Varietats
d'espècies de
fruiters que
disposen de
Protecció
d'Obtenció
Vegetal
(Actualitzat amb el butlletí de l'OCVV 2/2016 de 15/4/2016)
Aquest llistat només inclou les varietats de fruiters de les quals s'ha publicat la concessió de la protecció d'acord amb
el Reglament europeu 2100/94 o la llei espanyola 3/2000.
D'acord amb l'article 95 del reglament comunitari 2100/94 i l'article 18 de la llei 3/2000, les sol·licituds de varietats
publicades en els butlletins, disposen de la protecció provisional que cubreix el període que va des de la publicació al
butlletí fins la seva protecció.
Font: OCVV: Oficina Comunitària de Varietats Vegetals (www.cpvo.europa.eu)
OEVV: Oficina Espanyola de Varietats Vegetals (www.magrama.gob.es)
Llistat de Proteccions 2016_2
(Actualitzat amb el butlletí de l'OEVV 2-2016 de 4/4/2016)
Avís legal: Aquest document està subjecte a una llicència Reconeixement-NoComercial 4.0 Internacional (CC BY-NC 4.0) de
Creative Commons. Se'n permet la reproducció, distribució, comunicació pública i la generació d'obres derivades que estiguin
subjectes a la mateixa llicència. Carles Folch i Castell, 2003-2016 [cfolchcastell@gmail.com]
http://creativecommons.org/licenses/by-nc/4.0/deed.ca
Cireres al mercat de la Boqueria de Barclona - 2 abril 2016 - Foto @cfolch
17/04/2016 Pàgina 1 de 74
Nous TÍTOLS
Baixa TÍTOLS
Nª de Títols per grup de espècies
Esp botTip. exp. Nº TítolDenominació Data FiNom Comercial
Fragaria x ananassa Duch.euro 42317NIEVA FNM 31/12/2041
Fragaria x ananassa Duch.euro 42546PINK ROSA 31/12/2041
Fragaria x ananassa Duch.euro 42316RABIDA FNM 31/12/2041
Prunus × schmittii Rehdereuro 42315GI 31817 31/12/2046
Prunus armeniaca L.euro 42312APRINEW 31/12/2046
Prunus canescens Bois × P. cerasus L.euro 42314GI 14813 31/12/2046
Prunus domestica L.euro 42548BLUE MOON 31/12/2046
Prunus domestica L.euro 42549VANDOR 31/12/2046
Prunus persica (L.) Batscheuro 42619PLAGOLD 22 31/12/2046
Prunus persica (L.) Batscheuro 42573PRO 28 31/12/2043EXTREME 28
Prunus persica (L.) Batscheuro 42395SUNNEYY 31/12/2046amarela 1
Prunus salicina Lindl.euro 42547SONGREEN 50 31/12/2046
Prunus salicina Lindl.euro 42350SWEET IRIDIS 1 31/12/2046
Prunus salicina Lindl.euro 42351SWEET IRIDIS 2 31/12/2046
Prunus salicina Lindl.euro 42550SWEET IRIDIS 3 31/12/2046
Rubus idaeus L.euro 42313WAKEFIELD 31/12/2046
Vitis L.euro 42311SHEEGENE 26 31/12/2046
Esp botTip. exp. Nº TítolDenominació Data CancelNom Comercial
Fragaria x ananassa Duch.esp 002632A7-01-3 15/01/2016
Fragaria x ananassa Duch.esp 002633A7-88N-11 15/01/2016
Fragaria x ananassa Duch.euro 23761RECORD 13/02/2016
Malus domestica Borkh.euro116 1290DALIEST 02/02/2016ELISTA*
Malus domestica Borkh.euro 29527DALIGRIS 02/02/2016
Malus domestica Borkh.euro 13782DALINIP 02/02/2016
Malus floribunda Siebold ex Van Houtteeuro 41062VIOLA 05/01/2016
Prunus armeniaca L.euro 30100IPS537 13/02/2016
Prunus persica (L.) Batscheuro 17623CIVVS305 05/01/2016Velvetsister (D 93
3/5)
Prunus persica (L.) Batscheuro 36965CYBELA 05/01/2016cybela
Prunus persica (L.) Batscheuro 35211FLAMINA 23/02/2016
Prunus persica (L.) Batscheuro116 7726RED MOON 05/01/2016RED MOON
Prunus persica (L.) Batscheuro 35213ZAI801NJ 13/02/2016ZAI801NJ
Pyrus communis L.euro 24099BRONCET 22/02/2016
Pyrus communis L.euro 24098JACO 22/02/2016
17/04/2016 Pàgina 2 de 74
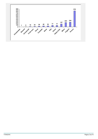
1 8 19 25 39 48 52 77 77
147
224 244
816
0
100
200
300
400
500
600
700
800
900
O
rnam
entals
B
ananer
O
rnam
entalFruits
secs
PyrusForestals
A
ltres
Vitis
C
ítricsPetits
fruits
M
alus
Fragaria
Prunus
17/04/2016 Pàgina 3 de 74
DenominacióNº Exp. Nom comercial Codi / Titular Butlletí
Nº POV
Inici Protecció Fi Referència Obtentor /
Actinidia chinensis Planch.
Especie Actinidia chinensis Planch.
DenominacióNº Exp. Nom comercial Codi / Titular Butlletí
Nº POV
Inici Protecció Fi Referència Obtentor /
KIWI
ZESH0042010/0377 16-01-03h. 02 05401
Zespri Group Limitedeuro
3/201437725
22/04/2014 NZ31/12/2044
ZESY0022010/0375 13-15-14g. 02 05401
Zespri Group Limitedeuro
3/201437723
22/04/2014 NZ31/12/2044
ZESY0032010/0376 51-17-29b. 97 05401
Zespri Group Limitedeuro
3/201437724
22/04/2014 NZ31/12/2044
Especie Actinidia Lindl.
DenominacióNº Exp. Nom comercial Codi / Titular Butlletí
Nº POV
Inici Protecció Fi Referència Obtentor /
KIWI
BELEN2002/0864 134.16 03895
Università degli Studi di Udineeuro
5/200823148
07/07/2008 IT31/12/2038
BOERICA2002/1852 hs 03940
Azienda Agricola Bovo Angelo dieuro
3/200924819
20/04/2009 IT31/12/2039
BOVERLIG 022002/1158 hb 03940
Azienda Agricola Bovo Angelo dieuro
2/201026756
22/02/2010 IT31/12/2040
BRUCE2009/0385 bruce 05401
Zespri Group Limitedeuro
4/201335511
03/06/2013 NZ31/12/2043
CHUHONG2008/1739 chuhong 06361
Changsha Truwind Fruit Co Ltdeuro
4/201541347
22/06/2015 CN31/12/2045
CONVI2003/1433 green star 04333
CO.N.VI. Di Spada Renato e Sereuro
4/200924923
04/05/2009 IT31/12/2038
ELEONORA2002/0735 ad 1220 05277
Vitroplant Italia SRLeuro
3/200617323
24/04/2006 IT31/12/2036
HORT16A1998/0642 hort16a 05401
Zespri Group Limitedeuro
1/200310226
18/11/2002 NZ31/12/2027
HORTGEM RUA2005/0277 e416 00915
The Horticulture & Food Researceuro
4/200924925
04/05/2009 NZ31/12/2039
HORTGEM TAHI2003/0366 k2d4 00915
The Horticulture & Food Researceuro
4/201130080
23/05/2011 NZ30/12/2041
HORTGEM TORU2005/0276 c3c3 00915
The Horticulture & Food Researceuro
4/201130083
23/05/2011 NZ31/12/2041
HORTGEM WHA2005/0278 k2e5 00915
The Horticulture & Food Researceuro
4/200924926
04/05/2009 NZ31/12/2039
JINTAO2001/1735 C6 03636
Wuhan Institute of Botanyeuro
5/200823147
07/07/2008 CN31/12/2038
SORELI2008/1319 ac 171.76 03895
Università degli Studi di UdineEURO
4/201232814
04/06/2012 IT31/12/2042
SUMMER 33732001/0159 03297
Dal Pane Vivai di Maurizio dal Paeuro
2/200616914
27/02/2006 IT31/12/2036
T 19102003/2524 tsechelidis 05670
Farmaplant SPeuro
5/200823290
21/07/2008 GR31/12/2038
TOMUA1998/0641 00915
The Horticulture & Food Researceuro
6/200311644
08/09/2003 NZ31/12/2028
Especie Citrus clementina Hort. ex Tanaka
DenominacióNº Exp. Nom comercial Codi / Titular Butlletí
Nº POV
Inici Protecció Fi Referència Obtentor /
MANDARINA CLEMENTINA
BASOL2010/0731 basol 06953
CANTERA LA TORRETA S.A.U.euro
3/201129617
18/04/2011 BASOL ES31/12/2041
BASOL20014361 ES910
Cantera La Torreta SAesp
5-2009002431
22/07/2009 BASOL ES31/12/2039
17/04/2016 Pàgina 4 de 74
DenominacióNº Exp. Nom comercial Codi / Titular Butlletí
Nº POV
Inici Protecció Fi Referència Obtentor /
Citrus clementina Hort. ex Tanaka
BEATRIZ DE ANNA19953907 beatriz ESMFAB
M. Fabra / IVIA / INIAesp
BOE-69002168
21/03/2003 BEATRIZ DE ANNA ES21/03/2023
CAPOLA19964017 ESMPOR
MªANTONIA PORCAR/G.LACOesp
BOE-69002169
21/03/2003 ES21/03/2023
CARRUQUINA20004316 avasa pri 21 ES904
A.V.A.S.A.esp
3-2013002616
06/07/2013 CARRUQUINA - AVASA PRI 21 ES31/12/2043
CLEMENALBA20054617 clementina la plana ES932
Agricola BAGU SAesp
2-2013002570
17/01/2013 ES31/12/2043
CLEMENCAR20064694 ES971
AVASA/Manuel y Vivente Ramonesp
BOE98002664
25/04/2015 ES31/12/2044
CLEMENLATE2011/2175 clemenlate 07406
Evarcit SLeuro
6/201232984
22/10/2012 ES31/12/2042
CLEMENPONS2000/1110 clemenpons 03076
Juan PONS BOLTAeuro
5/20017987
06/08/2001 CLEMENPONS ES31/12/2031
CLEMENRUBÍ2005/1035 avasa pri-23 02360
Agrupación de Viveristas de Agrieuro
2/200821770
28/01/2008 CLEMENRUBI ES31/12/2038
CLEMENSOON2009/0980 clemensoon 07042
ANECOOP S. Coop.euro
3/201027268
19/04/2010 PRENULES ES31/12/2040
CLEMENVAL20054601 avasa pri-40 ES904
A.V.A.S.A.esp
4-2012002555
28/06/2012 CLEMENVAL ES31/12/2042
CLEMENVERD20064692 01157
IVIA - Institut Valencià d'Investigesp
BOE98002665
25/04/2015 ES31/12/2044
CULTIFORT2004/1447 cultifort 04719
Sendra Rocher, Rafaeleuro
2/200924079
23/02/2009 CULTIFORT ES31/12/2039
LORETINA1998/1361 02360
Agrupación de Viveristas de Agrieuro
1/20005647
20/12/1999 LORETINA ES31/12/2029
NERO2013/0760 230c08neroaz 01157
IVIA - Institut Valencià d'Investigeuro
1/201539141
17/11/2014 ES31/12/2044
NULESSIN20014330 01157
IVIA - Institut Valencià d'Investigesp
4-2010002487
06/07/2010 ES31/12/2040
OROGRÓS2013/0892 avasa pri-26 02360
Agrupación de Viveristas de Agrieuro
6/201336431
21/10/2013 ES31/12/2043
Especie Citrus L.
DenominacióNº Exp. Nom comercial Codi / Titular Butlletí
Nº POV
Inici Protecció Fi Referència Obtentor /
MANDARINA HÍBRIDA
ALBIR20074750 IVIA-TRI8 01157
IVIA - Institut Valencià d'Investigesp
1-2014002639
27/12/2013 ES31/12/2043
ALBOREA20074746 IVIA-TRI4 01157
IVIA - Institut Valencià d'Investigesp
1-2014002640
27/12/2013 ES31/12/2043
ALKANTARA2004/0075 c 2191 04531/04532/04533
Reforgiato-Russo-Recuperoeuro
4/201232941
18/06/2012 IT31/12/2042
ALVARIÑA2006/2579 alvariña 05669
Alvaro Sanchis Sisterneseuro
6/201336207
23/09/2013 ES31/12/2043
ARCCIT16142010/1650 b17 02593
Agricultural Research Councileuro
5/201541568
20/07/2015 ZA31/12/2045
BARNFIELD LATE NAVEL1997/0274 BARNFIELD LATE NAVEL 01631
W.M & D. Barnfield Pty Ltdeuro
6/200720996
08/10/2007 BARNFIELD LATE NAVEL AU31/12/2037
CORAL20074748 IVIA-TRI6 01157
IVIA - Institut Valencià d'Investigesp
1-2016002710
13/12/2015 ES31/12/2045
EUREKA SL2006/0458 eureka seedless lemon 02496
The Agricultural Research Counceuro
2/201539503
09/02/2015 GOLDEN SEEDLESS ZA31/12/2045
GARBI2008/1610 ivia tri 1 01157
IVIA - Institut Valencià d'Investigeuro
1/201333911
17/12/2012 ES31/12/2042
LEMOX2004/0073 c 3869 04531/04532/04533
Reforgiato-Russo-Recuperoeuro
5/201130547
25/07/2011 IT31/12/2041
17/04/2016 Pàgina 5 de 74
DenominacióNº Exp. Nom comercial Codi / Titular Butlletí
Nº POV
Inici Protecció Fi Referència Obtentor /
Citrus L.
MANDALATE2004/0074 d 8811 04531/04532/04533
Reforgiato-Russo-Recuperoeuro
4/201232940
18/06/2012 IT31/12/2042
MANDANOVA SL1999/0031 nova.s.l. 02360
Agrupación de Viveristas de Agrieuro
2/201539502
09/02/2015 NOVA SL ES31/12/2045
MANDARED2004/0072 c 1732 04531/04532/04533
Reforgiato-Russo-Recuperoeuro
4/201232939
18/06/2012 IT31/12/2042
MILANA20135073 ivia man rad2 01157
IVIA - Institut Valencià d'Investigesp
1-2016002711
16/12/2015 ES31/12/2045
MISTRAL20074735 ivia-TRI3 00699/01157
INIA - IVIAesp
1-2016002709
16/12/2015 ES31/12/2045
MONCALINA20094879 ivia man rad1 01157
IVIA - Institut Valencià d'Investigesp
BOE98002666
25/04/2015 ES31/12/2044
MURTA2010/1330 mur 15 06996
Maria Consuelo Ferrer Terceroeuro
1/201539177
17/11/2014 ES31/12/2044
ORRI2004/1076 orri 01306
Agricultural Research Organisatieuro
5/201335889
29/07/2013 IL31/12/2043
QUEEN2006/0947 t-507 05449
Angel Teresa Hermanos SAeuro
1/201333910
17/12/2012 ES31/12/2042
REALE2001/0158 C5393 03296
Istituto Sperimentale per l'Agrumieuro
2/200719037
22/01/2007 IT31/12/2037
SAFOR2008/1611 ivia tri 2 01157
IVIA - Institut Valencià d'Investigeuro
1/201333912
17/12/2012 ES31/12/2042
SANDO2000/0491 sando 08262
Alcanar Verd, Cítrics i Vivers, S.Leuro
5/200925890
24/08/2009 ES31/12/2039
TANG GOLD2011/1544 uc-2005-760-1 00345
The Regents of the University ofeuro
6/201438924
24/10/2014 US31/12/2044
TANIA 4320074716 avasa pri43 ES934
IVIA / AVASAesp
BOE98002667
25/04/2015 ES31/12/2044
TANIA 4420084810 avasa pri-44 ES934
IVIA / AVASAesp
BOE98002668
25/04/2015 ES31/12/2044
TANIA 4620084776 avasa-pri 46 ES934
IVIA / AVASAesp
BOE98002669
25/04/2015 ES31/12/2044
TANIA 4720084777 avasa-pri 47 ES934
IVIA / AVASAesp
BOE98002670
25/04/2015 ES31/12/2044
TANIA 4820084778 avasa-pri 48 ES974
AVASA/IVIAesp
BOE98002671
25/04/2015 ES31/12/2044
TANIA 4920084779 avasa-pri 49 ES934
IVIA / AVASAesp
BOE98002672
25/04/2015 ES31/12/2044
TDE22003/1086 tde2 00345
The Regents of the University ofeuro
6/201028205
06/09/2010 SHASTA GOLD US31/12/2040
TDE32003/1087 tde3 00345
The Regents of the University ofeuro
6/201028206
06/09/2010 TAHOE GOLD US31/12/2040
TDE42003/1088 tde4 00345
The Regents of the University ofeuro
6/201028207
06/09/2010 YOSEMITE GOLD US31/12/2040
Especie Citrus limon (L.) Burm. f.
DenominacióNº Exp. Nom comercial Codi / Titular Butlletí
Nº POV
Inici Protecció Fi Referència Obtentor /
LLIMONER
BETERA20024400 IVIA 162 ES1001
IVIA / José Vicente Lloris Cortinaesp
5-2009002430
22/07/2009 BETERA ES31/12/2039
CHAPARRO1999/0864 chaparro 02637/01826/02638
Cons. Medio Ambiente Murcia - Ieuro
3/200821950
10/03/2008 CHAPARRO ES31/12/2038
LIDER DE CALLOSA20024401 ES914
J. Bautista Pérez Sellesesp
1-2014002638
27/12/2013 ES31/12/2043
MILENIUM20155240 Milenium ES925
Francisco Forte Salvadoresp
1-2016002706
13/12/2015 ES31/12/2045
17/04/2016 Pàgina 6 de 74
DenominacióNº Exp. Nom comercial Codi / Titular Butlletí
Nº POV
Inici Protecció Fi Referència Obtentor /
Citrus reticulata Blanco × C.sinensis (L.) Osb.
Especie Citrus reticulata Blanco × C.sinensis (L.) Osb.
DenominacióNº Exp. Nom comercial Codi / Titular Butlletí
Nº POV
Inici Protecció Fi Referència Obtentor /
MANDARINA TANGOR
MURINA20064655 ES934
IVIA / AVASAesp
BOE98002673
25/04/2015 MURINA ES31/12/2044
TANG GOLD20084821 tango ES977
Eurosemillasesp
1-2014002641
27/12/2013 ES31/12/2043
Especie Citrus sinensis (L.) Osb
DenominacióNº Exp. Nom comercial Codi / Titular Butlletí
Nº POV
Inici Protecció Fi Referència Obtentor /
TARONGER DOLÇ
BARBERINA19994268 04882
Vicente BARBER PEREZesp
5-2009002461
22/07/2009 BARBERINA ES22/07/2029
BENNY20074752 ES943
CITROGOLDesp
BOE98002684
25/04/2015 ZA31/12/2044
CAMBRIA2005/0876 cambria 05084
Stargrow Cultivar Developementeuro
3/201334256
22/04/2013 ZA31/12/2043
CHISLETT SUMMER NAVEL1998/1360 CHISLETT SUMMER NAVEL 02362
Chislett Gregoryeuro
6/200720976
08/10/2007 CHISLETT SUMMER NAVEL AU31/12/2037
GLEN ORA LATE2010/2120 za20063542 07096
Citrogold (PTY) LTD.euro
1/201539139
17/11/2014 ZA31/12/2044
M72008/2490 m 7 07757
CHISLETT DEVELOPMENTS PTeuro
5/201335894
29/07/2013 AU31/12/2043
POWELL SUMMER NAVEL1998/1359 powell summer navel 02360
Agrupación de Viveristas de Agrieuro
1/200820998
17/12/2007 POWEL SUMMER NAVEL ES31/12/2037
RICALATE1995/2568 00699/01157
INIA - IVIAeuro116
3/19971848
10/03/1997 RICALATE ES01/04/2022
ROHDE SUMMER NAVEL1997/0624 rohde summer navel 01630
Sociedade Agricola Viveiros do Feuro
6/200720997
08/10/2007 ROHDE SUMMER NAVEL PT31/12/2037
RUBY VALENCIA2010/2117 ruby valencia 07096
Citrogold (PTY) LTD.euro
1/201642014
23/11/2015 ZA31/12/2045
WITKRANS2011/1608 witkrans 07096
Citrogold (PTY) LTD.euro
1/201539140
17/11/2014 ZA31/12/2044
Especie Citrus sp. (híbrids diversos)
DenominacióNº Exp. Nom comercial Codi / Titular Butlletí
Nº POV
Inici Protecció Fi Referència Obtentor /
HÍBRIDS DIVERSOS
CLARA2001/0157 a-232 03296
Istituto Sperimentale per l'Agrumieuro
2/200719036
22/01/2007 IT31/12/2037
FORNER ALCAIDE 131999/0865 030113 01826/01157
INIA - IVIAeuro
1/200718679
20/11/2006 FORNER-ALCAIDE 13 ES31/12/2036
FORNER ALCAIDE 312007/1207 030131 01157
IVIA - Institut Valencià d'Investigeuro
6/201336208
23/09/2013 ES31/12/2043
FORNER ALCAIDE 4181997/0512 02418 00699/01157
INIA - IVIAeuro
3/200719646
19/03/2007 FORNER-ALCAIDE 418 ES31/12/2037
FORNER ALCAIDE 4220084811 01157
IVIA - Institut Valencià d'Investigesp
1-2016002721
13/12/2015 ES31/12/2045
FORNER ALCAIDE 51996/0767 03015 00699/01157
INIA - IVIAeuro
5/200515858
18/07/2005 FORNER ALCAIDE 5 ES31/12/2035
FORNER ALCAIDE 5171999/0866 05017 01826/01157
INIA - IVIAeuro
1/200718680
20/11/2006 FORNER-ALCAIDE 517 ES31/12/2036
GOLD NUGGET2001/1347 11d518 00345
The Regents of the University ofeuro
5/200925888
24/08/2009 GOLD NUGGET US31/12/2039
NADORCOTT1995/0726 nadorcott 01662
SARL Nador Cott Protectioneuro116
6/200414111
04/10/2004 NADORCOTT FR31/12/2029
17/04/2016 Pàgina 7 de 74
DenominacióNº Exp. Nom comercial Codi / Titular Butlletí
Nº POV
Inici Protecció Fi Referència Obtentor /
Citrus sp. (híbrids diversos)
TACLE2001/0156 A-146 03296
Istituto Sperimentale per l'Agrumieuro
2/200719035
22/01/2007 IT31/12/2037
Especie Corylus avellana L.
DenominacióNº Exp. Nom comercial Codi / Titular Butlletí
Nº POV
Inici Protecció Fi Referència Obtentor /
AVELLANER
ANNYS PURPLE DREAM2005/1830 anny's purple dream 05228
Andre Van Nijnatteneuro
2/200821880
11/02/2008 NL31/12/2038
RED BARON2005/2603 red baron 05286
Ludger Josteuro
4/200822218
05/05/2008 DE31/12/2038
RED MAJESTIC1999/1103 02586
New Variety BVeuro
6/20018210
10/09/2001 RED MAJESTIC NL31/12/2026
Especie Cydonia oblonga Mill
DenominacióNº Exp. Nom comercial Codi / Titular Butlletí
Nº POV
Inici Protecció Fi Referència Obtentor /
CODONYER
CYDORA ROBUSTA2003/0334 qe 13-38-89 00672
Forschungsanstalt Geisenheimeuro
2/200616769
30/01/2006 DE31/12/2036
ELINE2004/0587 fleuren-1 04595
Henri Fleuren B.V.euro
2/200924093
23/02/2009 NL31/12/2039
EMH2002/0700 qr 193-16 04662
East Malling Research Ltdeuro
4/200720100
21/05/2007 EMH UK31/12/2037
Especie Ficus carica L.
DenominacióNº Exp. Nom comercial Codi / Titular Butlletí
Nº POV
Inici Protecció Fi Referència Obtentor /
FIGUERA
VIOLETTA1997/0888 01804
Plattner Antoneuro
1/200412325
24/11/2003 DE01/01/2028
Especie Fragaria vesca L.
DenominacióNº Exp. Nom comercial Codi / Titular Butlletí
Nº POV
Inici Protecció Fi Referència Obtentor /
MADUIXETA
WEITGASSERII L NIVALIS2006/0345 leo alba 05342
Leopold Weitgassereuro
3/200719758
02/04/2007 AT31/12/2032
Especie Fragaria x ananassa Duch.
DenominacióNº Exp. Nom comercial Codi / Titular Butlletí
Nº POV
Inici Protecció Fi Referència Obtentor /
MADUIXOT
"VICTORY"2011/2352 bg-4315 03131
Berry Genetics Inc. Nelson Steveeuro
2/201436658
27/01/2014 US31/12/2039
ADRIA2003/1797 an94.153.51 02486/02487/02489/0
G. Baruzzi/W. Faedi/B. Mezzetti/euro
3/200719937
16/04/2007 IT31/12/2032
AGUEDILLA2005/1103 aguedilla (1-566) 01155/05118/05117/0
INIA_OTRI/AEViveristas Fresa/Freuro
2/200616921
27/02/2006 AGUEDILLA ES31/12/2031
ALBION2004/1482 cn220 00345
The Regents of the University ofeuro
4/200720099
21/05/2007 ALBION US31/12/2032
ALICE2000/0098 em 726 00010
Horticultural Research Internationeuro
2/200310574
10/02/2003 ALICE BIGI GB31/12/2028
AMANDINE2012/1035 da 47 03794
Darbonne Pepiniere SASeuro
2/201539519
09/02/2015 FR31/12/2040
AMIGA2006/2675 amiga (2-269) 02558/05116/01157/0
Viveros California SLeuro
1/200923764
17/12/2008 ES31/12/2033
ANTEA2005/2560 mle9-34 00127
Consorzio Italiano Vivaistieuro
3/200924363
23/03/2009 IT31/12/2034
ANTILLA FNM2008/1551 a3-10-8 05117
Fresas Nuevos Materialeseuro
2/201026579
25/01/2010 ES31/12/2035
AROMAS1997/1294 cn 209 00345
The Regents of the University ofeuro
5/20006451
03/07/2000 US31/12/2025
17/04/2016 Pàgina 8 de 74
DenominacióNº Exp. Nom comercial Codi / Titular Butlletí
Nº POV
Inici Protecció Fi Referència Obtentor /
Fragaria x ananassa Duch.
AROSA2001/1474 B1E9-27 00127
Consorzio Italiano Vivaistieuro
2/200514559
24/01/2005 IT31/12/2030
AVA2001/0152 asf 22:07 03292
Angus Soft Fruit East Seaton Fareuro
4/200413335
17/05/2004 UK31/12/2034
AVAROSA2012/1249 asf 126 07182
SUPHACHATWONG INNOVATIeuro
3/201540672
20/04/2015 YH31/12/2040
BBB PO 012010/0820 witte aardbei 07706
BEEKERS BERRIES BREEDINGeuro
3/201334276
04/03/2013 NL31/12/2038
BENICIA2010/2162 c225 00345
The Regents of the University ofeuro
2/201436913
24/02/2014 US31/12/2039
BUDDY2011/2458 emr428 04662
East Malling Research Ltdeuro
3/201540666
20/04/2015 UK31/12/2040
CAMARILLO2002/0747 camarillo 00659
Driscoll Strawberry Associates Ineuro
3/200514771
07/03/2005 US31/12/2030
CAMAROSA1995/1069 camarosa 00345
The Regents of the University ofeuro
3/19971849
10/03/1997 US01/10/2019
CAMINO REAL2002/1566 c213 00345
The Regents of the University ofeuro
3/200514781
07/03/2005 US31/12/2030
CANDISS2006/1088 cf 2559 05433
CIREFeuro
5/200925897
24/08/2009 FR31/12/2039
CAPRI2011/0360 y3s7-80 00127
Consorzio Italiano Vivaistieuro
3/201437428
07/04/2014 IT31/12/2039
CAPRISS2007/1549 cf 3058 05433
CIREFeuro
4/201027831
05/07/2010 FR31/12/2035
CHARLOTTE2001/0815 cf2419 05433
CIREFeuro
4/200413354
17/05/2004 FR31/12/2034
CIFLORETTE1996/1054 CF 864 05433
CIREFeuro
1/19993896
14/12/1998 FR31/12/2023
CIGALINE1996/1055 CF 323 05433
CIREFeuro
5/19972242
10/07/1997 FR31/12/2022
CIGOULETTE1997/1528 cigoulette 01460/05433
C.I.R.E.F./Ciref Création Variétaleuro
6/19983723
05/10/1998 FR31/12/2023
CIJOSEE1997/1529 c.f. 1584 05433
CIREFeuro
1/20028486
03/12/2001 FR31/12/2026
CILOË1996/1052 CF 267 05433
CIREFeuro
1/19993897
14/12/1998 FR31/12/2023
CIR1072012/1269 cf4387 05433
CIREFeuro
3/201540673
20/04/2015 FR31/12/2040
CIRAFINE1997/1533 cf 1590 05433
CIREFeuro
4/20017733
21/05/2001 FR31/12/2026
CIRANO1997/1530 c.f. 758 05433
CIREFeuro
1/20028487
03/12/2001 FR31/12/2026
CIREINE1996/1053 CF 116 05433
CIREFeuro
5/19972241
10/07/1997 FR31/12/2022
CIVKA2000/1000 selezione k2e9-8 00127
Consorzio Italiano Vivaistieuro
2/200310428
20/01/2003 IT31/12/2028
CIVL352001/1475 J9L3-35 00127
Consorzio Italiano Vivaistieuro
4/200413365
17/05/2004 IT31/12/2034
CIVMAD1998/0956 civmad 00127
Consorzio Italiano Vivaistieuro
3/20029005
18/03/2002 IT31/12/2027
CIVRI302002/0339 a 30-2 00127
Consorzio Italiano Vivaistieuro
2/200514561
24/01/2005 IT31/12/2030
CLERY2002/1586 a20-17 00127
Consorzio Italiano Vivaistieuro
2/200616743
31/01/2006 IT31/12/2031
17/04/2016 Pàgina 9 de 74
DenominacióNº Exp. Nom comercial Codi / Titular Butlletí
Nº POV
Inici Protecció Fi Referència Obtentor /
Fragaria x ananassa Duch.
CORAL2005/1285 al-10-1 05117
Fresas Nuevos Materialeseuro
2/200719242
19/02/2007 CORAL ES31/12/2032
CORDELIA2010/0183 kgem054 05421
KG Growers Ltdeuro
3/201334841
22/04/2013 UK31/12/2038
COSTA COOP20084836 a3544 05117
Fresas Nuevos Materialesesp
1-2011002521
18/01/2011 ES31/12/2035
CRISTAL2007/1257 00.44.194 00132
Plantas de Navarra SAeuro
3/201027263
19/04/2010 ES31/12/2035
CRISTINA2011/1274 an01,211,51 07315
Università Politecnica delle Marceuro
3/201540663
20/04/2015 IT31/12/2040
CUPID2010/2290 em 1395 04662
East Malling Research Ltdeuro
3/201437423
07/04/2014 UK31/12/2039
DAISY2005/1289 da 38 03794
Darbonne Pepiniere SASeuro
2/200616912
27/02/2006 FR31/12/2031
DARLISETTE2005/1286 da 34 03794
Darbonne Pepiniere SASeuro
2/200616909
27/02/2006 FR31/12/2031
DAROYAL2005/1287 da 35 03794
Darbonne Pepiniere SASeuro
2/200616910
27/02/2006 FR31/12/2031
DARSELECT1996/0247 da 20 03794
Darbonne Pepiniere SASeuro
3/19971763
03/03/1997 FR31/12/2022
DELUXE2012/1502 da 46 03794
Darbonne Pepiniere SASeuro
2/201539520
09/02/2015 FR31/12/2040
DELY2011/0363 z6t2-16 00127
Consorzio Italiano Vivaistieuro
3/201437430
07/04/2014 IT31/12/2039
DIAMANTE1997/1295 cn 210 00345
The Regents of the University ofeuro
5/20006452
03/07/2000 US31/12/2025
DIANA2006/1481 da 42 03794
Darbonne Pepiniere SASeuro
2/200821789
28/01/2008 FR31/12/2033
DISSTRAWEIGHT2008/2680 163m88 00659
Driscoll Strawberry Associates Ineuro
2/201231412
23/01/2012 US31/12/2037
DISSTRAWELEVEN2008/2983 280m164 00659
Driscoll Strawberry Associates Ineuro
2/201231415
23/01/2012 US31/12/2037
DISSTRAWNINE2008/2943 273m171 00659
Driscoll Strawberry Associates Ineuro
2/201231413
23/01/2012 US31/12/2037
DISSTRAWSEVEN2008/2679 71/94 00659
Driscoll Strawberry Associates Ineuro
2/201231411
23/01/2012 US31/12/2037
DISSTRAWSIX2008/2678 48/391 00659
Driscoll Strawberry Associates Ineuro
2/201231410
23/01/2012 US31/12/2037
DISSTRAWTEN2008/2944 273M224 00659
Driscoll Strawberry Associates Ineuro
2/201231414
23/01/2012 US31/12/2037
DONNA2006/1482 da 43 03794
Darbonne Pepiniere SASeuro
2/200821790
28/01/2008 FR31/12/2033
DORA2004/2175 vr 96.58.2 06797/01869
CRA - FRFeuro
4/200720065
21/05/2007 IT31/12/2032
DPI RUBYGEM2007/2686 99-194 06097/06099
The State of Queensland - Horticeuro
1/201128595
17/12/2010 AU31/12/2035
DREAM2012/1503 da 50 03794
Darbonne Pepiniere SASeuro
2/201539521
09/02/2015 FR31/12/2040
DRISCOLL ATLANTIS2005/1507 00659
Driscoll Strawberry Associates Ineuro
1/200923754
17/12/2008 US31/12/2033
DRISCOLL BONAIRE2006/0223 driscoll bonaire 00659
Driscoll Strawberry Associates Ineuro
1/200923756
17/12/2008 US31/12/2033
DRISCOLL DESTIN2005/1505 00659
Driscoll Strawberry Associates Ineuro
4/200822301
05/05/2008 US31/12/2033
17/04/2016 Pàgina 10 de 74
DenominacióNº Exp. Nom comercial Codi / Titular Butlletí
Nº POV
Inici Protecció Fi Referència Obtentor /
Fragaria x ananassa Duch.
DRISCOLL EL DORADO2005/1643 driscoll el dorado 00659
Driscoll Strawberry Associates Ineuro
1/200821582
17/12/2007 US31/12/2032
DRISCOLL JUBILEE2003/1954 driscoll jubilee 00659
Driscoll Strawberry Associates Ineuro
2/200616739
30/01/2006 US31/12/2031
DRISCOLL LANAI2005/0386 driscoll lanai 00659
Driscoll Strawberry Associates Ineuro
1/200821581
17/12/2007 US31/12/2032
DRISCOLL OJAI2006/0224 driscoill ojai 00659
Driscoll Strawberry Associates Ineuro
1/200923757
17/12/2008 US31/12/2033
DRISCOLL OSCEOLA2005/1508 00659
Driscoll Strawberry Associates Ineuro
4/200822302
05/05/2008 US31/12/2033
DRISCOLL SAN JUAN2001/0447 driscoll's san juan 00659
Driscoll Strawberry Associates Ineuro
4/200413344
17/05/2004 US31/12/2034
DRISCOLL SANIBEL2005/1506 00659
Driscoll Strawberry Associates Ineuro
1/200923753
17/12/2008 US31/12/2033
DRISSTRAWEIGHTEEN2011/2255 30n365 00659
Driscoll Strawberry Associates Ineuro
1/201436525
02/12/2013 US31/12/2038
DRISSTRAWFIFTEEN2010/0836 284m225 00659
Driscoll Strawberry Associates Ineuro
3/201334279
04/03/2013 US31/12/2038
DRISSTRAWFIVE2007/2685 drisstrawfive 00659
Driscoll Strawberry Associates Ineuro
4/20113'131
23/05/2011 US31/12/2036
DRISSTRAWFOUR2007/2344 00659
Driscoll Strawberry Associates Ineuro
2/201026564
25/01/2010 US31/12/2035
DRISSTRAWFOURTEEN2010/0835 112n245 00659
Driscoll Strawberry Associates Ineuro
3/201334278
04/03/2013 US31/12/2038
DRISSTRAWNINETEEN2011/2256 17m60 00659
Driscoll Strawberry Associates Ineuro
1/201436526
02/12/2013 US31/12/2038
DRISSTRAWONE2006/2106 drisstrawone 00659
Driscoll Strawberry Associates Ineuro
2/201026539
25/01/2010 US31/12/2035
DRISSTRAWSEVENTEEN2010/1767 574p119 00659
Driscoll Strawberry Associates Ineuro
1/201436520
02/12/2013 US31/12/2038
DRISSTRAWSIXTEEN2010/1142 148m006 00659
Driscoll Strawberry Associates Ineuro
3/201334280
04/03/2013 US31/12/2038
DRISSTRAWTHIRTEEN2009/2134 84n278 00659
Driscoll Strawberry Associates Ineuro
2/201231416
23/01/2012 US31/12/2037
DRISSTRAWTHIRTYTWO2012/1853 quk 214-001 00659
Driscoll Strawberry Associates Ineuro
3/201539826
09/03/2015 US31/12/2040
DRISSTRAWTHITY2012/1580 bgp 100-002 00659
Driscoll Strawberry Associates Ineuro
2/201539551
23/02/2015 US31/12/2040
DRISSTRAWTHREE2007/1949 00659
Driscoll Strawberry Associates Ineuro
2/201026558
25/01/2010 US31/12/2035
DRISSTRAWTWELVE2010/0834 68n201 00659
Driscoll Strawberry Associates Ineuro
3/201334277
04/03/2013 US31/12/2038
DRISSTRAWTWENTY2011/2257 84n235 00659
Driscoll Strawberry Associates Ineuro
1/201436527
02/12/2013 US31/12/2038
DRISSTRAWTWENTYEIGHT2012/1578 123o191 00659
Driscoll Strawberry Associates Ineuro
2/201539550
23/02/2015 US31/12/2040
DRISSTRAWTWENTYFIVE2011/2934 51q235 00659
Driscoll Strawberry Associates Ineuro
2/201539545
23/02/2015 US31/12/2040
DRISSTRAWTWENTYFOUR2011/2933 10q98 00659
Driscoll Strawberry Associates Ineuro
2/201539544
23/02/2015 US31/12/2040
DRISSTRAWTWENTYONE2011/2258 510q89 00659
Driscoll Strawberry Associates Ineuro
1/201436528
02/12/2013 US31/12/2038
DRISSTRAWTWENTYSEVEN2011/2936 46q227 00659
Driscoll Strawberry Associates Ineuro
2/201539547
23/02/2015 US31/12/2040
17/04/2016 Pàgina 11 de 74
DenominacióNº Exp. Nom comercial Codi / Titular Butlletí
Nº POV
Inici Protecció Fi Referència Obtentor /
Fragaria x ananassa Duch.
DRISSTRAWTWENTYSIX2011/2935 53q19 00659
Driscoll Strawberry Associates Ineuro
2/201539546
23/02/2015 US31/12/2040
DRISSTRAWTWENTYTH2011/2932 5q64 00659
Driscoll Strawberry Associates Ineuro
2/201539543
23/02/2015 US31/12/2040
DRISSTRAWTWO2007/0104 00659
Driscoll Strawberry Associates Ineuro
2/201026540
23/01/2010 US31/12/2035
DURBAN2007/0217 d 371 00984
ABZ Aardbeien uit Zaad B.V.euro
1/200923766
17/12/2008 NL31/12/2033
E2006-2042001/1163 05442
Fresh Foreward Holding B.V.euro
3/201437434
07/04/2014 NL31/12/2039
ELAN1999/1320 w78 00984
ABZ Aardbeien uit Zaad B.V.euro
1/20028499
03/12/2001 NL31/12/2026
ELEGANCE2008/3006 em1276 04662
East Malling Research Ltdeuro
4/201232670
07/05/2012 UK31/12/2037
ELIANNY2006/1761 05554/05322/05323
L. Pieter/G. Theodorus/J. Gerardeuro
3/201026962
22/03/2010 NL31/12/2035
EMR 2862005/0270 emr 286 04662
East Malling Research Ltdeuro
3/200821938
10/03/2008 UK31/12/2023
ENDURANCE1996/0909 PS-592 00743/01203
Plant Sciences - Berry R&Deuro
1/20005354
12/11/1999 US31/12/2024
EROS1995/0576 eros 00010
Horticultural Research Internationeuro116
2/19971672
15/01/1997 GB01/08/2019
EVA2004/2176 vr 97.64.5 06797/01869
CRA - FRFeuro
4/200720066
21/05/2007 IT31/12/2032
EVEREST1996/1492 93c123 00331
Edward Vinson Ltd.euro
1/20005650
20/12/1999 UK31/12/2024
EVES DELIGHT2008/0369 04cf21 00331
Edward Vinson Ltd.euro
4/201130139
23/05/2011 UK31/12/2036
EVIE 22001/1918 98 n 105 00331
Edward Vinson Ltd.euro
3/200514770
07/03/2005 UK31/12/2030
F622011/2459 f62 04662
East Malling Research Ltdeuro
3/201540667
20/04/2015 UK31/12/2040
FAVORI2011/1346 04-75-01 09076
FLEVO BERRY HOLDING B.V.euro
3/201437436
07/04/2014 NL31/12/2039
FELICITA2011/1345 06-24-05 09076
FLEVO BERRY HOLDING B.V.euro
3/201437435
07/04/2014 NL31/12/2039
FIGARO2002/1283 0101 05442
Fresh Foreward Holding B.V.euro
2/200616742
30/01/2006 NL31/12/2031
FINESSE2009/0629 emr 346 04662
East Malling Research Ltdeuro
3/201334833
22/04/2013 UK31/12/2038
FLAIR2007/1367 03-08-01 09076
FLEVO BERRY HOLDING B.V.euro
3/201026955
22/03/2010 NL31/12/2035
FLAMENCO2001/1699 emr154 00010
Horticultural Research Internationeuro
3/200514769
07/03/2005 GB31/12/2030
FLORENCE1998/0278 em 372 00010
Horticultural Research Internationeuro
3/20017386
05/03/2001 GB31/12/2026
FLORIANTE2007/1366 02-102-06 09076
FLEVO BERRY HOLDING B.V.euro
5/201130561
25/07/2011 NL31/12/2041
FLORIDA ELYANA2008/1253 fl 00-51 00669
Florida Foundation Seed Produceeuro
1/201128651
17/12/2010 US31/12/2035
FLORIDA FESTIVAL2002/1187 95-41 00669
Florida Foundation Seed Produceeuro
3/200514775
07/03/2005 US31/12/2030
FLORIN2005/1337 99a35 09076
FLEVO BERRY HOLDING B.V.euro
3/200821947
10/03/2008 NL31/12/2023
17/04/2016 Pàgina 12 de 74
DenominacióNº Exp. Nom comercial Codi / Titular Butlletí
Nº POV
Inici Protecció Fi Referència Obtentor /
Fragaria x ananassa Duch.
FLORIN FLORENTINA2011/1344 06-95-06 09076
FLEVO BERRY HOLDING B.V.euro
3/201540665
20/04/2015 NL31/12/2040
FRENELLA2008/3005 em1308 04662
East Malling Research Ltdeuro
4/201232669
07/05/2012 UK31/12/2037
FRISAN2011/0157 j 234 00984
ABZ Aardbeien uit Zaad B.V.euro
3/201437425
07/04/2014 NL31/12/2039
FRUGODI2006/1190 01644
Promo Fruit Ag.euro
2/201026536
25/01/2010 CH31/12/2035
FUENTEPINA2009/0750 fuentepina (1823-1) 01155/01157/05116/0
Ortega Alcalá, Mª Victoria/IVIA/IFeuro
2/201026586
25/01/2010 ES31/12/2035
GALEXIA2003/0090 cal giant 5 01391
New West Fruit Corporationeuro
2/200616736
30/01/2006 US31/12/2031
GALIACIV2005/2559 bia6-5 00127
Consorzio Italiano Vivaistieuro
3/200924362
23/03/2009 IT31/12/2034
GARDA2012/1671 vr 02.312.02 06797/07766/07767/0
CRA - FRF/ISF della Provincia dieuro
2/201539567
23/02/2015 IT31/12/2040
GASANA2009/2386 g 130 00984
ABZ Aardbeien uit Zaad B.V.euro
3/201334838
22/04/2013 NL31/12/2038
GOLAN2009/2148 g 393 00984
ABZ Aardbeien uit Zaad B.V.euro
3/201334835
22/04/2013 NL31/12/2038
GRANDAROSA2013/1695 t-03021-12 07220
INSTYTUT OGRODNICTWA (INeuro
2/201539554
23/02/2015 PL31/12/2040
GUSTINE2009/1523 gustine 06728
Jocelyn Guilloteaueuro
3/201334834
22/04/2013 FR31/12/2038
HADAS1997/0643 hadas 01007
Ministry of Agriculture Agriculturaleuro
5/20006445
03/07/2000 IL31/12/2025
HERUT2005/0452 herut 01306
Agricultural Research Organisatieuro
1/200821583
17/12/2007 IL31/12/2032
HOBDOEL1999/1817 hobdoel 00258
Hõberli Obst-und Beerenzentrumeuro
2/200310425
20/01/2003 CH31/12/2028
HOBOTTRECE1999/1816 hobottrece 00258
Hõberli Obst-und Beerenzentrumeuro
2/200310424
20/01/2003 CH31/12/2028
HOBTHURMARDU2003/0136 hobthurmardu 00258
Hõberli Obst-und Beerenzentrumeuro
2/200616752
30/01/2006 CH31/12/2031
HOBTHURMARSEI2003/0140 hobthurmarsei 00258
Hõberli Obst-und Beerenzentrumeuro
2/200616756
30/01/2006 CH31/12/2031
HOBTHURMARTRE2003/0137 hobthurmartre 00258
Hõberli Obst-und Beerenzentrumeuro
2/200616753
30/01/2006 CH31/12/2031
HONOR2001/1342 bg-633 03131
Berry Genetics Inc. Nelson Steveeuro
4/200413364
17/05/2004 HONOR US31/12/2034
IRMA2003/1828 vr 95.42.03 06797/01869
CRA - FRFeuro
2/200616762
30/01/2006 IT31/12/2031
ISCHIA2011/0358 s7v9-9 00127
Consorzio Italiano Vivaistieuro
3/201437426
07/04/2014 IT31/12/2039
JIVE2001/1162 e2006-203 05442
Fresh Foreward Holding B.V.euro
3/201437433
07/04/2014 NL31/12/2039
JOLY2011/0362 z6t2-3 00127
Consorzio Italiano Vivaistieuro
3/201437429
07/04/2014 IT31/12/2039
JUDIBELL2005/0269 em 965 04662
East Malling Research Ltdeuro
3/200821937
10/03/2008 UK31/12/2023
JULINE2009/1717 julia 06760
Julius Kühn Instituteuro
5/201335896
29/07/2013 DE31/12/2038
KAMILA2009/0625 u9v2-10 00127
Consorzio Italiano Vivaistieuro
2/201231419
23/01/2012 IT31/12/2037
17/04/2016 Pàgina 13 de 74
DenominacióNº Exp. Nom comercial Codi / Titular Butlletí
Nº POV
Inici Protecció Fi Referència Obtentor /
Fragaria x ananassa Duch.
KIMBERLY1996/0776 93/94 01400
Konings Planteuro
4/19994566
03/05/1999 NL31/12/2024
LAMBADA1995/0661 lambada 06983
Stichting Dienst Landbouwkundigeuro116
5/1996365
02/08/1996 NL01/03/2017
LIA2006/0362 96.62.10 06797/01869
CRA - FRFeuro
1/200923762
17/12/2008 IT31/12/2033
LIBERTY2011/2351 bg-4315 03131
Berry Genetics Inc. Nelson Steveeuro
1/201436529
02/12/2013 US31/12/2038
LINOSA2011/0359 y4s7-4 00127
Consorzio Italiano Vivaistieuro
3/201437427
07/04/2014 IT31/12/2039
LORETTE2011/1650 cf4027 05433
CIREFeuro
4/201438307
16/06/2014 FR31/12/2039
LUCY2009/0073 em931 04662
East Malling Research Ltdeuro
4/201232752
21/05/2012 UK31/12/2037
MA 482006/0405 ma 48 00718
Marionnet Jacques Gfaeuro
5/200925896
24/08/2009 FR31/12/2039
MA 652009/2155 ma 65 00718
Marionnet Jacques Gfaeuro
3/201334836
22/04/2013 FR31/12/2038
MA 947312005/1031 ma 94731 00718
Marionnet Jacques Gfaeuro
2/200616777
30/01/2006 FR31/12/2031
MALLING CENTENARY
NARY
2012/1246 em 1764 04662
East Malling Research Ltdeuro
3/201540671
20/04/2015 UK31/12/2040
MALWINA2006/0617 ps.01-s4 02264
Stoppel, Petereuro
3/200924376
23/03/2009 DE31/12/2034
MARGHERITA2012/1378 ad 09 006 07031
Nova Siri Genetics SNC di Tufareuro
2/201539549
23/02/2015 IT31/12/2040
MARISOL2012/1377 ad 08 069 07031
Nova Siri Genetics SNC di Tufareuro
2/201539548
23/02/2015 IT31/12/2040
MARVEL2009/1144 pe-1205 00743/01203
Plant Sciences - Berry R&DEURO
2/201231420
23/01/2012 US31/12/2037
MATIS2003/0122 ma31 00718
Marionnet Jacques Gfaeuro
2/200616918
27/02/2006 FR31/12/2031
MERIT2011/0145 ps-1220 00743/01203
Plant Sciences - Berry R&Deuro
3/201334282
04/03/2013 US31/12/2038
MERLAN2008/1805 f 125 00984
ABZ Aardbeien uit Zaad B.V.euro
4/201130148
23/05/2011 NL31/12/2036
MIEZE NOVA2006/1244 mieze nova 05496
Dr. Barbara Datheeuro
2/200719042
22/01/2007 DE31/12/2032
MOJAVE2010/2163 c227 00345
The Regents of the University ofeuro
1/201436521
02/12/2013 US31/12/2038
MONTEREY2008/1506 cn222 00345
The Regents of the University ofeuro
1/201128655
17/12/2010 US31/12/2035
NABILA2011/0357 w6y1-10 00127
Consorzio Italiano Vivaistieuro
2/201436657
27/01/2014 IT31/12/2039
NERINA2008/0737 smpg 90/4/1 08798
IPRONA AGeuro
2/201128873
07/02/2011 IT31/12/2026
NF 1372010/0149 nf 137 02237
New Fruits S.A.S. di Raggi Giordeuro
3/201334840
22/04/2013 IT31/12/2038
NF2052001/0138 new-f.205 02237
New Fruits S.A.S. di Raggi Giordeuro
2/200514557
24/01/2005 IT31/12/2030
NF3112002/1936 nf311 02237
New Fruits S.A.S. di Raggi Giordeuro
2/200616744
30/01/2006 IT31/12/2031
NF4212006/1373 nf421 02237
New Fruits S.A.S. di Raggi Giordeuro
1/200923759
17/12/2008 IT31/12/2033
17/04/2016 Pàgina 14 de 74
DenominacióNº Exp. Nom comercial Codi / Titular Butlletí
Nº POV
Inici Protecció Fi Referència Obtentor /
Fragaria x ananassa Duch.
NIEBLA FNM2010/1329 a4-04-4 05117
Fresas Nuevos Materialeseuro
1/201231261
19/12/2011 ES31/12/2026
NIEVA FNM2013/2248 a9-84n-2 05117
Fresas Nuevos Materialeseuro
2/201642317
25/01/2016 ES31/12/2041
NIEVA FNM20125032 A9-84N-2 ES924
Fresas Nuevos Materialesesp
BOE98002660
25/04/2015 ES31/12/2039
ONDA1999/0014 89.232.14 01869
ALMA MATER STUDIORUM-UNIeuro
2/20028885
18/02/2002 IT31/12/2027
ONEBOR1995/1093 00127
Consorzio Italiano Vivaistieuro116
1/19971119
15/10/1996 IT01/11/2016
ORLY2007/2766 orly 08497
AGREXCO CARMEL AGRICULTeuro
2/201231409
23/01/2012 IL31/12/2037
PALOMAR2007/1465 c221 00345
The Regents of the University ofeuro
2/201026557
25/01/2010 US31/12/2035
PATTY1999/1570 91.290.2 01869
ALMA MATER STUDIORUM-UNIeuro
2/20028889
18/02/2002 PATIENCE IT31/12/2027
PINK EXTARA2012/0973 99j1 09076
FLEVO BERRY HOLDING B.V.euro
3/201540670
20/04/2015 NL31/12/2040
PINK ROSA2013/1696 t-04052-06 07220
INSTYTUT OGRODNICTWA (INeuro
2/201642546
22/02/2016 PL31/12/2041
PIRCINQUE2010/0648 04.228.5 06797/06944
CRA - AZIENDA PIRACCINI SEeuro
4/201335654
17/06/2013 IT31/12/2038
PORTOLA2008/1505 cn224 00345
The Regents of the University ofeuro
1/201128654
17/12/2010 US31/12/2035
PREMIER2008/2152 pe-1209 00743/01203
Plant Sciences - Berry R&Deuro
1/201128676
17/12/2010 US31/12/2035
PRIMORIS FNM2008/1552 a3-54-1 05117
Fresas Nuevos Materialeseuro
2/201026580
25/01/2010 ES31/12/2035
PS92712010/1332 ps-9271 00743/01203
Plant Sciences - Berry R&Deuro
3/201334281
04/03/2013 US31/12/2038
QUEEN ELISA2003/1550 94.568.2 06797/01869
CRA - FRFeuro
2/200616761
30/01/2006 IT31/12/2031
RABIDA FNM20125031 A8-16-2 ES924
Fresas Nuevos Materialesesp
BOE98002661
25/04/2015 ES31/12/2039
RABIDA FNM2013/2247 a8-16-2 05117
Fresas Nuevos Materialeseuro
2/201642316
25/01/2016 ES31/12/2041
RANIA2011/0361 w6y1-8 00127
Consorzio Italiano Vivaistieuro
1/201436524
02/12/2013 IT31/12/2038
RINA1999/0872 VI 01-98 05221
Vissers International B.V.euro
5/20029930
12/08/2002 NL31/12/2027
ROMINA2011/1275 an99,78,51 07315
Università Politecnica delle Marceuro
3/201540664
20/04/2015 IT31/12/2040
ROTEMI2008/2801 rotemi 06485
Efraim Yosefeuro
2/201231417
23/01/2012 IL31/12/2037
RUBIA2003/1573 rubia 04362
Putfarken Jocheneuro
3/200413032
05/04/2004 DE31/12/2034
RUBIS DES JARDINS2009/1204 cf 3453 05433
CIREFeuro
6/201233540
08/10/2012 FR31/12/2037
RUMBA2007/1279 ff 0601 05442
Fresh Foreward Holding B.V.euro
3/201129531
18/04/2011 NL31/12/2036
SABRINA2009/1037 03.40.181 00132
Plantas de Navarra SAEURO
6/201130939
19/09/2011 ES31/12/2036
SABROSA2001/1516 97.10.030 00132
Plantas de Navarra SAeuro
5/200413795
19/07/2004 ES31/12/2029
17/04/2016 Pàgina 15 de 74
DenominacióNº Exp. Nom comercial Codi / Titular Butlletí
Nº POV
Inici Protecció Fi Referència Obtentor /
Fragaria x ananassa Duch.
SAHARA2012/1505 06.43h.79 00132
Plantas de Navarra SAeuro
2/201539523
09/02/2015 ES31/12/2040
SAINT PIERRE2001/0155 sj89264-6 03295
Agriculture and Agri-Food Canadeuro
4/200413338
17/05/2004 CA31/12/2034
SALSA2001/1214 pri 9803 05442
Fresh Foreward Holding B.V.euro
5/200516102
17/08/2005 NL31/12/2030
SAN ANDREAS2008/1504 cn223 00345
The Regents of the University ofeuro
1/201128653
17/12/2010 US31/12/2035
SAN MIGUEL1997/0626 san miguel 00659
Driscoll Strawberry Associates Ineuro
2/20028874
18/02/2002 US31/12/2027
SARICA2009/2372 so-f-05-55-3 05972
Sant'Orsola Societa' Cooperativaeuro
3/201334275
04/03/2013 IT31/12/2038
SASHA2008/0029 em 1159 04662
East Malling Research Ltdeuro
3/201129533
18/04/2011 UK31/12/2036
SHAKED2008/2802 shaked 06485
Efraim Yosefeuro
2/201231418
23/01/2012 IL31/12/2037
SIABELLE1998/1326 89.x1.25.2 03925
ATYS SAeuro
1/20017188
18/12/2000 FR31/12/2025
SIBA2007/0329 q6q8-24 00127
Consorzio Italiano Vivaistieuro
2/201026542
25/01/2010 IT31/12/2035
SIRIS2010/1411 aa 07 488 07031
Nova Siri Genetics SNC di Tufareuro
3/201334843
22/04/2013 IT31/12/2038
SONATA2001/1215 pri 9802 05442
Fresh Foreward Holding B.V.euro
3/200514768
07/03/2005 NL31/12/2030
SOPHIE1998/0277 em 341 00010
Horticultural Research Internationeuro
3/20017385
05/03/2001 GB31/12/2026
SPLENDOR2005/0799 bg-959 03131
Berry Genetics Inc. Nelson Steveeuro
1/200821584
17/12/2007 US31/12/2032
STARLETTE2012/1504 da 52 03794
Darbonne Pepiniere SASeuro
2/201539522
09/02/2015 FR31/12/2040
SUZANA2001/0153 853 03844/04056
Gyo International Inc.- Redeva Lteuro
4/200413336
17/05/2004 OS31/12/2029
SVEVA2003/1796 an93.371.58 02486/02487/02489/0
G. Baruzzi/W. Faedi/B. Mezzetti/euro
3/200719936
16/04/2007 IT31/12/2032
SWEET ANN2010/2286 16f29 07133/07134
Jimmy Haig / Lassen Canyon Nureuro
4/201335520
03/06/2013 US31/12/2038
SWEET CHARLIE1995/2003 00669
Florida Foundation Seed Produceeuro116
1/19982553
14/11/1997 US01/12/2017
SWEET EVE2008/0368 04aa22 00331
Edward Vinson Ltd.euro
4/201130138
23/05/2011 UK31/12/2036
SWEETHEART2010/0912 em 1148 04662
East Malling Research Ltdeuro
3/201334842
22/04/2013 UK31/12/2038
SYMPHONY1995/1348 symphony 07377
James Hutton Instituteeuro
2/19971713
17/02/1997 UK31/12/2022
TAMAR1996/0282 01007
Ministry of Agriculture Agriculturaleuro
5/20006447
03/07/2000 IL31/12/2025
TARDA1996/0428 9401 05221
Vissers International B.V.euro
4/19994564
03/05/1999 NL31/12/2024
TECLA2009/1203 00.92.4 06797/01869
CRA - FRFeuro
4/201232754
21/05/2012 IT31/12/2037
TETHIS1995/0365 tethis 01160
Vissers Aardbeiplanten B.V.euro
4/19994558
03/05/1999 NL31/12/2024
THULANA1999/0461 thulana 00258
Hõberli Obst-und Beerenzentrumeuro
2/20028895
18/02/2002 HONOR CH31/12/2027
17/04/2016 Pàgina 16 de 74
DenominacióNº Exp. Nom comercial Codi / Titular Butlletí
Nº POV
Inici Protecció Fi Referència Obtentor /
Fragaria x ananassa Duch.
TOSCANA2011/0156 h 231 00984
ABZ Aardbeien uit Zaad B.V.euro
3/201437424
07/04/2014 NL31/12/2039
TRISTAN2009/2419 g 193 00984
ABZ Aardbeien uit Zaad B.V.euro
3/201334839
22/04/2013 NL31/12/2038
VALERY1999/0987 94/492 01400
Konings Planteuro
3/20029008
18/03/2002 NL31/12/2027
VALOR2008/1795 pe-1207 00743/01203
Plant Sciences - Berry R&Deuro
1/201128663
17/12/2010 US31/12/2035
VENTANA2002/1565 c216 00345
The Regents of the University ofeuro
3/200514780
07/03/2005 US31/12/2030
VERITY2011/2742 06hn43 00331
Edward Vinson Ltd.euro
3/201540668
20/04/2015 UK31/12/2040
VIBRANT2010/1429 em 1119 04662
East Malling Research Ltdeuro
3/201437422
07/04/2014 UK31/12/2039
VIKTORIANA2008/0874 em 1125 04662
East Malling Research Ltdeuro
3/201129537
18/04/2011 UK31/12/2036
VIRTUE2005/1829 bg-1975 03131
Berry Genetics Inc. Nelson Steveeuro
1/200923758
17/12/2008 US31/12/2033
VIVA PATRICIA2008/2790 s05vs38 00331
Edward Vinson Ltd.euro
2/201231368
23/01/2012 UK31/12/2037
VIVALDI2001/1161 e2005-075 05442
Fresh Foreward Holding B.V.euro
3/201540662
20/04/2015 NL31/12/2040
VOLTAMIR2008/2105 73 01306
Agricultural Research Organisatieuro
1/201128670
17/12/2010 IL31/12/2035
WENDY2011/0398 k98-6 07237
Agriculture and Agri-Food Canadeuro
3/201437431
07/04/2014 CA31/12/2039
XIMA2001/0011 vi 02-99 05221
Vissers International B.V.euro
4/200413334
17/05/2004 NL31/12/2029
YAMASKA2001/0154 SJ89700/1 03295
Agriculture and Agri-Food Canadeuro
4/200413337
17/05/2004 CA31/12/2029
ZANTA1996/0427 9402 05221
Vissers International B.V.euro
4/19994672
21/06/1999 NL31/12/2024
Especie Fragaria x Potentilla
DenominacióNº Exp. Nom comercial Codi / Titular Butlletí
Nº POV
Inici Protecció Fi Referència Obtentor /
MADUIXA
SAMBA1995/2732 Prisma I 00256
Prisma Stauden & Jungpflanzeneuro
6/19983428
07/09/1998 DE31/12/2023
Especie Humulus lupulus L.
DenominacióNº Exp. Nom comercial Codi / Titular Butlletí
Nº POV
Inici Protecció Fi Referència Obtentor /
LLÚPOL
ADHA042006/1858 ad24-002 05571
American Dwarf Hop Associationeuro
3/201129404
04/04/2011 US31/12/2041
ADMIRAL1996/0036 RH40 06316
WYE HOPS LIMITEDeuro
1/19971436
16/12/2006 UK31/12/2021
APOLLO2007/0305 apollo 05731
S.S. Steiner Inceuro
2/201231322
23/01/2012 US31/12/2042
ARAMIS2011/0863 p05-9 07285
Comptoir Agricole d'Achat et deeuro
3/201539876
23/03/2015 FR31/12/2045
BOADICEA2004/0987 or423 06316
WYE HOPS LIMITEDeuro
5/200823382
25/08/2008 UK31/12/2038
BRAVO2007/0304 bravo 05731
S.S. Steiner Inceuro
2/201231321
23/01/2012 US31/12/2042
COLUMBUS1998/1576 9/17 03368
Joh. Barth & Sohn Gmbh & Co. Keuro
6/200311647
08/09/2003 DE31/12/2028
17/04/2016 Pàgina 17 de 74
DenominacióNº Exp. Nom comercial Codi / Titular Butlletí
Nº POV
Inici Protecció Fi Referència Obtentor /
Humulus lupulus L.
FIRST GOLD1996/0040 S4 06316
WYE HOPS LIMITEDeuro
1/19971440
16/12/1996 UK31/12/2021
HERKULES2003/2434 95/94/816 05548
Hopfenverwertungsgenossenchafeuro
3/200617203
27/03/2006 DE31/12/2036
HU ZH APA 12005/2387 2003/040/733 04498
Gesellschaft fur Hopfenforschungeuro
4/200822525
19/05/2008 DE31/12/2033
MANDARINA BAVARIA2011/3145 2007/018/013 04498
Gesellschaft fur Hopfenforschungeuro
3/201539877
23/03/2015 DE31/12/2045
PILGRIM2001/0826 P38 06316
WYE HOPS LIMITEDeuro
2/200615371
27/02/2006 UK31/12/2036
PILOT2001/0825 s24 06316
WYE HOPS LIMITEDeuro
2/200615370
27/02/2006 UK31/12/2036
PIONEER1996/0038 W10 06316
WYE HOPS LIMITEDeuro
1/19971438
16/12/1996 UK31/12/2021
POLARIS2010/2873 2000/109/728 04498
Gesellschaft fur Hopfenforschungeuro
3/201437544
22/04/2014 DE31/12/2044
RELAX2008/0127 97/25/7 05053
Martin BAUER GMBH & CO KGeuro
3/201129407
04/04/2011 DE31/12/2041
SOVEREIGN2006/1106 50/95/33 06316
WYE HOPS LIMITEDeuro
3/201026966
22/03/2010 UK31/12/2035
STYRIAN GOLD2010/0605 31/299 06942
SLOVENIAN INSTITUTE OF HOeuro
3/201437543
22/04/2014 SI31/12/2044
SUPGALENA2007/0303 super galena 05731
S.S. Steiner Inceuro
2/201231320
23/01/2012 US31/12/2042
VGXP012006/0417 vgxp01 05352/05353/05354
P Gamacge-B Gamache-S Gameuro
3/201129404
04/04/2011 US31/12/2041
Especie Juglans L. (forestal)
DenominacióNº Exp. Nom comercial Codi / Titular Butlletí
Nº POV
Inici Protecció Fi Referència Obtentor /
NOGUERA PER FUSTA
NAT 11 BN20054604 eurowalnut a-11 E1001
Bosques Naturales SAesp
1-2016002718
13/12/2015 ES31/12/2045
NAT 9 BN20054606 eurowalnut c-09 E1001
Bosques Naturales SAesp
1-2016002719
13/12/2015 ES31/12/2045
Especie Juglans nigra L.
DenominacióNº Exp. Nom comercial Codi / Titular Butlletí
Nº POV
Inici Protecció Fi Referència Obtentor /
NOGUERA NEGRA
BEINEKE 12003/0938 beineke 1 04233
American Forestry Technologieseuro
3/201334887
22/04/2013 US31/12/2043
BEINEKE 102003/0946 beineke 10 04233
American Forestry Technologieseuro
4/201438055
19/05/2014 US31/12/2044
BEINEKE 22003/0939 beineke 2 04233
American Forestry Technologieseuro
4/201438052
19/05/2014 US31/12/2044
BEINEKE 32003/0940 beineke 3 04233
American Forestry Technologieseuro
6/201438973
20/10/2014 US31/12/2044
BEINEKE 42003/0941 beineke 4 04233
American Forestry Technologieseuro
6/201438974
20/10/2014 US31/12/2044
BEINEKE 52003/0942 beineke 5 04233
American Forestry Technologieseuro
3/201334888
22/04/2013 US31/12/2043
BEINEKE 62003/0947 beineke 6 04233
American Forestry Technologieseuro
4/201438056
19/05/2014 US31/12/2044
BEINEKE 72003/0943 beineke 7 04233
American Forestry Technologieseuro
4/201438053
19/05/2014 US31/12/2044
BEINEKE 82003/0944 beineke 8 04233
American Forestry Technologieseuro
6/201438975
20/10/2014 US31/12/2044
17/04/2016 Pàgina 18 de 74
DenominacióNº Exp. Nom comercial Codi / Titular Butlletí
Nº POV
Inici Protecció Fi Referència Obtentor /
Juglans nigra L.
BEINEKE 92003/0945 beineke 9 04233
American Forestry Technologieseuro
4/201438054
19/05/2014 US31/12/2044
Especie Juglans regia L.
DenominacióNº Exp. Nom comercial Codi / Titular Butlletí
Nº POV
Inici Protecció Fi Referència Obtentor /
NOGUERA
FERNETTE1995/3060 Fernette 00689
INRA-Institut National de la Recheuro
6/19972404
01/09/1997 FERNETTE FR31/12/2017
Especie Malus domestica Borkh.
DenominacióNº Exp. Nom comercial Codi / Titular Butlletí
Nº POV
Inici Protecció Fi Referència Obtentor /
POMERA
1400 KE2002/0286 1400 ke 03768
Feno SRLeuro
4/200720092
21/05/2007 IT31/12/2037
8S60232010/0112 8s6023 05973
Agriculture et Agroalimentaire Caeuro
6/201438868
08/09/2014 CA31/12/2044
ADMIRAL2008/2981 ueb 3824/1 00700
Institut Für Experimentelle Botanieuro
2/201231550
20/02/2012 CZ31/12/2042
AHRISTA1997/1488 ahrista 01950
Artus Group Marketinggesellschaeuro
3/19994257
06/04/1999 DE31/12/2029
ALMAGOLD2008/2498 golden 39 01758
Istituto Sperimentale per la Fruttieuro
4/201438355
16/06/2014 IT31/12/2044
AMBRO2000/1636 ambro 03073
Stichting Vermeerderingstuineneuro
4/20017809
11/06/2001 NL31/12/2031
AMBROSIA2001/0705 ambrosia 03420/03421
Mennell, S - Mennell, Weuro
4/200413616
21/06/2004 AMBROSIA CA31/12/2034
AMETYST2005/0308 ueb 2650/2 04283
Institute of Experimental Botanyeuro
2/200616764
30/01/2006 CZ31/12/2036
ANNAGLO1998/1093 annglo 02275
The Wislang Family Trusteuro
6/200311961
20/10/2003 SÉLECTA - ANNAGLO NZ31/12/2033
ARIANE2003/0273 x6407 00689
INRA-Institut National de la Recheuro
3/200413108
19/04/2004 ARIANE FR31/12/2034
ARIWA1999/0704 ariwa 02600
Eidg. Forschunganstalt für Obs-euro
3/20017498
09/04/2001 CH31/12/2031
AW 1062010/1888 aw 106 07079
Land Rheinland-Pfalzeuro
6/201130893
10/10/2011 DE31/12/2041
AZTEC2001/0014 aztec 03269
Austin Orchards Ltd David Austineuro
6/200720814
08/10/2007 ZHEN* NZ31/12/2037
AZUFU2000/1745 azu-fu 03017
NV GEEFAeuro
4/200720382
18/06/2007 BE31/12/2037
B3F442009/2503 22 / 4 / 53 04627
Better3Fruit NVeuro
3/201437720
22/04/2014 BE31/12/2044
B3F452009/2504 22 / 3 / 290 04627
Better3Fruit NVeuro
3/201437721
22/04/2014 BE31/12/2044
BAIGENT1995/1097 RIMA 00640
Brookfield New Zealand Limitedeuro
5/20017951
06/08/2001 BROOKFIELD* GALA NZ31/12/2031
BAY 34842009/1111 bay 3484 06685
Michael NeumüllerEURO
3/201437194
24/03/2014 DE31/12/2044
BEL-EL1995/2098 00298
Jomobel N. V. - Morren-de Costeeuro116
1/19971541
16/12/1996 RED ELSWOUT BE01/01/2022
BELGICA2000/1677 belgica 03184
Moors Jeaneuro
3/200412892
22/03/2004 BE31/12/2034
BELLIDA1995/0664 bellida 06983
Stichting Dienst Landbouwkundigeuro
6/1996605
02/08/1996 NL01/09/2026
BERLEIS2009/0580 berleis 06605
Mathias Markleuro
2/201026590
25/01/2010 DE31/12/2040
17/04/2016 Pàgina 19 de 74
DenominacióNº Exp. Nom comercial Codi / Titular Butlletí
Nº POV
Inici Protecció Fi Referència Obtentor /
Malus domestica Borkh.
BIELAAR1995/0536 bielaar 02002
Van Laar H.J.M.euro116
5/1996418
02/08/1996 NL01/12/2021
BIGIGALAPRIM2002/1571 bigigalaprim 06828
Top Plant Vivai Societa Agricolaeuro
4/200720350
18/06/2007 EARLY RED GALA IT31/12/2037
BRAECEST1998/1659 br 13/11-7 02452
Earl des Sources (Cestier Henri eeuro
2/20028883
18/02/2002 BRAESUN* FR31/12/2032
BRINA1999/0867 brina 01758
Istituto Sperimentale per la Fruttieuro
4/200413611
21/06/2004 IT31/12/2034
BRUGGERS FESTIVALE2000/1304 bruggers festivale 03119
Brugger, Alfredeuro
2/200616735
30/01/2006 DE31/12/2036
CACTUS2006/2164 ueb 3137/1 00700
Institut Für Experimentelle Botanieuro
4/201130092
23/05/2011 CZ31/12/2041
CATARINA2002/0208 epagri 402 03483
Epagrieuro
5/200823136
07/07/2008 BR31/12/2038
CAUDLE1996/0053 00880
Caudle apple inceuro
6/20006786
16/10/2000 CAMEO US31/12/2030
CAUFLIGHT2005/2054 noue 0001 02610
Pépinières du Valoiseuro
5/201130554
25/07/2011 CAUFLIGHT FR31/12/2041
CAURED1999/1298 noue 9987 01119
Pépinières du Valoiseuro
6/200516183
12/09/2005 FR31/12/2035
CH 1012012/0243 galiwa 07560
AGROSCOPE CHANGINS-WADeuro
2/201539518
09/02/2015 CH31/12/2045
CHRISTMAS PIPPIN2010/1572 fpm/rowm5 02278
Frank P Matthews Ltdeuro
4/201541123
08/06/2015 UK31/12/2045
CIV NIRED B2009/0688 mu-st 00127
Consorzio Italiano Vivaistieuro
4/201438309
16/06/2014 IT31/12/2044
CIVG1982005/0312 g-198 00127
Consorzio Italiano Vivaistieuro
5/200823149
07/07/2008 MODI IT31/12/2038
CIVINI2000/1892 vni-185 00127
Consorzio Italiano Vivaistieuro
6/200516186
12/09/2005 IT31/12/2035
CIVNIRED S2009/0687 mu-bz 00127
Consorzio Italiano Vivaistieuro
4/201541119
08/06/2015 IT31/12/2045
COLLINA2001/1711 collina 03634
V.O.F. VANDEWALLeuro
5/200618136
17/07/2006 NL31/12/2036
COOP 332008/0610 coop 33 00751
Purdue Research Foundationeuro
1/201333813
19/11/2012 US31/12/2042
COOP 381995/2901 coop38 00751
Purdue Research Foundationeuro
5/20017952
06/08/2001 GOLDRUSH* US31/12/2031
COOP 392005/0057 coop 39 00751
Purdue Research Foundationeuro
6/200823533
13/10/2008 CRIMSON CRISP* US31/12/2038
COOP431999/0129 coop-43 00751
Purdue Research Foundationeuro
3/200413110
19/04/2004 JULIET US31/12/2034
COX LA VERA1996/0641 Cox la vera 07091
Erven P.G. Vroemeneuro
1/20005557
20/12/1999 NL31/12/2029
COXCOLUMNARIA2010/0060 coxcolumnaria 05496
Dr. Barbara Datheeuro
2/201231438
06/02/2012 DE31/12/2042
COXDWARF2008/2791 coxdwarf 05496
Dr. Barbara Datheeuro
2/201128890
07/02/2011 DE31/12/2041
CRIPPS PINK1995/1039 Cripps Pink 00655
Department of Agriculture Westweuro116
2/19971640
15/01/1997 PINK LADY AU01/08/2022
CRIPPS RED1995/1040 cripps red 00655
Department of Agriculture Westweuro
6/19983425
07/09/1998 SUNDOWNER AU31/12/2023
CRISTIA2001/0909 epagri 406 03483
Epagrieuro
3/201129115
07/03/2011 BR31/12/2041
17/04/2016 Pàgina 20 de 74
DenominacióNº Exp. Nom comercial Codi / Titular Butlletí
Nº POV
Inici Protecció Fi Referència Obtentor /
Malus domestica Borkh.
DALICLASS2008/1255 hy47-3 00303
SNC Elariseuro
1/201333814
19/11/2012 FR31/12/2042
DALILIGHT2007/1244 hy45-6 00303
SNC Elariseuro
1/201333810
19/11/2012 FR31/12/2042
DALINBEL1998/1844 dalinbel 00689/00303
INRA / SNC Elariseuro
6/200210186
21/10/2002 DALINBEL FR31/12/2032
DALINCO2003/1458 dl24 00689/00303
INRA / SNC Elariseuro
5/200823137
07/07/2008 DALINCO FR31/12/2038
DALINETTE2002/1306 dl 13 00319/00689
SNC ELARIS / INRAeuro
4/200617838
06/06/2006 DALINETTE FR31/12/2036
DALINSWEET2004/2327 dl48 00689/00303
INRA / SNC Elariseuro
4/200925349
08/06/2009 DALINSWEET FR31/12/2039
DALIRÈNE2005/1944 s13-3 00303
SNC Elariseuro
3/201027238
19/04/2010 FR31/12/2040
DALIRYAN2004/2493 jo50.1 00303
SNC Elariseuro
2/200719030
22/01/2007 DALIRYAN FR31/12/2037
DALITRON2003/1805 hy46.3 00303
SNC Elariseuro
5/200823138
07/07/2008 DALITRON FR31/12/2038
DECOSTA1995/0987 decosta 00954/00955
Swillen, G - Verbeek, Jeuro116
1/19971540
16/12/1996 DECOSTA BE01/01/2022
DELBLUSH1995/1986 delblush(PX3436) 00368
Pepinieristes et Roseraires Georeuro116
6/19981641
15/01/1997 DELBLUSH FR01/01/2022
DELCORF DIANA2002/1963 diana 04050
Tijssen Johannes G.P.euro
4/200720095
21/05/2007 NL31/12/2037
DELCOROS2002/0108 delcoro 00368
Pepinieristes et Roseraires Georeuro
5/200618128
17/07/2006 DELCOROS FR31/12/2036
DELCOTI1999/1742 delcoti (c 43) 00368
Pepinieristes et Roseraires Georeuro
6/200311971
20/10/2003 FR31/12/2033
DELFLOGA2007/0851 delfloga 00368
Pepinieristes et Roseraires Georeuro
3/201026948
22/03/2010 FR31/12/2040
DELFLOKI2003/2213 delfloki 00368
Pepinieristes et Roseraires Georeuro
5/200413783
19/07/2004 DELFLOKI FR31/12/2034
DELICIA2002/1818 délice 04036/04037
C Roduit - S Roduiteuro
4/200720400
18/06/2007 ES31/12/2037
DORIANE2003/0272 x6690 00689
INRA-Institut National de la Recheuro
2/200616780
30/01/2006 DORIANE FR31/12/2036
DOUCE DE L'AVENT2010/0435 douce de l'avent 00689/06934
INRA / IFPCeuro
3/201437726
22/04/2014 FR31/12/2044
EARLY JONAGOLD2008/1794 jonagold schreurs 00727
Nicolai JO & CO NVeuro
6/201335206
21/10/2013 BE31/12/2043
ELISE1995/0662 elise 06983
Stichting Dienst Landbouwkundigeuro116
6/1996419
02/08/1996 NL01/09/2021
ELLA2003/1756 crimson kiwi 04394
Thompson Michaeleuro
3/200719930
16/04/2007 NZ31/12/2037
ELSHARD2001/1086 mutant oostveen 03514
Maattschap Oostveeneuro
1/200923654
10/11/2008 NL31/12/2038
ELSHOF1995/1668 elshof 06983
Stichting Dienst Landbouwkundigeuro116
5/1996421
02/08/1996 ELSHOF NL01/09/2021
ELSTAR BOEREKAMP1997/0441 elstar boerekamp 01670/01671
Boerekamp - / BOEREKAMP P.Heuro
1/200412324
18/12/2003 NL01/01/2034
ELSTAR VAN DER ZALM2004/1366 elstar-mutant 08036
VOGELAAR-VREDEHOF VASTeuro
5/200925889
24/08/2009 SANSA NL31/12/2039
EVESSE2009/0981 evesse (fpm/h3698) 02278
Frank P Matthews LtdEURO
5/201438689
28/07/2014 UK31/12/2044
17/04/2016 Pàgina 21 de 74
DenominacióNº Exp. Nom comercial Codi / Titular Butlletí
Nº POV
Inici Protecció Fi Referència Obtentor /
Malus domestica Borkh.
EXCEL1996/0199 00298
Jomobel N. V. - Morren-de Costeeuro
5/20006594
26/07/2000 BE31/12/2030
FIERO2001/0571 fiero 03385
Snyder L.L.C.euro
5/200618126
17/07/2006 SEPTEMBER WONDER* US31/12/2036
FINESSE2010/2696 jg.b 2903 08431
BOEREKAMP FINESSE B.V.euro
3/201540333
07/04/2015 NL31/12/2045
FREDRIK2003/0874 k:0957 04227
Fakulteten för Jordbruk Landskapeuro
3/200924821
20/04/2009 SE31/12/2039
FRÉQUINETTE2010/0434 fréquinette 00689/06934
INRA / IFPCeuro
3/201540329
07/04/2015 FR31/12/2045
FRESCO2002/0536 87031-047 06983
Stichting Dienst Landbouwkundigeuro
4/200822295
05/05/2008 NL31/12/2038
FRIDA2003/0873 k:1007 04227
Fakulteten för Jordbruk Landskapeuro
3/200924820
20/04/2009 SE31/12/2039
FUJI FRUBAX2005/0199 fuji frubax 04945
KIKU SRL-GMBHeuro
6/201438840
08/09/2014 FUJI KIKU IT31/12/2044
GAIA2011/1879 b8a3-384 00127
Consorzio Italiano Vivaistieuro
4/201541125
08/06/2015 IT31/12/2045
GALAVAL2006/2472 gala richard 01119
Pépinières du Valoiseuro
5/201130560
25/07/2011 FR31/12/2041
GALMAC2003/1834 galmac 04312
Station Federale RACeuro
5/200516114
17/08/2005 GALMAC CH31/12/2035
GERLINDE1997/1487 gerlinde 01950
Artus Group Marketinggesellschaeuro
3/19994256
06/04/1999 DE31/12/2029
GOLD PINK1998/1512 dca 81.425.014 01869
ALMA MATER STUDIORUM-UNIeuro
6/200210184
21/10/2002 GOLDCHIEF IT31/12/2032
GOLDEN ORANGE1998/0878 golden orange 01758
Istituto Sperimentale per la Fruttieuro
6/200210182
21/10/2002 GOLDEN ORANGE IT31/12/2032
GOLDEN PARADIS20054595 MSV-019 100908
Universitat de Lleidaesp
4-2010002488
06/07/2010 GOLDEN PARADIS ES31/12/2040
GOLDLANE2005/1157 ueb 3812/2 04595
Henri Fleuren B.V.euro
3/201026968
22/03/2010 NL31/12/2040
GOLDOR2006/0642 hy32.1 00303
SNC Elariseuro
4/200720103
21/05/2007 FR31/12/2037
GRADIROSE2004/2210 rgb5.100 07413
Neath Investements Limitedeuro
4/200925392
08/06/2009 GI31/12/2039
GRADIYEL2004/2211 rgb2.66 07413
Neath Investements Limitedeuro
4/200925393
08/06/2009 GI31/12/2039
HARMENSZ2006/2051 vrds0401 08032
PEREMA SARLeuro
6/201130891
10/10/2011 LU31/12/2041
HEISEI FUJI1999/1480 heisei fuji 01644
Promo Fruit Ag.euro
4/20005866
17/04/2000 BENI SHOGUN* CH31/12/2030
HELIODOR2003/1163 ueb 3264/1 04283
Institute of Experimental Botanyeuro
6/200823532
13/10/2008 CZ31/12/2038
HESZTIA2012/1533 mr-10 07730
BUDAPESTI CORVINUS EGYETeuro
2/201334100
04/02/2013 HU31/12/2043
HIDALA1995/1478 Hidala 00685
Hill John and Sueeuro116
3/19971771
03/03/1997 HILLWELL NZ01/04/2022
HIROFU2000/1746 hiro-fu 03017
NV GEEFAeuro
5/200618168
17/07/2006 BE31/12/2036
HONEYCRISP1996/1289 mn 1711 01528
Regents of the University of Minneuro
4/20017797
11/06/2001 HONEYCRISP US31/12/2031
INA COX1999/1857 ina cox 06795
Olaf Ehlerseuro
1/20018427
05/11/2001 DE31/12/2031
17/04/2016 Pàgina 22 de 74
DenominacióNº Exp. Nom comercial Codi / Titular Butlletí
Nº POV
Inici Protecció Fi Referència Obtentor /
Malus domestica Borkh.
INESE2011/2657 d-4-90-3 07468
PURE HORTICULTURAL RESEeuro
6/201233577
08/10/2012 LV31/12/2042
INITIAL1999/0745 initial 00689
INRA-Institut National de la Recheuro
3/20017652
23/04/2001 INITIAL FR31/12/2031
INORED2011/0606 inored 07253/00689
Novardi SARL / INRAeuro
3/201540661
20/04/2015 FR31/12/2045
JEROMINE1997/0057 NOUE 9123 01119
Pépinières du Valoiseuro
5/20006599
26/07/2000 JEROMINE FR31/12/2030
JM12000/0437 jm 1 02050
National Institute of Fruit Tree Scieuro
5/200618123
17/07/2006 JP31/12/2036
JM71998/0399 jm7 02050
National Institute of Fruit Tree Scieuro
6/200516279
10/10/2005 JP31/12/2035
JOGLO2007/1404 br 26-7 05916
Joburn Aurora (NZ) Ltdeuro
1/201333812
19/11/2012 NZ31/12/2042
JOKO2011/2656 amd-55-29-21 07468
PURE HORTICULTURAL RESEeuro
6/201233578
08/10/2012 LV31/12/2042
JONAGOLD-BOEREKAMP1995/0395 jonagold-boerekamp 00100
Boerekamp & Bokkemseuro116
1/19982578
20/11/1997 NL01/03/2023
JONAGORED SUPRA1996/0200 00298
Jomobel N. V. - Morren-de Costeeuro
5/20006593
26/07/2000 BE31/12/2030
KARNEVAL2010/1213 ueb 3741/1 00700
Institut Für Experimentelle Botanieuro
3/201129620
18/04/2011 CZ31/12/2041
KERAMERE2012/0552 keramere 06934/00689
IFPC / INRAeuro
3/201540346
07/04/2015 FR31/12/2045
LA FLAMBOYANTE2003/0963 flamba 04240
Station Federale de Recherche eeuro
5/200516110
17/08/2005 CH31/12/2035
LAFAYETTE2010/2774 fn3505-526 00751
Purdue Research Foundationeuro
4/201438455
16/06/2014 US31/12/2044
LAST MINUTE1995/1099 p22 00765/01055
Shrama - Willemseuro116
1/19971300
15/10/1996 NL01/11/2021
LIGOLINA2011/0023 xix-133-d1 07220
INSTYTUT OGRODNICTWA (INeuro
2/201231389
23/01/2012 PL31/12/2042
LIZZY1995/1098 p16 00303
SNC Elariseuro116
1/19971299
15/10/1996 FR01/11/2023
LOCHBUIE RED BRAEBURN1995/2080 turners red 00227
Fipia New Zealand Ltdeuro116
1/200412026
10/11/2003 BRAEBURN LOCHBUIE NZ01/01/2034
LOUTERWATER GRANNY
SMITH
2004/0286 louterwater granny smith 04559
Louterwater Landgoedeuro
3/200924822
20/04/2009 ZA31/12/2039
LUNA2003/1436 ueb 3375/2 00700
Institut Für Experimentelle Botanieuro
3/200822063
07/04/2008 LUNA CZ31/12/2038
LUREFRESH2009/1272 lub a26/05 05369
Lubera AGeuro
5/201438462
07/07/2014 CH31/12/2044
LUREPREC2009/1271 lub a09/05 05369
Lubera AGeuro
5/201438461
07/07/2014 CH31/12/2044
MARIBELLE2007/0526 riky 2000 08032
PEREMA SARLeuro
3/201129530
18/04/2011 LU31/12/2041
MARIRI RED1995/2150 MR1 00227
Fipia New Zealand Ltdeuro
4/20017796
11/06/2001 APORO* (EVE) NZ31/12/2031
MC 382009/0354 mc 38 04945
KIKU SRL-GMBHeuro
3/201334832
22/04/2013 IT31/12/2043
MC DONALD APPLE2006/0452 mc donald apple 05364
MIKE ARGOeuro
3/201027257
19/04/2010 MC DONALD GALA US31/12/2040
MERIDIAN1999/0731 a 931/15 04662
East Malling Research Ltdeuro
6/200311651
08/09/2003 UK31/12/2033
17/04/2016 Pàgina 23 de 74
DenominacióNº Exp. Nom comercial Codi / Titular Butlletí
Nº POV
Inici Protecció Fi Referència Obtentor /
Malus domestica Borkh.
MERKUR2010/2688 ueb 3531/3 00700
Institut Für Experimentelle Botanieuro
2/201231549
20/02/2012 CZ31/12/2042
MILWA2002/1811 faw 5878 02600
Eidg. Forschunganstalt für Obs-euro
2/200616779
30/01/2006 MILWA CH31/12/2036
MINNEISKA2009/0820 mn 1914 01528
Regents of the University of Minneuro
4/201438454
16/06/2014 US31/12/2044
MINNEWASHTA2001/1152 mn 1824 01528
Regents of the University of Minneuro
2/200617001
27/02/2006 US31/12/2036
MOONLIGHT FL 3727 42005/1156 ueb 3727/4 04595
Henri Fleuren B.V.euro
2/201026759
22/02/2010 NL31/12/2040
MORED2009/0473 red toro 04639
Cultura Jean Moors Bvbaeuro
4/201438308
16/06/2014 BE31/12/2044
MOUNTAIN COVE1995/1212 00309
Adams County Nursery Inceuro116
2/19971639
15/01/1997 GINGER GOLD US01/11/2023
NC12010/0592 06940
John RolandBreacheuro
3/201540330
07/04/2015 UK31/12/2045
NEVSON1999/0702 PB 135 02103
Nevis fruit companyeuro
6/200413610
27/09/2004 NZ31/12/2034
NICOGREEN2000/1222 greenstar 04627
Better3Fruit NVeuro
4/200413323
21/06/2004 BE31/12/2034
NICOTER2001/0757 nicoter 04627
Better3Fruit NVeuro
4/200515369
10/05/2005 BE31/12/2035
ORION2005/0309 ueb 2718/1 04283
Institute of Experimental Botanyeuro
2/200616764
30/01/2006 CZ31/12/2036
P672012/1107 nr 528 07220
INSTYTUT OGRODNICTWA (INeuro
3/201540350
07/04/2015 PL31/12/2045
PIDI2004/0326 hl 75-26-18 04564
Forschungs institut fur Obstbau ueuro
2/200616757
30/01/2006 CZ31/12/2036
PINOVA1995/1072 pinova 02625
Sächsische Landesanstalt für Laeuro116
1/19971298
15/10/1996 CORAIL* DE01/10/2022
PIRELLA1997/0973 pirella 06760
Julius Kühn Instituteuro
4/19983127
02/06/1998 DE31/12/2028
PIVITA2010/2637 pivita 06760
Julius Kühn Instituteuro
4/201130383
06/06/2011 DE31/12/2041
PLFOG992009/1142 pink belle 06690/06691
Terry Fogliani/Dianne Foglianieuro
1/201436492
18/11/2013 AU31/12/2043
POMFORYOU2003/0332 ak 52-38-95 00672
Forschungsanstalt Geisenheimeuro
2/200616768
30/01/2006 DE31/12/2036
POMPINK2002/0182 ak 49-191-95 00672
Forschungsanstalt Geisenheimeuro
2/200514654
07/02/2005 DE31/12/2035
PREMA1532012/1590 a022 r14 t153 05582
Prevar Ltdeuro
3/201540352
07/04/2015 NZ31/12/2045
PREMA172011/0025 a160 r02 t017 05582
Prevar Ltdeuro
3/201437727
22/04/2014 NZ31/12/2044
PREMA2802007/1280 a020 r04 t280 05582
Prevar Ltdeuro
2/201333811
18/02/2013 NZ31/12/2043
PREMA962011/1499 a115 r02 t096 05582
Prevar Ltdeuro
4/201541124
08/06/2015 NZ31/12/2045
PRIMIERA1998/1513 pri 2750-1 co-op42) 01869
ALMA MATER STUDIORUM-UNIeuro
6/200210185
21/10/2002 IT31/12/2032
RAFZUBEX1997/0340 RAFZUBEX 01644
Promo Fruit Ag.euro
4/20029320
06/05/2002 RUBINETTE* ROSSO CH31/12/2032
RAJKA1998/0304 ueb2269/10 00700
Institut Für Experimentelle Botanieuro
2/20028880
18/02/2002 CZ31/12/2032
17/04/2016 Pàgina 24 de 74
DenominacióNº Exp. Nom comercial Codi / Titular Butlletí
Nº POV
Inici Protecció Fi Referència Obtentor /
Malus domestica Borkh.
REBELLA2002/0259 rebella 01848
Bundesanstalt für Züchtungsforseuro
6/200210198
21/10/2002 DE31/12/2032
RECOLOR2010/2638 recolor 06760
Julius Kühn Instituteuro
30384
06/06/2011 DE31/12/2041
RED FALSTAFF1998/1108 red falstaff 00051
Plant Breeding International Cameuro
3/19994251
06/04/1999 UK31/12/2029
RED IDARED1996/0895 tf 806 02644
Inter Plant Patent Marketing Inc.euro
3/200610227
27/03/2006 RED IDARED CA31/12/2036
RED JONAPRINCE1995/0393 p1 01708
Wilton Weert BVeuro
1/20005555
06/12/1999 NL31/12/2029
RED TOPAZ2001/0082 topaz v 03276
Malus Bunda Gesellschaft zur Föeuro
2/200617000
27/02/2006 DE31/12/2036
REDKAN2003/0262 redkan 03209
Gaec le Petit Pepinieristeeuro
3/200822061
21/04/2008 FR31/12/2038
REDLANE2005/1160 ueb 3290/1 04595
Henri Fleuren B.V.euro
3/201026965
22/03/2010 NL31/12/2040
REDSPRING2011/1828 ueb 3810/1 00700
Institut Für Experimentelle Botanieuro
2/201334099
04/02/2013 CZ31/12/2043
REDSTAR1998/0568 els 16 arb4 01119
Pépinières du Valoiseuro
6/200210180
21/10/2002 REDSTAR FR31/12/2032
REKARDA2010/2639 rekarda 06760
Julius Kühn Instituteuro
4/201130385
06/06/2011 DE31/12/2041
RENORA2001/1173 renora 01848
Bundesanstalt für Züchtungsforseuro
1/200310245
18/11/2002 DE18/11/2032
RESI1998/1852 resi 01848
Bundesanstalt für Züchtungsforseuro
4/19994696
21/06/1999 DE31/12/2029
RGLORS2008/0297 06172
Sicieta Agricola Mazzonieuro
5/201335893
29/07/2013 IT31/12/2043
RHAPSODIE2005/0752 ueb 3451/2 00346
Gevo Pflanzenvertrieb Gmbheuro
2/200924082
23/02/2009 DE31/12/2039
RNA 03042008/0818 rna 0304 03017
NV GEEFAeuro
4/201335205
06/05/2013 BE31/12/2043
RNA98422002/1430 rna9842 03017/03983
NV GEEFA - Nodop Clauseuro
4/200720093
21/05/2007 BE31/12/2037
ROELSTAR1997/1334 e.r. 97-0034 01918
Roelse Weuro
1/200412031
10/11/2003 NL01/01/2034
ROHO 36152001/1441 08044
HOFMANN SORTENSCHUTZ Geuro
3/200617112
27/03/2006 DE31/12/2036
ROMANCE2008/2980 ueb 2856/1 00700
Institut Für Experimentelle Botanieuro
4/201438114
19/05/2014 CZ31/12/2044
RONDO2005/0753 ueb 3449/1 00346
Gevo Pflanzenvertrieb Gmbheuro
2/200924083
23/02/2009 DE31/12/2039
ROSY GLOW2000/1727 rosy glow 03192
Salome Huberteuro
5/200618127
17/07/2006 ROSY GLOW FR31/12/2036
ROYAL BRAEBURN1998/1082 royal braeburn 02270
The François Family Trusteuro
6/200311960
21/10/2003 ROYAL BRAEBURN NZ31/12/2033
ROZELA2007/2201 ueb 3322/5 00700
Institut Für Experimentelle Botanieuro
4/200822308
05/05/2008 CZ31/12/2038
RUBINOLA1995/2928 RUBINOLA 00700
Institut Für Experimentelle Botanieuro
3/20005824
06/03/2000 CZ31/12/2030
RUBINSTEP1999/1871 rubinstep 03051
RESEARCH AND BREEDING INeuro
3/200514915
21/03/2005 CZ31/12/2035
RUCLA2008/1712 hl 251 04564
Forschungs institut fur Obstbau ueuro
2/200924091
23/02/2009 CZ31/12/2039
17/04/2016 Pàgina 25 de 74
DenominacióNº Exp. Nom comercial Codi / Titular Butlletí
Nº POV
Inici Protecció Fi Referència Obtentor /
Malus domestica Borkh.
SANTANA1996/0435 cpo 78038-9 06983
Stichting Dienst Landbouwkundigeuro
6/19963745
02/08/1996 NL31/12/2028
SCIEARLY1997/0604 GS 494 00915
The Horticulture & Food Researceuro
4/20017798
11/06/2001 NZ31/12/2031
SCIFRESH2001/0330 A20R2T273 02830
The Horticulture & Food Res. Int.euro
6/200516188
12/09/2005 JAZZ NZ31/12/2035
SCILATE2007/0546 a022r29t022 00915
The Horticulture & Food Researceuro
1/201333809
19/11/2012 NZ31/12/2042
SCIRED1996/0772 gs 58 00915
The Horticulture & Food Researceuro
5/20006605
26/07/2000 NZ31/12/2030
SCIROS1996/0117 gs2085 00915
The Horticulture & Food Researceuro
5/20006607
26/07/2000 NZ31/12/2025
SEKZIE2008/0512 lady in red 07043
Sunglo Varieties Ltd.euro
4/201541348
22/06/2015 NZ31/12/2045
SHALIMAR2008/2982 ueb 3374/2 00700
Institut Für Experimentelle Botanieuro
4/200925472
22/06/2009 CZ31/12/2039
SIMMONS1999/0999 simmons 02670
International Plant Management Ieuro
1/200412034
10/11/2003 BUCKEYE* GALA US01/01/2034
SIRIUS2005/0311 ueb 3177/1 00700
Institut Für Experimentelle Botanieuro
5/200720805
24/08/2007 CZ31/12/2037
SOLARIS2008/0476 ueb 3369/4 00700
Institut Für Experimentelle Botanieuro
3/201334437
18/03/2013 CZ31/12/2043
SONATE2005/0751 ueb 3467/1 00346
Gevo Pflanzenvertrieb Gmbheuro
2/200924081
23/02/2009 DE31/12/2039
SQ 1332008/0690 pri 1990-045-133 06983
Stichting Dienst Landbouwkundigeuro
4/201438356
16/06/2014 NL31/12/2044
SQ 1592009/1220 pri 1990-022-159 06983
Stichting Dienst Landbouwkundigeuro
3/201437718
22/04/2014 NL31/12/2044
SUMMERFREE1998/0880 summerfree 01758
Istituto Sperimentale per la Fruttieuro
6/200210183
21/10/2002 IT21/10/2032
SUNLIGHT2005/1159 ueb 3277/1 04595
Henri Fleuren B.V.euro
3/201026964
22/03/2010 NL31/12/2040
TOPAZ1995/1206 topas 00700
Institut Für Experimentelle Botanieuro
4/19982777
04/05/1998 TOPAZ CZ31/12/2028
TRELADINE2012/0553 treladine 06934/00689
IFPC / INRAeuro
3/201540347
07/04/2015 FR31/12/2045
TUNDA2005/2292 21/2/252 04627
Better3Fruit NVeuro
3/201027240
19/04/2010 BE31/12/2040
UEB 326422005/0310 ueb 3264/2 00700
Institut Für Experimentelle Botanieuro
2/200616749
30/01/2006 OPAL CZ31/12/2036
UEB 3366 12009/0012 ueb-3366/1 04595
Henri Fleuren B.V.euro
2/201436794
10/02/2014 NL31/12/2044
UEB260022005/0750 mars (ueb 2600/2) 00346
Gevo Pflanzenvertrieb Gmbheuro
2/200924080
23/02/2009 DE31/12/2039
VALTOD2005/0626 valtod 04945
KIKU SRL-GMBHeuro
6/201233400
10/09/2012 REDCAP IT31/12/2042
VERDERO2009/1701 decosta-mutant 00267/06235/06757/0
Hendrick Josef de Coster -euro
3/201437719
22/04/2014 BE31/12/2044
VERMUEL2008/0716 mutant zweeren 06234/06235
WILLEM FREDERIK ZWEEREN/euro
4/201437906
05/05/2014 NL31/12/2044
WESTERN DAWN2008/1590 23/74 03971
State of Western Australiaeuro
4/201438358
16/06/2014 AU31/12/2044
WILTONS STAR2002/1542 aw 2001 07661
PRINCE INTERNATIONAL S.A.euro
6/200618578
23/10/2006 LU31/12/2036
17/04/2016 Pàgina 26 de 74
DenominacióNº Exp. Nom comercial Codi / Titular Butlletí
Nº POV
Inici Protecció Fi Referència Obtentor /
Malus domestica Borkh.
WUR372011/0193 pri 1993-018-037 06983
Stichting Dienst Landbouwkundigeuro
3/201540337
07/04/2015 NL31/12/2045
ZARI2005/2293 1/1/174 04627
Better3Fruit NVeuro
3/201027241
19/04/2010 BE31/12/2040
ZONGA2005/2291 7/5/251 04627
Better3Fruit NVeuro
3/201027239
19/04/2010 BE31/12/2040
Especie Malus Mill.
DenominacióNº Exp. Nom comercial Codi / Titular Butlletí
Nº POV
Inici Protecció Fi Referència Obtentor /
POMERA
G 112003/1135 786r5-011 02540
Cornell Research Foundationeuro
4/200720406
18/06/2007 US31/12/2037
G 2022007/2592 g.202 02540/08093
Cornell Research/USDAeuro
5/201335892
29/07/2013 US31/12/2043
G 412009/0903 g.41 02540/06085
Cornell Research - Boomkwekerijeuro
6/201438869
08/09/2014 US31/12/2044
G.9352010/1835 g.935 02540/06085
Cornell Research - Boomkwekerijeuro
6/201541597
21/09/2015 US31/12/2045
M 1162005/2055 ar4 86-1-25 04662
East Malling Research Ltdeuro
5/201130555
25/07/2011 UK31/12/2041
PI 801995/2090 01706/00758
P. Demol - SNC Elariseuro
1/19971292
15/10/1996 SUPPORTER 4 FR31/12/2026
PURE 12011/2731 pure 1 07468
PURE HORTICULTURAL RESEeuro
6/201233541
08/10/2012 LV31/12/2042
ROSALIE2011/1829 ueb 3459/1 00700
Institut Für Experimentelle Botanieuro
4/201335515
03/06/2013 CZ31/12/2043
TOTEM2001/0824 sa572-2 04662/00011
East Mallin Researh /euro
1/20028484
19/11/2001 UK31/12/2031
Especie Malus sieboldii (Regel) Rehd.
DenominacióNº Exp. Nom comercial Codi / Titular Butlletí
Nº POV
Inici Protecció Fi Referència Obtentor /
POMERA ORNAMENTAL
FREJA1998/1204 freja 02322
OLE BONSDORFeuro
6/20018176
10/09/2001 DK31/12/2026
Especie Musa acuminata Colla
DenominacióNº Exp. Nom comercial Codi / Titular Butlletí
Nº POV
Inici Protecció Fi Referència Obtentor /
BANANER
ADI2009/0344 rm22/44-1 06578
Rahan Meristem (1998) Ltd.euro
6/201438913
22/09/2014 IL31/12/2044
CHEEKA2008/2919 cheeka 04786
Magaly Zaias-Fasteuro
4/201129956
23/05/2011 US31/12/2036
FLHORBAN9162002/0537 flhor916 03112
CIRADeuro
5/200413753
19/07/2004 FR31/12/2034
FLHORBAN9172002/0538 03112
CIRADeuro
5/200413754
19/07/2004 FR31/12/2034
FLHORBAN9182002/0539 03112
CIRADeuro
5/200413755
19/07/2004 FR31/12/2034
FLHORBAN9192002/0540 03112
CIRADeuro
5/200413756
19/07/2004 FR31/12/2034
FLHORBAN9202002/0541 03112
CIRADeuro
5/200413757
19/07/2004 FR31/12/2034
FLHORBAN9212002/0542 03112
CIRADeuro
5/200413758
19/07/2004 FR31/12/2034
17/04/2016 Pàgina 27 de 74
DenominacióNº Exp. Nom comercial Codi / Titular Butlletí
Nº POV
Inici Protecció Fi Referència Obtentor /
Olea europaea L.
Especie Olea europaea L.
DenominacióNº Exp. Nom comercial Codi / Titular Butlletí
Nº POV
Inici Protecció Fi Referència Obtentor /
OLIVERA
SIKITITA2007/1040 uc-8-7 05851/05854
Univ. Córdoba - IFAPAeuro
3/200924380
23/03/2009 CHIQUITITA ES31/12/2039
TALAYOTICA20084839 talayotica ES940
Lorenzo Mestre Mayolesp
BOE98002685
25/04/2015 ES31/12/2044
VAS ONE2008/0715 ita-01-08 06230
Vivai Attilo Sonnoli SASeuro
2/201539504
09/02/2015 VAS ONE IT31/12/2045
Especie Paulownia elongata S. Y. Hu
DenominacióNº Exp. Nom comercial Codi / Titular Butlletí
Nº POV
Inici Protecció Fi Referència Obtentor /
PAULOWNIA
COTEVISA 12007/1678 cotevisa 1 05949
Comercial Técnica y Viveros SL (euro
3/201231619
05/03/2012 ES31/12/2042
Especie Paulownia elongata S. Y. Hu x Paulownia fortunei (Seem.)
Hemsl.
DenominacióNº Exp. Nom comercial Codi / Titular Butlletí
Nº POV
Inici Protecció Fi Referència Obtentor /
PAULOWNIA
"PHOENIX ONE"2012/2516 phoenix ntp-1 08783
WEGROW GMBHeuro
3/201539980
23/03/2015 DE31/12/2045
COTEVISA 22007/1679 cotevisa 2 05949
Comercial Técnica y Viveros SL (euro
3/201231620
05/03/2012 ES31/12/2042
Especie Persea americana
DenominacióNº Exp. Nom comercial Codi / Titular Butlletí
Nº POV
Inici Protecció Fi Referència Obtentor /
ALVOCAT
MENDEZ NO 12005/0925
euro
1/201642015
23/11/2015 31/12/2045
Especie Pinus L.
DenominacióNº Exp. Nom comercial Codi / Titular Butlletí
Nº POV
Inici Protecció Fi Referència Obtentor /
PI
GAELLE BREGEON1995/2421 N.V.T. 06148/06149/06150
Gaelle, Aurelie, Pierrick Bregeoneuro
1/19971231
15/10/1996 CH15/10/2026
HÉLENE BREGEON1999/0871 gru pi9901 06148/06149/06150
Gaelle, Aurelie, Pierrick Bregeoneuro
3/200310976
28/04/2003 CH28/04/2033
MARIE BREGEON2000/0471 marie bregeon 06148/06149/06150
Gaelle, Aurelie, Pierrick Bregeoneuro
6/20017859
08/10/2001 CH31/12/2031
PIERRICK BREGEON1995/1094 06148/06149/06150
Gaelle, Aurelie, Pierrick Bregeoneuro116
1/19971230
15/10/1996 CH01/09/2022
Especie Populus deltoides W. Bartam. ex Marshall
DenominacióNº Exp. Nom comercial Codi / Titular Butlletí
Nº POV
Inici Protecció Fi Referència Obtentor /
POLLANCRE
DELGAS2011/0492 gis-d1717 00689/05783/07244
INRA/euro
3/201334574
18/03/2013 FR31/12/2043
DELLINOIS2011/0491 gis-d1248 00689/05783/07244
INRA/euro
3/201334573
18/03/2013 FR31/12/2043
DELRIVE2011/0489 gis-d1121 00689/05783/07244
INRA/euro
3/201334571
18/03/2013 FR31/12/2043
DELVIGNAC2011/0490 gis-d1226 00689/05783/07244
INRA/euro
3/201334572
18/03/2013 FR31/12/2043
DVINA1998/0086 35/36 or 66-035 01979
Instituto di Sperimentazzione pereuro
4/20017791
11/06/2001 IT31/12/2031
OGLIO2009/0246 pe 66019 01979
Instituto di Sperimentazzione pereuro
4/201129841
10/05/2011 IT31/12/2041
17/04/2016 Pàgina 28 de 74
DenominacióNº Exp. Nom comercial Codi / Titular Butlletí
Nº POV
Inici Protecció Fi Referència Obtentor /
Populus deltoides W. Bartam. ex Marshall
PURPLE TOWER2008/2911 purple tower 03740
Kromhout B.V.euro
3/201232002
19/03/2012 NL31/12/2042
SAN LORENZO2010/2255 npu 07126
José Lorenzo García Férrizeuro
4/201335514
03/06/2013 ES31/12/2043
Especie Populus L.
DenominacióNº Exp. Nom comercial Codi / Titular Butlletí
Nº POV
Inici Protecció Fi Referència Obtentor /
POLLANCRE
"VIGOR"2013/0513 6005 06564
E.U.R.L. 3C2Aeuro
3/201540682
20/04/2015 FR31/12/2045
A4A2002/1097 a4a 03141/03933/03934/0
Alasia, C/euro
3/200515077
18/04/2005 IT31/12/2035
AF22005/2687 af2 03141/03142/03144
Alasia, C/ Alasia, G/euro
4/200822655
19/05/2008 IT31/12/2038
AF82008/0138 03141/03142/03144
Alasia, C/ Alasia, G/euro
4/201027376
10/05/2010 IT31/12/2040
ALBELO2006/1911 4247 00745
Poloni Louiseuro
3/200924761
20/04/2009 FR31/12/2039
BAKAN2005/0035 ibw/9 00665
Eigen Vermogen - Institut voor Beuro
4/200720213
04/06/2007 BE31/12/2037
BALDO2007/0422 cas 85-036 01979
Instituto di Sperimentazzione pereuro
4/200925211
18/05/2009 IT31/12/2039
BRENTA2001/0687 ita-101 01979
Instituto di Sperimentazzione pereuro
4/200413688
21/06/2004 IT31/12/2034
DANO2009/0274 528 06564
E.U.R.L. 3C2Aeuro
3/201129310
21/03/2011 FR31/12/2041
DEGROSSO2006/1910 3261 00745
Poloni Louiseuro
3/200924760
20/04/2009 FR31/12/2039
GARO2009/0272 508 06564
E.U.R.L. 3C2Aeuro
3/201129308
21/03/2011 FR31/12/2041
GRIMMINGE1999/1768 i.b.w./4 00665
Eigen Vermogen - Institut voor Beuro
3/20029262
15/04/2002 BE31/12/2032
HAZENDANS1995/3038 hazendans 00665
Eigen Vermogen - Institut voor Beuro
3/19982731
06/04/1998 BE31/12/2028
HEES1995/1589 00745
Poloni Louiseuro116
1/19971295
15/10/1996 FR01/11/2021
HOOGVORST1995/3037 hoogvorst 00665
Eigen Vermogen - Institut voor Beuro
3/19994289
06/04/1999 BE31/12/2024
KOSTER1995/1587 00745
Poloni Louiseuro116
1/19971293
15/10/1996 FR01/11/2021
LENA1998/1454 r89 01979
Instituto di Sperimentazzione pereuro
4/20017866
25/06/2001 IT31/12/2031
LUDO2009/0273 518 06564
E.U.R.L. 3C2Aeuro
3/201129309
21/03/2011 FR31/12/2041
MELLA2001/0688 ita-146 01979
Instituto di Sperimentazzione pereuro
4/200413689
21/06/2004 IT31/12/2034
MUUR1999/1769 i.b.w./5 00665
Eigen Vermogen - Institut voor Beuro
3/20029263
15/04/2002 BE31/12/2032
NEVA1998/1455 74/76 or 76-074 01979
Instituto di Sperimentazzione pereuro
4/20017867
25/06/2001 IT31/12/2031
OUDENBERG1999/1770 i.b.w./6 00665
Eigen Vermogen - Institut voor Beuro
3/20029264
15/04/2002 BE31/12/2032
PATRIZIA INVERNIZZI1997/0992 04626
Azienda Agricola Invernizzi Sorelleuro
4/20006032
05/06/2000 IT31/12/2030
POLARGO2006/1912 6187 00745
Poloni Louiseuro
3/200924762
20/04/2009 FR31/12/2039
17/04/2016 Pàgina 29 de 74
DenominacióNº Exp. Nom comercial Codi / Titular Butlletí
Nº POV
Inici Protecció Fi Referència Obtentor /
Populus L.
RONA2009/0275 538 06564
E.U.R.L. 3C2Aeuro
3/201129311
21/03/2011 FR31/12/2041
SANOSOL2006/1913 10653 00745
Poloni Louiseuro
3/200924763
20/04/2009 FR31/12/2039
SENO2009/0276 548 06564
E.U.R.L. 3C2Aeuro
3/201129312
21/03/2011 FR31/12/2041
SKADO2005/0036 ibw/10 00665
Eigen Vermogen - Institut voor Beuro
4/200720215
04/06/2007 BE31/12/2037
SOLIGO2001/0690 80-017 01979
Instituto di Sperimentazzione pereuro
4/200413691
21/06/2004 IT31/12/2034
TARO2001/0691 82-017 01979
Instituto di Sperimentazzione pereuro
4/200413692
21/06/2004 IT31/12/2034
VESTEN1999/1771 i.b.w./7 00665
Eigen Vermogen - Institut voor Beuro
3/20029265
15/04/2002 BE31/12/2032
Especie Populus x canadensis Moench
DenominacióNº Exp. Nom comercial Codi / Titular Butlletí
Nº POV
Inici Protecció Fi Referència Obtentor /
POLLANCRE
"AGORA"2013/0462 605 06564
E.U.R.L. 3C2Aeuro
3/201540710
20/04/2015 FR31/12/2045
"KELAOS"2013/0515 810 06564
E.U.R.L. 3C2Aeuro
3/201540216
07/04/2015 FR31/12/2045
"NIKOS"2013/0475 804 06564
E.U.R.L. 3C2Aeuro
3/201540214
07/04/2015 FR31/12/2045
"PALORN"2013/0465 610 06564
E.U.R.L. 3C2Aeuro
3/201540711
20/04/2015 FR31/12/2045
"QUANTA"2013/0516 706 06564
E.U.R.L. 3C2Aeuro
3/201540717
20/04/2015 FR31/12/2045
"SPRINT"2013/0478 803 06564
E.U.R.L. 3C2Aeuro
3/201540712
20/04/2015 FR31/12/2045
"TREPOLE"2013/0514 811 06564
E.U.R.L. 3C2Aeuro
3/201540716
20/04/2015 FR31/12/2045
"TURBO"2013/0476 808 06564
E.U.R.L. 3C2Aeuro
3/201540215
07/04/2015 FR31/12/2045
ALERAMO2012/0361 83.141.020 01979
Instituto di Sperimentazzione pereuro
5/201438492
07/07/2014 IT31/12/2044
ARNO2007/0421 76-071 01979
Instituto di Sperimentazzione pereuro
4/200925210
18/05/2009 IT31/12/2039
DIVA2012/0360 83.002.031 01979
Instituto di Sperimentazzione pereuro
5/201438690
28/07/2014 IT31/12/2044
IMOLA2012/0363 84.260.003 01979
Instituto di Sperimentazzione pereuro
5/201438494
07/07/2014 IT31/12/2044
MOLETO2013/0495 83.190.012 06900
CONSIGLIO PER LA RICERCAeuro
3/201540714
20/04/2015 IT31/12/2045
MOMBELLO2013/0496 84.048.032 06900
CONSIGLIO PER LA RICERCAeuro
3/201540715
20/04/2015 IT31/12/2045
MONCALVO2013/0494 83.024.017 06900
CONSIGLIO PER LA RICERCAeuro
3/201540713
20/04/2015 IT31/12/2045
ORION2007/0423 83.148.041 01979
Instituto di Sperimentazzione pereuro
4/200925212
18/05/2009 IT31/12/2039
TUCANO2012/0362 84.260.003 01979
Instituto di Sperimentazzione pereuro
5/201438493
07/07/2014 IT31/12/2044
17/04/2016 Pàgina 30 de 74
DenominacióNº Exp. Nom comercial Codi / Titular Butlletí
Nº POV
Inici Protecció Fi Referència Obtentor /
Prunus × schmittii Rehder
Especie Prunus × schmittii Rehder
DenominacióNº Exp. Nom comercial Codi / Titular Butlletí
Nº POV
Inici Protecció Fi Referència Obtentor /
GI 318172013/1855 gi 31817 00347
Consortium Deutscher Baumscheuro
2/201642315
25/01/2016 DE31/12/2046
Especie Prunus amigdalus x Prunus persica
DenominacióNº Exp. Nom comercial Codi / Titular Butlletí
Nº POV
Inici Protecció Fi Referència Obtentor /
HÍBRID PRESSXAMET
AB 32005/2607 pescomandorlo ab/3 05287
Alfio Brunoeuro
3/201129120
18/04/2011 IT31/12/2041
ADARCIAS19933565 519
C.S.I.C.Tabesp
BOE-69002094
21/03/2003 ADARCIAS ES21/03/2023
CARMELO20024398 ES922
Carmelo Bernal Palazonesp
1-2011002510
18/01/2011 ES31/12/2041
FELINEM2000/0793 felinem 02018/01826
DGA - INIAeuro
6/200516366
24/10/2005 FELINEM (GXN - 22) ES31/12/2035
GARNEM1998/0249 garnem 01826/02018
INIA - DGAeuro
6/200516363
24/10/2005 GARNEM ES31/12/2035
MONEGRO1998/0248 monegro 01826/02018
INIA - DGAeuro
6/200516362
24/10/2005 MONEGRO (GXN-9) ES31/12/2035
NANOPAC2008/0618 pac 0009-01 03862
AGROMILLORA CATALANA SAeuro
4/201438202
02/06/2014 ROOTPAC-40 ES31/12/2044
Especie Prunus armeniaca L.
DenominacióNº Exp. Nom comercial Codi / Titular Butlletí
Nº POV
Inici Protecció Fi Referència Obtentor /
ALBERCOQUER
AC HAROPRIME2007/1844 ac haroprime 05973
Agriculture et Agroalimentaire Caeuro
4/200925458
22/06/2009 CA31/12/2039
ALBALUZ2008/2078 alba luz 06204
Carmelo Bernal Palazóneuro
4/201232949
18/06/2012 ES31/12/2042
ALBASOL2008/0548 alba 06204
Carmelo Bernal Palazóneuro
4/201232943
18/06/2012 ES31/12/2042
ALMABAR20034526 1312431 ES919
SAT Frutariaesp
4-2012002550
28/06/2012 ES31/12/2042
ALMADULCE20074761 durabar ES919
SAT Frutariaesp
4-2012002551
28/06/2012 ES31/12/2042
ALMATER20034525 15108 ES919
SAT Frutariaesp
BOE-23002503
18/01/2011 ALMATER ES31/12/2041
ANEGAT2011/0443 anegat 00689
INRA-Institut National de la Recheuro
1/201539320
18/12/2014 FR31/12/2044
APRIBANG2008/0593 03.16.01 ab - asf 0405(A99 R2 T39) 04628
SARL Agro Selection Fruitseuro
4/201232945
18/06/2012 FR31/12/2042
APRINEW2012/0748 02.11.19ab - asf0916 04628
SARL Agro Selection Fruitseuro
2/201642312
25/01/2016 FR31/12/2046
APRIQUEEN2008/0592 03.16.41 ab - asf 0404 04628
SARL Agro Selection Fruitseuro
4/201232944
18/06/2012 FR31/12/2042
APRIROME2008/0594 02.01.121 ab - asf 0406 04628
SARL Agro Selection Fruitseuro
4/201232946
18/06/2012 FR31/12/2042
APRISWEET2008/0595 03.16.43 ab - asf 0409 04628
SARL Agro Selection Fruitseuro
4/201232947
18/06/2012 FR31/12/2042
ASFCOT02012011/0567 01.20.44ab - asf0201 04628
SARL Agro Selection Fruitseuro
1/201539322
18/12/2014 FR31/12/2044
AVICLO2007/2767 a3950 00689
INRA-Institut National de la Recheuro
2/200924107
23/02/2009 BERGEVAL* FR31/12/2039
17/04/2016 Pàgina 31 de 74
DenominacióNº Exp. Nom comercial Codi / Titular Butlletí
Nº POV
Inici Protecció Fi Referència Obtentor /
Prunus armeniaca L.
AVIRINE1998/1842 avirine 00689
INRA-Institut National de la Recheuro
5/200311478
07/07/2003 BERGAROUGE FR31/12/2033
BAYOTO1995/0920 00787
Washington State Universityeuro
6/19994881
20/09/1999 FLAVOR COT* US31/12/2029
BO 886171022009/2144 bo 88617102 01869/04704/06419/0
C.R.P.V/Apofruit Italia/Universitàeuro
3/201437195
24/03/2014 IT31/12/2044
BO 906100102003/0301 bo 90.610.010 04148/01869
DIPRT COLTURE ARBOREE/C.euro
3/200822062
07/04/2008 BORA IT31/12/2038
CANDIDE2007/2768 a4025 00689
INRA-Institut National de la Recheuro
2/200924108
23/02/2009 FR31/12/2039
CARMEN POP (CARMEN
TOP)
1998/1329 carmen 05289
Vivai Piante Battistini Società Agreuro
5/200618133
17/07/2006 CARMEN POP IT31/12/2036
CHARISMA2006/0859 charisma 03945
ARC Infruitec - Nietvoorbijeuro
4/201130089
23/05/2011 ZA31/12/2041
CLARINA2007/1099 clarina 00346
Gevo Pflanzenvertrieb Gmbheuro
3/201231871
19/03/2012 DE31/12/2042
COLORADO2007/2979 435-15 04411
PSB Producción Vegetal SLeuro
3/201334433
18/03/2013 ES31/12/2043
CONGAT2011/0445 congat 00689
INRA-Institut National de la Recheuro
1/201539321
18/12/2014 FR31/12/2044
COTPY1997/0229 22763 N¦2 06221
Benoit Escande Edition SARLeuro
3/200413109
19/04/2004 PINKCOT* FR31/12/2034
COULOUMINE2004/0003 ep 00.01 ab. 02954
Scea Euro Pépinièreseuro
5/200720570
06/08/2007 ORANGE RUBIS* FR31/12/2037
CSIC CEBAS
MIRLOBLANCO
2009/2019 z-1001-8-14 00648
Consejo Sup. de Investigacioneseuro
3/201437419
07/04/2014 ES31/12/2044
CSIC CEBAS VALORANGE2009/1036 Z-503-2 00648
Consejo Sup. de InvestigacionesEURO
3/201437418
07/04/2014 ES31/12/2044
CSIC MIRLO ANARANJADO2010/1309 z1001-7-58 03543/04292/05903/0
José Egea /David Ruiz /Pedro Meuro
4/201541122
08/06/2015 ES31/12/2045
CSIC MIRLO ROJO2010/1308 z1001-6-11 03543/07016/04292/0
José Egea/Antonio Molina/Davideuro
4/201541121
08/06/2015 ES31/12/2045
DAMA ROSA20094891 01157
IVIA - Institut Valencià d'Investigesp
1-2016002690
12/12/2015 DAMA ROSA ES31/12/2045
DAMA TARONJA20094890 01157
IVIA - Institut Valencià d'Investigesp
1-2014002631
27/12/2013 DAMA TARONJA ES31/12/2043
DIGAT2011/0446 digat 00689
INRA-Institut National de la Recheuro
2/201436914
24/02/2014 FR31/12/2044
DORADA2003/1216 z102-11 00648
Consejo Sup. de Investigacioneseuro
3/200822064
07/04/2008 ES31/12/2038
EA 50162008/2803 ea 5016 06221
Benoit Escande Edition SARLeuro
3/201334434
18/03/2013 FR31/12/2043
EA3126TH2004/1448 ea 3126 th 06221
Benoit Escande Edition SARLeuro
4/200925354
08/06/2009 SPRING BLUSH* FR31/12/2039
EA40062004/1449 ea 4006 06221
Benoit Escande Edition SARLeuro
4/200925355
08/06/2009 BIG RED* FR31/12/2039
FARALIA2004/2455 1285 04880
International Plant Selectioneuro
4/200925360
08/06/2009 FARALIA FR31/12/2039
FARBALY2004/2454 2437 04880
International Plant Selectioneuro
4/200925359
08/06/2009 FARBALY FR31/12/2039
FARCLO2004/2453 2226 04880
International Plant Selectioneuro
4/200925358
08/06/2009 FARCLO FR31/12/2039
FARDAO2004/2452 2381 04880
International Plant Selectioneuro
4/200925357
08/06/2009 FARDAO FR31/12/2039
17/04/2016 Pàgina 32 de 74
DenominacióNº Exp. Nom comercial Codi / Titular Butlletí
Nº POV
Inici Protecció Fi Referència Obtentor /
Prunus armeniaca L.
FARELY2005/2697 1916 04880
International Plant Selectioneuro
3/201027254
19/04/2010 FARELY FR31/12/2040
FARFIA2005/2698 2388 04880
International Plant Selectioneuro
3/201027255
19/04/2010 FARFIA FR31/12/2040
FARHIAL2005/2699 2458 04880
International Plant Selectioneuro
3/201027256
19/04/2010 FARHIAL FR31/12/2040
FARIUS2006/2637 2746 04880
International Plant Selectioneuro
4/201130099
23/05/2011 FARIUS FR31/12/2041
FARLIS2008/2826 s617 04880
International Plant Selectioneuro
3/201232268
10/04/2012 FR31/12/2042
FARTOLI2008/2986 s 6 65 04880
International Plant Selectioneuro
3/201437082
10/03/2014 FR31/12/2044
FINA2006/1644 dm 109-5 05478
BEN-DOR FRUITS & NURSERIEeuro
3/201334430
18/03/2013 IL31/12/2043
FLODEA2004/2504 a28-59 04411
PSB Producción Vegetal SLeuro
3/201027234
19/04/2010 ES31/12/2040
FLONECA2004/2503 a15-9 04411
PSB Producción Vegetal SLeuro
3/201027233
19/04/2010 ES31/12/2040
FLOPRIA2004/2505 a35-109 04411
PSB Producción Vegetal SLeuro
4/200925367
08/06/2009 FLOPRIA ES31/12/2039
FRISSON2006/1285 a 2821 00689
INRA-Institut National de la Recheuro
2/200924103
23/02/2009 FR31/12/2039
HARROW RED2003/1625 hw 458 04376
Research Planning and Coordinaeuro
3/200617325
24/04/2006 HARROW RED CA31/12/2036
HARVAL1995/0515 HW 437 00159
Agriculture & Agri-Food Canadaeuro116
6/19983721
05/10/1998 HARVAL CA01/11/2023
HILDE2007/1098 hilde 00346
Gevo Pflanzenvertrieb Gmbheuro
3/201231870
19/03/2012 DE31/12/2042
IPS22502006/2648 2250 04880
International Plant Selectioneuro
4/201130123
23/05/2011 FR31/12/2041
IPS3362007/2825 s336 04880
International Plant Selectioneuro
3/201232267
10/04/2012 FR31/12/2042
IPS5762006/2641 s576 04880
International Plant Selectioneuro
4/201130121
23/05/2011 FR31/12/2041
IPS612006/2642 s61 04880
International Plant Selectioneuro
3/201232262
10/04/2012 FR31/12/2042
IPS6492006/2646 s649 04880
International Plant Selectioneuro
3/201232263
10/04/2012 FR31/12/2042
IPS6602006/2647 s660 04880
International Plant Selectioneuro
3/201232264
10/04/2012 FR31/12/2042
IPS682006/2643 s68 04880
International Plant Selectioneuro
4/201130122
23/05/2011 FR31/12/2041
KIOTO1999/1644 a 3163 06221
Benoit Escande Edition SARLeuro
4/200617602
22/05/2006 KIOTO FR31/12/2036
KURESIA2001/1671 kuresia 00346
Gevo Pflanzenvertrieb Gmbheuro
3/200719934
16/04/2007 KURESIA DE31/12/2037
LADY COT2006/2070 hyb-3-3b 05615
Marie-Laure Eteve-Lambertineuro
3/201129635
18/04/2011 LADY COT FR31/12/2041
LARCLYD1998/0605 f 168 02103
Nevis fruit companyeuro
4/200617626
22/05/2006 JENNY COT* NZ31/12/2036
LATICA2006/0024 a35-105 04411
PSB Producción Vegetal SLeuro
4/201130087
23/05/2011 ES31/12/2041
LILLY COT2002/1585 apr 08-7 04767
SDR Fruit Llceuro
4/200720102
21/05/2007 LILLY COT US31/12/2037
17/04/2016 Pàgina 33 de 74
DenominacióNº Exp. Nom comercial Codi / Titular Butlletí
Nº POV
Inici Protecció Fi Referència Obtentor /
Prunus armeniaca L.
LUNAFULL2007/1639 luna 05942
Mario Gualandieuro
4/201232798
21/05/2012 IT31/12/2042
MADISON2007/2980 403-5 04411
PSB Producción Vegetal SLeuro
3/201232269
10/04/2012 ES31/12/2042
MAGIC COT2004/1623 a99 r2 t39 04767
SDR Fruit Llceuro
4/200925347
08/06/2009 MAGIC COT US31/12/2039
MAMBO2009/0180 458-1 04411
PSB Producción Vegetal SLeuro
3/201437192
24/03/2014 ES31/12/2044
MARAVITA2007/0086 a15-37 04411
PSB Producción Vegetal SLeuro
3/201334431
18/03/2013 ES31/12/2043
MARGOTINA2009/0181 a28-2 04411
PSB Producción Vegetal SLeuro
3/201437193
24/03/2014 ES31/12/2044
MARVINKA2007/0088 a14-63 04411
PSB Producción Vegetal SLeuro
3/201232266
10/04/2012 ES31/12/2042
MAS 9262002/1884 mas926 02830
The Horticulture & Food Res. Int.euro
4/200720094
21/05/2007 NZ31/12/2037
MEDAGA2005/2693 01 04880
International Plant Selectioneuro
3/201027250
19/04/2010 MEDAGA FR31/12/2040
MEDALIS2010/2864 1 7 80 04880
International Plant Selectioneuro
2/201539541
23/02/2015 MEDALIS FR31/12/2045
MEDIABEL2008/2985 2 10 103 04880
International Plant Selectioneuro
3/201334435
18/03/2013 FR31/12/2043
MEGATEA2009/0053 y38-4 04411
PSB Producción Vegetal SLeuro
3/201334831
22/04/2013 ES31/12/2043
MILORD2010/2755 2084-26 04411
PSB Producción Vegetal SLeuro
2/201539540
23/02/2015 MILORD ES31/12/2045
MINO2007/1100 mino 00346
Gevo Pflanzenvertrieb Gmbheuro
3/201231872
19/03/2012 DE31/12/2042
MIRANDELA2007/0087 a28-58 04411
PSB Producción Vegetal SLeuro
3/201232265
10/04/2012 ES31/12/2042
MOGADOR2007/0091 445-2 04411
PSB Producción Vegetal SLeuro
3/201334432
18/03/2013 ES31/12/2043
MOIXENT20084813 01157
IVIA - Institut Valencià d'Investigesp
3-2013002606
06/07/2013 ES31/12/2043
MONABRI2007/2976 nr 1 2006 01045
Monteux Gaillet Reneeuro
2/201231431
06/02/2012 MONABRI FR31/12/2042
MONGRAND2008/1503 hg nr 1 01045
Monteux Gaillet Reneeuro
2/201334164
01/02/2013 MONGRAND FR31/12/2043
MONTIER2007/2977 nr 2 2006 01045
Monteux Gaillet Reneeuro
2/201334163
18/02/2013 MONTIER FR31/12/2043
MURCIANA2003/1217 z504-5 00648
Consejo Sup. de Investigacioneseuro
3/200822065
07/04/2008 ES31/12/2038
PERLE COT2002/1584 apr 38-4 04767
SDR Fruit Llceuro
4/200720101
21/05/2007 PERLE COT US31/12/2037
PIEVE2009/1346 bo 89608015 06419
Universita degli Studi di Milanoeuro
3/201437360
24/03/2014 IT31/12/2044
PRIABEL2004/2456 573 04880
International Plant Selectioneuro
4/200925361
08/06/2009 PRIABEL FR31/12/2039
PRIBOTO1995/0918 pr 01 00753/01320
Riou, P - Riou, JFeuro
1/19994170
01/12/1998 PR O1-PRIBOTO FR31/12/2028
PRIMARINA2005/2694 041 04880
International Plant Selectioneuro
3/201027251
19/04/2010 PRIMARINA FR31/12/2040
PRIMARIS2005/2695 1314 04880
International Plant Selectioneuro
3/201027252
19/04/2010 PRIMARIS FR31/12/2040
17/04/2016 Pàgina 34 de 74
DenominacióNº Exp. Nom comercial Codi / Titular Butlletí
Nº POV
Inici Protecció Fi Referència Obtentor /
Prunus armeniaca L.
PRIMAYA2005/2696 1594 04880
International Plant Selectioneuro
3/201027253
19/04/2010 PRIMAYA FR31/12/2040
PRIMIUS2008/2987 s 2 76 04880
International Plant Selectioneuro
3/201334436
18/03/2013 FR31/12/2043
RAVILONG2006/1289 a 3759 00689/03652
INRA - SICA CENTREXeuro
2/200924106
23/02/2009 FR31/12/2039
RAVIVAL2006/1288 a3838 00689/03652
INRA - SICA CENTREXeuro
2/200924105
23/02/2009 FR31/12/2039
REVLAR2000/1947 ruoge 2000 03237/08287
/ STAR FRUITS DIFFUSION S.euro
5/200311479
07/07/2003 TARDIROUGE* FR31/12/2033
ROBADA1995/0725 ROBADA 00280
The United States of America/R.euro
6/200210209
21/10/2002 ROBADA US21/10/2032
ROJO PASION2001/1288 z505-4 00648
Consejo Sup. de Investigacioneseuro
3/200719932
16/04/2007 ROJO PASION ES31/12/2037
RUBISSIMO2006/2649 e140 04880
International Plant Selectioneuro
4/201131124
23/05/2011 FR31/12/2041
RUTBHART1995/0259 nja53 00111
The State University of New Jerseuro116
5/1996463
02/08/1996 EARLY BLUSH* US01/01/2024
RUTSEY2000/1891 nj 82 - nja 82 03227
New Jersey Agricultural Experieeuro
4/200617628
22/05/2006 RUTSEY US31/12/2036
SEFORA2010/0427 ot1 06931
STATION D’EXPERIMENTATIOeuro
2/201436796
10/02/2014 FR31/12/2044
SELECT 982006/2069 98-7-145 04767
SDR Fruit Llceuro
3/201129634
18/04/2011 US31/12/2041
SHAMADE2010/0011 a3902 00689
INRA-Institut National de la Recheuro
3/201334283
04/03/2013 FR31/12/2043
SHERPA2010/2749 2084-14 04411
PSB Producción Vegetal SLeuro
2/201539539
23/02/2015 SHERPA ES31/12/2045
SOLEDANE2001/1745 a 3948 00689/03652
INRA - SICA CENTREXeuro
1/200412330
18/12/2003 SOLEDANE FR01/01/2034
SUAPRIEIGHT2003/1061 suaprieight 05485
Sun World International LLCeuro
2/201026758
22/02/2010 US31/12/2040
SUAPRININE2006/2518 suaprinine 05485
Sun World International LLCeuro
3/201129637
18/04/2011 US31/12/2041
SUAPRISEVEN2005/0519 90a-010 05485
Sun World International LLCeuro
3/201027235
19/04/2010 US31/12/2040
SUNNY COT2006/2068 97-3-203 04767
SDR Fruit Llceuro
3/201129633
18/04/2011 SUNNY COT US31/12/2041
SYLRED1998/1352 a 22515 06221
Benoit Escande Edition SARLeuro
4/200617601
22/05/2006 SYLRED FR31/12/2036
TORRAVIUN2009/0094 a3926 00689/03652
INRA - SICA CENTREXeuro
2/201026779
22/02/2010 FR31/12/2040
TOYACO1995/0923 pa 7005-8 00787
Washington State Universityeuro116
1/19971296
15/10/1996 TOM COT* US01/11/2021
TOYESI1995/0922 pa7221-1 00787
Washington State Universityeuro116
1/19971297
15/10/1996 GOLDSTRIKE* US01/11/2021
TOYIBA1995/0924 PA 7201-1 00787
Washington State Universityeuro116
5/20006602
26/07/2000 GOLDBAR* US01/08/2025
TOYUDA1995/0919 pa 63/55 00787
Washington State Universityeuro
6/19994880
20/09/1999 SWEET COT* US31/12/2029
VERTIGE2006/1286 a 3845 00689/03652
INRA - SICA CENTREXeuro
2/200924104
23/02/2009 VERTIGE FR31/12/2039
VULCAN2002/0986 riwaka 5/67 00915
The Horticulture & Food Researceuro
3/200822060
07/04/2008 RIWAKA 5/67 NZ31/12/2039
17/04/2016 Pàgina 35 de 74
DenominacióNº Exp. Nom comercial Codi / Titular Butlletí
Nº POV
Inici Protecció Fi Referència Obtentor /
Prunus armeniaca L.
WONDER COT2004/1624 a99 r1 t18 04767
SDR Fruit Llceuro
4/200925348
08/06/2009 WONDER COT US31/12/2039
YAMATO1995/2936 PA 6909 & 00787
Washington State Universityeuro
4/200617625
22/05/2006 YAMATO US31/12/2036
ZAIPRILEG2000/1888 36 gh 334 00859
Zaiger¦s inc Geneticseuro
5/200618124
17/07/2006 ZAIPRILEG US31/12/2036
ZAIPRINEY2000/1890 118 le 133 00859
Zaiger¦s inc Geneticseuro
6/200720975
08/10/2007 ZAIPRINEY US31/12/2037
ZAIPRIREP2000/1889 195 ld 95 00859
Zaiger¦s inc Geneticseuro
5/200618125
17/07/2006 ZAIPRIREP US31/12/2036
ZAITORDE2003/2019 135 97 cot 00189
DARNAUD, Jean-Pierreeuro
3/200822071
07/04/2008 FR31/12/2038
Especie Prunus avium (L.) L. x Prunus fructicosa Pallas
DenominacióNº Exp. Nom comercial Codi / Titular Butlletí
Nº POV
Inici Protecció Fi Referència Obtentor /
GISELA 41995/2902 GISELA 4 00347
Consortium Deutscher Baumscheuro
6/19994879
20/09/1999 DE31/12/2029
Especie Prunus avium L.
DenominacióNº Exp. Nom comercial Codi / Titular Butlletí
Nº POV
Inici Protecció Fi Referència Obtentor /
CIRERER DOLÇ
13N07702010/2856 17 72 cs 07886
MINISTER OF AGRICULTURE Aeuro
6/201541598
21/09/2015 STARDUST CA31/12/2045
13S20092000/0974 staccato 01067
Agricul.Canada Research Stationeuro
1/200718681
20/11/2006 STACCATO CA31/12/2036
AIDA2004/0281 iv-13/20 00695
G.Y.D.K.F.V.euro
2/200719223
19/02/2007 AIDA HU31/12/2037
ANNUS2004/1536 iv-3/41 00695
G.Y.D.K.F.V.euro
2/201128842
07/02/2011 HU31/12/2041
AXEL2002/1628 III-16/45 00695
G.Y.D.K.F.V.euro
4/200925363
08/06/2009 ALEX HU31/12/2039
BIGI SOL1998/1328 mf 20 05289
Vivai Piante Battistini Società Agreuro
6/200516179
12/09/2005 BIGI SOL IT31/12/2035
BLACK STAR2001/1540 DCA BO 85.723.002 01869/01947
CRPV Soc Coop / Univ. Studi Boleuro
3/200719951
16/04/2007 BLACK STAR IT31/12/2037
BLAZE STAR1998/1511 dca bo 85.721006 01869
ALMA MATER STUDIORUM-UNIeuro
6/200516182
12/09/2005 BLAZE STAR IT31/12/2035
CAMBRINA2006/0017 ny 7679 02540
Cornell Research Foundationeuro
6/201130890
10/10/2011 US31/12/2041
CARMEN2004/0282 iii-42/114 00695
G.Y.D.K.F.V.euro
2/200719224
19/02/2007 CARMEN HU31/12/2037
CHRISTIANA2007/2200 hl 13485 04564
Forschungs institut fur Obstbau ueuro
3/201334704
08/04/2013 CZ31/12/2043
EARLY NORVIK2006/0659 hl na 18/12-1 04564
Forschungs institut fur Obstbau ueuro
3/201437361
24/03/2014 EARLY NORVIK CZ31/12/2044
FERDIVA2006/1290 v 3115 00689/03652
INRA - SICA CENTREXeuro
1/200821391
10/12/2007 FERDIVA FR31/12/2037
FERDOUCE2007/2769 v3239 00689
INRA-Institut National de la Recheuro
1/201128601
17/12/2010 FR31/12/2040
FERMINA2005/1851 v3122 00689
INRA-Institut National de la Recheuro
2/200719034
22/01/2007 FERMINA FR31/12/2037
FERTARD2005/1850 v3382 00689
INRA-Institut National de la Recheuro
2/200719033
22/01/2007 FERTARD FR31/12/2037
FERTYILLE2006/1291 v 3476 00689
INRA-Institut National de la Recheuro
1/201128571
17/12/2010 FR31/12/2040
17/04/2016 Pàgina 36 de 74
DenominacióNº Exp. Nom comercial Codi / Titular Butlletí
Nº POV
Inici Protecció Fi Referència Obtentor /
Prunus avium L.
FOLFER2004/2329 v3387 00689
INRA-Institut National de la Recheuro
3/200924342
23/03/2009 FR31/12/2039
GLENRED2006/2740 44p1238 00279/08287
Sel. Plantas Sevilla SL / STAR Feuro
2/201231436
06/02/2012 GLENRED ES31/12/2042
GRACE STAR2001/1542 DCA BO 84.703.003 01869/01947
CRPV Soc Coop / Univ. Studi Boleuro
5/200720804
24/08/2007 GRACE STAR IT31/12/2037
JUSTYNA2007/1543 justyna 04564
Forschungs institut fur Obstbau ueuro
3/201334702
08/04/2013 CZ31/12/2043
KASANDRA2008/0146 hl 16 166 04564
Forschungs institut fur Obstbau ueuro
4/201335209
06/05/2013 CZ31/12/2043
KORVIK2008/1161 hl-na 18/12 04564
Forschungs institut fur Obstbau ueuro
3/201540488
07/04/2015 CZ31/12/2045
LALA STAR1998/1509 dca bo 85.710.009 01869
ALMA MATER STUDIORUM-UNIeuro
6/200516180
12/09/2005 LALA STAR IT31/12/2035
MARALY1996/0108 00750/00753
Prop. Fruit Varieties -euro
1/200412322
18/12/2003 EARLY RED (PRIME GIANT) US01/01/2034
MARIANT1995/2927 00750
Proprietary Fruit Varieties Ltd.euro
1/200412320
18/12/2003 GIANT RED US01/01/2034
MARIM1996/0107 00750/00753
Prop. Fruit Varieties -euro
1/200412321
18/12/2003 FIRM RED US01/01/2034
PANARO 12001/1541 DCA BO 84.704.006 01869/01947
CRPV Soc Coop / Univ. Studi Boleuro
3/200719933
16/04/2007 SWEET EARLY IT31/12/2037
PANARO 21998/1510 dca bo 83.705.001 01869
ALMA MATER STUDIORUM-UNIeuro
6/200516181
12/09/2005 PANARO 2 IT31/12/2035
PAULUS2004/1537 iv-6/39 00695
G.Y.D.K.F.V.euro
2/200719225
19/02/2007 HU31/12/2037
PC 706432003/2154 sf 90 006 00787
Washington State Universityeuro
1/200821390
10/12/2007 SELAH* US31/12/2037
PC 714462002/1423 pc 7144-6 00787
Washington State Universityeuro
2/200821793
28/01/2008 TIETON* US31/12/2038
PC 714682005/2663 pc7146-8 00787
Washington State Universityeuro
2/201231430
06/02/2012 US31/12/2042
PENNY2001/0823 c73-5 04662/00011
East Mallin Researh /euro
2/200821768
28/01/2008 PENNY UK31/12/2038
PETRUS2004/1538 iv-6/5 00695
G.Y.D.K.F.V.euro
2/200719226
19/02/2007 HU31/12/2037
PHLC1996/1446 HL 6 01544
Sempra Praha a.s.euro
6/200516295
10/10/2005 PHL C CZ31/12/2035
RITA2004/0283 iv-5/62 00695
G.Y.D.K.F.V.euro
2/200514661
07/02/2005 RITA HU31/12/2035
ROSILAM2010/0512 01.31.25ce - asf103 04628
SARL Agro Selection Fruitseuro
2/201539354
26/01/2015 FR31/12/2045
ROYAL EDIE2010/0023 62 00 cz 00189
DARNAUD, Jean-Pierreeuro
3/201437197
24/03/2014 FR31/12/2044
ROYAL HELEN2010/0024 63 00 cz 00189
DARNAUD, Jean-Pierreeuro
2/201539538
23/02/2015 FR31/12/2045
RUBILAM2010/0511 01.31.15ce - asf101 04628
SARL Agro Selection Fruitseuro
2/201539353
26/01/2015 FR31/12/2045
SANTINA1999/0193 13 s 25 22 00189
DARNAUD, Jean-Pierreeuro
2/200719028
22/01/2007 SANTINA FR31/12/2037
SKEENA1998/0068 13 s 43 48 00189
DARNAUD, Jean-Pierreeuro
6/200516176
12/09/2005 SKEENA FR31/12/2035
SUMBIGO2001/1907 1440 cs 00189
DARNAUD, Jean-Pierreeuro
3/200719926
16/04/2007 SUMBIGO FR31/12/2037
17/04/2016 Pàgina 37 de 74
DenominacióNº Exp. Nom comercial Codi / Titular Butlletí
Nº POV
Inici Protecció Fi Referència Obtentor /
Prunus avium L.
SUMBOLA1995/1340 15 62 CS 00189
DARNAUD, Jean-Pierreeuro
1/20005708
21/12/1999 SUMBOLA FR31/12/2029
SUMELE1995/1250 14 37 cs 00189
DARNAUD, Jean-Pierreeuro
1/200412025
10/11/2003 SATIN* FR01/01/2034
SUMGITA1995/1339 9cs 00189
DARNAUD, Jean-Pierreeuro116
2/19971654
15/01/1997 CANADA GIANT* FR01/12/2022
SUMLETA1995/1252 17 69 CS 00189
DARNAUD, Jean-Pierreeuro
1/20005705
20/12/1999 SONATA FR31/12/2029
SUMN314CH2005/2691 18 78 csi 00189
DARNAUD, Jean-Pierreeuro
3/201129630
18/04/2011 SABRINA FR31/12/2041
SUMNUE1995/1251 17-65 CS 00189
DARNAUD, Jean-Pierreeuro
1/20005704
20/12/1999 CRISTALINA FR31/12/2029
SUMPACA1995/1337 10 25 cs 00189
DARNAUD, Jean-Pierreeuro116
2/19971653
15/01/1997 CELESTE FR01/12/2022
SUMSTE1995/1334 11-28-CS 00189
DARNAUD, Jean-Pierreeuro
2/19971650
15/01/1997 SAMBA* FR31/12/2027
SUMTARE1995/1336 15 51 cs 00189
DARNAUD, Jean-Pierreeuro116
2/19971652
15/01/1997 SWEETHEART* FR01/12/2022
TAMARA2007/1544 tamara 04564
Forschungs institut fur Obstbau ueuro
3/201334703
08/04/2013 CZ31/12/2043
TECHLOVAN1998/1309 techlovan 01544
Sempra Praha a.s.euro
6/200516177
12/09/2005 TECHLOVAN CZ31/12/2035
VANDA1998/1327 na 18-27 01544
Sempra Praha a.s.euro
6/200516178
12/09/2005 VANDA CZ31/12/2035
VERA2002/1629 III-15/6 00695
G.Y.D.K.F.V.euro
2/200821769
28/01/2008 VERA HU31/12/2038
Especie Prunus avium L. x (Prunus canescens L. x Prunus
tormentosa L.)
DenominacióNº Exp. Nom comercial Codi / Titular Butlletí
Nº POV
Inici Protecció Fi Referència Obtentor /
PIKU12001/1462 piku1 03021
Consortium Deutscher Baumscheuro
1/200310246
18/11/2002 DE31/12/2032
Especie Prunus besseyi Bailey x Prunus cerasifera Ehrh.
DenominacióNº Exp. Nom comercial Codi / Titular Butlletí
Nº POV
Inici Protecció Fi Referència Obtentor /
FERLENAIN1995/1409 ferlenain 00691
INRA-Institut National de la Recheuro116
1/19971264
15/10/1996 PLUMINA* FR01/04/2022
Especie Prunus canescens Bois × P. cerasus L.
DenominacióNº Exp. Nom comercial Codi / Titular Butlletí
Nº POV
Inici Protecció Fi Referència Obtentor /
GI 148132013/1854 gi 14813 00347
Consortium Deutscher Baumscheuro
2/201642314
25/01/2016 DE31/12/2046
Especie Prunus cerasifera Ehrh
DenominacióNº Exp. Nom comercial Codi / Titular Butlletí
Nº POV
Inici Protecció Fi Referència Obtentor /
PRUNERA MIRABOLÀ
ADARA1995/3027 ciruelo 29AD 00648
Consejo Sup. de Investigacioneseuro
4/20029572
17/06/2002 ADARA ES31/12/2032
GF29802014/1244 gf2980 00689
INRA-Institut National de la Recheuro
2/201539361
26/01/2015 FR31/12/2045
17/04/2016 Pàgina 38 de 74
DenominacióNº Exp. Nom comercial Codi / Titular Butlletí
Nº POV
Inici Protecció Fi Referència Obtentor /
Prunus cerasifera Ehrh x Prunus dulcis (Mill.) D.A. Webb
Especie Prunus cerasifera Ehrh x Prunus dulcis (Mill.) D.A. Webb
DenominacióNº Exp. Nom comercial Codi / Titular Butlletí
Nº POV
Inici Protecció Fi Referència Obtentor /
HIBRID PRUNERA X
AMETLLER
REPLANTPAC2009/0230 pac 941 03862
AGROMILLORA CATALANA SAeuro
3/201437716
22/04/2014 ROOTPAC-R ES31/12/2044
Especie Prunus cerasifera Ehrh x Prunus persica (L.) Batsch
DenominacióNº Exp. Nom comercial Codi / Titular Butlletí
Nº POV
Inici Protecció Fi Referència Obtentor /
PRUNERA X PRESSEGUER
KUBAN 862009/1565 kuban 86 03864
Krymsk Breeding Stationeuro
2/201436708
27/01/2014 RU31/12/2044
Especie Prunus cerasus L.
DenominacióNº Exp. Nom comercial Codi / Titular Butlletí
Nº POV
Inici Protecció Fi Referència Obtentor /
CIRERER ÀCID
BIGI VIT1997/0653 victor 05289
Vivai Piante Battistini Società Agreuro
2/200821730
28/01/2008 IT31/12/2038
EDABRIZ1995/1531 edabriz 00691/00693
INRA - CTIFLeuro116
1/19971265
15/10/1996 TABEL* FR01/11/2021
FERPRIME1998/1843 ferprime 00689
INRA-Institut National de la Recheuro116
1/20005570
06/12/1999 PRIMULAT* FR31/12/2024
GEREMA1998/0318 gerena 00672
Forschungsanstalt Geisenheimeuro
3/19994253
06/04/1999 GEREMA DE31/12/2029
LÖVÖPETRI2010/0426 clone r 06930
RESEARCH AND EXTENSIONeuro
3/201129643
18/04/2011 HU31/12/2041
SPINELL2014/2153 spinell 06760
Julius Kühn Instituteuro
3/201540438
07/04/2015 DE31/12/2045
WEIROOT 7202009/0554 weiroot 720 00222
Technische Universitõt Müncheneuro
4/201335512
03/06/143 DE31/12/2043
Especie Prunus cerasus L. x (prunus cerasus L. x Prunus maacki
Rupr.)
DenominacióNº Exp. Nom comercial Codi / Titular Butlletí
Nº POV
Inici Protecció Fi Referència Obtentor /
PRUNERA X MAACKI
LC 522009/1566 lc 52 03864
Krymsk Breeding Stationeuro
2/201436795
10/02/2014 RU31/12/2044
Especie Prunus cerasus L. x Prunus canescens L.
DenominacióNº Exp. Nom comercial Codi / Titular Butlletí
Nº POV
Inici Protecció Fi Referència Obtentor /
GISELA 51995/1073 gisela 5 00347
Consortium Deutscher Baumscheuro116
1/19971268
15/10/1996 GI-SEL-A 5 DE01/11/2021
Especie Prunus domestica L.
DenominacióNº Exp. Nom comercial Codi / Titular Butlletí
Nº POV
Inici Protecció Fi Referència Obtentor /
PRUNERA EUROPEA
AVIFEL1995/1530 avifel 00691/00693
INRA - CTIFLeuro116
1/19971267
15/10/1996 TORINEL* FR01/11/2021
BELLAMIRA2002/0184 klon p 34-56-94 00672
Forschungsanstalt Geisenheimeuro
2/200616766
30/01/2006 DE31/12/2036
BLUE MOON2011/0854 sel.8/91agri2000 07284
Agri 2000 net SRLeuro
2/201642548
22/02/2016 IT31/12/2046
CACAKS SPÄTE2005/1680 cacak späte (vi/28/81) 05199
Institut za Istrazivania u Polijopriveuro
1/201026242
07/12/2009 RS31/12/2039
CAPITANA1998/1532 capitana 02410/02411
Ghedini, G - Ghedini, P.A.euro
2/200514646
07/02/2005 IT31/12/2035
COLORA2003/1062 colora 00783
Universitõt Hohenheimeuro
3/200924350
23/03/2009 DE31/12/2039
17/04/2016 Pàgina 39 de 74
DenominacióNº Exp. Nom comercial Codi / Titular Butlletí
Nº POV
Inici Protecció Fi Referència Obtentor /
Prunus domestica L.
COUROD1999/1556 courod 02807/00189
Odier, G - Darnaud, JPeuro
2/200514579
21/02/2005 FR31/12/2035
ELENA1995/2736 00783
Universitõt Hohenheimeuro
5/19983126
02/06/1998 DE31/12/2028
FERDOR1995/1410 ferdor 00691
INRA-Institut National de la Recheuro116
1/19971266
15/10/1996 JULIOR* FR01/11/2021
HAGANTA2003/1063 gigant 00783
Universitõt Hohenheimeuro
3/200821933
10/03/2008 DE31/12/2028
HAROMA2005/1330 haroma 00783
Universitõt Hohenheimeuro
2/201026421
25/01/2010 DE31/12/2040
JOJO1999/1807 jojo 00783
Universitõt Hohenheimeuro
4/200413321
17/05/2004 DE31/12/2034
KATINKA1995/2729 Horteger 00783
Universitõt Hohenheimeuro116
4/19972210
27/06/1997 DE01/01/2024
PLUMIS2008/2079 hvl 357 06085/06391
BOOMKWEKERIJEN GEBROEDeuro
3/201437715
22/04/2014 NL31/12/2044
PRESENTA1999/0061 presenta 00783
Universitõt Hohenheimeuro
3/200310941
10/04/2003 PRESENTA DE10/04/2033
PRUDOM2002/2098 prudom 00347
Consortium Deutscher Baumscheuro
4/200720098
21/05/2007 DE31/12/2037
SUTTER2000/2082 sutter 00345
The Regents of the University ofeuro
2/200821731
28/01/2008 US31/12/2038
TEGERA1999/0181 tegera 00783
Universitõt Hohenheimeuro
3/200514913
21/03/2005 TEGERA DE31/12/2035
TIPALA1999/0182 tipala 00783
Universitõt Hohenheimeuro
3/200514914
21/03/2005 TIPALA DE31/12/2035
TOPFIVE2002/0186 p 6-85-95 00672
Forschungsanstalt Geisenheimeuro
3/200617343
24/04/2006 DE31/12/2036
TOPHIT1998/0317 tophit 00672
Forschungsanstalt Geisenheimeuro
4/20029577
17/06/2002 DE31/12/2032
TOPPER1998/0316 topper 00672
Forschungsanstalt Geisenheimeuro
4/20029576
17/06/2002 DE31/12/2032
TULARE2000/2081 tulare giant 00345
The Regents of the University ofeuro
3/200719948
16/04/2007 US31/12/2037
UTE2005/0243 ute 04951/04952
Cox-Coxeuro
4/200924893
04/05/2009 UK31/12/2039
VANDOR2011/0913 v70032 02072
University of Guelph - Businesseuro
2/201642549
22/02/2016 CA31/12/2046
VANETTE2003/1808 v 66071 04407
Agricultural Research Institute ofeuro
2/200924101
23/02/2009 CA31/12/2039
VIOLETTA1997/0269 bpr 1249c 01629
Swedish University Agr. Scienceseuro
3/20028997
18/03/2002 SE31/12/2032
Especie Prunus domestica x Prunus insititia) x Prunus salicina
DenominacióNº Exp. Nom comercial Codi / Titular Butlletí
Nº POV
Inici Protecció Fi Referència Obtentor /
PRUNUS PORTAEMPELTS
MONREPOS20074707 ES936
CITA ARAGONesp
4-2011002532
06/07/2011 ES31/12/2041
Especie Prunus dulcis (Mill.) D.A. Webb
DenominacióNº Exp. Nom comercial Codi / Titular Butlletí
Nº POV
Inici Protecció Fi Referència Obtentor /
AMETLLER
ANTOÑETA19974136 antoñeta 243
C.S.I.C.esp
BOE-69002093
21/03/2003 ANTOÑETA ES21/03/2023
CONSTANTÍ2009/0751 irtamb-a22-120 00370
Institut de Recerca i Tecnologiaeuro
2/201128897
07/02/2011 CONSTANTI ES31/12/2041
17/04/2016 Pàgina 40 de 74
DenominacióNº Exp. Nom comercial Codi / Titular Butlletí
Nº POV
Inici Protecció Fi Referència Obtentor /
Prunus dulcis (Mill.) D.A. Webb
DIAMAR2009/0306 g-2-35 90042
Centro de Investigación y Tecnoleuro
4/201233017
18/06/2012 ES31/12/2042
ISABELONA20054615 belona ES930
CITA Aragónesp
1-2011002505
18/01/2011 ISABELONA ES31/12/2041
MARINADA2009/0754 irtamb-a23-57 00370
Institut de Recerca i Tecnologiaeuro
2/201126900
07/02/2011 MARINADA ES31/12/2041
MARTA19953932 ALMUDENA 243
C.S.I.C.esp
BOE-69002091
21/03/2003 ALMUDENA ES21/03/2023
PENTACEBAS CSIC2007/1323 d00-203 00648
Consejo Sup. de Investigacioneseuro
4/201335208
06/05/2013 PENTACEBAS CSIC ES31/12/2043
SOLETA20054616 ES930
CITA Aragónesp
1-2011002507
18/01/2011 SOLETA ES31/12/2041
TARDONA2007/1322 d00-072 00648
Consejo Sup. de Investigacioneseuro
4/201335207
06/05/2013 TARDONA ES31/12/2043
TARRACO2009/0753 irtamb-a21-169 00370
Institut de Recerca i Tecnologiaeuro
2/201128899
07/02/2011 TARRACO ES31/12/2041
VAIRO2009/0752 irtamb-a21-323 00370
Institut de Recerca i Tecnologiaeuro
2/201128898
07/02/2011 VAIRO ES31/12/2041
Especie Prunus insititia L.
DenominacióNº Exp. Nom comercial Codi / Titular Butlletí
Nº POV
Inici Protecció Fi Referència Obtentor /
PRUNERA
ADESOTO1995/3029 Puebla de Soto AD 101 00648
Consejo Sup. de Investigacioneseuro
4/20029574
17/06/2002 PUEBLA DE SOTO ES31/12/2032
Especie Prunus L.
DenominacióNº Exp. Nom comercial Codi / Titular Butlletí
Nº POV
Inici Protecció Fi Referència Obtentor /
PRUNUS
COMET1996/1078 comet 01470
B.D. Rijnbeek Boomkwererijen B.euro
3/19982706
02/03/1998 NL31/12/2023
GI 20912002/1949 giessen 209/1 03021
Consortium Deutscher Baumscheuro
2/200719222
19/02/2007 DE31/12/2037
GI14811998/0997 gisela 6 03021
Consortium Deutscher Baumscheuro
4/200515835
20/06/2005 DE31/12/2035
PIKU42001/1206 piku4 00441
Deutsche Saatgutgesellsscaft Mbeuro
5/20029968
12/08/2002 DE31/12/2032
Especie Prunus laurocerasus L.
DenominacióNº Exp. Nom comercial Codi / Titular Butlletí
Nº POV
Inici Protecció Fi Referència Obtentor /
LLORER-CIRER
ANBRI1995/1205 anbri 00138
Antigone Plantvermeerdering b.v.euro
3/19982719
02/03/1998 NL31/12/2023
ANI2011/0381 ani 02970
Heco Stekcultures B.V.euro
6/201438986
20/10/2014 NL31/12/2044
ANTONIUS2010/2192 jm 86 02968
Miklósné Józsaeuro
1/201436514
02/12/2013 HU31/12/2043
ARKTIS2013/2709 arktis 04735
JURGEN SCHUTTEeuro
6/201541695
21/09/2015 DE31/12/2045
BENJE GREEN2000/1131 prunus elegant 03081
Scherpereel, Gérardeuro
4/200413662
21/06/2004 BE31/12/2034
BOKRALYM2001/0693 bokralym 00026
Boot &Co Boomkwekerijen bveuro
5/200413890
16/08/2004 NL31/12/2029
BOKRAMER2001/0694 bokramer 00026
Boot &Co Boomkwekerijen bveuro
5/200513891
16/08/2004 NL31/12/2029
DARZALO2006/0538 darzalo 06286
Darthuizer B.V.euro
6/200823627
27/10/2008 NL31/12/2038
17/04/2016 Pàgina 41 de 74
DenominacióNº Exp. Nom comercial Codi / Titular Butlletí
Nº POV
Inici Protecció Fi Referència Obtentor /
Prunus laurocerasus L.
GABI2011/0382 gabi 02970
Heco Stekcultures B.V.euro
6/201438987
20/10/2014 NL31/12/2044
GAJO2004/0413 gajo 04578
Boomkwekerijen-Nouws-verheijeeuro
4/200617906
19/06/2006 NL31/12/2036
GORIS112012/0342 goris11 07569
Kees Goriseuro
4/201438079
02/06/2014 NL31/12/2044
GREENTORCH2007/1070 mingreen 03881
Pepinieres Minier SAeuro
1/201026185
16/11/2009 FR31/12/2039
GRPL182013/1979 grpl18 08150
GUIDO ROUWETTEeuro
6/201541693
21/09/2015 NL31/12/2045
HIBANI2008/2323 ruby 06430
Boomkwekerij Huijbregtseuro
1/201128463
08/11/2010 NL31/12/2040
IVORY2007/1950 05992
M.T.S. Custers-Van Dooreneuro
6/200926076
05/10/2009 NL31/12/2039
JM342006/1735 02968
Miklósné Józsaeuro
2/200719157
19/02/2007 HU31/12/2037
JOSA2011/0383 klone 100 02970
Heco Stekcultures B.V.euro
6/201438988
20/10/2014 NL31/12/2044
MARIBLON2003/0265 genolier 04139
Pepinieres de Genoliereuro
4/200617887
19/06/2006 CH31/12/2036
PIRANHA2012/1492 piranha 07727
FRANK SCHNUPPEReuro
6/201541686
21/09/2015 DE31/12/2045
RENTAN2012/0530 titan 07590
HUAMING WANGeuro
6/201541685
21/09/2015 NL31/12/2045
Especie Prunus lusitanica L.
DenominacióNº Exp. Nom comercial Codi / Titular Butlletí
Nº POV
Inici Protecció Fi Referència Obtentor /
BRENELIA2011/1273 brenelia 07314
Yves Breneliereeuro
6/201438976
20/10/2014 FR31/12/2044
Especie Prunus mahaleb L.
DenominacióNº Exp. Nom comercial Codi / Titular Butlletí
Nº POV
Inici Protecció Fi Referència Obtentor /
CIRERER SANTA LLÚCIA
FERCI1995/1407 ferci 00691
INRA-Institut National de la Recheuro116
1/19971269
15/10/1996 PONTALEB* FR01/04/2022
Especie Prunus persica (L.) Batsch
DenominacióNº Exp. Nom comercial Codi / Titular Butlletí
Nº POV
Inici Protecció Fi Referència Obtentor /
PRESSEGUER
"DORABELLE"2009/0269 2 5 20 07 07 06556
AC FRUIT SASeuro
6/201336038
09/09/2013 2 5 20 07 07 FR31/12/2043
"DORAFINE"2009/0270 3 6 05 08 05 06556
AC FRUIT SASeuro
6/201336029
09/09/2013 3 6 05 08 05 FR31/12/2043
"DORANE"2009/2506 24 1 3 06556
AC FRUIT SASeuro
6/201336030
09/09/2013 24 1 3 FR31/12/2043
ADELFAR2006/1486 naea-01 05513
Alvaro Liñan Liñaneuro
5/201233278
06/08/2012 ES31/12/2042
AFRICAN SUMMER SUN20004313 summer sun 03945
ARC Infruitec - Nietvoorbijesp
4-2010002489
06/07/2010 ZA31/12/2040
ALBATINE2011/2890 4-1-16-06-09 06556
AC FRUIT SASeuro
4/201541351
22/06/2015 FR31/12/2045
ALISIO 1520104933 mrca1 ES965
IMIDAesp
1-2016002716
13/12/2015 MRCA1 ES31/12/2045
ALITOP2006/1134 iff 990 01758
Istituto Sperimentale per la Fruttieuro
4/201130306
06/06/2011 ALITOP IT31/12/2041
17/04/2016 Pàgina 42 de 74
DenominacióNº Exp. Nom comercial Codi / Titular Butlletí
Nº POV
Inici Protecció Fi Referència Obtentor /
Prunus persica (L.) Batsch
ALLREDAL2005/0901 01.18.44 : asf 0141 04628
SARL Agro Selection Fruitseuro
2/200924111
23/02/2009 REGALSUN 28 FR31/12/2039
ALMA2002/1192 3285 02787
Montanari Domenicoeuro
3/200617334
24/04/2006 ALMA IT31/12/2036
ALMA 22010/1575 740 06648/02787
Luigi Montanari/Domenico Montaeuro
4/201541349
22/06/2015 ALMA 2 IT31/12/2045
ALMADUR20034527 3011285 ES919
SAT Frutariaesp
5-2009002435
22/07/2009 ES31/12/2039
ALMALATE20044574 32-3-11-9 ES919
SAT Frutariaesp
1-2010002470
25/12/2009 ES31/12/2039
ALMAMEBA20024448 almameb ES919
SAT Frutariaesp
2-2009002404
16/02/2009 ALMAMED ES31/12/2039
ALMAMECE20024453 almamec ES919
SAT Frutariaesp
2-2009002405
16/02/2009 ALMAMECE ES31/12/2039
ALMAMEDI20024451 almamed ES919
SAT Frutariaesp
2-2009002406
16/02/2009 ES31/12/2039
ALMAMEFO20024450 almamef ES919
SAT Frutariaesp
5-2009002436
22/07/2009 ES31/12/2039
ALMAMIEL20064701 ES919
SAT Frutariaesp
1-2011002525
18/01/2011 ALMAMIEL ES31/12/2040
ALMANEBO20024449 almaneb ES919
SAT Frutariaesp
2-2009002407
16/02/2009 ALMANEBO ES31/12/2039
ALMANECI20024447 almanec ES919
SAT Frutariaesp
5-2009002437
22/07/2009 ALMANECI ES31/12/2039
ALMANEFI20024446 almanef ES919
SAT Frutariaesp
5-2009002438
22/07/2009 ALMANEFI ES31/12/2039
ALMANEGE20024452 almaneg ES919
SAT Frutariaesp
5-2009002439
22/07/2009 ALMANEGE ES31/12/2039
ALMANOR20034529 334F4821 ES919
SAT Frutariaesp
1-2010002471
25/12/2009 ES31/12/2039
ALMAPEÑA20044568 ALMIP-1 ES919
SAT Frutariaesp
5-2009002440
22/07/2009 ES31/12/2039
ALMASEDA20044569 ALMIP-2 ES919
SAT Frutariaesp
1-2010002472
25/12/2009 ES31/12/2039
ALMAVERO20064700 ES919
SAT Frutariaesp
2-2013002574
17/01/2013 ES31/12/2043
ALMENAR20034528 almamar ES919
SAT Frutariaesp
5-2009002441
22/07/2009 ES31/12/2039
ALMIDEZ20044573 301-10-28-1 ES919
SAT Frutariaesp
4-2042002557
28/06/2012 ES31/12/2042
ALMONTIEL20064702 ES919
SAT Frutariaesp
1-2014002642
27/12/2013 ALMONTIEL ES31/12/2043
ALMORIN20024445 almaneda ES919
SAT Frutariaesp
5-2009002442
22/07/2009 ALMANEDA ES31/12/2039
ALMUD20044575 50-10-25-8 ES919
SAT Frutariaesp
5-2009002443
22/07/2009 ES31/12/2039
ALPINE2002/1202 2b-31-5 03945
ARC Infruitec - Nietvoorbijeuro
3/200924359
23/03/2009 ZA31/12/2039
AM72000/0913 am7 01869
ALMA MATER STUDIORUM-UNIeuro
6/200414080
24/10/2004 IT31/12/2034
AMBRA1997/0777 dca-bo85151169 01500
CRPV Soc. Coop. A.R.L. C. R. Peuro
5/20029921
12/08/2002 AMBRA (NECT) IT31/12/2032
AMIGA2000/1502 86 ve 61 05192
Giulio Minguzzieuro
6/200414082
25/10/2004 AMIGA IT31/12/2034
17/04/2016 Pàgina 43 de 74
DenominacióNº Exp. Nom comercial Codi / Titular Butlletí
Nº POV
Inici Protecció Fi Referència Obtentor /
Prunus persica (L.) Batsch
ANTONINA1999/1193 antonina 02684
Bertolami, Antonioeuro
6/200311653
08/09/2003 IT31/12/2033
APPYMAY20024469 S 9850 AP 00279
Selección Plantas Sevilla SLesp
5-2009002444
22/07/2009 ES31/12/2039
ARAMEX20074762 ES919
SAT Frutariaesp
2-2013002575
17/01/2013 ES31/12/2043
ARGENTO DI FAENZA1998/0152 ff 86958 05244
Dalmonte Fuido e Vittorio S.S. Seuro
1/200514225
08/11/2004 IT31/12/2034
ASFNBF04712008/0588 03.22.101 nbpl - asf 0471 04628
SARL Agro Selection Fruitseuro
3/201437362
24/03/2014 NECTACAKE 28 FR31/12/2044
ASFNBF07742009/0925 4s.3w53 nbpl - asf 0774 04628
SARL Agro Selection FruitsEURO
2/201334167
18/02/2013 NECTACAKE 25 FR31/12/2043
BARRIER 120002181 CNDR
C. N. Della Ricercheesp
BOE-69002181
21/03/2003 BARRIER IT21/03/2023
BELLAMINE2010/0495 03.10.25pb - asf0453 04628
SARL Agro Selection Fruitseuro
2/201436696
27/01/2014 ASF 04-53 FR31/12/2044
BLANVIO 102008/2234 00.47.009-pb 00132
Plantas de Navarra SAeuro
1/201436611
16/12/2013 BLANVIO 10 ES31/12/2043
BLANVIO 302006/1960 00.47.047-pb 00132
Plantas de Navarra SAeuro
2/201128850
07/02/2011 PLAWHITE 30 ES31/12/2041
BONFIRE1997/0703 ark.84186-t3 01752
University of Arkansaseuro
5/20029920
12/08/2002 US31/12/2032
BORDÒ2009/2143 bo 96025004 01869/04704/06419/0
C.R.P.V/Apofruit Italia/Universitàeuro
4/201438205
02/06/2014 BORDÒ IT31/12/2044
BRADYLA2005/2524 2 p 1052 00160/00279
Gie Star Fruits - Sel. Plantas Seveuro
2/201026761
22/02/2010 FR31/12/2040
BRAKAY20054594 N 95 25 00279
Selección Plantas Sevilla SLesp
4-2010002491
06/07/2010 BRAKAY ES31/12/2040
BRAPRE2001/0161 sf 94.003 00279/08287
Sel. Plantas Sevilla SL / STAR Feuro
6/200311977
20/10/2003 BRAPRE ES31/12/2033
BRAREG20054596 N9558 00279
Selección Plantas Sevilla SLesp
4-2010002492
06/07/2010 BRAREG ES31/12/2040
BRITTNEY LANE2006/2514 564 99 pj 00189
DARNAUD, Jean-Pierreeuro
4/201130096
23/05/2011 FR31/12/2041
BURNECTFOUR2006/2554 c2.092 03688
The Burchell Nursery inc.euro
4/201232660
07/05/2012 US31/12/2042
BURPEACHFIVE2004/2274 b2.098 03688
The Burchell Nursery inc.euro
3/201129119
07/03/2011 US31/12/2041
BURPEACHFOUR2004/2273 b2.034 03688
The Burchell Nursery inc.euro
3/201129118
07/03/2011 US31/12/2041
BURPEACHONE2004/2271 d2.102 03688
The Burchell Nursery inc.euro
3/200924360
23/03/2009 US31/12/2039
BURPEACHSEVEN2006/2556 c12.001 03688
The Burchell Nursery inc.euro
3/201119126
07/03/2011 US31/12/2041
BURPEACHSIX2004/2269 b4.098 03688
The Burchell Nursery inc.euro
3/201129117
07/03/2011 US31/12/2041
BURPEACHTWELVE2006/2558 c10.013 03688
The Burchell Nursery inc.euro
4/201232661
07/05/2012 US31/12/2042
BURPEACHTWO2001/2051 a 39 006 03688
The Burchell Nursery inc.euro
4/200720403
18/06/2007 US31/12/2037
C-23020084840 c-230 ES919
SAT Frutariaesp
1-2014002643
27/12/2013 C-230 ES31/12/2043
C-5820084842 c-58 ES919
SAT Frutariaesp
2-2013002576
17/01/2013 C-58 ES31/12/2043
17/04/2016 Pàgina 44 de 74
DenominacióNº Exp. Nom comercial Codi / Titular Butlletí
Nº POV
Inici Protecció Fi Referència Obtentor /
Prunus persica (L.) Batsch
CAKEAUGUST2011/0563 4s.6e.12nbpl - asf0870 04628
SARL Agro Selection Fruitseuro
2/201539654
23/02/2015 FR31/12/2045
CAKELOVE2011/0562 4s.3e.168nbpl - asf0775 04628
SARL Agro Selection Fruitseuro
2/201539653
23/02/2015 FR31/12/2045
CAKEPEARL2010/0500 4s.3w.18nbpl - asf0678 04628
SARL Agro Selection Fruitseuro
4/201437915
05/05/2014 NECTACAKE* ASF0678 FR31/12/2044
CAKEREDAL2010/0503 4s.5w.135nbpl - asf0778 04628
SARL Agro Selection Fruitseuro
2/201436700
27/01/2014 NECTACAKE* ASF0778 FR31/12/2044
CAKEREINE2010/0504 4s.4e.109nbpl - asf0780 04628
SARL Agro Selection Fruitseuro
2/201436701
27/01/2014 ASF 07-80 FR31/12/2044
CAKEROSY2011/0564 4s.8e.67nbpl - asf0871 04628
SARL Agro Selection Fruitseuro
2/201539655
23/02/2015 FR31/12/2045
CAKESEPTEMBER2009/0939 4n.13.01 nbpl - asf 0688 04628
SARL Agro Selection FruitsEURO
2/201334180
18/02/2013 NECTACAKE*35 ASF0688 FR31/12/2043
CAKESWIT2010/0502 4s.4e.103nbpl - asf0777 04628
SARL Agro Selection Fruitseuro
2/201436969
24/02/2014 NECTACAKE* ASF0777 FR31/12/2044
CALANTE 119892447 522
D.G.A./Dip. TEResp
001999
09/02/1999 CALANTE ES08/02/2019
CALEJOS20074768 02018
Diputación General de Arag¾nesp
3-2013002626
03/08/2013 ES31/12/2043
CALEMIL20074765 02018
Diputación General de Arag¾nesp
3-2013002627
03/08/2013 ES31/12/2043
CALPREBOR20074766 02018
Diputación General de Arag¾nesp
3-2013002628
03/08/2013 ES31/12/2043
CALRICO20074767 02018
Diputación General de Arag¾nesp
3-2013002629
03/08/2013 ES31/12/2043
CASABOI1995/0722 se 88205 00279
Selección Plantas Sevilla SLeuro116
3/20017451
09/04/2001 ES01/05/2026
CASASIL1995/0721 se 9003 00279
Selección Plantas Sevilla SLeuro116
3/20017450
09/04/2001 ES01/05/2026
CAUSSOROB20024470 CAS 9774 00279
Selección Plantas Sevilla SLesp
1-2010002474
25/12/2009 ES31/12/2039
CAVEL1995/1329 00189
DARNAUD, Jean-Pierreeuro116
1/19993893
14/12/1998 SPRING WHITE* FR01/01/2024
CAZIDELI20024472 SD 09124 00279
Selección Plantas Sevilla SLesp
5-2009002446
22/07/2009 ES31/12/2039
CONCETTINA2007/2925 aso01 02489/04400/06131/0
B. Mezzetti - F. Capocasa - B. Coeuro
4/201335359
21/05/2013 IT31/12/2043
CONQUISE2003/0269 s6200 00689
INRA-Institut National de la Recheuro
6/200516193
12/09/2005 CONQUISE FR31/12/2035
CONVOITISE2007/2770 s6925 00689
INRA-Institut National de la Recheuro
2/201026778
22/02/2010 FR31/12/2040
COUNTRYSWEET2008/2765 297 90 pj 00189
DARNAUD, Jean-Pierreeuro
4/201335219
06/05/2013 COUNTRYSWEET FR31/12/2043
CRIMSON LADY1995/0521 42 p 870 00279/08287
Sel. Plantas Sevilla SL / STAR Feuro116
3/19971871
03/04/1997 CRIMSON LADY ES01/02/2023
CRISPBELLA2010/0493 01.29e.62pj - asf0842 04628
SARL Agro Selection Fruitseuro
2/201436695
27/01/2014 CRISPBELLA FR31/12/2044
CRISPDELICE SUN2006/0998 03.05.142 pj-asf 0443 04628
SARL Agro Selection Fruitseuro
2/201026769
22/02/2010 TONICSUN 31 FR31/12/2040
CRISPREGAL2006/0997 03.05.139 pj-asf 0441 04628
SARL Agro Selection Fruitseuro
2/201026768
22/02/2010 TONICSUN 29 FR31/12/2040
CRISPRIM2010/0492 01.29e.65pj - asf0841 04628
SARL Agro Selection Fruitseuro
2/201436694
27/01/2014 CRISPIM FR31/12/2044
17/04/2016 Pàgina 45 de 74
DenominacióNº Exp. Nom comercial Codi / Titular Butlletí
Nº POV
Inici Protecció Fi Referència Obtentor /
Prunus persica (L.) Batsch
CRISPSTAR2010/0494 01.29e.79pj - asf0843 04628
SARL Agro Selection Fruitseuro
4/201437913
05/05/2014 CRISPSTAR FR31/12/2044
CRIZIA2001/1433 IFF 10,161 01500
CRPV Soc. Coop. A.R.L. C. R. Peuro
5/200515861
18/07/2005 IT31/12/2035
DIAMOND RAY1995/1406 28 p 514 00279/08287
Sel. Plantas Sevilla SL / STAR Feuro
1/19993898
14/12/1998 DIAMOND RAY ES31/12/2028
DONUTNICE2006/1000 02.07.19 nbpl-asf 0283 04628
SARL Agro Selection Fruitseuro
2/201026771
22/02/2010 NECTACAKE 30 FR31/12/2040
DORAGILE2010/2718 4-6-10-08-06 06556
AC FRUIT SASeuro
4/201438210
02/06/2014 FR31/12/2044
DORAZIE2010/2715 4-8-05-08-06 06556
AC FRUIT SASeuro
4/201438209
02/06/2014 FR31/12/2044
E.C.A. ALFARRAS19933447 521
D.A.R.P.esp
BOE-69002183
21/03/2003 ROIG ESCOLA ALFARRAS ES21/03/2023
ELISE2003/0271 s6367 00689
INRA-Institut National de la Recheuro
2/200412668
23/02/2004 ELISE FR23/02/2034
ENDOGUST2009/0931 03.24.01 nb - asf 0526 04628
SARL Agro Selection FruitsEURO
2/201334173
18/02/2013 ASF 05-26 FR31/12/2043
ESCORPIO20054592 100903
Comercial Técnica y Viveros SLesp
1-2011002526
18/01/2011 ESCORPIO ES31/12/2040
EVAISA19892449 522
D.G.A./Dip. TEResp
002000
09/02/1999 EVAISA ES08/02/2019
FERCLUSE2000/1077 s6026 00689
INRA-Institut National de la Recheuro
1/200310242
18/11/2002 FERCLUSE FR18/11/2032
FERGOLD2000/1076 s5710 00689
INRA-Institut National de la Recheuro
1/200310241
18/11/2002 FERGOLD FR18/11/2032
FERLATE2007/2525 s7040 00689
INRA-Institut National de la Recheuro
2/201231432
06/02/2012 FR31/12/2042
FERLOT2000/1074 s6037 00689
INRA-Institut National de la Recheuro
1/200310239
18/11/2002 FERLOT FR18/11/2032
FIAMMA 12009/0892 6060 02787/06648
Domenico Montanari/Luigi Montaeuro
4/201438204
02/06/2014 FIAMMA 1 IT31/12/2044
FIRST SNOW 82008/2013 zpb7-1 05589/05590
Gravilorenzo SL - A. Lópezeuro
2/201436965
24/02/2014 FIRST SNOW 8 ES31/12/2044
FLAJIMA2004/2501 n43-20nb 04411
PSB Producción Vegetal SLeuro
5/201130552
25/07/2011 ES31/12/2041
FLANOBA2004/2498 n2-20nj 04411
PSB Producción Vegetal SLeuro
5/201130551
25/07/2011 ES31/12/2041
FLARIBA2004/2496 n2-117nj 04411
PSB Producción Vegetal SLeuro
5/201130549
25/07/2011 ES31/12/2041
FLATBEAUTI2010/0508 01.29e.50pbpl - asf0795 04628
SARL Agro Selection Fruitseuro
2/201436704
27/01/2014 REGALCAKE* ASF0795 FR31/12/2044
FLATBELLA2010/0507 01.29e.49pbpl - asf0792 04628
SARL Agro Selection Fruitseuro
2/201436703
27/01/2014 REGALCAKE* ASF0792 FR31/12/2044
FLATCHIEF2011/0566 01.26w.40pbpl - asf0892 04628
SARL Agro Selection Fruitseuro
2/201539657
23/02/2015 FR31/12/2045
FLATJULIE2010/0510 01.29e.33pbpl - asf0893 04628
SARL Agro Selection Fruitseuro
2/201436705
27/01/2014 REGALCAKE* ASF0893 FR31/12/2044
FLATLATE CAKE2006/1002 02.07.16 pbpl-asf 0287 04628
SARL Agro Selection Fruitseuro
2/201026773
22/02/2010 REGALCAKE 37 FR31/12/2040
FLATMOON2010/0509 05.01.192pbpl - asf0799 04628
SARL Agro Selection Fruitseuro
2/201539642
23/02/2015 REGALCAKE* ASF0799 FR31/12/2045
FLATOP2011/0565 01.29e.42pbpl - asf0797 04628
SARL Agro Selection Fruitseuro
2/201539656
23/02/2015 FR31/12/2045
17/04/2016 Pàgina 46 de 74
DenominacióNº Exp. Nom comercial Codi / Titular Butlletí
Nº POV
Inici Protecció Fi Referència Obtentor /
Prunus persica (L.) Batsch
FLATPRETTY2005/0906 01.10.64 : asf 0280 04628
SARL Agro Selection Fruitseuro
2/200924115
23/02/2009 REGALCAKE* ASF0280 (26) FR31/12/2039
FLATPRINCESSE2005/0903 02.03.21 : asf 0385 04628
SARL Agro Selection Fruitseuro
2/200924113
23/02/2009 REGALCAKE* 33 ASF0385 FR31/12/2039
FLATQUEEN2005/0905 01.24.88 : asf 0286 04628
SARL Agro Selection Fruitseuro
2/200924114
23/02/2009 REGALCAKE* 34 ASF0783 FR31/12/2039
FLATRED CAKE2006/1001 03.12.122 pbpl-asf 0386 04628
SARL Agro Selection Fruitseuro
2/201026772
22/02/2010 REGALCAKE* 32 FR31/12/2040
FLATREINE2009/0935 01.29e.44 pbpl - asf 0796 04628
SARL Agro Selection FruitsEURO
2/201334176
18/02/2013 REGALCAKE*29 AFS0796 FR31/12/2043
FLATSEPTEMBER2008/0591 03.15.22 pbpl - asf 0493 04628
SARL Agro Selection Fruitseuro
3/201437364
24/03/2014 REGALCAKE*35 ASF0493 FR31/12/2044
FLATSTAR2009/0936 01.29e.41 pbpl - asf 0798 04628
SARL Agro Selection FruitsEURO
2/201334177
18/02/2013 ASF 07-98 FR31/12/2043
FLATSUNPI2010/0505 05.01.134pjpl - asf0783 04628
SARL Agro Selection Fruitseuro
2/201436970
24/02/2014 PEACHCAKE* ASF0783 FR31/12/2044
FLATSUNREINE2010/0506 01.29e.25pjpl - asf0881 04628
SARL Agro Selection Fruitseuro
2/201436702
27/01/2014 PEACHCAKE* ASF0881 FR31/12/2044
FLAVANA2004/2497 n2-24nb 04411
PSB Producción Vegetal SLeuro
5/201130550
25/07/2011 ES31/12/2041
FLAVELA2004/2495 n2-36nb 04411
PSB Producción Vegetal SLeuro
5/201130548
25/07/2011 ES31/12/2041
FUERTES20054593 100903
Comercial Técnica y Viveros SLesp
4-2010002493
06/07/2010 ES31/12/2040
FULLREDAL2005/0898 01.19.01 : asf 0246 04628
SARL Agro Selection Fruitseuro
3/200924344
23/03/2009 REGALSUN 31 FR31/12/2039
GARACO2003/1887 nb 81-84 04411
PSB Producción Vegetal SLeuro
3/200924369
23/03/2009 GARACO (R13) ES31/12/2039
GARBAJA2003/1882 nj 32-1 04411
PSB Producción Vegetal SLeuro
4/200924891
04/05/2009 ES31/12/2039
GARCICA2003/1885 nb 12-84 04411
PSB Producción Vegetal SLeuro
3/200924367
23/03/2009 GARCICA (R22) ES31/12/2039
GARCIMA2003/1888 nj 88-2 04411
PSB Producción Vegetal SLeuro
3/200924370
23/03/2009 ES31/12/2039
GARDETA2003/1890 nj 52-84 04411
PSB Producción Vegetal SLeuro
3/200924372
23/03/2009 GARDETA (R28) ES31/12/2039
GARIBLA2003/1884 nb 38-2 04411
PSB Producción Vegetal SLeuro
3/201026941
22/03/2010 ES31/12/2040
GARMINATA2003/1891 nb 78-2 04411
PSB Producción Vegetal SLeuro
3/200924830
20/04/2009 GARMINATA ES31/12/2039
GARNIFOLA2003/1886 nj 25-84 04411
PSB Producción Vegetal SLeuro
3/200924368
23/03/2009 GARNIFOLA ES31/12/2039
GAROFA2003/1892 nj 21-64 04411
PSB Producción Vegetal SLeuro
3/200924373
23/03/2009 GAROFA (R8) ES31/12/2039
GARTAIRO2003/1883 nj 82-64 04411
PSB Producción Vegetal SLeuro
3/200924829
20/04/2009 GARTAIRO (R2) ES31/12/2039
GARTELLA2003/1889 nj 29-2 04411
PSB Producción Vegetal SLeuro
3/200924371
23/03/2009 ES31/12/2039
GEA2010/0134 geo 3703 06885
Geoplant Vivai SRL Societa Agriceuro
4/201438207
02/06/2014 GEO 3703 IT31/12/2044
GELO 12008/2682 gelo-1 04812/04813
NICOTRA / CONTEeuro
6/200925980
05/10/2009 GHIACCIO* 1 IT31/12/2039
GELO 22008/2683 gelo-2 04812/04813
NICOTRA / CONTEeuro
6/200925981
05/10/2009 GHIACCIO* 2 IT31/12/2039
17/04/2016 Pàgina 47 de 74
DenominacióNº Exp. Nom comercial Codi / Titular Butlletí
Nº POV
Inici Protecció Fi Referència Obtentor /
Prunus persica (L.) Batsch
GELO 32008/2684 gelo-3 04812/04813
NICOTRA / CONTEeuro
6/200925982
05/10/2009 GHIACCIO* 3 IT31/12/2039
HONEY BLAZE2000/1777 544 97n 00189
DARNAUD, Jean-Pierreeuro
2/200616996
27/02/2006 HONEY BLAZE FR31/12/2036
HONEY BLUSH2004/0774 2b-53-13 03945
ARC Infruitec - Nietvoorbijeuro
5/201233276
06/08/2012 ZA31/12/2042
HONEY FIRE2004/2467 688 99 n 00189
DARNAUD, Jean-Pierreeuro
3/201027231
19/04/2010 HONEY FIRE FR31/12/2040
HONEY HAVEN2000/1775 556 97n 00189
DARNAUD, Jean-Pierreeuro
2/200616995
27/02/2006 BIG HAVEN FR31/12/2036
HONEY KIST1998/0669 333.91.n 00189
DARNAUD, Jean-Pierreeuro
1/200412032
10/11/2003 BO 90004011 FR01/01/2034
HONEY ROYALE2002/1788 529 96 n 00189
DARNAUD, Jean-Pierreeuro
4/200720398
18/06/2007 HONEY ROYALE FR31/12/2037
HORIZON2006/0858 horizon 03945
ARC Infruitec - Nietvoorbijeuro
5/201233277
06/08/2012 ZA31/12/2042
ISFROPLAT-320044549 ufo 3 IT015
Istituto Sperimentale per la Fruttiesp
4-2010002494
06/07/2010 UFO - 3 IT31/12/2040
ISFROPLAT-420044548 ufo 4 IT015
Istituto Sperimentale per la Fruttiesp
4-2010002495
06/07/2010 UFO - 4 IT31/12/2040
ISFROPLAT-920064664 IT015
Istituto Sperimentale per la Fruttiesp
BOE98002674
25/04/2015 UFO - 9 IT31/12/2044
IVORY NIGHT2010/2738 48 p 606 00279/08287
Sel. Plantas Sevilla SL / STAR Feuro
3/201437365
24/03/2014 ES31/12/2044
IVORY STAR2008/2771 20 p 1169 00279/08287
Sel. Plantas Sevilla SL / STAR Feuro
2/201231546
20/02/2012 20 P 1169 (IVORY STAR) ES31/12/2042
IVORY SUN2010/2740 14 p 278 00160/00279
Gie Star Fruits - Sel. Plantas Seveuro
2/201539646
23/02/2015 FR31/12/2045
JESCA19892450 522
D.G.A./Dip. TEResp
002001
09/02/1999 JESCA ES08/02/2019
JULIENICE2005/0900 01.24.14 : asf 0248 04628
SARL Agro Selection Fruitseuro
2/200924110
23/02/2009 REGALSUN 34 FR31/12/2039
JULIEPRETTY2005/0899 02.04.55 : asf 0252 04628
SARL Agro Selection Fruitseuro
2/200924109
23/02/2009 REGALSUN 33 FR31/12/2039
LAMINERA20034530 almanat (334F4828) ES919
SAT Frutariaesp
1-2010002475
25/12/2009 ES31/12/2039
LARCABON20024476 SD 9779 00279
Selección Plantas Sevilla SLesp
5-2009002447
22/07/2009 ES31/12/2039
LARCAPRE20024475 S9612 FG 00279
Selección Plantas Sevilla SLesp
5-2009002448
22/07/2009 ES31/12/2039
LORDABRY20024473 S 9781 BR 00279
Selección Plantas Sevilla SLesp
5-2009002449
22/07/2009 ES31/12/2039
LORDADIAM2006/2406 6698s 00279/03299
Sel. Plantas Sevilla SL - S.N.C. Seuro
3/201129125
07/03/2011 ES31/12/2041
LORDADOU20024474 ST 9790 00279
Selección Plantas Sevilla SLesp
5-2009002450
22/07/2009 ES31/12/2039
LUCIANA2006/0021 n47-13 nj 04411
PSB Producción Vegetal SLeuro
3/201129121
07/03/2011 LUCIANA (R48) ES31/12/2041
LUCIBELLA2006/0020 n46-22 nj 04411
PSB Producción Vegetal SLeuro
5/201130556
25/07/2011 ES31/12/2041
MAILLARA2000/0352 01283727 02954
Scea Euro Pépinièreseuro
6/200311973
20/10/2003 BIG BANG* FR31/12/2033
MAILLARBIG2002/0587 ep 9215 r 02954
Scea Euro Pépinièreseuro
1/200412113
24/11/2003 BIGSUN FR01/01/2034
17/04/2016 Pàgina 48 de 74
DenominacióNº Exp. Nom comercial Codi / Titular Butlletí
Nº POV
Inici Protecció Fi Referència Obtentor /
Prunus persica (L.) Batsch
MAILLARBINETTE2002/0590 ep 97.51 02954
Scea Euro Pépinièreseuro
1/200412114
24/11/2003 BELBINETTE FR01/01/2034
MAILLARDANCE2004/0752 01.05.05.98 pb 04628
SARL Agro Selection Fruitseuro
3/200821919
10/03/2008 REGAL SNOW* 35 FR31/12/2038
MAILLARDIVA2004/0751 01.05.20.98 pb 04628
SARL Agro Selection Fruitseuro
3/200821918
10/03/2008 REGAL SNOW* 34 FR31/12/2038
MAILLARDUCHESSE2004/0749 01.14.77.01 nb 04628
SARL Agro Selection Fruitseuro
3/200821916
10/03/2008 NECTADELICE* 36 FR31/12/2038
MAILLARFLAT2002/0570 ep 93,06 02954
Scea Euro Pépinièreseuro
1/200412110
24/11/2003 SWEET CAP* FR01/01/2034
MAILLARGOOD2002/0573 ep 9420 r 02954
Scea Euro Pépinièreseuro
1/200412111
24/11/2003 VERYGOOD FR01/01/2034
MAILLARLOVE2004/0750 01.11.92.02 pb 04628
SARL Agro Selection Fruitseuro
3/200821917
10/03/2008 REGAL SNOW* 26 FR31/12/2038
MAILLARMAGIE2002/0589 nb0192497 clone ep 9769 02954
Scea Euro Pépinièreseuro
2/200616775
30/01/2006 MAGIQUE* FR31/12/2036
MAILLARMALINE2002/0571 ep 9655 pb 02954
Scea Euro Pépinièreseuro
2/200616773
30/01/2006 VALENTINE* FR31/12/2036
MAILLARNECTA2002/0572 ep 9748 02954
Scea Euro Pépinièreseuro
5/200618129
17/07/2006 BIG NECTARED FR31/12/2036
MAILLARPLUS2002/0574 ep 91,08 r 02954
Scea Euro Pépinièreseuro
1/200412112
24/12/2003 PLUSPLUS* FR01/01/2034
MAILLARPRINCESSE2004/0747 01.16.73.01 nb 04628
SARL Agro Selection Fruitseuro
3/200821914
10/03/2008 NECTADELICE 28 FR31/12/2038
MAILLARQUEEN2004/0745 01.14.03.01 nb 04628
SARL Agro Selection Fruitseuro
3/200821905
10/03/2008 NECTADELICE 25 FR31/12/2038
MAILLARUBY2002/0575 ep 94.41 nb 02954
Scea Euro Pépinièreseuro
2/200616774
30/01/2006 PRETTY RUBIS FR31/12/2036
MAJESTIC PEARL2007/2568 15 g 222 00279/08287
Sel. Plantas Sevilla SL / STAR Feuro
4/201232806
04/06/2012 ES31/12/2042
MALATEWHITE2005/0912 02.06.68 : asf 0265 04628
SARL Agro Selection Fruitseuro
2/200924121
23/02/2009 REGAL SNOW* 36 FR31/12/2039
MAPERLA2005/0910 02.11.19 : asf 0363 04628
SARL Agro Selection Fruitseuro
2/200924119
23/02/2009 REGAL SNOW* 30 FR31/12/2039
MASNOW2005/0911 01.17.108 : asf 0362 04628
SARL Agro Selection Fruitseuro
2/200924120
23/02/2009 REGAL SNOW* 29 FR31/12/2039
MATOPRED2005/0902 02.10.108 : asf 0255 04628
SARL Agro Selection Fruitseuro
2/200924112
23/02/2009 REGALSUN 35 FR31/12/2039
MAY HERO2009/2287 w / sil-42 05589/05590
Gravilorenzo SL - A. Lópezeuro
2/201436966
24/02/2014 MAY HERO ES31/12/2044
MAY PEARL2008/2768 30 p 484 00279/08287
Sel. Plantas Sevilla SL / STAR Feuro
2/201231543
20/02/2012 MAY PEARL ES31/12/2042
MELDOREE2010/2717 8-01-02 06556
AC FRUIT SASeuro
5/201438704
28/07/2014 FR31/12/2044
MESEMBRINE2001/1739 s 6606 00689
INRA-Institut National de la Recheuro
6/200311978
20/10/2003 MESEMBRINE FR31/12/2033
MESSAPIA2002/0724 messapia 03849
Giannoccaro Pietroeuro
6/200414095
25/10/2004 IT31/12/2034
MOMEE1995/1043 4001 08287
STAR FRUITS DIFFUSION S.A.euro116
3/19971870
03/04/1997 JADE* FR01/02/2023
MONADINE2007/0118 2-3 01045
Monteux Gaillet Reneeuro
4/201232797
21/05/2012 MONADINE FR31/12/2042
MONAFI20054588 1079 ES921
René Monteux-Cailletesp
4-2010002502
12/07/2010 GRENAT* FR31/12/2040
17/04/2016 Pàgina 49 de 74
DenominacióNº Exp. Nom comercial Codi / Titular Butlletí
Nº POV
Inici Protecció Fi Referència Obtentor /
Prunus persica (L.) Batsch
MONALAND2007/2726 4 05 02 01045
Monteux Gaillet Reneeuro
3/201129640
18/04/2011 FR31/12/2041
MONALU20024454 149 5 ES920
Star Fruits SNCesp
5-2009002451
22/07/2009 ONYX* FR31/12/2039
MONAM20014345 4068 00160/03237
G.I.E. Star Fruits - Serge Lafondesp
5-2009002452
22/07/2009 AMBRE* FR31/12/2039
MONARIGA2007/2725 1 02 02 01045
Monteux Gaillet Reneeuro
1/201231263
19/12/2011 FR31/12/2041
MONASID2007/2565 2 09 02 01045
Monteux Gaillet Reneeuro
3/201129639
18/04/2011 FR31/12/2041
MONATUN2007/2564 2 04 02 01045
Monteux Gaillet Reneeuro
3/201129638
18/04/2011 FR31/12/2041
MONBACH2013/3045 4-14 01045
Monteux Gaillet Reneeuro
4/201438337
16/06/2014 FR31/12/2044
MONBELLO2011/0127 12 04 02 01045
Monteux Gaillet Reneeuro
2/201436971
24/02/2014 FR31/12/2044
MONCANTE2009/0074 23 20 02 01045
Monteux Gaillet Reneeuro
2/201334165
18/02/2013 23 20 02 FR31/12/2043
MONCAV1995/1044 15-83-170 00160
Gie Star Fruitseuro116
2/19971644
15/01/1997 OPALE* FR01/02/2022
MONCHA2013/3053 12-24 01045
Monteux Gaillet Reneeuro
4/201438339
16/06/2014 FR31/12/2044
MONCO20014383 7025 FR900
Monteux-Caillet, Renéesp
5-2009002453
22/07/2009 CORALINE* FR31/12/2039
MONCREST2009/0268 7 08 03 01045
Monteux Gaillet Reneeuro
34166
18/02/2013 7 08 03 FR31/12/2043
MONDORÉ2003/2397 161-15 01045
Monteux Gaillet Reneeuro
3/200821921
10/03/2008 DOLOMITE* FR31/12/2038
MONERIN2006/2508 15-10 01045
Monteux Gaillet Reneeuro
3/200821932
10/03/2008 ORINE* FR31/12/2038
MONFAIT2008/2742 2 5 01045
Monteux Gaillet Reneeuro
3/201129641
18/04/2011 MONFAIT FR31/12/2041
MONGOT2003/2399 53-15 01045
Monteux Gaillet Reneeuro
3/200821922
10/03/2008 AMAZONITE* FR31/12/2038
MONGROS2002/1424 966 01045
Monteux Gaillet Reneeuro
6/200516191
12/09/2005 GYPSE* FR31/12/2035
MONID20014385 1276 FR900
Monteux-Caillet, Renéesp
5-2009002455
22/07/2009 FR31/12/2039
MONIJOL2007/2563 5 3 3 01045
Monteux Gaillet Reneeuro
2/201128853
07/02/2011 FR31/12/2041
MONIRON2008/2743 0 14 7 07 01045
Monteux Gaillet Reneeuro
3/201129642
18/04/2011 MONIRON FR31/12/2041
MONIVO20014386 89.6 FR900
Monteux-Caillet, Renéesp
5-2009002456
22/07/2009 IVOIRE* FR31/12/2039
MONJAUNE20024455 160 3 ES920
Star Fruits SNCesp
5-2009002457
22/07/2009 CORINDON* FR31/12/2039
MONLEB2013/3043 4-8 01045
Monteux Gaillet Reneeuro
4/201438336
16/06/2014 FR31/12/2044
MONLY2004/2486 4-3-7 01045
Monteux Gaillet Reneeuro
3/200821926
10/03/2008 FR31/12/2038
MONMEIL2007/2724 19 1 2 01045
Monteux Gaillet Reneeuro
2/201128855
07/02/2011 FR31/12/2041
MONNOIR2002/1426 956 01045
Monteux Gaillet Reneeuro
6/200516192
12/09/2005 AZURITE* FR31/12/2035
17/04/2016 Pàgina 50 de 74
DenominacióNº Exp. Nom comercial Codi / Titular Butlletí
Nº POV
Inici Protecció Fi Referència Obtentor /
Prunus persica (L.) Batsch
MONNUDE1995/1041 2201 08287
STAR FRUITS DIFFUSION S.A.euro116
2/19971642
15/01/1997 EMERAUDE* FR01/02/2022
MONOF20014387 1280 FR900
Monteux-Caillet, Renéesp
5-2009002458
22/07/2009 FR31/12/2039
MONPERSI2006/2506 29-'2-02 01045
Monteux Gaillet Reneeuro
2/201026776
22/02/2010 FR31/12/2040
MONPHIR1995/1037 70-97 08287
STAR FRUITS DIFFUSION S.A.euro116
3/19971868
03/04/1997 ZEPHYR* FR01/05/2022
MONRENÉ2007/2561 18 08 02 01045
Monteux Gaillet Reneeuro
2/201128851
07/02/2011 FR31/12/2041
MONRIES2003/1818 075 01045
Monteux Gaillet Reneeuro
3/200617327
24/04/2006 CRISTAL* FR31/12/2036
MONROI2006/2503 17-11-02 01045
Monteux Gaillet Reneeuro
2/201026774
22/02/2010 FR31/12/2040
MONRUN2006/2502 22-01-02 01045
Monteux Gaillet Reneeuro
6/201028211
06/09/2010 SANDINE FR31/12/2040
MONSAN 12003/2398 12-15 01045
Monteux Gaillet Reneeuro
3/200822070
07/04/2008 FR31/12/2038
MONSANDEUX2006/2509 12-85 01045
Monteux Gaillet Reneeuro
2/201026777
22/02/2010 FR31/12/2040
MONSAT2006/2507 238 01045
Monteux Gaillet Reneeuro
3/200821931
10/03/2008 MONSAT FR31/12/2038
MONTALINE2006/2504 426 01045
Monteux Gaillet Reneeuro
2/200924102
23/02/2009 TOURMALINE* FR31/12/2039
MONTARSA2003/1809 047 01045
Monteux Gaillet Reneeuro
3/200617326
24/04/2006 FR31/12/2036
MONTICA2008/2741 17 b14 02 01045
Monteux Gaillet Reneeuro
4/201130327
06/06/2011 MONTICA FR31/12/2041
MONTONNE2005/2521 21-61 01045
Monteux Gaillet Reneeuro
2/201026760
22/02/2010 FR31/12/2040
MONVAL2013/3050 12-87 01045
Monteux Gaillet Reneeuro
4/201438338
16/06/2014 FR31/12/2044
NABRUSCA2007/0094 n2-44 nb 04411
PSB Producción Vegetal SLeuro
5/201233281
06/08/2012 ES31/12/2042
NECTA ZEE1995/1317 354 93n 00189
DARNAUD, Jean-Pierreeuro
1/19993889
14/12/1998 FR31/12/2028
NECTABANG2009/0927 4n.05.141 nj - asf 0503 04628
SARL Agro Selection FruitsEURO
2/201334169
18/02/2013 NECTAPOM 23 FR31/12/2043
NECTABELLE2008/0576 4n.12.65 nj - asf 0501 04628
SARL Agro Selection Fruitseuro
2/201231530
20/02/2012 NECTAPOM 22.1 FR31/12/2042
NECTACHIEF2005/0908 01.23.01 : asf 0201 04628
SARL Agro Selection Fruitseuro
2/200924117
23/02/2009 NECTAPOM 26 FR31/12/2039
NECTADELICIOUS2005/0907 01.24.49 : asf 0206 04628
SARL Agro Selection Fruitseuro
2/200924116
23/02/2009 NECTAPOM 31 FR31/12/2039
NECTADIVA2011/0558 4n.03.120nj - asf0619 04628
SARL Agro Selection Fruitseuro
2/201539650
23/02/2015 FR31/12/2045
NECTAFINE2008/0580 03.23.153 nj - asf 0519 04628
SARL Agro Selection Fruitseuro
2/201231533
20/02/2012 NECTAFINE FR31/12/2042
NECTAGALA2004/0742 01.07.43.01 nj 04628
SARL Agro Selection Fruitseuro
3/200821908
10/03/2008 NECTAPOM* 32 FR31/12/2038
NECTAJULIE2011/0557 4n.02.95nj - asf0613 04628
SARL Agro Selection Fruitseuro
2/201539649
23/02/2015 FR31/12/2045
NECTALADY2004/0744 01.24.93.02 nj 04628
SARL Agro Selection Fruitseuro
3/200821906
10/03/2008 NECTAPOM 35 FR31/12/2038
17/04/2016 Pàgina 51 de 74
DenominacióNº Exp. Nom comercial Codi / Titular Butlletí
Nº POV
Inici Protecció Fi Referència Obtentor /
Prunus persica (L.) Batsch
NECTAMOUR2010/0479 4n.08.149nj - asf0608 04628
SARL Agro Selection Fruitseuro
2/201539639
23/02/2015 NECTAMOUR FR31/12/2045
NECTAPI2008/0581 03.22.128 nj - asf 0414 04628
SARL Agro Selection Fruitseuro
2/201231534
20/02/2012 NECTAPI FR31/12/2042
NECTAPINK2004/0741 01.08.60.01 nj 04628
SARL Agro Selection Fruitseuro
3/200821909
10/03/2008 NECTAPOM 30 FR31/12/2038
NECTAPRIMA2004/0738 01.01.02.00 nj 04628
SARL Agro Selection Fruitseuro
3/200821912
10/03/2008 NECTAPOM* 22 FR31/12/2038
NECTARBONDANT2010/0485 01.27w.71nb - asf0732 04628
SARL Agro Selection Fruitseuro
4/201437911
05/05/2014 NECTARBONDANT FR31/12/2044
NECTARBOOM2010/0486 01.29w.19nb - asf0822 04628
SARL Agro Selection Fruitseuro
2/201436692
27/01/2014 NECTARBOOM FR31/12/2044
NECTARCRISP2006/0995 02.07.13 nb-asf 0227 04628
SARL Agro Selection Fruitseuro
2/201026766
22/02/2010 NECTASWEET* 35 FR31/12/2040
NECTARDREAM2010/0484 01.26e.04nb - asf0730 04628
SARL Agro Selection Fruitseuro
2/201436697
24/02/2014 NECTARDREAM FR31/12/2044
NECTARDUCHESSE2011/0561 01.26e.14nb - asf0833 04628
SARL Agro Selection Fruitseuro
2/201539652
23/02/2015 FR31/12/2045
NECTAREARLY2009/0932 4n.12.88 nb - asf 0623 04628
SARL Agro Selection FruitsEURO
1/201539127
03/11/2014 NECTASWEET 22 FR31/12/2044
NECTAREINE2004/0740 01.06.26.99 nj 04628
SARL Agro Selection Fruitseuro
3/200821910
10/03/2008 NECTAPOM 29 FR31/12/2038
NECTAREXQUISE2006/0996 02.10.61 nb-asf 0328 04628
SARL Agro Selection Fruitseuro
2/201026767
22/02/2010 NECTASWEET* 32 FR31/12/2040
NECTARFLORA2009/0933 05.02.109 nb - asf 0624 04628
SARL Agro Selection FruitsEURO
2/201334174
18/02/2013 NECTASWEET 23 FR31/12/2043
NECTARIANE2004/0739 01.07.33.01 nj 04628
SARL Agro Selection Fruitseuro
3/200821911
10/03/2008 NECTAPOM* 28-1 FR31/12/2038
NECTARJEWEL2006/0994 03.12.74 nb-asf 0426 04628
SARL Agro Selection Fruitseuro
2/201026765
22/02/2010 FR31/12/2040
NECTARJUNE2006/0993 03.12.03 nb-asf 0321 04628
SARL Agro Selection Fruitseuro
2/201026764
22/02/2010 NECTASWEET* 24 FR31/12/2040
NECTARLAM2010/0491 4s.10w.100nb - asf0832 04628
SARL Agro Selection Fruitseuro
2/201539641
23/02/2015 NECTARLAM (ASF 08-32) FR31/12/2045
NECTARLIGHT2008/0583 03.05.67 nb - asf 0430 04628
SARL Agro Selection Fruitseuro
2/201231536
20/02/2012 NECTARLIGHT FR31/12/2042
NECTARLOVE2010/0483 01.26e.01nb - asf0726 04628
SARL Agro Selection Fruitseuro
4/201437910
05/05/2014 NECTARLOVE FR31/12/2044
NECTARMAGIE2004/0746 02.10.66.02 nb 04628
SARL Agro Selection Fruitseuro
3/200821913
10/03/2008 NECTASWEET 26 FR31/12/2038
NECTARNICE2009/0929 4n.12.85 nb - asf 0521 04628
SARL Agro Selection FruitsEURO
2/201334171
18/02/2013 NECTASWEET 25 FR31/12/2043
NECTAROYAL2004/0743 01.23.15.02 nj 04628
SARL Agro Selection Fruitseuro
3/200821907
10/03/2008 NECTAPOM 33 FR31/12/2038
NECTARPERLE2004/0748 01.16.107.02 nb 04628
SARL Agro Selection Fruitseuro
3/200821915
10/03/2008 NECTASWEET* 28 FR31/12/2038
NECTARREVE2008/0582 4n.12.81 nb - asf 0522 04628
SARL Agro Selection Fruitseuro
2/201231535
20/02/2012 NECTASWEET 27 FR31/12/2042
NECTARRUBY2010/0487 01.25e.52nb - asf0828 04628
SARL Agro Selection Fruitseuro
4/201437912
05/05/2014 NECTARRUBY FR31/12/2044
NECTARTIC2010/0489 4s.11e.109nb - asf0830 04628
SARL Agro Selection Fruitseuro
2/201436693
27/01/2014 NECTARIC FR31/12/2044
NECTASIA2011/0560 05.05.05nj - asf0712 04628
SARL Agro Selection Fruitseuro
2/201539651
23/02/2015 FR31/12/2045
17/04/2016 Pàgina 52 de 74
DenominacióNº Exp. Nom comercial Codi / Titular Butlletí
Nº POV
Inici Protecció Fi Referència Obtentor /
Prunus persica (L.) Batsch
NECTASTAR2010/0482 05.10e.115nj - asf0707 04628
SARL Agro Selection Fruitseuro
2/201436691
27/01/2014 NECTASTAR FR31/12/2044
NECTATINTO2010/0481 4n.05.33nj - asf0620 04628
SARL Agro Selection Fruitseuro
2/201539640
23/02/2015 NECTATINTO FR31/12/2045
NECTATOP2008/0578 03.22.87 nj - asf 0515 04628
SARL Agro Selection Fruitseuro
2/201231532
20/02/2012 NECTATOP FR31/12/2042
NECTAVANPI2009/0926 03.22.124 nj - asf 0413 04628
SARL Agro Selection FruitsEURO
2/201334168
18/02/2013 NECTAVANPI FR31/12/2043
NECTAVANTOP2009/0928 05.06.183 nj - asf 0711 04628
SARL Agro Selection FruitsEURO
2/201334170
18/02/2013 NECTAVANTOP FR31/12/2043
NECTAVISTA2008/0577 4n.05.152 nj - asf 0504 04628
SARL Agro Selection Fruitseuro
2/201231531
20/02/2012 NECTAPOM 25 FR31/12/2042
NERID 003972008/2533 00397 05510
Daniele NERIeuro
4/201335363
21/05/2013 NERID 00397 IT31/12/2043
NERID 004082008/2530 00408 05510
Daniele NERIeuro
4/201335360
21/05/2013 NERID 00408 IT31/12/2043
NERID 005222008/2531 00522 05510
Daniele NERIeuro
4/201335361
21/05/2013 NERID 00522 IT31/12/2043
NERID 013482007/1816 01348 05510
Daniele NERIeuro
4/201232801
21/05/2012 IT31/12/2042
NERID 887362006/1451 romagna 3000 05510
Daniele NERIeuro
4/201130307
06/06/2011 IT31/12/2041
NERID 957022007/1817 95702 05510
Daniele NERIeuro
4/201232802
21/05/2012 IT31/12/2042
NERID 975172007/1815 97517 05510
Daniele NERIeuro
4/201232800
21/05/2012 IT31/12/2042
NERID 997412008/2532 99741 05510
Daniele NERIeuro
4/201335362
21/05/2013 NERID 99741 IT31/12/2043
NERID 997432007/1818 99743 05510
Daniele NERIeuro
4/201232803
21/05/2012 ROMAGNA GOLD IT31/12/2042
NORACILA2007/0093 n46-9 nj 04411
PSB Producción Vegetal SLeuro
5/201233280
06/08/2012 ES31/12/2042
OCTOBER STAR2001/0797 october star 01474
Vivai Fratelle Zanzi di Carlo Zanzieuro
5/200515859
18/07/2005 OCTOBER STAR IT31/12/2035
ORDIGAN2001/1740 s 6184 00689
INRA-Institut National de la Recheuro
3/200514782
07/03/2005 ORDIGAN FR31/12/2035
ORIANE2001/1741 s 6422 00689
INRA-Institut National de la Recheuro
6/200311980
20/10/2003 ORIANE FR31/12/2033
ORIOLA2001/1742 s 6817 00689
INRA-Institut National de la Recheuro
6/200516189
12/09/2005 ORIOLA FR31/12/2035
ORNELLA2001/1743 s 5848 00689
INRA-Institut National de la Recheuro
6/200516190
12/09/2005 ORNELLA FR31/12/2035
PIATTAFORONE2011/2547 iff 985 06797
C.R.A. - FRFeuro
2/201436707
27/01/2014 SWEET RING IT31/12/2044
PIATTAFORTWO2011/2546 iff 1180 06797
C.R.A. - FRFeuro
2/201436706
27/01/2014 PINK RING IT31/12/2044
PIX ZEE1995/1319 343 92p 00189
DARNAUD, Jean-Pierreeuro
1/19993890
14/12/1998 FR31/12/2028
PLABLANEC2001/1667 97.14.065-nb 00132
Plantas de Navarra SAeuro
2/200924126
23/02/2009 VIOWHITE 5 ES31/12/2039
PLACARINEC2002/2114 97.08.299-nb 00132
Plantas de Navarra SAeuro
2/200924128
23/02/2009 VIOWHITE 20 ES31/12/2039
PLACASTAMEL2001/1658 95.15.001-p 00132
Plantas de Navarra SAeuro
2/200924124
23/02/2009 PLAGOLD 10 ES31/12/2039
17/04/2016 Pàgina 53 de 74
DenominacióNº Exp. Nom comercial Codi / Titular Butlletí
Nº POV
Inici Protecció Fi Referència Obtentor /
Prunus persica (L.) Batsch
PLAGOLD 172005/2046 99.02.157-p 00132
Plantas de Navarra SAeuro
3/201026947
22/03/2010 PLAGOLD 17 ES31/12/2040
PLAGOLD 212008/2235 97.06.010-p 00132
Plantas de Navarra SAeuro
2/201334068
21/01/2013 PLAGOLD 21 ES31/12/2043
PLAGOLD 222011/0242 00.45.030 p 00132
Plantas de Navarra SAeuro
2/201642619
22/02/2016 ES31/12/2046
PLAMAQMEL1999/1141 95.04.001 00132
Plantas de Navarra SAeuro
3/200617109
27/03/2006 PLAGOLD® 25 ES31/12/2036
PLAPIOMEL2001/1661 95.03.003-p 00132
Plantas de Navarra SAeuro
3/200617198
27/03/2006 PLAGOLD® 20 ES31/12/2036
PLATAÑOMEL2001/1657 95.04.002-p 00132
Plantas de Navarra SAeuro
2/200821791
28/01/2008 PLAGOLD® 15 ES31/12/2038
PLATIBELLE2007/2850 nº 4 00689/06122
INRA - EARL QUARTIER NEUFeuro
2/201128856
07/02/2011 PLATIBELLE FR31/12/2041
PLATIFIRST2007/2852 nº 6 00689/06122
INRA - EARL QUARTIER NEUFeuro
2/201128858
07/02/2011 PLATIFIRST FR31/12/2041
PLATIFUN2007/2851 nº 5 00689/06122
INRA - EARL QUARTIER NEUFeuro
2/201128857
07/02/2011 PLATIFUN FR31/12/2041
PLATIMOON2007/2853 nº 22 00689/06122
INRA - EARL QUARTIER NEUFeuro
3/201334257
04/03/2013 PLATIMOON FR31/12/2043
PLATINUM2011/0246 nr46 00689/06122
INRA - EARL QUARTIER NEUFeuro
2/201539648
23/02/2015 FR31/12/2045
PLATIREINE2011/0245 nr42 00689/06122
INRA - EARL QUARTIER NEUFeuro
2/201539647
23/02/2015 FR31/12/2045
PLATORNEC2001/1669 97.14.012-n 00132
Plantas de Navarra SAeuro
3/200617199
27/03/2006 ZINCAL 20 ES31/12/2036
PLATRIUNNEC2002/2115 97.14.112-nb 00132
Plantas de Navarra SAeuro
2/200924129
23/02/2009 VIOWHITE 15 ES31/12/2039
PLAWHITE 102003/1893 97.08.220-pb 00132
Plantas de Navarra SAeuro
3/201026942
22/03/2010 PLAWHITE 10 ES31/12/2040
PLAWHITE 202006/1961 97.08.142-pb 00132
Plantas de Navarra SAeuro
3/201129632
18/04/2011 ES31/12/2041
PLAWHITE 52002/2113 97.08.017-pb 00132
Plantas de Navarra SAeuro
2/200924127
23/02/2009 PLAWHITE 5 ES31/12/2039
PLAZANOMEL2001/1659 97.08.309-p 00132
Plantas de Navarra SAeuro
2/200924125
23/02/2009 PLAGOLD® 5 ES31/12/2039
POLAR PRINCESS2010/2739 34 p 444 00279/08287
Sel. Plantas Sevilla SL / STAR Feuro
3/201437366
24/03/2014 ES31/12/2044
PRESIVAC 120094871 ES959
IVIA - AGROMILLORAesp
BOE98002675
25/04/2015 IVIA-MEL-AC59 ES31/12/2044
PRIME PEARL2009/2505 9 g 820 00279/08287
Sel. Plantas Sevilla SL / STAR Feuro
2/201334181
18/02/2013 9 G 820 (PRIME PEARL) ES31/12/2043
PRINCESS TIME2011/2889 30 c 222 00160/00279
Gie Star Fruits - Sel. Plantas Seveuro
2/201539658
23/02/2015 FR31/12/2045
PRO 11020104914 PRO110 06772
Viveros Provedo SAesp
BOE98002678
25/04/2015 PLATERINA 110 ES31/12/2044
PRO 2820104911 PRO28 06772
Viveros Provedo SAesp
1-2016002714
13/12/2015 EXTREME 28 ES31/12/2045
PRO 282013/2731 cp3-631 06772
Viveros Provedo SAeuro
2/201642573
22/02/2016 EXTREME 28 ES31/12/2043
PRO 3142013/2729 cp3-11878 06772
Viveros Provedo SAeuro
2/201539405
26/01/2015 EXTREME 314 ES31/12/2045
PRO 31420104915 PRO314 06772
Viveros Provedo SAesp
BOE98002679
25/04/2015 EXTREME 314 ES31/12/2044
17/04/2016 Pàgina 54 de 74
DenominacióNº Exp. Nom comercial Codi / Titular Butlletí
Nº POV
Inici Protecció Fi Referència Obtentor /
Prunus persica (L.) Batsch
PRO 3320104912 PRO33 06772
Viveros Provedo SAesp
BOE98002680
25/04/2015 EXTREME 33 ES31/12/2044
PRO 4602013/2728 cp3-29558 06772
Viveros Provedo SAeuro
2/201539404
26/01/2015 EXTREME 460 ES31/12/2045
PRO 46020104917 PRO460 06772
Viveros Provedo SAesp
BOE98002681
25/04/2015 EXTREME 460 ES31/12/2044
PRO 51120114964 PRO511 06772
Viveros Provedo SAesp
1-2016002717
13/12/2015 VICO ES31/12/2045
PRO 5632013/2730 cp5-3385 06772
Viveros Provedo SAeuro
2/201539406
26/01/2015 EXTREME GLOBE (563) ES31/12/2045
PRO 56320104916 PRO563 06772
Viveros Provedo SAesp
BOE98002682
25/04/2015 EXTREME GLOBE (563) ES31/12/2044
PRO 620104910 PRO6 06772
Viveros Provedo SAesp
BOE98002683
25/04/2015 EXTREME 6 ES31/12/2044
PRO 7920104913 PRO79 06772
Viveros Provedo SAesp
1-2016002715
13/12/2015 EXTREME 79 ES31/12/2045
PRO C 12009/1811 cp3-226 06772
Viveros Provedo SAeuro
1/201436612
16/12/2013 EARLY FRESH ES31/12/2043
PRO C 10520084797 CP3-16595 ES931
Viveros PROVEDO SAesp
2-2013002577
17/01/2013 YUSTE ES31/12/2043
PRO C 1072009/1828 cp3-21596 06772
Viveros Provedo SAeuro
3/201334370
04/03/2013 PLANE SUN ES31/12/2043
PRO C 13520084805 CP3-2582 ES931
Viveros PROVEDO SAesp
2-2013002579
17/01/2013 EXTREME BIG ES31/12/2043
PRO C 13820084849 CP3-677 ES931
Viveros PROVEDO SAesp
1-201602712
13/12/2015 EXTREME DELIGHT ES31/12/2045
PRO C 1392009/1819 cp3-2667 06772
Viveros Provedo SAeuro
3/201334261
04/03/2013 EXTREME SUNNY ES31/12/2043
PRO C 1402009/1820 cp3-2680 06772
Viveros Provedo SAeuro
3/201334263
04/03/2013 EXTREME SHINE ES31/12/2043
PRO C 152009/1830 cp3-676 06772
Viveros Provedo SAeuro
1/201436613
16/12/2013 FRESH QUEEN ES31/12/2043
PRO C 1512009/1832 cp3-21669 06772
Viveros Provedo SAeuro
2/201436689
27/01/2014 PLANE DELICIOUS ES31/12/2044
PRO C 1522009/1825 cp3-26266 06772
Viveros Provedo SAeuro
3/201334367
04/03/2013 PLANE SILVER ES31/12/2043
PRO C 162009/1815 cp3-728 06772
Viveros Provedo SAeuro
3/201334438
18/03/2013 EXTREME MAY ES31/12/2043
PRO C 1652009/1812 cp2-165 06772
Viveros Provedo SAeuro
5/201027852
05/07/2010 EXTREME RED ES31/12/2040
PRO C 1720084800 CP3-916 ES931
Viveros PROVEDO SAesp
2-2013002584
17/01/2013 SILOS ES31/12/2043
PRO C 18220084796 CP3-6333 ES931
Viveros PROVEDO SAesp
2-2013002585
17/01/2013 LEYRE ES31/12/2043
PRO C 1852009/1829 cp3-21630 06772
Viveros Provedo SAeuro
3/201334372
04/03/2013 PLANE STAR ES31/12/2043
PRO C 2062009/1826 cp3-21585 06772
Viveros Provedo SAeuro
3/201334368
04/03/2013 PLANE GOLD ES31/12/2043
PRO C 2112009/1809 cp3-16938 06772
Viveros Provedo SAeuro
3/201334258
04/03/2013 EXTREME GREAT ES31/12/2043
PRO C 2182009/1814 cp3-20006 06772
Viveros Provedo SAeuro
3/201334259
04/03/2013 EXTREME MOON ES31/12/2043
PRO C 22020084788 CP3-22677 ES931
Viveros PROVEDO SAesp
2-2013002590
17/01/2013 POBLET ES31/12/2043
17/04/2016 Pàgina 55 de 74
DenominacióNº Exp. Nom comercial Codi / Titular Butlletí
Nº POV
Inici Protecció Fi Referència Obtentor /
Prunus persica (L.) Batsch
PRO C 2242009/1822 cp3-23401 06772
Viveros Provedo SAeuro
3/201334364
04/03/2013 FRESH BIG ES31/12/2043
PRO C 2252009/1823 cp3-27050 06772
Viveros Provedo SAeuro
3/201334365
04/03/2013 FRESH LADY ES31/12/2043
PRO C 2292009/1827 cp3-26299 06772
Viveros Provedo SAeuro
3/201334369
04/03/2013 PLANE TOP ES31/12/2043
PRO C 23620084789 CP3-22673 ES931
Viveros PROVEDO SAesp
BOE98002676
25/04/2015 VERUELA ES31/12/2044
PRO C 24920084787 CP3-27588 ES931
Viveros PROVEDO SAesp
2-2013002594
17/01/2013 FRESH LATE ES31/12/2043
PRO C 252009/1831 cp3-2207 06772
Viveros Provedo SAeuro
3/201334271
04/03/2013 FRESH RED ES31/12/2043
PRO C 272009/1816 cp2-70 06772
Viveros Provedo SAeuro
3/201334260
04/03/2013 EXTREME JUNE ES31/12/2043
PRO C 3292009/1817 cp3-2725 06772
Viveros Provedo SAeuro
2/201539403
26/01/2015 EXTREME BEAUTY ES31/12/2045
PRO C 3422009/1821 cp1-342 06772
Viveros Provedo SAeuro
5/201027854
05/07/2010 FRESH WHITE ES31/12/2040
PRO C 41320084852 CP3-11318 ES931
Viveros PROVEDO SAesp
1-2016002713
13/12/2015 EXTREME PRETTY ES31/12/2045
PRO C 520084782 CP3-225 ES931
Viveros PROVEDO SAesp
1-2014002647
27/12/2013 EXTREME PRIME ES31/12/2043
PRO C 5620084784 CP3-12040 ES931
Viveros PROVEDO SAesp
2-2013002597
17/01/2013 EXTREME GLOW ES31/12/2043
PRO C 6020084803 CP3-12141 ES931
Viveros PROVEDO SAesp
2-2013002598
17/01/2013 EXTREME SNOW ES31/12/2043
PRO C 6382009/1808 cp1-638 06772
Viveros Provedo SAeuro
5/201027851
05/07/2010 EXTREME JULY ES31/12/2040
PRO C 6552009/1818 cp1-655 06772
Viveros Provedo SAeuro
5/201027853
05/07/2010 EXTREME SWEET ES31/12/2040
PRO C 6720084801 CP3-6385 ES931
Viveros PROVEDO SAesp
2-2013002599
17/01/2013 YUSO ES31/12/2043
PRO C 7520084804 CP3-12042 ES931
Viveros PROVEDO SAesp
2-2013002600
17/01/2013 EXTREME GOOD ES31/12/2043
PRO C 8420084802 CP3-6230 ES931
Viveros PROVEDO SAesp
2-2013002601
17/01/2013 GUADALUPE ES31/12/2043
PRO C 872009/1824 cp3-21569 06772
Viveros Provedo SAeuro
3/201334366
04/03/2013 PLANE GEM ES31/12/2043
QUEEN PEARL2008/2769 7 g 789 00279/08287
Sel. Plantas Sevilla SL / STAR Feuro
2/201231544
20/02/2012 7 G (QUEEN PEARL) ES31/12/2042
RED STAR1996/1081 01474
Vivai Fratelle Zanzi di Carlo Zanzieuro
4/20017727
21/05/2001 RED STAR IT31/12/2031
REDPEARL2005/0909 01.07.68 : asf 0106 04628
SARL Agro Selection Fruitseuro
2/200924118
23/02/2009 NECTAREGAL 33 FR31/12/2039
RICH LADY1995/1314 215 86p 00189
DARNAUD, Jean-Pierreeuro116
1/19971277
15/10/1996 RICH LADY FR01/12/2022
ROSALISE2010/2716 3-5-05-08-05 06556
AC FRUIT SASeuro
5/201438703
28/07/2014 FR31/12/2044
ROZIDU2006/2403 20700za 00279/03299
Sel. Plantas Sevilla SL - S.N.C. Seuro
3/201129122
07/03/2011 ES31/12/2041
RUBY BRIGHT2003/2467 34 p 572 00279/08287
Sel. Plantas Sevilla SL / STAR Feuro
3/200821923
10/03/2008 RUBY BRIGHT ES31/12/2038
SAGITTARIA2007/2202 01758
Istituto Sperimentale per la Fruttieuro
4/201232805
21/05/2012 IT31/12/2042
17/04/2016 Pàgina 56 de 74
DenominacióNº Exp. Nom comercial Codi / Titular Butlletí
Nº POV
Inici Protecció Fi Referència Obtentor /
Prunus persica (L.) Batsch
SEPTEMBER BRIGHT2003/2468 26 p 490 00279/08287
Sel. Plantas Sevilla SL / STAR Feuro
3/200821924
10/03/2008 SEPTEMBER BRIGHT ES31/12/2038
SGNE0012005/2406 sg-ne-3027 05084
Stargrow Cultivar Developementeuro
3/201027242
19/04/2010 ZA31/12/2040
SGNE0022006/2519 sgpr3129 05084
Stargrow Cultivar Developementeuro
4/201130098
23/05/2011 ZA31/12/2041
SNOW LADY2008/2770 7 g 143 00279/08287
Sel. Plantas Sevilla SL / STAR Feuro
2/201231545
20/02/2012 7 G 143 ES31/12/2042
SPRING BRIGHT1995/0519 1p 100 00279/08287
Sel. Plantas Sevilla SL / STAR Feuro116
3/19971872
04/03/1997 SPRING WHITE* ES01/05/2022
STAR PEARL2004/2492 5p1150-sf00.081 00279/08287
Sel. Plantas Sevilla SL / STAR Feuro
3/200821928
10/03/2008 ES31/12/2038
STRIKE2010/2229 e 01 07123
Eleuteri Laura Azienda Agricolaeuro
4/201541350
22/06/2015 STRIKE IT31/12/2045
SUGAR BRAVO 82006/1958 sugar bravo-8 05589/05590
Gravilorenzo SL - A. Lópezeuro
5/201233279
06/08/2012 ES31/12/2042
SUGAR TIME2006/2512 536 98 pj 00189
DARNAUD, Jean-Pierreeuro
4/201130095
23/05/2011 FR31/12/2041
SUN BRIGHT2010/2714 5 p 788 00279/08287
Sel. Plantas Sevilla SL / STAR Feuro
4/201438208
02/06/2014 ES31/12/2044
SUNECTTWENTYONE2008/0076 05485
Sun World International LLCeuro
4/201335655
17/06/2013 US31/12/2043
SUNNEYY2010/0764 17c-28-11 02593
Agricultural Research Councileuro
2/201642395
08/02/2016 AMARELA 1 ZA31/12/2046
SUPECH-FIFTEN2006/2517 supechfiften 05485
Sun World International LLCeuro
3/201129636
18/04/2011 US31/12/2041
SURPRISE2003/0270 s6444 00689
INRA-Institut National de la Recheuro
6/200516194
12/09/2005 SURPRISE FR31/12/2035
SWEET DREAM2008/2761 688 07 pj 00189
DARNAUD, Jean-Pierreeuro
4/201335217
06/05/2013 SWEET DREAM FR31/12/2043
SWEET HENRY2009/2429 614 02 pj 00189
DARNAUD, Jean-Pierreeuro
3/201437750
22/04/2014 SWEET HENRY FR31/12/2044
SWEET JUANA2009/2430 663 05 pj 00189
DARNAUD, Jean-Pierreeuro
3/201540257
07/04/2015 SWEET JUANA FR31/12/2045
SWEETBELLA2010/0496 03.28.22pb - asf0556 04628
SARL Agro Selection Fruitseuro
2/201436968
24/02/2014 SWEETBELLA FR31/12/2044
SWEETCHIEF2010/0497 4s.3e.119pb - asf0753 04628
SARL Agro Selection Fruitseuro
2/201436697
27/01/2014 SWEETCHIEF FR31/12/2044
SWEETLOVE2008/0585 03.28.21 pb - asf 0554 04628
SARL Agro Selection Fruitseuro
2/201231538
20/02/2012 TONICSWEET 26 FR31/12/2042
SWEETMOON2008/0586 03.28.16 pb - asf 0557 04628
SARL Agro Selection Fruitseuro
2/201231539
20/02/2012 SWEET MOON FR31/12/2042
SWEETPRIM2008/0584 4n.09.21 pb - asf 0651 04628
SARL Agro Selection Fruitseuro
2/201231537
20/02/2012 SWEET PRIM FR31/12/2042
SWEETREGAL2010/0499 01.23e.08pb - asf0851 04628
SARL Agro Selection Fruitseuro
2/201436698
27/01/2014 SWEETROYAL FR31/12/2044
SWEETREINE2010/0498 4s.13e.117pb - asf0755 04628
SARL Agro Selection Fruitseuro
4/201437914
05/05/2014 SWEETREINE FR31/12/2044
SWEETSTAR2008/0587 02.09.94 pb - asf 0364 04628
SARL Agro Selection Fruitseuro
2/201231540
20/02/2012 SWEETSTAR FR31/12/2042
TARDERINA20074763 nectaria ES919
SAT Frutariaesp
1-2014002648
27/12/2013 ES31/12/2043
TIO ISIDRO20054614 aluenda 100905
Peñalosa García, J.A.esp
4-2011002536
06/07/2011 ES31/12/2041
17/04/2016 Pàgina 57 de 74
DenominacióNº Exp. Nom comercial Codi / Titular Butlletí
Nº POV
Inici Protecció Fi Referència Obtentor /
Prunus persica (L.) Batsch
UNAC2006/2405 p9942ce 00279/03299
Sel. Plantas Sevilla SL - S.N.C. Seuro
3/201129124
07/03/2011 ES31/12/2041
VACNEPLAT20064656 03862
AGROMILLORA CATALANA SAesp
1-2011002527
18/01/2011 ES31/12/2040
VACPRI20064657 03862
AGROMILLORA CATALANA SAesp
4-2012002560
28/06/2012 TALAIA ES31/12/2042
VIOWHITE 102003/2152 97.08.128-nb 00132
Plantas de Navarra SAeuro
3/201129628
18/04/2011 VIOWHITE 10 ES31/12/2041
ZAI587PJ2009/2427 587 99 pj 00189
DARNAUD, Jean-Pierreeuro
4/201437907
05/05/2014 ZAI587PJ FR31/12/2044
ZAI606PJ2009/2428 606 01 pj 00189
DARNAUD, Jean-Pierreeuro
4/201437908
05/05/2014 ZAI606PJ FR31/12/2044
ZAI613PB2006/2515 613 02 pb 00189
DARNAUD, Jean-Pierreeuro
4/201130097
23/05/2011 FR31/12/2041
ZAI624NJ2005/2420 624 98 nj 00189
DARNAUD, Jean-Pierreeuro
3/201027243
19/04/2010 FR31/12/2040
ZAI624PJ2008/2764 624 02 pj 00189
DARNAUD, Jean-Pierreeuro
4/201335218
06/05/2013 ZAI624PJ FR31/12/2043
ZAI660NB2005/2425 660 98 nb 00189
DARNAUD, Jean-Pierreeuro
3/201027247
19/04/2010 FR31/12/2040
ZAI664NJ2005/2421 664 99 nj 00189
DARNAUD, Jean-Pierreeuro
3/201027244
19/04/2010 HONEY FLAME FR31/12/2040
ZAI665NJ2006/2510 665 99 nj 00189
DARNAUD, Jean-Pierreeuro
4/201130093
23/05/2011 HONEY BRIGHT FR31/12/2041
ZAI674PB2009/2433 674 05 pb 00189
DARNAUD, Jean-Pierreeuro
4/201437909
05/05/2014 ZAI674PB FR31/12/2044
ZAI691NJ2008/2754 691 99 nj 00189
DARNAUD, Jean-Pierreeuro
4/201335212
06/05/2013 ZAI691NJ FR31/12/2043
ZAI726NB2009/2436 726 00 nb 00189
DARNAUD, Jean-Pierreeuro
4/201438206
02/06/2014 ZAI726NB FR31/12/2044
ZAI752NB2005/2424 752 01 nb 00189
DARNAUD, Jean-Pierreeuro
3/201027246
19/04/2010 FR31/12/2040
ZAI755NJ2005/2422 755 01 nj 00189
DARNAUD, Jean-Pierreeuro
3/201027245
19/04/2010 HONEY CASCADE FR31/12/2040
ZAI770NB2008/2758 770 02 nb 00189
DARNAUD, Jean-Pierreeuro
4/201335214
06/05/2013 ZAI770NB FR31/12/2043
ZAI808NJ2010/2583 808 04 nj 00189
DARNAUD, Jean-Pierreeuro
3/201540261
07/04/2015 FR31/12/2045
ZAI809NB2009/2437 809 04 nb 00189
DARNAUD, Jean-Pierreeuro
3/201540259
07/04/2015 ZAI809NB FR31/12/2045
ZAI827NJ2009/2435 827 05 nj 00189
DARNAUD, Jean-Pierreeuro
3/201540258
07/04/2015 ZAI827NJ FR31/12/2045
ZAIBIJI2008/2760 377 93 pj 00189
DARNAUD, Jean-Pierreeuro
4/201335216
06/05/2013 ZAIBIJI FR31/12/2043
ZAIBIOGA1997/1053 337 91 NB 00189
DARNAUD, Jean-Pierreeuro
5/20029922
12/08/2002 QUEEN GEM FR31/12/2032
ZAIBOP1995/1324 314 91N 00189
DARNAUD, Jean-Pierreeuro
1/20028392
05/11/2001 EARLI TOP FR31/12/2031
ZAIFER1995/1239 91 78 p 00189
DARNAUD, Jean-Pierreeuro116
1/19971273
15/10/1996 ROYAL GLORY FR01/11/2021
ZAIFISAN1999/1587 401 94 pb 00189
DARNAUD, Jean-Pierreeuro
6/200516282
10/10/2005 MAURA FR31/12/2035
ZAIGADI2000/1782 375 93p 00189
DARNAUD, Jean-Pierreeuro
5/200618116
17/07/2006 ROYAL JIM FR31/12/2036
17/04/2016 Pàgina 58 de 74
DenominacióNº Exp. Nom comercial Codi / Titular Butlletí
Nº POV
Inici Protecció Fi Referència Obtentor /
Prunus persica (L.) Batsch
ZAIGLE2005/2426 492 96 pb 00189
DARNAUD, Jean-Pierreeuro
3/201027248
19/04/2010 FR31/12/2040
ZAILATI1995/1241 122 81 pb 00189
DARNAUD, Jean-Pierreeuro116
1/19971275
15/10/1996 GLADYS FR01/12/2021
ZAIMAJAL2004/2462 409 94 p 00189
DARNAUD, Jean-Pierreeuro
3/201027230
19/04/2010 ROYAL MAJESTIC* FR31/12/2040
ZAIMUCA2003/2023 586 97 n 00189
DARNAUD, Jean-Pierreeuro
4/200822310
05/05/2008 HONEY MUSCAT FR31/12/2038
ZAIMUS2004/2469 592 99 p 00189
DARNAUD, Jean-Pierreeuro
3/201027232
19/04/2010 ROYAL SUMMER FR31/12/2040
ZAINOAR1995/1258 260 89 P 00189
DARNAUD, Jean-Pierreeuro
1/19993895
14/12/1998 RUBIRICH FR31/12/2028
ZAINOBE1995/1331 261 89P 00189
DARNAUD, Jean-Pierreeuro
1/19993892
14/12/1998 VISTARICH FR31/12/2028
ZAIPELA1997/1052 353 92 P 00189
DARNAUD, Jean-Pierreeuro
1/20017181
18/12/2000 ROYAL LEE* FR31/12/2030
ZAIPEVI1995/1330 344 92 Pb 00189
DARNAUD, Jean-Pierreeuro
1/19993887
14/12/1998 FR31/12/2028
ZAIREGEM1995/1256 206 85 p 00189
DARNAUD, Jean-Pierreeuro116
3/19971867
03/04/1997 ROYAL GEM FR01/05/2022
ZAIRETOP2003/2021 453 95 p 00189
DARNAUD, Jean-Pierreeuro
4/200822309
05/05/2008 ROYAL TIME* FR31/12/2038
ZAIRIALA1995/1333 278 90P 00189
DARNAUD, Jean-Pierreeuro
1/20028394
05/11/2001 EARLY RICH FR05/11/2031
ZAIRISUP1999/1588 406 94 p 00189
DARNAUD, Jean-Pierreeuro
6/200516283
10/10/2005 TASTIRED (SUPER RICH) FR31/12/2035
ZAIRUBI1995/1323 320 91 Nb 00189
DARNAUD, Jean-Pierreeuro
1/20028391
05/11/2001 EARLIQUEEN FR31/12/2031
ZAISIRLY2001/1940 541 97 nb 00189
DARNAUD, Jean-Pierreeuro
5/200618122
17/07/2006 ROYALE QUEEN FR31/12/2036
ZAISITO2001/1904 53497 pb 00189
DARNAUD, Jean-Pierreeuro
5/200618118
17/07/2006 PATTY FR31/12/2036
ZAISNO2006/2511 780 03 nb 00189
DARNAUD, Jean-Pierreeuro
4/201130094
23/05/2011 FR31/12/2041
ZAISULA2008/2762 488 96 pj 00189
DARNAUD, Jean-Pierreeuro
3/201231885
19/03/2012 ROYAL PRIDE* FR31/12/2042
ZAISUME1995/1327 275 89 pb 00189
DARNAUD, Jean-Pierreeuro
1/20028393
05/11/2001 SUMMER SWEET* FR01/12/2026
ZAITABO1995/1254 196 84 n 00189
DARNAUD, Jean-Pierreeuro116
1/19971276
15/10/1996 BIG TOP* FR01/11/2021
ZAITOLIO2001/1903 50296 nb 00189
DARNAUD, Jean-Pierreeuro
5/200618117
17/07/2006 QUEEN RED FR31/12/2036
ZAITROBO1998/1227 476 95n/172 le 506 00189
DARNAUD, Jean-Pierreeuro
6/200311645
08/09/2003 FR31/12/2033
ZAIZIZAN2008/2759 373 93 pj 00189
DARNAUD, Jean-Pierreeuro
4/201335215
06/05/2013 ZAIZIZAN FR31/12/2043
ZINCAL 172003/2151 97.08.076-n 00132
Plantas de Navarra SAeuro
3/201026943
22/03/2010 ZINCAL 17 ES31/12/2040
ZINCAL 32010/2294 02.64.004 n 00132
Plantas de Navarra SAeuro
2/201539643
23/02/2015 ZINCAL 3 ES31/12/2045
ZINCAL 302006/1959 00.22.007-n 00132
Plantas de Navarra SAeuro
1/201128572
17/12/2010 ZINCAL 30 ES31/12/2040
ZINCAL 82010/2295 97.14-080 n 00132
Plantas de Navarra SAeuro
2/201539644
23/02/2015 ZINCAL 8 ES31/12/2045
17/04/2016 Pàgina 59 de 74
DenominacióNº Exp. Nom comercial Codi / Titular Butlletí
Nº POV
Inici Protecció Fi Referència Obtentor /
Prunus persica (L.) Batsch
ZINCAL 92010/2296 97.15.024 n 00132
Plantas de Navarra SAeuro
2/201539645
23/02/2015 ZINCAL 9 ES31/12/2045
ZINEARM1996/0027 75EE189 00279
Selección Plantas Sevilla SLeuro
3/20017456
09/04/2001 ES31/12/2031
ZINEBEL1998/0073 n.92.26z 00279
Selección Plantas Sevilla SLeuro
4/200617620
22/05/2006 ES31/12/2036
ZINEBIG1998/0071 n89.18.z 00279
Selección Plantas Sevilla SLeuro
4/200617618
22/05/2006 ES31/12/2036
ZINEDIAM1998/0072 n.84.15z 00279
Selección Plantas Sevilla SLeuro
4/200617619
22/05/2006 ES31/12/2036
ZINEFIRE2006/2404 974na 00279/03299
Sel. Plantas Sevilla SL - S.N.C. Seuro
3/201129123
07/03/2011 ES31/12/2041
ZINEGE1996/0023 14GE100 00279
Selección Plantas Sevilla SLeuro
3/20017452
09/04/2001 ES31/12/2031
ZINEGLO1998/0075 n-91-19z 00279
Selección Plantas Sevilla SLeuro
4/200617622
22/05/2006 ES31/12/2036
ZINEPRE1996/0029 1ILA403 00279
Selección Plantas Sevilla SLeuro
3/20017457
09/04/2001 ES31/12/2026
ZINESUB1998/0074 n.92.30z 00279
Selección Plantas Sevilla SLeuro
4/200617621
22/05/2006 ES31/12/2036
ZINETOP1996/0026 69EE423 00279
Selección Plantas Sevilla SLeuro
3/20017455
09/04/2001 ES31/12/2031
ZIPEJOR1996/0024 60EE419 00279
Selección Plantas Sevilla SLeuro
3/20017453
09/04/2001 ES31/12/2031
ZISEARL1996/0025 62RA286 00279
Selección Plantas Sevilla SLeuro
3/20017454
09/04/2001 ES31/12/2031
ZISECAN1995/0724 37 EB 416 00279
Selección Plantas Sevilla SLeuro
4/19994560
03/05/1999 ES31/12/2029
ZISEMAY1998/0076 p.07.13z 00279
Selección Plantas Sevilla SLeuro
4/19994567
03/05/1999 ES31/12/2029
ZISEPRIL1996/0028 39GA188 00279
Selección Plantas Sevilla SLeuro
1/20005709
05/07/1999 ES31/12/2029
ZISESIL1995/0723 7 GE 30 00279
Selección Plantas Sevilla SLeuro
4/19994559
03/05/1999 ES31/12/2029
ZISILNE1998/0070 n.92.29z 00279
Selección Plantas Sevilla SLeuro
1/200717617
04/12/2006 ES31/12/2036
ZISUNCUA20024477 S4A 1547 00279
Selección Plantas Sevilla SLesp
5-2009002460
22/07/2009 ES31/12/2039
ZISUNTRE20024471 S 3B 1534 00279
Selección Plantas Sevilla SLesp
4-2012002561
28/06/2012 ES31/12/2042
Especie Prunus persica x Prunus davidiana
DenominacióNº Exp. Nom comercial Codi / Titular Butlletí
Nº POV
Inici Protecció Fi Referència Obtentor /
AVIMAG1995/1535 avimag 00691/00695
INRA - G.Y.D.K.F.V.euro116
1/19971270
15/10/1996 CADAMAN FR01/11/2021
Especie Prunus persica x Prunus davidiana) x Prunus x
amygdalopersica (weston) Rehder
DenominacióNº Exp. Nom comercial Codi / Titular Butlletí
Nº POV
Inici Protecció Fi Referència Obtentor /
PRUNUS PORTAEMPELTS
GREENPAC2006/2252 pac9904-01 03862
AGROMILLORA CATALANA SAeuro
4/201232795
21/05/2012 ROOTPAC-90 ES31/12/2042
PURPLEPAC2006/2253 pac9904-03 03862
AGROMILLORA CATALANA SAeuro
4/201232796
21/05/2012 ROOTPAC-70 ES31/12/2042
17/04/2016 Pàgina 60 de 74
DenominacióNº Exp. Nom comercial Codi / Titular Butlletí
Nº POV
Inici Protecció Fi Referència Obtentor /
Prunus persica x Prunus domestica
Especie Prunus persica x Prunus domestica
DenominacióNº Exp. Nom comercial Codi / Titular Butlletí
Nº POV
Inici Protecció Fi Referència Obtentor /
FERELEY1995/1536 fereley 00691
INRA-Institut National de la Recheuro116
1/19971271
15/10/1996 JASPI* FR01/11/2021
Especie Prunus pseudocerasus Lindl. × (Prunus canescens Bois ×
Prunus incisa Thunb.)
DenominacióNº Exp. Nom comercial Codi / Titular Butlletí
Nº POV
Inici Protecció Fi Referència Obtentor /
PIKU32001/1463 piku3 03021
Consortium Deutscher Baumscheuro
1/200310247
18/11/2002 DE31/12/2032
Especie Prunus pumila L.
DenominacióNº Exp. Nom comercial Codi / Titular Butlletí
Nº POV
Inici Protecció Fi Referència Obtentor /
PRUNUS
RHENOROOT 21995/3032 - 00672
Forschungsanstalt Geisenheimeuro
3/200310710
10/03/2003 DE10/03/2033
Especie Prunus salicina Lindl.
DenominacióNº Exp. Nom comercial Codi / Titular Butlletí
Nº POV
Inici Protecció Fi Referència Obtentor /
PRUNERA JAPONESA
ANNE GOLD1999/1392 anna 02787
Montanari Domenicoeuro
3/200515154
18/04/2005 ANNE GOLD IT31/12/2035
AUGUST YUMMY2004/2637 26 p 775 00279/08287
Sel. Plantas Sevilla SL / STAR Feuro
3/200924827
20/04/2009 AUGUST YUMMY ES31/12/2039
BRAGIALLA2003/2465 35 p 1244 00279/08287
Sel. Plantas Sevilla SL / STAR Feuro
5/200823143
07/07/2008 ES31/12/2038
BRAROSSA2003/2466 13 p 598 00279/08287
Sel. Plantas Sevilla SL / STAR Feuro
5/200823144
07/07/2008 ES31/12/2038
CONSTANZA2005/1878 constanza 05236
Godoy & Puyol Agronomos Asocieuro
4/201335358
21/05/2013 CL31/12/2043
CRIMSON GLO2003/2025 87 91 pr 00189
DARNAUD, Jean-Pierreeuro
4/200925353
08/06/2009 FR31/12/2039
DOFI SANDRA2007/1778 dofi 89030010 05225
Universita degli Studi di Firenzeeuro
4/201232799
21/05/2012 IT31/12/2042
GAIA2003/2391 sel. Sm 01 an 04487
Martelli Salvatoreeuro
5/200823289
21/07/2008 IT31/12/2038
GOLD BALL2010/2558 10 p 701 00279/08287
Sel. Plantas Sevilla SL / STAR Feuro
6/201438912
22/09/2014 ES31/12/2044
GOLDEN PLUMZA1996/1080 GOLDEN PLUMZA 01474
Vivai Fratelle Zanzi di Carlo Zanzieuro
6/200311950
20/10/2003 GOLDEN PLUMZA IT31/12/2033
GRENADINE2010/0590 cas 10 04767
SDR Fruit Llceuro
3/201540660
20/04/2015 GRENADINE US31/12/2045
HIROMI RED2003/2026 127 97 pr 00189
DARNAUD, Jean-Pierreeuro
5/200823140
07/07/2008 FR31/12/2038
HONEYSTAR2006/0490 honeystar 05084
Stargrow Cultivar Developementeuro
4/201130088
23/05/2011 ZA31/12/2041
LAMOON2001/0993 lamoon 03494
Ben dor Josepheuro
5/200823146
07/07/2008 IL31/12/2038
MARK2006/1643 h 20-28 05478
BEN-DOR FRUITS & NURSERIEeuro
1/201539138
17/11/2014 IL31/12/2044
PIONEER1997/1042 S 5B-21-17 01757
Ifruiteceuro
6/200311952
20/10/2003 ZA31/12/2033
PLUMSWEET V2009/0564 40 p 60 00279/08287
Sel. Plantas Sevilla SL / STAR Feuro
2/201231437
03/02/2012 ES31/12/2042
17/04/2016 Pàgina 61 de 74
DenominacióNº Exp. Nom comercial Codi / Titular Butlletí
Nº POV
Inici Protecció Fi Referència Obtentor /
Prunus salicina Lindl.
PLUMSWEETONE2004/2634 40 p 345 00279/08287
Sel. Plantas Sevilla SL / STAR Feuro
3/200924824
20/04/2009 CAP ES31/12/2039
PRIMETIME1997/1124 PRIMETIME 01871
Wuhl ericeuro
6/200311954
20/10/2003 US31/12/2033
READYUMMY2010/2557 21 c 330 00279/08287
Sel. Plantas Sevilla SL / STAR Feuro
3/201334553
18/03/2013 ES31/12/2043
SAPHIRE1999/0049 17-28-184 01757
Ifruiteceuro
6/200311963
20/10/2003 SAPPHIRE ZA31/12/2033
SEPTEMBER YUMMY2004/2635 26 p 627 00279/08287
Sel. Plantas Sevilla SL / STAR Feuro
3/200924825
20/04/2009 SEPTEMBER YUMMY ES31/12/2039
SERENA2008/0714 serena 05244
Dalmonte Fuido e Vittorio S.S. Seuro
4/201438201
02/06/2014 IT31/12/2044
SHOWTIME1997/1123 SHOWTIME 01871
Wuhl ericeuro
6/200311953
20/10/2003 US31/12/2033
SONGREEN 502011/0243 97.27.002 cv 00132
Plantas de Navarra SAeuro
2/201642547
22/02/2016 ES31/12/2046
SONGRIA 102005/2047 99.26.003-cn 00132
Plantas de Navarra SAeuro
4/201130086
23/05/2011 SONGRIA 10 ES31/12/2041
SONGRIA 152004/1839 99.26.010-cn 00132
Plantas de Navarra SAeuro
4/200925364
08/06/2009 SONGRIA 15 ES31/12/2039
SOUVENIR II1999/0050 6-13-191 01757
Ifruiteceuro
1/200412099
24/11/2003 SOUVENIR II ZA01/01/2034
SUN KISS1999/1853 7a 21 21 03945
ARC Infruitec - Nietvoorbijeuro
1/200717836
04/12/2006 ZA31/12/2036
SUNDEW1999/1854 7a 38 38 03945
ARC Infruitec - Nietvoorbijeuro
1/200717837
04/12/2006 ZA31/12/2036
SUPLUMTHIRTYFOUR2007/2072 05485
Sun World International LLCeuro
5/201335891
29/07/2013 US31/12/2043
SUPLUMTHIRTYONE2007/2390 05485
Sun World International LLCeuro
3/201232437
23/04/2012 US31/12/2042
SUPLUMTHIRTYSEVEN2008/0988 suplumthirtyseven 05485
Sun World International LLCeuro
3/201437509
07/04/2014 US31/12/2044
SUPLUMTHIRTYSIX2008/2722 suplumthirtysix 05485
Sun World International LLCeuro
5/201335895
29/07/2013 US31/12/2043
SUPLUMTWENTYEIGHT2007/2073 05485
Sun World International LLCeuro
3/201232436
23/04/2012 US31/12/2042
SUPLUMTWENTYFIVE2009/2709 suplumtwentyfive 05485
Sun World International LLCeuro
3/201437196
24/03/2014 US31/12/2044
SUPLUMTWENTYSIX2007/2188 05485
Sun World International LLCeuro
4/201232804
21/05/2012 US31/12/2042
SUPLUMTWENTYTHREE2007/0547 suplumtwentythree 05485
Sun World International LLCeuro
4/201130129
23/05/2011 US31/12/2041
SUPLUMTWENTYTWO2007/0545 suplumtwentytwo 05485
Sun World International LLCeuro
4/201130128
23/05/2011 US31/12/2041
SWEET IRIDIS 12015/0013 p-6 08646
S.A.T. 9413 FRUTARIAeuro
2/201642350
25/01/2016 ES31/12/2046
SWEET IRIDIS 120125013 rainbow-1 ES919
SAT Frutariaesp
1-2016002703
13/12/2015 ES31/12/2045
SWEET IRIDIS 22015/0015 p-7 08646
S.A.T. 9413 FRUTARIAeuro
2/201642351
25/01/2016 ES31/12/2046
SWEET IRIDIS 220125012 rainbow-2 ES919
SAT Frutariaesp
1-2016002702
13/12/2015 ES31/12/2045
SWEET IRIDIS 32015/0014 p-10 08646
S.A.T. 9413 FRUTARIAeuro
2/201642550
22/02/2016 ES31/12/2046
17/04/2016 Pàgina 62 de 74
DenominacióNº Exp. Nom comercial Codi / Titular Butlletí
Nº POV
Inici Protecció Fi Referència Obtentor /
Prunus salicina Lindl.
SWEET IRIDIS 320125011 rainbow-3 ES919
SAT Frutariaesp
1-2016002701
13/12/2015 ES31/12/2045
TC SUN1995/2002 315 42 00795
Zanzi Fruitgroeuro116
3/200515153
18/04/2005 IT31/12/2035
TITINE2010/0591 cas sp1 04767
SDR Fruit Llceuro
4/201541120
08/06/2015 US31/12/2045
YUMMYBEAUT2004/2638 36 p 205 00279/08287
Sel. Plantas Sevilla SL / STAR Feuro
4/201130082
23/05/2011 ES31/12/2041
YUMMYGEM2004/2636 10 p 881 00279/08287
Sel. Plantas Sevilla SL / STAR Feuro
3/200924826
20/04/2009 ES31/12/2039
YUMMYGIANT2004/2639 9 p 352 00279/08287
Sel. Plantas Sevilla SL / STAR Feuro
3/200924828
20/04/2009 ES31/12/2039
ZAI163PR2010/0362 163 01 pr 00189
DARNAUD, Jean-Pierreeuro
3/201437722
22/04/2014 FR31/12/2044
ZAIPUBO1998/0668 32 86 pr 00189
DARNAUD, Jean-Pierreeuro
6/200311959
20/10/2003 MOON GLOBE* FR31/12/2033
Especie Prunus salicina Lindl. x Prunus armeniaca L.
DenominacióNº Exp. Nom comercial Codi / Titular Butlletí
Nº POV
Inici Protecció Fi Referència Obtentor /
SALICINA X ARMENIACA
DAPPLE DANDY2000/1610 38 89 pr 01065
Zaiger Floydeuro
6/200720974
08/10/2007 US31/12/2037
ZAI93ISC2007/2828 93 00 isc 00189
DARNAUD, Jean-Pierreeuro
4/201438203
02/06/2014 FR31/12/2044
ZAITERKI1997/0005 2391 PLUOT 01065
Zaiger Floydeuro
6/200311951
20/10/2003 US31/12/2033
ZAITERLA1997/0007 1391 is 01065
Zaiger Floydeuro
3/200719645
19/03/2007 US31/12/2037
Especie Prunus sp. (portaempelts)
DenominacióNº Exp. Nom comercial Codi / Titular Butlletí
Nº POV
Inici Protecció Fi Referència Obtentor /
PRUNUS PORTAEMPELTS
CORAL ROJO20034519 ES922
Carmelo Bernal Palazonesp
1-2011002528
18/01/2011 ES31/12/2040
Especie Prunus tomentosa Thunb. Ex. Murr. x Prunus cerasif
DenominacióNº Exp. Nom comercial Codi / Titular Butlletí
Nº POV
Inici Protecció Fi Referència Obtentor /
VVA 12002/0762 vva-1 05536
Gennady EREMINeuro
4/200720097
21/05/2007 KRIMSK 1 RU31/12/2037
Especie Punica granatum L.
DenominacióNº Exp. Nom comercial Codi / Titular Butlletí
Nº POV
Inici Protecció Fi Referència Obtentor /
MAGRANA
BEAUTY2010/0341 beautygranate 06914
Nir Ben Aharoneuro
6/201438876
08/09/2014 IL31/12/2044
EMEK2007/2597 emek (1/4) 01306
Agricultural Research Organisatieuro
6/201438842
08/09/2014 IL31/12/2044
KAMEL2007/2596 kamel (p.g. 134-35) 01306
Agricultural Research Organisatieuro
6/201438841
08/09/2014 IL31/12/2044
SHANI2007/2598 shani (p.g. 130-31) 01306
Agricultural Research Organisatieuro
6/201438843
08/09/2014 IL31/12/2044
Especie Pyrus communis L.
DenominacióNº Exp. Nom comercial Codi / Titular Butlletí
Nº POV
Inici Protecció Fi Referència Obtentor /
PERERA
AC HARROW CRISP2001/0043 hw 610 00159
Agriculture & Agri-Food Canadaeuro
2/200310434
20/01/2003 CA31/12/2033
17/04/2016 Pàgina 63 de 74
DenominacióNº Exp. Nom comercial Codi / Titular Butlletí
Nº POV
Inici Protecció Fi Referència Obtentor /
Pyrus communis L.
AC HARROW DELICIOUS2001/0042 hw 608 00159
Agriculture & Agri-Food Canadaeuro
2/20028925
18/02/2002 AC HARROW DELICIOUS CA31/12/2032
AC HARROW GOLD2001/0044 hw 616 00159
Agriculture & Agri-Food Canadaeuro
2/200310434
20/01/2003 CA31/12/2033
AIDA2005/0816 isf.fo 80-104-72 01758
Istituto Sperimentale per la Fruttieuro
5/201130553
25/07/2011 IT31/12/2041
ANGELYS1999/1081 angelys 00689
INRA-Institut National de la Recheuro
6/20006785
16/10/2000 ANGELYS FR31/12/2025
BOHÉME2005/0815 isf.fo 80-57-83 01758
Istituto Sperimentale per la Fruttieuro
4/201335229
21/05/2013 IT31/12/2043
BOHEMICA2003/1140 te - 05316 01544
Sempra Praha a.s.euro
3/200821920
10/03/2008 CZ31/12/2038
CARMEN2000/0472 isf-fo 80-18-69 01758
Istituto Sperimentale per la Fruttieuro
4/200617843
06/06/2006 CARMEN IT31/12/2036
DELFERCO2003/0618 delferco 00368
Pepinieristes et Roseraires Georeuro
5/200516108
17/08/2005 DELFERCO FR31/12/2035
DELSANNE2000/0357 rx 2313 00368
Pepinieristes et Roseraires Georeuro
6/20006784
16/10/2000 DELBARD AUTOMNE FR31/12/2030
DELWINI2000/0356 rx 2313 00368
Pepinieristes et Roseraires Georeuro
6/20006783
16/10/2000 FR31/12/2030
DICOLOR2002/0242 dicolor 03757
SAD S.R.O.euro
2/200617002
27/02/2006 CZ31/12/2036
DOLACOMI1995/2120 dolacomi 03073
Stichting Vermeerderingstuineneuro
6/200210210
21/10/2002 DOLACOMI NL31/12/2032
ELLIOT1999/0576 elliot 00345
The Regents of the University ofeuro
1/20005573
06/12/1999 ELLIOT US31/12/2029
FM1717402005/1175 fm 171740 09031
BAUM- UND ROSENSCHULE Weuro
3/201027237
19/04/2010 DE31/12/2040
FM324A1352005/0760 fm324a135 09031
BAUM- UND ROSENSCHULE Weuro
4/201130084
23/05/2011 DE31/12/2041
FOX 111997/1470 A 28 01946
C A V Centro Attività Vivaisticheeuro
6/200210178
21/10/2002 IT31/12/2032
FOX 161997/1469 B 21 01946
C A V Centro Attività Vivaisticheeuro
6/200210177
21/10/2002 IT31/12/2032
FOX92008/2282 dca-bo e110 05679/06419/06420
Alma Mater - Università degli Stueuro
5/201438536
07/07/2014 IT31/12/2044
FRESQUILLA20074769 100908
Universitat de Lleidaesp
1-2012002545
30/12/2011 FRESQUILLA ES31/12/2041
HARROW BLISS2003/1624 hw 606 04376
Research Planning and Coordinaeuro
5/200925891
24/08/2009 CA31/12/2039
HARROW SWEET1995/1959 00159
Agriculture & Agri-Food Canadaeuro116
1/19971281
15/10/1996 HARROW SWEET CA01/12/2021
HL 3150232005/0793 hl 31/50-23 01544/09031
SEMPRA PRAHA A.S./ BAUM- Ueuro
4/201130085
23/05/2011 CZ31/12/2041
HW 6232003/1623 hw 623 04376
Research Planning and Coordinaeuro
5/200925891
24/08/2009 CA31/12/2039
KRASNIE CONFERENCE2006/1645 05523/05524
Fruithandel / Janssenseuro
5/201335890
29/07/2013 BE31/12/2043
NORMA2000/0473 isf-fo 80-79-69 01758
Istituto Sperimentale per la Fruttieuro
4/200617844
06/06/2006 NORMA IT31/12/2036
PYRED2002/1977 p2853 (dI6) 00689
INRA-Institut National de la Recheuro
3/200719929
16/04/2007 FR31/12/2037
PYRODWARF1995/2977 klon py 5-18 00672
Forschungsanstalt Geisenheimeuro
2/19982649
02/02/1998 PYRODWARF DE31/12/2028
17/04/2016 Pàgina 64 de 74
DenominacióNº Exp. Nom comercial Codi / Titular Butlletí
Nº POV
Inici Protecció Fi Referència Obtentor /
Pyrus communis L.
PYROPLUS2003/0335 bu 2-33 00672
Forschungsanstalt Geisenheimeuro
2/200616770
30/01/2006 DE31/12/2036
RADANA2003/2497 radana 01544
Sempra Praha a.s.euro
3/200821925
10/03/2008 CZ31/12/2038
RODE DOYENNE VAN
DOORN
2002/0114 rode doyenne du comice broertjes 08417
Goeie Peer B-V.euro
4/200925353
08/06/2009 NL31/12/2039
ROKSOLANA2005/0502 roksolana 00303
SNC Elariseuro
4/201232794
21/05/2012 FR31/12/2042
SAELS2000/0681 rna 0010 03016/03017
Gebroeders Saels - NV GEEFAeuro
4/200413322
17/05/2004 BE31/12/2034
TAYLORS GOLD1996/0631 Taylo's gold 01352/01353
King Turner, M B - King Turner,euro
1/200412028
10/11/2003 TAYLOR'S GOLD NZ01/01/2034
THIMO2003/2389 thimo 09031
BAUM- UND ROSENSCHULE Weuro
3/200821934
10/03/2008 DE31/12/2038
TICO WAES2007/0218 vw05h3 05725
V.O.F. Fruitvalleieuro
6/201130892
10/10/2011 NL31/12/2041
TURANDOT2000/0474 15f-fo 80-15-69 01758
Istituto Sperimentale per la Fruttieuro
4/200617845
06/06/2006 TURANDOT IT31/12/2036
UTA1999/0805 uta 02625
Sächsische Landesanstalt für Laeuro
2/20005802
14/02/2000 DE31/12/2030
VERDI1995/0660 cpo 66006-273 06983
Stichting Dienst Landbouwkundigeuro116
4/19971970
19/05/1997 VERDI NL01/08/2024
Especie Quercus palustris Münchh.
DenominacióNº Exp. Nom comercial Codi / Titular Butlletí
Nº POV
Inici Protecció Fi Referència Obtentor /
QUERCUS PALUSTRIS
WOODSIDE SPLENDOR2012/0872 woodside splendor 04044
Boomkwekerij Gebr. Van den Bereuro
3/201539831
09/03/2015 NL31/12/2045
Especie Ribes nigrum L.
DenominacióNº Exp. Nom comercial Codi / Titular Butlletí
Nº POV
Inici Protecció Fi Referència Obtentor /
CASSIS
BEN AVON2001/0666 scri s26/1/1 08582
LUCOZADE RIBENA SUNTORYeuro
1/200614649
12/12/2005 UK31/12/2030
BEN DORAIN2001/0664 scri s26/1/2 08582
LUCOZADE RIBENA SUNTORYeuro
1/200614647
12/12/2005 UK31/12/2030
BEN FINLAY2009/0202 scri 8872-1 07377
James Hutton Instituteeuro
4/201232756
21/05/2012 UK31/12/2042
BEN KLIBRECK2009/1981 scri 8814-2 08582
LUCOZADE RIBENA SUNTORYeuro
5/201335826
08/07/2013 UK31/12/2038
BEN LAIR2001/0665 scri s12/16/45 03410
Smithkline Beecham Plceuro
1/200614648
12/12/2005 UK31/12/2030
BEN STARAV2009/1980 scri s18/10/18 08582
LUCOZADE RIBENA SUNTORYeuro
5/201335825
08/07/2013 UK31/12/2038
BEN VANE2006/0752 s13-14-107 08582
LUCOZADE RIBENA SUNTORYeuro
3/201026952
22/03/2010 UK31/12/2040
BIG BEN2008/0249 c2/15/40 07377
James Hutton Instituteeuro
4/201130137
25/05/2011 UK31/12/2041
CHERSHNEVA1999/0277 chershneva 05369
Lubera AGeuro
6/20029924
21/10/2002 CH31/12/2027
GOFERT2011/0024 pc-1 07220
INSTYTUT OGRODNICTWA (INeuro
1/201231262
19/12/2011 PL31/12/2041
KIROAPA102010/1246 2010/11/535 01804
Plattner Antoneuro
3/201437421
07/04/2014 DE31/12/2044
ORES2006/0084 pc-36 04811
Instytut Sadownictwa i Kwaiciarsteuro
2/200719040
22/01/2007 PL31/12/2032
17/04/2016 Pàgina 65 de 74
DenominacióNº Exp. Nom comercial Codi / Titular Butlletí
Nº POV
Inici Protecció Fi Referència Obtentor /
Ribes nigrum L.
POLARES2013/1694 pc-7/13 07220
INSTYTUT OGRODNICTWA (INeuro
3/201437036
10/03/2014 PL31/12/2044
RUBEN2006/0083 isk 83 x 80/1 04811
Instytut Sadownictwa i Kwaiciarsteuro
2/200719039
22/01/2007 PL31/12/2032
TIBEN2003/2148 26c/8, pc-78 00702
Institute of Pomologyeuro
6/200414099
25/10/2004 PL31/12/2034
TIHOPE2013/1693 pc-425 07220
INSTYTUT OGRODNICTWA (INeuro
3/201437035
10/03/2014 PL31/12/2044
TINES2006/0082 pc-106 04811
Instytut Sadownictwa i Kwaiciarsteuro
2/200719038
22/01/2007 PL31/12/2032
TISEL2003/2149 30/b1, pc-84 00702
Institute of Pomologyeuro
6/200414100
25/10/2004 PL31/12/2034
ZUSHA2005/1727 zusha 05216
All Rusian Research Institute ofeuro
3/200924351
23/03/2009 RU31/12/2039
Especie Ribes sylvestris (Lam.) Mert. & W. Kock
DenominacióNº Exp. Nom comercial Codi / Titular Butlletí
Nº POV
Inici Protecció Fi Referència Obtentor /
RIBES
AUGUSTUS1995/2713 Augustus 00719
Meulblok, E.C.euro
3/19971768
03/03/1997 NL31/12/2022
REDPOLL1997/0827 1503/31 00010
Horticultural Research Internationeuro
4/19982783
04/05/1998 GB31/12/2023
ROODNEUS1995/2712 Roodneus 00719
Meulblok, E.C.euro
3/19971767
03/03/1997 NL31/12/2022
Especie Ribes uva-crispa L.
DenominacióNº Exp. Nom comercial Codi / Titular Butlletí
Nº POV
Inici Protecció Fi Referència Obtentor /
GROSELLA
LAPRIMA2014/2709 10-60-00 00672
Forschungsanstalt Geisenheimeuro
5/201541500
20/07/2015 DE31/12/2045
LEORA2014/2708 9-61-00 00672
Forschungsanstalt Geisenheimeuro
4/201541127
08/06/2015 DE31/12/2045
PAX1995/3011 1815/123 00010
Horticultural Research Internationeuro
4/19994561
03/05/1999 GB31/12/2024
RAFZUERA2002/1325 rafzuera 01644
Promo Fruit Ag.euro
2/200616908
27/02/2006 CH31/12/2031
REDEVA2000/0052 nr.11 02899
Grafmüller, Wernereuro
5/20006597
26/07/2000 DE31/12/2025
RELINA2009/0124 97/1 relina 02899
Grafmüller, Wernereuro
5/200925916
24/08/2009 DE31/12/2039
REXROT1998/1032 rexrot 00346
Gevo Pflanzenvertrieb Gmbheuro
2/19994237
15/02/1999 DE31/12/2024
ROKULA1995/0729 rokula 00258
Hõberli Obst-und Beerenzentrumeuro116
1/19971301
15/10/1996 CH01/11/2017
Especie Ribes x nidigrolaria R. et A. Bauer
DenominacióNº Exp. Nom comercial Codi / Titular Butlletí
Nº POV
Inici Protecció Fi Referència Obtentor /
GROSELLA
RIKÖ1995/1341 78 1982 01073
LEGATH, Mariaeuro
4/20029596
17/06/2002 SE31/12/2027
Especie Rubus idaeus L.
DenominacióNº Exp. Nom comercial Codi / Titular Butlletí
Nº POV
Inici Protecció Fi Referència Obtentor /
GERDERA
ADELITA2011/1459 07.09r.50 00132
Plantas de Navarra SAeuro
3/201540339
07/04/2015 ES31/12/2045
ADVABEREEN2011/0113 fr211901 07201/07202
Advanced Berry Breeding/De Weeuro
3/201540334
07/04/2015 NL31/12/2045
17/04/2016 Pàgina 66 de 74
DenominacióNº Exp. Nom comercial Codi / Titular Butlletí
Nº POV
Inici Protecció Fi Referència Obtentor /
Rubus idaeus L.
ADVABERIMAR2011/0114 fr211902 07201/07202
Advanced Berry Breeding/De Weeuro
3/201540335
07/04/2015 NL31/12/2045
ADVABERTWEE2011/0115 fr211903 07201/07202
Advanced Berry Breeding/De Weeuro
3/201540336
07/04/2015 NL31/12/2045
ALPENGOLD2008/0028 01758
Istituto Sperimentale per la Fruttieuro
4/201130133
23/05/2011 IT31/12/2041
AROMQUEE2007/0844 aromquee 05496
Dr. Barbara Datheeuro
2/200821776
28/01/2008 DE31/12/2033
AUTUMN TREASURE2008/0873 em 6597/46 04662
East Malling Research Ltdeuro
4/201232811
04/06/2012 UK31/12/2042
BP12009/0851 bp1 05925
Maria Maddalena GrisentiEURO
3/201437717
22/04/2014 IT31/12/2044
BRILLIANCE2006/0182 ps-1703 00743/01203
Plant Sciences - Berry R&Deuro
4/200924928
04/05/2009 US31/12/2034
DRISCOLL CARDINAL2003/0684 cardinal 00659
Driscoll Strawberry Associates Ineuro
3/200719943
16/04/2007 US31/12/2032
DRISCOLL CARMELINA2003/0686 carmelina 00659
Driscoll Strawberry Associates Ineuro
3/200719945
16/04/2007 US31/12/2032
DRISCOLL DULCITA2003/0687 dulcita 00659
Driscoll Strawberry Associates Ineuro
3/200719946
16/04/2007 US31/12/2032
DRISCOLL ESTRELLA
(V308.3)
2008/0215 00659
Driscoll Strawberry Associates Ineuro
4/201232809
04/06/2012 US31/12/2042
DRISCOLL MADONNA2008/0211 00659
Driscoll Strawberry Associates Ineuro
4/201232807
04/06/2012 US31/12/2042
DRISCOLL MARAVILLA2003/0685 maravilla 00659
Driscoll Strawberry Associates Ineuro
3/200719944
16/04/2007 US31/12/2032
DRISCOLL PACIFICA
(S846.1)
2008/0216 00659
Driscoll Strawberry Associates Ineuro
4/201232810
04/06/2012 US31/12/2042
DRISCOLL SEVILLANA
(V372.1)
2008/0214 00659
Driscoll Strawberry Associates Ineuro
4/201232808
04/06/2012 US31/12/2042
DRISRASPONE2008/1095 drisraspone 00659
Driscoll Strawberry Associates Ineuro
3/201334752
08/04/2013 US31/12/2043
DRISRASPTWO2010/2039 z135-1 00659
Driscoll Strawberry Associates Ineuro
3/201437198
24/03/2014 US31/12/2044
ELEGANCE2012/0139 ps-2922 00743/01203
Plant Sciences - Berry R&Deuro
3/201540669
20/04/2015 US31/12/2045
EM 6413/592012/0175 04662
East Malling Research Ltdeuro
3/201540345
07/04/2015 UK31/12/2045
EMR 2012012012/0169 em6881/102 04662
East Malling Research Ltdeuro
3/201540344
07/04/2015 UK31/12/2045
ERIKA2007/0473 sel 2002a 01758
Istituto Sperimentale per la Fruttieuro
4/201130127
23/05/2011 IT31/12/2041
FRUATFRI2008/0296 fruatfri 01644
Promo Fruit Ag.euro
1/201333764
19/11/2012 CH31/12/2042
GALANTE1995/1586 galante 00718
Marionnet Jacques Gfaeuro116
1/19971357
15/10/1996 FR01/11/2018
GLEN AMPLE1995/0574 glen ample 07377
James Hutton Instituteeuro
3/19982729
06/04/1998 UK31/12/2023
GLEN DOLL2006/0314 9053b6 07377
James Hutton Instituteeuro
4/200924929
04/05/2009 UK31/12/2034
GLEN ERICHT2008/0315 99111b2 07377
James Hutton Instituteeuro
4/201130310
06/06/2011 UK31/12/2041
17/04/2016 Pàgina 67 de 74
DenominacióNº Exp. Nom comercial Codi / Titular Butlletí
Nº POV
Inici Protecció Fi Referència Obtentor /
Rubus idaeus L.
GLEN FYNE2007/0474 9062e-1 07377
James Hutton Instituteeuro
3/201027262
19/04/2010 UK31/12/2040
GLEN LYON1995/0801 glen lyon 07377
James Hutton Instituteeuro116
5/1996481
02/08/1996 UK01/09/2016
GLEN MAGNA1995/0578 glen magna 07377
James Hutton Instituteeuro
1/19971533
16/12/1996 UK31/12/2021
GLORIA1998/0308 gloria 01572
Swetbriar Development, Inceuro
3/20029003
18/03/2002 US31/12/2027
GRANDEUR2009/0538 pr-2933 00743/01203
Plant Sciences - Berry R&Deuro
5/201335800
29/07/2013 US31/12/2038
HOLYOKE1998/0346 holyoke 01572
Swetbriar Development, Inceuro
3/20029004
18/03/2002 US31/12/2027
ISABEL1997/0004 isabel 01572
Swetbriar Development, Inceuro
1/20005681
20/12/1999 US31/12/2024
JOAN J1999/0064 93118/5 01409
Jennings Derek Leonard-Medwayeuro
1/200310236
18/11/2002 UK31/12/2027
LUPITA2011/1460 07.09r.52 00132
Plantas de Navarra SAeuro
3/201540340
07/04/2015 ES31/12/2045
MALAHAT1998/0279 bc-85-5-24 01823
Pacific Agri-Food Research Centreuro
3/20028999
18/03/2002 CA31/12/2027
MARWE1995/2721 MarwÞ 00719
Meulblok, E.C.euro
3/19971769
03/03/1997 NL31/12/2022
NY ONE2011/1325 ny selection 1 02978
Cornell Universityeuro
3/201540338
07/04/2015 US31/12/2045
OCTAVIA2002/0113 em 6512/50 00010
Horticultural Research Internationeuro
3/200514919
21/03/2005 GB31/12/2035
POKUSA2004/1969 p 93454 03704
Sadowniczy Zaklad Doswiadczaleuro
2/200821732
28/01/2008 PL31/12/2038
POLKA2002/0007 p93563 07220
INSTYTUT OGRODNICTWA (INeuro
3/200514918
21/03/2005 PL31/12/2035
PORANNA ROSA2004/1970 p 87112 03704
Sadowniczy Zaklad Doswiadczaleuro
2/200821733
28/01/2008 PL31/12/2038
QUALICUM1998/0280 bc-83-16-50 01823
Pacific Agri-Food Research Centreuro
3/20029000
18/03/2002 CA31/12/2027
RADIANCE2009/0537 ps-2430 00743/01203
Plant Sciences - Berry R&Deuro
5/201335799
08/07/2013 US31/12/2038
RAFZAQU2000/1707 ab x hq 90-h 01644
Promo Fruit Ag.euro
3/200413008
05/04/2004 CH31/12/2034
REGINA2011/1395 vr01 07326
Ilario Ioriattieuro
2/201539542
23/02/2015 IT31/12/2040
RUBACA1995/1760 klon 18 00222
Technische Universitõt Müncheneuro116
6/19972472
04/09/1997 DE01/05/2019
RUBYFALL2007/0644 sel tn-03-52 01758
Istituto Sperimentale per la Fruttieuro
4/201130130
23/05/2011 IT31/12/2041
SAANICH2011/0399 bc 89-34-41 07239
Agriculture and Agri-Food Canadeuro
4/201540926
26/05/2015 CA31/12/2045
STREIB 2A2006/1766 streib2a 00258
Hõberli Obst-und Beerenzentrumeuro
2/201026738
22/02/2010 CH31/12/2035
SUGANA2007/1466 sugana 05369
Lubera AGeuro
2/201128847
07/02/2011 CH31/12/2041
TADMOR2003/1068 hr59 00915
The Horticulture & Food Researceuro
3/200821935
10/03/2008 NZ31/12/2033
TULAMEEN PLUS2007/0392 wca-v2 05753
Berryworld Plus Ltdeuro
4/201130126
23/05/2011 UK31/12/2041
17/04/2016 Pàgina 68 de 74
DenominacióNº Exp. Nom comercial Codi / Titular Butlletí
Nº POV
Inici Protecció Fi Referència Obtentor /
Rubus idaeus L.
VAJOLET2009/2161 t 33 05972
Sant'Orsola Societa' Cooperativaeuro
3/201334274
04/03/2013 IT31/12/2043
WAKEFIELD2013/0151 hr40 00915
The Horticulture & Food Researceuro
2/201642313
25/01/2016 NZ31/12/2046
WEIRULA1999/1137 wei-rula 02710
Technische Universität Müncheneuro
2/200310423
20/01/2003 DE31/12/2028
Especie Rubus subgenus Eubatus Sect. Moriferi & Ursini
DenominacióNº Exp. Nom comercial Codi / Titular Butlletí
Nº POV
Inici Protecció Fi Referència Obtentor /
RUBUS
APF 452011/1881 apf-45 01752
University of Arkansaseuro
4/201540830
11/05/2015 US31/12/2045
DRISBLACKTWO2010/0837 bk356.2 00659
Driscoll Strawberry Associates Ineuro
3/201437420
07/04/2014 US31/12/2044
DRISCOLL CARMEL2005/2518 driscoll carmel 00659
Driscoll Strawberry Associates Ineuro
2/200924097
23/02/2009 US31/12/2034
DRISCOLL COWLES2008/0212 bd467.1 00659
Driscoll Strawberry Associates Ineuro
4/201232665
07/05/2012 US31/12/2042
DRISCOLL EUREKA2008/0213 bd477.1 00659
Driscoll Strawberry Associates Ineuro
4/201232666
07/05/2012 US31/12/2042
DRISCOLL THORNLESS
SLEEPING BEAUTY
2008/0217 00659
Driscoll Strawberry Associates Ineuro
4/201232667
07/05/2012 US31/12/2042
KARAKA BLACK1999/1654 8627n8-6 02830
The Horticulture & Food Res. Int.euro
3/200310720
10/03/2003 NZ10/03/2033
KIOWA1999/0278 kiowa 05369
Lubera AGeuro
3/200310715
10/03/2003 CH10/03/2033
LOCH MAREE2006/0313 86506g7 00054
Scottish Crop Research Instituteeuro
3/201334751
08/04/2013 UK31/12/2043
LOCH TAY2002/0844 86510L-2 07377
James Hutton Instituteeuro
2/200616917
27/02/2006 UK31/12/2036
LUB MB2232009/1403 lub mb2/23 05369
Lubera AGeuro
4/201437943
05/05/2014 CH31/12/2044
NATCHEZ2009/1955 natchez 01752
University of Arkansaseuro
5/201335827
29/07/2013 US31/12/2038
OUACHITA2006/2430 ouachita 01752
University of Arkansaseuro
4/201232662
07/05/2012 US31/12/2042
REUBEN2009/2058 0541p3 05646
Hargreaves Plants Ltdeuro
6/201336096
23/09/2013 UK31/12/2043
SLEEPING BEAUTY2005/2517 driscoll sleeping beauty 00659
Driscoll Strawberry Associates Ineuro
2/200924096
23/02/2009 US31/12/2034
Especie Sorbus aucuparia L.
DenominacióNº Exp. Nom comercial Codi / Titular Butlletí
Nº POV
Inici Protecció Fi Referència Obtentor /
SERVERA
FINGERPRINT2010/2646 fingerprint 07168
De Martelaer Boomkwekerij B.V.euro
4/201335854
29/07/2013 BE31/12/2043
FLANROCK2001/0538 autumn spire 03374
Flannery's Nurserieseuro
6/200414075
27/09/2004 IE31/12/2034
Especie Vaccinium corymbosum L.
DenominacióNº Exp. Nom comercial Codi / Titular Butlletí
Nº POV
Inici Protecció Fi Referència Obtentor /
NABIU
ABUNDANCE2007/0368 abundance 00669
Florida Foundation Seed Produceeuro
3/201437097
22/04/2014 US31/12/2044
ALBA2008/0344 s03-19-02 06181
Royal Berries S.L.euro
2/201436999
24/02/2014 ES31/12/2044
17/04/2016 Pàgina 69 de 74
DenominacióNº Exp. Nom comercial Codi / Titular Butlletí
Nº POV
Inici Protecció Fi Referència Obtentor /
Vaccinium corymbosum L.
ALTAIR2008/0338 s03-38-04 06181
Royal Berries S.L.euro
3/201334441
18/03/2013 ES31/12/2038
AURORA2005/0223 aurora 04947
The Board of Thustees of Michigeuro
2/200923937
09/02/2009 US31/12/2034
AZULEMA2008/0345 s03-38-01 06181
Royal Berries S.L.euro
3/201334444
18/03/2013 ES31/12/2043
BLUECRISP2004/1337 bluecrisp 00669
Florida Foundation Seed Produceeuro
4/200923931
04/05/2009 US31/12/2034
CAMELLIA2007/2299 camellia 04180/04539
U.Georgia Research Foundation Ieuro
2/201436995
24/02/2014 US31/12/2044
CARMEN2008/0339 s01-13-04 06181
Royal Berries S.L.euro
3/201334442
18/03/2013 ES31/12/2038
CELESTE2008/0343 s02-04-01 06181
Royal Berries S.L.euro
3/201334554
18/03/2013 ES31/12/2038
CORONA2008/0346 s02-30-12 06181
Royal Berries S.L.euro
3/201540493
07/04/2015 ES31/12/2045
DOLORES2008/0342 s02-26-03 06181
Royal Berries S.L.euro
3/201540492
07/04/2015 ES31/12/2045
DRAPER2005/0224 draper 04947
The Board of Thustees of Michigeuro
2/200923938
09/02/2009 US31/12/2034
DRISBLUEONE2008/1096 drisblueone 00659
Driscoll Strawberry Associates Ineuro
3/201437100
10/03/2014 US31/12/2044
DRISBLUETHREE2008/1098 drisbluethree 00659
Driscoll Strawberry Associates Ineuro
3/201334447
18/03/2013 US31/12/2038
DRISBLUETWO2008/1097 drisbluetwo 00659
Driscoll Strawberry Associates Ineuro
3/201334446
18/03/2013 US31/12/2038
EMERALD2004/1339 emerald 00669
Florida Foundation Seed Produceeuro
4/200923932
04/05/2009 US31/12/2034
FARTHING2011/0236 F1 00-75 00669
Florida Foundation Seed Produceeuro
4/201540829
11/05/2015 US31/12/2045
HORTBLUE PETITE2005/0518 m7 00915
The Horticulture & Food Researceuro
2/200923936
23/02/2009 NZ31/12/2034
HORTBLUE POPPINS2007/2267 b8-3-10 00915
The Horticulture & Food Researceuro
3/201231850
19/03/2012 NZ31/12/2042
JEWELL2004/1338 jewel 00669
Florida Foundation Seed Produceeuro
2/201539515
09/02/2015 US31/12/2040
LIBERTY2005/0225 liberty 04947
The Board of Thustees of Michigeuro
2/200923937
09/02/2009 US31/12/2034
LUCERO2008/0340 s01-28-01 06181
Royal Berries S.L.euro
2/201436998
24/02/2014 ES31/12/2044
LUCIA2008/0341 s03-60-01 06181
Royal Berries S.L.euro
3/201334443
18/03/2013 ES31/12/2043
MAGNA2008/0347 s03-08-02 06181
Royal Berries S.L.euro
3/201334445
18/03/2013 ES31/12/2038
MILLENNIA2004/1343 millennia 00669
Florida Foundation Seed Produceeuro
4/200923935
04/05/2009 US31/12/2034
PALMETTO2007/2300 palmetto 04180
University of Georgia Research Feuro
2/201436996
24/02/2014 US31/12/2044
PRIMADONNA2007/0371 primadonna 00669
Florida Foundation Seed Produceeuro
3/201231791
19/03/2012 US31/12/2042
REBEL2007/2301 rebel 04180
University of Georgia Research Feuro
3/201334440
18/03/2013 US31/12/2038
ROCIO2007/0366 rocio 06181
Royal Berries S.L.euro
3/201540491
07/04/2015 ES31/12/2045
17/04/2016 Pàgina 70 de 74
DenominacióNº Exp. Nom comercial Codi / Titular Butlletí
Nº POV
Inici Protecció Fi Referència Obtentor /
Vaccinium corymbosum L.
ROMERO2007/0367 romero 06181
Royal Berries S.L.euro
3/201334439
18/03/2013 ES31/12/2038
SCINTILLA2011/0235 F1 00-267 00669
Florida Foundation Seed Produceeuro
4/201540828
11/05/2015 US31/12/2045
SEBRING2004/1342 sebring 00669
Florida Foundation Seed Produceeuro
4/200923934
04/05/2009 US31/12/2034
SEVILLA2008/0337 s03-08-04 06181
Royal Berries S.L.euro
2/201436997
24/02/2014 ES31/12/2044
SOUTHERN BELLE2004/1341 sourthern 00669
Florida Foundation Seed Produceeuro
4/200923933
04/05/2009 US31/12/2034
SPRINGHIGH2007/0369 springhigh 00669
Florida Foundation Seed Produceeuro
3/201437098
22/04/2014 US31/12/2044
SPRINGWIDE2007/0370 springwide 00669
Florida Foundation Seed Produceeuro
3/201437099
22/04/2014 US31/12/2044
SUZIBLUE2011/0173 04180
University of Georgia Research Feuro
4/201540785
11/05/2015 US31/12/2045
Especie Vaccinium simulatum Small
DenominacióNº Exp. Nom comercial Codi / Titular Butlletí
Nº POV
Inici Protecció Fi Referència Obtentor /
NABIU
HORTBLUE DEMURE2005/0517 d104 00915
The Horticulture & Food Researceuro
2/200924095
23/02/2009 NZ31/12/2034
Especie Vaccinium virgatum Aiton
DenominacióNº Exp. Nom comercial Codi / Titular Butlletí
Nº POV
Inici Protecció Fi Referència Obtentor /
NABIU
ALAPAHA2007/2296 alapaha 04180/04539
U.Georgia Research Foundation Ieuro
3/201334753
08/04/2013 US31/12/2038
OCHLOCKONEE2007/2298 ochlockonee 04180/04539
U.Georgia Research Foundation Ieuro
3/201334755
08/04/2013 US31/12/2038
VERNON2007/2297 vernon 04180
University of Georgia Research Feuro
3/201334754
08/04/2013 US31/12/2038
Especie Vaccinium vitis-idaea L.
DenominacióNº Exp. Nom comercial Codi / Titular Butlletí
Nº POV
Inici Protecció Fi Referència Obtentor /
NABIU
MELIRO2010/1540 07050
SIERTEELTKWEKERIJ MAARTeuro
2/201539355
26/01/2015 NL31/12/2040
RED CANDY2008/2294 sonkoot30 06616
Van Son & Koot Holding B.V.euro
2/201539352
26/01/2015 NL31/12/2040
Especie Vitis L.
DenominacióNº Exp. Nom comercial Codi / Titular Butlletí
Nº POV
Inici Protecció Fi Referència Obtentor /
VINYA
ACS V 012007/2981 blanc seedless 06135
Luribay Business Inc.euro
4/201335570
03/06/2013 PA31/12/2043
AFRODITA1997/1145 B-4-5 AFRODITA 00795
Zanzi Fruitgroeuro
3/200719931
16/04/2007 IT31/12/2037
ALEGRILLO NEGRO1999/1528 alegrillo negro 02801
Wein und Sektkellereien Jakob Geuro
3/20029014
18/03/2002 DE31/12/2032
AMGRAPONE2006/0363 snflwhitone 03945
ARC Infruitec - Nietvoorbijeuro
5/201027971
26/07/2010 ZA31/12/2040
APULIA2008/1662 apulia 08009
AGRIPROJECT GROUP S.R.L.euro
5/201335812
08/07/2013 IT31/12/2043
AUTUMN KING2007/1899 autumn king (c67-120) 04539
The United States of Americaeuro
4/201335210
06/05/2013 US31/12/2043
AVANTI2006/0812 tii/58 05419
Ulrich Martineuro
1/201333808
19/11/2012 DE31/12/2042
17/04/2016 Pàgina 71 de 74
DenominacióNº Exp. Nom comercial Codi / Titular Butlletí
Nº POV
Inici Protecció Fi Referència Obtentor /
Vitis L.
B34 822005/1788 scarlet royal (b34-82) 04539
The United States of Americaeuro
6/201130889
10/10/2011 US31/12/2041
BLAGATWO2009/2710 blagatwo 06859
Sheehan Genetics LLCeuro
5/201438463
07/07/2014 US31/12/2044
BLAGRAONE2006/0416 blagraone 01719
Antonio Muñoz y Cia SAeuro
5/201027972
26/07/2010 ES31/12/2040
CABERNET BLANC2006/1054 vb 91-26-1 05457
Volker Freytageuro
3/200821990
10/03/2008 DE31/12/2038
CABERNET JURA2006/1052 vb 05-02 05457
Volker Freytageuro
4/201130091
23/05/2011 DE31/12/2041
CABERTIN2006/1055 vb 91-26-17 05457
Volker Freytageuro
3/200821991
10/03/2008 DE31/12/2038
CHRISTINE2004/0165 19/1/558 00363
Wolf Jörgeuro
5/200823287
21/07/2008 DE31/12/2038
CUMDEO BLANC1999/1526 cumdeo blanc 02801
Wein und Sektkellereien Jakob Geuro
3/20029012
18/03/2002 DE31/12/2032
CUMDEO ROUGE1999/1525 cumdeo rouge 02801
Wein und Sektkellereien Jakob Geuro
3/20029011
18/03/2002 DE31/12/2032
DORIA SEEDLESS2000/1225 doria seedless 03102/03103/03104
Giordano,F - Papasergio, R - Gueuro
6/200720977
08/10/2007 IT31/12/2037
GEORG2004/0162 31/01/062 00363
Wolf Jörgeuro
5/200823284
21/07/2008 DE31/12/2038
GERTRUDE2004/0164 19/1/432 00363
Wolf Jörgeuro
5/200823286
21/07/2008 DE31/12/2038
GRAPAES1999/0631 44/50 02580
Grapa Company Limitedeuro
3/200719647
19/03/2007 IL31/12/2037
GRAPECOUS2003/0680 g 5 09077
SPECIAL NEW FRUIT LICENSIeuro
1/201026305
21/12/2009 UK31/12/2039
HOBREVT2003/0464 hobrevt 00258
Hõberli Obst-und Beerenzentrumeuro
3/200719648
19/03/2007 CH31/12/2037
JAKOB GERHARDT BLANC1999/1527 jakob gerhardt blanc 02801
Wein und Sektkellereien Jakob Geuro
3/20029013
18/03/2002 DE31/12/2032
KATHARINA2004/0166 31/1/265 00363
Wolf Jörgeuro
5/200823288
21/07/2008 DE31/12/2038
MILLENNIUM2006/0813 tii/62 05419
Ulrich Martineuro
2/201128843
07/02/2011 DE31/12/2041
MYSTERY1999/0960 mystery 01306
Agricultural Research Organisatieuro
3/200719941
16/04/2007 MYSRERY IL31/12/2037
NEGRO AMARO
CANNELLINO
2002/0608 negro amaro precoce n. 03834/02306
CAM DI COMMER, INDUSTRIA,euro
2/200719237
19/02/2007 IT31/12/2037
NEMADEX ALAIN BOUQUET2010/2348 mtp 6146-1-87 00689
INRA-Institut National de la Recheuro
4/201130381
06/06/2011 FR31/12/2041
NERO1995/1466 nero 00363
Wolf Jörgeuro116
3/19971760
03/03/1997 NERO DE01/02/2024
NIKOLETA2002/0383 nikoleta 03791
SPINOS NIKOLAOSeuro
4/201437905
05/05/2014 GR31/12/2044
PAULA1998/1175 paula 02306
Istituto Sperimentale per la Viticoleuro
1/200310234
18/11/2002 IT31/12/2032
PHILIPP2004/0163 31/1/225 00363
Wolf Jörgeuro
5/200823285
21/07/2008 DE31/12/2038
PINOTIN2006/1053 vb 91-26-19 05457
Volker Freytageuro
3/200719939
16/04/2007 DE31/12/2037
PRIME1999/0961 prime 01306
Agricultural Research Organisatieuro
4/200719942
16/04/2007 PRIME IL31/12/2037
17/04/2016 Pàgina 72 de 74
DenominacióNº Exp. Nom comercial Codi / Titular Butlletí
Nº POV
Inici Protecció Fi Referència Obtentor /
Vitis L.
PRINCESS2004/0107 princess (c45-59) 04539
The United States of Americaeuro
5/201335858
29/07/2013 US31/12/2043
RALLI SEEDLESS1998/1747 ralli seedless 02468
G. & I. Ralli & Sons Pty Ltdeuro
3/200719940
16/04/2007 AU31/12/2037
RATHAY1999/1194 rathay 02732
Höhere Bundeslehranstalt und Beuro
4/200413613
21/06/2004 RATHAY AT31/12/2034
REGENT1995/0821 regent 00650
Institut für Rebenzüchtungeuro116
1/19971396
15/10/1996 REGENT DE01/04/2024
ROESLER1999/1195 roesler 02732
Höhere Bundeslehranstalt und Beuro
4/200413614
21/06/2004 AT31/12/2034
RUBINET2000/0264 r-27 tintet 02932
Hermann Jägereuro
4/200413615
21/06/2004 DE31/12/2034
RUBINIA1998/1172 rubinia 02306
Istituto Sperimentale per la Viticoleuro
1/200310231
18/11/2002 IT31/12/2032
SHEEGENE 102009/2759 9-767 06859
Sheehan Genetics LLCeuro
6/201336064
23/09/2013 US31/12/2043
SHEEGENE 112010/0323 9-605 06859
Sheehan Genetics LLCeuro
5/201438466
07/07/2014 US31/12/2044
SHEEGENE 122010/0324 r9v688 06859
Sheehan Genetics LLCeuro
5/201438467
07/07/2014 US31/12/2044
SHEEGENE 132010/0325 9-794 06859
Sheehan Genetics LLCeuro
5/201438468
07/07/2014 US31/12/2044
SHEEGENE 22010/0322 10-58 06859
Sheehan Genetics LLCeuro
5/201438465
07/07/2014 US31/12/2044
SHEEGENE 262010/2597 gal-4 06859
Sheehan Genetics LLCeuro
2/201642311
25/01/2016 US31/12/2046
SHEEGENE 32009/2755 r10v571 06859
Sheehan Genetics LLCeuro
5/201438464
07/07/2014 US31/12/2044
SHEEGENE 42009/2756 r12v522 06859
Sheehan Genetics LLCeuro
6/201336061
23/09/2013 US31/12/2043
SHEEGENE 62009/2757 r2v468 06859
Sheehan Genetics LLCeuro
6/201336062
23/09/2013 US31/12/2043
SHEEGENE 92009/2758 r10v714 06859
Sheehan Genetics LLCeuro
6/201336063
23/09/2013 US31/12/2043
STEFANIE2006/0542 19/1/518 00363
Wolf Jörgeuro
3/201027258
19/04/2010 DE31/12/2040
SUGRAEIGHTEEN2002/1217 sugraeighteen 05485
Sun World International LLCeuro
1/201026298
21/12/2009 US31/12/2039
SUGRAFOURTEEN2002/1218 sugrafourteen 05485
Sun World International LLCeuro
3/201026757
22/03/2010 US31/12/2040
SUGRANINETEEN2007/0324 05485
Sun World International LLCeuro
3/201232280
10/04/2012 US31/12/2042
SUGRASIXTEEN2000/0369 sugrasixteen 05485
Sun World International LLCeuro
5/201027969
26/07/2010 US31/12/2040
SUGRATHIRTEEN1999/1541 sugrathirteen 05485
Sun World International LLCeuro
6/200721163
22/10/2007 US31/12/2037
SUGRATHIRTYTWO2008/0986 sugrathirtytwo 05485
Sun World International LLCeuro
4/201438357
16/06/2014 US31/12/2044
SUGRATWELVE2000/0753 sugratwelve 05485
Sun World International LLCeuro
5/201027970
26/07/2010 US31/12/2040
SUMMER ROYAL2004/0108 summer royal (b74-99) 04539
The United States of Americaeuro
6/201130887
10/10/2011 US31/12/2041
SWEET SCARLET2004/0256 a61-16 04539
The United States of Americaeuro
6/201130888
10/10/2011 US31/12/2041
17/04/2016 Pàgina 73 de 74
DenominacióNº Exp. Nom comercial Codi / Titular Butlletí
Nº POV
Inici Protecció Fi Referència Obtentor /
Vitis L.
VITROBLACK 12004/0488 vp f50 05277
Vitroplant Italia SRLeuro
6/201028208
06/09/2010 IT31/12/2040
WILDMUSKAT2007/1170 wildmuskat 05884
Weingut Amalienhof Gbreuro
1/200821574
17/12/2007 DE31/12/2037
Especie Vitis vinifera L.
DenominacióNº Exp. Nom comercial Codi / Titular Butlletí
Nº POV
Inici Protecció Fi Referència Obtentor /
VINYA VINIFERA
ARRAELEVEN2009/1870 arraeleven 06775
ARD LLCeuro
4/201540779
11/05/2015 US31/12/2045
ARRAFIFTEEN2009/1872 arrafifteen 06775
ARD LLCeuro
4/201540781
11/05/2015 US31/12/2045
ARRANINETEEN2009/1871 arranineteen 06775
ARD LLCeuro
4/201540780
11/05/2015 US31/12/2045
ARRATEN2009/1875 arraten 06775
ARD LLCeuro
4/201540783
11/05/2015 US31/12/2045
ARRATHIRTEEN2009/1874 arrathirteen 06775
ARD LLCeuro
4/201540782
11/05/2015 US31/12/2045
FERRADOU2011/1107 8381 00689
INRA-Institut National de la Recheuro
1/201231264
19/12/2011 FR31/12/2041
FIAMMETTA2010/1412 fiammetta 06354
Stefano Sommaeuro
4/201540822
11/05/2015 IT31/12/2045
IFG ONE2009/1408 ifg 031 077 02804
Cain David W.euro
4/201540777
11/05/2015 US31/12/2045
IFG TWO2009/1409 ifg 104 253 02804
Cain David W.euro
4/201540778
11/05/2015 US31/12/2045
LUISA2010/1736 luisa seedless 06354
Stefano Sommaeuro
4/201540823
11/05/2015 IT31/12/2045
MÉSZIKADAR2012/0093 mészi kadarka 07541
PÁL MESZÁROSeuro
2/201334095
21/01/2013 HU31/12/2043
SHEEGENE 202010/2596 9-704 06859
Sheehan Genetics LLCeuro
4/201540925
26/05/2015 US31/12/2045
SHEEGENE 212011/1611 10-552 06859
Sheehan Genetics LLCeuro
3/201540341
07/04/2015 US31/12/2045
SUGRATHIRTYFIVE2011/0174 sugrathirtyfive 05485
Sun World International LLCeuro
4/201540786
11/05/2015 US31/12/2045
Nº Exp.: Número d'expedient
Nº POV = Número de títol de protecció
Inici Protecció Fi = Data de concessió de la protecció i data fi de la protecció
Codi / Titular = Codi identificador utilitzat al butlletí oficial i nom del titular
Butlletí = Número del butlletí oficial de la OCVV o del butlletí de la OEVV
Classe de títol de protecció: euro = sistema comunitari de protecció de varietats vegetals - OCVV; esp = sistema
espanyol de protecció de varietats vegetals - OEVV
CLAUS:
17/04/2016 Pàgina 74 de 74

Llistat proteccions_TOV_2016_2

  • 1.
    Varietats d'espècies de fruiters que disposende Protecció d'Obtenció Vegetal (Actualitzat amb el butlletí de l'OCVV 2/2016 de 15/4/2016) Aquest llistat només inclou les varietats de fruiters de les quals s'ha publicat la concessió de la protecció d'acord amb el Reglament europeu 2100/94 o la llei espanyola 3/2000. D'acord amb l'article 95 del reglament comunitari 2100/94 i l'article 18 de la llei 3/2000, les sol·licituds de varietats publicades en els butlletins, disposen de la protecció provisional que cubreix el període que va des de la publicació al butlletí fins la seva protecció. Font: OCVV: Oficina Comunitària de Varietats Vegetals (www.cpvo.europa.eu) OEVV: Oficina Espanyola de Varietats Vegetals (www.magrama.gob.es) Llistat de Proteccions 2016_2 (Actualitzat amb el butlletí de l'OEVV 2-2016 de 4/4/2016) Avís legal: Aquest document està subjecte a una llicència Reconeixement-NoComercial 4.0 Internacional (CC BY-NC 4.0) de Creative Commons. Se'n permet la reproducció, distribució, comunicació pública i la generació d'obres derivades que estiguin subjectes a la mateixa llicència. Carles Folch i Castell, 2003-2016 [cfolchcastell@gmail.com] http://creativecommons.org/licenses/by-nc/4.0/deed.ca Cireres al mercat de la Boqueria de Barclona - 2 abril 2016 - Foto @cfolch 17/04/2016 Pàgina 1 de 74
  • 2.
    Nous TÍTOLS Baixa TÍTOLS Nªde Títols per grup de espècies Esp botTip. exp. Nº TítolDenominació Data FiNom Comercial Fragaria x ananassa Duch.euro 42317NIEVA FNM 31/12/2041 Fragaria x ananassa Duch.euro 42546PINK ROSA 31/12/2041 Fragaria x ananassa Duch.euro 42316RABIDA FNM 31/12/2041 Prunus × schmittii Rehdereuro 42315GI 31817 31/12/2046 Prunus armeniaca L.euro 42312APRINEW 31/12/2046 Prunus canescens Bois × P. cerasus L.euro 42314GI 14813 31/12/2046 Prunus domestica L.euro 42548BLUE MOON 31/12/2046 Prunus domestica L.euro 42549VANDOR 31/12/2046 Prunus persica (L.) Batscheuro 42619PLAGOLD 22 31/12/2046 Prunus persica (L.) Batscheuro 42573PRO 28 31/12/2043EXTREME 28 Prunus persica (L.) Batscheuro 42395SUNNEYY 31/12/2046amarela 1 Prunus salicina Lindl.euro 42547SONGREEN 50 31/12/2046 Prunus salicina Lindl.euro 42350SWEET IRIDIS 1 31/12/2046 Prunus salicina Lindl.euro 42351SWEET IRIDIS 2 31/12/2046 Prunus salicina Lindl.euro 42550SWEET IRIDIS 3 31/12/2046 Rubus idaeus L.euro 42313WAKEFIELD 31/12/2046 Vitis L.euro 42311SHEEGENE 26 31/12/2046 Esp botTip. exp. Nº TítolDenominació Data CancelNom Comercial Fragaria x ananassa Duch.esp 002632A7-01-3 15/01/2016 Fragaria x ananassa Duch.esp 002633A7-88N-11 15/01/2016 Fragaria x ananassa Duch.euro 23761RECORD 13/02/2016 Malus domestica Borkh.euro116 1290DALIEST 02/02/2016ELISTA* Malus domestica Borkh.euro 29527DALIGRIS 02/02/2016 Malus domestica Borkh.euro 13782DALINIP 02/02/2016 Malus floribunda Siebold ex Van Houtteeuro 41062VIOLA 05/01/2016 Prunus armeniaca L.euro 30100IPS537 13/02/2016 Prunus persica (L.) Batscheuro 17623CIVVS305 05/01/2016Velvetsister (D 93 3/5) Prunus persica (L.) Batscheuro 36965CYBELA 05/01/2016cybela Prunus persica (L.) Batscheuro 35211FLAMINA 23/02/2016 Prunus persica (L.) Batscheuro116 7726RED MOON 05/01/2016RED MOON Prunus persica (L.) Batscheuro 35213ZAI801NJ 13/02/2016ZAI801NJ Pyrus communis L.euro 24099BRONCET 22/02/2016 Pyrus communis L.euro 24098JACO 22/02/2016 17/04/2016 Pàgina 2 de 74
  • 3.
    1 8 1925 39 48 52 77 77 147 224 244 816 0 100 200 300 400 500 600 700 800 900 O rnam entals B ananer O rnam entalFruits secs PyrusForestals A ltres Vitis C ítricsPetits fruits M alus Fragaria Prunus 17/04/2016 Pàgina 3 de 74
  • 4.
    DenominacióNº Exp. Nomcomercial Codi / Titular Butlletí Nº POV Inici Protecció Fi Referència Obtentor / Actinidia chinensis Planch. Especie Actinidia chinensis Planch. DenominacióNº Exp. Nom comercial Codi / Titular Butlletí Nº POV Inici Protecció Fi Referència Obtentor / KIWI ZESH0042010/0377 16-01-03h. 02 05401 Zespri Group Limitedeuro 3/201437725 22/04/2014 NZ31/12/2044 ZESY0022010/0375 13-15-14g. 02 05401 Zespri Group Limitedeuro 3/201437723 22/04/2014 NZ31/12/2044 ZESY0032010/0376 51-17-29b. 97 05401 Zespri Group Limitedeuro 3/201437724 22/04/2014 NZ31/12/2044 Especie Actinidia Lindl. DenominacióNº Exp. Nom comercial Codi / Titular Butlletí Nº POV Inici Protecció Fi Referència Obtentor / KIWI BELEN2002/0864 134.16 03895 Università degli Studi di Udineeuro 5/200823148 07/07/2008 IT31/12/2038 BOERICA2002/1852 hs 03940 Azienda Agricola Bovo Angelo dieuro 3/200924819 20/04/2009 IT31/12/2039 BOVERLIG 022002/1158 hb 03940 Azienda Agricola Bovo Angelo dieuro 2/201026756 22/02/2010 IT31/12/2040 BRUCE2009/0385 bruce 05401 Zespri Group Limitedeuro 4/201335511 03/06/2013 NZ31/12/2043 CHUHONG2008/1739 chuhong 06361 Changsha Truwind Fruit Co Ltdeuro 4/201541347 22/06/2015 CN31/12/2045 CONVI2003/1433 green star 04333 CO.N.VI. Di Spada Renato e Sereuro 4/200924923 04/05/2009 IT31/12/2038 ELEONORA2002/0735 ad 1220 05277 Vitroplant Italia SRLeuro 3/200617323 24/04/2006 IT31/12/2036 HORT16A1998/0642 hort16a 05401 Zespri Group Limitedeuro 1/200310226 18/11/2002 NZ31/12/2027 HORTGEM RUA2005/0277 e416 00915 The Horticulture & Food Researceuro 4/200924925 04/05/2009 NZ31/12/2039 HORTGEM TAHI2003/0366 k2d4 00915 The Horticulture & Food Researceuro 4/201130080 23/05/2011 NZ30/12/2041 HORTGEM TORU2005/0276 c3c3 00915 The Horticulture & Food Researceuro 4/201130083 23/05/2011 NZ31/12/2041 HORTGEM WHA2005/0278 k2e5 00915 The Horticulture & Food Researceuro 4/200924926 04/05/2009 NZ31/12/2039 JINTAO2001/1735 C6 03636 Wuhan Institute of Botanyeuro 5/200823147 07/07/2008 CN31/12/2038 SORELI2008/1319 ac 171.76 03895 Università degli Studi di UdineEURO 4/201232814 04/06/2012 IT31/12/2042 SUMMER 33732001/0159 03297 Dal Pane Vivai di Maurizio dal Paeuro 2/200616914 27/02/2006 IT31/12/2036 T 19102003/2524 tsechelidis 05670 Farmaplant SPeuro 5/200823290 21/07/2008 GR31/12/2038 TOMUA1998/0641 00915 The Horticulture & Food Researceuro 6/200311644 08/09/2003 NZ31/12/2028 Especie Citrus clementina Hort. ex Tanaka DenominacióNº Exp. Nom comercial Codi / Titular Butlletí Nº POV Inici Protecció Fi Referència Obtentor / MANDARINA CLEMENTINA BASOL2010/0731 basol 06953 CANTERA LA TORRETA S.A.U.euro 3/201129617 18/04/2011 BASOL ES31/12/2041 BASOL20014361 ES910 Cantera La Torreta SAesp 5-2009002431 22/07/2009 BASOL ES31/12/2039 17/04/2016 Pàgina 4 de 74
  • 5.
    DenominacióNº Exp. Nomcomercial Codi / Titular Butlletí Nº POV Inici Protecció Fi Referència Obtentor / Citrus clementina Hort. ex Tanaka BEATRIZ DE ANNA19953907 beatriz ESMFAB M. Fabra / IVIA / INIAesp BOE-69002168 21/03/2003 BEATRIZ DE ANNA ES21/03/2023 CAPOLA19964017 ESMPOR MªANTONIA PORCAR/G.LACOesp BOE-69002169 21/03/2003 ES21/03/2023 CARRUQUINA20004316 avasa pri 21 ES904 A.V.A.S.A.esp 3-2013002616 06/07/2013 CARRUQUINA - AVASA PRI 21 ES31/12/2043 CLEMENALBA20054617 clementina la plana ES932 Agricola BAGU SAesp 2-2013002570 17/01/2013 ES31/12/2043 CLEMENCAR20064694 ES971 AVASA/Manuel y Vivente Ramonesp BOE98002664 25/04/2015 ES31/12/2044 CLEMENLATE2011/2175 clemenlate 07406 Evarcit SLeuro 6/201232984 22/10/2012 ES31/12/2042 CLEMENPONS2000/1110 clemenpons 03076 Juan PONS BOLTAeuro 5/20017987 06/08/2001 CLEMENPONS ES31/12/2031 CLEMENRUBÍ2005/1035 avasa pri-23 02360 Agrupación de Viveristas de Agrieuro 2/200821770 28/01/2008 CLEMENRUBI ES31/12/2038 CLEMENSOON2009/0980 clemensoon 07042 ANECOOP S. Coop.euro 3/201027268 19/04/2010 PRENULES ES31/12/2040 CLEMENVAL20054601 avasa pri-40 ES904 A.V.A.S.A.esp 4-2012002555 28/06/2012 CLEMENVAL ES31/12/2042 CLEMENVERD20064692 01157 IVIA - Institut Valencià d'Investigesp BOE98002665 25/04/2015 ES31/12/2044 CULTIFORT2004/1447 cultifort 04719 Sendra Rocher, Rafaeleuro 2/200924079 23/02/2009 CULTIFORT ES31/12/2039 LORETINA1998/1361 02360 Agrupación de Viveristas de Agrieuro 1/20005647 20/12/1999 LORETINA ES31/12/2029 NERO2013/0760 230c08neroaz 01157 IVIA - Institut Valencià d'Investigeuro 1/201539141 17/11/2014 ES31/12/2044 NULESSIN20014330 01157 IVIA - Institut Valencià d'Investigesp 4-2010002487 06/07/2010 ES31/12/2040 OROGRÓS2013/0892 avasa pri-26 02360 Agrupación de Viveristas de Agrieuro 6/201336431 21/10/2013 ES31/12/2043 Especie Citrus L. DenominacióNº Exp. Nom comercial Codi / Titular Butlletí Nº POV Inici Protecció Fi Referència Obtentor / MANDARINA HÍBRIDA ALBIR20074750 IVIA-TRI8 01157 IVIA - Institut Valencià d'Investigesp 1-2014002639 27/12/2013 ES31/12/2043 ALBOREA20074746 IVIA-TRI4 01157 IVIA - Institut Valencià d'Investigesp 1-2014002640 27/12/2013 ES31/12/2043 ALKANTARA2004/0075 c 2191 04531/04532/04533 Reforgiato-Russo-Recuperoeuro 4/201232941 18/06/2012 IT31/12/2042 ALVARIÑA2006/2579 alvariña 05669 Alvaro Sanchis Sisterneseuro 6/201336207 23/09/2013 ES31/12/2043 ARCCIT16142010/1650 b17 02593 Agricultural Research Councileuro 5/201541568 20/07/2015 ZA31/12/2045 BARNFIELD LATE NAVEL1997/0274 BARNFIELD LATE NAVEL 01631 W.M & D. Barnfield Pty Ltdeuro 6/200720996 08/10/2007 BARNFIELD LATE NAVEL AU31/12/2037 CORAL20074748 IVIA-TRI6 01157 IVIA - Institut Valencià d'Investigesp 1-2016002710 13/12/2015 ES31/12/2045 EUREKA SL2006/0458 eureka seedless lemon 02496 The Agricultural Research Counceuro 2/201539503 09/02/2015 GOLDEN SEEDLESS ZA31/12/2045 GARBI2008/1610 ivia tri 1 01157 IVIA - Institut Valencià d'Investigeuro 1/201333911 17/12/2012 ES31/12/2042 LEMOX2004/0073 c 3869 04531/04532/04533 Reforgiato-Russo-Recuperoeuro 5/201130547 25/07/2011 IT31/12/2041 17/04/2016 Pàgina 5 de 74
  • 6.
    DenominacióNº Exp. Nomcomercial Codi / Titular Butlletí Nº POV Inici Protecció Fi Referència Obtentor / Citrus L. MANDALATE2004/0074 d 8811 04531/04532/04533 Reforgiato-Russo-Recuperoeuro 4/201232940 18/06/2012 IT31/12/2042 MANDANOVA SL1999/0031 nova.s.l. 02360 Agrupación de Viveristas de Agrieuro 2/201539502 09/02/2015 NOVA SL ES31/12/2045 MANDARED2004/0072 c 1732 04531/04532/04533 Reforgiato-Russo-Recuperoeuro 4/201232939 18/06/2012 IT31/12/2042 MILANA20135073 ivia man rad2 01157 IVIA - Institut Valencià d'Investigesp 1-2016002711 16/12/2015 ES31/12/2045 MISTRAL20074735 ivia-TRI3 00699/01157 INIA - IVIAesp 1-2016002709 16/12/2015 ES31/12/2045 MONCALINA20094879 ivia man rad1 01157 IVIA - Institut Valencià d'Investigesp BOE98002666 25/04/2015 ES31/12/2044 MURTA2010/1330 mur 15 06996 Maria Consuelo Ferrer Terceroeuro 1/201539177 17/11/2014 ES31/12/2044 ORRI2004/1076 orri 01306 Agricultural Research Organisatieuro 5/201335889 29/07/2013 IL31/12/2043 QUEEN2006/0947 t-507 05449 Angel Teresa Hermanos SAeuro 1/201333910 17/12/2012 ES31/12/2042 REALE2001/0158 C5393 03296 Istituto Sperimentale per l'Agrumieuro 2/200719037 22/01/2007 IT31/12/2037 SAFOR2008/1611 ivia tri 2 01157 IVIA - Institut Valencià d'Investigeuro 1/201333912 17/12/2012 ES31/12/2042 SANDO2000/0491 sando 08262 Alcanar Verd, Cítrics i Vivers, S.Leuro 5/200925890 24/08/2009 ES31/12/2039 TANG GOLD2011/1544 uc-2005-760-1 00345 The Regents of the University ofeuro 6/201438924 24/10/2014 US31/12/2044 TANIA 4320074716 avasa pri43 ES934 IVIA / AVASAesp BOE98002667 25/04/2015 ES31/12/2044 TANIA 4420084810 avasa pri-44 ES934 IVIA / AVASAesp BOE98002668 25/04/2015 ES31/12/2044 TANIA 4620084776 avasa-pri 46 ES934 IVIA / AVASAesp BOE98002669 25/04/2015 ES31/12/2044 TANIA 4720084777 avasa-pri 47 ES934 IVIA / AVASAesp BOE98002670 25/04/2015 ES31/12/2044 TANIA 4820084778 avasa-pri 48 ES974 AVASA/IVIAesp BOE98002671 25/04/2015 ES31/12/2044 TANIA 4920084779 avasa-pri 49 ES934 IVIA / AVASAesp BOE98002672 25/04/2015 ES31/12/2044 TDE22003/1086 tde2 00345 The Regents of the University ofeuro 6/201028205 06/09/2010 SHASTA GOLD US31/12/2040 TDE32003/1087 tde3 00345 The Regents of the University ofeuro 6/201028206 06/09/2010 TAHOE GOLD US31/12/2040 TDE42003/1088 tde4 00345 The Regents of the University ofeuro 6/201028207 06/09/2010 YOSEMITE GOLD US31/12/2040 Especie Citrus limon (L.) Burm. f. DenominacióNº Exp. Nom comercial Codi / Titular Butlletí Nº POV Inici Protecció Fi Referència Obtentor / LLIMONER BETERA20024400 IVIA 162 ES1001 IVIA / José Vicente Lloris Cortinaesp 5-2009002430 22/07/2009 BETERA ES31/12/2039 CHAPARRO1999/0864 chaparro 02637/01826/02638 Cons. Medio Ambiente Murcia - Ieuro 3/200821950 10/03/2008 CHAPARRO ES31/12/2038 LIDER DE CALLOSA20024401 ES914 J. Bautista Pérez Sellesesp 1-2014002638 27/12/2013 ES31/12/2043 MILENIUM20155240 Milenium ES925 Francisco Forte Salvadoresp 1-2016002706 13/12/2015 ES31/12/2045 17/04/2016 Pàgina 6 de 74
  • 7.
    DenominacióNº Exp. Nomcomercial Codi / Titular Butlletí Nº POV Inici Protecció Fi Referència Obtentor / Citrus reticulata Blanco × C.sinensis (L.) Osb. Especie Citrus reticulata Blanco × C.sinensis (L.) Osb. DenominacióNº Exp. Nom comercial Codi / Titular Butlletí Nº POV Inici Protecció Fi Referència Obtentor / MANDARINA TANGOR MURINA20064655 ES934 IVIA / AVASAesp BOE98002673 25/04/2015 MURINA ES31/12/2044 TANG GOLD20084821 tango ES977 Eurosemillasesp 1-2014002641 27/12/2013 ES31/12/2043 Especie Citrus sinensis (L.) Osb DenominacióNº Exp. Nom comercial Codi / Titular Butlletí Nº POV Inici Protecció Fi Referència Obtentor / TARONGER DOLÇ BARBERINA19994268 04882 Vicente BARBER PEREZesp 5-2009002461 22/07/2009 BARBERINA ES22/07/2029 BENNY20074752 ES943 CITROGOLDesp BOE98002684 25/04/2015 ZA31/12/2044 CAMBRIA2005/0876 cambria 05084 Stargrow Cultivar Developementeuro 3/201334256 22/04/2013 ZA31/12/2043 CHISLETT SUMMER NAVEL1998/1360 CHISLETT SUMMER NAVEL 02362 Chislett Gregoryeuro 6/200720976 08/10/2007 CHISLETT SUMMER NAVEL AU31/12/2037 GLEN ORA LATE2010/2120 za20063542 07096 Citrogold (PTY) LTD.euro 1/201539139 17/11/2014 ZA31/12/2044 M72008/2490 m 7 07757 CHISLETT DEVELOPMENTS PTeuro 5/201335894 29/07/2013 AU31/12/2043 POWELL SUMMER NAVEL1998/1359 powell summer navel 02360 Agrupación de Viveristas de Agrieuro 1/200820998 17/12/2007 POWEL SUMMER NAVEL ES31/12/2037 RICALATE1995/2568 00699/01157 INIA - IVIAeuro116 3/19971848 10/03/1997 RICALATE ES01/04/2022 ROHDE SUMMER NAVEL1997/0624 rohde summer navel 01630 Sociedade Agricola Viveiros do Feuro 6/200720997 08/10/2007 ROHDE SUMMER NAVEL PT31/12/2037 RUBY VALENCIA2010/2117 ruby valencia 07096 Citrogold (PTY) LTD.euro 1/201642014 23/11/2015 ZA31/12/2045 WITKRANS2011/1608 witkrans 07096 Citrogold (PTY) LTD.euro 1/201539140 17/11/2014 ZA31/12/2044 Especie Citrus sp. (híbrids diversos) DenominacióNº Exp. Nom comercial Codi / Titular Butlletí Nº POV Inici Protecció Fi Referència Obtentor / HÍBRIDS DIVERSOS CLARA2001/0157 a-232 03296 Istituto Sperimentale per l'Agrumieuro 2/200719036 22/01/2007 IT31/12/2037 FORNER ALCAIDE 131999/0865 030113 01826/01157 INIA - IVIAeuro 1/200718679 20/11/2006 FORNER-ALCAIDE 13 ES31/12/2036 FORNER ALCAIDE 312007/1207 030131 01157 IVIA - Institut Valencià d'Investigeuro 6/201336208 23/09/2013 ES31/12/2043 FORNER ALCAIDE 4181997/0512 02418 00699/01157 INIA - IVIAeuro 3/200719646 19/03/2007 FORNER-ALCAIDE 418 ES31/12/2037 FORNER ALCAIDE 4220084811 01157 IVIA - Institut Valencià d'Investigesp 1-2016002721 13/12/2015 ES31/12/2045 FORNER ALCAIDE 51996/0767 03015 00699/01157 INIA - IVIAeuro 5/200515858 18/07/2005 FORNER ALCAIDE 5 ES31/12/2035 FORNER ALCAIDE 5171999/0866 05017 01826/01157 INIA - IVIAeuro 1/200718680 20/11/2006 FORNER-ALCAIDE 517 ES31/12/2036 GOLD NUGGET2001/1347 11d518 00345 The Regents of the University ofeuro 5/200925888 24/08/2009 GOLD NUGGET US31/12/2039 NADORCOTT1995/0726 nadorcott 01662 SARL Nador Cott Protectioneuro116 6/200414111 04/10/2004 NADORCOTT FR31/12/2029 17/04/2016 Pàgina 7 de 74
  • 8.
    DenominacióNº Exp. Nomcomercial Codi / Titular Butlletí Nº POV Inici Protecció Fi Referència Obtentor / Citrus sp. (híbrids diversos) TACLE2001/0156 A-146 03296 Istituto Sperimentale per l'Agrumieuro 2/200719035 22/01/2007 IT31/12/2037 Especie Corylus avellana L. DenominacióNº Exp. Nom comercial Codi / Titular Butlletí Nº POV Inici Protecció Fi Referència Obtentor / AVELLANER ANNYS PURPLE DREAM2005/1830 anny's purple dream 05228 Andre Van Nijnatteneuro 2/200821880 11/02/2008 NL31/12/2038 RED BARON2005/2603 red baron 05286 Ludger Josteuro 4/200822218 05/05/2008 DE31/12/2038 RED MAJESTIC1999/1103 02586 New Variety BVeuro 6/20018210 10/09/2001 RED MAJESTIC NL31/12/2026 Especie Cydonia oblonga Mill DenominacióNº Exp. Nom comercial Codi / Titular Butlletí Nº POV Inici Protecció Fi Referència Obtentor / CODONYER CYDORA ROBUSTA2003/0334 qe 13-38-89 00672 Forschungsanstalt Geisenheimeuro 2/200616769 30/01/2006 DE31/12/2036 ELINE2004/0587 fleuren-1 04595 Henri Fleuren B.V.euro 2/200924093 23/02/2009 NL31/12/2039 EMH2002/0700 qr 193-16 04662 East Malling Research Ltdeuro 4/200720100 21/05/2007 EMH UK31/12/2037 Especie Ficus carica L. DenominacióNº Exp. Nom comercial Codi / Titular Butlletí Nº POV Inici Protecció Fi Referència Obtentor / FIGUERA VIOLETTA1997/0888 01804 Plattner Antoneuro 1/200412325 24/11/2003 DE01/01/2028 Especie Fragaria vesca L. DenominacióNº Exp. Nom comercial Codi / Titular Butlletí Nº POV Inici Protecció Fi Referència Obtentor / MADUIXETA WEITGASSERII L NIVALIS2006/0345 leo alba 05342 Leopold Weitgassereuro 3/200719758 02/04/2007 AT31/12/2032 Especie Fragaria x ananassa Duch. DenominacióNº Exp. Nom comercial Codi / Titular Butlletí Nº POV Inici Protecció Fi Referència Obtentor / MADUIXOT "VICTORY"2011/2352 bg-4315 03131 Berry Genetics Inc. Nelson Steveeuro 2/201436658 27/01/2014 US31/12/2039 ADRIA2003/1797 an94.153.51 02486/02487/02489/0 G. Baruzzi/W. Faedi/B. Mezzetti/euro 3/200719937 16/04/2007 IT31/12/2032 AGUEDILLA2005/1103 aguedilla (1-566) 01155/05118/05117/0 INIA_OTRI/AEViveristas Fresa/Freuro 2/200616921 27/02/2006 AGUEDILLA ES31/12/2031 ALBION2004/1482 cn220 00345 The Regents of the University ofeuro 4/200720099 21/05/2007 ALBION US31/12/2032 ALICE2000/0098 em 726 00010 Horticultural Research Internationeuro 2/200310574 10/02/2003 ALICE BIGI GB31/12/2028 AMANDINE2012/1035 da 47 03794 Darbonne Pepiniere SASeuro 2/201539519 09/02/2015 FR31/12/2040 AMIGA2006/2675 amiga (2-269) 02558/05116/01157/0 Viveros California SLeuro 1/200923764 17/12/2008 ES31/12/2033 ANTEA2005/2560 mle9-34 00127 Consorzio Italiano Vivaistieuro 3/200924363 23/03/2009 IT31/12/2034 ANTILLA FNM2008/1551 a3-10-8 05117 Fresas Nuevos Materialeseuro 2/201026579 25/01/2010 ES31/12/2035 AROMAS1997/1294 cn 209 00345 The Regents of the University ofeuro 5/20006451 03/07/2000 US31/12/2025 17/04/2016 Pàgina 8 de 74
  • 9.
    DenominacióNº Exp. Nomcomercial Codi / Titular Butlletí Nº POV Inici Protecció Fi Referència Obtentor / Fragaria x ananassa Duch. AROSA2001/1474 B1E9-27 00127 Consorzio Italiano Vivaistieuro 2/200514559 24/01/2005 IT31/12/2030 AVA2001/0152 asf 22:07 03292 Angus Soft Fruit East Seaton Fareuro 4/200413335 17/05/2004 UK31/12/2034 AVAROSA2012/1249 asf 126 07182 SUPHACHATWONG INNOVATIeuro 3/201540672 20/04/2015 YH31/12/2040 BBB PO 012010/0820 witte aardbei 07706 BEEKERS BERRIES BREEDINGeuro 3/201334276 04/03/2013 NL31/12/2038 BENICIA2010/2162 c225 00345 The Regents of the University ofeuro 2/201436913 24/02/2014 US31/12/2039 BUDDY2011/2458 emr428 04662 East Malling Research Ltdeuro 3/201540666 20/04/2015 UK31/12/2040 CAMARILLO2002/0747 camarillo 00659 Driscoll Strawberry Associates Ineuro 3/200514771 07/03/2005 US31/12/2030 CAMAROSA1995/1069 camarosa 00345 The Regents of the University ofeuro 3/19971849 10/03/1997 US01/10/2019 CAMINO REAL2002/1566 c213 00345 The Regents of the University ofeuro 3/200514781 07/03/2005 US31/12/2030 CANDISS2006/1088 cf 2559 05433 CIREFeuro 5/200925897 24/08/2009 FR31/12/2039 CAPRI2011/0360 y3s7-80 00127 Consorzio Italiano Vivaistieuro 3/201437428 07/04/2014 IT31/12/2039 CAPRISS2007/1549 cf 3058 05433 CIREFeuro 4/201027831 05/07/2010 FR31/12/2035 CHARLOTTE2001/0815 cf2419 05433 CIREFeuro 4/200413354 17/05/2004 FR31/12/2034 CIFLORETTE1996/1054 CF 864 05433 CIREFeuro 1/19993896 14/12/1998 FR31/12/2023 CIGALINE1996/1055 CF 323 05433 CIREFeuro 5/19972242 10/07/1997 FR31/12/2022 CIGOULETTE1997/1528 cigoulette 01460/05433 C.I.R.E.F./Ciref Création Variétaleuro 6/19983723 05/10/1998 FR31/12/2023 CIJOSEE1997/1529 c.f. 1584 05433 CIREFeuro 1/20028486 03/12/2001 FR31/12/2026 CILOË1996/1052 CF 267 05433 CIREFeuro 1/19993897 14/12/1998 FR31/12/2023 CIR1072012/1269 cf4387 05433 CIREFeuro 3/201540673 20/04/2015 FR31/12/2040 CIRAFINE1997/1533 cf 1590 05433 CIREFeuro 4/20017733 21/05/2001 FR31/12/2026 CIRANO1997/1530 c.f. 758 05433 CIREFeuro 1/20028487 03/12/2001 FR31/12/2026 CIREINE1996/1053 CF 116 05433 CIREFeuro 5/19972241 10/07/1997 FR31/12/2022 CIVKA2000/1000 selezione k2e9-8 00127 Consorzio Italiano Vivaistieuro 2/200310428 20/01/2003 IT31/12/2028 CIVL352001/1475 J9L3-35 00127 Consorzio Italiano Vivaistieuro 4/200413365 17/05/2004 IT31/12/2034 CIVMAD1998/0956 civmad 00127 Consorzio Italiano Vivaistieuro 3/20029005 18/03/2002 IT31/12/2027 CIVRI302002/0339 a 30-2 00127 Consorzio Italiano Vivaistieuro 2/200514561 24/01/2005 IT31/12/2030 CLERY2002/1586 a20-17 00127 Consorzio Italiano Vivaistieuro 2/200616743 31/01/2006 IT31/12/2031 17/04/2016 Pàgina 9 de 74
  • 10.
    DenominacióNº Exp. Nomcomercial Codi / Titular Butlletí Nº POV Inici Protecció Fi Referència Obtentor / Fragaria x ananassa Duch. CORAL2005/1285 al-10-1 05117 Fresas Nuevos Materialeseuro 2/200719242 19/02/2007 CORAL ES31/12/2032 CORDELIA2010/0183 kgem054 05421 KG Growers Ltdeuro 3/201334841 22/04/2013 UK31/12/2038 COSTA COOP20084836 a3544 05117 Fresas Nuevos Materialesesp 1-2011002521 18/01/2011 ES31/12/2035 CRISTAL2007/1257 00.44.194 00132 Plantas de Navarra SAeuro 3/201027263 19/04/2010 ES31/12/2035 CRISTINA2011/1274 an01,211,51 07315 Università Politecnica delle Marceuro 3/201540663 20/04/2015 IT31/12/2040 CUPID2010/2290 em 1395 04662 East Malling Research Ltdeuro 3/201437423 07/04/2014 UK31/12/2039 DAISY2005/1289 da 38 03794 Darbonne Pepiniere SASeuro 2/200616912 27/02/2006 FR31/12/2031 DARLISETTE2005/1286 da 34 03794 Darbonne Pepiniere SASeuro 2/200616909 27/02/2006 FR31/12/2031 DAROYAL2005/1287 da 35 03794 Darbonne Pepiniere SASeuro 2/200616910 27/02/2006 FR31/12/2031 DARSELECT1996/0247 da 20 03794 Darbonne Pepiniere SASeuro 3/19971763 03/03/1997 FR31/12/2022 DELUXE2012/1502 da 46 03794 Darbonne Pepiniere SASeuro 2/201539520 09/02/2015 FR31/12/2040 DELY2011/0363 z6t2-16 00127 Consorzio Italiano Vivaistieuro 3/201437430 07/04/2014 IT31/12/2039 DIAMANTE1997/1295 cn 210 00345 The Regents of the University ofeuro 5/20006452 03/07/2000 US31/12/2025 DIANA2006/1481 da 42 03794 Darbonne Pepiniere SASeuro 2/200821789 28/01/2008 FR31/12/2033 DISSTRAWEIGHT2008/2680 163m88 00659 Driscoll Strawberry Associates Ineuro 2/201231412 23/01/2012 US31/12/2037 DISSTRAWELEVEN2008/2983 280m164 00659 Driscoll Strawberry Associates Ineuro 2/201231415 23/01/2012 US31/12/2037 DISSTRAWNINE2008/2943 273m171 00659 Driscoll Strawberry Associates Ineuro 2/201231413 23/01/2012 US31/12/2037 DISSTRAWSEVEN2008/2679 71/94 00659 Driscoll Strawberry Associates Ineuro 2/201231411 23/01/2012 US31/12/2037 DISSTRAWSIX2008/2678 48/391 00659 Driscoll Strawberry Associates Ineuro 2/201231410 23/01/2012 US31/12/2037 DISSTRAWTEN2008/2944 273M224 00659 Driscoll Strawberry Associates Ineuro 2/201231414 23/01/2012 US31/12/2037 DONNA2006/1482 da 43 03794 Darbonne Pepiniere SASeuro 2/200821790 28/01/2008 FR31/12/2033 DORA2004/2175 vr 96.58.2 06797/01869 CRA - FRFeuro 4/200720065 21/05/2007 IT31/12/2032 DPI RUBYGEM2007/2686 99-194 06097/06099 The State of Queensland - Horticeuro 1/201128595 17/12/2010 AU31/12/2035 DREAM2012/1503 da 50 03794 Darbonne Pepiniere SASeuro 2/201539521 09/02/2015 FR31/12/2040 DRISCOLL ATLANTIS2005/1507 00659 Driscoll Strawberry Associates Ineuro 1/200923754 17/12/2008 US31/12/2033 DRISCOLL BONAIRE2006/0223 driscoll bonaire 00659 Driscoll Strawberry Associates Ineuro 1/200923756 17/12/2008 US31/12/2033 DRISCOLL DESTIN2005/1505 00659 Driscoll Strawberry Associates Ineuro 4/200822301 05/05/2008 US31/12/2033 17/04/2016 Pàgina 10 de 74
  • 11.
    DenominacióNº Exp. Nomcomercial Codi / Titular Butlletí Nº POV Inici Protecció Fi Referència Obtentor / Fragaria x ananassa Duch. DRISCOLL EL DORADO2005/1643 driscoll el dorado 00659 Driscoll Strawberry Associates Ineuro 1/200821582 17/12/2007 US31/12/2032 DRISCOLL JUBILEE2003/1954 driscoll jubilee 00659 Driscoll Strawberry Associates Ineuro 2/200616739 30/01/2006 US31/12/2031 DRISCOLL LANAI2005/0386 driscoll lanai 00659 Driscoll Strawberry Associates Ineuro 1/200821581 17/12/2007 US31/12/2032 DRISCOLL OJAI2006/0224 driscoill ojai 00659 Driscoll Strawberry Associates Ineuro 1/200923757 17/12/2008 US31/12/2033 DRISCOLL OSCEOLA2005/1508 00659 Driscoll Strawberry Associates Ineuro 4/200822302 05/05/2008 US31/12/2033 DRISCOLL SAN JUAN2001/0447 driscoll's san juan 00659 Driscoll Strawberry Associates Ineuro 4/200413344 17/05/2004 US31/12/2034 DRISCOLL SANIBEL2005/1506 00659 Driscoll Strawberry Associates Ineuro 1/200923753 17/12/2008 US31/12/2033 DRISSTRAWEIGHTEEN2011/2255 30n365 00659 Driscoll Strawberry Associates Ineuro 1/201436525 02/12/2013 US31/12/2038 DRISSTRAWFIFTEEN2010/0836 284m225 00659 Driscoll Strawberry Associates Ineuro 3/201334279 04/03/2013 US31/12/2038 DRISSTRAWFIVE2007/2685 drisstrawfive 00659 Driscoll Strawberry Associates Ineuro 4/20113'131 23/05/2011 US31/12/2036 DRISSTRAWFOUR2007/2344 00659 Driscoll Strawberry Associates Ineuro 2/201026564 25/01/2010 US31/12/2035 DRISSTRAWFOURTEEN2010/0835 112n245 00659 Driscoll Strawberry Associates Ineuro 3/201334278 04/03/2013 US31/12/2038 DRISSTRAWNINETEEN2011/2256 17m60 00659 Driscoll Strawberry Associates Ineuro 1/201436526 02/12/2013 US31/12/2038 DRISSTRAWONE2006/2106 drisstrawone 00659 Driscoll Strawberry Associates Ineuro 2/201026539 25/01/2010 US31/12/2035 DRISSTRAWSEVENTEEN2010/1767 574p119 00659 Driscoll Strawberry Associates Ineuro 1/201436520 02/12/2013 US31/12/2038 DRISSTRAWSIXTEEN2010/1142 148m006 00659 Driscoll Strawberry Associates Ineuro 3/201334280 04/03/2013 US31/12/2038 DRISSTRAWTHIRTEEN2009/2134 84n278 00659 Driscoll Strawberry Associates Ineuro 2/201231416 23/01/2012 US31/12/2037 DRISSTRAWTHIRTYTWO2012/1853 quk 214-001 00659 Driscoll Strawberry Associates Ineuro 3/201539826 09/03/2015 US31/12/2040 DRISSTRAWTHITY2012/1580 bgp 100-002 00659 Driscoll Strawberry Associates Ineuro 2/201539551 23/02/2015 US31/12/2040 DRISSTRAWTHREE2007/1949 00659 Driscoll Strawberry Associates Ineuro 2/201026558 25/01/2010 US31/12/2035 DRISSTRAWTWELVE2010/0834 68n201 00659 Driscoll Strawberry Associates Ineuro 3/201334277 04/03/2013 US31/12/2038 DRISSTRAWTWENTY2011/2257 84n235 00659 Driscoll Strawberry Associates Ineuro 1/201436527 02/12/2013 US31/12/2038 DRISSTRAWTWENTYEIGHT2012/1578 123o191 00659 Driscoll Strawberry Associates Ineuro 2/201539550 23/02/2015 US31/12/2040 DRISSTRAWTWENTYFIVE2011/2934 51q235 00659 Driscoll Strawberry Associates Ineuro 2/201539545 23/02/2015 US31/12/2040 DRISSTRAWTWENTYFOUR2011/2933 10q98 00659 Driscoll Strawberry Associates Ineuro 2/201539544 23/02/2015 US31/12/2040 DRISSTRAWTWENTYONE2011/2258 510q89 00659 Driscoll Strawberry Associates Ineuro 1/201436528 02/12/2013 US31/12/2038 DRISSTRAWTWENTYSEVEN2011/2936 46q227 00659 Driscoll Strawberry Associates Ineuro 2/201539547 23/02/2015 US31/12/2040 17/04/2016 Pàgina 11 de 74
  • 12.
    DenominacióNº Exp. Nomcomercial Codi / Titular Butlletí Nº POV Inici Protecció Fi Referència Obtentor / Fragaria x ananassa Duch. DRISSTRAWTWENTYSIX2011/2935 53q19 00659 Driscoll Strawberry Associates Ineuro 2/201539546 23/02/2015 US31/12/2040 DRISSTRAWTWENTYTH2011/2932 5q64 00659 Driscoll Strawberry Associates Ineuro 2/201539543 23/02/2015 US31/12/2040 DRISSTRAWTWO2007/0104 00659 Driscoll Strawberry Associates Ineuro 2/201026540 23/01/2010 US31/12/2035 DURBAN2007/0217 d 371 00984 ABZ Aardbeien uit Zaad B.V.euro 1/200923766 17/12/2008 NL31/12/2033 E2006-2042001/1163 05442 Fresh Foreward Holding B.V.euro 3/201437434 07/04/2014 NL31/12/2039 ELAN1999/1320 w78 00984 ABZ Aardbeien uit Zaad B.V.euro 1/20028499 03/12/2001 NL31/12/2026 ELEGANCE2008/3006 em1276 04662 East Malling Research Ltdeuro 4/201232670 07/05/2012 UK31/12/2037 ELIANNY2006/1761 05554/05322/05323 L. Pieter/G. Theodorus/J. Gerardeuro 3/201026962 22/03/2010 NL31/12/2035 EMR 2862005/0270 emr 286 04662 East Malling Research Ltdeuro 3/200821938 10/03/2008 UK31/12/2023 ENDURANCE1996/0909 PS-592 00743/01203 Plant Sciences - Berry R&Deuro 1/20005354 12/11/1999 US31/12/2024 EROS1995/0576 eros 00010 Horticultural Research Internationeuro116 2/19971672 15/01/1997 GB01/08/2019 EVA2004/2176 vr 97.64.5 06797/01869 CRA - FRFeuro 4/200720066 21/05/2007 IT31/12/2032 EVEREST1996/1492 93c123 00331 Edward Vinson Ltd.euro 1/20005650 20/12/1999 UK31/12/2024 EVES DELIGHT2008/0369 04cf21 00331 Edward Vinson Ltd.euro 4/201130139 23/05/2011 UK31/12/2036 EVIE 22001/1918 98 n 105 00331 Edward Vinson Ltd.euro 3/200514770 07/03/2005 UK31/12/2030 F622011/2459 f62 04662 East Malling Research Ltdeuro 3/201540667 20/04/2015 UK31/12/2040 FAVORI2011/1346 04-75-01 09076 FLEVO BERRY HOLDING B.V.euro 3/201437436 07/04/2014 NL31/12/2039 FELICITA2011/1345 06-24-05 09076 FLEVO BERRY HOLDING B.V.euro 3/201437435 07/04/2014 NL31/12/2039 FIGARO2002/1283 0101 05442 Fresh Foreward Holding B.V.euro 2/200616742 30/01/2006 NL31/12/2031 FINESSE2009/0629 emr 346 04662 East Malling Research Ltdeuro 3/201334833 22/04/2013 UK31/12/2038 FLAIR2007/1367 03-08-01 09076 FLEVO BERRY HOLDING B.V.euro 3/201026955 22/03/2010 NL31/12/2035 FLAMENCO2001/1699 emr154 00010 Horticultural Research Internationeuro 3/200514769 07/03/2005 GB31/12/2030 FLORENCE1998/0278 em 372 00010 Horticultural Research Internationeuro 3/20017386 05/03/2001 GB31/12/2026 FLORIANTE2007/1366 02-102-06 09076 FLEVO BERRY HOLDING B.V.euro 5/201130561 25/07/2011 NL31/12/2041 FLORIDA ELYANA2008/1253 fl 00-51 00669 Florida Foundation Seed Produceeuro 1/201128651 17/12/2010 US31/12/2035 FLORIDA FESTIVAL2002/1187 95-41 00669 Florida Foundation Seed Produceeuro 3/200514775 07/03/2005 US31/12/2030 FLORIN2005/1337 99a35 09076 FLEVO BERRY HOLDING B.V.euro 3/200821947 10/03/2008 NL31/12/2023 17/04/2016 Pàgina 12 de 74
  • 13.
    DenominacióNº Exp. Nomcomercial Codi / Titular Butlletí Nº POV Inici Protecció Fi Referència Obtentor / Fragaria x ananassa Duch. FLORIN FLORENTINA2011/1344 06-95-06 09076 FLEVO BERRY HOLDING B.V.euro 3/201540665 20/04/2015 NL31/12/2040 FRENELLA2008/3005 em1308 04662 East Malling Research Ltdeuro 4/201232669 07/05/2012 UK31/12/2037 FRISAN2011/0157 j 234 00984 ABZ Aardbeien uit Zaad B.V.euro 3/201437425 07/04/2014 NL31/12/2039 FRUGODI2006/1190 01644 Promo Fruit Ag.euro 2/201026536 25/01/2010 CH31/12/2035 FUENTEPINA2009/0750 fuentepina (1823-1) 01155/01157/05116/0 Ortega Alcalá, Mª Victoria/IVIA/IFeuro 2/201026586 25/01/2010 ES31/12/2035 GALEXIA2003/0090 cal giant 5 01391 New West Fruit Corporationeuro 2/200616736 30/01/2006 US31/12/2031 GALIACIV2005/2559 bia6-5 00127 Consorzio Italiano Vivaistieuro 3/200924362 23/03/2009 IT31/12/2034 GARDA2012/1671 vr 02.312.02 06797/07766/07767/0 CRA - FRF/ISF della Provincia dieuro 2/201539567 23/02/2015 IT31/12/2040 GASANA2009/2386 g 130 00984 ABZ Aardbeien uit Zaad B.V.euro 3/201334838 22/04/2013 NL31/12/2038 GOLAN2009/2148 g 393 00984 ABZ Aardbeien uit Zaad B.V.euro 3/201334835 22/04/2013 NL31/12/2038 GRANDAROSA2013/1695 t-03021-12 07220 INSTYTUT OGRODNICTWA (INeuro 2/201539554 23/02/2015 PL31/12/2040 GUSTINE2009/1523 gustine 06728 Jocelyn Guilloteaueuro 3/201334834 22/04/2013 FR31/12/2038 HADAS1997/0643 hadas 01007 Ministry of Agriculture Agriculturaleuro 5/20006445 03/07/2000 IL31/12/2025 HERUT2005/0452 herut 01306 Agricultural Research Organisatieuro 1/200821583 17/12/2007 IL31/12/2032 HOBDOEL1999/1817 hobdoel 00258 Hõberli Obst-und Beerenzentrumeuro 2/200310425 20/01/2003 CH31/12/2028 HOBOTTRECE1999/1816 hobottrece 00258 Hõberli Obst-und Beerenzentrumeuro 2/200310424 20/01/2003 CH31/12/2028 HOBTHURMARDU2003/0136 hobthurmardu 00258 Hõberli Obst-und Beerenzentrumeuro 2/200616752 30/01/2006 CH31/12/2031 HOBTHURMARSEI2003/0140 hobthurmarsei 00258 Hõberli Obst-und Beerenzentrumeuro 2/200616756 30/01/2006 CH31/12/2031 HOBTHURMARTRE2003/0137 hobthurmartre 00258 Hõberli Obst-und Beerenzentrumeuro 2/200616753 30/01/2006 CH31/12/2031 HONOR2001/1342 bg-633 03131 Berry Genetics Inc. Nelson Steveeuro 4/200413364 17/05/2004 HONOR US31/12/2034 IRMA2003/1828 vr 95.42.03 06797/01869 CRA - FRFeuro 2/200616762 30/01/2006 IT31/12/2031 ISCHIA2011/0358 s7v9-9 00127 Consorzio Italiano Vivaistieuro 3/201437426 07/04/2014 IT31/12/2039 JIVE2001/1162 e2006-203 05442 Fresh Foreward Holding B.V.euro 3/201437433 07/04/2014 NL31/12/2039 JOLY2011/0362 z6t2-3 00127 Consorzio Italiano Vivaistieuro 3/201437429 07/04/2014 IT31/12/2039 JUDIBELL2005/0269 em 965 04662 East Malling Research Ltdeuro 3/200821937 10/03/2008 UK31/12/2023 JULINE2009/1717 julia 06760 Julius Kühn Instituteuro 5/201335896 29/07/2013 DE31/12/2038 KAMILA2009/0625 u9v2-10 00127 Consorzio Italiano Vivaistieuro 2/201231419 23/01/2012 IT31/12/2037 17/04/2016 Pàgina 13 de 74
  • 14.
    DenominacióNº Exp. Nomcomercial Codi / Titular Butlletí Nº POV Inici Protecció Fi Referència Obtentor / Fragaria x ananassa Duch. KIMBERLY1996/0776 93/94 01400 Konings Planteuro 4/19994566 03/05/1999 NL31/12/2024 LAMBADA1995/0661 lambada 06983 Stichting Dienst Landbouwkundigeuro116 5/1996365 02/08/1996 NL01/03/2017 LIA2006/0362 96.62.10 06797/01869 CRA - FRFeuro 1/200923762 17/12/2008 IT31/12/2033 LIBERTY2011/2351 bg-4315 03131 Berry Genetics Inc. Nelson Steveeuro 1/201436529 02/12/2013 US31/12/2038 LINOSA2011/0359 y4s7-4 00127 Consorzio Italiano Vivaistieuro 3/201437427 07/04/2014 IT31/12/2039 LORETTE2011/1650 cf4027 05433 CIREFeuro 4/201438307 16/06/2014 FR31/12/2039 LUCY2009/0073 em931 04662 East Malling Research Ltdeuro 4/201232752 21/05/2012 UK31/12/2037 MA 482006/0405 ma 48 00718 Marionnet Jacques Gfaeuro 5/200925896 24/08/2009 FR31/12/2039 MA 652009/2155 ma 65 00718 Marionnet Jacques Gfaeuro 3/201334836 22/04/2013 FR31/12/2038 MA 947312005/1031 ma 94731 00718 Marionnet Jacques Gfaeuro 2/200616777 30/01/2006 FR31/12/2031 MALLING CENTENARY NARY 2012/1246 em 1764 04662 East Malling Research Ltdeuro 3/201540671 20/04/2015 UK31/12/2040 MALWINA2006/0617 ps.01-s4 02264 Stoppel, Petereuro 3/200924376 23/03/2009 DE31/12/2034 MARGHERITA2012/1378 ad 09 006 07031 Nova Siri Genetics SNC di Tufareuro 2/201539549 23/02/2015 IT31/12/2040 MARISOL2012/1377 ad 08 069 07031 Nova Siri Genetics SNC di Tufareuro 2/201539548 23/02/2015 IT31/12/2040 MARVEL2009/1144 pe-1205 00743/01203 Plant Sciences - Berry R&DEURO 2/201231420 23/01/2012 US31/12/2037 MATIS2003/0122 ma31 00718 Marionnet Jacques Gfaeuro 2/200616918 27/02/2006 FR31/12/2031 MERIT2011/0145 ps-1220 00743/01203 Plant Sciences - Berry R&Deuro 3/201334282 04/03/2013 US31/12/2038 MERLAN2008/1805 f 125 00984 ABZ Aardbeien uit Zaad B.V.euro 4/201130148 23/05/2011 NL31/12/2036 MIEZE NOVA2006/1244 mieze nova 05496 Dr. Barbara Datheeuro 2/200719042 22/01/2007 DE31/12/2032 MOJAVE2010/2163 c227 00345 The Regents of the University ofeuro 1/201436521 02/12/2013 US31/12/2038 MONTEREY2008/1506 cn222 00345 The Regents of the University ofeuro 1/201128655 17/12/2010 US31/12/2035 NABILA2011/0357 w6y1-10 00127 Consorzio Italiano Vivaistieuro 2/201436657 27/01/2014 IT31/12/2039 NERINA2008/0737 smpg 90/4/1 08798 IPRONA AGeuro 2/201128873 07/02/2011 IT31/12/2026 NF 1372010/0149 nf 137 02237 New Fruits S.A.S. di Raggi Giordeuro 3/201334840 22/04/2013 IT31/12/2038 NF2052001/0138 new-f.205 02237 New Fruits S.A.S. di Raggi Giordeuro 2/200514557 24/01/2005 IT31/12/2030 NF3112002/1936 nf311 02237 New Fruits S.A.S. di Raggi Giordeuro 2/200616744 30/01/2006 IT31/12/2031 NF4212006/1373 nf421 02237 New Fruits S.A.S. di Raggi Giordeuro 1/200923759 17/12/2008 IT31/12/2033 17/04/2016 Pàgina 14 de 74
  • 15.
    DenominacióNº Exp. Nomcomercial Codi / Titular Butlletí Nº POV Inici Protecció Fi Referència Obtentor / Fragaria x ananassa Duch. NIEBLA FNM2010/1329 a4-04-4 05117 Fresas Nuevos Materialeseuro 1/201231261 19/12/2011 ES31/12/2026 NIEVA FNM2013/2248 a9-84n-2 05117 Fresas Nuevos Materialeseuro 2/201642317 25/01/2016 ES31/12/2041 NIEVA FNM20125032 A9-84N-2 ES924 Fresas Nuevos Materialesesp BOE98002660 25/04/2015 ES31/12/2039 ONDA1999/0014 89.232.14 01869 ALMA MATER STUDIORUM-UNIeuro 2/20028885 18/02/2002 IT31/12/2027 ONEBOR1995/1093 00127 Consorzio Italiano Vivaistieuro116 1/19971119 15/10/1996 IT01/11/2016 ORLY2007/2766 orly 08497 AGREXCO CARMEL AGRICULTeuro 2/201231409 23/01/2012 IL31/12/2037 PALOMAR2007/1465 c221 00345 The Regents of the University ofeuro 2/201026557 25/01/2010 US31/12/2035 PATTY1999/1570 91.290.2 01869 ALMA MATER STUDIORUM-UNIeuro 2/20028889 18/02/2002 PATIENCE IT31/12/2027 PINK EXTARA2012/0973 99j1 09076 FLEVO BERRY HOLDING B.V.euro 3/201540670 20/04/2015 NL31/12/2040 PINK ROSA2013/1696 t-04052-06 07220 INSTYTUT OGRODNICTWA (INeuro 2/201642546 22/02/2016 PL31/12/2041 PIRCINQUE2010/0648 04.228.5 06797/06944 CRA - AZIENDA PIRACCINI SEeuro 4/201335654 17/06/2013 IT31/12/2038 PORTOLA2008/1505 cn224 00345 The Regents of the University ofeuro 1/201128654 17/12/2010 US31/12/2035 PREMIER2008/2152 pe-1209 00743/01203 Plant Sciences - Berry R&Deuro 1/201128676 17/12/2010 US31/12/2035 PRIMORIS FNM2008/1552 a3-54-1 05117 Fresas Nuevos Materialeseuro 2/201026580 25/01/2010 ES31/12/2035 PS92712010/1332 ps-9271 00743/01203 Plant Sciences - Berry R&Deuro 3/201334281 04/03/2013 US31/12/2038 QUEEN ELISA2003/1550 94.568.2 06797/01869 CRA - FRFeuro 2/200616761 30/01/2006 IT31/12/2031 RABIDA FNM20125031 A8-16-2 ES924 Fresas Nuevos Materialesesp BOE98002661 25/04/2015 ES31/12/2039 RABIDA FNM2013/2247 a8-16-2 05117 Fresas Nuevos Materialeseuro 2/201642316 25/01/2016 ES31/12/2041 RANIA2011/0361 w6y1-8 00127 Consorzio Italiano Vivaistieuro 1/201436524 02/12/2013 IT31/12/2038 RINA1999/0872 VI 01-98 05221 Vissers International B.V.euro 5/20029930 12/08/2002 NL31/12/2027 ROMINA2011/1275 an99,78,51 07315 Università Politecnica delle Marceuro 3/201540664 20/04/2015 IT31/12/2040 ROTEMI2008/2801 rotemi 06485 Efraim Yosefeuro 2/201231417 23/01/2012 IL31/12/2037 RUBIA2003/1573 rubia 04362 Putfarken Jocheneuro 3/200413032 05/04/2004 DE31/12/2034 RUBIS DES JARDINS2009/1204 cf 3453 05433 CIREFeuro 6/201233540 08/10/2012 FR31/12/2037 RUMBA2007/1279 ff 0601 05442 Fresh Foreward Holding B.V.euro 3/201129531 18/04/2011 NL31/12/2036 SABRINA2009/1037 03.40.181 00132 Plantas de Navarra SAEURO 6/201130939 19/09/2011 ES31/12/2036 SABROSA2001/1516 97.10.030 00132 Plantas de Navarra SAeuro 5/200413795 19/07/2004 ES31/12/2029 17/04/2016 Pàgina 15 de 74
  • 16.
    DenominacióNº Exp. Nomcomercial Codi / Titular Butlletí Nº POV Inici Protecció Fi Referència Obtentor / Fragaria x ananassa Duch. SAHARA2012/1505 06.43h.79 00132 Plantas de Navarra SAeuro 2/201539523 09/02/2015 ES31/12/2040 SAINT PIERRE2001/0155 sj89264-6 03295 Agriculture and Agri-Food Canadeuro 4/200413338 17/05/2004 CA31/12/2034 SALSA2001/1214 pri 9803 05442 Fresh Foreward Holding B.V.euro 5/200516102 17/08/2005 NL31/12/2030 SAN ANDREAS2008/1504 cn223 00345 The Regents of the University ofeuro 1/201128653 17/12/2010 US31/12/2035 SAN MIGUEL1997/0626 san miguel 00659 Driscoll Strawberry Associates Ineuro 2/20028874 18/02/2002 US31/12/2027 SARICA2009/2372 so-f-05-55-3 05972 Sant'Orsola Societa' Cooperativaeuro 3/201334275 04/03/2013 IT31/12/2038 SASHA2008/0029 em 1159 04662 East Malling Research Ltdeuro 3/201129533 18/04/2011 UK31/12/2036 SHAKED2008/2802 shaked 06485 Efraim Yosefeuro 2/201231418 23/01/2012 IL31/12/2037 SIABELLE1998/1326 89.x1.25.2 03925 ATYS SAeuro 1/20017188 18/12/2000 FR31/12/2025 SIBA2007/0329 q6q8-24 00127 Consorzio Italiano Vivaistieuro 2/201026542 25/01/2010 IT31/12/2035 SIRIS2010/1411 aa 07 488 07031 Nova Siri Genetics SNC di Tufareuro 3/201334843 22/04/2013 IT31/12/2038 SONATA2001/1215 pri 9802 05442 Fresh Foreward Holding B.V.euro 3/200514768 07/03/2005 NL31/12/2030 SOPHIE1998/0277 em 341 00010 Horticultural Research Internationeuro 3/20017385 05/03/2001 GB31/12/2026 SPLENDOR2005/0799 bg-959 03131 Berry Genetics Inc. Nelson Steveeuro 1/200821584 17/12/2007 US31/12/2032 STARLETTE2012/1504 da 52 03794 Darbonne Pepiniere SASeuro 2/201539522 09/02/2015 FR31/12/2040 SUZANA2001/0153 853 03844/04056 Gyo International Inc.- Redeva Lteuro 4/200413336 17/05/2004 OS31/12/2029 SVEVA2003/1796 an93.371.58 02486/02487/02489/0 G. Baruzzi/W. Faedi/B. Mezzetti/euro 3/200719936 16/04/2007 IT31/12/2032 SWEET ANN2010/2286 16f29 07133/07134 Jimmy Haig / Lassen Canyon Nureuro 4/201335520 03/06/2013 US31/12/2038 SWEET CHARLIE1995/2003 00669 Florida Foundation Seed Produceeuro116 1/19982553 14/11/1997 US01/12/2017 SWEET EVE2008/0368 04aa22 00331 Edward Vinson Ltd.euro 4/201130138 23/05/2011 UK31/12/2036 SWEETHEART2010/0912 em 1148 04662 East Malling Research Ltdeuro 3/201334842 22/04/2013 UK31/12/2038 SYMPHONY1995/1348 symphony 07377 James Hutton Instituteeuro 2/19971713 17/02/1997 UK31/12/2022 TAMAR1996/0282 01007 Ministry of Agriculture Agriculturaleuro 5/20006447 03/07/2000 IL31/12/2025 TARDA1996/0428 9401 05221 Vissers International B.V.euro 4/19994564 03/05/1999 NL31/12/2024 TECLA2009/1203 00.92.4 06797/01869 CRA - FRFeuro 4/201232754 21/05/2012 IT31/12/2037 TETHIS1995/0365 tethis 01160 Vissers Aardbeiplanten B.V.euro 4/19994558 03/05/1999 NL31/12/2024 THULANA1999/0461 thulana 00258 Hõberli Obst-und Beerenzentrumeuro 2/20028895 18/02/2002 HONOR CH31/12/2027 17/04/2016 Pàgina 16 de 74
  • 17.
    DenominacióNº Exp. Nomcomercial Codi / Titular Butlletí Nº POV Inici Protecció Fi Referència Obtentor / Fragaria x ananassa Duch. TOSCANA2011/0156 h 231 00984 ABZ Aardbeien uit Zaad B.V.euro 3/201437424 07/04/2014 NL31/12/2039 TRISTAN2009/2419 g 193 00984 ABZ Aardbeien uit Zaad B.V.euro 3/201334839 22/04/2013 NL31/12/2038 VALERY1999/0987 94/492 01400 Konings Planteuro 3/20029008 18/03/2002 NL31/12/2027 VALOR2008/1795 pe-1207 00743/01203 Plant Sciences - Berry R&Deuro 1/201128663 17/12/2010 US31/12/2035 VENTANA2002/1565 c216 00345 The Regents of the University ofeuro 3/200514780 07/03/2005 US31/12/2030 VERITY2011/2742 06hn43 00331 Edward Vinson Ltd.euro 3/201540668 20/04/2015 UK31/12/2040 VIBRANT2010/1429 em 1119 04662 East Malling Research Ltdeuro 3/201437422 07/04/2014 UK31/12/2039 VIKTORIANA2008/0874 em 1125 04662 East Malling Research Ltdeuro 3/201129537 18/04/2011 UK31/12/2036 VIRTUE2005/1829 bg-1975 03131 Berry Genetics Inc. Nelson Steveeuro 1/200923758 17/12/2008 US31/12/2033 VIVA PATRICIA2008/2790 s05vs38 00331 Edward Vinson Ltd.euro 2/201231368 23/01/2012 UK31/12/2037 VIVALDI2001/1161 e2005-075 05442 Fresh Foreward Holding B.V.euro 3/201540662 20/04/2015 NL31/12/2040 VOLTAMIR2008/2105 73 01306 Agricultural Research Organisatieuro 1/201128670 17/12/2010 IL31/12/2035 WENDY2011/0398 k98-6 07237 Agriculture and Agri-Food Canadeuro 3/201437431 07/04/2014 CA31/12/2039 XIMA2001/0011 vi 02-99 05221 Vissers International B.V.euro 4/200413334 17/05/2004 NL31/12/2029 YAMASKA2001/0154 SJ89700/1 03295 Agriculture and Agri-Food Canadeuro 4/200413337 17/05/2004 CA31/12/2029 ZANTA1996/0427 9402 05221 Vissers International B.V.euro 4/19994672 21/06/1999 NL31/12/2024 Especie Fragaria x Potentilla DenominacióNº Exp. Nom comercial Codi / Titular Butlletí Nº POV Inici Protecció Fi Referència Obtentor / MADUIXA SAMBA1995/2732 Prisma I 00256 Prisma Stauden & Jungpflanzeneuro 6/19983428 07/09/1998 DE31/12/2023 Especie Humulus lupulus L. DenominacióNº Exp. Nom comercial Codi / Titular Butlletí Nº POV Inici Protecció Fi Referència Obtentor / LLÚPOL ADHA042006/1858 ad24-002 05571 American Dwarf Hop Associationeuro 3/201129404 04/04/2011 US31/12/2041 ADMIRAL1996/0036 RH40 06316 WYE HOPS LIMITEDeuro 1/19971436 16/12/2006 UK31/12/2021 APOLLO2007/0305 apollo 05731 S.S. Steiner Inceuro 2/201231322 23/01/2012 US31/12/2042 ARAMIS2011/0863 p05-9 07285 Comptoir Agricole d'Achat et deeuro 3/201539876 23/03/2015 FR31/12/2045 BOADICEA2004/0987 or423 06316 WYE HOPS LIMITEDeuro 5/200823382 25/08/2008 UK31/12/2038 BRAVO2007/0304 bravo 05731 S.S. Steiner Inceuro 2/201231321 23/01/2012 US31/12/2042 COLUMBUS1998/1576 9/17 03368 Joh. Barth & Sohn Gmbh & Co. Keuro 6/200311647 08/09/2003 DE31/12/2028 17/04/2016 Pàgina 17 de 74
  • 18.
    DenominacióNº Exp. Nomcomercial Codi / Titular Butlletí Nº POV Inici Protecció Fi Referència Obtentor / Humulus lupulus L. FIRST GOLD1996/0040 S4 06316 WYE HOPS LIMITEDeuro 1/19971440 16/12/1996 UK31/12/2021 HERKULES2003/2434 95/94/816 05548 Hopfenverwertungsgenossenchafeuro 3/200617203 27/03/2006 DE31/12/2036 HU ZH APA 12005/2387 2003/040/733 04498 Gesellschaft fur Hopfenforschungeuro 4/200822525 19/05/2008 DE31/12/2033 MANDARINA BAVARIA2011/3145 2007/018/013 04498 Gesellschaft fur Hopfenforschungeuro 3/201539877 23/03/2015 DE31/12/2045 PILGRIM2001/0826 P38 06316 WYE HOPS LIMITEDeuro 2/200615371 27/02/2006 UK31/12/2036 PILOT2001/0825 s24 06316 WYE HOPS LIMITEDeuro 2/200615370 27/02/2006 UK31/12/2036 PIONEER1996/0038 W10 06316 WYE HOPS LIMITEDeuro 1/19971438 16/12/1996 UK31/12/2021 POLARIS2010/2873 2000/109/728 04498 Gesellschaft fur Hopfenforschungeuro 3/201437544 22/04/2014 DE31/12/2044 RELAX2008/0127 97/25/7 05053 Martin BAUER GMBH & CO KGeuro 3/201129407 04/04/2011 DE31/12/2041 SOVEREIGN2006/1106 50/95/33 06316 WYE HOPS LIMITEDeuro 3/201026966 22/03/2010 UK31/12/2035 STYRIAN GOLD2010/0605 31/299 06942 SLOVENIAN INSTITUTE OF HOeuro 3/201437543 22/04/2014 SI31/12/2044 SUPGALENA2007/0303 super galena 05731 S.S. Steiner Inceuro 2/201231320 23/01/2012 US31/12/2042 VGXP012006/0417 vgxp01 05352/05353/05354 P Gamacge-B Gamache-S Gameuro 3/201129404 04/04/2011 US31/12/2041 Especie Juglans L. (forestal) DenominacióNº Exp. Nom comercial Codi / Titular Butlletí Nº POV Inici Protecció Fi Referència Obtentor / NOGUERA PER FUSTA NAT 11 BN20054604 eurowalnut a-11 E1001 Bosques Naturales SAesp 1-2016002718 13/12/2015 ES31/12/2045 NAT 9 BN20054606 eurowalnut c-09 E1001 Bosques Naturales SAesp 1-2016002719 13/12/2015 ES31/12/2045 Especie Juglans nigra L. DenominacióNº Exp. Nom comercial Codi / Titular Butlletí Nº POV Inici Protecció Fi Referència Obtentor / NOGUERA NEGRA BEINEKE 12003/0938 beineke 1 04233 American Forestry Technologieseuro 3/201334887 22/04/2013 US31/12/2043 BEINEKE 102003/0946 beineke 10 04233 American Forestry Technologieseuro 4/201438055 19/05/2014 US31/12/2044 BEINEKE 22003/0939 beineke 2 04233 American Forestry Technologieseuro 4/201438052 19/05/2014 US31/12/2044 BEINEKE 32003/0940 beineke 3 04233 American Forestry Technologieseuro 6/201438973 20/10/2014 US31/12/2044 BEINEKE 42003/0941 beineke 4 04233 American Forestry Technologieseuro 6/201438974 20/10/2014 US31/12/2044 BEINEKE 52003/0942 beineke 5 04233 American Forestry Technologieseuro 3/201334888 22/04/2013 US31/12/2043 BEINEKE 62003/0947 beineke 6 04233 American Forestry Technologieseuro 4/201438056 19/05/2014 US31/12/2044 BEINEKE 72003/0943 beineke 7 04233 American Forestry Technologieseuro 4/201438053 19/05/2014 US31/12/2044 BEINEKE 82003/0944 beineke 8 04233 American Forestry Technologieseuro 6/201438975 20/10/2014 US31/12/2044 17/04/2016 Pàgina 18 de 74
  • 19.
    DenominacióNº Exp. Nomcomercial Codi / Titular Butlletí Nº POV Inici Protecció Fi Referència Obtentor / Juglans nigra L. BEINEKE 92003/0945 beineke 9 04233 American Forestry Technologieseuro 4/201438054 19/05/2014 US31/12/2044 Especie Juglans regia L. DenominacióNº Exp. Nom comercial Codi / Titular Butlletí Nº POV Inici Protecció Fi Referència Obtentor / NOGUERA FERNETTE1995/3060 Fernette 00689 INRA-Institut National de la Recheuro 6/19972404 01/09/1997 FERNETTE FR31/12/2017 Especie Malus domestica Borkh. DenominacióNº Exp. Nom comercial Codi / Titular Butlletí Nº POV Inici Protecció Fi Referència Obtentor / POMERA 1400 KE2002/0286 1400 ke 03768 Feno SRLeuro 4/200720092 21/05/2007 IT31/12/2037 8S60232010/0112 8s6023 05973 Agriculture et Agroalimentaire Caeuro 6/201438868 08/09/2014 CA31/12/2044 ADMIRAL2008/2981 ueb 3824/1 00700 Institut Für Experimentelle Botanieuro 2/201231550 20/02/2012 CZ31/12/2042 AHRISTA1997/1488 ahrista 01950 Artus Group Marketinggesellschaeuro 3/19994257 06/04/1999 DE31/12/2029 ALMAGOLD2008/2498 golden 39 01758 Istituto Sperimentale per la Fruttieuro 4/201438355 16/06/2014 IT31/12/2044 AMBRO2000/1636 ambro 03073 Stichting Vermeerderingstuineneuro 4/20017809 11/06/2001 NL31/12/2031 AMBROSIA2001/0705 ambrosia 03420/03421 Mennell, S - Mennell, Weuro 4/200413616 21/06/2004 AMBROSIA CA31/12/2034 AMETYST2005/0308 ueb 2650/2 04283 Institute of Experimental Botanyeuro 2/200616764 30/01/2006 CZ31/12/2036 ANNAGLO1998/1093 annglo 02275 The Wislang Family Trusteuro 6/200311961 20/10/2003 SÉLECTA - ANNAGLO NZ31/12/2033 ARIANE2003/0273 x6407 00689 INRA-Institut National de la Recheuro 3/200413108 19/04/2004 ARIANE FR31/12/2034 ARIWA1999/0704 ariwa 02600 Eidg. Forschunganstalt für Obs-euro 3/20017498 09/04/2001 CH31/12/2031 AW 1062010/1888 aw 106 07079 Land Rheinland-Pfalzeuro 6/201130893 10/10/2011 DE31/12/2041 AZTEC2001/0014 aztec 03269 Austin Orchards Ltd David Austineuro 6/200720814 08/10/2007 ZHEN* NZ31/12/2037 AZUFU2000/1745 azu-fu 03017 NV GEEFAeuro 4/200720382 18/06/2007 BE31/12/2037 B3F442009/2503 22 / 4 / 53 04627 Better3Fruit NVeuro 3/201437720 22/04/2014 BE31/12/2044 B3F452009/2504 22 / 3 / 290 04627 Better3Fruit NVeuro 3/201437721 22/04/2014 BE31/12/2044 BAIGENT1995/1097 RIMA 00640 Brookfield New Zealand Limitedeuro 5/20017951 06/08/2001 BROOKFIELD* GALA NZ31/12/2031 BAY 34842009/1111 bay 3484 06685 Michael NeumüllerEURO 3/201437194 24/03/2014 DE31/12/2044 BEL-EL1995/2098 00298 Jomobel N. V. - Morren-de Costeeuro116 1/19971541 16/12/1996 RED ELSWOUT BE01/01/2022 BELGICA2000/1677 belgica 03184 Moors Jeaneuro 3/200412892 22/03/2004 BE31/12/2034 BELLIDA1995/0664 bellida 06983 Stichting Dienst Landbouwkundigeuro 6/1996605 02/08/1996 NL01/09/2026 BERLEIS2009/0580 berleis 06605 Mathias Markleuro 2/201026590 25/01/2010 DE31/12/2040 17/04/2016 Pàgina 19 de 74
  • 20.
    DenominacióNº Exp. Nomcomercial Codi / Titular Butlletí Nº POV Inici Protecció Fi Referència Obtentor / Malus domestica Borkh. BIELAAR1995/0536 bielaar 02002 Van Laar H.J.M.euro116 5/1996418 02/08/1996 NL01/12/2021 BIGIGALAPRIM2002/1571 bigigalaprim 06828 Top Plant Vivai Societa Agricolaeuro 4/200720350 18/06/2007 EARLY RED GALA IT31/12/2037 BRAECEST1998/1659 br 13/11-7 02452 Earl des Sources (Cestier Henri eeuro 2/20028883 18/02/2002 BRAESUN* FR31/12/2032 BRINA1999/0867 brina 01758 Istituto Sperimentale per la Fruttieuro 4/200413611 21/06/2004 IT31/12/2034 BRUGGERS FESTIVALE2000/1304 bruggers festivale 03119 Brugger, Alfredeuro 2/200616735 30/01/2006 DE31/12/2036 CACTUS2006/2164 ueb 3137/1 00700 Institut Für Experimentelle Botanieuro 4/201130092 23/05/2011 CZ31/12/2041 CATARINA2002/0208 epagri 402 03483 Epagrieuro 5/200823136 07/07/2008 BR31/12/2038 CAUDLE1996/0053 00880 Caudle apple inceuro 6/20006786 16/10/2000 CAMEO US31/12/2030 CAUFLIGHT2005/2054 noue 0001 02610 Pépinières du Valoiseuro 5/201130554 25/07/2011 CAUFLIGHT FR31/12/2041 CAURED1999/1298 noue 9987 01119 Pépinières du Valoiseuro 6/200516183 12/09/2005 FR31/12/2035 CH 1012012/0243 galiwa 07560 AGROSCOPE CHANGINS-WADeuro 2/201539518 09/02/2015 CH31/12/2045 CHRISTMAS PIPPIN2010/1572 fpm/rowm5 02278 Frank P Matthews Ltdeuro 4/201541123 08/06/2015 UK31/12/2045 CIV NIRED B2009/0688 mu-st 00127 Consorzio Italiano Vivaistieuro 4/201438309 16/06/2014 IT31/12/2044 CIVG1982005/0312 g-198 00127 Consorzio Italiano Vivaistieuro 5/200823149 07/07/2008 MODI IT31/12/2038 CIVINI2000/1892 vni-185 00127 Consorzio Italiano Vivaistieuro 6/200516186 12/09/2005 IT31/12/2035 CIVNIRED S2009/0687 mu-bz 00127 Consorzio Italiano Vivaistieuro 4/201541119 08/06/2015 IT31/12/2045 COLLINA2001/1711 collina 03634 V.O.F. VANDEWALLeuro 5/200618136 17/07/2006 NL31/12/2036 COOP 332008/0610 coop 33 00751 Purdue Research Foundationeuro 1/201333813 19/11/2012 US31/12/2042 COOP 381995/2901 coop38 00751 Purdue Research Foundationeuro 5/20017952 06/08/2001 GOLDRUSH* US31/12/2031 COOP 392005/0057 coop 39 00751 Purdue Research Foundationeuro 6/200823533 13/10/2008 CRIMSON CRISP* US31/12/2038 COOP431999/0129 coop-43 00751 Purdue Research Foundationeuro 3/200413110 19/04/2004 JULIET US31/12/2034 COX LA VERA1996/0641 Cox la vera 07091 Erven P.G. Vroemeneuro 1/20005557 20/12/1999 NL31/12/2029 COXCOLUMNARIA2010/0060 coxcolumnaria 05496 Dr. Barbara Datheeuro 2/201231438 06/02/2012 DE31/12/2042 COXDWARF2008/2791 coxdwarf 05496 Dr. Barbara Datheeuro 2/201128890 07/02/2011 DE31/12/2041 CRIPPS PINK1995/1039 Cripps Pink 00655 Department of Agriculture Westweuro116 2/19971640 15/01/1997 PINK LADY AU01/08/2022 CRIPPS RED1995/1040 cripps red 00655 Department of Agriculture Westweuro 6/19983425 07/09/1998 SUNDOWNER AU31/12/2023 CRISTIA2001/0909 epagri 406 03483 Epagrieuro 3/201129115 07/03/2011 BR31/12/2041 17/04/2016 Pàgina 20 de 74
  • 21.
    DenominacióNº Exp. Nomcomercial Codi / Titular Butlletí Nº POV Inici Protecció Fi Referència Obtentor / Malus domestica Borkh. DALICLASS2008/1255 hy47-3 00303 SNC Elariseuro 1/201333814 19/11/2012 FR31/12/2042 DALILIGHT2007/1244 hy45-6 00303 SNC Elariseuro 1/201333810 19/11/2012 FR31/12/2042 DALINBEL1998/1844 dalinbel 00689/00303 INRA / SNC Elariseuro 6/200210186 21/10/2002 DALINBEL FR31/12/2032 DALINCO2003/1458 dl24 00689/00303 INRA / SNC Elariseuro 5/200823137 07/07/2008 DALINCO FR31/12/2038 DALINETTE2002/1306 dl 13 00319/00689 SNC ELARIS / INRAeuro 4/200617838 06/06/2006 DALINETTE FR31/12/2036 DALINSWEET2004/2327 dl48 00689/00303 INRA / SNC Elariseuro 4/200925349 08/06/2009 DALINSWEET FR31/12/2039 DALIRÈNE2005/1944 s13-3 00303 SNC Elariseuro 3/201027238 19/04/2010 FR31/12/2040 DALIRYAN2004/2493 jo50.1 00303 SNC Elariseuro 2/200719030 22/01/2007 DALIRYAN FR31/12/2037 DALITRON2003/1805 hy46.3 00303 SNC Elariseuro 5/200823138 07/07/2008 DALITRON FR31/12/2038 DECOSTA1995/0987 decosta 00954/00955 Swillen, G - Verbeek, Jeuro116 1/19971540 16/12/1996 DECOSTA BE01/01/2022 DELBLUSH1995/1986 delblush(PX3436) 00368 Pepinieristes et Roseraires Georeuro116 6/19981641 15/01/1997 DELBLUSH FR01/01/2022 DELCORF DIANA2002/1963 diana 04050 Tijssen Johannes G.P.euro 4/200720095 21/05/2007 NL31/12/2037 DELCOROS2002/0108 delcoro 00368 Pepinieristes et Roseraires Georeuro 5/200618128 17/07/2006 DELCOROS FR31/12/2036 DELCOTI1999/1742 delcoti (c 43) 00368 Pepinieristes et Roseraires Georeuro 6/200311971 20/10/2003 FR31/12/2033 DELFLOGA2007/0851 delfloga 00368 Pepinieristes et Roseraires Georeuro 3/201026948 22/03/2010 FR31/12/2040 DELFLOKI2003/2213 delfloki 00368 Pepinieristes et Roseraires Georeuro 5/200413783 19/07/2004 DELFLOKI FR31/12/2034 DELICIA2002/1818 délice 04036/04037 C Roduit - S Roduiteuro 4/200720400 18/06/2007 ES31/12/2037 DORIANE2003/0272 x6690 00689 INRA-Institut National de la Recheuro 2/200616780 30/01/2006 DORIANE FR31/12/2036 DOUCE DE L'AVENT2010/0435 douce de l'avent 00689/06934 INRA / IFPCeuro 3/201437726 22/04/2014 FR31/12/2044 EARLY JONAGOLD2008/1794 jonagold schreurs 00727 Nicolai JO & CO NVeuro 6/201335206 21/10/2013 BE31/12/2043 ELISE1995/0662 elise 06983 Stichting Dienst Landbouwkundigeuro116 6/1996419 02/08/1996 NL01/09/2021 ELLA2003/1756 crimson kiwi 04394 Thompson Michaeleuro 3/200719930 16/04/2007 NZ31/12/2037 ELSHARD2001/1086 mutant oostveen 03514 Maattschap Oostveeneuro 1/200923654 10/11/2008 NL31/12/2038 ELSHOF1995/1668 elshof 06983 Stichting Dienst Landbouwkundigeuro116 5/1996421 02/08/1996 ELSHOF NL01/09/2021 ELSTAR BOEREKAMP1997/0441 elstar boerekamp 01670/01671 Boerekamp - / BOEREKAMP P.Heuro 1/200412324 18/12/2003 NL01/01/2034 ELSTAR VAN DER ZALM2004/1366 elstar-mutant 08036 VOGELAAR-VREDEHOF VASTeuro 5/200925889 24/08/2009 SANSA NL31/12/2039 EVESSE2009/0981 evesse (fpm/h3698) 02278 Frank P Matthews LtdEURO 5/201438689 28/07/2014 UK31/12/2044 17/04/2016 Pàgina 21 de 74
  • 22.
    DenominacióNº Exp. Nomcomercial Codi / Titular Butlletí Nº POV Inici Protecció Fi Referència Obtentor / Malus domestica Borkh. EXCEL1996/0199 00298 Jomobel N. V. - Morren-de Costeeuro 5/20006594 26/07/2000 BE31/12/2030 FIERO2001/0571 fiero 03385 Snyder L.L.C.euro 5/200618126 17/07/2006 SEPTEMBER WONDER* US31/12/2036 FINESSE2010/2696 jg.b 2903 08431 BOEREKAMP FINESSE B.V.euro 3/201540333 07/04/2015 NL31/12/2045 FREDRIK2003/0874 k:0957 04227 Fakulteten för Jordbruk Landskapeuro 3/200924821 20/04/2009 SE31/12/2039 FRÉQUINETTE2010/0434 fréquinette 00689/06934 INRA / IFPCeuro 3/201540329 07/04/2015 FR31/12/2045 FRESCO2002/0536 87031-047 06983 Stichting Dienst Landbouwkundigeuro 4/200822295 05/05/2008 NL31/12/2038 FRIDA2003/0873 k:1007 04227 Fakulteten för Jordbruk Landskapeuro 3/200924820 20/04/2009 SE31/12/2039 FUJI FRUBAX2005/0199 fuji frubax 04945 KIKU SRL-GMBHeuro 6/201438840 08/09/2014 FUJI KIKU IT31/12/2044 GAIA2011/1879 b8a3-384 00127 Consorzio Italiano Vivaistieuro 4/201541125 08/06/2015 IT31/12/2045 GALAVAL2006/2472 gala richard 01119 Pépinières du Valoiseuro 5/201130560 25/07/2011 FR31/12/2041 GALMAC2003/1834 galmac 04312 Station Federale RACeuro 5/200516114 17/08/2005 GALMAC CH31/12/2035 GERLINDE1997/1487 gerlinde 01950 Artus Group Marketinggesellschaeuro 3/19994256 06/04/1999 DE31/12/2029 GOLD PINK1998/1512 dca 81.425.014 01869 ALMA MATER STUDIORUM-UNIeuro 6/200210184 21/10/2002 GOLDCHIEF IT31/12/2032 GOLDEN ORANGE1998/0878 golden orange 01758 Istituto Sperimentale per la Fruttieuro 6/200210182 21/10/2002 GOLDEN ORANGE IT31/12/2032 GOLDEN PARADIS20054595 MSV-019 100908 Universitat de Lleidaesp 4-2010002488 06/07/2010 GOLDEN PARADIS ES31/12/2040 GOLDLANE2005/1157 ueb 3812/2 04595 Henri Fleuren B.V.euro 3/201026968 22/03/2010 NL31/12/2040 GOLDOR2006/0642 hy32.1 00303 SNC Elariseuro 4/200720103 21/05/2007 FR31/12/2037 GRADIROSE2004/2210 rgb5.100 07413 Neath Investements Limitedeuro 4/200925392 08/06/2009 GI31/12/2039 GRADIYEL2004/2211 rgb2.66 07413 Neath Investements Limitedeuro 4/200925393 08/06/2009 GI31/12/2039 HARMENSZ2006/2051 vrds0401 08032 PEREMA SARLeuro 6/201130891 10/10/2011 LU31/12/2041 HEISEI FUJI1999/1480 heisei fuji 01644 Promo Fruit Ag.euro 4/20005866 17/04/2000 BENI SHOGUN* CH31/12/2030 HELIODOR2003/1163 ueb 3264/1 04283 Institute of Experimental Botanyeuro 6/200823532 13/10/2008 CZ31/12/2038 HESZTIA2012/1533 mr-10 07730 BUDAPESTI CORVINUS EGYETeuro 2/201334100 04/02/2013 HU31/12/2043 HIDALA1995/1478 Hidala 00685 Hill John and Sueeuro116 3/19971771 03/03/1997 HILLWELL NZ01/04/2022 HIROFU2000/1746 hiro-fu 03017 NV GEEFAeuro 5/200618168 17/07/2006 BE31/12/2036 HONEYCRISP1996/1289 mn 1711 01528 Regents of the University of Minneuro 4/20017797 11/06/2001 HONEYCRISP US31/12/2031 INA COX1999/1857 ina cox 06795 Olaf Ehlerseuro 1/20018427 05/11/2001 DE31/12/2031 17/04/2016 Pàgina 22 de 74
  • 23.
    DenominacióNº Exp. Nomcomercial Codi / Titular Butlletí Nº POV Inici Protecció Fi Referència Obtentor / Malus domestica Borkh. INESE2011/2657 d-4-90-3 07468 PURE HORTICULTURAL RESEeuro 6/201233577 08/10/2012 LV31/12/2042 INITIAL1999/0745 initial 00689 INRA-Institut National de la Recheuro 3/20017652 23/04/2001 INITIAL FR31/12/2031 INORED2011/0606 inored 07253/00689 Novardi SARL / INRAeuro 3/201540661 20/04/2015 FR31/12/2045 JEROMINE1997/0057 NOUE 9123 01119 Pépinières du Valoiseuro 5/20006599 26/07/2000 JEROMINE FR31/12/2030 JM12000/0437 jm 1 02050 National Institute of Fruit Tree Scieuro 5/200618123 17/07/2006 JP31/12/2036 JM71998/0399 jm7 02050 National Institute of Fruit Tree Scieuro 6/200516279 10/10/2005 JP31/12/2035 JOGLO2007/1404 br 26-7 05916 Joburn Aurora (NZ) Ltdeuro 1/201333812 19/11/2012 NZ31/12/2042 JOKO2011/2656 amd-55-29-21 07468 PURE HORTICULTURAL RESEeuro 6/201233578 08/10/2012 LV31/12/2042 JONAGOLD-BOEREKAMP1995/0395 jonagold-boerekamp 00100 Boerekamp & Bokkemseuro116 1/19982578 20/11/1997 NL01/03/2023 JONAGORED SUPRA1996/0200 00298 Jomobel N. V. - Morren-de Costeeuro 5/20006593 26/07/2000 BE31/12/2030 KARNEVAL2010/1213 ueb 3741/1 00700 Institut Für Experimentelle Botanieuro 3/201129620 18/04/2011 CZ31/12/2041 KERAMERE2012/0552 keramere 06934/00689 IFPC / INRAeuro 3/201540346 07/04/2015 FR31/12/2045 LA FLAMBOYANTE2003/0963 flamba 04240 Station Federale de Recherche eeuro 5/200516110 17/08/2005 CH31/12/2035 LAFAYETTE2010/2774 fn3505-526 00751 Purdue Research Foundationeuro 4/201438455 16/06/2014 US31/12/2044 LAST MINUTE1995/1099 p22 00765/01055 Shrama - Willemseuro116 1/19971300 15/10/1996 NL01/11/2021 LIGOLINA2011/0023 xix-133-d1 07220 INSTYTUT OGRODNICTWA (INeuro 2/201231389 23/01/2012 PL31/12/2042 LIZZY1995/1098 p16 00303 SNC Elariseuro116 1/19971299 15/10/1996 FR01/11/2023 LOCHBUIE RED BRAEBURN1995/2080 turners red 00227 Fipia New Zealand Ltdeuro116 1/200412026 10/11/2003 BRAEBURN LOCHBUIE NZ01/01/2034 LOUTERWATER GRANNY SMITH 2004/0286 louterwater granny smith 04559 Louterwater Landgoedeuro 3/200924822 20/04/2009 ZA31/12/2039 LUNA2003/1436 ueb 3375/2 00700 Institut Für Experimentelle Botanieuro 3/200822063 07/04/2008 LUNA CZ31/12/2038 LUREFRESH2009/1272 lub a26/05 05369 Lubera AGeuro 5/201438462 07/07/2014 CH31/12/2044 LUREPREC2009/1271 lub a09/05 05369 Lubera AGeuro 5/201438461 07/07/2014 CH31/12/2044 MARIBELLE2007/0526 riky 2000 08032 PEREMA SARLeuro 3/201129530 18/04/2011 LU31/12/2041 MARIRI RED1995/2150 MR1 00227 Fipia New Zealand Ltdeuro 4/20017796 11/06/2001 APORO* (EVE) NZ31/12/2031 MC 382009/0354 mc 38 04945 KIKU SRL-GMBHeuro 3/201334832 22/04/2013 IT31/12/2043 MC DONALD APPLE2006/0452 mc donald apple 05364 MIKE ARGOeuro 3/201027257 19/04/2010 MC DONALD GALA US31/12/2040 MERIDIAN1999/0731 a 931/15 04662 East Malling Research Ltdeuro 6/200311651 08/09/2003 UK31/12/2033 17/04/2016 Pàgina 23 de 74
  • 24.
    DenominacióNº Exp. Nomcomercial Codi / Titular Butlletí Nº POV Inici Protecció Fi Referència Obtentor / Malus domestica Borkh. MERKUR2010/2688 ueb 3531/3 00700 Institut Für Experimentelle Botanieuro 2/201231549 20/02/2012 CZ31/12/2042 MILWA2002/1811 faw 5878 02600 Eidg. Forschunganstalt für Obs-euro 2/200616779 30/01/2006 MILWA CH31/12/2036 MINNEISKA2009/0820 mn 1914 01528 Regents of the University of Minneuro 4/201438454 16/06/2014 US31/12/2044 MINNEWASHTA2001/1152 mn 1824 01528 Regents of the University of Minneuro 2/200617001 27/02/2006 US31/12/2036 MOONLIGHT FL 3727 42005/1156 ueb 3727/4 04595 Henri Fleuren B.V.euro 2/201026759 22/02/2010 NL31/12/2040 MORED2009/0473 red toro 04639 Cultura Jean Moors Bvbaeuro 4/201438308 16/06/2014 BE31/12/2044 MOUNTAIN COVE1995/1212 00309 Adams County Nursery Inceuro116 2/19971639 15/01/1997 GINGER GOLD US01/11/2023 NC12010/0592 06940 John RolandBreacheuro 3/201540330 07/04/2015 UK31/12/2045 NEVSON1999/0702 PB 135 02103 Nevis fruit companyeuro 6/200413610 27/09/2004 NZ31/12/2034 NICOGREEN2000/1222 greenstar 04627 Better3Fruit NVeuro 4/200413323 21/06/2004 BE31/12/2034 NICOTER2001/0757 nicoter 04627 Better3Fruit NVeuro 4/200515369 10/05/2005 BE31/12/2035 ORION2005/0309 ueb 2718/1 04283 Institute of Experimental Botanyeuro 2/200616764 30/01/2006 CZ31/12/2036 P672012/1107 nr 528 07220 INSTYTUT OGRODNICTWA (INeuro 3/201540350 07/04/2015 PL31/12/2045 PIDI2004/0326 hl 75-26-18 04564 Forschungs institut fur Obstbau ueuro 2/200616757 30/01/2006 CZ31/12/2036 PINOVA1995/1072 pinova 02625 Sächsische Landesanstalt für Laeuro116 1/19971298 15/10/1996 CORAIL* DE01/10/2022 PIRELLA1997/0973 pirella 06760 Julius Kühn Instituteuro 4/19983127 02/06/1998 DE31/12/2028 PIVITA2010/2637 pivita 06760 Julius Kühn Instituteuro 4/201130383 06/06/2011 DE31/12/2041 PLFOG992009/1142 pink belle 06690/06691 Terry Fogliani/Dianne Foglianieuro 1/201436492 18/11/2013 AU31/12/2043 POMFORYOU2003/0332 ak 52-38-95 00672 Forschungsanstalt Geisenheimeuro 2/200616768 30/01/2006 DE31/12/2036 POMPINK2002/0182 ak 49-191-95 00672 Forschungsanstalt Geisenheimeuro 2/200514654 07/02/2005 DE31/12/2035 PREMA1532012/1590 a022 r14 t153 05582 Prevar Ltdeuro 3/201540352 07/04/2015 NZ31/12/2045 PREMA172011/0025 a160 r02 t017 05582 Prevar Ltdeuro 3/201437727 22/04/2014 NZ31/12/2044 PREMA2802007/1280 a020 r04 t280 05582 Prevar Ltdeuro 2/201333811 18/02/2013 NZ31/12/2043 PREMA962011/1499 a115 r02 t096 05582 Prevar Ltdeuro 4/201541124 08/06/2015 NZ31/12/2045 PRIMIERA1998/1513 pri 2750-1 co-op42) 01869 ALMA MATER STUDIORUM-UNIeuro 6/200210185 21/10/2002 IT31/12/2032 RAFZUBEX1997/0340 RAFZUBEX 01644 Promo Fruit Ag.euro 4/20029320 06/05/2002 RUBINETTE* ROSSO CH31/12/2032 RAJKA1998/0304 ueb2269/10 00700 Institut Für Experimentelle Botanieuro 2/20028880 18/02/2002 CZ31/12/2032 17/04/2016 Pàgina 24 de 74
  • 25.
    DenominacióNº Exp. Nomcomercial Codi / Titular Butlletí Nº POV Inici Protecció Fi Referència Obtentor / Malus domestica Borkh. REBELLA2002/0259 rebella 01848 Bundesanstalt für Züchtungsforseuro 6/200210198 21/10/2002 DE31/12/2032 RECOLOR2010/2638 recolor 06760 Julius Kühn Instituteuro 30384 06/06/2011 DE31/12/2041 RED FALSTAFF1998/1108 red falstaff 00051 Plant Breeding International Cameuro 3/19994251 06/04/1999 UK31/12/2029 RED IDARED1996/0895 tf 806 02644 Inter Plant Patent Marketing Inc.euro 3/200610227 27/03/2006 RED IDARED CA31/12/2036 RED JONAPRINCE1995/0393 p1 01708 Wilton Weert BVeuro 1/20005555 06/12/1999 NL31/12/2029 RED TOPAZ2001/0082 topaz v 03276 Malus Bunda Gesellschaft zur Föeuro 2/200617000 27/02/2006 DE31/12/2036 REDKAN2003/0262 redkan 03209 Gaec le Petit Pepinieristeeuro 3/200822061 21/04/2008 FR31/12/2038 REDLANE2005/1160 ueb 3290/1 04595 Henri Fleuren B.V.euro 3/201026965 22/03/2010 NL31/12/2040 REDSPRING2011/1828 ueb 3810/1 00700 Institut Für Experimentelle Botanieuro 2/201334099 04/02/2013 CZ31/12/2043 REDSTAR1998/0568 els 16 arb4 01119 Pépinières du Valoiseuro 6/200210180 21/10/2002 REDSTAR FR31/12/2032 REKARDA2010/2639 rekarda 06760 Julius Kühn Instituteuro 4/201130385 06/06/2011 DE31/12/2041 RENORA2001/1173 renora 01848 Bundesanstalt für Züchtungsforseuro 1/200310245 18/11/2002 DE18/11/2032 RESI1998/1852 resi 01848 Bundesanstalt für Züchtungsforseuro 4/19994696 21/06/1999 DE31/12/2029 RGLORS2008/0297 06172 Sicieta Agricola Mazzonieuro 5/201335893 29/07/2013 IT31/12/2043 RHAPSODIE2005/0752 ueb 3451/2 00346 Gevo Pflanzenvertrieb Gmbheuro 2/200924082 23/02/2009 DE31/12/2039 RNA 03042008/0818 rna 0304 03017 NV GEEFAeuro 4/201335205 06/05/2013 BE31/12/2043 RNA98422002/1430 rna9842 03017/03983 NV GEEFA - Nodop Clauseuro 4/200720093 21/05/2007 BE31/12/2037 ROELSTAR1997/1334 e.r. 97-0034 01918 Roelse Weuro 1/200412031 10/11/2003 NL01/01/2034 ROHO 36152001/1441 08044 HOFMANN SORTENSCHUTZ Geuro 3/200617112 27/03/2006 DE31/12/2036 ROMANCE2008/2980 ueb 2856/1 00700 Institut Für Experimentelle Botanieuro 4/201438114 19/05/2014 CZ31/12/2044 RONDO2005/0753 ueb 3449/1 00346 Gevo Pflanzenvertrieb Gmbheuro 2/200924083 23/02/2009 DE31/12/2039 ROSY GLOW2000/1727 rosy glow 03192 Salome Huberteuro 5/200618127 17/07/2006 ROSY GLOW FR31/12/2036 ROYAL BRAEBURN1998/1082 royal braeburn 02270 The François Family Trusteuro 6/200311960 21/10/2003 ROYAL BRAEBURN NZ31/12/2033 ROZELA2007/2201 ueb 3322/5 00700 Institut Für Experimentelle Botanieuro 4/200822308 05/05/2008 CZ31/12/2038 RUBINOLA1995/2928 RUBINOLA 00700 Institut Für Experimentelle Botanieuro 3/20005824 06/03/2000 CZ31/12/2030 RUBINSTEP1999/1871 rubinstep 03051 RESEARCH AND BREEDING INeuro 3/200514915 21/03/2005 CZ31/12/2035 RUCLA2008/1712 hl 251 04564 Forschungs institut fur Obstbau ueuro 2/200924091 23/02/2009 CZ31/12/2039 17/04/2016 Pàgina 25 de 74
  • 26.
    DenominacióNº Exp. Nomcomercial Codi / Titular Butlletí Nº POV Inici Protecció Fi Referència Obtentor / Malus domestica Borkh. SANTANA1996/0435 cpo 78038-9 06983 Stichting Dienst Landbouwkundigeuro 6/19963745 02/08/1996 NL31/12/2028 SCIEARLY1997/0604 GS 494 00915 The Horticulture & Food Researceuro 4/20017798 11/06/2001 NZ31/12/2031 SCIFRESH2001/0330 A20R2T273 02830 The Horticulture & Food Res. Int.euro 6/200516188 12/09/2005 JAZZ NZ31/12/2035 SCILATE2007/0546 a022r29t022 00915 The Horticulture & Food Researceuro 1/201333809 19/11/2012 NZ31/12/2042 SCIRED1996/0772 gs 58 00915 The Horticulture & Food Researceuro 5/20006605 26/07/2000 NZ31/12/2030 SCIROS1996/0117 gs2085 00915 The Horticulture & Food Researceuro 5/20006607 26/07/2000 NZ31/12/2025 SEKZIE2008/0512 lady in red 07043 Sunglo Varieties Ltd.euro 4/201541348 22/06/2015 NZ31/12/2045 SHALIMAR2008/2982 ueb 3374/2 00700 Institut Für Experimentelle Botanieuro 4/200925472 22/06/2009 CZ31/12/2039 SIMMONS1999/0999 simmons 02670 International Plant Management Ieuro 1/200412034 10/11/2003 BUCKEYE* GALA US01/01/2034 SIRIUS2005/0311 ueb 3177/1 00700 Institut Für Experimentelle Botanieuro 5/200720805 24/08/2007 CZ31/12/2037 SOLARIS2008/0476 ueb 3369/4 00700 Institut Für Experimentelle Botanieuro 3/201334437 18/03/2013 CZ31/12/2043 SONATE2005/0751 ueb 3467/1 00346 Gevo Pflanzenvertrieb Gmbheuro 2/200924081 23/02/2009 DE31/12/2039 SQ 1332008/0690 pri 1990-045-133 06983 Stichting Dienst Landbouwkundigeuro 4/201438356 16/06/2014 NL31/12/2044 SQ 1592009/1220 pri 1990-022-159 06983 Stichting Dienst Landbouwkundigeuro 3/201437718 22/04/2014 NL31/12/2044 SUMMERFREE1998/0880 summerfree 01758 Istituto Sperimentale per la Fruttieuro 6/200210183 21/10/2002 IT21/10/2032 SUNLIGHT2005/1159 ueb 3277/1 04595 Henri Fleuren B.V.euro 3/201026964 22/03/2010 NL31/12/2040 TOPAZ1995/1206 topas 00700 Institut Für Experimentelle Botanieuro 4/19982777 04/05/1998 TOPAZ CZ31/12/2028 TRELADINE2012/0553 treladine 06934/00689 IFPC / INRAeuro 3/201540347 07/04/2015 FR31/12/2045 TUNDA2005/2292 21/2/252 04627 Better3Fruit NVeuro 3/201027240 19/04/2010 BE31/12/2040 UEB 326422005/0310 ueb 3264/2 00700 Institut Für Experimentelle Botanieuro 2/200616749 30/01/2006 OPAL CZ31/12/2036 UEB 3366 12009/0012 ueb-3366/1 04595 Henri Fleuren B.V.euro 2/201436794 10/02/2014 NL31/12/2044 UEB260022005/0750 mars (ueb 2600/2) 00346 Gevo Pflanzenvertrieb Gmbheuro 2/200924080 23/02/2009 DE31/12/2039 VALTOD2005/0626 valtod 04945 KIKU SRL-GMBHeuro 6/201233400 10/09/2012 REDCAP IT31/12/2042 VERDERO2009/1701 decosta-mutant 00267/06235/06757/0 Hendrick Josef de Coster -euro 3/201437719 22/04/2014 BE31/12/2044 VERMUEL2008/0716 mutant zweeren 06234/06235 WILLEM FREDERIK ZWEEREN/euro 4/201437906 05/05/2014 NL31/12/2044 WESTERN DAWN2008/1590 23/74 03971 State of Western Australiaeuro 4/201438358 16/06/2014 AU31/12/2044 WILTONS STAR2002/1542 aw 2001 07661 PRINCE INTERNATIONAL S.A.euro 6/200618578 23/10/2006 LU31/12/2036 17/04/2016 Pàgina 26 de 74
  • 27.
    DenominacióNº Exp. Nomcomercial Codi / Titular Butlletí Nº POV Inici Protecció Fi Referència Obtentor / Malus domestica Borkh. WUR372011/0193 pri 1993-018-037 06983 Stichting Dienst Landbouwkundigeuro 3/201540337 07/04/2015 NL31/12/2045 ZARI2005/2293 1/1/174 04627 Better3Fruit NVeuro 3/201027241 19/04/2010 BE31/12/2040 ZONGA2005/2291 7/5/251 04627 Better3Fruit NVeuro 3/201027239 19/04/2010 BE31/12/2040 Especie Malus Mill. DenominacióNº Exp. Nom comercial Codi / Titular Butlletí Nº POV Inici Protecció Fi Referència Obtentor / POMERA G 112003/1135 786r5-011 02540 Cornell Research Foundationeuro 4/200720406 18/06/2007 US31/12/2037 G 2022007/2592 g.202 02540/08093 Cornell Research/USDAeuro 5/201335892 29/07/2013 US31/12/2043 G 412009/0903 g.41 02540/06085 Cornell Research - Boomkwekerijeuro 6/201438869 08/09/2014 US31/12/2044 G.9352010/1835 g.935 02540/06085 Cornell Research - Boomkwekerijeuro 6/201541597 21/09/2015 US31/12/2045 M 1162005/2055 ar4 86-1-25 04662 East Malling Research Ltdeuro 5/201130555 25/07/2011 UK31/12/2041 PI 801995/2090 01706/00758 P. Demol - SNC Elariseuro 1/19971292 15/10/1996 SUPPORTER 4 FR31/12/2026 PURE 12011/2731 pure 1 07468 PURE HORTICULTURAL RESEeuro 6/201233541 08/10/2012 LV31/12/2042 ROSALIE2011/1829 ueb 3459/1 00700 Institut Für Experimentelle Botanieuro 4/201335515 03/06/2013 CZ31/12/2043 TOTEM2001/0824 sa572-2 04662/00011 East Mallin Researh /euro 1/20028484 19/11/2001 UK31/12/2031 Especie Malus sieboldii (Regel) Rehd. DenominacióNº Exp. Nom comercial Codi / Titular Butlletí Nº POV Inici Protecció Fi Referència Obtentor / POMERA ORNAMENTAL FREJA1998/1204 freja 02322 OLE BONSDORFeuro 6/20018176 10/09/2001 DK31/12/2026 Especie Musa acuminata Colla DenominacióNº Exp. Nom comercial Codi / Titular Butlletí Nº POV Inici Protecció Fi Referència Obtentor / BANANER ADI2009/0344 rm22/44-1 06578 Rahan Meristem (1998) Ltd.euro 6/201438913 22/09/2014 IL31/12/2044 CHEEKA2008/2919 cheeka 04786 Magaly Zaias-Fasteuro 4/201129956 23/05/2011 US31/12/2036 FLHORBAN9162002/0537 flhor916 03112 CIRADeuro 5/200413753 19/07/2004 FR31/12/2034 FLHORBAN9172002/0538 03112 CIRADeuro 5/200413754 19/07/2004 FR31/12/2034 FLHORBAN9182002/0539 03112 CIRADeuro 5/200413755 19/07/2004 FR31/12/2034 FLHORBAN9192002/0540 03112 CIRADeuro 5/200413756 19/07/2004 FR31/12/2034 FLHORBAN9202002/0541 03112 CIRADeuro 5/200413757 19/07/2004 FR31/12/2034 FLHORBAN9212002/0542 03112 CIRADeuro 5/200413758 19/07/2004 FR31/12/2034 17/04/2016 Pàgina 27 de 74
  • 28.
    DenominacióNº Exp. Nomcomercial Codi / Titular Butlletí Nº POV Inici Protecció Fi Referència Obtentor / Olea europaea L. Especie Olea europaea L. DenominacióNº Exp. Nom comercial Codi / Titular Butlletí Nº POV Inici Protecció Fi Referència Obtentor / OLIVERA SIKITITA2007/1040 uc-8-7 05851/05854 Univ. Córdoba - IFAPAeuro 3/200924380 23/03/2009 CHIQUITITA ES31/12/2039 TALAYOTICA20084839 talayotica ES940 Lorenzo Mestre Mayolesp BOE98002685 25/04/2015 ES31/12/2044 VAS ONE2008/0715 ita-01-08 06230 Vivai Attilo Sonnoli SASeuro 2/201539504 09/02/2015 VAS ONE IT31/12/2045 Especie Paulownia elongata S. Y. Hu DenominacióNº Exp. Nom comercial Codi / Titular Butlletí Nº POV Inici Protecció Fi Referència Obtentor / PAULOWNIA COTEVISA 12007/1678 cotevisa 1 05949 Comercial Técnica y Viveros SL (euro 3/201231619 05/03/2012 ES31/12/2042 Especie Paulownia elongata S. Y. Hu x Paulownia fortunei (Seem.) Hemsl. DenominacióNº Exp. Nom comercial Codi / Titular Butlletí Nº POV Inici Protecció Fi Referència Obtentor / PAULOWNIA "PHOENIX ONE"2012/2516 phoenix ntp-1 08783 WEGROW GMBHeuro 3/201539980 23/03/2015 DE31/12/2045 COTEVISA 22007/1679 cotevisa 2 05949 Comercial Técnica y Viveros SL (euro 3/201231620 05/03/2012 ES31/12/2042 Especie Persea americana DenominacióNº Exp. Nom comercial Codi / Titular Butlletí Nº POV Inici Protecció Fi Referència Obtentor / ALVOCAT MENDEZ NO 12005/0925 euro 1/201642015 23/11/2015 31/12/2045 Especie Pinus L. DenominacióNº Exp. Nom comercial Codi / Titular Butlletí Nº POV Inici Protecció Fi Referència Obtentor / PI GAELLE BREGEON1995/2421 N.V.T. 06148/06149/06150 Gaelle, Aurelie, Pierrick Bregeoneuro 1/19971231 15/10/1996 CH15/10/2026 HÉLENE BREGEON1999/0871 gru pi9901 06148/06149/06150 Gaelle, Aurelie, Pierrick Bregeoneuro 3/200310976 28/04/2003 CH28/04/2033 MARIE BREGEON2000/0471 marie bregeon 06148/06149/06150 Gaelle, Aurelie, Pierrick Bregeoneuro 6/20017859 08/10/2001 CH31/12/2031 PIERRICK BREGEON1995/1094 06148/06149/06150 Gaelle, Aurelie, Pierrick Bregeoneuro116 1/19971230 15/10/1996 CH01/09/2022 Especie Populus deltoides W. Bartam. ex Marshall DenominacióNº Exp. Nom comercial Codi / Titular Butlletí Nº POV Inici Protecció Fi Referència Obtentor / POLLANCRE DELGAS2011/0492 gis-d1717 00689/05783/07244 INRA/euro 3/201334574 18/03/2013 FR31/12/2043 DELLINOIS2011/0491 gis-d1248 00689/05783/07244 INRA/euro 3/201334573 18/03/2013 FR31/12/2043 DELRIVE2011/0489 gis-d1121 00689/05783/07244 INRA/euro 3/201334571 18/03/2013 FR31/12/2043 DELVIGNAC2011/0490 gis-d1226 00689/05783/07244 INRA/euro 3/201334572 18/03/2013 FR31/12/2043 DVINA1998/0086 35/36 or 66-035 01979 Instituto di Sperimentazzione pereuro 4/20017791 11/06/2001 IT31/12/2031 OGLIO2009/0246 pe 66019 01979 Instituto di Sperimentazzione pereuro 4/201129841 10/05/2011 IT31/12/2041 17/04/2016 Pàgina 28 de 74
  • 29.
    DenominacióNº Exp. Nomcomercial Codi / Titular Butlletí Nº POV Inici Protecció Fi Referència Obtentor / Populus deltoides W. Bartam. ex Marshall PURPLE TOWER2008/2911 purple tower 03740 Kromhout B.V.euro 3/201232002 19/03/2012 NL31/12/2042 SAN LORENZO2010/2255 npu 07126 José Lorenzo García Férrizeuro 4/201335514 03/06/2013 ES31/12/2043 Especie Populus L. DenominacióNº Exp. Nom comercial Codi / Titular Butlletí Nº POV Inici Protecció Fi Referència Obtentor / POLLANCRE "VIGOR"2013/0513 6005 06564 E.U.R.L. 3C2Aeuro 3/201540682 20/04/2015 FR31/12/2045 A4A2002/1097 a4a 03141/03933/03934/0 Alasia, C/euro 3/200515077 18/04/2005 IT31/12/2035 AF22005/2687 af2 03141/03142/03144 Alasia, C/ Alasia, G/euro 4/200822655 19/05/2008 IT31/12/2038 AF82008/0138 03141/03142/03144 Alasia, C/ Alasia, G/euro 4/201027376 10/05/2010 IT31/12/2040 ALBELO2006/1911 4247 00745 Poloni Louiseuro 3/200924761 20/04/2009 FR31/12/2039 BAKAN2005/0035 ibw/9 00665 Eigen Vermogen - Institut voor Beuro 4/200720213 04/06/2007 BE31/12/2037 BALDO2007/0422 cas 85-036 01979 Instituto di Sperimentazzione pereuro 4/200925211 18/05/2009 IT31/12/2039 BRENTA2001/0687 ita-101 01979 Instituto di Sperimentazzione pereuro 4/200413688 21/06/2004 IT31/12/2034 DANO2009/0274 528 06564 E.U.R.L. 3C2Aeuro 3/201129310 21/03/2011 FR31/12/2041 DEGROSSO2006/1910 3261 00745 Poloni Louiseuro 3/200924760 20/04/2009 FR31/12/2039 GARO2009/0272 508 06564 E.U.R.L. 3C2Aeuro 3/201129308 21/03/2011 FR31/12/2041 GRIMMINGE1999/1768 i.b.w./4 00665 Eigen Vermogen - Institut voor Beuro 3/20029262 15/04/2002 BE31/12/2032 HAZENDANS1995/3038 hazendans 00665 Eigen Vermogen - Institut voor Beuro 3/19982731 06/04/1998 BE31/12/2028 HEES1995/1589 00745 Poloni Louiseuro116 1/19971295 15/10/1996 FR01/11/2021 HOOGVORST1995/3037 hoogvorst 00665 Eigen Vermogen - Institut voor Beuro 3/19994289 06/04/1999 BE31/12/2024 KOSTER1995/1587 00745 Poloni Louiseuro116 1/19971293 15/10/1996 FR01/11/2021 LENA1998/1454 r89 01979 Instituto di Sperimentazzione pereuro 4/20017866 25/06/2001 IT31/12/2031 LUDO2009/0273 518 06564 E.U.R.L. 3C2Aeuro 3/201129309 21/03/2011 FR31/12/2041 MELLA2001/0688 ita-146 01979 Instituto di Sperimentazzione pereuro 4/200413689 21/06/2004 IT31/12/2034 MUUR1999/1769 i.b.w./5 00665 Eigen Vermogen - Institut voor Beuro 3/20029263 15/04/2002 BE31/12/2032 NEVA1998/1455 74/76 or 76-074 01979 Instituto di Sperimentazzione pereuro 4/20017867 25/06/2001 IT31/12/2031 OUDENBERG1999/1770 i.b.w./6 00665 Eigen Vermogen - Institut voor Beuro 3/20029264 15/04/2002 BE31/12/2032 PATRIZIA INVERNIZZI1997/0992 04626 Azienda Agricola Invernizzi Sorelleuro 4/20006032 05/06/2000 IT31/12/2030 POLARGO2006/1912 6187 00745 Poloni Louiseuro 3/200924762 20/04/2009 FR31/12/2039 17/04/2016 Pàgina 29 de 74
  • 30.
    DenominacióNº Exp. Nomcomercial Codi / Titular Butlletí Nº POV Inici Protecció Fi Referència Obtentor / Populus L. RONA2009/0275 538 06564 E.U.R.L. 3C2Aeuro 3/201129311 21/03/2011 FR31/12/2041 SANOSOL2006/1913 10653 00745 Poloni Louiseuro 3/200924763 20/04/2009 FR31/12/2039 SENO2009/0276 548 06564 E.U.R.L. 3C2Aeuro 3/201129312 21/03/2011 FR31/12/2041 SKADO2005/0036 ibw/10 00665 Eigen Vermogen - Institut voor Beuro 4/200720215 04/06/2007 BE31/12/2037 SOLIGO2001/0690 80-017 01979 Instituto di Sperimentazzione pereuro 4/200413691 21/06/2004 IT31/12/2034 TARO2001/0691 82-017 01979 Instituto di Sperimentazzione pereuro 4/200413692 21/06/2004 IT31/12/2034 VESTEN1999/1771 i.b.w./7 00665 Eigen Vermogen - Institut voor Beuro 3/20029265 15/04/2002 BE31/12/2032 Especie Populus x canadensis Moench DenominacióNº Exp. Nom comercial Codi / Titular Butlletí Nº POV Inici Protecció Fi Referència Obtentor / POLLANCRE "AGORA"2013/0462 605 06564 E.U.R.L. 3C2Aeuro 3/201540710 20/04/2015 FR31/12/2045 "KELAOS"2013/0515 810 06564 E.U.R.L. 3C2Aeuro 3/201540216 07/04/2015 FR31/12/2045 "NIKOS"2013/0475 804 06564 E.U.R.L. 3C2Aeuro 3/201540214 07/04/2015 FR31/12/2045 "PALORN"2013/0465 610 06564 E.U.R.L. 3C2Aeuro 3/201540711 20/04/2015 FR31/12/2045 "QUANTA"2013/0516 706 06564 E.U.R.L. 3C2Aeuro 3/201540717 20/04/2015 FR31/12/2045 "SPRINT"2013/0478 803 06564 E.U.R.L. 3C2Aeuro 3/201540712 20/04/2015 FR31/12/2045 "TREPOLE"2013/0514 811 06564 E.U.R.L. 3C2Aeuro 3/201540716 20/04/2015 FR31/12/2045 "TURBO"2013/0476 808 06564 E.U.R.L. 3C2Aeuro 3/201540215 07/04/2015 FR31/12/2045 ALERAMO2012/0361 83.141.020 01979 Instituto di Sperimentazzione pereuro 5/201438492 07/07/2014 IT31/12/2044 ARNO2007/0421 76-071 01979 Instituto di Sperimentazzione pereuro 4/200925210 18/05/2009 IT31/12/2039 DIVA2012/0360 83.002.031 01979 Instituto di Sperimentazzione pereuro 5/201438690 28/07/2014 IT31/12/2044 IMOLA2012/0363 84.260.003 01979 Instituto di Sperimentazzione pereuro 5/201438494 07/07/2014 IT31/12/2044 MOLETO2013/0495 83.190.012 06900 CONSIGLIO PER LA RICERCAeuro 3/201540714 20/04/2015 IT31/12/2045 MOMBELLO2013/0496 84.048.032 06900 CONSIGLIO PER LA RICERCAeuro 3/201540715 20/04/2015 IT31/12/2045 MONCALVO2013/0494 83.024.017 06900 CONSIGLIO PER LA RICERCAeuro 3/201540713 20/04/2015 IT31/12/2045 ORION2007/0423 83.148.041 01979 Instituto di Sperimentazzione pereuro 4/200925212 18/05/2009 IT31/12/2039 TUCANO2012/0362 84.260.003 01979 Instituto di Sperimentazzione pereuro 5/201438493 07/07/2014 IT31/12/2044 17/04/2016 Pàgina 30 de 74
  • 31.
    DenominacióNº Exp. Nomcomercial Codi / Titular Butlletí Nº POV Inici Protecció Fi Referència Obtentor / Prunus × schmittii Rehder Especie Prunus × schmittii Rehder DenominacióNº Exp. Nom comercial Codi / Titular Butlletí Nº POV Inici Protecció Fi Referència Obtentor / GI 318172013/1855 gi 31817 00347 Consortium Deutscher Baumscheuro 2/201642315 25/01/2016 DE31/12/2046 Especie Prunus amigdalus x Prunus persica DenominacióNº Exp. Nom comercial Codi / Titular Butlletí Nº POV Inici Protecció Fi Referència Obtentor / HÍBRID PRESSXAMET AB 32005/2607 pescomandorlo ab/3 05287 Alfio Brunoeuro 3/201129120 18/04/2011 IT31/12/2041 ADARCIAS19933565 519 C.S.I.C.Tabesp BOE-69002094 21/03/2003 ADARCIAS ES21/03/2023 CARMELO20024398 ES922 Carmelo Bernal Palazonesp 1-2011002510 18/01/2011 ES31/12/2041 FELINEM2000/0793 felinem 02018/01826 DGA - INIAeuro 6/200516366 24/10/2005 FELINEM (GXN - 22) ES31/12/2035 GARNEM1998/0249 garnem 01826/02018 INIA - DGAeuro 6/200516363 24/10/2005 GARNEM ES31/12/2035 MONEGRO1998/0248 monegro 01826/02018 INIA - DGAeuro 6/200516362 24/10/2005 MONEGRO (GXN-9) ES31/12/2035 NANOPAC2008/0618 pac 0009-01 03862 AGROMILLORA CATALANA SAeuro 4/201438202 02/06/2014 ROOTPAC-40 ES31/12/2044 Especie Prunus armeniaca L. DenominacióNº Exp. Nom comercial Codi / Titular Butlletí Nº POV Inici Protecció Fi Referència Obtentor / ALBERCOQUER AC HAROPRIME2007/1844 ac haroprime 05973 Agriculture et Agroalimentaire Caeuro 4/200925458 22/06/2009 CA31/12/2039 ALBALUZ2008/2078 alba luz 06204 Carmelo Bernal Palazóneuro 4/201232949 18/06/2012 ES31/12/2042 ALBASOL2008/0548 alba 06204 Carmelo Bernal Palazóneuro 4/201232943 18/06/2012 ES31/12/2042 ALMABAR20034526 1312431 ES919 SAT Frutariaesp 4-2012002550 28/06/2012 ES31/12/2042 ALMADULCE20074761 durabar ES919 SAT Frutariaesp 4-2012002551 28/06/2012 ES31/12/2042 ALMATER20034525 15108 ES919 SAT Frutariaesp BOE-23002503 18/01/2011 ALMATER ES31/12/2041 ANEGAT2011/0443 anegat 00689 INRA-Institut National de la Recheuro 1/201539320 18/12/2014 FR31/12/2044 APRIBANG2008/0593 03.16.01 ab - asf 0405(A99 R2 T39) 04628 SARL Agro Selection Fruitseuro 4/201232945 18/06/2012 FR31/12/2042 APRINEW2012/0748 02.11.19ab - asf0916 04628 SARL Agro Selection Fruitseuro 2/201642312 25/01/2016 FR31/12/2046 APRIQUEEN2008/0592 03.16.41 ab - asf 0404 04628 SARL Agro Selection Fruitseuro 4/201232944 18/06/2012 FR31/12/2042 APRIROME2008/0594 02.01.121 ab - asf 0406 04628 SARL Agro Selection Fruitseuro 4/201232946 18/06/2012 FR31/12/2042 APRISWEET2008/0595 03.16.43 ab - asf 0409 04628 SARL Agro Selection Fruitseuro 4/201232947 18/06/2012 FR31/12/2042 ASFCOT02012011/0567 01.20.44ab - asf0201 04628 SARL Agro Selection Fruitseuro 1/201539322 18/12/2014 FR31/12/2044 AVICLO2007/2767 a3950 00689 INRA-Institut National de la Recheuro 2/200924107 23/02/2009 BERGEVAL* FR31/12/2039 17/04/2016 Pàgina 31 de 74
  • 32.
    DenominacióNº Exp. Nomcomercial Codi / Titular Butlletí Nº POV Inici Protecció Fi Referència Obtentor / Prunus armeniaca L. AVIRINE1998/1842 avirine 00689 INRA-Institut National de la Recheuro 5/200311478 07/07/2003 BERGAROUGE FR31/12/2033 BAYOTO1995/0920 00787 Washington State Universityeuro 6/19994881 20/09/1999 FLAVOR COT* US31/12/2029 BO 886171022009/2144 bo 88617102 01869/04704/06419/0 C.R.P.V/Apofruit Italia/Universitàeuro 3/201437195 24/03/2014 IT31/12/2044 BO 906100102003/0301 bo 90.610.010 04148/01869 DIPRT COLTURE ARBOREE/C.euro 3/200822062 07/04/2008 BORA IT31/12/2038 CANDIDE2007/2768 a4025 00689 INRA-Institut National de la Recheuro 2/200924108 23/02/2009 FR31/12/2039 CARMEN POP (CARMEN TOP) 1998/1329 carmen 05289 Vivai Piante Battistini Società Agreuro 5/200618133 17/07/2006 CARMEN POP IT31/12/2036 CHARISMA2006/0859 charisma 03945 ARC Infruitec - Nietvoorbijeuro 4/201130089 23/05/2011 ZA31/12/2041 CLARINA2007/1099 clarina 00346 Gevo Pflanzenvertrieb Gmbheuro 3/201231871 19/03/2012 DE31/12/2042 COLORADO2007/2979 435-15 04411 PSB Producción Vegetal SLeuro 3/201334433 18/03/2013 ES31/12/2043 CONGAT2011/0445 congat 00689 INRA-Institut National de la Recheuro 1/201539321 18/12/2014 FR31/12/2044 COTPY1997/0229 22763 N¦2 06221 Benoit Escande Edition SARLeuro 3/200413109 19/04/2004 PINKCOT* FR31/12/2034 COULOUMINE2004/0003 ep 00.01 ab. 02954 Scea Euro Pépinièreseuro 5/200720570 06/08/2007 ORANGE RUBIS* FR31/12/2037 CSIC CEBAS MIRLOBLANCO 2009/2019 z-1001-8-14 00648 Consejo Sup. de Investigacioneseuro 3/201437419 07/04/2014 ES31/12/2044 CSIC CEBAS VALORANGE2009/1036 Z-503-2 00648 Consejo Sup. de InvestigacionesEURO 3/201437418 07/04/2014 ES31/12/2044 CSIC MIRLO ANARANJADO2010/1309 z1001-7-58 03543/04292/05903/0 José Egea /David Ruiz /Pedro Meuro 4/201541122 08/06/2015 ES31/12/2045 CSIC MIRLO ROJO2010/1308 z1001-6-11 03543/07016/04292/0 José Egea/Antonio Molina/Davideuro 4/201541121 08/06/2015 ES31/12/2045 DAMA ROSA20094891 01157 IVIA - Institut Valencià d'Investigesp 1-2016002690 12/12/2015 DAMA ROSA ES31/12/2045 DAMA TARONJA20094890 01157 IVIA - Institut Valencià d'Investigesp 1-2014002631 27/12/2013 DAMA TARONJA ES31/12/2043 DIGAT2011/0446 digat 00689 INRA-Institut National de la Recheuro 2/201436914 24/02/2014 FR31/12/2044 DORADA2003/1216 z102-11 00648 Consejo Sup. de Investigacioneseuro 3/200822064 07/04/2008 ES31/12/2038 EA 50162008/2803 ea 5016 06221 Benoit Escande Edition SARLeuro 3/201334434 18/03/2013 FR31/12/2043 EA3126TH2004/1448 ea 3126 th 06221 Benoit Escande Edition SARLeuro 4/200925354 08/06/2009 SPRING BLUSH* FR31/12/2039 EA40062004/1449 ea 4006 06221 Benoit Escande Edition SARLeuro 4/200925355 08/06/2009 BIG RED* FR31/12/2039 FARALIA2004/2455 1285 04880 International Plant Selectioneuro 4/200925360 08/06/2009 FARALIA FR31/12/2039 FARBALY2004/2454 2437 04880 International Plant Selectioneuro 4/200925359 08/06/2009 FARBALY FR31/12/2039 FARCLO2004/2453 2226 04880 International Plant Selectioneuro 4/200925358 08/06/2009 FARCLO FR31/12/2039 FARDAO2004/2452 2381 04880 International Plant Selectioneuro 4/200925357 08/06/2009 FARDAO FR31/12/2039 17/04/2016 Pàgina 32 de 74
  • 33.
    DenominacióNº Exp. Nomcomercial Codi / Titular Butlletí Nº POV Inici Protecció Fi Referència Obtentor / Prunus armeniaca L. FARELY2005/2697 1916 04880 International Plant Selectioneuro 3/201027254 19/04/2010 FARELY FR31/12/2040 FARFIA2005/2698 2388 04880 International Plant Selectioneuro 3/201027255 19/04/2010 FARFIA FR31/12/2040 FARHIAL2005/2699 2458 04880 International Plant Selectioneuro 3/201027256 19/04/2010 FARHIAL FR31/12/2040 FARIUS2006/2637 2746 04880 International Plant Selectioneuro 4/201130099 23/05/2011 FARIUS FR31/12/2041 FARLIS2008/2826 s617 04880 International Plant Selectioneuro 3/201232268 10/04/2012 FR31/12/2042 FARTOLI2008/2986 s 6 65 04880 International Plant Selectioneuro 3/201437082 10/03/2014 FR31/12/2044 FINA2006/1644 dm 109-5 05478 BEN-DOR FRUITS & NURSERIEeuro 3/201334430 18/03/2013 IL31/12/2043 FLODEA2004/2504 a28-59 04411 PSB Producción Vegetal SLeuro 3/201027234 19/04/2010 ES31/12/2040 FLONECA2004/2503 a15-9 04411 PSB Producción Vegetal SLeuro 3/201027233 19/04/2010 ES31/12/2040 FLOPRIA2004/2505 a35-109 04411 PSB Producción Vegetal SLeuro 4/200925367 08/06/2009 FLOPRIA ES31/12/2039 FRISSON2006/1285 a 2821 00689 INRA-Institut National de la Recheuro 2/200924103 23/02/2009 FR31/12/2039 HARROW RED2003/1625 hw 458 04376 Research Planning and Coordinaeuro 3/200617325 24/04/2006 HARROW RED CA31/12/2036 HARVAL1995/0515 HW 437 00159 Agriculture & Agri-Food Canadaeuro116 6/19983721 05/10/1998 HARVAL CA01/11/2023 HILDE2007/1098 hilde 00346 Gevo Pflanzenvertrieb Gmbheuro 3/201231870 19/03/2012 DE31/12/2042 IPS22502006/2648 2250 04880 International Plant Selectioneuro 4/201130123 23/05/2011 FR31/12/2041 IPS3362007/2825 s336 04880 International Plant Selectioneuro 3/201232267 10/04/2012 FR31/12/2042 IPS5762006/2641 s576 04880 International Plant Selectioneuro 4/201130121 23/05/2011 FR31/12/2041 IPS612006/2642 s61 04880 International Plant Selectioneuro 3/201232262 10/04/2012 FR31/12/2042 IPS6492006/2646 s649 04880 International Plant Selectioneuro 3/201232263 10/04/2012 FR31/12/2042 IPS6602006/2647 s660 04880 International Plant Selectioneuro 3/201232264 10/04/2012 FR31/12/2042 IPS682006/2643 s68 04880 International Plant Selectioneuro 4/201130122 23/05/2011 FR31/12/2041 KIOTO1999/1644 a 3163 06221 Benoit Escande Edition SARLeuro 4/200617602 22/05/2006 KIOTO FR31/12/2036 KURESIA2001/1671 kuresia 00346 Gevo Pflanzenvertrieb Gmbheuro 3/200719934 16/04/2007 KURESIA DE31/12/2037 LADY COT2006/2070 hyb-3-3b 05615 Marie-Laure Eteve-Lambertineuro 3/201129635 18/04/2011 LADY COT FR31/12/2041 LARCLYD1998/0605 f 168 02103 Nevis fruit companyeuro 4/200617626 22/05/2006 JENNY COT* NZ31/12/2036 LATICA2006/0024 a35-105 04411 PSB Producción Vegetal SLeuro 4/201130087 23/05/2011 ES31/12/2041 LILLY COT2002/1585 apr 08-7 04767 SDR Fruit Llceuro 4/200720102 21/05/2007 LILLY COT US31/12/2037 17/04/2016 Pàgina 33 de 74
  • 34.
    DenominacióNº Exp. Nomcomercial Codi / Titular Butlletí Nº POV Inici Protecció Fi Referència Obtentor / Prunus armeniaca L. LUNAFULL2007/1639 luna 05942 Mario Gualandieuro 4/201232798 21/05/2012 IT31/12/2042 MADISON2007/2980 403-5 04411 PSB Producción Vegetal SLeuro 3/201232269 10/04/2012 ES31/12/2042 MAGIC COT2004/1623 a99 r2 t39 04767 SDR Fruit Llceuro 4/200925347 08/06/2009 MAGIC COT US31/12/2039 MAMBO2009/0180 458-1 04411 PSB Producción Vegetal SLeuro 3/201437192 24/03/2014 ES31/12/2044 MARAVITA2007/0086 a15-37 04411 PSB Producción Vegetal SLeuro 3/201334431 18/03/2013 ES31/12/2043 MARGOTINA2009/0181 a28-2 04411 PSB Producción Vegetal SLeuro 3/201437193 24/03/2014 ES31/12/2044 MARVINKA2007/0088 a14-63 04411 PSB Producción Vegetal SLeuro 3/201232266 10/04/2012 ES31/12/2042 MAS 9262002/1884 mas926 02830 The Horticulture & Food Res. Int.euro 4/200720094 21/05/2007 NZ31/12/2037 MEDAGA2005/2693 01 04880 International Plant Selectioneuro 3/201027250 19/04/2010 MEDAGA FR31/12/2040 MEDALIS2010/2864 1 7 80 04880 International Plant Selectioneuro 2/201539541 23/02/2015 MEDALIS FR31/12/2045 MEDIABEL2008/2985 2 10 103 04880 International Plant Selectioneuro 3/201334435 18/03/2013 FR31/12/2043 MEGATEA2009/0053 y38-4 04411 PSB Producción Vegetal SLeuro 3/201334831 22/04/2013 ES31/12/2043 MILORD2010/2755 2084-26 04411 PSB Producción Vegetal SLeuro 2/201539540 23/02/2015 MILORD ES31/12/2045 MINO2007/1100 mino 00346 Gevo Pflanzenvertrieb Gmbheuro 3/201231872 19/03/2012 DE31/12/2042 MIRANDELA2007/0087 a28-58 04411 PSB Producción Vegetal SLeuro 3/201232265 10/04/2012 ES31/12/2042 MOGADOR2007/0091 445-2 04411 PSB Producción Vegetal SLeuro 3/201334432 18/03/2013 ES31/12/2043 MOIXENT20084813 01157 IVIA - Institut Valencià d'Investigesp 3-2013002606 06/07/2013 ES31/12/2043 MONABRI2007/2976 nr 1 2006 01045 Monteux Gaillet Reneeuro 2/201231431 06/02/2012 MONABRI FR31/12/2042 MONGRAND2008/1503 hg nr 1 01045 Monteux Gaillet Reneeuro 2/201334164 01/02/2013 MONGRAND FR31/12/2043 MONTIER2007/2977 nr 2 2006 01045 Monteux Gaillet Reneeuro 2/201334163 18/02/2013 MONTIER FR31/12/2043 MURCIANA2003/1217 z504-5 00648 Consejo Sup. de Investigacioneseuro 3/200822065 07/04/2008 ES31/12/2038 PERLE COT2002/1584 apr 38-4 04767 SDR Fruit Llceuro 4/200720101 21/05/2007 PERLE COT US31/12/2037 PIEVE2009/1346 bo 89608015 06419 Universita degli Studi di Milanoeuro 3/201437360 24/03/2014 IT31/12/2044 PRIABEL2004/2456 573 04880 International Plant Selectioneuro 4/200925361 08/06/2009 PRIABEL FR31/12/2039 PRIBOTO1995/0918 pr 01 00753/01320 Riou, P - Riou, JFeuro 1/19994170 01/12/1998 PR O1-PRIBOTO FR31/12/2028 PRIMARINA2005/2694 041 04880 International Plant Selectioneuro 3/201027251 19/04/2010 PRIMARINA FR31/12/2040 PRIMARIS2005/2695 1314 04880 International Plant Selectioneuro 3/201027252 19/04/2010 PRIMARIS FR31/12/2040 17/04/2016 Pàgina 34 de 74
  • 35.
    DenominacióNº Exp. Nomcomercial Codi / Titular Butlletí Nº POV Inici Protecció Fi Referència Obtentor / Prunus armeniaca L. PRIMAYA2005/2696 1594 04880 International Plant Selectioneuro 3/201027253 19/04/2010 PRIMAYA FR31/12/2040 PRIMIUS2008/2987 s 2 76 04880 International Plant Selectioneuro 3/201334436 18/03/2013 FR31/12/2043 RAVILONG2006/1289 a 3759 00689/03652 INRA - SICA CENTREXeuro 2/200924106 23/02/2009 FR31/12/2039 RAVIVAL2006/1288 a3838 00689/03652 INRA - SICA CENTREXeuro 2/200924105 23/02/2009 FR31/12/2039 REVLAR2000/1947 ruoge 2000 03237/08287 / STAR FRUITS DIFFUSION S.euro 5/200311479 07/07/2003 TARDIROUGE* FR31/12/2033 ROBADA1995/0725 ROBADA 00280 The United States of America/R.euro 6/200210209 21/10/2002 ROBADA US21/10/2032 ROJO PASION2001/1288 z505-4 00648 Consejo Sup. de Investigacioneseuro 3/200719932 16/04/2007 ROJO PASION ES31/12/2037 RUBISSIMO2006/2649 e140 04880 International Plant Selectioneuro 4/201131124 23/05/2011 FR31/12/2041 RUTBHART1995/0259 nja53 00111 The State University of New Jerseuro116 5/1996463 02/08/1996 EARLY BLUSH* US01/01/2024 RUTSEY2000/1891 nj 82 - nja 82 03227 New Jersey Agricultural Experieeuro 4/200617628 22/05/2006 RUTSEY US31/12/2036 SEFORA2010/0427 ot1 06931 STATION D’EXPERIMENTATIOeuro 2/201436796 10/02/2014 FR31/12/2044 SELECT 982006/2069 98-7-145 04767 SDR Fruit Llceuro 3/201129634 18/04/2011 US31/12/2041 SHAMADE2010/0011 a3902 00689 INRA-Institut National de la Recheuro 3/201334283 04/03/2013 FR31/12/2043 SHERPA2010/2749 2084-14 04411 PSB Producción Vegetal SLeuro 2/201539539 23/02/2015 SHERPA ES31/12/2045 SOLEDANE2001/1745 a 3948 00689/03652 INRA - SICA CENTREXeuro 1/200412330 18/12/2003 SOLEDANE FR01/01/2034 SUAPRIEIGHT2003/1061 suaprieight 05485 Sun World International LLCeuro 2/201026758 22/02/2010 US31/12/2040 SUAPRININE2006/2518 suaprinine 05485 Sun World International LLCeuro 3/201129637 18/04/2011 US31/12/2041 SUAPRISEVEN2005/0519 90a-010 05485 Sun World International LLCeuro 3/201027235 19/04/2010 US31/12/2040 SUNNY COT2006/2068 97-3-203 04767 SDR Fruit Llceuro 3/201129633 18/04/2011 SUNNY COT US31/12/2041 SYLRED1998/1352 a 22515 06221 Benoit Escande Edition SARLeuro 4/200617601 22/05/2006 SYLRED FR31/12/2036 TORRAVIUN2009/0094 a3926 00689/03652 INRA - SICA CENTREXeuro 2/201026779 22/02/2010 FR31/12/2040 TOYACO1995/0923 pa 7005-8 00787 Washington State Universityeuro116 1/19971296 15/10/1996 TOM COT* US01/11/2021 TOYESI1995/0922 pa7221-1 00787 Washington State Universityeuro116 1/19971297 15/10/1996 GOLDSTRIKE* US01/11/2021 TOYIBA1995/0924 PA 7201-1 00787 Washington State Universityeuro116 5/20006602 26/07/2000 GOLDBAR* US01/08/2025 TOYUDA1995/0919 pa 63/55 00787 Washington State Universityeuro 6/19994880 20/09/1999 SWEET COT* US31/12/2029 VERTIGE2006/1286 a 3845 00689/03652 INRA - SICA CENTREXeuro 2/200924104 23/02/2009 VERTIGE FR31/12/2039 VULCAN2002/0986 riwaka 5/67 00915 The Horticulture & Food Researceuro 3/200822060 07/04/2008 RIWAKA 5/67 NZ31/12/2039 17/04/2016 Pàgina 35 de 74
  • 36.
    DenominacióNº Exp. Nomcomercial Codi / Titular Butlletí Nº POV Inici Protecció Fi Referència Obtentor / Prunus armeniaca L. WONDER COT2004/1624 a99 r1 t18 04767 SDR Fruit Llceuro 4/200925348 08/06/2009 WONDER COT US31/12/2039 YAMATO1995/2936 PA 6909 & 00787 Washington State Universityeuro 4/200617625 22/05/2006 YAMATO US31/12/2036 ZAIPRILEG2000/1888 36 gh 334 00859 Zaiger¦s inc Geneticseuro 5/200618124 17/07/2006 ZAIPRILEG US31/12/2036 ZAIPRINEY2000/1890 118 le 133 00859 Zaiger¦s inc Geneticseuro 6/200720975 08/10/2007 ZAIPRINEY US31/12/2037 ZAIPRIREP2000/1889 195 ld 95 00859 Zaiger¦s inc Geneticseuro 5/200618125 17/07/2006 ZAIPRIREP US31/12/2036 ZAITORDE2003/2019 135 97 cot 00189 DARNAUD, Jean-Pierreeuro 3/200822071 07/04/2008 FR31/12/2038 Especie Prunus avium (L.) L. x Prunus fructicosa Pallas DenominacióNº Exp. Nom comercial Codi / Titular Butlletí Nº POV Inici Protecció Fi Referència Obtentor / GISELA 41995/2902 GISELA 4 00347 Consortium Deutscher Baumscheuro 6/19994879 20/09/1999 DE31/12/2029 Especie Prunus avium L. DenominacióNº Exp. Nom comercial Codi / Titular Butlletí Nº POV Inici Protecció Fi Referència Obtentor / CIRERER DOLÇ 13N07702010/2856 17 72 cs 07886 MINISTER OF AGRICULTURE Aeuro 6/201541598 21/09/2015 STARDUST CA31/12/2045 13S20092000/0974 staccato 01067 Agricul.Canada Research Stationeuro 1/200718681 20/11/2006 STACCATO CA31/12/2036 AIDA2004/0281 iv-13/20 00695 G.Y.D.K.F.V.euro 2/200719223 19/02/2007 AIDA HU31/12/2037 ANNUS2004/1536 iv-3/41 00695 G.Y.D.K.F.V.euro 2/201128842 07/02/2011 HU31/12/2041 AXEL2002/1628 III-16/45 00695 G.Y.D.K.F.V.euro 4/200925363 08/06/2009 ALEX HU31/12/2039 BIGI SOL1998/1328 mf 20 05289 Vivai Piante Battistini Società Agreuro 6/200516179 12/09/2005 BIGI SOL IT31/12/2035 BLACK STAR2001/1540 DCA BO 85.723.002 01869/01947 CRPV Soc Coop / Univ. Studi Boleuro 3/200719951 16/04/2007 BLACK STAR IT31/12/2037 BLAZE STAR1998/1511 dca bo 85.721006 01869 ALMA MATER STUDIORUM-UNIeuro 6/200516182 12/09/2005 BLAZE STAR IT31/12/2035 CAMBRINA2006/0017 ny 7679 02540 Cornell Research Foundationeuro 6/201130890 10/10/2011 US31/12/2041 CARMEN2004/0282 iii-42/114 00695 G.Y.D.K.F.V.euro 2/200719224 19/02/2007 CARMEN HU31/12/2037 CHRISTIANA2007/2200 hl 13485 04564 Forschungs institut fur Obstbau ueuro 3/201334704 08/04/2013 CZ31/12/2043 EARLY NORVIK2006/0659 hl na 18/12-1 04564 Forschungs institut fur Obstbau ueuro 3/201437361 24/03/2014 EARLY NORVIK CZ31/12/2044 FERDIVA2006/1290 v 3115 00689/03652 INRA - SICA CENTREXeuro 1/200821391 10/12/2007 FERDIVA FR31/12/2037 FERDOUCE2007/2769 v3239 00689 INRA-Institut National de la Recheuro 1/201128601 17/12/2010 FR31/12/2040 FERMINA2005/1851 v3122 00689 INRA-Institut National de la Recheuro 2/200719034 22/01/2007 FERMINA FR31/12/2037 FERTARD2005/1850 v3382 00689 INRA-Institut National de la Recheuro 2/200719033 22/01/2007 FERTARD FR31/12/2037 FERTYILLE2006/1291 v 3476 00689 INRA-Institut National de la Recheuro 1/201128571 17/12/2010 FR31/12/2040 17/04/2016 Pàgina 36 de 74
  • 37.
    DenominacióNº Exp. Nomcomercial Codi / Titular Butlletí Nº POV Inici Protecció Fi Referència Obtentor / Prunus avium L. FOLFER2004/2329 v3387 00689 INRA-Institut National de la Recheuro 3/200924342 23/03/2009 FR31/12/2039 GLENRED2006/2740 44p1238 00279/08287 Sel. Plantas Sevilla SL / STAR Feuro 2/201231436 06/02/2012 GLENRED ES31/12/2042 GRACE STAR2001/1542 DCA BO 84.703.003 01869/01947 CRPV Soc Coop / Univ. Studi Boleuro 5/200720804 24/08/2007 GRACE STAR IT31/12/2037 JUSTYNA2007/1543 justyna 04564 Forschungs institut fur Obstbau ueuro 3/201334702 08/04/2013 CZ31/12/2043 KASANDRA2008/0146 hl 16 166 04564 Forschungs institut fur Obstbau ueuro 4/201335209 06/05/2013 CZ31/12/2043 KORVIK2008/1161 hl-na 18/12 04564 Forschungs institut fur Obstbau ueuro 3/201540488 07/04/2015 CZ31/12/2045 LALA STAR1998/1509 dca bo 85.710.009 01869 ALMA MATER STUDIORUM-UNIeuro 6/200516180 12/09/2005 LALA STAR IT31/12/2035 MARALY1996/0108 00750/00753 Prop. Fruit Varieties -euro 1/200412322 18/12/2003 EARLY RED (PRIME GIANT) US01/01/2034 MARIANT1995/2927 00750 Proprietary Fruit Varieties Ltd.euro 1/200412320 18/12/2003 GIANT RED US01/01/2034 MARIM1996/0107 00750/00753 Prop. Fruit Varieties -euro 1/200412321 18/12/2003 FIRM RED US01/01/2034 PANARO 12001/1541 DCA BO 84.704.006 01869/01947 CRPV Soc Coop / Univ. Studi Boleuro 3/200719933 16/04/2007 SWEET EARLY IT31/12/2037 PANARO 21998/1510 dca bo 83.705.001 01869 ALMA MATER STUDIORUM-UNIeuro 6/200516181 12/09/2005 PANARO 2 IT31/12/2035 PAULUS2004/1537 iv-6/39 00695 G.Y.D.K.F.V.euro 2/200719225 19/02/2007 HU31/12/2037 PC 706432003/2154 sf 90 006 00787 Washington State Universityeuro 1/200821390 10/12/2007 SELAH* US31/12/2037 PC 714462002/1423 pc 7144-6 00787 Washington State Universityeuro 2/200821793 28/01/2008 TIETON* US31/12/2038 PC 714682005/2663 pc7146-8 00787 Washington State Universityeuro 2/201231430 06/02/2012 US31/12/2042 PENNY2001/0823 c73-5 04662/00011 East Mallin Researh /euro 2/200821768 28/01/2008 PENNY UK31/12/2038 PETRUS2004/1538 iv-6/5 00695 G.Y.D.K.F.V.euro 2/200719226 19/02/2007 HU31/12/2037 PHLC1996/1446 HL 6 01544 Sempra Praha a.s.euro 6/200516295 10/10/2005 PHL C CZ31/12/2035 RITA2004/0283 iv-5/62 00695 G.Y.D.K.F.V.euro 2/200514661 07/02/2005 RITA HU31/12/2035 ROSILAM2010/0512 01.31.25ce - asf103 04628 SARL Agro Selection Fruitseuro 2/201539354 26/01/2015 FR31/12/2045 ROYAL EDIE2010/0023 62 00 cz 00189 DARNAUD, Jean-Pierreeuro 3/201437197 24/03/2014 FR31/12/2044 ROYAL HELEN2010/0024 63 00 cz 00189 DARNAUD, Jean-Pierreeuro 2/201539538 23/02/2015 FR31/12/2045 RUBILAM2010/0511 01.31.15ce - asf101 04628 SARL Agro Selection Fruitseuro 2/201539353 26/01/2015 FR31/12/2045 SANTINA1999/0193 13 s 25 22 00189 DARNAUD, Jean-Pierreeuro 2/200719028 22/01/2007 SANTINA FR31/12/2037 SKEENA1998/0068 13 s 43 48 00189 DARNAUD, Jean-Pierreeuro 6/200516176 12/09/2005 SKEENA FR31/12/2035 SUMBIGO2001/1907 1440 cs 00189 DARNAUD, Jean-Pierreeuro 3/200719926 16/04/2007 SUMBIGO FR31/12/2037 17/04/2016 Pàgina 37 de 74
  • 38.
    DenominacióNº Exp. Nomcomercial Codi / Titular Butlletí Nº POV Inici Protecció Fi Referència Obtentor / Prunus avium L. SUMBOLA1995/1340 15 62 CS 00189 DARNAUD, Jean-Pierreeuro 1/20005708 21/12/1999 SUMBOLA FR31/12/2029 SUMELE1995/1250 14 37 cs 00189 DARNAUD, Jean-Pierreeuro 1/200412025 10/11/2003 SATIN* FR01/01/2034 SUMGITA1995/1339 9cs 00189 DARNAUD, Jean-Pierreeuro116 2/19971654 15/01/1997 CANADA GIANT* FR01/12/2022 SUMLETA1995/1252 17 69 CS 00189 DARNAUD, Jean-Pierreeuro 1/20005705 20/12/1999 SONATA FR31/12/2029 SUMN314CH2005/2691 18 78 csi 00189 DARNAUD, Jean-Pierreeuro 3/201129630 18/04/2011 SABRINA FR31/12/2041 SUMNUE1995/1251 17-65 CS 00189 DARNAUD, Jean-Pierreeuro 1/20005704 20/12/1999 CRISTALINA FR31/12/2029 SUMPACA1995/1337 10 25 cs 00189 DARNAUD, Jean-Pierreeuro116 2/19971653 15/01/1997 CELESTE FR01/12/2022 SUMSTE1995/1334 11-28-CS 00189 DARNAUD, Jean-Pierreeuro 2/19971650 15/01/1997 SAMBA* FR31/12/2027 SUMTARE1995/1336 15 51 cs 00189 DARNAUD, Jean-Pierreeuro116 2/19971652 15/01/1997 SWEETHEART* FR01/12/2022 TAMARA2007/1544 tamara 04564 Forschungs institut fur Obstbau ueuro 3/201334703 08/04/2013 CZ31/12/2043 TECHLOVAN1998/1309 techlovan 01544 Sempra Praha a.s.euro 6/200516177 12/09/2005 TECHLOVAN CZ31/12/2035 VANDA1998/1327 na 18-27 01544 Sempra Praha a.s.euro 6/200516178 12/09/2005 VANDA CZ31/12/2035 VERA2002/1629 III-15/6 00695 G.Y.D.K.F.V.euro 2/200821769 28/01/2008 VERA HU31/12/2038 Especie Prunus avium L. x (Prunus canescens L. x Prunus tormentosa L.) DenominacióNº Exp. Nom comercial Codi / Titular Butlletí Nº POV Inici Protecció Fi Referència Obtentor / PIKU12001/1462 piku1 03021 Consortium Deutscher Baumscheuro 1/200310246 18/11/2002 DE31/12/2032 Especie Prunus besseyi Bailey x Prunus cerasifera Ehrh. DenominacióNº Exp. Nom comercial Codi / Titular Butlletí Nº POV Inici Protecció Fi Referència Obtentor / FERLENAIN1995/1409 ferlenain 00691 INRA-Institut National de la Recheuro116 1/19971264 15/10/1996 PLUMINA* FR01/04/2022 Especie Prunus canescens Bois × P. cerasus L. DenominacióNº Exp. Nom comercial Codi / Titular Butlletí Nº POV Inici Protecció Fi Referència Obtentor / GI 148132013/1854 gi 14813 00347 Consortium Deutscher Baumscheuro 2/201642314 25/01/2016 DE31/12/2046 Especie Prunus cerasifera Ehrh DenominacióNº Exp. Nom comercial Codi / Titular Butlletí Nº POV Inici Protecció Fi Referència Obtentor / PRUNERA MIRABOLÀ ADARA1995/3027 ciruelo 29AD 00648 Consejo Sup. de Investigacioneseuro 4/20029572 17/06/2002 ADARA ES31/12/2032 GF29802014/1244 gf2980 00689 INRA-Institut National de la Recheuro 2/201539361 26/01/2015 FR31/12/2045 17/04/2016 Pàgina 38 de 74
  • 39.
    DenominacióNº Exp. Nomcomercial Codi / Titular Butlletí Nº POV Inici Protecció Fi Referència Obtentor / Prunus cerasifera Ehrh x Prunus dulcis (Mill.) D.A. Webb Especie Prunus cerasifera Ehrh x Prunus dulcis (Mill.) D.A. Webb DenominacióNº Exp. Nom comercial Codi / Titular Butlletí Nº POV Inici Protecció Fi Referència Obtentor / HIBRID PRUNERA X AMETLLER REPLANTPAC2009/0230 pac 941 03862 AGROMILLORA CATALANA SAeuro 3/201437716 22/04/2014 ROOTPAC-R ES31/12/2044 Especie Prunus cerasifera Ehrh x Prunus persica (L.) Batsch DenominacióNº Exp. Nom comercial Codi / Titular Butlletí Nº POV Inici Protecció Fi Referència Obtentor / PRUNERA X PRESSEGUER KUBAN 862009/1565 kuban 86 03864 Krymsk Breeding Stationeuro 2/201436708 27/01/2014 RU31/12/2044 Especie Prunus cerasus L. DenominacióNº Exp. Nom comercial Codi / Titular Butlletí Nº POV Inici Protecció Fi Referència Obtentor / CIRERER ÀCID BIGI VIT1997/0653 victor 05289 Vivai Piante Battistini Società Agreuro 2/200821730 28/01/2008 IT31/12/2038 EDABRIZ1995/1531 edabriz 00691/00693 INRA - CTIFLeuro116 1/19971265 15/10/1996 TABEL* FR01/11/2021 FERPRIME1998/1843 ferprime 00689 INRA-Institut National de la Recheuro116 1/20005570 06/12/1999 PRIMULAT* FR31/12/2024 GEREMA1998/0318 gerena 00672 Forschungsanstalt Geisenheimeuro 3/19994253 06/04/1999 GEREMA DE31/12/2029 LÖVÖPETRI2010/0426 clone r 06930 RESEARCH AND EXTENSIONeuro 3/201129643 18/04/2011 HU31/12/2041 SPINELL2014/2153 spinell 06760 Julius Kühn Instituteuro 3/201540438 07/04/2015 DE31/12/2045 WEIROOT 7202009/0554 weiroot 720 00222 Technische Universitõt Müncheneuro 4/201335512 03/06/143 DE31/12/2043 Especie Prunus cerasus L. x (prunus cerasus L. x Prunus maacki Rupr.) DenominacióNº Exp. Nom comercial Codi / Titular Butlletí Nº POV Inici Protecció Fi Referència Obtentor / PRUNERA X MAACKI LC 522009/1566 lc 52 03864 Krymsk Breeding Stationeuro 2/201436795 10/02/2014 RU31/12/2044 Especie Prunus cerasus L. x Prunus canescens L. DenominacióNº Exp. Nom comercial Codi / Titular Butlletí Nº POV Inici Protecció Fi Referència Obtentor / GISELA 51995/1073 gisela 5 00347 Consortium Deutscher Baumscheuro116 1/19971268 15/10/1996 GI-SEL-A 5 DE01/11/2021 Especie Prunus domestica L. DenominacióNº Exp. Nom comercial Codi / Titular Butlletí Nº POV Inici Protecció Fi Referència Obtentor / PRUNERA EUROPEA AVIFEL1995/1530 avifel 00691/00693 INRA - CTIFLeuro116 1/19971267 15/10/1996 TORINEL* FR01/11/2021 BELLAMIRA2002/0184 klon p 34-56-94 00672 Forschungsanstalt Geisenheimeuro 2/200616766 30/01/2006 DE31/12/2036 BLUE MOON2011/0854 sel.8/91agri2000 07284 Agri 2000 net SRLeuro 2/201642548 22/02/2016 IT31/12/2046 CACAKS SPÄTE2005/1680 cacak späte (vi/28/81) 05199 Institut za Istrazivania u Polijopriveuro 1/201026242 07/12/2009 RS31/12/2039 CAPITANA1998/1532 capitana 02410/02411 Ghedini, G - Ghedini, P.A.euro 2/200514646 07/02/2005 IT31/12/2035 COLORA2003/1062 colora 00783 Universitõt Hohenheimeuro 3/200924350 23/03/2009 DE31/12/2039 17/04/2016 Pàgina 39 de 74
  • 40.
    DenominacióNº Exp. Nomcomercial Codi / Titular Butlletí Nº POV Inici Protecció Fi Referència Obtentor / Prunus domestica L. COUROD1999/1556 courod 02807/00189 Odier, G - Darnaud, JPeuro 2/200514579 21/02/2005 FR31/12/2035 ELENA1995/2736 00783 Universitõt Hohenheimeuro 5/19983126 02/06/1998 DE31/12/2028 FERDOR1995/1410 ferdor 00691 INRA-Institut National de la Recheuro116 1/19971266 15/10/1996 JULIOR* FR01/11/2021 HAGANTA2003/1063 gigant 00783 Universitõt Hohenheimeuro 3/200821933 10/03/2008 DE31/12/2028 HAROMA2005/1330 haroma 00783 Universitõt Hohenheimeuro 2/201026421 25/01/2010 DE31/12/2040 JOJO1999/1807 jojo 00783 Universitõt Hohenheimeuro 4/200413321 17/05/2004 DE31/12/2034 KATINKA1995/2729 Horteger 00783 Universitõt Hohenheimeuro116 4/19972210 27/06/1997 DE01/01/2024 PLUMIS2008/2079 hvl 357 06085/06391 BOOMKWEKERIJEN GEBROEDeuro 3/201437715 22/04/2014 NL31/12/2044 PRESENTA1999/0061 presenta 00783 Universitõt Hohenheimeuro 3/200310941 10/04/2003 PRESENTA DE10/04/2033 PRUDOM2002/2098 prudom 00347 Consortium Deutscher Baumscheuro 4/200720098 21/05/2007 DE31/12/2037 SUTTER2000/2082 sutter 00345 The Regents of the University ofeuro 2/200821731 28/01/2008 US31/12/2038 TEGERA1999/0181 tegera 00783 Universitõt Hohenheimeuro 3/200514913 21/03/2005 TEGERA DE31/12/2035 TIPALA1999/0182 tipala 00783 Universitõt Hohenheimeuro 3/200514914 21/03/2005 TIPALA DE31/12/2035 TOPFIVE2002/0186 p 6-85-95 00672 Forschungsanstalt Geisenheimeuro 3/200617343 24/04/2006 DE31/12/2036 TOPHIT1998/0317 tophit 00672 Forschungsanstalt Geisenheimeuro 4/20029577 17/06/2002 DE31/12/2032 TOPPER1998/0316 topper 00672 Forschungsanstalt Geisenheimeuro 4/20029576 17/06/2002 DE31/12/2032 TULARE2000/2081 tulare giant 00345 The Regents of the University ofeuro 3/200719948 16/04/2007 US31/12/2037 UTE2005/0243 ute 04951/04952 Cox-Coxeuro 4/200924893 04/05/2009 UK31/12/2039 VANDOR2011/0913 v70032 02072 University of Guelph - Businesseuro 2/201642549 22/02/2016 CA31/12/2046 VANETTE2003/1808 v 66071 04407 Agricultural Research Institute ofeuro 2/200924101 23/02/2009 CA31/12/2039 VIOLETTA1997/0269 bpr 1249c 01629 Swedish University Agr. Scienceseuro 3/20028997 18/03/2002 SE31/12/2032 Especie Prunus domestica x Prunus insititia) x Prunus salicina DenominacióNº Exp. Nom comercial Codi / Titular Butlletí Nº POV Inici Protecció Fi Referència Obtentor / PRUNUS PORTAEMPELTS MONREPOS20074707 ES936 CITA ARAGONesp 4-2011002532 06/07/2011 ES31/12/2041 Especie Prunus dulcis (Mill.) D.A. Webb DenominacióNº Exp. Nom comercial Codi / Titular Butlletí Nº POV Inici Protecció Fi Referència Obtentor / AMETLLER ANTOÑETA19974136 antoñeta 243 C.S.I.C.esp BOE-69002093 21/03/2003 ANTOÑETA ES21/03/2023 CONSTANTÍ2009/0751 irtamb-a22-120 00370 Institut de Recerca i Tecnologiaeuro 2/201128897 07/02/2011 CONSTANTI ES31/12/2041 17/04/2016 Pàgina 40 de 74
  • 41.
    DenominacióNº Exp. Nomcomercial Codi / Titular Butlletí Nº POV Inici Protecció Fi Referència Obtentor / Prunus dulcis (Mill.) D.A. Webb DIAMAR2009/0306 g-2-35 90042 Centro de Investigación y Tecnoleuro 4/201233017 18/06/2012 ES31/12/2042 ISABELONA20054615 belona ES930 CITA Aragónesp 1-2011002505 18/01/2011 ISABELONA ES31/12/2041 MARINADA2009/0754 irtamb-a23-57 00370 Institut de Recerca i Tecnologiaeuro 2/201126900 07/02/2011 MARINADA ES31/12/2041 MARTA19953932 ALMUDENA 243 C.S.I.C.esp BOE-69002091 21/03/2003 ALMUDENA ES21/03/2023 PENTACEBAS CSIC2007/1323 d00-203 00648 Consejo Sup. de Investigacioneseuro 4/201335208 06/05/2013 PENTACEBAS CSIC ES31/12/2043 SOLETA20054616 ES930 CITA Aragónesp 1-2011002507 18/01/2011 SOLETA ES31/12/2041 TARDONA2007/1322 d00-072 00648 Consejo Sup. de Investigacioneseuro 4/201335207 06/05/2013 TARDONA ES31/12/2043 TARRACO2009/0753 irtamb-a21-169 00370 Institut de Recerca i Tecnologiaeuro 2/201128899 07/02/2011 TARRACO ES31/12/2041 VAIRO2009/0752 irtamb-a21-323 00370 Institut de Recerca i Tecnologiaeuro 2/201128898 07/02/2011 VAIRO ES31/12/2041 Especie Prunus insititia L. DenominacióNº Exp. Nom comercial Codi / Titular Butlletí Nº POV Inici Protecció Fi Referència Obtentor / PRUNERA ADESOTO1995/3029 Puebla de Soto AD 101 00648 Consejo Sup. de Investigacioneseuro 4/20029574 17/06/2002 PUEBLA DE SOTO ES31/12/2032 Especie Prunus L. DenominacióNº Exp. Nom comercial Codi / Titular Butlletí Nº POV Inici Protecció Fi Referència Obtentor / PRUNUS COMET1996/1078 comet 01470 B.D. Rijnbeek Boomkwererijen B.euro 3/19982706 02/03/1998 NL31/12/2023 GI 20912002/1949 giessen 209/1 03021 Consortium Deutscher Baumscheuro 2/200719222 19/02/2007 DE31/12/2037 GI14811998/0997 gisela 6 03021 Consortium Deutscher Baumscheuro 4/200515835 20/06/2005 DE31/12/2035 PIKU42001/1206 piku4 00441 Deutsche Saatgutgesellsscaft Mbeuro 5/20029968 12/08/2002 DE31/12/2032 Especie Prunus laurocerasus L. DenominacióNº Exp. Nom comercial Codi / Titular Butlletí Nº POV Inici Protecció Fi Referència Obtentor / LLORER-CIRER ANBRI1995/1205 anbri 00138 Antigone Plantvermeerdering b.v.euro 3/19982719 02/03/1998 NL31/12/2023 ANI2011/0381 ani 02970 Heco Stekcultures B.V.euro 6/201438986 20/10/2014 NL31/12/2044 ANTONIUS2010/2192 jm 86 02968 Miklósné Józsaeuro 1/201436514 02/12/2013 HU31/12/2043 ARKTIS2013/2709 arktis 04735 JURGEN SCHUTTEeuro 6/201541695 21/09/2015 DE31/12/2045 BENJE GREEN2000/1131 prunus elegant 03081 Scherpereel, Gérardeuro 4/200413662 21/06/2004 BE31/12/2034 BOKRALYM2001/0693 bokralym 00026 Boot &Co Boomkwekerijen bveuro 5/200413890 16/08/2004 NL31/12/2029 BOKRAMER2001/0694 bokramer 00026 Boot &Co Boomkwekerijen bveuro 5/200513891 16/08/2004 NL31/12/2029 DARZALO2006/0538 darzalo 06286 Darthuizer B.V.euro 6/200823627 27/10/2008 NL31/12/2038 17/04/2016 Pàgina 41 de 74
  • 42.
    DenominacióNº Exp. Nomcomercial Codi / Titular Butlletí Nº POV Inici Protecció Fi Referència Obtentor / Prunus laurocerasus L. GABI2011/0382 gabi 02970 Heco Stekcultures B.V.euro 6/201438987 20/10/2014 NL31/12/2044 GAJO2004/0413 gajo 04578 Boomkwekerijen-Nouws-verheijeeuro 4/200617906 19/06/2006 NL31/12/2036 GORIS112012/0342 goris11 07569 Kees Goriseuro 4/201438079 02/06/2014 NL31/12/2044 GREENTORCH2007/1070 mingreen 03881 Pepinieres Minier SAeuro 1/201026185 16/11/2009 FR31/12/2039 GRPL182013/1979 grpl18 08150 GUIDO ROUWETTEeuro 6/201541693 21/09/2015 NL31/12/2045 HIBANI2008/2323 ruby 06430 Boomkwekerij Huijbregtseuro 1/201128463 08/11/2010 NL31/12/2040 IVORY2007/1950 05992 M.T.S. Custers-Van Dooreneuro 6/200926076 05/10/2009 NL31/12/2039 JM342006/1735 02968 Miklósné Józsaeuro 2/200719157 19/02/2007 HU31/12/2037 JOSA2011/0383 klone 100 02970 Heco Stekcultures B.V.euro 6/201438988 20/10/2014 NL31/12/2044 MARIBLON2003/0265 genolier 04139 Pepinieres de Genoliereuro 4/200617887 19/06/2006 CH31/12/2036 PIRANHA2012/1492 piranha 07727 FRANK SCHNUPPEReuro 6/201541686 21/09/2015 DE31/12/2045 RENTAN2012/0530 titan 07590 HUAMING WANGeuro 6/201541685 21/09/2015 NL31/12/2045 Especie Prunus lusitanica L. DenominacióNº Exp. Nom comercial Codi / Titular Butlletí Nº POV Inici Protecció Fi Referència Obtentor / BRENELIA2011/1273 brenelia 07314 Yves Breneliereeuro 6/201438976 20/10/2014 FR31/12/2044 Especie Prunus mahaleb L. DenominacióNº Exp. Nom comercial Codi / Titular Butlletí Nº POV Inici Protecció Fi Referència Obtentor / CIRERER SANTA LLÚCIA FERCI1995/1407 ferci 00691 INRA-Institut National de la Recheuro116 1/19971269 15/10/1996 PONTALEB* FR01/04/2022 Especie Prunus persica (L.) Batsch DenominacióNº Exp. Nom comercial Codi / Titular Butlletí Nº POV Inici Protecció Fi Referència Obtentor / PRESSEGUER "DORABELLE"2009/0269 2 5 20 07 07 06556 AC FRUIT SASeuro 6/201336038 09/09/2013 2 5 20 07 07 FR31/12/2043 "DORAFINE"2009/0270 3 6 05 08 05 06556 AC FRUIT SASeuro 6/201336029 09/09/2013 3 6 05 08 05 FR31/12/2043 "DORANE"2009/2506 24 1 3 06556 AC FRUIT SASeuro 6/201336030 09/09/2013 24 1 3 FR31/12/2043 ADELFAR2006/1486 naea-01 05513 Alvaro Liñan Liñaneuro 5/201233278 06/08/2012 ES31/12/2042 AFRICAN SUMMER SUN20004313 summer sun 03945 ARC Infruitec - Nietvoorbijesp 4-2010002489 06/07/2010 ZA31/12/2040 ALBATINE2011/2890 4-1-16-06-09 06556 AC FRUIT SASeuro 4/201541351 22/06/2015 FR31/12/2045 ALISIO 1520104933 mrca1 ES965 IMIDAesp 1-2016002716 13/12/2015 MRCA1 ES31/12/2045 ALITOP2006/1134 iff 990 01758 Istituto Sperimentale per la Fruttieuro 4/201130306 06/06/2011 ALITOP IT31/12/2041 17/04/2016 Pàgina 42 de 74
  • 43.
    DenominacióNº Exp. Nomcomercial Codi / Titular Butlletí Nº POV Inici Protecció Fi Referència Obtentor / Prunus persica (L.) Batsch ALLREDAL2005/0901 01.18.44 : asf 0141 04628 SARL Agro Selection Fruitseuro 2/200924111 23/02/2009 REGALSUN 28 FR31/12/2039 ALMA2002/1192 3285 02787 Montanari Domenicoeuro 3/200617334 24/04/2006 ALMA IT31/12/2036 ALMA 22010/1575 740 06648/02787 Luigi Montanari/Domenico Montaeuro 4/201541349 22/06/2015 ALMA 2 IT31/12/2045 ALMADUR20034527 3011285 ES919 SAT Frutariaesp 5-2009002435 22/07/2009 ES31/12/2039 ALMALATE20044574 32-3-11-9 ES919 SAT Frutariaesp 1-2010002470 25/12/2009 ES31/12/2039 ALMAMEBA20024448 almameb ES919 SAT Frutariaesp 2-2009002404 16/02/2009 ALMAMED ES31/12/2039 ALMAMECE20024453 almamec ES919 SAT Frutariaesp 2-2009002405 16/02/2009 ALMAMECE ES31/12/2039 ALMAMEDI20024451 almamed ES919 SAT Frutariaesp 2-2009002406 16/02/2009 ES31/12/2039 ALMAMEFO20024450 almamef ES919 SAT Frutariaesp 5-2009002436 22/07/2009 ES31/12/2039 ALMAMIEL20064701 ES919 SAT Frutariaesp 1-2011002525 18/01/2011 ALMAMIEL ES31/12/2040 ALMANEBO20024449 almaneb ES919 SAT Frutariaesp 2-2009002407 16/02/2009 ALMANEBO ES31/12/2039 ALMANECI20024447 almanec ES919 SAT Frutariaesp 5-2009002437 22/07/2009 ALMANECI ES31/12/2039 ALMANEFI20024446 almanef ES919 SAT Frutariaesp 5-2009002438 22/07/2009 ALMANEFI ES31/12/2039 ALMANEGE20024452 almaneg ES919 SAT Frutariaesp 5-2009002439 22/07/2009 ALMANEGE ES31/12/2039 ALMANOR20034529 334F4821 ES919 SAT Frutariaesp 1-2010002471 25/12/2009 ES31/12/2039 ALMAPEÑA20044568 ALMIP-1 ES919 SAT Frutariaesp 5-2009002440 22/07/2009 ES31/12/2039 ALMASEDA20044569 ALMIP-2 ES919 SAT Frutariaesp 1-2010002472 25/12/2009 ES31/12/2039 ALMAVERO20064700 ES919 SAT Frutariaesp 2-2013002574 17/01/2013 ES31/12/2043 ALMENAR20034528 almamar ES919 SAT Frutariaesp 5-2009002441 22/07/2009 ES31/12/2039 ALMIDEZ20044573 301-10-28-1 ES919 SAT Frutariaesp 4-2042002557 28/06/2012 ES31/12/2042 ALMONTIEL20064702 ES919 SAT Frutariaesp 1-2014002642 27/12/2013 ALMONTIEL ES31/12/2043 ALMORIN20024445 almaneda ES919 SAT Frutariaesp 5-2009002442 22/07/2009 ALMANEDA ES31/12/2039 ALMUD20044575 50-10-25-8 ES919 SAT Frutariaesp 5-2009002443 22/07/2009 ES31/12/2039 ALPINE2002/1202 2b-31-5 03945 ARC Infruitec - Nietvoorbijeuro 3/200924359 23/03/2009 ZA31/12/2039 AM72000/0913 am7 01869 ALMA MATER STUDIORUM-UNIeuro 6/200414080 24/10/2004 IT31/12/2034 AMBRA1997/0777 dca-bo85151169 01500 CRPV Soc. Coop. A.R.L. C. R. Peuro 5/20029921 12/08/2002 AMBRA (NECT) IT31/12/2032 AMIGA2000/1502 86 ve 61 05192 Giulio Minguzzieuro 6/200414082 25/10/2004 AMIGA IT31/12/2034 17/04/2016 Pàgina 43 de 74
  • 44.
    DenominacióNº Exp. Nomcomercial Codi / Titular Butlletí Nº POV Inici Protecció Fi Referència Obtentor / Prunus persica (L.) Batsch ANTONINA1999/1193 antonina 02684 Bertolami, Antonioeuro 6/200311653 08/09/2003 IT31/12/2033 APPYMAY20024469 S 9850 AP 00279 Selección Plantas Sevilla SLesp 5-2009002444 22/07/2009 ES31/12/2039 ARAMEX20074762 ES919 SAT Frutariaesp 2-2013002575 17/01/2013 ES31/12/2043 ARGENTO DI FAENZA1998/0152 ff 86958 05244 Dalmonte Fuido e Vittorio S.S. Seuro 1/200514225 08/11/2004 IT31/12/2034 ASFNBF04712008/0588 03.22.101 nbpl - asf 0471 04628 SARL Agro Selection Fruitseuro 3/201437362 24/03/2014 NECTACAKE 28 FR31/12/2044 ASFNBF07742009/0925 4s.3w53 nbpl - asf 0774 04628 SARL Agro Selection FruitsEURO 2/201334167 18/02/2013 NECTACAKE 25 FR31/12/2043 BARRIER 120002181 CNDR C. N. Della Ricercheesp BOE-69002181 21/03/2003 BARRIER IT21/03/2023 BELLAMINE2010/0495 03.10.25pb - asf0453 04628 SARL Agro Selection Fruitseuro 2/201436696 27/01/2014 ASF 04-53 FR31/12/2044 BLANVIO 102008/2234 00.47.009-pb 00132 Plantas de Navarra SAeuro 1/201436611 16/12/2013 BLANVIO 10 ES31/12/2043 BLANVIO 302006/1960 00.47.047-pb 00132 Plantas de Navarra SAeuro 2/201128850 07/02/2011 PLAWHITE 30 ES31/12/2041 BONFIRE1997/0703 ark.84186-t3 01752 University of Arkansaseuro 5/20029920 12/08/2002 US31/12/2032 BORDÒ2009/2143 bo 96025004 01869/04704/06419/0 C.R.P.V/Apofruit Italia/Universitàeuro 4/201438205 02/06/2014 BORDÒ IT31/12/2044 BRADYLA2005/2524 2 p 1052 00160/00279 Gie Star Fruits - Sel. Plantas Seveuro 2/201026761 22/02/2010 FR31/12/2040 BRAKAY20054594 N 95 25 00279 Selección Plantas Sevilla SLesp 4-2010002491 06/07/2010 BRAKAY ES31/12/2040 BRAPRE2001/0161 sf 94.003 00279/08287 Sel. Plantas Sevilla SL / STAR Feuro 6/200311977 20/10/2003 BRAPRE ES31/12/2033 BRAREG20054596 N9558 00279 Selección Plantas Sevilla SLesp 4-2010002492 06/07/2010 BRAREG ES31/12/2040 BRITTNEY LANE2006/2514 564 99 pj 00189 DARNAUD, Jean-Pierreeuro 4/201130096 23/05/2011 FR31/12/2041 BURNECTFOUR2006/2554 c2.092 03688 The Burchell Nursery inc.euro 4/201232660 07/05/2012 US31/12/2042 BURPEACHFIVE2004/2274 b2.098 03688 The Burchell Nursery inc.euro 3/201129119 07/03/2011 US31/12/2041 BURPEACHFOUR2004/2273 b2.034 03688 The Burchell Nursery inc.euro 3/201129118 07/03/2011 US31/12/2041 BURPEACHONE2004/2271 d2.102 03688 The Burchell Nursery inc.euro 3/200924360 23/03/2009 US31/12/2039 BURPEACHSEVEN2006/2556 c12.001 03688 The Burchell Nursery inc.euro 3/201119126 07/03/2011 US31/12/2041 BURPEACHSIX2004/2269 b4.098 03688 The Burchell Nursery inc.euro 3/201129117 07/03/2011 US31/12/2041 BURPEACHTWELVE2006/2558 c10.013 03688 The Burchell Nursery inc.euro 4/201232661 07/05/2012 US31/12/2042 BURPEACHTWO2001/2051 a 39 006 03688 The Burchell Nursery inc.euro 4/200720403 18/06/2007 US31/12/2037 C-23020084840 c-230 ES919 SAT Frutariaesp 1-2014002643 27/12/2013 C-230 ES31/12/2043 C-5820084842 c-58 ES919 SAT Frutariaesp 2-2013002576 17/01/2013 C-58 ES31/12/2043 17/04/2016 Pàgina 44 de 74
  • 45.
    DenominacióNº Exp. Nomcomercial Codi / Titular Butlletí Nº POV Inici Protecció Fi Referència Obtentor / Prunus persica (L.) Batsch CAKEAUGUST2011/0563 4s.6e.12nbpl - asf0870 04628 SARL Agro Selection Fruitseuro 2/201539654 23/02/2015 FR31/12/2045 CAKELOVE2011/0562 4s.3e.168nbpl - asf0775 04628 SARL Agro Selection Fruitseuro 2/201539653 23/02/2015 FR31/12/2045 CAKEPEARL2010/0500 4s.3w.18nbpl - asf0678 04628 SARL Agro Selection Fruitseuro 4/201437915 05/05/2014 NECTACAKE* ASF0678 FR31/12/2044 CAKEREDAL2010/0503 4s.5w.135nbpl - asf0778 04628 SARL Agro Selection Fruitseuro 2/201436700 27/01/2014 NECTACAKE* ASF0778 FR31/12/2044 CAKEREINE2010/0504 4s.4e.109nbpl - asf0780 04628 SARL Agro Selection Fruitseuro 2/201436701 27/01/2014 ASF 07-80 FR31/12/2044 CAKEROSY2011/0564 4s.8e.67nbpl - asf0871 04628 SARL Agro Selection Fruitseuro 2/201539655 23/02/2015 FR31/12/2045 CAKESEPTEMBER2009/0939 4n.13.01 nbpl - asf 0688 04628 SARL Agro Selection FruitsEURO 2/201334180 18/02/2013 NECTACAKE*35 ASF0688 FR31/12/2043 CAKESWIT2010/0502 4s.4e.103nbpl - asf0777 04628 SARL Agro Selection Fruitseuro 2/201436969 24/02/2014 NECTACAKE* ASF0777 FR31/12/2044 CALANTE 119892447 522 D.G.A./Dip. TEResp 001999 09/02/1999 CALANTE ES08/02/2019 CALEJOS20074768 02018 Diputación General de Arag¾nesp 3-2013002626 03/08/2013 ES31/12/2043 CALEMIL20074765 02018 Diputación General de Arag¾nesp 3-2013002627 03/08/2013 ES31/12/2043 CALPREBOR20074766 02018 Diputación General de Arag¾nesp 3-2013002628 03/08/2013 ES31/12/2043 CALRICO20074767 02018 Diputación General de Arag¾nesp 3-2013002629 03/08/2013 ES31/12/2043 CASABOI1995/0722 se 88205 00279 Selección Plantas Sevilla SLeuro116 3/20017451 09/04/2001 ES01/05/2026 CASASIL1995/0721 se 9003 00279 Selección Plantas Sevilla SLeuro116 3/20017450 09/04/2001 ES01/05/2026 CAUSSOROB20024470 CAS 9774 00279 Selección Plantas Sevilla SLesp 1-2010002474 25/12/2009 ES31/12/2039 CAVEL1995/1329 00189 DARNAUD, Jean-Pierreeuro116 1/19993893 14/12/1998 SPRING WHITE* FR01/01/2024 CAZIDELI20024472 SD 09124 00279 Selección Plantas Sevilla SLesp 5-2009002446 22/07/2009 ES31/12/2039 CONCETTINA2007/2925 aso01 02489/04400/06131/0 B. Mezzetti - F. Capocasa - B. Coeuro 4/201335359 21/05/2013 IT31/12/2043 CONQUISE2003/0269 s6200 00689 INRA-Institut National de la Recheuro 6/200516193 12/09/2005 CONQUISE FR31/12/2035 CONVOITISE2007/2770 s6925 00689 INRA-Institut National de la Recheuro 2/201026778 22/02/2010 FR31/12/2040 COUNTRYSWEET2008/2765 297 90 pj 00189 DARNAUD, Jean-Pierreeuro 4/201335219 06/05/2013 COUNTRYSWEET FR31/12/2043 CRIMSON LADY1995/0521 42 p 870 00279/08287 Sel. Plantas Sevilla SL / STAR Feuro116 3/19971871 03/04/1997 CRIMSON LADY ES01/02/2023 CRISPBELLA2010/0493 01.29e.62pj - asf0842 04628 SARL Agro Selection Fruitseuro 2/201436695 27/01/2014 CRISPBELLA FR31/12/2044 CRISPDELICE SUN2006/0998 03.05.142 pj-asf 0443 04628 SARL Agro Selection Fruitseuro 2/201026769 22/02/2010 TONICSUN 31 FR31/12/2040 CRISPREGAL2006/0997 03.05.139 pj-asf 0441 04628 SARL Agro Selection Fruitseuro 2/201026768 22/02/2010 TONICSUN 29 FR31/12/2040 CRISPRIM2010/0492 01.29e.65pj - asf0841 04628 SARL Agro Selection Fruitseuro 2/201436694 27/01/2014 CRISPIM FR31/12/2044 17/04/2016 Pàgina 45 de 74
  • 46.
    DenominacióNº Exp. Nomcomercial Codi / Titular Butlletí Nº POV Inici Protecció Fi Referència Obtentor / Prunus persica (L.) Batsch CRISPSTAR2010/0494 01.29e.79pj - asf0843 04628 SARL Agro Selection Fruitseuro 4/201437913 05/05/2014 CRISPSTAR FR31/12/2044 CRIZIA2001/1433 IFF 10,161 01500 CRPV Soc. Coop. A.R.L. C. R. Peuro 5/200515861 18/07/2005 IT31/12/2035 DIAMOND RAY1995/1406 28 p 514 00279/08287 Sel. Plantas Sevilla SL / STAR Feuro 1/19993898 14/12/1998 DIAMOND RAY ES31/12/2028 DONUTNICE2006/1000 02.07.19 nbpl-asf 0283 04628 SARL Agro Selection Fruitseuro 2/201026771 22/02/2010 NECTACAKE 30 FR31/12/2040 DORAGILE2010/2718 4-6-10-08-06 06556 AC FRUIT SASeuro 4/201438210 02/06/2014 FR31/12/2044 DORAZIE2010/2715 4-8-05-08-06 06556 AC FRUIT SASeuro 4/201438209 02/06/2014 FR31/12/2044 E.C.A. ALFARRAS19933447 521 D.A.R.P.esp BOE-69002183 21/03/2003 ROIG ESCOLA ALFARRAS ES21/03/2023 ELISE2003/0271 s6367 00689 INRA-Institut National de la Recheuro 2/200412668 23/02/2004 ELISE FR23/02/2034 ENDOGUST2009/0931 03.24.01 nb - asf 0526 04628 SARL Agro Selection FruitsEURO 2/201334173 18/02/2013 ASF 05-26 FR31/12/2043 ESCORPIO20054592 100903 Comercial Técnica y Viveros SLesp 1-2011002526 18/01/2011 ESCORPIO ES31/12/2040 EVAISA19892449 522 D.G.A./Dip. TEResp 002000 09/02/1999 EVAISA ES08/02/2019 FERCLUSE2000/1077 s6026 00689 INRA-Institut National de la Recheuro 1/200310242 18/11/2002 FERCLUSE FR18/11/2032 FERGOLD2000/1076 s5710 00689 INRA-Institut National de la Recheuro 1/200310241 18/11/2002 FERGOLD FR18/11/2032 FERLATE2007/2525 s7040 00689 INRA-Institut National de la Recheuro 2/201231432 06/02/2012 FR31/12/2042 FERLOT2000/1074 s6037 00689 INRA-Institut National de la Recheuro 1/200310239 18/11/2002 FERLOT FR18/11/2032 FIAMMA 12009/0892 6060 02787/06648 Domenico Montanari/Luigi Montaeuro 4/201438204 02/06/2014 FIAMMA 1 IT31/12/2044 FIRST SNOW 82008/2013 zpb7-1 05589/05590 Gravilorenzo SL - A. Lópezeuro 2/201436965 24/02/2014 FIRST SNOW 8 ES31/12/2044 FLAJIMA2004/2501 n43-20nb 04411 PSB Producción Vegetal SLeuro 5/201130552 25/07/2011 ES31/12/2041 FLANOBA2004/2498 n2-20nj 04411 PSB Producción Vegetal SLeuro 5/201130551 25/07/2011 ES31/12/2041 FLARIBA2004/2496 n2-117nj 04411 PSB Producción Vegetal SLeuro 5/201130549 25/07/2011 ES31/12/2041 FLATBEAUTI2010/0508 01.29e.50pbpl - asf0795 04628 SARL Agro Selection Fruitseuro 2/201436704 27/01/2014 REGALCAKE* ASF0795 FR31/12/2044 FLATBELLA2010/0507 01.29e.49pbpl - asf0792 04628 SARL Agro Selection Fruitseuro 2/201436703 27/01/2014 REGALCAKE* ASF0792 FR31/12/2044 FLATCHIEF2011/0566 01.26w.40pbpl - asf0892 04628 SARL Agro Selection Fruitseuro 2/201539657 23/02/2015 FR31/12/2045 FLATJULIE2010/0510 01.29e.33pbpl - asf0893 04628 SARL Agro Selection Fruitseuro 2/201436705 27/01/2014 REGALCAKE* ASF0893 FR31/12/2044 FLATLATE CAKE2006/1002 02.07.16 pbpl-asf 0287 04628 SARL Agro Selection Fruitseuro 2/201026773 22/02/2010 REGALCAKE 37 FR31/12/2040 FLATMOON2010/0509 05.01.192pbpl - asf0799 04628 SARL Agro Selection Fruitseuro 2/201539642 23/02/2015 REGALCAKE* ASF0799 FR31/12/2045 FLATOP2011/0565 01.29e.42pbpl - asf0797 04628 SARL Agro Selection Fruitseuro 2/201539656 23/02/2015 FR31/12/2045 17/04/2016 Pàgina 46 de 74
  • 47.
    DenominacióNº Exp. Nomcomercial Codi / Titular Butlletí Nº POV Inici Protecció Fi Referència Obtentor / Prunus persica (L.) Batsch FLATPRETTY2005/0906 01.10.64 : asf 0280 04628 SARL Agro Selection Fruitseuro 2/200924115 23/02/2009 REGALCAKE* ASF0280 (26) FR31/12/2039 FLATPRINCESSE2005/0903 02.03.21 : asf 0385 04628 SARL Agro Selection Fruitseuro 2/200924113 23/02/2009 REGALCAKE* 33 ASF0385 FR31/12/2039 FLATQUEEN2005/0905 01.24.88 : asf 0286 04628 SARL Agro Selection Fruitseuro 2/200924114 23/02/2009 REGALCAKE* 34 ASF0783 FR31/12/2039 FLATRED CAKE2006/1001 03.12.122 pbpl-asf 0386 04628 SARL Agro Selection Fruitseuro 2/201026772 22/02/2010 REGALCAKE* 32 FR31/12/2040 FLATREINE2009/0935 01.29e.44 pbpl - asf 0796 04628 SARL Agro Selection FruitsEURO 2/201334176 18/02/2013 REGALCAKE*29 AFS0796 FR31/12/2043 FLATSEPTEMBER2008/0591 03.15.22 pbpl - asf 0493 04628 SARL Agro Selection Fruitseuro 3/201437364 24/03/2014 REGALCAKE*35 ASF0493 FR31/12/2044 FLATSTAR2009/0936 01.29e.41 pbpl - asf 0798 04628 SARL Agro Selection FruitsEURO 2/201334177 18/02/2013 ASF 07-98 FR31/12/2043 FLATSUNPI2010/0505 05.01.134pjpl - asf0783 04628 SARL Agro Selection Fruitseuro 2/201436970 24/02/2014 PEACHCAKE* ASF0783 FR31/12/2044 FLATSUNREINE2010/0506 01.29e.25pjpl - asf0881 04628 SARL Agro Selection Fruitseuro 2/201436702 27/01/2014 PEACHCAKE* ASF0881 FR31/12/2044 FLAVANA2004/2497 n2-24nb 04411 PSB Producción Vegetal SLeuro 5/201130550 25/07/2011 ES31/12/2041 FLAVELA2004/2495 n2-36nb 04411 PSB Producción Vegetal SLeuro 5/201130548 25/07/2011 ES31/12/2041 FUERTES20054593 100903 Comercial Técnica y Viveros SLesp 4-2010002493 06/07/2010 ES31/12/2040 FULLREDAL2005/0898 01.19.01 : asf 0246 04628 SARL Agro Selection Fruitseuro 3/200924344 23/03/2009 REGALSUN 31 FR31/12/2039 GARACO2003/1887 nb 81-84 04411 PSB Producción Vegetal SLeuro 3/200924369 23/03/2009 GARACO (R13) ES31/12/2039 GARBAJA2003/1882 nj 32-1 04411 PSB Producción Vegetal SLeuro 4/200924891 04/05/2009 ES31/12/2039 GARCICA2003/1885 nb 12-84 04411 PSB Producción Vegetal SLeuro 3/200924367 23/03/2009 GARCICA (R22) ES31/12/2039 GARCIMA2003/1888 nj 88-2 04411 PSB Producción Vegetal SLeuro 3/200924370 23/03/2009 ES31/12/2039 GARDETA2003/1890 nj 52-84 04411 PSB Producción Vegetal SLeuro 3/200924372 23/03/2009 GARDETA (R28) ES31/12/2039 GARIBLA2003/1884 nb 38-2 04411 PSB Producción Vegetal SLeuro 3/201026941 22/03/2010 ES31/12/2040 GARMINATA2003/1891 nb 78-2 04411 PSB Producción Vegetal SLeuro 3/200924830 20/04/2009 GARMINATA ES31/12/2039 GARNIFOLA2003/1886 nj 25-84 04411 PSB Producción Vegetal SLeuro 3/200924368 23/03/2009 GARNIFOLA ES31/12/2039 GAROFA2003/1892 nj 21-64 04411 PSB Producción Vegetal SLeuro 3/200924373 23/03/2009 GAROFA (R8) ES31/12/2039 GARTAIRO2003/1883 nj 82-64 04411 PSB Producción Vegetal SLeuro 3/200924829 20/04/2009 GARTAIRO (R2) ES31/12/2039 GARTELLA2003/1889 nj 29-2 04411 PSB Producción Vegetal SLeuro 3/200924371 23/03/2009 ES31/12/2039 GEA2010/0134 geo 3703 06885 Geoplant Vivai SRL Societa Agriceuro 4/201438207 02/06/2014 GEO 3703 IT31/12/2044 GELO 12008/2682 gelo-1 04812/04813 NICOTRA / CONTEeuro 6/200925980 05/10/2009 GHIACCIO* 1 IT31/12/2039 GELO 22008/2683 gelo-2 04812/04813 NICOTRA / CONTEeuro 6/200925981 05/10/2009 GHIACCIO* 2 IT31/12/2039 17/04/2016 Pàgina 47 de 74
  • 48.
    DenominacióNº Exp. Nomcomercial Codi / Titular Butlletí Nº POV Inici Protecció Fi Referència Obtentor / Prunus persica (L.) Batsch GELO 32008/2684 gelo-3 04812/04813 NICOTRA / CONTEeuro 6/200925982 05/10/2009 GHIACCIO* 3 IT31/12/2039 HONEY BLAZE2000/1777 544 97n 00189 DARNAUD, Jean-Pierreeuro 2/200616996 27/02/2006 HONEY BLAZE FR31/12/2036 HONEY BLUSH2004/0774 2b-53-13 03945 ARC Infruitec - Nietvoorbijeuro 5/201233276 06/08/2012 ZA31/12/2042 HONEY FIRE2004/2467 688 99 n 00189 DARNAUD, Jean-Pierreeuro 3/201027231 19/04/2010 HONEY FIRE FR31/12/2040 HONEY HAVEN2000/1775 556 97n 00189 DARNAUD, Jean-Pierreeuro 2/200616995 27/02/2006 BIG HAVEN FR31/12/2036 HONEY KIST1998/0669 333.91.n 00189 DARNAUD, Jean-Pierreeuro 1/200412032 10/11/2003 BO 90004011 FR01/01/2034 HONEY ROYALE2002/1788 529 96 n 00189 DARNAUD, Jean-Pierreeuro 4/200720398 18/06/2007 HONEY ROYALE FR31/12/2037 HORIZON2006/0858 horizon 03945 ARC Infruitec - Nietvoorbijeuro 5/201233277 06/08/2012 ZA31/12/2042 ISFROPLAT-320044549 ufo 3 IT015 Istituto Sperimentale per la Fruttiesp 4-2010002494 06/07/2010 UFO - 3 IT31/12/2040 ISFROPLAT-420044548 ufo 4 IT015 Istituto Sperimentale per la Fruttiesp 4-2010002495 06/07/2010 UFO - 4 IT31/12/2040 ISFROPLAT-920064664 IT015 Istituto Sperimentale per la Fruttiesp BOE98002674 25/04/2015 UFO - 9 IT31/12/2044 IVORY NIGHT2010/2738 48 p 606 00279/08287 Sel. Plantas Sevilla SL / STAR Feuro 3/201437365 24/03/2014 ES31/12/2044 IVORY STAR2008/2771 20 p 1169 00279/08287 Sel. Plantas Sevilla SL / STAR Feuro 2/201231546 20/02/2012 20 P 1169 (IVORY STAR) ES31/12/2042 IVORY SUN2010/2740 14 p 278 00160/00279 Gie Star Fruits - Sel. Plantas Seveuro 2/201539646 23/02/2015 FR31/12/2045 JESCA19892450 522 D.G.A./Dip. TEResp 002001 09/02/1999 JESCA ES08/02/2019 JULIENICE2005/0900 01.24.14 : asf 0248 04628 SARL Agro Selection Fruitseuro 2/200924110 23/02/2009 REGALSUN 34 FR31/12/2039 JULIEPRETTY2005/0899 02.04.55 : asf 0252 04628 SARL Agro Selection Fruitseuro 2/200924109 23/02/2009 REGALSUN 33 FR31/12/2039 LAMINERA20034530 almanat (334F4828) ES919 SAT Frutariaesp 1-2010002475 25/12/2009 ES31/12/2039 LARCABON20024476 SD 9779 00279 Selección Plantas Sevilla SLesp 5-2009002447 22/07/2009 ES31/12/2039 LARCAPRE20024475 S9612 FG 00279 Selección Plantas Sevilla SLesp 5-2009002448 22/07/2009 ES31/12/2039 LORDABRY20024473 S 9781 BR 00279 Selección Plantas Sevilla SLesp 5-2009002449 22/07/2009 ES31/12/2039 LORDADIAM2006/2406 6698s 00279/03299 Sel. Plantas Sevilla SL - S.N.C. Seuro 3/201129125 07/03/2011 ES31/12/2041 LORDADOU20024474 ST 9790 00279 Selección Plantas Sevilla SLesp 5-2009002450 22/07/2009 ES31/12/2039 LUCIANA2006/0021 n47-13 nj 04411 PSB Producción Vegetal SLeuro 3/201129121 07/03/2011 LUCIANA (R48) ES31/12/2041 LUCIBELLA2006/0020 n46-22 nj 04411 PSB Producción Vegetal SLeuro 5/201130556 25/07/2011 ES31/12/2041 MAILLARA2000/0352 01283727 02954 Scea Euro Pépinièreseuro 6/200311973 20/10/2003 BIG BANG* FR31/12/2033 MAILLARBIG2002/0587 ep 9215 r 02954 Scea Euro Pépinièreseuro 1/200412113 24/11/2003 BIGSUN FR01/01/2034 17/04/2016 Pàgina 48 de 74
  • 49.
    DenominacióNº Exp. Nomcomercial Codi / Titular Butlletí Nº POV Inici Protecció Fi Referència Obtentor / Prunus persica (L.) Batsch MAILLARBINETTE2002/0590 ep 97.51 02954 Scea Euro Pépinièreseuro 1/200412114 24/11/2003 BELBINETTE FR01/01/2034 MAILLARDANCE2004/0752 01.05.05.98 pb 04628 SARL Agro Selection Fruitseuro 3/200821919 10/03/2008 REGAL SNOW* 35 FR31/12/2038 MAILLARDIVA2004/0751 01.05.20.98 pb 04628 SARL Agro Selection Fruitseuro 3/200821918 10/03/2008 REGAL SNOW* 34 FR31/12/2038 MAILLARDUCHESSE2004/0749 01.14.77.01 nb 04628 SARL Agro Selection Fruitseuro 3/200821916 10/03/2008 NECTADELICE* 36 FR31/12/2038 MAILLARFLAT2002/0570 ep 93,06 02954 Scea Euro Pépinièreseuro 1/200412110 24/11/2003 SWEET CAP* FR01/01/2034 MAILLARGOOD2002/0573 ep 9420 r 02954 Scea Euro Pépinièreseuro 1/200412111 24/11/2003 VERYGOOD FR01/01/2034 MAILLARLOVE2004/0750 01.11.92.02 pb 04628 SARL Agro Selection Fruitseuro 3/200821917 10/03/2008 REGAL SNOW* 26 FR31/12/2038 MAILLARMAGIE2002/0589 nb0192497 clone ep 9769 02954 Scea Euro Pépinièreseuro 2/200616775 30/01/2006 MAGIQUE* FR31/12/2036 MAILLARMALINE2002/0571 ep 9655 pb 02954 Scea Euro Pépinièreseuro 2/200616773 30/01/2006 VALENTINE* FR31/12/2036 MAILLARNECTA2002/0572 ep 9748 02954 Scea Euro Pépinièreseuro 5/200618129 17/07/2006 BIG NECTARED FR31/12/2036 MAILLARPLUS2002/0574 ep 91,08 r 02954 Scea Euro Pépinièreseuro 1/200412112 24/12/2003 PLUSPLUS* FR01/01/2034 MAILLARPRINCESSE2004/0747 01.16.73.01 nb 04628 SARL Agro Selection Fruitseuro 3/200821914 10/03/2008 NECTADELICE 28 FR31/12/2038 MAILLARQUEEN2004/0745 01.14.03.01 nb 04628 SARL Agro Selection Fruitseuro 3/200821905 10/03/2008 NECTADELICE 25 FR31/12/2038 MAILLARUBY2002/0575 ep 94.41 nb 02954 Scea Euro Pépinièreseuro 2/200616774 30/01/2006 PRETTY RUBIS FR31/12/2036 MAJESTIC PEARL2007/2568 15 g 222 00279/08287 Sel. Plantas Sevilla SL / STAR Feuro 4/201232806 04/06/2012 ES31/12/2042 MALATEWHITE2005/0912 02.06.68 : asf 0265 04628 SARL Agro Selection Fruitseuro 2/200924121 23/02/2009 REGAL SNOW* 36 FR31/12/2039 MAPERLA2005/0910 02.11.19 : asf 0363 04628 SARL Agro Selection Fruitseuro 2/200924119 23/02/2009 REGAL SNOW* 30 FR31/12/2039 MASNOW2005/0911 01.17.108 : asf 0362 04628 SARL Agro Selection Fruitseuro 2/200924120 23/02/2009 REGAL SNOW* 29 FR31/12/2039 MATOPRED2005/0902 02.10.108 : asf 0255 04628 SARL Agro Selection Fruitseuro 2/200924112 23/02/2009 REGALSUN 35 FR31/12/2039 MAY HERO2009/2287 w / sil-42 05589/05590 Gravilorenzo SL - A. Lópezeuro 2/201436966 24/02/2014 MAY HERO ES31/12/2044 MAY PEARL2008/2768 30 p 484 00279/08287 Sel. Plantas Sevilla SL / STAR Feuro 2/201231543 20/02/2012 MAY PEARL ES31/12/2042 MELDOREE2010/2717 8-01-02 06556 AC FRUIT SASeuro 5/201438704 28/07/2014 FR31/12/2044 MESEMBRINE2001/1739 s 6606 00689 INRA-Institut National de la Recheuro 6/200311978 20/10/2003 MESEMBRINE FR31/12/2033 MESSAPIA2002/0724 messapia 03849 Giannoccaro Pietroeuro 6/200414095 25/10/2004 IT31/12/2034 MOMEE1995/1043 4001 08287 STAR FRUITS DIFFUSION S.A.euro116 3/19971870 03/04/1997 JADE* FR01/02/2023 MONADINE2007/0118 2-3 01045 Monteux Gaillet Reneeuro 4/201232797 21/05/2012 MONADINE FR31/12/2042 MONAFI20054588 1079 ES921 René Monteux-Cailletesp 4-2010002502 12/07/2010 GRENAT* FR31/12/2040 17/04/2016 Pàgina 49 de 74
  • 50.
    DenominacióNº Exp. Nomcomercial Codi / Titular Butlletí Nº POV Inici Protecció Fi Referència Obtentor / Prunus persica (L.) Batsch MONALAND2007/2726 4 05 02 01045 Monteux Gaillet Reneeuro 3/201129640 18/04/2011 FR31/12/2041 MONALU20024454 149 5 ES920 Star Fruits SNCesp 5-2009002451 22/07/2009 ONYX* FR31/12/2039 MONAM20014345 4068 00160/03237 G.I.E. Star Fruits - Serge Lafondesp 5-2009002452 22/07/2009 AMBRE* FR31/12/2039 MONARIGA2007/2725 1 02 02 01045 Monteux Gaillet Reneeuro 1/201231263 19/12/2011 FR31/12/2041 MONASID2007/2565 2 09 02 01045 Monteux Gaillet Reneeuro 3/201129639 18/04/2011 FR31/12/2041 MONATUN2007/2564 2 04 02 01045 Monteux Gaillet Reneeuro 3/201129638 18/04/2011 FR31/12/2041 MONBACH2013/3045 4-14 01045 Monteux Gaillet Reneeuro 4/201438337 16/06/2014 FR31/12/2044 MONBELLO2011/0127 12 04 02 01045 Monteux Gaillet Reneeuro 2/201436971 24/02/2014 FR31/12/2044 MONCANTE2009/0074 23 20 02 01045 Monteux Gaillet Reneeuro 2/201334165 18/02/2013 23 20 02 FR31/12/2043 MONCAV1995/1044 15-83-170 00160 Gie Star Fruitseuro116 2/19971644 15/01/1997 OPALE* FR01/02/2022 MONCHA2013/3053 12-24 01045 Monteux Gaillet Reneeuro 4/201438339 16/06/2014 FR31/12/2044 MONCO20014383 7025 FR900 Monteux-Caillet, Renéesp 5-2009002453 22/07/2009 CORALINE* FR31/12/2039 MONCREST2009/0268 7 08 03 01045 Monteux Gaillet Reneeuro 34166 18/02/2013 7 08 03 FR31/12/2043 MONDORÉ2003/2397 161-15 01045 Monteux Gaillet Reneeuro 3/200821921 10/03/2008 DOLOMITE* FR31/12/2038 MONERIN2006/2508 15-10 01045 Monteux Gaillet Reneeuro 3/200821932 10/03/2008 ORINE* FR31/12/2038 MONFAIT2008/2742 2 5 01045 Monteux Gaillet Reneeuro 3/201129641 18/04/2011 MONFAIT FR31/12/2041 MONGOT2003/2399 53-15 01045 Monteux Gaillet Reneeuro 3/200821922 10/03/2008 AMAZONITE* FR31/12/2038 MONGROS2002/1424 966 01045 Monteux Gaillet Reneeuro 6/200516191 12/09/2005 GYPSE* FR31/12/2035 MONID20014385 1276 FR900 Monteux-Caillet, Renéesp 5-2009002455 22/07/2009 FR31/12/2039 MONIJOL2007/2563 5 3 3 01045 Monteux Gaillet Reneeuro 2/201128853 07/02/2011 FR31/12/2041 MONIRON2008/2743 0 14 7 07 01045 Monteux Gaillet Reneeuro 3/201129642 18/04/2011 MONIRON FR31/12/2041 MONIVO20014386 89.6 FR900 Monteux-Caillet, Renéesp 5-2009002456 22/07/2009 IVOIRE* FR31/12/2039 MONJAUNE20024455 160 3 ES920 Star Fruits SNCesp 5-2009002457 22/07/2009 CORINDON* FR31/12/2039 MONLEB2013/3043 4-8 01045 Monteux Gaillet Reneeuro 4/201438336 16/06/2014 FR31/12/2044 MONLY2004/2486 4-3-7 01045 Monteux Gaillet Reneeuro 3/200821926 10/03/2008 FR31/12/2038 MONMEIL2007/2724 19 1 2 01045 Monteux Gaillet Reneeuro 2/201128855 07/02/2011 FR31/12/2041 MONNOIR2002/1426 956 01045 Monteux Gaillet Reneeuro 6/200516192 12/09/2005 AZURITE* FR31/12/2035 17/04/2016 Pàgina 50 de 74
  • 51.
    DenominacióNº Exp. Nomcomercial Codi / Titular Butlletí Nº POV Inici Protecció Fi Referència Obtentor / Prunus persica (L.) Batsch MONNUDE1995/1041 2201 08287 STAR FRUITS DIFFUSION S.A.euro116 2/19971642 15/01/1997 EMERAUDE* FR01/02/2022 MONOF20014387 1280 FR900 Monteux-Caillet, Renéesp 5-2009002458 22/07/2009 FR31/12/2039 MONPERSI2006/2506 29-'2-02 01045 Monteux Gaillet Reneeuro 2/201026776 22/02/2010 FR31/12/2040 MONPHIR1995/1037 70-97 08287 STAR FRUITS DIFFUSION S.A.euro116 3/19971868 03/04/1997 ZEPHYR* FR01/05/2022 MONRENÉ2007/2561 18 08 02 01045 Monteux Gaillet Reneeuro 2/201128851 07/02/2011 FR31/12/2041 MONRIES2003/1818 075 01045 Monteux Gaillet Reneeuro 3/200617327 24/04/2006 CRISTAL* FR31/12/2036 MONROI2006/2503 17-11-02 01045 Monteux Gaillet Reneeuro 2/201026774 22/02/2010 FR31/12/2040 MONRUN2006/2502 22-01-02 01045 Monteux Gaillet Reneeuro 6/201028211 06/09/2010 SANDINE FR31/12/2040 MONSAN 12003/2398 12-15 01045 Monteux Gaillet Reneeuro 3/200822070 07/04/2008 FR31/12/2038 MONSANDEUX2006/2509 12-85 01045 Monteux Gaillet Reneeuro 2/201026777 22/02/2010 FR31/12/2040 MONSAT2006/2507 238 01045 Monteux Gaillet Reneeuro 3/200821931 10/03/2008 MONSAT FR31/12/2038 MONTALINE2006/2504 426 01045 Monteux Gaillet Reneeuro 2/200924102 23/02/2009 TOURMALINE* FR31/12/2039 MONTARSA2003/1809 047 01045 Monteux Gaillet Reneeuro 3/200617326 24/04/2006 FR31/12/2036 MONTICA2008/2741 17 b14 02 01045 Monteux Gaillet Reneeuro 4/201130327 06/06/2011 MONTICA FR31/12/2041 MONTONNE2005/2521 21-61 01045 Monteux Gaillet Reneeuro 2/201026760 22/02/2010 FR31/12/2040 MONVAL2013/3050 12-87 01045 Monteux Gaillet Reneeuro 4/201438338 16/06/2014 FR31/12/2044 NABRUSCA2007/0094 n2-44 nb 04411 PSB Producción Vegetal SLeuro 5/201233281 06/08/2012 ES31/12/2042 NECTA ZEE1995/1317 354 93n 00189 DARNAUD, Jean-Pierreeuro 1/19993889 14/12/1998 FR31/12/2028 NECTABANG2009/0927 4n.05.141 nj - asf 0503 04628 SARL Agro Selection FruitsEURO 2/201334169 18/02/2013 NECTAPOM 23 FR31/12/2043 NECTABELLE2008/0576 4n.12.65 nj - asf 0501 04628 SARL Agro Selection Fruitseuro 2/201231530 20/02/2012 NECTAPOM 22.1 FR31/12/2042 NECTACHIEF2005/0908 01.23.01 : asf 0201 04628 SARL Agro Selection Fruitseuro 2/200924117 23/02/2009 NECTAPOM 26 FR31/12/2039 NECTADELICIOUS2005/0907 01.24.49 : asf 0206 04628 SARL Agro Selection Fruitseuro 2/200924116 23/02/2009 NECTAPOM 31 FR31/12/2039 NECTADIVA2011/0558 4n.03.120nj - asf0619 04628 SARL Agro Selection Fruitseuro 2/201539650 23/02/2015 FR31/12/2045 NECTAFINE2008/0580 03.23.153 nj - asf 0519 04628 SARL Agro Selection Fruitseuro 2/201231533 20/02/2012 NECTAFINE FR31/12/2042 NECTAGALA2004/0742 01.07.43.01 nj 04628 SARL Agro Selection Fruitseuro 3/200821908 10/03/2008 NECTAPOM* 32 FR31/12/2038 NECTAJULIE2011/0557 4n.02.95nj - asf0613 04628 SARL Agro Selection Fruitseuro 2/201539649 23/02/2015 FR31/12/2045 NECTALADY2004/0744 01.24.93.02 nj 04628 SARL Agro Selection Fruitseuro 3/200821906 10/03/2008 NECTAPOM 35 FR31/12/2038 17/04/2016 Pàgina 51 de 74
  • 52.
    DenominacióNº Exp. Nomcomercial Codi / Titular Butlletí Nº POV Inici Protecció Fi Referència Obtentor / Prunus persica (L.) Batsch NECTAMOUR2010/0479 4n.08.149nj - asf0608 04628 SARL Agro Selection Fruitseuro 2/201539639 23/02/2015 NECTAMOUR FR31/12/2045 NECTAPI2008/0581 03.22.128 nj - asf 0414 04628 SARL Agro Selection Fruitseuro 2/201231534 20/02/2012 NECTAPI FR31/12/2042 NECTAPINK2004/0741 01.08.60.01 nj 04628 SARL Agro Selection Fruitseuro 3/200821909 10/03/2008 NECTAPOM 30 FR31/12/2038 NECTAPRIMA2004/0738 01.01.02.00 nj 04628 SARL Agro Selection Fruitseuro 3/200821912 10/03/2008 NECTAPOM* 22 FR31/12/2038 NECTARBONDANT2010/0485 01.27w.71nb - asf0732 04628 SARL Agro Selection Fruitseuro 4/201437911 05/05/2014 NECTARBONDANT FR31/12/2044 NECTARBOOM2010/0486 01.29w.19nb - asf0822 04628 SARL Agro Selection Fruitseuro 2/201436692 27/01/2014 NECTARBOOM FR31/12/2044 NECTARCRISP2006/0995 02.07.13 nb-asf 0227 04628 SARL Agro Selection Fruitseuro 2/201026766 22/02/2010 NECTASWEET* 35 FR31/12/2040 NECTARDREAM2010/0484 01.26e.04nb - asf0730 04628 SARL Agro Selection Fruitseuro 2/201436697 24/02/2014 NECTARDREAM FR31/12/2044 NECTARDUCHESSE2011/0561 01.26e.14nb - asf0833 04628 SARL Agro Selection Fruitseuro 2/201539652 23/02/2015 FR31/12/2045 NECTAREARLY2009/0932 4n.12.88 nb - asf 0623 04628 SARL Agro Selection FruitsEURO 1/201539127 03/11/2014 NECTASWEET 22 FR31/12/2044 NECTAREINE2004/0740 01.06.26.99 nj 04628 SARL Agro Selection Fruitseuro 3/200821910 10/03/2008 NECTAPOM 29 FR31/12/2038 NECTAREXQUISE2006/0996 02.10.61 nb-asf 0328 04628 SARL Agro Selection Fruitseuro 2/201026767 22/02/2010 NECTASWEET* 32 FR31/12/2040 NECTARFLORA2009/0933 05.02.109 nb - asf 0624 04628 SARL Agro Selection FruitsEURO 2/201334174 18/02/2013 NECTASWEET 23 FR31/12/2043 NECTARIANE2004/0739 01.07.33.01 nj 04628 SARL Agro Selection Fruitseuro 3/200821911 10/03/2008 NECTAPOM* 28-1 FR31/12/2038 NECTARJEWEL2006/0994 03.12.74 nb-asf 0426 04628 SARL Agro Selection Fruitseuro 2/201026765 22/02/2010 FR31/12/2040 NECTARJUNE2006/0993 03.12.03 nb-asf 0321 04628 SARL Agro Selection Fruitseuro 2/201026764 22/02/2010 NECTASWEET* 24 FR31/12/2040 NECTARLAM2010/0491 4s.10w.100nb - asf0832 04628 SARL Agro Selection Fruitseuro 2/201539641 23/02/2015 NECTARLAM (ASF 08-32) FR31/12/2045 NECTARLIGHT2008/0583 03.05.67 nb - asf 0430 04628 SARL Agro Selection Fruitseuro 2/201231536 20/02/2012 NECTARLIGHT FR31/12/2042 NECTARLOVE2010/0483 01.26e.01nb - asf0726 04628 SARL Agro Selection Fruitseuro 4/201437910 05/05/2014 NECTARLOVE FR31/12/2044 NECTARMAGIE2004/0746 02.10.66.02 nb 04628 SARL Agro Selection Fruitseuro 3/200821913 10/03/2008 NECTASWEET 26 FR31/12/2038 NECTARNICE2009/0929 4n.12.85 nb - asf 0521 04628 SARL Agro Selection FruitsEURO 2/201334171 18/02/2013 NECTASWEET 25 FR31/12/2043 NECTAROYAL2004/0743 01.23.15.02 nj 04628 SARL Agro Selection Fruitseuro 3/200821907 10/03/2008 NECTAPOM 33 FR31/12/2038 NECTARPERLE2004/0748 01.16.107.02 nb 04628 SARL Agro Selection Fruitseuro 3/200821915 10/03/2008 NECTASWEET* 28 FR31/12/2038 NECTARREVE2008/0582 4n.12.81 nb - asf 0522 04628 SARL Agro Selection Fruitseuro 2/201231535 20/02/2012 NECTASWEET 27 FR31/12/2042 NECTARRUBY2010/0487 01.25e.52nb - asf0828 04628 SARL Agro Selection Fruitseuro 4/201437912 05/05/2014 NECTARRUBY FR31/12/2044 NECTARTIC2010/0489 4s.11e.109nb - asf0830 04628 SARL Agro Selection Fruitseuro 2/201436693 27/01/2014 NECTARIC FR31/12/2044 NECTASIA2011/0560 05.05.05nj - asf0712 04628 SARL Agro Selection Fruitseuro 2/201539651 23/02/2015 FR31/12/2045 17/04/2016 Pàgina 52 de 74
  • 53.
    DenominacióNº Exp. Nomcomercial Codi / Titular Butlletí Nº POV Inici Protecció Fi Referència Obtentor / Prunus persica (L.) Batsch NECTASTAR2010/0482 05.10e.115nj - asf0707 04628 SARL Agro Selection Fruitseuro 2/201436691 27/01/2014 NECTASTAR FR31/12/2044 NECTATINTO2010/0481 4n.05.33nj - asf0620 04628 SARL Agro Selection Fruitseuro 2/201539640 23/02/2015 NECTATINTO FR31/12/2045 NECTATOP2008/0578 03.22.87 nj - asf 0515 04628 SARL Agro Selection Fruitseuro 2/201231532 20/02/2012 NECTATOP FR31/12/2042 NECTAVANPI2009/0926 03.22.124 nj - asf 0413 04628 SARL Agro Selection FruitsEURO 2/201334168 18/02/2013 NECTAVANPI FR31/12/2043 NECTAVANTOP2009/0928 05.06.183 nj - asf 0711 04628 SARL Agro Selection FruitsEURO 2/201334170 18/02/2013 NECTAVANTOP FR31/12/2043 NECTAVISTA2008/0577 4n.05.152 nj - asf 0504 04628 SARL Agro Selection Fruitseuro 2/201231531 20/02/2012 NECTAPOM 25 FR31/12/2042 NERID 003972008/2533 00397 05510 Daniele NERIeuro 4/201335363 21/05/2013 NERID 00397 IT31/12/2043 NERID 004082008/2530 00408 05510 Daniele NERIeuro 4/201335360 21/05/2013 NERID 00408 IT31/12/2043 NERID 005222008/2531 00522 05510 Daniele NERIeuro 4/201335361 21/05/2013 NERID 00522 IT31/12/2043 NERID 013482007/1816 01348 05510 Daniele NERIeuro 4/201232801 21/05/2012 IT31/12/2042 NERID 887362006/1451 romagna 3000 05510 Daniele NERIeuro 4/201130307 06/06/2011 IT31/12/2041 NERID 957022007/1817 95702 05510 Daniele NERIeuro 4/201232802 21/05/2012 IT31/12/2042 NERID 975172007/1815 97517 05510 Daniele NERIeuro 4/201232800 21/05/2012 IT31/12/2042 NERID 997412008/2532 99741 05510 Daniele NERIeuro 4/201335362 21/05/2013 NERID 99741 IT31/12/2043 NERID 997432007/1818 99743 05510 Daniele NERIeuro 4/201232803 21/05/2012 ROMAGNA GOLD IT31/12/2042 NORACILA2007/0093 n46-9 nj 04411 PSB Producción Vegetal SLeuro 5/201233280 06/08/2012 ES31/12/2042 OCTOBER STAR2001/0797 october star 01474 Vivai Fratelle Zanzi di Carlo Zanzieuro 5/200515859 18/07/2005 OCTOBER STAR IT31/12/2035 ORDIGAN2001/1740 s 6184 00689 INRA-Institut National de la Recheuro 3/200514782 07/03/2005 ORDIGAN FR31/12/2035 ORIANE2001/1741 s 6422 00689 INRA-Institut National de la Recheuro 6/200311980 20/10/2003 ORIANE FR31/12/2033 ORIOLA2001/1742 s 6817 00689 INRA-Institut National de la Recheuro 6/200516189 12/09/2005 ORIOLA FR31/12/2035 ORNELLA2001/1743 s 5848 00689 INRA-Institut National de la Recheuro 6/200516190 12/09/2005 ORNELLA FR31/12/2035 PIATTAFORONE2011/2547 iff 985 06797 C.R.A. - FRFeuro 2/201436707 27/01/2014 SWEET RING IT31/12/2044 PIATTAFORTWO2011/2546 iff 1180 06797 C.R.A. - FRFeuro 2/201436706 27/01/2014 PINK RING IT31/12/2044 PIX ZEE1995/1319 343 92p 00189 DARNAUD, Jean-Pierreeuro 1/19993890 14/12/1998 FR31/12/2028 PLABLANEC2001/1667 97.14.065-nb 00132 Plantas de Navarra SAeuro 2/200924126 23/02/2009 VIOWHITE 5 ES31/12/2039 PLACARINEC2002/2114 97.08.299-nb 00132 Plantas de Navarra SAeuro 2/200924128 23/02/2009 VIOWHITE 20 ES31/12/2039 PLACASTAMEL2001/1658 95.15.001-p 00132 Plantas de Navarra SAeuro 2/200924124 23/02/2009 PLAGOLD 10 ES31/12/2039 17/04/2016 Pàgina 53 de 74
  • 54.
    DenominacióNº Exp. Nomcomercial Codi / Titular Butlletí Nº POV Inici Protecció Fi Referència Obtentor / Prunus persica (L.) Batsch PLAGOLD 172005/2046 99.02.157-p 00132 Plantas de Navarra SAeuro 3/201026947 22/03/2010 PLAGOLD 17 ES31/12/2040 PLAGOLD 212008/2235 97.06.010-p 00132 Plantas de Navarra SAeuro 2/201334068 21/01/2013 PLAGOLD 21 ES31/12/2043 PLAGOLD 222011/0242 00.45.030 p 00132 Plantas de Navarra SAeuro 2/201642619 22/02/2016 ES31/12/2046 PLAMAQMEL1999/1141 95.04.001 00132 Plantas de Navarra SAeuro 3/200617109 27/03/2006 PLAGOLD® 25 ES31/12/2036 PLAPIOMEL2001/1661 95.03.003-p 00132 Plantas de Navarra SAeuro 3/200617198 27/03/2006 PLAGOLD® 20 ES31/12/2036 PLATAÑOMEL2001/1657 95.04.002-p 00132 Plantas de Navarra SAeuro 2/200821791 28/01/2008 PLAGOLD® 15 ES31/12/2038 PLATIBELLE2007/2850 nº 4 00689/06122 INRA - EARL QUARTIER NEUFeuro 2/201128856 07/02/2011 PLATIBELLE FR31/12/2041 PLATIFIRST2007/2852 nº 6 00689/06122 INRA - EARL QUARTIER NEUFeuro 2/201128858 07/02/2011 PLATIFIRST FR31/12/2041 PLATIFUN2007/2851 nº 5 00689/06122 INRA - EARL QUARTIER NEUFeuro 2/201128857 07/02/2011 PLATIFUN FR31/12/2041 PLATIMOON2007/2853 nº 22 00689/06122 INRA - EARL QUARTIER NEUFeuro 3/201334257 04/03/2013 PLATIMOON FR31/12/2043 PLATINUM2011/0246 nr46 00689/06122 INRA - EARL QUARTIER NEUFeuro 2/201539648 23/02/2015 FR31/12/2045 PLATIREINE2011/0245 nr42 00689/06122 INRA - EARL QUARTIER NEUFeuro 2/201539647 23/02/2015 FR31/12/2045 PLATORNEC2001/1669 97.14.012-n 00132 Plantas de Navarra SAeuro 3/200617199 27/03/2006 ZINCAL 20 ES31/12/2036 PLATRIUNNEC2002/2115 97.14.112-nb 00132 Plantas de Navarra SAeuro 2/200924129 23/02/2009 VIOWHITE 15 ES31/12/2039 PLAWHITE 102003/1893 97.08.220-pb 00132 Plantas de Navarra SAeuro 3/201026942 22/03/2010 PLAWHITE 10 ES31/12/2040 PLAWHITE 202006/1961 97.08.142-pb 00132 Plantas de Navarra SAeuro 3/201129632 18/04/2011 ES31/12/2041 PLAWHITE 52002/2113 97.08.017-pb 00132 Plantas de Navarra SAeuro 2/200924127 23/02/2009 PLAWHITE 5 ES31/12/2039 PLAZANOMEL2001/1659 97.08.309-p 00132 Plantas de Navarra SAeuro 2/200924125 23/02/2009 PLAGOLD® 5 ES31/12/2039 POLAR PRINCESS2010/2739 34 p 444 00279/08287 Sel. Plantas Sevilla SL / STAR Feuro 3/201437366 24/03/2014 ES31/12/2044 PRESIVAC 120094871 ES959 IVIA - AGROMILLORAesp BOE98002675 25/04/2015 IVIA-MEL-AC59 ES31/12/2044 PRIME PEARL2009/2505 9 g 820 00279/08287 Sel. Plantas Sevilla SL / STAR Feuro 2/201334181 18/02/2013 9 G 820 (PRIME PEARL) ES31/12/2043 PRINCESS TIME2011/2889 30 c 222 00160/00279 Gie Star Fruits - Sel. Plantas Seveuro 2/201539658 23/02/2015 FR31/12/2045 PRO 11020104914 PRO110 06772 Viveros Provedo SAesp BOE98002678 25/04/2015 PLATERINA 110 ES31/12/2044 PRO 2820104911 PRO28 06772 Viveros Provedo SAesp 1-2016002714 13/12/2015 EXTREME 28 ES31/12/2045 PRO 282013/2731 cp3-631 06772 Viveros Provedo SAeuro 2/201642573 22/02/2016 EXTREME 28 ES31/12/2043 PRO 3142013/2729 cp3-11878 06772 Viveros Provedo SAeuro 2/201539405 26/01/2015 EXTREME 314 ES31/12/2045 PRO 31420104915 PRO314 06772 Viveros Provedo SAesp BOE98002679 25/04/2015 EXTREME 314 ES31/12/2044 17/04/2016 Pàgina 54 de 74
  • 55.
    DenominacióNº Exp. Nomcomercial Codi / Titular Butlletí Nº POV Inici Protecció Fi Referència Obtentor / Prunus persica (L.) Batsch PRO 3320104912 PRO33 06772 Viveros Provedo SAesp BOE98002680 25/04/2015 EXTREME 33 ES31/12/2044 PRO 4602013/2728 cp3-29558 06772 Viveros Provedo SAeuro 2/201539404 26/01/2015 EXTREME 460 ES31/12/2045 PRO 46020104917 PRO460 06772 Viveros Provedo SAesp BOE98002681 25/04/2015 EXTREME 460 ES31/12/2044 PRO 51120114964 PRO511 06772 Viveros Provedo SAesp 1-2016002717 13/12/2015 VICO ES31/12/2045 PRO 5632013/2730 cp5-3385 06772 Viveros Provedo SAeuro 2/201539406 26/01/2015 EXTREME GLOBE (563) ES31/12/2045 PRO 56320104916 PRO563 06772 Viveros Provedo SAesp BOE98002682 25/04/2015 EXTREME GLOBE (563) ES31/12/2044 PRO 620104910 PRO6 06772 Viveros Provedo SAesp BOE98002683 25/04/2015 EXTREME 6 ES31/12/2044 PRO 7920104913 PRO79 06772 Viveros Provedo SAesp 1-2016002715 13/12/2015 EXTREME 79 ES31/12/2045 PRO C 12009/1811 cp3-226 06772 Viveros Provedo SAeuro 1/201436612 16/12/2013 EARLY FRESH ES31/12/2043 PRO C 10520084797 CP3-16595 ES931 Viveros PROVEDO SAesp 2-2013002577 17/01/2013 YUSTE ES31/12/2043 PRO C 1072009/1828 cp3-21596 06772 Viveros Provedo SAeuro 3/201334370 04/03/2013 PLANE SUN ES31/12/2043 PRO C 13520084805 CP3-2582 ES931 Viveros PROVEDO SAesp 2-2013002579 17/01/2013 EXTREME BIG ES31/12/2043 PRO C 13820084849 CP3-677 ES931 Viveros PROVEDO SAesp 1-201602712 13/12/2015 EXTREME DELIGHT ES31/12/2045 PRO C 1392009/1819 cp3-2667 06772 Viveros Provedo SAeuro 3/201334261 04/03/2013 EXTREME SUNNY ES31/12/2043 PRO C 1402009/1820 cp3-2680 06772 Viveros Provedo SAeuro 3/201334263 04/03/2013 EXTREME SHINE ES31/12/2043 PRO C 152009/1830 cp3-676 06772 Viveros Provedo SAeuro 1/201436613 16/12/2013 FRESH QUEEN ES31/12/2043 PRO C 1512009/1832 cp3-21669 06772 Viveros Provedo SAeuro 2/201436689 27/01/2014 PLANE DELICIOUS ES31/12/2044 PRO C 1522009/1825 cp3-26266 06772 Viveros Provedo SAeuro 3/201334367 04/03/2013 PLANE SILVER ES31/12/2043 PRO C 162009/1815 cp3-728 06772 Viveros Provedo SAeuro 3/201334438 18/03/2013 EXTREME MAY ES31/12/2043 PRO C 1652009/1812 cp2-165 06772 Viveros Provedo SAeuro 5/201027852 05/07/2010 EXTREME RED ES31/12/2040 PRO C 1720084800 CP3-916 ES931 Viveros PROVEDO SAesp 2-2013002584 17/01/2013 SILOS ES31/12/2043 PRO C 18220084796 CP3-6333 ES931 Viveros PROVEDO SAesp 2-2013002585 17/01/2013 LEYRE ES31/12/2043 PRO C 1852009/1829 cp3-21630 06772 Viveros Provedo SAeuro 3/201334372 04/03/2013 PLANE STAR ES31/12/2043 PRO C 2062009/1826 cp3-21585 06772 Viveros Provedo SAeuro 3/201334368 04/03/2013 PLANE GOLD ES31/12/2043 PRO C 2112009/1809 cp3-16938 06772 Viveros Provedo SAeuro 3/201334258 04/03/2013 EXTREME GREAT ES31/12/2043 PRO C 2182009/1814 cp3-20006 06772 Viveros Provedo SAeuro 3/201334259 04/03/2013 EXTREME MOON ES31/12/2043 PRO C 22020084788 CP3-22677 ES931 Viveros PROVEDO SAesp 2-2013002590 17/01/2013 POBLET ES31/12/2043 17/04/2016 Pàgina 55 de 74
  • 56.
    DenominacióNº Exp. Nomcomercial Codi / Titular Butlletí Nº POV Inici Protecció Fi Referència Obtentor / Prunus persica (L.) Batsch PRO C 2242009/1822 cp3-23401 06772 Viveros Provedo SAeuro 3/201334364 04/03/2013 FRESH BIG ES31/12/2043 PRO C 2252009/1823 cp3-27050 06772 Viveros Provedo SAeuro 3/201334365 04/03/2013 FRESH LADY ES31/12/2043 PRO C 2292009/1827 cp3-26299 06772 Viveros Provedo SAeuro 3/201334369 04/03/2013 PLANE TOP ES31/12/2043 PRO C 23620084789 CP3-22673 ES931 Viveros PROVEDO SAesp BOE98002676 25/04/2015 VERUELA ES31/12/2044 PRO C 24920084787 CP3-27588 ES931 Viveros PROVEDO SAesp 2-2013002594 17/01/2013 FRESH LATE ES31/12/2043 PRO C 252009/1831 cp3-2207 06772 Viveros Provedo SAeuro 3/201334271 04/03/2013 FRESH RED ES31/12/2043 PRO C 272009/1816 cp2-70 06772 Viveros Provedo SAeuro 3/201334260 04/03/2013 EXTREME JUNE ES31/12/2043 PRO C 3292009/1817 cp3-2725 06772 Viveros Provedo SAeuro 2/201539403 26/01/2015 EXTREME BEAUTY ES31/12/2045 PRO C 3422009/1821 cp1-342 06772 Viveros Provedo SAeuro 5/201027854 05/07/2010 FRESH WHITE ES31/12/2040 PRO C 41320084852 CP3-11318 ES931 Viveros PROVEDO SAesp 1-2016002713 13/12/2015 EXTREME PRETTY ES31/12/2045 PRO C 520084782 CP3-225 ES931 Viveros PROVEDO SAesp 1-2014002647 27/12/2013 EXTREME PRIME ES31/12/2043 PRO C 5620084784 CP3-12040 ES931 Viveros PROVEDO SAesp 2-2013002597 17/01/2013 EXTREME GLOW ES31/12/2043 PRO C 6020084803 CP3-12141 ES931 Viveros PROVEDO SAesp 2-2013002598 17/01/2013 EXTREME SNOW ES31/12/2043 PRO C 6382009/1808 cp1-638 06772 Viveros Provedo SAeuro 5/201027851 05/07/2010 EXTREME JULY ES31/12/2040 PRO C 6552009/1818 cp1-655 06772 Viveros Provedo SAeuro 5/201027853 05/07/2010 EXTREME SWEET ES31/12/2040 PRO C 6720084801 CP3-6385 ES931 Viveros PROVEDO SAesp 2-2013002599 17/01/2013 YUSO ES31/12/2043 PRO C 7520084804 CP3-12042 ES931 Viveros PROVEDO SAesp 2-2013002600 17/01/2013 EXTREME GOOD ES31/12/2043 PRO C 8420084802 CP3-6230 ES931 Viveros PROVEDO SAesp 2-2013002601 17/01/2013 GUADALUPE ES31/12/2043 PRO C 872009/1824 cp3-21569 06772 Viveros Provedo SAeuro 3/201334366 04/03/2013 PLANE GEM ES31/12/2043 QUEEN PEARL2008/2769 7 g 789 00279/08287 Sel. Plantas Sevilla SL / STAR Feuro 2/201231544 20/02/2012 7 G (QUEEN PEARL) ES31/12/2042 RED STAR1996/1081 01474 Vivai Fratelle Zanzi di Carlo Zanzieuro 4/20017727 21/05/2001 RED STAR IT31/12/2031 REDPEARL2005/0909 01.07.68 : asf 0106 04628 SARL Agro Selection Fruitseuro 2/200924118 23/02/2009 NECTAREGAL 33 FR31/12/2039 RICH LADY1995/1314 215 86p 00189 DARNAUD, Jean-Pierreeuro116 1/19971277 15/10/1996 RICH LADY FR01/12/2022 ROSALISE2010/2716 3-5-05-08-05 06556 AC FRUIT SASeuro 5/201438703 28/07/2014 FR31/12/2044 ROZIDU2006/2403 20700za 00279/03299 Sel. Plantas Sevilla SL - S.N.C. Seuro 3/201129122 07/03/2011 ES31/12/2041 RUBY BRIGHT2003/2467 34 p 572 00279/08287 Sel. Plantas Sevilla SL / STAR Feuro 3/200821923 10/03/2008 RUBY BRIGHT ES31/12/2038 SAGITTARIA2007/2202 01758 Istituto Sperimentale per la Fruttieuro 4/201232805 21/05/2012 IT31/12/2042 17/04/2016 Pàgina 56 de 74
  • 57.
    DenominacióNº Exp. Nomcomercial Codi / Titular Butlletí Nº POV Inici Protecció Fi Referència Obtentor / Prunus persica (L.) Batsch SEPTEMBER BRIGHT2003/2468 26 p 490 00279/08287 Sel. Plantas Sevilla SL / STAR Feuro 3/200821924 10/03/2008 SEPTEMBER BRIGHT ES31/12/2038 SGNE0012005/2406 sg-ne-3027 05084 Stargrow Cultivar Developementeuro 3/201027242 19/04/2010 ZA31/12/2040 SGNE0022006/2519 sgpr3129 05084 Stargrow Cultivar Developementeuro 4/201130098 23/05/2011 ZA31/12/2041 SNOW LADY2008/2770 7 g 143 00279/08287 Sel. Plantas Sevilla SL / STAR Feuro 2/201231545 20/02/2012 7 G 143 ES31/12/2042 SPRING BRIGHT1995/0519 1p 100 00279/08287 Sel. Plantas Sevilla SL / STAR Feuro116 3/19971872 04/03/1997 SPRING WHITE* ES01/05/2022 STAR PEARL2004/2492 5p1150-sf00.081 00279/08287 Sel. Plantas Sevilla SL / STAR Feuro 3/200821928 10/03/2008 ES31/12/2038 STRIKE2010/2229 e 01 07123 Eleuteri Laura Azienda Agricolaeuro 4/201541350 22/06/2015 STRIKE IT31/12/2045 SUGAR BRAVO 82006/1958 sugar bravo-8 05589/05590 Gravilorenzo SL - A. Lópezeuro 5/201233279 06/08/2012 ES31/12/2042 SUGAR TIME2006/2512 536 98 pj 00189 DARNAUD, Jean-Pierreeuro 4/201130095 23/05/2011 FR31/12/2041 SUN BRIGHT2010/2714 5 p 788 00279/08287 Sel. Plantas Sevilla SL / STAR Feuro 4/201438208 02/06/2014 ES31/12/2044 SUNECTTWENTYONE2008/0076 05485 Sun World International LLCeuro 4/201335655 17/06/2013 US31/12/2043 SUNNEYY2010/0764 17c-28-11 02593 Agricultural Research Councileuro 2/201642395 08/02/2016 AMARELA 1 ZA31/12/2046 SUPECH-FIFTEN2006/2517 supechfiften 05485 Sun World International LLCeuro 3/201129636 18/04/2011 US31/12/2041 SURPRISE2003/0270 s6444 00689 INRA-Institut National de la Recheuro 6/200516194 12/09/2005 SURPRISE FR31/12/2035 SWEET DREAM2008/2761 688 07 pj 00189 DARNAUD, Jean-Pierreeuro 4/201335217 06/05/2013 SWEET DREAM FR31/12/2043 SWEET HENRY2009/2429 614 02 pj 00189 DARNAUD, Jean-Pierreeuro 3/201437750 22/04/2014 SWEET HENRY FR31/12/2044 SWEET JUANA2009/2430 663 05 pj 00189 DARNAUD, Jean-Pierreeuro 3/201540257 07/04/2015 SWEET JUANA FR31/12/2045 SWEETBELLA2010/0496 03.28.22pb - asf0556 04628 SARL Agro Selection Fruitseuro 2/201436968 24/02/2014 SWEETBELLA FR31/12/2044 SWEETCHIEF2010/0497 4s.3e.119pb - asf0753 04628 SARL Agro Selection Fruitseuro 2/201436697 27/01/2014 SWEETCHIEF FR31/12/2044 SWEETLOVE2008/0585 03.28.21 pb - asf 0554 04628 SARL Agro Selection Fruitseuro 2/201231538 20/02/2012 TONICSWEET 26 FR31/12/2042 SWEETMOON2008/0586 03.28.16 pb - asf 0557 04628 SARL Agro Selection Fruitseuro 2/201231539 20/02/2012 SWEET MOON FR31/12/2042 SWEETPRIM2008/0584 4n.09.21 pb - asf 0651 04628 SARL Agro Selection Fruitseuro 2/201231537 20/02/2012 SWEET PRIM FR31/12/2042 SWEETREGAL2010/0499 01.23e.08pb - asf0851 04628 SARL Agro Selection Fruitseuro 2/201436698 27/01/2014 SWEETROYAL FR31/12/2044 SWEETREINE2010/0498 4s.13e.117pb - asf0755 04628 SARL Agro Selection Fruitseuro 4/201437914 05/05/2014 SWEETREINE FR31/12/2044 SWEETSTAR2008/0587 02.09.94 pb - asf 0364 04628 SARL Agro Selection Fruitseuro 2/201231540 20/02/2012 SWEETSTAR FR31/12/2042 TARDERINA20074763 nectaria ES919 SAT Frutariaesp 1-2014002648 27/12/2013 ES31/12/2043 TIO ISIDRO20054614 aluenda 100905 Peñalosa García, J.A.esp 4-2011002536 06/07/2011 ES31/12/2041 17/04/2016 Pàgina 57 de 74
  • 58.
    DenominacióNº Exp. Nomcomercial Codi / Titular Butlletí Nº POV Inici Protecció Fi Referència Obtentor / Prunus persica (L.) Batsch UNAC2006/2405 p9942ce 00279/03299 Sel. Plantas Sevilla SL - S.N.C. Seuro 3/201129124 07/03/2011 ES31/12/2041 VACNEPLAT20064656 03862 AGROMILLORA CATALANA SAesp 1-2011002527 18/01/2011 ES31/12/2040 VACPRI20064657 03862 AGROMILLORA CATALANA SAesp 4-2012002560 28/06/2012 TALAIA ES31/12/2042 VIOWHITE 102003/2152 97.08.128-nb 00132 Plantas de Navarra SAeuro 3/201129628 18/04/2011 VIOWHITE 10 ES31/12/2041 ZAI587PJ2009/2427 587 99 pj 00189 DARNAUD, Jean-Pierreeuro 4/201437907 05/05/2014 ZAI587PJ FR31/12/2044 ZAI606PJ2009/2428 606 01 pj 00189 DARNAUD, Jean-Pierreeuro 4/201437908 05/05/2014 ZAI606PJ FR31/12/2044 ZAI613PB2006/2515 613 02 pb 00189 DARNAUD, Jean-Pierreeuro 4/201130097 23/05/2011 FR31/12/2041 ZAI624NJ2005/2420 624 98 nj 00189 DARNAUD, Jean-Pierreeuro 3/201027243 19/04/2010 FR31/12/2040 ZAI624PJ2008/2764 624 02 pj 00189 DARNAUD, Jean-Pierreeuro 4/201335218 06/05/2013 ZAI624PJ FR31/12/2043 ZAI660NB2005/2425 660 98 nb 00189 DARNAUD, Jean-Pierreeuro 3/201027247 19/04/2010 FR31/12/2040 ZAI664NJ2005/2421 664 99 nj 00189 DARNAUD, Jean-Pierreeuro 3/201027244 19/04/2010 HONEY FLAME FR31/12/2040 ZAI665NJ2006/2510 665 99 nj 00189 DARNAUD, Jean-Pierreeuro 4/201130093 23/05/2011 HONEY BRIGHT FR31/12/2041 ZAI674PB2009/2433 674 05 pb 00189 DARNAUD, Jean-Pierreeuro 4/201437909 05/05/2014 ZAI674PB FR31/12/2044 ZAI691NJ2008/2754 691 99 nj 00189 DARNAUD, Jean-Pierreeuro 4/201335212 06/05/2013 ZAI691NJ FR31/12/2043 ZAI726NB2009/2436 726 00 nb 00189 DARNAUD, Jean-Pierreeuro 4/201438206 02/06/2014 ZAI726NB FR31/12/2044 ZAI752NB2005/2424 752 01 nb 00189 DARNAUD, Jean-Pierreeuro 3/201027246 19/04/2010 FR31/12/2040 ZAI755NJ2005/2422 755 01 nj 00189 DARNAUD, Jean-Pierreeuro 3/201027245 19/04/2010 HONEY CASCADE FR31/12/2040 ZAI770NB2008/2758 770 02 nb 00189 DARNAUD, Jean-Pierreeuro 4/201335214 06/05/2013 ZAI770NB FR31/12/2043 ZAI808NJ2010/2583 808 04 nj 00189 DARNAUD, Jean-Pierreeuro 3/201540261 07/04/2015 FR31/12/2045 ZAI809NB2009/2437 809 04 nb 00189 DARNAUD, Jean-Pierreeuro 3/201540259 07/04/2015 ZAI809NB FR31/12/2045 ZAI827NJ2009/2435 827 05 nj 00189 DARNAUD, Jean-Pierreeuro 3/201540258 07/04/2015 ZAI827NJ FR31/12/2045 ZAIBIJI2008/2760 377 93 pj 00189 DARNAUD, Jean-Pierreeuro 4/201335216 06/05/2013 ZAIBIJI FR31/12/2043 ZAIBIOGA1997/1053 337 91 NB 00189 DARNAUD, Jean-Pierreeuro 5/20029922 12/08/2002 QUEEN GEM FR31/12/2032 ZAIBOP1995/1324 314 91N 00189 DARNAUD, Jean-Pierreeuro 1/20028392 05/11/2001 EARLI TOP FR31/12/2031 ZAIFER1995/1239 91 78 p 00189 DARNAUD, Jean-Pierreeuro116 1/19971273 15/10/1996 ROYAL GLORY FR01/11/2021 ZAIFISAN1999/1587 401 94 pb 00189 DARNAUD, Jean-Pierreeuro 6/200516282 10/10/2005 MAURA FR31/12/2035 ZAIGADI2000/1782 375 93p 00189 DARNAUD, Jean-Pierreeuro 5/200618116 17/07/2006 ROYAL JIM FR31/12/2036 17/04/2016 Pàgina 58 de 74
  • 59.
    DenominacióNº Exp. Nomcomercial Codi / Titular Butlletí Nº POV Inici Protecció Fi Referència Obtentor / Prunus persica (L.) Batsch ZAIGLE2005/2426 492 96 pb 00189 DARNAUD, Jean-Pierreeuro 3/201027248 19/04/2010 FR31/12/2040 ZAILATI1995/1241 122 81 pb 00189 DARNAUD, Jean-Pierreeuro116 1/19971275 15/10/1996 GLADYS FR01/12/2021 ZAIMAJAL2004/2462 409 94 p 00189 DARNAUD, Jean-Pierreeuro 3/201027230 19/04/2010 ROYAL MAJESTIC* FR31/12/2040 ZAIMUCA2003/2023 586 97 n 00189 DARNAUD, Jean-Pierreeuro 4/200822310 05/05/2008 HONEY MUSCAT FR31/12/2038 ZAIMUS2004/2469 592 99 p 00189 DARNAUD, Jean-Pierreeuro 3/201027232 19/04/2010 ROYAL SUMMER FR31/12/2040 ZAINOAR1995/1258 260 89 P 00189 DARNAUD, Jean-Pierreeuro 1/19993895 14/12/1998 RUBIRICH FR31/12/2028 ZAINOBE1995/1331 261 89P 00189 DARNAUD, Jean-Pierreeuro 1/19993892 14/12/1998 VISTARICH FR31/12/2028 ZAIPELA1997/1052 353 92 P 00189 DARNAUD, Jean-Pierreeuro 1/20017181 18/12/2000 ROYAL LEE* FR31/12/2030 ZAIPEVI1995/1330 344 92 Pb 00189 DARNAUD, Jean-Pierreeuro 1/19993887 14/12/1998 FR31/12/2028 ZAIREGEM1995/1256 206 85 p 00189 DARNAUD, Jean-Pierreeuro116 3/19971867 03/04/1997 ROYAL GEM FR01/05/2022 ZAIRETOP2003/2021 453 95 p 00189 DARNAUD, Jean-Pierreeuro 4/200822309 05/05/2008 ROYAL TIME* FR31/12/2038 ZAIRIALA1995/1333 278 90P 00189 DARNAUD, Jean-Pierreeuro 1/20028394 05/11/2001 EARLY RICH FR05/11/2031 ZAIRISUP1999/1588 406 94 p 00189 DARNAUD, Jean-Pierreeuro 6/200516283 10/10/2005 TASTIRED (SUPER RICH) FR31/12/2035 ZAIRUBI1995/1323 320 91 Nb 00189 DARNAUD, Jean-Pierreeuro 1/20028391 05/11/2001 EARLIQUEEN FR31/12/2031 ZAISIRLY2001/1940 541 97 nb 00189 DARNAUD, Jean-Pierreeuro 5/200618122 17/07/2006 ROYALE QUEEN FR31/12/2036 ZAISITO2001/1904 53497 pb 00189 DARNAUD, Jean-Pierreeuro 5/200618118 17/07/2006 PATTY FR31/12/2036 ZAISNO2006/2511 780 03 nb 00189 DARNAUD, Jean-Pierreeuro 4/201130094 23/05/2011 FR31/12/2041 ZAISULA2008/2762 488 96 pj 00189 DARNAUD, Jean-Pierreeuro 3/201231885 19/03/2012 ROYAL PRIDE* FR31/12/2042 ZAISUME1995/1327 275 89 pb 00189 DARNAUD, Jean-Pierreeuro 1/20028393 05/11/2001 SUMMER SWEET* FR01/12/2026 ZAITABO1995/1254 196 84 n 00189 DARNAUD, Jean-Pierreeuro116 1/19971276 15/10/1996 BIG TOP* FR01/11/2021 ZAITOLIO2001/1903 50296 nb 00189 DARNAUD, Jean-Pierreeuro 5/200618117 17/07/2006 QUEEN RED FR31/12/2036 ZAITROBO1998/1227 476 95n/172 le 506 00189 DARNAUD, Jean-Pierreeuro 6/200311645 08/09/2003 FR31/12/2033 ZAIZIZAN2008/2759 373 93 pj 00189 DARNAUD, Jean-Pierreeuro 4/201335215 06/05/2013 ZAIZIZAN FR31/12/2043 ZINCAL 172003/2151 97.08.076-n 00132 Plantas de Navarra SAeuro 3/201026943 22/03/2010 ZINCAL 17 ES31/12/2040 ZINCAL 32010/2294 02.64.004 n 00132 Plantas de Navarra SAeuro 2/201539643 23/02/2015 ZINCAL 3 ES31/12/2045 ZINCAL 302006/1959 00.22.007-n 00132 Plantas de Navarra SAeuro 1/201128572 17/12/2010 ZINCAL 30 ES31/12/2040 ZINCAL 82010/2295 97.14-080 n 00132 Plantas de Navarra SAeuro 2/201539644 23/02/2015 ZINCAL 8 ES31/12/2045 17/04/2016 Pàgina 59 de 74
  • 60.
    DenominacióNº Exp. Nomcomercial Codi / Titular Butlletí Nº POV Inici Protecció Fi Referència Obtentor / Prunus persica (L.) Batsch ZINCAL 92010/2296 97.15.024 n 00132 Plantas de Navarra SAeuro 2/201539645 23/02/2015 ZINCAL 9 ES31/12/2045 ZINEARM1996/0027 75EE189 00279 Selección Plantas Sevilla SLeuro 3/20017456 09/04/2001 ES31/12/2031 ZINEBEL1998/0073 n.92.26z 00279 Selección Plantas Sevilla SLeuro 4/200617620 22/05/2006 ES31/12/2036 ZINEBIG1998/0071 n89.18.z 00279 Selección Plantas Sevilla SLeuro 4/200617618 22/05/2006 ES31/12/2036 ZINEDIAM1998/0072 n.84.15z 00279 Selección Plantas Sevilla SLeuro 4/200617619 22/05/2006 ES31/12/2036 ZINEFIRE2006/2404 974na 00279/03299 Sel. Plantas Sevilla SL - S.N.C. Seuro 3/201129123 07/03/2011 ES31/12/2041 ZINEGE1996/0023 14GE100 00279 Selección Plantas Sevilla SLeuro 3/20017452 09/04/2001 ES31/12/2031 ZINEGLO1998/0075 n-91-19z 00279 Selección Plantas Sevilla SLeuro 4/200617622 22/05/2006 ES31/12/2036 ZINEPRE1996/0029 1ILA403 00279 Selección Plantas Sevilla SLeuro 3/20017457 09/04/2001 ES31/12/2026 ZINESUB1998/0074 n.92.30z 00279 Selección Plantas Sevilla SLeuro 4/200617621 22/05/2006 ES31/12/2036 ZINETOP1996/0026 69EE423 00279 Selección Plantas Sevilla SLeuro 3/20017455 09/04/2001 ES31/12/2031 ZIPEJOR1996/0024 60EE419 00279 Selección Plantas Sevilla SLeuro 3/20017453 09/04/2001 ES31/12/2031 ZISEARL1996/0025 62RA286 00279 Selección Plantas Sevilla SLeuro 3/20017454 09/04/2001 ES31/12/2031 ZISECAN1995/0724 37 EB 416 00279 Selección Plantas Sevilla SLeuro 4/19994560 03/05/1999 ES31/12/2029 ZISEMAY1998/0076 p.07.13z 00279 Selección Plantas Sevilla SLeuro 4/19994567 03/05/1999 ES31/12/2029 ZISEPRIL1996/0028 39GA188 00279 Selección Plantas Sevilla SLeuro 1/20005709 05/07/1999 ES31/12/2029 ZISESIL1995/0723 7 GE 30 00279 Selección Plantas Sevilla SLeuro 4/19994559 03/05/1999 ES31/12/2029 ZISILNE1998/0070 n.92.29z 00279 Selección Plantas Sevilla SLeuro 1/200717617 04/12/2006 ES31/12/2036 ZISUNCUA20024477 S4A 1547 00279 Selección Plantas Sevilla SLesp 5-2009002460 22/07/2009 ES31/12/2039 ZISUNTRE20024471 S 3B 1534 00279 Selección Plantas Sevilla SLesp 4-2012002561 28/06/2012 ES31/12/2042 Especie Prunus persica x Prunus davidiana DenominacióNº Exp. Nom comercial Codi / Titular Butlletí Nº POV Inici Protecció Fi Referència Obtentor / AVIMAG1995/1535 avimag 00691/00695 INRA - G.Y.D.K.F.V.euro116 1/19971270 15/10/1996 CADAMAN FR01/11/2021 Especie Prunus persica x Prunus davidiana) x Prunus x amygdalopersica (weston) Rehder DenominacióNº Exp. Nom comercial Codi / Titular Butlletí Nº POV Inici Protecció Fi Referència Obtentor / PRUNUS PORTAEMPELTS GREENPAC2006/2252 pac9904-01 03862 AGROMILLORA CATALANA SAeuro 4/201232795 21/05/2012 ROOTPAC-90 ES31/12/2042 PURPLEPAC2006/2253 pac9904-03 03862 AGROMILLORA CATALANA SAeuro 4/201232796 21/05/2012 ROOTPAC-70 ES31/12/2042 17/04/2016 Pàgina 60 de 74
  • 61.
    DenominacióNº Exp. Nomcomercial Codi / Titular Butlletí Nº POV Inici Protecció Fi Referència Obtentor / Prunus persica x Prunus domestica Especie Prunus persica x Prunus domestica DenominacióNº Exp. Nom comercial Codi / Titular Butlletí Nº POV Inici Protecció Fi Referència Obtentor / FERELEY1995/1536 fereley 00691 INRA-Institut National de la Recheuro116 1/19971271 15/10/1996 JASPI* FR01/11/2021 Especie Prunus pseudocerasus Lindl. × (Prunus canescens Bois × Prunus incisa Thunb.) DenominacióNº Exp. Nom comercial Codi / Titular Butlletí Nº POV Inici Protecció Fi Referència Obtentor / PIKU32001/1463 piku3 03021 Consortium Deutscher Baumscheuro 1/200310247 18/11/2002 DE31/12/2032 Especie Prunus pumila L. DenominacióNº Exp. Nom comercial Codi / Titular Butlletí Nº POV Inici Protecció Fi Referència Obtentor / PRUNUS RHENOROOT 21995/3032 - 00672 Forschungsanstalt Geisenheimeuro 3/200310710 10/03/2003 DE10/03/2033 Especie Prunus salicina Lindl. DenominacióNº Exp. Nom comercial Codi / Titular Butlletí Nº POV Inici Protecció Fi Referència Obtentor / PRUNERA JAPONESA ANNE GOLD1999/1392 anna 02787 Montanari Domenicoeuro 3/200515154 18/04/2005 ANNE GOLD IT31/12/2035 AUGUST YUMMY2004/2637 26 p 775 00279/08287 Sel. Plantas Sevilla SL / STAR Feuro 3/200924827 20/04/2009 AUGUST YUMMY ES31/12/2039 BRAGIALLA2003/2465 35 p 1244 00279/08287 Sel. Plantas Sevilla SL / STAR Feuro 5/200823143 07/07/2008 ES31/12/2038 BRAROSSA2003/2466 13 p 598 00279/08287 Sel. Plantas Sevilla SL / STAR Feuro 5/200823144 07/07/2008 ES31/12/2038 CONSTANZA2005/1878 constanza 05236 Godoy & Puyol Agronomos Asocieuro 4/201335358 21/05/2013 CL31/12/2043 CRIMSON GLO2003/2025 87 91 pr 00189 DARNAUD, Jean-Pierreeuro 4/200925353 08/06/2009 FR31/12/2039 DOFI SANDRA2007/1778 dofi 89030010 05225 Universita degli Studi di Firenzeeuro 4/201232799 21/05/2012 IT31/12/2042 GAIA2003/2391 sel. Sm 01 an 04487 Martelli Salvatoreeuro 5/200823289 21/07/2008 IT31/12/2038 GOLD BALL2010/2558 10 p 701 00279/08287 Sel. Plantas Sevilla SL / STAR Feuro 6/201438912 22/09/2014 ES31/12/2044 GOLDEN PLUMZA1996/1080 GOLDEN PLUMZA 01474 Vivai Fratelle Zanzi di Carlo Zanzieuro 6/200311950 20/10/2003 GOLDEN PLUMZA IT31/12/2033 GRENADINE2010/0590 cas 10 04767 SDR Fruit Llceuro 3/201540660 20/04/2015 GRENADINE US31/12/2045 HIROMI RED2003/2026 127 97 pr 00189 DARNAUD, Jean-Pierreeuro 5/200823140 07/07/2008 FR31/12/2038 HONEYSTAR2006/0490 honeystar 05084 Stargrow Cultivar Developementeuro 4/201130088 23/05/2011 ZA31/12/2041 LAMOON2001/0993 lamoon 03494 Ben dor Josepheuro 5/200823146 07/07/2008 IL31/12/2038 MARK2006/1643 h 20-28 05478 BEN-DOR FRUITS & NURSERIEeuro 1/201539138 17/11/2014 IL31/12/2044 PIONEER1997/1042 S 5B-21-17 01757 Ifruiteceuro 6/200311952 20/10/2003 ZA31/12/2033 PLUMSWEET V2009/0564 40 p 60 00279/08287 Sel. Plantas Sevilla SL / STAR Feuro 2/201231437 03/02/2012 ES31/12/2042 17/04/2016 Pàgina 61 de 74
  • 62.
    DenominacióNº Exp. Nomcomercial Codi / Titular Butlletí Nº POV Inici Protecció Fi Referència Obtentor / Prunus salicina Lindl. PLUMSWEETONE2004/2634 40 p 345 00279/08287 Sel. Plantas Sevilla SL / STAR Feuro 3/200924824 20/04/2009 CAP ES31/12/2039 PRIMETIME1997/1124 PRIMETIME 01871 Wuhl ericeuro 6/200311954 20/10/2003 US31/12/2033 READYUMMY2010/2557 21 c 330 00279/08287 Sel. Plantas Sevilla SL / STAR Feuro 3/201334553 18/03/2013 ES31/12/2043 SAPHIRE1999/0049 17-28-184 01757 Ifruiteceuro 6/200311963 20/10/2003 SAPPHIRE ZA31/12/2033 SEPTEMBER YUMMY2004/2635 26 p 627 00279/08287 Sel. Plantas Sevilla SL / STAR Feuro 3/200924825 20/04/2009 SEPTEMBER YUMMY ES31/12/2039 SERENA2008/0714 serena 05244 Dalmonte Fuido e Vittorio S.S. Seuro 4/201438201 02/06/2014 IT31/12/2044 SHOWTIME1997/1123 SHOWTIME 01871 Wuhl ericeuro 6/200311953 20/10/2003 US31/12/2033 SONGREEN 502011/0243 97.27.002 cv 00132 Plantas de Navarra SAeuro 2/201642547 22/02/2016 ES31/12/2046 SONGRIA 102005/2047 99.26.003-cn 00132 Plantas de Navarra SAeuro 4/201130086 23/05/2011 SONGRIA 10 ES31/12/2041 SONGRIA 152004/1839 99.26.010-cn 00132 Plantas de Navarra SAeuro 4/200925364 08/06/2009 SONGRIA 15 ES31/12/2039 SOUVENIR II1999/0050 6-13-191 01757 Ifruiteceuro 1/200412099 24/11/2003 SOUVENIR II ZA01/01/2034 SUN KISS1999/1853 7a 21 21 03945 ARC Infruitec - Nietvoorbijeuro 1/200717836 04/12/2006 ZA31/12/2036 SUNDEW1999/1854 7a 38 38 03945 ARC Infruitec - Nietvoorbijeuro 1/200717837 04/12/2006 ZA31/12/2036 SUPLUMTHIRTYFOUR2007/2072 05485 Sun World International LLCeuro 5/201335891 29/07/2013 US31/12/2043 SUPLUMTHIRTYONE2007/2390 05485 Sun World International LLCeuro 3/201232437 23/04/2012 US31/12/2042 SUPLUMTHIRTYSEVEN2008/0988 suplumthirtyseven 05485 Sun World International LLCeuro 3/201437509 07/04/2014 US31/12/2044 SUPLUMTHIRTYSIX2008/2722 suplumthirtysix 05485 Sun World International LLCeuro 5/201335895 29/07/2013 US31/12/2043 SUPLUMTWENTYEIGHT2007/2073 05485 Sun World International LLCeuro 3/201232436 23/04/2012 US31/12/2042 SUPLUMTWENTYFIVE2009/2709 suplumtwentyfive 05485 Sun World International LLCeuro 3/201437196 24/03/2014 US31/12/2044 SUPLUMTWENTYSIX2007/2188 05485 Sun World International LLCeuro 4/201232804 21/05/2012 US31/12/2042 SUPLUMTWENTYTHREE2007/0547 suplumtwentythree 05485 Sun World International LLCeuro 4/201130129 23/05/2011 US31/12/2041 SUPLUMTWENTYTWO2007/0545 suplumtwentytwo 05485 Sun World International LLCeuro 4/201130128 23/05/2011 US31/12/2041 SWEET IRIDIS 12015/0013 p-6 08646 S.A.T. 9413 FRUTARIAeuro 2/201642350 25/01/2016 ES31/12/2046 SWEET IRIDIS 120125013 rainbow-1 ES919 SAT Frutariaesp 1-2016002703 13/12/2015 ES31/12/2045 SWEET IRIDIS 22015/0015 p-7 08646 S.A.T. 9413 FRUTARIAeuro 2/201642351 25/01/2016 ES31/12/2046 SWEET IRIDIS 220125012 rainbow-2 ES919 SAT Frutariaesp 1-2016002702 13/12/2015 ES31/12/2045 SWEET IRIDIS 32015/0014 p-10 08646 S.A.T. 9413 FRUTARIAeuro 2/201642550 22/02/2016 ES31/12/2046 17/04/2016 Pàgina 62 de 74
  • 63.
    DenominacióNº Exp. Nomcomercial Codi / Titular Butlletí Nº POV Inici Protecció Fi Referència Obtentor / Prunus salicina Lindl. SWEET IRIDIS 320125011 rainbow-3 ES919 SAT Frutariaesp 1-2016002701 13/12/2015 ES31/12/2045 TC SUN1995/2002 315 42 00795 Zanzi Fruitgroeuro116 3/200515153 18/04/2005 IT31/12/2035 TITINE2010/0591 cas sp1 04767 SDR Fruit Llceuro 4/201541120 08/06/2015 US31/12/2045 YUMMYBEAUT2004/2638 36 p 205 00279/08287 Sel. Plantas Sevilla SL / STAR Feuro 4/201130082 23/05/2011 ES31/12/2041 YUMMYGEM2004/2636 10 p 881 00279/08287 Sel. Plantas Sevilla SL / STAR Feuro 3/200924826 20/04/2009 ES31/12/2039 YUMMYGIANT2004/2639 9 p 352 00279/08287 Sel. Plantas Sevilla SL / STAR Feuro 3/200924828 20/04/2009 ES31/12/2039 ZAI163PR2010/0362 163 01 pr 00189 DARNAUD, Jean-Pierreeuro 3/201437722 22/04/2014 FR31/12/2044 ZAIPUBO1998/0668 32 86 pr 00189 DARNAUD, Jean-Pierreeuro 6/200311959 20/10/2003 MOON GLOBE* FR31/12/2033 Especie Prunus salicina Lindl. x Prunus armeniaca L. DenominacióNº Exp. Nom comercial Codi / Titular Butlletí Nº POV Inici Protecció Fi Referència Obtentor / SALICINA X ARMENIACA DAPPLE DANDY2000/1610 38 89 pr 01065 Zaiger Floydeuro 6/200720974 08/10/2007 US31/12/2037 ZAI93ISC2007/2828 93 00 isc 00189 DARNAUD, Jean-Pierreeuro 4/201438203 02/06/2014 FR31/12/2044 ZAITERKI1997/0005 2391 PLUOT 01065 Zaiger Floydeuro 6/200311951 20/10/2003 US31/12/2033 ZAITERLA1997/0007 1391 is 01065 Zaiger Floydeuro 3/200719645 19/03/2007 US31/12/2037 Especie Prunus sp. (portaempelts) DenominacióNº Exp. Nom comercial Codi / Titular Butlletí Nº POV Inici Protecció Fi Referència Obtentor / PRUNUS PORTAEMPELTS CORAL ROJO20034519 ES922 Carmelo Bernal Palazonesp 1-2011002528 18/01/2011 ES31/12/2040 Especie Prunus tomentosa Thunb. Ex. Murr. x Prunus cerasif DenominacióNº Exp. Nom comercial Codi / Titular Butlletí Nº POV Inici Protecció Fi Referència Obtentor / VVA 12002/0762 vva-1 05536 Gennady EREMINeuro 4/200720097 21/05/2007 KRIMSK 1 RU31/12/2037 Especie Punica granatum L. DenominacióNº Exp. Nom comercial Codi / Titular Butlletí Nº POV Inici Protecció Fi Referència Obtentor / MAGRANA BEAUTY2010/0341 beautygranate 06914 Nir Ben Aharoneuro 6/201438876 08/09/2014 IL31/12/2044 EMEK2007/2597 emek (1/4) 01306 Agricultural Research Organisatieuro 6/201438842 08/09/2014 IL31/12/2044 KAMEL2007/2596 kamel (p.g. 134-35) 01306 Agricultural Research Organisatieuro 6/201438841 08/09/2014 IL31/12/2044 SHANI2007/2598 shani (p.g. 130-31) 01306 Agricultural Research Organisatieuro 6/201438843 08/09/2014 IL31/12/2044 Especie Pyrus communis L. DenominacióNº Exp. Nom comercial Codi / Titular Butlletí Nº POV Inici Protecció Fi Referència Obtentor / PERERA AC HARROW CRISP2001/0043 hw 610 00159 Agriculture & Agri-Food Canadaeuro 2/200310434 20/01/2003 CA31/12/2033 17/04/2016 Pàgina 63 de 74
  • 64.
    DenominacióNº Exp. Nomcomercial Codi / Titular Butlletí Nº POV Inici Protecció Fi Referència Obtentor / Pyrus communis L. AC HARROW DELICIOUS2001/0042 hw 608 00159 Agriculture & Agri-Food Canadaeuro 2/20028925 18/02/2002 AC HARROW DELICIOUS CA31/12/2032 AC HARROW GOLD2001/0044 hw 616 00159 Agriculture & Agri-Food Canadaeuro 2/200310434 20/01/2003 CA31/12/2033 AIDA2005/0816 isf.fo 80-104-72 01758 Istituto Sperimentale per la Fruttieuro 5/201130553 25/07/2011 IT31/12/2041 ANGELYS1999/1081 angelys 00689 INRA-Institut National de la Recheuro 6/20006785 16/10/2000 ANGELYS FR31/12/2025 BOHÉME2005/0815 isf.fo 80-57-83 01758 Istituto Sperimentale per la Fruttieuro 4/201335229 21/05/2013 IT31/12/2043 BOHEMICA2003/1140 te - 05316 01544 Sempra Praha a.s.euro 3/200821920 10/03/2008 CZ31/12/2038 CARMEN2000/0472 isf-fo 80-18-69 01758 Istituto Sperimentale per la Fruttieuro 4/200617843 06/06/2006 CARMEN IT31/12/2036 DELFERCO2003/0618 delferco 00368 Pepinieristes et Roseraires Georeuro 5/200516108 17/08/2005 DELFERCO FR31/12/2035 DELSANNE2000/0357 rx 2313 00368 Pepinieristes et Roseraires Georeuro 6/20006784 16/10/2000 DELBARD AUTOMNE FR31/12/2030 DELWINI2000/0356 rx 2313 00368 Pepinieristes et Roseraires Georeuro 6/20006783 16/10/2000 FR31/12/2030 DICOLOR2002/0242 dicolor 03757 SAD S.R.O.euro 2/200617002 27/02/2006 CZ31/12/2036 DOLACOMI1995/2120 dolacomi 03073 Stichting Vermeerderingstuineneuro 6/200210210 21/10/2002 DOLACOMI NL31/12/2032 ELLIOT1999/0576 elliot 00345 The Regents of the University ofeuro 1/20005573 06/12/1999 ELLIOT US31/12/2029 FM1717402005/1175 fm 171740 09031 BAUM- UND ROSENSCHULE Weuro 3/201027237 19/04/2010 DE31/12/2040 FM324A1352005/0760 fm324a135 09031 BAUM- UND ROSENSCHULE Weuro 4/201130084 23/05/2011 DE31/12/2041 FOX 111997/1470 A 28 01946 C A V Centro Attività Vivaisticheeuro 6/200210178 21/10/2002 IT31/12/2032 FOX 161997/1469 B 21 01946 C A V Centro Attività Vivaisticheeuro 6/200210177 21/10/2002 IT31/12/2032 FOX92008/2282 dca-bo e110 05679/06419/06420 Alma Mater - Università degli Stueuro 5/201438536 07/07/2014 IT31/12/2044 FRESQUILLA20074769 100908 Universitat de Lleidaesp 1-2012002545 30/12/2011 FRESQUILLA ES31/12/2041 HARROW BLISS2003/1624 hw 606 04376 Research Planning and Coordinaeuro 5/200925891 24/08/2009 CA31/12/2039 HARROW SWEET1995/1959 00159 Agriculture & Agri-Food Canadaeuro116 1/19971281 15/10/1996 HARROW SWEET CA01/12/2021 HL 3150232005/0793 hl 31/50-23 01544/09031 SEMPRA PRAHA A.S./ BAUM- Ueuro 4/201130085 23/05/2011 CZ31/12/2041 HW 6232003/1623 hw 623 04376 Research Planning and Coordinaeuro 5/200925891 24/08/2009 CA31/12/2039 KRASNIE CONFERENCE2006/1645 05523/05524 Fruithandel / Janssenseuro 5/201335890 29/07/2013 BE31/12/2043 NORMA2000/0473 isf-fo 80-79-69 01758 Istituto Sperimentale per la Fruttieuro 4/200617844 06/06/2006 NORMA IT31/12/2036 PYRED2002/1977 p2853 (dI6) 00689 INRA-Institut National de la Recheuro 3/200719929 16/04/2007 FR31/12/2037 PYRODWARF1995/2977 klon py 5-18 00672 Forschungsanstalt Geisenheimeuro 2/19982649 02/02/1998 PYRODWARF DE31/12/2028 17/04/2016 Pàgina 64 de 74
  • 65.
    DenominacióNº Exp. Nomcomercial Codi / Titular Butlletí Nº POV Inici Protecció Fi Referència Obtentor / Pyrus communis L. PYROPLUS2003/0335 bu 2-33 00672 Forschungsanstalt Geisenheimeuro 2/200616770 30/01/2006 DE31/12/2036 RADANA2003/2497 radana 01544 Sempra Praha a.s.euro 3/200821925 10/03/2008 CZ31/12/2038 RODE DOYENNE VAN DOORN 2002/0114 rode doyenne du comice broertjes 08417 Goeie Peer B-V.euro 4/200925353 08/06/2009 NL31/12/2039 ROKSOLANA2005/0502 roksolana 00303 SNC Elariseuro 4/201232794 21/05/2012 FR31/12/2042 SAELS2000/0681 rna 0010 03016/03017 Gebroeders Saels - NV GEEFAeuro 4/200413322 17/05/2004 BE31/12/2034 TAYLORS GOLD1996/0631 Taylo's gold 01352/01353 King Turner, M B - King Turner,euro 1/200412028 10/11/2003 TAYLOR'S GOLD NZ01/01/2034 THIMO2003/2389 thimo 09031 BAUM- UND ROSENSCHULE Weuro 3/200821934 10/03/2008 DE31/12/2038 TICO WAES2007/0218 vw05h3 05725 V.O.F. Fruitvalleieuro 6/201130892 10/10/2011 NL31/12/2041 TURANDOT2000/0474 15f-fo 80-15-69 01758 Istituto Sperimentale per la Fruttieuro 4/200617845 06/06/2006 TURANDOT IT31/12/2036 UTA1999/0805 uta 02625 Sächsische Landesanstalt für Laeuro 2/20005802 14/02/2000 DE31/12/2030 VERDI1995/0660 cpo 66006-273 06983 Stichting Dienst Landbouwkundigeuro116 4/19971970 19/05/1997 VERDI NL01/08/2024 Especie Quercus palustris Münchh. DenominacióNº Exp. Nom comercial Codi / Titular Butlletí Nº POV Inici Protecció Fi Referència Obtentor / QUERCUS PALUSTRIS WOODSIDE SPLENDOR2012/0872 woodside splendor 04044 Boomkwekerij Gebr. Van den Bereuro 3/201539831 09/03/2015 NL31/12/2045 Especie Ribes nigrum L. DenominacióNº Exp. Nom comercial Codi / Titular Butlletí Nº POV Inici Protecció Fi Referència Obtentor / CASSIS BEN AVON2001/0666 scri s26/1/1 08582 LUCOZADE RIBENA SUNTORYeuro 1/200614649 12/12/2005 UK31/12/2030 BEN DORAIN2001/0664 scri s26/1/2 08582 LUCOZADE RIBENA SUNTORYeuro 1/200614647 12/12/2005 UK31/12/2030 BEN FINLAY2009/0202 scri 8872-1 07377 James Hutton Instituteeuro 4/201232756 21/05/2012 UK31/12/2042 BEN KLIBRECK2009/1981 scri 8814-2 08582 LUCOZADE RIBENA SUNTORYeuro 5/201335826 08/07/2013 UK31/12/2038 BEN LAIR2001/0665 scri s12/16/45 03410 Smithkline Beecham Plceuro 1/200614648 12/12/2005 UK31/12/2030 BEN STARAV2009/1980 scri s18/10/18 08582 LUCOZADE RIBENA SUNTORYeuro 5/201335825 08/07/2013 UK31/12/2038 BEN VANE2006/0752 s13-14-107 08582 LUCOZADE RIBENA SUNTORYeuro 3/201026952 22/03/2010 UK31/12/2040 BIG BEN2008/0249 c2/15/40 07377 James Hutton Instituteeuro 4/201130137 25/05/2011 UK31/12/2041 CHERSHNEVA1999/0277 chershneva 05369 Lubera AGeuro 6/20029924 21/10/2002 CH31/12/2027 GOFERT2011/0024 pc-1 07220 INSTYTUT OGRODNICTWA (INeuro 1/201231262 19/12/2011 PL31/12/2041 KIROAPA102010/1246 2010/11/535 01804 Plattner Antoneuro 3/201437421 07/04/2014 DE31/12/2044 ORES2006/0084 pc-36 04811 Instytut Sadownictwa i Kwaiciarsteuro 2/200719040 22/01/2007 PL31/12/2032 17/04/2016 Pàgina 65 de 74
  • 66.
    DenominacióNº Exp. Nomcomercial Codi / Titular Butlletí Nº POV Inici Protecció Fi Referència Obtentor / Ribes nigrum L. POLARES2013/1694 pc-7/13 07220 INSTYTUT OGRODNICTWA (INeuro 3/201437036 10/03/2014 PL31/12/2044 RUBEN2006/0083 isk 83 x 80/1 04811 Instytut Sadownictwa i Kwaiciarsteuro 2/200719039 22/01/2007 PL31/12/2032 TIBEN2003/2148 26c/8, pc-78 00702 Institute of Pomologyeuro 6/200414099 25/10/2004 PL31/12/2034 TIHOPE2013/1693 pc-425 07220 INSTYTUT OGRODNICTWA (INeuro 3/201437035 10/03/2014 PL31/12/2044 TINES2006/0082 pc-106 04811 Instytut Sadownictwa i Kwaiciarsteuro 2/200719038 22/01/2007 PL31/12/2032 TISEL2003/2149 30/b1, pc-84 00702 Institute of Pomologyeuro 6/200414100 25/10/2004 PL31/12/2034 ZUSHA2005/1727 zusha 05216 All Rusian Research Institute ofeuro 3/200924351 23/03/2009 RU31/12/2039 Especie Ribes sylvestris (Lam.) Mert. & W. Kock DenominacióNº Exp. Nom comercial Codi / Titular Butlletí Nº POV Inici Protecció Fi Referència Obtentor / RIBES AUGUSTUS1995/2713 Augustus 00719 Meulblok, E.C.euro 3/19971768 03/03/1997 NL31/12/2022 REDPOLL1997/0827 1503/31 00010 Horticultural Research Internationeuro 4/19982783 04/05/1998 GB31/12/2023 ROODNEUS1995/2712 Roodneus 00719 Meulblok, E.C.euro 3/19971767 03/03/1997 NL31/12/2022 Especie Ribes uva-crispa L. DenominacióNº Exp. Nom comercial Codi / Titular Butlletí Nº POV Inici Protecció Fi Referència Obtentor / GROSELLA LAPRIMA2014/2709 10-60-00 00672 Forschungsanstalt Geisenheimeuro 5/201541500 20/07/2015 DE31/12/2045 LEORA2014/2708 9-61-00 00672 Forschungsanstalt Geisenheimeuro 4/201541127 08/06/2015 DE31/12/2045 PAX1995/3011 1815/123 00010 Horticultural Research Internationeuro 4/19994561 03/05/1999 GB31/12/2024 RAFZUERA2002/1325 rafzuera 01644 Promo Fruit Ag.euro 2/200616908 27/02/2006 CH31/12/2031 REDEVA2000/0052 nr.11 02899 Grafmüller, Wernereuro 5/20006597 26/07/2000 DE31/12/2025 RELINA2009/0124 97/1 relina 02899 Grafmüller, Wernereuro 5/200925916 24/08/2009 DE31/12/2039 REXROT1998/1032 rexrot 00346 Gevo Pflanzenvertrieb Gmbheuro 2/19994237 15/02/1999 DE31/12/2024 ROKULA1995/0729 rokula 00258 Hõberli Obst-und Beerenzentrumeuro116 1/19971301 15/10/1996 CH01/11/2017 Especie Ribes x nidigrolaria R. et A. Bauer DenominacióNº Exp. Nom comercial Codi / Titular Butlletí Nº POV Inici Protecció Fi Referència Obtentor / GROSELLA RIKÖ1995/1341 78 1982 01073 LEGATH, Mariaeuro 4/20029596 17/06/2002 SE31/12/2027 Especie Rubus idaeus L. DenominacióNº Exp. Nom comercial Codi / Titular Butlletí Nº POV Inici Protecció Fi Referència Obtentor / GERDERA ADELITA2011/1459 07.09r.50 00132 Plantas de Navarra SAeuro 3/201540339 07/04/2015 ES31/12/2045 ADVABEREEN2011/0113 fr211901 07201/07202 Advanced Berry Breeding/De Weeuro 3/201540334 07/04/2015 NL31/12/2045 17/04/2016 Pàgina 66 de 74
  • 67.
    DenominacióNº Exp. Nomcomercial Codi / Titular Butlletí Nº POV Inici Protecció Fi Referència Obtentor / Rubus idaeus L. ADVABERIMAR2011/0114 fr211902 07201/07202 Advanced Berry Breeding/De Weeuro 3/201540335 07/04/2015 NL31/12/2045 ADVABERTWEE2011/0115 fr211903 07201/07202 Advanced Berry Breeding/De Weeuro 3/201540336 07/04/2015 NL31/12/2045 ALPENGOLD2008/0028 01758 Istituto Sperimentale per la Fruttieuro 4/201130133 23/05/2011 IT31/12/2041 AROMQUEE2007/0844 aromquee 05496 Dr. Barbara Datheeuro 2/200821776 28/01/2008 DE31/12/2033 AUTUMN TREASURE2008/0873 em 6597/46 04662 East Malling Research Ltdeuro 4/201232811 04/06/2012 UK31/12/2042 BP12009/0851 bp1 05925 Maria Maddalena GrisentiEURO 3/201437717 22/04/2014 IT31/12/2044 BRILLIANCE2006/0182 ps-1703 00743/01203 Plant Sciences - Berry R&Deuro 4/200924928 04/05/2009 US31/12/2034 DRISCOLL CARDINAL2003/0684 cardinal 00659 Driscoll Strawberry Associates Ineuro 3/200719943 16/04/2007 US31/12/2032 DRISCOLL CARMELINA2003/0686 carmelina 00659 Driscoll Strawberry Associates Ineuro 3/200719945 16/04/2007 US31/12/2032 DRISCOLL DULCITA2003/0687 dulcita 00659 Driscoll Strawberry Associates Ineuro 3/200719946 16/04/2007 US31/12/2032 DRISCOLL ESTRELLA (V308.3) 2008/0215 00659 Driscoll Strawberry Associates Ineuro 4/201232809 04/06/2012 US31/12/2042 DRISCOLL MADONNA2008/0211 00659 Driscoll Strawberry Associates Ineuro 4/201232807 04/06/2012 US31/12/2042 DRISCOLL MARAVILLA2003/0685 maravilla 00659 Driscoll Strawberry Associates Ineuro 3/200719944 16/04/2007 US31/12/2032 DRISCOLL PACIFICA (S846.1) 2008/0216 00659 Driscoll Strawberry Associates Ineuro 4/201232810 04/06/2012 US31/12/2042 DRISCOLL SEVILLANA (V372.1) 2008/0214 00659 Driscoll Strawberry Associates Ineuro 4/201232808 04/06/2012 US31/12/2042 DRISRASPONE2008/1095 drisraspone 00659 Driscoll Strawberry Associates Ineuro 3/201334752 08/04/2013 US31/12/2043 DRISRASPTWO2010/2039 z135-1 00659 Driscoll Strawberry Associates Ineuro 3/201437198 24/03/2014 US31/12/2044 ELEGANCE2012/0139 ps-2922 00743/01203 Plant Sciences - Berry R&Deuro 3/201540669 20/04/2015 US31/12/2045 EM 6413/592012/0175 04662 East Malling Research Ltdeuro 3/201540345 07/04/2015 UK31/12/2045 EMR 2012012012/0169 em6881/102 04662 East Malling Research Ltdeuro 3/201540344 07/04/2015 UK31/12/2045 ERIKA2007/0473 sel 2002a 01758 Istituto Sperimentale per la Fruttieuro 4/201130127 23/05/2011 IT31/12/2041 FRUATFRI2008/0296 fruatfri 01644 Promo Fruit Ag.euro 1/201333764 19/11/2012 CH31/12/2042 GALANTE1995/1586 galante 00718 Marionnet Jacques Gfaeuro116 1/19971357 15/10/1996 FR01/11/2018 GLEN AMPLE1995/0574 glen ample 07377 James Hutton Instituteeuro 3/19982729 06/04/1998 UK31/12/2023 GLEN DOLL2006/0314 9053b6 07377 James Hutton Instituteeuro 4/200924929 04/05/2009 UK31/12/2034 GLEN ERICHT2008/0315 99111b2 07377 James Hutton Instituteeuro 4/201130310 06/06/2011 UK31/12/2041 17/04/2016 Pàgina 67 de 74
  • 68.
    DenominacióNº Exp. Nomcomercial Codi / Titular Butlletí Nº POV Inici Protecció Fi Referència Obtentor / Rubus idaeus L. GLEN FYNE2007/0474 9062e-1 07377 James Hutton Instituteeuro 3/201027262 19/04/2010 UK31/12/2040 GLEN LYON1995/0801 glen lyon 07377 James Hutton Instituteeuro116 5/1996481 02/08/1996 UK01/09/2016 GLEN MAGNA1995/0578 glen magna 07377 James Hutton Instituteeuro 1/19971533 16/12/1996 UK31/12/2021 GLORIA1998/0308 gloria 01572 Swetbriar Development, Inceuro 3/20029003 18/03/2002 US31/12/2027 GRANDEUR2009/0538 pr-2933 00743/01203 Plant Sciences - Berry R&Deuro 5/201335800 29/07/2013 US31/12/2038 HOLYOKE1998/0346 holyoke 01572 Swetbriar Development, Inceuro 3/20029004 18/03/2002 US31/12/2027 ISABEL1997/0004 isabel 01572 Swetbriar Development, Inceuro 1/20005681 20/12/1999 US31/12/2024 JOAN J1999/0064 93118/5 01409 Jennings Derek Leonard-Medwayeuro 1/200310236 18/11/2002 UK31/12/2027 LUPITA2011/1460 07.09r.52 00132 Plantas de Navarra SAeuro 3/201540340 07/04/2015 ES31/12/2045 MALAHAT1998/0279 bc-85-5-24 01823 Pacific Agri-Food Research Centreuro 3/20028999 18/03/2002 CA31/12/2027 MARWE1995/2721 MarwÞ 00719 Meulblok, E.C.euro 3/19971769 03/03/1997 NL31/12/2022 NY ONE2011/1325 ny selection 1 02978 Cornell Universityeuro 3/201540338 07/04/2015 US31/12/2045 OCTAVIA2002/0113 em 6512/50 00010 Horticultural Research Internationeuro 3/200514919 21/03/2005 GB31/12/2035 POKUSA2004/1969 p 93454 03704 Sadowniczy Zaklad Doswiadczaleuro 2/200821732 28/01/2008 PL31/12/2038 POLKA2002/0007 p93563 07220 INSTYTUT OGRODNICTWA (INeuro 3/200514918 21/03/2005 PL31/12/2035 PORANNA ROSA2004/1970 p 87112 03704 Sadowniczy Zaklad Doswiadczaleuro 2/200821733 28/01/2008 PL31/12/2038 QUALICUM1998/0280 bc-83-16-50 01823 Pacific Agri-Food Research Centreuro 3/20029000 18/03/2002 CA31/12/2027 RADIANCE2009/0537 ps-2430 00743/01203 Plant Sciences - Berry R&Deuro 5/201335799 08/07/2013 US31/12/2038 RAFZAQU2000/1707 ab x hq 90-h 01644 Promo Fruit Ag.euro 3/200413008 05/04/2004 CH31/12/2034 REGINA2011/1395 vr01 07326 Ilario Ioriattieuro 2/201539542 23/02/2015 IT31/12/2040 RUBACA1995/1760 klon 18 00222 Technische Universitõt Müncheneuro116 6/19972472 04/09/1997 DE01/05/2019 RUBYFALL2007/0644 sel tn-03-52 01758 Istituto Sperimentale per la Fruttieuro 4/201130130 23/05/2011 IT31/12/2041 SAANICH2011/0399 bc 89-34-41 07239 Agriculture and Agri-Food Canadeuro 4/201540926 26/05/2015 CA31/12/2045 STREIB 2A2006/1766 streib2a 00258 Hõberli Obst-und Beerenzentrumeuro 2/201026738 22/02/2010 CH31/12/2035 SUGANA2007/1466 sugana 05369 Lubera AGeuro 2/201128847 07/02/2011 CH31/12/2041 TADMOR2003/1068 hr59 00915 The Horticulture & Food Researceuro 3/200821935 10/03/2008 NZ31/12/2033 TULAMEEN PLUS2007/0392 wca-v2 05753 Berryworld Plus Ltdeuro 4/201130126 23/05/2011 UK31/12/2041 17/04/2016 Pàgina 68 de 74
  • 69.
    DenominacióNº Exp. Nomcomercial Codi / Titular Butlletí Nº POV Inici Protecció Fi Referència Obtentor / Rubus idaeus L. VAJOLET2009/2161 t 33 05972 Sant'Orsola Societa' Cooperativaeuro 3/201334274 04/03/2013 IT31/12/2043 WAKEFIELD2013/0151 hr40 00915 The Horticulture & Food Researceuro 2/201642313 25/01/2016 NZ31/12/2046 WEIRULA1999/1137 wei-rula 02710 Technische Universität Müncheneuro 2/200310423 20/01/2003 DE31/12/2028 Especie Rubus subgenus Eubatus Sect. Moriferi & Ursini DenominacióNº Exp. Nom comercial Codi / Titular Butlletí Nº POV Inici Protecció Fi Referència Obtentor / RUBUS APF 452011/1881 apf-45 01752 University of Arkansaseuro 4/201540830 11/05/2015 US31/12/2045 DRISBLACKTWO2010/0837 bk356.2 00659 Driscoll Strawberry Associates Ineuro 3/201437420 07/04/2014 US31/12/2044 DRISCOLL CARMEL2005/2518 driscoll carmel 00659 Driscoll Strawberry Associates Ineuro 2/200924097 23/02/2009 US31/12/2034 DRISCOLL COWLES2008/0212 bd467.1 00659 Driscoll Strawberry Associates Ineuro 4/201232665 07/05/2012 US31/12/2042 DRISCOLL EUREKA2008/0213 bd477.1 00659 Driscoll Strawberry Associates Ineuro 4/201232666 07/05/2012 US31/12/2042 DRISCOLL THORNLESS SLEEPING BEAUTY 2008/0217 00659 Driscoll Strawberry Associates Ineuro 4/201232667 07/05/2012 US31/12/2042 KARAKA BLACK1999/1654 8627n8-6 02830 The Horticulture & Food Res. Int.euro 3/200310720 10/03/2003 NZ10/03/2033 KIOWA1999/0278 kiowa 05369 Lubera AGeuro 3/200310715 10/03/2003 CH10/03/2033 LOCH MAREE2006/0313 86506g7 00054 Scottish Crop Research Instituteeuro 3/201334751 08/04/2013 UK31/12/2043 LOCH TAY2002/0844 86510L-2 07377 James Hutton Instituteeuro 2/200616917 27/02/2006 UK31/12/2036 LUB MB2232009/1403 lub mb2/23 05369 Lubera AGeuro 4/201437943 05/05/2014 CH31/12/2044 NATCHEZ2009/1955 natchez 01752 University of Arkansaseuro 5/201335827 29/07/2013 US31/12/2038 OUACHITA2006/2430 ouachita 01752 University of Arkansaseuro 4/201232662 07/05/2012 US31/12/2042 REUBEN2009/2058 0541p3 05646 Hargreaves Plants Ltdeuro 6/201336096 23/09/2013 UK31/12/2043 SLEEPING BEAUTY2005/2517 driscoll sleeping beauty 00659 Driscoll Strawberry Associates Ineuro 2/200924096 23/02/2009 US31/12/2034 Especie Sorbus aucuparia L. DenominacióNº Exp. Nom comercial Codi / Titular Butlletí Nº POV Inici Protecció Fi Referència Obtentor / SERVERA FINGERPRINT2010/2646 fingerprint 07168 De Martelaer Boomkwekerij B.V.euro 4/201335854 29/07/2013 BE31/12/2043 FLANROCK2001/0538 autumn spire 03374 Flannery's Nurserieseuro 6/200414075 27/09/2004 IE31/12/2034 Especie Vaccinium corymbosum L. DenominacióNº Exp. Nom comercial Codi / Titular Butlletí Nº POV Inici Protecció Fi Referència Obtentor / NABIU ABUNDANCE2007/0368 abundance 00669 Florida Foundation Seed Produceeuro 3/201437097 22/04/2014 US31/12/2044 ALBA2008/0344 s03-19-02 06181 Royal Berries S.L.euro 2/201436999 24/02/2014 ES31/12/2044 17/04/2016 Pàgina 69 de 74
  • 70.
    DenominacióNº Exp. Nomcomercial Codi / Titular Butlletí Nº POV Inici Protecció Fi Referència Obtentor / Vaccinium corymbosum L. ALTAIR2008/0338 s03-38-04 06181 Royal Berries S.L.euro 3/201334441 18/03/2013 ES31/12/2038 AURORA2005/0223 aurora 04947 The Board of Thustees of Michigeuro 2/200923937 09/02/2009 US31/12/2034 AZULEMA2008/0345 s03-38-01 06181 Royal Berries S.L.euro 3/201334444 18/03/2013 ES31/12/2043 BLUECRISP2004/1337 bluecrisp 00669 Florida Foundation Seed Produceeuro 4/200923931 04/05/2009 US31/12/2034 CAMELLIA2007/2299 camellia 04180/04539 U.Georgia Research Foundation Ieuro 2/201436995 24/02/2014 US31/12/2044 CARMEN2008/0339 s01-13-04 06181 Royal Berries S.L.euro 3/201334442 18/03/2013 ES31/12/2038 CELESTE2008/0343 s02-04-01 06181 Royal Berries S.L.euro 3/201334554 18/03/2013 ES31/12/2038 CORONA2008/0346 s02-30-12 06181 Royal Berries S.L.euro 3/201540493 07/04/2015 ES31/12/2045 DOLORES2008/0342 s02-26-03 06181 Royal Berries S.L.euro 3/201540492 07/04/2015 ES31/12/2045 DRAPER2005/0224 draper 04947 The Board of Thustees of Michigeuro 2/200923938 09/02/2009 US31/12/2034 DRISBLUEONE2008/1096 drisblueone 00659 Driscoll Strawberry Associates Ineuro 3/201437100 10/03/2014 US31/12/2044 DRISBLUETHREE2008/1098 drisbluethree 00659 Driscoll Strawberry Associates Ineuro 3/201334447 18/03/2013 US31/12/2038 DRISBLUETWO2008/1097 drisbluetwo 00659 Driscoll Strawberry Associates Ineuro 3/201334446 18/03/2013 US31/12/2038 EMERALD2004/1339 emerald 00669 Florida Foundation Seed Produceeuro 4/200923932 04/05/2009 US31/12/2034 FARTHING2011/0236 F1 00-75 00669 Florida Foundation Seed Produceeuro 4/201540829 11/05/2015 US31/12/2045 HORTBLUE PETITE2005/0518 m7 00915 The Horticulture & Food Researceuro 2/200923936 23/02/2009 NZ31/12/2034 HORTBLUE POPPINS2007/2267 b8-3-10 00915 The Horticulture & Food Researceuro 3/201231850 19/03/2012 NZ31/12/2042 JEWELL2004/1338 jewel 00669 Florida Foundation Seed Produceeuro 2/201539515 09/02/2015 US31/12/2040 LIBERTY2005/0225 liberty 04947 The Board of Thustees of Michigeuro 2/200923937 09/02/2009 US31/12/2034 LUCERO2008/0340 s01-28-01 06181 Royal Berries S.L.euro 2/201436998 24/02/2014 ES31/12/2044 LUCIA2008/0341 s03-60-01 06181 Royal Berries S.L.euro 3/201334443 18/03/2013 ES31/12/2043 MAGNA2008/0347 s03-08-02 06181 Royal Berries S.L.euro 3/201334445 18/03/2013 ES31/12/2038 MILLENNIA2004/1343 millennia 00669 Florida Foundation Seed Produceeuro 4/200923935 04/05/2009 US31/12/2034 PALMETTO2007/2300 palmetto 04180 University of Georgia Research Feuro 2/201436996 24/02/2014 US31/12/2044 PRIMADONNA2007/0371 primadonna 00669 Florida Foundation Seed Produceeuro 3/201231791 19/03/2012 US31/12/2042 REBEL2007/2301 rebel 04180 University of Georgia Research Feuro 3/201334440 18/03/2013 US31/12/2038 ROCIO2007/0366 rocio 06181 Royal Berries S.L.euro 3/201540491 07/04/2015 ES31/12/2045 17/04/2016 Pàgina 70 de 74
  • 71.
    DenominacióNº Exp. Nomcomercial Codi / Titular Butlletí Nº POV Inici Protecció Fi Referència Obtentor / Vaccinium corymbosum L. ROMERO2007/0367 romero 06181 Royal Berries S.L.euro 3/201334439 18/03/2013 ES31/12/2038 SCINTILLA2011/0235 F1 00-267 00669 Florida Foundation Seed Produceeuro 4/201540828 11/05/2015 US31/12/2045 SEBRING2004/1342 sebring 00669 Florida Foundation Seed Produceeuro 4/200923934 04/05/2009 US31/12/2034 SEVILLA2008/0337 s03-08-04 06181 Royal Berries S.L.euro 2/201436997 24/02/2014 ES31/12/2044 SOUTHERN BELLE2004/1341 sourthern 00669 Florida Foundation Seed Produceeuro 4/200923933 04/05/2009 US31/12/2034 SPRINGHIGH2007/0369 springhigh 00669 Florida Foundation Seed Produceeuro 3/201437098 22/04/2014 US31/12/2044 SPRINGWIDE2007/0370 springwide 00669 Florida Foundation Seed Produceeuro 3/201437099 22/04/2014 US31/12/2044 SUZIBLUE2011/0173 04180 University of Georgia Research Feuro 4/201540785 11/05/2015 US31/12/2045 Especie Vaccinium simulatum Small DenominacióNº Exp. Nom comercial Codi / Titular Butlletí Nº POV Inici Protecció Fi Referència Obtentor / NABIU HORTBLUE DEMURE2005/0517 d104 00915 The Horticulture & Food Researceuro 2/200924095 23/02/2009 NZ31/12/2034 Especie Vaccinium virgatum Aiton DenominacióNº Exp. Nom comercial Codi / Titular Butlletí Nº POV Inici Protecció Fi Referència Obtentor / NABIU ALAPAHA2007/2296 alapaha 04180/04539 U.Georgia Research Foundation Ieuro 3/201334753 08/04/2013 US31/12/2038 OCHLOCKONEE2007/2298 ochlockonee 04180/04539 U.Georgia Research Foundation Ieuro 3/201334755 08/04/2013 US31/12/2038 VERNON2007/2297 vernon 04180 University of Georgia Research Feuro 3/201334754 08/04/2013 US31/12/2038 Especie Vaccinium vitis-idaea L. DenominacióNº Exp. Nom comercial Codi / Titular Butlletí Nº POV Inici Protecció Fi Referència Obtentor / NABIU MELIRO2010/1540 07050 SIERTEELTKWEKERIJ MAARTeuro 2/201539355 26/01/2015 NL31/12/2040 RED CANDY2008/2294 sonkoot30 06616 Van Son & Koot Holding B.V.euro 2/201539352 26/01/2015 NL31/12/2040 Especie Vitis L. DenominacióNº Exp. Nom comercial Codi / Titular Butlletí Nº POV Inici Protecció Fi Referència Obtentor / VINYA ACS V 012007/2981 blanc seedless 06135 Luribay Business Inc.euro 4/201335570 03/06/2013 PA31/12/2043 AFRODITA1997/1145 B-4-5 AFRODITA 00795 Zanzi Fruitgroeuro 3/200719931 16/04/2007 IT31/12/2037 ALEGRILLO NEGRO1999/1528 alegrillo negro 02801 Wein und Sektkellereien Jakob Geuro 3/20029014 18/03/2002 DE31/12/2032 AMGRAPONE2006/0363 snflwhitone 03945 ARC Infruitec - Nietvoorbijeuro 5/201027971 26/07/2010 ZA31/12/2040 APULIA2008/1662 apulia 08009 AGRIPROJECT GROUP S.R.L.euro 5/201335812 08/07/2013 IT31/12/2043 AUTUMN KING2007/1899 autumn king (c67-120) 04539 The United States of Americaeuro 4/201335210 06/05/2013 US31/12/2043 AVANTI2006/0812 tii/58 05419 Ulrich Martineuro 1/201333808 19/11/2012 DE31/12/2042 17/04/2016 Pàgina 71 de 74
  • 72.
    DenominacióNº Exp. Nomcomercial Codi / Titular Butlletí Nº POV Inici Protecció Fi Referència Obtentor / Vitis L. B34 822005/1788 scarlet royal (b34-82) 04539 The United States of Americaeuro 6/201130889 10/10/2011 US31/12/2041 BLAGATWO2009/2710 blagatwo 06859 Sheehan Genetics LLCeuro 5/201438463 07/07/2014 US31/12/2044 BLAGRAONE2006/0416 blagraone 01719 Antonio Muñoz y Cia SAeuro 5/201027972 26/07/2010 ES31/12/2040 CABERNET BLANC2006/1054 vb 91-26-1 05457 Volker Freytageuro 3/200821990 10/03/2008 DE31/12/2038 CABERNET JURA2006/1052 vb 05-02 05457 Volker Freytageuro 4/201130091 23/05/2011 DE31/12/2041 CABERTIN2006/1055 vb 91-26-17 05457 Volker Freytageuro 3/200821991 10/03/2008 DE31/12/2038 CHRISTINE2004/0165 19/1/558 00363 Wolf Jörgeuro 5/200823287 21/07/2008 DE31/12/2038 CUMDEO BLANC1999/1526 cumdeo blanc 02801 Wein und Sektkellereien Jakob Geuro 3/20029012 18/03/2002 DE31/12/2032 CUMDEO ROUGE1999/1525 cumdeo rouge 02801 Wein und Sektkellereien Jakob Geuro 3/20029011 18/03/2002 DE31/12/2032 DORIA SEEDLESS2000/1225 doria seedless 03102/03103/03104 Giordano,F - Papasergio, R - Gueuro 6/200720977 08/10/2007 IT31/12/2037 GEORG2004/0162 31/01/062 00363 Wolf Jörgeuro 5/200823284 21/07/2008 DE31/12/2038 GERTRUDE2004/0164 19/1/432 00363 Wolf Jörgeuro 5/200823286 21/07/2008 DE31/12/2038 GRAPAES1999/0631 44/50 02580 Grapa Company Limitedeuro 3/200719647 19/03/2007 IL31/12/2037 GRAPECOUS2003/0680 g 5 09077 SPECIAL NEW FRUIT LICENSIeuro 1/201026305 21/12/2009 UK31/12/2039 HOBREVT2003/0464 hobrevt 00258 Hõberli Obst-und Beerenzentrumeuro 3/200719648 19/03/2007 CH31/12/2037 JAKOB GERHARDT BLANC1999/1527 jakob gerhardt blanc 02801 Wein und Sektkellereien Jakob Geuro 3/20029013 18/03/2002 DE31/12/2032 KATHARINA2004/0166 31/1/265 00363 Wolf Jörgeuro 5/200823288 21/07/2008 DE31/12/2038 MILLENNIUM2006/0813 tii/62 05419 Ulrich Martineuro 2/201128843 07/02/2011 DE31/12/2041 MYSTERY1999/0960 mystery 01306 Agricultural Research Organisatieuro 3/200719941 16/04/2007 MYSRERY IL31/12/2037 NEGRO AMARO CANNELLINO 2002/0608 negro amaro precoce n. 03834/02306 CAM DI COMMER, INDUSTRIA,euro 2/200719237 19/02/2007 IT31/12/2037 NEMADEX ALAIN BOUQUET2010/2348 mtp 6146-1-87 00689 INRA-Institut National de la Recheuro 4/201130381 06/06/2011 FR31/12/2041 NERO1995/1466 nero 00363 Wolf Jörgeuro116 3/19971760 03/03/1997 NERO DE01/02/2024 NIKOLETA2002/0383 nikoleta 03791 SPINOS NIKOLAOSeuro 4/201437905 05/05/2014 GR31/12/2044 PAULA1998/1175 paula 02306 Istituto Sperimentale per la Viticoleuro 1/200310234 18/11/2002 IT31/12/2032 PHILIPP2004/0163 31/1/225 00363 Wolf Jörgeuro 5/200823285 21/07/2008 DE31/12/2038 PINOTIN2006/1053 vb 91-26-19 05457 Volker Freytageuro 3/200719939 16/04/2007 DE31/12/2037 PRIME1999/0961 prime 01306 Agricultural Research Organisatieuro 4/200719942 16/04/2007 PRIME IL31/12/2037 17/04/2016 Pàgina 72 de 74
  • 73.
    DenominacióNº Exp. Nomcomercial Codi / Titular Butlletí Nº POV Inici Protecció Fi Referència Obtentor / Vitis L. PRINCESS2004/0107 princess (c45-59) 04539 The United States of Americaeuro 5/201335858 29/07/2013 US31/12/2043 RALLI SEEDLESS1998/1747 ralli seedless 02468 G. & I. Ralli & Sons Pty Ltdeuro 3/200719940 16/04/2007 AU31/12/2037 RATHAY1999/1194 rathay 02732 Höhere Bundeslehranstalt und Beuro 4/200413613 21/06/2004 RATHAY AT31/12/2034 REGENT1995/0821 regent 00650 Institut für Rebenzüchtungeuro116 1/19971396 15/10/1996 REGENT DE01/04/2024 ROESLER1999/1195 roesler 02732 Höhere Bundeslehranstalt und Beuro 4/200413614 21/06/2004 AT31/12/2034 RUBINET2000/0264 r-27 tintet 02932 Hermann Jägereuro 4/200413615 21/06/2004 DE31/12/2034 RUBINIA1998/1172 rubinia 02306 Istituto Sperimentale per la Viticoleuro 1/200310231 18/11/2002 IT31/12/2032 SHEEGENE 102009/2759 9-767 06859 Sheehan Genetics LLCeuro 6/201336064 23/09/2013 US31/12/2043 SHEEGENE 112010/0323 9-605 06859 Sheehan Genetics LLCeuro 5/201438466 07/07/2014 US31/12/2044 SHEEGENE 122010/0324 r9v688 06859 Sheehan Genetics LLCeuro 5/201438467 07/07/2014 US31/12/2044 SHEEGENE 132010/0325 9-794 06859 Sheehan Genetics LLCeuro 5/201438468 07/07/2014 US31/12/2044 SHEEGENE 22010/0322 10-58 06859 Sheehan Genetics LLCeuro 5/201438465 07/07/2014 US31/12/2044 SHEEGENE 262010/2597 gal-4 06859 Sheehan Genetics LLCeuro 2/201642311 25/01/2016 US31/12/2046 SHEEGENE 32009/2755 r10v571 06859 Sheehan Genetics LLCeuro 5/201438464 07/07/2014 US31/12/2044 SHEEGENE 42009/2756 r12v522 06859 Sheehan Genetics LLCeuro 6/201336061 23/09/2013 US31/12/2043 SHEEGENE 62009/2757 r2v468 06859 Sheehan Genetics LLCeuro 6/201336062 23/09/2013 US31/12/2043 SHEEGENE 92009/2758 r10v714 06859 Sheehan Genetics LLCeuro 6/201336063 23/09/2013 US31/12/2043 STEFANIE2006/0542 19/1/518 00363 Wolf Jörgeuro 3/201027258 19/04/2010 DE31/12/2040 SUGRAEIGHTEEN2002/1217 sugraeighteen 05485 Sun World International LLCeuro 1/201026298 21/12/2009 US31/12/2039 SUGRAFOURTEEN2002/1218 sugrafourteen 05485 Sun World International LLCeuro 3/201026757 22/03/2010 US31/12/2040 SUGRANINETEEN2007/0324 05485 Sun World International LLCeuro 3/201232280 10/04/2012 US31/12/2042 SUGRASIXTEEN2000/0369 sugrasixteen 05485 Sun World International LLCeuro 5/201027969 26/07/2010 US31/12/2040 SUGRATHIRTEEN1999/1541 sugrathirteen 05485 Sun World International LLCeuro 6/200721163 22/10/2007 US31/12/2037 SUGRATHIRTYTWO2008/0986 sugrathirtytwo 05485 Sun World International LLCeuro 4/201438357 16/06/2014 US31/12/2044 SUGRATWELVE2000/0753 sugratwelve 05485 Sun World International LLCeuro 5/201027970 26/07/2010 US31/12/2040 SUMMER ROYAL2004/0108 summer royal (b74-99) 04539 The United States of Americaeuro 6/201130887 10/10/2011 US31/12/2041 SWEET SCARLET2004/0256 a61-16 04539 The United States of Americaeuro 6/201130888 10/10/2011 US31/12/2041 17/04/2016 Pàgina 73 de 74
  • 74.
    DenominacióNº Exp. Nomcomercial Codi / Titular Butlletí Nº POV Inici Protecció Fi Referència Obtentor / Vitis L. VITROBLACK 12004/0488 vp f50 05277 Vitroplant Italia SRLeuro 6/201028208 06/09/2010 IT31/12/2040 WILDMUSKAT2007/1170 wildmuskat 05884 Weingut Amalienhof Gbreuro 1/200821574 17/12/2007 DE31/12/2037 Especie Vitis vinifera L. DenominacióNº Exp. Nom comercial Codi / Titular Butlletí Nº POV Inici Protecció Fi Referència Obtentor / VINYA VINIFERA ARRAELEVEN2009/1870 arraeleven 06775 ARD LLCeuro 4/201540779 11/05/2015 US31/12/2045 ARRAFIFTEEN2009/1872 arrafifteen 06775 ARD LLCeuro 4/201540781 11/05/2015 US31/12/2045 ARRANINETEEN2009/1871 arranineteen 06775 ARD LLCeuro 4/201540780 11/05/2015 US31/12/2045 ARRATEN2009/1875 arraten 06775 ARD LLCeuro 4/201540783 11/05/2015 US31/12/2045 ARRATHIRTEEN2009/1874 arrathirteen 06775 ARD LLCeuro 4/201540782 11/05/2015 US31/12/2045 FERRADOU2011/1107 8381 00689 INRA-Institut National de la Recheuro 1/201231264 19/12/2011 FR31/12/2041 FIAMMETTA2010/1412 fiammetta 06354 Stefano Sommaeuro 4/201540822 11/05/2015 IT31/12/2045 IFG ONE2009/1408 ifg 031 077 02804 Cain David W.euro 4/201540777 11/05/2015 US31/12/2045 IFG TWO2009/1409 ifg 104 253 02804 Cain David W.euro 4/201540778 11/05/2015 US31/12/2045 LUISA2010/1736 luisa seedless 06354 Stefano Sommaeuro 4/201540823 11/05/2015 IT31/12/2045 MÉSZIKADAR2012/0093 mészi kadarka 07541 PÁL MESZÁROSeuro 2/201334095 21/01/2013 HU31/12/2043 SHEEGENE 202010/2596 9-704 06859 Sheehan Genetics LLCeuro 4/201540925 26/05/2015 US31/12/2045 SHEEGENE 212011/1611 10-552 06859 Sheehan Genetics LLCeuro 3/201540341 07/04/2015 US31/12/2045 SUGRATHIRTYFIVE2011/0174 sugrathirtyfive 05485 Sun World International LLCeuro 4/201540786 11/05/2015 US31/12/2045 Nº Exp.: Número d'expedient Nº POV = Número de títol de protecció Inici Protecció Fi = Data de concessió de la protecció i data fi de la protecció Codi / Titular = Codi identificador utilitzat al butlletí oficial i nom del titular Butlletí = Número del butlletí oficial de la OCVV o del butlletí de la OEVV Classe de títol de protecció: euro = sistema comunitari de protecció de varietats vegetals - OCVV; esp = sistema espanyol de protecció de varietats vegetals - OEVV CLAUS: 17/04/2016 Pàgina 74 de 74