Embed presentation
Download to read offline


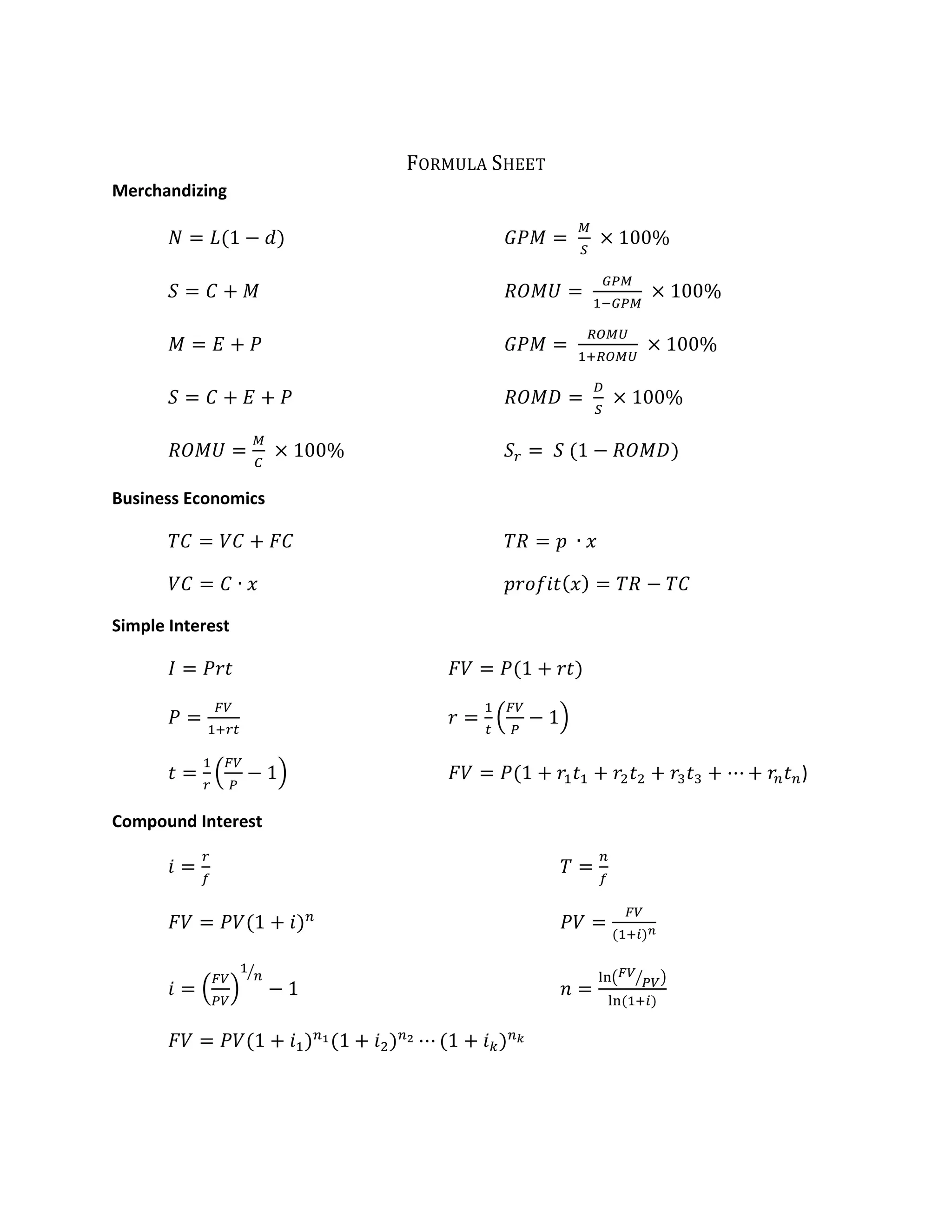
This formula sheet provides equations for calculating simple interest and compound interest. Simple interest is calculated as Interest = Principal x Rate x Time. Compound interest is calculated as Future Value = Principal x (1 + Rate/Periods)^(Periods x Time).

