ibănesei găsim colonii de trifoliata, Orchis laxiflora ssp. Elegans, Pedicularis sceptrum-carolinum, Peucedanum sceptrum- chirighiţă cu obraji albi (Chlidonias hybrida) respectiv de pescăruşi râzător (Larus ridibundus). carolinum, Phragmites australis, Potentilla palustris, Potentilla palustris, Salix pentandra, Salix repens Management: nu există plan de management. Acoperirea şi utilizarea terenului: râuri, lacuri, culturi (teren arabil) Pădurea Vorona Alte caracteristici ale sitului: situl este situat în partea de vest a judeţului Botoşani. Din punct de vedere Suprafaţă: 381 ha geologic perimetrul Lozna-Dersca se încadrează în Platforma Moldovenească ce posedă un pachet de sedimente în grosime de 1000-5000 m. Fundamentul cristalin este alcătuit din micaşisturi, şisturi Regiunea biogeografică: continentală amfibolice – roci mezometamorfice, iar în partea superioară de roci epimetamorfice de tipul şisturilor Tipuri de habitate prezente în sit: păduri dacice de stejar şi carpen sercito-cloritoase, roci carbonatice, roci porfirogene. Stiva de sedimente dispuse peste fundamentul cristalin apar în paleozoicului, mezozoicului şi neozoicului. Datorită capilarităţii ridicate a plantelor ce Specii de importanţă comunitară: Cypripedium calceolus alcătuiesc stratul turbifer apa îşi găseşte un bun locaş de acumulare în aceste zăcăminte (apa de Alte specii importante de floră şi faună: Cardamine glanduligera, Cephalanthera longifolia, zăcământ). Apele au un aspect de mlaştină datorită dispunerii zăcămintelor pe un pat argilos Dactylorhiza maculata, Gentiana asclepiadea, Gentianella ciliata, Melampyrum bihariense, Silene impermeabil, Turbăria de la Dersca fiind o mlaştină eutrofă. vulgaris, Symphytum cordatum Calitate şi importanţă: este habitat rar în România prin grosimea stratului de turbă eutrofă până la Acoperirea şi utilizarea terenului: păduri de foioase, alte terenuri artificiale (localităţi şi mine) neutră (1,5-6 m grosime). Aici sunt adăpostite unele specii de plante rare în flora vasculară a României. Alte caracteristici ale sitului: substratul geologic de vârstă sarmaţiană al sitului este reprezentat prin Stratul de turbă este format în special din briofite printre care dominant este Drepanocladus aduncus şi roci alcătuite din conglomerate, alternând cu gresii, nisipuri şi argile vinete. Solul predominant este cel alte specii cum sunt Chrysohypnum sommerfeltii, C. chrysohypnum, Callergon giganteum, Funaria brun de pădure, iar pe alocuri apare podzolul. Flora rezervaţiei Vorona prezintă un remarcabil interes hygrometrica, Marchantia plymorpha. Turba are un pH de 6,8-7,6 şi s-a format pe un strat impermeabil sub aspect fitogeografic. Elementele floristice predominante sunt cele eurasiatice, europene şi de argilă peste care se află un strat de pietriş de râu. Temperatura medie anuală este de 8,30 C şi media circumpolare. Se întâlnesc însă şi elemente alpino-carpatice, alpino-boreale şi atlantice (Carex pendula, multianuală a precipitaţiilor este de 563,3 mm. Crocus heuffelianus, Festuca rubra, Hedera helix), precum şi o serie de specii dacice şi balcanice Desemnarea sitului: este inclusă în Anexa I a Legii nr. 5/2000, la poziţia 2227 – "Turbăria de la (Cardamine glanduligera, Melampyrum bihariense). Importanţă deosebită au şi speciile de origine Dersca". Din punct de vedere administrativ aparţine comunei Dersca. Este o rezervaţie de interes continentală şi sudică. Dintre acestea, enumerăm: Cerinthe minor, Iris hungarica, Lathyrus venetus, botanic în principal, fiind inclusă în categoria a IV-a a IUCN. Muscari commosum, Stachys germanica, Trifolium pannonicum. Tip de proprietate: terenurile apar in persoanelor particulare. Situl nu este preluat în custodie, dar se Calitate şi importanţă: cercetările asupra florei şi vegetaţiei din sit reliefează bogăţia genofondului află în administrarea Consiliului Local al Comunei Lozna. existent şi însemnătatea fitogeografică a covorului vegetal. Covorul vegetal este variat şi prezintă un Management: planul de management a fost realizat de APM Botoşani şi a fost avizat de Academia interes ştiinţific deosebit, cu o expresivitate remarcabilă pentru această zonă colinară. Specia floristică Română. Responsabilitatea pentru implementarea acţiunilor din planul de management revine APM Cypripedium calceolus este nominalizată în Anexa 2 a Directivei Habitate şi în lista roşie naţională Botoşani şi Consiliului Local Lozna. alături de Dactylorhiza maculata şi Cephalanthera longifolia). Desemnarea sitului: situl se află sub regim protectiv local, fiind nominalizat în Hotărârea nr. 5/1995 al Stânca-Ştefăneşti CJ Botoşani. Suprafaţă: 1 ha Tip de proprietate: proprietate privată a Mânăstirii Vorona şi fond forestier proprietate publică a Regiunea biogeografică: continentală statului. Tipuri de habitate prezente în sit: comunităţi rupicole calcifile sau pajişti bazifite din Alysso-Sedion albi Management: există o parte din planul de management (plan de măsuri) elaborat de APM Botoşani şi avizat de Academia Română. Alte specii importante de floră şi faună: Larus argentatus, Streptopelia turtur, Adonis vernalis, Ajuga laxmannii, Allium saxatile, Astragalus austriacus, Aurinia saxatilis, Centaurea orientalis, Dianthus Elaboratori: UAUIM-CCPEC, Bucureşti, împreună cu, Universitatea Bucureşti – CICADIT, SC. Quattro Design s.r.l. – Bucureşti, SC. Urbatech s.r.l. – Iaşi, UAIC - Facultatea de Geografie, Iaşi, 18
  • 21.
    Actualizare Plan deAmenajarea Teritoriului Judeţean Botoşani Consiliul Judeţean Botoşani capitatus, Pulsatilla montana, Schivereckia podolica, Sempervivum ruthenicum, Silene chlorantha, Sisymbrium polymorphum, Veronica spicata ssp. incana Acoperirea şi utilizarea terenului: râuri, lacuri, mlaştini, turbării Alte caracteristici ale sitului: situl este situat în partea de est a judeţului Botoşani, în Câmpia Moldovei. Stâncăria principală este constituit din calcare recifale sarmatice, acoperite parţial cu loess. Pantele sunt acoperite cu cernoziomuri de pantă carbonatice şi cu cernoziom levigat. Clima este temperat continentală de tip est-european. Calitate şi importanţă: Situl prezintă un mare număr de specii continental-sud-estice (cont. + pont. + medit.-pont. + submedit. + balcano-dacice) care împreună cu speciile europene şi eurasiatice dau un caracter ponto-sarmatic particular acestei regiuni, unica staţiune în România cu Schiverekia podolica ce intră aici într-o asociaţie rupestră calcicolă cu totul deosebită de cele montane. Specia se află în această staţiune floristică la limita vestică a arealului ei de răspândire. Importanţa sitului rezidă şi din faptul că în acest areal vegetează câteva specii endemice dintre care amintim Veronica incana, Astragalus austriacus, Sempervivum ruthenicum. Desemnarea sitului: ultima lege prin care situl a fost declarat rezervaţie naturală de interes naţional este Legea nr. 5/2000. Tip de proprietate: toată suprafaţa rezervaţiei este proprietate de stat aparţinând Nodului Hidrotehnic Stânca – ANAR Bucureşti. Situl este inclus în întregime în APSA Lac Stânca-Costeşti. Management: există Plan de Management pentru Aria de Protecţie Specială Avifaunistică Lac Stânca- Costeşti care cuprinde în întregime situl, plan care va fi implementat de custode. Elaboratori: UAUIM-CCPEC, Bucureşti, împreună cu, Universitatea Bucureşti – CICADIT, SC. Quattro Design s.r.l. – Bucureşti, SC. Urbatech s.r.l. – Iaşi, UAIC - Facultatea de Geografie, Iaşi, 19
  • 22.
    Actualizare Plan deAmenajarea Teritoriului Judeţean Botoşani Consiliul Judeţean Botoşani A.1.4. Probleme de mediu A.1.4.1. Tipuri de ecosisteme Având în vedere scara spaţială de abordare a acestui tip de studiu recomandată de ecologia sistemică în raport cu tipologia stabilită de Nomenclatorul Unităţilor Statistice Teritoriale (NUTS), cadrul natural poate fi descris prin analiza complexelor de ecosisteme regionale, pe baza datelor de acoperire şi utilizare a terenurilor din cadrul programului CORINE (Informaţii de Mediu Coordonate pentru Europa) la nivelul al doilea al clasificării (Petrişor, 2007). Tipuri de ecosisteme din judeţul Botoşani, conform clasificării CORINE Nivelul Suprafaţă Suprafaţă Nivelul 2 Nivelul 3 1 (ha) (%) Ţesut urban continuu 22,47 0,05 Ţesut urban Suprafeţ Ţesut urban discontinuu 4172,35 9,01 e Industrie, comerţ, transport Industrie sau comerţ 330,91 0,71 artificial Suprafeţe artificiale Spaţii verzi urbane 2,72 0,01 e neagricole acoperite de vegetaţie Sport şi loisir 3,34 0,01 Teren arabil Teren arabil neirigat 23391,93 50,53 Vii 251,98 0,54 Fig. 1a. Modificări în utilizarea terenurilor în perioada 1990-2000 în judeţul Botoşani – nivelul al III- Culturi permanente lea al clasificării CORINE. Livezi 237,60 0,51 Suprafeţ e Păşuni Păşuni 6722,34 14,52 agricole Culturi complexe 1451,98 3,14 Suprafeţe agricole eterogene Teren agricol cu porţiuni importante acoperite de 3223,15 6,96 vegetaţie naturală Păduri de foioase 4994,57 10,79 Păduri Păduri, Păduri de amestec 10,10 0,02 zone Pajişti naturale 5,14 0,01 semi- Tufărişuri, vegetaţie erbacee Liziere 119,63 0,26 naturale Spaţii deschise lipsite de Plaje, dune 7,77 0,02 vegetaţie Zone Zone umede interioare Mlaştini interioare 544,66 1,18 umede Cursuri de apă 399,65 0,86 Ape Ape interioare Ape stătătoare 403,72 0,87 Aceste date arată că, în ordine descrescătoare a suprafeţelor ocupate, cele mai importante tipuri de ecosisteme sunt agroecosistemele, în particular terenurile agricole neirigate (51% din suprafaţa totală), păşunile (15% din suprafaţa totală) şi terenurile agricole acoperite de vegetaţie naturală (7% din suprafaţa totală), pădurile, în particular cele de foioase (11% din suprafaţa totală) şi ecosistemele urbane şi rurale (9% din suprafaţa totală). Fig. 1b. Modificări în acoperirea terenurilor în perioada 1990-2000 în judeţul Botoşani – nivelul I al clasificării CORINE. Elaboratori: UAUIM-CCPEC, Bucureşti, împreună cu, Universitatea Bucureşti – CICADIT, SC. Quattro Design s.r.l. – Bucureşti, SC. Urbatech s.r.l. – Iaşi, UAIC - Facultatea de Geografie, Iaşi, 20
  • 23.
    Actualizare Plan deAmenajarea Teritoriului Judeţean Botoşani Consiliul Judeţean Botoşani Datele europene permit şi evidenţierea schimbărilor survenite în ocuparea şi utilizarea terenurilor în Biotopuri perioada 1990-2000. Pentru acesta, potrivit metodologiei prezentate de Petrişor (2008), nivelul al III- Relieful lea al clasificării indică magnitudinea schimbărilor (Fig. 1a), în timp ce primul nivel prezintă relevanţă ecologică (Fig. 1b). Din analiza acestor date rezultă că suprafaţa totală afectată de schimbări la nivelul Judeţul Botoşani este situat din punct de vedere geografic în extremitatea nord-estică a României, al III-lea este de 500,5 ha, iar la nivelul I, de 118,3, ultimele modificări apărând în special în sud+estul având ca vecini Ucraina, respectiv Republica Moldova. Fiind cuprins între râurile Siret la vest şi Prut, judeţului ca posibil rezultat al unor activităţi de hidro-amenajare a unor zone agricole. care formează graniţa României cu Republica Moldova, judeţul Botoşani se învecinează doar cu două judeţe ale Moldovei, şi anume: la vest cu judeţul Suceava, iar la sud cu judeţul Iaşi. Cuprinzând între Conform datelor furnizate de Direcţia Judeţeană de Statistică Botoşani situaţia fondului funciar se limitele sale un teritoriu de 4965 km2 ce aparţine părţii de nord a Podişului Moldovei, judeţul Botoşani prezintă astfel: total judeţ: 498569 ha, din care terenuri agricole: 393472 ha, din care: terenuri ocupă locul 29, ponderea în totalul teritoriului naţional fiind de 2,1%. Coordonate geografice: paralela arabile: 299262 ha, păşuni: 75070 ha, fâneţe: 14692 ha, vii: 1773 ha şi livezi: 2675 ha, şi terenuri 47024'16" N (Prăjeni), paralela 48016'06" N (Horodiştea), meridianul 27024'02" E (Dersca), meridianul neagricole: 105097 ha, din care păduri şi alte terenuri din fondul forestier: 57212 ha, terenuri cu ape şi 27024'32" E (Pleşani-Călăraşi). ape cu sulf: 13794 ha, căi de comunicaţii şi căi ferate: 8368 ha, terenuri ocupate cu construcţii şi curţi: 11628 ha şi terenuri degradate şi neproductive: 14095 ha. Tipuri de habitate inventariate conform Legii 462/2001, Anexa 2 Tip habitat Localizare Habitatele naturale Pante stâncoase calcaroase cu vegetaţie chasmofitică Malul stâncos al Prutului de la Stânca şi Ripiceni Depresiuni pe substraturi turboase Rezervaţia Turbăria de la Dersca Principalele tipuri de habitate inventariate pe teritoriul judeţului Botoşani sunt: habitatele de pădure, Galerii cu Salix alba si Populus alba Pădurea Zavoi Prut de la Badiuţi până la Sânta Mare habitate de pajişti şi tufărişuri, habitate de stâncării, turbării şi mlaştini, habitate de ape dulci. Păduri cu stejar pedunculat sau stejar subatlantic şi Pădurea Tudora medioeuropean şi cu Carpinion betuli Habitatele de pădure însumează 57215 ha ceea ce reprezintă 11,5% din teritoriul judeţului, procent Păduri panonice cu Ouercus petraea şi Carpinus betulus Pădurea Tudora care se situează sub media pe ţară (care este de 27%). Cunoaşterea traiectoriei şi evoluţia spre care tinde ecosistemul forestier este deosebit de importantă deoarece el constituie habitatul natural pentru diverse specii de floră şi faună sălbatică. Menţinerea unui echilibru dinamic în acest tip de ecosistem Relieful judeţului Botoşani aparţine la două mari unităţi ale Podişului Moldovei: Podişul Sucevei în influenţează direct şi benefic nivelul diversităţii biologice din judeţul nostru şi păstrarea relaţiilor vest (cca. 21%) şi Câmpia Moldovei în restul teritoriului (cca. 79%). În ansamblu, relieful se prezintă complexe în cadrul biocenozelor. sub forma unor dealuri şi culmi înalte în vest şi nord-vest cu altitudini medii în jur de 400 m şi sub forma unei câmpii colinare cu altitudini medii de 150 m în rest. Habitatele de pajişti (păşuni şi fâneţe) însumează 89.285 ha care reprezintă 17,9% din suprafaţa judeţului Botoşani. Pajiştile, ca şi pădurile, constituie un echilibru ecologic în cadrul acţiunilor şi Datele privind relieful judeţului Botoşani au fost derivate din modelul digital de elevaţie prezentat de retroacţiunilor dintre floră, faună, sol şi climă de aceea conservarea şi valorificarea lor judicioasă a fost Jarvis şi colab. (2008), valorile de altitudine pentru Botoşani, prezentate în Fig. 2a, sunt cuprinse între 32- urmărită de specialiştii noştri în aceeaşi măsură ca şi în cazul ecosistemului forestier. Pajiştile din 531 m. Pe baza acestora a fost elaborată harta reliefului (Fig. 2b) astfel: luncă – 0-20 m, câmpie – 20-200 judeţul Botoşani se înscriu în categoria pajişti secundare (fâneţe secundare sau păşuni). În general, se m, deal/podiş – 200-1000 m, munte – peste 800 m (Petrişor, articol în curs de publicare); dintre acestea, poate aprecia că starea acestor habitate este bună datorită respectării regulilor în organizarea doar formele de câmpie şi deal sau podiş sunt prezente în judeţul Botoşani. păşunatului şi evitarea încărcării păşunilor cu un număr excesiv de animale sau folosirii unilaterale a ovinelor sau a caprinelor. Habitatele de stâncării se întâlnesc în comunele Ştefăneşti, Ripiceni şi Manoleasa. Calcarele recifale din aceste habitate reprezintă mediul de viaţă prielnic pentru o plantă termofilă foarte rară Schivereckia podolica motiv pentru care aici s-au constituit rezervaţiile ştiinţifice de la Stânca-Ştefăneşti şi Ripiceni. Habitatele de turbărie sunt reprezentate de „Turbăria de la Dersca” unde este constituită şi o rezervaţie floristică cu o deosebită valoare monumentală şi estetică în care s-a urmărit conservarea frumuseţilor naturale ce le reprezintă. Habitate de ape dulci – cele mai importante lacuri de pe teritoriul judeţului Botoşani sunt: acumularea cu rol complex Stânca Ştefăneşti pe râul Prut, acumulările Bucecea şi Rogojeşti pe râul Siret, Cal Alb pe râul Podriga şi Negreni pe râul Başeu. La aceste lacuri se adaugă resursele de apă de suprafaţă. Aceste medii acvatice constituie habitatul a numeroase specii de peşti printre care amintim: plătica, şalăul, crapul românesc, roşioara, bibanul, carasul, etc. Fig. 2a. Altitudinile în jud. Botoşani. Culorile mai deschise Fig. 2b. Relieful în jud. Botoşani. Culorile corespund indică valori mai scăzute, iar cele închise valori mai ridicate. unităţilor de relief astfel: verde deschis – câmpie, maro – deal/podiş. Elaboratori: UAUIM-CCPEC, Bucureşti, împreună cu, Universitatea Bucureşti – CICADIT, SC. Quattro Design s.r.l. – Bucureşti, SC. Urbatech s.r.l. – Iaşi, UAIC - Facultatea de Geografie, Iaşi, 21
  • 24.
    Actualizare Plan deAmenajarea Teritoriului Judeţean Botoşani Consiliul Judeţean Botoşani Clima – temperatura Datele utilizate sunt prezentate în articolul publicat de Govindasamy şi colab. (2003); din acestea a fost decupată situaţia la nivelul jud. Botoşani pentru unităţi pătrate cu latura de 2,50 longitudine × 2,50 latitudine. Aceste date indică o variaţie a temperaturii medii între 7-90 C, cu valori mai scăzute în partea de nord şi de vest a judeţului şi valori mai ridicate în sud-est (Fig. 3a). Fig. 3c. Diferenţe dintre temperatura (stânga) şi precipitaţiile (dreapta) actuale şi valorile predicţiilor climatice pentru anul 2100 în jud. Botoşani. Culorile mai deschise indică valori mai scăzute, iar cele închise valori mai ridicate. În general, configuraţia spaţială a climei o urmează pe cea a reliefului, valorile mai ridicate ale temperaturii (actuale sau prezise) corespunzând unităţilor de relief joase (câmpie, luncă), iar cele scăzute, reliefului înalt (deal, munte). Fig. 3a. Temperatura (stânga) şi precipitaţiile (dreapta) medii în jud. Botoşani. Culorile mai deschise indică valori mai În ceea ce priveşte precipitaţiile, ele au fost analizate pe baza aceloraşi date, situaţia actuală fiind scăzute, iar cele închise valori mai ridicate. prezentată în Fig. 3a, predicţia în Fig. 3b, iar diferenţele în Fig. 3c. Configuraţia spaţială este asemănătoare cu cea a temperaturilor, în sensul că regiunilor cu temperaturi scăzute le corespund valori Schimbările climatice afectează şi această regiune. Conform datelor publicate de Hijmans şi colab. ridicate ale precipitaţiilor, iar celor cu temperaturi ridicate, valori scăzute ale precipitaţiilor. Predicţiile (2005), predicţiile pentru anul 2100 urmează aceeaşi configuraţie spaţială ca şi clima actuală (Fig. 3b), şi diferenţele urmează aceeaşi configuraţie spaţială ca şi precipitaţiile actuale. Este, de asemenea, dar cu valori cuprinse între 9-120 C. Este importantă, pe baza acestor date, distribuţia spaţială a important de subliniat faptul că aceste date indică o scădere aproape generalizată în judeţul Botoşani – diferenţelor dintre temperatura actuală şi valorile predicţiilor climatice pentru anul 2100 (Fig. 3c). În altfel spus, predicţiile climatice indică scăderi ale precipitaţiilor, regiunile în care se preconizează o mare, configuraţia spaţială urmează acelaşi model, în sensul în care în zonele reci temperaturile vor creşte mai puţin, iar în ele calde creşterile vor fi mult mai importante, ajungând la medii care depăşesc creştere comparativ cu situaţia actuală a precipitaţiilor ocupând o suprafaţă redusă. cu 20 C valorile actuale. Este, de asemenea, important de subliniat faptul că aceste date indică o creştere De asemenea, se observă că atât configuraţia temperaturii, cât şi cea a precipitaţiilor corespund generalizată la nivelul judeţului Botoşani – altfel spus, predicţiile climatice indică doar creşteri ale temperaturi, neexistând regiuni în care să se preconizeze o răcire comparativ cu situaţia actuală a altitudinii. temperaturii. Calitatea biotopului Starea calităţii atmosferei APM Botoşani supraveghează calitatea aerului printr-o reţea de monitorizare structurată astfel: poluanţi gazoşi, prin 4 puncte în flux de 24 ore, amplasate în municipiul Botoşani (APM, SC ELECTROCONTACT SA şi Staţia de epurare) şi în zona de frontieră – Darabani (Staţia meteo); pulberi în suspensie, în două puncte în flux de 24 ore situate în municipiul Botoşani (APM Botoşani şi SC STORSACK RO. SRL Botoşani); pulberi sedimentabile în 5 puncte în flux lunar situate pe întreg teritoriul judeţului Botoşani (APM Botoşani, Staţia meteo Botoşani, Staţia de epurare Darabani, Staţia de epurare Săveni, Staţia de epurare Bucecea); calitatea precipitaţiilor în 3 puncte, din care unul în zona de frontieră cu Republica Ucraina (APM Botoşani, Staţia de tratare Dorohoi, Staţia meteo Darabani); oxizi de azot, într-un singur punct (sediul APM Botoşani) cu “Monitorul automat pentru NOx”. Principalele surse de poluare sunt prezentate în Fig. 5. Fig. 3b. Predicţia valorilor temperaturii (stânga) şi precipitaţiilor (dreapta) medii în jud. Botoşani. Culorile deschise indică valori mai ridicate, iar cele închise valori mai scăzute. Elaboratori: UAUIM-CCPEC, Bucureşti, împreună cu, Universitatea Bucureşti – CICADIT, SC. Quattro Design s.r.l. – Bucureşti, SC. Urbatech s.r.l. – Iaşi, UAIC - Facultatea de Geografie, Iaşi, 22
  • 25.
    Actualizare Plan deAmenajarea Teritoriului Judeţean Botoşani Consiliul Judeţean Botoşani Debite măsurate pe râuri în judeţul Botoşani în anul 2004 (mc/s) Râul Staţia hidrometrică Debit maxim în anul 2004 m3/s Debit mediu multianual (m3/s) Prut Radauti-Prut 563 79.6 Prut Stanca aval 201 82.4 Volovat Manoleasa 1,39 0.434 Baseu Stefanesti 6,97 1.74 Jijia Dorohoi 3,02 0.665 Jijia Dangeni 21,4 1.74 Jijia Todireni 23,8 2.25 Buhai Padureni 1,34 0.168 Drislea Drislea 4,46 0.108 Deriv. Siret Sitna Bucecea 2,38 0.450 Sitna Catamarasti 2,46 0.396 Sitna Dracsani 5,47 1.53 Sitna Todireni 16,2 2.3 Miletin N.Balcescu 7,6 0.468 Sursa: Direcţia Apele Române “Prut” Iaşi Starea calităţii apelor pe ansamblul bazinului inclusiv sub aspectul repartiţiei pe tronsoane de râu de diferite categorii de calitate conform NORCAS/2002 I II III IV V Râu Lungime (km) km % km % km % km % km % Prut 237 237 100 Başeu 104 83 79 21 21 Podriga 40 23 57 17 43 Jijia 134 52 39 82 61 Sitna 78 11 14 18 23 49 63 Miletin 55 55 100 Total judeţ 648 248 38 231 36 152 23 17 3 Sursa: Direcţia Apele Române “Prut” Iaşi Volume captate pe bazine hidrografice în anul 2004 Volume captate pe activităţi economice Sursa de Volume captate Total volum captat Volume captate Bazinul hidrografic Activităţi captare (mil. m3) (mil. m3) (mil. m3) suprafaţă 24,29 Populaţie 15,76 B.H. PRUT subteran 0,89 25,18 Industrie 10,70 subteran 0,18 Irigaţii 0,52 suprafaţă 24,0 Piscicultură 23,14 Fig. 5. Poluarea atmosferei în judeţul Botoşani (sursa: APM Botoşani). B.H. SIRET 24,97 Zootehnie 0,04 subteran 0,97 TOTAL 50,15 Sursa: Direcţia Apele Române “Prut” Iaşi Starea râurilor Teritoriul judeţului Botoşani este limitat la extremitatea estică de râul Prut, având afluenţii principali Starea lacurilor râul Başeu, cu care confluează în zona localităţii Ştefăneşti, şi râul Jijia cu care confluează în judeţul Iaşi. La rândul său, râul Jijia are ca afluenţi râurile Sitna şi Miletin. Bazinul râului Prut ocupă 88% din Pe teritoriul judeţului Botoşani există cca. 150 lacuri, în mare parte folosinţe piscicole, dar şi surse de suprafaţa judeţului, iar 12% este ocupat de bazinul râului Siret, situat în partea vestică a judeţului. alimentare cu apă în scop potabil pentru un număr important de localităţi. Lacul Bucecea are un volum Repartiţia pe bazine hidrografice se prezintă astfel: B.H. Prut – 4382 km2, B.H. Siret – 603 km2. util de 8,73 mil. mc şi asigură alimentarea cu apă potabilă pentru municipiile Botoşani şi Dorohoi, Lungimea reţelei hidrografice codificate este 2054 km. Principalele surse de apă de suprafaţă existente precum şi pentru zonele limitrofe aducţiunilor. De asemenea, asigură tranzitarea unor debite în perioade pe teritoriul judeţului Botoşani sunt constituite din râurile Prut şi Siret. Cursurile de apă mici din judeţ excedentare pe derivaţia Siret – Sitna (în acumularea Cătămărăşti) pentru compensarea deficitelor de apă au debite variabile în sezonul primăvară-vară, iar calitatea acestora nu se încadrează în limitele de din bazinul Jijia. Lacul Stânca, cu un volum total de 1285 mil mc şi un volum util de 450 mil. mc, potabilitate. Acumulările cu rol complex existente pe aceste cursuri asigură surse de apă permanente. asigură alimentarea cu apă potabilă pentru localităţile Ştefăneşti şi Truşeşti şi, în perspectivă, Santa Mare Resursele de apa ale judeţului sunt completate de apele subterane, astfel încât la nivelul judeţului şi Dângeni, dar produce şi energie electrică, la o putere instalată de 65 mil. kWh. Lacul Negreni, situat Botoşani avem următoarea situaţie: pe râul Negreni în zona localităţii Negreni, asigură apă potabilă pentru oraşul Săveni cu un debit instalat Elaboratori: UAUIM-CCPEC, Bucureşti, împreună cu, Universitatea Bucureşti – CICADIT, SC. Quattro Design s.r.l. – Bucureşti, SC. Urbatech s.r.l. – Iaşi, UAIC - Facultatea de Geografie, Iaşi, 23
  • 26.
    Actualizare Plan deAmenajarea Teritoriului Judeţean Botoşani Consiliul Judeţean Botoşani de 43 l/s. Volumul util este de 10,30 mil. mc. Putem aminti şi alte lacuri cu folosinţă piscicolă, cum ar fi: Staţii de epurare orăşeneşti şi comunale Iezer, Cătămărăşti, Cal Alb, Mileanca, Dracşani. Staţie de epurare Populaţie deservită Emisar Vol. ape uzate evacuate (mil. Grad de m3) epurare SC APA GRUP SA Botosani - Staţia 115344 Sitna 13,915 corespunzător Resurse de apa acumulate in judeţul Botoşani de epurare a municipiului Botoşani Denumirea lacului de acumulare Volum total (mii. m3) Volum util (mil. m3) SC APA GRUP SA Botoşani – staţia 16508 Jijia 2,203 necorespunzător Stânca – Costeşti 1.400.000 450.000 de epurare a municipiului Dorohoi Cal -Alb 16.280 4.950 SC APA GRUP SA Botoşani – staţia 875 Podriga 0,051 necorespunzător Negreni 25.600 8.800 de epurare a oraşului Darabani Hăneşti 6.400 4.200 SC APA GRUP SA Botoşani – staţia 3480 Başeu 0,268 necorespunzător Mileanca 14.350 5.100 de epurare a oraşului Săveni Iezer 14.100 3.600 Consiliul Local Mihai Eminescu Dresleuca 0,088 necorespunzător Cătămărăşti 17.950 7.520 Sursa: Direcţia Apele Române “Prut” Iaşi Dracşani 10.710 8.210 Sursa: Direcţia Apele Române “Prut” Iaşi Conform datelor furnizate de SGAJ Botoşani s-au înregistrat depăşiri la următorii indicatori: Parte din aceste lacuri sunt colmatate, depunerile in cuveta lacului fiind în unele cazuri, excesiv de Staţia de epurare a suspensii, CBO5, CCO-Cr, fosfor total, cloruri, calciu, magneziu, fier ionic total, detergenţi mari. Din totalul acumulărilor studiate, acumulările Bucecea, Stânca şi Cătămărăşti se încadrează în municipiului Dorohoi sintetici, fenoli, H2S+sulfuri clasa a II-a de calitate, restul fiind situate în clasa a III-a şi a IV-a. Staţia de epurare a oraşului suspensii, CBO5, CCO-Cr, amoniu, azot total, fosfor total, reziduu filtrat, detergenţi Darabani sintetici, fenoli, H2S+sulfuri, substanţe extractibile Lac Curs de Vol. tot. Staţia de epurare a oraşului suspensii, CBO5, CCO-Cr, amoniu, azot total, fosfor total, detergenţi sintetici, H2S+sulfuri, Folosinţa principală Stadiu trofic Nume Tip apă (mil. m3) Săveni substanţe extractibile Stânca Costeşti artificial Prut 735 Regularizare debite, alimentare cu apă, Oligotrof producerea energiei electrice, atenuarea viiturilor Negreni artificial Başeu 10,3 Alimentarea cu apă a oraşului Săveni, irigaţii, Eutrof Starea solurilor apărarea împotriva inundaţiilor Datorită secetei repetate cat şi a folosirii neraţionale a terenurilor agricole şi arabile, calitatea solurilor a Cal Alb artificial Başeu 6,15 Piscicultură, atenuarea viiturilor, irigaţii Eutrof Mileanca artificial Podriga 6,1 Piscicultură, atenuarea viiturilor, irigaţii Mezotrof scăzut, astfel, în judeţul Botoşani, se întâlnesc următoarele aspecte defavorabile: Cătămărăşti artificial Sitna 8 Piscicultură, atenuarea viiturilor, irigaţii Oligo-mezotrof – Eroziunea solului afectează 40,6% din suprafaţa agricolă totală. Solurile excesiv erodate Dracşani artificial Sitna 28,6 Piscicultură, atenuarea viiturilor Eutrof (reprezentate de ravene ogaşe, cornişe de desprindere) au o pondere de 2,2% din suprafaţa agricolă. Hăneşti artificial Başeu 6,4 Piscicultură, atenuarea viiturilor Hipertrof Sursa: Direcţia Apele Române “Prut” Iaşi În ultimul timp degradarea solurilor prin eroziune s-a intensificat datorită desţelenirii unor suprafeţe şi a benzilor înierbate, amplasate pe versanţii cu pante mari. 1.3.3.4. Starea apelor subterane – Alunecările de teren afectează 15 % din suprafaţa totală agricolă, din care cele active 9,1%. În judeţul Botoşani calitatea apelor subterane este urmărită prin intermediul laboratorului SGAJ Extinderea alunecărilor de teren în ultimii ani, se datorează lipsei unui program de îmbunătăţiri Botoşani. În localităţile rurale alimentarea cu apă se realizează prin captare de izvoare şi surse proprii funciare, care prin lucrări de nivelare, drenaj, înierbare sau împădurire au rolul de a proteja aceste subterane. În urma monitorizării localităţilor rurale au fost depistate zone deficitare privind asigurarea terenuri. necesarului de apă din punct de vedere cantitativ şi calitativ. Nivelurile piezometrice ale apelor subterane au evoluat în limite normale, chiar şi în perioada de secetă, nivelurile nu s-au situat sub limita – Excesul de umiditate de natură freatică afectează 12,6% din solurile agricole. Lucrările de desecare de exploatare. Excepţie fac în special fântânile piezometrice situate în zonele de deal, mai ales în şi drenaj executate înainte de 1989 pe o parte din aceste terenuri nu mai funcţionează decât parţial perioada de vară-toamnă, unde nivelurile piezometrice au scăzut foarte mult, unele din ele chiar au sau sunt complet degradate. secat temporar. Din totalul forajelor la care s-a studiat calitatea apei doar 2 foraje corespund cerinţelor – Aciditatea solurilor poate fi cauzată sau accentuată de tehnologii agricole inadecvate, cum este Legii privind Calitatea Apei Potabile nr. 458/2002: Rădăuţi-Prut F1, Rădăuţi-Prut F3. Se menţionează folosirea an de an a unor doze mari de îngrăşăminte cu reacţie fiziologică acidă. Solurile cu reacţie că această apreciere s-a făcut doar pe baza indicatorilor fizico-chimici. Cele mai frecvente depăşiri s-au acidă ocupă zone mari în partea vestică şi nord-vestică a judeţului. Solurile puternic-moderat acide înregistrat la indicatorii: „amoniu”: cele mai mari depăşiri înregistrându-se în forajele Ştefăneşti F1 (de se regăsesc pe 5,9% din suprafaţa agricolă totală. Există un număr de 11 comune în care ponderea 6 ori), Dorohoi F1 (de 6 ori), Măşcăteni F 2 (de 7 ori), Săveni F1 (de 6 ori); „azotiţi”: cele mai mari solurilor acide este mult mai mare decât media pe judeţ (de ex. Dersca, vf. Câmpului, Corni, depăşiri înregistrându-se în forajele Dângeni F3 (de 5 ori), Băluşeni F1 (de 3 ori); „azotaţi”: cele mai Vorona, Curteşti, Suharău, Cristineşti). mari depăşiri înregistrându-se în forajele Sadoveni F 3 (de 2 ori), Ştefăneşti F3 (de 2,5 ori); „sulfaţi”: – Solurile alcaline (cu pH mai mare de 8,4) totalizează 4,7 % din suprafaţa studiată. În unele comune, cele mai mari depăşiri înregistrându-se în forajele Ştefăneşti F3 (de 4 ori, şi repectiv de 7 ori), Dracşani ponderea solurilor alcalizate este mai mare decât media pe judeţ (peste 10% soluri alcalinizate): (de 11 ori), Săveni (de 6 ori); „mangan”: cele mai mari depăşiri înregistrându-se în forajele Ştefăneşti F Vlăsineşti, Ştefăneşti, Dângeni, Suliţa, Coţuşca, Gorbăneşti. 1 (de 8 ori), Ştefăneşti F2 (de 16 ori), Dângeni F3 (de 2,5 ori), Măşcăteni F3 ( de 7 ori). – În ceea ce priveşte asigurarea solurilor agricole cu humus, datele de analiză arată că 30% din acestea sunt slab şi foarte slab asigurate cu humus. Cauza cea mai importantă a conţinutului scăzut Elaboratori: UAUIM-CCPEC, Bucureşti, împreună cu, Universitatea Bucureşti – CICADIT, SC. Quattro Design s.r.l. – Bucureşti, SC. Urbatech s.r.l. – Iaşi, UAIC - Facultatea de Geografie, Iaşi, 24
  • 27.
    Actualizare Plan deAmenajarea Teritoriului Judeţean Botoşani Consiliul Judeţean Botoşani de humus constă în eroziunea moderată, puternică sau excesivă ce se constată pe versanţii cu (stejar). Pădurile au o suprafaţă de aproximativ 54.000 ha, reprezentând 12% din suprafaţa judeţului şi înclinare mare. sunt alcătuite din stejar şi gorun (37%), carpen (22%), frasin, arţar, jugastru, ulm (20%), salcie, plop, tei (14%) şi fag (7%). În nord-vestul judeţului se întind pădurile de gorun, stejar, carpen, tei, arţar, etc. În – Azotul reprezintă principalul element de nutriţie implicat în procesele de creştere şi dezvoltare a partea de sud-vest a judeţului se întâlnesc păduri de amestec alcătuite din: fag, gorun, carpen, etc., iar plantelor. Asigurarea slabă cu azot a fost constatată pe 25% din suprafaţa agricolă totală. În pe albiile râurilor Prut şi Siret sunt însemnate lunci alcătuite din specii lemnoase de esenţe moi: salcie, condiţiile geomorfologice ale judeţului Botoşani, cu o pondere însemnată a terenurilor în pantă, plop. Răspunzând cerinţelor strategiei europene de protejare a biodiversităţii care prevede conservarea eroziunea afectează semnificativ atât rezerva de azot organic, cât şi dinamica de durată a formelor naturii şi gestionarea ei în perspective unei dezvoltări durabile, au fost luate în evidenţă şi alte zone minerale de azot din sol. dezinteres pentru biodiversitatea judeţului (în afara celor 8 situri protejate de interes naţional) şi anume – Asigurarea foarte slabă şi slabă cu fosfor mobil se regăseşte pe 44% din suprafaţa studiată. 23 arii naturale protejate situate în fond forestier încadrate în grupa I funcţională. În acelaşi scop au fost Cercetările agricole au stabilit că au loc pierderi importante de recoltă în cazul aprovizionării slabe declaraţi monumente ale naturii 65 arbori seculari şi 7 specii de plante rare ocrotite pe întreg teritoriul şi mai ales foarte slabe a solurilor cu fosfor mobil. Ca urmare, acest deficit în fosfor reprezintă un judeţului (Hotărârea nr. 5/1995 a Consiliului Judeţean Botoşani). factor limitativ important pentru producţia agricolă din judeţul Botoşani. – Asigurarea solurilor agricole cu potasiu este bună pe ansamblul judeţului, numai 7% din solurile Specii de floră inventariate conform Legii 462/2001, anexele 3 şi 4 Denumire ştiinţifică şi populară Localizare agricole sunt slab şi mijlociu aprovizionate. Cypripedium calceolus – papucul Rezervaţia de tisă Tudora, Pădurea Baisa, Pădurea Corni, Codrul eminescian- doamnei comuna M. Eminescu, Hudeşti (sat Baranca), Pădurea Vorona Repartiţia solurilor pe categorii de folosinţe Repartiţia solurilor pe categorii de folosinţe Fauna sălbatică Total judeţ 498569 Clasa de calitate Suprafaţa (ha) Total agricol, din care: 393472 total 387.796 Arabil 299262 Clasa de calitate a I-a foarte bună 1.365,03 În judeţul Botoşani se pot diferenţia două domenii faunistice: unul de silvostepă şi altul de pădure. Fauna Păşuni 75070 Clasa de calitate a II-a bună 165.388,40 de silvostepă, respectiv din zona de câmpie, este reprezentată prin unele rozătoare ca: popândăul, Fâneţe 14692 Clasa de calitate a III-a mijlocie 129.138,28 dăunător pentru culturile cerealiere, o varietate specifică nordului Moldovei de căţelul pământului, Vii 1773 Clasa de calitate a IV-a slab 57.056,43 şoarecele de stepă, şobolanul de câmp, iepurele de câmp. Pe seama lor trăiesc unele mustelide ca: dihorul, Livezi 2675 Clasa de calitate a V-a foarte slabă 15.769,60 nevăstuica, iar dintre marile carnivore menţionăm vulpea. Avifauna este reprezentată de graur, pitpalacul, ciocârlia de câmp, dumbrăveanca şi unele răpitoare ca: uliul porumbar. Pe iazurile mai mari ori pe bălţile Starea agrochimică a terenurilor agricole, conform datelor furnizate de OSPA Botoşani, prezintă Prutului se întâlnesc frecvent lişiţa, raţa sălbatică. Dintre reptilele mai frecvente sunt şopârlele, iar dintre următoarele aspecte defavorabile: batracieni: broasca râioasă sau broasca de lac şi buhaiul de baltă. Fauna de pădure cuprinde unele din elementele menţionate mai sus, dar se caracterizează mai ales prin: căprioara, întâlnită în toate pădurile Factor limitativ Suprafaţa (ha) din Dealurile Siretului şi în cele din Dealurile Cozancei, mistreţul, vulpea, care trece şi în câmpie unde Eroziune (de la slabă la excesivă) 104.273,26 vânează rozătoare, şi pisica sălbatică. Avifauna este reprezentată de mierlă, sturzul cântător, gaiţa, unele Alunecări (stabilizate, semistabilizate, active) 36.379,81 Gleizare (de la slabă la excesivă) 72.764,71 specii de piţigoi, turturica. La acestea se adaugă unele rozătoare ca: gaia, uliul. Reptilele sunt mai Pseudogleizare (de la slabă la excesivă) 6.555,07 numeroase, reprezentate prin şarpele de pădure şi diferite şopârle. Deosebit de bogată este fauna de Inundabilitate 29.034,17 frunzar, în care gasteropodele, păianjenii, insectele şi miriapodele formează o lume puţin studiată. Pentru protejarea faunei sălbatice locale, conform legislaţiei comunitare, pe teritoriul judeţului Botoşani sunt Biomul nominalizate, prin Hotărârea Consiliului Judeţean nr. 5/1995, 78 specii de păsări şi 5 specii de animale Flora sălbatică care beneficiază de un regim special de ocrotire. Cea mai reprezentativă zonă din judeţ din punct de Vegetaţia naturală a judeţului Botoşani, caracteristică zonei de silvostepă, este alcătuită predominant vedere al varietăţii avifaunistice este lunca Prutului unde au fost inventariate 93 de specii de păsări. din plante ierboase în păşuni naturale care ocupă cca. 13% din suprafaţa agricolă a judeţului, Acumularea Stânca-Costeşti a fost declarată arie de importanţă avifaunistică prin HG nr. 2151/2004. reprezentate prin asociaţii de graminee adaptate la secetă, ca şi prin unele specii de plante suculente şi Biodiversitatea urbană bulbifere, care formează asociaţii vegetale ce ocupă zonele afectate de alunecări de teren din parte de Spaţii verzi şi zone de agrement nord, est-vest şi sud-vest a judeţului. Monotonia covorului erbaceu este modificată de apariţia unor Suprafaţa (ha) tufărişuri alcătuite din arbuşti ca: Prunus spinosa (porumbarul), Rosa canina (măceşul), Crataegus Populaţie Zona verde / cap de locuitor (%) monogina (păducelul), etc. De-a lungul râurilor ca şi pe solurile de lăcovişte umede, se întâlneşte o Oraş Zone de agrement si parcuri Spaţii verzi Total vegetaţie hidrofilă reprezentată prin specii de: Typha latifolia (papură), Phragmites australis (stuf), Botoşani 13 217 230 126259 5,6 Equisetum palustre (barba ursului), Corex riparia (rogoz), Polygonum amphibium (troscot de baltă), Dorohoi 4 35,7 39,7 35171 3,6 etc. În pajiştile stepice xeromezofile se întâlnesc speciile: Festuca valesiaca (păiuş), Stipa joannis, Săveni 3 12 15 12024 5,3 Stipa lessingiana, stipa pulcherima (colilie) în special în jurul localităţilor Todireni, Unţeni, Călăraşi, Darabani 3 13 16 8745 1,8 Hlipiceni. În partea nordică, vestică şi sudică a judeţului, în pajişti şi terenurile agricole se întâlnesc: Festuca valesiaca (păiuşul), Festuca rupicola care ocupă locul fostelor păduri de Quercus robur Elaboratori: UAUIM-CCPEC, Bucureşti, împreună cu, Universitatea Bucureşti – CICADIT, SC. Quattro Design s.r.l. – Bucureşti, SC. Urbatech s.r.l. – Iaşi, UAIC - Facultatea de Geografie, Iaşi, 25
  • 28.
    Actualizare Plan deAmenajarea Teritoriului Judeţean Botoşani Consiliul Judeţean Botoşani Suprafaţa spaţiilor verzi în mediul urban este deficitară, iar în cea ce priveşte dotarea spaţiilor verzi cu Depozite de deşeuri municipale acces nelimitat, acestea în general nu corespund cerinţelor Ordinului Ministerului Sănătăţii nr. Depozitele de deşeuri pot contamina solul şi apa subterană prin levigarea substanţelor toxice conţinute 536/1996 privind norme de igienă şi recomandări pentru mediul de viaţă al populaţiei. Insuficienţa (metale grele, compuşi cu azot, compuşi cloruraţi, compuşi organici). Levigatul provenit din locurilor de parcare pentru autovehicule duce la parcarea acestora pe spaţiile verzi şi trotuare. descompunerea substanţelor organice este îmbogăţit cu nitraţi şi poate determina poluarea severă a pânzei de apă freatică, precum şi eutrofizarea apelor de suprafaţă din zonele învecinate depozitului. Biodegradarea materiilor organice în depozite poate să evacueze în atmosferă gaze toxice şi periculoase. A.1.4.2. GESTIUNEA DEŞEURILOR Reziduurile menajere au un impact important şi asupra populaţiei fiind vectori importanţi în răspândirea În prezent, problema deşeurilor menajere se manifestă tot mai acut datorită, pe de o parte, creşterii infecţiilor. Astfel, reziduurile provenite din diferite surse conţin de obicei o gamă foarte largă de cantităţii acestora, iar pe de altă parte, a impactului lor negativ, tot mai pronunţat, asupra mediului microorganisme, sanogeni şi patogeni, care răspândesc boli infecţioase şi parazitare. În condiţii prielnice înconjurător. Situaţia este gravă şi în mediul rural, unde, suprafeţe destul de importante sunt acoperite agenţii patogeni pot trăi în reziduuri timp îndelungat (zile, luni), pot pătrunde în sol, apă, provocând cu deşeuri menajere a căror componenţă este foarte complexă. Depozitarea întâmplătoare pe sol a contaminarea prin contact direct şi indirect. De asemenea, reziduurile pot conduce la crearea unor condiţii deşeurilor, evacuarea acestora în cursurile de apă, arderea necontrolată a deşeurilor în mediul urban favorabile pentru înmulţirea insectelor şi a rozătoarelor. Depozitarea şi tratarea necorespunzătoare a reprezintă o serie de riscuri majore pentru mediul ambiant. Gestiunea deşeurilor reprezintă una dintre deşeurilor solide menajere urbane în depozitele finale pot conduce la poluarea atmosferei prin problemele cele mai acute de protecţie a mediului. Datorită creşterii consumului în ultimii ani, dar şi a descompunerea reziduurilor cu conţinut de substanţe organice cu degajarea de substanţe urât mirositoare tehnologiilor şi instalaţiilor încă învechite din industrie, a crescut cantitatea de deşeuri produsă. De (amoniac, metan, hidrogen sulfurat), vântul şi curenţii de aer antrenează praful din grămezile de gunoaie asemenea, există mari cantităţi de deşeuri stocate în depozitele de deşeuri urbane şi industriale, care şi produsele de ardere apărute în urma auto-aprinderii incomplete a deşeurilor la locurile de depozitare. ocupă mari suprafeţe de teren şi afectează calitatea mediului, în special a apelor subterane şi de Desfăşurarea activităţii pe depozite orăşeneşti este deficitară. Pe lângă deşeurile menajere, stradale, suprafaţă. comerciale, pe depozitele municipale sunt acceptate, mai mult sau mai puţin legal, şi deşeuri industriale periculoase. Amestecul acestor tipuri de deşeuri poate conduce la producerea unui levigat încărcat cu substanţe nocive care, prin infiltrare, poluează apele de suprafaţă şi subterane sau solul şi implicit Deşeuri municipale şi asimilabile afectează starea de sănătate a populaţiei din zonă. Depozitele de deşeuri din judeţul Botoşani sunt mixte Deşeurile municipale şi asimilabile reprezintă totalitatea deşeurilor generate, în mediul urban şi în (60%), acceptând pentru depozitare atât deşeuri de tip urban, cât şi deşeuri industriale, de obicei, mediul rural, din gospodării, instituţii, unităţi comerciale şi prestatoare de servicii (deşeuri menajere), nepericuloase. deşeuri stradale colectate din spaţii publice, străzi, parcuri, spaţii verzi, deşeuri din construcţii şi demolări, nămoluri de la epurarea apelor uzate orăşeneşti. În mediul urban, gestionarea deşeurilor Conform APM Botoşani (2008), în prezent există în judeţ 4 depozite neconforme (care ocupă o municipale este realizată în mod organizat, prin intermediul serviciilor proprii specializate ale suprafaţă totală de aproape 20 de hectare) şi 168 de gropi de gunoi (80 hectare). Nici unul din aceste primăriilor sau al firmelor de salubritate. Acest sistem acoperă numai 90% din totalul generatorilor de amplasamente nu sunt conforme cu Directiva privind depozitarea si prin urmare toate trebuie închise si deşeuri municipale din mediul urban. În mediul rural nu există servicii organizate pentru gestionarea reabilitate. Datele limită pentru închiderea celor patru depozite sunt 2008 (Dorohoi), 2012 (Botoşani), deşeurilor, transportul la locurile de depozitare fiind făcut în mod individual de către generatori. 2014 (Dărăbani) şi 2016 (Săveni). Deşeuri municipale colectate (tone/an) 2000 2001 2002 2003 Volum Volum Supr. Supr. Cap. Deşeuri menajare de la populaţie 64395 36591 69454,00 56456,2 Loca- deşeuri deşeuri Nr. loc. Nume depozit proiec-tată ocupată proiec- Deşeuri menajere de la agenţii economici 10187 20930 16476,00 10053 lizare depozitat depozitat deserviţi (ha) (ha) tată (m3) Deşeuri din servicii municipale 108806 81086,50 83434,00 15056,7 (m3) anual (m3) Deşeuri din construcţii, demolări - 3324 2836,00 16723 Depozit orăşenesc Săveni Săveni 1,2 1,0 60000 42000 4000 3200 Total 183388 138607,5 166200 98288,9 Depozit orăşenesc Darabani Darabani 1,5 1,5 50000 23000 6400 12820 Depozit mixt de deşeuri industriale si Dorohoi 2,06 1,3 500000 230000 90000 44125 Colectarea şi transportul deşeurilor urbane: deşeurile menajere rezultate din locuinţe, instituţii şi entităţi menajere Dorohoi economice diverse (comerţ, industrie) sunt pre-colectate în recipiente de diferite capacităţi în spaţii Depozit mixt de deşeuri industriale si Botoşani 13,75 6,54 1314000 764000 160000 128700 menajere Botoşani special amenajate în acest scop. Deşeuri de producţie Valorificarea deşeurilor municipale Deşeurile de producţie reprezintă totalitatea deşeurilor generate din activităţile industriale; pot fi În judeţul Botoşani deşeurile municipale nu sunt colectate selectiv în vederea valorificării materialelor deşeuri de producţie nepericuloase şi deşeuri de producţie periculoase. reciclabile (hârtie, carton, sticlă, metale, materiale plastice) decât într-o măsură foarte mică. Se poate afirma că aproximativ 40% din componentele deşeurilor municipale reprezintă materiale reciclabile, Deşeuri periculoase Deşeuri nepericuloase din care cca. 20% au mari şanse de recuperare, nefiind contaminate. Din păcate cea mai mare parte a 2000 2001 2002 2003 2000 2001 2002 2003 deşeurilor reciclabile se elimină prin depozitare, pierzându-se astfel mari cantităţi de materii prime Generate 24,442 115,411 1096,690 15,764 45047.55 21011.114 45972.75 3970.241 secundare şi resurse energetice. Valorificate 8,308 4,390 1050,000 489,382 18342.3954 16876.162 36431.05 1182.87 Eliminate - - 8,000 - 32909.853 3842.404 10273.37 1372.2 Elaboratori: UAUIM-CCPEC, Bucureşti, împreună cu, Universitatea Bucureşti – CICADIT, SC. Quattro Design s.r.l. – Bucureşti, SC. Urbatech s.r.l. – Iaşi, UAIC - Facultatea de Geografie, Iaşi, 26
  • 29.
    Actualizare Plan deAmenajarea Teritoriului Judeţean Botoşani Consiliul Judeţean Botoşani Localităţi afectate de hazardurile naturale cuprinse în legea 575, cauzele producerii pagubelor la Deşeuri generate din activităţi medicale (tone/an) 2002 2003 2004 hazardurile naturale – inundaţii Generate - 37,735 39,639 Tipuri de inundaţii Eliminate - 37,735 39,639 Unitatea administrativ-teritorială Pe cursuri de apă Pe torenţi Stoc final - 0,000 0,000 Flămânzi Da Da Frumuşica Da Da A.1.5. RISCURI NATURALE George Enescu Da Nu Hilişeu-Horia Da Nu A.1.5.1. Vulnerabilitatea la cutremure Hlipiceni Da Nu Hudeşti Da Da Arealul circumscris judeţului Botoşani se încadrează, în macrozona cu magnitudinea seismică 6, iar de Ibăneşti Da Nu la o linie orientată NNE – SSV, ce trece pe la sud de municipiul Botoşani, se încadrează în macrozona Mihălăşeni Da Nu cu magnitudinea seismică 71, scara MKS, conform SR 11100/1-93 „Zonarea seismică a României”. Mileanca Da Nu Raportat la Normativul pentru proiectarea antiseismică a construcţiilor P100-92 Anexa A Zonarea Păltiniş Da Da seismică a teritoriului României din punct de vedere al normativelor de calcul se situează în zona E de Rădăuţi-Prut Da Nu intensitate seismică (grad seismic echivalent), teritoriul judeţului în totalitate, prezentând coeficientul Răuseni Da Da Ripiceni Da Nu de seismicitate Ks = 0,12. Roma Da Da Stauceni Da Da Conform Normativului P100-1/2004, Zonarea teritoriului României în termeni de valori de vârf ale Suharău Da Nu acceleraţiei terenului pentru proiectare ag pentru cutremure cu interval mediu de recurenţă IMR – 100 Suliţa Da Da ani şi în termeni de perioadă (colţ) Tc a spectrului de răspuns, zona este caracterizată prin ag care Şendriceni Da Nu prezintă un coeficient de seismicitate de: Ştefăneşti Da Da ─ ag = 0,12 g, în partea de nord a judeţului; Tc=0,7 sec; Todireni Da Nu Truşeşti Da Da ag = 0,16 g, în partea de sud a judeţului; Tc=0,7 sec. Tudora Da Da A.1.5.2. Vulnerabilitatea la inundaţii Ungureni Da Nu Văculeşti Da Nu Date la nivelul judeţului: paguba totală - 242 miliarde lei, paguba specifică - 27 miliarde lei/an, 5 Vârfu Câmpului Da Da miliarde lei/km2, 58 miliarde lei/an/1000; gradul general de vulnerabilitate rezultat - mică, gradul Vlădeni Da Nu general de vulnerabilitate pe hartă - mică. Vlăsineşti Da Nu Vorona Da Nu Localităţi afectate de hazardurile naturale cuprinse în legea 575, cauzele producerii pagubelor la A.1.5.3. Vulnerabilitatea la alunecări de teren hazardurile naturale – inundaţii Tipuri de inundaţii Unitatea administrativ-teritorială Pe cursuri de apă Pe torenţi Localităţi afectate de hazardurile naturale cuprinse în legea 575, cauzele producerii pagubelor la Municipii hazardurile naturale – alunecări de teren Botoşani Da Nu Unitatea administrativ-teritorială Potenţialul de producere a alunecărilor Tipul alunecărilor Dorohoi Nu Da Primară Reactivată Oraşe Municipiul Darabani Da Nu Botoşani Ridicat Da Nu Săveni Da Nu Oraşe Comune Darabani Ridicat Da Nu Băluşeni Da Nu Săveni Ridicat Da Nu Brăeşti Nu Da Comune Broscăuţi Albeşti Ridicat Da Nu Copălău Da Da Avrămeni Ridicat Da Nu Cordăreni Da Nu Băluşeni Ridicat Da Nu Corni Da Nu Brăeşti Ridicat Da Nu Coţuşca Da Nu Broscăuţi Ridicat Da Nu Cristeşti Da Nu Bucecea Ridicat Da Nu Curteşti Da Nu Călăraşi Ridicat Da Nu Dersca Da Nu Conceşti Ridicat Da Nu Drăguşeni Da Nu Copalău Ridicat Da Nu Durneşti Da Nu Cordăreni Ridicat Da Nu Elaboratori: UAUIM-CCPEC, Bucureşti, împreună cu, Universitatea Bucureşti – CICADIT, SC. Quattro Design s.r.l. – Bucureşti, SC. Urbatech s.r.l. – Iaşi, UAIC - Facultatea de Geografie, Iaşi, 27
  • 30.
    Actualizare Plan deAmenajarea Teritoriului Judeţean Botoşani Consiliul Judeţean Botoşani Localităţi afectate de hazardurile naturale cuprinse în legea 575, cauzele producerii pagubelor la hazardurile naturale – alunecări de teren Unitatea administrativ-teritorială Potenţialul de producere a alunecărilor Tipul alunecărilor Primară Reactivată Corlăţeni Ridicat Da Nu Coţuşca Ridicat Da Nu Cristeşti Ridicat Da Nu Cristineşti Ridicat Da Nu Curteşti Ridicat Da Nu Dângeni Ridicat Da Nu Dersca Ridicat Da Nu Dobârceni Ridicat Da Nu Drăguşeni Ridicat Da Nu Durneşti Ridicat Da Nu George Enescu Ridicat Da Nu Gorbăneşti Ridicat Da Nu Hăneşti Ridicat Da Nu Hilişeu-Horia Ridicat Da Nu Hlipiceni Ridicat Da Nu Hudeşti Ridicat Da Nu Ibăneşti Ridicat Da Nu Leorda Ridicat Da Nu Lunca Ridicat Da Nu Manoleasa Ridicat Da Nu Mihai Eminescu Ridicat Da Nu Mihălăşeni Ridicat Da Nu Mitoc Ridicat Da Nu Fig. 6. Riscuri naturale în judeţul Botoşani. Nicşeni Ridicat Da Nu Păltiniş Ridicat Da Nu Pomârla Ridicat Da Nu Răchiţi Ridicat Da Nu Rădăuţi-Prut Ridicat Da Nu Răuseni Ridicat Da Nu Ripiceni Ridicat Da Nu Roma Ridicat Da Nu Santa Mare Ridicat Da Nu Stăuceni Ridicat Da Nu Suharău Ridicat Da Nu Suliţa Ridicat Da Nu Şendriceni Ridicat Da Nu Ştiubieni Ridicat Da Nu Todireni Ridicat Da Nu Truşeşti Ridicat Da Nu Tudora Ridicat Da Nu Ungureni Ridicat Da Nu Unţeni Ridicat Da Nu Văculeşti Ridicat Da Nu Vârfu Câmpului Ridicat Da Nu Viişoara Ridicat Da Nu Vlăsineşti Ridicat Da Nu Vorona Ridicat Da Nu Situaţia generală a riscurilor naturale la nivelul judeţului este rezumată în Fig. 6. Elaboratori: UAUIM-CCPEC, Bucureşti, împreună cu, Universitatea Bucureşti – CICADIT, SC. Quattro Design s.r.l. – Bucureşti, SC. Urbatech s.r.l. – Iaşi, UAIC - Facultatea de Geografie, Iaşi, 28
  • 31.
    Actualizare Plan deAmenajarea Teritoriului Judeţean Botoşani Consiliul Judeţean Botoşani TABEL SINTETIC Depozite Riscuri naturale Surse de poluare Arii naturale protejate deşeuri În cele ce urmează prezentăm un tabel sintetic al situaţiei existente şi problemelor de mediu identificate Inun- Rezer- Monu- la nivelul unităţilor administrativ-teritoriale din judeţul Botoşani. De asemenea, Fig. 7 prezintă sinteza Nume Inun- Alune- Salu- daţii Indus- Agricul- As- Carbu- Încăl- Necon- vaţii mente acestei analize. daţii cări bri- SCI SPA curs trie tură falt ranţi zire forme natu- ale torente teren zare apă rale naturii Depozite Leorda x x Riscuri naturale Surse de poluare Arii naturale protejate Lozna x x deşeuri Inun- Rezer- Monu- Lunca x x Nume Inun- Alune- Salu- daţii Indus- Agricul- As- Carbu- Încăl- Necon- vaţii mente Manoleasa x x x daţii cări bri- SCI SPA curs trie tură falt ranţi zire forme natu- ale Mihai Eminescu x x x torente teren zare apă rale naturii Mihăileni x x x MUNICIPII Mihălăşeni x x x Botoşani x x x x x x x x x x Mileanca x x x Dorohoi x x x x x x x x Mitoc x x x ORAŞE Nicşeni x x Bucecea x x x x Păltiniş x x x x Dărăbani x x x x x x x x x Pomârla x x x Flămânzi x x x x Prăjeni x Săveni x x x x x x x x x Răchiţi x x Ştefăneşti x x x x x x x Rădăuţi-Prut x x x COMUNE Răuseni x x x x Adăşeni x Ripiceni x x x x x Albeşti x Roma x x x x Avrămeni x x Româneşti x Băluşeni x x x Santa Mare x x Blândeşti x Şendriceni x x x Brăeşti x x x Stăuceni x x x Broscăuţi x x Ştiubieni x x x Călăraşi x x x x Suharau x x x Cândeşti x Sulita x x x x Conceşti x x x Todireni x x x Copălău x x x x x Truseşti x x x x x x Cordăreni x x x Tudora x x x x x x Corlăţeni x Ungureni x x x x Corni x x Unteni x x Coşula x Văculeşti x x x Coţuşca x x x Vârfu Câmpului x x x x x x Cristeşti x x x Viişoara x x Cristineşti x x Vlădeni x x Curteşti x x x Vlăsineşti x x x x Dângeni x x Vorniceni x x Dersca x x x x x Vorona x x x x x x x Dimacheni Dobârceni x x Drăguşeni x x x Durneşti x x x Frumuşica x x x x x George Enescu x x x Gorbăneşti x x Hăneşti x x x Havârna x x Hilişeu-Horia x x x Hlipiceni x x x Hudeşti x x x x x Ibăneşti x x Elaboratori: UAUIM-CCPEC, Bucureşti, împreună cu, Universitatea Bucureşti – CICADIT, SC. Quattro Design s.r.l. – Bucureşti, SC. Urbatech s.r.l. – Iaşi, UAIC - Facultatea de Geografie, Iaşi, 29
  • 32.
    Actualizare Plan deAmenajarea Teritoriului Judeţean Botoşani Consiliul Judeţean Botoşani N Rezervatii stiintifice, naturale, monumente ale naturii Situri de Importanta Comunitara (Natura 2000) Situri de Protectie Avifaunistica (Natura 2000) Modificari in acoperirea si utilizarea terenului (1990-2000) Apa in zona agricola Apa in zona umeda Mlastina in zona agricola Zona agricola in apa Zona agricola in tesut urban Zona umeda in apa Suprafete a caror acoperire sau utilizare s-a modificat (1990-2000) Acoperirea si utilizarea terenului Ape curgatoare sau statatoare Constructii, mine, halde Culturi permanente Industrie, transport, comert Mlastini Paduri Pasuni Spatii forestiere deschise Suprafete agricole eterogene Teren arabil Tesut urban Tufarisuri Cadrul natural în judeţul Botoşani: utilizarea şi acoperirea terenurilor, modificări ale acestora şi arii naturale protejate Elaboratori: UAUIM-CCPEC, Bucureşti, împreună cu, Universitatea Bucureşti – CICADIT, SC. Quattro Design s.r.l. – Bucureşti, SC. Urbatech s.r.l. – Iaşi, UAIC - Facultatea de Geografie, Iaşi, 30
  • 33.
    Actualizare Plan deAmenajarea Teritoriului Judeţean Botoşani Consiliul Judeţean Botoşani Lista figurilor incluse în text: Bibliografie Fig.A.1.2.a. - Temperatura aerului şi precipitaţiile medii în jud. Botoşani. Agenţia de Protecţie a Mediului Botoşani (2004), Planul Local de Acţiune pentru Mediu, 110 pag. Fig. A.1.2.2.b. - Predicţia valorilor temperaturii şi precipitaţiilor medii în jud. Botoşani. Agenţia de Protecţie a Mediului Botoşani (2008), Master Plan privind gestionarea deşeurilor 2007 - Fig. A1.2.2.c. - Diferenţe dintre temperatura aerului şi precipitaţiile atmosferice actuale şi valorile 2037 Botoşani, 556 pag. predicţiilor climatice pentru anul 2100 în jud. Botoşani. Fig. A.2.1.a. - Arii naturale protejate în judeţul Botoşani, pe categorii. Jarvis A, Reuter HI, Nelson A, Guevara E. (2008), Hole-filled SRTM for the globe Version 4, CGIAR-CSI SRTM 90m Database, http://srtm.csi.cgiar.org. Lista tabelelor: Govindasamy B, Duffy PB, Coquard J. (2003), High-resolution simulations of global climate, part 2: effects of increased greenhouse cases, Climate Dynamics, vol. 21, pag. 391-404. Tabel A.1.2.3.a – Debite măsurate pe râuri în judeţul Botoşani în anul 2004 (mc/s) Guvernul României (2007), OM nr. 776/2007 privind declararea siturilor de importanţă comunitară Tabel A.1.2.3.b – Resurse de apă acumulate ca parte integrantă a reţelei ecologice Natura 2000 în România, Monitorul Oficial nr. 615, 15 septembrie 2007 Tabel A.1.2.3.c –Utilizarea lacurilor antropice Guvernul României (2007), HG nr. 1284/2007 privind declararea ariilor de protecţie specială Tabel A.1.2.3.d – Volume de apă captate pe bazine hidrografice avifaunistică ca parte integrantă a reţelei ecologice europene Natura 2000 în România, Monitorul Oficial nr. 739, 31 octombrie 2007 Tabel A.1.2.4.a – Specii de floră inventariate Hijmans RJ, Cameron SE, Parra JL, Jones PG, Jarvis A. (2005), Very high resolution interpolated Tabel A.1.2.4.b – Suprafaţa ocupată cu păduri pe categorii de proprietate climate surfaces for global land areas, International Journal of Climatology, vol. 25, pag. Tabel A.1.2.4.c – Suprafaţa ocupată cu păduri pe grupe funcţionale 1965-1978. Petrişor AI (2007), Analiză de mediu cu aplicaţii în urbanism şi peisagistică, Editura Universitară „Ion Tabel A.1.2.4.c – Repartiţia solurilor Mincu”, Bucureşti, 89 pag., ISBN 978-973-7999-85-6 Tabel A.1.2.4.e – Starea agrochimică a solurilor Petrişor AI (2008), Levels of biological diversity: a spatial approach to assessment methods, Tabel A.2.1.a – Arii protejate prin hotărârea CJ Botoşani Romanian Review of Regional Studies, vol. 4, nr. 1, pag. 41-62. Petrişor AI, GIS assessment of geodiversity covered by natural protected areas in Romania, în curs de Tabel A.2.1.b – Monumente ale naturii publicare în Studia Universitatis Vasile Goldiş. Tabel A.2.1.c – Rezervaţii naturale. x x x (1972-1979), Atlas. R.S.România (Atlasul Naţional), Edit. Academiei, Bucureşti. x x x (1983), Geografia României, vol.I., Geografie fizică, Edit. Academiei, Bucureşti. Tabel A.2.1.d – Situri CORINE x x x (1983), Enciclopedia geografică a României, Ed.şt.şi enciclop., Bucureşti. Tabel A.2.1.e – Situri Natura 2000 x x x (1997), PATJ Botoşani. Lista cartogramelor: A.1.2.a - Trepte hipsometrice şi unităţile de relief A.1.2.b – Harta geologică A.1.2.c – Bazine hidrografice A.1.2.d – Resursele naturale Elaboratori: UAUIM-CCPEC, Bucureşti, împreună cu, Universitatea Bucureşti – CICADIT, SC. Quattro Design s.r.l. – Bucureşti, SC. Urbatech s.r.l. – Iaşi, UAIC - Facultatea de Geografie, Iaşi, 31
  • 34.
    Actualizare Plan deAmenajarea Teritoriului Judeţean Botoşani Consiliul Judeţean Botoşani 7 presupune că acesta ar apărut încă de la instituirea domniei . Oricum situaţia s-a perpetuat până la A.2. ZONE PROTEJATE ŞI PEISAJE CULTURALE finele domniilor fanariote, ultimele prevederi în acest sens datând de la 1819. Cert este că noul ţinut al Botoşanilor a preluat încă de la înfiinţarea sa, către mijlocul sec. XVIII, cea mai mare parte a ţinutului Hârlăului, acesta din urmă fiind socotit ulterior unul dintre ţinuturile mici ale A.2.1. EVOLUŢIA ISTORICĂ A JUDEŢULUI ŞI A ÎMPĂRŢIRII Moldovei, teritoriul său fiind reunit cu acela al Iaşilor în domnia lui Mihail Sturdza (1834-1849). ADMINISTRATIVE După modificarea graniţelor Moldovei din anii 1775 şi 1812, prin pierderea unor teritorii în favoarea Austriei, respectiv Rusiei, cele două ţinuturi se delimitează prin graniţa de Nord a Moldovei. A.2.1.1. Istoricul judeţului Organizarea în două judeţe se face în anul 1834 când se delimitează judeţele Dorohoi şi Botoşani, cel din urmă cu capitala în oraşul cu acelaşi nume. Judeţul Dorohoi va avea capitala la Mihăileni (Târgul Actualul judeţ Botoşani este succesorul unora dintre cele mai vechi ţinuturi ale Moldovei, Hârlău şi Nou) între anii 1835 şi 1850, ca urmare a măsurii luate de Mihail Sturdza de instalare a capitalei Dorohoi. judeţului pe moşia sa, situată la vama spre Austria şi în oraşul nou construit special pentru aceasta8. După anul 1850 capitala judeţului revine, în mod normal, la Dorohoi şi oraşul Mihăileni îşi păstrează Hârlăul apare cu certitudine într-un act dat de Iuga vodă între 2 iulie 1398 şi 28 noiembrie 1399, unde numai importanta funcţiune de vamă între Moldova (din 1859 Principatele Unite, apoi Regatul este amintit în sfatul domnesc boierul Bârlea de la Hârlău1. Curţile domneşti (re)făcute de Ştefan cel României) şi Austria (în 1867, când se creează statul dualist austro-ungar, Bucovina revine în întregime Mare în toamna anului 1486 au consolidat importanţa târgului, rămas pănă târziu capitala ţinutului. Austriei). Abia la 1833 s-a propus desfiinţarea acestuia, fapt petrecut odată cu începutul domniei lui Mihail Sturdza (1834-1849). Judeţele Dorohoi şi Botoşani rămân judeţe de graniţă până la sfârşitul anului 1918 când, ca urmare a autodeterminării popoarelor din Rusia Socialistă, Bucovina şi Basarabia se alipesc României. Din acel Dorohoiul apare pentru prima dată într-un act de la 6 octombrie 1407 în care la Liov boierii Ţării moment judeţele susnumite se află în mijlocul părţii de NE a României, fiind înconjurate de judeţele Moldovei reînnoiesc jurământul omagiului către regela Poloniei, Vladislav Jagello. Între boierii Cernăuţi, Hotin, Bălţi, Iaşi, Baia, Suceava şi Rădăuţi. Limitele celor două judeţe considerate împreună menţionaţi este şi un “Mihail Dorohoianul”, Mihail de la Dorohoiu2. Din anul următor datează şi prima cuprindeau un teritoriu mai mare decât cel actual: menţiune despre vama de la Dorohoi pe drumul dela Siret la Cameniţa. De altfel se pare că însăşi denumirea târgului provine de la slavonul doroga (drum), ceea ce l-a îndemnat pe Constantin C. - judeţul Dorohoi cuprindea în partea de NV ţinutul Herţei, până aproape de Cernăuţi; Giurescu să socoată Dorohoiul chiar anterior întemeierii principatului Moldovei3. - ambele judeţe cuprindeau în partea de V un rând de comune situate pe malul drept al Ţinutul Botoşanilor care nu apare în Descriptio Moldaviae (1716) a lui Dimitrie Cantemir, este Siretului; menţionat într-un hrisov al principelui Grigore III Ghica din 1766 pentru şcolile din Moldova şi chiar mai înainte, la 1757, într-o listă de încasări ale goştinei (darea pe porci)4. Apariţia noului ţinut se - judeţul Botoşani cuprindea în partea de S şi Hârlăul; explică prin decăderea curţilor domneşti de la Hârlău, proces început încă de la mijlocul secolului al - ambele judeţe cuprindeau în partea de E şi o fâşie de teritoriu de pe malul drept al Prutului XVII-lea şi definitivat odată cu devastările trupelor ruse de ocupaţie a Moldovei în vremea războiului în zona Pererita-Teţcani-Lopatnic-Blesteni-Zătriceni-Terebna-Bădragi, respectiv Cuconeşti- ruso-austro-otoman din 1736-1739. În acelaşi timp s-a produs afirmarea tot mai puternică a târgului Duruitoarea Veche-Păscăuţi-Braniştea, urmare a situaţiei anterioare anului 1812, când Botoşanilor. ţinuturile Moldovei se întindeau de o parte şi de alta a Prutului. Prima atestare a acestuia este făcută de pisania bisericii armeneşti din centrul târgului şi care datează de La sfârşitul perioadei interbelice, prin legea administrativă din anul 1938, se instituie Ţinutul Suceava la 1350, aşadar anterioară întemeierii principatului Moldovei5. În Descriptio Moldaviae, Dimitrie care cuprinde şi judeţul Dorohoi şi Ţinutul Prut care cuprinde şi judeţul Botoşani. Cantemir arată că târgul Botoşanilor era un apanaj al doamnei ţării, de aici provenind veniturile sale personale, pentru întreţinerea curţii ei. Nicolae Iorga a dedus din înălţarea bisericilor din târg de În anul 1944, ca urmare a ocupării Bucovinei şi Basarabiei de către URSS, judeţele Dorohoi şi Botoşani doamna Elena a lui Petru Rareş, că acest principe ar fi constituit apanagiul6. Constantin C. Giurescu ajung până la graniţa de NE a ţării, iar judeţul Dorohoi pierde zona Herţei (din partea de NV a judeţului). Între anii 1944-1950 se revine la organizarea administrativă pe judeţe, aşa cum era până în anul 1938. 1 Documenta Romaniae Historica.A.Moldova, vol. I, ed. C. Cihodaru, I. Caproşu şi L. Şimanschi, Bucureşti, 1975, pp. 10- 11. 2 Mihai Costăchescu, Documente moldoveneşti înainte de Ştefan cel Mare, vol. II, Iaşi, 1932, p. 628. 3 Constantin C. Giurescu, Târguri sau oraşe şi cetăţi moldovene, Bucureşti, 1967, p.222. 4 Idem, Istoria românilor, vol. III2, Bucureşti, 1946, p.487. 7 Constantin C. Giurescu, Târguri sau oraşe şi cetăţi moldovene, pp. 196-197. 5 Nicolas Soutzo, Notions statistiques sur la Moldavie, Jassy, 1849, p. 53; Constantin C. Giurescu, Târguri sau oraşe şi 8 Oraşul Mihăileni (Târgul Nou) a fost construit după un regulament urbanistic de ing. Balberitz între anii 1835 şi 1842. În cetăţi moldovene, pp. 90, 195-196. 1835 a fost construită şi şoseaua Mihăileni-Siret, de asemenea cu scopul organizării vămii între Moldova şi Austria. Cf. N. 6 N. Iorga, Studii şi documente, vol. V, p. 651. Zahacinschi, Mihăilenii de altădată, 1982, pp. 28-29. Elaboratori: UAUIM-CCPEC, Bucureşti, împreună cu, Universitatea Bucureşti – CICADIT, SC. Quattro Design s.r.l. – Bucureşti, SC. Urbatech s.r.l. – Iaşi, UAIC - Facultatea de Geografie, Iaşi, 32
  • 35.
    Actualizare Plan deAmenajarea Teritoriului Judeţean Botoşani Consiliul Judeţean Botoşani Prin reforma administrativă din anul 1950 se creează Regiunea Botoşani; în anul 1952 această regiune ANUL ŞI EVENIMENTUL PRIN PERIOADA, FORMA DE STAT ŞI se desfiinţează şi este preluată de Regiunea Iaşi9. În anul 1956 teritoriul actual al judeţului intră în CARE SE SCHIMBĂ FORMA ÎN TERITORIUL ŢĂRII componenţa Regiunii Suceava. Regiunile erau împărţite în raioane şi teritoriul fostelor judeţe Botoşani STAT şi Dorohoi au format raioanele Botoşani, Dorohoi, Darabani, Săveni şi Truşeşti. Ca urmare a noii împărţiri administrative a RSR din 1968, legiuitorul – în fapt Nicolae Ceauşescu şi consilierii săi – nu 1352 – Întemeierea Ţării Moldovei 1352 – 1456 au mai procedat la reconstituirea judeţelor istorice, ci au procedat grosso-modo, la împărţirea regiunii (Dragos Voievod) Moldova – stat vasal regilor Ungariei şi Suceava în două părţi, cea de la Est de Siret devenind actualul judeţ Botoşani. Totodată zona Hârlău din Poloniei, alternativ. Teritoriul ţării Sudul judeţului intră în componenţa judeţului Iaşi. cuprinde Moldova de acum, Bucovina şi Componenţa judeţului Botoşani este stabilită prin Legea nr. 2/1968 completată prin legea nr.55/1968: Basarabia. reşedinţa judeţului este municipiul Botoşani care are 3 comune suburbane (Curteşti, Răchiţi şi 1456 – Începutul vasalităţii faţă de 1456 – 1538 Stăuceni); există 3 oraşe – Darabani, Dorohoi, Săveni – şi 66 de comune; judeţul Botoşani are în total Sultanul Înaltei Porţi (Petru Aron) 73 UATB care din anul 1977 rămân 72, prin unificarea com. Nicolae Bălcescu cu com. Flămânzi. Moldova – stat vasal Sultanului Înaltei Componenţa UATB din judeţ este prezentată în Anexa nr. 1, în care sunt menţionate şi datele atestării Porţi şi stat independent, alternativ. documentare a localităţilor. 1538 – Instaurarea vasalităţii faţă de 1538 – 1711 O nouă reformă administrativă stabilită prin Legea nr.2/1989 (care abrogă legea nr. 2/1968) reduce Sultanul Înaltei Porţi (Ştefan Lăcustă) numărul UATB din judeţ la 55, păstrând municipiul şi oraşele care existau în anul 1968. Este urmarea Moldova – stat vasal Sultanului Înaltei politicii de reducere a aparatului administrativ al ţării, de fapt o expresie a luptei împotriva ţărănimii, Porţi, condus de domnitori aleşi de boieri întrucât numărul comunelor din judeţ se reduce de la 66 la 59. sau impuşi de armate străine; oraşul Iaşi devine principala reşedinţă domnească a Această organizare nouă nu a fost pusă în aplicare şi Decretul Lege al C.F.S.N. nr.38/1990 abrogă legea lui Alexandru Lăpuşneanu - 156411 . de organizare din 1989 şi readuce judeţul la situaţia din 1968, cu excepţia precederilor relative la comunele suburbane. Ca urmare, în anul 1990 judeţul Botoşani era împărţit, din punct de vedere 1711 – Instaurarea domniilor fanariote 1711 – 1828 administrativ, în 72 UATB, din care 1 municipiu, 3 oraşe şi 68 comune. (Nicolae Mavrocordat) Moldova – stat cu capitala la Iaşi, vasal După 1990 începe procesul de întărire a administraţiei publice locale prin înfiinţarea municipiului Sultanului Înaltei Porţi, condus de Dorohoi (1994), a oraşelor Bucecea, Flămânzi şi Ştefăneşti (2004) şi a unora dintre comunele domnitori greci numiţi de Sultan. desfiinţate înainte (Adăşeni, Blândeşti, Cândeşti, Coşula, Dimăcheni, Lozna, începând cu anul 2003). Teritoriul ţării se diminuează prin În felul acesta în anul 2009 judeţul Botoşani este împărţit în 78 UATB: 2 municipii, 5 oraşe, 71 pierderea Bucovinei (1775) şi Basarabiei comune. (1812). 1828 – Începutul ocupaţiei militare ruseşti 1828 – 1859 Moldova – stat cu capitala la Iaşi, sub dublul protectorat al Sultanului Înaltei A.2.1.2. Periodizarea istoriei Moldovei Porţi şi al Ţarului Rusiei, administrat de Rusia şi, din 1824, condus de domnitorii Evoluţia istorică a zonei este analizată succint pe o perioadă mai lungă de timp, perioadă care trebuie pământeni, pe baza Regulamentului împărţită în câteva etape corespunzătoare dezvoltării şi modernizării ţării. Periodizarea istoriei Organic (1830) şi al Convenţiei de la Paris Moldovei este conţinută în mai multe lucrări istorice; din motive practice, în cele ce urmează vom (1858). Teritoriul ţării se completează cu utiliza periodizarea pe care am stabilit-o pe baza criteriului evoluţiei formei de stat10: judeţele din sudul Basarabiei (1856). 1859 – Alegerea lui Alexandru Ioan Cuza 1859 – 1877 ca domnitor al ambelor principate (Moldova şi Ţara Românească) Principatele Unite ale Moldovei şi Ţării Româneşti – stat sub suzeranitatea Sultanului Înaltei Porţi şi sub protectoratul puterilor garante, condus succesiv de 9 Decăderea oraşului Mihăileni continuă ca urmare a pierderii populaţiei germane şi evreieşti, fiind retrogradată la statutul principii Al. I. Cuza şi Carol de de comună. 10 11 Datele de bază sunt extrase din C.C. GIURESCU e.a., Istoria României în date, 1971. C. CIHODARU e.a., Istoria oraşului Iaşi, vol. I, p. 86. Elaboratori: UAUIM-CCPEC, Bucureşti, împreună cu, Universitatea Bucureşti – CICADIT, SC. Quattro Design s.r.l. – Bucureşti, SC. Urbatech s.r.l. – Iaşi, UAIC - Facultatea de Geografie, Iaşi, 33
  • 36.
    Actualizare Plan deAmenajarea Teritoriului Judeţean Botoşani Consiliul Judeţean Botoşani ANUL ŞI EVENIMENTUL PRIN PERIOADA, FORMA DE STAT ŞI ANUL ŞI EVENIMENTUL PRIN PERIOADA, FORMA DE STAT ŞI CARE SE SCHIMBĂ FORMA ÎN TERITORIUL ŢĂRII CARE SE SCHIMBĂ FORMA ÎN TERITORIUL ŢĂRII STAT STAT Hohenzollern – Sigmaringen, pe baza Convenţiei de la Paris şi a Constituţiei (1866). Oraşul Bucureşti este proclamat capitala României (1862) şi, în consecinţă, oraşul Iaşi pierde calitatea de capitală. 1989 – Trecerea la sistemul democratic După 1989 1877 – Proclamarea independenţei 1877 – 1919 România – republică parlamentară cu României capitala la Bucureşti, condusă de România – regat independent (1881), cu preşedinte, pe baza Constituţiei României capitala la Bucureşti, condus succesiv de (1991). Oraşul Iaşi este reşedinţa judeţului regii Carol I şi Ferdinand. Teritoriul ţării Iaşi. se diminuează cu judeţele din sudul Basarabiei (1878) şi se completează cu Dobrogea (1878), Basarabia, Bucovina şi Transilvania (toate 1918). În perioada A.2.1.3. Atestări documentare ale localităţilor 1916 – 1918, din cauza ocupării oraşului Bucureşti de armatele germană, bulgară şi turcă, oraşul Iaşi devine capitala de facto a României. Atestări documentare Atestarea documentară a localităţilor este un semn de apreciere a vechimii şi importanţei acestora. Perioadele istorice sunt cele care au fost prezentate în Cap. A.2.1.2. Se constată că 20 UATB cuprind localităţi care ai fost atestate în perioada 1352-1456, a întemeierii statului moldovean (25% din UATB din judeţ): în primul rând municipiile actuale Botoşani şi Dorohoi, 1919 – Ratificarea unirii României de către 1919 – 1947 oraşul Ştefăneşti şi fostul oraş Mihăileni; celelalte UATB atestate în această primă perioadă sunt astăzi Parlamentul României comune. România unită – regat cu capitala la Bucureşti, condus succesiv de regele Amplasarea în judeţ a acestor UATB este foarte semnificativă: în jurul Dorohoiului; în jurul Ferdinand, consiliul de regenţă, regii Carol Botoşaniului; comunele cu iazuri de pe văile Jijiei, Ibănesei şi Başeului; unele comune de pe malul II şi Mihai, pe baza Constituţiei României drept al Prutului; unele comune de pe malul stâng al Siretului. (1923). Teritoriul ţării se diminuează temporar cu Transilvania de nord (1940 – 1944) şi definitiv cu Basarabia şi Bucovina Harta Cantemir (1716) (din 1944). După hărţi mai vechi, informaţii de la refugiaţii din Rusia după bătălia de la Stănileşti (1711) şi după propriile amintiri, Dimitrie Cantemir a elaborat o hartă a Moldovei care, într-o formă redusă, realizată de geograful francez J. B. D’Anville, a fost descoperită în 1924 de către George Vâlsan la Biblioteca Naţională de la Paris. Originalul acestei hărţi, mult mai mare, fusese văzut în Rusia de geograful francez V. J. Deslile, curând după moartea lui Dimitrie Cantemir (1723). 1947 – Proclamarea Republicii Populare 1947 – 1989 Române, din 1965 Republica Socialistă Harta lui Cantemir înfăţişează principatul Moldovei în jurul anului 1700, mai precis o sinteză a situaţiei România România socialistă – republică cu capitala din anii 1685-1711 a intervalului domniilor principilor din familia Cantemir. Harta înfăţişează între la Bucureşti, condusă de Partidul altele teritoriul judeţului Botoşani de astăzi, care era acoperit atunci de ţinuturile Dorohoi şi Hârlău. În Muncitoresc Român (din 1965 – Partidul aceste ţinuturi harta menţionează 48 de aşezări în Dorohoi, dintre care două oraşe – Dorohoi şi Comunist Român), pe baza Constituţiilor Ştefăneşti -, şi 43 de aşezări în Hârlău, dintre care două oraşe – Hârlău şi Botoşani. din 1948 şi 1965. Oraşul Iaşi devine oraş de subordonare republicană şi reşedinţa Iată mai departe lista localităţilor din actualul judeţ Botoşani depistate în harta lui Cantemir. Elaboratori: UAUIM-CCPEC, Bucureşti, împreună cu, Universitatea Bucureşti – CICADIT, SC. Quattro Design s.r.l. – Bucureşti, SC. Urbatech s.r.l. – Iaşi, UAIC - Facultatea de Geografie, Iaşi, 34
  • 37.
    Actualizare Plan deAmenajarea Teritoriului Judeţean Botoşani Consiliul Judeţean Botoşani - în ţinutul Hârlău: Cândeşti, Călineşti, Leorda, Văculeşti, Mândreşti, Cucoreni Costineşti, Dintre satele ce ţineau de târg enumerăm Mănăstirea Doamnei, Botoşani, Todireşti, Stăuceni, Tudora, Băluşeni, Coşula, Dragşini, Călugăreni, Durneşti, Strahotin, Ionăşeni, Drujeşti, Cerneşti, Orăşeni, Storeşti, Pleşeşti. – Măcicătenii, pe Jijia, pomenit într-un document de la Petru Şchiopul din 1 august 1583 – Teişoara, pomenit la 9 septembrie 1584 - în ţinutul Dorohoi: Pomârla, Falegara (?), Ibăneşti, Liveni, Dumeni, Popeni, Şipoteni, Cordăreni, Silişeni, Buceaciul, Şindriceni, Dorohoi, Broscăuţi, Vlădeni, Vorniceni, Glodeni, – Onţenii, întăriţi, la 20 decembrie 1588, mănăstirii Moldoviţa Stânceni, Comăneşti, Hudeşti, Ibăneasa, Tătărăşeni, Boranca, Dolniceni, Păltiniş, Crăiniceni, Coceni, Cuzlău, Rădăuţi, Bivolu, Ştiubeni, Ghireni, Coţuşca, Truşeşti (?), Stăuceni, Plopeni, – Stăuceanii, pe Sitna, din ţinutul Hârlăului, dăruiţi de Petru Schiopul mănăstirii Putna Săveni, Ripiceni, Şilişcani, Ştefăneşti, Volovăţ, Slobozia, Dobârceni, Bârsăneşti, Mihăileşti, – Mănăstirenii şi Costeştii pe Siret, dăruiţi, la 18 martie 1615 de către Ştefan Tomşa mănăstirii Albeşti, Caravia, Iacobeni, Popricani. Solca Cu semne deosebite, arătând importanţa lor ca aşezări, sunt marcate Botoşanii, Dorohoiul, Ştefăneştii, – Tătărăşanii, cu heleşteu şi cu mori, fostă moşie domnească, în hotarul târgului, amintit la 2 mănăstirea Coşula şi Mănăstirea Doamnei de lângă Dorohoi. septembrie 1752 Al doilea mare târg ca importanţă este Dorohoiul, a cărui primă menţiune apare într-un act din 6 oct Târguri vechi din judeţul Botoşani 1407 unde, printre boierii moldoveni care semnează la Liov jurământul de credinţă faţă de regele Poloniei Vladislav Jagello apare şi "pan Mihail Dorohoianul". Un an mai târziu, la 6 oct. 1408, întâlnim Cea mai veche aşezare a judeţului este chiar capitala sa, Botoşanii sau Botăşenii, denumire însemnând actul prin care se stabileşte la Dorohoi un punct vamal pentru negustorii care vindeau cai la Cameniţa, "urmaşii lui Botăş" sau Botaş conform istoricului C.C.Giurescu în lucrarea sa de referinţă Târguri sau cu această ocazie fiind pomenit din nou Mihail Dorohoianul ca pârcălab al ţinutului. oraşe şi cetăţi moldovene din secolul al X-lea până la mijlocul secolului al XVI-lea. Temeiul datării timpurii îl constituie menţiunea referitoare la biserica armenească ridicată, conform pisaniei, la 1350, Dorohoiul se remarcă şi ca zonă importantă din punct de vedere piscicol datorită multor cursuri mici de fiind astfel socotită şi cea mai veche biserică a comunităţii din ţară. Aceştia au întemeiat nucleul apă ce formau bălţi şi iezere, dintre care, într-un act din 5 aug. 1620, se pomeneau "iezerul" comercial al aşezării, în jurul căruia s-au format ulterior cartierele grecimii, calicimii, lipovenilor. Dorohoiului, "iazul lui Cristea", "iazul lui Bodeiu", "zăgazul lui Toma Purcarul", "hotarul Pescarilor"18. Despre prigonirea armenilor petrecută în 1551 sub Petru Rareş când au fost dărâmate bisericile lor din Datorită importanţei sale ca târg şi punct vamal, la Dorohoi se fixează reşedinţa vel vornicului de Ţara "Hotin, Siret şi Iaşi, Vaslui, Botoşani şi Roman" vorbeşte cronicarul armean Minas din Tocat12. Până la de Sus19. mijlocul sec. XIX centrul localităţii era proprietatea exclusivă a armenilor. Hotarul târgului era delimitat prin stâlpi de piatră care-l separau de hotarele satelor din ocolul Prima menţiune documentară românească despre Botoşani se află în letopiseţul redactat la curtea lui Dorohoiului. Informaţia provine din documentul din 5 aug 1620 privind hotărnicia satului Şendricenii, Ştefan cel Mare unde se spune: "în anul 6947 (1439) noembrie 28, au venit tătarii şi au prădat până la aflat la V de oraş. Despre porţile pomenite în acest document nu se poate conchide că oraşul ar fi fost Botoşani"13. înconjurat de palisade prevăzute cu porţi, ci mai degrabă ar fi vorba de porţi de intrare în sat, fapt "Curţile domneşti" din Botoşani sunt menţionate într-un act de la 18 martie 161514. În legătură cu întâlnit chiar şi în timpurile mai recente. aceste curţi este pusă construirea de către Ştefan cel Mare a unei biserici, cu rol de capelă de curte, din Ocolul Dorohoiului cuprindea următoarele sate a cărui pisanie aflăm despre terminarea lucrărilor la 30 septembrie 149615. - Şendricenii. Devine silişte în timpul lui Alexandru Lăpuşneanu, pentru ca ulterior, Constantin O caracteristică a târgului a fost aceea că el a constituit apanajul doamnei ţării, ea încasând veniturile Moghilă să-l dăruiască lui Vasile Orăş, vel vornic de Ţara de sus20. lui16. N. Iorga atribuie lui Petru Rareş acestă dispoziţiune, poate datorită faptului că doamna Elena ridică aici două biserici, dintre care cea cu hramul Sf. Gheorghe datată 1541 (7049) era construită în - Cîrstineştii. Ajuns şi el sălişte şi dăruit la 16 martie 1591 de Petru Şchiopul diacului Gheorghe "târgul Botoşanilor"17. C.C.Giurescu atribuie unor timpuri mai vechi dăruirea către doamna ţării a Dorohoncea. veniturilor acestui târg întemeindu-se pe ideea că încă din vremea lui Alexandru cel Bun doamna avea o curte a ei cu dregători, ceaşnic, diac, vistiernic, curte ce presupunea venituri pentru întreţinerea ei. Tot - Iubăneştii, dăruit mănăstirii Solca de către Ştefan Tomşa la 30 martie 1615. Alexandru cel Bun dăruieşte în 1421 fostei sale soţii, Rimgaila, toate veniturile târgurilor Siret şi - Dobrănăuţii, pe Siret, dăruit mănăstirii Dragomirna de vel vornicul Ieremia Moghilă, danie Volhovăuţului. În acest sens a fost invocat ca argument faptul că vechea pecete a târgului reprezintă un întărită de Radu Mihnea la 2 apr. 1618. păun; poate în legătură cu păunii crescuţi la curţile domneşti sau poate ca simbol al doamnei ţării? - Silicicanii, pe Başeu, întărit mănăstirii Sf. Nicolae din Iaşi de către Radu Mihnea, la 7 apr. 12 1618 H.Dj. Siruni, Note armene, în Revista Istorică, XV, 1929, p. 130 13 Cronicile slavo-române, p. 6 14 Documente. A, veac XVII, vol. III, p. 203 15 18 Repertoriul monumentelor, p. 124-126 Documente. A, veac XVII, vol. IV, p. 492-493 16 19 Descriptio Moldaviae, p. 17 Miron Costin, Opere, p. 238, 387 17 N. Iorga, Studii şi documente, XV, p. 220-221 20 Documente. A, veac XVII, vol. III, p. 19-20 Elaboratori: UAUIM-CCPEC, Bucureşti, împreună cu, Universitatea Bucureşti – CICADIT, SC. Quattro Design s.r.l. – Bucureşti, SC. Urbatech s.r.l. – Iaşi, UAIC - Facultatea de Geografie, Iaşi, 35
  • 38.
    Actualizare Plan deAmenajarea Teritoriului Judeţean Botoşani Consiliul Judeţean Botoşani - Măgura, întărit lui Nicoară vel vornic, la 12 apr. 1620, de Gaşpar Graţiani A.2.1.4. Monumente istorice Unul dintre vechile târguri ale ţinutului Dorohoiului a fost Ştefăneştii aşezat pe râul Başeu, afluent al Explicaţii generale Prutului, pomenit pentru prima dată la 1509. Importanţa sa este dată şi de includerea sa în harta lui Georg Reichersdorf din 1541, din vremea lui Petru Rareş. Întrucât după tradiţie, biserica Sf. Paraschiva Lista monumentelor istorice LMI a fost publicată în anul 2004 şi a fost completată în anul 2005; din târg este atribuită lui Ştefan cel Mare, Constantin C. Giurescu a presupus că Ştefăneştii datau din ambele liste sunt publicate în Monitorul Oficial al României, în numere bis. vremea acestui principe. Dacă la începutul sec. XVII avea 2000 de case şi atât Miron Costin cât şi Codificarea LMI se face printr-un indicativ alfanumeric: Dimitrie Cantemir îl numeau oraş, peste 200 de ani, istoricul Dionisie Fotino nu-l mai includea în lista oraşelor ţinutului Dorohoiului. 1. BT – I – m – A – 01751 Din sec. XVII, în ţinutul Dorohoiului au apărut şi alte târguri, primul dintre acestea fiind cel al Herţei II a B (1672, hrisov de la Gheorghe vodă Duca). Acesta a aparţinut până la răpirea Bucovinei în 1775 de ţinutul Cernăuţilor, ulterior devenind între 1776 şi 1788 reşedinţa unui mic ţinut, al cărui teritoriu se III s compunea din ceea ce mai rămăsese din ţinutul Cernăuţilor şi o suprafaţă din ţinutul Dorohoiului. Din IV vremea Regulamentului Organic (introdus în Moldova la 1832) teritoriul ţinutului a fost încorporat la Dorohoi. La 26 iunie 1940 târgul şi zona adiacentă au fost răşluite cu prilejul anexării Basarabiei şi 1. – numărul curent al monumentului pe lista judeţului Bucovinei de nord de către URSS. BT – numele simplificat al judeţului După anexarea Bucovinei la Sfântul Imperiu Romano-German în 1775 pe noua frontieră, pe pârâul Molniţa, a fost întemeiat un punct vamal în preajma căruia proprietarul moşiei Vlădenilor, Costache I, II, III, IV – capitolele LMI: I – arheologie; II – arhitectură; III; monumente de for Mareş, a obţinut privilegiul domnesc pentru întemeierea unui târg. În 1792 el a colonizat aici evrei din public; IV – monumente memoriale/funerare. Galiţia şi după ridicarea caselor, atelierelor meşteşugăreşti şi a prăvăliilor şi-a construit şi el în m, a, s – categoriile monumentelor istorice: m – monument; a – ansamblu; s – sit. marginea târgului curţile. La 1830 moşia Vlădenilor a intrat în proprietatea lui Mihail Sturdza printr-un schimb de moşii cu Teodor Balş. În 1835 dându-şi seama de importanţa târgului Vlădenilor Mihail A, B – grupa valorică a monumentelor istorice: A – valoare naţională; B – valoare Sturdza devenit principe al Moldovei, a răscumpărat şi târgul, pe care l-a numit Mihăileni după numele locală. său. 01751 – numărul de cod al monumentelor istorice; Alt târg din ţinutul Dorohoiului care s-a ridicat la începutul sec. XIX a fost Darabanii, al cărui nume provine de la denumirea vechii categorii de oşteni din sec. XVII. 01751.01 – 02 – numărul de cod al monumentelor care face parte dintr-un ansamblu sau dintr-un sit. Ultimul târg înălţat la acest statut în sec. XIX a fost Săvenii, întemeierea sa fiind făcută prin hrisovul din 4/16 august 1818 a lui Scarlat vodă Callimachi la cererea proprietăresei moşiei, domniţa Eufrosina Explicaţiile sistemului de clasificare sunt date în Ordinul MCC nr.2260/18.04.2008 pentru aprobarea Mavrogheni. Normelor metodologice de clasare şi inventariere a monumentelor istorice (M. Of. Nr.540/17.07.2008). În ţinutul Hârlăului s-a întemeiat pe moşia familiei Balş târgul Frumuşica, la începutul sec. XIX, în Numărul real al monumentelor istorice este diferit de numărul de poziţii din LMI, pentru că: preajma anului 1831. - numele unui ansamblu este numerotat cu număr curent şi este urmat de numele şi Alte târguri pe teritoriul actualului judeţ Botoşani au fost târgul Suliţa sau Suliţoaia, Drăcşanii. numerele curente ale componentelor ansamblului (de ex., un ansamblu format din două entităţi ocupă trei poziţii în LMI); - un sit care are mai multe componente este înscris în LMI ca şi ansamblurile (de ex., un sit format din două entităţi ocupă trei poziţii în LMI). Acest mod de listare are ca rezultat faptul că pe totalul unui judeţ numărul monumentelor istorice este mai mic decât numărul de poziţii din LMI pentru judeţul respectiv. Situaţia UATB după monumentele istorice În LMI 2004 în judeţul Botoşani sunt înregistrate 522 de poziţii, cărora li se adaugă 1 poziţie nouă în LMI 2005; rezultă 523 de poziţii, cărora le corespund 453 de monumente istorice (număr real). Repartizarea monumentelor istorice din judeţul Botoşani pe capitolele LMI şi pe grupe valorice Elaboratori: UAUIM-CCPEC, Bucureşti, împreună cu, Universitatea Bucureşti – CICADIT, SC. Quattro Design s.r.l. – Bucureşti, SC. Urbatech s.r.l. – Iaşi, UAIC - Facultatea de Geografie, Iaşi, 36
  • 39.
    Actualizare Plan deAmenajarea Teritoriului Judeţean Botoşani Consiliul Judeţean Botoşani Grupa valorică Procent din numărul total al Capitolul LMI Total M.I. M.I. din judeţ Se remarcă faptul că un număr 10 UATB din întregul judeţ nu au monumente istorice (13% din A B numărul total de UATB din judeţ). De asemenea este remarcabil că 20 UATB (26% din numărul total al judeţului) au un număr de 6 – 10 monumente istorice. Cap. I - Arheologie 8 194 204 45% Subliniem valoarea deosebită a unor monumente istorice ale judeţului: situl arheologic de la Ripiceni, Cap. II - Arhitectură 31 193 224 49% unde s-a descoperit cel mai vechi adăpost omenesc din Europa de Sud-Est (care este reconstituit parţial în Muzeul Judeţean Botoşani); aşezarea fortificată de la Stânceşti – com. Mihai Eminescu – perioada Cap. III – Monumente de 0 17 17 4% fierului; situl arheologic de la Mitoc - com. Mitoc – paleolitic, epoca bronzului; bisericile domnitorului for public Ştefan cel Mare – Sf. Nicolae Popăuţi – Botoşani şi Sf. Nicolae Dorohoi; aşezămintele familiei lui Petru Rareş – mănăstirea Coşula, bisericile Sf. Gheorghe Botoşani şi Uspenia Botoşani; urmele Cap. IV – Monumente 2 6 8 2% memoriale/funerare zidurilor de apărare ale oraşului Dorohoi – sec. XV. Total M.I. Jud. Botoşani 41 412 453 100% Nu sunt în remarcate în LMI: pivniţele şi galeriile de sub străzile vechi ale mun. Botoşani; staţiile de cale ferată ale liniei Vereşti – Leorda - Botoşani; clădirile în stil Art Nouveau din Botoşani. De Număr asemenea nu sunt remarcate unele elemente urbanistice şi tehnice importante: alimentarea cu apă a Procent 9% 91% 100% mun. Botoşani; oraşul proiectat Mihăileni; iazurile istorice din judeţ (de remarcat că în stema judeţului figurează un rac, care simbolizează bogăţia iazurilor din judeţ). Se constată numărul mare de M.I. cu specific arheologic precum şi valoarea deosebită a M.I. de arhitectură (14% din totalul M.I. de arhitectură sunt în grupa valorică A). Aşezămintele monahale ortodoxe Repartiţia M.I. pe UATB ale judeţului este prezentată în tabelul anexă (tabel analitic). Sinteza situaţiei Pe teritoriul judeţului Botoşani există 11 aşezăminte monahale, dintre care 8 mănăstiri şi 3 schituri este prezentată în tabelul care urmează: pendinte de 3 mănăstiri. Numărul UATB după numărul real al monumentelor istorice Numărul UATB cu monumente istorice pe capitolele Mănăstiri şi schituri LMI Numărul real al Total jud. Botoşani M.I. din UATB Jurisdicţie: Mitropolia Moldovei şi Bucovinei, Arhiepiscopia Iaşilor Cap. I Cap. II Cap. III – Cap. IV – Procent Arheolog Arhitectură Monumente Monumente din totalul NR. DENUMIREA HRAMUL AMPLASAMENTUL TIPUL MĂNĂSTIRII DATA ie de for public memoriale/ Număr UATB UATB CRT Sat sau cartier/ Importanţa Vieţuitori/ ÎNTEMEIERII funerare . UATB felul de viată ŞI OBSERVAŢII 1–5 49 37 5 3 42 54% 1. SF. Sf. Nicolae CARTIER mănăstire călugări/ 1496 6 - 10 7 3 1 - 20 26% NICOLAE POPĂUŢI/ (06.12) obşte Mănăstire1750 11 - 15 2 - - - 4 5% MUN. Desfiinţată 1959 16 - 20 - 1 - - - - BOTOŞANI Reînfiinţată 1990 21 şi mai multe - 1 - - 2 2% 2. VORONA Naşterea COMUNA mănăstire maici/ cca. 1600 Nr. total UATB 58 42 6 3 68 87% Maicii VORONA Domnului obşte cu M.I. (08.09) Nr. UATB fără 20 36 72 75 10 13% M.I. 3. SIHĂSTRIA Buna COMUNA schit călugări/ 1830-1868 VORONEI Vestire VORONA aparţine (25.03) măn. obşte Total UATB 78 78 100% Elaboratori: UAUIM-CCPEC, Bucureşti, împreună cu, Universitatea Bucureşti – CICADIT, SC. Quattro Design s.r.l. – Bucureşti, SC. Urbatech s.r.l. – Iaşi, UAIC - Facultatea de Geografie, Iaşi, 37
  • 40.
    Actualizare Plan deAmenajarea Teritoriului Judeţean Botoşani Consiliul Judeţean Botoşani Vorona Situaţia UATB după numărul aşezămintelor monahale 4. AGAFTON Pogorârea COMUNA mănăstire maici/ Începută în sec. UATB ÎN CARE EXISTĂ 2 2 com. BĂLUŞENI Sfântului CURTEŞTI XVI AŞEZĂMINTE MONAHALE Duh obşte com. VORONA Desfiinţată 1959 UATB ÎN CARE EXISTĂ 1 AŞEZĂMÂNT 7 mun. BOTOŞANI Reînfiinţată 1990 MONAHAL 5. GOROVEI Sf. Ioan SAT GOROVEI/ mănăstire călugări/ 1740 com. COPĂLĂU Botezătorul COMUNA (07.01) VĂCULEŞTI obşte com. CURTEŞTI 6. COZANCEA Adormirea COMUNA mănăstire călugări/ 1684 Maicii SULIŢA com. DURNEŞTI Domnului obşte Desfiinţată 1959 (15.08) com. FRUMUŞICA Reînfiinţată 1990 com. SULIŢA 7. ZOSIN SAT schit călugări/ STOREŞTI/ aparţine com. VĂCULEŞTI COMUNA măn. obşte BĂLUŞENI Cozancea UATB ÎN CARE NU EXISTĂ 69 8. BALŞ COMUNA schit călugări/ AŞEZĂMINTE MONAHALE FRUMUŞICA apartine măn. obşte Cozancea Organizarea administrativă a bisericii ortodoxe în judeţul Botoşani este următoarea: - Jurisdicţia - Arhiepiscopia Iaşilor cu reşedinţa la Iaşi, Mitropolia Moldovei şi Sucevei; 9. EROII Sfânta SAT mănăstire maici/ 1945 NEAMULUI Treime GURANDA/ - Patru protoerii: Botoşani, Darabani, Dorohoi, Săveni. COM. obşte Desfiinţată 1959 DURNEŞTI Dărâmată 1960 Elemente memoriale Reînfiinţată 1990- 1991 Elementele principale pe care se fundamentează memoria locuitorilor sunt următoarele: 10. SFINŢII Sfinţii COM. mănăstire călugări/ Reînfiinţată 1990 - monumentele istorice şi, în primul rând, cele cuprinse în Cap. III – Monumente de for VOIEVOZI Voievozi BĂLUŞENI obşte public şi în Cap. IV – Monumente memoriale / funerare; 11. SF. Sf. Nicolae SAT COŞULA/ mănăstire călugări/ Biserica sec. XVI - muzeele, colecţiile, arhivele, bibliotecile istorice; NICOLAE COM.COPĂLAU (COŞULA) (06.12) obşte Reînfiinţată 1990 - bisericile şi cimitirele; - denumirile elementelor geografice, ale localităţilor şi cartierelor, ale străzilor; Sursa: VLASIE, Mihai, Ghidul aşezămintelor monahale ortodoxe din România, Bucureşti: Editura - aşezămintele domneşti; Sophia, 1999, pp 114-118 - locurile bătăliilor importante; - moşiile şi reşedinţele boiereşti pe moşii; - reşedinţele boiereşti din oraşele Botoşani şi Dorohoi; - obiceiurile populare şi folclorul. Muzeele, colecţiile, arhivele şi bibliotecile istorice sunt prezentate în Anexa nr. 5. Elaboratori: UAUIM-CCPEC, Bucureşti, împreună cu, Universitatea Bucureşti – CICADIT, SC. Quattro Design s.r.l. – Bucureşti, SC. Urbatech s.r.l. – Iaşi, UAIC - Facultatea de Geografie, Iaşi, 38
  • 41.
    Actualizare Plan deAmenajarea Teritoriului Judeţean Botoşani Consiliul Judeţean Botoşani Elemente istorice notorii 7 – Com. DÎNGENI, sat DÎNGENI – Conacul MAVROCORDAT Aşezăminte domneşti: 8 – Com. DERSCA, sat DERSCA – Conacul BURBOR ŞTEFAN CEL MARE (sec. XV) 9 – Com. DRĂGUŞENI, sat PODRIGA – Conacul VASILIU – Bis. Sf. Nicolae Popăuţi – mun. Botoşani 10 – Com DURNEŞTI, sat GURANDA – Conacul ALEXANDRESCU – Bis. Sf. Nicolae – mun. Dorohoi 11 – Com. HUDEŞTI, sat HUDEŞTI – Conacul BOLDUR-LĂŢESCU PETRU RAREŞ (sec. XVI) 12 – Com. MIHAI EMINESCU, sat STÎNCEŞTI – conacul CALLIMACHI (distrus?) – Măn. Coşula – com. Coşula 13 – Com. MIHĂILENI, sat VLĂDENI – conacul MAREŞ – STURDZA DOAMNA ELENA RAREŞ (sec. XVI) 14 – Oraş SĂVENI – conacul RATOS – Bis. Sf. Gheorghe – mun. Botoşani 15 – Com. STEFĂNEŞTI, sat STÂNCA – Castelul ROSETTI-ROSNOVANU (distrus?) – Bis. Sf. Nicolae – mun. Botoşani 16 – Com. ŞTIUBIENI, sat ŞTIUBIENI – Casa KOGĂLNICEANU MIHAI STURDZA (sec. XIX) 17 – Com. TUDORA, sat TUDORA – Conacul CANTACUZINO-PAŞCANU – Oraşul nou MIHĂILENI (TÂRGUL NOU), construit după plan şi regulament 18 – Com. TUDORA, sat TUDORA – Conacul RATOS urbanistic, la comanda domnitorului, 1835-1842, ing. BALBERITZ 19 – Com. VÂRFU CÂMPULUI, sat VÂRFU CÂMPULUI – Conacul MORUZI – Şoseaua Mihăileni, între MIHĂILENI şi SIRET, construită la comanda domnitorului Se adaugă reşedinţele boiereşti din municipiile BOTOŞANI şi DOROHOI, bisericile şi mănăstirile ctitorite de domnitori, boieri, bresle, negustori, bisericile catolice, armeneşti, lipoveneşti, sinagogile şi cimitirele de toate religiile. Locurile bătăliilor importante - Sat PODRIGA, com. DRĂGUŞENI – 1434, bătălie pentru domnia Moldovei între fiii lui Surse: Alexandru cel Bun – Iliaş şi Stefan; Iliaş devine domnitorul Moldovei L.M.I. 2004 - ŞTEFĂNEŞTI, BOTOŞANI, DOROHOI – 1509 – distruse de invazia tătarilor (în timpul domnitorului Bogdan cel Chior) ION, Narcis Dorin, Reşedinţe şi familii aristocrate din România , Bucureşti: Institutul Cultural Român, 2007. - Sat DRACŞANI, com. SULIŢA – 1616, bătălie intre armata moldo-polonă a lui Alexandru Movilă şi armata turcească care câştigă bătălia: sfârşitul protectoratului polonez asupra ZAHACINSCHI, Nicolae, Mihăilenii de altădată, Bucureşti: Editura Litera, 1982. Moldovei Obiceiuri populare Reşedinţe boiereşti pe moşii Unele dintre aceste obiceiuri se păstrează în sate. 1 – Com. ALBEŞTI, sat MĂŞCĂŢENI – Conacul STURDZA – GHICA (distrus?) NAŞTEREA: 2 – Com. BRĂEŞTI, sat BRĂEŞTI – Conacul CAPRI - Se năştea pe pământ sau pe pat, pe ţoale, femeia sufla în sticlă, gravida nu se uita la damblagii, 3 – Oraş BUCECEA, sat CĂLINEŞTI – Conacul MICLESCU scutece din cămaşa de nuntă a tatălui, prunc pus pe jos lângă mamă şi ridicat de moaşă, bătrână din familie sau moaşa satului, tăia buricul, îngrijea cuplul mic 40 de zile, sau până la botez, făcea scalda, 4 – Com. CORLĂŢENI, sat VLĂDENI – Conacul HARET descânta, închina la icoane, primea haine si mâncare, 5 – Com. CRISTEŞTI, sat CRISTEŞTI – Conacul STURDZA (distrus?) - Scalda cu apă descântată sau sfinţită, busuioc, flori, monedă, miere, lapte, sare, pană de gâscă, clopot, se arunca la loc curat, lăuza mânca borş, 6 – Oraş DARABANI – Casa TEODOR BALŞ Elaboratori: UAUIM-CCPEC, Bucureşti, împreună cu, Universitatea Bucureşti – CICADIT, SC. Quattro Design s.r.l. – Bucureşti, SC. Urbatech s.r.l. – Iaşi, UAIC - Facultatea de Geografie, Iaşi, 39
  • 42.
    Actualizare Plan deAmenajarea Teritoriului Judeţean Botoşani Consiliul Judeţean Botoşani - Trei ursitoare, a treia noapte, masa ursitoarelor, cu apă, vin şi colaci. Mama visa ursita. - Focuri de Buna vestire, de Măcinici, Lăsata secului - Copil singur cu mătură lângă el. Naşii de cununie botează toţi copiii, cu cumetrii sunt rude. - Culegere plante de leac de Sânziene - Moaşa botează dacă e pericol, sau dacă femeia năştea în drum, naşa dădea haine si sfătuia toată viaţa - Pomeniri de Moşi. Ajunul Crăciunului, Măcinici, Sf. Gheorghe, Paştele Blajinilor Înălţare, Rusalii, Hramurile bisericilor din sate, ale mănăstirilor - La 1 an, tăiat moţ cu borş, sarmale, ţuică - Încondeiere ouă de Paşti - Copilul dădea naşilor respect şi clăci de Lăsata Secului. - Cete de feciori, pentru toate obiceiurile de peste an (organizate după vecinătăţi) - Cumetrie cu petrecere, după botez până la un an. Copilul primea produse, bani. - (Şezătoare şi claca nu se mai fac) - Scalda cu toate de la scalda botez, se juca în jurul ei, se arunca la loc curat si cine voia copii se aşeza pe ea. - (Hora satului – duminicile. Nu se mai face) - Peţitul, croiala: se tocmea zestrea şi se stabilea logodna. Borş, sarmale, vărzare, ţuică. - Logodna: dura 1 săptămână sau 1 an, se bea şi se mânca, mâini în cruce ale participanţilor, azi simplă Festivaluri de folclor petrecere. - Hora de la Flămânzi – 15 august (Sf. Maria Mare) – festival interjudeţean de folclor, - Zestrea: la unele fete se făcea foaie. Pământ, animale, haine, ţesături de casă. Azi mobilă. Ladă, sâpet cu invitaţi din Republica Moldova; sau cufăr. Se duce cu carul cu boi. Se juca zestrea pe drum. - Festivalul comunităţilor etnice din România, Botoşani – luna mai – festival folcloric; - Chemarea: vornici, ciomag, batiste, rachiu. - Serbările pădurii şi Ospăţul pădurilor, Vorona – 7-8 septembrie (Sf. Maria Mică) – NUNTA: festival folcloric. - Mirele cu pene de păun. Cojoc şi suman. Cămaşă cu flori şi cute cusute. Se mai poartă la moarte. Floare în piept şi batistă la brâu. Se cânta şi juca. Cercetările au relevat următoarele aspecte, în funcţie de localităţile cercetate: - Mireasa gătită de druşte. Se cânta de jale, se juca brâul. Coroniţă din comerţ cu panglici şi balţ. Cunună şi ştergar. Casâncă neagră şi şal de pluş pe braţ. Cozi strânse la spate. Mărgele, ciuboţele, basma pentru dezhobotit. CRISTEŞTI - Daruri pentru nuni, socri, părinţi, rude, vornici, staroste etc. Ţesătură pentru sumane. Se cos la Dorohoi - Brazi la mireasă, mire şi nun (6). Colaci de cununie, Jamna – colacul nunilor. OBICEIURI PENTRU O ANUMITĂ DATĂ: DARABANI - Colindatul de Crăciun Târg de vite, iarmaroc - Pluguşorul de An Nou - Cu semănatul de An Nou FRUMUŞICA - Sorcova de An Nou Fost centru ceramic - Jocurile cu măşti (Capră, căiuţi, urs, malanca) de An Nou - Teatru popular (Irozi, Jieni) de An Nou FLĂMÂNZI - Mărţişorul Se ţese şi astăzi. Lână, cânepă, in, bumbac, borangic - Ramura verde de Sf. Gheorghe şi de Florii Paşti, Înălţare, Rusalii - Usturoiul de Sf. Andrei (30 noiembrie) IBĂNEŞTI Elaboratori: UAUIM-CCPEC, Bucureşti, împreună cu, Universitatea Bucureşti – CICADIT, SC. Quattro Design s.r.l. – Bucureşti, SC. Urbatech s.r.l. – Iaşi, UAIC - Facultatea de Geografie, Iaşi, 40
  • 43.
    Actualizare Plan deAmenajarea Teritoriului Judeţean Botoşani Consiliul Judeţean Botoşani Centru de pietrari Fabrică de ceramică, lucra modele occidentale pentru export Vechi centru ceramic, lucra chiupuri mari, castroane, oale de lapte, oale de sarmale, tigăi, teracotă. MANOLEASA Prelucrare piele, blană cojoace, căciuli Moară cu roată plutitoare Târg săptămânal : iarmaroc de vite – joia Cimitir evreiesc, urme ale prăvăliilor vechi evreieşti din centrul localităţii. MIHĂILENI Centru de olărit. Oale, ghivece, străchini, farfurii, bibelouri. TODIRENI Cimitir evreiesc Până în 1918 – 3 mori de apă. Acum – moară cu motor RĂDĂUŢI PRUT Moară de apă TUDORA Fântâni cu cumpănă Cojocărit. Cojoace, mintenaşe, pieptare înfundate, căciuli. Fost centru de olărit – ceramică de influenţă rusească, tip Herţa, smălţuită şi nesmălţuită Olărit. Oale negre şi roşii nesmălţuite, oale roşii smălţuite. Vase mari 50 l, găvane, fluierici. Cojocărit, cojoace şi sumane cu găietane negre. Azi nu se mai fac Han vechi. Joia se pleca la târgul din Botoşani, cu ceramică. Luau ceaunul de mămăligă şi înnoptau în codrii Botoşanilor, unde făceau mămăliga pe pirostrii. A doua zi ajungeau în oraş. Participau la târg la Dorohoi, unde se vindeau şi măştile pt. Jocurile de Anul nou (se făceau tot în Dorohoi) VĂCULEŞTI ROMA Cojocărit Dulgheri şi tâmplari de mobilă Cojocari. Cojoace, pieptare, căciuli. VORONA Iarmaroc de vite Pădurea Vorona (150 ha, lângă Vorona, rezervaţie de flora si fauna). Serbările pădurii şi Ospăţul pădurilor - festival folcloric - 7-8 septembrie SUHARĂU Arhitectura populară – consideraţii generale Sat de olari. Oale de lapte, borcane, ghivece, capace, ceramică roşie, o singură ardere. Arhitectura în sate este într-o transformare continuă, care va duce la pierderea totală a exemplarelor de arhitectură populară care mai există. Observaţiile de mai jos de bazează pe cercetări făcute în deceniile Arhitectură de chirpici 8 şi 9 ale secolului trecut. Gospodăria ţărănească cuprinde corpul pentru locuinţă (casa propriu zisă) şi anexe pentru depozitarea SULIŢA cerealelor şi pentru adăpostirea animalelor. Construcţiile anexe sunt din chirpici sau lemn, mai rar din cărămidă, acoperişul este din şiţă sau din paie. Împrejmuirea este din scânduri de lemn sau din nuiele, Olărit, dogărit foarte rar din zid de cărămidă. Locuinţa tradiţională: ŞTEFĂNEŞTI Elaboratori: UAUIM-CCPEC, Bucureşti, împreună cu, Universitatea Bucureşti – CICADIT, SC. Quattro Design s.r.l. – Bucureşti, SC. Urbatech s.r.l. – Iaşi, UAIC - Facultatea de Geografie, Iaşi, 41
  • 44.
    Actualizare Plan deAmenajarea Teritoriului Judeţean Botoşani Consiliul Judeţean Botoşani Locuinţele tradiţionale sunt de 3 tipuri: monocelulare (o singură cameră); bicelulare (tindă cu sobă de Bibliografie gătit şi o cameră laterală cu sobă oarbă – „casă”); tricelulare (tindă centrală cu sobă de gătit şi două camere de locuit dintre care una nu se încălzeşte). Intrarea în casă are o prispă cu stâlpi, amplasată fie • Documenta Romaniae Historica.A.Moldova, vol. I, ed. C. Cihodaru, I. Caproşu şi L. Şimanschi, în dreptul tindei (prispă centrală), fie pe două laturi ale casei (mai rar pe trei laturi); foarte rar se Bucureşti, 1975; întâlneşte un foişor central în dreptul intrării. Construcţiile sunt amplasate în aşa fel încât faţada cu intrarea în casă cu ferestrele principale să fie • CARDAS, Andrei e.a., coordonator, BOTOŞANI, MONOGRAFIE, COLECŢIA JUDEŢELE orientată spre soare (S, SE, SV); peretele orientat spre nord este orb (fără goluri). PATRIEI, Bucureşti: Editura Sport-Turism, 1980; Sistemul constructiv tradiţional este: temelia din piatră umplută integral cu pământ, talpa casei din grinzi de lemn rotund sau cioplit în două muchii (esenţe tari – stejar sau ulm); pereţii sunt din chirpici • COSTĂCHESCU, Mihai, DOCUMENTE MOLDOVENEŞTI ÎNAINTE DE ŞTEFAN CEL sau vălătuci de pământ, mai rar din cărămidă (în momentul de faţă se constată folosirea din ce în ce mai MARE, VOL. II, Iaşi, 1932,; frecventă a cărămizii şi a blocurilor din BCA); acoperişul este în cele mai multe cazuri în patru ape, cu învelitoarea din şiţă sau din paie. • GHINEA Eliza, GHINEA Dan, LOCALITĂŢILE DIN ROMÂNIA, DICŢIONAR, Bucureşti: Finisajele constau din tencuială de lut, podele de pământ sau din scânduri; pereţii exteriori sunt văruiţi în alb sau în albastru; tavanele sunt din scânduri (blăni) de lemn, fixate uneori pe grinzi de lemn. Editura Enciclopedică, 2000; Este caracteristică construirea vetrei în tindă; „casa” – camera de locuit are o sobă oarbă şi plită sau • GHINOIU, Ion (coord.), ATLASUL ETNOGRAFIC ROMÂN, VOL. I, Academia Română, cuptor cu horn. Institutul de Etnografie şi Folclor „Constantin Brăiloiu”, Editura Academiei Române şi Regia Se remarcă faptul că, sub influenţa modelelor de viaţă orăşeneşti, modul de construire în sate se Autonomă „Monitorul Oficial”; schimbă radical, iar modelele de arhitectură sunt din ce în ce mai aproape de arhitectura urbană de la periferia oraşelor. La aceasta contribuie materialele de construcţie care există în magazine, precum şi practicile de construcţie ale meşterilor executanţi. • GIURESCU, Constantin, ISTORIA ROMÂNILOR, VOL. III2, Bucureşti, 1946; • GIURESCU, Constantin C. sub conducerea e.a., ISTORIA ROMÂNIEI ÎN DATE, Bucureşti: Editura Enciclopedică Română, 1971; • GIURESCU, Constantin C., TÂRGURI SAU ORAŞE ŞI CETĂŢI MOLDOVENE, Bucureşti, Listă cartograme: 1967; A.2.1.a. EVOLUŢIA TERITORIULUI JUDEŢULUI BOTOŞANI 1775-1968 • IORGA, N., STUDII ŞI DOCUMENTE, VOL. V; A.2.1.b. UATB ÎN PERIOADA 1968-1990 • SOUTZO, Nicolas, NOTIONS STATISTIQUES SUR LA MOLDAVIE, Jassy, 1849; A.2.1.c. UATB ÎN PERIOADA 1990-2009 A.2.1.d. ATESTAREA DOCUMENTARA A UNEI LOCALITĂŢI • TUFESCU, Victor, JUDETELE PATRIEI. JUDEŢUL BOTOŞANI, Institutul de Geografie, A.2.1.e. HARTĂ DIMITRIE CANTEMIR 1716 Editura Academiei RS România; A.2.1.f. M.I. DE ARHEOLOGIE A.2.1.g. M.I. DE ARHITECTURĂ • VLASIE, Mihai, GHIDUL ASEZĂMINTELOR MONAHALE ORTODOXE DIN ROMÂNIA, A.2.1.h. TOTAL M.I. ÎN UATB Bucureşti: Editura Sophia, 1999; A.2.1.i. MANASTIRI ŞI SCHITURI • ZAHACINSCHI, Nicolae, MIHĂILENII DE ALTĂDATĂ, Bucureşti: Editura Litera, 1982. A.2.1.j. MONUMENTE DE FOR PUBLIC, MEMORIALE, MUYEE ŞI COLECŢII A.2.1.k. ELEMENTE ISTORICE NOTORII Elaboratori: UAUIM-CCPEC, Bucureşti, împreună cu, Universitatea Bucureşti – CICADIT, SC. Quattro Design s.r.l. – Bucureşti, SC. Urbatech s.r.l. – Iaşi, UAIC - Facultatea de Geografie, Iaşi, 42
  • 45.
    Actualizare Plan deAmenajarea Teritoriului Judeţean Botoşani Consiliul Judeţean Botoşani ANEXA 2.1. A. MUNICIPII A.2.1. ANEXA 1 - UATB ÎN ANUL 1968 Denumirea municipiului Comune suburbane Sate componente ale comunei suburbane 1486 – BULETINUL OFICIAL AL REPUBLICII SOCIALISTE ROMÂNIA, PARTEA I, Nr. 163-165, pp. 43-46. I. BOTOŞANI – mun. 1. Curteşti 1. CURTEŞTI * 1627 LEGE PENTRU MODIFICAREA LEGII Nr.2/1968 PRIVIND ORGANIZAREA ADMINISTRATIVĂ A TERITORIULUI din 17.02.1968, menţionat 2. Agafton * 1835 REPUBLICE SOCIALISTE ROMÂNIA doc.ca sat în 1350 3. Băiceni * 1503 (1835) (1440, 1835) 4. Hudum * JUDEŢUL BOTOŞANI 5. Mănăstirea Doamnei * cu reşedinţa în municipiul Botoşani 6. Orăşeni-Deal * 1835 7. Orăşeni-Vale * 1835 Municipii................................................... 1 2. RĂCHIŢI 1. RĂCHIŢI –XIX, vechea Oraşe......................................................... 3 denumire Răchiţi-Popăuţi Localităţi componente ale municipiilor şi ale 2. Cişmea * 1776 oraşelor.................................................. 7 3. Costeşti * 1615 (1835) Comune.................................................... 69 4. Roşiori * - din care suburbane.............................. 3 Sate........................................................... 338 3. STĂUCENI 1. STĂUCENI *XVI, 1835 XIX- secolul de atestare 2. Siliştea * - din care, aparţin oraşelor 8 1627 – anul de atestare 3. Tocileni * SEC. XIX 4. Victoria – vechea denumire Filipeşti, până la 01.01.1965 B. ORAŞE Denumirea oraşului Sate ce aparţin oraşului Elaboratori: UAUIM-CCPEC, Bucureşti, împreună cu, Universitatea Bucureşti – CICADIT, SC. Quattro Design s.r.l. – Bucureşti, SC. Urbatech s.r.l. – Iaşi, UAIC - Facultatea de Geografie, Iaşi, 43
  • 46.
    Actualizare Plan deAmenajarea Teritoriului Judeţean Botoşani Consiliul Judeţean Botoşani 1. DARABANI- menţionat doc. ca sat 1. Bajura * 3. Coştiugeni * în1569, oraş în 1926, comună în 1950, 2. Eşanca * 4. Jijia – vechea denumire Şătrăreni până la 01.01.1965, XIV 17.02.1968 oraş care înglobează satele 3. Lişmăniţa -sat 5. Măşcăţeni * SEC. XIX Darabani, Corneşti, Teioasa. înfiinţat la 17.02.1968 6. Tudor Vladimirescu * Localităţi componente 2. AVRĂMENI 1. AVRĂMENI * 1554-1555 ale oraşului 2. Adăşeni * sec. XIV 3. Aurel Vlaicu * 2. DOROHOI- menţionat doc. 1407 1. DOROHOI * 4. Dimitrie Cantemir – vechea denumire Valea Răchiţii ca târg, iar ca oraş în 1408 .Denumire 2. Dealu Mare * 5. Ichimeni 1721– vechea denumire Ichimenii Mari în sec.XIII-XIV-Dorogunea. Municipiu 3. Loturi Enescu * 6. Panaitoaia * din 24.11.1994 4. Progresul – vechea den. Putreda, 7. Timuş * până la 01.01.1965 8.Tudor Vladimirescu * 9. Zoiţani * 3. SĂVENI- menţionat doc.în 1546 sat, târg 1. Bodeasa * 3. BĂLUŞENI 1. BĂLUŞENI * Menţionat în 1818, oraş 1920, comună 1950, 2. Bozieni * 1667 2. Băluşenii Noi – vechea denumire Pârlita până la 01.01.1965 Oraş la 17.02.1968. 3. Chişcăreni * SEC. XVII, 1740 4. Petricani * 1501 3. Buzeni * 1736 (1835) 5. Sat Nou * 4. Coşuleni * SEC. XVI,1835 5. Draxini * SEC. XVII 6. Zăiceşti * 1835 . C. Comune 4. BRĂEŞTI . 1. BRĂEŞTI * 1790 Nr. 2. Poiana * crt. Denumirea comunei Satele componente Observaţii 3. Popeni * 1518 (1835) 0 1 2 3 4. Vîlcelele – vechea denumire Găureana până la 01.01.1965 1. ALBEŞTI 1. ALBEŞTI * 1602 2. Buimăceni * 1586 5. BROSCĂUŢI 1. BROSCĂUŢI * 1582 Elaboratori: UAUIM-CCPEC, Bucureşti, împreună cu, Universitatea Bucureşti – CICADIT, SC. Quattro Design s.r.l. – Bucureşti, SC. Urbatech s.r.l. – Iaşi, UAIC - Facultatea de Geografie, Iaşi, 44
  • 47.
    Actualizare Plan deAmenajarea Teritoriului Judeţean Botoşani Consiliul Judeţean Botoşani 2. Slobozia – vechea denumire Slobozia-Corlăteni 6. Recia-Verbia – atestat doc. la 1600 7. Vlădeni * 6. BUCECEA 1. BUCECEA * SEC. XVIII, 1835 2. Bohoghina * 12. CORNI 1. CORNI * SEC. XVIII 3. Călineşti * 1835 2. Balta Arsă * 3. Mesteacăn * 7. CĂLĂRAŞI 1. CĂLĂRAŞI * 4. Sarafineşti * SEC. XVI 2. Libertatea * 3. Pleşani * SEC. XVIII 13. COŢUŞCA 1. COŢUŞCA * SEC. XVII 2. Avram Iancu * 8. CONCEŞTI 1. CONCEŞTI * 1574-1575 3. Cotu Miculinţi * SEC. XVII 2. Movileni – sat infiinţat la 17.02.1968 4. Crasnaleuca * 1660 5. Ghireni * SEC. XVII 9. COPĂLĂU 1. COPĂLĂU * 1835 6. Mihail Kogălniceanu * 2. Buda * SEC. XVIII 7. Nichiteni * 3. Cerbu * 8. Nicolae Bălcesu * 4. Coşula * 1535 9. Puţureni * 1609 5. Cotu - vechea denumire Cotu-Ruşi până la 17.02.1968 6. Pădureni – vechea denumire Lingurari până la 01.01.1965 14. CRISTEŞTI 1. CRISTEŞTI * SEC. XVIII,1835 7. Şupitca * 2. Oneaga * 3. Schit-Orăşeni * 1708 10. CORDĂRENI 1. CORDĂRENI (1519, 1835) vechea denumire Cordărenii 4. Unguroaia * Vechi până la 17.02.1968 2. Griviţa * 15. CRISTINEŞTI 1. CRISTINEŞTI * 1591 2. Baranca * sec. XVI 11. CORLĂŢENI 1. CORLĂŢENI * 1487 3. Dragalina * 2. Carasa * 4. Fundu Herţii * SEC. XIX 3. Dimăcheni * 1612 5. Poiana * 4. Mateieni * 1610-1611 5. Podeni – vechea denumire Podu lui Stamate Elaboratori: UAUIM-CCPEC, Bucureşti, împreună cu, Universitatea Bucureşti – CICADIT, SC. Quattro Design s.r.l. – Bucureşti, SC. Urbatech s.r.l. – Iaşi, UAIC - Facultatea de Geografie, Iaşi, 45
  • 48.
    Actualizare Plan deAmenajarea Teritoriului Judeţean Botoşani Consiliul Judeţean Botoşani 16. DERSCA 1. DERSCA * 1554-1555 la 20.08.1977 (vezi com. Nicolae Bălcescu) 2. Lozna * 1614 2. Cordun – sat desfiinţat 20.08.1977, unificat cu satul Flămânzi 3. Străteni * 3. Poiana * 17. DÎNGENI 1. DÎNGENI * 1660 22. FRUMUŞICA 1. FRUMUŞICA * SEC.XIX 2. Hulub * 2. Boscoteni- SEC. XVII, vechea denumire Unsa-Boscoteni, 3. Iacobeni * 1596 pana la 17.02.1968 4. Strahotin * 1562 3. Rădeni SEC. XIX 4. Storeşti 1609 18. DOBÎRCENI 1. DOBÎRCENI * SEC. XIV 5. Şendreni SEC. XIX 2. Bivolari * SEC. XVII 6. Vlădeni-Deal 1518 3. Cişmăneşti * 1746 4. Livada * 5. Murguţa * 23. GEORGE ENESCU 1. DUMENI 1569 (1835)unificat cu sat.Şipoteni 17.02.1968; 6. Pădureni – SEC. XVIII, vechea denumire Brăteni, până la atestat 1635 20.05.1996 2. Arborea 3. George Enescu 1588– vechea den.Liveni, până la 16.09.1955 19. DRĂGUŞENI 1. DRĂGUŞENI * 1690 4. Popeni 2. Podriga * SEC. XVII 5. Stînca 3. Sarata-Drăguşeni – vechea denumire Sarata Greacă 24. GORBĂNEŞTI 1. GORBĂNEŞTI * 1635 2. Bătrîneşti * 1626 (1835) 20. DURNEŞT I 1. DURNEŞTI * 1589 3. George Coşbuc-vechea denumire Staroşilţa-Radu, SEC. XVI 2. Băbiceni * SEC. XVI 4. Mihai Eminescu -XIX-vechea denumire Staroşilţa-Stavri 3. Bîrsăneşti * 1616 5. Silişcani * 1546 4. Broşteni * 1528 6. Socrujeni * SEC. XVII,1835 5. Cucuteni – vechea denumire Cucuteni-Tufescu, până la 7. Viforeni * 01.01.1965 8. Vînători 6. Guranda =Budeşti* 1701 25. HAVÎRNA 1. HAVÎRNA * SEC. XVIII, 1835 2. Balinţi * 1430 21. FLĂMÂNZI 1. FLĂMÂNZI 1605–unificat cu com.Nicolae Bălcescu Elaboratori: UAUIM-CCPEC, Bucureşti, împreună cu, Universitatea Bucureşti – CICADIT, SC. Quattro Design s.r.l. – Bucureşti, SC. Urbatech s.r.l. – Iaşi, UAIC - Facultatea de Geografie, Iaşi, 46
  • 49.
    Actualizare Plan deAmenajarea Teritoriului Judeţean Botoşani Consiliul Judeţean Botoşani 3. Galbeni * 4. Gîrbeni * SEC. XIX 32. LUNCA 1. LUNCA * 5. Niculcea * 2. Stroieşti * 1576 6. Tătărăşeni * SEC. XVII 3. Zlătunoaia * 1805 26. HĂNEŞTI 1. HĂNEŞTI * 1586 33. MANOLEASA 1. MANOLEASA- vechea denumire. Manoleasa-Volovăţ, 2. Borolea * SEC. XIV până la 17.02.1968, SEC. XIX 3. Moara Jorii * 2. Bold * 4. Sarata-Basarab * 3. Flondora * 5. Slobozia Hăneşti * 4. Iorga * 27. HILIŞEU- 1. HILIŞEU-HORIA-vechea den.Hilişeu-Curt, SEC. XVIII 5. Liveni * 1588 HORIA 2. Corjăuţi * SEC. XVIII 6. Loturi * 3. Hilişeu-Cloşca * SEC. XIX 7. Manoleasa-Prut * 4. Hilişeu-Crişan 1522-vechile denumiri Hilişeu-Gafencu 8. Sadoveni * şi Hilişeu- Vârnav 9. Şerpeniţa * 1721 5. Iezer * 10. Zahoreni * SEC. XVI 28. HLIPICENI 1. HLIPICENI * 1546 34. MIHAI EMINESCU 1. IPOTEŞTI * 1660 (1835) 2. Dragalina * 2. Baisa * 3. Victoria * 3. Cătămăreşti-vechea denumire Cătămăreşti-Vale, sec. XIV,1835 29. HUDEŞTI 1. HUDEŞTI 1582– vechea denumire Lupeni 4. Cătămăreşti-Deal * 2. Alba * 5. Cerviceşti * 1750 (1835) 3. Baranca * 6. Cerviceşti-Deal-vechea den. Cerviceşti-Crac, 4. Mlenăuţi * 1594 până la 17.02.1968 30. IBĂNEŞTI 1. IBĂNEŞTI * 1455 7. Cucorăni * 1550 2. Dumbrăviţa * 8. Manoleşti * 31. LEORDA 1. LEORDA * SEC. XIX 9. Stînceşti – atestat la 1538 (1761) 2. Belcea * 35. MIHĂILENI 1. MIHĂILENI * 1792 3. Costineşti * 1835 4. Dolina * 1835 2. Călineşti – menţionat documentar în 1519 5. Mitoc * SEC. XVIII 3. Cîndeşti –SEC. XIV, vechea denumire Cândeşti-Dorohoi, Elaboratori: UAUIM-CCPEC, Bucureşti, împreună cu, Universitatea Bucureşti – CICADIT, SC. Quattro Design s.r.l. – Bucureşti, SC. Urbatech s.r.l. – Iaşi, UAIC - Facultatea de Geografie, Iaşi, 47
  • 50.
    Actualizare Plan deAmenajarea Teritoriului Judeţean Botoşani Consiliul Judeţean Botoşani până în 1968. 4. Prisăcani 1576 - în com.Flămânzi, 20.08.1977 40. NICŞENI 1. NICŞENI * SEC. XVII 4. Pîrîu Negru * SEC. XVIII 2. Dacia * 5. Rogojeşti – menţionat documentar în 1397 3. Dorobanţi * 1870 6. Talpa * SEC. XVIII 41. PĂLTINIŞ 1. PĂLTINIŞ * 1605 7. Viţcani * 2. Cuzlău * 1721 36. MIHĂLĂŞENI 1. MIHĂLĂŞENI * SEC. XVIII 3. Horodiştea – unificat cu sat Crăiniceni (atestat doc.1476) 2. Caraiman * (1605) - desf.17.02.1968 3. Năstase * 4. Slobozia * 1677 (1835) 4. Negreşti * 42. POMÎRLA 1. POMÎRLA * 1536 5. Păun* 2. Hulubeşti * 6. Sarata * 3. Racovăţ – vechea denumire Racovăţ-Palanca 7. Slobozia Silişcani * 43. PRĂJENI 1. PRĂJENI * 1576 37. MILEANCA 1. MILEANCA * 1660 2. Cîmpeni –SEC. XIX, vechea denumire Lătăi, până la 01.01.1965 2. Codreni * (Ciorbeni)1728 3. Lupăria * 3. Scutari * 4. Miletin * SEC. XV 4. Seliştea * 44. RĂDĂUŢI-PRUT 1. RĂDĂUŢI-PRUT * 38. MITOC 1. MITOC * 2. Miorcani * SEC. XVIII 2. Horia – vechea denumire Ghireni-Curt 3. Rediu * SEC. XIX 39. NICOLAE- 1. NICOLAE BĂLCESCU-com.desfiinţată la 20.08.1977, unificată 45. RĂUSENI 1. RĂUSENI * SEC. XIV BĂLCESCU cu com.Flămânzi 2. Doina * 2. Bosînceni SEC. XIX– sat desfiinţat (20.08.1977), unificat cu sat 3. Pogorăşti * SEC. XIX Nicolae Bălcescu, com.Flămânzi, Botoşani 4. Rediu * 3. Chiţoveni 1657 – sat în com.Flămânzi, 20.08.1977 5. Stolniceni – vechea denumire Stolnici Elaboratori: UAUIM-CCPEC, Bucureşti, împreună cu, Universitatea Bucureşti – CICADIT, SC. Quattro Design s.r.l. – Bucureşti, SC. Urbatech s.r.l. – Iaşi, UAIC - Facultatea de Geografie, Iaşi, 48
  • 51.
    Actualizare Plan deAmenajarea Teritoriului Judeţean Botoşani Consiliul Judeţean Botoşani până la 01.01.1965 46. RIPICENI 1. RIPICENI – vechea denumire Ripiceni-Fabrică, 50. SUHARĂU 1. SUHARĂU * SEC. XVIII până la 17.02.1968 2. Izvoare * 2. Cinghiniia * 3. Lişna * 1721 3. Lehneşti * 4. Oroftiana – vechea denumire Oroftiana de Sus, 4. Movila Ruptă * SEC. XIX până 17.02.1928 , SEC. XVIII 5. Popoaia * 5. Plevna * 6. Ripicenii Vechi-vechea denumire Ripiceni (atestat doc.1448), 6. Smîrdan * până la 17.02.1968 51. SULIŢA 1. SULIŢA * 1835 7. Rîşca * 1542 2. Blîndeşti * 1835 47. ROMA 1. ROMA * 3. Cerchejeni * 1786 (1835) 2. Cotîrgaci * SEC. XVIII 4. Cheliş * 5. Dracşani – atestat doc. 1538 (1835) 48. ROMÂNEŞTI 1. ROMÂNEŞTI 1550– vechea denumire Ostopeni-Româneşti 6. Şoldăneşti * 1603 (1835) 2. Dămideni * 1616 3. Româneşti-Vale * 52. ŞENDRICENI 1. ŞENDRICENI 1611-vechea denumire Ghilia, 4. Sărata * până la 17.02.1968 49. SANTA MARE 1. SANTA MARE * 2. Horlăceni - mentionat doc.1384 2. Bădărăi * 3. Pădureni 1616-vechea denumire Buhai, până la 01.01.1965 3. Berza * 1853 4. Bogdăneşti * 53. ŞTEFĂNEŞTI 1. ŞTEFĂNEŞTI – menţionat documentar la 26.05.1435 cu 5. Durneşti * SEC. XIV numele Gura Başeului (1509).Până la 17.02.1968 s-a 6. Ilişeni * 1587 numit Ştefăneşti Târg. 7. Rînghileşti * 1582 2. Bădiuţi – atesta.doc. la 1424 8. Rînghileşti-Deal-vechea denumire Fotin Enescu, 3. Bobuleşti * 1533 Elaboratori: UAUIM-CCPEC, Bucureşti, împreună cu, Universitatea Bucureşti – CICADIT, SC. Quattro Design s.r.l. – Bucureşti, SC. Urbatech s.r.l. – Iaşi, UAIC - Facultatea de Geografie, Iaşi, 49
  • 52.
    Actualizare Plan deAmenajarea Teritoriului Judeţean Botoşani Consiliul Judeţean Botoşani 4. Stînca * 6. Mihai Viteazu- vechea denumire Colonişti 5. Ştefăneşti-Sat * 7. Mîndreşti * 8. Plopenii Mari * SEC. XVIII 54. ŞTIUBIENI 1. ŞTIUBIENI * SEC. XV 9. Plopenii Mici * 1604 2. Ibăneasa * 10. Tăuteşti * 3. Negreni * 11. Vicoleni * SEC. XIV, 1635 55.TODIRENI 1. TODIRENI -sat unificat cu Movileni (17.02.1968) 1721 59. UNŢENI 1. UNŢENI * SEC. XVI, 1835 2. Cerneşti – sat unificat cu Siliştea (17.02.1968) 2. Burla * SEC. XVIII 3. Floreşti * 3. Burleşti * 4. Gîrbeşti * SEC. XVII 4. Mînăstireni * 1615 (1835) 5. Iureşti * SEC. XVII 5. Soroceni * (Uriceni) 1587 (1835) 56. TRUŞEŞTI 1. TRUŞEŞTI * 1568 6. Valea Grajdului * 2. Buhăceni * SEC. XVIII 7. Vultureni * 3. Ciritei * 60. VĂCULEŞTI 1. VĂCULEŞTI – XIV, menţionat documentar la 14.04.1415 4. Drislea * SEC. XIX 2. Gorovei 1740-1742– vechea denumire Gorovei-Schit 5. Ionăşeni * 1801 3. Sauceniţa * 6. Păsăteni * 57. TUDORA 1. TUDORA – menţionat documentar la 29.06.1400 61. VIIŞOARA 1. VIIŞOARA – vechea denumire Bivolu Mare, până la 58. UNGURENI 1. UNGURENI * SEC. XVI 01.01.1965 2. Borzeşti * SEC. XIV 2. Cuza Vodă * 3. Călugăreni * 1763 (1835) 3. Viişoara Mică- vechea denumire Bivolu Mic, până la 4. Călugărenii Noi * 01.01.1965 5. Durneşti * 62. VÎRFU CÎMPULUI 1. VÎRFU CÎMPULUI * Elaboratori: UAUIM-CCPEC, Bucureşti, împreună cu, Universitatea Bucureşti – CICADIT, SC. Quattro Design s.r.l. – Bucureşti, SC. Urbatech s.r.l. – Iaşi, UAIC - Facultatea de Geografie, Iaşi, 50
  • 53.
    Actualizare Plan deAmenajarea Teritoriului Judeţean Botoşani Consiliul Judeţean Botoşani 2. Ionăşeni * 1602 3. Lunca * 63. VLĂDENI 1. VLĂDENI * SEC. XIV 2. Brehuieşti * 1796 3. Hrişcani * 1583 (1835) 4. Huţani * 5. Mîndreşti * 1492 (1835) 64. VLĂSINEŞTI 1. VLĂSINEŞTI – menţionat documentar în 1446 2. Miron Costin * 3. Sîrbi * 1616 65. VORNICENI 1. VORNICENI – menţionat documentar în 1428 2. Davidoaia * 3. Dealu Crucii * 66. VORONA 1. VORONA –XIV, menţionat documentar în 1403, vechea denumire Vorona Noua, până la 17.02.1968 2. Icuşeni * 1603 3. Joldeşti * SEC. XIX 4. Poiana * 5. Vorona Mare * SEC. XVIII 6. Vorona-Teodoru * Informaţii din: Ghinea Eliza, Ghinea Dan, Localităţile din România, Dicţionar, Bucureşti: Editura Enciclopedică, 2000 şi din Andrei Cardaş, coordonator, Botoşani, monografie, colecţia Judeţele Patriei, Bucureşti: Editura Sport – Turism, 1980,pp. 42-51. Elaboratori: UAUIM-CCPEC, Bucureşti, împreună cu, Universitatea Bucureşti – CICADIT, SC. Quattro Design s.r.l. – Bucureşti, SC. Urbatech s.r.l. – Iaşi, UAIC - Facultatea de Geografie, Iaşi, 51
  • 54.
    Actualizare Plan deAmenajarea Teritoriului Judeţean Botoşani Consiliul Judeţean Botoşani A.2.1. ANEXA 2 - UNITĂŢILE ADMINISTRATIV-TERITORIALE DE BAZĂ 14 Com. Broscăuţi C C C C C DIN JUDEŢUL BOTOŞANI 1968-2009 15 Com. Călăraşi C C C C C 16 Com. Cîndeşti în com. C (înfiinţată Mihăileni prin L344/2003 M = municipiu idem idem idem – vezi com. Mihăileni) O = oraş CS = comună suburbană 17 Com. Conceşti C - C C C C = comună 18 Com. Copălău C C C C C (diminuată prin L 337/2003 – vezi com. Coşula) Denumirea L 2/1968 + L 2/1989 DL Recensământ Situaţia 2009 38/1990 1992 19 Com. Cordăreni C - C C C UATB L 55/1968 20 Com. Corlăţeni C C C C C (diminuată prin L 343/2003 1 2 3 4 5 6 7 – vezi com. 1. Mun. Botoşani M M M M M Dimăcheni) 2. Mun. Dorohoi O O O O M (înfiinţat 21 Com. Corni C C C C C prin 22 Com. Coşula C (înfiinţată L104/1994) prin L337/2003 în com. idem idem idem – vezi com. 3. Oraş Bucecea C C C C O (înfiinţat Copălău Copălău) prin L81/2004) 23 Com. Coţuşca C C C C C 4. Oraş Darabani O O O O O Nr. Denumirea L 2/1968 + L 2/1989 DL Recensământ Situaţia 2009 5. Oraş Flămînzi C C C C O (înfiinţat 38/1990 1992 prin L80/2004) Crt UATB L 55/1968 . 6. Oraş Săveni O O O O O 24 Com. Cristeşti C C C C C 7. Oraş Ştefăneşti C C C C O (înfiinţat prin L79/2004) 25 Com. Cristineşti C C C C C 8. Com. Adăşeni în com. C (înfiinţată Avrămeni prin L402/2005 idem idem idem – vezi com. Avrămeni) 9. Com. Albeşti C C C C C 26 Com. Curteşti C.S. M. C C C C 10 Com. Avrămeni C C C C C (diminuată Botoşani prin L402/2005 – vezi 27 Com. Dersca C C C C C (diminuată com.Adăşeni) prin L342/2003 11 Com. Băluşeni C C C C C – vezi com. Lozna) 12 Com. Blîndeşti C (înfiinţată prin L84/2004 – 28 Com. Dimăcheni în com. C (înfiinţată în com. Suliţa idem idem idem vezi com. Corlăţeni prin L 343/2003 idem idem idem – vezi com. Suliţa) Corlăţeni) 13 Com. Brăeşti C - C C C Elaboratori: UAUIM-CCPEC, Bucureşti, împreună cu, Universitatea Bucureşti – CICADIT, SC. Quattro Design s.r.l. – Bucureşti, SC. Urbatech s.r.l. – Iaşi, UAIC - Facultatea de Geografie, Iaşi, 52
  • 55.
    Actualizare Plan deAmenajarea Teritoriului Judeţean Botoşani Consiliul Judeţean Botoşani 29 Com. Dîngeni C C C C C N. Bălcescu Flămânzi, Flămânzi Flămânzi Flămânzi Flămânzi 20.08.1977) 30 Com. Dobîrceni C - C C C 51 Com. Nicşeni C - C C C 31 Com. Drăguşeni C C C C C Nr. Denumirea L 2/1968 + L 2/1989 DL Recensământ Situaţia 2009 32 Com. Durneşti C C C C C 38/1990 1992 Crt UATB L 55/1968 33 Com. Frumuşica C C C C C . 34 Com.George C C C C C 52 Com. Păltiniş C C C C C Enescu 53 Com. Pomîrla C C C C C 35 Com. Gorbăneşti C C C C C 36 Com. Havîrna C C C C C 37 Com. Hăneşti C - C C C 54 Com. Prăjeni C C C C C 38 Com. Hilişeu- C C C C C Horia 55 Com. Răchiţi C.S. M. C C C C Botoşani 39 Com. Hlipiceni C C C C C 56 Com. Rădăuţi- C C C C C Prut 57 Com. Răuseni C - C C C 40 Com. Hudeşti C C C C C 58 Com. Ripiceni C C C C C 41 Com. Ibăneşti C C C C C 59 Com. Roma C C C C C 60 Com. Romîneşti C - C C C 42 Com. Leorda C C C C C 61 Com. Santa Mare C - C C C 43 Com. Lozna C (înfiinţată 62 Com. Stăuceni C.S.M. C C C C prin L342/2003 Botoşani în com. idem idem idem – vezi com. Dersca Dersca) 63 Com. Suharău C C C C C 44 Com. Lunca C C C C C 64 Com. Suliţa C C C C C (diminuată prin L84/2004 – 45 Com. Manoleasa C C21 C C C vezi com. Blîndeşti) 46 Com. Mihai C C C C C Eminescu 65 Com. Şendriceni C C C C C 47 Com. Mihăileni C C C C C (diminuată 66 Com. Ştiubieni C C C C C prin L344/2003 – vezi com. 67 Com. Todireni C C C C C Cîndeşti) 68 Com. Truşeşti C C C C C 48 Com. Mihălăşeni C - C C C 69 Com. Tudora C C C C C 49 Com. Mileanca C C C C C 70 Com. Ungureni C C C C C 50 Com. Mitoc C - C C C 71 Com. Unţeni C - C C C F. Com. Nicolae C (unificată în com. în com. în com. în oraşul cu com. 72 Com. Văculeşti C C C C C 73 Com. Viişoara C - C C C 21 Sub numele com. Liveni Elaboratori: UAUIM-CCPEC, Bucureşti, împreună cu, Universitatea Bucureşti – CICADIT, SC. Quattro Design s.r.l. – Bucureşti, SC. Urbatech s.r.l. – Iaşi, UAIC - Facultatea de Geografie, Iaşi, 53
  • 56.
    Actualizare Plan deAmenajarea Teritoriului Judeţean Botoşani Consiliul Judeţean Botoşani 74 Com.Vîrfu C C C C C A.2.1. ANEXA 3 - ATESTAREA DOCUMENTARĂ A UNEI LOCALITĂŢI Cîmpului COMPONENTE A U.A.T.B. 75 Com. Vlădeni C C C C C PERIOADELE ISTORICE 76 Com. Vlăsineşti C C C C C NR. DENUMIRE după 1859 77 Com. Vorniceni C C C C C CRT. U.A.T.B. 1352- 1456- 1538- 1711- 1828- sau fără 1456 1538 1711 1828 1859 78 Com. Vorona C C C C C informaţii TOTAL UATB, din 73 59 72 72 78 1. Mun. Botoşani 1350 care: 2. Mun. Dorohoi Municipii 1 1 1 1 2 Oraşe 3 3 3 3 5 3. Oraş Bucecea Comune suburbane 3 - - - - 4. Oraş Darabani ale M. Botoşani 5. Oraş Flămînzi Comune 66 55 68 68 71 6. Oraş Săveni 7. Oraş Ştefăneşti 8. Com. Adăşeni 9. Com. Albeşti 10. Com. Avrămeni 11. Com. Băluşeni 12. Com. Blîndeşti 13. Com. Brăeşti 14. Com. Broscăuţi 15. Com. Călăraşi 16. Com. Cîndeşti 17. Com. Conceşti 18. Com. Copălău 19. Com. Cordăreni 20. Com. Corlăţeni 21. Com. Corni 22. Com. Coşula 23. Com. Coţuşca 24. Com. Cristeşti Elaboratori: UAUIM-CCPEC, Bucureşti, împreună cu, Universitatea Bucureşti – CICADIT, SC. Quattro Design s.r.l. – Bucureşti, SC. Urbatech s.r.l. – Iaşi, UAIC - Facultatea de Geografie, Iaşi, 54
  • 57.
    Actualizare Plan deAmenajarea Teritoriului Judeţean Botoşani Consiliul Judeţean Botoşani 25. Com. Cristineşti 52. Com. Păltiniş 26. Com. Curteşti 53. Com. Pomîrla 27. Com. Dersca 54. Com. Prăjeni 28. Com. Dimăcheni 55. Com. Răchiţi 29. Com. Dîngeni 56. Com. Rădăuţi-Prut 30. Com. Dobîrceni 57. Com. Răuseni 31. Com. Drăguşeni 58. Com. Ripiceni 32. Com. Durneşti 59. Com. Roma 33. Com. Frumuşica 60. Com. Romîneşti 34. Com. George Enescu 61. Com. Santa Mare 35. Com. Gorbăneşti 62. Com. Stăuceni 36. Com. Havîrna 63. Com. Suharău 37. Com. Hăneşti 64. Com. Suliţa 38. Com. Hilişeu-Horia 65. Com. Şendriceni 39. Com. Hlipiceni 66. Com. Ştiubieni 40. Com. Hudeşti 67. Com. Todireni 41. Com. Ibăneşti 68. Com. Truşeşti 42. Com. Leorda 69. Com. Tudora 43. Com. Lozna 70. Com. Ungureni 44. Com. Lunca 71. Com. Unţeni 45. Com. Manoleasa 72. Com. Văculeşti Com. 73. Com. Viişoara 46. Mihai Eminescu 74. Com. Vîrfu Cîmpului ORAŞ 75. Com. Vlădeni 47. Com. Mihăileni NOU 76. Com. Vlăsineşti 48. Com. Mihălăşeni 77. Com. Vorniceni 49. Com. Mileanca 78. Com. Vorona 50. Com. Mitoc TOTAL LOCALITĂŢI ATESTATE 20 16 28 8 1 5 51. Com. Nicşeni Elaboratori: UAUIM-CCPEC, Bucureşti, împreună cu, Universitatea Bucureşti – CICADIT, SC. Quattro Design s.r.l. – Bucureşti, SC. Urbatech s.r.l. – Iaşi, UAIC - Facultatea de Geografie, Iaşi, 55
  • 58.
    Actualizare Plan deAmenajarea Teritoriului Judeţean Botoşani Consiliul Judeţean Botoşani A.2.1. ANEXA 4 - ATESTAREA DOCUMENTARĂ A LOCALITĂŢILOR Bucecea * 1835 Buda * Buhăceni * * - atestarea în secolul respectiv Buimăceni 1586 (Băimăceni, Buzinţi) - atestarea în anul respectiv Burla * 1602 Burleşti Buzeni ante 1736 1835 Caraiman Data atestării documentare Carasa Numele localităţii Sec. XIV Sec. XV Sec. XVI Sec. XVII Sec. Sec. XIX Călăraşi XVIII Călineşti, c. Bucegea 1835 Adăşeni * Călineşti, c. 1519 Agafton 1835 Mihăileni Alba Călugăreni 1763 1835 Albeşti 1602 Călugărenii Noi Arborea Cătămăreşti * 1835 Aurel Vlaicu (Cătămăreşti-Vale) Avram Iancu Cătămăreşti-Deal Avrămeni 1554-1555 Cerbu Baisa Cerchejeni 1786 1835 Bajura Cerneşti unificat cu Balinţi 1430 Siliştea Balta Arsă Cerviceşti 1750 1835 Baranca * Cerviceşti-Deal Baranca (Cerviceşti-Crac) Băbiceni * Cheliş Bădărăi Chişcăreni Bădiuţi 1424 Chiţoveni 1657 Băiceni 1503 1835 Cinghiniia Băluşenii Noi * 1740 Ciritei (Pârlita) Cişmăneşti 1746 Bătrîneşti 1626 1835 Cişmea 1776 Belcea Cîmpeni (Lătăi) * Berza 1853 Cîndeşti (Cândeşti- * Bivolari * Dorohoi) Bîrsăneşti 1616 Codreni (Ciorbeni) 1728 Blîndeşti 1835 Conceşti 1574-1575 Bobuleşti 1533 Copălău 1835 Bodeasa Cordăreni 1519 1835 Bogdăneşti (Cordărenii Vechi) Bohoghina Cordun Bold * Corjăuţi * Borolea * * Corlăţeni 1487 Borzeşti * * Corni * Boscoteni (Unsa- * Costeşti 1615 1835 Boscoteni) Costineşti 1835 Bosînceni * Coştiugeni Botoşani 1350 1440 1835 Coşula 1535 Bozieni 1667 Coşuleni * 1835 Brăeşti 1790 Cotîrgaci * Brehuieşti 1796 Cotu (Cotu-Ruşi) Broscăuţi 1582 Numele localităţii Sec. XIV Sec. XV Sec. XVI Sec. XVII Sec. Sec. XIX Broşteni 1528 XVIII Numele localităţii Sec. XIV Sec. XV Sec. XVI Sec. XVII Sec. Sec. XIX Cotu Miculinţi * XVIII Coţuşca * Elaboratori: UAUIM-CCPEC, Bucureşti, împreună cu, Universitatea Bucureşti – CICADIT, SC. Quattro Design s.r.l. – Bucureşti, SC. Urbatech s.r.l. – Iaşi, UAIC - Facultatea de Geografie, Iaşi, 56
  • 59.
    Actualizare Plan deAmenajarea Teritoriului Judeţean Botoşani Consiliul Judeţean Botoşani Crasnaleuca 1660 Schit) 1742 Cristeşti * 1835 Griviţa Cristineşti 1591 Guranda = Budeşti 1701 Cucorăni 1550 1835 Havîrna * 1835 Cucuteni (Cucuteni- Hăneşti 1586 Tufescu) Hilişeu-Cloşca * Curteşti 1627 Hilişeu-Crişan 1522 Cuza Vodă (Hilişeu-Gafencu şi Cuzlău 1721 Hilişeu-Vârnav) Dacia Hilişeu-Horia * Darabani (Căbiceni) 1569 (Hilişeu-Curt) Davidoaia Hlipiceni 1546 Dămideni 1616 Horia (Ghireni-Curt) Dealu Crucii Horlăceni 1384 Dealu Mare Horodiştea – unificat 1605 Dersca 1554-1555 cu sat Crăiniceni Dimăcheni Ante 1612 Hrişcani 1583 1835 Dimitrie Cantemir Hudeşti (Lupeni) 1582 (Valea Răchiţii) Hudum Dîngeni 1660 Hulub Dobîrceni * Hulubeşti Doina Huţani Dolina 1835 Iacobeni 1596 Dorobanţi 1870 Ibăneasa Dorohoi 1407 Ibăneşti 1455 Dracşani 1538 1835 Ichimeni (Ichimenii 1721 Dragalina Mari) Dragalina Icuşeni 1603 Draxini * Ilişeni 1587 Drăguşeni 1690 Ionăşeni, com. 1801 Drislea * Truşeşti Dumbrăviţa Ionăşeni, com. Vârful 1602 Dumeni (Singureni) 1569 1835 Câmpului Durneşti 1589 Iorga Durneşti, com. Santa * Ipoteşti 1660 1835 Mare Iureşti * Durneşti, Izvoare com.Ungureni Jijia (Şătrăreni) * Eşanca Joldeşti * Flămânzi 1605 Lehneşti Flondora Leorda * Floreşti Libertatea Frumuşica * Lişmăniţa Fundu Herţii * Lişna 1721 Galbeni Livada George Coşbuc * Liveni 1588 (Staroşilţa-Radu) Loturi George Enescu 1588 Loturi Enescu (Liveni) Numele localităţii Sec. XIV Sec. XV Sec. XVI Sec. XVII Sec. Sec. XIX Ghireni * XVIII Numele localităţii Sec. XIV Sec. XV Sec. XVI Sec. XVII Sec. Sec. XIX Lozna 1614 XVIII Lunca, com. Lunca Gîrbeni * Lunca, com. Vârful Gîrbeşti * Câmpului Gorbăneşti 1635 Lupăria Gorovei (Gorovei- 1740- Manoleasa * (Manoleasa-Volovăţ) Elaboratori: UAUIM-CCPEC, Bucureşti, împreună cu, Universitatea Bucureşti – CICADIT, SC. Quattro Design s.r.l. – Bucureşti, SC. Urbatech s.r.l. – Iaşi, UAIC - Facultatea de Geografie, Iaşi, 57
  • 60.
    Actualizare Plan deAmenajarea Teritoriului Judeţean Botoşani Consiliul Judeţean Botoşani Manoleasa-Prut Plopenii Mici 1604 Manoleşti Podeni (Podu lui Mateieni 1610-1611 Stamate) Mănăstirea Doamnei Podriga * Măşcăţeni * Pogorăşti * Mesteacăn Poiana, com. Brăeşti Mihai Eminescu * Poiana, com. (Staroşilţa-Stavri) Cristineşti Mihai Viteazu Poiana, com. (Colonişti) Flămânzi Mihail Kogălniceanu Poiana, com. Vorona Mihăileni 1792 Pomîrla 1536 Mihălăşeni * Popeni, Brăeşti 1518 1835 Mileanca 1660 Popeni, com. George Miletin * Enescu Miorcani * Popoaia Miron Costin Prăjeni 1576 Mitoc, com. Mitoc Prisăcani 1576 Mitoc, com. Leorda * Progresul (Putreda) Mînăstireni 1615 1835 Puţureni 1609 Mîndreşti, com. 1492 1835 Racovăţ (Racovăţ- Vlădeni Palanca) Mîndreşti, com. Răchiţi (Răchiţi- * Ungureni Popăuţi) Mlenăuţi 1594 Rădăuţi-Prut Moara Jorii Rădeni * Movila Ruptă * Răuseni * Movileni –1968 Recia-Verbia 1600 Murguţa Rediu, com. Rădăuţi * Năstase Prut Negreni Rediu, com. Răuseni Negreşti Ripiceni (Ripiceni- Nichiteni Fabrică) Nicolae Bălcescu Ripicenii Vechi 1448 * Nicolae Bălcesu (Ripiceni) Nicşeni * Rînghileşti 1582 Niculcea Rînghileşti-Deal Oneaga (Fotin Enescu) Orăşeni-Deal 1835 Rîşca 1542 Orăşeni-Vale 1835 Rogojeşti 1397 Oroftiana (Oroftiana * Roma de Sus) Româneşti (Ostopeni- 1550 Panaitoaia Româneşti) Pădureni (Brăteni) * Numele localităţii Sec. XIV Sec. XV Sec. XVI Sec. XVII Sec. Sec. XIX Pădureni (Lingurari) XVIII Numele localităţii Sec. XIV Sec. XV Sec. XVI Sec. XVII Sec. Sec. XIX Româneşti-Vale XVIII Roşiori Pădureni (Buhai) 1616 Sadoveni Păltiniş 1605 Santa Mare Păsăteni Sarafineşti * Păun Sarata Petricani 1501 Sarata-Basarab Pîrîu Negru * Sarata-Drăguşeni Pleşani * (Sarata Greacă) Plevna Sat Nou Plopenii Mari * Sauceniţa Sărata Elaboratori: UAUIM-CCPEC, Bucureşti, împreună cu, Universitatea Bucureşti – CICADIT, SC. Quattro Design s.r.l. – Bucureşti, SC. Urbatech s.r.l. – Iaşi, UAIC - Facultatea de Geografie, Iaşi, 58
  • 61.
    Actualizare Plan deAmenajarea Teritoriului Judeţean Botoşani Consiliul Judeţean Botoşani Săveni Viforeni Schit-Orăşeni 1708 Viişoara (Bivolu Scutari Mare) Seliştea Viişoara Mică Silişcani 1546 (Bivolu Mic) Siliştea Viţcani Sîrbi 1616 Vîlcelele (Găureana) Slobozia 1677 1835 Vînători Slobozia (Slobozia- Vîrfu Cîmpului Corlăteni) Vlădeni (Şipoteni) 1635 Slobozia Hăneşti Vlădeni * Slobozia Silişcani Vlădeni-Deal 1518 Smîrdan Vlăsineşti 1446 * Socrujeni * 1835 Vorniceni 1428 Soroceni (Uriceni) 1578 1835 Vorona (Vorona * 1403 Stăuceni * 1835 Noua) Stînca Vorona Mare * Stînca Vorona-Teodoru Stînceşti 1538 1761 Vultureni Stolniceni (Stolnici) Zahoreni * Storeşti 1609 Zăiceşti 1835 Strahotin 1562 Zlătunoaia 1805 Străteni Zoiţani Stroieşti 1576 Suharău * Suliţa 1835 Şendreni * Şendriceni (Ghilia) 1611 Şerpeniţa 1721 Şoldăneşti 1603 1835 Ştefăneşti (Gura 1435 (?) 1509 Başeului) Ştefăneşti-Sat Ştiubieni * Şupitca Talpa * Tătărăşeni * Tăuteşti Timuş Tocileni * Numele localităţii Sec. XIV Sec. XV Sec. XVI Sec. XVII Sec. Sec. XIX XVIII Todireni unificat cu 1721 Movileni Truşeşti 1568 Tudor Vladimirescu Tudor Vladimirescu Tudora 1400 Ungureni * Unguroaia Unţeni * 1835 Valea Grajdului Văculeşti * 1415 Vicoleni * 1635 Victoria Victoria (Filipeşti) Elaboratori: UAUIM-CCPEC, Bucureşti, împreună cu, Universitatea Bucureşti – CICADIT, SC. Quattro Design s.r.l. – Bucureşti, SC. Urbatech s.r.l. – Iaşi, UAIC - Facultatea de Geografie, Iaşi, 59
  • 62.
    Actualizare Plan deAmenajarea Teritoriului Judeţean Botoşani Consiliul Judeţean Botoşani A.2.1. ANEXA 5 - PATJ BOTOŞANI - MONUMENTE ISTORICE CF. L.M.I. 2004/2005 NUMĂR MONUMENTE ISTORICE ÎN CAPITOLELE LMI 1 2 3 4 5 6 7 8 9 10 11 12 CAP. I - CAP. II - CAP.III CAP.IV TOTAL 10 Com. ARHEOLOGIE ARHITECTURA MONUMENTE DE MONUMENTE MONUMENTE 4/0 3/0 - - - - - - 4/0 3/0 Avrămeni FOR PUBLIC MEMORIALE/ ISTORICE FUNERARE 11 Com. 4/0 3/0 4/3 3/2 - - - - 8/3 6/2 Băluşeni UATB Nr. Nr. real Nr. poziţii Nr. real Nr. Nr. real Nr. Nr. real Nr. Nr. real poziţii în de MI în LMI/ de MI poziţii în de MI poziţii în de MI poziţii în de MI 12 Com. 4/0 3/0 - - - - - - 4/0 3/0 LMI/ /nr.mo- nr. pozitii /nr.mo- LMI/nr. /nr.mo- LMI/nr. /nr.mo- LMI/nr. /nr.mo- Blîndeşti nr.pozitii nument în grupa nument pozitii în nument pozitii în nument pozitii în nument în în grupa în grupa valorică A în grupa grupa în grupa grupa în grupa grupa grupa 13 Com. - - 3/1 3/1 - - - - 3/1 3/1 valorică valorică valorică valorică valorică valorică valorică valorică valorică Brăeşti A A A A A A A A A (3+5+7+9) (4+6+8+10) 14 Com. - - - - - - - - - - Broscăuţi 1 2 3 4 5 6 7 8 9 10 11 12 15 Com. 6/0 5/0 - - - - - - 6/0 5/0 1 Mun. 117/21 Călăraşi 1/0 1/0 108/18 8/0 8/0 4/1 4/1 130/22 121/19 Botoşani *1 16 Com. - - 2/0 2/0 - - - - 2/0 2/0 2 Mun. 18/3 Cîndeşti 1/1 1/1 17/2 3/0 3/0 - - 22/4 21/3 Dorohoi *2 17 Com. 1/0 1/0 - - - - - - 1/0 1/0 3 Oraş Conceşti - - 2/0 2/0 2/0 2/0 - - 4/0 4/0 Bucecea 18 Com. 2/1 2/1 - - - - - - 2/1 2/1 4 Oraş 5/0 Copălău 3/0 2/0 4/0 - - - - 8/0 6/0 Darabani *2 19 Com. 1/0 1/0 - - - - - - 1/0 1/0 5 Oraş Cordăreni 6/0 5/0 2/0 2/0 2/0 2/0 - - 10/0 9/0 Flămînzi 20 Com. 8/0 7/0 1/0 1/0 - - - - 9/0 8/0 6 Oraş Corlăţeni 6/0 5/0 2/0 2/0 - - - - 8/0 7/0 Săveni 21 Com. 8/0 6/0 1/0 1/0 - - - - 9/0 7/0 7 Oraş 6/0 Corni 6/0 5/0 5/0 - - - - 11/0 11/0 Ştefăneşti *2 22 Com. 9/8 - - 8/8 - - - - 9/8 8/8 8 Com. Coşula *2 - - - - - - - - - - Adăşeni 23 Com. 10/0 9/0 - - - - - - 10/0 9/0 9 Com. Coţuşca 5/0 4/0 - - - - - - 5/0 4/0 Albeşti 24 Com. 4/0 4/0 2/0 2/0 - - - - 6/0 6/0 Cristeşti 25 Com. 3/0 3/0 1/0 1/0 - - - - 4/0 4/0 Cristineşti 26 Com. 7/0 8/0 6/0 6/0 - - - - 15/0 12/0 Curteşti *2 Elaboratori: UAUIM-CCPEC, Bucureşti, împreună cu, Universitatea Bucureşti – CICADIT, SC. Quattro Design s.r.l. – Bucureşti, SC. Urbatech s.r.l. – Iaşi, UAIC - Facultatea de Geografie, Iaşi, 60
  • 63.
    Actualizare Plan deAmenajarea Teritoriului Judeţean Botoşani Consiliul Judeţean Botoşani 1 2 3 4 5 6 7 8 9 10 11 12 1 2 3 4 5 6 7 8 9 10 11 12 27 Com. 59 Com. 1/1 1/1 1/0 1/0 - - - - 2/1 2/1 - - 1/0 1/0 - - - - 1/0 1/0 Dersca Roma 28 Com. 60 Com. - - 1/0 1/0 - - - - 1/0 1/0 - - - - - - - - - - Dimăcheni Romîneşti 29 Com. 61 Com. 1/0 1/0 1/0 1/0 - - - - 2/0 2/0 Dîngeni Santa 1/0 1/0 - - - - - - 1/0 1/0 Mare 30 Com. - - - - - - - - - - Dobîrceni 62 Com. 4/0 3/0 - - - - - - 4/0 3/0 Stăuceni 31 Com. 6/0 4/0 1/0 1/0 - - - - 7/0 5/0 Drăguşeni 63 Com. 4/0 4/0 2/0 2/0 - - - - 6/0 6/0 Suharău 32 Com. 1/0 1/0 1/0 1/0 - - - - 2/0 2/0 Durneşti 64 Com. 6/0 3/0 2/0 5/0 - - - - 9/0 7/0 Suliţa *2 33 Com. 3/0 5/1 4/1 2/0 - - - - 8/1 6/1 Frumuşica *2 65 Com. 4/0 3/0 3/0 3/0 - - - - 7/0 6/0 Şendriceni 34 Com. George 4/0 3/0 - - - - 1/1 1/1 5/1 4/1 66 Com. 4/0 3/0 1/0 1/0 - - - - 5/0 4/0 Enescu Ştiubieni 35 Com. 67 Com. - - - - - - - - - - - - - - - - - - - - Gorbăneşti Todireni 36 Com. 3/0 68 Com. 3/0 2/0 2/0 - - - - 6/0 4/0 5/0 4/0 1/0 1/0 - - - - 6/0 5/0 Havîrna *2 Truşeşti 37 Com. 69 Com. 8/0 7/0 1/0 1/0 - - - - 9/0 8/0 5/0 4/0 2/0 2/0 - - - - 7/0 6/0 Hăneşti Tudora 38 Com. 70 Com. 5/0 3/0 2/0 - - - - - - 3/0 2/0 Hilişeu- - - 4/0 - - - - 5/0 4/0 Ungureni *2 Horia 71 Com. 1/0 1/0 - - - - - - 1/0 1/0 39 Com. Unţeni 6/0 5/0 - - - - - - 6/0 5/0 . Hlipiceni 72 Com. 9/0 1/0 1/0 8/0 - - - - 10/0 9/0 40 Com. Văculeşti *2 1/0 1/0 3/0 3/0 - - - 4/0 4/0 Hudeşti 73 Com. - - - - - - - - - - 41 Com. Viişoara 1/0 1/0 - - 1/0 1/0 - - 2/0 2/0 Ibăneşti 74 Com. 42 Com. Vîrfu - - 1/0 1/0 - - - - 1/0 1/0 4/0 3/0 - - - - - - 4/0 3/0 Leorda Cîmpului Elaboratori: UAUIM-CCPEC, Bucureşti, împreună cu, Universitatea Bucureşti – CICADIT, SC. Quattro Design s.r.l. – Bucureşti, SC. Urbatech s.r.l. – Iaşi, UAIC - Facultatea de Geografie, Iaşi, 61
  • 64.
    Actualizare Plan deAmenajarea Teritoriului Judeţean Botoşani Consiliul Judeţean Botoşani 1 2 3 4 5 6 7 8 9 10 11 12 1 2 3 4 5 6 7 8 9 10 11 12 43 Com. 75 Com. 1/0 1/0 - - - - - - 1/0 1/0 3/0 2/0 - - - - - - 3/0 2/0 Lozna Vlădeni 44 Com. 76 Com. - - - - - - - - - - 1/0 1/0 - - - - - - 1/0 1/0 Lunca Vlăsineşti 45 Com. 77 Com. 7/0 5/0 - - - - - - 7/0 5/0 4/0 3/0 1/0 1/0 - - - - 5/0 4/0 Manoleasa Vorniceni 46 Com. 78 Com. 5/0 1/0 1/0 4/0 - - - - 6/0 5/0 1/1 1/1 3/0 3/0 - - 4/0 3/0 8/1 7/1 Vorona *2 Mihai Eminescu TOTAL NR. MONUMENTE 251/8 204/8 246/36 224/31 17/0 17/0 9/2 8/2 523/46 453/41 47 Com. ISTORICE - - 2/0 2/0 - - - - 2/0 2/0 Mihăileni TOTAL 48 Com. 6/0 5/0 1/0 1/0 - - - - 7/0 6/0 58 42 6 3 68 Mihălăşeni NR. UATB CU MONUMENTE 49 Com. - - - - - - - - - - Mileanca 50 Com. Mitoc 15/3 12/3 - - 1/0 1/0 - - 16/3 13/3 *1 Din care în categoria “ansambluri” – 12 51 Com. *2 Din care în categoria “ansambluri” - 1 5/0 4/0 - - - - - - 5/0 4/0 Nicşeni 52 Com. 16/0 13/0 - - - - - - 16/0 13/0 Păltiniş 53 Com. 4/0 . - - 3/0 - - - - 4/0 3/0 Pomîrla *2 54 Com. 11/0 9/0 - - - - - - 11/0 9/0 Prăjeni 55 Com. - - - - - - - - - - Răchiţi 56 Com. Rădăuţi- 8/0 6/0 2/0 2/0 - - - - 10/0 8/0 Prut 57 Com. 1/0 1/0 - - - - - - 1/0 1/0 Răuseni 58 Com. 4/0 3/0 - - - - - - 4/0 3/0 Ripiceni Elaboratori: UAUIM-CCPEC, Bucureşti, împreună cu, Universitatea Bucureşti – CICADIT, SC. Quattro Design s.r.l. – Bucureşti, SC. Urbatech s.r.l. – Iaşi, UAIC - Facultatea de Geografie, Iaşi, 62
  • 65.
    Actualizare Plan deAmenajarea Teritoriului Judeţean Botoşani Consiliul Judeţean Botoşani din România, Bucureşti: cIMeC, 2000 A.2.1. ANEXA 6 - MUZEE, COLECŢII, ARHIVE, BIBLIOTECI Nr. An Denumire Amplasament Profil principal crt. înfiinţare MN-Memorialul Ipoteşti-Centrul com. Mihai 1940/ 1. Naţional de Studii “Mihai Eminescu, sat Istoria literaturii Eminescu” Ipoteşti 1950 Arheologie daco-romană. 2. MJB-Muzeul Judeţean Botoşani mun. Botoşani 1955 Arheologie preistorică. Istorie 3. SMJB-Muzeul de Artă mun. Botoşani 1960 Artă plastică românească 4. SMJB-Muzeul de Etnografie mun. Botoşani 1989 Etnografie SMJB-Casa memorială 5. mun. Botoşani 1971 Personalităţi istorice “Nicolae Iorga” SMJB-Muzeul Memorial 6. mun. Botoşani 1995 Istoria tehnicii “Octav Onicescu” SMJB-Galeriile de artă plastică 7. mun. Botoşani 1981 Artă plastică “Ştefan Luchian” SMJB-Muzeul de Artă 8. mun. Dorohoi 1986 Artă decorativă Decorativă SMJB-Muzeul de Ştiinţele Ştiinţele naturii.Botanică. 9. mun. Dorohoi 1953 Naturii Zoologie SMJB-Muzeul Naţional 10. mun. Dorohoi 1957 Istoria muzicii “George Enescu” com. George SMJB-Casa memorială Enescu, sat 11. 1955 Istoria muzicii “George Enescu” George Enescu (fost Liveni) SMJB-Colecţia Etnografică 12. com. Mihăileni 1984 Etnografie Zahacinschi Arheologie preistorică. 13. SMJB-Muzeul de arheologie oraş Săveni 1964 Personalităţi istorice SMJB-Expoziţia Permanentă 14. oraş Ştefăneşti 1989 Artă plastică românească de Artă Plastică Contemporană ANJB-Arhivele Naţionale 15. mun. Botoşani Arhivă judeţul Botoşani 16. P-Biblioteca mănăstirii Vorona com. Vorona Cărţi religioase sec. XVII-XIX MJB=MUZEU JUDEŢEAN S=SECŢIE A UNUI MUZEU MN=MUZEU NAŢIONAL P=COLECŢIE PRIVATĂ Sursa: Ministerul Culturii, Direcţia Muzee şi Colecţii, Ghidul muzeelor şi colecţiilor Elaboratori: UAUIM-CCPEC, Bucureşti, împreună cu, Universitatea Bucureşti – CICADIT, SC. Quattro Design s.r.l. – Bucureşti, SC. Urbatech s.r.l. – Iaşi, UAIC - Facultatea de Geografie, Iaşi, 63
  • 66.
    Actualizare Plan deAmenajarea Teritoriului Judeţean Botoşani Consiliul Judeţean Botoşani A.2.2. PEISAJE CULTURALE 77. Cu terenuri agricole, rare pajişti stepice puternic modificate şi pajişti cu plante halofile şi pâlcuri de stejar pedunculat cu arţar tătăresc (38 UATB): acest tip de peisaj de câmpie, A.2.2.1. Macrozonarea peisagistică caracteristic Câmpiei Moldovei, predomină în parţile de N, E şi S ale judeţului reprezentând peisajul dominant în cca. 50% din teritoriul acestuia. Se remarcă faptul că în această zonă de Teritoriul judeţului Botoşani se încadrează în două categorii de peisaj caracteristice zonelor joase ale câmpie au fost amenajate în decursul timpului un număr mare de iazuri, construite prin Moldovei: (i) peisaje de deal şi podiş sub influenţa climatului continental; (ii) peisaje de câmpie sub bararea cursurilor râurilor (vezi Subcapitolul „Iazuri”). influenţa climatului continental. Peisajul de câmpie continuă spre E, în afara judeţului în Republica Moldova, câmpia fiind fracturată de valea amplă a Prutului. UATB din judeţ sunt încadrate, parţial sau total, în următoarele subcategorii de peisaj: Subliniem că identificarea peisajelor şi problemelor de protecţie a acestuia trebuie să facă parte din propunerile PUG ale fiecărei UATB în parte. I. PEISAJE DE DEAL ŞI PODIŞ, SUB INFLUENŢA CLIMATULUI CONTINENTAL (PARŢIAL PONTIC-SUBMEDITERANEAN): A. DEALURI ŞI PODIŞURI ÎNALTE A.2.2.2. Arii naturale protejate 38. Podiş cu păduri de fag cu carpen, de gorun şi stejar pedunculat, pajişti stepizate şi Dintre cele 10 rute principale de migraţie a păsărilor care străbat atmosfera României, două trec pe terenuri agricole (17 UATB): com. Bucecea, Cândeşti, Corni, Cristineşti, Dersca, direcţia N-S pe deasupra judeţului Botoşani: Frumuşica, Hilişeu-Horia, Ibăneşti, Lozna, Mihăileni, Pomârla, Suharău, Văculeşti, Vlădeni, Vârfu Câmpului, Vorona, Tudora. 1. Ruta VI carpatică – urmăreşte traseul râului Siret Zona de podiş este situată în partea de Vest a judeţului, spre graniţa cu Ucraina şi spre limita 2. Ruta VII est-elbică – urmăreşte traseul râului Prut cu judeţul Suceava. Din acest motiv asigurarea protecţei păsărilor este un obiectiv major al protecţiei mediului în B. DEALURI ŞI PODIŞURI JOASE, DEPRESIUNI CU: această zonă. 55. Aspect deluros, cu păduri de gorun cu carpen şi de stejar pedunculat cu gorun şi tei, Pe teritoriul judeţului Botoşani există două Arii de Protecţie Specială Avifaunsitică, parte a reţelei pajişti stepizate şi terenuri agricole (5 UATB): mun. Botoşani, com. Coşula, Cristeşti, ecologice europene „Natura 2000”: Curteşti, Mihai Eminescu. 1. ROSPA 0049 – IAZURILE DE PE VALEA IBĂNESEI-BAŞEULUI-PODRIGĂI Zona de dealuri şi de podişuri joase este amplasată în partea de SV a judeţului între zona dealurilor şi podişurilor înalte şi zona de câmpie. Suprafaţa totală a sitului protejat este 2512,1 ha, repartizată în teritoriile a 12 unităţi administrativ- teritoriale de bază: com. Conceşti, com. Cordăreni, oraşul Darabani, com. Havârna, com. Hăneşti, com. Hudeşti, com. Mileanca, oraşul Săveni, com. Ştiubieni, com. Ungureni, com. Vlăsineşti, com. Vorniceni. II. PEISAJE DE CÂMPIE SUB INFLUENŢA CLIMATULUI CONTINENTAL (PARŢIAL PONTIC-SUBMEDITERANEAN): Nu există plan de management al sitului protejat. 76. Cu terenuri agricole, pajişti stepizate puternic modificate şi pâlcuri de păduri de stejar Situl este vulnerabil din următoarele motive (cf. Formularului Standard „Natura 2000”): pedunculat cu arţar tătăresc (18 UATB): oraş Darabani, oraş Flămânzi, oraş Stefăneşti, com. Albeşti, Băluşeni, Blândeşti, Conceşti, Copălău, Dobârceni, Durneşti, Gorbăneşti, - braconaj; Hudeşti, Lunca, Păltiniş, Stăuceni, Suliţa, Todireni, Truşeşti. - vânătoarea în timpul cuibăritului; Peisajul de câmpie cu pajişti stepizate şi pâlcuri de păduri se întâlneşte în două zone ale - vânătoarea în zona locurilor de cuibărire a speciilor periclitate; judeţului Botoşani: - distrugerea cuiburilor, a pontei sau a puilor; - în partea de NV a judeţului, până la graniţa cu Ucraina; - deranjarea păsărilor în timpul cuibăritului; - în partea de S a judeţului, între râul Prut şi depresiunea Botoşanilor. - deranjarea păsărilor ichtiofage în zona de cuibărire a speciilor ocrotite; - prinderea păsărilor cu capcane; Elaboratori: UAUIM-CCPEC, Bucureşti, împreună cu, Universitatea Bucureşti – CICADIT, SC. Quattro Design s.r.l. – Bucureşti, SC. Urbatech s.r.l. – Iaşi, UAIC - Facultatea de Geografie, Iaşi, 64
  • 67.
    Actualizare Plan deAmenajarea Teritoriului Judeţean Botoşani Consiliul Judeţean Botoşani - pescuitul sportiv în imediata vecinătate a cuiburilor speciilor periclitate; 4. Lacul Dracşani – com. Suliţa (500 ha) - electrocutare şi coliziune în linii electrice; 5. Pădurea de Tisă – com. Tudora (129 ha) - pescuitul sportiv în masă care deranjează păsările migratoare; 6. Pădurea Vorona – com. Vorona (150 ha) - practicarea sporturilor extreme: barcă cu motor, maşini de teren, motor de cross, enduro; 7. Stânca-Ştefăneşti (rezervaţei geologică şi florală) – oraş Ştefăneşti - arderea stufului în perioada de cuibărire; - arderea stufului; Formaţiuni naturale distruse: - arderea vegetaţiei (a miriştii şi a pârloagelor); A. PEŞTERA RIPICENI – PEŞTERA DE LA STÂNCA-RIPICENI CANAL, com. Ripiceni - înmulţirea necontrolată a speciilor invazive. Datare: paleolitic, eneolitic. 2. ROSPA 0058 – LACUL STÂNCA - COSTEŞTI Cercetată 1924-1926, distrusă de cariera de calcar în prima jumătate a sec. XX. Suprafaţa totală a sitului protejat este 2051,7 ha22, suprafaţă formată din malul drept al Prutului şi B. SALINA IBĂNEŞTI – COM. IBĂNEŞTI partea din oglinda de apă care aparţine României. Malul stâng al Prutului şi cealaltă parte a oglinzii de apă aparţin Republicii Moldova, linia de graniţă fiind talvegul râului Prut. Situl protejat are suprafaţa Exploatare de suprafaţă a sării, semnalată în literatură. repartizată în teritoriile a 3 unităţi administrativ-teritoriale de bază: com. Manoleasa, com. Ripiceni, Modul de folosire a acestor rezervaţii naturale şi măsurile de protecţie necesare trebuie să fie oraşul Ştefăneşti. Situl reprezintă cel mai important cartier de iernare a păsărilor acvatice din bazinul reglementate prin PUG ale UATB respective. Prutului. Nu există plan de management al sitului protejat. Situl este vulnerabil din următoarele motive (cf. Formularului Standard „Natura 2000”): A.2.2.4. Iazuri Existenţa unui mare număr de cursuri de apă cu debite variabile (foarte mari în perioadele de topire a - braconaj; zăpezii şi ale ploilor bogate din timpul verii) precum şi fragmentarea teritoriului Câmpiei Moldovei au - prinderea păsărilor cu capcane; făcut ca pe toate râurile să se amenajeze mai multe retenţii de apă. Scopul amenajărilor este multiplu: atenuarea viiturilor, alimentarea cu apă în principal pentru agricultură, piscicultură. - electrocutare şi coliziune în linii electrice; În judeţul Botoşani sunt amenajate deosebit de multe iazuri pe afluentii Prutului: Ghireni, Volovăţ, - pescuitul sportiv în masă care deranjează păsările migratoare; Başeu, Jijia cu afluentul dreapta Sitna. În anul 1980 în judeţ existau 148 de iazuri cu suprafaţa totală de - practicarea sporturilor extreme: barcă cu motor; cca.3600 ha şi cu volumul de apă de cca. 55 milioane m.c. - arderea stufului. Vechimea preocupărilor de a amenaja cursurile râurilor este demonstrată de termenii arhaici legaţi de aceste amenajări: iaz heleşteu – acumulare de apă realizată prin bararea cursului unui râu; hindichiu - digul iazului; sulinar – canalul de golire al iazului, călugăr – stavilă mobilă pe verticală care permite golirea iazului. A.2.2.3. Rezervaţii naturale Unele dintre amenajările de iazuri din judeţ există, probabil, din sec. XIV; ştiri mai multe despre Comitetul judeţean Botoşani a stabilit în decursul timpului ca anumite zone cu calităţi naturale existenţa iazurilor din judeţ există din sec. XVI, când, de exemplu, este menţionat iazul Dorohoiului deosebite să devină rezervaţii naturale. Informaţiile pe care le avem se referă la următoarele zone: (1587). În secolul XVII in Câmpia Moldovei (judeţul Botoşani şi Iaşi) după unele surse existau cca. 1500 iazuri cu o suprafaţă de cca. 200 000 ha. Tot în acest secol, în anul 1659, ruperea barajului unui 1. Făgetul Secular– com. Suharău (60 ha) iaz de pe râul Sitna a condus la ruperea mai multor baraje din aval şi la inundarea unor sate. În sec XIX 2. Pădurea Ciornohol – com. Călăraşi (107 ha) în studiile ştiinţifice se remarcă existenţa acestor amenjări hidrotehnice şi avantajele pe care proprietarii şi locuitorii le au de pe urma acestora. Un semn al acestor avantaje este, probabil, existenţa unui rac pe 3. Codrul Eminescu – com. Mihai Eminescu vechea stemă a judeţului Dorohoi (observaţie dr.ist. Sergiu Iosipescu). Nevoile crescânde de teren agricol au condus la sfârşitul sec. XIX şi la începutul sec. XX la 22 Semnalăm faptul că suprafaţa totală a sitului este diferită în două acte normative: HGR nr. 2151/2004 – suprafaţa 2950 ha; HGR nr. desfiinţarea unor iazuri; este celebru cazul iazului Dorohoi (amenajat la izvoarele Jijiei, în amonte de 1284/2007 – suprafaţa 2051,7 ha. Am considerat că ultima cifră este credibilă, provenind din Formularul Standard “Natura 2000” al sitului. Elaboratori: UAUIM-CCPEC, Bucureşti, împreună cu, Universitatea Bucureşti – CICADIT, SC. Quattro Design s.r.l. – Bucureşti, SC. Urbatech s.r.l. – Iaşi, UAIC - Facultatea de Geografie, Iaşi, 65
  • 68.
    Actualizare Plan deAmenajarea Teritoriului Judeţean Botoşani Consiliul Judeţean Botoşani oraş şi cu dimensiuni impresionante – lungime 30 km, suprafaţă 215 ha, adâncime 8-10 m) care a fost desfiinţat în acea perioadă. După anul 1950 o parte dintre iazuri au fost recondiţionate în conformitate cu prescripţiile tehnice moderne, dându-se unor dintre acumulări şi destinaţia de rezerve de apă pentru sistemele de irigaţie. În perioada 1970-1985 pe s-au realizat acumulări importante de apă, cu scop principal energetic, pe marile râuri din judeţ: Stânca-Costeşti pe Prut, Mihăileni şi Bucecea pe Siret. Marele număr de lacuri şi iazuri din judeţ au deosebit de importante efecte ecologice, prin atenuarea inundaţiilor, îmbunătăţirea factorilor climatici, şi în primul rând, păstrarea şi refacerea faunei şi florei. Cele două APSA instituite în judeţ sunt datorate acumulărilor de apă de pe văile Prutului şi ale unor afluenţi ai săi. Unităţile administrativ-teritoriale în care sunt amenajate retenţii de apă sunt următoarele (34 UATB, adică 44% din totalul din judeţ): com. Adăşeni, com. Avrămeni, com. Blăndeşti, mun. Botoşani, com. Broscăuţi, oraşul Bucecea, com. Conceşti, com. Cordăreni, com. Coţuşca, oraşul Darabani, mun. Dorohoi, com. Drăguşeni, com. Havârna, com. Hăneşti, com. Hudeşti, com. Manoleasa, com. Mihai Eminescu, com. Mihăileni, com. Mihălăşeni, com. Mileanca, com. Mitoc, com. Răchiţi, com. Roma, com. Ripiceni, oraşul Săveni, com. Stăuceni, com. Suliţa, oraşul Ştefăneşti, com. Ştiubieni, com. Ungureni, com. Unţeni, com. Vârfu Câmpului, com. Vlăsineşti, com. Vorniceni, com. Vorona. Remarcăm că valoarea istorică şi culturală a iazurilor din judeţul Botoşani nu a fot până acum semnalată şi studiată. Vechimea amenajărilor hidrotehnice, traditia utilizării acestora, influenţa lor asupra modului de viaţă al oamenilor, existenţa probabilă a unor elemente tehnice valoroase sunt numai unele dintre criteriile care pot conduce la valorificarea culturală a iazurilor din judeţ. BIBLIOGRAFIE: • HGR nr. 2151/2004 (M.Of. nr.38/12.01.2005) • HGR nr.1284/2007 (M.Of. nr.739 bis/31.10.2007) • BORONEANŢ, Vasile, ARHEOLOGIA PEŞTERILOR ŞI MINELOR DIN ROMÂNIA, Bucureşti, cIMeC, 2000. • BOTZAN, Marcu, APELE ÎN VIAŢA POPORULUI ROMÂN, Bucureşti, Editura Ceres, 1984. • CARDAS, Andrei e.a., coordonator, BOTOŞANI, MONOGRAFIE, COLECŢIA JUDEŢELE PATRIEI, Bucureşti: Editura Sport-Turism, 1980. • DRUGESCU, C., GEACU, S., PLANŞA 29, DRUMURILE DE MIGRAŢIE A PĂSĂRILOR, în Parte desenată: Academia Română , Institutul de Geografie, Ministerul Industriei şi Resurselor, C.N. Transelectrica A.2.2.a. Clasificarea geografică a peisajelor sc. 1:500.000 S.A., ROMÂNIA, MEDIUL ŞI REŢEAUA ELECTRICĂ DE TRANSPORT, ATLAS GEOGRAFIC, Bucureşti: Editura Academiei Române, 2002. A.2.2.b. Drumurile de migraţie a păsărilor sc. 1:500.000 • GIURESCU, Constantin C. sub conducerea e.a., ISTORIA ROMÂNIEI ÎN DATE, Bucureşti: Editura A.2.2.c. Arii speciale de protecţie avifaunistică şi rezervaţii naturale - cartogramă Enciclopedică Română, 1971 • POPOVA-CUCU, Ana, PEISAJELE, PLANŞA VI-6, în: Institutul de Geografie al Academiei RS România, ATLASUL RS ROMÂNIA, Bucureşti: Editura Academiei RS România, 1973 Elaboratori: UAUIM-CCPEC, Bucureşti, împreună cu, Universitatea Bucureşti – CICADIT, SC. Quattro Design s.r.l. – Bucureşti, SC. Urbatech s.r.l. – Iaşi, UAIC - Facultatea de Geografie, Iaşi, 66
  • 69.
    Actualizare Plan deAmenajarea Teritoriului Judeţean Botoşani Consiliul Judeţean Botoşani ANEXA A.2.1. ARII DE PROTECŢIE SPECIALĂ AVIFAUNISTICĂ, PARTE INTEGRANTĂ A REŢELEI ECOLOGICE EUROPENE „NATURA 2000” ROSPA 0049 – IAZURILE DE PA VALEA IBĂNESEI-BAŞEULUI-PODRIGĂI ROSPA 0058 – LACUL STÂNCA - COSTEŞTI SUPRAFAŢA TOTALĂ 2512,1 HA SUPRAFAŢA TOTALĂ 2051,7 HA Unităţile administrativ-teritoriale în care Unităţile administrativ-teritoriale în care este localizat situl Specii de Clasa de Caractersiticile sitului este localizat situl Specii de păsări protejate Clasa de habitate Caractersiticile sitului Denumirea Procentul din suprafaţa păsări protejate habitate Denumirea Procentul din de CEE terit. UATB care este de CEE suprafaţa terit. inclus în sit UATB care este 1. Com. 2% - Situl este încadrat în Câmpia Jijiei inclus în sit Conceşti - Râuri, lacuri - Cuibărit: 11 specii Superioare şi în Câmpia Başeului 1. Com. Manoleasa 3% - Mlaştini, - Pasaj: 14 specii - Situl este format din iazuri şi - Cuibărit: 5 - Râuri, lacuri - Lacul Stânca- 2. Com. 1% 2. Com. Ripiceni 22% specii - Culturi (teren Costeşti, inaugurat în turbării acumulări (suprafaţa totală 1368 Cordăreni - Culturi (teren ha): 3. Oraş Ştefăneşti 1% - Iernat: 6 specii arabil) anul 1978, este lac arabil) • Ac. Negreni-172 ha - Pasaj: 10 specii - Pădurea artificial construit cu 3. Oraş 1% - Păşuni • Ac. Mileanca-325 ha Cinghinia scop hidroenergetic Darabani - Alte terenuri • Ac. Cal Alb-118 ha (42,9ha) în colaborare cu arabile Total 625 ha Teritoriul siturilor este limitat de graniţa Situl este cel mai URSS. 4. Com. 4% • Iazul Lişmăniţa-53 ha dintre România şi Republica Moldova important cartier de Dimensiuni: nivel de Havârna iernare a păsărilor retenţie variabil, • Iazul Ibăneasa acvatice din bazinul lungime cca.70km, • Iazul Vorniceni românesc al Prutului (au suprafaţa cca. 5. Com. 4% • Iazul Prisaca 6000ha, volum la Hăneşti fost identificate 178 Total 209 ha NNR cca. 1,5 specii de păsări) • Iazul Havârna-230 ha miliarde mc. 6. Com. 3% • Iazul Tătărăşeni-122ha Hudeşti • Iazul Neculce • Iazul Borzeşti 7. Com. 2% Total 491 ha Mileanca 8. Oraş Săveni 3% - Mai există şi alte iazuri imp. care nu sunt cuprinse în situl protejat: 9. Com. 4% • Iazul Hăneşti-200ha Ştiubieni • Iazul Adăşeni 10. Com. 1% • Iazul Mihălăşeni-60ha Ungureni 11. Com. 8% Vlăsineşti 12. Com. 2% Vorniceni Elaboratori: UAUIM-CCPEC, Bucureşti, împreună cu, Universitatea Bucureşti – CICADIT, SC. Quattro Design s.r.l. – Bucureşti, SC. Urbatech s.r.l. – Iaşi, UAIC - Facultatea de Geografie, Iaşi, 67
  • 70.
    Actualizare Plan deAmenajarea Teritoriului Judeţean Botoşani Consiliul Judeţean Botoşani • populaţia totală A.3 REŢEAUA DE LOCALITĂŢI • populaţia fiecărei unităţi componente A.3.1. Elemente introductive • populaţia urbană şi rurală Analiza structurii şi distribuţiei reţelei de localităţi într-un teritoriu dat - naţional, regional, judeţean, • populaţia reşedinţelor administrative (oraşe sau municipii propriu-zise şi sate reşedinţă de zonal - reprezintă un element specific în cadrul întocmirii documentaţiilor de amenajare a teritoriului. comună) Localităţile constituie arii de concentrare a populaţiei, activităţilor umane, a infrastructurii tehnice, a Utilizând aceşti indicatori primari se pot calcula o serie de indicatori compuşi, ce exprimă caracteristici valorilor spirituale şi culturale dintr-un anumit spaţiu. Numărul, mărimea, gradul de dispersie în medii de distribuţie, structură şi configuraţie a reţelei de localităţi dintr-un anumit teritoriu. teritoriu al localităţilor sunt tot atâtea elemente ce pot oferi o anumită imagine a nivelului de dezvoltare socio-economică. Principalii indicatori compuşi utilizaţi sunt: Indicatorii utilizaţi pentru caracterizarea reţelei de localităţi sunt, de obicei, indicatori compuşi ce • de distribuţie şi densitate: folosesc indicatori primari de tipul: număr oraşe, număr sate, suprafaţă teritoriu etc. Aceşti indicatori − număr oraşe şi municipii/judeţ primari pot fi găsiţi în surse statistice, geografice şi cadastrale. Iată principalii indicatori primari: − număr comune/judeţ • număr municipii − număr sate/judeţ • număr oraşe − număr oraşe şi municipii/1000 km.p. • număr sate reşedinţă de comună − număr sate/100 km.p. • număr sate aparţinătoare comunelor − număr sate/comună • număr localităţi subordonate oraşelor şi municipiilor − număr sate/1 oraş − număr comune/1 oraş • alte tipuri de aşezări (cătune, colonii, stâne etc.) − distanţa medie între 2 oraşe (km.) • tipuri speciale de aşezări (staţiuni balneo-climatice, turistice, ştiinţifice) − distanţa medie între 2 sate (km.) Este vorba de localităţi ca entităţi fizice în teritoriu şi nu unitatea administrativ-teritorială. Se pot observa următoarele aspecte: • de mărime: a) termenii oraş, municipiu desemnează atât localităţi, cât şi unităţi administrativ-teritoriale de − mărime medie a oraşelor (număr locuitori) bază; − mărime medie a comunelor (număr locuitori) b) numărul satelor reşedinţă de comună este egal cu cel al comunelor; − mărime medie a satelor (număr locuitori) c) denumirea de staţiune reprezintă un atribut suplimentar al unui oraş, municipiu (de ex.: − categorii de mărime a oraşelor Mangalia), sat sau localitate subordonată oraşelor sau municipiilor (de ex.: Mamaia). − categorii de mărime a comunelor Din punct de vedere al unităţilor administrativ-teritoriale interesează: − categorii de mărime a satelor • număr judeţe (în cazul unui P.A.T.Z.) − număr sate fără locuitori (date recensământ) • număr oraşe şi municipii (unităţi administrativ-teritoriale de bază cu caracter urban) În ceea ce priveşte grupările categoriale se urmăresc, de regulă, intervalele: • număr comune (unităţi administrativ-teritoriale de bază cu caracter rural) a) pentru oraşe şi municipii (localităţi urbane) Alţi indicatori primari sunt: − peste 300.000 locuitori − oraşe mari − între 100.000-299.999 locuitori • suprafaţa totală a teritoriului în km.p. − între 50.000-99.999 locuitori − oraşe mijlocii • suprafaţa fiecărei unităţi componente (judeţe, municipii, oraşe, comune) în km.p. − între 20.000-49.999 locuitori • suprafaţa totală a teritoriilor urbane în km.p. − între 10.000-19.999 locuitori − oraşe mici • suprafaţa totală a teritoriilor rurale în km.p. − sub 10.000 locuitori • suprafaţa zonelor construite a fiecărei unităţi componente în ha. Elaboratori: UAUIM-CCPEC, Bucureşti, împreună cu, Universitatea Bucureşti – CICADIT, SC. Quattro Design s.r.l. – Bucureşti, SC. Urbatech s.r.l. – Iaşi, UAIC - Facultatea de Geografie, Iaşi, 68
  • 71.
    Actualizare Plan deAmenajarea Teritoriului Judeţean Botoşani Consiliul Judeţean Botoşani b) pentru comune (mediu rural) − peste 10.000 locuitori − comune foarte mari − între 5.000-9.999 locuitori − comune mari − între 3.000-4.999 locuitori − comune medii − sub 3.000 locuitori − comune mici c) pentru sate − peste 5.000 locuitori − sate mari − între 3.000-4.999 locuitori − între 2.000-2.999 locuitori − sate medii − între 1.000-1.999 locuitori − între100 - 999 locuitori − sate mici − sub 100 locuitori − cu 0 locuitori • de concentrare: − gradul de concentrare a populaţiei urbane (%) sau gradul de urbanizare; − gradul de concentrare a populaţiei în reşedinţa de judeţ (municipiu, oraş, comună); − indici de concentrare exprimaţi sub forma unor rapoarte ale unor ponderi (de ex.: gradul de urbanizare/număr oraşe din total aşezări). Disfuncţiile sistemului actual de indicatori sunt relativ reduse, dat fiind faptul că datele necesare sunt accesibile din surse statistice, atlase geografice, planuri cadastrale etc. Un aspect care trebuie semnalat este însă cel al corectitudinii şi actualităţii unor asemenea informaţii. Câteva exemple în acest sens pot fi elocvente: • suprafaţa unităţilor administrativ-teritoriale − deşi Legea nr.69/1991 a administraţiilor publice locale prevede că orice schimbare a limitelor administrativ-teritoriale trebuie confirmată de un act legislativ, în ultimii ani, prin aplicarea Legii nr.18 a Fondului funciar au avut loc numeroase schimburi de parcele de teren între unităţi administrativ-teritoriale învecinate, înregistrate la nivelul oficiilor judeţene de cadastru (O.C.O.T.A.); în acest fel, suprafeţele utilizate în cadrul planurilor de amenajare a teritoriului nu mai corespund în numeroase cazuri suprafeţelor reale ale comunelor şi oraşelor. • statutul localităţilor − statutul localităţilor este reglementat prin Legea nr.2/1968 a organizării administrativ- teritoriale şi prin completările ulterioare ce privesc înfiinţarea de noi municipii, oraşe şi comune; totuşi, statutul a numeroase aşezări, în special a celor subordonate oraşelor şi municipiilor, dar şi a unor “trupuri” din componenta satelor, nu mai corespunde situaţiei reale actuale, nefiind reglementat prin acte legislative. Aceste incompatibilităţi între informaţia scrisă şi situaţia reală viciază analizele şi evaluările întocmite. Elaboratori: UAUIM-CCPEC, Bucureşti, împreună cu, Universitatea Bucureşti – CICADIT, SC. Quattro Design s.r.l. – Bucureşti, SC. Urbatech s.r.l. – Iaşi, UAIC - Facultatea de Geografie, Iaşi, 69
  • 72.
    Actualizare Plan deAmenajarea Teritoriului Judeţean Botoşani Consiliul Judeţean Botoşani nr. A.3.2. Analize şi date statistice pop. populatie Localitati UAT totala localitati 2002 (total) orase sate 18 Buzeni 498 Tabel cuprinzând populaţia pe UAT şi localităţi la recensământul din 2002 19 Cosuleni 244 20 Draxini 1915 nr. 21 Zaicesti 641 pop. populatie Localitati 22 Blandesti 2312 Blandesti 893 3 UAT totala localitati 2002 (total) orase sate 23 Cerchejeni 927 1 Botosani 115070 Botosani 115070 1 1 0 24 Soldanesti 492 2 Dorohoi 30949 Dorohoi 29852 4 1 3 25 Braesti 2231 Braesti 1361 4 3 Dealu Mare 438 26 Poiana 508 4 Loturi Enescu 378 27 Popeni 301 5 Progresul 281 28 Valcelele 61 total municipii 146019 146019 5 2 3 29 Broscauti 3450 Broscauti 3328 2 1 Bucecea 5128 Bucecea 4313 3 1 2 30 Slobozia 122 2 Bohoghina 179 31 Calarasi 3984 Calarasi 2752 3 3 Calinesti 636 32 Libertatea 538 4 Darabani 11820 Darabani 8877 4 1 3 33 Plesani 694 5 Bajura 1874 34 Candesti 2245 Candesti 168 4 6 Esanca 361 35 Calinesti 1208 7 Lismanita 708 36 Talpa 496 8 Flamanzi 11799 Flamanzi 4586 5 1 4 37 Vitcani 373 9 Nicolae Balcescu 3995 38 Concesti 2063 Concesti 1685 2 10 Poiana 1920 39 Movileni 378 11 Chitoveni 614 40 Copalau 4166 Copalau 2771 3 12 Prisacani 684 41 Cerbu 760 13 Saveni 8145 Saveni 5968 6 1 5 42 Cotu 635 14 Petricani 689 43 Cordareni 2185 Cordareni 1579 2 15 Chiscareni 572 44 Grivita 606 16 Sat Nou 150 45 Corlateni 2591 Corlateni 787 4 17 Bodeasa 465 46 Carasa 700 18 Bozieni 301 47 Podeni 503 19 Stefanesti 5628 Stefanesti 1281 5 1 4 48 Vladeni 601 20 Badiuti 889 49 Corni 6538 Corni 4127 4 21 Bobulesti 1422 50 Balta Arsa 390 22 Stanca 928 51 Mesteacan 473 23 Stefanesti-Sat 1108 52 Sarafinesti 1548 total orase 42520 42520 23 5 18 53 Cosula 2958 Cosula 1223 4 1 Adaseni 1617 Adaseni 1173 2 54 Buda 279 2 Zoitani 444 55 Padureni 638 3 Albesti 6617 Albesti 2096 6 56 Supitca 818 4 Buimaceni 857 57 Cotusca 5357 Cotusca 1728 9 5 Costiugeni 665 58 Avram Iancu 90 6 Jijia 657 59 Cotu Miculinti 523 7 Mascateni 457 60 Crasnaleuca 732 8 Tudor Vladimirescu 1885 61 Ghireni 740 9 Avrameni 3873 Avrameni 1466 7 62 Mihail Kogalniceanu 213 10 Aurel Vlaicu 595 63 Nichiteni 664 11 Dimitrie Cantemir 174 64 Nicolae Balcescu 29 12 Ichimeni 191 65 Putureni 638 13 Panaitoaia 181 66 Cristesti 4710 Cristesti 2289 4 14 Timus 431 67 Oneaga 1677 15 Tudor Vladimirescu 835 68 Schit-Oraseni 559 16 Baluseni 5046 Baluseni 1400 6 69 Unguroaia 185 17 Balusenii noi 348 70 Cristinesti 3875 Cristinesti 1645 5 Elaboratori: UAUIM-CCPEC, Bucureşti, împreună cu, Universitatea Bucureşti – CICADIT, SC. Quattro Design s.r.l. – Bucureşti, SC. Urbatech s.r.l. – Iaşi, UAIC - Facultatea de Geografie, Iaşi, 70
  • 73.
    Actualizare Plan deAmenajarea Teritoriului Judeţean Botoşani Consiliul Judeţean Botoşani nr. nr. pop. populatie Localitati pop. populatie Localitati UAT totala localitati 2002 (total) orase sate UAT totala localitati 2002 (total) orase sate 71 Baranca 663 124 Havarna 5100 Havarna 3100 6 72 Dragalina 677 125 Balinti 452 73 Fundu Hertii 653 126 Galbeni 124 74 Poiana 237 127 Garbeni 445 75 Curtesti 4341 Curtesti 679 7 128 Niculcea 41 76 Agafton 239 129 Tataraseni 938 77 Baiceni 909 130 Hanesti 2348 Hanesti 1274 5 78 Hudum 142 131 Borolea 409 79 Manastirea Doamnei 621 132 Moara Jorii 108 80 Oraseni-deal 1020 133 Sarata-Basarab 472 81 Oraseni-Vale 731 134 Slobozia Hanesti 85 82 Dangeni 3101 Dangeni 829 4 135 Hiliseu-Horia 3714 Hiliseu-Horia 859 5 83 Hulub 643 136 Corjauti 579 84 Iacobeni 1148 137 Hiliseu-Closca 690 85 Strahotin 481 138 Hiliseu-Crisan 976 86 Dersca 3038 Dersca 3038 1 139 Iezer 610 87 Dimacheni 1561 Dimacheni 1092 3 140 Hlipiceni 3763 Hlipiceni 1860 3 88 Mateieni 323 141 Dragalina 449 89 Recia-Verbia 146 142 Victoria 1454 90 Dobarceni 2907 Dobarceni 931 6 143 Hudesti 6388 Hudesti 2471 4 91 Bivolari 202 144 Alba 1548 92 Cismanesti 468 145 Baranca 1044 93 Livada 0 146 Mlenauti 1325 94 Murguta 522 147 Ibanesti 4197 Ibanesti 2393 2 95 Brateni 784 148 Dumbravita 1804 96 Draguseni 2872 Draguseni 1680 3 149 Leorda 2745 Leorda 1546 5 97 Podriga 1013 150 Belcea 34 98 Sarata-Draguseni 179 151 Costinesti 246 99 Durnesti 4163 Durnesti 1237 6 152 Dolina 640 100 Babiceni 553 153 Mitoc 279 101 Barsanesti 212 154 Lozna 2085 Lozna 1060 2 102 Brosteni 284 155 Strateni 1025 103 Cucuteni 917 156 Lunca 4887 Lunca 1762 3 104 Guranda 960 157 Stroiesti 946 105 Frumusica 6117 Frumusica 739 6 158 Zlatunoaia 2179 106 Boscoteni 701 159 Manoleasa 3713 Manoleasa 689 10 107 Radeni 1007 160 Bold 0 108 Storesti 1133 161 Flondora 581 109 Sendreni 763 162 Iorga 109 110 Vladeni-Deal 1774 163 Liveni 834 111 George Enescu 3686 Dumeni 1909 5 164 Loturi 245 112 Arborea 593 165 Manoleasa-Prut 112 113 George Enescu 219 166 Sadoveni 533 114 Popeni 534 167 Serpenita 0 115 Stanca 431 168 Zahoreni 610 116 Gorbanesti 3598 Gorbanesti 1126 8 169 Mihai Eminescu 6493 Ipotesti 642 9 117 Batranesti 289 170 Baisa 65 118 George Cosbuc 264 171 Catamaresti 624 119 Mihai Eminescu 11 172 Catamaresti-Deal 2151 120 Siliscani 350 173 Cervicesti 873 121 Socrujeni 860 174 Cervicesti-Deal 11 122 Viforeni 28 175 Cucorani 832 123 Vanatori 670 176 Manolesti 223 Elaboratori: UAUIM-CCPEC, Bucureşti, împreună cu, Universitatea Bucureşti – CICADIT, SC. Quattro Design s.r.l. – Bucureşti, SC. Urbatech s.r.l. – Iaşi, UAIC - Facultatea de Geografie, Iaşi, 71
  • 74.
    Actualizare Plan deAmenajarea Teritoriului Judeţean Botoşani Consiliul Judeţean Botoşani nr. nr. pop. populatie Localitati pop. populatie Localitati UAT totala localitati 2002 (total) orase sate UAT totala localitati 2002 (total) orase sate 177 Stancesti 1072 230 Damideni 560 178 Mihaileni 2808 Mihaileni 1532 3 231 Romanesti Vale 0 179 Parau Negru 561 232 Sarata 94 180 Rogojesti 715 233 Santa Mare 3078 Santa Mare 1225 8 181 Mihalaseni 2452 Mihalaseni 852 7 234 Badarai 139 182 Caraiman 209 235 Berza 239 183 Nastase 224 236 Bogdanesti 456 184 Negresti 311 237 Durnesti 89 185 Paun 317 238 Iliseni 228 186 Sarata 336 239 Ranghilesti 434 187 Slobozia Siliscani 203 240 Ranghilesti-Deal 268 188 Mileanca 3007 Mileanca 1812 4 241 Stauceni 3266 Stauceni 1217 4 189 Codreni 449 242 Silistea 428 190 Scutari 331 243 Tocileni 1140 191 Selistea 415 244 Victoria 481 192 Mitoc 2033 Mitoc 1400 2 245 Suharau 5374 Suharau 2283 6 193 Horia 633 246 Izvoare 78 194 Nicseni 2876 Nicseni 1051 3 247 Lisna 961 195 Dacia 171 248 Oroftiana 1138 196 Dorobanti 1654 249 Plevna 211 197 Paltinis 3313 Paltinis 2083 4 250 Smardan 703 198 Cuzlau 183 251 Sulita 3237 Sulita 1261 3 199 Horodistea 958 252 Chelis 395 200 Slobozia 89 253 Dracsani 1581 201 Pomarla 2968 Pomarla 2379 3 254 Sendriceni 4210 Sendriceni 2347 3 202 Hulubesti 226 255 Horlaceni 672 203 Racovat 363 256 Padureni 1191 204 Prajeni 3290 Prajeni 1169 4 257 Stiubieni 2862 Stiubieni 1888 3 205 Campeni 673 258 Ibaneasa 60 206 Luparia 797 259 Negreni 914 207 Miletin 651 260 Todireni 3612 Todireni 2105 5 208 Rachiti 4350 Rachiti 1059 4 261 Cernesti 724 209 Cismea 444 262 Floresti 41 210 Costesti 1589 263 Garbesti 131 211 Rosiori 1258 264 Iuresti 611 212 Radauti-Prut 3923 Radauti-Prut 836 3 265 Trusesti 5749 Trusesti 2605 6 213 Miorcani 2014 266 Buhaceni 757 214 Rediu 1073 267 Ciritei 7 215 Rauseni 2983 Rauseni 1232 5 268 Drislea 1074 216 Doina 609 269 Ionaseni 1175 217 Pogorasti 185 270 Pasateni 131 218 Rediu 650 271 Tudora 5172 Tudora 5172 1 219 Stolnicesti 307 272 Ungureni 7058 Ungureni 2573 11 220 Ripiceni 2271 Ripiceni 2271 7 273 Borzesti 684 221 Cinghiniia 0 274 Calugareni 401 222 Lehnesti 0 275 Calugarenii Noi 451 223 Movila Rupta 0 276 Durnesti 279 224 Popoaia 0 277 Mihai Viteazu 505 225 Ripicenii Vechi 0 278 Mandresti 311 226 Rasca 0 279 Plopenii Mari 838 227 Roma 3229 Roma 2714 2 280 Plopenii Mici 529 228 Cotargaci 515 281 Tautesti 0 229 Romanesti 2200 Romanesti 1546 4 282 Vicoleni 487 Elaboratori: UAUIM-CCPEC, Bucureşti, împreună cu, Universitatea Bucureşti – CICADIT, SC. Quattro Design s.r.l. – Bucureşti, SC. Urbatech s.r.l. – Iaşi, UAIC - Facultatea de Geografie, Iaşi, 72
  • 75.
    Actualizare Plan deAmenajarea Teritoriului Judeţean Botoşani Consiliul Judeţean Botoşani nr. 9. La comuna Unteni, lipsesc satele Valea Grajdului si Vultureni in PUG, care au 0 locuitori pop. populatie Localitati UAT totala localitati 2002 (total) orase sate 10.La comuna Vorona, apare un nou sat: Vorona Chiţcovata (PUG) 283 Unteni 3024 Unteni 1223 7 284 Burla 111 285 Burlesti 673 Tabel localităţi cu mai puţin de 100 de locuitori la recensământul din 2002 286 Manastireni 849 287 Soroceni 168 comuna localitatea populatia 2002 288 Valea Grajdului 0 1 Romanesti Sarata 94 289 Vultureni 0 2 Cotusca Avram Iancu 90 290 Vaculesti 2253 Vaculesti 1207 3 3 Paltinis Slobozia 89 291 Gorovei 47 4 Santa Mare Durnesti 89 292 Saucenita 999 5 Hanesti Slobozia Hanesti 85 293 Viisoara 2293 Viisoara 1039 3 6 Suharau Izvoare 78 294 Cuza Voda 640 7 Mihai Eminescu Baisa 65 295 Viisoara Mica 614 8 Braesti Valcelele 61 296 Varfu Campului 3885 Varfu Campului 2088 3 297 Ionaseni 975 9 Stiubieni Ibaneasa 60 298 Lunca 822 10 Vaculesti Gorovei 47 299 Vladeni 4980 Vladeni 1298 5 11 Havarna Niculcea 41 300 Brehuiesti 1704 12 Todireni Floresti 41 301 Hriscani 159 13 Leorda Belcea 34 302 Hutani 569 14 Cotusca Nicolae Balcescu 29 303 Mandresti 1250 15 Gorbanesti Viforeni 28 304 Vlasinesti 3388 Vlasinesti 1772 3 16 Gorbanesti Mihai Eminescu 11 305 Miron Costin 468 306 Sarbi 1148 17 Mihai Eminescu Cervicesti-Deal 11 307 Vorniceni 4517 Vorniceni 4087 3 18 Trusesti Ciritei 7 308 Davidoaia 161 19 Dobarceni Livada 0 309 Dealu Crucii 269 20 Manoleasa Bold 0 310 Vorona 7999 Vorona 2466 6 21 Manoleasa Serpenita 0 311 Icuseni 1353 22 Ripiceni Cinghiniia 0 312 Joldesti 1289 23 Ripiceni Lehnesti 0 313 Poiana 1550 24 Ripiceni Movila Rupta 0 314 Vorona Mare 717 25 Ripiceni Popoaia 0 315 Vorona-Teodoru 624 26 Ripiceni Ripicenii Vechi 0 total comune 264295 264295 315 total judet 452834 452834 343 7 21 27 Ripiceni Rasca 0 Sursa: INS, recensământul populaţiei şi locuinţelor 2002 28 Romanesti Romanesti Vale 0 29 Ungureni Tautesti 0 30 Unteni Valea Grajdului 0 UAT-uri cu modificări pe care le-au suferit din punct de vedere al denumirii, dispariţiei, sau apariţiei de 31 Unteni Vultureni 0 noi sate, modificări constatate fie la recensăminte, fie în PUG: total populaţie 960 Sursa: INS, recensământul populaţiei şi locuinţelor 2002 1. La comuna Dobârceni, satul Padureni si-a schimbat denumirea in Brateni 2. Flamanzi cuprinde N. Balcescu. Satul Bosanceni care apartinea de N. Balcescu isi schimba denumirea in Prisacani. In recensamantul in 2002 nu mai apare satul Cordun care apartinea de Flamanzi 3. La comuna Manoleasa, lipsesc din PUG satele Bold si Serpenita, care au 0 locuitori 4. La comuna Mileanca, apare in plus satul Moiseni 5. La comuna Romanesti, lipseste satul Romanesti-vale din PUG 6. La comuna Santa Mare, lipsesc satele Badarai si Durnesti din PUG 7. La comuna Todireni, satul Garbesti isi schimba denumirea in Silistea PUG) 8. La comuna Ungureni, lipsesc satele Plopenii Mari si Tautesti in PUG Elaboratori: UAUIM-CCPEC, Bucureşti, împreună cu, Universitatea Bucureşti – CICADIT, SC. Quattro Design s.r.l. – Bucureşti, SC. Urbatech s.r.l. – Iaşi, UAIC - Facultatea de Geografie, Iaşi, 73
  • 76.
    Actualizare Plan deAmenajarea Teritoriului Judeţean Botoşani Consiliul Judeţean Botoşani Tabel localităţi cu peste 2000 de locuitori la recensământul din 2002 populatie 2002 140000 nr. Crt. UAT localitatea populatia 2002 1 Botosani Botosani 115070 120000 2 Dorohoi Dorohoi 29852 3 Darabani Darabani 8877 100000 4 Saveni Saveni 5968 5 Tudora Tudora 5172 80000 6 Flamanzi Flamanzi 4586 7 Bucecea Bucecea 4313 60000 8 Corni Corni 4127 9 Vorniceni Vorniceni 4087 40000 10 Flamanzi Nicolae Balcescu 3995 11 Broscauti Broscauti 3328 20000 12 Havarna Havarna 3100 13 Dersca Dersca 3038 14 Copalau Copalau 2771 0 Saveni Vorniceni Ungureni Sendriceni Vorona Suharau Dorohoi Darabani Bucecea Corni Calarasi Havarna Dersca Roma Pomarla Varfu Campului Nicolae Balcescu Botosani Flamanzi Broscauti Ripiceni Hudesti Ibanesti Todireni Albesti Miorcani Tudora Copalau Paltinis Catamaresti-Deal Trusesti Cristesti Zlatunoaia 15 Calarasi Calarasi 2752 16 Roma Roma 2714 17 Trusesti Trusesti 2605 18 Ungureni Ungureni 2573 19 Hudesti Hudesti 2471 Ierarhia localităţilor cu peste 2000 locuitori la recensământul populaţiei şi locuinţelor din 2002 20 Vorona Vorona 2466 21 Ibanesti Ibanesti 2393 22 Pomarla Pomarla 2379 La recensământul populaţiei şi locuinţelor din 2002, judeţul Botoşani cuprindea un număr de 343 de 23 Sendriceni Sendriceni 2347 localităţi distribuite în 72 de UAT, dintre care 2 municipii, 2 oraşe şi 68 de comune. După 2002, 24 Cristesti Cristesti 2289 următoarele UAT cu statut de comună au devenit oraşe: 25 Suharau Suharau 2283 1. Ştefăneşti în baza Legii nr. 79 din 26/03/2004 26 Ripiceni Ripiceni 2271 27 Lunca Zlatunoaia 2179 2. Flămânzi în baza Legii nr. 80 din 26/03/2004 28 Mihai Eminescu Catamaresti-Deal 2151 29 Todireni Todireni 2105 3. Bucecea în baza Legii nr. 81 din 26/03/2004 30 Albesti Albesti 2096 31 Varfu Campului Varfu Campului 2088 De asemenea următoarele comune s-au divizat determinând apariţia a 6 noi comune: 32 Paltinis Paltinis 2083 1. comuna Coşula, prin reorganizarea comunei Copălău prin Legea nr. 337 din 08/07/2003 33 Radauti-Prut Miorcani 2014 total populatie 242543 2. comuna Lozna, prin reorganizarea comunei Dersca prin Legea nr. 342 din 08/07/2003 Sursa: INS, recensământul populaţiei şi locuinţelor 2002 3. comuna Dimăcheni, prin reorganizarea comunei Corlăţeni prin Legea nr. 343 din 08/07/2003 4. comuna Cândeşti, prin reorganizarea comunei Mihăileni prin Legea nr. 344 din 08/07/2003 5. comuna Adăşeni prin reorganizarea comunei Avrămeni prin Legea nr. 402 din 27/12/2005 6. comuna Blândeşti prin reorganizarea comunei Suliţa prin Legea nr. 84 din 05/04/2004 În 2002, judeţul Botoşani număra 31 de localităţi cu mai puţin de 100 de locuitori, dintre care 13 cu 0 locuitori. În 2002, populaţia urbană reprezenta 41,64%, iar cea rurală 58,36%. Cele 2 municipii Botoşani şi Dorohoi grupau 32,25% din populaţie, iar primele 33 de localităţi, cu peste 2000 de locuitori, grupau 53,56% din populaţie. Mărimea medie a celorlalte 310 localităţi era de cca. 680 locuitori. Elaboratori: UAUIM-CCPEC, Bucureşti, împreună cu, Universitatea Bucureşti – CICADIT, SC. Quattro Design s.r.l. – Bucureşti, SC. Urbatech s.r.l. – Iaşi, UAIC - Facultatea de Geografie, Iaşi, 74
  • 77.
    Actualizare Plan deAmenajarea Teritoriului Judeţean Botoşani Consiliul Judeţean Botoşani Gradul de îndeplinire a indicatorilor cantitativi şi calitativi minimali de definire a localităţilor Număr de indicatori minimali de definire îndepliniţi de municipii şi oraşe: urbane conform Legii nr. 100 din 19/04/2007 pentru modificarea şi completarea Legii nr. 351/2001 privind aprobarea PATN - Secţiunea a IV-a - Reţeaua de localităţi 1. Botoşani – 15 Municipiu Municipiu Oraş Oraş Oraş Oraş Oraş 2. Dorohoi - 8 3. Bucecea - 2 ŞTEFĂNEŞTI FLĂMÂNZI DĂRĂBANI BOTOŞANI DOROHOI BUCECEA SĂVENI UAT 4. Dărăbani - 4 5. Flămânzi - 1 6. Săveni - 7 mun 40.000/oras 1. numar locuitori DA NU NU DA DA NU NU 7. Ştefăneşti -1 10.000 2. populatia ocupata in activitati neagricole (% mun 85%/oras DA DA NU NU NU DA NU din totalul populatiei 75% ocupate) 3. dotarea locuinţelor cu mun - 80%/oras- instalaţii de alimentare DA NU NU NU NU NU NU 70% cu apă 4. dotarea locuinţelor cu mun - 75%/oras- baie şi wc în locuinţă (% DA NU NU NU NU NU NU 55% din totalul locuinţelor) 5. dotarea locuinţelor cu instalaţie de încălzire mun - 45%/oras- DA DA DA NU NU DA NU centrală (% din totalul 35% locuinţelor) 6. numar de paturi in mun 10/oras 7 DA DA NU NU NU DA NU spitale la 1000 loc 7. număr medici la 1000 mun 2.3/oras 1.8 DA DA NU NU NU NU NU loc mun – postliceal 8. unitati de invatamant DA NU NU NU NU NU NU /oras- liceal 9. dotari culturale si DA DA NU NU NU DA NU sportive 10. locuri in hoteluri mun 100/oras 50 DA NU NU NU NU NU NU 11. % strazi modernizate mun 60%/oras NU DA DA NU NU NU NU din total 50% 12. %strazi cu retele apa mun 70%/oras DA NU NU NU NU NU NU din total 60% 13. %strazi cu retele mun 60%/oras DA NU NU NU NU NU NU canalizare din total 50% mun - cu treapta mecanicasi 14. epurarea apelor bilogica/oras- cu DA DA NU DA NU DA NU uzate treapta mecano- chimica 15. % strazi cu retele mun 70%/oras NU NU NU NU NU NU NU hidranti din total 60% 16. spatii verzi mp/loc mun 15/oras 10 DA NU NU DA NU DA DA 17. depozit controlat de DA DA NU DA NU DA NU deseuri cu acces asigurat Elaboratori: UAUIM-CCPEC, Bucureşti, împreună cu, Universitatea Bucureşti – CICADIT, SC. Quattro Design s.r.l. – Bucureşti, SC. Urbatech s.r.l. – Iaşi, UAIC - Facultatea de Geografie, Iaşi, 75
  • 78.
    Actualizare Plan deAmenajarea Teritoriului Judeţean Botoşani Consiliul Judeţean Botoşani Numărul de unităţi de învăţământ pe UAT în 2006 (publice şi private*) Nr. Unităţi administrativ Număr şcoli Număr şcoli Număr şcoli de Număr şcoli Număr licee crt. teritoriale postliceale I-VIII arte şi meserii primare 48. Mihălăşeni – – 2 – 5 Nr. Unităţi administrativ Număr şcoli Număr şcoli Număr şcoli de Număr şcoli Număr licee 49. Mileanca – – 2 1 1 crt. teritoriale postliceale I-VIII arte şi meserii primare 50. Mitoc – – 2 – – 1 2 3 4 5 6 7 51. Nicşeni – – 2 – 1 Municipii 52. Păltiniş – – 1 1 3 1. Botoşani 3* 13+1* 14 2 1+1* 53. Pomârla – 1 – – 3 2. Dorohoi – 3 8 – 3 54. Prăjeni – – 1 1 2 Oraşe 55. Rădăuţi-Prut – – 1 2 – 3. Bucecea – 1 – – 2 56. Răchiţi – – 3 – 2 4. Dărăbani – 1 5 – 2 57. Răuseni – – – 1 3 5. Flămânzi – 1 3 1 1 58. Ripiceni – – – 1 – 6. Săveni – 1 2 – 5 59. Roma – – – 1 3 7. Ştefăneşti – 1 2 – 1 60. Româneşti – – 1 – 2 Comune 61. Santa Mare – – 2 – 5 8. Albeşti – – 1 1 5 62. Suharau – – 3 2 3 9. Adăşeni – – – – – 63. Sulita – – 1 1 – 10. Avrămeni – – 4 1 4 64. Şendriceni – 1 2 – 2 11. Băluşeni – – 2 1 4 65. Stăuceni – – 2 – 2 12. Blândeşti – – 1 – 2 66. Ştiubieni – – 1 1 1 13. Brăeşti – – 1 – 3 67. Todireni – – 1 1 2 14. Broscăuţi – – 1 – – 68. Truseşti – 1 4 – – 15. Călăraşi – – 1 – 3 69. Tudora – – 1 1 1 16. Cândeşti – – 1 – 4 70. Ungureni – – 4 1 5 17. Conceşti – – 1 – 1 71. Unteni – – 2 – 4 18. Copălău – – 1 1 1 72. Văculeşti – – 2 – – 19. Cordăreni – – 1 – 1 73. Viişoara – – 2 – 1 20. Corlăţeni – – – 1 3 74. Vârfu Câmpului – – 2 1 2 21. Corni – – 1 1 3 75. Vlădeni – – 2 1 1 22. Coşula – – – 1 3 76. Vlăsineşti – – 2 – 1 23. Coţuşca – 1 4 – 4 77. Vorniceni – – 3 1 1 24. Cristeşti – – 1 1 4 78. Vorona – 1 6 – 4 25. Cristineşti – – 2 – 4 Total 3 27 151 46 173 26. Curteşti – – 4 – 2 27. Dersca – – – 1 – Sursa: ISJ Botoşani, http://www.isj.botosani.ro/nou/?action=RETEA&show_section=13 28. Dângeni – – 2 1 1 29. Dimacheni – – 1 – 1 30. Dobârceni – – 1 1 3 31. Drăguşeni – – – 1 2 32. Durneşti – – 1 1 5 33. Frumuşica – – 2 2 2 34. George Enescu – – 1 1 5 35. Gorbăneşti – – 2 1 4 36. Havârna – – 1 1 4 37. Hăneşti – – 1 1 1 38. Hilişeu-Horia – – 2 1 2 39. Hlipiceni – – 2 – 2 40. Hudeşti – – 3 1 2 41. Ibăneşti – – 2 – – 42. Leorda – – 1 – 4 43. Lozna – – 1 1 – 44. Lunca – – 2 1 2 45. Manoleasa – – 1 1 3 46. Mihai Eminescu – – 5 – 1 47. Mihăileni – – 1 1 3 Elaboratori: UAUIM-CCPEC, Bucureşti, împreună cu, Universitatea Bucureşti – CICADIT, SC. Quattro Design s.r.l. – Bucureşti, SC. Urbatech s.r.l. – Iaşi, UAIC - Facultatea de Geografie, Iaşi, 76
  • 79.
    Actualizare Plan deAmenajarea Teritoriului Judeţean Botoşani Consiliul Judeţean Botoşani Nivel de echipare cu echipamente socio-culturale la nivel de UAT în 2008 Unităţi Teatre şi Nr. Unităţi administrativ Terenuri Bănci Spitale Sanatorii medico- instituţii Muzee Tribunale Judecătorii Unităţi de cazare crt. teritoriale de sport comerciale sociale muzicale 1 2 3 4 5 6 7 8 9 10 11 1. Botoşani 6 4 5 20 7 2. Dorohoi 1 3 11 3 3. Bucecea 3 4. Dărăbani 1 3 5. Flămânzi 1 3 6. Săveni 1 1 1 1 7. Ştefăneşti 1 8. Albeşti 9. Adăşeni 10. Avrămeni 1 11. Băluşeni 3 12. Blândeşti 1 13. Brăeşti 14. Broscăuţi 1 15. Călăraşi 16. Cândeşti 1 17. Conceşti 1 18. Copălău 19. Cordăreni 1 20. Corlăţeni 1 21. Corni 2 22. Coşula 1 23. Coţuşca 1 24. Cristeşti 25. Cristineşti 26. Curteşti 1 (tabără şcolară) 27. Dersca 1 28. Dângeni 29. Dimacheni 30. Dobârceni 31. Drăguşeni 1 2 32. Durneşti 1 2 33. Frumuşica 2 34. George Enescu 1 35. Gorbăneşti 3 36. Havârna 37. Hăneşti 38. Hilişeu-Horia 39. Hlipiceni 1 40. Hudeşti 3 41. Ibăneşti 42. Leorda 43. Lozna 1 44. Lunca 45. Manoleasa Elaboratori: UAUIM-CCPEC, Bucureşti, împreună cu, Universitatea Bucureşti – CICADIT, SC. Quattro Design s.r.l. – Bucureşti, SC. Urbatech s.r.l. – Iaşi, UAIC - Facultatea de Geografie, Iaşi, 77
  • 80.
    Actualizare Plan deAmenajarea Teritoriului Judeţean Botoşani Consiliul Judeţean Botoşani Unităţi Teatre şi Nr. Unităţi administrativ Terenuri Bănci Spitale Sanatorii medico- instituţii Muzee Tribunale Judecătorii Unităţi de cazare crt. teritoriale de sport comerciale sociale muzicale 46. Mihai Eminescu 1 1 1 (cabană) 47. Mihăileni 1 48. Mihălăşeni 49. Mileanca 50. Mitoc 1 51. Nicşeni 1 52. Păltiniş 53. Pomârla 54. Prăjeni 2 55. Rădăuţi-Prut 1 56. Răchiţi 3 57. Răuseni 2 58. Ripiceni 1 59. Roma 1 60. Româneşti 61. Santa Mare 62. Suharău 1 5 63. Suliţa 1 64. Şendriceni 1 65. Stăuceni 66. Ştiubieni 67. Todireni 1 68. Truseşti 1 69. Tudora 1 70. Ungureni 2 71. Unteni 72. Văculeşti 73. Viişoara 74. Vârfu Câmpului 1 75. Vlădeni 76. Vlăsineşti 1 77. Vorniceni 2 78. Vorona 1 5 Total 10 2 6 4 12 102 12 Sursa: INS, fişa localităţii 2008 Elaboratori: UAUIM-CCPEC, Bucureşti, împreună cu, Universitatea Bucureşti – CICADIT, SC. Quattro Design s.r.l. – Bucureşti, SC. Urbatech s.r.l. – Iaşi, UAIC - Facultatea de Geografie, Iaşi, 78
  • 81.
    Actualizare Plan deAmenajarea Teritoriului Judeţean Botoşani Consiliul Judeţean Botoşani Unităţi spitaliceşti şi de asistenţă medico-socială din judeţul Botoşani Abonamente telefonice la 1000 locuitori 2005 Spitale Botoşani Spitalul de urgenta Secţii cu paturi pentru : Nr. Abonamente Mavromati interne,endocrinologie, cardiologie,ORL,boli crt. Denumire UAT /1000 locuitori de nutritie,gastroenterologie, chirurgie,boli 1. BOTOSANI 236,32 contagioase,oncologie,urologie,orto- 2. DERSCA 182,64 pedie,dermato-venerice,hematologie 3. DOROHOI 178,52 4. MIHAILENI 172,90 Spitalul de recuperare Sectie cu paturi pentru recuperare - 5. MIHAI EMINESCU 156,06 "Sf.Gheorghe" cardiovasculara- respiratorie- neurologica, 6. ADASENI 139,90 Sectie cu paturi pentru recuperare balneo- 7. SAVENI 124,45 fizioterapeutica, Compartiment geriatrie 8. ROMANESTI (date 2008) 113,75 9. RIPICENI 113,11 Spitalul de copii 10. BUCECEA 112,23 "Sf.Paraschieva" 11. RACHITI 105,68 Spitalul de obstetrica- 12. SULITA 103,25 ginecologie 13. BRAESTI 100,18 14. TRUSESTI 94,54 Spitalul de 15. NICSENI 90,46 pneumoftiziologie 16. VARFU CAMPULUI 88,32 17. CORDARENI 82,86 Spitalul de psihiatrie 18. MITOC 75,99 Dorohoi Spitalul Municipal 19. GEORGE ENESCU 73,93 20. MANOLEASA 73,51 Dărăbani Spitalul orasenesc 21. HILISEU-HORIA 72,86 Saveni Spitalul orasenesc 22. TUDORA 71,28 23. ROMA 67,93 Truşeşti Spitalul orasenesc 24. STEFANESTI 65,54 25. COTUSCA 64,45 26. CORNI 63,52 Sanatorii Durneşti Sanatoriul TBC Guranda 27. PALTINIS 63,01 28. BROSCAUTI 62,75 Sanatoriul de 29. HLIPICENI 59,17 Drăguşeni neuropsihiatrie Podriga 30. LEORDA 58,76 31. VORNICENI 58,70 Unităţi de Nicolae 32. VLASINESTI 58,56 asistenţă Balcescu 33. VACULESTI 58,28 medico-socială 34. HANESTI 57,69 Mihaileni 35. VLADENI 57,38 36. POMARLA 56,47 Saveni 37. HAVARNA 55,96 Suharau 38. VIISOARA 55,84 39. VORONA 55,47 Sulita 40. UNGURENI 55,07 41. RADAUTI-PRUT 54,69 Stefanesti 42. DOBARCENI 53,97 Sursa: http://www.dspbotosani.go.ro/directia.html 43. STIUBIENI 53,89 44. ALBESTI 52,85 45. DURNESTI 51,45 46. DARABANI 50,22 47. GORBANESTI 48,70 48. UNTENI 46,15 49. TODIRENI 45,91 50. AVRAMENI 45,62 51. CORLATENI 45,29 52. DANGENI 43,95 Elaboratori: UAUIM-CCPEC, Bucureşti, împreună cu, Universitatea Bucureşti – CICADIT, SC. Quattro Design s.r.l. – Bucureşti, SC. Urbatech s.r.l. – Iaşi, UAIC - Facultatea de Geografie, Iaşi, 79
  • 82.
    Actualizare Plan deAmenajarea Teritoriului Judeţean Botoşani Consiliul Judeţean Botoşani Nr. Abonamente Indicatori privind calitate locuirii în judeţul Botoşani crt. Denumire UAT /1000 locuitori 53. FLAMANZI 43,27 Suprafaţa Suprafaţa Nr. 54. DRAGUSENI 43,17 Denumire UAT locuibilă Denumire UAT locuibilă crt. 55. PRAJENI 41,35 /locuinţă 2008 /persoană - 2008 56. FRUMUSICA 39,85 1. DERSCA 49,01 DERSCA 18,55 57. SENDRICENI 35,49 2. CANDESTI 39,33 RADAUTI-PRUT 17,55 58. RAUSENI 34,65 3. IBANESTI 39,09 CANDESTI 16,99 59. CALARASI 32,86 4. MIHAI EMINESCU 38,91 MIHAILENI 16,92 60. IBANESTI 32,37 5. MIHAILENI 38,75 PALTINIS 16,59 61. CURTESTI 30,95 6. CORNI 37,74 IBANESTI 15,44 62. MILEANCA 30,68 7. ROMANESTI 37,51 ROMANESTI 15,27 63. LUNCA 30,45 8. POMARLA 36,89 CORDARENI 15,24 64. MIHALASENI 26,22 9. VLADENI 36,80 POMARLA 15,17 65. HUDESTI 23,46 10. MUNICIPIUL DOROHOI 36,47 VIISOARA 15,16 66. CRISTINESTI 20,39 11. ORAS BUCECEA 36,36 HLIPICENI 15,03 67. COPALAU 20,38 12. VORONA 36,32 SUHARAU 14,89 68. SANTA MARE 18,85 13. HLIPICENI 36,17 DIMACHENI 14,89 69. SUHARAU 12,55 14. BROSCAUTI 36,04 HAVARNA 14,56 70. STAUCENI 11,97 15. ORAS DARABANI 35,44 MITOC 14,55 71. BLANDESTI 11,72 16. RIPICENI 35,31 BROSCAUTI 14,52 72. CRISTESTI 11,05 17. RADAUTI-PRUT 35,22 BRAESTI 14,29 73. COSULA 9,85 18. VLASINESTI 35,22 MILEANCA 14,28 74. LOZNA 7,19 19. MITOC 35,20 VACULESTI 14,27 75. BALUSENI 6,86 20. PRAJENI 35,08 CRISTINESTI 14,19 76. DIMACHENI 5,35 21. MUNICIPIUL BOTOSANI 35,03 GEORGE ENESCU 14,14 77. CANDESTI 5,31 22. ROMA 34,79 VARFU CAMPULUI 14,09 78. CONCESTI 4,92 23. STIUBIENI 34,72 CORLATENI 14,02 Urban 189,69 24. ORAS SAVENI 34,51 MIHAI EMINESCU 13,85 Rural 56,36 25. MANOLEASA 34,18 STIUBIENI 13,83 Total 112,13 26. VARFU CAMPULUI 34,05 VLASINESTI 13,76 27. CURTESTI 33,93 ORAS BUCECEA 13,72 Sursa: INS, fişa localităţii 2008 28. VORNICENI 33,73 CONCESTI 13,56 29. DRAGUSENI 33,68 VLADENI 13,55 30. SENDRICENI 33,64 COTUSCA 13,54 31. CRISTINESTI 33,57 UNTENI 13,45 32. HAVARNA 33,51 DOBARCENI 13,23 33. DIMACHENI 33,35 HUDESTI 13,14 34. ORAS FLAMANZI 33,32 NICSENI 13,09 35. BRAESTI 33,25 RIPICENI 13,07 36. MILEANCA 32,94 ORAS DARABANI 12,96 37. LEORDA 32,90 VORONA 12,90 38. STAUCENI 32,59 LUNCA 12,84 39. TODIRENI 32,58 SULITA 12,83 40. NICSENI 32,56 CURTESTI 12,79 41. DANGENI 32,56 MANOLEASA 12,79 42. ORAS STEFANESTI 32,55 MUNICIPIUL DOROHOI 12,79 43. UNGURENI 32,41 HILISEU-HORIA 12,68 44. SULITA 32,27 ORAS STEFANESTI 12,67 45. DOBARCENI 32,20 TRUSESTI 12,61 46. TRUSESTI 32,14 AVRAMENI 12,57 47. AVRAMENI 32,13 ROMA 12,47 48. TUDORA 32,09 VORNICENI 12,45 49. PALTINIS 32,01 TODIRENI 12,42 50. LOZNA 31,89 CALARASI 12,33 51. RAUSENI 31,84 MIHALASENI 12,30 Elaboratori: UAUIM-CCPEC, Bucureşti, împreună cu, Universitatea Bucureşti – CICADIT, SC. Quattro Design s.r.l. – Bucureşti, SC. Urbatech s.r.l. – Iaşi, UAIC - Facultatea de Geografie, Iaşi, 80
  • 83.
    Actualizare Plan deAmenajarea Teritoriului Judeţean Botoşani Consiliul Judeţean Botoşani Nr. Suprafaţa Suprafaţa Nivel echipare locuinţe cu utilităţi la recensământul din 2002 Denumire UAT locuibilă Denumire UAT locuibilă crt. % locuinţe % locuinţe /locuinţă 2008 /persoană - 2008 % locuinte 52. SUHARAU 31,83 ORAS SAVENI 12,20 racordate la racordate la % locuinţe Denumire UAT-uri Denumire UAT-uri cu reţeaua de reţeaua de cu baie 53. ADASENI 31,73 SANTA MARE 12,19 bucatarie alimentare cu apă canalizare 54. UNTENI 31,53 DANGENI 12,18 55. SANTA MARE 31,51 HANESTI 12,17 Botoşani 91,7 90,6 88,8 Dorohoi 96,1 56. RACHITI 31,50 MUNICIPIUL BOTOSANI 12,13 Dorohoi 72,5 69,7 69,6 Botoşani 95,4 57. CONCESTI 31,46 GORBANESTI 12,02 Bucecea 45,4 45,3 44,0 Călăraşi 92,9 58. VIISOARA 31,30 CORNI 11,88 Săveni 40,8 40,4 40,2 Săveni 91,2 59. CORLATENI 31,25 BALUSENI 11,87 Truseşti 18,2 16,3 16,3 Bucecea 89,7 60. COTUSCA 30,92 RAUSENI 11,85 Dărăbani 17,4 15,7 15,2 Tudora 87,3 61. ALBESTI 30,80 DRAGUSENI 11,76 Mihai Eminescu 14,3 12,9 12,1 Copălău 86,7 62. HUDESTI 30,76 LEORDA 11,74 Ştefăneşti 14,3 11,6 11,2 Flămânzi 86,1 63. HILISEU-HORIA 30,64 UNGURENI 11,73 Flămânzi 9,0 8,8 8,7 Româneşti 85,8 64. LUNCA 30,40 SENDRICENI 11,66 Ripiceni 7,8 7,8 6,6 Hlipiceni 84,6 65. CORDARENI 30,34 PRAJENI 11,57 Leorda 7,6 6,2 5,6 Leorda 84,2 66. VACULESTI 30,05 ADASENI 11,30 Răchiţi 7,5 6,7 6,6 Cristeşti 83,7 67. GEORGE ENESCU 29,91 LOZNA 11,17 Frumuşica 4,1 3,9 3,1 Stăuceni 83,4 68. MIHALASENI 29,63 RACHITI 11,13 Mitoc 3,5 2,8 2,5 Truseşti 83,3 69. BALUSENI 29,61 CRISTESTI 10,89 Pomârla 3,4 3,0 0,4 Unteni 82,9 70. GORBANESTI 29,60 STAUCENI 10,82 Stăuceni 3,0 2,4 2,2 Curteşti 82,7 71. HANESTI 29,16 DURNESTI 10,82 Cristineşti 2,9 0,6 0,5 Albeşti 82,6 72. CRISTESTI 29,08 ORAS FLAMANZI 10,76 Vârfu Câmpului 2,8 2,8 2,5 Ştefăneşti 82,2 73. CALARASI 28,84 TUDORA 10,66 Văculeşti 2,8 1,2 0,5 Mihai Eminescu 82,2 74. DURNESTI 28,62 FRUMUSICA 10,17 Şendriceni 2,6 2,5 2,4 Răuseni 81,9 75. FRUMUSICA 28,46 COPALAU 9,83 Mihăileni 2,6 2,6 2,6 Brăeşti 81,9 76. COSULA 27,48 BLANDESTI 9,40 Avrămeni 2,5 1,0 1,0 Ştiubieni 81,6 77. COPALAU 27,43 COSULA 9,32 Brăeşti 2,4 2,4 2,0 Suliţa 81,6 78. BLANDESTI 24,08 ALBESTI 9,26 Dângeni 2,3 2,3 2,3 Vârfu Câmpului 80,9 Urban 35,12 Urban 12,27 Prăjeni 2,3 2,3 2,3 Ripiceni 80,9 Rural 32,94 Rural 12,90 Vorona 2,2 2,1 1,5 Mileanca 79,8 Total 33,79 Total 12,64 Conceşti 2,1 2,0 1,9 Pomârla 79,6 Dersca 2,1 1,7 1,7 Răchiţi 79,3 Roma 2,1 2,0 1,9 Dângeni 78,8 Sursa: INS, fişa localităţii 2008 Corlăţeni 2,0 1,8 1,7 Vorona 78,5 Tudora 1,9 1,9 1,9 George Enescu 78,4 Copălău 1,9 1,8 1,3 Rădăuţi-Prut 78,0 Coţuşca 1,9 1,8 1,8 Avrămeni 78,0 Româneşti 1,8 1,7 1,6 Mihălăşeni 78,0 Albeşti 1,8 1,7 1,7 Dobârceni 78,0 Drăguşeni 1,7 1,7 1,7 Vlăsineşti 77,6 Hăneşti 1,5 1,4 1,4 Mitoc 77,2 Vlădeni 1,5 1,4 1,1 Corni 76,9 Lunca 1,4 0,5 0,5 Nicşeni 76,9 Ibăneşti 1,3 1,2 1,1 Manoleasa 76,6 Păltiniş 1,3 1,3 1,3 Coţuşca 76,3 Curteşti 1,3 1,2 1,2 Roma 76,2 Hudeşti 1,3 0,9 0,6 Şendriceni 76,1 Broscăuţi 1,1 0,9 0,8 Hilişeu-Horia 75,3 Corni 1,0 0,9 0,9 Todireni 75,3 Nicşeni 1,0 1,0 0,6 Santa Mare 74,9 Răuseni 1,0 1,0 0,9 Hăneşti 74,3 Rădăuţi-Prut 0,9 0,8 0,8 Gorbăneşti 73,7 Durneşti 0,9 0,5 0,5 Dărăbani 73,4 Suliţa 0,9 0,7 0,6 Văculeşti 73,2 Elaboratori: UAUIM-CCPEC, Bucureşti, împreună cu, Universitatea Bucureşti – CICADIT, SC. Quattro Design s.r.l. – Bucureşti, SC. Urbatech s.r.l. – Iaşi, UAIC - Facultatea de Geografie, Iaşi, 81
  • 84.
    Actualizare Plan deAmenajarea Teritoriului Judeţean Botoşani Consiliul Judeţean Botoşani % locuinţe % locuinţe % locuinte Număr locuinţe la 1000 locuitori în 2008 racordate la racordate la % locuinţe Denumire UAT-uri Denumire UAT-uri cu locuinţe /1000loc Populaţie reţeaua de reţeaua de cu baie bucatarie 1. MIHAILENI 784,83 2756,00 alimentare cu apă canalizare Ştiubieni 0,8 0,8 0,3 Băluşeni 71,8 2. CORLATENI 706,71 2489,00 Cordăreni 0,8 0,8 0,7 Ibăneşti 71,4 3. SULITA 685,14 3157,00 Todireni 0,7 0,7 0,7 Ungureni 71,3 4. DERSCA 618,81 3190,00 Hlipiceni 0,7 0,5 0,3 Corlăţeni 71,2 5. COPALAU 601,19 4190,00 Hilişeu-Horia 0,7 0,7 0,5 Havârna 70,4 6. AVRAMENI 534,39 3838,00 Băluşeni 0,5 0,5 0,5 Broscăuţi 69,8 7. PALTINIS 518,25 3232,00 Suharau 0,5 0,3 0,2 Frumuşica 69,8 8. CORDARENI 502,20 2047,00 Mihălăşeni 0,4 0,4 0,3 Lunca 69,2 9. RADAUTI-PRUT 498,13 3746,00 Dobârceni 0,3 0,3 0,3 Păltiniş 69,1 10. VIISOARA 484,23 2156,00 Santa Mare 0,3 0,3 0,3 Vorniceni 68,6 11. VACULESTI 475,07 2246,00 Mileanca 0,3 0,3 0,3 Drăguşeni 67,8 12. GEORGE ENESCU 472,97 3588,00 Vlăsineşti 0,3 0,2 0,2 Vlădeni 67,4 13. SUHARAU 467,85 5164,00 George Enescu 0,3 0,2 0,1 Durneşti 66,0 14. DIMACHENI 446,45 1438,00 Vorniceni 0,2 0,1 0,1 Prăjeni 61,6 15. COTUSCA 437,97 5062,00 Ungureni 0,2 0,1 0,1 Cordăreni 61,0 16. HAVARNA 434,36 4890,00 Gorbăneşti 0,1 0,1 0,1 Hudeşti 59,4 17. MILEANCA 433,36 2836,00 Călăraşi 0,1 0,1 0,1 Suharau 59,0 18. CANDESTI 432,04 2222,00 Havârna 0,1 0,1 0,0 Viişoara 58,9 19. CONCESTI 431,02 1986,00 Unteni 0,1 0,1 0,1 Mihăileni 58,3 20. BRAESTI 429,91 2140,00 Manoleasa 0,1 0,1 0,1 Dersca 57,1 21. CALARASI 427,61 3709,00 Cristeşti 0,1 0,1 0,0 Conceşti 55,7 22. HUDESTI 427,12 6305,00 Viişoara 0,0 0,0 0,0 Cristineşti 50,5 23. UNTENI 426,78 2950,00 Adăşeni Adăşeni 24. CRISTINESTI 422,80 3834,00 Blândeşti Blândeşti 25. LUNCA 422,37 4657,00 Cândeşti Cândeşti 26. HANESTI 417,31 2219,00 Coşula Coşula 27. HLIPICENI 415,49 3810,00 Dimacheni Dimacheni 28. MIHALASENI 415,19 2370,00 Lozna Lozna 29. HILISEU-HORIA 413,77 3659,00 Judeţul Botoşani 29,6 29,0 28,4 Judeţul Botoşani 81,6 30. VARFU CAMPULUI 413,73 3889,00 Total municipii şi 31. MITOC 413,43 1981,00 oraşe 72,7 71,4 70,2 Total municipii şi oraşe 92,8 32. POMARLA 411,28 2784,00 Total comune 2,2 1,9 1,8 Total comune 74,6 33. DOBARCENI 410,94 2852,00 Sursa: INS, recensământul populaţiei şi locuinţelor 2002 34. ROMANESTI 407,06 2125,00 35. GORBANESTI 405,88 3506,00 36. BROSCAUTI 402,91 3435,00 37. NICSENI 401,98 2826,00 38. BALUSENI 400,84 5027,00 39. STIUBIENI 398,46 2866,00 40. IBANESTI 395,04 4154,00 41. TRUSESTI 392,46 5733,00 42. VLASINESTI 390,79 3324,00 43. BLANDESTI 390,20 2327,00 44. ORAS STEFANESTI 389,42 5688,00 45. SANTA MARE 386,94 3109,00 46. TODIRENI 381,28 3622,00 47. DURNESTI 378,12 4086,00 48. ORAS BUCECEA 377,27 5182,00 49. CURTESTI 377,08 4686,00 50. CRISTESTI 374,62 4885,00 51. MANOLEASA 374,27 3599,00 52. DANGENI 374,07 3101,00 53. RAUSENI 372,30 3105,00 Elaboratori: UAUIM-CCPEC, Bucureşti, împreună cu, Universitatea Bucureşti – CICADIT, SC. Quattro Design s.r.l. – Bucureşti, SC. Urbatech s.r.l. – Iaşi, UAIC - Facultatea de Geografie, Iaşi, 82
  • 85.
    Actualizare Plan deAmenajarea Teritoriului Judeţean Botoşani Consiliul Judeţean Botoşani locuinţe /1000loc Populaţie Dinamica locuirii: creşterea fondului de locuinţe în intervalul 1991 /2008 şi respectiv 2002 /2008 54. RIPICENI 370,16 2272,00 creştere 2008/2002 55. VORNICENI 369,23 4439,00 Nr. creştere Denumire UAT Denumire UAT (nr. locuinţe noi 56. VLADENI 368,14 5028,00 crt. 2008/1991 (%) /1000 locuitori 57. ORAS DARABANI 365,62 11750,00 1. MIHAI EMINESCU 27,35 CURTESTI 29,24 58. UNGURENI 361,96 7067,00 2. CURTESTI 24,35 RACHITI 28,86 59. ROMA 358,57 3408,00 3. STAUCENI 21,75 MIHAI EMINESCU 26,00 60. FRUMUSICA 357,37 6156,00 4. PRAJENI 20,86 SULITA 22,17 61. LEORDA 356,80 2685,00 5. RACHITI 19,35 BROSCAUTI 21,54 62. ADASENI 356,22 1544,00 6. ORAS DARABANI 18,74 ORAS DARABANI 21,02 63. MIHAI EMINESCU 355,82 6922,00 7. VORONA 16,68 MIHAILENI 18,14 64. VORONA 355,25 8093,00 65. ORAS SAVENI 353,59 8114,00 8. SENDRICENI 15,86 HLIPICENI 17,32 66. RACHITI 353,41 4782,00 9. ALBESTI 15,17 STAUCENI 17,28 67. MUNICIPIUL DOROHOI 350,63 30186,00 10. HLIPICENI 14,71 DERSCA 16,61 68. LOZNA 350,39 2189,00 11. DURNESTI 13,27 VORONA 16,43 69. DRAGUSENI 349,34 2748,00 12. UNTENI 12,41 COPALAU 15,75 70. SENDRICENI 346,60 4446,00 13. CORNI 12,25 ROMA 15,55 71. MUNICIPIUL BOTOSANI 346,34 114885,00 14. BROSCAUTI 12,25 VLADENI 15,31 72. COSULA 339,11 3002,00 15. DOBARCENI 12,05 ROMANESTI 15,06 73. TUDORA 332,13 5248,00 16. TRUSESTI 11,88 CORNI 12,19 74. STAUCENI 332,09 3472,00 17. TUDORA 11,87 SENDRICENI 12,15 75. PRAJENI 329,99 3388,00 18. ROMA 11,39 MITOC 12,12 76. ORAS FLAMANZI 323,05 12029,00 19. TODIRENI 10,92 ORAS BUCECEA 11,77 77. CORNI 314,65 6725,00 20. LEORDA 10,62 IBANESTI 11,56 78. ALBESTI 300,75 6843,00 21. DERSCA 10,40 CRISTESTI 11,46 22. ROMANESTI 10,19 VACULESTI 11,13 Urban 349,21 187834,00 23. HANESTI 9,85 LEORDA 10,80 Rural 410,16 263365,00 24. ORAS STEFANESTI 9,82 TODIRENI 10,77 Total 384,79 451199,00 25. ORAS BUCECEA 9,71 HUDESTI 10,31 Sursa: INS, fişa localităţii 2008 26. MITOC 9,64 TRUSESTI 10,12 27. SANTA MARE 9,56 BALUSENI 9,95 28. HUDESTI 9,38 DURNESTI 9,54 29. FRUMUSICA 9,18 UNTENI 9,49 30. CALARASI 9,15 VIISOARA 8,81 31. DRAGUSENI 8,84 ALBESTI 8,18 32. CRISTESTI 8,80 CORLATENI 8,04 33. RAUSENI 8,65 AVRAMENI 7,56 34. SULITA 8,37 MUNICIPIUL DOROHOI 7,52 35. NICSENI 8,09 TUDORA 7,43 36. VLADENI 7,99 PRAJENI 7,38 37. RIPICENI 7,68 ORAS STEFANESTI 7,21 38. VORNICENI 7,55 MIHALASENI 7,17 39. UNGURENI 7,52 CONCESTI 7,05 40. GEORGE ENESCU 7,34 MUNICIPIUL BOTOSANI 7,02 41. ORAS FLAMANZI 7,26 GEORGE ENESCU 6,97 42. VACULESTI 7,24 POMARLA 6,82 43. DANGENI 7,21 RAUSENI 6,76 44. MUNICIPIUL BOTOSANI 6,86 MILEANCA 6,70 45. BALUSENI 6,84 ORAS FLAMANZI 6,65 46. COPALAU 6,56 LUNCA 6,44 47. MUNICIPIUL DOROHOI 6,46 CORDARENI 6,35 48. POMARLA 6,22 SUHARAU 6,20 49. AVRAMENI 6,16 NICSENI 5,66 50. CORLATENI 5,90 COTUSCA 5,53 51. IBANESTI 5,67 HANESTI 5,41 Elaboratori: UAUIM-CCPEC, Bucureşti, împreună cu, Universitatea Bucureşti – CICADIT, SC. Quattro Design s.r.l. – Bucureşti, SC. Urbatech s.r.l. – Iaşi, UAIC - Facultatea de Geografie, Iaşi, 83
  • 86.
    Actualizare Plan deAmenajarea Teritoriului Judeţean Botoşani Consiliul Judeţean Botoşani Nr. creştere creştere 2008/2002 Indicele de motorizare la nivel de UAT, în judeţul Botoşani, în 2007 Denumire UAT Denumire UAT (nr. locuinţe noi crt. 2008/1991 (%) Nr. /1000 locuitori UAT număr autoturisme 2007 populaţia 2007 indice de motorizare 52. CORDARENI 5,65 MANOLEASA 5,28 crt. 53. MIHAILENI 5,46 DOBARCENI 5,26 1 2 3 54. ORAS SAVENI 5,44 VARFU CAMPULUI 5,14 1. Botoşani 16409 115739 141,78 55. CONCESTI 5,03 FRUMUSICA 4,87 2. Dorohoi 3572 30661 116,50 56. VARFU CAMPULUI 5,03 DRAGUSENI 4,73 3. Brăeşti 157 2144 73,23 57. LUNCA 4,02 CALARASI 4,58 4. Bucecea 363 5224 69,49 58. GORBANESTI 3,87 UNGURENI 4,39 5. Corlăţeni 162 2443 66,31 59. MIHALASENI 3,69 CRISTINESTI 4,17 6. Săveni 540 8156 66,21 60. MANOLEASA 3,62 HAVARNA 4,09 7. Dărăbani 752 11859 63,41 61. HILISEU-HORIA 3,20 VORNICENI 3,83 8. Truseşti 353 5810 60,76 62. COTUSCA 3,16 DANGENI 3,55 9 Mihai Eminescu 400 6807 58,76 63. BRAESTI 3,14 RIPICENI 3,52 10. Suliţa 164 3183 51,52 64. MILEANCA 2,93 STIUBIENI 3,49 11. Mihăileni 140 2752 50,87 65. STIUBIENI 2,79 ORAS SAVENI 3,45 12. Coţuşca 255 5127 49,74 66. CRISTINESTI 2,47 VLASINESTI 2,11 13. Curteşti 214 4613 46,39 67. VLASINESTI 1,72 BRAESTI 1,87 14. Dersca 145 3216 45,09 68. PALTINIS 1,70 SANTA MARE 1,29 15. Leorda 114 2736 41,67 69. HAVARNA 1,38 HILISEU-HORIA 0,27 16. Răchiţi 195 4740 41,14 70. VIISOARA 1,26 PALTINIS -0,93 17. Ibăneşti 163 4150 39,28 71. RADAUTI-PRUT -1,63 GORBANESTI -2,28 18. Cândeşti 84 2223 37,79 72. SUHARAU -1,75 RADAUTI-PRUT -9,61 19. Ştefăneşti 208 5746 36,20 73. ADASENI ADASENI 20. Conceşti 72 2013 35,77 74. BLANDESTI BLANDESTI 21. Broscăuţi 124 3476 35,67 75. CANDESTI CANDESTI 22. Gorbăneşti 125 3551 35,20 76. COSULA COSULA 23 Coşula 104 3009 34,56 77. DIMACHENI DIMACHENI 24. Viişoara 76 2222 34,20 78. LOZNA LOZNA 25. Cristineşti 128 3796 33,72 Urban 7,64 Urban 7,93 26. Lunca 159 4773 33,31 Rural 13,58 Rural 27,57 27. Corni 223 6695 33,31 Total 11,26 Total 19,39 28. Hilişeu-Horia 117 3659 31,98 29. Santa Mare 99 3104 31,89 Sursa: INS, fişa localităţii 2008 şi recensământul populaţiei şi locuinţelor 2002 30 Nicşeni 90 2860 31,47 31. Vorona 254 8097 31,37 32. Stăuceni 107 3431 31,19 33. Lozna 69 2220 31,08 34. Păltiniş 100 3240 30,86 35. Pomârla 88 2860 30,77 36. Blândeşti 74 2412 30,68 37. Havârna 151 4943 30,55 38. Frumuşica 187 6170 30,31 39. Copălău 126 4253 29,63 40. Cristeşti 142 4843 29,32 41. Hăneşti 65 2255 28,82 42. Ripiceni 66 2301 28,68 43. Suharau 146 5239 27,87 44. Vârfu Câmpului 108 3926 27,51 45. George Enescu 99 3605 27,46 46. Rădăuţi-Prut 104 3801 27,36 47. Vlăsineşti 91 3353 27,14 48. Hudeşti 171 6384 26,79 49. Drăguşeni 73 2769 26,36 50. Adăşeni 41 1556 26,35 51. Ungureni 187 7123 26,25 Elaboratori: UAUIM-CCPEC, Bucureşti, împreună cu, Universitatea Bucureşti – CICADIT, SC. Quattro Design s.r.l. – Bucureşti, SC. Urbatech s.r.l. – Iaşi, UAIC - Facultatea de Geografie, Iaşi, 84
  • 87.
    Actualizare Plan deAmenajarea Teritoriului Judeţean Botoşani Consiliul Judeţean Botoşani Nr. UAT număr autoturisme 2007 populaţia 2007 indice de motorizare Indicele de motorizare pe UAT în judeţul Botoşani, 2007 crt. 52. Cordăreni 54 2062 26,19 Mitoc Călăraşi 53. Văculeşti 58 2222 26,10 Hlipiceni Vorniceni 54. Dângeni 81 3115 26,00 Flămânzi 55. Roma 87 3355 25,93 Dimacheni Răuseni 56. Tudora 134 5292 25,32 Mileanca 57. Unteni 74 2936 25,20 Durneşti Mihălăşeni 58. Manoleasa 92 3669 25,07 Avrămeni 59. Şendriceni 110 4423 24,87 Dobârceni Vlădeni 60 Albeşti 164 6871 23,87 Prăjeni 61. Româneşti 51 2138 23,85 T odireni Ştiubieni 62. Băluşeni 117 5055 23,15 Băluşeni 63 Ştiubieni 66 2906 22,71 Româneşti Albeşti 64. Todireni 82 3655 22,44 Şendriceni Manoleasa 65. Prăjeni 74 3393 21,81 Unteni 66. Vlădeni 104 5018 20,73 T udora Roma 67. Dobârceni 58 2867 20,23 Dângeni 68. Avrămeni 77 3841 20,05 Văculeşti Cordăreni 69. Mihălăşeni 47 2394 19,63 Ungureni 70. Durneşti 76 4158 18,28 Adăşeni Drăguşeni 71. Mileanca 48 2900 16,55 Hudeşti 72. Răuseni 51 3091 16,50 Vlăsineşti Rădăuţi-Prut 73. Dimacheni 23 1452 15,84 George Enescu 74. Flămânzi 186 12004 15,49 Vârfu Câmpului Suharau 75. Vorniceni 69 4500 15,33 Ripiceni Hăneşti 76. Hlipiceni 54 3828 14,11 Cristeşti 77. Călăraşi 42 3757 11,18 Copălău Frumuşica 78. Mitoc 3 1997 1,50 Havârna Blândeşti Pomârla Păltiniş 79 Judeţul Botoşani 30238 454167 66,58 Lozna Stăuceni Total municipii şi Vorona 80 22030 189389 116,32 oraşe Nicşeni Santa Mare 81 Total comune 8208 264778 31,00 Hilişeu-Horia Corni Sursa: INS, fişa localităţii 2007 Lunca Cristineşti Viişoara Coşula Gorbăneşti Broscăuţi Conceşti Ştefăneşti Cândeşti Ibăneşti Răchiţi Leorda Dersca Curteşti Coţuşca Mihăileni Suliţa Mihai Eminescu T ruseşti Dărăbani Săveni Corlăţeni Bucecea Brăeşti Dorohoi Botoşani 0 10 20 30 40 50 60 70 80 90 100 110 120 130 140 150 Elaboratori: UAUIM-CCPEC, Bucureşti, împreună cu, Universitatea Bucureşti – CICADIT, SC. Quattro Design s.r.l. – Bucureşti, SC. Urbatech s.r.l. – Iaşi, UAIC - Facultatea de Geografie, Iaşi, 85
  • 88.
    Actualizare Plan deAmenajarea Teritoriului Judeţean Botoşani Consiliul Judeţean Botoşani SERVICII BANCARE LOCALITATE BOTOSANI DOROHOI DARABANI FLAMANZI SAVENI TRUSESTI CALARASI CEC 1 1 1 1 1 BCR 1 1 1 1 BRD 1 1 1 BANC POST 1 1 CARPATICA 1 1 ALPHA BANK 1 GARANTI 1 BANK UNICREDIT 1 TIRIAC PIRAEUS 1 ROM 1 EXTERA OTP 1 BANK TRANSILVANIA 1 1 VOLKSBANK 1 1 CENTRE COMERCIALE - SUPERMARKET LOCALITATE METRO CARREFOUR PLUS DEDEMAN BOTOSANI 1 1 DOROHOI 1 SUCEAVA 1 1 IASI 1 Elaboratori: UAUIM-CCPEC, Bucureşti, împreună cu, Universitatea Bucureşti – CICADIT, SC. Quattro Design s.r.l. – Bucureşti, SC. Urbatech s.r.l. – Iaşi, UAIC - Facultatea de Geografie, Iaşi, 86
  • 89.
    Actualizare Plan deAmenajarea Teritoriului Judeţean Botoşani Consiliul Judeţean Botoşani Situaţia la nivel de UAT a intravilanului pe baza PUG aprobate sau în curs de aprobare (situaţie în curs de actualizare) Sat 1 Sat 2 Sat 3 Sat 4 Sat 5 Sat 6 Sat 7 Sat 8 Sat 9 Suprafata Ha Suprafata Ha Suprafata Ha Suprafata Ha Suprafata Ha Suprafata Ha Suprafata Ha Suprafata Ha Suprafata Ha Intravilan Propus BOTOSANI Curtesti Rachiti Stauceni DOROHOI Dorohoi Dealu Mare Loturi Enescu Progresul 1146,6 BUCECEA Bucecea Bohoghina Calinesti 510,3 37,1 135,1 682,5 DARABANI Bajura Esanca Lismanita FLAMANZI Flamanzi Cordun Poiana 1849,95 SAVENI Saveni Petricani Chiscareni Sat Nou Bodeasa Bozieni 288 78,34 60,67 44,09 65,26 38,71 575,07 STEFANESTI Stefanesti Badiuti Bobulesti Stanca Stefanesti-Sat ADASENI Adaseni Zoitani 157,82 60,35 218,17 ALBESTI Albesti Buimaceni Costiugeni Jijia Mascateni Tudor Vladimirescu 249,31 116,7 127,18 83,3 64,82 193,9 835,21 AVRAMENI Avrameni Aurel Vlaicu Dimitrie Cantemir Ichimeni Panaitoaia Timus Tudor Vladimirescu 274,7 98,15 29,6 61,4 61,9 78,5 154,6 758,85 BALUSENI Baluseni Balusenii noi Buzeni Cosuleni Draxini Zaicesti 269,04 41 144 83 443 210 1190,04 BLANDESTI Blandesti Cerchejeni Soldanesti 166,01 190,55 119,25 475,81 BRAESTI Braesti Poiana Popeni Valcelele 293 145 56 15 509 BROSCAUTI Broscauti Slobozia 461 34 495 CALARASI Calarasi Libertatea Plesani 381,68 57,16 80 518,84 CANDESTI Candesti Calinesti Talpa Vitcani CONCESTI Concesti Movileni 360 77 437 COPALAU Copalau Cerbu Cotu 470,95 111,1 69,9 651,95 CORDARENI Cordareni Grivita 344 171 CORLATENI Corlateni Carasa Podeni Vladeni CORNI Corni Balta Arsa Mesteacan Sarafinesti 640 55 75 220 990 COSULA Cosula Buda Padureni Supitca 291 23,15 64,1 113,6 491,85 COTUSCA Cotusca Avram Iancu Cotu Miculinti Crasnaleuca Ghireni Mihail Kogalniceanu Nichiteni Nicolae Balcescu Putureni 385 18,2 107 189 105 54 125 17 170 1170,2 CRISTESTI Cristesti Oneaga Schit-Oraseni Unguroaia 475,1 364,8 113,8 72,8 1026,5 CRISTINESTI Cristinesti Baranca Dragalina Fundu Hertii Poiana 501,9 37,73 270,3 205,19 49,57 1064,69 CURTESTI Curtesti Agafton Baiceni Hudum Manastirea Doamnei Oraseni-deal Oraseni-Vale 161 64 163 0 215 160 119 882 Elaboratori: UAUIM-CCPEC, Bucureşti, împreună cu, Universitatea Bucureşti – CICADIT, SC. Quattro Design s.r.l. – Bucureşti, SC. Urbatech s.r.l. – Iaşi, UAIC - Facultatea de Geografie, Iaşi, 87
  • 90.
    Actualizare Plan deAmenajarea Teritoriului Judeţean Botoşani Consiliul Judeţean Botoşani Sat 1 Sat 2 Sat 3 Sat 4 Sat 5 Sat 6 Sat 7 Sat 8 Sat 9 Suprafata Ha Suprafata Ha Suprafata Ha Suprafata Ha Suprafata Ha Suprafata Ha Suprafata Ha Suprafata Ha Suprafata Ha Intravilan Propus DANGENI Dangeni Hulub Iacobeni Strahotin 156,81 183,62 157,04 90,6 588,07 DERSCA Dersca DIMACHENI Dimacheni Mateieni Recia-Verbia DOBARCENI Dobarceni Bivolari Cismanesti Livada Murguta Padureni 156,4 48,45 97,1 ? ? ? DRAGUSENI Draguseni Podriga Sarata-Draguseni 270,2 134,8 32,9 437,9 DURNESTI Durnesti Babiceni Barsanesti Brosteni Cucuteni Guranda 190,6 89,3 52,5 69,5 257,4 172,58 831,88 FRUMUSICA Frumusica Boscoteni Radeni Storesti Sendreni Vladeni-Deal GEORGE ENESCU Dumeni Arborea George Enescu Popeni Stanca 412,3 181,05 75,74 88,5 59,4 816,99 GORBANESTI Gorbanesti Batranesti George Cosbuc Mihai Eminescu Siliscani Socrujeni Viforeni Vanatori 243,71 42,15 51,79 9,2 68,19 121,17 15,75 78,65 630,61 HAVARNA Havarna Balinti Galbeni Garbeni Niculcea Tataraseni 451,5 74,55 40,1 60,34 35,54 122 784,03 HANESTI Hanesti Borolea Moara Jorii Sarata-Basarab Slobozia Hanesti HILISEU-HORIA Hiliseu-Horia Corjauti Hiliseu-Closca Hiliseu-Crisan Iezer 251,8 142,5 179,8 435,5 289,03 1298,63 HLIPICENI Hlipiceni Dragalina Victoria HUDESTI Hudesti Alba Baranca Mlenauti 630,69 278,06 93,29 171 1173,04 IBANESTI Ibanesti Dumbravita 520,14 303,26 823,4 LEORDA Leorda Belcea Costinesti Dolina + Mitoc 264 10,18 65,34 191,48 531 LOZNA Lozna Strateni LUNCA Lunca Stroiesti Zlatunoaia 335,76 205,6 365,44 906,8 MANOLEASA Manoleasa Bold Flondora Iorga Liveni Loturi Manoleasa-Prut Sadoveni Serpenita Zahoreni???? 119,15 ???? 61,43 31,41 236 55,41 37,97 81,86 ???? 101,3 MIHAI EMINESCU Ipotesti Baisa Catamaresti Catamaresti-Deal Cervicesti Cervicesti-Deal Cucorani Manolesti Stancesti MIHAILENI Mihaileni Parau Negru Rogojesti 1103,56 MIHALASENI Mihalaseni Caraiman Nastase Negresti Paun Sarata Slobozia Siliscani MILEANCA Mileanca Codreni Scutari Selistea Moiseni????? 276,25 103,28 52,2 73,16 56,2 MITOC Mitoc Horia 242,29 114,1 356,39 NICSENI Nicseni Dacia Dorobanti 230 44 285 559 PALTINIS Paltinis Cuzlau Horodistea Slobozia 668 71,34 384 49,42 1172,76 POMARLA Pomarla Hulubesti Racovat Elaboratori: UAUIM-CCPEC, Bucureşti, împreună cu, Universitatea Bucureşti – CICADIT, SC. Quattro Design s.r.l. – Bucureşti, SC. Urbatech s.r.l. – Iaşi, UAIC - Facultatea de Geografie, Iaşi, 88
  • 91.
    Actualizare Plan deAmenajarea Teritoriului Judeţean Botoşani Consiliul Judeţean Botoşani Sat 1 Sat 2 Sat 3 Sat 4 Sat 5 Sat 6 Sat 7 Sat 8 Sat 9 Suprafata Ha Suprafata Ha Suprafata Ha Suprafata Ha Suprafata Ha Suprafata Ha Suprafata Ha Suprafata Ha Suprafata Ha Intravilan Propus 598 78 85 761 PRAJENI Prajeni Campeni Luparia Miletin 156,6 71,69 143,84 86,61 458,74 RACHITI Rachiti Cismea Costesti Rosiori 131,74 84,53 174,18 205,33 595,78 RADAUTI PRUT Radauti-Prut Miorcani Rediu 230,72 455,2 169,9 855,82 RAUSENI Rauseni Doina Pogorasti Rediu Stolnicesti 556,33 RIPICENI Ripiceni Cinghiniia Lehnesti Movila Rupta Popoaia Ripicenii Vechi Rasca 228 ??? ??? ??? ??? ??? ??? ROMA Roma Cotargaci 449,9 87 536,9 ROMANESTI Romanesti Damideni Romanesti Vale Sarata 192,77 119,57 ??? 37,12 SANTA MARE Santa Mare Badarai Berza Bogdanesti Durnesti Iliseni Ranghilesti Ranghilesti-Deal 287 ??? 54,8 54,5 ??? 44,58 80,1 65,9 STAUCENI Stauceni Silistea Tocileni Victoria 160,4 50 191,8 78,2 480,4 SUHARAU Suharau Izvoare Lisna Oroftiana Plevna Smardan 628,35 15,75 218,9 350,85 111,09 184,62 1509,56 SULITA Sulita Chelis Dracsani 997,48 SENDRICENI Sendriceni Horlaceni Padureni 508,14 134,5 337,15 979,79 STIUBIENI Stiubieni Ibaneasa Negreni 331,5 13 145,92 490,42 TODIRENI Todireni Cernesti Floresti Garbesti Iuresti 217 116 32 44 117 526 TRUSESTI Trusesti Buhaceni Ciritei Drislea Ionaseni Pasateni 318,1 170,59 ???? 212,5 276,15 41,34 TUDORA Tudora 822,15 822,15 Plopenii Mari la UNGURENI Ungureni Borzesti Calugareni Calugarenii Noi Durnesti Mihai Viteazu Mandresti ungureni PlopeniiMici Tautesti Vicoleni 602 44,7 85 81 45,67 115 87 78,6 ??? 70 UNTENI Unteni Burla Burlesti Manastireni Soroceni Valea Grajdului Vultureni 193,8 22,66 92,2 135,5 44,8 ??? ??? VACULESTI Vaculesti Gorovei Saucenita 272,5 14,7 291 578,2 VIISOARA Viisoara Cuza Voda Viisoara Mica 232,78 134,25 175,02 542,05 VARFU CAMPULUI Varfu Campului Ionaseni Lunca 400,67 237,75 262,5 900,92 VLADENI Vladeni Brehuiesti Hriscani Hutani Mandresti 86,94 74,84 5,19 32,11 5,26 204,34 VLASINESTI Vlasinesti Miron Costin Sarbi 180,55 76 124,58 381,13 VORNICENI Vorniceni Davidoaia Dealu Crucii 560,37 36,6 46,2 643,17 VORONA Vorona Icuseni Joldesti Poiana Vorona Mare Vorona-Teodoru 1665,82 Sursa date: Consiliul Judeţean, PUG-uri aprobate Elaboratori: UAUIM-CCPEC, Bucureşti, împreună cu, Universitatea Bucureşti – CICADIT, SC. Quattro Design s.r.l. – Bucureşti, SC. Urbatech s.r.l. – Iaşi, UAIC - Facultatea de Geografie, Iaşi, 89
  • 92.
    Actualizare Plan deAmenajarea Teritoriului Judeţean Botoşani Consiliul Judeţean Botoşani A.4. INFRASTRUCTURI TEHNICE Pentru asigurarea unei surse de alimentare cu apă, importanţă au debitele minime zilnice, a căror valoare dictează direct mărimea sursei de apă în regim neamenajat fără lacuri de compensare. Mai jos sunt prezentate debite minime zilnice (mc /sec) pe principalele cursuri de apă din judeţul Botoşani: A.4.1. GOSPODĂRIREA APELOR A.4.1.1. Caracterizarea generală a bazinelor hidrografice Debite minime zilnice pe principalele cursuri de apă din judeţul Botoşani Tabel a.4.1.1. Suprafaţa judeţului Botoşani este de 4.965 kmp. fiind repartizată pe bazine hidrografice astfel: Debite minime zilnice b.h. Prut : 4.362 kmp. Nr. Râul Secţiunea cu asigurarea: b.h. Siret: 603 kmp. crt. 80% 90% 95% Lungimea reţelei hidrografice codificate este de 2.054 km., cu următoarea repartiţie: 1. Siret Şerbăneşti -Huţani 0,65 0,48 0,39 râu Prut 233 km. 2. Siret Lespezi 2,80 2,30 2,00 afluenţi Prut 1.555 km. 3. Prut Rădăuţi - Prut 11,20 9,60 8,50 TOTAL 1.788 km. 4. Prut Ungheni 12,80 10,80 9,50 5. Jijia aval pârâu Întors 0,003 0,001 0 râu Siret 125 km. 6. Jijia aval pârâu Ibăneasa 0,013 0,005-0,01 0,001-0,003 afluenţi Siret 141 km 7. Jijia Todireni 0 0 0 TOTAL 266 km. Sursa: R.A. Apele Române-Filiala Iaşi TOTAL PRUT + SIRET : 2.054 km. O altă caracteristică a cursurilor de apă o reprezintă debitul solid, adică transportul de aluviuni. În drumul către albiile colectoare, apele provenite din ploi şi topirea zăpezilor antrenează Rezultă din cele de mai sus o densitate a reţelei hidrografice de 0,41 km / kmp. importante cantităţi de material solid prin eroziuni de maluri. Tot acest material se constituie în debit Climatul este temperat - continental, iar temperatura medie multianuală este de + 8,7°C. solid şi este în corelaţie directă cu structura geologică, gradul de împădurire, stadiul amenajării torenţilor şi mai ales cu debitul lichid. Cantitatea de precipitaţii medie multianuală este de 543,4 l / mp. Maxima anuală a fost Pentru râul Siret, valorile determinate sunt de 1,63 t /ha / an în secţiunea Şerbăneşti - Huţani, iar înregistrată în anul 1969 cu valoarea de 787,3 l / mp., iar minima anuală s-a înregistrat în anul 1946 cu pe râul Prut de 79 kg / sec (2270 mii tone /an) în secţiunea Ungheni. valoarea de 323,9 l / mp. Valorile medii lunare sunt cuprinse între 22,4 l / mp. şi 91,5 l / mp. Pentru celelalte râuri nu se dispune de măsurători directe datorită perioadei scurte de observaţii, Minimele se înregistrează în lunile ianuarie - februarie, iar maximele în lunile iunie - iulie. aprecierea acestui fenomen făcându-se pe bază de corelaţii. Intensitatea maximă de precipitaţii în 24 de ore a fost înregistrată la Botoşani, în data de 14.07.1973 şi are valoarea de 128,8 l / mp. (6 l / mp / minut). A.4.1.2. Resurse de apă Temperatura maximă istorică a fost de + 39,4° C la S.M. Botoşani ( 17.08.1952), iar cea Denumirea generică de resurse de apă cuprinde resursele de apă de suprafaţă şi resursele minimă de - 32,5° C la S.M. Dorohoi (15.02.1937). subterane. Debitele minime înregistrate pe principalele cursuri de apă au fost: A.4.1.2.1. Resurse de apă de suprafaţă. râu Siret : - secţiunea Şerbăneşti - Huţani (iulie 1969) s-a înregistrat valoarea de 865 mc /sec. (în timp ce debitul mediu multianual este de 15,4 mc /sec.); Sunt constituite din totalitatea reţelei hidrografice de pe teritoriul judeţului Botoşani, pe cele - secţiunea Lespezi (iulie 1969) valoarea înregistrată a fost de 1140 mc /sec. două bazine principale. Stocul mediu multianual al râului Prut în secţiunea Stânca este de 2500 mil. mc. râu Prut : - la staţia hidro Rădăuţi-Prut s-a înregistrat debitul de 3.875 mc /sec. în anul 1969. (Qo = 81,2 mc /sec), concordat cu partea moldovenească, iar pe afluenţi sunt următoarele valori: Din prelucrarea datelor hidrologice după metode cunoscute rezultă următoarele valori cu Stocul mediu multianual pe principalii afluenţi ai râului Prut probabilitatea de depăşire de o dată la o sută de ani: Tabel a.4.1.2. râu Siret - secţiunea Şerbăneşti - Huţani : 1.035 mc /sec. Qo (mc /sec.) Stoc (mil. mc.) Volovăţ 0,432 13,6 - secţiunea Lespezi: 1.735 mc /sec. Başeu 1,89 59,6 În ce priveşte râul Prut, conform acordurilor dintre România şi Republica Moldova, debitul Corogea 0,095 3,0 maxim în aval de acumularea Stânca-Costeşti este de 700 mc /sec. pentru probabilitatea de 1 % (până la Jijia (Todireni) 2,09 65,9 confluenţa cu râul Jijia), iar pentru Jijia (S.H. Todireni) valoarea este de 400 mc /sec. Sitna (am. confl. Jijia 2,00 63,07 Miletin (Câmpeni) 0,467 14,7 Elaboratori: UAUIM-CCPEC, Bucureşti, împreună cu, Universitatea Bucureşti – CICADIT, SC. Quattro Design s.r.l. – Bucureşti, SC. Urbatech s.r.l. – Iaşi, UAIC - Facultatea de Geografie, Iaşi, 90
  • 93.
    Actualizare Plan deAmenajarea Teritoriului Judeţean Botoşani Consiliul Judeţean Botoşani Sursa: RA Apele Române-Filiala Iaşi TOTAL 34,8 17,8 Sursa: RA Apele Române-Filiala Iaşi Pentru râul Siret, stocul mediu multianual în secţiunea Şerbăneşti - Huţani are valoarea 485,6 mil. mc. Resursele de adâncime pe principalele bazine hidrografice A.4.1.2.2. Resurse de apă subterane Tabel a.4.1.4. Resursă de adâncime Potenţial Resursă de bilanţ Resursele de apă subterană din spaţiul Moldova, de care aparţine şi judeţul Botoşani, sunt Siret 5,9 5,9 cantonate în strate freatice şi în strate de adâncime. Prut 2,0 2,0 Mai jos sunt prezentate următoarele definiţii: Bârlad 5,8 5,8 - resursă de apă subterană - cantitatea de apă subterană (exprimată în l /sec, mc /zi, mc /an) care poate fi TOTAL 13,7 13,7 obţinută cu ajutorul construcţiilor de captare, raţionale din punct de vedere tehnic ( foraje, puţuri, Sursa: RA Apele Române-Filiala Iaşi drenuri, izvoare) la regimul de exploatare impus şi cu o calitate a apei care trebuie să satisfacă condiţiile de potabilitate în decursul termenului prevăzut de folosire a apei. Se observă că cele mai importante resurse freatice evaluate sunt localizate în zona râului Siret, În funcţie de gradul de cunoaştere a sistemelor acvifere, resursele de ape subterane se împart în iar resursele de adâncime (100 - 300 m), sunt localizate cu precădere în sudul Moldovei. “categorii” (A, B, C1, C2 şi de prognoză). Pe teritoriul judeţului Botoşani sunt cunoscute următoarele resurse de ape subterane: Categoria A - cuprinde rezerve sigure de ape subterane, cunoscute în mod detaliat; - ape freatice: - resursă de bilanţ 0,728 mc/sec. Categoria B - cuprinde rezerve de ape subterane stabilite prin lucrări de explorare şi uneori prin - în afară de bilanţ 1,052 mc/sec. lucrări de exploatare, fiind cunoscute cu suficientă precizie principalele particularităţi ale condiţiilor de - resursa totală 1,780 mc/sec. zăcământ, calitatea apei, condiţii hidrodinamice. Nu sunt idenfiticate resurse de apă de adâncime. Categoria C1 - cuprinde rezervele probabile de ape subterane stabilite pe baza lucrărilor de Debitul maxim captat în cursul anului 1996 (situaţie valabilă cu abateri nesemnificative şi în prospecţiuni şi explorare. anii anteriori) a fost de 0,08 mc/sec., captându-se un volum total de 889 mii mc. Categoria C2 - cuprinde rezervele posibile, stabilite pe baza condiţiilor geologice şi hidrogeologice cunoscute în linii generale. A.4.1.3. Stadiul actual al lucrărilor, instalaţiilor şi amenajărilor de gospodărire a apelor pe Rezervele de prognoză - sunt acele rezerve de apă subterană estimate pe baza unor consideraţii teritoriul judeţului Botoşani generale geologice, geofizice şi hidrogeologice pentru unităţi mari hidrogeologice. În funcţie de posibilităţile de valorificare a lor într-un anumit moment de referinţă (posibilităţi Amenajările de gospodărire a apelor au avut în vedere: determinate de condiţiile tehnice şi economice de exploatare şi de necesităţile de conservare şi de acoperirea cerinţei de apă pentru centrele populate, industriale şi alte folosinţe; protecţie a acestor ape) se definesc “ grupe de rezervă”, “de bilanţ” şi “în afară de bilanţ”. combaterea efectelor distructive ale apelor; Rezervele “de bilanţ” reprezintă acea parte a rezervelor exploatabile de ape subterane care pot fi valorificarea potenţialului hidroenergetic al principalelor cursuri de apă; extrase şi care îndeplinesc condiţiile calitative industriale şi tehnice de exploatare. protecţia calităţii surselor de apă; Sunt considerate ca rezerve “în afară de bilanţ”, apele subterane care nu se încadrează în limitele de potabilitate conform STAS 1342/92, luând în considerare mineralizaţia şi duritatea totală A.4.1.3.1. Amenajările pentru acoperirea cerinţelor de apă (folosinţe consumatoare de apă) (maxim admise) de 1200 mg /l şi respectiv 30° G, precum şi acelea ale căror posibilităţi de exploatare (niveluri dinamice foarte coborâte şi debite sub 0,3 l /sec /foraj pot fi considerate în prezent A.4.1.3.1.1. Captări de ape subterane neeconomice. Ca o caracterizare generală, resursele de apă subterane freatice ale Moldovei sunt evaluate la Se constată că multe din forajele existente nu sunt exploatate în prezent, iar marea majoritate a 34,8 mc /sec., din care, ca resursă de bilanţ 17,8 mc /sec. lor deservesc obiective de interes strict local. Constituie surse de apă pe alimentări cu apă în sisteme În privinţa resurselor de apă subterane de adâncime ale Moldovei, ele se cifrează la circa 13,7 centralizate forajele ce aparţin SC. APA GRUP S.A. Dorohoi sector Darabani, pentru alimentarea mc /sec. localităţii Darabani la un debit instalat de 6,65 l/sec. (5 drenuri), Primăria Manoleasa - Liveni cu un Apele subterane sunt distribuite neuniform pe teritoriul Moldovei, distribuţia acestora pe foraj ce asigură 1.83 l/sec, Primăria Ripiceni cu 4 foraje ce au un debit instalat de 1.14 l/sec şi Primăria principalele bazine hidrografice fiind următoarea: Româneşti cu 5 foraje ce au un debit instalat de 0,625 l/sec. Resursele freatice pe principalele bazine hidrografice A.4.1.3.1.2. Surse de suprafaţă (acumulări) Tabel a.4.1.3. Resursă freatică Potenţial Resursă de bilanţ Râul Prut - acumularea Stânca - Costeşti. Este cea mai mare acumulare din b.h. Prut, cu un Siret 28 16,7 volum total de 1285 mil. mc. şi util de 450 mil. mc. din care se asigură apa pentru irigaţii în sistemul Prut 4,7 0,2 Manoleasa - Sadoveni (6275 ha.) şi Ripiceni - Stânca (3o25 ha.) (numai în judeţul Botoşani), Bârlad 2,1 0,9 alimentarea cu apă a localităţilor Ştefăneşti şi Truşeşti, pentru un debit instalat de 200 l/sec., precum şi Elaboratori: UAUIM-CCPEC, Bucureşti, împreună cu, Universitatea Bucureşti – CICADIT, SC. Quattro Design s.r.l. – Bucureşti, SC. Urbatech s.r.l. – Iaşi, UAIC - Facultatea de Geografie, Iaşi, 91
  • 94.
    Actualizare Plan deAmenajarea Teritoriului Judeţean Botoşani Consiliul Judeţean Botoşani producerea de energie electrică, la o putere instalată de 65 mil. kwh în anul mediu. În anul 1996 s-au aducţiunea Cătămăreşti (Botoşani) - Flămânzi, în lungime de 20 km., transportă apa din derivaţia produs 87,9 mil. kwh. Se precizează că tot din acumularea Stânca, prin regularizarea stocului râului Siret - Sitna (Bucecea - Cătămăreşti) pentru alimentarea cu apă a localităţii Flămânzi, la un debit Prut, se asigură alimentarea cu apă a oraşelor Iaşi, Vaslui şi Huşi, precum şi sursa de apă pentru irigaţii instalat de 0,0025 mc/sec. în judeţele Iaşi, Vaslui şi Galaţi. aducţiunea Bucecea - Dorohoi, în lungime de 21 km., transportă apa din acumularea Bucecea de pe B.h. Jijia: râul Siret, în oraşul Dorohoi, avvând un debit instalat de 0,25 mc/sec. (4,1 mil.mc/an). Acumularea Ezer - este amplasată pe râul Jijia la 1 km. amonte de oraşul Dorohoi şi controlează o derivaţia Siret - Sitna, în lungime de 12,6 km., asigură alimentarea cu apă a oraşului Botoşani la un suprafaţă de bazin de 116 kmp. Acumularea constituie sursă de apă pentru irigarea unei suprafeţe de debit instalat de 1,5 mc/sec. precum şi transferul de debite de apă din b.h. Siret în b.h. Jijia (în râul 1000 ha şi produce atenuarea viiturilor din bazinul superior al râului Jijia. Sitna). De exemplu, în cursul anului 1996, derivaţia a funcţionat în tot timpul anului şi s-au transferat Acumularea Cătămăreşti - este o acumulare complexă amplasată pe râul Sitna, afluent de dreapta al debite a căror valoare a fost cuprinsă între 0,156 mc/sec. (luna iulie) şi 1,13 mc/sec. în luna mai, cu un Jijiei, în dreptul localităţii Mihai Eminescu. Rolul acestei acumulări este de a asigura sursa de apă debit mediu anual de 0,485 mc/sec. (15,332 mil.mc/an). pentru irigaţii pe o suprafaţă de 6035 ha., apărare împotriva inundaţiilor pentru 400 ha. teren situat în aval precum şi asigurarea unui debit salubru în albia din aval de 15 -20 l/sec. A.4.1.3.1.4. Alimentări cu apă pentru irigaţii Acumularea Câmpeni, nepermanentă, amplasată pe râul Miletin, afluent de dreapta al râului Jijia, are rol de atenuare a viiturilor. Lista sistemelor de irigaţii din judeţul Botoşani este prezentată în anexe. Se remarcă faptul că, din totalul suprafeţei amenajate pentru irigaţii de 19.407 ha., în cursul B.h. Başeu: anului 1996 s-au irigat numai 577 ha., adică 3%, situaţie care a existat şi în anii anteriori. Acumularea Cal Alb, amplasată pe râul Başeu, în amonte de localitate Havârna, are rolul de a asigura sursa de apă pentru irigaţii în sistem local pentru o suprafaţă de 1000 ha. A.4.1.3.1.5. Alimentări cu apă pentru piscicultură Acumularea Negreni, amplasată pe râul Negreni în zona localităţii Negreni, constituie sursă de apă pentru alimentarea localităţii Săveni cu un debit instalat de 43 l/sec., irigaţii pentru o suprafaţă de 960 Lista principalelor folosinţe cu scop piscicol aflate în funcţiune este prezentată în anexă. ha precum şi apărarea împotriva inundaţiilor a unei suprafeţe de 1011 ha. Principalii deţinători ai luciilor piscicole sunt S.C. PISCICOLA S.A. Botoşani, primăriile locale, Acumularea Mileanca, amplasată pe râul Podriga, afluent de stânga al râului Başeu, are rolul de a precum şi Apele Române - R.A. - filiala Iaşi care a închiriat luciile piscicole la S.C. PISCICOLA S.A. asigura sursa de apă pentru irigarea unei suprafeţe de 1000 ha. Botoşani, si altor detinatori. Suprafaţa totală utilizată în scop piscicol este de 2.616 ha., la nivelul anului 2009, pentru care B.h. Siret: s-a folosit un volum de 74,6 mil. mc. Suprafaţa totală amenajată în scop piscicol este de 3.731 ha., Pe cursul râului Siret, ce constituie graniţa dintre judeţele Botoşani şi Suceava, sunt amplasate diferenţa de 1.115 ha. fiind constituită din amenajări mici, din administrarea primăriilor locale, pentru următoarele două acumulări, aflate sub autoritatea R.A. - Apele Române - filiala Bacău: care nu se deţin date certe. Acumularea Rogojeşti - amplasată în amonte de localitatea Rogojeşti din judeţul Botoşani şi În b.h. Siret, pe teritoriul judeţului Botoşani nu sunt realizate lucrări cu folosinţe piscicole. Grămeşti din judeţul Suceava, are rolul de a regulariza debitele râului Siret pentru satisfacerea necesarului de apă pentru alimentări cu apă potabilă, industrială şi irigaţii, precum şi producerea de energie electrică, la o putere instalată de 3,2 MW. Producţia medie de energie este de 9,06 Gwh/an. A.4.1.3.1.6. Bilanţul apelor pentru judeţul Botoşani privind alimentări cu apă şi restituţii pentru Acumularea Bucecea este amplasată la 2,5 km amonte de localitatea Bucecea şi asigură următoarele populaţie, industrie şi zootehnie (anul 2008) funcţiuni: Tabel a.4.1.5. - alimentarea cu apă a municipiului Botoşani, oraşului Dorohoi, a comunei Bucecea şi a fabricii de Debit mediu captat (l/sec.) Volum captat anual (mii mc.) Scop utiliz. zahăr Bucecea, la un debit instalat de 1500 l/sec. (47 mil. mc./an). CAPTĂRI - tranzitarea unor debite în perioade excedentare pe derivaţia Siret - Sitna (în acumularea Cătămăreşti), TOTAL Supraf. Subter. TOTAL Supraf. Subter. apă pentru compensarea deficitelor de apă din bazinul Jijia. 47,61 28,01 19,59 1501,54 883,49 618,05 populaţie B.H. 15,72 3,37 12,35 476,03 106,44 389,59 industrie A.4.1.3.1.3. Derivaţii şi aducţiuni pentru satisfacerea cerinţelor de apă ale folosinţelor PRUT 2825,61 2821,63 3,97 89108,44 88983,05 125,39 agrozootehnie 2889,17 2853,92 36,15 91113,09 89972,98 1140,11 TOTAL Pe teritoriul judeţului Botoşani, sunt executate şi funcţionează următoarele aducţiuni şi derivaţii: APORT DIN populaţie aducţiunea Stânca - Truşeşti, în lungime de 16 km., transportă apa din acumularea Stânca de pe râul B.H. 682,73 652,84 29,89 21530,84 20588 942,84 + Prut în localitatea Truşeşti, pentru alimentarea cu apă a acestuia, la un debit de 0,2 mc/sec. (0,9 SIRET industrie mil.mc./an); TOTAL 3571,91 3505,86 66,04 112643,93 110560,98 2082.95 aducţiunea Negreni - Săveni, în lungime de 8,7 km., transportă apa din lacul Negreni de pe râul Sursa: RA Apele Române-Filiala Iaşi Negreni în localitatea Săveni, în scopul alimentării cu apă a acesteia, la un debit instalat de 0,1m mc/sec. (0,5 mil.mc./an). Elaboratori: UAUIM-CCPEC, Bucureşti, împreună cu, Universitatea Bucureşti – CICADIT, SC. Quattro Design s.r.l. – Bucureşti, SC. Urbatech s.r.l. – Iaşi, UAIC - Facultatea de Geografie, Iaşi, 92
  • 95.
    Actualizare Plan deAmenajarea Teritoriului Judeţean Botoşani Consiliul Judeţean Botoşani Tabel a.4.1.6. Zone şi bunuri materiale afectate de inundaţii RESTITUŢII Debit instalat Debit maxim Debit mediu anual Volum anual (mii datorate revărsărilor unui curs de apă sau a (l/sec.) (l/sec.) (l/sec.) mc.) scurgerilor de torenţi B.H. PRUT 2084,53 946,70 876,74 6537,79 Nr. Municipiu, oraş, Localitatea (satul) Sursa: RA Apele Române-Filiala Iaşi crt. comuna Proprietatea Activităţile social- Nr. locuinţe Suprafeţe economice şi obiective /anexe agricole edilitare gospodăreşti (ha) A.4.1.3.2. Combaterea efectelor distructive ale apelor 0 1 2 3 4 5 MUN. BOTOŞANI 134 111 8 ob.; 1 km. str. ;baz. Apariţia cvasiperiodică a inundaţiilor a condus de-a lungul timpului la realizarea a numeroase 1 Step. lucrări de combatere a efectului acestora. Principalele lucrări sunt cele de regularizări de cursuri de apă, MUN. DOROHOI 157 18 14 ob. ; 2Pd.; 1,7 km. îndiguiri şi consolidări de maluri, precum şi lacuri de acumulare, menţionate anterior. 2 Str. 3 OR. BUCECEA 4 79 2 alim apă; 0,2 km. D.J. A.4.1.3.2.1. Lucrări de regularizări de cursuri de apă 4 OR. DARABANI DARABANI 150 CORNEŞTI 0,1 km str. Pe teritoriul judeţului Botoşani, această categorie este cea mai importantă dintre lucrările de LIŞMANIŢA 348 combatere a efectelor distructive ale apelor. TEIOASA 647 1 ob. ; capt.alim. apă În prezent, există un număr de32 lucrări de regularizare pe principalele cursuri de apă, care au în TOTAL DARABANI 1145 0,1km.str.; 1 ob.; capt total o lungime de 228,5 km. şi apără căi de comunicaţie, localităţi şi terenuri agricole. alim . apă 5 OR. FLAMINZI FLAMINZI 5 A.4.1.3.2.2. Îndiguiri CHIŢOVENI 7 27 CORDUN 7 Singurele lucrări de îndiguiri de pe teritoriul judeţului Botoşani sunt: N. BALCESCU 14 13 1 ob.; 0,2 km. Str. dig mal stâng râu Siret aval acumulare Bucecea, în lungime de 10 km., care apără terenuri agricole; PRISACANI 12 31 în b.h. Prut, dig C.F.R. în zona Dângeni - Hulub, pe râul Jijia, în lungime de 100 m., care apără TOTAL FLAMINZI 33 83 1 ob. ; capt.alim. apă OR. SĂVENI SĂVENI 41 308 14 ob.; 0,5 km. DJ 0,3 calea ferată Dorohoi - Truşeşti - Iaşi. 6 km.CF.0,3 km. TF; 2km. A.4.1.3.2.3. Consolidări de maluri BODEASA 16 32 0,2 km.D.J. ; 0,15 km. str. Pe totalul judeţului Botoşani sunt 32 lucrări de apărări de maluri pe principalele cursuri de apă, BOZIENI 14 40 în lungime totală de 23,9 km. CHIŞCARENI 18 55 Trebuie precizat că marea majoritate a lor sunt în prezent degradate. PETRICANI 26 51 SAT NOU 2 A.4.1.3.2.4. Zone inundabile TOTAL SĂVENI 117 486 14 ob.; 0,7 km. DJ 0,3 km.CF.0,3 km. TF; Ca urmare a inundaţiilor importante produse în anii 1995 şi 2008 au fost identificate 2km, alim . apă; 0,35 următoarele zone care pot fi inundate: km str. OR. ŞTEFĂNEŞTI ŞTEFĂNEŞTI 1493 124 68 ob.; 3km.DJ;11 7 Zone inundabile km.DN.;63 km. DC. Tabel a.4.1.7. BĂDIUŢI 78 75 1 ob.; 1km DN; 7 km.DC Zone şi bunuri materiale afectate de inundaţii BOBULEŞTI 167 9 8 ob.; Ikm.DN; 7 km datorate revărsărilor unui curs de apă sau a DC. scurgerilor de torenţi STÎNCA 165 62 13 ob.; 0,2km DN; 3km Nr. Municipiu, oraş, Localitatea (satul) DJ.;11 km DC. crt. comuna Proprietatea Activităţile social- TOTAL 1461 1817 90 ob.13,2 km DN; Nr. locuinţe Suprafeţe ŞTEFĂNEŞTI economice şi obiective 6km DJ;88 km. DC. /anexe agricole edilitare TOTAL 1461 1817 90 ob.13,2 km DN; gospodăreşti (ha) ŞTEFĂNEŞTI 6km DJ;88 km. DC. 0 1 2 3 4 5 8 COM.ADAŞENI ADAŞENI 4 95 8Pd.; 6,5km DC Elaboratori: UAUIM-CCPEC, Bucureşti, împreună cu, Universitatea Bucureşti – CICADIT, SC. Quattro Design s.r.l. – Bucureşti, SC. Urbatech s.r.l. – Iaşi, UAIC - Facultatea de Geografie, Iaşi, 93
  • 96.
    Actualizare Plan deAmenajarea Teritoriului Judeţean Botoşani Consiliul Judeţean Botoşani Zone şi bunuri materiale afectate de inundaţii Zone şi bunuri materiale afectate de inundaţii datorate revărsărilor unui curs de apă sau a datorate revărsărilor unui curs de apă sau a scurgerilor de torenţi scurgerilor de torenţi Nr. Municipiu, oraş, Nr. Municipiu, oraş, Localitatea (satul) Localitatea (satul) crt. comuna Proprietatea crt. comuna Proprietatea Activităţile social- Activităţile social- Nr. locuinţe Suprafeţe Nr. locuinţe Suprafeţe economice şi obiective economice şi obiective /anexe agricole /anexe agricole edilitare edilitare gospodăreşti (ha) gospodăreşti (ha) 0 1 2 3 4 5 0 1 2 3 4 5 ZOIŢANI 4 52 4Pd. TOTAL CORLATENI 11 39 4km. DC TOTAL ADAŞENI 8 147 12Pd.; 6,5km DC 21 COM . CORNI CORNI 70 1pd 9 COM. ALBEŞTI BUIMACENI 50 BALTA ARSA 10 10 0,2 km DC; 1 pd JIJIA 4 785 SARAFINEŞTI 5 0,1 km. DC; 1 Pd. T. VLADIMIRESCU 45 TOTAL CORNI 10 85 0,3 km.DC; 2 pd.;1 Pd TOTAL ALBEŞTI 4 880 22 COM. COŞULA COŞULA 1 7 10 COM. AVRAMENI AVRAMENI 0,5km. DC PADURENI 51 20 ICHIMENI 10 TOTAL COŞULA 52 27 TIMUS 16 23 COM . COŢUŞCA COTU MICULINŢI 20 TOTAL AVRAMENI 26 0,5km. DC CRASNALEUCA 35 11 COM. BALUŞENI BĂLUŞENI 77 65 1 km. DC. GHIRENI 28 BĂLUŞENII NOI 15 30 3 Pd.; M. 5 COŞULENI 60 KOGALNICEANU DRAXINI 26 10 N. BALCESCU 2 ZĂICEŞTI 45 PUŢURENI 50 TOTAL BALUŞENI 118 210 1km. DC.;3 Pd. TOTAL COŢUŞCA 140 12 COM. BLÎNDEŞTI BLÎNDEŞTI 5 24 COM CRISTEŞTI CRISTEŞTI 6 110 CERCHEJENI 40 31 1 km. DC; 3 pd. GHILANESTI 5 TOTAL BLÎNDEŞTI 40 36 1 km. DC; 3 pd. ONEAGA 10 0,2 km DJ; 2 Pd; 2 pd. 13 COM . BRĂEŞTI MITOC 23 TOTAL CRISTEŞTI 6 125 0,2 km DJ; 2 Pd; 2 pd. POPENI 122 25 COM.CRISTINEŞTI CRISTINEŞTI 3 8 1 Pd; 1pd TOTAL BRĂEŞTI 145 BARANCA 3 4 14 COM. BROSCĂUŢI BROSCĂUŢI 13 7 DRAGALINA 2 5 SLOBOZIA 17 HERŢA 9 21 TOTAL BROSCĂUŢI 13 24 TOTAL 17 38 1 Pd; 1pd 15 COM. CĂLĂRAŞI CĂLĂRAŞI 6 3 CRISTINEŞTI PLEŞANI 1 26 COM CURTEŞTI CURTEŞTI 8 TOTAL CĂLĂRAŞI 6 4 BAICENI 5 16 COM. CINDEŞTI CINDEŞTI 52 18 ORĂŞENI VALE 22 COM. CONCEŞTI CONCEŞTI 25+2 bl.. 59 Post pol.;0,5 km. Reţea TOTAL CURTEŞTI 35 17 el. 27 COM DÎNGENI DINGENI 75 MOVILENI 3 7 2 ob.; bazin alim apă HULUB 1 TOTALCONCEŞTI 28 + 2 bl 66 Post pol.;0,5 km. Reţea IACOBENI 6 132 el.; 2 ob .; bazin alim STRAHOTIN 19 apă TOTAL DÎNGENI 6 227 18 COM COPALAU COPALAU 28 150 2 ob.; bazin alim apă 28 COM.DERSCA DERSCA 11 4 2Pd;3pd. ; 2ob. 19 COM.CORDARENI CORDĂRENI 116 246 5ob.;5 km DC 29 COM. DIMACHENI DIMACHENI 6 14 GRIVIŢA 37 RECIA- VERBIA 6 TOTAL 116 283 5ob.;5 km DC. TOTAL DIMACHENI 6 20 CORDĂRENl 30 COM. DOBÎRCENI DOBÎRCENI 13 50 20 COM . CORLATENI CORLATENI 11 37 4 km ,DC. BIVOLARI 1 VLADENI 2 TOTAL DOBIRCENI 13 51 10Pd;1pd. Elaboratori: UAUIM-CCPEC, Bucureşti, împreună cu, Universitatea Bucureşti – CICADIT, SC. Quattro Design s.r.l. – Bucureşti, SC. Urbatech s.r.l. – Iaşi, UAIC - Facultatea de Geografie, Iaşi, 94
  • 97.
    Actualizare Plan deAmenajarea Teritoriului Judeţean Botoşani Consiliul Judeţean Botoşani Zone şi bunuri materiale afectate de inundaţii Zone şi bunuri materiale afectate de inundaţii datorate revărsărilor unui curs de apă sau a datorate revărsărilor unui curs de apă sau a scurgerilor de torenţi scurgerilor de torenţi Nr. Municipiu, oraş, Nr. Municipiu, oraş, Localitatea (satul) Localitatea (satul) crt. comuna Proprietatea crt. comuna Proprietatea Activităţile social- Activităţile social- Nr. locuinţe Suprafeţe Nr. locuinţe Suprafeţe economice şi obiective economice şi obiective /anexe agricole /anexe agricole edilitare edilitare gospodăreşti (ha) gospodăreşti (ha) 0 1 2 3 4 5 0 1 2 3 4 5 31 COM DRĂGUŞENI DRĂGUŞENI 6 80 TOTAL IBĂNEŞTI 2 14 SĂRATA -DRAG. 10 0,1 km DJ 42 COM. LEORDA LEORDA 75 10 3Pd. PODRIGA 5 45 COSTINEŞTI 5 TOTALDRĂGUŞENI 11 135 0,1 km DJ DOLINA 50 16 6Pd 32 COM. DURNEŞTI BROŞTENI 3 TOTAL LEORDA 130 26 9Pd CUCUTENI 3 43 COM. LOZNA LOZNA 8 TOTAL DURNEŞTI 6 STRATENI 7 5 33 COM FRUMUŞICA FRUMUŞICA 28 TOTAL LOZNA 15 5 34 COM . G, ENESCU G. ENESCU 4 9 44 COM. LUNCA LUNCA 12 13 ARBOREA 1 STROEŞTI 28 16 POPENI 3 7 ZLĂTUNOAIA 17 TOTAL G. ENESCU 7 17 TOTAL LUNCA 57 29 COM. BĂTRÎNEŞTI 10 25 45 COM. MAN0LEASA MANOLEASA 5 35 GORBANEŞTI FLONDORA 10 G. COŞBUC 2 IORGA 1 SILIŞCANI 60 300 SADOVENI 1 SOCRUJENI 30 75 TOTAL 17 TOTAL 100 402 MANOLEASA GORBĂNESTI COM. M. CĂTĂMĂRĂŞTI- 15 46 36 COM. HAVIRNA BALINTI 21 2 ob. EMINESCU DEAL GÎRBENI 30 1 CERVICEŞTI 35 NICULCEA 38 STINCEŞTI 7 6 TOTAL HAVÎRNA 68 22 2ob. TOTAL M. 7 56 37 COM. HĂNEŞTI HANEŞTI 20 10 2ob. EMINESCU SĂRATA BASARAB 14 2 47 COM. MIHĂILENI MIHĂILENI 35 12 SLOBOZIA- 13 0,2km DJ VLĂDENI 15 5 HĂNEŞTI TOTAL MIHĂILENI 50 17 TOTAL HĂNEŞTI 34 25 2 ob, ; 0,2km DJ. COM.MIHĂLĂŞENI MIHĂLĂŞENI 40 150 1km DJ;2,3 km 48 38 COM HILIŞEU CORJĂUTI 5 60 Dc;2,5km r.el. 2km r.tf. HILIŞEU -CLOŞCA 17 197 1 Pd NĂSTASE 8 65 HILIŞEU -CRIŞAN 10 50 1Pd; 2km DC. NEGREŞTI 13 48 0,5km DC;0,5km r.el. TOTAL HILIŞEU 32 307 2Pd; 2 km DC. PĂUN 4 90 39 COM. HLIPICENI HLIPICENI 9 359 1 ob. SĂRATA 16 25 0,5kmDJ;0,5 kmDC DRAGALINA 14 TOTAL 81 378 1,5km DJ;3,3km DC;3 VICTORIA 5 MIHĂLĂŞENI km r.el;2 km r.tf. TOTAL HLIPICENI 9 378 1 ob. 49 COM. MILEANCA MILEANCA 47 10 2 ob. 2km DC 40 COM. HUDEŞTI HUDEŞTI 10 87 2 ob. MOISENI 5 3 ALBA 5 58 SCUTARI 11 7 BARANCA 39 735 3 ob. TOTAL MILEANCA 63 20 2 ob. 2km DC TOTAL HUDEŞTI 54 880 5 ob. 50 COM. MITOC MITOC 20 41 COM. IBĂNEŞTI IBĂNEŞTI 2 11 HORIA 10 DUMBRĂVITA 3 TOTAL MITOC 30 Elaboratori: UAUIM-CCPEC, Bucureşti, împreună cu, Universitatea Bucureşti – CICADIT, SC. Quattro Design s.r.l. – Bucureşti, SC. Urbatech s.r.l. – Iaşi, UAIC - Facultatea de Geografie, Iaşi, 95
  • 98.
    Actualizare Plan deAmenajarea Teritoriului Judeţean Botoşani Consiliul Judeţean Botoşani Zone şi bunuri materiale afectate de inundaţii Zone şi bunuri materiale afectate de inundaţii datorate revărsărilor unui curs de apă sau a datorate revărsărilor unui curs de apă sau a scurgerilor de torenţi scurgerilor de torenţi Nr. Municipiu, oraş, Nr. Municipiu, oraş, Localitatea (satul) Localitatea (satul) crt. comuna Proprietatea crt. comuna Proprietatea Activităţile social- Activităţile social- Nr. locuinţe Suprafeţe Nr. locuinţe Suprafeţe economice şi obiective economice şi obiective /anexe agricole /anexe agricole edilitare edilitare gospodăreşti (ha) gospodăreşti (ha) 0 1 2 3 4 5 0 1 2 3 4 5 51 COM. NICŞENI NICŞENI 4 5 0,5 km DJ ROMÎNEŞTI DACIA 15 COM. SANTA SANTA MARA 10 76 5km DN;1,2Km r.el 61 DOROBANŢI 16 MARE TOTAL NICSENI 4 36 0,5 km DJ BERZA 3 52 COM. PĂLTINIŞ PĂLTINIŞ 256 ILIŞENI 25 CUZLĂU 80 RÎNGHILEŞTI 1 HORODIŞTEA 148 RINGHILEŞTI-DEAL 10 SLOBOZIA 265 TOTAL SANTA TOTAL PĂLTINIŞ 749 MARE 53 COM. POMÎRLA POMÎRLA 80 115 2 ob; 2km DJ 62 COM.STĂUCENI STĂUCENI 10 115 5km DN;1,2Km r.el HULUBEŞTI 20 TOCILENI 54 1443 RACOVĂŢ 15 1 km DJ ;1,5km DC TOTAL STĂUCENI 6 165 TOTAL POflIRLA. 80 150 2 ob;3 km DJ; 1,5 km 63 COM. SUHARĂU SUHARĂU 60 1608 DC IZVOARE 14 70 54 COM. PRAJENÎ PRĂJENI 3 OROFTIANA DE 3 CIMPENI 9 20 JOS LUPÂRIA 10 OROFTIANA DE 3 15 MÎLETIN 8 7 SUS TOTAL PH'.JENI 17 40 PLEVNA 24 55 COM. RÂCHIŢl RÂCHIŢl 11 2 ob. SMÎRDAN 15 CIŞMEA 8 TOTAL SUHARĂU 28 COSTEŞTI 60 64 COM. SULIŢA SULIŢA 17 155 CHELIŞ 30 31 2 pd ROŞIORI 9 TOTAL SULIŢA 10 14 1 pd TOTAL RACHITI 88 2ob. 65 COM. ŞENDRICENI ŞENDRICENI 40 45 3 pd COM. RĂDĂUŢI RĂDĂUŢI 7 HORLĂCENI 5 58 56 PRUT PĂDURENI 1 10 REDIU 2 1 Pd TOTAL 8 10 TOTAL RĂDĂIŢI 2 7 1Pd ŞENDRICENI 57 COM.RĂUSENI RĂUSENI 26 800 3 Pd 66 COM. ŞTIUBIENI ŞTIUBIENI 14 78 DOINA 100 2 PD NEGRENI 20 9 2km DJ; alim.apă POGORĂŞTI 54 150 6 Pd TOTAL ŞTIUBIENI 87 STOLNICENI 5 20 4Pd. 67 COM . TODIRENI TODIRENI 20 96 2km DJ; alim.apă TOTAL RĂUSENI 85 1070 15 PD CERNEŞTI 5 280 58 COM. RIPICENI RIPICENI 56 FLOREŞTI 5 120 59 COM. ROMA ROMA 50 1 Pd GIRBEŞTI 1 40 COTÎRGACI 25 IUREŞTI 11 80 TOTAL ROMA 75 1 Pd TOTAL TODIRENI 50 60 COM. ROMÎNEŞTI ROMÎNEŞTI 56 460 2km DC 68 COM. TRUŞEŞTI TRUŞEŞTI 22 570 DĂMIDENI 131 BUHĂCENI 73 5 7 ob; 0,3 km DN;2 SĂRATA 220 kmDC TOTAL 56 711 2km DC DRISLEA 10 1 0,2 km DC; Elaboratori: UAUIM-CCPEC, Bucureşti, împreună cu, Universitatea Bucureşti – CICADIT, SC. Quattro Design s.r.l. – Bucureşti, SC. Urbatech s.r.l. – Iaşi, UAIC - Facultatea de Geografie, Iaşi, 96
  • 99.
    Actualizare Plan deAmenajarea Teritoriului Judeţean Botoşani Consiliul Judeţean Botoşani Zone şi bunuri materiale afectate de inundaţii Zone şi bunuri materiale afectate de inundaţii datorate revărsărilor unui curs de apă sau a datorate revărsărilor unui curs de apă sau a scurgerilor de torenţi scurgerilor de torenţi Nr. Municipiu, oraş, Nr. Municipiu, oraş, Localitatea (satul) Localitatea (satul) crt. comuna Proprietatea crt. comuna Proprietatea Activităţile social- Activităţile social- Nr. locuinţe Suprafeţe Nr. locuinţe Suprafeţe economice şi obiective economice şi obiective /anexe agricole /anexe agricole edilitare edilitare gospodăreşti (ha) gospodăreşti (ha) 0 1 2 3 4 5 0 1 2 3 4 5 IONĂŞENI 51 5 DEALUL CRUCII 2 TOTAL TRUŞEŞTI 2 TOTAL 17 2 ob;4 Pd COM.TUDORA TUDORA 134 13 7ob; 0,3km DN;2,2 VORNICENI 69 kmDC 78 COM.VORONA VORONA 27 15 70 COM. UNGURENI UNGURENI 4 127 2 ob;5 km dr.expl. ICUŞENI 15 BORZEŞTI 10 11 JOLDEŞTI 37 CĂLUGĂRENI 5 15 POIANA 4 CĂLUGĂRENII NOI 6 TOTAL VORONA 31 67 DURNEŞTI 4 TOTAL GENERAL 3945 17028 ha 187ob;18,5 kmDN; MINDREŞTI 17 gospodării; 15,2 kmdj;136,4 dc;72 PLOPENII MARI 5 2 blocuri Pd;17 pd;4J km.r.el;2,3 PLOPENII MICI 5 krn r.tf.2J45km străzi; VICOLENI 5 1 TOTAL UNGURENI 20 72 Sursa: RA Apele Române-Filiala Iaşi 71 COM. UNŢENI UNŢENI 21 39 BURLA 8km DC A.4.1.3.3. Valorificarea potenţialului hidroenergetic al principalelor cursuri de apă (folosinţe BURLEŞTI 5 10 2 pd neconsumatoare de apă) MĂNĂSTIRENI 17 13 4 km DC TOTAL UNŢENI 43 62 2 pd; 12 km DC Cursurile de apă din spaţiul hidrografic Prut, care ocupă cea mai mare parte a judeţului 72 COM. CULEŞTI VĂCULEŞTI 22 Botoşani, au un potenţial hidroenergetic neînsemnat. SAUCENIŢA 18 20 1 Pd Pe râul Prut s-a valorificat potenţialul hidroenergetic al retenţiei create de realizarea barajului TOTAL 18 42 1 Pd Stânca-Costeşti şi al efectului regularizator al lacului de acumulare prin realizarea în comun cu R. VĂCULEŞTI Moldova a CHE Stânca-Costeşti cu o putere instalată de 16 MW şi o producţie medie de energie de 65 COM. VIIŞOARA VIIŞOARA 2 13 6Pd; 0,8 km DJ;0,5 GWh/an. 73 kmDC Pe conducta de aducţiune Stânca - Truşeşti se află MHC Stânca, cu o putere instalată de 0,64 74 COM. V.CÎMPULUI V.CÎMPULUI 25 MW şi o producţie de energie în anul mediu de 1 mil. KWh. IONĂŞENI 50 Pe râul Siret, în cadrul amenajării hidrotehnice Rogojeşti se află uzina hidroelectrică Rogojeşti, LUNCA 7 cu o putere instalată de 3,2, MW şi o producţie medie de energie de 9,06 GWh/an. TOTAL 82 V.CÎMPULUI 75 COM. VLĂDENl VLĂDENl 116 A.4.1.3.4. Protecţia calităţii surselor de apă BREHUIEŞTI 150 HRIŞCANI 54 Prin lucrări de protecţie a calităţii surselor de apă se înţeleg măsurile şi instalaţiile care au drept HUŢANI 863 scop conservarea şi protecţia acestora împotriva poluării. MÎNDREŞTI 6 TOTAL VLĂDENl 1189 A.4.1.3.4.1. Ape subterane 76 COM. VLĂSINEŞTI VLĂSINEŞTI 50 232 MIRON COSTIN 32 Caracteristicile litologice ale Platformei Moldoveneşti, reprezentată prin depozite cuaternare şi SÎRBI 45 170 terţiare dispuse peste formaţiuni mai vechi cretacice, au fost favorabile acumulării de ape subterane la TOTAL 95 434 diverse adâncimi, dar care, datorită calităţii climatice şi de strat, au în general debite reduse şi conţinut VLASINEŞTI ridicat de săruri. 77 COM.VORNICENI VORNICENI 15 2 ob;4 Pd Elaboratori: UAUIM-CCPEC, Bucureşti, împreună cu, Universitatea Bucureşti – CICADIT, SC. Quattro Design s.r.l. – Bucureşti, SC. Urbatech s.r.l. – Iaşi, UAIC - Facultatea de Geografie, Iaşi, 97
  • 100.
    Actualizare Plan deAmenajarea Teritoriului Judeţean Botoşani Consiliul Judeţean Botoşani Apele freatice se acumulează în primul orizont de materiale permeabile şi se alimentează din înnisiparea unor foraje, datorită exploatării defectuoase şi dotării cu pompe inadecvate; precipitaţii , din unităţile hidrogeologice vecine şi local din revărsarea râurilor. În bazinul hidrografic Prut, care ocupă în cea mai mare parte teritoriul judeţului Botoşani, apele aplicarea unor pârghii economice (H.G. 1001/90) care au descurajat folosirea apei subterane acolo freatice sunt cantonate în depozite argiloase de vârstă sarmaţiană, cu intercalaţii nisipoase de mică unde nu este absolut necesar. importanţă hidrogeologică şi orizonturi gipsoase. În aceste condiţii, rezervele exploatabile se întâlnesc în luncile râurilor, cu depozite slab permeabile şi sulfatate. În general, se observă ape sulfatate cu mineralizare şi duritate înaltă cu un grad de potabilitate redus. A.4.1.3.4.2. Ape de suprafaţă Pentru caracterizarea calitativă a apelor subterane freatice din punct de vedere a caracterului chimic dominant şi al potabilităţii este fundamentală asigurarea unei reprezentativităţi a probelor. Aceasta se obţine prin pomparea o perioada minimă până ce apa iese limpede, fără suspensii, pentru Caracterizarea apelor de suprafaţă se face pe baza STAS 4706/88 privind indicatorii fizico- atingerea condiţiilor naturale iniţiale, precum şi un sistem adecvat de recoltare a probelor. chimici: regim de oxigen (RO), grad de mineralizare (GM) şi gradul toxicilor speciali(TS). Aprecierea calităţii apelor subterane se face conform STAS 1342/91, care se referă la apa A. RÂURI. potabilă furnizată de instalaţiile centrale sau surse locale de alimentare cu apă. Determinarea calităţii apei din râuri se face pe baza analizei apei în aşa-numitele secţiuni de Se disting două feluri de impurificatori a apelor freatice: control, amplasate pe toate cursurile principale. impurificare naturală produsă prin încărcarea excesivă a apelor cu săruri din rocile pe care le Râul Prut. traversează. Aversele de ploaie contribuie la modificarea calităţii apei în corelaţie cu durata acestora şi a. Secţiunea Darabani. Este o secţiune de referinţă, fiind situată în aval de punctul de intrare în ţară caracteristicile bazinului de recepţie ( pantă, litologie, grad de acoperire cu vegetaţie). (Orofteana). Râul Prut a înregistra în perioada de iarnă şi cea secetoasă (iunie - iulie) debite cuprinse impurificarea artificială are loc prin deversarea apelor uzate menajere, industriale, de la unităţi între 21,7 - 72,0 mc/sec., iar la viituri (aprilie şi septembrie), debite de 300,0 - 700,0 mc/sec. agrozootehnice sau de la alte surse de poluare: depozite de gunoi pe malurile cursurilor de apă sau b. Secţiunea Ştefăneşti - Stânca. Este situată în aval de acumularea Stânca-Costeşti şi ca urmare lacurilor, batale de dejecţii la complexele zootehnice. debitul râului este variabil în funcţie de debitul uzinat generat de satisfacerea necesarului de apă a folosinţelor din aval. Debitul a oscilat între 54,0 mc/sec. în luna iulie şi 163,0 mc/sec. în luna mai. Caracterizare. Pe tronsonul Orofteana - acumularea Stânca-Costeşti în lungime de 239 km., râul Prut prezintă caracteristici fizico-chimice, biologice şi bacteriologice care îl încadrează în categoria a II-a de calitate, recomandată de indicatorii RO şi TS. Impurificările se datorează unor cauze aflate pe Principalele surse de poluare a apelor freatice teritoriul Ucrainei. Tabel a.4.1.8. Tronsonul aval acumulare Stânca-Costeşti - apele râului Prut beneficiază de autoepurarea Nr. Sursa de poluare Localizare Natura poluării Amploarea Unitatea produsă de acumularea Stânca şi trec în categoria I de calitate pentru toţi indicatorii, situaţie ce se crt. poluării menţine până la confluenţa cu râul Jijia. 1. Depozit de gunoi pe mal municipiul substanţe medie Primăria r. Jijia Dorohoi organice Dorohoi Râul Başeu. 2. Depozit de gunoi pe mal comuna substanţe medie Primăria Calitatea apelor râului este urmărită în trei secţiuni de control: Havârna, aval Săveni şi r. Podriga Darabani organice Darabani Ştefăneşti, în amonte de confluenţa cu râul Prut. 3. Depozit de gunoi pe mal comuna substanţe medie Primăria r. Varniţa Frumuşica organice Frumuşica Pe tronsonul izvoare - acumulare Hăneşti, în lungime de 72 km., râul este “degradat”, calificativ Sursa: RA Apele Române-Filiala Iaşi dat de indicatorii RO şi TS, ca urmare a unei poluări naturale datorate condiţiilor geomorfologice a zonelor străbătute cât şi a poluării produse de evacuarea apelor uzate din localitatea Săveni. Concluzii privind apele subterane. Pe tronsonul acumulare Hăneşti - confluenţă râu Prut, în lungime de 46 km., râul este încadrat În ultimii ani, tendinţa de utilizare a apelor freatice este în scădere şi este pusă pe seama în categoria a II-a de calitate, dată de valorile TS şi GM. următorilor factori: Râul Podriga. reducerea activităţii unor unităţi economice; Are o lungime supravegheată calitativ de 40 km., în două secţiuni: aval Darabani şi amonte renunţarea la fronturile de foraje aflate în administrarea fostelor C.A.P.-uri şi trecerea parţială a confluenţă cu râu Başeu. Pe tot parcursul râul este “degradat” datorită valorilor RO şi TS, urmare acestora în conservare; influenţei staţiei de epurare a oraşului Darabani. Elaboratori: UAUIM-CCPEC, Bucureşti, împreună cu, Universitatea Bucureşti – CICADIT, SC. Quattro Design s.r.l. – Bucureşti, SC. Urbatech s.r.l. – Iaşi, UAIC - Facultatea de Geografie, Iaşi, 98
  • 101.
    Actualizare Plan deAmenajarea Teritoriului Judeţean Botoşani Consiliul Judeţean Botoşani Râul Jijia. Încadrarea secţiunilor de supraveghere în categorii de calitate Tabel a.4.1.9. Categoria apei este urmărită pe teritoriul judeţului Botoşani în două secţiuni de control: amonte Dorohoi şi Todireni. Nr. Cursul Secţiunea de Categoria de calitate Crt. de apă supraveghere R.O. G.M. T.S. GEN. Secţiunea amonte Dorohoi este situată la 14 km. de izvoare debitul fiind cuprins între 0,066 0 1 2 3 4 5 6 mc/sec. în august şi 4,04 mc/sec. în luna aprilie. 1. Prut Darabani II I II II Secţiunea Todireni este situată la 104 km faţă de prima secţiune şi este influenţată de apele 2. Prut Ştefăneşti I I I I reziduale evacuate pe traseu. 3. Başeu Havârna D I D D Caracterizare. Tronson izvoare Dorohoi. Râul se încadrează în categoria a III-a de calitate 4. Podriga aval Darabani D I D D impusă de RO şi TS, situaţie datorată unei impurificări naturale provocată de dezvoltarea abundentă a 5. Podriga amonte Başeu D I D D vegetaţiei acvatice care în procesele de descompunere dă naştere unor compuşi organici responsabili de 6. Başeu aval Săveni D III D D calitatea apei din aval. 7. Başeu Ştefăneşti III II II III 8. Jijia amonte Dorohoi III I III III Tronsonul Dorohoi - confluenţă râu Prut. Râul este puternic degradat ca urmare a valorilor RO 9. Jijia Dângeni D I D D şi TS, influenţaţi de sursele de poluare care sunt, în judeţul Botoşani staţia de epurare a municipiului 10. Jijia Truşeşti D II III D Dorohoi şi S.C. ZATRUS S.A. Truşeşti. 11. Jijia Todireni D II III D 12. Sitna amonte Leorda III I II III Râul Sitna. 13. Sitna Botoşani II I II II 14. Sitna Stăuceni D I III D Are o lungime de 78 km şi a fost supravegheat în trei secţiuni: amonte Leorda, amonte Botoşani 15. Sitna Todireni D I III D şi Todireni. 16. Miletin Nicolae Bălcescu III I III III Pe tronsonul izvoare - amonte Botoşani, în lungime de 28 km., apa este de categoria a II-a, 17. Siret Siret I I I I impusă de RO şi TS. 18. Siret Huţani I I I I Pe tronsonul amonte Botoşani - confluenţă râul Jijia, în lungime de 50 km., râul se încadrează în 19. Siret Lespezi I I I I categoria “degradat” datorită evacuării de ape uzate insuficient epurate de către staţia de epurare a Sursa: RA Apele Române-Filiala Iaşi municipiului Botoşani. B. STADIUL CALITĂŢII APEI DIN LACURI. Pentru caracterizarea calitativă a apei din acumulări, au fost studiate următoarele lacuri: Râul Miletin. - Stânca-Costeşti - Mileanca Este ţinut sub observaţie în secţiunile Nicolae Bălcescu şi Şipote (judeţul Iaşi). - Negreni - Cătămăreşti Tronsonul izvoare - N. Bălcescu, în lungime de 37 km., prezintă o apă de categoria a III-a de - Cal Alb - Drăcşani calitate. - Rogojeşti - Bucecea Tronsonul N. Bălcescu - confluenţă râul Jijia a fost încadrat în categoria “degradat” datorită Au fost studiate: impurificării cu apele evacuate fără epurare de localitatea Flămânzi. valorile absolute ale indicatorilor de calitate, conform STAS 4706/88; valorile comparative ale indicatorilor de calitate din 1996 faţă de anul 1995, determinându-se Râul Siret. tendinţa de creştere, scădere sau stagnare a valorilor. A fost supravegheat în trei secţiuni: Siret, Huţani şi Lespezi (judeţul Iaşi), aferente judeţului Din analiză a rezultat că situaţia globală a calităţii în anul 1996 este uşor înrăutăţită faţă de anul Botoşani. 1995, având explicaţie în evoluţia trofică şi în funcţionarea defectuoasă a staţiilor de epurare a La toţi indicatorii, analizele fizico-chimice indică o apă de calitatea I, excepţie făcând localităţilor din amonte. concentraţia ionilor de Fe, care uneori a depăşit limita categoriei I, dar aceasta s-a datorat fondului Acumularea Stânca-Costeşti, amplasată pe râul Prut, nu are surse de impurificare pe teritoriul natural al bazinului hidrografic. judeţului Botoşani. Volumul mare de apă reţinut în acumulare are capacitatea naturală de autoepurare şi anihilare a încărcărilor în anumiţi impurificatori, transportaţi de râul Ciugur (R. Moldova). Elaboratori: UAUIM-CCPEC, Bucureşti, împreună cu, Universitatea Bucureşti – CICADIT, SC. Quattro Design s.r.l. – Bucureşti, SC. Urbatech s.r.l. – Iaşi, UAIC - Facultatea de Geografie, Iaşi, 99
  • 102.
    Actualizare Plan deAmenajarea Teritoriului Judeţean Botoşani Consiliul Judeţean Botoşani Calitatea apei din acumulare este de categoria I la unii indicatori, de categoria a II-a la regimul staţia de epurare se execută lucrări de reamplasare şi modernizare la o parte din obiectele staţiei. Se de oxigen şi degradat la fosfor, situaţie explicată prin seceta prelungită din anii 1994 şi 1995, când preconizează ca punerea în funcţiune să se facă la sfârşitul anului 2010. S.C. APA GRUP S.A. volumul din acumulare a scăzut. Botosani – sect. Stefanesti - Săveni are staţie de epurare pentru capacitatea de 7,22 l/sec. prevăzută cu treaptă mecanică şi biologică, dar realizează randamente scăzute datorită unei exploatări Acumularea Negreni, pe râul Başeu, a înregistrat o evoluţie negativă în cursul anului 1996. necorespunzătoare. Indicatorii chimici încadrează lacul în categoria a II - III-a de calitate şi uneori “degradat” (dată de influenţa fosforului). În localitatea Flămânzi, lucrările începute în anul 1990 la staţia de epurare (lucrare nouă) au fost întrerupte din lipsa finanţării, staţie care se menţine şi în prezent, după trecerea administrării Acumularea Cal Alb, pe râul Başeu, manifestă tendinţa de îmbunătăţire a calităţii apei. Pe baza gospodăriei comunale în sarcina Primăriei. analizei indicatorilor chimici, apa lacului este de categoria I la majoritatea indicatorilor chimici, exceptând substanţele organice şi fosforul, care îl încadrează “degradat”. A.4.2. REŢELE HIDROEDILITARE Acumularea Mileanca, pe râul Podriga se încadrează în categoria lacurilor cu conservarea calităţii. Indicatorii chimici sunt în limita categoriei I de calitate, excepţie făcând sulfaţii care situează A.4.2.1. Alimentare cu apă lacul în categoria a II-a. Acumularea Cătămăreşti, pe râul Sitna prezintă o regresie a calităţii. Indicatorii chimici situează În judeţul Botoşani există în prezent 44 U.A.T.-uri cu localităţi dotate cu instalaţii centralizate şi acumularea în categoria I, dar regimul de oxigen o încadrează în categoria a III-a, iar fosforul o locale de alimentare cu apă, din care 2 municipii, 5 oraşe şi 66 localităţi din 37 de comune. Lungimea degradează. simplă a reţelei de distribuţie este la nivel de judeţ de 751,1 km, din care 455,6 km în localităţi urbane şi 295,5 în localităţi rurale. Acumularea Drăcşani, pe râul Sitna, prezintă o evoluţie negativă a calităţii apei. Valorile anormal de ridicate ale regimului de oxigen atestă o impurificare puternică şi sistematică cu substanţe Debitul total de apă potabilă distribuită este în 2008 de 7.785.000 m³, din care 4.972.000 m³ nedegradate în staţiile de epurare din amonte. pentru uz casnic. Acumularea Rogojeşti, pe râul Siret, îşi menţine calitatea I, ca şi în anii precedenţi. Se Alimentarea cu apă a localităţilor este realizată prin două sisteme: sisteme centralizate şi sisteme înregistrează totuşi o depăşire la fierul total, cu caracter nepermanent, provenită din fondul natural al locale. bazinului hidrografic. A. Sistemele centralizate de alimentare sunt asigurate de principalele aducţiuni şi derivaţii Acumularea Bucecea, pe râul Siret, se încadrează în categoria I, cu aceleaşi observaţii ca mai (Bucecea - Dorohoi, Siret - Botoşani, Botoşani - Flămânzi, Stânca - Truşeşti, Negreni - Săveni), fiind sus. reprezentate prin: A.1. Sistemul Bucecea - Botoşani - Dorohoi - Flămânzi, este alimentat din două surse: o sursă subterană în lunca râului Siret (dren vizitabil) ce asigură un debit de 30 l/s, fără tratare, şi o sursă de C. SURSE DE POUARE. suprafaţă (acumularea Bucecea) dimensionată la un debit de 2100 l/s, cu tratare. Principalele surse de poluare din judeţul Botoşani sunt: S.C. APA GRUP S.A. Botoşani, S.C. A.2. Sistemul Ştefăneşti - Truşeşti este alimentat din sursa de suprafaţă acumularea Stânca- APA GRUP S.A. - sect. Dorohoi, S.C. APA GRUP S.A. – sector Darabani, S.C. APA GRUP S.A. – Costeşti, dimensionat la un debit de 100 l/s (cu posibilităţi de extindere până la 200 l/s). sect. Stefanesti – Săveni. A.3. Sistemul Negreni - Săveni este cel mai mic (aproape un sistem local), alimentat din sursa de La S.C. APA GRUP S.A. Botoşani, staţia de epurare funcţionează cu treptele de epurare suprafaţă acumularea Negreni. mecanică (1200 l/sec.) şi biologică, prin aerare cu rotori, la capacitatea de 600 l/sec. Debitul mediu trecut prin staţie în anul 2008 a fost de 378,65 l/sec., dar randamentul global a fost relativ scăzut, în A.4. Sistemul Darabani este deasemenea un sistem aproape local, alimentat din puţuri şi drenuri special la treapta biologică, care funcţionează necorespunzător, datorită atât incapacităţii de a prelua în în lunca Prutului cu tratare. totalitate debitul de ape uzate cât şi deselor defecţiuni la instalaţiile de aerare. Diferenţa de 600 l/sec. se evacuează în râul Sitna epurată numai în treapta mecanică . este de remarcat situaţia specială existentă în zona de sud a oraşului, unde colectoarele de canalizare converg în staţia de pompare Tulbureni cu B. Sistemele locale sunt sisteme de alimentare cu capacităţi reduse, în principal din surse un debit mediu zilnic de 393,60 l/sec. Staţia are rolul de a tranzita aceste debite spre staţia de epurare, subterane, fără tratare. Sistemele locale asigură doar o alimentare cu apă parţială, între 2 şi 80 % din dar conducta de transport nu poate prelua întregul debit, astfel că o parte (212 l/sec.) este evacuat în populaţia localităţilor. pârâul Tescu (afluent al râului Sitna) fără a fi epurate. Pentru rezolvarea acestei probleme, S.C. APA GRUP S.A. a analizat două variante: mărirea capacităţii de transport a conductei spre staţia de epurare sau construirea unei staţii de epurare în zonă. Din lipsa resurselor financiare, nu s-a realizat nici una Principalele aspecte caracteristice privind alimentarea cu apă a localităţilor sunt următoarele: din variante. Municipiul Botoşani S.C. APA GRUP S.A. – sect. Dorohoi execută lucrări de refacere a reţelelor de canalizare şi un Este alimentat cu apă din acumularea Bucecea (în principal) şi din subteranul luncii Siretului; nou colector cu diametrul 1000 mm. Spre staţia de epurare, lucrare executată în procent de 100%. În Transportul apei se realizează prin aducţiunea Siret - Botoşani. Elaboratori: UAUIM-CCPEC, Bucureşti, împreună cu, Universitatea Bucureşti – CICADIT, SC. Quattro Design s.r.l. – Bucureşti, SC. Urbatech s.r.l. – Iaşi, UAIC - Facultatea de Geografie, Iaşi, 100
  • 103.
    Actualizare Plan deAmenajarea Teritoriului Judeţean Botoşani Consiliul Judeţean Botoşani Debitul de apă distribuit pentru consumatori este de 5.637.000 m³/an, din care 3.355.000 m³/an Caracteristicile principale privind canalizarea şi epurarea apelor uzate se prezintă astfel: pentru uz casnic; Lungimea reţelelor de distribuţie este de 286,2 km; Municipiul Botoşani Ponderea populaţiei care se alimentează în sistem centralizat este de 100 %; Canalizare în sistem unitar 90% şi separativ 10%; Municipiul Dorohoi Lungimea reţelelor de canalizare 146,20 km; Alimentat din acumularea Bucecea; Staţie de epurare cu treaptă mecanică (1200 l/s) şi biologică (600 l/s); Transportul apei se realizează prin aducţiunea Bucecea - Dorohoi; Grad de epurare: corespunzător Debitul de apă distribuit este de 989.000 m³/an, din care pentru uz casnic 741.00 m³/an; Lungimea reţelelelor de distribuţie este de 64,5 km; Municipiul Dorohoi Ponderea populaţiei alimentate este de 100 %; Canalizare în sistem unitar 76% şi separativ 24%; Oraşul Darabani Lungimea reţelelor de canalizare 45,60 km; Alimentat din subteranul luncii Prutului prin puţuri şi dren semivizitabil. Staţie de epurare cu treaptă mecanică (238 l/s) şi biologică (238 l/s); Transportul apei se realizează printr-o conductă de aducţiune în lungime de 4,5 km; Grad de epurare: necorespunzător Debitul de apă distribuit este de 65.000 m³/an, din care pentru uz casnic 39.000 m³/an; Lungimea reţelelor de distribuţie este 9,0 km. Oraşul Darabani Ponderea populaţiei alimentată în sistem centralizat este de 75 %; Canalizare în sistem unitar 100%; Oraş Săveni Lungimea reţelelor de canalizare 4,1 km; Alimentat din acumularea Negreni; Staţie de epurare cu treaptă mecanică (15 l/s); Transportul apei se face prin aducţiunea Negreni - Săveni. Grad de epurare: necorespunzător Debitul de apă distribuit 123.000 m³/an, din care pentru uz casnic 94.000 m³/zi; Lungimea reţelelor de distribuţie este de 28,6 km; Oraş Săveni Ponderea populaţiei alimentate în sistem centralizat este de 80 %; Canalizare în sistem unitar 90% şi separativ 10%. Localităţile rurale care dispun de instalaţii centralizate de alimentare cu apă sunt in număr de 66. Lungimea reţelelor de calizare 10,20 km. Debitul total de apă distribuită consumatorilor din mediul rural în sistem centralizat este de Staţie de epurare cu treaptă mecanică 43% şi biologică 43%. 971.000 m³/an, din care pentru uz casnic 743.000 m³/zi. Grad de epurare: necorespunzător Lungimea totală a reţelelor de distribuţie este de 295,5 km; Ponderea populaţiei care beneficiază de apă în sistem centralizat variază între 2 şi 100%, existând localităţi cu pondere de peste 50 % chiar şi în sistemele locale de alimentare; În localităţile rurale cu reţele de canalizare şi fără staţii de epurare, deversarea apelor uzate se face necontrolat. În restul localităţilor rurale localnicii şi unele obiective social-economice folosesc closete Localităţile rurale care nu dispun de alimentare cu apă în sistem centralizat sau local, se uscate în curţi şi incinte. alimentează din pânza freatică prin fântâni. A.2.2.2. CANALIZARE În judeţul Botoşani dispun de instalaţii de canalizare a apelor menajere şi pluviale un număr de 9 localităţi, din care 4 localităţi urbane şi 5 rurale. Lungimea totală a reţelelor de canalizare este de 228,2 km, din care 206,5 km în localităţile urbane şi 21,7 km în localităţile rurale. Elaboratori: UAUIM-CCPEC, Bucureşti, împreună cu, Universitatea Bucureşti – CICADIT, SC. Quattro Design s.r.l. – Bucureşti, SC. Urbatech s.r.l. – Iaşi, UAIC - Facultatea de Geografie, Iaşi, 101
  • 104.
    Actualizare Plan deAmenajarea Teritoriului Judeţean Botoşani Consiliul Judeţean Botoşani Sistemul de canalizare din judeţ Drumurile naţionale Tabel a.4.2.2. În anul 2008, reţeaua de drumuri naţionale de pe teritoriul judeţului Botoşani însuma un număr de Lungimea reţelei de 9 trasee şi avea o lungime totală de 449,401 km. Prezentăm în tabelul următor lista drumurilor nationale Localitatea colectare a apelor reziduale Epurare ape reziduale Emisar din judeţul Botosani: (km) BOTOŞANI 146 Treapta a doua de tratare SITNA Lista drumurilor naţionale din judeţul Botoşani DOROHOI 45,2 Treapta a doua de tratare JIJIA Tabel a.4.3.1. DARABANI 4,9 Treapta a doua de tratare BAŞEU LUNGIMEA REALĂ POZIŢIA KILOMETRICĂ (km) SĂVENI 10,2 Treapta a doua de tratare BAŞEU Nr. DENUMIREA TRASEUL DRUMULUI ORIGINE DESTINAŢIE crt. DRUMULUI Date din Date din FLĂMÂNZI 2,5 Fără tratare MILETIN (poziţie (poziţie anul 2008 anul 1998 ŞTFĂNEŞTI 3,1 Fără tratare PRUT kilometrică) kilometrică) Limita jud. Iaşi – Santa Mare – Ştefăneşti – BUCECEA 5 Fără tratare SITNA 1 24 C 43+850 142+250 98,535 98,350 Manoleasa – Rădăuţi Prut – DN 29A M. EMINESCU menajer fosă septică DRESLEUCA 2 28 B Limita jud. Iaşi – Fumuşica – Botoşani – DN 29 39+000 76+758 39,492 37,758 Limita jud. Suceava – Botoşani – Săveni – 3 29 21+670 99+850 78,274 78,180 Manoleasa – DN 24C Limita jud. Suceava – Vârfu Câmpului – Dorohoi A.4.3. REŢELE DE TRANSPORT 4 29 A – Darabani – Rădăuţi Prut – Frontieră Rep. 23+010 98+842 76,551 74,732 Moldova 5 29 B Botoşani (DN 29) – Leorda – Dorohoi (DN 29A) 0+000 33+292 33,489 33,292 În cadrul infrastructurilor tehnice un loc important îl ocupă reţelele transport, compuse din: DN 29B - Cucorăni - Bucecea - Mihăileni – 6 29 C 0+000 43+800 43,975 45,800 Limita jud. Suceava - reţea de transport rutier; Botoşani (DN 29B) – Truşeşti - Ştefăneşti – (DN 7 29 D 0+000 48+146 48,718 48,150 - reţeaua de transport feroviar; 24C) 8 29 E Stânca (DN 24C) – Frontieră Rep. Moldova 0+000 2+495 2,495 ... - reţeaua de transport aeriean; 9 29 F Vorniceni - DN 29A - Cristineşti 0+000 27+900 27,872 ... 10 TOTAL 449,401 416,262 - reţeaua de transport naval. Sursa: D.R.D.P. Iaşi, Secţia Drumuri Naţionale Botoşani, noiembrie 2009 Datele necesare analizei, pentru toate tipurile de reţele de transport s-au obţinut din evidenţe statistice, din planurile de amenajare a teritoriului naţional (secţiunea a II-a), de la societăţile şi regiile care Sectoarele de drum naţional ce străbat municipiul Botoşani se află în întreţinerea Primăriei gestionează activitatea în domeniu, menţionate în introducere. municipiului Botoşani. Lungimea drumurilor naţionale pe tipuri de îmbrăcăminţi se prezintă astfel: A.4.3.1. Reţeaua de transport rutier - beton asfaltic = 296,902 km (66,07 %) - îmbrăcăminţi asfaltice uşoare = 84,253 km (18,75 %) Din analiza echipării cu reţele de transport rutier a judeţului Botoşani au rezultat următoarele: - beton de ciment = 33,052 km (7,35 %) Reţeaua de transport rutier cuprinde: - drumuri pietruite = 35,194 km (7,83 %) ------------------------- • 9 trasee de drumuri naţionale (449,401 km) din care 1 este drum european (E 58) TOTAL = 449,401 km • 29 trasee de drumuri judeţene (637,467 km) • 174 trasee de drumuri comunele (1032,758 km). Lungimile de îmbrăcăminţi rutiere pe drumurile naţionale din România Lungimea totală a drumurilor publice din judeţul Botoşani este de 2119,626 km, reprezentând Tabel a.4.3.2. 2,59 % din totalul drumurilor publice din România care este de 81.693 km. Îmbrăcăminte de Îmbrăcăminte Denumirea Beton de Pietruire 2 Nr. crt. beton asfaltic bituminoasă Pavaj (PV) Densitatea drumurilor publice în judeţul Botoşani este de 42,51 km/100 km , valoare peste drumului ciment (BC) (P) (IBA) uşoară (IBU) media pe ţară care este de 34,27 km/100 km2. 0 1 2 3 4 5 6 Din total lungime drumuri publice situaţia se prezintă astfel: 1 DN 24C 46,256 17,085 - - 35,194 2 DN 28B 24,526 - 14,966 - - - 449,401 km (21,20 %) sunt drumuri naţionale 3 DN 29 76,004 2,270 - - - - 637,467 km (30,07 %) sunt drumuri judeţene 4 DN 29A 61,734 - 14,817 - - - 1032,758 km (48,73 %) sunt drumuri comunale. 5 DN 29B 31,299 2,190 3,265 - - Elaboratori: UAUIM-CCPEC, Bucureşti, împreună cu, Universitatea Bucureşti – CICADIT, SC. Quattro Design s.r.l. – Bucureşti, SC. Urbatech s.r.l. – Iaşi, UAIC - Facultatea de Geografie, Iaşi, 102
  • 105.
    Actualizare Plan deAmenajarea Teritoriului Judeţean Botoşani Consiliul Judeţean Botoşani DE TREI LOCALITĂŢILE ÎNTRE CARE ESTE CUPRINS PATRU ADMINISTRAREA ALE Îmbrăcăminte de Îmbrăcăminte LUNGIMEA SECTORULUI PE Denumirea Beton de Pietruire TIPURI DE ÎMBRACAMINTI Nr. crt. beton asfaltic bituminoasă Pavaj (PV) BETON DE CIMENT drumului ciment (BC) (P) BETON ASFALTIC KM (IBA) uşoară (IBU) DRUM PIETRUIT ÎMBRĂCĂMINTE CATEGORIA DN CU MUNICIPIILOR CU ECHIVALENŢI VIABILITATE 6 SECTORULUI 0 1 2 3 4 5 KILOMETRI ASFALTICĂ SECTORUL POZIŢIILE JUDEŢUL 6 DN 29C 8,377 32,329 3,269 - - UŞOARĂ SECTOR SECTOR STAREA RELIEF BENZI BENZI 7 DN 29D 46,211 2,507 - - - DN IN 8 DN 29E 2,495 - - - - 0 1 2 3 4 5 6 7 8 9 10 11 12 13 14 15 9 DN 29F - 27,872 - - - 24C 94+300÷96+350 2,069 Ripiceni Ripiceni B BT S D 1,773 24C 96+350÷103+170 6,930 Ripiceni Manoleas B BT S D 5,940 10 TOTAL 296,902 84,253 33,052 - 35,194 24C 103+170÷103+760 0,590 Manoleasa Manoleas B BT S D 0,506 Sursa: DRDP Iaşi, Secţia Drumuri Naţionale Botoşani, noiembrie 2009 24C 103+760÷105+800 1,859 Manoleasa Manoleasa B BT S D 1,593 Prut 24C 105+800÷106+650 0,883 Manoleasa Manoleasa B BT S D 0,757 Starea de viabilitate a drumurilor naţionale poate fi considerată în general ca fiind bună, acest fapt Prut Prut 24C 106+650÷106+900 0,330 Manoleasa Manoleasa M BT S D 0,283 rezultând şi din tabelul următor. Prut Prut 24C 106+900÷107+960 0,980 Manoleasa Iorga M BT S D 0,840 Prut Situaţia de viabilitate a drumurilor la data de 31.12.2008 24C 107+960÷109+000 1,040 Iorga Iorga M BT S D 0,891 24C 109+000÷110+410 1,410 Iorga Liveni M BT S D 1,209 detaliată pe DN la nivel secţie (SDN Botoşani) 24C 110+410÷114+750 4,340 Liveni Liveni M BT S D 3,720 Tabel a.4.3.3. 24C 114+750÷117+950 3,200 Liveni Mitoc M BT S D 2,743 DE TREI LOCALITĂŢILE ÎNTRE CARE ESTE CUPRINS PATRU ADMINISTRAREA ALE LUNGIMEA SECTORULUI PE 24C 117+950÷118+950 1,000 Mitoc Mitoc M BT S D 0,857 TIPURI DE ÎMBRACAMINTI 24C 118+950÷134+500 15,394 Mitoc MIorcani M BT S D 13,195 BETON DE CIMENT BETON ASFALTIC KM DRUM PIETRUIT 24C 134+500÷137+910 3,410 Miorcani Miorcani M BT S D 2,923 ÎMBRĂCĂMINTE CATEGORIA DN CU MUNICIPIILOR CU ECHIVALENŢI 24C 137+910÷140+700 2,790 Miorcani Radauti M BT S D 2,391 VIABILITATE SECTORULUI KILOMETRI ASFALTICĂ Prut SECTORUL POZIŢIILE JUDEŢUL 24C 140+700÷142+000 1,300 Radauti Radauti M BT S D 1,114 UŞOARĂ SECTOR SECTOR STAREA RELIEF Prut Prut BENZI BENZI 24C 142+000÷142+250 0,250 Radauti Radauti M BT S D 0,214 DN IN Prut Prut 0 1 2 3 4 5 6 7 8 9 10 11 12 13 14 15 98,535 46,256 0,000 17,085 35,194 0,000 0,000 0,000 84,726 24 C IAŞI – BIVOLARI – 28B TIRGU ŞTEFĂNEŞTI - FRUMOS – MANOLEASA HIRLAU- 24C 43+850÷43+900 0,050 Bivolari Badarai B BT S D 0,043 BOTOSANI 24C 43+900÷43+925 0,025 Badarai Badarai B BT S D 0,021 28B 39+000÷43+040 4,031 Maxut Frumusica B BT E D 4,031 28B 43+040÷45+100 1,845 Frumusica Frumusica B BT E D 1,845 24C 43+925÷45+037 1,118 Badarai Badarai B BT S D 0,958 28B 45+100÷45+600 0,846 Frumusica Flaminzi B BT E D 0.846 24C 45+037÷45+500 0,463 Durneşti Durneşti B BT S D 0,397 28B 45+600÷50+530 4,832 Flaminzi Flaminzi B BT E D 4,832 24C 45+500÷45+557 0,057 Durneşti Durneşti B BT S D 0,049 28B 50+530÷52+050 1,467 Flaminzi Cotu B BT E D 1,467 24C 45+557÷45+928 0,381 Durneşti Durneşti B BT S D 0,327 28B 52+050÷53+360 1,313 Cotu Cotu B BT E D 1,313 28B 53+360÷53+875 0,527 Cotu Cotu B BT E D 0,527 24C 45+928÷46+269 0,341 Santa Mare Santa Mare B BT S D 0,292 28B 53+875÷57+100 3,250 Copalau Copalau B BT E D 3,250 24C 46+269÷48+000 1,725 Santa Mare Santa Mare B BT S D 1,479 28B 57+100÷57+600 0,500 Copalau Zaicesti B BT E D 0,500 24C 48+000÷50+063 2,072 Santa Mare Santa Mare B BT S D 1,776 28B 57+600÷59+000 1,400 Copalau Zaicesti B BT E D 1,400 24C 50+063÷57+724 7,691 Santa Mare Ringhilesti- B BT S D 6,592 28B 59+000÷67+600 8,686 Copalau Zaicesti B BT E D 8,686 Deal 28B 67+600÷68+406 0,796 Zaicesti Zaicesti B BT E D 0,796 24C 57+724÷58+207 0,481 Ringhilesti- Ringhilesti- B BT S D 0,412 28B 68+406÷68+620 0,214 Zaicesti Botoşani B BT E D 0,214 Deal Deal 28B 68+620÷69+613 0,993 Zaicesti Botoşani B BT E D 0,993 24C 58+207÷58+580 0,371 Ringhilesti- Iliseni B BT S D 0,318 28B 69+613÷71+100 1,529 Zaicesti Botoşani B BT E D 1,529 Deal 28B 71+100÷71+150 0,050 Botoşani Botoşani B BT M E D 0,050 24C 58+580÷58+600 0,020 Ringhileşti Iliseni B BT S D 0,017 28B 71+150÷72+730 1,580 1,580 Botoşani Botoşani B BT M E D 2,370 24C 58+600÷59+612 1,028 Iliseni Iliseni B BT S D 0,881 28B 72+730÷74+250 1,520 Botoşani Botoşani B BT M E D 1,737 24C 59+612÷61+129 1,473 Iliseni Damideni B BT S D 1,263 28B 74+250÷75+390 1,023 Botoşani Botoşani B BT M E D 1,710 28B 75+390÷76+758 3,090 3,090 Botoşani Botoşani B BT M E D 6,180 24C 61+129÷62+261 1,180 Damideni Damideni B BT S D 1,011 39,492 24,526 14,966 0,000 0,000 1,580 3,090 7,263 44,276 24C 62+261÷65+800 3,539 Damideni Romaneşti B BT S D 3,033 29 SUCEAVA – 24C 65+800÷66+000 0,200 Romaneşti Romaneşti B BT S D 0,171 BOTOSANI – 24C 66+000÷66+930 0,916 Romaneşti Romaneşt B BT S D 0,785 SAVENI - MANOLEASA 24C 66+930÷67+739 0,811 Romaneşti Romaneşt B BT S D 0,695 29 21+670÷24+070 2,507 Dumbraveni Hutani B BT E D 2,507 24C 67+739÷71+653 3,914 Bobuleşti Bobuleşti B BT S D 3,355 29 24+070÷25+300 0,858 Hutani Hutani B BT E D 0,858 24C 71+653÷72+079 0,426 Bobuleşti Badiuţi B BT S D 0,365 29 25+300÷26+800 1,954 Hutani Vladeni B BT E D 1,954 24C 72+079÷73+142 1,142 Badiuţi Badiuţi B BT S D 0,979 29 26+800÷27+650 0,689 Vladeni Vladeni B BT E D 0,689 29 27+650÷31+200 3,601 Vladeni Baisa B BT E D 3,601 24C 73+142÷74+385 1,245 Stefanesti Stefanesti B BT S D 1,067 29 31+200÷31+680 0,475 Baisa Baisa B BT E D 0,475 24C 74+385÷75+580 1,197 Stefanesti Stefanesti B BT S D 1,197 29 31+680÷36+440 4,622 Baisa Hudum B BT E D 4,622 24C 75+580÷77+210 1,643 Stefanesti Stinca B BT S D 1,485 29 36+440÷37+400 1,239 Hudum Hudum B BT E D 1,239 24C 77+210÷77+944 0,744 Stinca Stinca B BT S D 0,660 29 37+400÷37+900 0,369 Hudum Botosani B BT E D 0,369 29 37+900÷39+400 1,484 1,484 Botosani Botosani B BT E D 3,437 24C 77+944÷94+300 16,507 Stinca Ripiceni B BT S D 14,149 29 39+400÷39+780 0,380 0,380 Botosani Botosani B BT E D 1,484 Elaboratori: UAUIM-CCPEC, Bucureşti, împreună cu, Universitatea Bucureşti – CICADIT, SC. Quattro Design s.r.l. – Bucureşti, SC. Urbatech s.r.l. – Iaşi, UAIC - Facultatea de Geografie, Iaşi, 103
  • 106.
    Actualizare Plan deAmenajarea Teritoriului Judeţean Botoşani Consiliul Judeţean Botoşani DE DE TREI LOCALITĂŢILE ÎNTRE CARE ESTE CUPRINS TREI LOCALITĂŢILE ÎNTRE CARE ESTE CUPRINS PATRU ADMINISTRAREA PATRU ADMINISTRAREA ALE ALE LUNGIMEA SECTORULUI PE LUNGIMEA SECTORULUI PE TIPURI DE ÎMBRACAMINTI TIPURI DE ÎMBRACAMINTI BETON DE CIMENT BETON DE CIMENT BETON ASFALTIC BETON ASFALTIC KM KM DRUM PIETRUIT DRUM PIETRUIT ÎMBRĂCĂMINTE ÎMBRĂCĂMINTE CATEGORIA DN CATEGORIA DN CU CU MUNICIPIILOR MUNICIPIILOR CU CU ECHIVALENŢI ECHIVALENŢI VIABILITATE VIABILITATE SECTORULUI SECTORULUI KILOMETRI KILOMETRI ASFALTICĂ ASFALTICĂ SECTORUL SECTORUL POZIŢIILE POZIŢIILE JUDEŢUL JUDEŢUL UŞOARĂ UŞOARĂ SECTOR SECTOR SECTOR SECTOR STAREA STAREA RELIEF RELIEF BENZI BENZI BENZI BENZI DN DN IN IN 0 1 2 3 4 5 6 7 8 9 10 11 12 13 14 15 0 1 2 3 4 5 6 7 8 9 10 11 12 13 14 15 29 39+780÷40+300 0,320 0,320 Botosani Botosani B BT E D 0,640 Deal Deal 29 40+300÷41+900 1,400 1,400 Botosani Botosani B BT E D 2,800 Catamaresti 29B 5+850÷11+600 5,620 Cervicesti B BT P D 5,620 29 41+900÷42+000 0,100 0,100 Botosani Botosani B BT E D 0,200 Deal 29 42+000÷43+500 1,470 Botosani Botosani B BT E D 2,345 29B 11+600÷12+210 1,667 Cervicesti Cervicesti B BT P D 1,667 29 43+500÷44+100 0,630 Botosani Botosani B BT E D 1,260 29B 12+210÷15+200 2,996 Cervicesti Leorda B BT P D 2,996 29 44+100÷44+400 0,300 Botosani Rachiti B BT E D 0,352 29B 15+200÷16+060 0,857 Leorda Leorda B BT P D 0,857 29 44+400÷44+950 0,550 Rachiti Rachiti B BT E D 0,566 29B 16+060÷20+695 3,604 Leorda Braiesti B BT P D 3,604 29 44+950÷62+060 17,164 Rachiti Ungureni B BT S D 14,808 29B 20+695÷22+520 1,823 Braiesti Braiesti B BT P D 1,823 29 62+060÷65+940 3,943 Ungureni Ungureni B BT S D 3,380 29B 22+520÷24+685 2,210 Braiesti Vaculesti B BT P D 2,210 29 65+940÷74+778 8,900 Ungureni Saveni B BT S D 7,629 29B 24+685÷25+571 0,978 Vaculesti Vaculesti B BT P D 0,978 29 74+778÷77+030 2,314 Saveni Saveni B BT S D 1,983 29B 25+571÷26+996 1,425 Vaculesti Saucenita B BT P D 1,425 Aurel 29B 26+996÷27+910 0,904 Saucenita Saucenita B BT P D 0,904 29 77+030÷83+505 6,534 Saveni B BT S D 5,601 Vlaicu 29B 27+910÷29+670 1,770 Saucenita Dealu Mare B BT P D 1,770 Aurel Aurel 29B 29+670÷30+605 0,935 Dealu Mare Dealu Mare B BT P D 0,935 29 83+505÷84+605 1,162 B BT S D 0,996 Vlaicu Vlaicu 29B 30+605÷31+500 0,830 Dealu Mare Dorohoi B BT P D 0,830 Aurel 29B 31+500÷32+300 0,800 Dorohoi Dorohoi B BT P D 0,800 29 84+605÷87+384 2,804 Avrameni B BT S D 2,402 Vlaicu 29B 32+300÷33+292 1,137 1,137 Dorohoi Dorohoi B BT P D 2,274 29 87+384÷89+527 2,243 Avrameni Avrameni B BT S D 1,923 33,489 31,299 0,000 2,190 0,000 0,000 4,234 5,037 37,726 29 89+527÷94+800 5,330 Avrameni Flondora B BT S D 4,569 29C CUCORANI – 29 94+800÷96+900 2,162 Flondora Flondora B BT S D 1,853 VIRFU 29 96+900÷99+850 2,770 Manoleasa Manoleas B BT S D 2,374 CIMPULUI- 78,274 76,004 0,000 2,270 0,000 0,000 3,684 5,784 76,916 MIHAILENI 29A SUCEAVA – 29C 0+000÷1+030 1,030 Inters 29B Cucorani B BT S D 0,883 DOROHOI – 29C 1+030÷1+240 0,210 Cucorani Cucorani B BT S D 0,180 RADAUTI- PRUT 29C 1+240÷2+600 1,364 Cucorani Cucorani B BT S D 1,169 29A 23+010÷23+550 0,540 Zvoristea Vf Camp. B BT S D 0,463 29C 2+600÷4+505 1,905 Cucorani Calinesti B BT S D 1,633 29A 23+550÷26+300 2,750 Vf Camp. Vf Camp. B BT S D 2,357 29C 4+505÷5+550 1,030 Cucorani Calinesti B BT S D 0,882 29A 26+330÷33+250 6,905 Vf. Camp. Holaceni B BT S D 5,918 29C 5+550÷6+770 1,220 Calinesti Calinesti B BT S D 1,046 29A 33+250÷34+350 1,100 Horlaceni Horlaceni B BT S D 0,942 29C 6+770÷7+320 0,556 Calinesti Bucecea B BT S D 0,478 29A 34+350÷37+500 3,000 Horlaceni Dorohoi B BT S D 2,571 29C 7+320÷8+000 0,686 Bucecea Bucecea B BT S D 0,589 29A 37+500÷37+770 0,220 Horlaceni Dorohoi B BT S D 0,189 29C 8+000÷10+600 2,613 Bucecea Bucecea B BT S D 2,240 29A 37+770÷37+872 0,302 Dorohoi Dorohoi B BT M S D 0,259 29C 10+600÷11+000 0,413 Bucecea Ionaseni B BT S D 0,354 29A 37+872÷38+655 0,627 Dorohoi Dorohoi B BT M S D 0,537 29C 11+000÷13+800 2,620 Bucecea Ionaseni B BT S D 2,245 29A 38+655÷39+500 0,872 0,872 Dorohoi Dorohoi B BT M S D 1;744 29C 13+800÷15+200 1,580 Ionaseni Ionaseni B BT S D 1,354 29A 39+500÷42+250 2,542 Dorohoi Dorohoi B BT M S D 2,179 29C 15+200÷16+000 0,814 Ionaseni Ionaseni B BT S D 0,698 29A 42+250÷43+457 1,565 Dorohoi Dumbravita B BT S D 1,340 29C 16+000÷16+500 0,500 Ionaseni Ionaseni B BT S D 0,429 29A 43+457÷47+450 4,156 Dorohoi Dumbravita B BT S D 3,562 Virfu 29C 16+500÷18+020 1,670 Ionaseni B BT S D 1,431 29A 47+450÷48+670 1,229 Dumbravit Dumbravita B BT S D 1,053 Cimpului 29A 48+670÷51+540 2,902 Dumbravit Dragalina B BT S D 2,487 Virfu Virfu 29C 18+020÷21+000 2,991 B BT S D 2,564 29A 51+540÷54+410 1,775 Dragalina Dragalina B BT S D 1,521 Cimpului Cimpului 29A 53+410÷55+205 1,803 Dragalina Smardan B BT S D 1,545 Virfu Virfu 29C 21+000÷21+550 0,550 B BT S D 0,471 29A 55+205÷57+010 1,805 Smardan Smardan B BT S D 1,547 Cimpului Cimpului 29A 57+010÷58+105 1,089 Smardan Lisna B BT S D 0,933 Virfu Virfu 29C 21+550÷23+960 2,398 B BT S D 2,056 29A 58+105÷59+710 1,634 Lisna Lisna B BT S D 1,401 Cimpului Cimpului 29A 59+710÷60+900 1,168 Lisna Mlenauti B BT S D 1,001 Virfu 29C 23+960÷24+500 0,430 Lunca B BT S D 0,368 29A 60+900÷61+436 0,56 Mlenauti Mlenauti B BT S D 0,480 Cimpului 29A 61+436÷62+630 1,184 Mlenauti Hudesti B BT S D 1,014 29C 24+500÷28+300 4,010 Lunca Lunca B BT S D 3,437 29A 62+630÷66+250 3,667 Hudesti Hudesti B BT S D 3,143 29C 28+300÷29+050 0,650 Lunca Talpa B BT S D 0,557 29A 66+250÷72+100 5,842 Hudesti Darabani B BT S D 5,007 29C 29+050÷30+500 1,446 Talpa Talpa B BT S S 1,239 29A 72+100÷76+900 5,000 Darabani Darabani B BT S D 6,860 29C 30+550÷32+450 1,919 Talpa Cindesti B BT S S 1,645 29A 76+900÷82+100 5,276 Darabani Paltinis B BT S D 4,522 29C 32+450÷35+980 3,530 Cindesti Cindesti B BT S S 3,026 29A 82+100÷84+980 2,754 Paltinis Paltinis B BT S D 2,360 29C 35+980÷38+450 2,472 Cindesti Mihaileni B BT S S 2,119 29A 84+980÷86+850 1,921 Paltinis Horodiste B BT S D 1,647 29C 38+450÷41+000 2,571 Mihaileni Mihaileni B BT S S 2,204 29A 86+850÷91+171 4,308 Horodistea Horodiste B BT S D 3,693 29C 41+000÷41+400 0,400 Mihaileni Mihaileni B BT S S 0,343 29A 91+171÷94+800 3,716 Horodistea Rediu B BT S D 3,185 29C 41+400÷43+000 1,621 Mihaileni Siret B BT S S 1,389 29A 94+800÷96+200 1,459 Rediu Rediu B BT S D 1,251 29C 43+000÷43+050 0,050 Mihaileni Siret B BT S S 0,044 Radauti 29C 43+050÷43+800 0,726 Mihaileni Siret B BT S S 0,622 29A 96+200÷96+950 0,727 Rediu B BT S D 0,623 29C 43+800÷44+230 0,430 Mihaileni Siret B SV S S 0,368 Prut Radauti Radauti 29C 44+230÷45+800 1,560 Mihaileni Siret B SV S S 1,337 29A 96+950÷97+942 0,847 B BT S D 0,726 45,965 8,807 3,269 33,889 0,000 0,000 0,000 0,000 39,4 Prut Prut Radauti Pod 29D BOTOSANI – 29A 97+942÷98+842 1,306 B BT S D 1,119 TRUSESTI - Prut Lipcani 76,551 61,734 14,817 0,000 0,000 0,000 0,872 4,343 69,179 STEFANESTI 29B BOTOSANI - 29D 0+000÷2+000 2,507 Botosani Botosani B BT M S D 2,507 DOROHOI 29D 2+000÷2+800 0,800 Botosani Botosani B BT M S D 0,686 29B 0+000÷2+190 2,190 2,190 Botosani Botosani B BT M P D 4,380 29D 2+800÷6+640 3,856 Botosani Stauceni B BT S D 3,305 29B 2+190÷3+000 0,910 0,910 Botosani Botosani B BT M P D 1,820 29D 6+640÷8+650 1,969 Stauceni Stauceni B BT S D 1,688 29B 3+000÷5+850 2,833 Catamarasti Catamaresti B BT P D 2,833 29D 8+650÷10+950 2,365 Stauceni Victoria B BT S D 2,027 Elaboratori: UAUIM-CCPEC, Bucureşti, împreună cu, Universitatea Bucureşti – CICADIT, SC. Quattro Design s.r.l. – Bucureşti, SC. Urbatech s.r.l. – Iaşi, UAIC - Facultatea de Geografie, Iaşi, 104
  • 107.
    Actualizare Plan deAmenajarea Teritoriului Judeţean Botoşani Consiliul Judeţean Botoşani DE TREI LOCALITĂŢILE ÎNTRE CARE ESTE CUPRINS PATRU ADMINISTRAREA ALE LUNGIMEA SECTORULUI PE Localitatea Supra Intra Anul An Clasa TIPURI DE ÎMBRACAMINTI Nr. DN Pozitie Lung. Tip Nr. tot. Obstacol cea mai struc struc de consoli de crt. id (km) totala fundatii deschid. BETON DE CIMENT BETON ASFALTIC apropiata tura tura constr. dare încar. KM DRUM PIETRUIT ÎMBRĂCĂMINTE CATEGORIA DN CU MUNICIPIILOR 12 28B 42+976 Scurgere Frumusica BP B 27,000 I 1 1973 - E CU ECHIVALENŢI VIABILITATE SECTORULUI KILOMETRI 13 28B 45+285 Scurgere Frumisica BP B 18,400 I 1 1973 - E ASFALTICĂ SECTORUL POZIŢIILE JUDEŢUL 14 28B 47+193 P.Varnita Flaminzi BP B 39,800 I 3 1968 - E UŞOARĂ SECTOR SECTOR STAREA RELIEF BENZI BENZI 15 28B 57+603 P.Miletin Buda BP B 35,200 I 1 1968 - E DN 16 28B 71+475 P.Dresleu Botosani BP B 9,100 D 1 1972 - E IN 0 1 2 3 4 5 6 7 8 9 10 11 12 13 14 15 17 29 21+810 R. Siret Hutani BA B 120,330 C 3 1964 2000 E 29D 10+950÷12+100 1,156 Victoria Victoria B BT S D 0,991 18 29 23+161 Scurgere Hutani BA B 22,570 D 1 1966 - I 29D 12+100÷16+200 4,114 Victoria Siliscani B BT S D 3,256 29D 16+200÷16+900 0,700 Siliscani Siliscani B BT S D 0,600 19 29 23+457 Scurgere Hutani BA B 35,800 D 2 1964 2002 E 29D 16+900÷26+900 9,991 Siliscani Drislea B BT S D 8,564 20 29 23+620 Scurgere Hutani BA B 22,660 D 1 1964 - I 29D 26+900÷29+180 2,107 Drislea Drislea B BT S D 1,806 21 29 23+720 Scurgere Hutani BA B 22,100 D 1 1964 - I 29D 29+180÷30+720 1,730 Drislea Trusesti B BT S D 1,483 22 29 23+875 Scurgere Hutani BA B 19,480 D 1 1964 - I 29D 30+720÷32+528 1,766 Trusesti Trusesti B BT S D 1,754 29D 32+528÷36+380 3,756 Trusesti Guranda B BT S D 3,756 23 29 23+948 Girla Morii Hutani BA B 46,580 D 3 1964 2002 E 29D 36+380÷38+180 1,925 Guranda Guranda B BT S D 1,925 24 29 27+780 P.Vladeni Vladeni BA B 21,200 D 1 1964 - I 29D 38+180÷40+459 2,287 Guranda Cucuteni B BT S D 2,287 25 29 36+309 P.Rau Baisa BA B 20,800 D 1 1964 - I 29D 40+459÷44+135 3,657 Cucuteni Cucuteni B BT S D 3,657 26 29 37+770 P.Deleanca Botosani BA B 18,650 D 1 1965 - I 29D 44+135÷47+131 3,007 Cucuteni Stefanesti B BT S D 3,007 29D 47+131÷48+146 1,025 Stefanesti Stefanesti B BT S D 1,025 27 29 44+132 P. Situa Botosani BP B 27,300 D 1 1968 - E 48,718 46,211 0,000 2,507 0,000 0,000 0,000 3,307 44,594 28 29 48+555 P.Minzoaia Rachiti BP B 27,200 D 1 1968 - E 29E STINCA – 29 29 53+944 P.Maistrului Manastiren BP B 22,100 D 1 1968 - E FRONTIERA MOLDOVA 30 29 64+820 R.Jijia Ungheni BP BA 39,200 C 2 1968 - E 29E 0+000÷1+800 1,800 Stinca Stinca R BT S D 1,800 31 29 74+788 Cale ferata Saveni BP BA 55,000 D 2 1995 - E 29E 1+800÷2+495 0,695 Stinca Frontiera R BT S D 0,695 32 29 75+450 P. Baseu Saveni BP BA 52,360 I 2 1974 - E Moldova 33 29 84+800 Scurgere A.Vlaicu BP B 30,100 C 1 1974 - E 2,495 2,495 0,000 0,000 0,000 0,000 0,000 0,000 2,495 29F VORNICENI - 34 29 95+065 Scurgere Fleodora BP B 11,200 D 1 1973 - E CRISTESTI 35 29 95+300 P.Volovat Fleodora BP B 35,600 C 1 1974 - E 29F 0+00÷3+646 3,696 Vorniceni Vorniceni R BT S D 3,168 36 29A 36+065 P. Intors Dorohoi BA B 46,400 D 2 1963 2008 I 29F 3+646÷5+150 1,511 Vorniceni Cordareni R BT S D 1,295 29F 5+150÷9+702 4,541 Cordareni Cordareni R BT S D 3,893 37 29A 40+155 R. Jijia Dorohoi BP B 37,200 I 1 1976 - E 29F 9+702÷10+696 1,000 Cordareni Dumeni M BT S D 0,857 38 29A 43+765 Scurgere Dorohoi BP B 13,000 D 1 1976 - E 29F 10+696÷15+274 4,596 Dumeni Dumeni M BT S D 3,939 39 29A 47+440 Scurgere Dumbravita BA B 14,000 D 1 1968 - E 29F 015+274÷17+064 1,786 Dumeni G. Enescu M BT S D 1,531 40 29A 51+295 P.Chilauca Dragalina BP B 11,800 D 1 1969 - E 29F 17+064÷19+189 2,124 G. Enescu G. Enescu M BT S D 1,821 29F 19+189÷20+182 0,996 G. Enescu Dragalina M BT S D 0,854 41 29A 63+320 P. Baseu Hudesti BP B 30,400 D 1 1969 - E 29F 20+182÷22+238 2,068 Dragalina Dragalina M BT S D 1,773 42 29A 96+100 P. Isnovat Rediu BP B 13,000 D 1 1970 - E 29F 22+238÷26+140 3,902 Dragalina Cristinesti M BT S D 3,345 43 29B 14+265 P. Dreslean Leorda BA B 22,900 D 1 1965 - I 29F 26+140÷27+900 1,652 Cristinesti Cristinesti M BT S D 1,416 44 29B 33+277 P. Jijioara Dorohoi BP B 14,300 D 1 1991 - I 27,872 0,000 0,000 27,872 0,000 0,000 0,000 0,000 23,892 TOTAL SDN 45 29C 4+354 Scurgere Calinesti BA B 6,950 D 1 1901 - I 451,391 297,332 33,052 85,813 35,194 1,580 11,883 25,734 423,204 46 29C 8+380 Cale ferata Bucecea BA B 30,000 D 3 1960 - I Sursa: DRDP Iaşi, Secţia Drumuri Naţionale Botoşani, noiembrie 2009 47 29C 18+060 Scurgere Vf.Cimpului BP B 12,350 D 1 1980 - E 48 29C 18+758 Scurgere Vf.Cimpului BP B 12,200 D 1 1981 - E 49 29C 21+178 Girla Morii Vf.Cimpului BP B 12,600 D 1 1980 - E În judeţul Botoşani pe reţeaua de drumuri naţionale se află un număr de 61 lucrări de artă (poduri şi 50 29C 23+330 P.Morii Vf.Cimpului BA B 12,000 D 1 1967 - E pasaje) însumând o lungime totală de 1.679,65 metri, starea tehnică a acestora fiind în general bună. 51 29C 40+470 P.Molnita MIhaileni BA B 16,800 D 1 1967 - E Prezentăm în tabelul următor situaţia acestor 61 lucrări de artă: 52 29C 44+532 Canal Siret MET+BA B 12,700 D 1 1901 - I 53 29D 7+300 R. Sitna Stauceni BP B 27,100 I 1 1960 2003 E 54 29D 7+466 P.Teioasa Stauceni BA B 20,000 D 1 1960 - I Lista lucrărilor de artă situate pe drumurile naţionale din judeţul Botoşani 55 29D 14+920 P.Burla Siliscani BA B 11,900 D 1 1961 - I Tabel a.4.3.4. 56 29D 16+600 P. Satului Siliscani BA B 9,000 D 1 1961 - I Localitatea Supra Intra Anul An Clasa 57 29D 17+520 P.Siliscani Siliscani BA B 8,000 D 1 1961 - I Nr. DN Pozitie Lung. Tip Nr. tot. Obstacol cea mai struc struc de consoli de 58 29D 19+100 Scurgere Siliscani BA B 6,700 D 1 1961 - I crt. id (km) totala fundatii deschid. apropiata tura tura constr. dare încar. 59 29D 28+105 P.Drislea Drislea BA B 27,500 D 3 1960 - I 1 24C 45+750 P.Rosu Santa Mare BP BA 77,600 I,C 3 1975 1985 E 60 29D 30+971 Scurgere Trusesti BA B 10,000 D 1 1960 - I 2 24C 58+380 P. Caragea Ringhilesti BP B 11,700 D 1 1975 - E 61 29D 31+516 R.Jijia Trusesti BA B 58,600 I 3 1969 - E 3 24C 61+390 Scurgerea Damideni BP B 7,120 D 1 1976 - E Sursa: DRDP Iaşi, Secţia Drumuri Naţionale Botoşani, noiembrie 2009 4 24C 76+045 R.Baseu Stefanesti BP BA 60,600 I 3 1975 - E 5 24C 90+520 Canal Ripiceni BP B 12,400 D 1 1975 - E 6 24C 98+765 P.Manolea Ripiceni BP B 16,800 D 1 1973 - E Dintre cele 61 de poduri existente, un număr de 10 poduri necesită lucrări cu prioritate: 7 24C 100+300 P.Volovat Ripiceni BP B 106,600 I,D 4 1975 - E 8 24C 103+450 P.Volovat Manoleasa BP B 35,000 I 1 1975 - E Poduri ce necesită lucrări cu prioritate 9 24C 114+835 Scurgere Livezi BP B 22,400 D 1 1980 - E 10 24C 141+910 P.Radauti RadautiPrut BA B 10,900 D 1 1965 - I Tabel a.4.3.5. 11 28B 42+415 Cale ferata Frumusica BP BA 41,400 I 3 1991 - E Nr. Crt. DN Pozitia Lungime (m) Elaboratori: UAUIM-CCPEC, Bucureşti, împreună cu, Universitatea Bucureşti – CICADIT, SC. Quattro Design s.r.l. – Bucureşti, SC. Urbatech s.r.l. – Iaşi, UAIC - Facultatea de Geografie, Iaşi, 105
  • 108.
    Actualizare Plan deAmenajarea Teritoriului Judeţean Botoşani Consiliul Judeţean Botoşani 1 29 23+720 22,10 Situaţia zonelor grav înzăpezibile 2 29 36+309 20,00 Tabel a.4.3.7. 3 29 75+150 52,36 Nr. Crt. DN Poz km 4 29 95+065 11,20 1 29 51+300÷52+600 5 24C 45+750 77,60 2 29 55+100÷57+200 6 24C 98+765 16,80 3 29 58+900÷62+300 7 24C 100+300 106,60 4 29 66+000÷74+800 8 24C 103+450 35,00 5 29A 42+300÷42+700 9 29D 28+105 27,50 6 29A 54+100÷54+800 10 29D 31+516 58,60 7 29A 66+800÷68+800 Sursa: DRDP Iaşi, Secţia Drumuri Naţionale Botoşani, noiembrie 2009 8 29A 71+000÷73+200 9 29A 81+000÷83+000 10 29A 85+000÷87+000 La nivelul judeţului Botoşani, mai multe zone sunt afectate de diverşi factori naturali (tasări şi 11 29A 92+000÷94+000 alunecări, zone grav înzăpezibile, etc). 12 29D 22+000÷24+000 13 29D 46+000÷47+000 Situaţia zonelor afectate de tasări sau alunecări 14 29C 6+000÷7+000 Tabel a.4.3.6. Sursa: DRDP Iaşi, Secţia Drumuri Naţionale Botoşani, noiembrie 2009 Nr. Crt. DN Poziţie kilometrică Fenomen 1 29D 5+100÷6+400 Tasare De asemenea un număr de 5 drumuri naţionale au sectoare de drum a căror stare tehnică este 2 29D 8+600÷9+600 Tasare proastă, având capacitatea portantă depăşită. 3 29D 18+560÷20+860 Ebulmente, tasari ,alunecari 4 29D 28+750÷29+200 Tasare Drumuri naţionale cu sectoare având capacitatea portantă depăşită 5 29D 30+750÷30+850 Tasare Tabel a.4.3.8. 6 29D 45+300÷45+700 Tasare Nr. Crt. DN Poz km 7 24C 43+900÷44+600 24C 1 29D 18+560÷20+860 8 24C 45+750 Tasare rampa pod 2 24C 54+060÷56+000 9 24C 54+060÷56+000 Denivelari, tasari 3 28B 48+900÷49+300 10 28B 39+000÷40+200 Tasari, alunecari 4 29 54+700÷54+900 11 28B 42+570÷42+800 Tasari 5 29 61+800÷62+100 12 28B 48+900÷49+300 Tasari, alunecari 6 29 96+300÷96+700 13 28B 63+800÷64+100 Alunecari 7 29B 11+200÷11+600 14 29 49+600÷49+900 Tasari 8 29B 14+100÷14+300 15 29 53+600÷53+900 Tasari Sursa: DRDP Iaşi, Secţia Drumuri Naţionale Botoşani, noiembrie 2009 16 29 54+700÷54+900 Tasari 17 29 61+800÷62+100 Denivelari, tasari Se impun de urgenţă efectuarea de lucrări de modernizare pe drumul naţional DN 28B pe 18 29 70+500÷70+600 Tasari, alunecari sectorul cuprins între km 39+000 şi km 76+760, precum şi pe drumul naţional DN 24C pe sectorul 19 29 74+880÷74+900 Tasare rampa pasaj cuprins între km 43+850 şi km 142+250. 20 29 84+800÷84+900 Tasare rampa pod 21 29 96+300÷96+700 Denivelari, tasari 22 29A 29+800÷30+200 Tasari, alunecari 23 29A 35+200÷735+500 Tasari 24 29A 77+100÷78+200 Tasari 25 29B 11+200÷11+600 Denivelari, tasari 26 29B 14+100÷14+300 Denivelari, tasari Sursa: DRDP Iaşi, Secţia Drumuri Naţionale Botoşani, noiembrie 2009 Elaboratori: UAUIM-CCPEC, Bucureşti, împreună cu, Universitatea Bucureşti – CICADIT, SC. Quattro Design s.r.l. – Bucureşti, SC. Urbatech s.r.l. – Iaşi, UAIC - Facultatea de Geografie, Iaşi, 106
  • 109.
    Actualizare Plan deAmenajarea Teritoriului Judeţean Botoşani Consiliul Judeţean Botoşani Drumurile judeţene au rolul de a asigura, pe de o parte, legăturile rutiere între principalele Nr. DENUMIREA POZIŢIA LUNGIMEA localităţi ale Judeţului şi, pe de altă parte, de a colecta şi dirija către drumurile naţionale traficul rutier local crt. DRUMULUI TRASEUL DRUMULUI KILOMETRICĂ REALĂ ORIGINE DESTINAŢIE (Km) ce se desfăşoară pe drumurile comunale. Prezentăm în tabelul următor lista celor 29 drumuri judeţene din 0 1 2 3 4 5 judeţul Botosani: 30 TOTAL 637,467 Sursa: D.J.D.P.Botoşani, noiembrie 2009 Tabel a.4.3.9. POZIŢIA LUNGIMEA Sectoarele de drum judeţean ce străbat municipiile Botoşani şi Dorohoi, precum şi oraşele Nr. DENUMIREA TRASEUL DRUMULUI KILOMETRICĂ REALĂ crt. DRUMULUI ORIGINE DESTINAŢIE (Km) Darabani, Săveni, Bucecea, Ştefăneşti şi Flămânzi se află în întreţinerea primăriilor acestora. 0 1 2 3 4 5 1 207 L Corni (DJ 208H) - Limita Jud. Suceava 0+000 2+500 2,500 Reţeaua de drumuri judeţene însumează o lungime totală de 637,467 Km (sursa D.J.D.P. 2 207 N Botoşani - Curteşti - Orăşeni Deal - Cristeşti - E 58 0+000 13+900 13,900 Botoşani), din care, pe tipuri de îmbrăcăminţi: E 58 - Orăşeni Deal - Poiana - Vorona - Vorona 3 208 C 0+000 21+870 21,870 Mare - Joldeşti - Limita Jud. Suceava - îmbrăcăminte asfaltică = 140,383 km (22,02%) 4 208 D Limita Jud. Suceava - Bucecea (DN 29C) 18+140 21+740 3,600 - îmbrăcăminţi asfaltice uşoare = 264,263 km (41,46%) DN 29 (Baisa) - Corni - Vorona - Oneaga - Pădureni - - pietruiri = 226,821 km (35,58%) 5 208 H 0+000 47+570 46,830 Copălău – Suliţa (DJ 297) Limita Jud. Suceava (Tudora) - Tudora - Joldeşti (DJ - pământ = 6,000 km (0,94%) 6 208 I 3+660 13+800 10,140 ------------------------- 208C) 7 208 T Limita Jud. Suceava (DN 29) - Călineşti (DN 29C) 15+610 19+960 4,350 TOTAL = 637,467 Km (100%) Limita Jud. Iaşi - Rediu - Răuseni - Hlipiceni - Todireni - Albeşti - Truşeşti - Dângeni - Hăneşti - Lungimile de îmbrăcăminţi rutiere pe drumurile judeţene din judeţul BOTOŞANI 8 282 58+625 164+845 106,220 Vlăsineşti - Săveni - Drăguşeni - Coţuşca - Rădăuţi Tabel a.4.3.10. Prut Denumirea drumului Îmbrăcăminte asfaltică Îmbrăcăminte bituminoasă uşoară (IAU) Pietruire (P) Drum de pământ Nr. crt. 9 282 A DN 29D (Şoldăneşti) - Ionăşeni 0+000 5+670 5,670 (IA) (DP) Limita Jud. Iaşi (Miletin) - Prăjeni - Câmpeni - 0 1 2 3 6 7 10 282 B 34+740 51+530 16,790 1 DJ 207L n.c. n.c. n.c. n.c. Flămânzi (DN 28B) 2 DJ 208N n.c. n.c. n.c. n.c. 11 282 H Răuseni (DJ 282) - DN 24C (Berza) 0+000 11+540 11,540 3 DJ 208C - 11,870 - - 12 291 Leorda (DN 29B) - Bucecea - Huţani (DN 29) 0+000 15+830 15,830 4 DJ 208D - 2,960 - - Şendriceni (DJ 291C) - Lozna - Dersca - Mihăileni 5 DJ 208H - - 16,720 - 13 291 B 0+000 20+750 20,750 6 DJ 208I - 4,340 - - (DN 29C) 7 DJ 208T - - 4,350 - Dorohoi (DN 29A) - Ezer - Pomârla - Fundu Herţii - 8 DJ 282 5,900 23,615 7,714 - 14 291 C 0+000 27+450 27,450 Baranca (DJ 298) 9 DJ 282A Dorohoi (DN 29A) - Ibăneşti - Cristineşti - Suharău - 10 DJ 282B 15 291 D 0+000 46+220 46,220 11 DJ 282H - 0,890 4,000 - Oroftiana - Baranca - Bajura (DN 29A) 12 DJ 291 2,300 9,630 - - 16 291 F DJ 291D - Oroftiana - Frontieră Ucraina 0+000 2+300 2,300 13 DJ 291B - 7,900 12,850 - Dorohoi (DN 29A) - Broscăuţi - Corlăteni - Vorniceni 14 DJ 291C 19,600 - 5,350 - 17 292 0+000 46+350 46,350 15 DJ 291D - 0,900 - 6,000 - Stiubeni - Săveni (DN 29) 16 DJ 291F - - 2,300 - DN 29A (Dorohoi) - Dumeni - Ghireni - DN 24C 17 DJ 292 - - 8,364 - 18 293 0+000 47+700 47,700 (Ghireni) 18 DJ 293 - 26,090 8,000 - 19 293 A Cotuşca (DJ 282) - Păltiniş (DN 29A) 0+000 18+170 18,170 19 DJ 293A - - 9,190 - 20 294 DN 29 - Dingeni - Mihălăşeni 0+000 29+160 29,160 20 DJ 294 - 5,550 12,160 - 21 DJ 294A - 2,100 - - 21 294 A Avrămeni (DN 29) - Pănăiţoaia - Mitoc 0+000 14+550 14,550 22 DJ 294B n.c. n.c. n.c. n.c. Stefăneşti (DN 24C) - Murguţa - Dobârceni - 23 DJ 294C n.c. n.c. n.c. n.c. 22 294 B 0+000 18+160 18,160 Pădureni (DJ 294) 24 DJ 296 - 12,150 2,220 - 23 294 C Manoleasa (DN 29) - Hăneşti (DJ 282) 0+000 12+500 12,500 25 DJ 296A n.c. n.c. n.c. n.c. 26 DJ 296B n.c. n.c. n.c. n.c. 24 296 Botoşani - Roma - Nicseni - DJ 292 (Podeni) 0+000 26+000 26,000 27 DJ 297 n.c. n.c. n.c. n.c. 25 296 A Stăuceni (DN 29D) - Roşiori - Costeşti (DJ 296) 0+000 13+700 11,227 28 DJ 298 - 1,520 7,320 - Plopenii Mari (DN 29) - Mândreşti - Călugăreni - 29 DJ 298A 4,000 - - - 26 296 B 0+000 12+900 12,900 30 TOTAL 31,800 115,265 100,538 6,000 Călugărenii Mari (DJ 296) Sursa: D.J.D.P.Botoşani, noiembrie 2009; n.c. - date necomunicate; - date parţiale 27 297 DN 29 (Blândeşti) - Suliţa - Todireni - DJ 282 0+000 25+950 25,950 28 298 DN 29F - Cristineşti - Baranca 27+900 36+740 8,840 DN 29A (Dărăbani) - Dărăbani - Havârna - DJ 293 În judeţul Botoşani, pe reţeaua de drumuri judeţene se află un număr de 34 lucrări de artă 29 298 A 0+000 10+000 10,000 (poduri), dintre care: (Havârna) - 94 % (32 poduri) corespund cerinţelor de capacitate portantă (clasa "E" de încărcare) Elaboratori: UAUIM-CCPEC, Bucureşti, împreună cu, Universitatea Bucureşti – CICADIT, SC. Quattro Design s.r.l. – Bucureşti, SC. Urbatech s.r.l. – Iaşi, UAIC - Facultatea de Geografie, Iaşi, 107
  • 110.
    Actualizare Plan deAmenajarea Teritoriului Judeţean Botoşani Consiliul Judeţean Botoşani respectiv capacitate de circulaţie (lăţimea părţii carosabile) ale traficului actual; Nr. Drum Lungime Tronson - 6 % (2 poduri) cu caracteristici corespunzătoare clasei I de încărcare; Crt. judeţean (km) Tabel a.4.3.11. 0 1 2 3 Dacă se poatr trece prin (curs apă, vale,cale de DJ 282A Km 1+700÷2+200 0,500 drumului pe care se află Denumirea obstacolului Lăţime(m) 3 Denumirea şi numărul Total 0,500 Starea de viabilitate Dacă se poate ocoli Clasa de încărcare DJ 291C Km 20+700÷20+800 0,100 Parte carosabilă Suprastructură/ 4 Lungime (m) comunicaţie) Configuraţia Total 0,100 Deschideri- Localitatea Totală (m) Materialul de constr. apropiată malurilor Lungime cea mai Nr. Crt. DJ 292 Km4+500÷4+600 0,100 Poziţia Totală (km) vad 5 Km 27+300÷27+800 0,500 1 DJ 208C 5+300 p.Miletin Orăşeni Vale BA/BA 29 29 7,00 9,00 Medie E Da Da Păm. 2 DJ 208D 18+189 r. Siret Hînţeşti BA/BA 98 98 7,00 9,00 Bună E Nu Da Abrupt Total 0,600 3 DJ 208H 24+440 p.Sihăstrie Vorona BA/BA 18 18 7,00 9,00 Bună E Nu Da Păm. DJ 293 Km 8+000÷9+000 1,000 4 DJ 208H 35+150 p.Horoghiuca Oneaga BA/BA 31 31 7,00 9,00 Bună E Nu Da Păm. 6 5 DJ 208H 39+800 p.Miletin Copalau BA/BA 22 22 7,00 9,00 Medie I Nu Da Păm. Total 1,000 6 DJ 208H 47+420 p.Sitna Dracsani BA/BA 29 29 7,00 9,00 Bună E Nu Da Abrupt DJ 296 Km 2+100÷4+700 2,600 7 DJ 208I 7+745 p.Plesu Tudora BA/BA 29 29 7,00 9,00 Bună E Nu Da Abrupt 8 DJ 282 77+389 p. Sitna Todireni BA/BA 33 33 7,00 9,00 Medie E Nu Da Abrupt Km 11+480÷12+320 0,840 9 DJ 282 83+425 r. Jijia Albesti BA/BA 42 42 7,00 9,00 Bună E Nu Da Abrupt 7 Km 14+000÷15+380 1,380 10 DJ 282 88+900 r. jijia Albesti BA/BA 38 38 7,00 9,00 Bună E Nu Da Abrupt Km 18+400÷18+950 0,550 11 DJ 282 94+130 descarcare Mascateni BA/BA 16 16 7,00 9,00 Bună E Da Da Păm. 12 DJ 282 94+975 r. Jijia Mascateni BA/BA 40 40 7,00 9,00 Medie E Nu Da Abrupt Total 5,370 13 DJ 282 147+190 p. Volovat Nichiteni BA/BA 33 33 7,00 9,00 Bună E Da Da Păm. TOTAL 14,570 14 DJ 282B 40+650 p. Miletin Prajeni BA/BA 39 39 7,00 9,00 Bună E Nu Da Abrupt Sursa: D.J.D.P.Botoşani, noiembrie 2009 15 DJ 282B 50+700 p.Tulburea Flamanzi BA/BA 18 18 7,00 9,00 Bună E Nu Da Păm. 16 DJ 282H 0+840 r. Jijia Rauseni BA/BA 76 76 7,00 9,00 Bună E Nu Da Abrupt 17 DJ 291B 1+236 p. Buhai Sendriceni BA/BA 25 25 7,00 9,00 Bună E Nu Da Abrupt 18 DJ 292 4+980 r. Jijia Broscauti BA/M 40 40 7,00 9,00 Medie I Nu Da Abrupt 19 DJ 292 19+200 r. Jijia Corlateni BA/BA 51 51 7,00 9,00 Bună E Nu Da Păm. 20 DJ 292 21+126 r. Jijia Corlateni BA/BA 41 41 7,00 9,00 Bună E Nu Da Păm. 21 DJ 292 33+259 p.Ibaneasa Vorniceni BA/BA 26 26 7,00 9,00 Bună E Da Da Păm. 22 DJ 293 20+323 p.Baseu Havarna BA/BA 46 46 7,00 9,00 Medie E Nu Da Păm. Tronsoane de drumuri judeţene afectate de inundaţii 23 DJ 293 26+300 p. Podriga Mileanca BA/BA 36 36 7,00 9,00 Bună E Nu Da Păm. Tabel a.4.3.12. 24 DJ 294 11+720 r. Jijia Dangeni BA/BA 38 38 7,00 9,00 Bună E Da Da Abrupt 25 DJ 294 23+300 p.Baseu Mihalaseni BA/BA 43 43 7,00 9,00 Bună E Nu Da Abrupt Lungime Nr. crt Drum judeţean Tronson 26 DJ 294C 0+100 p.Volovat Manoleasa BA/BA 36 36 7,00 9,00 Bună E Nu Da Abrupt (km) 27 DJ 294C 12+180 p.Baseu Hanesti BA/BA 42 42 7,00 9,00 Bună E Da Da Abrupt 2 DJ 296 3+296 p.Sitna Cismea BA/BA 29 29 7,00 9,00 Bună E Da Da Abrupt 0 1 2 3 29 DJ 296 12+195 p. Porcareasa Roma BA/BA 20 20 7,00 9,00 Medie E Da Da Păm. Km 33+100÷40+000 7,000 30 DJ 296 25+657 r. Jijia Podeni BA/BA 42 42 7,00 9,00 Bună E Nu Da Abrupt 1 DJ 291 D 31 DJ 296A 1+200 p.Dresleuca Cismea BA/BA 14 14 7,00 9,00 Bună E Da Da Păm. Total 7,000 32 DJ 297 0+250 descarcare Blandesti BA/BA 16 16 7,00 9,00 Bună E Da Da Păm. Km 8+600÷8+900 0,300 33 DJ 297 11+550 p.Sulitoaia Sulita BA/BA 17 17 7,00 9,00 Bună E Nu Da Păm. 2 DJ 298 A 34 DJ 298A 8+957 p.Podriga Darabani BA/BA 60 60 7,00 9,00 Medie E Nu Da Abrupt Total 0,300 Sursa: D.J.D.P.Botoşani, noiembrie 2009 TOTAL 7,300 Sursa: D.J.D.P.Botoşani, noiembrie 2009 Tronsoane de drumuri judeţene cu alunecări de teren Tabel a.4.3.12. Tronsoane de drumuri judeţene inundabile Nr. Drum