Embed presentation
Download to read offline




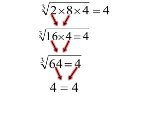
This document appears to contain mathematical expressions and calculations written in a non-standard format. Numbers and mathematical operators are arranged without explicit grouping or order of operations. The overall meaning and intent of the calculations is unclear from the presentation.



