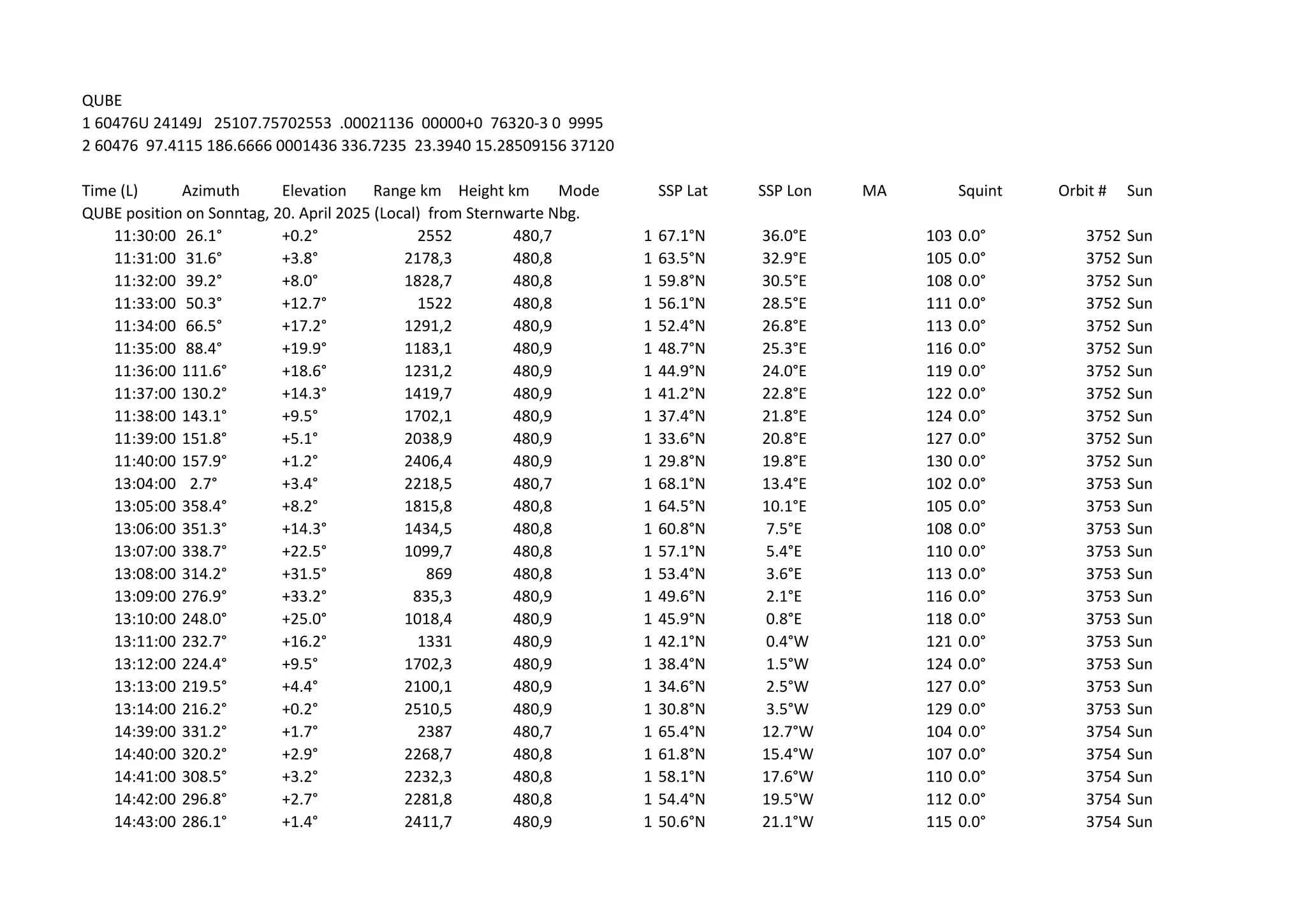
QUBE
1 60476U 24149J 25107.75702553 .00021136 00000+0 76320-3 0 9995
2 60476 97.4115 186.6666 0001436 336.7235 23.3940 15.28509156 37120
Time (L) Azimuth Elevation Range km Height km Mode SSP Lat SSP Lon MA Squint Orbit # Sun
QUBE position on Sonntag, 20. April 2025 (Local) from Sternwarte Nbg.
11:30:00 26.1° +0.2° 2552 480,7 1 67.1°N 36.0°E 103 0.0° 3752 Sun
11:31:00 31.6° +3.8° 2178,3 480,8 1 63.5°N 32.9°E 105 0.0° 3752 Sun
11:32:00 39.2° +8.0° 1828,7 480,8 1 59.8°N 30.5°E 108 0.0° 3752 Sun
11:33:00 50.3° +12.7° 1522 480,8 1 56.1°N 28.5°E 111 0.0° 3752 Sun
11:34:00 66.5° +17.2° 1291,2 480,9 1 52.4°N 26.8°E 113 0.0° 3752 Sun
11:35:00 88.4° +19.9° 1183,1 480,9 1 48.7°N 25.3°E 116 0.0° 3752 Sun
11:36:00 111.6° +18.6° 1231,2 480,9 1 44.9°N 24.0°E 119 0.0° 3752 Sun
11:37:00 130.2° +14.3° 1419,7 480,9 1 41.2°N 22.8°E 122 0.0° 3752 Sun
11:38:00 143.1° +9.5° 1702,1 480,9 1 37.4°N 21.8°E 124 0.0° 3752 Sun
11:39:00 151.8° +5.1° 2038,9 480,9 1 33.6°N 20.8°E 127 0.0° 3752 Sun
11:40:00 157.9° +1.2° 2406,4 480,9 1 29.8°N 19.8°E 130 0.0° 3752 Sun
13:04:00 2.7° +3.4° 2218,5 480,7 1 68.1°N 13.4°E 102 0.0° 3753 Sun
13:05:00 358.4° +8.2° 1815,8 480,8 1 64.5°N 10.1°E 105 0.0° 3753 Sun
13:06:00 351.3° +14.3° 1434,5 480,8 1 60.8°N 7.5°E 108 0.0° 3753 Sun
13:07:00 338.7° +22.5° 1099,7 480,8 1 57.1°N 5.4°E 110 0.0° 3753 Sun
13:08:00 314.2° +31.5° 869 480,8 1 53.4°N 3.6°E 113 0.0° 3753 Sun
13:09:00 276.9° +33.2° 835,3 480,9 1 49.6°N 2.1°E 116 0.0° 3753 Sun
13:10:00 248.0° +25.0° 1018,4 480,9 1 45.9°N 0.8°E 118 0.0° 3753 Sun
13:11:00 232.7° +16.2° 1331 480,9 1 42.1°N 0.4°W 121 0.0° 3753 Sun
13:12:00 224.4° +9.5° 1702,3 480,9 1 38.4°N 1.5°W 124 0.0° 3753 Sun
13:13:00 219.5° +4.4° 2100,1 480,9 1 34.6°N 2.5°W 127 0.0° 3753 Sun
13:14:00 216.2° +0.2° 2510,5 480,9 1 30.8°N 3.5°W 129 0.0° 3753 Sun
14:39:00 331.2° +1.7° 2387 480,7 1 65.4°N 12.7°W 104 0.0° 3754 Sun
14:40:00 320.2° +2.9° 2268,7 480,8 1 61.8°N 15.4°W 107 0.0° 3754 Sun
14:41:00 308.5° +3.2° 2232,3 480,8 1 58.1°N 17.6°W 110 0.0° 3754 Sun
14:42:00 296.8° +2.7° 2281,8 480,8 1 54.4°N 19.5°W 112 0.0° 3754 Sun
14:43:00 286.1° +1.4° 2411,7 480,9 1 50.6°N 21.1°W 115 0.0° 3754 Sun
22:10:00 122.8° +0.9° 2445,1 479,5 1 35.6°N 32.7°E 50 0.0° 3759 Eclipse
22:11:00 116.4° +4.5° 2087,7 479,6 1 39.4°N 31.7°E 53 0.0° 3759 Eclipse
22:12:00 107.3° +8.6° 1766,6 479,7 1 43.1°N 30.6°E 55 0.0° 3759 Eclipse
22:13:00 94.3° +12.7° 1507,4 479,7 1 46.9°N 29.3°E 58 0.0° 3759 Eclipse
22:14:00 76.5° +15.9° 1347,8 479,8 1 50.6°N 28.0°E 61 0.0° 3759 Eclipse
22:15:00 55.9° +16.5° 1325,1 479,9 1 54.4°N 26.4°E 63 0.0° 3759 Visible
22:16:00 36.9° +14.0° 1446,1 479,9 1 58.1°N 24.5°E 66 0.0° 3759 Visible
22:17:00 22.4° +10.1° 1679,4 480 1 61.8°N 22.3°E 69 0.0° 3759 Visible
22:18:00 12.3° +6.0° 1985,2 480,1 1 65.4°N 19.6°E 72 0.0° 3759 Visible
22:19:00 5.1° +2.2° 2334 480,1 1 69.0°N 16.0°E 74 0.0° 3759 Visible
23:43:00 182.0° +3.5° 2175,1 479,5 1 30.8°N 10.4°E 47 0.0° 3760 Eclipse
23:44:00 185.5° +8.5° 1763,1 479,5 1 34.6°N 9.4°E 49 0.0° 3760 Eclipse
23:45:00 191.1° +15.3° 1366,3 479,6 1 38.4°N 8.4°E 52 0.0° 3760 Eclipse
23:46:00 201.7° +25.2° 1005,5 479,6 1 42.1°N 7.3°E 55 0.0° 3760 Eclipse
23:47:00 226.7° +39.2° 738 479,7 1 45.9°N 6.1°E 57 0.0° 3760 Eclipse
23:48:00 277.3° +43.8° 685,3 479,8 1 49.6°N 4.8°E 60 0.0° 3760 Eclipse
23:49:00 312.8° +30.6° 886,6 479,8 1 53.4°N 3.2°E 63 0.0° 3760 Visible
23:50:00 327.3° +19.0° 1221,4 479,9 1 57.1°N 1.5°E 66 0.0° 3760 Visible
23:51:00 334.4° +11.2° 1607,4 480 1 60.8°N 0.6°W 68 0.0° 3760 Visible
23:52:00 338.6° +5.7° 2014,1 480 1 64.5°N 3.2°W 71 0.0° 3760 Visible
23:53:00 341.4° +1.3° 2429,7 480,1 1 68.1°N 6.5°W 74 0.0° 3760 Visible
QUBE position on Montag, 21. April 2025 (Local) from Sternwarte Nbg.
01:20:00 257.0° +1.2° 2411,3 479,6 1 41.2°N 16.0°W 54 0.0° 3761 Eclipse
01:21:00 267.9° +2.4° 2301,3 479,7 1 44.9°N 17.1°W 57 0.0° 3761 Eclipse
01:22:00 279.5° +2.7° 2266,7 479,8 1 48.7°N 18.4°W 60 0.0° 3761 Eclipse
01:23:00 291.0° +2.3° 2310,9 479,8 1 52.4°N 19.9°W 62 0.0° 3761 Visible
01:24:00 301.7° +1.2° 2429,2 479,9 1 56.1°N 21.6°W 65 0.0° 3761 Visible
11:05:00 37.0° +1.4° 2421,7 480,7 1 63.2°N 39.3°E 108 0.0° 3767 Sun
11:06:00 45.4° +4.4° 2125,4 480,7 1 59.6°N 36.9°E 111 0.0° 3767 Sun
11:07:00 56.3° +7.3° 1880 480,7 1 55.9°N 34.9°E 113 0.0° 3767 Sun
11:08:00 70.0° +9.6° 1709,2 480,8 1 52.1°N 33.2°E 116 0.0° 3767 Sun
11:09:00 85.9° +10.6° 1637,7 480,8 1 48.4°N 31.8°E 119 0.0° 3767 Sun
11:10:00 102.1° +9.9° 1678,5 480,8 1 44.6°N 30.5°E 122 0.0° 3767 Sun
11:11:00 116.4° +7.8° 1824,3 480,8 1 40.9°N 29.3°E 124 0.0° 3767 Sun
11:12:00 128.1° +4.9° 2052,4 480,8 1 37.1°N 28.2°E 127 0.0° 3767 Sun
11:13:00 137.1° +1.9° 2338,1 480,8 1 33.4°N 27.2°E 130 0.0° 3767 Sun
12:38:00 9.9° +3.2° 2239,9 480,6 1 67.8°N 19.7°E 105 0.0° 3768 Sun
12:39:00 8.9° +8.2° 1815,4 480,7 1 64.2°N 16.4°E 107 0.0° 3768 Sun
12:40:00 7.0° +15.0° 1398,5 480,7 1 60.5°N 13.9°E 110 0.0° 3768 Sun
12:41:00 2.9° +25.8° 1001,9 480,7 1 56.8°N 11.8°E 113 0.0° 3768 Sun
12:42:00 350.6° +45.9° 666,7 480,7 1 53.1°N 10.1°E 116 0.0° 3768 Sun
12:43:00 273.9° +67.8° 529,3 480,8 1 49.4°N 8.6°E 118 0.0° 3768 Sun
12:44:00 217.1° +41.1° 715,4 480,8 1 45.6°N 7.2°E 121 0.0° 3768 Sun
12:45:00 207.5° +23.2° 1067 480,8 1 41.9°N 6.0°E 124 0.0° 3768 Sun
12:46:00 204.0° +13.3° 1468,8 480,8 1 38.1°N 4.9°E 126 0.0° 3768 Sun
12:47:00 202.2° +6.9° 1887,8 480,8 1 34.3°N 3.9°E 129 0.0° 3768 Sun
12:48:00 201.2° +2.1° 2313,4 480,8 1 30.6°N 3.0°E 132 0.0° 3768 Sun
14:12:00 345.6° +1.4° 2419,1 480,6 1 68.8°N 2.9°W 104 0.0° 3769 Sun
14:13:00 336.3° +4.0° 2162,6 480,6 1 65.1°N 6.4°W 107 0.0° 3769 Sun
14:14:00 324.8° +6.2° 1972 480,7 1 61.5°N 9.1°W 110 0.0° 3769 Sun
14:15:00 311.4° +7.4° 1868,3 480,7 1 57.8°N 11.3°W 112 0.0° 3769 Sun
14:16:00 297.0° +7.4° 1866,5 480,7 1 54.1°N 13.1°W 115 0.0° 3769 Sun
14:17:00 283.5° +6.1° 1966,9 480,7 1 50.3°N 14.6°W 118 0.0° 3769 Sun
14:18:00 271.9° +3.9° 2154,7 480,8 1 46.6°N 16.0°W 121 0.0° 3769 Sun
14:19:00 262.6° +1.3° 2408,7 480,8 1 42.8°N 17.2°W 123 0.0° 3769 Sun
21:45:00 106.4° +0.4° 2499,4 479,5 1 39.7°N 38.1°E 55 0.0° 3774 Eclipse
21:46:00 98.3° +3.4° 2200,9 479,6 1 43.5°N 37.0°E 58 0.0° 3774 Eclipse
21:47:00 87.8° +6.2° 1955,6 479,7 1 47.2°N 35.8°E 61 0.0° 3774 Eclipse
21:48:00 74.7° +8.4° 1786,8 479,7 1 51.0°N 34.4°E 63 0.0° 3774 Eclipse
21:49:00 59.6° +9.4° 1718,4 479,8 1 54.7°N 32.8°E 66 0.0° 3774 Visible
21:50:00 44.3° +8.9° 1762,3 479,9 1 58.4°N 30.9°E 69 0.0° 3774 Visible
21:51:00 30.6° +6.9° 1910,8 479,9 1 62.1°N 28.6°E 72 0.0° 3774 Visible
21:52:00 19.6° +4.2° 2141,7 480 1 65.7°N 25.8°E 74 0.0° 3774 Visible
21:53:00 11.0° +1.3° 2430,8 480,1 1 69.3°N 22.2°E 77 0.0° 3774 Visible
23:17:00 164.5° +3.3° 2192,3 479,4 1 31.2°N 16.8°E 49 0.0° 3775 Eclipse
23:18:00 164.5° +8.5° 1766,2 479,5 1 34.9°N 15.9°E 52 0.0° 3775 Eclipse
23:19:00 164.4° +15.7° 1347,4 479,5 1 38.7°N 14.8°E 55 0.0° 3775 Eclipse
23:20:00 164.0° +27.5° 948,6 479,6 1 42.5°N 13.7°E 57 0.0° 3775 Eclipse
23:21:00 162.1° +51.4° 613,9 479,7 1 46.2°N 12.5°E 60 0.0° 3775 Eclipse
23:23:00 348.8° +41.1° 718 479,8 1 53.7°N 9.6°E 66 0.0° 3775 Visible
23:24:00 347.8° +22.9° 1084,6 479,8 1 57.4°N 7.8°E 68 0.0° 3775 Visible
23:25:00 347.6° +13.2° 1492,5 479,9 1 61.1°N 5.7°E 71 0.0° 3775 Visible
23:26:00 347.5° +6.9° 1914,3 480 1 64.8°N 3.0°E 74 0.0° 3775 Visible
23:27:00 347.6° +2.2° 2341 480 1 68.4°N 0.3°W 76 0.0° 3775 Visible
QUBE position on Dienstag, 22. April 2025 (Local) from Sternwarte Nbg.
00:52:00 228.8° +1.2° 2407,2 479,4 1 34.0°N 7.4°W 51 0.0° 3776 Eclipse
00:53:00 238.0° +3.9° 2145,7 479,5 1 37.7°N 8.4°W 54 0.0° 3776 Eclipse
00:54:00 249.5° +6.2° 1944,4 479,6 1 41.5°N 9.5°W 57 0.0° 3776 Eclipse
00:55:00 263.0° +7.8° 1824,4 479,6 1 45.3°N 10.7°W 60 0.0° 3776 Eclipse
00:56:00 277.8° +8.2° 1802,1 479,7 1 49.0°N 12.0°W 62 0.0° 3776 Eclipse
00:57:00 292.1° +7.2° 1881,1 479,8 1 52.7°N 13.5°W 65 0.0° 3776 Visible
00:58:00 304.5° +5.2° 2049,1 479,8 1 56.5°N 15.2°W 68 0.0° 3776 Visible
00:59:00 314.7° +2.7° 2285,8 479,9 1 60.2°N 17.3°W 71 0.0° 3776 Visible
10:40:00 49.7° +1.1° 2448,9 480,6 1 59.2°N 43.2°E 113 0.0° 3782 Sun
10:41:00 59.8° +2.9° 2261,4 480,6 1 55.5°N 41.2°E 116 0.0° 3782 Sun
10:42:00 71.4° +4.1° 2142,7 480,6 1 51.7°N 39.6°E 119 0.0° 3782 Sun
10:43:00 83.8° +4.5° 2105 480,7 1 48.0°N 38.1°E 122 0.0° 3782 Sun
10:44:00 96.2° +3.9° 2153 480,7 1 44.2°N 36.9°E 124 0.0° 3782 Sun
10:45:00 107.6° +2.5° 2281,3 480,7 1 40.5°N 35.7°E 127 0.0° 3782 Sun
10:46:00 117.5° +0.6° 2477,1 480,7 1 36.7°N 34.7°E 130 0.0° 3782 Sun
12:12:00 16.9° +2.6° 2302,7 480,5 1 67.4°N 25.8°E 108 0.0° 3783 Sun
12:13:00 19.0° +7.3° 1881,8 480,6 1 63.8°N 22.7°E 110 0.0° 3783 Sun
12:14:00 22.2° +13.7° 1468,9 480,6 1 60.1°N 20.2°E 113 0.0° 3783 Sun
12:15:00 28.0° +23.2° 1076,1 480,6 1 56.4°N 18.1°E 116 0.0° 3783 Sun
12:16:00 42.4° +39.5° 739,5 480,6 1 52.7°N 16.4°E 118 0.0° 3783 Sun
12:17:00 96.0° +58.1° 572,3 480,6 1 49.0°N 14.9°E 121 0.0° 3783 Sun
12:18:00 156.4° +41.7° 707,9 480,7 1 45.2°N 13.6°E 124 0.0° 3783 Sun
12:19:00 172.7° +24.3° 1033 480,7 1 41.5°N 12.4°E 127 0.0° 3783 Sun
12:20:00 179.0° +14.2° 1422,4 480,7 1 37.7°N 11.4°E 129 0.0° 3783 Sun
12:21:00 182.4° +7.6° 1834,5 480,7 1 33.9°N 10.4°E 132 0.0° 3783 Sun
12:22:00 184.4° +2.7° 2255,6 480,6 1 30.1°N 9.4°E 135 0.0° 3783 Sun
13:46:00 351.3° +2.7° 2287,9 480,5 1 68.3°N 3.2°E 107 0.0° 3784 Sun
13:47:00 343.0° +6.2° 1967,5 480,6 1 64.7°N 0.2°W 110 0.0° 3784 Sun
13:48:00 331.6° +9.8° 1701,5 480,6 1 61.1°N 2.8°W 112 0.0° 3784 Sun
13:49:00 316.4° +12.7° 1520,2 480,6 1 57.4°N 4.9°W 115 0.0° 3784 Sun
13:50:00 298.3° +13.8° 1456,3 480,6 1 53.7°N 6.7°W 118 0.0° 3784 Sun
13:51:00 280.3° +12.5° 1525,1 480,6 1 49.9°N 8.3°W 121 0.0° 3784 Sun
13:52:00 265.3° +9.5° 1710,1 480,6 1 46.2°N 9.6°W 123 0.0° 3784 Sun
13:53:00 254.0° +5.9° 1978,3 480,7 1 42.4°N 10.8°W 126 0.0° 3784 Sun
13:54:00 245.9° +2.3° 2299,7 480,7 1 38.7°N 11.9°W 129 0.0° 3784 Sun
21:21:00 82.6° +1.4° 2400,3 479,6 1 47.7°N 42.1°E 64 0.0° 3789 Eclipse
21:22:00 72.2° +3.2° 2222,4 479,7 1 51.4°N 40.7°E 66 0.0° 3789 Sun
21:23:00 60.3° +4.3° 2121,9 479,7 1 55.2°N 39.1°E 69 0.0° 3789 Sun
21:24:00 47.7° +4.5° 2110,6 479,8 1 58.9°N 37.2°E 72 0.0° 3789 Visible
21:25:00 35.6° +3.7° 2189,9 479,9 1 62.5°N 34.8°E 74 0.0° 3789 Visible
21:26:00 24.8° +2.1° 2350,4 479,9 1 66.2°N 32.0°E 77 0.0° 3789 Visible
22:51:00 148.2° +1.9° 2328,3 479,3 1 31.7°N 23.2°E 52 0.0° 3790 Eclipse
22:52:00 145.3° +6.5° 1912,8 479,4 1 35.4°N 22.3°E 55 0.0° 3790 Eclipse
22:53:00 140.6° +12.5° 1509,6 479,5 1 39.2°N 21.3°E 58 0.0° 3790 Eclipse
22:54:00 132.0° +21.0° 1134,8 479,5 1 43.0°N 20.1°E 60 0.0° 3790 Eclipse
22:55:00 113.3° +33.3° 830,6 479,6 1 46.7°N 18.9°E 63 0.0° 3790 Eclipse
22:56:00 71.7° +42.6° 698,6 479,7 1 50.5°N 17.5°E 66 0.0° 3790 Eclipse
22:57:00 29.6° +33.8° 826,4 479,7 1 54.2°N 16.0°E 68 0.0° 3790 Visible
22:58:00 10.5° +21.5° 1128,7 479,8 1 57.9°N 14.1°E 71 0.0° 3790 Visible
22:59:00 1.8° +13.0° 1502,7 479,9 1 61.6°N 11.9°E 74 0.0° 3790 Visible
23:00:00 357.1° +7.0° 1905,6 479,9 1 65.3°N 9.2°E 77 0.0° 3790 Visible
23:01:00 354.2° +2.4° 2320,9 480 1 68.9°N 5.7°E 79 0.0° 3790 Visible
QUBE position on Mittwoch, 23. April 2025 (Local) from Sternwarte Nbg.
00:25:00 208.6° +1.3° 2393,3 479,3 1 30.7°N 0.1°W 52 0.0° 3791 Eclipse
00:26:00 215.6° +4.9° 2047,7 479,4 1 34.5°N 1.0°W 54 0.0° 3791 Eclipse
00:27:00 225.4° +8.9° 1741 479,4 1 38.2°N 2.0°W 57 0.0° 3791 Eclipse
00:28:00 239.1° +12.8° 1498,7 479,5 1 42.0°N 3.1°W 60 0.0° 3791 Eclipse
00:29:00 257.1° +15.6° 1356,8 479,6 1 45.8°N 4.3°W 62 0.0° 3791 Eclipse
00:30:00 277.5° +15.9° 1347,9 479,6 1 49.5°N 5.7°W 65 0.0° 3791 Eclipse
00:31:00 296.1° +13.4° 1474,3 479,7 1 53.2°N 7.2°W 68 0.0° 3791 Visible
00:32:00 310.3° +9.7° 1705,5 479,8 1 57.0°N 8.9°W 71 0.0° 3791 Visible
00:33:00 320.6° +5.7° 2004,6 479,8 1 60.7°N 11.0°W 73 0.0° 3791 Visible
00:34:00 328.0° +2.1° 2344,7 479,9 1 64.3°N 13.6°W 76 0.0° 3791 Visible
11:46:00 23.4° +1.5° 2404,6 480,4 1 66.9°N 31.8°E 110 0.0° 3798 Sun
11:47:00 28.0° +5.7° 2010 480,5 1 63.2°N 28.8°E 113 0.0° 3798 Sun
11:48:00 34.8° +10.8° 1633,9 480,5 1 59.6°N 26.4°E 116 0.0° 3798 Sun
11:49:00 45.7° +17.2° 1295,3 480,5 1 55.9°N 24.4°E 119 0.0° 3798 Sun
11:50:00 64.4° +24.5° 1034 480,5 1 52.1°N 22.7°E 121 0.0° 3798 Sun
11:51:00 93.7° +28.9° 920,3 480,5 1 48.4°N 21.3°E 124 0.0° 3798 Sun
11:52:00 124.1° +25.3° 1006,2 480,5 1 44.6°N 20.0°E 127 0.0° 3798 Sun
11:53:00 144.2° +18.0° 1251,3 480,5 1 40.9°N 18.8°E 129 0.0° 3798 Sun
11:54:00 155.9° +11.3° 1582,5 480,5 1 37.1°N 17.8°E 132 0.0° 3798 Sun
11:55:00 163.1° +6.0° 1955,7 480,5 1 33.4°N 16.8°E 135 0.0° 3798 Sun
11:56:00 167.9° +1.7° 2349,7 480,5 1 29.6°N 15.8°E 138 0.0° 3798 Sun
13:20:00 357.7° +3.8° 2186,3 480,4 1 67.8°N 9.2°E 110 0.0° 3799 Sun
13:21:00 351.4° +8.2° 1811,5 480,5 1 64.2°N 5.9°E 113 0.0° 3799 Sun
13:22:00 341.6° +13.6° 1473,2 480,5 1 60.5°N 3.4°E 115 0.0° 3799 Sun
13:23:00 325.8° +19.4° 1204,7 480,5 1 56.8°N 1.3°E 118 0.0° 3799 Sun
13:24:00 302.2° +23.6° 1061,8 480,5 1 53.1°N 0.4°W 121 0.0° 3799 Sun
13:25:00 275.4° +22.4° 1095,5 480,5 1 49.4°N 1.9°W 123 0.0° 3799 Sun
13:26:00 254.7° +17.1° 1291,9 480,5 1 45.6°N 3.3°W 126 0.0° 3799 Sun
13:27:00 241.5° +11.3° 1591,2 480,5 1 41.8°N 4.5°W 129 0.0° 3799 Sun
13:28:00 233.1° +6.2° 1945,4 480,5 1 38.1°N 5.5°W 132 0.0° 3799 Sun
13:29:00 227.6° +2.0° 2328,3 480,5 1 34.3°N 6.6°W 134 0.0° 3799 Sun
14:55:00 327.5° +0.4° 2521,6 480,4 1 65.1°N 16.9°W 112 0.0° 3800 Sun
14:56:00 317.0° +1.1° 2453 480,5 1 61.5°N 19.6°W 115 0.0° 3800 Sun
14:57:00 306.2° +0.9° 2461,7 480,5 1 57.8°N 21.7°W 117 0.0° 3800 Sun
14:58:00 295.9° +0.1° 2547 480,5 1 54.0°N 23.6°W 120 0.0° 3800 Sun
20:57:00 59.4° +0.4° 2520,3 479,7 1 55.8°N 45.3°E 72 0.0° 3804 Sun
20:58:00 48.9° +0.9° 2467 479,8 1 59.5°N 43.4°E 75 0.0° 3804 Sun
20:59:00 38.3° +0.7° 2491 479,8 1 63.1°N 41.0°E 77 0.0° 3804 Sun
22:26:00 129.4° +3.6° 2168,1 479,3 1 36.1°N 28.7°E 58 0.0° 3805 Eclipse
22:27:00 122.7° +8.1° 1797,7 479,4 1 39.8°N 27.6°E 61 0.0° 3805 Eclipse
22:28:00 112.5° +13.4° 1466,2 479,5 1 43.6°N 26.5°E 63 0.0° 3805 Eclipse
22:29:00 96.3° +19.1° 1208,1 479,5 1 47.3°N 25.2°E 66 0.0° 3805 Eclipse
22:30:00 72.7° +22.9° 1079 479,6 1 51.1°N 23.8°E 69 0.0° 3805 Visible
22:31:00 46.7° +21.6° 1125,1 479,7 1 54.8°N 22.2°E 71 0.0° 3805 Visible
22:32:00 26.8° +16.5° 1327,9 479,7 1 58.5°N 20.3°E 74 0.0° 3805 Visible
22:33:00 14.0° +10.9° 1629,5 479,8 1 62.2°N 18.1°E 77 0.0° 3805 Visible
22:34:00 5.9° +6.0° 1984,2 479,9 1 65.9°N 15.2°E 80 0.0° 3805 Visible
22:35:00 0.4° +1.9° 2367,1 479,9 1 69.5°N 11.5°E 82 0.0° 3805 Visible
23:59:00 193.1° +3.6° 2158,9 479,3 1 31.3°N 6.3°E 55 0.0° 3806 Eclipse
QUBE position on Donnerstag, 24. April 2025 (Local) from Sternwarte Nbg.
00:00:00 198.7° +8.4° 1770,4 479,3 1 35.1°N 5.4°E 57 0.0° 3806 Eclipse
00:01:00 207.5° +14.4° 1409,5 479,4 1 38.9°N 4.3°E 60 0.0° 3806 Eclipse
00:02:00 222.4° +21.9° 1106,1 479,5 1 42.6°N 3.2°E 63 0.0° 3806 Eclipse
00:03:00 248.0° +28.8° 920,4 479,5 1 46.4°N 2.0°E 65 0.0° 3806 Eclipse
00:04:00 281.1° +28.6° 926,8 479,6 1 50.1°N 0.6°E 68 0.0° 3806 Eclipse
00:05:00 306.2° +21.7° 1121,9 479,7 1 53.9°N 0.9°W 71 0.0° 3806 Visible
00:06:00 320.6° +14.3° 1429,7 479,7 1 57.6°N 2.7°W 74 0.0° 3806 Visible
00:07:00 329.2° +8.5° 1791,9 479,8 1 61.3°N 4.9°W 76 0.0° 3806 Visible
00:08:00 334.7° +3.8° 2180,3 479,8 1 64.9°N 7.5°W 79 0.0° 3806 Visible
01:38:00 282.7° +0.1° 2546,8 479,6 1 49.2°N 22.6°W 68 0.0° 3807 Eclipse
11:20:00 29.2° +0.2° 2543,7 480,4 1 66.2°N 37.8°E 113 0.0° 3813 Sun
11:21:00 35.6° +3.7° 2192 480,4 1 62.6°N 34.9°E 116 0.0° 3813 Sun
11:22:00 44.3° +7.4° 1872 480,4 1 58.9°N 32.6°E 119 0.0° 3813 Sun
11:23:00 56.3° +11.2° 1604,9 480,4 1 55.2°N 30.6°E 122 0.0° 3813 Sun
11:24:00 72.5° +14.4° 1422,3 480,4 1 51.4°N 29.0°E 124 0.0° 3813 Sun
11:25:00 92.0° +15.6° 1359,9 480,4 1 47.7°N 27.6°E 127 0.0° 3813 Sun
11:26:00 111.4° +14.1° 1434,1 480,4 1 43.9°N 26.3°E 130 0.0° 3813 Sun
11:27:00 127.2° +10.7° 1626,1 480,4 1 40.2°N 25.2°E 132 0.0° 3813 Sun
11:28:00 138.8° +6.8° 1899,9 480,4 1 36.4°N 24.1°E 135 0.0° 3813 Sun
11:29:00 147.2° +3.0° 2224,9 480,4 1 32.6°N 23.1°E 138 0.0° 3813 Sun
12:53:00 7.2° +0.3° 2539,8 480,3 1 70.7°N 19.1°E 110 0.0° 3814 Sun
12:54:00 5.0° +4.5° 2120,1 480,3 1 67.1°N 15.1°E 113 0.0° 3814 Sun
12:55:00 1.6° +9.7° 1708,1 480,4 1 63.5°N 12.0°E 116 0.0° 3814 Sun
12:56:00 355.7° +16.8° 1313,6 480,4 1 59.8°N 9.5°E 118 0.0° 3814 Sun
12:57:00 343.8° +27.3° 961,6 480,4 1 56.1°N 7.5°E 121 0.0° 3814 Sun
12:58:00 314.9° +41.0° 720,1 480,4 1 52.4°N 5.8°E 124 0.0° 3814 Sun
12:59:00 264.3° +41.4° 713,3 480,4 1 48.6°N 4.4°E 126 0.0° 3814 Sun
13:00:00 234.3° +27.7° 946,4 480,4 1 44.9°N 3.1°E 129 0.0° 3814 Sun
13:01:00 221.9° +16.9° 1295,2 480,4 1 41.1°N 1.9°E 132 0.0° 3814 Sun
13:02:00 215.8° +9.7° 1688,4 480,4 1 37.4°N 0.8°E 135 0.0° 3814 Sun
13:03:00 212.3° +4.4° 2099,9 480,4 1 33.6°N 0.2°W 137 0.0° 3814 Sun
13:04:00 210.0° +0.1° 2519,4 480,4 1 29.8°N 1.1°W 140 0.0° 3814 Sun
14:28:00 340.4° +1.1° 2449,7 480,3 1 68.0°N 7.6°W 112 0.0° 3815 Sun
14:29:00 330.4° +3.1° 2249,6 480,3 1 64.4°N 10.9°W 115 0.0° 3815 Sun
14:30:00 318.8° +4.4° 2122,9 480,4 1 60.7°N 13.5°W 118 0.0° 3815 Sun
14:31:00 306.2° +4.8° 2083,7 480,4 1 57.0°N 15.6°W 120 0.0° 3815 Sun
14:32:00 293.8° +4.2° 2136,9 480,4 1 53.3°N 17.3°W 123 0.0° 3815 Sun
14:33:00 282.4° +2.7° 2275,6 480,4 1 49.6°N 18.8°W 126 0.0° 3815 Sun
14:34:00 272.7° +0.6° 2485 480,4 1 45.8°N 20.2°W 129 0.0° 3815 Sun
22:00:00 116.7° +0.4° 2491,4 479,3 1 36.8°N 35.0°E 61 0.0° 3820 Eclipse
22:01:00 109.7° +3.8° 2153,3 479,4 1 40.6°N 34.0°E 64 0.0° 3820 Eclipse
22:02:00 100.2° +7.4° 1857,2 479,4 1 44.4°N 32.8°E 66 0.0° 3820 Eclipse
22:03:00 87.2° +10.7° 1627,8 479,5 1 48.1°N 31.5°E 69 0.0° 3820 Eclipse
22:04:00 70.7° +13.0° 1497,4 479,6 1 51.9°N 30.1°E 72 0.0° 3820 Visible
22:05:00 52.5° +13.1° 1493,1 479,6 1 55.6°N 28.4°E 74 0.0° 3820 Visible
22:06:00 35.8° +11.1° 1615,9 479,7 1 59.3°N 26.5°E 77 0.0° 3820 Visible
22:07:00 22.6° +7.8° 1840,2 479,7 1 63.0°N 24.1°E 80 0.0° 3820 Visible
22:08:00 12.9° +4.3° 2133,3 479,8 1 66.6°N 21.1°E 83 0.0° 3820 Visible
22:09:00 5.7° +0.9° 2469,9 479,9 1 70.2°N 17.2°E 85 0.0° 3820 Visible
23:32:00 173.9° +0.6° 2460,8 479,1 1 28.3°N 13.6°E 55 0.0° 3821 Eclipse
23:33:00 175.5° +5.0° 2036,7 479,2 1 32.1°N 12.7°E 58 0.0° 3821 Eclipse
23:34:00 177.9° +10.7° 1618 479,3 1 35.9°N 11.7°E 60 0.0° 3821 Eclipse
23:35:00 182.0° +18.8° 1213 479,3 1 39.7°N 10.7°E 63 0.0° 3821 Eclipse
23:36:00 191.0° +32.4° 844,6 479,4 1 43.4°N 9.6°E 66 0.0° 3821 Eclipse
23:37:00 222.5° +55.0° 589,2 479,5 1 47.2°N 8.3°E 68 0.0° 3821 Eclipse
23:38:00 302.7° +52.0° 611,8 479,5 1 50.9°N 6.9°E 71 0.0° 3821 Visible
23:39:00 328.5° +30.4° 891,2 479,6 1 54.6°N 5.3°E 74 0.0° 3821 Visible
23:40:00 336.5° +17.9° 1266,8 479,7 1 58.4°N 3.4°E 77 0.0° 3821 Visible
23:41:00 340.3° +10.2° 1673,9 479,7 1 62.0°N 1.2°E 79 0.0° 3821 Visible
23:42:00 342.6° +4.8° 2092,9 479,8 1 65.7°N 1.6°W 82 0.0° 3821 Visible
23:43:00 344.2° +0.5° 2516,4 479,8 1 69.3°N 5.3°W 85 0.0° 3821 Visible
QUBE position on Freitag, 25. April 2025 (Local) from Sternwarte Nbg.
01:09:00 247.0° +1.9° 2340,8 479,3 1 38.7°N 12.6°W 63 0.0° 3822 Eclipse
01:10:00 257.8° +3.6° 2177,3 479,4 1 42.5°N 13.7°W 65 0.0° 3822 Eclipse
01:11:00 270.0° +4.6° 2089,7 479,5 1 46.2°N 14.9°W 68 0.0° 3822 Eclipse
01:12:00 282.7° +4.7° 2087,7 479,5 1 50.0°N 16.3°W 71 0.0° 3822 Eclipse
01:13:00 294.9° +3.8° 2171,3 479,6 1 53.7°N 17.8°W 73 0.0° 3822 Visible
01:14:00 305.9° +2.2° 2330,8 479,6 1 57.4°N 19.6°W 76 0.0° 3822 Visible
01:15:00 315.2° +0.1° 2551,4 479,7 1 61.1°N 21.8°W 79 0.0° 3822 Visible
10:55:00 41.8° +1.4° 2420,1 480,3 1 61.7°N 40.9°E 119 0.0° 3828 Sun
10:56:00 51.1° +3.9° 2163,7 480,3 1 58.0°N 38.7°E 122 0.0° 3828 Sun
10:57:00 62.5° +6.1° 1967 480,3 1 54.3°N 36.8°E 125 0.0° 3828 Sun
10:58:00 76.0° +7.6° 1850,5 480,3 1 50.6°N 35.2°E 127 0.0° 3828 Sun
10:59:00 90.5° +7.8° 1830,2 480,3 1 46.8°N 33.9°E 130 0.0° 3828 Sun
11:00:00 104.5° +6.7° 1909,6 480,3 1 43.1°N 32.6°E 133 0.0° 3828 Sun
11:01:00 116.8° +4.7° 2077 480,3 1 39.3°N 31.5°E 136 0.0° 3828 Sun
11:02:00 126.9° +2.1° 2313 480,3 1 35.6°N 30.5°E 138 0.0° 3828 Sun
12:27:00 12.7° +0.4° 2524,1 480,2 1 69.9°N 24.7°E 113 0.0° 3829 Sun
12:28:00 12.9° +4.7° 2096,6 480,2 1 66.3°N 20.9°E 116 0.0° 3829 Sun
12:29:00 13.2° +10.2° 1672,2 480,3 1 62.6°N 17.9°E 119 0.0° 3829 Sun
12:30:00 13.4° +18.1° 1256,6 480,3 1 59.0°N 15.6°E 121 0.0° 3829 Sun
12:31:00 13.8° +31.7° 866,4 480,3 1 55.3°N 13.7°E 124 0.0° 3829 Sun
12:32:00 14.6° +60.4° 561,1 480,3 1 51.5°N 12.0°E 127 0.0° 3829 Sun
12:33:00 192.4° +69.4° 522,9 480,3 1 47.8°N 10.6°E 130 0.0° 3829 Sun
12:34:00 193.6° +35.5° 791,9 480,3 1 44.0°N 9.4°E 132 0.0° 3829 Sun
12:35:00 193.9° +20.0° 1172,3 480,3 1 40.3°N 8.2°E 135 0.0° 3829 Sun
12:36:00 194.2° +11.3° 1584,8 480,3 1 36.5°N 7.2°E 138 0.0° 3829 Sun
12:37:00 194.4° +5.4° 2008,6 480,2 1 32.7°N 6.2°E 140 0.0° 3829 Sun
12:38:00 194.6° +0.9° 2436,3 480,2 1 29.0°N 5.3°E 143 0.0° 3829 Sun
14:01:00 352.2° +0.2° 2555,7 480,2 1 70.8°N 2.3°E 113 0.0° 3830 Sun
14:02:00 344.6° +3.1° 2245,2 480,2 1 67.2°N 1.9°W 115 0.0° 3830 Sun
14:03:00 334.6° +6.0° 1983,6 480,2 1 63.6°N 5.0°W 118 0.0° 3830 Sun
14:04:00 322.0° +8.4° 1793,7 480,3 1 59.9°N 7.4°W 121 0.0° 3830 Sun
14:05:00 307.0° +9.7° 1700,5 480,3 1 56.2°N 9.4°W 124 0.0° 3830 Sun
14:06:00 291.3° +9.4° 1720,3 480,3 1 52.5°N 11.1°W 126 0.0° 3830 Sun
14:07:00 277.0° +7.6° 1849,2 480,3 1 48.7°N 12.6°W 129 0.0° 3830 Sun
14:08:00 265.3° +4.9° 2066,4 480,3 1 45.0°N 13.9°W 132 0.0° 3830 Sun
14:09:00 256.2° +1.9° 2346,5 480,3 1 41.2°N 15.1°W 134 0.0° 3830 Sun
21:35:00 99.8° +0.1° 2538,9 479,3 1 41.5°N 40.3°E 67 0.0° 3835 Eclipse
21:36:00 91.3° +2.7° 2266,7 479,4 1 45.3°N 39.1°E 69 0.0° 3835 Eclipse
21:37:00 80.7° +5.1° 2052,5 479,4 1 49.0°N 37.8°E 72 0.0° 3835 Eclipse
21:38:00 67.9° +6.7° 1917,1 479,5 1 52.8°N 36.3°E 75 0.0° 3835 Visible
21:39:00 53.9° +7.3° 1878,5 479,6 1 56.5°N 34.6°E 78 0.0° 3835 Visible
21:40:00 40.1° +6.5° 1942,5 479,6 1 60.2°N 32.5°E 80 0.0° 3835 Visible
21:41:00 27.9° +4.7° 2099,7 479,7 1 63.9°N 30.0°E 83 0.0° 3835 Visible
21:42:00 17.8° +2.3° 2330,7 479,7 1 67.5°N 26.8°E 86 0.0° 3835 Visible
23:06:00 158.1° +0.5° 2470,4 479,1 1 29.3°N 20.0°E 58 0.0° 3836 Eclipse
23:07:00 157.1° +4.9° 2044,1 479,2 1 33.0°N 19.0°E 61 0.0° 3836 Eclipse
23:08:00 155.4° +10.6° 1622,5 479,2 1 36.8°N 18.0°E 63 0.0° 3836 Eclipse
23:09:00 152.3° +18.8° 1213,4 479,3 1 40.6°N 17.0°E 66 0.0° 3836 Eclipse
23:10:00 145.1° +32.7° 838,7 479,4 1 44.3°N 15.8°E 69 0.0° 3836 Eclipse
23:11:00 116.5° +57.6° 573,4 479,4 1 48.1°N 14.5°E 72 0.0° 3836 Eclipse
23:12:00 25.7° +54.9° 591,7 479,5 1 51.8°N 13.1°E 74 0.0° 3836 Visible
23:13:00 1.7° +31.1° 876 479,5 1 55.6°N 11.4°E 77 0.0° 3836 Visible
23:14:00 355.2° +18.1° 1256,3 479,6 1 59.3°N 9.5°E 80 0.0° 3836 Visible
23:15:00 352.4° +10.3° 1667,1 479,7 1 62.9°N 7.1°E 82 0.0° 3836 Visible
23:16:00 350.9° +4.8° 2089,2 479,7 1 66.6°N 4.1°E 85 0.0° 3836 Visible
23:17:00 350.0° +0.5° 2515,4 479,8 1 70.2°N 0.2°E 88 0.0° 3836 Visible
QUBE position on Samstag, 26. April 2025 (Local) from Sternwarte Nbg.
00:41:00 219.6° +1.0° 2422,6 479,1 1 32.1°N 4.3°W 60 0.0° 3837 Eclipse
00:42:00 227.8° +4.1° 2119,3 479,2 1 35.9°N 5.3°W 63 0.0° 3837 Eclipse
00:43:00 238.6° +7.2° 1866,4 479,3 1 39.6°N 6.3°W 66 0.0° 3837 Eclipse
00:44:00 252.3° +9.7° 1687,8 479,3 1 43.4°N 7.4°W 68 0.0° 3837 Eclipse
00:45:00 268.3° +11.0° 1609,1 479,4 1 47.2°N 8.7°W 71 0.0° 3837 Eclipse
00:46:00 284.9° +10.5° 1645 479,5 1 50.9°N 10.1°W 74 0.0° 3837 Visible
00:47:00 299.6° +8.4° 1788,1 479,5 1 54.6°N 11.7°W 77 0.0° 3837 Visible
00:48:00 311.5° +5.6° 2015,1 479,6 1 58.3°N 13.5°W 79 0.0° 3837 Visible
00:49:00 320.7° +2.5° 2300,3 479,7 1 62.0°N 15.8°W 82 0.0° 3837 Visible
10:30:00 55.8° +0.6° 2495,1 480,2 1 57.1°N 44.7°E 125 0.0° 3843 Sun
10:31:00 66.2° +1.8° 2362,4 480,2 1 53.3°N 43.0°E 128 0.0° 3843 Sun
10:32:00 77.4° +2.4° 2300,8 480,2 1 49.6°N 41.4°E 131 0.0° 3843 Sun
10:33:00 88.9° +2.2° 2316,4 480,2 1 45.9°N 40.1°E 133 0.0° 3843 Sun
10:34:00 99.9° +1.3° 2407,7 480,1 1 42.1°N 38.9°E 136 0.0° 3843 Sun
12:01:00 18.4° +0.3° 2538,5 480,1 1 68.9°N 30.1°E 116 0.0° 3844 Sun
12:02:00 21.2° +4.4° 2123,1 480,1 1 65.3°N 26.6°E 119 0.0° 3844 Sun
12:03:00 25.1° +9.6° 1715,4 480,1 1 61.7°N 23.8°E 122 0.0° 3844 Sun
12:04:00 31.5° +16.5° 1325,4 480,2 1 58.0°N 21.6°E 125 0.0° 3844 Sun
12:05:00 43.9° +26.7° 977,3 480,2 1 54.3°N 19.8°E 127 0.0° 3844 Sun
12:06:00 72.1° +39.6° 736,4 480,2 1 50.5°N 18.2°E 130 0.0° 3844 Sun
12:07:00 121.0° +40.6° 721,2 480,1 1 46.8°N 16.8°E 133 0.0° 3844 Sun
12:08:00 151.9° +27.8° 943 480,1 1 43.0°N 15.6°E 135 0.0° 3844 Sun
12:09:00 165.2° +17.1° 1283,8 480,1 1 39.3°N 14.5°E 138 0.0° 3844 Sun
12:10:00 172.0° +9.9° 1671,4 480,1 1 35.5°N 13.5°E 141 0.0° 3844 Sun
12:11:00 176.1° +4.6° 2078,7 480,1 1 31.7°N 12.5°E 144 0.0° 3844 Sun
12:12:00 178.8° +0.3° 2494,7 480,1 1 27.9°N 11.6°E 146 0.0° 3844 Sun
13:35:00 356.6° +1.5° 2413,5 480,1 1 69.8°N 7.6°E 116 0.0° 3845 Sun
13:36:00 350.1° +5.2° 2054,3 480,1 1 66.2°N 3.8°E 119 0.0° 3845 Sun
13:37:00 340.9° +9.3° 1732,1 480,1 1 62.6°N 0.9°E 121 0.0° 3845 Sun
13:38:00 327.6° +13.5° 1473,2 480,1 1 58.9°N 1.4°W 124 0.0° 3845 Sun
13:39:00 309.3° +16.7° 1316,9 480,1 1 55.2°N 3.3°W 127 0.0° 3845 Sun
13:40:00 288.1° +17.0° 1301,5 480,1 1 51.5°N 5.0°W 130 0.0° 3845 Sun
13:41:00 268.9° +14.2° 1431,5 480,1 1 47.7°N 6.4°W 132 0.0° 3845 Sun
13:42:00 254.6° +10.0° 1672,8 480,1 1 44.0°N 7.7°W 135 0.0° 3845 Sun
13:43:00 244.6° +5.8° 1984,2 480,1 1 40.2°N 8.8°W 138 0.0° 3845 Sun
13:44:00 237.7° +1.9° 2336,9 480,1 1 36.4°N 9.9°W 140 0.0° 3845 Sun
21:11:00 75.2° +0.8° 2468,1 479,4 1 50.1°N 43.9°E 75 0.0° 3850 Eclipse
21:12:00 64.8° +2.2° 2325,3 479,5 1 53.8°N 42.4°E 78 0.0° 3850 Sun
21:13:00 53.4° +2.9° 2260 479,5 1 57.5°N 40.6°E 81 0.0° 3850 Sun
21:14:00 41.7° +2.7° 2279,3 479,6 1 61.2°N 38.4°E 84 0.0° 3850 Sun
21:15:00 30.7° +1.7° 2381,2 479,6 1 64.9°N 35.8°E 86 0.0° 3850 Sun
21:16:00 20.9° +0.1° 2555,3 479,7 1 68.5°N 32.4°E 89 0.0° 3850 Sun
22:41:00 140.0° +3.5° 2174,2 479,1 1 34.1°N 25.3°E 64 0.0° 3851 Eclipse
22:42:00 135.2° +8.4° 1775,8 479,2 1 37.9°N 24.3°E 67 0.0° 3851 Eclipse
22:43:00 127.4° +14.6° 1401,9 479,2 1 41.6°N 23.2°E 69 0.0° 3851 Eclipse
22:44:00 113.5° +22.7° 1081 479,3 1 45.4°N 22.1°E 72 0.0° 3851 Eclipse
22:45:00 87.5° +31.0° 875,5 479,4 1 49.2°N 20.7°E 75 0.0° 3851 Eclipse
22:46:00 51.6° +31.2° 872,6 479,4 1 52.9°N 19.2°E 78 0.0° 3851 Visible
22:47:00 25.2° +23.2° 1073,8 479,5 1 56.6°N 17.5°E 80 0.0° 3851 Visible
22:48:00 11.0° +15.1° 1392,7 479,6 1 60.3°N 15.4°E 83 0.0° 3851 Visible
22:49:00 3.1° +8.9° 1765,8 479,6 1 64.0°N 12.9°E 86 0.0° 3851 Visible
22:50:00 358.3° +4.0° 2163,9 479,7 1 67.6°N 9.7°E 88 0.0° 3851 Visible
QUBE position on Sonntag, 27. April 2025 (Local) from Sternwarte Nbg.
00:14:00 200.4° +0.8° 2437,5 479 1 29.4°N 2.9°E 61 0.0° 3852 Eclipse
00:15:00 206.2° +4.7° 2064,4 479,1 1 33.2°N 2.0°E 63 0.0° 3852 Eclipse
00:16:00 214.4° +9.2° 1719 479,2 1 37.0°N 1.0°E 66 0.0° 3852 Eclipse
00:17:00 226.7° +14.2° 1423,6 479,2 1 40.7°N 0.0°W 69 0.0° 3852 Eclipse
00:18:00 244.9° +18.8° 1216,8 479,3 1 44.5°N 1.2°W 72 0.0° 3852 Eclipse
00:19:00 268.5° +20.8° 1148,4 479,4 1 48.2°N 2.5°W 74 0.0° 3852 Eclipse
00:20:00 291.5° +18.4° 1241,4 479,4 1 52.0°N 3.9°W 77 0.0° 3852 Visible
00:21:00 308.7° +13.6° 1465 479,5 1 55.7°N 5.6°W 80 0.0° 3852 Visible
00:22:00 320.3° +8.8° 1769,5 479,5 1 59.4°N 7.6°W 82 0.0° 3852 Visible
00:23:00 328.1° +4.4° 2119 479,6 1 63.1°N 10.0°W 85 0.0° 3852 Visible
00:24:00 333.7° +0.7° 2493,5 479,7 1 66.7°N 13.0°W 88 0.0° 3852 Visible
11:36:00 29.3° +3.5° 2205,3 480 1 64.2°N 32.3°E 122 0.0° 3859 Sun
11:37:00 36.1° +7.8° 1841,2 480 1 60.5°N 29.7°E 125 0.0° 3859 Sun
11:38:00 46.3° +12.8° 1513,3 480 1 56.8°N 27.6°E 128 0.0° 3859 Sun
11:39:00 61.8° +18.1° 1252,8 480 1 53.1°N 25.9°E 131 0.0° 3859 Sun
11:40:00 84.3° +22.0° 1109,8 480 1 49.4°N 24.4°E 133 0.0° 3859 Sun
11:41:00 109.8° +21.2° 1130,8 480 1 45.6°N 23.0°E 136 0.0° 3859 Sun
11:42:00 130.6° +16.6° 1308 480 1 41.9°N 21.8°E 139 0.0° 3859 Sun
11:43:00 144.6° +11.2° 1589,6 480 1 38.1°N 20.8°E 141 0.0° 3859 Sun
11:44:00 153.7° +6.3° 1929,6 480 1 34.3°N 19.7°E 144 0.0° 3859 Sun
11:45:00 159.9° +2.2° 2301,1 479,9 1 30.6°N 18.8°E 147 0.0° 3859 Sun
13:09:00 2.0° +2.7° 2286,4 480 1 68.7°N 12.9°E 119 0.0° 3860 Sun
13:10:00 357.4° +7.2° 1887,8 480 1 65.1°N 9.4°E 122 0.0° 3860 Sun
13:11:00 350.2° +12.9° 1511,5 480 1 61.4°N 6.7°E 125 0.0° 3860 Sun
13:12:00 337.9° +20.1° 1181,4 480 1 57.8°N 4.5°E 127 0.0° 3860 Sun
13:13:00 315.6° +27.8° 949,3 480 1 54.0°N 2.7°E 130 0.0° 3860 Sun
13:14:00 282.8° +30.0° 896,2 480 1 50.3°N 1.2°E 133 0.0° 3860 Sun
13:15:00 254.5° +23.8° 1049,8 480 1 46.6°N 0.2°W 136 0.0° 3860 Sun
13:16:00 238.0° +15.9° 1340,3 480 1 42.8°N 1.4°W 138 0.0° 3860 Sun
13:17:00 228.7° +9.5° 1698 480 1 39.0°N 2.5°W 141 0.0° 3860 Sun
13:18:00 223.0° +4.5° 2087,3 480 1 35.3°N 3.6°W 144 0.0° 3860 Sun
13:19:00 219.2° +0.4° 2492,1 479,9 1 31.5°N 4.5°W 146 0.0° 3860 Sun
14:44:00 331.9° +1.1° 2452,8 480 1 66.0°N 13.4°W 121 0.0° 3861 Sun
14:45:00 321.2° +2.2° 2336,1 480 1 62.3°N 16.2°W 124 0.0° 3861 Sun
14:46:00 309.8° +2.5° 2298,9 480 1 58.7°N 18.5°W 127 0.0° 3861 Sun
14:47:00 298.5° +2.0° 2345 480 1 54.9°N 20.4°W 130 0.0° 3861 Sun
14:48:00 288.0° +0.8° 2469,4 480 1 51.2°N 22.0°W 132 0.0° 3861 Sun
22:15:00 125.2° +1.3° 2399,6 479,1 1 35.3°N 31.6°E 67 0.0° 3866 Eclipse
22:16:00 118.9° +5.1° 2035,6 479,1 1 39.1°N 30.6°E 70 0.0° 3866 Eclipse
22:17:00 109.9° +9.4° 1706,8 479,2 1 42.9°N 29.5°E 73 0.0° 3866 Eclipse
22:18:00 96.6° +14.0° 1439,2 479,3 1 46.6°N 28.2°E 75 0.0° 3866 Eclipse
22:19:00 77.9° +17.5° 1274 479,3 1 50.4°N 26.9°E 78 0.0° 3866 Visible
22:20:00 55.9° +18.1° 1253,2 479,4 1 54.1°N 25.3°E 81 0.0° 3866 Visible
22:21:00 35.9° +15.3° 1383,4 479,4 1 57.8°N 23.5°E 84 0.0° 3866 Visible
22:22:00 21.2° +10.9° 1628,5 479,5 1 61.5°N 21.3°E 86 0.0° 3866 Visible
22:23:00 11.2° +6.5° 1944,5 479,6 1 65.2°N 18.6°E 89 0.0° 3866 Visible
22:24:00 4.3° +2.5° 2301,5 479,6 1 68.8°N 15.1°E 92 0.0° 3866 Visible
23:48:00 185.0° +3.2° 2201,5 479 1 30.6°N 9.2°E 64 0.0° 3867 Eclipse
23:49:00 189.0° +8.1° 1794,3 479,1 1 34.4°N 8.3°E 67 0.0° 3867 Eclipse
23:50:00 195.3° +14.5° 1404,5 479,1 1 38.2°N 7.3°E 70 0.0° 3867 Eclipse
23:51:00 206.9° +23.5° 1053,9 479,2 1 41.9°N 6.2°E 72 0.0° 3867 Eclipse
23:52:00 231.4° +35.1° 798,4 479,2 1 45.7°N 5.0°E 75 0.0° 3867 Eclipse
23:53:00 274.8° +38.8° 744,8 479,3 1 49.5°N 3.7°E 78 0.0° 3867 Eclipse
23:54:00 308.3° +28.6° 928,7 479,4 1 53.2°N 2.1°E 80 0.0° 3867 Visible
23:55:00 324.0° +18.3° 1248,5 479,4 1 56.9°N 0.4°E 83 0.0° 3867 Visible
23:56:00 332.1° +10.9° 1625 479,5 1 60.6°N 1.7°W 86 0.0° 3867 Visible
23:57:00 337.0° +5.5° 2025,4 479,5 1 64.3°N 4.3°W 89 0.0° 3867 Visible
23:58:00 340.2° +1.2° 2436,6 479,6 1 67.9°N 7.5°W 91 0.0° 3867 Visible
QUBE position on Montag, 28. April 2025 (Local) from Sternwarte Nbg.
01:25:00 258.0° +0.4° 2499,2 479,2 1 41.0°N 17.1°W 72 0.0° 3868 Eclipse
01:26:00 268.5° +1.5° 2388,8 479,2 1 44.8°N 18.3°W 74 0.0° 3868 Eclipse
01:27:00 279.6° +1.9° 2350,5 479,3 1 48.5°N 19.6°W 77 0.0° 3868 Eclipse
01:28:00 290.8° +1.6° 2387,8 479,3 1 52.3°N 21.0°W 80 0.0° 3868 Visible
01:29:00 301.3° +0.6° 2497 479,4 1 56.0°N 22.7°W 83 0.0° 3868 Visible

Marius-Jubilaeumsbotschaft-QUBE-Ueberfluege.pdf

  • 1.
    QUBE 1 60476U 24149J25107.75702553 .00021136 00000+0 76320-3 0 9995 2 60476 97.4115 186.6666 0001436 336.7235 23.3940 15.28509156 37120 Time (L) Azimuth Elevation Range km Height km Mode SSP Lat SSP Lon MA Squint Orbit # Sun QUBE position on Sonntag, 20. April 2025 (Local) from Sternwarte Nbg. 11:30:00 26.1° +0.2° 2552 480,7 1 67.1°N 36.0°E 103 0.0° 3752 Sun 11:31:00 31.6° +3.8° 2178,3 480,8 1 63.5°N 32.9°E 105 0.0° 3752 Sun 11:32:00 39.2° +8.0° 1828,7 480,8 1 59.8°N 30.5°E 108 0.0° 3752 Sun 11:33:00 50.3° +12.7° 1522 480,8 1 56.1°N 28.5°E 111 0.0° 3752 Sun 11:34:00 66.5° +17.2° 1291,2 480,9 1 52.4°N 26.8°E 113 0.0° 3752 Sun 11:35:00 88.4° +19.9° 1183,1 480,9 1 48.7°N 25.3°E 116 0.0° 3752 Sun 11:36:00 111.6° +18.6° 1231,2 480,9 1 44.9°N 24.0°E 119 0.0° 3752 Sun 11:37:00 130.2° +14.3° 1419,7 480,9 1 41.2°N 22.8°E 122 0.0° 3752 Sun 11:38:00 143.1° +9.5° 1702,1 480,9 1 37.4°N 21.8°E 124 0.0° 3752 Sun 11:39:00 151.8° +5.1° 2038,9 480,9 1 33.6°N 20.8°E 127 0.0° 3752 Sun 11:40:00 157.9° +1.2° 2406,4 480,9 1 29.8°N 19.8°E 130 0.0° 3752 Sun 13:04:00 2.7° +3.4° 2218,5 480,7 1 68.1°N 13.4°E 102 0.0° 3753 Sun 13:05:00 358.4° +8.2° 1815,8 480,8 1 64.5°N 10.1°E 105 0.0° 3753 Sun 13:06:00 351.3° +14.3° 1434,5 480,8 1 60.8°N 7.5°E 108 0.0° 3753 Sun 13:07:00 338.7° +22.5° 1099,7 480,8 1 57.1°N 5.4°E 110 0.0° 3753 Sun 13:08:00 314.2° +31.5° 869 480,8 1 53.4°N 3.6°E 113 0.0° 3753 Sun 13:09:00 276.9° +33.2° 835,3 480,9 1 49.6°N 2.1°E 116 0.0° 3753 Sun 13:10:00 248.0° +25.0° 1018,4 480,9 1 45.9°N 0.8°E 118 0.0° 3753 Sun 13:11:00 232.7° +16.2° 1331 480,9 1 42.1°N 0.4°W 121 0.0° 3753 Sun 13:12:00 224.4° +9.5° 1702,3 480,9 1 38.4°N 1.5°W 124 0.0° 3753 Sun 13:13:00 219.5° +4.4° 2100,1 480,9 1 34.6°N 2.5°W 127 0.0° 3753 Sun 13:14:00 216.2° +0.2° 2510,5 480,9 1 30.8°N 3.5°W 129 0.0° 3753 Sun 14:39:00 331.2° +1.7° 2387 480,7 1 65.4°N 12.7°W 104 0.0° 3754 Sun 14:40:00 320.2° +2.9° 2268,7 480,8 1 61.8°N 15.4°W 107 0.0° 3754 Sun 14:41:00 308.5° +3.2° 2232,3 480,8 1 58.1°N 17.6°W 110 0.0° 3754 Sun 14:42:00 296.8° +2.7° 2281,8 480,8 1 54.4°N 19.5°W 112 0.0° 3754 Sun 14:43:00 286.1° +1.4° 2411,7 480,9 1 50.6°N 21.1°W 115 0.0° 3754 Sun
  • 2.
    22:10:00 122.8° +0.9°2445,1 479,5 1 35.6°N 32.7°E 50 0.0° 3759 Eclipse 22:11:00 116.4° +4.5° 2087,7 479,6 1 39.4°N 31.7°E 53 0.0° 3759 Eclipse 22:12:00 107.3° +8.6° 1766,6 479,7 1 43.1°N 30.6°E 55 0.0° 3759 Eclipse 22:13:00 94.3° +12.7° 1507,4 479,7 1 46.9°N 29.3°E 58 0.0° 3759 Eclipse 22:14:00 76.5° +15.9° 1347,8 479,8 1 50.6°N 28.0°E 61 0.0° 3759 Eclipse 22:15:00 55.9° +16.5° 1325,1 479,9 1 54.4°N 26.4°E 63 0.0° 3759 Visible 22:16:00 36.9° +14.0° 1446,1 479,9 1 58.1°N 24.5°E 66 0.0° 3759 Visible 22:17:00 22.4° +10.1° 1679,4 480 1 61.8°N 22.3°E 69 0.0° 3759 Visible 22:18:00 12.3° +6.0° 1985,2 480,1 1 65.4°N 19.6°E 72 0.0° 3759 Visible 22:19:00 5.1° +2.2° 2334 480,1 1 69.0°N 16.0°E 74 0.0° 3759 Visible 23:43:00 182.0° +3.5° 2175,1 479,5 1 30.8°N 10.4°E 47 0.0° 3760 Eclipse 23:44:00 185.5° +8.5° 1763,1 479,5 1 34.6°N 9.4°E 49 0.0° 3760 Eclipse 23:45:00 191.1° +15.3° 1366,3 479,6 1 38.4°N 8.4°E 52 0.0° 3760 Eclipse 23:46:00 201.7° +25.2° 1005,5 479,6 1 42.1°N 7.3°E 55 0.0° 3760 Eclipse 23:47:00 226.7° +39.2° 738 479,7 1 45.9°N 6.1°E 57 0.0° 3760 Eclipse 23:48:00 277.3° +43.8° 685,3 479,8 1 49.6°N 4.8°E 60 0.0° 3760 Eclipse 23:49:00 312.8° +30.6° 886,6 479,8 1 53.4°N 3.2°E 63 0.0° 3760 Visible 23:50:00 327.3° +19.0° 1221,4 479,9 1 57.1°N 1.5°E 66 0.0° 3760 Visible 23:51:00 334.4° +11.2° 1607,4 480 1 60.8°N 0.6°W 68 0.0° 3760 Visible 23:52:00 338.6° +5.7° 2014,1 480 1 64.5°N 3.2°W 71 0.0° 3760 Visible 23:53:00 341.4° +1.3° 2429,7 480,1 1 68.1°N 6.5°W 74 0.0° 3760 Visible QUBE position on Montag, 21. April 2025 (Local) from Sternwarte Nbg. 01:20:00 257.0° +1.2° 2411,3 479,6 1 41.2°N 16.0°W 54 0.0° 3761 Eclipse 01:21:00 267.9° +2.4° 2301,3 479,7 1 44.9°N 17.1°W 57 0.0° 3761 Eclipse 01:22:00 279.5° +2.7° 2266,7 479,8 1 48.7°N 18.4°W 60 0.0° 3761 Eclipse 01:23:00 291.0° +2.3° 2310,9 479,8 1 52.4°N 19.9°W 62 0.0° 3761 Visible 01:24:00 301.7° +1.2° 2429,2 479,9 1 56.1°N 21.6°W 65 0.0° 3761 Visible 11:05:00 37.0° +1.4° 2421,7 480,7 1 63.2°N 39.3°E 108 0.0° 3767 Sun 11:06:00 45.4° +4.4° 2125,4 480,7 1 59.6°N 36.9°E 111 0.0° 3767 Sun 11:07:00 56.3° +7.3° 1880 480,7 1 55.9°N 34.9°E 113 0.0° 3767 Sun 11:08:00 70.0° +9.6° 1709,2 480,8 1 52.1°N 33.2°E 116 0.0° 3767 Sun 11:09:00 85.9° +10.6° 1637,7 480,8 1 48.4°N 31.8°E 119 0.0° 3767 Sun 11:10:00 102.1° +9.9° 1678,5 480,8 1 44.6°N 30.5°E 122 0.0° 3767 Sun
  • 3.
    11:11:00 116.4° +7.8°1824,3 480,8 1 40.9°N 29.3°E 124 0.0° 3767 Sun 11:12:00 128.1° +4.9° 2052,4 480,8 1 37.1°N 28.2°E 127 0.0° 3767 Sun 11:13:00 137.1° +1.9° 2338,1 480,8 1 33.4°N 27.2°E 130 0.0° 3767 Sun 12:38:00 9.9° +3.2° 2239,9 480,6 1 67.8°N 19.7°E 105 0.0° 3768 Sun 12:39:00 8.9° +8.2° 1815,4 480,7 1 64.2°N 16.4°E 107 0.0° 3768 Sun 12:40:00 7.0° +15.0° 1398,5 480,7 1 60.5°N 13.9°E 110 0.0° 3768 Sun 12:41:00 2.9° +25.8° 1001,9 480,7 1 56.8°N 11.8°E 113 0.0° 3768 Sun 12:42:00 350.6° +45.9° 666,7 480,7 1 53.1°N 10.1°E 116 0.0° 3768 Sun 12:43:00 273.9° +67.8° 529,3 480,8 1 49.4°N 8.6°E 118 0.0° 3768 Sun 12:44:00 217.1° +41.1° 715,4 480,8 1 45.6°N 7.2°E 121 0.0° 3768 Sun 12:45:00 207.5° +23.2° 1067 480,8 1 41.9°N 6.0°E 124 0.0° 3768 Sun 12:46:00 204.0° +13.3° 1468,8 480,8 1 38.1°N 4.9°E 126 0.0° 3768 Sun 12:47:00 202.2° +6.9° 1887,8 480,8 1 34.3°N 3.9°E 129 0.0° 3768 Sun 12:48:00 201.2° +2.1° 2313,4 480,8 1 30.6°N 3.0°E 132 0.0° 3768 Sun 14:12:00 345.6° +1.4° 2419,1 480,6 1 68.8°N 2.9°W 104 0.0° 3769 Sun 14:13:00 336.3° +4.0° 2162,6 480,6 1 65.1°N 6.4°W 107 0.0° 3769 Sun 14:14:00 324.8° +6.2° 1972 480,7 1 61.5°N 9.1°W 110 0.0° 3769 Sun 14:15:00 311.4° +7.4° 1868,3 480,7 1 57.8°N 11.3°W 112 0.0° 3769 Sun 14:16:00 297.0° +7.4° 1866,5 480,7 1 54.1°N 13.1°W 115 0.0° 3769 Sun 14:17:00 283.5° +6.1° 1966,9 480,7 1 50.3°N 14.6°W 118 0.0° 3769 Sun 14:18:00 271.9° +3.9° 2154,7 480,8 1 46.6°N 16.0°W 121 0.0° 3769 Sun 14:19:00 262.6° +1.3° 2408,7 480,8 1 42.8°N 17.2°W 123 0.0° 3769 Sun 21:45:00 106.4° +0.4° 2499,4 479,5 1 39.7°N 38.1°E 55 0.0° 3774 Eclipse 21:46:00 98.3° +3.4° 2200,9 479,6 1 43.5°N 37.0°E 58 0.0° 3774 Eclipse 21:47:00 87.8° +6.2° 1955,6 479,7 1 47.2°N 35.8°E 61 0.0° 3774 Eclipse 21:48:00 74.7° +8.4° 1786,8 479,7 1 51.0°N 34.4°E 63 0.0° 3774 Eclipse 21:49:00 59.6° +9.4° 1718,4 479,8 1 54.7°N 32.8°E 66 0.0° 3774 Visible 21:50:00 44.3° +8.9° 1762,3 479,9 1 58.4°N 30.9°E 69 0.0° 3774 Visible 21:51:00 30.6° +6.9° 1910,8 479,9 1 62.1°N 28.6°E 72 0.0° 3774 Visible 21:52:00 19.6° +4.2° 2141,7 480 1 65.7°N 25.8°E 74 0.0° 3774 Visible 21:53:00 11.0° +1.3° 2430,8 480,1 1 69.3°N 22.2°E 77 0.0° 3774 Visible 23:17:00 164.5° +3.3° 2192,3 479,4 1 31.2°N 16.8°E 49 0.0° 3775 Eclipse 23:18:00 164.5° +8.5° 1766,2 479,5 1 34.9°N 15.9°E 52 0.0° 3775 Eclipse
  • 4.
    23:19:00 164.4° +15.7°1347,4 479,5 1 38.7°N 14.8°E 55 0.0° 3775 Eclipse 23:20:00 164.0° +27.5° 948,6 479,6 1 42.5°N 13.7°E 57 0.0° 3775 Eclipse 23:21:00 162.1° +51.4° 613,9 479,7 1 46.2°N 12.5°E 60 0.0° 3775 Eclipse 23:23:00 348.8° +41.1° 718 479,8 1 53.7°N 9.6°E 66 0.0° 3775 Visible 23:24:00 347.8° +22.9° 1084,6 479,8 1 57.4°N 7.8°E 68 0.0° 3775 Visible 23:25:00 347.6° +13.2° 1492,5 479,9 1 61.1°N 5.7°E 71 0.0° 3775 Visible 23:26:00 347.5° +6.9° 1914,3 480 1 64.8°N 3.0°E 74 0.0° 3775 Visible 23:27:00 347.6° +2.2° 2341 480 1 68.4°N 0.3°W 76 0.0° 3775 Visible QUBE position on Dienstag, 22. April 2025 (Local) from Sternwarte Nbg. 00:52:00 228.8° +1.2° 2407,2 479,4 1 34.0°N 7.4°W 51 0.0° 3776 Eclipse 00:53:00 238.0° +3.9° 2145,7 479,5 1 37.7°N 8.4°W 54 0.0° 3776 Eclipse 00:54:00 249.5° +6.2° 1944,4 479,6 1 41.5°N 9.5°W 57 0.0° 3776 Eclipse 00:55:00 263.0° +7.8° 1824,4 479,6 1 45.3°N 10.7°W 60 0.0° 3776 Eclipse 00:56:00 277.8° +8.2° 1802,1 479,7 1 49.0°N 12.0°W 62 0.0° 3776 Eclipse 00:57:00 292.1° +7.2° 1881,1 479,8 1 52.7°N 13.5°W 65 0.0° 3776 Visible 00:58:00 304.5° +5.2° 2049,1 479,8 1 56.5°N 15.2°W 68 0.0° 3776 Visible 00:59:00 314.7° +2.7° 2285,8 479,9 1 60.2°N 17.3°W 71 0.0° 3776 Visible 10:40:00 49.7° +1.1° 2448,9 480,6 1 59.2°N 43.2°E 113 0.0° 3782 Sun 10:41:00 59.8° +2.9° 2261,4 480,6 1 55.5°N 41.2°E 116 0.0° 3782 Sun 10:42:00 71.4° +4.1° 2142,7 480,6 1 51.7°N 39.6°E 119 0.0° 3782 Sun 10:43:00 83.8° +4.5° 2105 480,7 1 48.0°N 38.1°E 122 0.0° 3782 Sun 10:44:00 96.2° +3.9° 2153 480,7 1 44.2°N 36.9°E 124 0.0° 3782 Sun 10:45:00 107.6° +2.5° 2281,3 480,7 1 40.5°N 35.7°E 127 0.0° 3782 Sun 10:46:00 117.5° +0.6° 2477,1 480,7 1 36.7°N 34.7°E 130 0.0° 3782 Sun 12:12:00 16.9° +2.6° 2302,7 480,5 1 67.4°N 25.8°E 108 0.0° 3783 Sun 12:13:00 19.0° +7.3° 1881,8 480,6 1 63.8°N 22.7°E 110 0.0° 3783 Sun 12:14:00 22.2° +13.7° 1468,9 480,6 1 60.1°N 20.2°E 113 0.0° 3783 Sun 12:15:00 28.0° +23.2° 1076,1 480,6 1 56.4°N 18.1°E 116 0.0° 3783 Sun 12:16:00 42.4° +39.5° 739,5 480,6 1 52.7°N 16.4°E 118 0.0° 3783 Sun 12:17:00 96.0° +58.1° 572,3 480,6 1 49.0°N 14.9°E 121 0.0° 3783 Sun 12:18:00 156.4° +41.7° 707,9 480,7 1 45.2°N 13.6°E 124 0.0° 3783 Sun 12:19:00 172.7° +24.3° 1033 480,7 1 41.5°N 12.4°E 127 0.0° 3783 Sun 12:20:00 179.0° +14.2° 1422,4 480,7 1 37.7°N 11.4°E 129 0.0° 3783 Sun
  • 5.
    12:21:00 182.4° +7.6°1834,5 480,7 1 33.9°N 10.4°E 132 0.0° 3783 Sun 12:22:00 184.4° +2.7° 2255,6 480,6 1 30.1°N 9.4°E 135 0.0° 3783 Sun 13:46:00 351.3° +2.7° 2287,9 480,5 1 68.3°N 3.2°E 107 0.0° 3784 Sun 13:47:00 343.0° +6.2° 1967,5 480,6 1 64.7°N 0.2°W 110 0.0° 3784 Sun 13:48:00 331.6° +9.8° 1701,5 480,6 1 61.1°N 2.8°W 112 0.0° 3784 Sun 13:49:00 316.4° +12.7° 1520,2 480,6 1 57.4°N 4.9°W 115 0.0° 3784 Sun 13:50:00 298.3° +13.8° 1456,3 480,6 1 53.7°N 6.7°W 118 0.0° 3784 Sun 13:51:00 280.3° +12.5° 1525,1 480,6 1 49.9°N 8.3°W 121 0.0° 3784 Sun 13:52:00 265.3° +9.5° 1710,1 480,6 1 46.2°N 9.6°W 123 0.0° 3784 Sun 13:53:00 254.0° +5.9° 1978,3 480,7 1 42.4°N 10.8°W 126 0.0° 3784 Sun 13:54:00 245.9° +2.3° 2299,7 480,7 1 38.7°N 11.9°W 129 0.0° 3784 Sun 21:21:00 82.6° +1.4° 2400,3 479,6 1 47.7°N 42.1°E 64 0.0° 3789 Eclipse 21:22:00 72.2° +3.2° 2222,4 479,7 1 51.4°N 40.7°E 66 0.0° 3789 Sun 21:23:00 60.3° +4.3° 2121,9 479,7 1 55.2°N 39.1°E 69 0.0° 3789 Sun 21:24:00 47.7° +4.5° 2110,6 479,8 1 58.9°N 37.2°E 72 0.0° 3789 Visible 21:25:00 35.6° +3.7° 2189,9 479,9 1 62.5°N 34.8°E 74 0.0° 3789 Visible 21:26:00 24.8° +2.1° 2350,4 479,9 1 66.2°N 32.0°E 77 0.0° 3789 Visible 22:51:00 148.2° +1.9° 2328,3 479,3 1 31.7°N 23.2°E 52 0.0° 3790 Eclipse 22:52:00 145.3° +6.5° 1912,8 479,4 1 35.4°N 22.3°E 55 0.0° 3790 Eclipse 22:53:00 140.6° +12.5° 1509,6 479,5 1 39.2°N 21.3°E 58 0.0° 3790 Eclipse 22:54:00 132.0° +21.0° 1134,8 479,5 1 43.0°N 20.1°E 60 0.0° 3790 Eclipse 22:55:00 113.3° +33.3° 830,6 479,6 1 46.7°N 18.9°E 63 0.0° 3790 Eclipse 22:56:00 71.7° +42.6° 698,6 479,7 1 50.5°N 17.5°E 66 0.0° 3790 Eclipse 22:57:00 29.6° +33.8° 826,4 479,7 1 54.2°N 16.0°E 68 0.0° 3790 Visible 22:58:00 10.5° +21.5° 1128,7 479,8 1 57.9°N 14.1°E 71 0.0° 3790 Visible 22:59:00 1.8° +13.0° 1502,7 479,9 1 61.6°N 11.9°E 74 0.0° 3790 Visible 23:00:00 357.1° +7.0° 1905,6 479,9 1 65.3°N 9.2°E 77 0.0° 3790 Visible 23:01:00 354.2° +2.4° 2320,9 480 1 68.9°N 5.7°E 79 0.0° 3790 Visible QUBE position on Mittwoch, 23. April 2025 (Local) from Sternwarte Nbg. 00:25:00 208.6° +1.3° 2393,3 479,3 1 30.7°N 0.1°W 52 0.0° 3791 Eclipse 00:26:00 215.6° +4.9° 2047,7 479,4 1 34.5°N 1.0°W 54 0.0° 3791 Eclipse 00:27:00 225.4° +8.9° 1741 479,4 1 38.2°N 2.0°W 57 0.0° 3791 Eclipse 00:28:00 239.1° +12.8° 1498,7 479,5 1 42.0°N 3.1°W 60 0.0° 3791 Eclipse
  • 6.
    00:29:00 257.1° +15.6°1356,8 479,6 1 45.8°N 4.3°W 62 0.0° 3791 Eclipse 00:30:00 277.5° +15.9° 1347,9 479,6 1 49.5°N 5.7°W 65 0.0° 3791 Eclipse 00:31:00 296.1° +13.4° 1474,3 479,7 1 53.2°N 7.2°W 68 0.0° 3791 Visible 00:32:00 310.3° +9.7° 1705,5 479,8 1 57.0°N 8.9°W 71 0.0° 3791 Visible 00:33:00 320.6° +5.7° 2004,6 479,8 1 60.7°N 11.0°W 73 0.0° 3791 Visible 00:34:00 328.0° +2.1° 2344,7 479,9 1 64.3°N 13.6°W 76 0.0° 3791 Visible 11:46:00 23.4° +1.5° 2404,6 480,4 1 66.9°N 31.8°E 110 0.0° 3798 Sun 11:47:00 28.0° +5.7° 2010 480,5 1 63.2°N 28.8°E 113 0.0° 3798 Sun 11:48:00 34.8° +10.8° 1633,9 480,5 1 59.6°N 26.4°E 116 0.0° 3798 Sun 11:49:00 45.7° +17.2° 1295,3 480,5 1 55.9°N 24.4°E 119 0.0° 3798 Sun 11:50:00 64.4° +24.5° 1034 480,5 1 52.1°N 22.7°E 121 0.0° 3798 Sun 11:51:00 93.7° +28.9° 920,3 480,5 1 48.4°N 21.3°E 124 0.0° 3798 Sun 11:52:00 124.1° +25.3° 1006,2 480,5 1 44.6°N 20.0°E 127 0.0° 3798 Sun 11:53:00 144.2° +18.0° 1251,3 480,5 1 40.9°N 18.8°E 129 0.0° 3798 Sun 11:54:00 155.9° +11.3° 1582,5 480,5 1 37.1°N 17.8°E 132 0.0° 3798 Sun 11:55:00 163.1° +6.0° 1955,7 480,5 1 33.4°N 16.8°E 135 0.0° 3798 Sun 11:56:00 167.9° +1.7° 2349,7 480,5 1 29.6°N 15.8°E 138 0.0° 3798 Sun 13:20:00 357.7° +3.8° 2186,3 480,4 1 67.8°N 9.2°E 110 0.0° 3799 Sun 13:21:00 351.4° +8.2° 1811,5 480,5 1 64.2°N 5.9°E 113 0.0° 3799 Sun 13:22:00 341.6° +13.6° 1473,2 480,5 1 60.5°N 3.4°E 115 0.0° 3799 Sun 13:23:00 325.8° +19.4° 1204,7 480,5 1 56.8°N 1.3°E 118 0.0° 3799 Sun 13:24:00 302.2° +23.6° 1061,8 480,5 1 53.1°N 0.4°W 121 0.0° 3799 Sun 13:25:00 275.4° +22.4° 1095,5 480,5 1 49.4°N 1.9°W 123 0.0° 3799 Sun 13:26:00 254.7° +17.1° 1291,9 480,5 1 45.6°N 3.3°W 126 0.0° 3799 Sun 13:27:00 241.5° +11.3° 1591,2 480,5 1 41.8°N 4.5°W 129 0.0° 3799 Sun 13:28:00 233.1° +6.2° 1945,4 480,5 1 38.1°N 5.5°W 132 0.0° 3799 Sun 13:29:00 227.6° +2.0° 2328,3 480,5 1 34.3°N 6.6°W 134 0.0° 3799 Sun 14:55:00 327.5° +0.4° 2521,6 480,4 1 65.1°N 16.9°W 112 0.0° 3800 Sun 14:56:00 317.0° +1.1° 2453 480,5 1 61.5°N 19.6°W 115 0.0° 3800 Sun 14:57:00 306.2° +0.9° 2461,7 480,5 1 57.8°N 21.7°W 117 0.0° 3800 Sun 14:58:00 295.9° +0.1° 2547 480,5 1 54.0°N 23.6°W 120 0.0° 3800 Sun 20:57:00 59.4° +0.4° 2520,3 479,7 1 55.8°N 45.3°E 72 0.0° 3804 Sun 20:58:00 48.9° +0.9° 2467 479,8 1 59.5°N 43.4°E 75 0.0° 3804 Sun
  • 7.
    20:59:00 38.3° +0.7°2491 479,8 1 63.1°N 41.0°E 77 0.0° 3804 Sun 22:26:00 129.4° +3.6° 2168,1 479,3 1 36.1°N 28.7°E 58 0.0° 3805 Eclipse 22:27:00 122.7° +8.1° 1797,7 479,4 1 39.8°N 27.6°E 61 0.0° 3805 Eclipse 22:28:00 112.5° +13.4° 1466,2 479,5 1 43.6°N 26.5°E 63 0.0° 3805 Eclipse 22:29:00 96.3° +19.1° 1208,1 479,5 1 47.3°N 25.2°E 66 0.0° 3805 Eclipse 22:30:00 72.7° +22.9° 1079 479,6 1 51.1°N 23.8°E 69 0.0° 3805 Visible 22:31:00 46.7° +21.6° 1125,1 479,7 1 54.8°N 22.2°E 71 0.0° 3805 Visible 22:32:00 26.8° +16.5° 1327,9 479,7 1 58.5°N 20.3°E 74 0.0° 3805 Visible 22:33:00 14.0° +10.9° 1629,5 479,8 1 62.2°N 18.1°E 77 0.0° 3805 Visible 22:34:00 5.9° +6.0° 1984,2 479,9 1 65.9°N 15.2°E 80 0.0° 3805 Visible 22:35:00 0.4° +1.9° 2367,1 479,9 1 69.5°N 11.5°E 82 0.0° 3805 Visible 23:59:00 193.1° +3.6° 2158,9 479,3 1 31.3°N 6.3°E 55 0.0° 3806 Eclipse QUBE position on Donnerstag, 24. April 2025 (Local) from Sternwarte Nbg. 00:00:00 198.7° +8.4° 1770,4 479,3 1 35.1°N 5.4°E 57 0.0° 3806 Eclipse 00:01:00 207.5° +14.4° 1409,5 479,4 1 38.9°N 4.3°E 60 0.0° 3806 Eclipse 00:02:00 222.4° +21.9° 1106,1 479,5 1 42.6°N 3.2°E 63 0.0° 3806 Eclipse 00:03:00 248.0° +28.8° 920,4 479,5 1 46.4°N 2.0°E 65 0.0° 3806 Eclipse 00:04:00 281.1° +28.6° 926,8 479,6 1 50.1°N 0.6°E 68 0.0° 3806 Eclipse 00:05:00 306.2° +21.7° 1121,9 479,7 1 53.9°N 0.9°W 71 0.0° 3806 Visible 00:06:00 320.6° +14.3° 1429,7 479,7 1 57.6°N 2.7°W 74 0.0° 3806 Visible 00:07:00 329.2° +8.5° 1791,9 479,8 1 61.3°N 4.9°W 76 0.0° 3806 Visible 00:08:00 334.7° +3.8° 2180,3 479,8 1 64.9°N 7.5°W 79 0.0° 3806 Visible 01:38:00 282.7° +0.1° 2546,8 479,6 1 49.2°N 22.6°W 68 0.0° 3807 Eclipse 11:20:00 29.2° +0.2° 2543,7 480,4 1 66.2°N 37.8°E 113 0.0° 3813 Sun 11:21:00 35.6° +3.7° 2192 480,4 1 62.6°N 34.9°E 116 0.0° 3813 Sun 11:22:00 44.3° +7.4° 1872 480,4 1 58.9°N 32.6°E 119 0.0° 3813 Sun 11:23:00 56.3° +11.2° 1604,9 480,4 1 55.2°N 30.6°E 122 0.0° 3813 Sun 11:24:00 72.5° +14.4° 1422,3 480,4 1 51.4°N 29.0°E 124 0.0° 3813 Sun 11:25:00 92.0° +15.6° 1359,9 480,4 1 47.7°N 27.6°E 127 0.0° 3813 Sun 11:26:00 111.4° +14.1° 1434,1 480,4 1 43.9°N 26.3°E 130 0.0° 3813 Sun 11:27:00 127.2° +10.7° 1626,1 480,4 1 40.2°N 25.2°E 132 0.0° 3813 Sun 11:28:00 138.8° +6.8° 1899,9 480,4 1 36.4°N 24.1°E 135 0.0° 3813 Sun 11:29:00 147.2° +3.0° 2224,9 480,4 1 32.6°N 23.1°E 138 0.0° 3813 Sun
  • 8.
    12:53:00 7.2° +0.3°2539,8 480,3 1 70.7°N 19.1°E 110 0.0° 3814 Sun 12:54:00 5.0° +4.5° 2120,1 480,3 1 67.1°N 15.1°E 113 0.0° 3814 Sun 12:55:00 1.6° +9.7° 1708,1 480,4 1 63.5°N 12.0°E 116 0.0° 3814 Sun 12:56:00 355.7° +16.8° 1313,6 480,4 1 59.8°N 9.5°E 118 0.0° 3814 Sun 12:57:00 343.8° +27.3° 961,6 480,4 1 56.1°N 7.5°E 121 0.0° 3814 Sun 12:58:00 314.9° +41.0° 720,1 480,4 1 52.4°N 5.8°E 124 0.0° 3814 Sun 12:59:00 264.3° +41.4° 713,3 480,4 1 48.6°N 4.4°E 126 0.0° 3814 Sun 13:00:00 234.3° +27.7° 946,4 480,4 1 44.9°N 3.1°E 129 0.0° 3814 Sun 13:01:00 221.9° +16.9° 1295,2 480,4 1 41.1°N 1.9°E 132 0.0° 3814 Sun 13:02:00 215.8° +9.7° 1688,4 480,4 1 37.4°N 0.8°E 135 0.0° 3814 Sun 13:03:00 212.3° +4.4° 2099,9 480,4 1 33.6°N 0.2°W 137 0.0° 3814 Sun 13:04:00 210.0° +0.1° 2519,4 480,4 1 29.8°N 1.1°W 140 0.0° 3814 Sun 14:28:00 340.4° +1.1° 2449,7 480,3 1 68.0°N 7.6°W 112 0.0° 3815 Sun 14:29:00 330.4° +3.1° 2249,6 480,3 1 64.4°N 10.9°W 115 0.0° 3815 Sun 14:30:00 318.8° +4.4° 2122,9 480,4 1 60.7°N 13.5°W 118 0.0° 3815 Sun 14:31:00 306.2° +4.8° 2083,7 480,4 1 57.0°N 15.6°W 120 0.0° 3815 Sun 14:32:00 293.8° +4.2° 2136,9 480,4 1 53.3°N 17.3°W 123 0.0° 3815 Sun 14:33:00 282.4° +2.7° 2275,6 480,4 1 49.6°N 18.8°W 126 0.0° 3815 Sun 14:34:00 272.7° +0.6° 2485 480,4 1 45.8°N 20.2°W 129 0.0° 3815 Sun 22:00:00 116.7° +0.4° 2491,4 479,3 1 36.8°N 35.0°E 61 0.0° 3820 Eclipse 22:01:00 109.7° +3.8° 2153,3 479,4 1 40.6°N 34.0°E 64 0.0° 3820 Eclipse 22:02:00 100.2° +7.4° 1857,2 479,4 1 44.4°N 32.8°E 66 0.0° 3820 Eclipse 22:03:00 87.2° +10.7° 1627,8 479,5 1 48.1°N 31.5°E 69 0.0° 3820 Eclipse 22:04:00 70.7° +13.0° 1497,4 479,6 1 51.9°N 30.1°E 72 0.0° 3820 Visible 22:05:00 52.5° +13.1° 1493,1 479,6 1 55.6°N 28.4°E 74 0.0° 3820 Visible 22:06:00 35.8° +11.1° 1615,9 479,7 1 59.3°N 26.5°E 77 0.0° 3820 Visible 22:07:00 22.6° +7.8° 1840,2 479,7 1 63.0°N 24.1°E 80 0.0° 3820 Visible 22:08:00 12.9° +4.3° 2133,3 479,8 1 66.6°N 21.1°E 83 0.0° 3820 Visible 22:09:00 5.7° +0.9° 2469,9 479,9 1 70.2°N 17.2°E 85 0.0° 3820 Visible 23:32:00 173.9° +0.6° 2460,8 479,1 1 28.3°N 13.6°E 55 0.0° 3821 Eclipse 23:33:00 175.5° +5.0° 2036,7 479,2 1 32.1°N 12.7°E 58 0.0° 3821 Eclipse 23:34:00 177.9° +10.7° 1618 479,3 1 35.9°N 11.7°E 60 0.0° 3821 Eclipse 23:35:00 182.0° +18.8° 1213 479,3 1 39.7°N 10.7°E 63 0.0° 3821 Eclipse
  • 9.
    23:36:00 191.0° +32.4°844,6 479,4 1 43.4°N 9.6°E 66 0.0° 3821 Eclipse 23:37:00 222.5° +55.0° 589,2 479,5 1 47.2°N 8.3°E 68 0.0° 3821 Eclipse 23:38:00 302.7° +52.0° 611,8 479,5 1 50.9°N 6.9°E 71 0.0° 3821 Visible 23:39:00 328.5° +30.4° 891,2 479,6 1 54.6°N 5.3°E 74 0.0° 3821 Visible 23:40:00 336.5° +17.9° 1266,8 479,7 1 58.4°N 3.4°E 77 0.0° 3821 Visible 23:41:00 340.3° +10.2° 1673,9 479,7 1 62.0°N 1.2°E 79 0.0° 3821 Visible 23:42:00 342.6° +4.8° 2092,9 479,8 1 65.7°N 1.6°W 82 0.0° 3821 Visible 23:43:00 344.2° +0.5° 2516,4 479,8 1 69.3°N 5.3°W 85 0.0° 3821 Visible QUBE position on Freitag, 25. April 2025 (Local) from Sternwarte Nbg. 01:09:00 247.0° +1.9° 2340,8 479,3 1 38.7°N 12.6°W 63 0.0° 3822 Eclipse 01:10:00 257.8° +3.6° 2177,3 479,4 1 42.5°N 13.7°W 65 0.0° 3822 Eclipse 01:11:00 270.0° +4.6° 2089,7 479,5 1 46.2°N 14.9°W 68 0.0° 3822 Eclipse 01:12:00 282.7° +4.7° 2087,7 479,5 1 50.0°N 16.3°W 71 0.0° 3822 Eclipse 01:13:00 294.9° +3.8° 2171,3 479,6 1 53.7°N 17.8°W 73 0.0° 3822 Visible 01:14:00 305.9° +2.2° 2330,8 479,6 1 57.4°N 19.6°W 76 0.0° 3822 Visible 01:15:00 315.2° +0.1° 2551,4 479,7 1 61.1°N 21.8°W 79 0.0° 3822 Visible 10:55:00 41.8° +1.4° 2420,1 480,3 1 61.7°N 40.9°E 119 0.0° 3828 Sun 10:56:00 51.1° +3.9° 2163,7 480,3 1 58.0°N 38.7°E 122 0.0° 3828 Sun 10:57:00 62.5° +6.1° 1967 480,3 1 54.3°N 36.8°E 125 0.0° 3828 Sun 10:58:00 76.0° +7.6° 1850,5 480,3 1 50.6°N 35.2°E 127 0.0° 3828 Sun 10:59:00 90.5° +7.8° 1830,2 480,3 1 46.8°N 33.9°E 130 0.0° 3828 Sun 11:00:00 104.5° +6.7° 1909,6 480,3 1 43.1°N 32.6°E 133 0.0° 3828 Sun 11:01:00 116.8° +4.7° 2077 480,3 1 39.3°N 31.5°E 136 0.0° 3828 Sun 11:02:00 126.9° +2.1° 2313 480,3 1 35.6°N 30.5°E 138 0.0° 3828 Sun 12:27:00 12.7° +0.4° 2524,1 480,2 1 69.9°N 24.7°E 113 0.0° 3829 Sun 12:28:00 12.9° +4.7° 2096,6 480,2 1 66.3°N 20.9°E 116 0.0° 3829 Sun 12:29:00 13.2° +10.2° 1672,2 480,3 1 62.6°N 17.9°E 119 0.0° 3829 Sun 12:30:00 13.4° +18.1° 1256,6 480,3 1 59.0°N 15.6°E 121 0.0° 3829 Sun 12:31:00 13.8° +31.7° 866,4 480,3 1 55.3°N 13.7°E 124 0.0° 3829 Sun 12:32:00 14.6° +60.4° 561,1 480,3 1 51.5°N 12.0°E 127 0.0° 3829 Sun 12:33:00 192.4° +69.4° 522,9 480,3 1 47.8°N 10.6°E 130 0.0° 3829 Sun 12:34:00 193.6° +35.5° 791,9 480,3 1 44.0°N 9.4°E 132 0.0° 3829 Sun 12:35:00 193.9° +20.0° 1172,3 480,3 1 40.3°N 8.2°E 135 0.0° 3829 Sun
  • 10.
    12:36:00 194.2° +11.3°1584,8 480,3 1 36.5°N 7.2°E 138 0.0° 3829 Sun 12:37:00 194.4° +5.4° 2008,6 480,2 1 32.7°N 6.2°E 140 0.0° 3829 Sun 12:38:00 194.6° +0.9° 2436,3 480,2 1 29.0°N 5.3°E 143 0.0° 3829 Sun 14:01:00 352.2° +0.2° 2555,7 480,2 1 70.8°N 2.3°E 113 0.0° 3830 Sun 14:02:00 344.6° +3.1° 2245,2 480,2 1 67.2°N 1.9°W 115 0.0° 3830 Sun 14:03:00 334.6° +6.0° 1983,6 480,2 1 63.6°N 5.0°W 118 0.0° 3830 Sun 14:04:00 322.0° +8.4° 1793,7 480,3 1 59.9°N 7.4°W 121 0.0° 3830 Sun 14:05:00 307.0° +9.7° 1700,5 480,3 1 56.2°N 9.4°W 124 0.0° 3830 Sun 14:06:00 291.3° +9.4° 1720,3 480,3 1 52.5°N 11.1°W 126 0.0° 3830 Sun 14:07:00 277.0° +7.6° 1849,2 480,3 1 48.7°N 12.6°W 129 0.0° 3830 Sun 14:08:00 265.3° +4.9° 2066,4 480,3 1 45.0°N 13.9°W 132 0.0° 3830 Sun 14:09:00 256.2° +1.9° 2346,5 480,3 1 41.2°N 15.1°W 134 0.0° 3830 Sun 21:35:00 99.8° +0.1° 2538,9 479,3 1 41.5°N 40.3°E 67 0.0° 3835 Eclipse 21:36:00 91.3° +2.7° 2266,7 479,4 1 45.3°N 39.1°E 69 0.0° 3835 Eclipse 21:37:00 80.7° +5.1° 2052,5 479,4 1 49.0°N 37.8°E 72 0.0° 3835 Eclipse 21:38:00 67.9° +6.7° 1917,1 479,5 1 52.8°N 36.3°E 75 0.0° 3835 Visible 21:39:00 53.9° +7.3° 1878,5 479,6 1 56.5°N 34.6°E 78 0.0° 3835 Visible 21:40:00 40.1° +6.5° 1942,5 479,6 1 60.2°N 32.5°E 80 0.0° 3835 Visible 21:41:00 27.9° +4.7° 2099,7 479,7 1 63.9°N 30.0°E 83 0.0° 3835 Visible 21:42:00 17.8° +2.3° 2330,7 479,7 1 67.5°N 26.8°E 86 0.0° 3835 Visible 23:06:00 158.1° +0.5° 2470,4 479,1 1 29.3°N 20.0°E 58 0.0° 3836 Eclipse 23:07:00 157.1° +4.9° 2044,1 479,2 1 33.0°N 19.0°E 61 0.0° 3836 Eclipse 23:08:00 155.4° +10.6° 1622,5 479,2 1 36.8°N 18.0°E 63 0.0° 3836 Eclipse 23:09:00 152.3° +18.8° 1213,4 479,3 1 40.6°N 17.0°E 66 0.0° 3836 Eclipse 23:10:00 145.1° +32.7° 838,7 479,4 1 44.3°N 15.8°E 69 0.0° 3836 Eclipse 23:11:00 116.5° +57.6° 573,4 479,4 1 48.1°N 14.5°E 72 0.0° 3836 Eclipse 23:12:00 25.7° +54.9° 591,7 479,5 1 51.8°N 13.1°E 74 0.0° 3836 Visible 23:13:00 1.7° +31.1° 876 479,5 1 55.6°N 11.4°E 77 0.0° 3836 Visible 23:14:00 355.2° +18.1° 1256,3 479,6 1 59.3°N 9.5°E 80 0.0° 3836 Visible 23:15:00 352.4° +10.3° 1667,1 479,7 1 62.9°N 7.1°E 82 0.0° 3836 Visible 23:16:00 350.9° +4.8° 2089,2 479,7 1 66.6°N 4.1°E 85 0.0° 3836 Visible 23:17:00 350.0° +0.5° 2515,4 479,8 1 70.2°N 0.2°E 88 0.0° 3836 Visible QUBE position on Samstag, 26. April 2025 (Local) from Sternwarte Nbg.
  • 11.
    00:41:00 219.6° +1.0°2422,6 479,1 1 32.1°N 4.3°W 60 0.0° 3837 Eclipse 00:42:00 227.8° +4.1° 2119,3 479,2 1 35.9°N 5.3°W 63 0.0° 3837 Eclipse 00:43:00 238.6° +7.2° 1866,4 479,3 1 39.6°N 6.3°W 66 0.0° 3837 Eclipse 00:44:00 252.3° +9.7° 1687,8 479,3 1 43.4°N 7.4°W 68 0.0° 3837 Eclipse 00:45:00 268.3° +11.0° 1609,1 479,4 1 47.2°N 8.7°W 71 0.0° 3837 Eclipse 00:46:00 284.9° +10.5° 1645 479,5 1 50.9°N 10.1°W 74 0.0° 3837 Visible 00:47:00 299.6° +8.4° 1788,1 479,5 1 54.6°N 11.7°W 77 0.0° 3837 Visible 00:48:00 311.5° +5.6° 2015,1 479,6 1 58.3°N 13.5°W 79 0.0° 3837 Visible 00:49:00 320.7° +2.5° 2300,3 479,7 1 62.0°N 15.8°W 82 0.0° 3837 Visible 10:30:00 55.8° +0.6° 2495,1 480,2 1 57.1°N 44.7°E 125 0.0° 3843 Sun 10:31:00 66.2° +1.8° 2362,4 480,2 1 53.3°N 43.0°E 128 0.0° 3843 Sun 10:32:00 77.4° +2.4° 2300,8 480,2 1 49.6°N 41.4°E 131 0.0° 3843 Sun 10:33:00 88.9° +2.2° 2316,4 480,2 1 45.9°N 40.1°E 133 0.0° 3843 Sun 10:34:00 99.9° +1.3° 2407,7 480,1 1 42.1°N 38.9°E 136 0.0° 3843 Sun 12:01:00 18.4° +0.3° 2538,5 480,1 1 68.9°N 30.1°E 116 0.0° 3844 Sun 12:02:00 21.2° +4.4° 2123,1 480,1 1 65.3°N 26.6°E 119 0.0° 3844 Sun 12:03:00 25.1° +9.6° 1715,4 480,1 1 61.7°N 23.8°E 122 0.0° 3844 Sun 12:04:00 31.5° +16.5° 1325,4 480,2 1 58.0°N 21.6°E 125 0.0° 3844 Sun 12:05:00 43.9° +26.7° 977,3 480,2 1 54.3°N 19.8°E 127 0.0° 3844 Sun 12:06:00 72.1° +39.6° 736,4 480,2 1 50.5°N 18.2°E 130 0.0° 3844 Sun 12:07:00 121.0° +40.6° 721,2 480,1 1 46.8°N 16.8°E 133 0.0° 3844 Sun 12:08:00 151.9° +27.8° 943 480,1 1 43.0°N 15.6°E 135 0.0° 3844 Sun 12:09:00 165.2° +17.1° 1283,8 480,1 1 39.3°N 14.5°E 138 0.0° 3844 Sun 12:10:00 172.0° +9.9° 1671,4 480,1 1 35.5°N 13.5°E 141 0.0° 3844 Sun 12:11:00 176.1° +4.6° 2078,7 480,1 1 31.7°N 12.5°E 144 0.0° 3844 Sun 12:12:00 178.8° +0.3° 2494,7 480,1 1 27.9°N 11.6°E 146 0.0° 3844 Sun 13:35:00 356.6° +1.5° 2413,5 480,1 1 69.8°N 7.6°E 116 0.0° 3845 Sun 13:36:00 350.1° +5.2° 2054,3 480,1 1 66.2°N 3.8°E 119 0.0° 3845 Sun 13:37:00 340.9° +9.3° 1732,1 480,1 1 62.6°N 0.9°E 121 0.0° 3845 Sun 13:38:00 327.6° +13.5° 1473,2 480,1 1 58.9°N 1.4°W 124 0.0° 3845 Sun 13:39:00 309.3° +16.7° 1316,9 480,1 1 55.2°N 3.3°W 127 0.0° 3845 Sun 13:40:00 288.1° +17.0° 1301,5 480,1 1 51.5°N 5.0°W 130 0.0° 3845 Sun 13:41:00 268.9° +14.2° 1431,5 480,1 1 47.7°N 6.4°W 132 0.0° 3845 Sun
  • 12.
    13:42:00 254.6° +10.0°1672,8 480,1 1 44.0°N 7.7°W 135 0.0° 3845 Sun 13:43:00 244.6° +5.8° 1984,2 480,1 1 40.2°N 8.8°W 138 0.0° 3845 Sun 13:44:00 237.7° +1.9° 2336,9 480,1 1 36.4°N 9.9°W 140 0.0° 3845 Sun 21:11:00 75.2° +0.8° 2468,1 479,4 1 50.1°N 43.9°E 75 0.0° 3850 Eclipse 21:12:00 64.8° +2.2° 2325,3 479,5 1 53.8°N 42.4°E 78 0.0° 3850 Sun 21:13:00 53.4° +2.9° 2260 479,5 1 57.5°N 40.6°E 81 0.0° 3850 Sun 21:14:00 41.7° +2.7° 2279,3 479,6 1 61.2°N 38.4°E 84 0.0° 3850 Sun 21:15:00 30.7° +1.7° 2381,2 479,6 1 64.9°N 35.8°E 86 0.0° 3850 Sun 21:16:00 20.9° +0.1° 2555,3 479,7 1 68.5°N 32.4°E 89 0.0° 3850 Sun 22:41:00 140.0° +3.5° 2174,2 479,1 1 34.1°N 25.3°E 64 0.0° 3851 Eclipse 22:42:00 135.2° +8.4° 1775,8 479,2 1 37.9°N 24.3°E 67 0.0° 3851 Eclipse 22:43:00 127.4° +14.6° 1401,9 479,2 1 41.6°N 23.2°E 69 0.0° 3851 Eclipse 22:44:00 113.5° +22.7° 1081 479,3 1 45.4°N 22.1°E 72 0.0° 3851 Eclipse 22:45:00 87.5° +31.0° 875,5 479,4 1 49.2°N 20.7°E 75 0.0° 3851 Eclipse 22:46:00 51.6° +31.2° 872,6 479,4 1 52.9°N 19.2°E 78 0.0° 3851 Visible 22:47:00 25.2° +23.2° 1073,8 479,5 1 56.6°N 17.5°E 80 0.0° 3851 Visible 22:48:00 11.0° +15.1° 1392,7 479,6 1 60.3°N 15.4°E 83 0.0° 3851 Visible 22:49:00 3.1° +8.9° 1765,8 479,6 1 64.0°N 12.9°E 86 0.0° 3851 Visible 22:50:00 358.3° +4.0° 2163,9 479,7 1 67.6°N 9.7°E 88 0.0° 3851 Visible QUBE position on Sonntag, 27. April 2025 (Local) from Sternwarte Nbg. 00:14:00 200.4° +0.8° 2437,5 479 1 29.4°N 2.9°E 61 0.0° 3852 Eclipse 00:15:00 206.2° +4.7° 2064,4 479,1 1 33.2°N 2.0°E 63 0.0° 3852 Eclipse 00:16:00 214.4° +9.2° 1719 479,2 1 37.0°N 1.0°E 66 0.0° 3852 Eclipse 00:17:00 226.7° +14.2° 1423,6 479,2 1 40.7°N 0.0°W 69 0.0° 3852 Eclipse 00:18:00 244.9° +18.8° 1216,8 479,3 1 44.5°N 1.2°W 72 0.0° 3852 Eclipse 00:19:00 268.5° +20.8° 1148,4 479,4 1 48.2°N 2.5°W 74 0.0° 3852 Eclipse 00:20:00 291.5° +18.4° 1241,4 479,4 1 52.0°N 3.9°W 77 0.0° 3852 Visible 00:21:00 308.7° +13.6° 1465 479,5 1 55.7°N 5.6°W 80 0.0° 3852 Visible 00:22:00 320.3° +8.8° 1769,5 479,5 1 59.4°N 7.6°W 82 0.0° 3852 Visible 00:23:00 328.1° +4.4° 2119 479,6 1 63.1°N 10.0°W 85 0.0° 3852 Visible 00:24:00 333.7° +0.7° 2493,5 479,7 1 66.7°N 13.0°W 88 0.0° 3852 Visible 11:36:00 29.3° +3.5° 2205,3 480 1 64.2°N 32.3°E 122 0.0° 3859 Sun 11:37:00 36.1° +7.8° 1841,2 480 1 60.5°N 29.7°E 125 0.0° 3859 Sun
  • 13.
    11:38:00 46.3° +12.8°1513,3 480 1 56.8°N 27.6°E 128 0.0° 3859 Sun 11:39:00 61.8° +18.1° 1252,8 480 1 53.1°N 25.9°E 131 0.0° 3859 Sun 11:40:00 84.3° +22.0° 1109,8 480 1 49.4°N 24.4°E 133 0.0° 3859 Sun 11:41:00 109.8° +21.2° 1130,8 480 1 45.6°N 23.0°E 136 0.0° 3859 Sun 11:42:00 130.6° +16.6° 1308 480 1 41.9°N 21.8°E 139 0.0° 3859 Sun 11:43:00 144.6° +11.2° 1589,6 480 1 38.1°N 20.8°E 141 0.0° 3859 Sun 11:44:00 153.7° +6.3° 1929,6 480 1 34.3°N 19.7°E 144 0.0° 3859 Sun 11:45:00 159.9° +2.2° 2301,1 479,9 1 30.6°N 18.8°E 147 0.0° 3859 Sun 13:09:00 2.0° +2.7° 2286,4 480 1 68.7°N 12.9°E 119 0.0° 3860 Sun 13:10:00 357.4° +7.2° 1887,8 480 1 65.1°N 9.4°E 122 0.0° 3860 Sun 13:11:00 350.2° +12.9° 1511,5 480 1 61.4°N 6.7°E 125 0.0° 3860 Sun 13:12:00 337.9° +20.1° 1181,4 480 1 57.8°N 4.5°E 127 0.0° 3860 Sun 13:13:00 315.6° +27.8° 949,3 480 1 54.0°N 2.7°E 130 0.0° 3860 Sun 13:14:00 282.8° +30.0° 896,2 480 1 50.3°N 1.2°E 133 0.0° 3860 Sun 13:15:00 254.5° +23.8° 1049,8 480 1 46.6°N 0.2°W 136 0.0° 3860 Sun 13:16:00 238.0° +15.9° 1340,3 480 1 42.8°N 1.4°W 138 0.0° 3860 Sun 13:17:00 228.7° +9.5° 1698 480 1 39.0°N 2.5°W 141 0.0° 3860 Sun 13:18:00 223.0° +4.5° 2087,3 480 1 35.3°N 3.6°W 144 0.0° 3860 Sun 13:19:00 219.2° +0.4° 2492,1 479,9 1 31.5°N 4.5°W 146 0.0° 3860 Sun 14:44:00 331.9° +1.1° 2452,8 480 1 66.0°N 13.4°W 121 0.0° 3861 Sun 14:45:00 321.2° +2.2° 2336,1 480 1 62.3°N 16.2°W 124 0.0° 3861 Sun 14:46:00 309.8° +2.5° 2298,9 480 1 58.7°N 18.5°W 127 0.0° 3861 Sun 14:47:00 298.5° +2.0° 2345 480 1 54.9°N 20.4°W 130 0.0° 3861 Sun 14:48:00 288.0° +0.8° 2469,4 480 1 51.2°N 22.0°W 132 0.0° 3861 Sun 22:15:00 125.2° +1.3° 2399,6 479,1 1 35.3°N 31.6°E 67 0.0° 3866 Eclipse 22:16:00 118.9° +5.1° 2035,6 479,1 1 39.1°N 30.6°E 70 0.0° 3866 Eclipse 22:17:00 109.9° +9.4° 1706,8 479,2 1 42.9°N 29.5°E 73 0.0° 3866 Eclipse 22:18:00 96.6° +14.0° 1439,2 479,3 1 46.6°N 28.2°E 75 0.0° 3866 Eclipse 22:19:00 77.9° +17.5° 1274 479,3 1 50.4°N 26.9°E 78 0.0° 3866 Visible 22:20:00 55.9° +18.1° 1253,2 479,4 1 54.1°N 25.3°E 81 0.0° 3866 Visible 22:21:00 35.9° +15.3° 1383,4 479,4 1 57.8°N 23.5°E 84 0.0° 3866 Visible 22:22:00 21.2° +10.9° 1628,5 479,5 1 61.5°N 21.3°E 86 0.0° 3866 Visible 22:23:00 11.2° +6.5° 1944,5 479,6 1 65.2°N 18.6°E 89 0.0° 3866 Visible
  • 14.
    22:24:00 4.3° +2.5°2301,5 479,6 1 68.8°N 15.1°E 92 0.0° 3866 Visible 23:48:00 185.0° +3.2° 2201,5 479 1 30.6°N 9.2°E 64 0.0° 3867 Eclipse 23:49:00 189.0° +8.1° 1794,3 479,1 1 34.4°N 8.3°E 67 0.0° 3867 Eclipse 23:50:00 195.3° +14.5° 1404,5 479,1 1 38.2°N 7.3°E 70 0.0° 3867 Eclipse 23:51:00 206.9° +23.5° 1053,9 479,2 1 41.9°N 6.2°E 72 0.0° 3867 Eclipse 23:52:00 231.4° +35.1° 798,4 479,2 1 45.7°N 5.0°E 75 0.0° 3867 Eclipse 23:53:00 274.8° +38.8° 744,8 479,3 1 49.5°N 3.7°E 78 0.0° 3867 Eclipse 23:54:00 308.3° +28.6° 928,7 479,4 1 53.2°N 2.1°E 80 0.0° 3867 Visible 23:55:00 324.0° +18.3° 1248,5 479,4 1 56.9°N 0.4°E 83 0.0° 3867 Visible 23:56:00 332.1° +10.9° 1625 479,5 1 60.6°N 1.7°W 86 0.0° 3867 Visible 23:57:00 337.0° +5.5° 2025,4 479,5 1 64.3°N 4.3°W 89 0.0° 3867 Visible 23:58:00 340.2° +1.2° 2436,6 479,6 1 67.9°N 7.5°W 91 0.0° 3867 Visible QUBE position on Montag, 28. April 2025 (Local) from Sternwarte Nbg. 01:25:00 258.0° +0.4° 2499,2 479,2 1 41.0°N 17.1°W 72 0.0° 3868 Eclipse 01:26:00 268.5° +1.5° 2388,8 479,2 1 44.8°N 18.3°W 74 0.0° 3868 Eclipse 01:27:00 279.6° +1.9° 2350,5 479,3 1 48.5°N 19.6°W 77 0.0° 3868 Eclipse 01:28:00 290.8° +1.6° 2387,8 479,3 1 52.3°N 21.0°W 80 0.0° 3868 Visible 01:29:00 301.3° +0.6° 2497 479,4 1 56.0°N 22.7°W 83 0.0° 3868 Visible