Pain Management In
Palliative Care
Ajay Modgil, MD
Fellow, Pain and Palliative Care,
AIIMS, Jodhpur.
Pain
An unpleasant sensory and emotional experience
associated with actual or potential tissue damage, or
described in terms of such damage.
International Association for the Study of Pain
Clinical Terms For The Sensory
Disturbances Associated With Pain
 Dysesthesia – An unpleasant abnormal sensation,
whether spontaneous or evoked.
 Allodynia – Pain due to a stimulus which does not
normally provoke pain, such as pain caused by light
touch to the skin
 Hyperalgesia – An increased response to a stimulus
which is normally painful
 Hyperesthesia - Increased sensitivity to stimulation,
excluding the special senses. Hyperesthesia includes
both allodynia and hyperalgesia, but the more specific
terms should be used wherever they are applicable.
Approach To Pain Control in Palliative Care
1. Thorough assessment by skilled and knowledgeable
clinician
– History
– Physical Examination
2. Pause here - discuss with patient/family the goals of care,
hopes, expectations, anticipated course of illness. This will
influence consideration of investigations and interventions
3. Investigations – X-Ray, CT, MRI, etc - if they will affect
approach to care
4. Treatments – pharmacological and non-pharmacological;
interventional analgesia (e.g.. Spinal)
5. Ongoing reassessment and review of options, goals,
expectations, etc.
TYPES OF PAIN
NEUROPATHIC
NOCICEPTIVE
Deafferentation Sympathetic
Maintained
Peripheral
Somatic
• bones, joints
• connective tissues
• muscles
Visceral
• Organs –
heart, liver,
pancreas, gut,
etc.
Somatic Pain
• Aching, often constant
• May be dull or sharp
• Often worse with movement
• Well localized
E.g.
– Bone & soft tissue
– chest wall
Visceral Pain
• Constant or crampy
• Aching
• Poorly localized
• Referred
Eg/
– CA pancreas
– Liver capsule distension
– Bowel obstruction
COMPONENT DESCRIPTORS EXAMPLES
Steady,
Dysesthetic
• Burning, Tingling
• Constant, Aching
• Squeezing, Itching
• Allodynia
• Hypersthesia
• Diabetic neuropathy
• Post-herpetic
neuropathy
Paroxysmal,
Neuralgic
• Stabbing
• Shock-like, electric
• Shooting
• Lancinating
• trigeminal neuralgia
• may be a component
of any neuropathic
pain
FEATURES OF NEUROPATHIC PAIN
“Describing pain only in terms of its intensity is like
describing music only in terms of its loudness”
von Baeyer CL; Pain Research and Management 11(3) 2006; p.157-162
PAIN HISTORY
 Description: severity, quality, location, temporal
features, frequency, aggravating & alleviating
factors
 Previous history
 Context: social, cultural, emotional, spiritual factors
 Meaning
 Interventions: what has been tried?
Example Of A Numbered Scale
• Dose
• Route
• Frequency
• Duration
• Efficacy
• Adverse effects
Medication(s) Taken
Physical Exam In Pain Assessment
Inspection / Observation
 Overall impression… the “gestalt”?
 Facial expression: Grimacing; furrowed brow; appears
anxious; flat affect
 Body position and spontaneous movement: there may be
positioning to protect painful areas, limited movement due to
pain
 Diaphoresis – can be caused by pain
 Areas of redness, swelling, Gait
“You can observe a lot just by watching” Yogi Berra
Physical Exam In Pain Assessment
Palpation
 Localized tenderness to pressure or percussion
 Fullness / mass
 Induration / warmth
Physical Exam In Pain Assessment
Neurological Examination
 Important in evaluating pain, due to the possibility of
spinal cord compression, and nerve root or peripheral
nerve lesions
 Sensory examination
– Areas of numbness / decreased sensation
– Areas of increased sensitivity, such as allodynia or
hyperalgesia
 Motor (strength) exam - caution if bony metastases
(may fracture)
 Deep tendon reflexes – intensity, symmetry
– Hyperreflexia and clonus:.
– Hyoporeflexia –
Physical Exam In Pain Assessment
Other Exam Considerations
Further areas of focus of the physical examination are
determined by the clinical presentation.
Eg: evaluation of pleuritic chest pain would involve a
detailed respiratory and chest wall examination.
Pain
Treatment
Non-Pharmacological Pain Management
 Acupuncture
 Cognitive/behavioral therapy
 Meditation/relaxation
 Guided imagery
 TENS
 Therapeutic massage
 Others…
+/- adjuvant
Non-opioid
Weak opioid
Strong opioid
By the
Clock
W.H.O. ANALGESIC LADDER
+/- adjuvant
+/- adjuvant
1
2
3
STRONG OPIOIDS
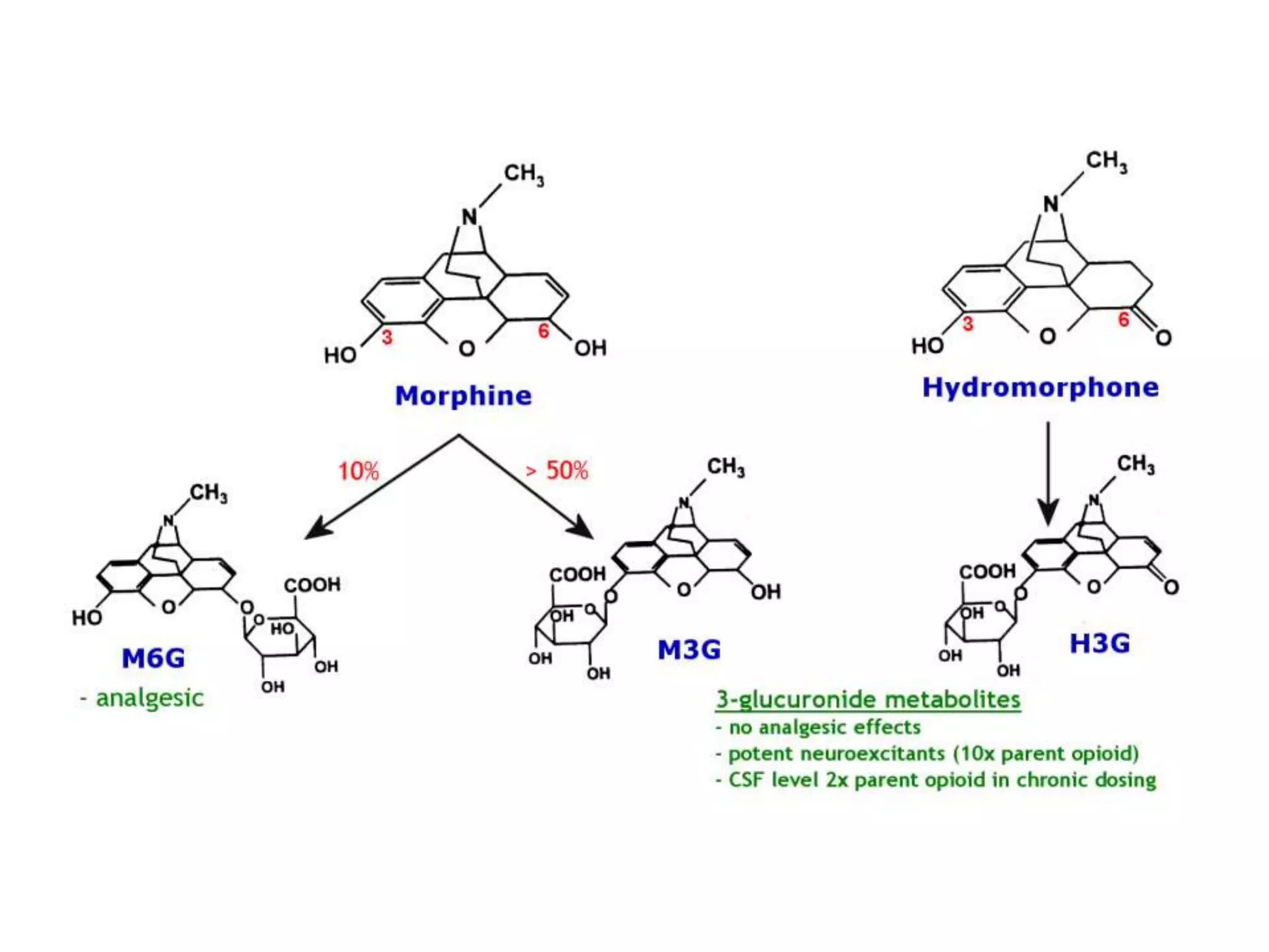
• Most commonly use:
– Morphine
– Hydromorphone
– transdermal Fentanyl
– Oxycodone
– Methadone
• DO NOT use meperidine long-term
– active metabolite normeperidine  seizures
OPIOIDS and
INCOMPLETE CROSS-TOLERANCE
• conversion tables assume that tolerance to a specific
opioid is fully “crossed over” to other opioids.
• cross-tolerance unpredictable, especially in:
– high doses
– long-term use
TITRATING OPIOIDS
• dose increase depends on the situation
• dose by 25 - 100%
EXAMPLE: (doses in mg q4h)
Morphine 5 10 15 20 25 30 40 50 60
Hydromorphone 1 2 3 4 5 6 8 10 12
TOLERANCE
PHYSICAL
DEPENDENCE
PSYCHOLOGICAL
DEPENDENCE /
ADDICTION
TOLERANCE
A normal physiological phenomenon in which
increasing doses are required to produce the same
effect
PHYSICAL DEPENDENCE
A normal physiological phenomenon in which a
withdrawal syndrome occurs when an opioid is abruptly
discontinued or an opioid antagonist is administered
PSYCHOLOGICAL DEPENDENCE
and ADDICTION
A pattern of drug use characterized by a continued craving
for an opioid which is manifest as compulsive drug-seeking
behavior leading to an overwhelming involvement in the use
and procurement of the drug
po / sublingual / rectal routes
SQ / IV / IM routes
reduce by ½
Changing Route Of Administration
In Chronic Opioid Dosing
Using Opioids for Breakthrough Pain
• Patient must feel in control, empowered.
• Use aggressive dose and interval.
Patient Taking Short-Acting Opioids:
• 50 - 100% of the q4h dose, given q1h prn
Patient Taking Long-Acting Opioids:
• 10 - 20% of total daily dose given, q1h prn
with short-acting opioid preparation
Opioid Side Effects
 Constipation – need proactive laxative use
 Nausea/vomiting – consider treating with dopamine
antagonists and/or prokinetics (metoclopramide, domperidone,
prochlorperazine [Stemetil], haloperidol)
 Urinary retention
 Itch/rash – worse in children; may need low-dose naloxone
infusion. May try antihistamines, however not great success
 Dry mouth
 Respiratory depression – uncommon when titrated in
response to symptom
 Drug interactions
 Neurotoxicity (OIN): delirium, myoclonus  seizures
Seizures,
Death
Opioid
tolerance
Mild myoclonus
(eg. with sleeping)
Severe myoclonus
Delirium
Agitation
Misinterpreted
as Pain
Opioids
Increased
Hyperalgesia
Misinterpreted
as Disease-Related Pain
Opioids
Increased
Spectrum of Opioid-Induced Neurotoxicity
Treatment
 Switch opioid (rotation) or reduce opioid dose; usually
much lower than expected doses of alternate opioid
required… often use prn initially
 Hydration
 Benzodiazepines for neuromuscular excitation
Adjuvant Analgesics
 first developed for non-analgesic indications
 subsequently found to have analgesic activity in
specific pain scenarios
 Common uses:
– pain poorly-responsive to opioids (eg. neuropathic
pain), or
– with intentions of lowering the total opioid dose
and thereby mitigate opioid side effects.
Adjuvants Used In Palliative Care
 General / Non-specific
– corticosteroids
– cannabinoids (not yet commonly used for pain)
 Neuropathic Pain
– gabapentin
– antidepressants
– ketamine
– topiramate
– Clonidine
 Bone Pain
– bisphosphonates
– (calcitonin)
 inflammation
 edema
 spontaneous nerve depolarization
tumor mass
effects
CORTICOSTEROIDS AS ADJUVANTS
}
IMMEDIATE LONG-TERM
 Psychiatric
 Hyperglycemia
 risk of GI bleed
gastritis
aggravation of
existing lesion
(ulcer, tumor)
 Immunosuppression
 Proximal myopathy
often < 15 days
 Cushing’s syndrome
 Osteoporosis
 Aseptic / avascular
necrosis of bone
CORTICOSTEROIDS: ADVERSE EFFECTS
DEXAMETHASONE
• Minimal mineralcorticoid effects.
• po/iv/sq/?sublingual routes.
• Perhaps can be given once/day; often given
more frequently.
• If an acute course is discontinued within 2 wks,
adrenal suppression not likely.
Treatment of Neuropathic Pain
Pharmacologic treatment
Anticonvulsants – gabapentin, topiramate
TCAs (for dysesthetic pain, esp. if depression)
• Opioids
• Steroids
• NMDA receptor antagonists: ketamine, methadone
• Anesthetics
Radiation therapy
Interventional treatment
• Spinal analgesia
• Nerve blocks
Gabapentin
 Common Starting Regimen
– 300 mg hs Day 1, 300 mg bid Day2, 300 mg tid
Day 3, then gradually titrate to effect up to 1200
mg tid
 Frail patients
– 100 mg hs Day 1, 100 mg bid Day 2, 100 mg tid
Day 3, then gradually titrate to effect
Incident Pain
Pain occurring as a direct and immediate
consequence of a movement or activity
Circumstances In Which
Incident Pain Often Occurs
• Bone metastases
• Neuropathic pain
• Intra-abd. disease aggravated by respiration
» “incident” = breathing
» ruptured viscus, peritonitis, liver hemorrhage
• Skin ulcer: dressing change, debridement
• Disimpaction
• Catheterization
Time
Incident Incident Incident
Pain
Having a steady level of enough opioid to treat
the peaks of incident pain...
...would result in
excessive dosing
for the periods
between
incidents
Fentanyl and Sufentanil
 synthetic µ agonist opioids
 highly lipid soluble
• transmucosal absorption; effect in approx 10 min
• rapid redistribution, including in / out of CSF; lasts
approx 1 hr.
 fentanyl » 100x stronger than morphine
 sufentanil » 1000x stronger than morphine
10 mg morphine
10 µg sufentanil
100 µg fentanyl
INCIDENT PAIN PROTOCOL
Step #
Medication (50
mg/ml)
# Micrograms Sublingually
1 Fentanyl 50
2 Sufentanil 25
3 Sufentanil 50
4 Sufentanil 100
(see also http://palliative.info)
• fentanyl or sufentanil is administered SL 10 min. prior to
anticipated activity
• repeat q 10min x 2 additional doses if needed
• increase to next step if 3 total doses not effective
• physician order required to increase to next step if
• within an hour of last dose
• the Incident Pain Protocol may be used up to q 1h prn
INCIDENT PAIN PROTOCOL ctd...
HAVE A NICE WEEKEND

pain_pi.ppt

  • 1.
    Pain Management In PalliativeCare Ajay Modgil, MD Fellow, Pain and Palliative Care, AIIMS, Jodhpur.
  • 2.
    Pain An unpleasant sensoryand emotional experience associated with actual or potential tissue damage, or described in terms of such damage. International Association for the Study of Pain
  • 3.
    Clinical Terms ForThe Sensory Disturbances Associated With Pain  Dysesthesia – An unpleasant abnormal sensation, whether spontaneous or evoked.  Allodynia – Pain due to a stimulus which does not normally provoke pain, such as pain caused by light touch to the skin  Hyperalgesia – An increased response to a stimulus which is normally painful  Hyperesthesia - Increased sensitivity to stimulation, excluding the special senses. Hyperesthesia includes both allodynia and hyperalgesia, but the more specific terms should be used wherever they are applicable.
  • 4.
    Approach To PainControl in Palliative Care 1. Thorough assessment by skilled and knowledgeable clinician – History – Physical Examination 2. Pause here - discuss with patient/family the goals of care, hopes, expectations, anticipated course of illness. This will influence consideration of investigations and interventions 3. Investigations – X-Ray, CT, MRI, etc - if they will affect approach to care 4. Treatments – pharmacological and non-pharmacological; interventional analgesia (e.g.. Spinal) 5. Ongoing reassessment and review of options, goals, expectations, etc.
  • 5.
    TYPES OF PAIN NEUROPATHIC NOCICEPTIVE DeafferentationSympathetic Maintained Peripheral Somatic • bones, joints • connective tissues • muscles Visceral • Organs – heart, liver, pancreas, gut, etc.
  • 6.
    Somatic Pain • Aching,often constant • May be dull or sharp • Often worse with movement • Well localized E.g. – Bone & soft tissue – chest wall
  • 7.
    Visceral Pain • Constantor crampy • Aching • Poorly localized • Referred Eg/ – CA pancreas – Liver capsule distension – Bowel obstruction
  • 8.
    COMPONENT DESCRIPTORS EXAMPLES Steady, Dysesthetic •Burning, Tingling • Constant, Aching • Squeezing, Itching • Allodynia • Hypersthesia • Diabetic neuropathy • Post-herpetic neuropathy Paroxysmal, Neuralgic • Stabbing • Shock-like, electric • Shooting • Lancinating • trigeminal neuralgia • may be a component of any neuropathic pain FEATURES OF NEUROPATHIC PAIN
  • 10.
    “Describing pain onlyin terms of its intensity is like describing music only in terms of its loudness” von Baeyer CL; Pain Research and Management 11(3) 2006; p.157-162
  • 13.
    PAIN HISTORY  Description:severity, quality, location, temporal features, frequency, aggravating & alleviating factors  Previous history  Context: social, cultural, emotional, spiritual factors  Meaning  Interventions: what has been tried?
  • 14.
    Example Of ANumbered Scale
  • 15.
    • Dose • Route •Frequency • Duration • Efficacy • Adverse effects Medication(s) Taken
  • 16.
    Physical Exam InPain Assessment Inspection / Observation  Overall impression… the “gestalt”?  Facial expression: Grimacing; furrowed brow; appears anxious; flat affect  Body position and spontaneous movement: there may be positioning to protect painful areas, limited movement due to pain  Diaphoresis – can be caused by pain  Areas of redness, swelling, Gait “You can observe a lot just by watching” Yogi Berra
  • 17.
    Physical Exam InPain Assessment Palpation  Localized tenderness to pressure or percussion  Fullness / mass  Induration / warmth
  • 18.
    Physical Exam InPain Assessment Neurological Examination  Important in evaluating pain, due to the possibility of spinal cord compression, and nerve root or peripheral nerve lesions  Sensory examination – Areas of numbness / decreased sensation – Areas of increased sensitivity, such as allodynia or hyperalgesia  Motor (strength) exam - caution if bony metastases (may fracture)  Deep tendon reflexes – intensity, symmetry – Hyperreflexia and clonus:. – Hyoporeflexia –
  • 19.
    Physical Exam InPain Assessment Other Exam Considerations Further areas of focus of the physical examination are determined by the clinical presentation. Eg: evaluation of pleuritic chest pain would involve a detailed respiratory and chest wall examination.
  • 20.
  • 21.
    Non-Pharmacological Pain Management Acupuncture  Cognitive/behavioral therapy  Meditation/relaxation  Guided imagery  TENS  Therapeutic massage  Others…
  • 22.
    +/- adjuvant Non-opioid Weak opioid Strongopioid By the Clock W.H.O. ANALGESIC LADDER +/- adjuvant +/- adjuvant 1 2 3
  • 23.
    STRONG OPIOIDS • Mostcommonly use: – Morphine – Hydromorphone – transdermal Fentanyl – Oxycodone – Methadone • DO NOT use meperidine long-term – active metabolite normeperidine  seizures
  • 27.
    OPIOIDS and INCOMPLETE CROSS-TOLERANCE •conversion tables assume that tolerance to a specific opioid is fully “crossed over” to other opioids. • cross-tolerance unpredictable, especially in: – high doses – long-term use
  • 28.
    TITRATING OPIOIDS • doseincrease depends on the situation • dose by 25 - 100% EXAMPLE: (doses in mg q4h) Morphine 5 10 15 20 25 30 40 50 60 Hydromorphone 1 2 3 4 5 6 8 10 12
  • 29.
  • 30.
    TOLERANCE A normal physiologicalphenomenon in which increasing doses are required to produce the same effect
  • 31.
    PHYSICAL DEPENDENCE A normalphysiological phenomenon in which a withdrawal syndrome occurs when an opioid is abruptly discontinued or an opioid antagonist is administered
  • 32.
    PSYCHOLOGICAL DEPENDENCE and ADDICTION Apattern of drug use characterized by a continued craving for an opioid which is manifest as compulsive drug-seeking behavior leading to an overwhelming involvement in the use and procurement of the drug
  • 33.
    po / sublingual/ rectal routes SQ / IV / IM routes reduce by ½ Changing Route Of Administration In Chronic Opioid Dosing
  • 34.
    Using Opioids forBreakthrough Pain • Patient must feel in control, empowered. • Use aggressive dose and interval. Patient Taking Short-Acting Opioids: • 50 - 100% of the q4h dose, given q1h prn Patient Taking Long-Acting Opioids: • 10 - 20% of total daily dose given, q1h prn with short-acting opioid preparation
  • 35.
    Opioid Side Effects Constipation – need proactive laxative use  Nausea/vomiting – consider treating with dopamine antagonists and/or prokinetics (metoclopramide, domperidone, prochlorperazine [Stemetil], haloperidol)  Urinary retention  Itch/rash – worse in children; may need low-dose naloxone infusion. May try antihistamines, however not great success  Dry mouth  Respiratory depression – uncommon when titrated in response to symptom  Drug interactions  Neurotoxicity (OIN): delirium, myoclonus  seizures
  • 37.
    Seizures, Death Opioid tolerance Mild myoclonus (eg. withsleeping) Severe myoclonus Delirium Agitation Misinterpreted as Pain Opioids Increased Hyperalgesia Misinterpreted as Disease-Related Pain Opioids Increased Spectrum of Opioid-Induced Neurotoxicity
  • 38.
    Treatment  Switch opioid(rotation) or reduce opioid dose; usually much lower than expected doses of alternate opioid required… often use prn initially  Hydration  Benzodiazepines for neuromuscular excitation
  • 39.
    Adjuvant Analgesics  firstdeveloped for non-analgesic indications  subsequently found to have analgesic activity in specific pain scenarios  Common uses: – pain poorly-responsive to opioids (eg. neuropathic pain), or – with intentions of lowering the total opioid dose and thereby mitigate opioid side effects.
  • 40.
    Adjuvants Used InPalliative Care  General / Non-specific – corticosteroids – cannabinoids (not yet commonly used for pain)  Neuropathic Pain – gabapentin – antidepressants – ketamine – topiramate – Clonidine  Bone Pain – bisphosphonates – (calcitonin)
  • 41.
     inflammation  edema spontaneous nerve depolarization tumor mass effects CORTICOSTEROIDS AS ADJUVANTS }
  • 43.
    IMMEDIATE LONG-TERM  Psychiatric Hyperglycemia  risk of GI bleed gastritis aggravation of existing lesion (ulcer, tumor)  Immunosuppression  Proximal myopathy often < 15 days  Cushing’s syndrome  Osteoporosis  Aseptic / avascular necrosis of bone CORTICOSTEROIDS: ADVERSE EFFECTS
  • 44.
    DEXAMETHASONE • Minimal mineralcorticoideffects. • po/iv/sq/?sublingual routes. • Perhaps can be given once/day; often given more frequently. • If an acute course is discontinued within 2 wks, adrenal suppression not likely.
  • 45.
    Treatment of NeuropathicPain Pharmacologic treatment Anticonvulsants – gabapentin, topiramate TCAs (for dysesthetic pain, esp. if depression) • Opioids • Steroids • NMDA receptor antagonists: ketamine, methadone • Anesthetics Radiation therapy Interventional treatment • Spinal analgesia • Nerve blocks
  • 46.
    Gabapentin  Common StartingRegimen – 300 mg hs Day 1, 300 mg bid Day2, 300 mg tid Day 3, then gradually titrate to effect up to 1200 mg tid  Frail patients – 100 mg hs Day 1, 100 mg bid Day 2, 100 mg tid Day 3, then gradually titrate to effect
  • 47.
    Incident Pain Pain occurringas a direct and immediate consequence of a movement or activity
  • 48.
    Circumstances In Which IncidentPain Often Occurs • Bone metastases • Neuropathic pain • Intra-abd. disease aggravated by respiration » “incident” = breathing » ruptured viscus, peritonitis, liver hemorrhage • Skin ulcer: dressing change, debridement • Disimpaction • Catheterization
  • 49.
    Time Incident Incident Incident Pain Havinga steady level of enough opioid to treat the peaks of incident pain... ...would result in excessive dosing for the periods between incidents
  • 50.
    Fentanyl and Sufentanil synthetic µ agonist opioids  highly lipid soluble • transmucosal absorption; effect in approx 10 min • rapid redistribution, including in / out of CSF; lasts approx 1 hr.  fentanyl » 100x stronger than morphine  sufentanil » 1000x stronger than morphine 10 mg morphine 10 µg sufentanil 100 µg fentanyl
  • 52.
    INCIDENT PAIN PROTOCOL Step# Medication (50 mg/ml) # Micrograms Sublingually 1 Fentanyl 50 2 Sufentanil 25 3 Sufentanil 50 4 Sufentanil 100 (see also http://palliative.info)
  • 53.
    • fentanyl orsufentanil is administered SL 10 min. prior to anticipated activity • repeat q 10min x 2 additional doses if needed • increase to next step if 3 total doses not effective • physician order required to increase to next step if • within an hour of last dose • the Incident Pain Protocol may be used up to q 1h prn INCIDENT PAIN PROTOCOL ctd...
  • 58.
    HAVE A NICEWEEKEND