Embed presentation
Download to read offline



























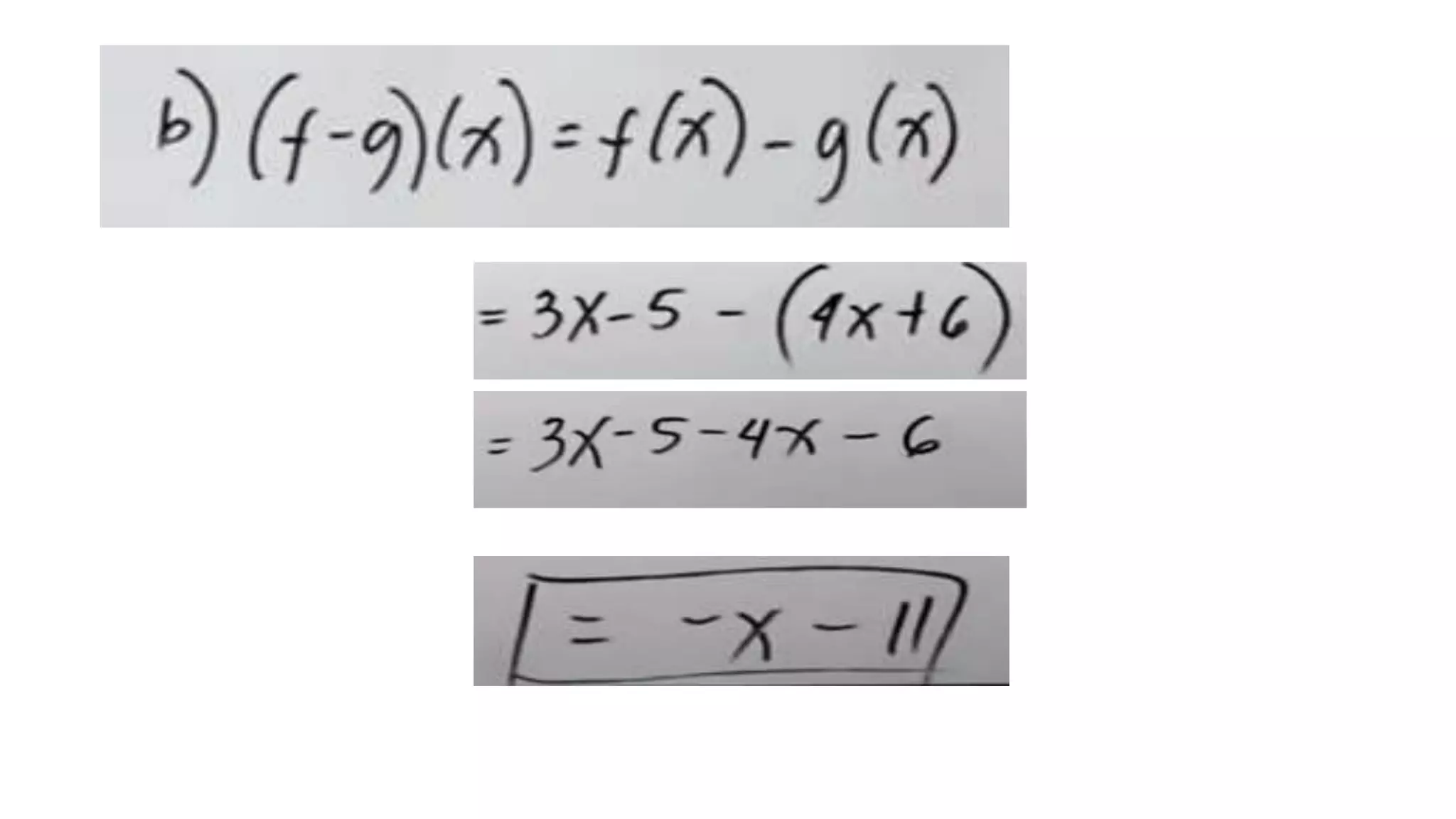
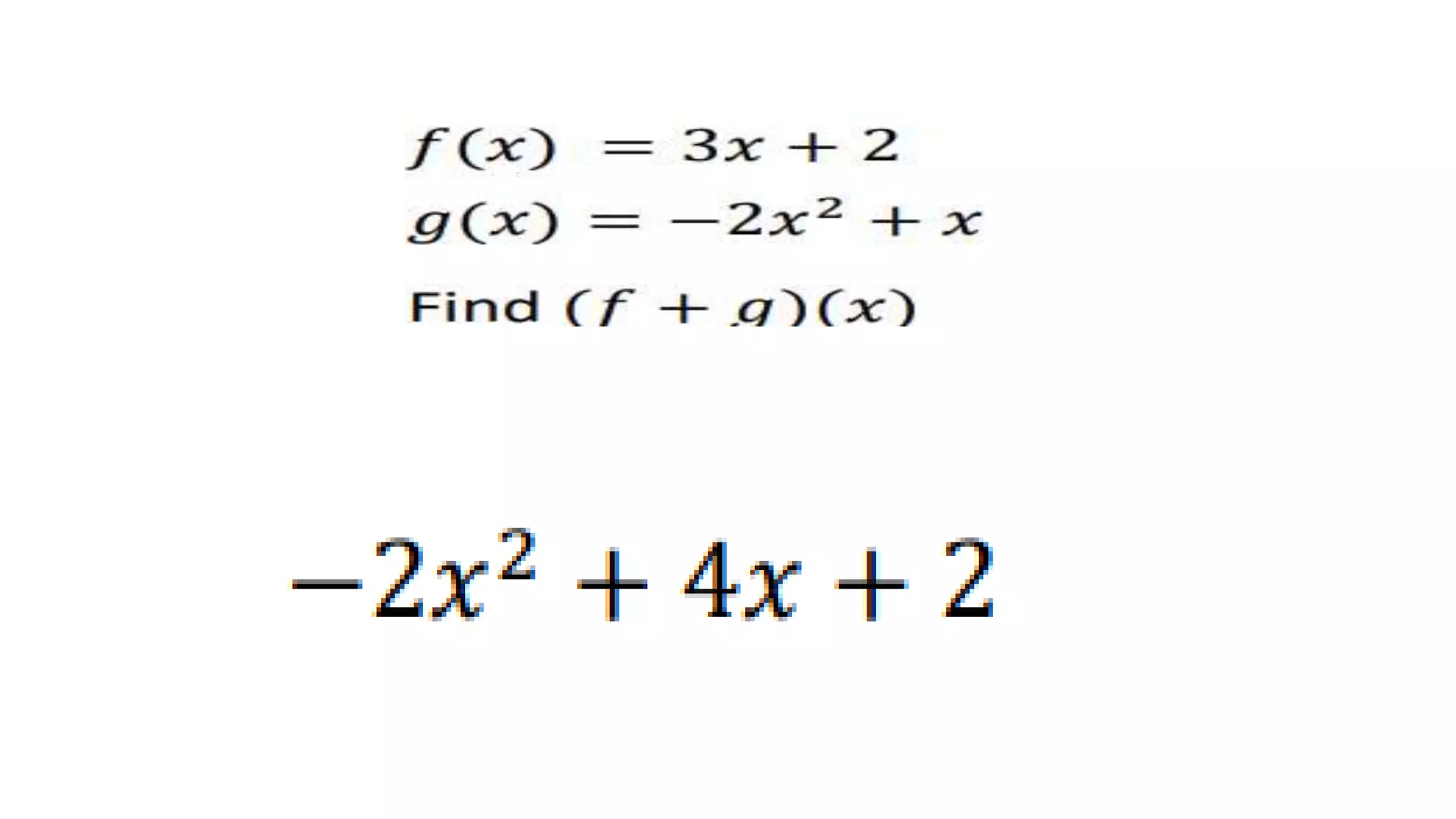
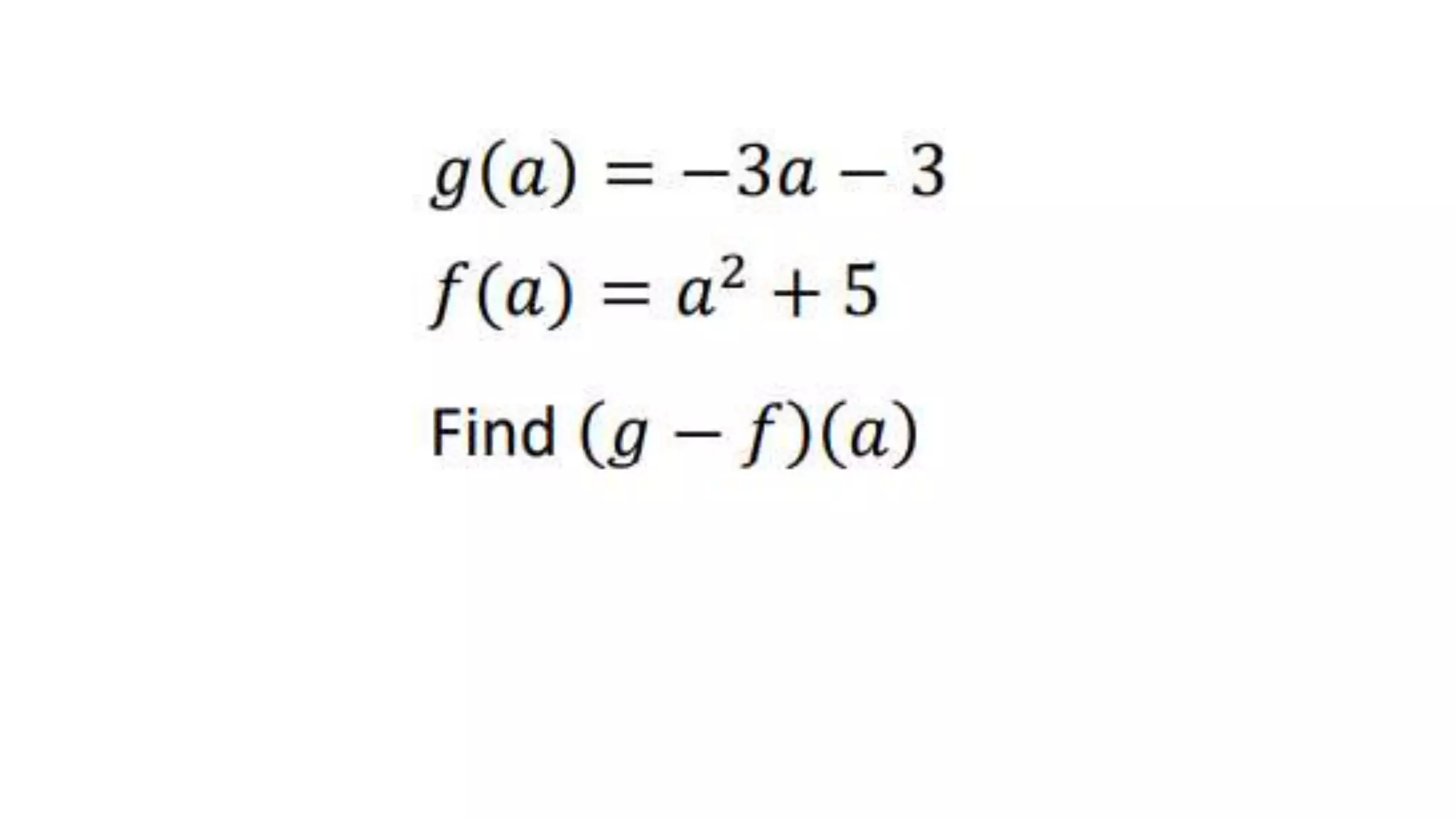
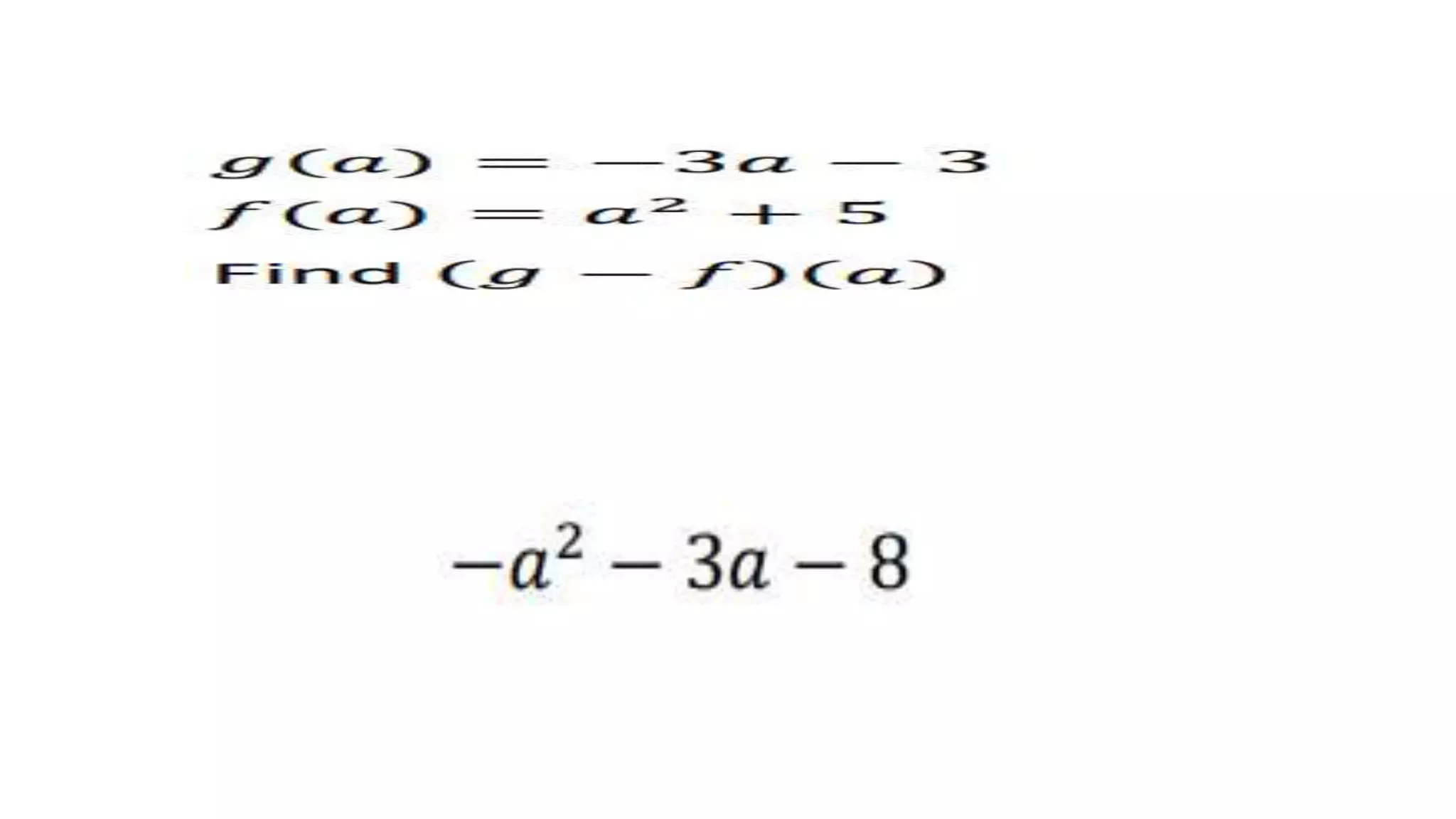
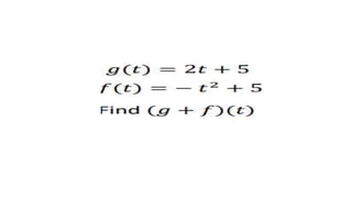
This document provides examples of performing arithmetic operations on integers within functions. It shows calculating g(-4) as -7 by adding -3 and -4. It also shows calculating f(-10) as -6 by adding 4 and -10, and calculating f(4) as -7 by adding -4 and -2 and subtracting 1. Finally, it shows calculating f(3) as -3 by dividing 9 by 9, adding 2, and subtracting 6. The document demonstrates addition, subtraction, and division of integers within functions.


























