Module 4 Lesson 13 Writing Division Expressions.notebook
1
March 28, 2014
Problem Set Lesson 12 Answers
Module 4 Lesson 13 Writing Division Expressions.notebook
2
March 28, 2014
 
MODULE 4 Expressions and Equaons
Topic C: Replacing Leer and Numbers
Lesson 13:  Wring Division Expressions 
Module 4 Lesson 13 Writing Division Expressions.notebook
3
March 28, 2014
Module 4 Lesson 13 Writing Division Expressions.notebook
4
March 28, 2014
ú How can we write or show 8 divided by 2?  
ú When working with algebraic expressions, are any of these expressions or models more efficient than 
others?
Module 4 Lesson 13 Writing Division Expressions.notebook
5
March 28, 2014
Classwork 
Example 1
Write an expression showing 1 ÷ 2  without the use of the division symbol. 
From the model what can we determine?
÷
Module 4 Lesson 13 Writing Division Expressions.notebook
6
March 28, 2014
Example 2
Write an expression showing a ÷ 2 without the use of the division symbol. Let's 
start by making a model.  
From the model what can we determine?
When we write division expressions using the division symbol we represent 
How would this look when we write division expressions using a fracon?
Module 4 Lesson 13 Writing Division Expressions.notebook
7
March 28, 2014
Module 4 Lesson 13 Writing Division Expressions.notebook
8
March 28, 2014
Example 3
a. Write an expression showing a ÷ b without the use of the division symbol. 
b. Write an expression for g divided by the quanty  h plus 3.  
Write it with the division symbol and using the fracon bar.
c. Write an expression for the quoent of the  quanty  m reduced by 3 and 5 .
Write it with the division symbol and using the fracon bar.
Module 4 Lesson 13 Writing Division Expressions.notebook
9
March 28, 2014
Exercises
Write each expression two ways:  using the division symbol and as a fracon.
1.  12 divided 4
2.  3 divided by 5
3.  a divided by 4
4.  The quoent of 6 and m
Module 4 Lesson 13 Writing Division Expressions.notebook
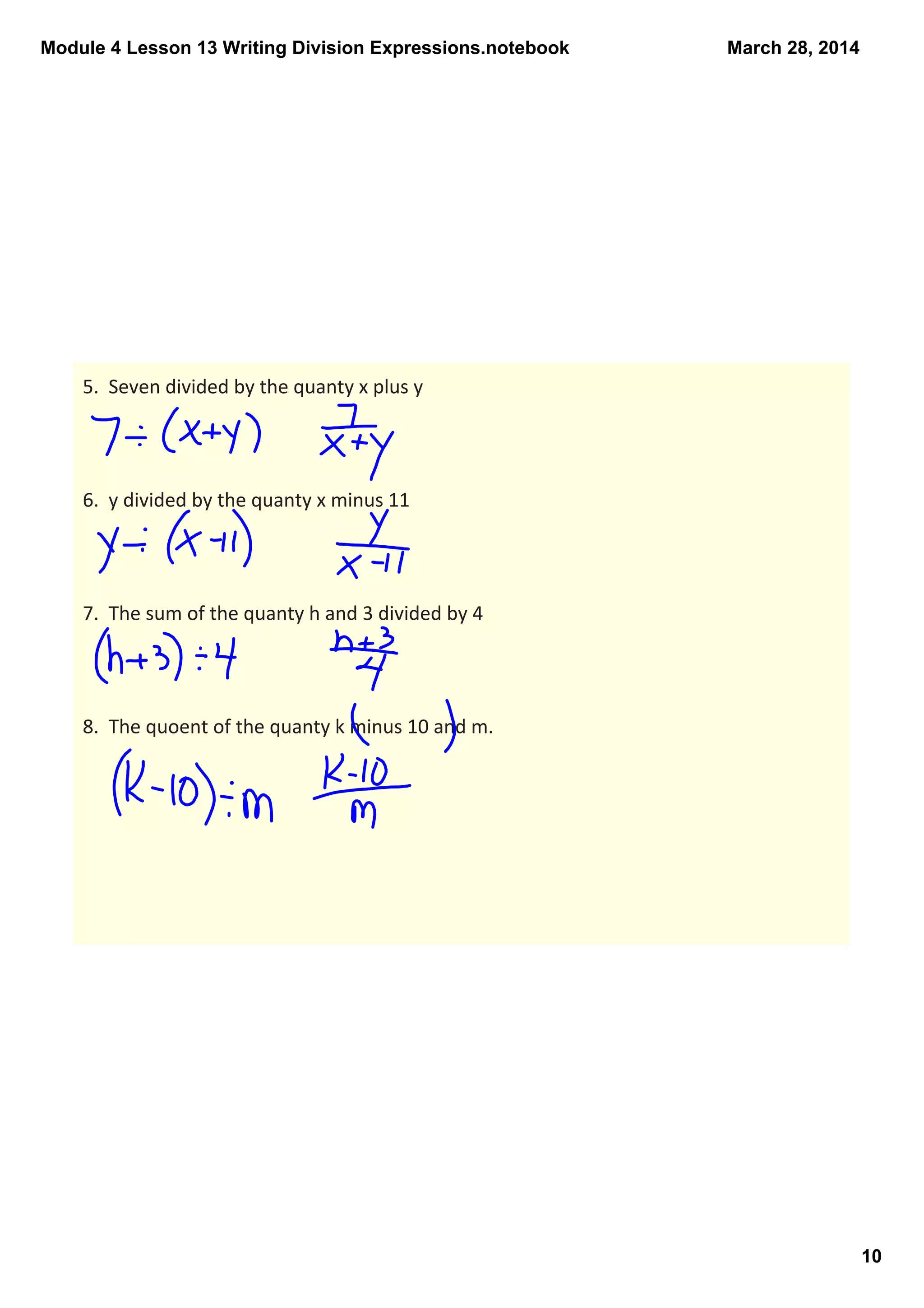
10
March 28, 2014
5.  Seven divided by the quanty x plus y
6.  y divided by the quanty x minus 11
7.  The sum of the quanty h and 3 divided by 4
8.  The quoent of the quanty k minus 10 and m.
Module 4 Lesson 13 Writing Division Expressions.notebook
11
March 28, 2014
Closing
Please take out your exit ticket for Lesson 13, close your
binder, and complete the exit ticket. This will be collected.
§ Explain to your neighbor how you would rewrite any division problem using a fracon.
ú The dividend would become the numerator and the divisor would become the 
denominator.
Module 4 Lesson 13 Writing Division Expressions.notebook
12
March 28, 2014

Module 4 lesson 13