Embed presentation
Download to read offline








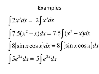
This document discusses integrating exponential functions. It begins with a preface and then provides examples of integrating exponential functions using a general formula. The examples demonstrate how to integrate various exponential functions step-by-step.







