S.NO CONTENTS PAGE.NO
I SYNTHESIS/PREPARATIONS 01
a. Synthesis of p-bromoaniline from Acetanilide 01
b. Synthesis of p- nitroaniline from Acetanilide 03
c. Synthesis of p-nitrophenylhydrazine from p-nitroaniline 05
d. 3-Methyl-1-phenyl-5-pyrazone from Ethylacetoacetate 07
e. Synthesis of Benzilic acid from Benzoin 08
f, Synthesis of Benzyl benzoate from Benzaldehyde 10
g. Preparation of 2-phenyl indole from phenyl hydrazine by
Fischer’s method
12
II QUANTITATIVE DETERMINATION OF ORGANIC
COMPOUNDS VIA FUNCTIONAL GROUPS
14
a. Phenolic groups by Bromination method 14
b. Estimation of hydroxyl group by Acetylation method 17
c. Estimation of Carbonyl group by Hydroxyl amine
hydrochloride- pyridine method
19
d. Estimation of Carboxyl group 21
e. Estimation of Amines by Bromination method 23
f. Estimation of amino acids by formol titration method 25
g. Determination of Acetone 27
h. Determination of Aldehydes by the Sodium sulphite –
Sulphuric acid
29
III SEPARATION OF BINARY MIXTURE 31
a, Type determination of water – soluble compounds 34
b, Separation of Solid + Solid mixture (water insoluble 36
c, Separation of solid + liquid mixture (Solution) 37
d. Separation of Solid + liquid mixture (Suspension): 37
e. Separation of liquid – liquid mixture: 37
References 39
1
I. SYNTHESIS/PREPARATIONS
a. Synthesis of p-bromoaniline from Acetanilide
Aim: To prepare and submit p-bromoaniline
Principle: It cannot be obtained by bromination of aniline, since the major product of
bromination is 2,4,6-tribromo aniline, therefore amino group is protected and then
bromination gives the p-bromoacetanilide is the major product ,which on hydrolysis gives the
required p- bromo aniline .
It involves two steps
Step 1 : Synthesis of p-bromoacetanilide from Acetanilide
Chemical reaction
O
N
H
acetanilide
O
N
H
Br
p-bromoacetanilide
Chemicals required:
Acetanilide 7g
Bromine 2.7Ml
Glacial acetic acid 65 Ml
Procedure:
A solution of bromine (2.7ml) in glacial acetic acid 30 ml is added using dropping funnel
slowly to a stirred solution of acetanilide (7 g) in glacial acetic acid 35 ml. during the addition
the reaction mixture is kept in a cold water bath. After the addition is over the reaction
mixture is orange coloured due to slight excess of bromine. The reaction mixture is allowed
to stand for 15-20 minutes at room temperature and poured into water 200ml, sodium bi
sulphite is added just to remove orange colour. The separated product is filtered, washed with
cold water and crystallized from dilute alcohol. The yield is 8 g(72%) m.p. is 1670
C.
2
Step 2 : Synthesis of p-bromoAniline from p-bromoacetanilide
Chemical reaction:
O
N
H
Br
p-bromoacetanilide
H2N Br
p-bromoaniline
Hydrolysis
+ CH3COOH
Chemicals required:
Procedure:
A solution of p-bromoacetanilide 5 g in ethanol 10 ml and aqueous potassium hydroxide 3 g
in 4 mL Water is refluxed for 30 minutes in round bottom flask 100ml capacity. To the
reaction mixture is added water 40 ml and the mixture is distilled until about 35 mL of
distillate (alcohol & water) is collected. The residual solution is poured in water 50 mL.p-
bromo aniline seperates as an oil, which solidifies on cooling. It is filtered, washed with cold
water and crystallized from dilute alcohol using decolourising charcoal. The yield is 3.9 g
(97.5%) m.p. is 65-660
C.
Percentage yield is calculated from the formula given below:
Practical Yield
%Yield = ________________ X 100
Theoretical Yield
Report: p-bromoAniline was prepared and Submitted and the percentage yield was found to
be____________
p-bromo Acetanilide 5 g
Ethanol 10 Ml
Potassium hydroxide 3 g
3
b. Synthesis of p- nitroaniline from Acetanilide
Aim: To prepare and submit p- nitroaniline from Acetanilide
Principle :It cannot be obtained by direct nitration of aniline. It is necessary to protect the
amino group by acetylation. Nitration of acetanilide leads to p-nitroacetanilide (major
product), which on hydrolysis gives p-nitro aniline.
Step 1 synthesis of p-nitroacetanilide from acetanilide
Chemical reaction:
O
N
H
Acetanilide
O
N
H
NO2
Nitation
Conc.HNO3
Conc.H2SO4
Parabromoacetanilide
Chemicals required:
Acetanilide 8.4g
Glacial acetic acid 10mL
Conc. Sulphuric acid 19.4mL
Conc. Nitric acid 3.7 Ml
Procedure:
Concentrated Sulphuric acid 19.4 ml (31 g) is added to a well stirred solution of acetanilide
8.4 g in glacial acetic acid 10 ml. the clear solution is cooled (Feezing mixture of ice-salt).
stirred and a mixture of conc nitric acid (3.7 ml) and conc. Sulphuric acid 2.4 ml is added
slowly through a dropping funnel. The temperature of the reaction mixture is maintained
below 10 c.the mixture is allowed to maintain room temperature and left for 30 minutes. It is
poured on to a crushed ice (about 80 g) and the mixture stirred well.the separated product is
filtered, washed with cold water (until free of acid) and crystallized from alcohol. The yield is
4.8 g (43%) m.p. is 213-2140
C.
4
Step 2 : Synthesis of p-nitroaniline from p-nitroacetanilide
Chemical reaction:
O
N
H
Acetanilide
NO2
O
N
H
NH2
Paranitroaniline
H +
+ CH3COOH
Chemicals required:
p-Nitro acetanilide 5g
Sulphuric acid (70%) 30 mL
Procedure:
A mixture of p-nitroacetanilide 5 g and sulphuric acid (70%) 30 mL ( obtained by causiously
adding 20 mL of Conc sulphuric acid to 30 mL water) is refluxed for 25-30 minutes. The
solution is poured into cold water 200 mL l and the solution rendered alkaline by adding
excess sodium hydroxide solution (10%). The separated p-nitroaniline is filtered, washed
with water and recrystallized from dilute alcohol (1:!). The yield is 3.5 g
Percentage yield is calculated from the formula given below:
Practical Yield
%Yield = ________________ X 100
Theoretical Yield
Report: p-nitroaniline was prepared and submitted and percentage yield was found to
be________________.
5
c. Synthesis of p-nitrophenylhydrazine from p-nitroaniline
Aim: To prepare and submit p-nitrophenylhydrazine.
Principle: It is obtained from p-nitroaniline by diazotization, followed by reduction with
sodium sulphite and subsequent acidification. The formed p-nitrophenylhydrazine
hydrochloride on treatment with sodium acetate liberated the free base.
Chemical reaction:
NH2
Aniline
N2Cl
NO2
NaNO2
Na2CO3
CH3COONa
HCl
NHNH2
NO2
1-chloro-2-(4-nitrophenyl)
diazene
1-(4-nitrophenyl)
hydrazine
Chemicals required:
p-nitroaniline 8 g
Conc. Hydrochloric acid 17.2 mL
Sodium nitrite 5g
Sodium sulphite 33g
Sodium hydroxide 3.2 g
Procedure:
p-nitroaniline 8 g is dissolved in hot dilute Hcl (1:1, 34.4 ml). the solution is cooled (0-5 c)
and diazotized with a solution of sodium nitrite (5 g) in water (10 ml). the cold diazotised
solution is filtered and the clear solution is added through a separating funnel to an ice cold
solution of sodium sulphite (33 g) in water(75 ml) containing sodium hydroxide (3.2 g). the
diazo solution is added slowly(5-10 minutes). The reaction mixture is allowed to stand for 5-
10 minutes, acidified with conc Hcl (57ml) and heated on water bath at 25 c for 3 minutes.
The solution is left overnight and the separated product is filtered.it is heated with Conc HCl
(15 ml) on a water bath for 5 minutes and cooled. The separated p-nitrophenylhydrazine
6
hydrochloride is separated, dissolved in water and treated with concentrated solution of
sodium hydroxide. the formed p-nitrophenylhydrazine is filtered washed with water and
crystallised from alcohol. The yield is 5.3 g (59.7%) m.p. is 1580
C.
Percentage yield is calculated from the formula given below:
Practical Yield
%Yield = ________________ X 100
Theoretical Yield
Report: p-nitrophenyl hydrazine was prepared and submitted and the practical yield was
found to be ________________,
7
d. 3-Methyl-1-phenyl-5-pyrazone from Ethylacetoacetate
Aim: to prepare and submit 3-methyl-1-phenyl-5-pyrazone.
Principle :The 3methyl- 1-phenyl pyrazole- 5-one is prepared by addition and crystallization
of the ethyl acetonadate and phenyl hydrazine. It is complete cyclo addition reaction.
Chemical reaction:
Chemicals required:
Ethyl acetoacetate 4.9 mL
Phenyl hydrazine 3.65 mL
Procedure:
A mixture of Ethyl acetoacetate 4.9 ml and Phenyl hydrazine 3.65 ml is heated with boiling
water bath in a conical flask for 2 hours. The reaction mixture is stirred with a glass rod. To
the cooled reaction mixture is added ether (20 ml) and stirred. The separated product is
filtered, washed with ether and recrystallised from dilute ethano l(1:1), the yield is 5.2 g
(80%)m.p.is 1270
C.
Percentage yield is calculated from the formula given below:
Practical Yield
%Yield = ________________ X 100
Theoretical Yield
Report: The practical yield of 3-methyl-1-phenyl-5-pyrazone was found to be
__________________
O
O
-
O
Ethylacetoacetate
+
HN
NH2
Phenyl
hydrazine
N
NH
O
3-Metyl-i-phenyl-
5-pyrazone
8
e. Synthesis of Benzilic acid from Benzoin
Aim: To prepare and submit benzilic acid
Principle: The benzilic acid rearrangement is the base-catalyzed transformation of an a.-
diketone to the salt of an a.--hydroxy acid. This rearrangement can be effected in aromatic, in
semi=aromatic (o-quinones), in alicyclic, and in aliphatic, as well as in heterocyclic a.-
diketones.
It involves two steps
Step 1: preparation of benzil from benzoin
Chemical reaction:
OH
O
Benzoin
O
O
Benzil
Conc.HNO3
Acetic acid
Benzoin 10 g
Acetic acid 50 mL
Conc Nitric acid 25 mL
Procedure:
A mixture of benzoin 10 g, acetic acid 50 ml and conc nitric acid 25 ml is heated in a RBF
(boiling water bath) for 2 hours. The flask is connected to a trap containing sodium hydroxide
solution to absorb oxides of nitrogen. Alternatively,the reaction is carried out in a fume
cupboard. The reaction mixture is cooled and poured with stirring into an ice-water mixture.
The mixture is stirred well and the separated product filtered and washed with water. It is
crystallized from rectified spirit as yellow prisms. The yield is 9 g (91%) m.p. is 950
C.
9
Step 2: Preparation of Benzilic acid from BenzIl
Chemical reaction:
O
O
Benzil
H+
HO
O
HO
Benzilic
acid
Chemicals required:
Benzil 8g
Potassium hydroxide pellets 10 g
Rectified spirit 25 mL
Conc HCl 35 mL
Procedure:
A mixture of benzil 8 g, KOH solution 10 g dissolved in 20 ml water and rectified spirit 25
mL is refluxed in a water bath for 12 minutes. The hot reaction mixture is poured into water
150 mL contained in a beaker. In case the reaction does not go to completion, a colloidal
solution is obtained due to separation of unreacted benzil. The mixture is treated with animal
charcoal 2g stirred well and filtered. The clear filtrate is added with stirring to a mixture of
crushed ice 150 g and conc HCl 35 mL. The separated benzilic acid is filtered and washed
with cold water(until free from chloride), It is recrystallized from hot water as colourless
needles. The yield is 6 g(69%) m.p. is 1500
C.
Percentage yield is calculated from the formula given below:
Practical Yield
%Yield = ________________ X 100
Theoretical Yield
Report: The yield of Benzilic acid was found to be __________________.
10
f, Synthesis of Benzyl benzoate from Benzaldehyde
Aim: To prepare and submit benzyl benzoate from benzaldehyde
Principle : Benzyl benzoate is produced industrially by the reaction of sodium benzoate with
benzyl alcohol in the presence of a base, or by transesterification of methyl benzoate and
benzyl alcohol. It is a byproduct of benzoic acid synthesis by toluene oxidation. It can also be
synthesized by the Tishchenko reaction, using benzaldehyde with sodium or potassium
benzylate (generated from sodium and benzyl alcohol) as catalyst. This is based on
Cannizzaro’s reaction.
Chemical reaction:
2C2H5CHO
KOH
C6H5COOK + C6H5CH2OH
This is based on Cannizzaro’s reaction
Chemical required:
Benzaldehyde 20 mL
Potassium hydroxide pellets 12.5g
Procedure:
Potassium hydroxide pellets (12.5 g) are dissolved in water (60 mL) in a round bottom flask
and freshly distilled benzaldehyde 20 mL is added. The mixture is cooled and water added
just to dissolve any precipitated potassium benzoate. The mixture is extracted with ether
(3X30 ml). The clear alkaline solution is cooled and acidified with cold HCl (1:1, 60 mL) .
The acidified solution is cooled and separated benzoic acid is filtered and recrystallized from
hot water as colourless needles. The yield is 8.5 g(70.8%) m.p.is 1210
C.The combined ether
extract (obtained above) is dried over anhydrous magnesium sulphate and distilled. The
residue containing benzyl alcohol is distilled using a flame. The yield is 5.5 g (52.4%) the
b.p.is 205-2060
C.
11
Note: Benzyl benzoate is the ester of benzyl alcohol and benzoic acid, This colorless liquid is
formally the condensation product of benzoic acid and benzyl alcohol. It can also be
generated from benzaldehyde.
Percentage yield is calculated from the formula given below:
Practical Yield
%Yield = ________________ X 100
Theoretical Yield
Report: The practical yield of benzyl benzoate was found to be __________________..
12
g. Preparation of 2-phenyl indole from phenyl hydrazine by Fischer’s
method
Aim: To prepare and submit 2-phenyl indole.
Principle : The Fischer indole synthesis is a chemical reaction that produces
the aromatic heterocycle indole from a (substituted) phenylhydrazine and
an aldehyde or ketone under acidic conditions. The reaction was discovered in 1883 by Emil
Fischer. Today antimigraine drugs of the triptan class are often synthesized by this method.
Chemical reaction:
N
C
H3
NH
C6H5
H
+
N
H
C6H5
Acetophenone phenyl hydrazone 2
-
phenyl indole
Chemicals required:
Procedure:
A mixture of acetophenone 10 g ,phenyl hydrazine 9 g and alcohol 30 ml containing 2-3
drops of glacial acetic acid is warmed (100 c) for 15 minutes. The separated phenyl
hydrazone is filtered, washed with dilute Hcl(5 ml), ethanol 5 ml and crystallized from
ethanol. The yield is 11 g m,p. is 1060
C.The above acetophenone phenyl hydrazone 7 g is
heated with polyphosphoric acid 40 g on a boiling water bath in a conical flask. The mixture
is heated at 100-120 c for 10 minutes. Water 100 ml is added and separated product is filtered
and washed with water. It is crystallized from ethanol. The yield is 5 g (79%) m.P. is 1870
C.
Acetophenone : 10 g
Phenyl hydrazine 9 g
Ethanol 30 mL
Polyphosphoric acid 40g
13
Note : polyphosphoric acid is obtained by dissolving phosphorus pentoxide (25 g) in
commercial ortho phosphoric acid ( 15 g). It is prepared in the flask in which the reaction has
to be carried out.
Percentage yield is calculated from the formula given below:
Practical Yield
%Yield = ________________ X 100
Theoretical Yield
Report: The practical yield of 2-phenyl indole was found to be _________________.
14
II. QUANTITATIVE DETERMINATION OF ORGANIC
COMPOUNDS VIA FUNCTIONAL GROUPS
a. Phenolic groups by Bromination method
Aim: To estimate phenolic groups by bromination method
Principle: a known mass of phenol is treated with brominating mixtures, of potassium
bromate and potassium bromide in conc Hcl and then with potassium iodide solution. The
unreacted bromine gives an equivalent amount of iodine, the amount of which is determined
by titration with hypo solution.
The equation involved are
KBrO3 + 5KBr + 6HCl 3Br2 + 6KCl + 3H2O
Br2 + KI I2 + 2KBr
I2 + Na2S2O3 Na2S4O6 + 2NaI
HO
phenol
Br
Br
Br
OH
2,4,6-tribromophenol
+ 3Br2
Bromination
The variables in the brominating procedure include temperature, amount of bromine and time
of reaction. The best results are obtained at room temperature or below. Since bromination of
the side chain under the conditions is usually very slow, the amount of bromine must be
controlled in order to reduce the bromination of the side chain. The tribromo phenol
precipitate formed from phenol may contain in addition to tribromo phenol, some tribromo
phenol bromide. This is of no consequence as it is converted into tribromo phenol when
potassium iodide is added to the acid solution.The extra bromine is thus reacting as if it was
free bromine. This is the reason why the reaction mixture, after the reaction with potassium
iodide, is to be kept for 5-10 minutes to ensure that all the tribromo bromide is decomposed.
An average bromination period is 30 minutes, using about 100 percent of excess bromine.
15
Reagents
Brominating mixture (0.2N), anhydrous potassium bromated (5.567 g) and potassium
bromide (75 g) are dissolved in distilled water and diluted to 1 litre in a volumetric flask ( an
excess of KBr ensures complete reduction of bromated and keeps the free bromine in the
solution)
Sodium thiosulphate solution (0.1 N), Starch solution, Potassium iodide solution (20%),
Phenol solution,Conc. HCl
Procedure:
Three iodine flasks of 500 ml capacity are taken. In two flasks phenol solution (25 ml) and
bromated bromide solution (25 ml) are taken from the burette respectively. distilled water 25
ml and conc. HCL 5 ml are added and the flasks are stoppered immediately to prevent any
loss of bromine. The flask are allowed to stand for 30minutes with occasional shaking.these
are then cooled in ice and potassium iodide solution (20 %,10 ml) is added.the flasks are
shaken for 30 seconds and allowed to stand for 20 minutes. The stopper is removed, washed
with distilled water and the washings are collected in the same flask. Finally the liberated
iodine is titrated with standard sodium thiosulphate solution using starch as indicator. A blank
titration is also performed by taking brominating mixture (25 ml),HCl 25ml and water 25 ml
in third flask.
Calculations:
Volume of thiosulphate used in blank = v1
Volume of thiosulphate used for unknown phenol solution = v2
Normality of sodium thiosulphate solution = N
Molecular weight of phenol = M
16
Number of bromine atoms substituted in the pheol = z
Weight of the sample in grams = w
(V1-v2) xN xMx100
% purity of the sample= --------------------------
W x 200 x Z
Report: The phenol was quantitatively determined and the percentage purity of phenol was
found to be___________________
17
b. Estimation of hydroxyl group by Acetylation method
Aim: To Estimate hydroxyl groups by acetylation method
Principle: The acetylation method involves the replacement of hydrogen of an hydroxyl
group in alcohols or phenols by the acetyl group, by heating with a definite volume of a
mixture of acetic anhydride is hydrolyzed by water. The total free acetic acid is then
estimated by titration with standardizedsodium hydroxide solution, using phenopthalein as
indicator.
R(OH)n + n(CH3CO)2O R(OCOCH3)n + nCH3COOH
(CH3CO)2O + H2O 2CH3COOH
A blank experiment is also performed simultaneously under similar conditions by using the
same volume of a mixture of acetic anhydride and pyridine. The difference in the volume of
sodium hydroxide solution required in the two experiments is equivalent to the acetic acid
derived from the acetic anhydride consumed in the acetylation of the sample. By knowing the
molecular weight of the compound (sample), the number of hydroxyl groups in the
compound can be calculated
Reagents
Acetylating mixture : acetic anhydride and dry pyridine(1:3,v/v) are mixed, the mixture is
transferred to a clean dry burette and a calcium chloride guard tube is inserted into the top of
the burette. sodium hydroxide solution (1N), standardized with standard oxalic acid solution,
phenolphthalein indicator.
Procedure
Two round bottom flasks (100 mL) fitted with a reflux water condenser are taken and marked
as A and B. an accurately weighed amount of the sample (0.5 g) is placed in flask A and a
mixture of acetic anhydride and pyridine 10 mL is also added to this flask and also to the
blank flask B. the flasks are heated on boiling water bath for hour and then cooled. Distilled
water 20 mL is added to each of the flasks. Through the condenser and shaken gently for a
few minutes. The contents of the flasks are refluxed again for 2-5 minutes. Cooled and
18
allowed to stand for 10 minutes. Finally, the contents of the flasks are titrated with sodium
hydroxide solution (1 N) using phenolphthalein as an indicator.
Observations
Weight of the sample taken = W g
Volume of NaoH used in blank experiment = v1 ml
Volume of NaoH used with sample = v2 ml
Normality of NaoH solution = N1
Calculations:
(V1-v2) xN1 x17.01x100
% purity of the OH= --------------------------------
W x 1000
Report: The alcoholic group was quantitatively determined and the percentage purity was
found to be ________________
19
c. Estimation of Carbonyl group by Hydroxyl amine hydrochloride-
pyridine method
Aim: To estimate carbonyl group by hydroxyl amime hydrochloride pyridine method.
Principle: The method is based on the reaction of the carbonyl compound (aldehyde or
ketone) with hydroxyl amine hydrochloride to form oxime.
C=O + H2NOH.HCl C=NOH + H2O +HCl
The reaction is reversible and the equilibrium is shifted towards the right hand side on
addition of pyridine. Pyridine forms pyridinium hydrochloride with hydrochloric
acid.pyridinium hydrochloride, thus formed is acidic and is titrated with standard sodium
hydroxide using bromophenol blue as an indicator. The reagent hydroxylamine hydrochloride
is neutral to this indicator.The rate of reaction depends on the carbonyl compound taken.
Some compounds react at room temp (aldehydes) while others require heating (ketones and
certain aldehydes)
Reagents
The given carbonyl compound, Hydroxylamine hydrochloride reagent (0.5N): pure
Hydroxylamine hydrochloride 17.5 g is dissolved in distilled water 80 ml and diluted to
500ml wirh 95 percent ethanol. Methanolic sodium hydroxide solution (0.5 N): sodium
hydroxide pellets 19 g are dissolved in distilled water 50 mL and diluted to 500 mL with
absolute methanol. The solution is standardized with hydrochloric acid (0.5 N).Indicator
solution: a solution of bromophenol blue in alcohol (4%, 0.2 ml) is mixed with pyridine10ml
diluted to 1 litre with 95 percent ethanol.
Procedure:
Hydroxylamine hydrochloride solution 30 ml is placed in conical flask 250 ml fitted with
glass stopper. An accurately weighed quantity (apprx 1 g) of carbonyl compoundis added
followed by bromophenol blue indicator solution 100 ml. the flask is stoppered and allowed
to stand for 30 minutes at room temp (refux the mixture on boiling water bath for 2 hours in
case of ketones, particularly aromatic ketones). Then the mixture is titrated with standard
20
methanolic sodium hydroxide solution to a blue-green colour end point. A blank experiment
is also performed. The colour of the end point of the sample containing solution should match
with that of the blank experiment.
Observations
Weight of the carbonyl compound taken = w g
Volume of the standard sodium hydroxide solution used with sample = v1 ml
. Volume of the standard sodium hydroxide solution used for blank = v2 ml
Normality of the sodium hydroxide solution = N1
Molecular weight of the given carbonyl compound =M g
Calculations
(V1-v2) xN1 xMx100
Percentage purity = ---------------------------------
W x 1000
Report: Carbonyl functional group was quantitatively determined and percentage purity was
found to be__________________
21
d. Estimation of Carboxyl group (-COOH)
Aim: To carryout estimation of carboxyl group
Principle: By direct titration with alkali in aqueous, aqueous-alcoholic, alcoholic or non-
aqueous medium. For estimation of water soluble carboxylic acids, the titration with standard
alkali (potassium, sodium,barium hydroxide) is performed by using phenolphthalein as an
indicator.
RCOOH + OH-
RCOO-
+ H2O
Other indicators which can also be used in titrations are thymol blue (PH range 8-9.6 colour
change is from yellow to blue) and thymolphthalein (PH range 9.4-10.6, colour change is
from colourless to blue).Neutralization equivalent-the number of grams of acids required to
neutralize one litre of normal alkali. If the basicity of an acid is known then its molecular
weight can also be determined.The water insoluble acids are dissolved in aqueous alcoholic
medium and then titrated with standard alkali.
Reagents
Carboxylic acid solution . an accurately weighed given acid 0.6 g is dissolved in distilled
water in a 100 mL measuring flask, Standard sodium hydroxide solution0.05 N,
Phenolphthalein indicator
Procedure:
The acid solution 20 mL is pipette out into a 100 mL conical flask and 1-2 drops of
phenopthalein indicator are added, it is titrated with standard sodium hydroxide solution until
a faint pink color is obtained. The titration is repeated to get three concordant readings. For
water insoluble acids, the solution is prepared in aqueous alcohol or absolute methanol or
ethanol and then the titration is performedin the usual manner with alkali, in these cases
where alcohol is used, a blank experiment is also performed simultaneously.
22
Observations:
Weight of the acid dissolved in 100 mL = w g
Volume of the alkali used = v1 mL
Volume of the acid solution taken = 20 mL
Normality of alkali used = Nx
Calculations
(V1-v2) xN1 xMx100
Percentage purity = ---------------------------------
W x 200 x Z
Report: The carboxylic acid was quantitatively determined by acid-base method. It was
found to be_______________
23
e. Estimation of Amines by Bromination method
Aim: To estimate amines by bromination method
Principle: Aromatic amines can also be estimated by the bromination method. The sample is
treated with excess of standard bromate-bromide solution in presence of hydrochloric acid.
The excess of bromine is then determined iodometrically.
KBrO3 + 5KBr + 6HCl 3Br2 + 6KCl + 3H2O
H2N
Aniline
+ 3Br2
NH2
Br
Br
Br
2,4,6-tribromoaniline
Bromination
(excess ) Br2 +KI I2+2KBr
The solution of aniline is preparedby taking this required amount of amine in a volumetric
flask dissolved in minimum amount of dilute hydrochloric acid and diluted to the mark with
distilled water.
Procedure:
Weigh accurately about 0.25 gms of aniline into a 250 mL volumetric flask. Dissolve the
sample by adding minimum volume of dilute HCl and make up the volume to 250 mL with
distilled water. Pipette 25 mL of amine solution into an iodine flask followed by addition of
25 mL of bromate-bromide solution. To this add 25 mL of water. Add 5 mL of concentrated
HCl and stopper the flask immediately.Shake the flask for 1 minute to mix the reactants and
allowed to stand for 10 minutes with occasional shaking. Cool the flask under ice-water. Add
10 mL of 20% of potassium iodate solution. Shake the flask for 30 sec and allow to stand for
10 minutes. Titrate the free iodine with standard 0.1 N sodium thiosulphate using 2 mL of
starch solution as an indicator. Carry out the blank analysis using 25 ml of bromate-bromide
solution and 25 mL of water.
24
Calcualate the percentage purity of the amine by using the formula
Calculations
(V1-v2) xN1 xMx100
Percentage purity = ---------------------------------
W x 200 x Z
Report: The amine was quantitatively determined and the percentage purity was found to be
________________________
25
f. Estimation of amino acids by formol titration method
Aim: To estimate amino acids by formal titration method
Principle :Amino acids like glycine, alanine, etc. contain one amino group and one
carboxylic group as part of their structures. These groups being of opposite nature neutralise
one another intramolecularly and form internal salts called zwitter ions or dipolar ions. These
ions are held together by electrostatic attraction. They are neutral but in presence of alkalies
the dissociation favours formation of acid ion.
The free amino group then undergoes condensation with formaldehyde to form mono and
dimethyl derivatives. Thus, the formation of these condensation products greatly reduces the
basic character of amino group and the carboxylic group can readily be titrated with standard
alkali.
Procedure
Weigh out accurately about 30 milli-equivalents of the aminoacid (e.g., about 2-0 g. of
glycine) into a 250 mL. volumetric flask,dissolve it in boiled-out distilled water, and make up
to the markwith boiled-out distilled water. Mix well.Place 50 mL of commercial "formalin "
solution (35-40 percent, formaldehyde) in a conical flask, add 1 mL. of thymolphthalein
indicator solution (0 • 04 per cent, in 70 per cent, ethanol),and titrate with 0 • liV sodium
hydroxide until the solution has agreenish colour (1).Transfer 25 ml. of the solution of the
amino acid to a 250 mL.conical flask, add 10 ml. of the " neutral " formaldehyde solution,and
titrate with standard 0 • IN barium hydroxide solution to the first appearance of a blue colour.
Repeat with two further 25 mL .portions in order to obtain consistent titrations. To check that
the amino acid is free from strongly acidic impurities, titrate 25 mL. of the solution of the
amino acid with the standard 0 • 1N barium hydroxide solution to a pH. of about8-0 (green
colour with B.D.H. Universal Indicator) (2). Thevolume of the blank (which is usually
26
negligible for glycine andalanine) must be deducted from the volume of baryta solution used
in the actual " formol " titration.
CALCULATION
Calculate the purity of the amino acid from the formula :
% purity = v1 x N1 x M x 100
W x 1000
Where Vx = volume of baryta solution (ml.) less blank for acid impurities ;
Nx = normality of baryta solution ;
M = molecular weight of amino acid ; and
W = weight (g.) of amino acid used in the titration.
Report: Amino acid was quantitatively determined and the percentage purity of Amino acid
was found to be___________________
27
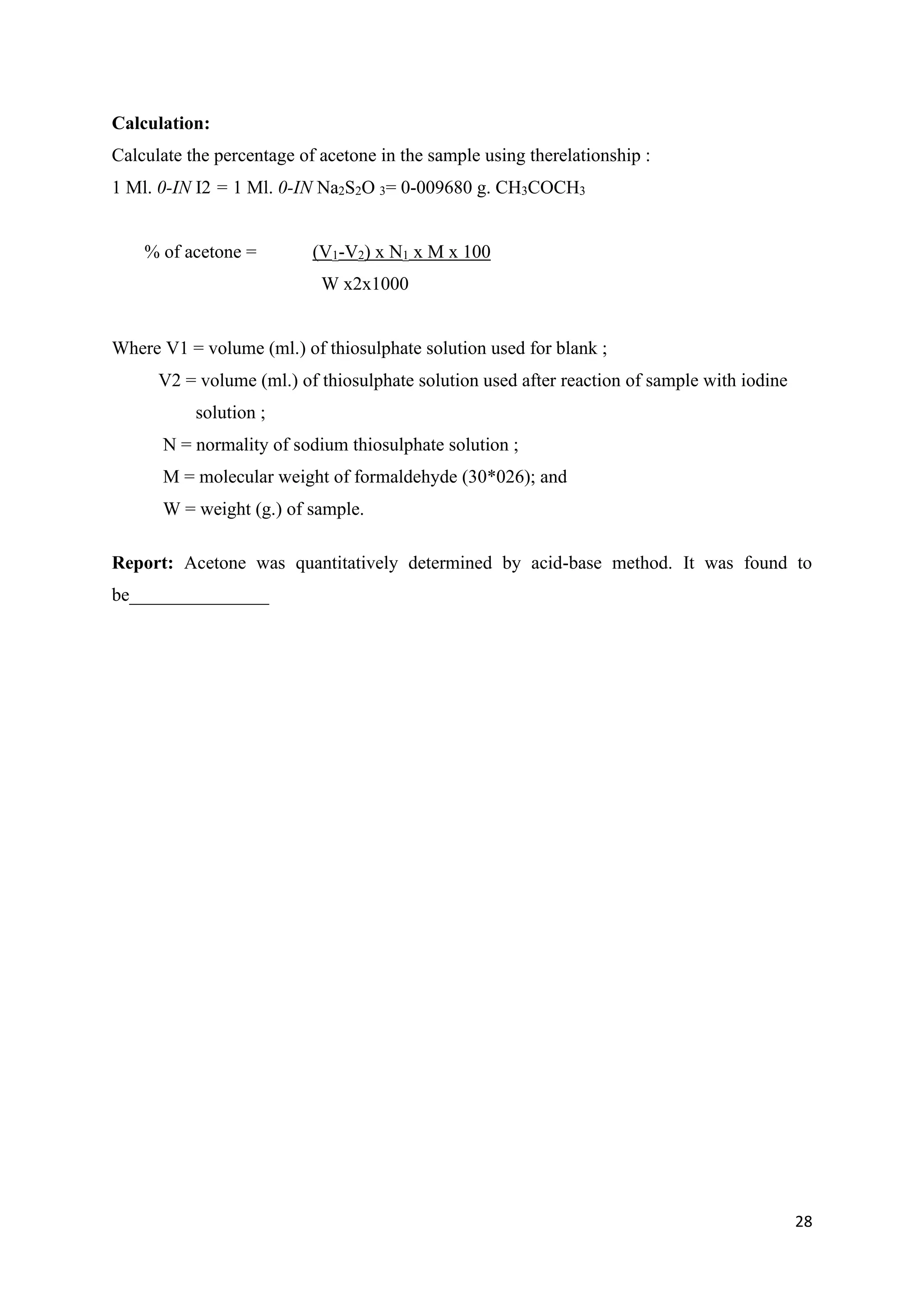
g. Determination of Acetone
Aim: To carryout determination of Acetone
Principle: Acetone reacts with iodine in the presence of sodium hydroxidesolution to yield
iodoform and sodium acetate :
CH3COCH3 + 3I2 + 3NaOH CH3COCI3 + 3NaI + 3H2O
CH3COCI3 + NaOH CHI3 + CH3COONa
or CH3COCH3 + 3I2 + 4NaOH CHI3 + CH3COONa + 3NaI + 3H2O
A dilute aqueous solution of the sample is added to a knownvolume of IN sodium hydroxide
solution, followed by an excessof standard 0 • IN iodine solution. After acidification,
unreactediodine is determined by titration with standard 0 • IN sodium thiosulphate solution :
1 Litre 0-12V Ig = 1 Litre 0-1N Na2S2O3= CH3COCH3/(6 X 10)= 0-9680 g. CH3COCH3
The above procedure is sometimes termed Messinger's method.Aldehydes, compounds which
contain an acetyl group, or a groupoxidisable by hypoiodite to an acetyl group, interfere ;
compoundscontaining a —CH=CHC=O group (e.g., acrolein orfurfuraldehyde) will consume
iodine and therefore interfere.Methyl and ethyl alcohols should also be absent.
Procedure:
Place a measured volume of an aqueous solution of the samplecontaining about 0-01-0 -025
g. of acetone * in a 500 ml. iodineflask. Dilute to about 200 ml. with distilled water. Add 25
•0 ml.of N sodium hydroxide solution, mix well, and allow to stand atroom temperature for 5
minutes. Introduce from a burette50-0 ml. of 0-lN iodine solution whilst shaking the flask
constantlywith a swirling motion. Allow the mixture to stand for15minutes at room
temperature. Then add 26 ml. of N sulphuricacid thus rendering the solution acidic, and titrate
immediatelywith standard 0-IN sodium thiosulphate solution to the starchend point.Run a
blank determination, omitting the acetone.
28
Calculation:
Calculate the percentage of acetone in the sample using therelationship :
1 Ml. 0-IN I2 = 1 Ml. 0-IN Na2S2O 3= 0-009680 g. CH3COCH3
% of acetone = (V1-V2) x N1 x M x 100
W x2x1000
Where V1 = volume (ml.) of thiosulphate solution used for blank ;
V2 = volume (ml.) of thiosulphate solution used after reaction of sample with iodine
solution ;
N = normality of sodium thiosulphate solution ;
M = molecular weight of formaldehyde (30*026); and
W = weight (g.) of sample.
Report: Acetone was quantitatively determined by acid-base method. It was found to
be_______________
29
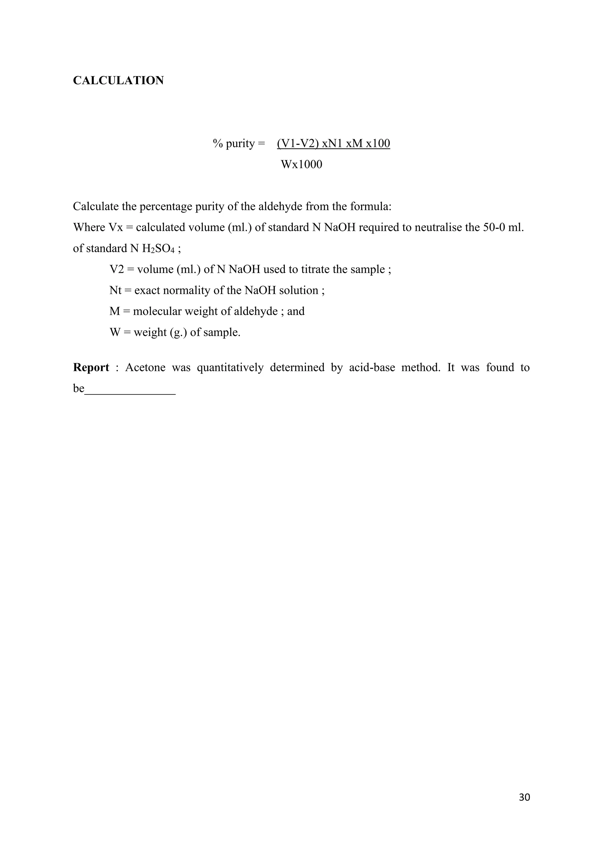
h. Determination of Aldehydes by the Sodium sulphite – Sulphuric acid
Aim: To estimate aldehydes
Principle: Carbonyl compounds reacts with sodiumbisulphite and yield crystallinebisulphite.
R-CHO + NaHSO3 RCH(OH)SO3Na
Reagents: Sodium sulphite solution, IM. Prepare a M solution of sodiumsulphite and adjust
the pH. of the solution to 9-1 by the dropwise addition, with stirring, of a 1M solution of
sodiumbisulphite. Use a pH meter and a glass - calomel electrode system. Standard IN
sulphuric acid. Standard IN sodium hydroxide solution.
Procedure:
Place 250 mL. of the 1M sodium sulphite solution in a 500 ml.glass-stoppered bottle or flask,
and cautiously add 50 mL. ofN sulphuric acid: swirl the contents of the flask gently as theacid
is added in order to avoid loss of sulphur dioxide due to localised overneutralisation of the
sodium sulphite. To the resulting solution add the sample, accurately weighed, containing20-
30 milli-equivalents of the aldehyde (e.g., 2-0 g. of redistilledw-butyraldehyde or 3-0 g. of
redistilled w-heptaldehyde) . Shake the mixture vigorously for about 15 minutes. Transferthe
reaction mixture quantitatively with the aid of a few mL of water to a 600 m. Beaker. Stir
magnetically. Introduce a glass and a calomel electrode into the solution, and connect the
electrodes to a pH meter. Titrate the excess of acid with N sodiumhydroxide solution. Plot the
pE. readings (ordinates) against ml. of alkali added (abscissae), and evaluate the end point
fromthe plot. A more rapid method, although somewhat less precise, is to add the standard
alkali until a pK is obtained corresponding to thepH at the end point for the aldehyde being
analysed.
Note: Volatile aldehydes may be added in a sealed glass ampoule.
30
CALCULATION
% purity = (V1-V2) xN1 xM x100
Wx1000
Calculate the percentage purity of the aldehyde from the formula:
Where Vx = calculated volume (ml.) of standard N NaOH required to neutralise the 50-0 ml.
of standard N H2SO4 ;
V2 = volume (ml.) of N NaOH used to titrate the sample ;
Nt = exact normality of the NaOH solution ;
M = molecular weight of aldehyde ; and
W = weight (g.) of sample.
Report : Acetone was quantitatively determined by acid-base method. It was found to
be_______________
31
III. SEPARATION OF BINARY MIXTURE
The organic chemist is frequently faced to the task of separating mixtures of
compounds. Since few organic reactions give a single product, this commonly occurs in the
work up stage of a reactions when it s desired to isolate a single pure compound from mixture
which may contain un-reacted starting materials and reagents, inorganic materials produced
from reagents, and expected – unexpected by -products.
In order to gain an understanding of the principles involved and variety of methods,
which may be employed, it can be useful practice for the organic chemistry student to carry
out exercises on the investigation and separation of given mixtures.
The successful separation of a mixture of the two organic substances will depend
largely upon the student’s general knowledge of organic chemistry and in particular upon his
acquaintance with the reactions given under qualitative detection of individual compound.
The identification of the components of a mixture involves a separation into
individual compounds and the characterization of each according to the qualitative analysis of
compound. It is far more important, to carry out the separation in such a manner that each
compound is obtained in the pure state because, the renders the individual identification much
easier.
It is impossible to give more than an outline of the methods employed, as the mode of
separation depends upon the actual substances present as well as the classes to which they
belongs.
The organic chemist is frequently faced to the task of separating mixtures of
compounds. Since few organic reactions give a single product, this commonly occurs in the
work up stage of a reactions when it s desired to isolate a single pure compound from mixture
which may contain un-reacted starting materials and reagents, inorganic materials produced
from reagents, and expected – unexpected by -products.
In order to gain an understanding of the principles involved and variety of methods,
which may be employed, it can be useful practice for the organic chemistry student to carry
out exercises on the investigation and separation of given mixtures.
32
The successful separation of a mixture of the two organic substances will depend
largely upon the student’s general knowledge of organic chemistry and in particular upon his
acquaintance with the reactions given under qualitative detection of individual compound.
The identification of the components of a mixture involves a separation into
individual compounds and the characterization of each according to the qualitative analysis of
compound. It is far more important, to carry out the separation in such a manner that each
compound is obtained in the
The general method to be adopted for the analysis of mixtures of organic compounds
is to separate them into their components and to identify each component as previously
described.
Following three steps caries out the separation of binary mixture:
1) Physical nature of binary mixture
2) Type determination
3) Separation of binary mixture
1) Physical Nature f Binary Mixture:
Physically the mixture may be either one of the following type:
a) Solid – Solid [ Two solids mixed together]
E.g. Benzoic acid + α – napthol]
b) Solid – Solid [Eutectic mixture i.e. at room temperature one solid liquefies]
Another solid & both becomes liquid; liquefied mass become solidifies on
cooling]
e.g. Camphor + Menthol
c) Solid – Liquid [ Solution: i.e. solid may dissolve in liquid & forms a solution]
e.g. Acetone + Benzoic acid; Ethanol +Salicylic acid
d) Solid – Liquid [ suspension; i.e. solid is observed at the bottom in a mixture]
e.g. Toluene + Benzoic acid
e) Liquid – Liquid
e.g. Pyridine + Toluene
33
Identification of mixture:
a) Two solids mixed together either both are colorless or colored or one of them may be
colored : Solid + Solid
b) Pour about 2.0 mL of liquid on a watch glass and place it on an ice bath and observe:
i) if complete solidification: Eutectic mixture Solid + Solid)
ii) If solidification Partially: Solid + Liquid (suspension)
iii) No solidification: Solid + Liquid (solution) or Liquid + Liquid Mixture.
2) Type determination of Binary Mixture:
The mixture may be one of the following types:
(a) Acid + Phenol
(b) Acid + Base
(c) Acid + Neutral
(d) Phenol + Base
(e) Phenol + Neutral
(f) Base + Neutral
(g) Neutral + Neutral
The type determination and method of separation of organic binary mixture only
depends upon its solubility in water. Take 0.5 gm of mixture in a test tube and add 5ml water
and shake well and keep it for 2minutes and observe, if one of the component of a mixture is
dissolved in water then it is called as water – soluble mixture.
To make an observation of solubility of colored compound is easy because, water will
take color of it.
But it is difficult to find out the solubility of colorless compound(i.e. both the solids is
a mixture are colorless and one is water soluble) In this case, take 0.5 gm of compound and
add 5ml 10% aqueous NaHCO3, only acid will give effervescence, i.e. oxalic acid (water
soluble) where as other colorless compound viz., carbohydrates, urea, thiourea, amides etc.
they will solubalise and do not give effervescence and you can draw the conclusion the
mixture is water soluble& follow the method for separation accordingly.
The type is detected as follows:
34
a, Type determination of water – soluble compounds:
Place small quantity of mixture in test tube and add 1 to 2 ml of water only. Shake for
two minutes and filter it, check the filtrate with litmus paper. Place few drops of filtrate
on watch glass and evaporate, if residue is observed on watch glass then one of the compound
is water – soluble.
Test Observation Inference
Litmus test a) Blue litmus turns red
b) Red litmus turns blue
c) No change on either
litmus
Acid or phenol present.
Base present.
Neutral substance present.
To distinguish between acid &phenol, take little amount of compound and add 2.0ml
of 10% aqueous solution of NaHCO3. If effervescence of CO2 observed acid is present and if
no effervescence of CO2, Phenol is present.
Test Observation Inference
a) Place 0.2 to 0.3 of mixture
in test tube + 2 ml 10%
aq. NaHCO3 solution.
Shake well and filter
above mixture, acidify the
filtrate with concentrated
HCl
Effervescence of CO2
No effervescence of CO2
White precipitate
No white precipitate.
Acid may be present
Acid absent
Acid confirmed
Acid absent
b) Take the residue of test
(a) if type (a) is present
OR take the mixture if
type (a) is absent+2.0ml
10% aqueous NaOH
Residue is partly or
completely soluble
Phenol may be present.
35
solution. Shake well and
filter, acidify the filtrate
with concentrated HCl
and cool
White precipitate
No white Precipitate
Phenol confirmed
Phenol absent.
c) Take the reside of test
(b)if type (b) is present
OR take the mixture if
type (b) is absent+ 1:1
HCl. Shake well and
filter, basify the filtrate by
10% aqueous NaOH
solution.
Reside is partly or
completely soluble
Precipitate formed
No precipitate
Base may be present.
Base confirmed
Base absent
Note: If only one type is found in above test then other type is neutral
In case of Solid – Solid mixtures, it is necessary first to find out the type of mixture and then
the compounds are separated. However in case of Solid – Liquid of Liquid – Liquid mixtures
the compounds are first separated and then type of the individual compounds is determined.
3) Separation of Binary Mixture:
(a) Separation of Solid mixture (Water Soluble): Place all the mixture (10gm) in 30ml water
in a beaker and stir it for 10 minutes and filter.
Observation Inference
Evaporate the filtrate to get crystals of
substance and analyse it, for type
determination.
Residue is subjected for type
determination.
36
b, Separation of Solid + Solid mixture (water insoluble)
According to the types of organic mixture three groups are made for separation.
(i) Acid – Phenol/Acid – Base/ Acid - neutral.
(ii) Phenol – Base/ phenol – neutral
(iii) Base – Neutral.
(i) Separation of Acid – Phenol/ Acid - Base/ Acid – Neutral type mixtures: Place all the
mixture (10gm) in a beaker, add to it with stirring 10% aq. NaHCO3, Solution, till
effervescence of CO2 stops and filter it.
Observation Inference
Cool the filtrate, add cone. HCl Slowly till blue
litmus turns red. Acid precipitates. Filter the
precipitate of acid. Wash it with water,
recrystallized from hot water and dry it.
Wash the residue with water, recrystallized
it with ethanol or water ethanol mixture.
(ii) Separation of Phenol – Base/Phenol – Neutral type mixtures: Place all the mixture
10gm in beaker, add to it 10% aqueous NaOH solution [till red litmus turns blue] stir well
and filter it.
Filtrate (Na – salt of phenol) Residue (Base / Neutral)
Add cone. HCl Slowly till blue Litmus turns red
Phenol precipitates. Filter the precipitate, wash it
with water, recrystallise from ethanol.
Wash the residue with water, recrystallise
from suitable solvent.(for Base: ethanol-
water, for Neutral: benzene etc.)
Reaction:
R-COOH +NaHCO3 R – COONa+CO2 +6H2o
Sodium Salt (Soluble)
R – COOH + HCl R- COOH + NaCl
(ppt)
Reaction:
Ar – OH +NaHCO3 Ar – ONa+ H2o
Phenol Sodium salt (Soluble)
Ar-oNa + HCl Ar – OH + Nacl
37
(iii) Separation of Base – neutral type mixtures: Place all the mixture (10 gm) in a beaker
adds to it about 20ml concentrated HCl + 20ml water mixture, stir the mixture for 10 minutes
and filter it.
Filtrate Residue
Cool the filtrate, add slowly 10% aqueous NaOH
solution till alkaline (red litmus turns blue) Base
precipitate. Filter the precipitate, wash with water,
recrystallise from ethanol or ethanol water.
Wash the residue with water, recrystallise by
using suitable solvent.
c. Separation of solid + liquid mixture (Solution):
Take all the mixture (20ml in a distillation flask, add one porcelein piece, attach water
condenser and thermometer to the distillation flask. Heat the flask gently. Collect volatile
compound in dry receiver at constant temperature, note down the temperature, it is the boiling
point of the liquid. Stop the heating when temperature starts rising above the constant
temperature. Pour the remaining liquid in porcelein dish. Keep it for cooling at room
temperature for solidification.
d) Separation of Solid + liquid mixture (Suspension):
This type of mixture is separated by simply filtering by using filter paper and glass funnel.
The residue obtained on filter paper can be recrystallised using suitable solvent if needed.
e) Separation of liquid – liquid mixture:
Place all the mixture (20ml) in a distillation flask, add one porcelein piece, and attach water
condenser and thermometer to the distillation flask. Heart the flask gently. Collect first liquid
at constant temperature in dry receiver flask, noted the temperature, it is the boiling point of
Reaction:
R – NH2 + HCl R – NH2 - Cl
Base Hydrochloride of base (Soluble)
R – NH3+ Cl + NaOH R – NH2 + NaCl + H2O
(ppt)
38
the first liquid. Stop the heating when temperature starts rising above the constant
temperature. Pour the remaining liquid in porcelein dish. It is the second compound.
Various examples of Binary mixtures:
i) Benzoic acid + α –napthol
ii) Cinnamic acid + β –napthol
iii) Phthalic acid +Resorcinol (Water soluble)
iv) Salicylic acid + P – toluidine
v) Acetyl salicylic acid +α - napthylamine
vi) Benzoic acid + Napthalene
vii) Cinnamic acid + Anthracene
viii) Phthalic acid+Urea / thiourea / glucose (Water soluble)
ix) α- napthol + P - toluidine
x) Resorcinol + Napthalene (Water soluble)
xi) β- napthol + Anthracene
xii) Aniline + - Toluene Liquid – Liquid
xiii) O-cresol + Toluene Liquid – Liquid
xiv) Benzoic acid + Toluene Solid – Liquid (Suspension)
xv) Cinnamic acid + Benzaldehyde Solid – Liquid (Suspension)
xvi) Salicylic acid + Ethanol Solid – Liquid (Solution).
*****
Note: After the separation of binary mixture, each compound is subjected for its individual
identification by performing qualitative analysis.
39
Reference Books (Latest Editions)
1. Textbook of Organic Chemistry by B.S. Bahl & Arun Bahl.
2. Organic Chemistry by P.L.Soni
3. Practical Organic Chemistry byMann and Saunders.
4. Vogel’s text book of Practical Organic Chemistry
5. Advanced Practical organic chemistry by N.K.Vishnoi.

Organic Synthesis and Estimation of Functional Groups

  • 2.
    S.NO CONTENTS PAGE.NO ISYNTHESIS/PREPARATIONS 01 a. Synthesis of p-bromoaniline from Acetanilide 01 b. Synthesis of p- nitroaniline from Acetanilide 03 c. Synthesis of p-nitrophenylhydrazine from p-nitroaniline 05 d. 3-Methyl-1-phenyl-5-pyrazone from Ethylacetoacetate 07 e. Synthesis of Benzilic acid from Benzoin 08 f, Synthesis of Benzyl benzoate from Benzaldehyde 10 g. Preparation of 2-phenyl indole from phenyl hydrazine by Fischer’s method 12 II QUANTITATIVE DETERMINATION OF ORGANIC COMPOUNDS VIA FUNCTIONAL GROUPS 14 a. Phenolic groups by Bromination method 14 b. Estimation of hydroxyl group by Acetylation method 17 c. Estimation of Carbonyl group by Hydroxyl amine hydrochloride- pyridine method 19 d. Estimation of Carboxyl group 21 e. Estimation of Amines by Bromination method 23 f. Estimation of amino acids by formol titration method 25 g. Determination of Acetone 27 h. Determination of Aldehydes by the Sodium sulphite – Sulphuric acid 29 III SEPARATION OF BINARY MIXTURE 31 a, Type determination of water – soluble compounds 34 b, Separation of Solid + Solid mixture (water insoluble 36 c, Separation of solid + liquid mixture (Solution) 37 d. Separation of Solid + liquid mixture (Suspension): 37 e. Separation of liquid – liquid mixture: 37 References 39
  • 3.
    1 I. SYNTHESIS/PREPARATIONS a. Synthesisof p-bromoaniline from Acetanilide Aim: To prepare and submit p-bromoaniline Principle: It cannot be obtained by bromination of aniline, since the major product of bromination is 2,4,6-tribromo aniline, therefore amino group is protected and then bromination gives the p-bromoacetanilide is the major product ,which on hydrolysis gives the required p- bromo aniline . It involves two steps Step 1 : Synthesis of p-bromoacetanilide from Acetanilide Chemical reaction O N H acetanilide O N H Br p-bromoacetanilide Chemicals required: Acetanilide 7g Bromine 2.7Ml Glacial acetic acid 65 Ml Procedure: A solution of bromine (2.7ml) in glacial acetic acid 30 ml is added using dropping funnel slowly to a stirred solution of acetanilide (7 g) in glacial acetic acid 35 ml. during the addition the reaction mixture is kept in a cold water bath. After the addition is over the reaction mixture is orange coloured due to slight excess of bromine. The reaction mixture is allowed to stand for 15-20 minutes at room temperature and poured into water 200ml, sodium bi sulphite is added just to remove orange colour. The separated product is filtered, washed with cold water and crystallized from dilute alcohol. The yield is 8 g(72%) m.p. is 1670 C.
  • 4.
    2 Step 2 :Synthesis of p-bromoAniline from p-bromoacetanilide Chemical reaction: O N H Br p-bromoacetanilide H2N Br p-bromoaniline Hydrolysis + CH3COOH Chemicals required: Procedure: A solution of p-bromoacetanilide 5 g in ethanol 10 ml and aqueous potassium hydroxide 3 g in 4 mL Water is refluxed for 30 minutes in round bottom flask 100ml capacity. To the reaction mixture is added water 40 ml and the mixture is distilled until about 35 mL of distillate (alcohol & water) is collected. The residual solution is poured in water 50 mL.p- bromo aniline seperates as an oil, which solidifies on cooling. It is filtered, washed with cold water and crystallized from dilute alcohol using decolourising charcoal. The yield is 3.9 g (97.5%) m.p. is 65-660 C. Percentage yield is calculated from the formula given below: Practical Yield %Yield = ________________ X 100 Theoretical Yield Report: p-bromoAniline was prepared and Submitted and the percentage yield was found to be____________ p-bromo Acetanilide 5 g Ethanol 10 Ml Potassium hydroxide 3 g
  • 5.
    3 b. Synthesis ofp- nitroaniline from Acetanilide Aim: To prepare and submit p- nitroaniline from Acetanilide Principle :It cannot be obtained by direct nitration of aniline. It is necessary to protect the amino group by acetylation. Nitration of acetanilide leads to p-nitroacetanilide (major product), which on hydrolysis gives p-nitro aniline. Step 1 synthesis of p-nitroacetanilide from acetanilide Chemical reaction: O N H Acetanilide O N H NO2 Nitation Conc.HNO3 Conc.H2SO4 Parabromoacetanilide Chemicals required: Acetanilide 8.4g Glacial acetic acid 10mL Conc. Sulphuric acid 19.4mL Conc. Nitric acid 3.7 Ml Procedure: Concentrated Sulphuric acid 19.4 ml (31 g) is added to a well stirred solution of acetanilide 8.4 g in glacial acetic acid 10 ml. the clear solution is cooled (Feezing mixture of ice-salt). stirred and a mixture of conc nitric acid (3.7 ml) and conc. Sulphuric acid 2.4 ml is added slowly through a dropping funnel. The temperature of the reaction mixture is maintained below 10 c.the mixture is allowed to maintain room temperature and left for 30 minutes. It is poured on to a crushed ice (about 80 g) and the mixture stirred well.the separated product is filtered, washed with cold water (until free of acid) and crystallized from alcohol. The yield is 4.8 g (43%) m.p. is 213-2140 C.
  • 6.
    4 Step 2 :Synthesis of p-nitroaniline from p-nitroacetanilide Chemical reaction: O N H Acetanilide NO2 O N H NH2 Paranitroaniline H + + CH3COOH Chemicals required: p-Nitro acetanilide 5g Sulphuric acid (70%) 30 mL Procedure: A mixture of p-nitroacetanilide 5 g and sulphuric acid (70%) 30 mL ( obtained by causiously adding 20 mL of Conc sulphuric acid to 30 mL water) is refluxed for 25-30 minutes. The solution is poured into cold water 200 mL l and the solution rendered alkaline by adding excess sodium hydroxide solution (10%). The separated p-nitroaniline is filtered, washed with water and recrystallized from dilute alcohol (1:!). The yield is 3.5 g Percentage yield is calculated from the formula given below: Practical Yield %Yield = ________________ X 100 Theoretical Yield Report: p-nitroaniline was prepared and submitted and percentage yield was found to be________________.
  • 7.
    5 c. Synthesis ofp-nitrophenylhydrazine from p-nitroaniline Aim: To prepare and submit p-nitrophenylhydrazine. Principle: It is obtained from p-nitroaniline by diazotization, followed by reduction with sodium sulphite and subsequent acidification. The formed p-nitrophenylhydrazine hydrochloride on treatment with sodium acetate liberated the free base. Chemical reaction: NH2 Aniline N2Cl NO2 NaNO2 Na2CO3 CH3COONa HCl NHNH2 NO2 1-chloro-2-(4-nitrophenyl) diazene 1-(4-nitrophenyl) hydrazine Chemicals required: p-nitroaniline 8 g Conc. Hydrochloric acid 17.2 mL Sodium nitrite 5g Sodium sulphite 33g Sodium hydroxide 3.2 g Procedure: p-nitroaniline 8 g is dissolved in hot dilute Hcl (1:1, 34.4 ml). the solution is cooled (0-5 c) and diazotized with a solution of sodium nitrite (5 g) in water (10 ml). the cold diazotised solution is filtered and the clear solution is added through a separating funnel to an ice cold solution of sodium sulphite (33 g) in water(75 ml) containing sodium hydroxide (3.2 g). the diazo solution is added slowly(5-10 minutes). The reaction mixture is allowed to stand for 5- 10 minutes, acidified with conc Hcl (57ml) and heated on water bath at 25 c for 3 minutes. The solution is left overnight and the separated product is filtered.it is heated with Conc HCl (15 ml) on a water bath for 5 minutes and cooled. The separated p-nitrophenylhydrazine
  • 8.
    6 hydrochloride is separated,dissolved in water and treated with concentrated solution of sodium hydroxide. the formed p-nitrophenylhydrazine is filtered washed with water and crystallised from alcohol. The yield is 5.3 g (59.7%) m.p. is 1580 C. Percentage yield is calculated from the formula given below: Practical Yield %Yield = ________________ X 100 Theoretical Yield Report: p-nitrophenyl hydrazine was prepared and submitted and the practical yield was found to be ________________,
  • 9.
    7 d. 3-Methyl-1-phenyl-5-pyrazone fromEthylacetoacetate Aim: to prepare and submit 3-methyl-1-phenyl-5-pyrazone. Principle :The 3methyl- 1-phenyl pyrazole- 5-one is prepared by addition and crystallization of the ethyl acetonadate and phenyl hydrazine. It is complete cyclo addition reaction. Chemical reaction: Chemicals required: Ethyl acetoacetate 4.9 mL Phenyl hydrazine 3.65 mL Procedure: A mixture of Ethyl acetoacetate 4.9 ml and Phenyl hydrazine 3.65 ml is heated with boiling water bath in a conical flask for 2 hours. The reaction mixture is stirred with a glass rod. To the cooled reaction mixture is added ether (20 ml) and stirred. The separated product is filtered, washed with ether and recrystallised from dilute ethano l(1:1), the yield is 5.2 g (80%)m.p.is 1270 C. Percentage yield is calculated from the formula given below: Practical Yield %Yield = ________________ X 100 Theoretical Yield Report: The practical yield of 3-methyl-1-phenyl-5-pyrazone was found to be __________________ O O - O Ethylacetoacetate + HN NH2 Phenyl hydrazine N NH O 3-Metyl-i-phenyl- 5-pyrazone
  • 10.
    8 e. Synthesis ofBenzilic acid from Benzoin Aim: To prepare and submit benzilic acid Principle: The benzilic acid rearrangement is the base-catalyzed transformation of an a.- diketone to the salt of an a.--hydroxy acid. This rearrangement can be effected in aromatic, in semi=aromatic (o-quinones), in alicyclic, and in aliphatic, as well as in heterocyclic a.- diketones. It involves two steps Step 1: preparation of benzil from benzoin Chemical reaction: OH O Benzoin O O Benzil Conc.HNO3 Acetic acid Benzoin 10 g Acetic acid 50 mL Conc Nitric acid 25 mL Procedure: A mixture of benzoin 10 g, acetic acid 50 ml and conc nitric acid 25 ml is heated in a RBF (boiling water bath) for 2 hours. The flask is connected to a trap containing sodium hydroxide solution to absorb oxides of nitrogen. Alternatively,the reaction is carried out in a fume cupboard. The reaction mixture is cooled and poured with stirring into an ice-water mixture. The mixture is stirred well and the separated product filtered and washed with water. It is crystallized from rectified spirit as yellow prisms. The yield is 9 g (91%) m.p. is 950 C.
  • 11.
    9 Step 2: Preparationof Benzilic acid from BenzIl Chemical reaction: O O Benzil H+ HO O HO Benzilic acid Chemicals required: Benzil 8g Potassium hydroxide pellets 10 g Rectified spirit 25 mL Conc HCl 35 mL Procedure: A mixture of benzil 8 g, KOH solution 10 g dissolved in 20 ml water and rectified spirit 25 mL is refluxed in a water bath for 12 minutes. The hot reaction mixture is poured into water 150 mL contained in a beaker. In case the reaction does not go to completion, a colloidal solution is obtained due to separation of unreacted benzil. The mixture is treated with animal charcoal 2g stirred well and filtered. The clear filtrate is added with stirring to a mixture of crushed ice 150 g and conc HCl 35 mL. The separated benzilic acid is filtered and washed with cold water(until free from chloride), It is recrystallized from hot water as colourless needles. The yield is 6 g(69%) m.p. is 1500 C. Percentage yield is calculated from the formula given below: Practical Yield %Yield = ________________ X 100 Theoretical Yield Report: The yield of Benzilic acid was found to be __________________.
  • 12.
    10 f, Synthesis ofBenzyl benzoate from Benzaldehyde Aim: To prepare and submit benzyl benzoate from benzaldehyde Principle : Benzyl benzoate is produced industrially by the reaction of sodium benzoate with benzyl alcohol in the presence of a base, or by transesterification of methyl benzoate and benzyl alcohol. It is a byproduct of benzoic acid synthesis by toluene oxidation. It can also be synthesized by the Tishchenko reaction, using benzaldehyde with sodium or potassium benzylate (generated from sodium and benzyl alcohol) as catalyst. This is based on Cannizzaro’s reaction. Chemical reaction: 2C2H5CHO KOH C6H5COOK + C6H5CH2OH This is based on Cannizzaro’s reaction Chemical required: Benzaldehyde 20 mL Potassium hydroxide pellets 12.5g Procedure: Potassium hydroxide pellets (12.5 g) are dissolved in water (60 mL) in a round bottom flask and freshly distilled benzaldehyde 20 mL is added. The mixture is cooled and water added just to dissolve any precipitated potassium benzoate. The mixture is extracted with ether (3X30 ml). The clear alkaline solution is cooled and acidified with cold HCl (1:1, 60 mL) . The acidified solution is cooled and separated benzoic acid is filtered and recrystallized from hot water as colourless needles. The yield is 8.5 g(70.8%) m.p.is 1210 C.The combined ether extract (obtained above) is dried over anhydrous magnesium sulphate and distilled. The residue containing benzyl alcohol is distilled using a flame. The yield is 5.5 g (52.4%) the b.p.is 205-2060 C.
  • 13.
    11 Note: Benzyl benzoateis the ester of benzyl alcohol and benzoic acid, This colorless liquid is formally the condensation product of benzoic acid and benzyl alcohol. It can also be generated from benzaldehyde. Percentage yield is calculated from the formula given below: Practical Yield %Yield = ________________ X 100 Theoretical Yield Report: The practical yield of benzyl benzoate was found to be __________________..
  • 14.
    12 g. Preparation of2-phenyl indole from phenyl hydrazine by Fischer’s method Aim: To prepare and submit 2-phenyl indole. Principle : The Fischer indole synthesis is a chemical reaction that produces the aromatic heterocycle indole from a (substituted) phenylhydrazine and an aldehyde or ketone under acidic conditions. The reaction was discovered in 1883 by Emil Fischer. Today antimigraine drugs of the triptan class are often synthesized by this method. Chemical reaction: N C H3 NH C6H5 H + N H C6H5 Acetophenone phenyl hydrazone 2 - phenyl indole Chemicals required: Procedure: A mixture of acetophenone 10 g ,phenyl hydrazine 9 g and alcohol 30 ml containing 2-3 drops of glacial acetic acid is warmed (100 c) for 15 minutes. The separated phenyl hydrazone is filtered, washed with dilute Hcl(5 ml), ethanol 5 ml and crystallized from ethanol. The yield is 11 g m,p. is 1060 C.The above acetophenone phenyl hydrazone 7 g is heated with polyphosphoric acid 40 g on a boiling water bath in a conical flask. The mixture is heated at 100-120 c for 10 minutes. Water 100 ml is added and separated product is filtered and washed with water. It is crystallized from ethanol. The yield is 5 g (79%) m.P. is 1870 C. Acetophenone : 10 g Phenyl hydrazine 9 g Ethanol 30 mL Polyphosphoric acid 40g
  • 15.
    13 Note : polyphosphoricacid is obtained by dissolving phosphorus pentoxide (25 g) in commercial ortho phosphoric acid ( 15 g). It is prepared in the flask in which the reaction has to be carried out. Percentage yield is calculated from the formula given below: Practical Yield %Yield = ________________ X 100 Theoretical Yield Report: The practical yield of 2-phenyl indole was found to be _________________.
  • 16.
    14 II. QUANTITATIVE DETERMINATIONOF ORGANIC COMPOUNDS VIA FUNCTIONAL GROUPS a. Phenolic groups by Bromination method Aim: To estimate phenolic groups by bromination method Principle: a known mass of phenol is treated with brominating mixtures, of potassium bromate and potassium bromide in conc Hcl and then with potassium iodide solution. The unreacted bromine gives an equivalent amount of iodine, the amount of which is determined by titration with hypo solution. The equation involved are KBrO3 + 5KBr + 6HCl 3Br2 + 6KCl + 3H2O Br2 + KI I2 + 2KBr I2 + Na2S2O3 Na2S4O6 + 2NaI HO phenol Br Br Br OH 2,4,6-tribromophenol + 3Br2 Bromination The variables in the brominating procedure include temperature, amount of bromine and time of reaction. The best results are obtained at room temperature or below. Since bromination of the side chain under the conditions is usually very slow, the amount of bromine must be controlled in order to reduce the bromination of the side chain. The tribromo phenol precipitate formed from phenol may contain in addition to tribromo phenol, some tribromo phenol bromide. This is of no consequence as it is converted into tribromo phenol when potassium iodide is added to the acid solution.The extra bromine is thus reacting as if it was free bromine. This is the reason why the reaction mixture, after the reaction with potassium iodide, is to be kept for 5-10 minutes to ensure that all the tribromo bromide is decomposed. An average bromination period is 30 minutes, using about 100 percent of excess bromine.
  • 17.
    15 Reagents Brominating mixture (0.2N),anhydrous potassium bromated (5.567 g) and potassium bromide (75 g) are dissolved in distilled water and diluted to 1 litre in a volumetric flask ( an excess of KBr ensures complete reduction of bromated and keeps the free bromine in the solution) Sodium thiosulphate solution (0.1 N), Starch solution, Potassium iodide solution (20%), Phenol solution,Conc. HCl Procedure: Three iodine flasks of 500 ml capacity are taken. In two flasks phenol solution (25 ml) and bromated bromide solution (25 ml) are taken from the burette respectively. distilled water 25 ml and conc. HCL 5 ml are added and the flasks are stoppered immediately to prevent any loss of bromine. The flask are allowed to stand for 30minutes with occasional shaking.these are then cooled in ice and potassium iodide solution (20 %,10 ml) is added.the flasks are shaken for 30 seconds and allowed to stand for 20 minutes. The stopper is removed, washed with distilled water and the washings are collected in the same flask. Finally the liberated iodine is titrated with standard sodium thiosulphate solution using starch as indicator. A blank titration is also performed by taking brominating mixture (25 ml),HCl 25ml and water 25 ml in third flask. Calculations: Volume of thiosulphate used in blank = v1 Volume of thiosulphate used for unknown phenol solution = v2 Normality of sodium thiosulphate solution = N Molecular weight of phenol = M
  • 18.
    16 Number of bromineatoms substituted in the pheol = z Weight of the sample in grams = w (V1-v2) xN xMx100 % purity of the sample= -------------------------- W x 200 x Z Report: The phenol was quantitatively determined and the percentage purity of phenol was found to be___________________
  • 19.
    17 b. Estimation ofhydroxyl group by Acetylation method Aim: To Estimate hydroxyl groups by acetylation method Principle: The acetylation method involves the replacement of hydrogen of an hydroxyl group in alcohols or phenols by the acetyl group, by heating with a definite volume of a mixture of acetic anhydride is hydrolyzed by water. The total free acetic acid is then estimated by titration with standardizedsodium hydroxide solution, using phenopthalein as indicator. R(OH)n + n(CH3CO)2O R(OCOCH3)n + nCH3COOH (CH3CO)2O + H2O 2CH3COOH A blank experiment is also performed simultaneously under similar conditions by using the same volume of a mixture of acetic anhydride and pyridine. The difference in the volume of sodium hydroxide solution required in the two experiments is equivalent to the acetic acid derived from the acetic anhydride consumed in the acetylation of the sample. By knowing the molecular weight of the compound (sample), the number of hydroxyl groups in the compound can be calculated Reagents Acetylating mixture : acetic anhydride and dry pyridine(1:3,v/v) are mixed, the mixture is transferred to a clean dry burette and a calcium chloride guard tube is inserted into the top of the burette. sodium hydroxide solution (1N), standardized with standard oxalic acid solution, phenolphthalein indicator. Procedure Two round bottom flasks (100 mL) fitted with a reflux water condenser are taken and marked as A and B. an accurately weighed amount of the sample (0.5 g) is placed in flask A and a mixture of acetic anhydride and pyridine 10 mL is also added to this flask and also to the blank flask B. the flasks are heated on boiling water bath for hour and then cooled. Distilled water 20 mL is added to each of the flasks. Through the condenser and shaken gently for a few minutes. The contents of the flasks are refluxed again for 2-5 minutes. Cooled and
  • 20.
    18 allowed to standfor 10 minutes. Finally, the contents of the flasks are titrated with sodium hydroxide solution (1 N) using phenolphthalein as an indicator. Observations Weight of the sample taken = W g Volume of NaoH used in blank experiment = v1 ml Volume of NaoH used with sample = v2 ml Normality of NaoH solution = N1 Calculations: (V1-v2) xN1 x17.01x100 % purity of the OH= -------------------------------- W x 1000 Report: The alcoholic group was quantitatively determined and the percentage purity was found to be ________________
  • 21.
    19 c. Estimation ofCarbonyl group by Hydroxyl amine hydrochloride- pyridine method Aim: To estimate carbonyl group by hydroxyl amime hydrochloride pyridine method. Principle: The method is based on the reaction of the carbonyl compound (aldehyde or ketone) with hydroxyl amine hydrochloride to form oxime. C=O + H2NOH.HCl C=NOH + H2O +HCl The reaction is reversible and the equilibrium is shifted towards the right hand side on addition of pyridine. Pyridine forms pyridinium hydrochloride with hydrochloric acid.pyridinium hydrochloride, thus formed is acidic and is titrated with standard sodium hydroxide using bromophenol blue as an indicator. The reagent hydroxylamine hydrochloride is neutral to this indicator.The rate of reaction depends on the carbonyl compound taken. Some compounds react at room temp (aldehydes) while others require heating (ketones and certain aldehydes) Reagents The given carbonyl compound, Hydroxylamine hydrochloride reagent (0.5N): pure Hydroxylamine hydrochloride 17.5 g is dissolved in distilled water 80 ml and diluted to 500ml wirh 95 percent ethanol. Methanolic sodium hydroxide solution (0.5 N): sodium hydroxide pellets 19 g are dissolved in distilled water 50 mL and diluted to 500 mL with absolute methanol. The solution is standardized with hydrochloric acid (0.5 N).Indicator solution: a solution of bromophenol blue in alcohol (4%, 0.2 ml) is mixed with pyridine10ml diluted to 1 litre with 95 percent ethanol. Procedure: Hydroxylamine hydrochloride solution 30 ml is placed in conical flask 250 ml fitted with glass stopper. An accurately weighed quantity (apprx 1 g) of carbonyl compoundis added followed by bromophenol blue indicator solution 100 ml. the flask is stoppered and allowed to stand for 30 minutes at room temp (refux the mixture on boiling water bath for 2 hours in case of ketones, particularly aromatic ketones). Then the mixture is titrated with standard
  • 22.
    20 methanolic sodium hydroxidesolution to a blue-green colour end point. A blank experiment is also performed. The colour of the end point of the sample containing solution should match with that of the blank experiment. Observations Weight of the carbonyl compound taken = w g Volume of the standard sodium hydroxide solution used with sample = v1 ml . Volume of the standard sodium hydroxide solution used for blank = v2 ml Normality of the sodium hydroxide solution = N1 Molecular weight of the given carbonyl compound =M g Calculations (V1-v2) xN1 xMx100 Percentage purity = --------------------------------- W x 1000 Report: Carbonyl functional group was quantitatively determined and percentage purity was found to be__________________
  • 23.
    21 d. Estimation ofCarboxyl group (-COOH) Aim: To carryout estimation of carboxyl group Principle: By direct titration with alkali in aqueous, aqueous-alcoholic, alcoholic or non- aqueous medium. For estimation of water soluble carboxylic acids, the titration with standard alkali (potassium, sodium,barium hydroxide) is performed by using phenolphthalein as an indicator. RCOOH + OH- RCOO- + H2O Other indicators which can also be used in titrations are thymol blue (PH range 8-9.6 colour change is from yellow to blue) and thymolphthalein (PH range 9.4-10.6, colour change is from colourless to blue).Neutralization equivalent-the number of grams of acids required to neutralize one litre of normal alkali. If the basicity of an acid is known then its molecular weight can also be determined.The water insoluble acids are dissolved in aqueous alcoholic medium and then titrated with standard alkali. Reagents Carboxylic acid solution . an accurately weighed given acid 0.6 g is dissolved in distilled water in a 100 mL measuring flask, Standard sodium hydroxide solution0.05 N, Phenolphthalein indicator Procedure: The acid solution 20 mL is pipette out into a 100 mL conical flask and 1-2 drops of phenopthalein indicator are added, it is titrated with standard sodium hydroxide solution until a faint pink color is obtained. The titration is repeated to get three concordant readings. For water insoluble acids, the solution is prepared in aqueous alcohol or absolute methanol or ethanol and then the titration is performedin the usual manner with alkali, in these cases where alcohol is used, a blank experiment is also performed simultaneously.
  • 24.
    22 Observations: Weight of theacid dissolved in 100 mL = w g Volume of the alkali used = v1 mL Volume of the acid solution taken = 20 mL Normality of alkali used = Nx Calculations (V1-v2) xN1 xMx100 Percentage purity = --------------------------------- W x 200 x Z Report: The carboxylic acid was quantitatively determined by acid-base method. It was found to be_______________
  • 25.
    23 e. Estimation ofAmines by Bromination method Aim: To estimate amines by bromination method Principle: Aromatic amines can also be estimated by the bromination method. The sample is treated with excess of standard bromate-bromide solution in presence of hydrochloric acid. The excess of bromine is then determined iodometrically. KBrO3 + 5KBr + 6HCl 3Br2 + 6KCl + 3H2O H2N Aniline + 3Br2 NH2 Br Br Br 2,4,6-tribromoaniline Bromination (excess ) Br2 +KI I2+2KBr The solution of aniline is preparedby taking this required amount of amine in a volumetric flask dissolved in minimum amount of dilute hydrochloric acid and diluted to the mark with distilled water. Procedure: Weigh accurately about 0.25 gms of aniline into a 250 mL volumetric flask. Dissolve the sample by adding minimum volume of dilute HCl and make up the volume to 250 mL with distilled water. Pipette 25 mL of amine solution into an iodine flask followed by addition of 25 mL of bromate-bromide solution. To this add 25 mL of water. Add 5 mL of concentrated HCl and stopper the flask immediately.Shake the flask for 1 minute to mix the reactants and allowed to stand for 10 minutes with occasional shaking. Cool the flask under ice-water. Add 10 mL of 20% of potassium iodate solution. Shake the flask for 30 sec and allow to stand for 10 minutes. Titrate the free iodine with standard 0.1 N sodium thiosulphate using 2 mL of starch solution as an indicator. Carry out the blank analysis using 25 ml of bromate-bromide solution and 25 mL of water.
  • 26.
    24 Calcualate the percentagepurity of the amine by using the formula Calculations (V1-v2) xN1 xMx100 Percentage purity = --------------------------------- W x 200 x Z Report: The amine was quantitatively determined and the percentage purity was found to be ________________________
  • 27.
    25 f. Estimation ofamino acids by formol titration method Aim: To estimate amino acids by formal titration method Principle :Amino acids like glycine, alanine, etc. contain one amino group and one carboxylic group as part of their structures. These groups being of opposite nature neutralise one another intramolecularly and form internal salts called zwitter ions or dipolar ions. These ions are held together by electrostatic attraction. They are neutral but in presence of alkalies the dissociation favours formation of acid ion. The free amino group then undergoes condensation with formaldehyde to form mono and dimethyl derivatives. Thus, the formation of these condensation products greatly reduces the basic character of amino group and the carboxylic group can readily be titrated with standard alkali. Procedure Weigh out accurately about 30 milli-equivalents of the aminoacid (e.g., about 2-0 g. of glycine) into a 250 mL. volumetric flask,dissolve it in boiled-out distilled water, and make up to the markwith boiled-out distilled water. Mix well.Place 50 mL of commercial "formalin " solution (35-40 percent, formaldehyde) in a conical flask, add 1 mL. of thymolphthalein indicator solution (0 • 04 per cent, in 70 per cent, ethanol),and titrate with 0 • liV sodium hydroxide until the solution has agreenish colour (1).Transfer 25 ml. of the solution of the amino acid to a 250 mL.conical flask, add 10 ml. of the " neutral " formaldehyde solution,and titrate with standard 0 • IN barium hydroxide solution to the first appearance of a blue colour. Repeat with two further 25 mL .portions in order to obtain consistent titrations. To check that the amino acid is free from strongly acidic impurities, titrate 25 mL. of the solution of the amino acid with the standard 0 • 1N barium hydroxide solution to a pH. of about8-0 (green colour with B.D.H. Universal Indicator) (2). Thevolume of the blank (which is usually
  • 28.
    26 negligible for glycineandalanine) must be deducted from the volume of baryta solution used in the actual " formol " titration. CALCULATION Calculate the purity of the amino acid from the formula : % purity = v1 x N1 x M x 100 W x 1000 Where Vx = volume of baryta solution (ml.) less blank for acid impurities ; Nx = normality of baryta solution ; M = molecular weight of amino acid ; and W = weight (g.) of amino acid used in the titration. Report: Amino acid was quantitatively determined and the percentage purity of Amino acid was found to be___________________
  • 29.
    27 g. Determination ofAcetone Aim: To carryout determination of Acetone Principle: Acetone reacts with iodine in the presence of sodium hydroxidesolution to yield iodoform and sodium acetate : CH3COCH3 + 3I2 + 3NaOH CH3COCI3 + 3NaI + 3H2O CH3COCI3 + NaOH CHI3 + CH3COONa or CH3COCH3 + 3I2 + 4NaOH CHI3 + CH3COONa + 3NaI + 3H2O A dilute aqueous solution of the sample is added to a knownvolume of IN sodium hydroxide solution, followed by an excessof standard 0 • IN iodine solution. After acidification, unreactediodine is determined by titration with standard 0 • IN sodium thiosulphate solution : 1 Litre 0-12V Ig = 1 Litre 0-1N Na2S2O3= CH3COCH3/(6 X 10)= 0-9680 g. CH3COCH3 The above procedure is sometimes termed Messinger's method.Aldehydes, compounds which contain an acetyl group, or a groupoxidisable by hypoiodite to an acetyl group, interfere ; compoundscontaining a —CH=CHC=O group (e.g., acrolein orfurfuraldehyde) will consume iodine and therefore interfere.Methyl and ethyl alcohols should also be absent. Procedure: Place a measured volume of an aqueous solution of the samplecontaining about 0-01-0 -025 g. of acetone * in a 500 ml. iodineflask. Dilute to about 200 ml. with distilled water. Add 25 •0 ml.of N sodium hydroxide solution, mix well, and allow to stand atroom temperature for 5 minutes. Introduce from a burette50-0 ml. of 0-lN iodine solution whilst shaking the flask constantlywith a swirling motion. Allow the mixture to stand for15minutes at room temperature. Then add 26 ml. of N sulphuricacid thus rendering the solution acidic, and titrate immediatelywith standard 0-IN sodium thiosulphate solution to the starchend point.Run a blank determination, omitting the acetone.
  • 30.
    28 Calculation: Calculate the percentageof acetone in the sample using therelationship : 1 Ml. 0-IN I2 = 1 Ml. 0-IN Na2S2O 3= 0-009680 g. CH3COCH3 % of acetone = (V1-V2) x N1 x M x 100 W x2x1000 Where V1 = volume (ml.) of thiosulphate solution used for blank ; V2 = volume (ml.) of thiosulphate solution used after reaction of sample with iodine solution ; N = normality of sodium thiosulphate solution ; M = molecular weight of formaldehyde (30*026); and W = weight (g.) of sample. Report: Acetone was quantitatively determined by acid-base method. It was found to be_______________
  • 31.
    29 h. Determination ofAldehydes by the Sodium sulphite – Sulphuric acid Aim: To estimate aldehydes Principle: Carbonyl compounds reacts with sodiumbisulphite and yield crystallinebisulphite. R-CHO + NaHSO3 RCH(OH)SO3Na Reagents: Sodium sulphite solution, IM. Prepare a M solution of sodiumsulphite and adjust the pH. of the solution to 9-1 by the dropwise addition, with stirring, of a 1M solution of sodiumbisulphite. Use a pH meter and a glass - calomel electrode system. Standard IN sulphuric acid. Standard IN sodium hydroxide solution. Procedure: Place 250 mL. of the 1M sodium sulphite solution in a 500 ml.glass-stoppered bottle or flask, and cautiously add 50 mL. ofN sulphuric acid: swirl the contents of the flask gently as theacid is added in order to avoid loss of sulphur dioxide due to localised overneutralisation of the sodium sulphite. To the resulting solution add the sample, accurately weighed, containing20- 30 milli-equivalents of the aldehyde (e.g., 2-0 g. of redistilledw-butyraldehyde or 3-0 g. of redistilled w-heptaldehyde) . Shake the mixture vigorously for about 15 minutes. Transferthe reaction mixture quantitatively with the aid of a few mL of water to a 600 m. Beaker. Stir magnetically. Introduce a glass and a calomel electrode into the solution, and connect the electrodes to a pH meter. Titrate the excess of acid with N sodiumhydroxide solution. Plot the pE. readings (ordinates) against ml. of alkali added (abscissae), and evaluate the end point fromthe plot. A more rapid method, although somewhat less precise, is to add the standard alkali until a pK is obtained corresponding to thepH at the end point for the aldehyde being analysed. Note: Volatile aldehydes may be added in a sealed glass ampoule.
  • 32.
    30 CALCULATION % purity =(V1-V2) xN1 xM x100 Wx1000 Calculate the percentage purity of the aldehyde from the formula: Where Vx = calculated volume (ml.) of standard N NaOH required to neutralise the 50-0 ml. of standard N H2SO4 ; V2 = volume (ml.) of N NaOH used to titrate the sample ; Nt = exact normality of the NaOH solution ; M = molecular weight of aldehyde ; and W = weight (g.) of sample. Report : Acetone was quantitatively determined by acid-base method. It was found to be_______________
  • 33.
    31 III. SEPARATION OFBINARY MIXTURE The organic chemist is frequently faced to the task of separating mixtures of compounds. Since few organic reactions give a single product, this commonly occurs in the work up stage of a reactions when it s desired to isolate a single pure compound from mixture which may contain un-reacted starting materials and reagents, inorganic materials produced from reagents, and expected – unexpected by -products. In order to gain an understanding of the principles involved and variety of methods, which may be employed, it can be useful practice for the organic chemistry student to carry out exercises on the investigation and separation of given mixtures. The successful separation of a mixture of the two organic substances will depend largely upon the student’s general knowledge of organic chemistry and in particular upon his acquaintance with the reactions given under qualitative detection of individual compound. The identification of the components of a mixture involves a separation into individual compounds and the characterization of each according to the qualitative analysis of compound. It is far more important, to carry out the separation in such a manner that each compound is obtained in the pure state because, the renders the individual identification much easier. It is impossible to give more than an outline of the methods employed, as the mode of separation depends upon the actual substances present as well as the classes to which they belongs. The organic chemist is frequently faced to the task of separating mixtures of compounds. Since few organic reactions give a single product, this commonly occurs in the work up stage of a reactions when it s desired to isolate a single pure compound from mixture which may contain un-reacted starting materials and reagents, inorganic materials produced from reagents, and expected – unexpected by -products. In order to gain an understanding of the principles involved and variety of methods, which may be employed, it can be useful practice for the organic chemistry student to carry out exercises on the investigation and separation of given mixtures.
  • 34.
    32 The successful separationof a mixture of the two organic substances will depend largely upon the student’s general knowledge of organic chemistry and in particular upon his acquaintance with the reactions given under qualitative detection of individual compound. The identification of the components of a mixture involves a separation into individual compounds and the characterization of each according to the qualitative analysis of compound. It is far more important, to carry out the separation in such a manner that each compound is obtained in the The general method to be adopted for the analysis of mixtures of organic compounds is to separate them into their components and to identify each component as previously described. Following three steps caries out the separation of binary mixture: 1) Physical nature of binary mixture 2) Type determination 3) Separation of binary mixture 1) Physical Nature f Binary Mixture: Physically the mixture may be either one of the following type: a) Solid – Solid [ Two solids mixed together] E.g. Benzoic acid + α – napthol] b) Solid – Solid [Eutectic mixture i.e. at room temperature one solid liquefies] Another solid & both becomes liquid; liquefied mass become solidifies on cooling] e.g. Camphor + Menthol c) Solid – Liquid [ Solution: i.e. solid may dissolve in liquid & forms a solution] e.g. Acetone + Benzoic acid; Ethanol +Salicylic acid d) Solid – Liquid [ suspension; i.e. solid is observed at the bottom in a mixture] e.g. Toluene + Benzoic acid e) Liquid – Liquid e.g. Pyridine + Toluene
  • 35.
    33 Identification of mixture: a)Two solids mixed together either both are colorless or colored or one of them may be colored : Solid + Solid b) Pour about 2.0 mL of liquid on a watch glass and place it on an ice bath and observe: i) if complete solidification: Eutectic mixture Solid + Solid) ii) If solidification Partially: Solid + Liquid (suspension) iii) No solidification: Solid + Liquid (solution) or Liquid + Liquid Mixture. 2) Type determination of Binary Mixture: The mixture may be one of the following types: (a) Acid + Phenol (b) Acid + Base (c) Acid + Neutral (d) Phenol + Base (e) Phenol + Neutral (f) Base + Neutral (g) Neutral + Neutral The type determination and method of separation of organic binary mixture only depends upon its solubility in water. Take 0.5 gm of mixture in a test tube and add 5ml water and shake well and keep it for 2minutes and observe, if one of the component of a mixture is dissolved in water then it is called as water – soluble mixture. To make an observation of solubility of colored compound is easy because, water will take color of it. But it is difficult to find out the solubility of colorless compound(i.e. both the solids is a mixture are colorless and one is water soluble) In this case, take 0.5 gm of compound and add 5ml 10% aqueous NaHCO3, only acid will give effervescence, i.e. oxalic acid (water soluble) where as other colorless compound viz., carbohydrates, urea, thiourea, amides etc. they will solubalise and do not give effervescence and you can draw the conclusion the mixture is water soluble& follow the method for separation accordingly. The type is detected as follows:
  • 36.
    34 a, Type determinationof water – soluble compounds: Place small quantity of mixture in test tube and add 1 to 2 ml of water only. Shake for two minutes and filter it, check the filtrate with litmus paper. Place few drops of filtrate on watch glass and evaporate, if residue is observed on watch glass then one of the compound is water – soluble. Test Observation Inference Litmus test a) Blue litmus turns red b) Red litmus turns blue c) No change on either litmus Acid or phenol present. Base present. Neutral substance present. To distinguish between acid &phenol, take little amount of compound and add 2.0ml of 10% aqueous solution of NaHCO3. If effervescence of CO2 observed acid is present and if no effervescence of CO2, Phenol is present. Test Observation Inference a) Place 0.2 to 0.3 of mixture in test tube + 2 ml 10% aq. NaHCO3 solution. Shake well and filter above mixture, acidify the filtrate with concentrated HCl Effervescence of CO2 No effervescence of CO2 White precipitate No white precipitate. Acid may be present Acid absent Acid confirmed Acid absent b) Take the residue of test (a) if type (a) is present OR take the mixture if type (a) is absent+2.0ml 10% aqueous NaOH Residue is partly or completely soluble Phenol may be present.
  • 37.
    35 solution. Shake welland filter, acidify the filtrate with concentrated HCl and cool White precipitate No white Precipitate Phenol confirmed Phenol absent. c) Take the reside of test (b)if type (b) is present OR take the mixture if type (b) is absent+ 1:1 HCl. Shake well and filter, basify the filtrate by 10% aqueous NaOH solution. Reside is partly or completely soluble Precipitate formed No precipitate Base may be present. Base confirmed Base absent Note: If only one type is found in above test then other type is neutral In case of Solid – Solid mixtures, it is necessary first to find out the type of mixture and then the compounds are separated. However in case of Solid – Liquid of Liquid – Liquid mixtures the compounds are first separated and then type of the individual compounds is determined. 3) Separation of Binary Mixture: (a) Separation of Solid mixture (Water Soluble): Place all the mixture (10gm) in 30ml water in a beaker and stir it for 10 minutes and filter. Observation Inference Evaporate the filtrate to get crystals of substance and analyse it, for type determination. Residue is subjected for type determination.
  • 38.
    36 b, Separation ofSolid + Solid mixture (water insoluble) According to the types of organic mixture three groups are made for separation. (i) Acid – Phenol/Acid – Base/ Acid - neutral. (ii) Phenol – Base/ phenol – neutral (iii) Base – Neutral. (i) Separation of Acid – Phenol/ Acid - Base/ Acid – Neutral type mixtures: Place all the mixture (10gm) in a beaker, add to it with stirring 10% aq. NaHCO3, Solution, till effervescence of CO2 stops and filter it. Observation Inference Cool the filtrate, add cone. HCl Slowly till blue litmus turns red. Acid precipitates. Filter the precipitate of acid. Wash it with water, recrystallized from hot water and dry it. Wash the residue with water, recrystallized it with ethanol or water ethanol mixture. (ii) Separation of Phenol – Base/Phenol – Neutral type mixtures: Place all the mixture 10gm in beaker, add to it 10% aqueous NaOH solution [till red litmus turns blue] stir well and filter it. Filtrate (Na – salt of phenol) Residue (Base / Neutral) Add cone. HCl Slowly till blue Litmus turns red Phenol precipitates. Filter the precipitate, wash it with water, recrystallise from ethanol. Wash the residue with water, recrystallise from suitable solvent.(for Base: ethanol- water, for Neutral: benzene etc.) Reaction: R-COOH +NaHCO3 R – COONa+CO2 +6H2o Sodium Salt (Soluble) R – COOH + HCl R- COOH + NaCl (ppt) Reaction: Ar – OH +NaHCO3 Ar – ONa+ H2o Phenol Sodium salt (Soluble) Ar-oNa + HCl Ar – OH + Nacl
  • 39.
    37 (iii) Separation ofBase – neutral type mixtures: Place all the mixture (10 gm) in a beaker adds to it about 20ml concentrated HCl + 20ml water mixture, stir the mixture for 10 minutes and filter it. Filtrate Residue Cool the filtrate, add slowly 10% aqueous NaOH solution till alkaline (red litmus turns blue) Base precipitate. Filter the precipitate, wash with water, recrystallise from ethanol or ethanol water. Wash the residue with water, recrystallise by using suitable solvent. c. Separation of solid + liquid mixture (Solution): Take all the mixture (20ml in a distillation flask, add one porcelein piece, attach water condenser and thermometer to the distillation flask. Heat the flask gently. Collect volatile compound in dry receiver at constant temperature, note down the temperature, it is the boiling point of the liquid. Stop the heating when temperature starts rising above the constant temperature. Pour the remaining liquid in porcelein dish. Keep it for cooling at room temperature for solidification. d) Separation of Solid + liquid mixture (Suspension): This type of mixture is separated by simply filtering by using filter paper and glass funnel. The residue obtained on filter paper can be recrystallised using suitable solvent if needed. e) Separation of liquid – liquid mixture: Place all the mixture (20ml) in a distillation flask, add one porcelein piece, and attach water condenser and thermometer to the distillation flask. Heart the flask gently. Collect first liquid at constant temperature in dry receiver flask, noted the temperature, it is the boiling point of Reaction: R – NH2 + HCl R – NH2 - Cl Base Hydrochloride of base (Soluble) R – NH3+ Cl + NaOH R – NH2 + NaCl + H2O (ppt)
  • 40.
    38 the first liquid.Stop the heating when temperature starts rising above the constant temperature. Pour the remaining liquid in porcelein dish. It is the second compound. Various examples of Binary mixtures: i) Benzoic acid + α –napthol ii) Cinnamic acid + β –napthol iii) Phthalic acid +Resorcinol (Water soluble) iv) Salicylic acid + P – toluidine v) Acetyl salicylic acid +α - napthylamine vi) Benzoic acid + Napthalene vii) Cinnamic acid + Anthracene viii) Phthalic acid+Urea / thiourea / glucose (Water soluble) ix) α- napthol + P - toluidine x) Resorcinol + Napthalene (Water soluble) xi) β- napthol + Anthracene xii) Aniline + - Toluene Liquid – Liquid xiii) O-cresol + Toluene Liquid – Liquid xiv) Benzoic acid + Toluene Solid – Liquid (Suspension) xv) Cinnamic acid + Benzaldehyde Solid – Liquid (Suspension) xvi) Salicylic acid + Ethanol Solid – Liquid (Solution). ***** Note: After the separation of binary mixture, each compound is subjected for its individual identification by performing qualitative analysis.
  • 41.
    39 Reference Books (LatestEditions) 1. Textbook of Organic Chemistry by B.S. Bahl & Arun Bahl. 2. Organic Chemistry by P.L.Soni 3. Practical Organic Chemistry byMann and Saunders. 4. Vogel’s text book of Practical Organic Chemistry 5. Advanced Practical organic chemistry by N.K.Vishnoi.