Varietats
d'espècies de
fruiters que
disposen de
Protecció
d'Obtenció
Vegetal
(Actualitzat amb el butlletí de l'OCVV 1/2020 de 15/2/2020)
Aquest llistat només inclou les varietats de fruiters de les quals s'ha publicat la concessió de la protecció d'acord amb
el Reglament europeu 2100/94 o la llei espanyola 3/2000.
D'acord amb l'article 95 del reglament comunitari 2100/94 i l'article 18 de la llei 3/2000, les sol·licituds de varietats
publicades en els butlletins, disposen de la protecció provisional que cubreix el període que va des de la publicació al
butlletí fins la seva protecció.
Font: OCVV: Oficina Comunitària de Varietats Vegetals (www.cpvo.europa.eu)
OEVV: Oficina Espanyola de Varietats Vegetals (www.mapa.gob.es)
Llistat de Proteccions 2020_1
(Informació actualitzada amb el BOE núm 22 de 22/1/2020)
In memoriam
Antonio Tabaco Calero
Sevillano, afincado en Catalunya, añoraba su
tierra andaluza.
Avís legal: Aquest document està subjecte a una llicència Reconeixement-NoComercial 4.0 Internacional (CC BY-NC 4.0) de
Creative Commons. Se'n permet la reproducció, distribució, comunicació pública i la generació d'obres derivades que estiguin
subjectes a la mateixa llicència. Carles Folch i Castell, 2003-2020 [cfolchcastell@gmail.com]
http://creativecommons.org/licenses/by-nc/4.0/deed.ca
16 agost 1932 / 1 gener 2020
Felicitats CPVO - 25 anys!!
Destacats
- Concedits 12 títols, 4 a Europa i 8 a España.
- Sol·licitats 68 títols a Europa, entre ells 12 presseguers,
11 pomeres, 4 populus, 2 cítrics, 2 llúpols i un ametller
obtingut per Paco Vargas (Mas Bové - IRTA).
- Retirades 37 sol·licituds de varietats d'olivera a Europa.
7/3/2020 Pàgina 1 de 98
Nous TÍTOLS
Baixa TÍTOLS
Nª de Títols per grup de espècies
Esp botTip. exp. Nº TítolDenominació Data FiNom Comercial
Fragaria × ananassa Duchesne ex
Rozier
euro 53849BG63016 31/12/2044
Prunus laurocerasus L.euro 53852BETTINA 31/12/2049
Prunus laurocerasus L.euro 53851ZSÓFI 31/12/2049
Esp botTip. exp. Nº TítolDenominació Data CancelNom Comercial
Actinidia kolomikta (Maxim. & Rupr.) Maeuro 45294VITAKOLA 23/11/2019
Citrus reticulata blancoesp 002640ALBOREA 30/1/2020
Prunus armeniaca L.euro 27234FLODEA 26/11/2019
Prunus armeniaca L.euro 24106RAVILONG 14/12/2019
Prunus armeniaca L.euro 24105RAVIVAL 14/12/2019
Prunus persica (L.) Batscheuro 12668ELISE 14/12/2019ELISE
Prunus persica (L.) Batscheuro 43306LEA 26/11/2019
Prunus persica (L.) Batscheuro 51501LEONIDA 26/11/2019
Prunus persica (L.) Batscheuro 43308MAYA 26/11/2019
Prunus persica (L.) Batschesp 002455MONID 30/1/2020
Prunus persica (L.) Batschesp 002458MONOF 30/1/2020
Prunus persica (L.) Batschesp 002782MONSICO 30/1/2020
Prunus persica (L.) Batscheuro 42720PLATICIA 12/12/2019
Prunus persica (L.) Batscheuro 39648PLATINUM 12/12/2019
Prunus persica (L.) Batschesp 002678PRO 110 30/1/2020PLATERINA 110
Prunus persica (L.) Batschesp 002756PRO 126 30/1/2020PLATERINA 126
Prunus persica (L.) Batschesp 002816PRO 222 30/1/2020
Prunus persica (L.) Batschesp 002817PRO 264 30/1/2020
Prunus persica (L.) Batschesp 002680PRO 33 30/1/2020EXTREME 33
Prunus persica (L.) Batschesp 002818PRO 346 30/1/2020
Prunus persica (L.) Batschesp 002821PRO 464 30/1/2020
Prunus persica (L.) Batschesp 002822PRO 465 30/1/2020
Prunus persica (L.) Batschesp 002717PRO 511 30/1/2020VICO
Prunus persica (L.) Batschesp 002825PRO 513 30/1/2020
Prunus persica (L.) Batschesp 002826PRO 514 30/1/2020
Prunus persica (L.) Batschesp 002827PRO 523 30/1/2020
Prunus persica (L.) Batschesp 002869PRO 597 30/1/2020
Prunus persica (L.) Batschesp 002683PRO 6 30/1/2020EXTREME 6
Prunus persica (L.) Batschesp 002831PRO 606 30/1/2020
Prunus persica (L.) Batscheuro 36612PRO C 1 15/12/2019EARLY FRESH
Prunus persica (L.) Batschesp 002584PRO C 17 30/1/2020SILOS
Prunus persica (L.) Batschesp 002599PRO C 67 30/1/2020YUSO
Prunus salicina Lindl. x Prunus armeniaeuro 20974DAPPLE DANDY 2/12/2019
Prunus salicina Lindl. x Prunus armeniaeuro 11951ZAITERKI 2/12/2019
Ribes nigrum L.euro 24351ZUSHA 4/11/2019
Vitis L.euro 19648HOBREVT 24/12/2019
7/3/2020 Pàgina 2 de 98
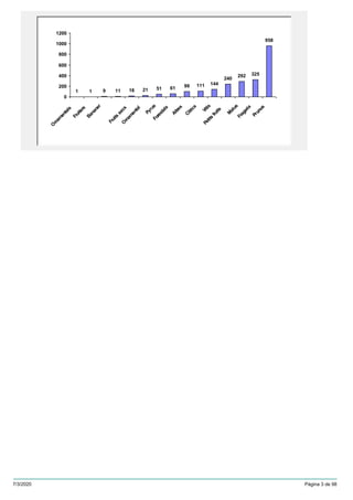
1 1 9 11 18 21 51 61 99 111 144
240
292 325
958
0
200
400
600
800
1000
1200
O
rnam
entals
Fruiters
Bananer
Fruits
secsO
rnam
ental
PyrusForestals
Altres
Cítrics
Vitis
Petits
fruits
M
alus
Fragaria
Prunus
7/3/2020 Pàgina 3 de 98
DenominacióNº Exp. Nom comercial Codi / Titular Butlletí
Nº POV
Inici Protecció Fi Referència Obtentor /
Actinidia chinensis Planch.
Especie Actinidia chinensis Planch.
DenominacióNº Exp. Nom comercial Codi / Titular Butlletí
Nº POV
Inici Protecció Fi Referència Obtentor /
KIWI
BRUCE2009/0385 bruce 05401
Zespri Group Limitedeuro
4/201335511
3/6/2013 NZ31/12/2043
DONG HONG2013/2067 oriental red 08158
WUHAN BOTANICAL GARDEN,euro
4/201952688
20/5/2019 CN31/12/2049
HFR 182012/2809 hfr 18 07304
Deyang Professional Academy ofeuro
4/201746465
10/5/2017 CN31/12/2047
JINYAN2013/2066 jinyan 08158
WUHAN BOTANICAL GARDEN,euro
4/201952694
20/5/2019 CN31/12/2049
MINKIGOLD2009/1301 jaune femelle 03881
Pepinieres Minier SAeuro
4/201643521
10/5/2016 FR31/12/2046
MOSHAN NO.42014/1289 moshan no.4 08158
WUHAN BOTANICAL GARDEN,euro
4/201952689
20/5/2019 CN31/12/2049
Y3562013/1140 y356 08892
Y356 INTERNATIONAL LIMITEDeuro
4/201952687
20/5/2019 NZ31/12/2049
Z5Z62013/1593 kingkuiwi 08102
INSTITUTE OF FRUIT AND TEAeuro
4/201952530
3/6/2019 CN31/12/2049
ZESH0042010/0377 16-01-03h. 02 05401
Zespri Group Limitedeuro
3/201437725
22/4/2014 NZ31/12/2044
ZESY0022010/0375 13-15-14g. 02 05401
Zespri Group Limitedeuro
3/201437723
22/4/2014 NZ31/12/2044
ZESY0032010/0376 51-17-29b. 97 05401
Zespri Group Limitedeuro
3/201437724
22/4/2014 NZ31/12/2044
ZUVA2015/1002 a 125.93 03895
Università degli Studi di Udineeuro
4/201952690
20/5/2019 IT31/12/2049
Especie Actinidia deliciosa (A. Chev.) C. F. Liang & A. R. Ferguson
DenominacióNº Exp. Nom comercial Codi / Titular Butlletí
Nº POV
Inici Protecció Fi Referència Obtentor /
KIWI DELICIOSA
AGRINTESA S 1 FERRON2014/1324 agr fr sel.1 08453
AGRINTESA SOC. COOP. AGRIeuro
4/201952531
6/5/2019 IT31/12/2049
MERIS2011/0756 meris 07271
Scandola Giacinto e Campostrinieuro
4/201746451
10/5/2017 IT31/12/2047
RENACT2009/1290 renact 05643
Jean Renaulteuro
4/201643520
10/5/2016 FR31/12/2046
TUSCIA2011/2380 40nmg 05289
Vivai Piante Battistini Società Agreuro
4/201643522
10/5/2016 IT31/12/2046
Especie Actinidia Lindl.
DenominacióNº Exp. Nom comercial Codi / Titular Butlletí
Nº POV
Inici Protecció Fi Referència Obtentor /
KIWI
BELEN2002/0864 134.16 03895
Università degli Studi di Udineeuro
5/200823148
7/7/2008 IT31/12/2038
BOERICA2002/1852 hs 03940
Azienda Agricola Bovo Angelo dieuro
3/200924819
20/4/2009 IT31/12/2039
BOVERLIG 022002/1158 hb 03940
Azienda Agricola Bovo Angelo dieuro
2/201026756
22/2/2010 IT31/12/2040
CHUHONG2008/1739 chuhong 06361
Changsha Truwind Fruit Co Ltdeuro
4/201541347
22/6/2015 CN31/12/2045
CONVI2003/1433 green star 04333
CO.N.VI. Di Spada Renato e Sereuro
4/200924923
4/5/2009 IT31/12/2038
HORT16A1998/0642 hort16a 05401
Zespri Group Limitedeuro
1/200310226
18/11/2002 NZ31/12/2027
7/3/2020 Pàgina 4 de 98
DenominacióNº Exp. Nom comercial Codi / Titular Butlletí
Nº POV
Inici Protecció Fi Referència Obtentor /
Actinidia Lindl.
HORTGEM RUA2005/0277 e416 00915
The Horticulture & Food Researceuro
4/200924925
4/5/2009 NZ31/12/2039
HORTGEM TAHI2003/0366 k2d4 00915
The Horticulture & Food Researceuro
4/201130080
23/5/2011 NZ30/12/2041
HORTGEM TORU2005/0276 c3c3 00915
The Horticulture & Food Researceuro
4/201130083
23/5/2011 NZ31/12/2041
HORTGEM WHA2005/0278 k2e5 00915
The Horticulture & Food Researceuro
4/200924926
4/5/2009 NZ31/12/2039
JINTAO2001/1735 C6 03636
Wuhan Institute of Botanyeuro
5/200823147
7/7/2008 CN31/12/2038
RS12006/1997 red sun 1 05602
Sun Rising Development (Agriculteuro
4/201746694
22/5/2017 CN31/12/2047
S6002008/2286 s600 06004
Donald Skeltoneuro
4/201643983
6/6/2016 NL31/12/2046
SKELTON A192007/2086 skelton a19 09548
ENZAFRUIT NEW ZEALAND INeuro
4/201643979
6/6/2016 NZ31/12/2046
SORELI2008/1319 ac 171.76 03895
Università degli Studi di UdineEURO
4/201232814
4/6/2012 IT31/12/2042
SUMMER 33732001/0159 03297
Dal Pane Vivai di Maurizio dal Paeuro
2/200616914
27/2/2006 IT31/12/2036
T 19102003/2524 tsechelidis 05670
Farmaplant SPeuro
5/200823290
21/7/2008 GR31/12/2038
TOMUA1998/0641 00915
The Horticulture & Food Researceuro
6/200311644
8/9/2003 NZ31/12/2028
W452008/2284 w45 06004
Donald Skeltoneuro
4/201643981
6/6/2016 NL31/12/2046
Y3682008/2285 y368 06004
Donald Skeltoneuro
4/201643982
6/6/2016 NL31/12/2046
Z4872008/2283 z487 06004
Donald Skeltoneuro
4/201643980
6/6/2016 NL31/12/2046
Especie Citrus clementina hort. Ex Tan. X Citrus sinensis (L.) Osbeck
DenominacióNº Exp. Nom comercial Codi / Titular Butlletí
Nº POV
Inici Protecció Fi Referència Obtentor /
MANDARINER
EARLY SICILY2012/0556 c 1867 06900
CONSIGLIO PER LA RICERCAeuro
6/201747813
9/10/2017 IT31/12/2047
SWEET SICILY2012/0557 e 522 06900
CONSIGLIO PER LA RICERCAeuro
6/201747814
9/10/2017 IT31/12/2047
Especie Citrus clementina Hort. ex Tanaka
DenominacióNº Exp. Nom comercial Codi / Titular Butlletí
Nº POV
Inici Protecció Fi Referència Obtentor /
MANDARINA CLEMENTINA
BASOL2010/0731 basol 06953
CANTERA LA TORRETA S.A.U.euro
3/201129617
18/4/2011 BASOL ES31/12/2041
BEATRIZ DE ANNA19953907 beatriz ESMFAB
M. Fabra / IVIA / INIAesp
BOE-69002168
21/3/2003 BEATRIZ DE ANNA ES21/3/2023
CLEMENALBA20054617 clementina la plana ES932
Agricola BAGU SAesp
2-2013002570
17/1/2013 ES31/12/2043
CLEMENAUREA20104936 avasa pri-60 ES973
AVASA/Inmobiliaria Castaliaesp
002778
8/9/2017 ES31/12/2047
CLEMENBERTA20104937 BERTA ES1020
SANCHO LANAU, S.L.esp
1-2018002808
20/2/2018 ES31/12/2048
CLEMENCALIG20104932 avasa pri59 ES972
AVASA/José Vicente Anglès Borresp
002779
8/9/2017 ES31/12/2047
CLEMENCAR20064694 ES971
AVASA/Manuel y Vivente Ramonesp
BOE98002664
25/4/2015 ES31/12/2044
7/3/2020 Pàgina 5 de 98
DenominacióNº Exp. Nom comercial Codi / Titular Butlletí
Nº POV
Inici Protecció Fi Referència Obtentor /
Citrus clementina Hort. ex Tanaka
CLEMENCLARA2010/2266 iccsa 01/10 07129
Investigación Citícola Castellón Seuro
4/201848662
7/5/2018 CLEMENCLARA ES31/12/2048
CLEMENLATE2011/2175 clemenlate 07406
Evarcit SLeuro
6/201232984
22/10/2012 ES31/12/2042
CLEMENPONS2000/1110 clemenpons 03076
Juan PONS BOLTAeuro
5/20017987
6/8/2001 CLEMENPONS ES31/12/2031
CLEMENRUBÍ2005/1035 avasa pri-23 02360
Agrupación de Viveristas de Agrieuro
2/200821770
28/1/2008 CLEMENRUBI ES31/12/2038
CLEMENSOON2009/0980 clemensoon 07042
ANECOOP S. Coop.euro
3/201027268
19/4/2010 PRENULES ES31/12/2040
CLEMENVAL20054601 avasa pri-40 ES904
A.V.A.S.A.esp
4-2012002555
28/6/2012 CLEMENVAL ES31/12/2042
CLEMENVERD20064692 01157
IVIA - Institut Valencià d'Investigaesp
BOE98002665
25/4/2015 ES31/12/2044
CULTIFORT2004/1447 cultifort 04719
Sendra Rocher, Rafaeleuro
2/200924079
23/2/2009 CULTIFORT ES31/12/2039
LORETINA1998/1361 02360
Agrupación de Viveristas de Agrieuro
1/20005647
20/12/1999 LORETINA ES31/12/2029
NERO2013/0760 230c08neroaz 01157
IVIA - Institut Valencià d'Investigaeuro
1/201539141
17/11/2014 ES31/12/2044
NEUFINA2014/3106 ivia man 19571 01157
IVIA - Institut Valencià d'Investigaeuro
6/201644351
19/9/2016 ES31/12/2046
NULESSIN20014330 01157
IVIA - Institut Valencià d'Investigaesp
4-2010002487
6/7/2010 ES31/12/2040
OROGRÓS2013/0892 avasa pri-26 02360
Agrupación de Viveristas de Agrieuro
6/201336431
21/10/2013 ES31/12/2043
Especie Citrus clementina hort. ex Tanaka × Poncirus trifoliata (L.)
Raf.
DenominacióNº Exp. Nom comercial Codi / Titular Butlletí
Nº POV
Inici Protecció Fi Referència Obtentor /
MANDARINA HIB.
FORNER ALCAIDE V 172018/1688 230117 01157
IVIA - Institut Valencià d'Investigaeuro
6/201953742
7/10/2019 ES31/12/2049
Especie Citrus deliciosa Ten.
DenominacióNº Exp. Nom comercial Codi / Titular Butlletí
Nº POV
Inici Protecció Fi Referència Obtentor /
MANDARINA
MGJ142015/2184 mg14 08908/08909
PEPE NARANJAS GEA S.L. - J.euro
2/201950987
28/1/2019 ES31/12/2049
MGJ1420114978 vx40 ES1004
Pepe Naranjas Gea, SL - Jacintoesp
1-2019002862
5/2/2019 ES31/12/2049
Especie Citrus L.
DenominacióNº Exp. Nom comercial Codi / Titular Butlletí
Nº POV
Inici Protecció Fi Referència Obtentor /
MANDARINA
ALBOREA2019/0173 ivia tri 4 01157
IVIA - Institut Valencià d'Investigaeuro
6/201953392
2/9/2019 ES31/12/2049
ARCCIT15192010/2843 b24 02593
Agricultural Research Councileuro
6/201644800
17/10/2016 ZA31/12/2046
ARCCIT16142010/1650 b17 02593
Agricultural Research Councileuro
5/201541568
20/7/2015 ZA31/12/2045
BELABELA2007/2262 genbel-1 06023
Frutas Beltrán SLeuro
4/201643984
6/6/2016 ES6/6/2046
DENOU20084827 ivia-man-d19 01157
IVIA - Institut Valencià d'Investigaesp
1-2017002747
16/1/2017 ES31/12/2047
FORNER ALCAIDE 233420114957 01157
IVIA - Institut Valencià d'Investigaesp
4-20192906
27/7/2019 ES31/12/2049
7/3/2020 Pàgina 6 de 98
DenominacióNº Exp. Nom comercial Codi / Titular Butlletí
Nº POV
Inici Protecció Fi Referència Obtentor /
Citrus L.
MATIZ20074747 IVIA-TRI5 01157
IVIA - Institut Valencià d'Investigaesp
1-2017002745
16/1/2017 ES31/12/2047
OMET20074749 IVIA-TRI7 01157
IVIA - Institut Valencià d'Investigaesp
1-2017002746
16/1/2017 ES31/12/2047
SPRING SUNSHINE2007/2057 moria 01306
Agricultural Research Organisatioeuro
4/201643482
10/5/2016 IL31/12/2046
Especie Citrus latipes (Swingle) Tanaka X Poncirus trifoliata (L.) Raf.
DenominacióNº Exp. Nom comercial Codi / Titular Butlletí
Nº POV
Inici Protecció Fi Referència Obtentor /
MANDARINER
F6 P122012/0558 f6 p12 06900
CONSIGLIO PER LA RICERCAeuro
1/201847924
27/11/2017 IT31/12/2047
Especie Citrus limon (L.) Burm. f.
DenominacióNº Exp. Nom comercial Codi / Titular Butlletí
Nº POV
Inici Protecció Fi Referència Obtentor /
LLIMONER
3X972013/2584 code 3x97 08231
Craig Robert Presslereuro
2/201951288
11/2/2019 AU31/12/2049
CHAPARRO1999/0864 chaparro 02637/01826/02638
Cons. Medio Ambiente Murcia - Ieuro
3/200821950
10/3/2008 CHAPARRO ES31/12/2038
LIDER DE CALLOSA20024401 ES914
J. Bautista Pérez Sellesesp
1-2014002638
27/12/2013 ES31/12/2043
MILENIO FORTE2016/1988 2706 09232
FRANCISCO FORTE SALVADOeuro
6/201747635
25/9/2017 ES31/12/2047
Especie Citrus paradisi Macfad
DenominacióNº Exp. Nom comercial Codi / Titular Butlletí
Nº POV
Inici Protecció Fi Referència Obtentor /
POMELO
JR132012/1063 jr13 07096
Citrogold (PTY) LTD.euro
2/201950985
28/1/2019 ZA31/12/2049
Especie Citrus reticulata blanco
DenominacióNº Exp. Nom comercial Codi / Titular Butlletí
Nº POV
Inici Protecció Fi Referència Obtentor /
MANDARINA HÍBRIDA
ALEJANDRINA20104909 ES989
Vicente Llop Mezquitaesp
1-2019002863
5/2/2019 ES31/12/2049
ALKANTARA2004/0075 c 2191 04531/04532/04533
Reforgiato-Russo-Recuperoeuro
4/201232941
18/6/2012 IT31/12/2042
ALTEA20135108 ivia tri-705 01157
IVIA - Institut Valencià d'Investigaesp
BOE22002925
22/1/2020 ES31/12/2050
ALVARIÑA2006/2579 alvariña 05669
Alvaro Sanchis Sisterneseuro
6/201336207
23/9/2013 ES31/12/2043
BARNFIELD LATE NAVEL1997/0274 BARNFIELD LATE NAVEL 01631
W.M & D. Barnfield Pty Ltdeuro
6/200720996
8/10/2007 BARNFIELD LATE NAVEL AU31/12/2037
CORAL20074748 IVIA-TRI6 01157
IVIA - Institut Valencià d'Investigaesp
1-2016002710
13/12/2015 ES31/12/2045
EUREKA SL2006/0458 eureka seedless lemon 02496
The Agricultural Research Councieuro
2/201539503
9/2/2015 GOLDEN SEEDLESS ZA31/12/2045
FLORINA2010/0819 maha 208 05575
CIRADeuro
2/201848375
19/2/2018 FR31/12/2048
G 62015/0349 g-6 08707
DAVID GILMORE GOLDUPeuro
2/201951295
11/2/2019 AU31/12/2049
GARBI2008/1610 ivia tri 1 01157
IVIA - Institut Valencià d'Investigaeuro
1/201333911
17/12/2012 ES31/12/2042
LEMOX2004/0073 c 3869 04531/04532/04533
Reforgiato-Russo-Recuperoeuro
5/201130547
25/7/2011 IT31/12/2041
MANDALATE2004/0074 d 8811 04531/04532/04533
Reforgiato-Russo-Recuperoeuro
4/201232940
18/6/2012 IT31/12/2042
7/3/2020 Pàgina 7 de 98
DenominacióNº Exp. Nom comercial Codi / Titular Butlletí
Nº POV
Inici Protecció Fi Referència Obtentor /
Citrus reticulata blanco
MANDANOVA SL1999/0031 nova.s.l. 02360
Agrupación de Viveristas de Agrieuro
2/201539502
9/2/2015 NOVA SL ES31/12/2045
MANDARED2004/0072 c 1732 04531/04532/04533
Reforgiato-Russo-Recuperoeuro
4/201232939
18/6/2012 IT31/12/2042
MILANA20135073 ivia man rad2 01157
IVIA - Institut Valencià d'Investigaesp
1-2016002711
16/12/2015 ES31/12/2045
MONCALINA20094879 ivia man rad1 01157
IVIA - Institut Valencià d'Investigaesp
BOE98002666
25/4/2015 ES31/12/2044
MURTA2010/1330 mur 15 06996
Maria Consuelo Ferrer Terceroeuro
1/201539177
17/11/2014 ES31/12/2044
ORRI2004/1076 orri 01306
Agricultural Research Organisatioeuro
5/201335889
29/7/2013 IL31/12/2043
QUEEN2006/0947 t-507 05449
Angel Teresa Hermanos SAeuro
1/201333910
17/12/2012 ES31/12/2042
SAFOR2008/1611 ivia tri 2 01157
IVIA - Institut Valencià d'Investigaeuro
1/201333912
17/12/2012 ES31/12/2042
SANDO2000/0491 sando 08262
Alcanar Verd, Cítrics i Vivers, S.Leuro
5/200925890
24/8/2009 ES31/12/2039
TANG GOLD2011/1544 uc-2005-760-1 00345
The Regents of the University ofeuro
6/201438924
24/10/2014 US31/12/2044
TANIA 4320074716 avasa pri43 ES934
IVIA / AVASAesp
BOE98002667
25/4/2015 ES31/12/2044
TANIA 4420084810 avasa pri-44 ES934
IVIA / AVASAesp
BOE98002668
25/4/2015 ES31/12/2044
TANIA 4620084776 avasa-pri 46 ES934
IVIA / AVASAesp
BOE98002669
25/4/2015 ES31/12/2044
TANIA 4720084777 avasa-pri 47 ES934
IVIA / AVASAesp
BOE98002670
25/4/2015 ES31/12/2044
TANIA 4820084778 avasa-pri 48 ES974
AVASA/IVIAesp
BOE98002671
25/4/2015 ES31/12/2044
TANIA 4920084779 avasa-pri 49 ES934
IVIA / AVASAesp
BOE98002672
25/4/2015 ES31/12/2044
TANIA 5720104938 avasa pri-57 ES974
AVASA/IVIAesp
1-2017002748
16/1/2017 ES31/12/2047
TDE22003/1086 tde2 00345
The Regents of the University ofeuro
6/201028205
6/9/2010 SHASTA GOLD US31/12/2040
TDE32003/1087 tde3 00345
The Regents of the University ofeuro
6/201028206
6/9/2010 TAHOE GOLD US31/12/2040
TDE42003/1088 tde4 00345
The Regents of the University ofeuro
6/201028207
6/9/2010 YOSEMITE GOLD US31/12/2040
VERA20145168 ivia tri 707 E1000
IVIa-LNL-PAG-JCI-JJR-JPL-COCesp
BOE22002926
22/1/2020 ES31/1/2050
Especie Citrus reticulata Blanco × C.paradisi Macfad.
DenominacióNº Exp. Nom comercial Codi / Titular Butlletí
Nº POV
Inici Protecció Fi Referència Obtentor /
MANDARINA
GREGAL20135110 ivia tri-750 01157
IVIA - Institut Valencià d'Investigaesp
4-20192910
27/7/2019 ES31/12/2049
LLEBEIG20135111 ivia tri-751 01157
IVIA - Institut Valencià d'Investigaesp
4-20192909
27/7/2019 ES31/12/2049
Especie Citrus reticulata Blanco × C.sinensis (L.) Osb.
DenominacióNº Exp. Nom comercial Codi / Titular Butlletí
Nº POV
Inici Protecció Fi Referència Obtentor /
MANDARINA TANGOR
MERBEINGOLD 23362013/2950 merbeingold 2336 02090
COMMONWEALTH SCIENTIFICeuro
4/201952784
3/6/2019 AU31/12/2049
7/3/2020 Pàgina 8 de 98
DenominacióNº Exp. Nom comercial Codi / Titular Butlletí
Nº POV
Inici Protecció Fi Referència Obtentor /
Citrus reticulata Blanco × C.sinensis (L.) Osb.
MERBEINGOLD 23502013/2948 merbeingold 2350 02090
COMMONWEALTH SCIENTIFICeuro
4/201952783
3/6/2019 AU31/12/2049
MURINA20064655 ES934
IVIA / AVASAesp
BOE98002673
25/4/2015 MURINA ES31/12/2044
Especie Citrus sinensis (L.) Osbeck
DenominacióNº Exp. Nom comercial Codi / Titular Butlletí
Nº POV
Inici Protecció Fi Referència Obtentor /
TARONGER DOLÇ
BARBERINA19994268 04882
Vicente BARBER PEREZesp
5-2009002461
22/7/2009 BARBERINA ES22/7/2029
BENNY20074752 ES943
CITROGOLDesp
BOE98002684
25/4/2015 ZA31/12/2044
CAMBRIA2005/0876 cambria 05084
Stargrow Cultivar Developement (euro
3/201334256
22/4/2013 ZA31/12/2043
CHISLETT SUMMER NAVEL1998/1360 CHISLETT SUMMER NAVEL 02362
Chislett Gregoryeuro
6/200720976
8/10/2007 CHISLETT SUMMER NAVEL AU31/12/2037
GLEN ORA LATE2010/2120 za20063542 07096
Citrogold (PTY) LTD.euro
1/201539139
17/11/2014 ZA31/12/2044
M72008/2490 m 7 07757
CHISLETT DEVELOPMENTS PTeuro
5/201335894
29/7/2013 AU31/12/2043
POWELL SUMMER NAVEL1998/1359 powell summer navel 02360
Agrupación de Viveristas de Agrieuro
1/200820998
17/12/2007 POWEL SUMMER NAVEL ES31/12/2037
RICALATE1995/2568 00699/01157
INIA - IVIAeuro116
3/19971848
10/3/1997 RICALATE ES1/4/2022
RUBY VALENCIA2010/2117 ruby valencia 07096
Citrogold (PTY) LTD.euro
1/201642014
23/11/2015 ZA31/12/2045
SUNSMOOTH EARLY NAVEL2012/1583 sunsmooth 07735
THE STEPHEN LANG FAMILY Teuro
6/201747815
9/10/2017 AU31/12/2047
WITKRANS2011/1608 witkrans 07096
Citrogold (PTY) LTD.euro
1/201539140
17/11/2014 ZA31/12/2044
Especie Citrus sp. (híbrids diversos)
DenominacióNº Exp. Nom comercial Codi / Titular Butlletí
Nº POV
Inici Protecció Fi Referència Obtentor /
HÍBRIDS DIVERSOS
FORNER ALCAIDE 131999/0865 030113 01826/01157
INIA - IVIAeuro
1/200718679
20/11/2006 FORNER-ALCAIDE 13 ES31/12/2036
FORNER ALCAIDE 231320094893 forner alcaide 2313 01157
IVIA - Institut Valencià d'Investigaesp
1-2017002763
16/1/2017 FORNER ALCAIDE 2313 ES31/12/2047
FORNER ALCAIDE 23220114959 01157
IVIA - Institut Valencià d'Investigaesp
1-2019002876
5/2/2019 ES31/12/2049
FORNER ALCAIDE 232420094892 forner alcaide 2324 01157
IVIA - Institut Valencià d'Investigaesp
1-2019002877
5/2/2019 FORNER ALCAIDE 2324 ES31/12/2049
FORNER ALCAIDE 23320114958 01157
IVIA - Institut Valencià d'Investigaesp
1-2019002878
5/2/2019 ES31/12/2049
FORNER ALCAIDE 234420114956 01157
IVIA - Institut Valencià d'Investigaesp
1-2018002842
20/2/2018 ES31/12/2048
FORNER ALCAIDE 2620114954 01157
IVIA - Institut Valencià d'Investigaesp
1-2019002893
5/2/2019 ES31/12/2049
FORNER ALCAIDE 2720114960 01157
IVIA - Institut Valencià d'Investigaesp
1-2019002879
5/2/2019 ES31/12/2049
FORNER ALCAIDE 312007/1207 030131 01157
IVIA - Institut Valencià d'Investigaeuro
6/201336208
23/9/2013 ES31/12/2043
FORNER ALCAIDE 4181997/0512 02418 00699/01157
INIA - IVIAeuro
3/200719646
19/3/2007 FORNER-ALCAIDE 418 ES31/12/2037
FORNER ALCAIDE 4220084811 01157
IVIA - Institut Valencià d'Investigaesp
1-2016002721
13/12/2015 ES31/12/2045
7/3/2020 Pàgina 9 de 98
DenominacióNº Exp. Nom comercial Codi / Titular Butlletí
Nº POV
Inici Protecció Fi Referència Obtentor /
Citrus sp. (híbrids diversos)
FORNER ALCAIDE 51996/0767 03015 00699/01157
INIA - IVIAeuro
5/200515858
18/7/2005 FORNER ALCAIDE 5 ES31/12/2035
FORNER ALCAIDE 511520104942 fornar alcaide 5115 01157
IVIA - Institut Valencià d'Investigaesp
1-2019002880
5/2/2019 ES31/12/2049
FORNER ALCAIDE 512820114955 01157
IVIA - Institut Valencià d'Investigaesp
1-2019002881
5/2/2019 ES31/12/2049
FORNER ALCAIDE 5171999/0866 05017 01826/01157
INIA - IVIAeuro
1/200718680
20/11/2006 FORNER-ALCAIDE 517 ES31/12/2036
FORNER ALCAIDE 720104941 fornar alcaide 7 01157
IVIA - Institut Valencià d'Investigaesp
1-2019002882
5/2/2019 ES31/12/2049
FORNER ALCAIDE V1720104943 fornar alcaide v17 01157
IVIA - Institut Valencià d'Investigaesp
002784
8/9/2017 ES31/12/2047
FORNER ALCAIDE V9420094895 forner alcaide v94 01157
IVIA - Institut Valencià d'Investigaesp
1-2019002883
5/2/2019 FORNER ALCAIDE V94 ES31/12/2049
GOLD NUGGET2001/1347 11d518 00345
The Regents of the University ofeuro
5/200925888
24/8/2009 GOLD NUGGET US31/12/2039
NADORCOTT1995/0726 nadorcott 01662
SARL Nador Cott Protectioneuro116
6/200414111
4/10/2004 NADORCOTT FR31/12/2029
TACLE2001/0156 A-146 03296
Istituto Sperimentale per l'Agrumieuro
2/200719035
22/1/2007 IT31/12/2037
Especie Citrus unshiou (Mak) Mark
DenominacióNº Exp. Nom comercial Codi / Titular Butlletí
Nº POV
Inici Protecció Fi Referència Obtentor /
MANDARINA SATSUMA
SERAFINES20114961 ivia-man sat 1 01157
IVIA - Institut Valencià d'Investigaesp
1-2017002749
16/1/2017 ES31/12/2047
Especie Corylus avellana L.
DenominacióNº Exp. Nom comercial Codi / Titular Butlletí
Nº POV
Inici Protecció Fi Referència Obtentor /
AVELLANER
JM 2512015/0613 jm 251 07039
BRONISLAW SZMITeuro
4/201849481
22/5/2018 PL31/12/2048
RED BARON2005/2603 red baron 05286
Ludger Josteuro
4/200822218
5/5/2008 DE31/12/2038
RED MAJESTIC1999/1103 02586
New Variety BVeuro
6/20018210
10/9/2001 RED MAJESTIC NL31/12/2026
TONDA FRANCESCANA2013/2394 f6p200 08198
UNIVERSITA DEGLI STUDI DI Peuro
3/201952157
28/3/2019 IT31/12/2049
Especie Cydonia oblonga Mill
DenominacióNº Exp. Nom comercial Codi / Titular Butlletí
Nº POV
Inici Protecció Fi Referència Obtentor /
CODONYER
CYDORA ROBUSTA2003/0334 qe 13-38-89 00672
Forschungsanstalt Geisenheimeuro
2/200616769
30/1/2006 DE31/12/2036
ELINE2004/0587 fleuren-1 10224
HAN FLEUREN HOLDING B.V.euro
2/200924093
23/2/2009 NL31/12/2039
EMH2002/0700 qr 193-16 09154
NIAB EMReuro
4/200720100
21/5/2007 EMH UK31/12/2037
Especie Diospyros kaki L.f.
DenominacióNº Exp. Nom comercial Codi / Titular Butlletí
Nº POV
Inici Protecció Fi Referència Obtentor /
KAKI
PRIMERENC20114979 primerenc ES978
Coop. Agrícola Sant Bernatesp
1-2019002853
5/2/2019 PRIMARENC ES31/12/2049
7/3/2020 Pàgina 10 de 98
DenominacióNº Exp. Nom comercial Codi / Titular Butlletí
Nº POV
Inici Protecció Fi Referència Obtentor /
Ficus carica L.
Especie Ficus carica L.
DenominacióNº Exp. Nom comercial Codi / Titular Butlletí
Nº POV
Inici Protecció Fi Referència Obtentor /
FIGUERA
VIOLETTA1997/0888 01804
Plattner Antoneuro
1/200412325
24/11/2003 DE1/1/2028
Especie Fragaria × ananassa Duchesne ex Rozier
DenominacióNº Exp. Nom comercial Codi / Titular Butlletí
Nº POV
Inici Protecció Fi Referència Obtentor /
MADUIXOT
"TRIUMPH"2012/2803 pe-3221 00743/01203
Plant Sciences - Berry R&Deuro
3/201643031
11/4/2016 US31/12/2041
"VICTORY"2011/2352 bg-4315 03131
Berry Genetics Inc. Nelson Steveeuro
2/201436658
27/1/2014 US31/12/2039
A13 0720175329 SHYRA WB ES1018
MASIÁ CISCAR, S.A.esp
BOE22002915
22/1/2020 ES31/12/2045
A13 262017/2057 a13-26 09595
MASIÁ CISCAR S.A.euro
6/201953646
7/10/2019 ES31/12/2045
A14 152018/2323 a14-15 09595
MASIÁ CISCAR S.A.euro
BOE22002916
22/1/2020 ES31/12/2045
ALBION2004/1482 cn220 00345
The Regents of the University ofeuro
4/200720099
21/5/2007 ALBION US31/12/2032
ALICE2000/0098 em 726 09154
NIAB EMReuro
2/200310574
10/2/2003 ALICE BIGI UK31/12/2028
ALLEGRO2015/2430 ff 1602 05442
Fresh Foreward Holding B.V.euro
2/201950976
14/1/2019 NL31/12/2044
ALTESS2013/0898 07-96-04 09076
FLEVO BERRY HOLDING B.V.euro
3/201746239
18/4/2017 NL31/12/2042
AMANDINE2012/1035 da 47 03794
Darbonne Pepiniere SASeuro
2/201539519
9/2/2015 FR31/12/2040
AMIGA2006/2675 amiga (2-269) 02558/05116/01157/0
Viveros California SLeuro
1/200923764
17/12/2008 ES31/12/2033
ANTEA2005/2560 mle9-34 00127
Consorzio Italiano Vivaistieuro
3/200924363
23/3/2009 IT31/12/2034
ANTILLA FNM2008/1551 a3-10-8 05117
Fresas Nuevos Materialeseuro
2/201026579
25/1/2010 ES31/12/2035
APRICA2014/3624 z6x1-30 00127
Consorzio Italiano Vivaistieuro
3/201848963
23/4/2018 IT31/12/2043
ARABELLA2014/0229 pe-6.2036 00743/01203
Plant Sciences - Berry R&Deuro
2201745313
6/2/2017 US31/12/2042
AROMAS1997/1294 cn 209 00345
The Regents of the University ofeuro
5/20006451
3/7/2000 US31/12/2025
AROSA2001/1474 B1E9-27 00127
Consorzio Italiano Vivaistieuro
2/200514559
24/1/2005 IT31/12/2030
AVA2001/0152 asf 22:07 03292
Angus Soft Fruit East Seaton Fareuro
4/200413335
17/5/2004 UK31/12/2034
AVAROSA2012/1249 asf 126 03292/03293
Angus Soft Fruit - Giyo Internatioeuro
3/201540672
20/4/2015 UK31/12/2040
AYA 12015/2935 1008 06485
Efraim Yosefeuro
2/201951390
25/2/2019 IL31/12/2044
BARAK2012/1876 946 01306
Agricultural Research Organisatioeuro
3/201643028
11/4/2016 IL31/12/2041
BBB PO 012010/0820 witte aardbei 07706
BEEKERS BERRIES BREEDINGeuro
3/201334276
4/3/2013 NL31/12/2038
BENICIA2010/2162 c225 00345
The Regents of the University ofeuro
2/201436913
24/2/2014 US31/12/2039
7/3/2020 Pàgina 11 de 98
DenominacióNº Exp. Nom comercial Codi / Titular Butlletí
Nº POV
Inici Protecció Fi Referència Obtentor /
Fragaria × ananassa Duchesne ex Rozier
BG630162015/2227 bg-6.3016 03131
Berry Genetics Inc. Nelson Steveeuro
1/202053849
18/11/2019 US31/12/2044
BG630242014/2448 bg-6.3024 03131
Berry Genetics Inc. Nelson Steveeuro
4/201849476
22/5/2018 US31/12/2043
BRAVURA2015/2404 08-06-10 09076
FLEVO BERRY HOLDING B.V.euro
3/201952177
28/3/2019 NL31/12/2044
BRILLA2013/3137 04.256.32 06900/08288
CRA / New Plantseuro
3/201746247
18/4/2017 IT31/12/2042
CALINDA2013/1418 s2007-806 05442
Fresh Foreward Holding B.V.euro
3/201643036
11/4/2016 NL31/12/2041
CAMARILLO2002/0747 camarillo 00659
Driscoll Strawberry Associates Ineuro
3/200514771
7/3/2005 US31/12/2030
CAMINO REAL2002/1566 c213 00345
The Regents of the University ofeuro
3/200514781
7/3/2005 US31/12/2030
CANDELA20175307 candela ES1022
INNOFRU, S.Lesp
BOE22002917
22/1/2020 ES31/12/2045
CANDISS2006/1088 cf 2559 08515
Invenioeuro
5/200925897
24/8/2009 FR31/12/2039
CANDY FNM20135078 a7-32-10 ES924
Fresas Nuevos Materialesesp
1-2017002736
16/1/2017 ES31/12/2042
CAPRI2011/0360 y3s7-80 00127
Consorzio Italiano Vivaistieuro
3/201437428
7/4/2014 IT31/12/2039
CAPRISS2007/1549 cf 3058 08515
Invenioeuro
4/201027831
5/7/2010 FR31/12/2035
CARMEL DANDI2014/1906 line 1608 08497
AGREXCO CARMEL AGRICULTeuro
2/201745320
6/2/2017 IL31/12/2042
CARMEL ORLY2007/2766 orly 08497
AGREXCO CARMEL AGRICULTeuro
2/201231409
23/1/2012 IL31/12/2037
CHARLENE2014/1878 ee-10-14 07031
Nova Siri Genetics SNC di Tufareuro
2/201745318
6/2/2017 IT31/12/2042
CHARLOTTE2001/0815 cf2419 08515
Invenioeuro
4/200413354
17/5/2004 FR31/12/2034
CIFLORETTE1996/1054 CF 864 08515
Invenioeuro
1/19993896
14/12/1998 FR31/12/2023
CIGALINE1996/1055 CF 323 08515
Invenioeuro
5/19972242
10/7/1997 FR31/12/2022
CIJOSEE1997/1529 c.f. 1584 08515
Invenioeuro
1/20028486
3/12/2001 FR31/12/2026
CIR1042013/1481 cf4402 08515
Invenioeuro
3/201746242
18/4/2017 FR31/12/2042
CIR1072012/1269 cf4387 08515
Invenioeuro
3/201540673
20/4/2015 FR31/12/2040
CIR1292015/1129 cf6986 08515
Invenioeuro
5/201849973
16/7/2018 FR31/12/2043
CIRAFINE1997/1533 cf 1590 08515
Invenioeuro
4/20017733
21/5/2001 FR31/12/2026
CIRANO1997/1530 c.f. 758 08515
Invenioeuro
1/20028487
3/12/2001 FR31/12/2026
CIREINE1996/1053 CF 116 08515
Invenioeuro
5/19972241
10/7/1997 FR31/12/2022
CIVL352001/1475 J9L3-35 00127
Consorzio Italiano Vivaistieuro
4/200413365
17/5/2004 IT31/12/2034
CLERY2002/1586 a20-17 00127
Consorzio Italiano Vivaistieuro
2/200616743
31/1/2006 IT31/12/2031
7/3/2020 Pàgina 12 de 98
DenominacióNº Exp. Nom comercial Codi / Titular Butlletí
Nº POV
Inici Protecció Fi Referència Obtentor /
Fragaria × ananassa Duchesne ex Rozier
CORDELIA2010/0183 kgem054 05421
KG Growers Ltdeuro
3/201334841
22/4/2013 UK31/12/2038
CRISTAL2007/1257 00.44.194 00132
Plantas de Navarra SAeuro
3/201027263
19/4/2010 ES31/12/2035
CRISTINA2011/1274 an01,211,51 07315
Università Politecnica delle Marceuro
3/201540663
20/4/2015 IT31/12/2040
CUPID2010/2290 em 1395 09154
NIAB EMReuro
3/201437423
7/4/2014 UK31/12/2039
DAHLI2015/2401 10-50-01 09076
FLEVO BERRY HOLDING B.V.euro
4/201952654
20/5/2019 NL31/12/2044
DAROYAL2005/1287 da 35 03794
Darbonne Pepiniere SASeuro
2/200616910
27/2/2006 FR31/12/2031
DARSELECT1996/0247 da 20 03794
Darbonne Pepiniere SASeuro
3/19971763
3/3/1997 FR31/12/2022
DELUXE2012/1502 da 46 03794
Darbonne Pepiniere SASeuro
2/201539520
9/2/2015 FR31/12/2040
DELY2011/0363 z6t2-16 00127
Consorzio Italiano Vivaistieuro
3/201437430
7/4/2014 IT31/12/2039
DIAMANTE1997/1295 cn 210 00345
The Regents of the University ofeuro
5/20006452
3/7/2000 US31/12/2025
DIPRED2012/1736 p1s0--6 00127
Consorzio Italiano Vivaistieuro
3/201642970
11/4/2016 IT31/12/2041
DISSTRAWEIGHT2008/2680 163m88 00659
Driscoll Strawberry Associates Ineuro
2/201231412
23/1/2012 US31/12/2037
DISSTRAWELEVEN2008/2983 280m164 00659
Driscoll Strawberry Associates Ineuro
2/201231415
23/1/2012 US31/12/2037
DISSTRAWNINE2008/2943 273m171 00659
Driscoll Strawberry Associates Ineuro
2/201231413
23/1/2012 US31/12/2037
DISSTRAWSEVEN2008/2679 71/94 00659
Driscoll Strawberry Associates Ineuro
2/201231411
23/1/2012 US31/12/2037
DISSTRAWSIX2008/2678 48/391 00659
Driscoll Strawberry Associates Ineuro
2/201231410
23/1/2012 US31/12/2037
DISSTRAWTEN2008/2944 273M224 00659
Driscoll Strawberry Associates Ineuro
2/201231414
23/1/2012 US31/12/2037
DONNA2006/1482 da 43 03794
Darbonne Pepiniere SASeuro
2/200821790
28/1/2008 FR31/12/2033
DPI RUBYGEM2007/2686 99-194 06097/06099
The State of Queensland - Horticeuro
1/201128595
17/12/2010 AU31/12/2035
DREAM2012/1503 da 50 03794
Darbonne Pepiniere SASeuro
2/201539521
9/2/2015 FR31/12/2040
DRISCOLL ATLANTIS2005/1507 00659
Driscoll Strawberry Associates Ineuro
1/200923754
17/12/2008 US31/12/2033
DRISCOLL BONAIRE2006/0223 driscoll bonaire 00659
Driscoll Strawberry Associates Ineuro
1/200923756
17/12/2008 US31/12/2033
DRISCOLL EL DORADO2005/1643 driscoll el dorado 00659
Driscoll Strawberry Associates Ineuro
1/200821582
17/12/2007 US31/12/2032
DRISCOLL JUBILEE2003/1954 driscoll jubilee 00659
Driscoll Strawberry Associates Ineuro
2/200616739
30/1/2006 US31/12/2031
DRISCOLL LANAI2005/0386 driscoll lanai 00659
Driscoll Strawberry Associates Ineuro
1/200821581
17/12/2007 US31/12/2032
DRISCOLL OJAI2006/0224 driscoill ojai 00659
Driscoll Strawberry Associates Ineuro
1/200923757
17/12/2008 US31/12/2033
DRISCOLL OSCEOLA2005/1508 00659
Driscoll Strawberry Associates Ineuro
4/200822302
5/5/2008 US31/12/2033
7/3/2020 Pàgina 13 de 98
DenominacióNº Exp. Nom comercial Codi / Titular Butlletí
Nº POV
Inici Protecció Fi Referència Obtentor /
Fragaria × ananassa Duchesne ex Rozier
DRISCOLL SAN JUAN2001/0447 driscoll's san juan 00659
Driscoll Strawberry Associates Ineuro
4/200413344
17/5/2004 US31/12/2034
DRISCOLL SANIBEL2005/1506 00659
Driscoll Strawberry Associates Ineuro
1/200923753
17/12/2008 US31/12/2033
DRISSTRAWEIGHTEEN2011/2255 30n365 00659
Driscoll Strawberry Associates Ineuro
1/201436525
2/12/2013 US31/12/2038
DRISSTRAWFIFTEEN2010/0836 284m225 00659
Driscoll Strawberry Associates Ineuro
3/201334279
4/3/2013 US31/12/2038
DRISSTRAWFIVE2007/2685 drisstrawfive 00659
Driscoll Strawberry Associates Ineuro
4/20113'131
23/5/2011 US31/12/2036
DRISSTRAWFORTY2014/0312 153r127 00659
Driscoll Strawberry Associates Ineuro
2/201745315
6/2/2017 US31/12/2042
DRISSTRAWFORTYFIVE2015/1220 tuk 156-057 00659
Driscoll Strawberry Associates Ineuro
4/201849482
22/5/2018 US31/12/2043
DRISSTRAWFORTYFOUR2014/3495 144s112 00659
Driscoll Strawberry Associates Ineuro
2/201745321
6/2/2017 US31/12/2042
DRISSTRAWFORTYNINE2015/2119 137t279 00659
Driscoll Strawberry Associates Ineuro
2/201950879
14/1/2019 US31/12/2044
DRISSTRAWFORTYONE2014/0311 56r151 00659
Driscoll Strawberry Associates Ineuro
2/201745314
6/2/2017 US31/12/2042
DRISSTRAWFORTYSIX2015/1517 tuk 157-029 00659
Driscoll Strawberry Associates Ineuro
3/201848969
23/4/2018 US31/12/2043
DRISSTRAWFORTYTHREE2014/3497 113s167 00659
Driscoll Strawberry Associates Ineuro
4/201849478
22/5/2018 US31/12/2043
DRISSTRAWFORTYTWO2014/3496 819r118 00659
Driscoll Strawberry Associates Ineuro
3/201848958
23/4/2018 US31/12/2043
DRISSTRAWFOUR2007/2344 00659
Driscoll Strawberry Associates Ineuro
2/201026564
25/1/2010 US31/12/2035
DRISSTRAWFOURTEEN2010/0835 112n245 00659
Driscoll Strawberry Associates Ineuro
3/201334278
4/3/2013 US31/12/2038
DRISSTRAWNINETEEN2011/2256 17m60 00659
Driscoll Strawberry Associates Ineuro
1/201436526
2/12/2013 US31/12/2038
DRISSTRAWONE2006/2106 drisstrawone 00659
Driscoll Strawberry Associates Ineuro
2/201026539
25/1/2010 US31/12/2035
DRISSTRAWSEVENTEEN2010/1767 574p119 00659
Driscoll Strawberry Associates Ineuro
1/201436520
2/12/2013 US31/12/2038
DRISSTRAWSIXTEEN2010/1142 148m006 00659
Driscoll Strawberry Associates Ineuro
3/201334280
4/3/2013 US31/12/2038
DRISSTRAWTHIRTEEN2009/2134 84n278 00659
Driscoll Strawberry Associates Ineuro
2/201231416
23/1/2012 US31/12/2037
DRISSTRAWTHIRTYEIGHT2013/1547 dege 178 00659
Driscoll Strawberry Associates Ineuro
3/201643038
11/4/2016 US31/12/2041
DRISSTRAWTHIRTYFIVE2013/1545 kgem 0723-003 00659
Driscoll Strawberry Associates Ineuro
4/201643530
10/5/2016 US31/12/2041
DRISSTRAWTHIRTYFOUR2012/2620 tes 124-001 00659
Driscoll Strawberry Associates Ineuro
3/201643030
11/4/2016 US31/12/2041
DRISSTRAWTHIRTYNINE2013/1546 kgeme 676-001 00659
Driscoll Strawberry Associates Ineuro
4/201643531
10/5/2016 US31/12/2041
DRISSTRAWTHIRTYONE2012/1885 550r 12 00659
Driscoll Strawberry Associates Ineuro
3/201643029
11/4/2016 US31/12/2041
DRISSTRAWTHIRTYSEVEN2014/0313 74p207 00659
Driscoll Strawberry Associates Ineuro
2/201745316
6/2/2017 US31/12/2042
DRISSTRAWTHIRTYSIX2014/0314 54s204 00659
Driscoll Strawberry Associates Ineuro
2/201745317
6/2/2017 US31/12/2042
7/3/2020 Pàgina 14 de 98
DenominacióNº Exp. Nom comercial Codi / Titular Butlletí
Nº POV
Inici Protecció Fi Referència Obtentor /
Fragaria × ananassa Duchesne ex Rozier
DRISSTRAWTHIRTYTWO2012/1853 quk 214-001 00659
Driscoll Strawberry Associates Ineuro
3/201539826
9/3/2015 US31/12/2040
DRISSTRAWTHITY2012/1580 bgp 100-002 00659
Driscoll Strawberry Associates Ineuro
2/201539551
23/2/2015 US31/12/2040
DRISSTRAWTHREE2007/1949 00659
Driscoll Strawberry Associates Ineuro
2/201026558
25/1/2010 US31/12/2035
DRISSTRAWTWELVE2010/0834 68n201 00659
Driscoll Strawberry Associates Ineuro
3/201334277
4/3/2013 US31/12/2038
DRISSTRAWTWENTY2011/2257 84n235 00659
Driscoll Strawberry Associates Ineuro
1/201436527
2/12/2013 US31/12/2038
DRISSTRAWTWENTYEIGHT2012/1578 123o191 00659
Driscoll Strawberry Associates Ineuro
2/201539550
23/2/2015 US31/12/2040
DRISSTRAWTWENTYONE2011/2258 510q89 00659
Driscoll Strawberry Associates Ineuro
1/201436528
2/12/2013 US31/12/2038
DRISSTRAWTWO2007/0104 00659
Driscoll Strawberry Associates Ineuro
2/201026540
23/1/2010 US31/12/2035
DURBAN2007/0217 d 371 00984
ABZ Aardbeien uit Zaad B.V.euro
1/200923766
17/12/2008 NL31/12/2033
E2006-2042001/1163 05442
Fresh Foreward Holding B.V.euro
3/201437434
7/4/2014 NL31/12/2039
ELAN1999/1320 w78 00984
ABZ Aardbeien uit Zaad B.V.euro
1/20028499
3/12/2001 NL31/12/2026
ELEGANCE2008/3006 em1276 09154
NIAB EMReuro
4/201232670
7/5/2012 UK31/12/2037
ELIANNY2006/1761 05554/05322/05323
L. Pieter/G. Theodorus/J. Gerardeuro
3/201026962
22/3/2010 NL31/12/2035
EMR 2862005/0270 emr 286 09154
NIAB EMReuro
3/200821938
10/3/2008 UK31/12/2023
EMR 4702014/0131 emr 470 09154
NIAB EMReuro
4/201746482
10/5/2017 UK31/12/2042
EVA2004/2176 vr 97.64.5 06797/01869
CRA - FRFeuro
4/200720066
21/5/2007 IT31/12/2032
EVEREST1996/1492 93c123 00331
Edward Vinson Ltd.euro
1/20005650
20/12/1999 UK31/12/2024
EVES DELIGHT2008/0369 04cf21 00331
Edward Vinson Ltd.euro
4/201130139
23/5/2011 UK31/12/2036
EVIE 22001/1918 98 n 105 00331
Edward Vinson Ltd.euro
3/200514770
7/3/2005 UK31/12/2030
FAITH2013/0897 07-57-18 09076
FLEVO BERRY HOLDING B.V.euro
3/201643033
11/4/2016 NL31/12/2041
FAVORI2011/1346 04-75-01 09076
FLEVO BERRY HOLDING B.V.euro
3/201437436
7/4/2014 NL31/12/2039
FD 15042016/1229 ff 1504 05442
Fresh Foreward Holding B.V.euro
3/201952181
28/3/2019 NL31/12/2044
FD 16042016/1226 ff 1604 05442
Fresh Foreward Holding B.V.euro
3/201952180
28/3/2019 NL31/12/2044
FELICITA2011/1345 06-24-05 09076
FLEVO BERRY HOLDING B.V.euro
3/201437435
7/4/2014 NL31/12/2039
FERNANDO2015/1656 c040804v 08847
VISSERS AMERICA B.V.euro
2/201951385
25/2/2019 NL31/12/2044
FIGARO2002/1283 0101 05442
Fresh Foreward Holding B.V.euro
2/200616742
30/1/2006 NL31/12/2031
FINESSE2009/0629 emr 346 09154
NIAB EMReuro
3/201334833
22/4/2013 UK31/12/2038
7/3/2020 Pàgina 15 de 98
DenominacióNº Exp. Nom comercial Codi / Titular Butlletí
Nº POV
Inici Protecció Fi Referència Obtentor /
Fragaria × ananassa Duchesne ex Rozier
FL 05-1072013/1194 fl 05-107 00669
Florida Foundation Seed Produceeuro
4/201643529
10/5/2016 US31/12/2041
FL 09 1272013/2264 fl 09-127 00669
Florida Foundation Seed Produceeuro
5/201644143
11/7/2016 US31/12/2041
FLAIR2007/1367 03-08-01 09076
FLEVO BERRY HOLDING B.V.euro
3/201026955
22/3/2010 NL31/12/2035
FLAMENCO2001/1699 emr154 09154
NIAB EMReuro
3/200514769
7/3/2005 UK31/12/2030
FLAMINIA2015/1840 civs109 00127
Consorzio Italiano Vivaistieuro
3/201848745
9/4/2018 IT31/12/2043
FLAVIA2015/1841 civs940 00127
Consorzio Italiano Vivaistieuro
3/201848746
9/4/2018 IT31/12/2043
FLEFRA012015/2406 09-90s-05 09076
FLEVO BERRY HOLDING B.V.euro
3/201952179
28/3/2019 NL31/12/2044
FLEURETTE2013/0896 06-07-05 09076
FLEVO BERRY HOLDING B.V.euro
3/201643032
11/4/2016 NL31/12/2041
FLORENCE1998/0278 em 372 09154
NIAB EMReuro
3/20017386
5/3/2001 UK31/12/2026
FLORIANTE2007/1366 02-102-06 09076
FLEVO BERRY HOLDING B.V.euro
5/201130561
25/7/2011 NL31/12/2041
FLORIDA ELYANA2008/1253 fl 00-51 00669
Florida Foundation Seed Produceeuro
1/201128651
17/12/2010 US31/12/2035
FLORIDA FESTIVAL2002/1187 95-41 00669
Florida Foundation Seed Produceeuro
3/200514775
7/3/2005 US31/12/2030
FLORIN2005/1337 99a35 09076
FLEVO BERRY HOLDING B.V.euro
3/200821947
10/3/2008 NL31/12/2023
FLORIN FLORENTINA2011/1344 06-95-06 09076
FLEVO BERRY HOLDING B.V.euro
3/201540665
20/4/2015 NL31/12/2040
FRENELLA2008/3005 em1308 09154
NIAB EMReuro
4/201232669
7/5/2012 UK31/12/2037
FRISAN2011/0157 j 234 00984
ABZ Aardbeien uit Zaad B.V.euro
3/201437425
7/4/2014 NL31/12/2039
FRONTERAS2014/3084 c235 00345
The Regents of the University ofeuro
4/201849477
22/5/2018 US31/12/2043
FRUGODI2006/1190 01644
Promo Fruit Ag.euro
2/201026536
25/1/2010 CH31/12/2035
FUENTEPINA2009/0750 fuentepina (1823-1) 01155/01157/05116/0
Ortega Alcalá, Mª Victoria/IVIA/IFeuro
2/201026586
25/1/2010 ES31/12/2035
FURORE2013/2225 07-75-10 09076
FLEVO BERRY HOLDING B.V.euro
3/201848941
23/4/2018 NL31/12/2043
GALEXIA2003/0090 cal giant 5 01391
New West Fruit Corporationeuro
2/200616736
30/1/2006 US31/12/2031
GARDA2012/1671 vr 02.312.02 06797/07766/07767/0
CRA - FRF/ISF della Provincia dieuro
2/201539567
23/2/2015 IT31/12/2040
GASANA2009/2386 g 130 00984
ABZ Aardbeien uit Zaad B.V.euro
3/201334838
22/4/2013 NL31/12/2038
GH 752013/0939 gh 75 00331
Edward Vinson Ltd.euro
3/201643035
11/4/2016 UK31/12/2041
GLADIS2013/1998 gladis 08152
FRAISI PLANTS S.A.R.L.euro
3/201746245
18/4/2017 FR31/12/2042
GOLAN2009/2148 g 393 00984
ABZ Aardbeien uit Zaad B.V.euro
3/201334835
22/4/2013 NL31/12/2038
GRANDAROSA2013/1695 t-03021-12 07220
INSTYTUT OGRODNICTWA (INeuro
2/201539554
23/2/2015 PL31/12/2040
7/3/2020 Pàgina 16 de 98
DenominacióNº Exp. Nom comercial Codi / Titular Butlletí
Nº POV
Inici Protecció Fi Referència Obtentor /
Fragaria × ananassa Duchesne ex Rozier
GRENADA2014/3082 c232 00345
The Regents of the University ofeuro
3/201848954
23/4/2018 US31/12/2043
GUSTINE2009/1523 gustine 08152
FRAISI PLANTS S.A.R.L.euro
3/201334834
22/4/2013 FR31/12/2038
HADAS1997/0643 hadas 01007
Ministry of Agriculture Agriculturaleuro
5/20006445
3/7/2000 IL31/12/2025
HADEMAR2015/2405 10-17-02 09076
FLEVO BERRY HOLDING B.V.euro
3/201952178
28/3/2019 NL31/12/2044
HALEY2015/0372 33k46 07134
Lassen Canyon Nursery Inc.euro
4/201849480
22/5/2018 US31/12/2043
HANSAWHIT2013/1478 hansasnow 08087
HANSABRED GMBH & CO. KGeuro
3/201643037
11/4/2016 DE31/12/2041
HERUT2005/0452 herut 01306
Agricultural Research Organisatioeuro
1/200821583
17/12/2007 IL31/12/2032
HOBDOEL1999/1817 hobdoel 00258
Hõberli Obst-und Beerenzentrumeuro
2/200310425
20/1/2003 CH31/12/2028
HOBOTTRECE1999/1816 hobottrece 00258
Hõberli Obst-und Beerenzentrumeuro
2/200310424
20/1/2003 CH31/12/2028
HOBTHURMARDU2003/0136 hobthurmardu 00258
Hõberli Obst-und Beerenzentrumeuro
2/200616752
30/1/2006 CH31/12/2031
HOBTHURMARSEI2003/0140 hobthurmarsei 00258
Hõberli Obst-und Beerenzentrumeuro
2/200616756
30/1/2006 CH31/12/2031
HOBTHURMARTRE2003/0137 hobthurmartre 00258
Hõberli Obst-und Beerenzentrumeuro
2/200616753
30/1/2006 CH31/12/2031
HONOR2001/1342 bg-633 03131
Berry Genetics Inc. Nelson Steveeuro
4/200413364
17/5/2004 HONOR US31/12/2034
IRMA2003/1828 vr 95.42.03 06797/01869
CRA - FRFeuro
2/200616762
30/1/2006 IT31/12/2031
ISLAY 22015/1136 asf 099 03292
Angus Soft Fruit East Seaton Fareuro
3/201848968
23/4/2018 UK31/12/2043
JANISS2014/1489 cf6821 08515
Invenioeuro
4/201746800
6/6/2017 FR31/12/2042
JIVE2001/1162 e2006-203 05442
Fresh Foreward Holding B.V.euro
3/201437433
7/4/2014 NL31/12/2039
JOLY2011/0362 z6t2-3 00127
Consorzio Italiano Vivaistieuro
3/201437429
7/4/2014 IT31/12/2039
JONICA2013/2784 04.72.21 06900/06944
CRA /AZIENDA PIRACCINI SECeuro
2/201745308
6/2/2017 IT31/12/2042
JUDIBELL2005/0269 em 965 09154
NIAB EMReuro
3/200821937
10/3/2008 UK31/12/2023
KAMILA2009/0625 u9v2-10 00127
Consorzio Italiano Vivaistieuro
2/201231419
23/1/2012 IT31/12/2037
KIMBERLY1996/0776 93/94 01400
Konings Planteuro
4/19994566
3/5/1999 NL31/12/2024
KONIA2007/2453 konia 04362
Putfarken Jocheneuro
4/201849556
4/6/2018 DE31/12/2043
LAETITIA2013/1942 t1v7-8 00127
Consorzio Italiano Vivaistieuro
3/201746244
18/4/2017 IT31/12/2042
LEVAN2014/0267 l 13 00984
ABZ Aardbeien uit Zaad B.V.euro
3/201746250
18/4/2017 NL31/12/2042
LIA2006/0362 96.62.10 06797/01869
CRA - FRFeuro
1/200923762
17/12/2008 IT31/12/2033
LIBERTY2011/2351 bg-4315 03131
Berry Genetics Inc. Nelson Steveeuro
1/201436529
2/12/2013 US31/12/2038
7/3/2020 Pàgina 17 de 98
DenominacióNº Exp. Nom comercial Codi / Titular Butlletí
Nº POV
Inici Protecció Fi Referència Obtentor /
Fragaria × ananassa Duchesne ex Rozier
LIMALEXIA2014/3591 l15101 00192
ASPARAGUS BEHEER B.V.euro
3/201848962
23/4/2018 NL31/12/2043
LIMVALNERA2016/0854 l16302 00192
ASPARAGUS BEHEER B.V.euro
3/201951745
11/3/2019 NL31/12/2044
LIZA2014/0269 l 338 00984
ABZ Aardbeien uit Zaad B.V.euro
3/201746251
18/4/2017 NL31/12/2042
LOUIE2015/0370 42j4 07134
Lassen Canyon Nursery Inc.euro
4/201849659
18/6/2018 US31/12/2043
LOURDESA2016/2052 imagina 2 09243
IMAGINA FRUTAS S.L.euro
3/201952182
28/3/2019 ES31/12/2044
LUCY2009/0073 em931 09154
NIAB EMReuro
4/201232752
21/5/2012 UK31/12/2037
LUMOTAR2015/0418 05013233 08723
NATURAL RESOURCES INSTITeuro
3/201848967
23/4/2018 FI31/12/2043
MA 482006/0405 ma 48 00718
Marionnet Jacques Gfaeuro
5/200925896
24/8/2009 FR31/12/2039
MA 947312005/1031 ma 94731 00718
Marionnet Jacques Gfaeuro
2/200616777
30/1/2006 FR31/12/2031
MAGNUS2015/2407 10-81-17 09076
FLEVO BERRY HOLDING B.V.euro
2/201951388
25/2/2019 NL31/12/2044
MAJESTIC2014/1094 civ446 00127
Consorzio Italiano Vivaistieuro
3/201746253
18/4/2017 IT31/12/2042
MALLING CENTENARY
NARY
2012/1246 em 1764 09154
NIAB EMReuro
3/201540671
20/4/2015 UK31/12/2040
MALLING GLOW2014/1159 em 1677 09154
NIAB EMReuro
3/201848647
23/4/2018 UK31/12/2043
MALLING SILK2013/2099 em 1669 09154
NIAB EMReuro
4/201746481
10/5/2017 UK31/12/2042
MALLING SUNRISE2014/1160 em 1552 09154
NIAB EMReuro
4/201746485
10/5/2017 UK31/12/2042
MALWINA2006/0617 ps.01-s4 02264
Stoppel, Petereuro
3/200924376
23/3/2009 DE31/12/2034
MARGHERITA2012/1378 ad 09 006 07031
Nova Siri Genetics SNC di Tufareuro
2/201539549
23/2/2015 IT31/12/2040
MARIONNET 972013/2609 marionnet 97 08237
MARIONNET S.C.E.A.euro
3/201643041
11/4/2016 FR31/12/2041
MARIONNET 992013/2608 marionnet 99 08237
MARIONNET S.C.E.A.euro
3/201643040
11/4/2016 FR31/12/2041
MARISOL2012/1377 ad 08 069 07031
Nova Siri Genetics SNC di Tufareuro
2/201539548
23/2/2015 IT31/12/2040
MARTINA20175306 martina ES1022
INNOFRU, S.Lesp
BOE22002918
22/1/2020 ES31/12/2045
MATIS2003/0122 ma31 00718
Marionnet Jacques Gfaeuro
2/200616918
27/2/2006 FR31/12/2031
MELISSA2014/1879 488xf-11-03 07031
Nova Siri Genetics SNC di Tufareuro
2/201745319
6/2/2017 IT31/12/2042
MERCED2013/3259 c229 00345
The Regents of the University ofeuro
2/201745309
6/2/2017 US31/12/2042
MERLAN2008/1805 f 125 00984
ABZ Aardbeien uit Zaad B.V.euro
4/201130148
23/5/2011 NL31/12/2036
MIEZE NOVA2006/1244 mieze nova 05496
Dr. Barbara Datheeuro
2/200719042
22/1/2007 DE31/12/2032
MOJAVE2010/2163 c227 00345
The Regents of the University ofeuro
1/201436521
2/12/2013 US31/12/2038
7/3/2020 Pàgina 18 de 98
DenominacióNº Exp. Nom comercial Codi / Titular Butlletí
Nº POV
Inici Protecció Fi Referència Obtentor /
Fragaria × ananassa Duchesne ex Rozier
MONTANA2014/2477 m 306 00984
ABZ Aardbeien uit Zaad B.V.euro
5/201849967
6/7/2018 NL31/12/2043
MONTEREY2008/1506 cn222 00345
The Regents of the University ofeuro
1/201128655
17/12/2010 US31/12/2035
MURANO2012/1731 y3s7-1 00127
Consorzio Italiano Vivaistieuro
3/201642969
11/4/2016 IT31/12/2041
NABILA2011/0357 w6y1-10 00127
Consorzio Italiano Vivaistieuro
2/201436657
27/1/2014 IT31/12/2039
NANDI2015/1842 civn27 00127
Consorzio Italiano Vivaistieuro
2/201951386
25/2/2019 IT31/12/2044
NAZARET20175327 ES1031
IFAPA-INIA-FNM-NTF-FVesp
1-2018002799
20/2/2018 ES31/12/2043
NERINA2008/0737 smpg 90/4/1 08798
IPRONA AGeuro
2/201128873
7/2/2011 IT31/12/2026
NF 1372010/0149 nf 137 02237
New Fruits S.A.S. di Raggi Giordeuro
3/201334840
22/4/2013 IT31/12/2038
NF102R2013/0028 nf102r 02237
New Fruits S.A.S. di Raggi Giordeuro
4/201643527
10/5/2016 IT31/12/2041
NF1492014/3526 08642
NEW FRUITS S.A.S. DI BERNAeuro
3/201848959
23/4/2018 IT31/12/2043
NF2052001/0138 new-f.205 02237
New Fruits S.A.S. di Raggi Giordeuro
2/200514557
24/1/2005 IT31/12/2030
NF3112002/1936 nf311 02237
New Fruits S.A.S. di Raggi Giordeuro
2/200616744
30/1/2006 IT31/12/2031
NF4212006/1373 nf421 02237
New Fruits S.A.S. di Raggi Giordeuro
1/200923759
17/12/2008 IT31/12/2033
NF6332014/3527 nf63.3 08642
NEW FRUITS S.A.S. DI BERNAeuro
3/201848960
23/4/2018 IT31/12/2043
NF6382014/3528 nf63.8 08642
NEW FRUITS S.A.S. DI BERNAeuro
3/201848961
23/4/2018 IT31/12/2043
NIEVA FNM2013/2248 a9-84n-2 05117
Fresas Nuevos Materialeseuro
2/201642317
25/1/2016 ES31/12/2041
NOBEL2016/2905 gn 1196.15 07519
Graminor A.S.euro
4/201746801
6/6/2017 NO31/12/2042
NSG 11172016/1694 488xp-11-17 07031
Nova Siri Genetics SNC di Tufareuro
2/201950882
14/1/2019 IT31/12/2044
OPERA2014/0200 e2006-185 05442
Fresh Foreward Holding B.V.euro
3/201848946
23/4/2018 NL31/12/2043
OSIRIS2013/1482 cf6781 08515
Invenioeuro
4/201643613
23/5/2016 FR31/12/2041
P0611032015/1653 p061103v 08847
VISSERS AMERICA B.V.euro
2/201951383
25/2/2019 NL31/12/2044
P0611052015/1654 p061105k 08847
VISSERS AMERICA B.V.euro
2/201951384
25/2/2019 NL31/12/2044
PALFRES FNM20155222 A8-30-2 ES924
Fresas Nuevos Materialesesp
1-2019002857
5/2/2019 ES31/12/2044
PALOMAR2007/1465 c221 00345
The Regents of the University ofeuro
2/201026557
25/1/2010 US31/12/2035
PELES2015/2934 759 06485
Efraim Yosefeuro
2/201951389
25/2/2019 IL31/12/2044
PETALUMA2014/3083 c231 00345
The Regents of the University ofeuro
3/201848955
23/4/2018 US31/12/2043
PINK EXTARA2012/0973 99j1 09076
FLEVO BERRY HOLDING B.V.euro
3/201540670
20/4/2015 NL31/12/2040
7/3/2020 Pàgina 19 de 98
DenominacióNº Exp. Nom comercial Codi / Titular Butlletí
Nº POV
Inici Protecció Fi Referència Obtentor /
Fragaria × ananassa Duchesne ex Rozier
PINK ROSA2013/1696 t-04052-06 07220
INSTYTUT OGRODNICTWA (INeuro
2/201642546
22/2/2016 PL31/12/2041
PIRCINQUE2010/0648 04.228.5 06797/06944
CRA - AZIENDA PIRACCINI SEeuro
4/201335654
17/6/2013 IT31/12/2038
PLANASA 02322014/0534 02.13.214 00132
Plantas de Navarra SAeuro
5/201747337
17/7/2017 ES31/12/2042
PLARED 09492015/2490 09.24.04 00132
Plantas de Navarra SAeuro
3/201951744
11/3/2019 ES31/12/2044
PLARED 09552016/1836 09.24.197 00132
Plantas de Navarra SAeuro
3/201951746
11/3/2019 ES31/12/2044
PORTOLA2008/1505 cn224 00345
The Regents of the University ofeuro
1/201128654
17/12/2010 US31/12/2035
PREMIER2008/2152 pe-1209 00743/01203
Plant Sciences - Berry R&Deuro
1/201128676
17/12/2010 US31/12/2035
PRIMORIS FNM2008/1552 a3-54-1 05117
Fresas Nuevos Materialeseuro
2/201026580
25/1/2010 ES31/12/2035
PRIZE2014/0226 pe-3.211 00743/01203
Plant Sciences - Berry R&Deuro
2/201745310
6/2/2017 US31/12/2042
PS92712010/1332 ps-9271 00743/01203
Plant Sciences - Berry R&Deuro
3/201334281
4/3/2013 US31/12/2038
QUEEN ELISA2003/1550 94.568.2 06797/01869
CRA - FRFeuro
2/200616761
30/1/2006 IT31/12/2031
RABIDA FNM2013/2247 a8-16-2 05117
Fresas Nuevos Materialeseuro
2/201642316
25/1/2016 ES31/12/2041
RED CLEO2016/2105 955 09254
TOTAL WORLDFRESHeuro
2/201951393
25/2/2019 UK31/12/2044
RED RIO2016/2104 770 09254
TOTAL WORLDFRESHeuro
2/201950883
14/1/2019 UK31/12/2044
RINA1999/0872 VI 01-98 05221
Vissers International B.V.euro
5/20029930
12/8/2002 NL31/12/2027
RITMO2015/2429 ff 1503 05442
Fresh Foreward Holding B.V.euro
3/201951423
28/3/2019 NL31/12/2044
ROCIERA FNM2015/1915 a10-48-3 05117
Fresas Nuevos Materialeseuro
3/201746254
18/4/2017 ES31/12/2042
ROMINA2011/1275 an99,78,51 07315
Università Politecnica delle Marceuro
3/201540664
20/4/2015 IT31/12/2040
ROTEMI2008/2801 rotemi 06485
Efraim Yosefeuro
2/201231417
23/1/2012 IL31/12/2037
RUBIA2003/1573 rubia 04362
Putfarken Jocheneuro
3/200413032
5/4/2004 DE31/12/2034
RUBIS DES JARDINS2009/1204 cf 3453 08515
Invenioeuro
6/201233540
8/10/2012 FR31/12/2037
RUBY ANN2014/2478 m 389 00984
ABZ Aardbeien uit Zaad B.V.euro
5/201849791
2/7/2018 NL31/12/2043
RUMBA2007/1279 ff 0601 05442
Fresh Foreward Holding B.V.euro
3/201129531
18/4/2011 NL31/12/2036
SABRINA2009/1037 03.40.181 00132
Plantas de Navarra SAEURO
6/201130939
19/9/2011 ES31/12/2036
SABROSA2001/1516 97.10.030 00132
Plantas de Navarra SAeuro
5/200413795
19/7/2004 ES31/12/2029
SAFARI2013/1375 06.44h.216 00132
Plantas de Navarra SAeuro
3/201643225
25/4/2016 ES31/12/2041
SAGA2017/1251 gn 1189.3 07519
Graminor A.S.euro
1/201847946
11/12/2017 NO31/12/2042
7/3/2020 Pàgina 20 de 98
DenominacióNº Exp. Nom comercial Codi / Titular Butlletí
Nº POV
Inici Protecció Fi Referència Obtentor /
Fragaria × ananassa Duchesne ex Rozier
SAHARA2012/1505 06.43h.79 00132
Plantas de Navarra SAeuro
2/201539523
9/2/2015 ES31/12/2040
SAINT PIERRE2001/0155 sj89264-6 07886
MINISTER OF AGRICULTURE Aeuro
4/200413338
17/5/2004 CA31/12/2034
SALSA2001/1214 pri 9803 05442
Fresh Foreward Holding B.V.euro
5/200516102
17/8/2005 NL31/12/2030
SAN ANDREAS2008/1504 cn223 00345
The Regents of the University ofeuro
1/201128653
17/12/2010 US31/12/2035
SAN MIGUEL1997/0626 san miguel 00659
Driscoll Strawberry Associates Ineuro
2/20028874
18/2/2002 US31/12/2027
SARITO20145173 Fontanilla ES1002
INIA-IFAPA-FNM-NTF-FVesp
1-2017002737
16/1/2017 ES31/12/2042
SASHA2008/0029 em 1159 09154
NIAB EMReuro
3/201129533
18/4/2011 UK31/12/2036
SCARLET2015/0371 17j34 07134
Lassen Canyon Nursery Inc.euro
3/201848966
23/4/2018 US31/12/2043
SG1342014/0963 sg.13.4 08421
Franco Zentieuro
3/201746252
18/4/2017 IT31/12/2042
SHAKED2008/2802 shaked 06485
Efraim Yosefeuro
2/201231418
23/1/2012 IL31/12/2037
SIABELLE1998/1326 89.x1.25.2 03925
ATYS SAeuro
1/20017188
18/12/2000 FR31/12/2025
SIBILLA2014/3625 y6z6-39 00127
Consorzio Italiano Vivaistieuro
3/201848964
23/4/2018 IT31/12/2043
SIRIS2010/1411 aa 07 488 07031
Nova Siri Genetics SNC di Tufareuro
3/201334843
22/4/2013 IT31/12/2038
SONATA2001/1215 pri 9802 05442
Fresh Foreward Holding B.V.euro
3/200514768
7/3/2005 NL31/12/2030
SONSATION2015/2402 08-73-05 09076
FLEVO BERRY HOLDING B.V.euro
2/201951387
25/2/2019 NL31/12/2044
SOPHIE1998/0277 em 341 00010
Horticultural Research Internationeuro
3/20017385
5/3/2001 GB31/12/2026
SPLENDOR2005/0799 bg-959 03131
Berry Genetics Inc. Nelson Steveeuro
1/200821584
17/12/2007 US31/12/2032
SSL 932013/0940 ssl 93 00331
Edward Vinson Ltd.euro
3/201746242
18/4/2017 UK31/12/2042
SUSSETTE2013/0899 06-19-02 09076
FLEVO BERRY HOLDING B.V.euro
3/201643034
11/4/2016 NL31/12/2041
SUZANA2001/0153 853 03844/04056
Gyo International Inc.- Redeva Lteuro
4/200413336
17/5/2004 OS31/12/2029
SWEET ANN2010/2286 16f29 07133/07134
Jimmy Haig / Lassen Canyon Nureuro
4/201335520
3/6/2013 US31/12/2038
SWEET EVE2008/0368 04aa22 00331
Edward Vinson Ltd.euro
4/201130138
23/5/2011 UK31/12/2036
SWEETHEART2010/0912 em 1148 09154
NIAB EMReuro
3/201334842
22/4/2013 UK31/12/2038
SWV252015/2550 swv25 00331
Edward Vinson Ltd.euro
2/201950880
14/1/2019 UK31/12/2044
SYMPHONY1995/1348 symphony 07377
James Hutton Instituteeuro
2/19971713
17/2/1997 UK31/12/2022
TARDA1996/0428 9401 05221
Vissers International B.V.euro
4/19994564
3/5/1999 NL31/12/2024
TECLA2009/1203 00.92.4 06797/01869
CRA - FRFeuro
4/201232754
21/5/2012 IT31/12/2037
7/3/2020 Pàgina 21 de 98
DenominacióNº Exp. Nom comercial Codi / Titular Butlletí
Nº POV
Inici Protecció Fi Referència Obtentor /
Fragaria × ananassa Duchesne ex Rozier
TETHIS1995/0365 tethis 01160
Vissers Aardbeiplanten B.V.euro
4/19994558
3/5/1999 NL31/12/2024
THULANA1999/0461 thulana 00258
Hõberli Obst-und Beerenzentrumeuro
2/20028895
18/2/2002 HONOR CH31/12/2027
TOSCANA2011/0156 h 231 00984
ABZ Aardbeien uit Zaad B.V.euro
3/201437424
7/4/2014 NL31/12/2039
TRINI20175305 alma ES1022
INNOFRU, S.Lesp
BOE22002919
22/1/2020 ES31/12/2045
TRISTAN2009/2419 g 193 00984
ABZ Aardbeien uit Zaad B.V.euro
3/201334839
22/4/2013 NL31/12/2038
VALERY1999/0987 94/492 01400
Konings Planteuro
3/20029008
18/3/2002 NL31/12/2027
VALOR2008/1795 pe-1207 00743/01203
Plant Sciences - Berry R&Deuro
1/201128663
17/12/2010 US31/12/2035
VENTANA2002/1565 c216 00345
The Regents of the University ofeuro
3/200514780
7/3/2005 US31/12/2030
VIBRANT2010/1429 em 1119 09154
NIAB EMReuro
3/201437422
7/4/2014 UK31/12/2039
VIKTORIANA2008/0874 em 1125 09154
NIAB EMReuro
3/201129537
18/4/2011 UK31/12/2036
VIVA PATRICIA2008/2790 s05vs38 00331
Edward Vinson Ltd.euro
2/201231368
23/1/2012 UK31/12/2037
VIVALDI2001/1161 e2005-075 05442
Fresh Foreward Holding B.V.euro
3/201540662
20/4/2015 NL31/12/2040
VIVARA2012/1729 y3z6-5 00127
Consorzio Italiano Vivaistieuro
4/201643802
6/6/2016 IT31/12/2041
VOLTAMIR2008/2105 73 01306
Agricultural Research Organisatioeuro
1/201128670
17/12/2010 IL31/12/2035
WENDY2011/0398 k98-6 07886
MINISTER OF AGRICULTURE Aeuro
3/201437431
7/4/2014 CA31/12/2039
XIMA2001/0011 vi 02-99 05221
Vissers International B.V.euro
4/200413334
17/5/2004 NL31/12/2029
YAMASKA2001/0154 SJ89700/1 07886
MINISTER OF AGRICULTURE Aeuro
4/200413337
17/5/2004 CA31/12/2029
ZANTA1996/0427 9402 05221
Vissers International B.V.euro
4/19994672
21/6/1999 NL31/12/2024
Especie Fragaria iinumae Makino × F. vesca L.
DenominacióNº Exp. Nom comercial Codi / Titular Butlletí
Nº POV
Inici Protecció Fi Referència Obtentor /
MADUIXA HIB.
FONTAINE2014/1495 hansafont (p-130300) 08087
HANSABRED GMBH & CO. KGeuro
3/201848950
23/4/2018 DE31/12/2043
Especie Fragaria vesca L.
DenominacióNº Exp. Nom comercial Codi / Titular Butlletí
Nº POV
Inici Protecció Fi Referència Obtentor /
MADUIXETA
CORALP2014/0172 ct1 08326
PHILIP JAMES CORBETTeuro
4/201746483
10/5/2017 UK31/12/2042
Especie Fragaria x ananassa Duch.
DenominacióNº Exp. Nom comercial Codi / Titular Butlletí
Nº POV
Inici Protecció Fi Referència Obtentor /
MADUIXOT
BUDDY2011/2458 emr428 09154
NIAB EMReuro
3/201540666
20/4/2015 UK31/12/2040
DRISSTRAWFORTYSEVEN2016/0551 92t69 00659
Driscoll Strawberry Associates Ineuro
2/201950881
14/1/2019 US31/12/2044
7/3/2020 Pàgina 22 de 98
DenominacióNº Exp. Nom comercial Codi / Titular Butlletí
Nº POV
Inici Protecció Fi Referència Obtentor /
Fragaria x ananassa Duch.
DRISSTRAWTWENTYFIVE2011/2934 51q235 00659
Driscoll Strawberry Associates Ineuro
2/201539545
23/2/2015 US31/12/2040
DRISSTRAWTWENTYFOUR2011/2933 10q98 00659
Driscoll Strawberry Associates Ineuro
2/201539544
23/2/2015 US31/12/2040
DRISSTRAWTWENTYSEVEN2011/2936 46q227 00659
Driscoll Strawberry Associates Ineuro
2/201539547
23/2/2015 US31/12/2040
DRISSTRAWTWENTYSIX2011/2935 53q19 00659
Driscoll Strawberry Associates Ineuro
2/201539546
23/2/2015 US31/12/2040
DRISSTRAWTWENTYTH2011/2932 5q64 00659
Driscoll Strawberry Associates Ineuro
2/201539543
23/2/2015 US31/12/2040
F622011/2459 f62 09154
NIAB EMReuro
3/201540667
20/4/2015 UK31/12/2040
RENAISSANCE2016/1235 renaissance 08087
HANSABRED GMBH & CO. KGeuro
2/201951391
25/2/2019 DE31/12/2044
TMSTR14PNK2016/1273 vpst14/1 03166
BRANDED GARDEN PRODUCTeuro
2/201951392
25/2/2019 UK31/12/2044
VERITY2011/2742 06hn43 00331
Edward Vinson Ltd.euro
3/201540668
20/4/2015 UK31/12/2040
Especie Fragaria x Potentilla
DenominacióNº Exp. Nom comercial Codi / Titular Butlletí
Nº POV
Inici Protecció Fi Referència Obtentor /
MADUIXA
SAMBA1995/2732 Prisma I 00256
Prisma Stauden & Jungpflanzeneuro
6/19983428
7/9/1998 DE31/12/2023
Especie Humulus lupulus L.
DenominacióNº Exp. Nom comercial Codi / Titular Butlletí
Nº POV
Inici Protecció Fi Referència Obtentor /
LLÚPOL
ADHA042006/1858 ad24-002 05571
American Dwarf Hop Associationeuro
3/201129404
4/4/2011 US31/12/2041
ADMIRAL1996/0036 RH40 06316
WYE HOPS LIMITEDeuro
1/19971436
16/12/2006 UK31/12/2021
APOLLO2007/0305 apollo 05731
S.S. Steiner Inceuro
2/201231322
23/1/2012 US31/12/2042
ARAMIS2011/0863 p05-9 07285
Comptoir Agricole d'Achat et deeuro
3/201539876
23/3/2015 FR31/12/2045
ARIANA2015/3039 2010/072/020 04498
Gesellschaft fur Hopfenforschungeuro
4/201952578
6/5/2019 DE31/12/2049
BARBE ROUGE2016/0081 p09-2 07285
Comptoir Agricole d'Achat et deeuro
4/201952581
6/5/2019 FR31/12/2049
BOADICEA2004/0987 or423 06316
WYE HOPS LIMITEDeuro
5/200823382
25/8/2008 UK31/12/2038
BOUCLIER2012/1632 p08-6 07285
Comptoir Agricole d'Achat et deeuro
4/201643555
10/5/2016 FR31/12/2046
BRAVO2007/0304 bravo 05731
S.S. Steiner Inceuro
2/201231321
23/1/2012 US31/12/2042
BROKAT2015/3094 ur1 09018
BRAUEREI C. & A. VELTINS GMeuro
3/201951931
28/3/2019 DE31/12/2049
CALLISTA2015/3040 2010/008/033 04498
Gesellschaft fur Hopfenforschungeuro
4/201952579
6/5/2019 DE31/12/2049
COLUMBUS1998/1576 9/17 03368
Joh. Barth & Sohn Gmbh & Co. Keuro
6/200311647
8/9/2003 DE31/12/2028
DANA2013/1583 279/112 06942
SLOVENIAN INSTITUTE OF HOeuro
3/201746201
3/4/2017 SI31/12/2047
FIRST GOLD1996/0040 S4 06316
WYE HOPS LIMITEDeuro
1/19971440
16/12/1996 UK31/12/2021
7/3/2020 Pàgina 23 de 98
DenominacióNº Exp. Nom comercial Codi / Titular Butlletí
Nº POV
Inici Protecció Fi Referència Obtentor /
Humulus lupulus L.
HALLERTAU BLANC2012/1059 2007/019/008 04498
Gesellschaft fur Hopfenforschungeuro
4/201643552
10/5/2016 DE31/12/2046
HERKULES2003/2434 95/94/816 05548
Hopfenverwertungsgenossenchafeuro
3/200617203
27/3/2006 DE31/12/2036
HU ZH APA 12005/2387 2003/040/733 04498
Gesellschaft fur Hopfenforschungeuro
4/200822525
19/5/2008 DE31/12/2033
HUELL MELON2012/1060 2009/002/706 04498
Gesellschaft fur Hopfenforschungeuro
4/201643553
10/5/2016 DE31/12/2046
MANDARINA BAVARIA2011/3145 2007/018/013 04498
Gesellschaft fur Hopfenforschungeuro
3/201539877
23/3/2015 DE31/12/2045
MISTRAL2016/0076 gs 26 07285
Comptoir Agricole d'Achat et deeuro
4/201952580
6/5/2019 FR31/12/2049
PILGRIM2001/0826 P38 06316
WYE HOPS LIMITEDeuro
2/200615371
27/2/2006 UK31/12/2036
PILOT2001/0825 s24 06316
WYE HOPS LIMITEDeuro
2/200615370
27/2/2006 UK31/12/2036
PIONEER1996/0038 W10 06316
WYE HOPS LIMITEDeuro
1/19971438
16/12/1996 UK31/12/2021
POLARIS2010/2873 2000/109/728 04498
Gesellschaft fur Hopfenforschungeuro
3/201437544
22/4/2014 DE31/12/2044
RELAX2008/0127 97/25/7 05053
Martin BAUER GMBH & CO KGeuro
3/201129407
4/4/2011 DE31/12/2041
SOVEREIGN2006/1106 50/95/33 06316
WYE HOPS LIMITEDeuro
3/201026966
22/3/2010 UK31/12/2035
STYRIAN CARDINAL2016/0481 30/96 06942
SLOVENIAN INSTITUTE OF HOeuro
4/201952583
6/5/2019 SI31/12/2049
STYRIAN EUREKA2013/1896 285/70 06942
SLOVENIAN INSTITUTE OF HOeuro
3/201746202
3/4/2017 SI31/12/2047
STYRIAN GOLD2010/0605 31/299 06942
SLOVENIAN INSTITUTE OF HOeuro
3/201437543
22/4/2014 SI31/12/2044
STYRIAN WOLF2016/0480 74/134 06942
SLOVENIAN INSTITUTE OF HOeuro
4/201952582
6/5/2019 SI31/12/2049
SUPGALENA2007/0303 super galena 05731
S.S. Steiner Inceuro
2/201231320
23/1/2012 US31/12/2042
TRISKEL2012/1631 p09-18 07285
Comptoir Agricole d'Achat et deeuro
4/201643554
10/5/2016 FR31/12/2046
VGXP012006/0417 vgxp01 05352/05353/05354
P Gamacge-B Gamache-S Gamaeuro
3/201129404
4/4/2011 US31/12/2041
Especie Juglans L. (forestal)
DenominacióNº Exp. Nom comercial Codi / Titular Butlletí
Nº POV
Inici Protecció Fi Referència Obtentor /
NOGUERA PER FUSTA
NAT 11 BN20054604 eurowalnut a-11 E1001
Bosques Naturales SAesp
1-2016002718
13/12/2015 ES31/12/2045
NAT 3 BN20054605 eurowalnut a-03 E1001
Bosques Naturales SAesp
1-2017002761
16/1/2017 ES31/12/2047
NAT 7 BN20054607 eurowalnut b-07 E1001
Bosques Naturales SAesp
002783
8/9/2017 ES31/12/2047
NAT 8 BN20034496 eurowalnut 8 E1001
Bosques Naturales SAesp
1-2017002760
6/1/2017 ES31/12/2047
NAT 9 BN20054606 eurowalnut c-09 E1001
Bosques Naturales SAesp
1-2016002719
13/12/2015 ES31/12/2045
7/3/2020 Pàgina 24 de 98
DenominacióNº Exp. Nom comercial Codi / Titular Butlletí
Nº POV
Inici Protecció Fi Referència Obtentor /
Juglans nigra L.
Especie Juglans nigra L.
DenominacióNº Exp. Nom comercial Codi / Titular Butlletí
Nº POV
Inici Protecció Fi Referència Obtentor /
NOGUERA NEGRA
BEINEKE 12003/0938 beineke 1 04233
American Forestry Technologies Ieuro
3/201334887
22/4/2013 US31/12/2043
BEINEKE 72003/0943 beineke 7 04233
American Forestry Technologies Ieuro
4/201438053
19/5/2014 US31/12/2044
Especie Malus × purpurea (A. Barbier) Rehder × M. transitoria
(Batalin) C. K. Schneid.
DenominacióNº Exp. Nom comercial Codi / Titular Butlletí
Nº POV
Inici Protecció Fi Referència Obtentor /
POMERA ORNAMENTAL
JFSKW52013/0858 jfs-kw5 07480
J. FRANK SCHMIDT & SON CO.euro
3/201643228
25/4/2016 US31/12/2046
Especie Malus domestica Borkh.
DenominacióNº Exp. Nom comercial Codi / Titular Butlletí
Nº POV
Inici Protecció Fi Referència Obtentor /
POMERA
"LB17906"2013/0355 lb17906 07948
LAND- UND FORSTWIRTSCHAeuro
2/201951076
28/1/2019 IT31/12/2049
1400 KE2002/0286 1400 ke 03768
Feno SRLeuro
4/200720092
21/5/2007 IT31/12/2037
8S60232010/0112 8s6023 05973
Agriculture et Agroalimentaire Caeuro
6/201438868
8/9/2014 CA31/12/2044
ADMIRAL2008/2981 ueb 3824/1 00700
Institut Für Experimentelle Botanieuro
2/201231550
20/2/2012 CZ31/12/2042
AHRISTA1997/1488 ahrista 01950
Artus Group Marketinggesellschaeuro
3/19994257
6/4/1999 DE31/12/2029
ALLEGRO2017/0263 ueb 3802/6 00700
Institut Für Experimentelle Botanieuro
5/201747325
17/7/2017 CZ31/12/2047
ALMAGOLD2008/2498 golden 39 01758
Istituto Sperimentale per la Fruttieuro
4/201438355
16/6/2014 IT31/12/2044
AMBRO2000/1636 ambro 03073
Stichting Vermeerderingstuineneuro
4/20017809
11/6/2001 NL31/12/2031
AMBROSIA2001/0705 ambrosia 03420/03421
Mennell, S - Mennell, Weuro
4/200413616
21/6/2004 AMBROSIA CA31/12/2034
ANNAGLO1998/1093 annglo 02275
The Wislang Family Trusteuro
6/200311961
20/10/2003 SÉLECTA - ANNAGLO NZ31/12/2033
ARIANE2003/0273 x6407 00689
INRA-Institut National de la Recheuro
3/200413108
19/4/2004 ARIANE FR31/12/2034
ARIWA1999/0704 ariwa 02600
Eidg. Forschunganstalt für Obs-euro
3/20017498
9/4/2001 CH31/12/2031
ASFARI2012/0099 r2/25/56 04627
Better3Fruit NVeuro
3/201642777
7/3/2016 BE31/12/2046
AW 1062010/1888 aw 106 07079
Land Rheinland-Pfalzeuro
6/201130893
10/10/2011 DE31/12/2041
AZTEC2001/0014 aztec 03269
Austin Orchards Ltd David Austineuro
6/200720814
8/10/2007 ZHEN* NZ31/12/2037
AZUFU2000/1745 azu-fu 03017
NV GEEFAeuro
4/200720382
18/6/2007 BE31/12/2037
B3F442009/2503 22 / 4 / 53 04627
Better3Fruit NVeuro
3/201437720
22/4/2014 BE31/12/2044
B3F452009/2504 22 / 3 / 290 04627
Better3Fruit NVeuro
3/201437721
22/4/2014 BE31/12/2044
BAIGENT1995/1097 RIMA 00640
Brookfield New Zealand Limitedeuro
5/20017951
6/8/2001 BROOKFIELD* GALA NZ31/12/2031
7/3/2020 Pàgina 25 de 98
DenominacióNº Exp. Nom comercial Codi / Titular Butlletí
Nº POV
Inici Protecció Fi Referència Obtentor /
Malus domestica Borkh.
BARBY2017/2709 ueb 3838/3 00700
Institut Für Experimentelle Botanieuro
2/201951498
25/2/2019 CZ31/12/2049
BAY 34842009/1111 bay 3484 06685
Michael NeumüllerEURO
3/201437194
24/3/2014 DE31/12/2044
BEL-EL1995/2098 00298
Jomobel N. V. - Morren-de Costeeuro116
1/19971541
16/12/1996 RED ELSWOUT BE1/1/2022
BELGICA2000/1677 belgica 03184
Moors Jeaneuro
3/200412892
22/3/2004 BE31/12/2034
BELLIDA1995/0664 bellida 06983
Stichting Dienst Landbouwkundigeuro
6/1996605
2/8/1996 NL1/9/2026
BERLEIS2009/0580 berleis 06605
Mathias Markleuro
2/201026590
25/1/2010 DE31/12/2040
BIELAAR1995/0536 bielaar 02002
Van Laar H.J.M.euro116
5/1996418
2/8/1996 NL1/12/2021
BIGIGALAPRIM2002/1571 bigigalaprim 06828
Top Plant Vivai Societa Agricolaeuro
4/200720350
18/6/2007 EARLY RED GALA IT31/12/2037
BONITA2016/1931 ueb i-406/1 00700
Institut Für Experimentelle Botanieuro
2/201745354
6/2/2017 CZ31/12/2047
BRAECEST1998/1659 br 13/11-7 02452
Earl des Sources (Cestier Henri eeuro
2/20028883
18/2/2002 BRAESUN* FR31/12/2032
BRINA1999/0867 brina 01758
Istituto Sperimentale per la Fruttieuro
4/200413611
21/6/2004 IT31/12/2034
BRUGGERS FESTIVALE2000/1304 bruggers festivale 03119
Brugger, Alfredeuro
2/200616735
30/1/2006 DE31/12/2036
CACTUS2006/2164 ueb 3137/1 00700
Institut Für Experimentelle Botanieuro
4/201130092
23/5/2011 CZ31/12/2041
CATARINA2002/0208 epagri 402 03483
Epagrieuro
5/200823136
7/7/2008 BR31/12/2038
CAUDLE1996/0053 00880
Caudle apple inceuro
6/20006786
16/10/2000 CAMEO US31/12/2030
CAUFLIGHT2005/2054 noue 0001 00303
SNC Elariseuro
5/201130554
25/7/2011 CAUFLIGHT FR31/12/2041
CAURED1999/1298 noue 9987 00303
SNC Elariseuro
6/200516183
12/9/2005 FR31/12/2035
CH 1012012/0243 galiwa 07560
AGROSCOPE CHANGINS-WADeuro
2/201539518
9/2/2015 CH31/12/2045
CHRISTMAS PIPPIN2010/1572 fpm/rowm5 02278
Frank P Matthews Ltdeuro
4/201541123
8/6/2015 UK31/12/2045
CIV3232012/0805 b8a3-323 00127
Consorzio Italiano Vivaistieuro
2/201745350
6/2/2017 ISAAQ IT31/12/2047
CIVG1982005/0312 g-198 00127
Consorzio Italiano Vivaistieuro
5/200823149
7/7/2008 MODI IT31/12/2038
CIVINI2000/1892 vni-185 00127
Consorzio Italiano Vivaistieuro
6/200516186
12/9/2005 IT31/12/2035
CIVNIRED S2009/0687 mu-bz 00127
Consorzio Italiano Vivaistieuro
4/201541119
8/6/2015 IT31/12/2045
COLLINA2001/1711 collina 03634
V.O.F. VANDEWALLeuro
5/200618136
17/7/2006 NL31/12/2036
COOP 332008/0610 coop 33 00751
Purdue Research Foundationeuro
1/201333813
19/11/2012 PIXIE CRUCH US31/12/2042
COOP 381995/2901 coop38 00751
Purdue Research Foundationeuro
5/20017952
6/8/2001 GOLDRUSH* US31/12/2031
COOP 392005/0057 coop 39 00751
Purdue Research Foundationeuro
6/200823533
13/10/2008 CRIMSON CRISP* US31/12/2038
7/3/2020 Pàgina 26 de 98
DenominacióNº Exp. Nom comercial Codi / Titular Butlletí
Nº POV
Inici Protecció Fi Referència Obtentor /
Malus domestica Borkh.
COOP431999/0129 coop-43 00751
Purdue Research Foundationeuro
3/200413110
19/4/2004 JULIET US31/12/2034
COX LA VERA1996/0641 Cox la vera 07091
Erven P.G. Vroemeneuro
1/20005557
20/12/1999 NL31/12/2029
COXCOLUMNARIA2010/0060 coxcolumnaria 05496
Dr. Barbara Datheeuro
2/201231438
6/2/2012 DE31/12/2042
COXDWARF2008/2791 coxdwarf 05496
Dr. Barbara Datheeuro
2/201128890
7/2/2011 DE31/12/2041
COXYBELLE2018/3170 ag 90 02643
CENTRE DE RECHERCHES AGeuro
4/201952917
17/6/2019 BE31/12/2049
CR BRISSET2016/0550 cr brisset 08649
BRISSET G.F.A.euro
4/201849211
7/5/2018 FR31/12/2048
CRIPPS PINK1995/1039 Cripps Pink 00655
Department of Agriculture Westweuro116
2/19971640
15/1/1997 PINK LADY AU1/8/2022
CRIPPS RED1995/1040 cripps red 00655
Department of Agriculture Westweuro
6/19983425
7/9/1998 SUNDOWNER AU31/12/2023
CRISTIA2001/0909 epagri 406 03483
Epagrieuro
3/201129115
7/3/2011 BR31/12/2041
DALICLASS2008/1255 hy47-3 00303
SNC Elariseuro
1/201333814
19/11/2012 FR31/12/2042
DALILIGHT2007/1244 hy45-6 00303
SNC Elariseuro
1/201333810
19/11/2012 FR31/12/2042
DALINBEL1998/1844 dalinbel 00689/00303
INRA / SNC Elariseuro
6/200210186
21/10/2002 DALINBEL FR31/12/2032
DALINETTE2002/1306 dl 13 00319/00689
SNC ELARIS / INRAeuro
4/200617838
6/6/2006 DALINETTE FR31/12/2036
DALINSWEET2004/2327 dl48 00689/00303
INRA / SNC Elariseuro
4/200925349
8/6/2009 DALINSWEET FR31/12/2039
DALIRÈNE2005/1944 s13-3 00303
SNC Elariseuro
3/201027238
19/4/2010 FR31/12/2040
DALIRYAN2004/2493 jo50.1 00303
SNC Elariseuro
2/200719030
22/1/2007 DALIRYAN FR31/12/2037
DALITRON2003/1805 hy46.3 00303
SNC Elariseuro
5/200823138
7/7/2008 DALITRON FR31/12/2038
DECOSTA1995/0987 decosta 00954/00955
Swillen, G - Verbeek, Jeuro116
1/19971540
16/12/1996 DECOSTA BE1/1/2022
DELBLUSH1995/1986 delblush(PX3436) 00368
Pepinieristes et Roseraires Georeuro116
6/19981641
15/1/1997 DELBLUSH FR1/1/2022
DELCORED2016/2906 delcored 00368
Pepinieristes et Roseraires Georeuro
4/201747068
6/6/2017 FR31/12/2047
DELCORF DIANA2002/1963 diana 04050
Tijssen Johannes G.P.euro
4/200720095
21/5/2007 NL31/12/2037
DELCOROS2002/0108 delcoro 00368
Pepinieristes et Roseraires Georeuro
5/200618128
17/7/2006 DELCOROS FR31/12/2036
DELCOTI1999/1742 delcoti (c 43) 00368
Pepinieristes et Roseraires Georeuro
6/200311971
20/10/2003 FR31/12/2033
DELFLOGA2007/0851 delfloga 00368
Pepinieristes et Roseraires Georeuro
3/201026948
22/3/2010 FR31/12/2040
DELFLOKI2003/2213 delfloki 00368
Pepinieristes et Roseraires Georeuro
5/200413783
19/7/2004 DELFLOKI FR31/12/2034
DELICIA2002/1818 délice 04036/04037
C Roduit - S Roduiteuro
4/200720400
18/6/2007 ES31/12/2037
DEVIL GALA2012/2511 zg 1998 01474
Vivai Fratelle Zanzi di Carlo Zanzieuro
4/201952909
17/6/2019 IT31/12/2049
7/3/2020 Pàgina 27 de 98
DenominacióNº Exp. Nom comercial Codi / Titular Butlletí
Nº POV
Inici Protecció Fi Referència Obtentor /
Malus domestica Borkh.
DORIANE2003/0272 x6690 00689
INRA-Institut National de la Recheuro
2/200616780
30/1/2006 DORIANE FR31/12/2036
DOUCE DE L'AVENT2010/0435 douce de l'avent 00689/06934
INRA / IFPCeuro
3/201437726
22/4/2014 FR31/12/2044
EARLY JONAGOLD2008/1794 jonagold schreurs 00727
Nicolai JO & CO NVeuro
6/201335206
21/10/2013 BE31/12/2043
ELISE1995/0662 elise 06983
Stichting Dienst Landbouwkundigeuro116
6/1996419
2/8/1996 NL1/9/2021
ELLA2003/1756 crimson kiwi 04394
Thompson Michaeleuro
3/200719930
16/4/2007 NZ31/12/2037
ELSHARD2001/1086 mutant oostveen 03514
Maattschap Oostveeneuro
1/200923654
10/11/2008 NL31/12/2038
ELSHOF1995/1668 elshof 06983
Stichting Dienst Landbouwkundigeuro116
5/1996421
2/8/1996 ELSHOF NL1/9/2021
ELSTAR BOEREKAMP1997/0441 elstar boerekamp 01671/09553
P. H.H. BOEREKAMP/J. M.W. Beuro
1/200412324
18/12/2003 NL1/1/2034
ELSTAR VAN DER ZALM2004/1366 elstar-mutant 08036
VOGELAAR-VREDEHOF VASTeuro
5/200925889
24/8/2009 SANSA NL31/12/2039
EVESSE2009/0981 evesse (fpm/h3698) 02278
Frank P Matthews LtdEURO
5/201438689
28/7/2014 UK31/12/2044
EXCEL1996/0199 00298
Jomobel N. V. - Morren-de Costeeuro
5/20006594
26/7/2000 BE31/12/2030
FEM 12012/0736 fem 99.41.29 07625/07626
CONSORZIO INNOVAZIONE FReuro
4/201643816
6/6/2016 IT31/12/2046
FEM 82012/0738 fem 99.34.165 07625/07626
CONSORZIO INNOVAZIONE FReuro
4/201643817
6/6/2016 IT31/12/2046
FENGAPI2015/1527 fengapi 03209
Gaec le Petit Pepinieristeeuro
4/201952779
20/5/2019 FR31/12/2049
FIERO2001/0571 fiero 03385
Snyder L.L.C.euro
5/200618126
17/7/2006 SEPTEMBER WONDER* US31/12/2036
FINESSE2010/2696 jg.b 2903 08431
BOEREKAMP FINESSE B.V.euro
3/201540333
7/4/2015 NL31/12/2045
FPMPAX2014/3204 ’little pax’ (little pax) 08605
ST. CECILIA’S ABBEYeuro
3/201951724
11/3/2019 UK31/12/2049
FREDRIK2003/0874 k:0957 04227
Fakulteten för Jordbruk Landskapeuro
3/200924821
20/4/2009 SE31/12/2039
FRÉQUINETTE2010/0434 fréquinette 00689/06934
INRA / IFPCeuro
3/201540329
7/4/2015 FR31/12/2045
FRESCO2002/0536 87031-047 06983
Stichting Dienst Landbouwkundigeuro
4/200822295
5/5/2008 NL31/12/2038
FRIDA2003/0873 k:1007 04227
Fakulteten för Jordbruk Landskapeuro
3/200924820
20/4/2009 SE31/12/2039
FRUBAUR2013/3237 frubaur 01644
Promo Fruit Ag.euro
2/201848402
19/2/2018 CH31/12/2048
FUCIV512013/2586 fuciv51 00127
Consorzio Italiano Vivaistieuro
4/201952910
17/6/2019 IT31/12/2049
FUJI FRUBAX2005/0199 fuji frubax 04945
KIKU SRL-GMBHeuro
6/201438840
8/9/2014 FUJI KIKU IT31/12/2044
FUJION2011/1876 lh-59 00127
Consorzio Italiano Vivaistieuro
4/201643814
6/6/2016 IT31/12/2046
GAIA2011/1879 b8a3-384 00127
Consorzio Italiano Vivaistieuro
4/201541125
8/6/2015 IT31/12/2045
GALA SCHNITZER1999/0033 schniga 04178
SCHNIGA S.R.L.euro
6/201850559
15/10/2018 GALA SCHNITZER IT31/12/2048
7/3/2020 Pàgina 28 de 98
DenominacióNº Exp. Nom comercial Codi / Titular Butlletí
Nº POV
Inici Protecció Fi Referència Obtentor /
Malus domestica Borkh.
GALAVAL2006/2472 gala richard 00303
SNC Elariseuro
5/201130560
25/7/2011 FR31/12/2041
GALIFO2013/2263 galifo 05528
GIE I.F.O.euro
4/201849204
7/5/2018 FR31/12/2048
GALMAC2003/1834 galmac 04312
Station Federale RACeuro
5/200516114
17/8/2005 GALMAC CH31/12/2035
GERLINDE1997/1487 gerlinde 01950
Artus Group Marketinggesellschaeuro
3/19994256
6/4/1999 DE31/12/2029
GOLD PINK1998/1512 dca 81.425.014 01869
ALMA MATER STUDIORUM-UNIeuro
6/200210184
21/10/2002 GOLDCHIEF IT31/12/2032
GOLDEN 18952009/0956 18958 06661
Johann HuberEURO
4/201643799
6/6/2016 IT31/12/2046
GOLDEN ORANGE1998/0878 golden orange 01758
Istituto Sperimentale per la Fruttieuro
6/200210182
21/10/2002 GOLDEN ORANGE IT31/12/2032
GOLDEN PARADIS20054595 MSV-019 100908
Universitat de Lleidaesp
4-2010002488
6/7/2010 GOLDEN PARADIS ES31/12/2040
GOLDLANE2005/1157 ueb 3812/2 04595
Henri Fleuren B.V.euro
3/201026968
22/3/2010 NL31/12/2040
GOLDOR2006/0642 hy32.1 00303
SNC Elariseuro
4/200720103
21/5/2007 FR31/12/2037
GRADIROSE2004/2210 rgb5.100 07413
Neath Investements Limitedeuro
4/200925392
8/6/2009 GI31/12/2039
GRADISCA2015/1175 rgb3.165 04855/04854
O i A GRARDeuro
4/201952916
17/6/2019 FR31/12/2049
GRADIYEL2004/2211 rgb2.66 07413
Neath Investements Limitedeuro
4/200925393
8/6/2009 GI31/12/2039
GUSTO2014/0515 gusto 06778
Paul Spornbergereuro
2/201745353
6/2/2017 IT31/12/2047
HARMENSZ2006/2051 vrds0401 08032
PEREMA SARLeuro
6/201130891
10/10/2011 LU31/12/2041
HELIODOR2003/1163 ueb 3264/1 04283
Institute of Experimental Botanyeuro
6/200823532
13/10/2008 CZ31/12/2038
HESZTIA2012/1533 mr-10 07730
BUDAPESTI CORVINUS EGYETeuro
2/201334100
4/2/2013 HU31/12/2043
HIDALA1995/1478 Hidala 00685
Hill John and Sueeuro116
3/19971771
3/3/1997 HILLWELL NZ1/4/2022
HIROFU2000/1746 hiro-fu 03017
NV GEEFAeuro
5/200618168
17/7/2006 BE31/12/2036
HONEYCRISP1996/1289 mn 1711 01528
Regents of the University of Minneuro
4/20017797
11/6/2001 HONEYCRISP US31/12/2031
HOWELL TC32014/2181 tc 3 08524
HOWELL FRUIT ADVANTAGESeuro
4/201849207
7/5/2018 US31/12/2048
IMARA2012/0100 21/5/215 04627
Better3Fruit NVeuro
3/201642778
7/3/2016 BE31/12/2046
INA COX1999/1857 ina cox 06795
Olaf Ehlerseuro
1/20018427
5/11/2001 DE31/12/2031
INITIAL1999/0745 initial 00689
INRA-Institut National de la Recheuro
3/20017652
23/4/2001 INITIAL FR31/12/2031
INOLOV2014/1145 inolov 00689/06122
INRA - EARL QUARTIER NEUFeuro
4/201746304
10/5/2017 MANDY FR31/12/2047
INORED2011/0606 inored 07253/00689
Novardi SARL / INRAeuro
3/201540661
20/4/2015 STORY FR31/12/2045
JEROMINE1997/0057 NOUE 9123 00303
SNC Elariseuro
5/20006599
26/7/2000 JEROMINE FR31/12/2030
7/3/2020 Pàgina 29 de 98
DenominacióNº Exp. Nom comercial Codi / Titular Butlletí
Nº POV
Inici Protecció Fi Referència Obtentor /
Malus domestica Borkh.
JM71998/0399 jm7 02050
National Institute of Fruit Tree Scieuro
6/200516279
10/10/2005 JP31/12/2035
JOGLO2007/1404 br 26-7 05916
Joburn Aurora (NZ) Ltdeuro
1/201333812
19/11/2012 NZ31/12/2042
JOKO2011/2656 amd-55-29-21 07468
PURE HORTICULTURAL RESEeuro
6/201233578
8/10/2012 LV31/12/2042
JONAGOLD-BOEREKAMP1995/0395 jonagold-boerekamp 00100
Boerekamp & Bokkemseuro116
1/19982578
20/11/1997 NL1/3/2023
JONAGORED SUPRA1996/0200 00298
Jomobel N. V. - Morren-de Costeeuro
5/20006593
26/7/2000 BE31/12/2030
KARNEVAL2010/1213 ueb 3741/1 00700
Institut Für Experimentelle Botanieuro
3/201129620
18/4/2011 CZ31/12/2041
KERAMERE2012/0552 keramere 06934/00689
IFPC / INRAeuro
3/201540346
7/4/2015 FR31/12/2045
KIZURI2014/3424 33/1/77 04627
Better3Fruit NVeuro
3/201951726
11/3/2019 BE31/12/2049
LA FLAMBOYANTE2003/0963 flamba 04240
Station Federale de Recherche eeuro
5/200516110
17/8/2005 CH31/12/2035
LADINA2014/0115 acw14959 07560
AGROSCOPE CHANGINS-WADeuro
2/201745412
6/2/2017 CH31/12/2047
LAFAYETTE2010/2774 fn3505-526 00751
Purdue Research Foundationeuro
4/201438455
16/6/2014 US31/12/2044
LAMBADA2017/2542 ueb 4181/1 00700
Institut Für Experimentelle Botanieuro
4/201849213
7/5/2018 CZ31/12/2048
LAST MINUTE1995/1099 p22 00765/01055
Shrama - Willemseuro116
1/19971300
15/10/1996 NL1/11/2021
LESPIN2016/0601 lespin 00689
INRA-Institut National de la Recheuro
3/201952338
15/4/2019 FR31/12/2049
LIGOLINA2011/0023 xix-133-d1 07220
INSTYTUT OGRODNICTWA (INeuro
2/201231389
23/1/2012 PL31/12/2042
LILAC2017/2544 ueb 4272/3 00700
Institut Für Experimentelle Botanieuro
2/201951496
25/2/2019 CZ31/12/2049
LIZZY1995/1098 p16 00303
SNC Elariseuro116
1/19971299
15/10/1996 FR1/11/2023
LOCHBUIE RED BRAEBURN1995/2080 turners red 00227
Fipia New Zealand Ltdeuro116
1/200412026
10/11/2003 BRAEBURN LOCHBUIE NZ1/1/2034
LOUTERWATER GRANNY
SMITH
2004/0286 louterwater granny smith 04559
Louterwater Landgoedeuro
3/200924822
20/4/2009 ZA31/12/2039
LUCY2016/2400 ueb i-181/3 00700
Institut Für Experimentelle Botanieuro
3/201745802
20/3/2017 CZ31/12/2047
LUMAGA2013/2375 lumaga 08194
Fruture GMBHeuro
2/201951279
11/2/2019 DE31/12/2049
LUNA2003/1436 ueb 3375/2 00700
Institut Für Experimentelle Botanieuro
3/200822063
7/4/2008 LUNA CZ31/12/2038
LUREFRESH2009/1272 lub a26/05 05369
Lubera AGeuro
5/201438462
7/7/2014 CH31/12/2044
LUREGUST2013/2374 luregust 08194
Fruture GMBHeuro
2/201951278
11/2/2019 DE31/12/2049
LUREPREC2009/1271 lub a09/05 05369
Lubera AGeuro
5/201438461
7/7/2014 CH31/12/2044
LURESWEET2013/2376 luresweet 08194
Fruture GMBHeuro
2/201848401
19/2/2018 DE31/12/2048
MAGENTA2017/2545 ueb 4272/1 00700
Institut Für Experimentelle Botanieuro
2/2019514967
25/2/2019 CZ31/12/2049
7/3/2020 Pàgina 30 de 98
DenominacióNº Exp. Nom comercial Codi / Titular Butlletí
Nº POV
Inici Protecció Fi Referència Obtentor /
Malus domestica Borkh.
MAJESTY2012/0807 yx4 00127
Consorzio Italiano Vivaistieuro
2/201745351
6/2/2017 IT31/12/2047
MAKALI2014/3423 20/32/200 04627
Better3Fruit NVeuro
3/201951725
11/3/2019 BE31/12/2049
MARIBELLE2007/0526 riky 2000 08032
PEREMA SARLeuro
3/201129530
18/4/2011 LU31/12/2041
MARIELLA2016/2900 acw 6375 07560
AGROSCOPE CHANGINS-WADeuro
4/201747067
6/6/2017 CH31/12/2047
MARIRI RED1995/2150 MR1 00227
Fipia New Zealand Ltdeuro
4/20017796
11/6/2001 APORO* (EVE) NZ31/12/2031
MC 382009/0354 mc 38 04945
KIKU SRL-GMBHeuro
3/201334832
22/4/2013 IT31/12/2043
MC DONALD APPLE2006/0452 mc donald apple 05364
MIKE ARGOeuro
3/201027257
19/4/2010 MC DONALD GALA US31/12/2040
MERKUR2010/2688 ueb 3531/3 00700
Institut Für Experimentelle Botanieuro
2/201231549
20/2/2012 CZ31/12/2042
MILWA2002/1811 faw 5878 02600
Eidg. Forschunganstalt für Obs-euro
2/200616779
30/1/2006 MILWA CH31/12/2036
MINNEISKA2009/0820 mn 1914 01528
Regents of the University of Minneuro
4/201438454
16/6/2014 US31/12/2044
MINNEWASHTA2001/1152 mn 1824 01528
Regents of the University of Minneuro
2/200617001
27/2/2006 US31/12/2036
MONALISA2016/1040 monalisa 03483
Epagrieuro
3/201952340
15/4/2019 BR31/12/2049
MOONLIGHT FL 3727 42005/1156 ueb 3727/4 04595
Henri Fleuren B.V.euro
2/201026759
22/2/2010 NL31/12/2040
MORED2009/0473 red toro 04639
Cultura Jean Moors Bvbaeuro
4/201438308
16/6/2014 BE31/12/2044
MOUNTAIN COVE1995/1212 00309
Adams County Nursery Inceuro116
2/19971639
15/1/1997 GINGER GOLD US1/11/2023
NC12010/0592 06940
John RolandBreacheuro
3/201540330
7/4/2015 UK31/12/2045
NC22013/2626 nc2 06940
John RolandBreacheuro
4/201746302
10/5/2017 UK31/12/2047
NC32015/0335 nc3 06940
John RolandBreacheuro
4/201849208
7/5/2018 UK31/12/2048
NEVSON1999/0702 PB 135 02103
Nevis fruit companyeuro
6/200413610
27/9/2004 NZ31/12/2034
NICOGREEN2000/1222 greenstar 04627
Better3Fruit NVeuro
4/200413323
21/6/2004 BE31/12/2034
NICOTER2001/0757 nicoter 04627
Better3Fruit NVeuro
4/200515369
10/5/2005 BE31/12/2035
NUBIA2017/2712 ueb 3494/2 00700
Institut Für Experimentelle Botanieuro
2/201951499
25/2/2019 CZ31/12/2049
ORION2005/0309 ueb 2718/1 04283
Institute of Experimental Botanyeuro
2/200616764
30/1/2006 CZ31/12/2036
P672012/1107 nr 528 07220
INSTYTUT OGRODNICTWA (INeuro
3/201540350
7/4/2015 PL31/12/2045
PIA ALMA2017/1295 pia 26 06760
Julius Kühn Instituteuro
4/201849212
7/5/2018 DE31/12/2048
PIDI2004/0326 hl 75-26-18 04564
Forschungs institut fur Obstbau ueuro
2/200616757
30/1/2006 CZ31/12/2036
PINOVA1995/1072 pinova 02625
Sächsische Landesanstalt für Laeuro116
1/19971298
15/10/1996 CORAIL* DE1/10/2022
7/3/2020 Pàgina 31 de 98
DenominacióNº Exp. Nom comercial Codi / Titular Butlletí
Nº POV
Inici Protecció Fi Referència Obtentor /
Malus domestica Borkh.
PIRELLA1997/0973 pirella 06760
Julius Kühn Instituteuro
4/19983127
2/6/1998 DE31/12/2028
PLFOG992009/1142 pink belle 06690/06691
Terry Fogliani/Dianne Foglianieuro
1/201436492
18/11/2013 AU31/12/2043
PLUMAC2014/0013 kotabaru 03989/09155
Plunkett Geoffrey/euro
5/201849918
2/7/2018 NZ31/12/2048
POMFORYOU2003/0332 ak 52-38-95 00672
Forschungsanstalt Geisenheimeuro
2/200616768
30/1/2006 DE31/12/2036
POMPINK2002/0182 ak 49-191-95 00672
Forschungsanstalt Geisenheimeuro
2/200514654
7/2/2005 DE31/12/2035
PREMA1472014/0218 a022 r24 t147 05582
Prevar Ltdeuro
4/201746303
10/5/2017 NZ31/12/2047
PREMA1532012/1590 a022 r14 t153 05582
Prevar Ltdeuro
3/201540352
7/4/2015 NZ31/12/2045
PREMA172011/0025 a160 r02 t017 05582
Prevar Ltdeuro
3/201437727
22/4/2014 NZ31/12/2044
PREMA2802007/1280 a020 r04 t280 05582
Prevar Ltdeuro
2/201333811
18/2/2013 NZ31/12/2043
PREMA342016/1088 a180 r23 t034 05582
Prevar Ltdeuro
1/201744937
21/11/2016 NZ31/12/2046
PREMA962011/1499 a115 r02 t096 05582
Prevar Ltdeuro
4/201541124
8/6/2015 NZ31/12/2045
PRIMIERA1998/1513 pri 2750-1 co-op42) 01869
ALMA MATER STUDIORUM-UNIeuro
6/200210185
21/10/2002 IT31/12/2032
R2012016/1039 r201 05528
GIE I.F.O.euro
3/201952339
15/4/2019 FR31/12/2049
RAFZUBEX1997/0340 RAFZUBEX 01644
Promo Fruit Ag.euro
4/20029320
6/5/2002 RUBINETTE* ROSSO CH31/12/2032
RAJKA1998/0304 ueb2269/10 00700
Institut Für Experimentelle Botanieuro
2/20028880
18/2/2002 CZ31/12/2032
RAXINA 1220014337 rf8912 ES903
Principado de Asturias - Con. Agresp
1-2019002864
5/2/2019 ES31/12/2049
RAXINA 1620014338 rf8916 ES903
Principado de Asturias - Con. Agresp
1-2019002865
5/2/2019 ES31/12/2049
RAXINA 3020014339 rf8930 ES903
Principado de Asturias - Con. Agresp
1-2019002866
5/2/2019 ES31/12/2049
RAXINA 820014336 rf8908 ES903
Principado de Asturias - Con. Agresp
1-2019002867
5/2/2019 ES31/12/2049
REA GOLD2017/1294 rea 4 06760
Julius Kühn Instituteuro
2/201951281
11/2/2019 DE31/12/2049
REA JUICE2017/0788 rea juice 06760
Julius Kühn Instituteuro
6/201747663
25/9/2017 DE31/12/2047
REBELLA2002/0259 rebella 01848
Bundesanstalt für Züchtungsforsceuro
6/200210198
21/10/2002 DE31/12/2032
RECOLOR2010/2638 recolor 06760
Julius Kühn Instituteuro
30384
6/6/2011 DE31/12/2041
RED FALSTAFF1998/1108 red falstaff 00051
Plant Breeding International Cameuro
3/19994251
6/4/1999 UK31/12/2029
RED IDARED1996/0895 tf 806 02644
Inter Plant Patent Marketing Inc.euro
3/200610227
27/3/2006 RED IDARED CA31/12/2036
RED JONAPRINCE1995/0393 p1 01708
Wilton Weert BVeuro
1/20005555
6/12/1999 NL31/12/2029
RED TOPAZ2001/0082 topaz v 03276
Malus Bunda Gesellschaft zur Föeuro
2/200617000
27/2/2006 DE31/12/2036
7/3/2020 Pàgina 32 de 98
DenominacióNº Exp. Nom comercial Codi / Titular Butlletí
Nº POV
Inici Protecció Fi Referència Obtentor /
Malus domestica Borkh.
REDKAN2003/0262 redkan 03209
Gaec le Petit Pepinieristeeuro
3/200822061
21/4/2008 FR31/12/2038
REDLANE2005/1160 ueb 3290/1 04595
Henri Fleuren B.V.euro
3/201026965
22/3/2010 NL31/12/2040
REDSPRING2011/1828 ueb 3810/1 00700
Institut Für Experimentelle Botanieuro
2/201334099
4/2/2013 CZ31/12/2043
REDSTAR1998/0568 els 16 arb4 00303
SNC Elariseuro
6/200210180
21/10/2002 REDSTAR FR31/12/2032
REGALSTAR2012/2710 03.3e.194pom - asf0810 04628
SARL Agro Selection Fruitseuro
4/201746300
10/5/2017 FR31/12/2047
REGALYOU2012/0751 03.29e.43pom - asf 0720 04628
SARL Agro Selection Fruitseuro
4/201643516
10/5/2016 FR31/12/2046
REKARDA2010/2639 rekarda 06760
Julius Kühn Instituteuro
4/201130385
6/6/2011 DE31/12/2041
RESI1998/1852 resi 01848
Bundesanstalt für Züchtungsforsceuro
4/19994696
21/6/1999 DE31/12/2029
RGLORS2008/0297 06172
Sicieta Agricola Mazzonieuro
5/201335893
29/7/2013 IT31/12/2043
RHAPSODIE2005/0752 ueb 3451/2 00346
Gevo Pflanzenvertrieb Gmbheuro
2/200924082
23/2/2009 DE31/12/2039
RM-12014/1857 rm-1 09014
RED MOON GMBHeuro
4/201952914
17/6/2019 IT31/12/2049
RNA 03042008/0818 rna 0304 03017
NV GEEFAeuro
4/201335205
6/5/2013 BE31/12/2043
RNA98422002/1430 rna9842 03017/03983
NV GEEFA - Nodop Clauseuro
4/200720093
21/5/2007 BE31/12/2037
ROELSTAR1997/1334 e.r. 97-0034 01918
Roelse Weuro
1/200412031
10/11/2003 NL1/1/2034
ROHO 36152001/1441 08044
HOFMANN SORTENSCHUTZ Geuro
3/200617112
27/3/2006 DE31/12/2036
ROMANCE2008/2980 ueb 2856/1 00700
Institut Für Experimentelle Botanieuro
4/201438114
19/5/2014 CZ31/12/2044
RONDO2005/0753 ueb 3449/1 00346
Gevo Pflanzenvertrieb Gmbheuro
2/200924083
23/2/2009 DE31/12/2039
ROSY GLOW2000/1727 rosy glow 10491
GRAHAM’S FACTREE PTY LTDeuro
5/200618127
17/7/2006 ROSY GLOW AU31/12/2036
ROUGELE2016/0448 venob 09073
VERNOGE S.A.R.L.euro
4/201849210
7/5/2018 FR31/12/2048
ROYAL BRAEBURN1998/1082 royal braeburn 02270
The François Family Trusteuro
6/200311960
21/10/2003 ROYAL BRAEBURN NZ31/12/2033
ROZELA2007/2201 ueb 3322/5 00700
Institut Für Experimentelle Botanieuro
4/200822308
5/5/2008 CZ31/12/2038
RUBELIT2016/2395 ueb i-20/1 00700
Institut Für Experimentelle Botanieuro
3/201745798
20/3/2017 CZ31/12/2047
RUBINOLA1995/2928 RUBINOLA 00700
Institut Für Experimentelle Botanieuro
3/20005824
6/3/2000 CZ31/12/2030
RUBINSTEP1999/1871 rubinstep 03051
RESEARCH AND BREEDING INeuro
3/200514915
21/3/2005 CZ31/12/2035
RUCLA2008/1712 hl 251 04564
Forschungs institut fur Obstbau ueuro
2/200924091
23/2/2009 CZ31/12/2039
RUMBA2017/2543 ueb 4305/4 00700
Institut Für Experimentelle Botanieuro
4/201449214
7/5/2018 CZ31/12/2048
SAIRELINE2013/0731 x5253 00689/06934
INRA / IFPCeuro
4/201643517
10/5/2016 FR31/12/2046
7/3/2020 Pàgina 33 de 98
DenominacióNº Exp. Nom comercial Codi / Titular Butlletí
Nº POV
Inici Protecció Fi Referència Obtentor /
Malus domestica Borkh.
SANDER2016/3292 sander 09366/09365
S. NOWAKOWSKI/A. NOWAKOeuro
4/201747069
6/6/2017 PL31/12/2047
SANTANA1996/0435 cpo 78038-9 06983
Stichting Dienst Landbouwkundigeuro
6/19963745
2/8/1996 NL31/12/2028
SCIEARLY1997/0604 GS 494 00915
The Horticulture & Food Researceuro
4/20017798
11/6/2001 NZ31/12/2031
SCIFRESH2001/0330 A20R2T273 02830
The Horticulture & Food Res. Int.euro
6/200516188
12/9/2005 JAZZ NZ31/12/2035
SCILATE2007/0546 a022r29t022 00915
The Horticulture & Food Researceuro
1/201333809
19/11/2012 NZ31/12/2042
SCIRED1996/0772 gs 58 00915
The Horticulture & Food Researceuro
5/20006605
26/7/2000 NZ31/12/2030
SCIROS1996/0117 gs2085 00915
The Horticulture & Food Researceuro
5/20006607
26/7/2000 NZ31/12/2025
SEKZIE2008/0512 lady in red 07043
Sunglo Varieties Ltd.euro
4/201541348
22/6/2015 NZ31/12/2045
SHALIMAR2008/2982 ueb 3374/2 00700
Institut Für Experimentelle Botanieuro
4/200925472
22/6/2009 CZ31/12/2039
SIMMONS1999/0999 simmons 02670
International Plant Management Ieuro
1/200412034
10/11/2003 BUCKEYE* GALA US1/1/2034
SINFONIA2012/2804 yx-2 00127
Consorzio Italiano Vivaistieuro
2/201745352
6/2/2017 IT31/12/2047
SIRIUS2005/0311 ueb 3177/1 00700
Institut Für Experimentelle Botanieuro
5/200720805
24/8/2007 CZ31/12/2037
SJCA38R6A742014/2345 sjca38r6a74 07886
MINISTER OF AGRICULTURE Aeuro
4/201952781
20/5/2019 CA31/12/2049
SMERALDA2011/1880 a7b9-119 00127
Consorzio Italiano Vivaistieuro
6/201644847
17/10/2016 IT31/12/2046
SOLARIS2008/0476 ueb 3369/4 00700
Institut Für Experimentelle Botanieuro
3/201334437
18/3/2013 CZ31/12/2043
SONATE2005/0751 ueb 3467/1 00346
Gevo Pflanzenvertrieb Gmbheuro
2/200924081
23/2/2009 DE31/12/2039
SOPRANO2016/1391 soprano 00303/00689
SNC Elaris / Florida Foundationeuro
5/201953082
1/7/2019 FR31/12/2049
SQ 1332008/0690 pri 1990-045-133 06983
Stichting Dienst Landbouwkundigeuro
4/201438356
16/6/2014 NL31/12/2044
SQ 1592009/1220 pri 1990-022-159 06983
Stichting Dienst Landbouwkundigeuro
3/201437718
22/4/2014 NL31/12/2044
SUMMERFREE1998/0880 summerfree 01758
Istituto Sperimentale per la Fruttieuro
6/200210183
21/10/2002 IT21/10/2032
SWEET STONE2012/2510 zg 2002 01474
Vivai Fratelle Zanzi di Carlo Zanzieuro
4/201747073
19/6/2017 IT31/12/2047
TOPAZ1995/1206 topas 00700
Institut Für Experimentelle Botanieuro
4/19982777
4/5/1998 TOPAZ CZ31/12/2028
TRAMIN2015/1325 tramin 03209
Gaec le Petit Pepinieristeeuro
2/201951280
11/2/2019 FR31/12/2049
TRELADINE2012/0553 treladine 06934/00689
IFPC / INRAeuro
3/201540347
7/4/2015 FR31/12/2045
TUNDA2005/2292 21/2/252 04627
Better3Fruit NVeuro
3/201027240
19/4/2010 BE31/12/2040
UEB 1122016/2397 ueb i-11/2 00700
Institut Für Experimentelle Botanieuro
3/201745799
20/3/2017 CZ31/12/2047
UEB 18512016/2399 ueb i-185/1 00700
Institut Für Experimentelle Botanieuro
3/201745801
20/3/2017 CZ31/12/2047
7/3/2020 Pàgina 34 de 98
DenominacióNº Exp. Nom comercial Codi / Titular Butlletí
Nº POV
Inici Protecció Fi Referència Obtentor /
Malus domestica Borkh.
UEB 326422005/0310 ueb 3264/2 00700
Institut Für Experimentelle Botanieuro
2/200616749
30/1/2006 OPAL CZ31/12/2036
UEB 3366 12009/0012 ueb-3366/1 04595
Henri Fleuren B.V.euro
2/201436794
10/2/2014 NL31/12/2044
UEB 4812016/2398 ueb i-48/1 00700
Institut Für Experimentelle Botanieuro
3/201745800
20/3/2017 CZ31/12/2047
UEB 65812016/2396 ueb i-658/1 00700
Institut Für Experimentelle Botanieuro
2/201848317
5/2/2018 CZ31/12/2048
UEB260022005/0750 mars (ueb 2600/2) 00346
Gevo Pflanzenvertrieb Gmbheuro
2/200924080
23/2/2009 DE31/12/2039
VALTOD2005/0626 valtod 04945
KIKU SRL-GMBHeuro
6/201233400
10/9/2012 REDCAP IT31/12/2042
VERDERO2009/1701 decosta-mutant 00267/06235/06757/0
Hendrick Josef de Coster -euro
3/201437719
22/4/2014 BE31/12/2044
VERMUEL2008/0716 mutant zweeren 06234/06235
WILLEM FREDERIK ZWEEREN/euro
4/201437906
5/5/2014 NL31/12/2044
WA 22014/1979 wsu 2 08504
WASHINGTON SATE UNIVERSIeuro
5/201849923
2/7/2018 US31/12/2048
WESTERN DAWN2008/1590 23/74 03971
State of Western Australiaeuro
4/201438358
16/6/2014 AU31/12/2044
WILTONS STAR2002/1542 aw 2001 07661
PRINCE INTERNATIONAL S.A.Reuro
6/200618578
23/10/2006 LU31/12/2036
WUR372011/0193 pri 1993-018-037 06983
Stichting Dienst Landbouwkundigeuro
3/201540337
7/4/2015 NL31/12/2045
X95892015/0857 x9589 06221
Benoit Escande Edition SARLeuro
4/201952915
17/6/2019 FR31/12/2049
XELEVEN2014/1858 x9596 09014
RED MOON GMBHeuro
4/201849409
7/5/2018 IT31/12/2048
ZARI2005/2293 1/1/174 04627
Better3Fruit NVeuro
3/201027241
19/4/2010 BE31/12/2040
ZONGA2005/2291 7/5/251 04627
Better3Fruit NVeuro
3/201027239
19/4/2010 BE31/12/2040
Especie Malus Mill.
DenominacióNº Exp. Nom comercial Codi / Titular Butlletí
Nº POV
Inici Protecció Fi Referència Obtentor /
POMERA
CIVP212013/3139 pj-p21 00127
Consorzio Italiano Vivaistieuro
3/201951723
11/3/2019 IT31/12/2049
G 112003/1135 786r5-011 02540
Cornell Research Foundationeuro
4/200720406
18/6/2007 US31/12/2037
G 2022007/2592 g.202 02540/08093
Cornell Research/USDAeuro
5/201335892
29/7/2013 US31/12/2043
G 412009/0903 g.41 02540/06085
Cornell Research - Boomkwekerijeuro
6/201438869
8/9/2014 US31/12/2044
G.9352010/1835 g.935 02540/06085
Cornell Research - Boomkwekerijeuro
6/201541597
21/9/2015 US31/12/2045
M 1162005/2055 ar4 86-1-25 09154
NIAB EMReuro
5/201130555
25/7/2011 UK31/12/2041
PI 801995/2090 01706/00758
P. Demol - SNC Elariseuro
1/19971292
15/10/1996 SUPPORTER 4 FR31/12/2026
PURE 12011/2731 pure 1 07468
PURE HORTICULTURAL RESEeuro
6/201233541
8/10/2012 LV31/12/2042
ROSALIE2011/1829 ueb 3459/1 00700
Institut Für Experimentelle Botanieuro
4/201335515
3/6/2013 CZ31/12/2043
TOTEM2001/0824 sa572-2 04662/00011
East Mallin Researh /euro
1/20028484
19/11/2001 UK31/12/2031
7/3/2020 Pàgina 35 de 98
DenominacióNº Exp. Nom comercial Codi / Titular Butlletí
Nº POV
Inici Protecció Fi Referència Obtentor /
Malus sieboldii (Regel) Rehd.
Especie Malus sieboldii (Regel) Rehd.
DenominacióNº Exp. Nom comercial Codi / Titular Butlletí
Nº POV
Inici Protecció Fi Referència Obtentor /
POMERA ORNAMENTAL
AROS2014/1866 malus224krj 08494
ARNE R. JENSENS PLANTESKeuro
4/201746773
6/6/2017 DK31/12/2047
FREJA1998/1204 freja 02322
OLE BONSDORFeuro
6/20018176
10/9/2001 DK31/12/2026
Especie Malus toringo (Siebold) de Vriese
DenominacióNº Exp. Nom comercial Codi / Titular Butlletí
Nº POV
Inici Protecció Fi Referència Obtentor /
POMERA ORNAMENTAL
EP MALMA2015/1938 maskerad 03700
E-PLANTA EKONOMISK FORENeuro
3/201848578
19/3/2018 SE31/12/2048
Especie Mangifera indica L.
DenominacióNº Exp. Nom comercial Codi / Titular Butlletí
Nº POV
Inici Protecció Fi Referència Obtentor /
AGAM2011/0665 110/49 01306
Agricultural Research Organisatioeuro
6/201438871
8/9/2014 IL31/12/2044
KING DAVID2017/1513 bd-88/31 01306
Agricultural Research Organisatioeuro
2/201951048
28/1/2019 IL31/12/2049
MIRYAM HAIM2009/1525 miryam haim 06729
Samuel Vashdieuro
6/201438870
8/9/2014 IL31/12/2044
NOA2011/0666 109/136 01306
Agricultural Research Organisatioeuro
6/201438872
8/9/2014 IL31/12/2044
OMER2011/0667 34/83 01306
Agricultural Research Organisatioeuro
6/201438873
8/9/2014 IL31/12/2044
ORLI2012/1890 105/142 01306
Agricultural Research Organisatioeuro
6/201438874
8/9/2014 IL31/12/2044
R10 82015/0348 r10/8 08706
Kenneth Raynereuro
2/201642353
25/1/2016 AU31/12/2046
RA 172015/0347 ra/17 08706
Kenneth Raynereuro
2/201642352
25/1/2016 AU31/12/2046
SHELLY2006/0660 shelly (14/63) 04679/01306
Plants Production/ Agricultural Reuro
6/200721160
22/10/2007 IL31/12/2037
TALI2012/1891 40/45 01306
Agricultural Research Organisatioeuro
6/201438875
8/9/2014 IL31/12/2044
TANGO2017/1512 bd-3/79 01306
Agricultural Research Organisatioeuro
2/201951047
28/1/2019 IL31/12/2049
Especie Musa acuminata Colla
DenominacióNº Exp. Nom comercial Codi / Titular Butlletí
Nº POV
Inici Protecció Fi Referència Obtentor /
BANANER
ADI2009/0344 rm22/44-1 06578
Rahan Meristem (1998) Ltd.euro
6/201438913
22/9/2014 IL31/12/2044
FLHORBAN 9242011/1787 flhorban 924 03112
CIRADeuro
4/201952565
6/5/2019 FR31/12/2049
FLHORBAN 9252011/1788 flhorban 925 03112
CIRADeuro
4/201952566
6/5/2019 FR31/12/2049
FLHORBAN9162002/0537 flhor916 03112
CIRADeuro
5/200413753
19/7/2004 FR31/12/2034
FLHORBAN9172002/0538 03112
CIRADeuro
5/200413754
19/7/2004 FR31/12/2034
FLHORBAN9182002/0539 03112
CIRADeuro
5/200413755
19/7/2004 FR31/12/2034
FLHORBAN9192002/0540 03112
CIRADeuro
5/200413756
19/7/2004 FR31/12/2034
7/3/2020 Pàgina 36 de 98
DenominacióNº Exp. Nom comercial Codi / Titular Butlletí
Nº POV
Inici Protecció Fi Referència Obtentor /
Musa acuminata Colla
FLHORBAN9202002/0541 03112
CIRADeuro
5/200413757
19/7/2004 FR31/12/2034
FLHORBAN9212002/0542 03112
CIRADeuro
5/200413758
19/7/2004 FR31/12/2034
Especie Olea europaea L.
DenominacióNº Exp. Nom comercial Codi / Titular Butlletí
Nº POV
Inici Protecció Fi Referència Obtentor /
OLIVERA
ASKAL2010/0360 askal 01306
Agricultural Research Organisatioeuro
3/201642690
7/3/2016 IL31/12/2046
BITSYOAC2012/1585 oac 22 03862
AGROMILLORA CATALANA SLeuro
3/201952158
28/3/2019 ES31/12/2049
SIKITITA2007/1040 uc-8-7 05851/05854
Univ. Córdoba - IFAPAeuro
3/200924380
23/3/2009 CHIQUITITA ES31/12/2039
TALAYOTICA20084839 talayotica ES940
Lorenzo Mestre Mayolesp
BOE98002685
25/4/2015 ES31/12/2044
VAS ONE2008/0715 ita-01-08 06230
Vivai Attilo Sonnoli SASeuro
2/201539504
9/2/2015 VAS ONE IT31/12/2045
VILAFRANCA DE BONANY20074739 bonany ES940
Lorenzo Mestre Mayolesp
1-2017002762
16/1/2017 ES31/12/2047
Especie Paulownia elongata S. Y. Hu
DenominacióNº Exp. Nom comercial Codi / Titular Butlletí
Nº POV
Inici Protecció Fi Referència Obtentor /
PAULOWNIA
COTEVISA 12007/1678 cotevisa 1 09134
INVERSIONES DE CAPITAL 200euro
3/201231619
5/3/2012 ES31/12/2042
Especie Paulownia elongata S. Y. Hu x Paulownia fortunei (Seem.)
Hemsl.
DenominacióNº Exp. Nom comercial Codi / Titular Butlletí
Nº POV
Inici Protecció Fi Referència Obtentor /
PAULOWNIA
"PHOENIX ONE"2012/2516 phoenix ntp-1 08783
WEGROW GMBHeuro
3/201539980
23/3/2015 DE31/12/2045
COTEVISA 22007/1679 cotevisa 2 09134
INVERSIONES DE CAPITAL 200euro
3/201231620
5/3/2012 ES31/12/2042
Especie Paulownia fortunei (Seem.) Hemsl. x Paulownia tomentosa
(Thunb.) Steud.
DenominacióNº Exp. Nom comercial Codi / Titular Butlletí
Nº POV
Inici Protecció Fi Referència Obtentor /
PAULOWNIA
WALLACHIA2013/1097 cfi 08172
LUCIE SMIDOVAeuro
3/201642852
21/3/2016 IE31/12/2046
Especie Persea americana
DenominacióNº Exp. Nom comercial Codi / Titular Butlletí
Nº POV
Inici Protecció Fi Referència Obtentor /
ALVOCAT
MENDEZ NO 12005/0925 05097
CARLOS MENDEZ VEGAeuro
1/201642015
23/11/2015 MX31/12/2045
STEDDOM2012/1978 pp24 00345
The Regents of the University ofeuro
3/201952160
28/3/2019 US31/12/2049
UC 32952003/0803 3-29-5 00345
The Regents of the University ofeuro
6/201953393
2/9/2019 US31/12/2049
UZI2012/1977 pp14 00345
The Regents of the University ofeuro
3/201952159
28/3/2019 US31/12/2049
ZENTMYER2012/1979 pp4 00345
The Regents of the University ofeuro
3/201952161
28/3/2019 US31/12/2049
7/3/2020 Pàgina 37 de 98
DenominacióNº Exp. Nom comercial Codi / Titular Butlletí
Nº POV
Inici Protecció Fi Referència Obtentor /
Pinus L.
Especie Pinus L.
DenominacióNº Exp. Nom comercial Codi / Titular Butlletí
Nº POV
Inici Protecció Fi Referència Obtentor /
PI
GAELLE BREGEON1995/2421 N.V.T. 06148/06149/06150
Gaelle, Aurelie, Pierrick Bregeoneuro
1/19971231
15/10/1996 CH15/10/2026
HÉLENE BREGEON1999/0871 gru pi9901 06148/06149/06150
Gaelle, Aurelie, Pierrick Bregeoneuro
3/200310976
28/4/2003 CH28/4/2033
MARIE BREGEON2000/0471 marie bregeon 06148/06149/06150
Gaelle, Aurelie, Pierrick Bregeoneuro
6/20017859
8/10/2001 CH31/12/2031
PIERRICK BREGEON1995/1094 06148/06149/06150
Gaelle, Aurelie, Pierrick Bregeoneuro116
1/19971230
15/10/1996 CH1/9/2022
Especie Pinus nigra Arnold
DenominacióNº Exp. Nom comercial Codi / Titular Butlletí
Nº POV
Inici Protecció Fi Referència Obtentor /
PI NEGRE
ARON2017/2366 aron 09641
GABOR NEMETHeuro
6/201850089
10/9/2018 HU31/12/2048
JOLEP 22014/3285 08438
BOOMKWEKERIJ JOHN DE LEeuro
5/201953078
1/7/2019 NL31/12/2049
Especie Populus × woobstii (R. I. Schröd. ex Regel) Dode
DenominacióNº Exp. Nom comercial Codi / Titular Butlletí
Nº POV
Inici Protecció Fi Referència Obtentor /
POLLANCRE
AUCE2014/2267 p0114 07979
LATVIAN STATE FOREST RESeuro
6/201850250
1/10/2018 LV31/12/2048
Especie Populus deltoides W. Bartam. ex Marshall
DenominacióNº Exp. Nom comercial Codi / Titular Butlletí
Nº POV
Inici Protecció Fi Referència Obtentor /
POLLANCRE
DELGAS2011/0492 gis-d1717 00689/05783/07244
INRA/euro
3/201334574
18/3/2013 FR31/12/2043
DELLINOIS2011/0491 gis-d1248 00689/05783/07244
INRA/euro
3/201334573
18/3/2013 FR31/12/2043
DELVIGNAC2011/0490 gis-d1226 00689/05783/07244
INRA/euro
3/201334572
18/3/2013 FR31/12/2043
OGLIO2009/0246 pe 66019 01979
Instituto di Sperimentazzione pereuro
4/201129841
10/5/2011 IT31/12/2041
PURPLE TOWER2008/2911 purple tower 03740
Kromhout B.V.euro
3/201232002
19/3/2012 NL31/12/2042
SAN LORENZO2010/2255 npu 07126
José Lorenzo García Férrizeuro
4/201335514
3/6/2013 ES31/12/2043
Especie Populus L.
DenominacióNº Exp. Nom comercial Codi / Titular Butlletí
Nº POV
Inici Protecció Fi Referència Obtentor /
POLLANCRE
"VIGOR"2013/0513 6005 06564
E.U.R.L. 3C2Aeuro
3/201540682
20/4/2015 FR31/12/2045
A4A2002/1097 a4a 03141/03933/03934/0
Alasia, C/euro
3/200515077
18/4/2005 IT31/12/2035
AF22005/2687 af2 03141/03142/03144
Alasia, C/ Alasia, G/euro
4/200822655
19/5/2008 IT31/12/2038
AF82008/0138 03141/03142/03144
Alasia, C/ Alasia, G/euro
4/201027376
10/5/2010 IT31/12/2040
ALBELO2006/1911 4247 00745
Poloni Louiseuro
3/200924761
20/4/2009 FR31/12/2039
BAKAN2005/0035 ibw/9 00665
Eigen Vermogen - Institut voor Beuro
4/200720213
4/6/2007 BE31/12/2037
7/3/2020 Pàgina 38 de 98
DenominacióNº Exp. Nom comercial Codi / Titular Butlletí
Nº POV
Inici Protecció Fi Referència Obtentor /
Populus L.
BALDO2007/0422 cas 85-036 01979
Instituto di Sperimentazzione pereuro
4/200925211
18/5/2009 IT31/12/2039
BELLEBEEK2014/0324 inbo/2014/2 00665
Eigen Vermogen - Institut voor Beuro
6/201644785
17/10/2016 BE31/12/2046
BRENTA2001/0687 ita-101 01979
Instituto di Sperimentazzione pereuro
4/200413688
21/6/2004 IT31/12/2034
DANO2009/0274 528 06564
E.U.R.L. 3C2Aeuro
3/201129310
21/3/2011 FR31/12/2041
DEGROSSO2006/1910 3261 00745
Poloni Louiseuro
3/200924760
20/4/2009 FR31/12/2039
DENDER2014/0323 inbo/2014/1 00665
Eigen Vermogen - Institut voor Beuro
6/201644784
17/10/2016 BE31/12/2046
GARO2009/0272 508 06564
E.U.R.L. 3C2Aeuro
3/201129308
21/3/2011 FR31/12/2041
GRIMMINGE1999/1768 i.b.w./4 00665
Eigen Vermogen - Institut voor Beuro
3/20029262
15/4/2002 BE31/12/2032
HAZENDANS1995/3038 hazendans 00665
Eigen Vermogen - Institut voor Beuro
3/19982731
6/4/1998 BE31/12/2028
HEES1995/1589 00745
Poloni Louiseuro116
1/19971295
15/10/1996 FR1/11/2021
HOOGVORST1995/3037 hoogvorst 00665
Eigen Vermogen - Institut voor Beuro
3/19994289
6/4/1999 BE31/12/2024
KOSTER1995/1587 00745
Poloni Louiseuro116
1/19971293
15/10/1996 FR1/11/2021
LENA1998/1454 r89 01979
Instituto di Sperimentazzione pereuro
4/20017866
25/6/2001 IT31/12/2031
LUDO2009/0273 518 06564
E.U.R.L. 3C2Aeuro
3/201129309
21/3/2011 FR31/12/2041
MARKE2014/0325 inbo/2014/3 00665
Eigen Vermogen - Institut voor Beuro
6/201644786
17/10/2016 BE31/12/2046
MELLA2001/0688 ita-146 01979
Instituto di Sperimentazzione pereuro
4/200413689
21/6/2004 IT31/12/2034
MUUR1999/1769 i.b.w./5 00665
Eigen Vermogen - Institut voor Beuro
3/20029263
15/4/2002 BE31/12/2032
OUDENBERG1999/1770 i.b.w./6 00665
Eigen Vermogen - Institut voor Beuro
3/20029264
15/4/2002 BE31/12/2032
POLARGO2006/1912 6187 00745
Poloni Louiseuro
3/200924762
20/4/2009 FR31/12/2039
RONA2009/0275 538 06564
E.U.R.L. 3C2Aeuro
3/201129311
21/3/2011 FR31/12/2041
SANOSOL2006/1913 10653 00745
Poloni Louiseuro
3/200924763
20/4/2009 FR31/12/2039
SKADO2005/0036 ibw/10 00665
Eigen Vermogen - Institut voor Beuro
4/200720215
4/6/2007 BE31/12/2037
SOLIGO2001/0690 80-017 01979
Instituto di Sperimentazzione pereuro
4/200413691
21/6/2004 IT31/12/2034
TARO2001/0691 82-017 01979
Instituto di Sperimentazzione pereuro
4/200413692
21/6/2004 IT31/12/2034
VESTEN1999/1771 i.b.w./7 00665
Eigen Vermogen - Institut voor Beuro
3/20029265
15/4/2002 BE31/12/2032
Especie Populus x canadensis Moench (P. deltoides × P. nigra)
DenominacióNº Exp. Nom comercial Codi / Titular Butlletí
Nº POV
Inici Protecció Fi Referència Obtentor /
POLLANCRE
"AGORA"2013/0462 605 06564
E.U.R.L. 3C2Aeuro
3/201540710
20/4/2015 FR31/12/2045
7/3/2020 Pàgina 39 de 98
DenominacióNº Exp. Nom comercial Codi / Titular Butlletí
Nº POV
Inici Protecció Fi Referència Obtentor /
Populus x canadensis Moench (P. deltoides × P. nigra)
"KELAOS"2013/0515 810 06564
E.U.R.L. 3C2Aeuro
3/201540216
7/4/2015 FR31/12/2045
"NIKOS"2013/0475 804 06564
E.U.R.L. 3C2Aeuro
3/201540214
7/4/2015 FR31/12/2045
"PALORN"2013/0465 610 06564
E.U.R.L. 3C2Aeuro
3/201540711
20/4/2015 FR31/12/2045
"QUANTA"2013/0516 706 06564
E.U.R.L. 3C2Aeuro
3/201540717
20/4/2015 FR31/12/2045
"SPRINT"2013/0478 803 06564
E.U.R.L. 3C2Aeuro
3/201540712
20/4/2015 FR31/12/2045
"TREPOLE"2013/0514 811 06564
E.U.R.L. 3C2Aeuro
3/201540716
20/4/2015 FR31/12/2045
"TURBO"2013/0476 808 06564
E.U.R.L. 3C2Aeuro
3/201540215
7/4/2015 FR31/12/2045
AF162013/0901 af16 03144/03140/03141
F. Alasia/O. Peretti/OMAR ALASIeuro
5/201644175
11/7/2016 IT31/12/2046
AF182013/0902 af18 03144/03140/03141
F. Alasia/O. Peretti/OMAR ALASIeuro
5/201644176
11/7/2016 IT31/12/2046
ALERAMO2012/0361 83.141.020 01979
Instituto di Sperimentazzione pereuro
5/201438492
7/7/2014 IT31/12/2044
DIVA2012/0360 83.002.031 01979
Instituto di Sperimentazzione pereuro
5/201438690
28/7/2014 IT31/12/2044
MOLETO2013/0495 83.190.012 06900
CONSIGLIO PER LA RICERCAeuro
3/201540714
20/4/2015 IT31/12/2045
MOMBELLO2013/0496 84.048.032 06900
CONSIGLIO PER LA RICERCAeuro
3/201540715
20/4/2015 IT31/12/2045
MONCALVO2013/0494 83.024.017 06900
CONSIGLIO PER LA RICERCAeuro
3/201540713
20/4/2015 IT31/12/2045
ORION2007/0423 83.148.041 01979
Instituto di Sperimentazzione pereuro
4/200925212
18/5/2009 IT31/12/2039
SENNA2014/0346 83.002.011 06900
CONSIGLIO PER LA RICERCAeuro
5/201644177
11/7/2016 IT31/12/2046
TUCANO2012/0362 84.260.003 01979
Instituto di Sperimentazzione pereuro
5/201438493
7/7/2014 IT31/12/2044
Especie Prunus × schmittii Rehder
DenominacióNº Exp. Nom comercial Codi / Titular Butlletí
Nº POV
Inici Protecció Fi Referència Obtentor /
GI 318172013/1855 gi 31817 00347
Consortium Deutscher Baumschueuro
2/201642315
25/1/2016 DE31/12/2046
Especie Prunus amigdalus x Prunus persica
DenominacióNº Exp. Nom comercial Codi / Titular Butlletí
Nº POV
Inici Protecció Fi Referència Obtentor /
HÍBRID PRESSXAMET
ADARCIAS19933565 519
C.S.I.C.Tabesp
BOE-69002094
21/3/2003 ADARCIAS ES21/3/2023
CARMELO20024398 ES922
Carmelo Bernal Palazonesp
1-2011002510
18/1/2011 ES31/12/2041
CORNERSTONE2014/1013 677rs 10200
WAWONA PACKING COMPANYeuro
4/201849162
7/5/2018 US31/12/2048
FELINEM2000/0793 felinem 02018/01826
DGA - INIAeuro
6/200516366
24/10/2005 FELINEM (GXN - 22) ES31/12/2035
GARNEM1998/0249 garnem 01826/02018
INIA - DGAeuro
6/200516363
24/10/2005 GARNEM ES31/12/2035
MONEGRO1998/0248 monegro 01826/02018
INIA - DGAeuro
6/200516362
24/10/2005 MONEGRO (GXN-9) ES31/12/2035
7/3/2020 Pàgina 40 de 98
DenominacióNº Exp. Nom comercial Codi / Titular Butlletí
Nº POV
Inici Protecció Fi Referència Obtentor /
Prunus amigdalus x Prunus persica
NANOPAC2008/0618 pac 0009-01 03862
AGROMILLORA CATALANA SLeuro
4/201438202
2/6/2014 ROOTPAC-40 ES31/12/2044
Especie Prunus armeniaca L.
DenominacióNº Exp. Nom comercial Codi / Titular Butlletí
Nº POV
Inici Protecció Fi Referència Obtentor /
ALBERCOQUER
AL1192016/1670 al 1/1 9 03049
Minguzzi Angeloeuro
3/201952266
15/4/2019 IT31/12/2049
ALBALUZ2008/2078 alba luz 06204
Carmelo Bernal Palazóneuro
4/201232949
18/6/2012 ES31/12/2042
ALBASOL2008/0548 alba 06204
Carmelo Bernal Palazóneuro
4/201232943
18/6/2012 ES31/12/2042
ALMABAR20034526 1312431 ES1016
FRUTARIA COMERCIAL DE FResp
4-2012002550
28/6/2012 ES31/12/2042
ALMADULCE20074761 durabar ES1016
FRUTARIA COMERCIAL DE FResp
4-2012002551
28/6/2012 ES31/12/2042
ALMATER20034525 15108 ES1016
FRUTARIA COMERCIAL DE FResp
BOE-23002503
18/1/2011 ALMATER ES31/12/2041
ANEGAT2011/0443 anegat 00689
INRA-Institut National de la Recheuro
1/201539320
18/12/2014 ANEGAT FR31/12/2044
APRIBANG2008/0593 03.16.01 ab - asf 0405(A99 R2 T39) 04628
SARL Agro Selection Fruitseuro
4/201232945
18/6/2012 FR31/12/2042
APRINEW2012/0748 02.11.19ab - asf0916 04628
SARL Agro Selection Fruitseuro
2/201642312
25/1/2016 APRINEW FR31/12/2046
APRIQUEEN2008/0592 03.16.41 ab - asf 0404 04628
SARL Agro Selection Fruitseuro
4/201232944
18/6/2012 FR31/12/2042
APRIREVE2013/3065 02.12.120ab - asf0905 04628
SARL Agro Selection Fruitseuro
3/201848945
23/4/2018 APRIREVE FR31/12/2048
APRIROME2008/0594 02.01.121 ab - asf 0406 04628
SARL Agro Selection Fruitseuro
4/201232946
18/6/2012 FR31/12/2042
APRISWEET2008/0595 03.16.43 ab - asf 0409 04628
SARL Agro Selection Fruitseuro
4/201232947
18/6/2012 FR31/12/2042
ASFCOT02012011/0567 01.20.44ab - asf0201 04628
SARL Agro Selection Fruitseuro
1/201539322
18/12/2014 REGALCOT - ASF0201 FR31/12/2044
AVICLO2007/2767 a3950 00689
INRA-Institut National de la Recheuro
2/200924107
23/2/2009 BERGEVAL* FR31/12/2039
AVIRINE1998/1842 avirine 00689
INRA-Institut National de la Recheuro
5/200311478
7/7/2003 BERGAROUGE FR31/12/2033
BAYOTO1995/0920 00787
Washington State Universityeuro
6/19994881
20/9/1999 FLAVOR COT* US31/12/2029
BO 886171022009/2144 bo 88617102 01869/04704/06419/0
C.R.P.V/Apofruit Italia/Universitàeuro
3/201437195
24/3/2014 IT31/12/2044
BO 906100102003/0301 bo 90.610.010 04148/01869
DIPRT COLTURE ARBOREE/C.euro
3/200822062
7/4/2008 BORA IT31/12/2038
CANDIDE2007/2768 a4025 00689
INRA-Institut National de la Recheuro
2/200924108
23/2/2009 FR31/12/2039
CHARISMA2006/0859 charisma 03945
ARC Infruitec - Nietvoorbijeuro
4/201130089
23/5/2011 ZA31/12/2041
CHEYENNE2013/3044 l21-18 04411
PSB Producción Vegetal SLeuro
3/201848943
23/4/2018 ES31/12/2048
CLARINA2007/1099 clarina 00346
Gevo Pflanzenvertrieb Gmbheuro
3/201231871
19/3/2012 DE31/12/2042
COLORADO2007/2979 435-15 04411
PSB Producción Vegetal SLeuro
3/201334433
18/3/2013 ES31/12/2043
CONGAT2011/0445 congat 00689
INRA-Institut National de la Recheuro
1/201539321
18/12/2014 CONGAT FR31/12/2044
7/3/2020 Pàgina 41 de 98
DenominacióNº Exp. Nom comercial Codi / Titular Butlletí
Nº POV
Inici Protecció Fi Referència Obtentor /
Prunus armeniaca L.
COTPY1997/0229 22763 N¦2 06221
Benoit Escande Edition SARLeuro
3/200413109
19/4/2004 PINKCOT* FR31/12/2034
COULOUMINE2004/0003 ep 00.01 ab. 02954
Scea Euro Pépinièreseuro
5/200720570
6/8/2007 ORANGE RUBIS* FR31/12/2037
CSIC CEBAS MIRLOBLANCO2009/2019 z-1001-8-14 00648
Consejo Sup. de Investigacioneseuro
3/201437419
7/4/2014 ES31/12/2044
CSIC CEBAS VALORANGE2009/1036 Z-503-2 00648
Consejo Sup. de InvestigacionesEURO
3/201437418
7/4/2014 ES31/12/2044
CSIC MIRLO ANARANJADO2010/1309 z1001-7-58 03543/04292/05903/0
José Egea /David Ruiz /Pedro Maeuro
4/201541122
8/6/2015 ES31/12/2045
CSIC MIRLO ROJO2010/1308 z1001-6-11 03543/07016/04292/0
José Egea/Antonio Molina/Davideuro
4/201541121
8/6/2015 ES31/12/2045
DAMA ROSA20094891 01157
IVIA - Institut Valencià d'Investigaesp
1-2016002690
12/12/2015 DAMA ROSA ES31/12/2045
DAMA TARONJA20094890 01157
IVIA - Institut Valencià d'Investigaesp
1-2014002631
27/12/2013 DAMA TARONJA ES31/12/2043
DELICOT2013/0372 hyb 3-5 05615
Marie-Laure Eteve-Lambertineuro
3/201848932
23/4/2018 DELICE COT FR31/12/2048
DIGAT2011/0446 digat 00689
INRA-Institut National de la Recheuro
2/201436914
24/2/2014 FR31/12/2044
DORADA2003/1216 z102-11 00648
Consejo Sup. de Investigacioneseuro
3/200822064
7/4/2008 ES31/12/2038
EA 50122012/2454 ea 5012 06221
Benoit Escande Edition SARLeuro
3/201745673
6/3/2017 FR31/12/2047
EA 50162008/2803 ea 5016 06221
Benoit Escande Edition SARLeuro
3/201334434
18/3/2013 TSUNAMI FR31/12/2043
EA 50342012/2453 ea 5034 06221
Benoit Escande Edition SARLeuro
3/201745672
6/3/2017 FR31/12/2047
EA 50402012/2456 ea 5040 06221
Benoit Escande Edition SARLeuro
3/201745674
6/3/2017 FR31/12/2047
EA3126TH2004/1448 ea 3126 th 06221
Benoit Escande Edition SARLeuro
4/200925354
8/6/2009 SPRING BLUSH* FR31/12/2039
EA40062004/1449 ea 4006 06221
Benoit Escande Edition SARLeuro
4/200925355
8/6/2009 BIG RED* FR31/12/2039
ELGAT2015/0664 elgat 00689
INRA-Institut National de la Recheuro
2/201951044
28/1/2019 FR31/12/2049
FARALIA2004/2455 1285 04880
International Plant Selectioneuro
4/200925360
8/6/2009 CARMINGO - FARALIA FR31/12/2039
FARBALY2004/2454 2437 04880
International Plant Selectioneuro
4/200925359
8/6/2009 CARMINGO - FARBALY FR31/12/2039
FARBELA2012/2590 m 16 3 04881
Marie-France Boiseuro
2/201951366
25/2/2019 FARBELA FR31/12/2049
FARCLO2004/2453 2226 04880
International Plant Selectioneuro
4/200925358
8/6/2009 CARMINGO - FARCLO FR31/12/2039
FARDAO2004/2452 2381 04880
International Plant Selectioneuro
4/200925357
8/6/2009 CARMINGO - FARDAO FR31/12/2039
FARELY2005/2697 1916 04880
International Plant Selectioneuro
3/201027254
19/4/2010 CARMINGO - FARELY FR31/12/2040
FARFIA2005/2698 2388 04880
International Plant Selectioneuro
3/201027255
19/4/2010 CARMINGO - FARFIA FR31/12/2040
FARLIS2008/2826 s617 04880
International Plant Selectioneuro
3/201232268
10/4/2012 FR31/12/2042
FARTOLI2008/2986 s 6 65 04880
International Plant Selectioneuro
3/201437082
10/3/2014 FARTOLI FR31/12/2044
7/3/2020 Pàgina 42 de 98
DenominacióNº Exp. Nom comercial Codi / Titular Butlletí
Nº POV
Inici Protecció Fi Referència Obtentor /
Prunus armeniaca L.
FLAMENGO2012/2226 s 175-15 04411
PSB Producción Vegetal SLeuro
2/201745403
20/2/2017 ES31/12/2047
FLASH COT2013/0373 94-1-121 07117
SMS UNLIMITED LLCeuro
3/201848933
23/4/2018 FLASH COT US31/12/2048
FLONECA2004/2503 a15-9 04411
PSB Producción Vegetal SLeuro
3/201027233
19/4/2010 ES31/12/2040
FLOPRIA2004/2505 a35-109 04411
PSB Producción Vegetal SLeuro
4/200925367
8/6/2009 FLOPRIA ES31/12/2039
FRISSON2006/1285 a 2821 00689
INRA-Institut National de la Recheuro
2/200924103
23/2/2009 FR31/12/2039
FUEGO2012/2230 p 52-106 04411
PSB Producción Vegetal SLeuro
2/201745405
20/2/2017 ES31/12/2047
GILGAT2012/0550 gilgat 00689
INRA-Institut National de la Recheuro
3/201643027
11/4/2016 GILGAT FR31/12/2046
HARVAL1995/0515 HW 437 00159
Agriculture & Agri-Food Canadaeuro116
6/19983721
5/10/1998 HARVAL CA1/11/2023
HILDE2007/1098 hilde 00346
Gevo Pflanzenvertrieb Gmbheuro
3/201231870
19/3/2012 DE31/12/2042
HURGAT2014/3241 00689/06533
INRA / CEP INNOVATION S.A.R.euro
1/201745153
15/12/2016 FR31/12/2046
ILONA2013/1089 j21-107 02847
Rutgers the State Universityeuro
1/201745165
15/12/2016 US31/12/2046
IPS161012012/2591 m 16 101 04881
Marie-France Boiseuro
2/201951367
25/2/2019 FR31/12/2049
IPS161212012/2592 m 16 121 04881
Marie-France Boiseuro
2/201951368
25/2/2019 FR31/12/2049
IPS22502006/2648 2250 04880
International Plant Selectioneuro
4/201130123
23/5/2011 FR31/12/2041
IPS3362007/2825 s336 04880
International Plant Selectioneuro
3/201232267
10/4/2012 FR31/12/2042
IPS5762006/2641 s576 04880
International Plant Selectioneuro
4/201130121
23/5/2011 FR31/12/2041
IPS612006/2642 s61 04880
International Plant Selectioneuro
3/201232262
10/4/2012 FR31/12/2042
IPS6492006/2646 s649 04880
International Plant Selectioneuro
3/201232263
10/4/2012 FR31/12/2042
IPS6602006/2647 s660 04880
International Plant Selectioneuro
3/201232264
10/4/2012 FR31/12/2042
IPS682006/2643 s68 04880
International Plant Selectioneuro
4/201130122
23/5/2011 FR31/12/2041
IZIAGAT2014/3242 00689/06533
INRA / CEP INNOVATION S.A.R.euro
1/201745154
15/12/2016 FR31/12/2046
KALAO2014/2508 2135-114 04411
PSB Producción Vegetal SLeuro
2/201951370
25/2/2019 ES31/12/2049
KIOTO1999/1644 a 3163 06221
Benoit Escande Edition SARLeuro
4/200617602
22/5/2006 KIOTO FR31/12/2036
KOOLGAT2014/1240 koolgat 00689/03652
INRA - SICA CENTREXeuro
3/201848948
23/4/2018 FR31/12/2048
KURESIA2001/1671 kuresia 00346
Gevo Pflanzenvertrieb Gmbheuro
3/200719934
16/4/2007 KURESIA DE31/12/2037
LADY COT2006/2070 hyb-3-3b 05615
Marie-Laure Eteve-Lambertineuro
3/201129635
18/4/2011 LADY COT FR31/12/2041
LIDO2012/2222 2147-25 04411
PSB Producción Vegetal SLeuro
2/201745400
20/2/2017 ES31/12/2047
7/3/2020 Pàgina 43 de 98
DenominacióNº Exp. Nom comercial Codi / Titular Butlletí
Nº POV
Inici Protecció Fi Referència Obtentor /
Prunus armeniaca L.
LILLY COT2002/1585 apr 08-7 04767
SDR Fruit Llceuro
4/200720102
21/5/2007 LILLY COT US31/12/2037
LUCA2012/2220 s 117-7 04411
PSB Producción Vegetal SLeuro
2/201745398
20/2/2017 ES31/12/2047
LUNAFULL2007/1639 luna 05942
Mario Gualandieuro
4/201232798
21/5/2012 IT31/12/2042
LUXARED2014/3147 7-1-09-06-09 06556
AC FRUIT SASeuro
3/201848956
23/4/2018 FR31/12/2048
M 17 290 IPS2014/3093 08595
NEWCOT S.A.S.euro
2/201951377
25/2/2019 FR31/12/2049
M 27 157 IPS2014/3094 08595
NEWCOT S.A.S.euro
2/201951378
25/2/2019 FR31/12/2049
MADISON2007/2980 403-5 04411
PSB Producción Vegetal SLeuro
3/201232269
10/4/2012 ES31/12/2042
MAGIC COT2004/1623 a99 r2 t39 04767
SDR Fruit Llceuro
4/200925347
8/6/2009 MAGIC COT US31/12/2039
MAMBO2009/0180 458-1 04411
PSB Producción Vegetal SLeuro
3/201437192
24/3/2014 ES31/12/2044
MEDAGA2005/2693 01 04880
International Plant Selectioneuro
3/201027250
19/4/2010 MEDAGA FR31/12/2040
MEDALIS2010/2864 1 7 80 04880
International Plant Selectioneuro
2/201539541
23/2/2015 MEDALIS FR31/12/2045
MEDIABEL2008/2985 2 10 103 04880
International Plant Selectioneuro
3/201334435
18/3/2013 MEDIABEL FR31/12/2043
MEDIVA2012/2588 m 3 210 04881
Marie-France Boiseuro
3/201848930
23/4/2018 FR31/12/2048
MEMPHIS2013/3047 2141-82 04411
PSB Producción Vegetal SLeuro
3/201848944
23/4/2018 ES31/12/2048
MIKADO2014/2511 l8-4 04411
PSB Producción Vegetal SLeuro
2/201951372
25/2/2019 ES31/12/2049
MILORD2010/2755 2084-26 04411
PSB Producción Vegetal SLeuro
2/201539540
23/2/2015 MILORD ES31/12/2045
MINO2007/1100 mino 00346
Gevo Pflanzenvertrieb Gmbheuro
3/201231872
19/3/2012 DE31/12/2042
MOGADOR2007/0091 445-2 04411
PSB Producción Vegetal SLeuro
3/201334432
18/3/2013 ES31/12/2043
MOIXENT20084813 01157
IVIA - Institut Valencià d'Investigaesp
3-2013002606
6/7/2013 ES31/12/2043
MONABRI2007/2976 nr 1 2006 01045
Monteux Gaillet Reneeuro
2/201231431
6/2/2012 MONABRI FR31/12/2042
MONGRAND2008/1503 hg nr 1 01045
Monteux Gaillet Reneeuro
2/201334164
1/2/2013 MONGRAND FR31/12/2043
MONTIER2007/2977 nr 2 2006 01045
Monteux Gaillet Reneeuro
2/201334163
18/2/2013 MONTIER FR31/12/2043
MURCIANA2003/1217 z504-5 00648
Consejo Sup. de Investigacioneseuro
3/200822065
7/4/2008 ES31/12/2038
OSCAR2012/2224 2141-1 04411
PSB Producción Vegetal SLeuro
2/201745401
20/2/2017 ES31/12/2047
PACHA2012/2225 s 250-21 04411
PSB Producción Vegetal SLeuro
2/201745402
20/2/2017 ES31/12/2047
PEPS 70162014/1665 peps 7016 06221
Benoit Escande Edition SARLeuro
2/201951369
25/2/2019 FR31/12/2049
PERLE COT2002/1584 apr 38-4 04767
SDR Fruit Llceuro
4/200720101
21/5/2007 PERLE COT US31/12/2037
7/3/2020 Pàgina 44 de 98
DenominacióNº Exp. Nom comercial Codi / Titular Butlletí
Nº POV
Inici Protecció Fi Referència Obtentor /
Prunus armeniaca L.
PIEVE2009/1346 bo 89608015 06419
Universita degli Studi di Milanoeuro
3/201437360
24/3/2014 IT31/12/2044
PRICIA2011/3134 m 17 227 04880
International Plant Selectioneuro
3/20162961
11/4/2016 PRICIA FR31/12/2046
PRIMARINA2005/2694 041 04880
International Plant Selectioneuro
3/201027251
19/4/2010 PRIMARINA FR31/12/2040
PRIMARIS2005/2695 1314 04880
International Plant Selectioneuro
3/201027252
19/4/2010 PRIMARIS FR31/12/2040
PRIMIDI2014/3089 s 3 6 ips 08595
NEWCOT S.A.S.euro
2/201951373
25/2/2019 FR31/12/2049
PRIMIUS2008/2987 s 2 76 04880
International Plant Selectioneuro
3/201334436
18/3/2013 PRIMIUS FR31/12/2043
RAMBO2012/2221 s 77-2 04411
PSB Producción Vegetal SLeuro
2/201745399
20/2/2017 ES31/12/2047
REVLAR2000/1947 ruoge 2000 03237/08287
/ STAR FRUITS DIFFUSION S.Aeuro
5/200311479
7/7/2003 TARDIROUGE* FR31/12/2033
ROBADA1995/0725 ROBADA 00280
The United States of America/R.euro
6/200210209
21/10/2002 ROBADA US21/10/2032
ROJO PASION2001/1288 z505-4 00648
Consejo Sup. de Investigacioneseuro
3/200719932
16/4/2007 ROJO PASION ES31/12/2037
RUBILIS2014/3091 m 20 456 ips 08595
NEWCOT S.A.S.euro
2/201951375
25/2/2019 FR31/12/2049
RUBISSIA2014/3092 M 21 1 ips 08595
NEWCOT S.A.S.euro
2/201951376
25/2/2019 FR31/12/2049
RUBISSIMO2006/2649 e140 04880
International Plant Selectioneuro
4/201131124
23/5/2011 FR31/12/2041
RUBYNA2014/3090 m 28 201 ips 08595
NEWCOT S.A.S.euro
2/201951374
25/2/2019 FR31/12/2049
RUTBHART1995/0259 nja53 00111
The State University of New Jerseuro116
5/1996463
2/8/1996 EARLY BLUSH* US1/1/2024
S 5 89 IPS2014/3095 08595
NEWCOT S.A.S.euro
2/201951379
25/2/2019 FR31/12/2049
SEFORA2010/0427 ot1 06931
STATION D’EXPERIMENTATIOeuro
2/201436796
10/2/2014 FR31/12/2044
SELECT 982006/2069 98-7-145 04767
SDR Fruit Llceuro
3/201129634
18/4/2011 US31/12/2041
SHAMADE2010/0011 a3902 00689
INRA-Institut National de la Recheuro
3/201334283
4/3/2013 FR31/12/2043
SHERPA2010/2749 2084-14 04411
PSB Producción Vegetal SLeuro
2/201539539
23/2/2015 SHERPA ES31/12/2045
SOLEDANE2001/1745 a 3948 00689/03652
INRA - SICA CENTREXeuro
1/200412330
18/12/2003 SOLEDANE FR1/1/2034
SUAPRIEIGHT2003/1061 suaprieight 05485
Sun World International LLCeuro
2/201026758
22/2/2010 US31/12/2040
SUAPRININE2006/2518 suaprinine 05485
Sun World International LLCeuro
3/201129637
18/4/2011 US31/12/2041
SUAPRISEVEN2005/0519 90a-010 05485
Sun World International LLCeuro
3/201027235
19/4/2010 US31/12/2040
SUNNY COT2006/2068 97-3-203 04767
SDR Fruit Llceuro
3/201129633
18/4/2011 SUNNY COT US31/12/2041
SWIGOLD2012/2170 reg 4111 04586
De Regibus Christianeuro
2/201745233
23/1/2017 SWIGOLD CH31/12/2047
SWILATE2012/2171 reg 3527 04586
De Regibus Christianeuro
2/201745234
23/1/2017 CH31/12/2047
7/3/2020 Pàgina 45 de 98
DenominacióNº Exp. Nom comercial Codi / Titular Butlletí
Nº POV
Inici Protecció Fi Referència Obtentor /
Prunus armeniaca L.
SWIRED2012/2169 reg 3220 04586
De Regibus Christianeuro
2/201745232
23/1/2017 SWIRED CH31/12/2047
SYLRED1998/1352 a 22515 06221
Benoit Escande Edition SARLeuro
4/200617601
22/5/2006 SYLRED FR31/12/2036
TIBOR2014/2510 2140-30 04411
PSB Producción Vegetal SLeuro
2/201951371
25/2/2019 ES31/12/2049
TORRAVIUN2009/0094 a3926 00689/03652
INRA - SICA CENTREXeuro
2/201026779
22/2/2010 FR31/12/2040
TOTEM2012/2229 l 21-133 04411
PSB Producción Vegetal SLeuro
2/201745404
20/2/2017 ES31/12/2047
TOYACO1995/0923 pa 7005-8 00787
Washington State Universityeuro116
1/19971296
15/10/1996 TOM COT* US1/11/2021
TOYESI1995/0922 pa7221-1 00787
Washington State Universityeuro116
1/19971297
15/10/1996 GOLDSTRIKE* US1/11/2021
TOYIBA1995/0924 PA 7201-1 00787
Washington State Universityeuro116
5/20006602
26/7/2000 GOLDBAR* US1/8/2025
TOYUDA1995/0919 pa 63/55 00787
Washington State Universityeuro
6/19994880
20/9/1999 SWEET COT* US31/12/2029
VERTIGE2006/1286 a 3845 00689/03652
INRA - SICA CENTREXeuro
2/200924104
23/2/2009 VERTIGE FR31/12/2039
VULCAN2002/0986 riwaka 5/67 00915
The Horticulture & Food Researceuro
3/200822060
7/4/2008 RIWAKA 5/67 NZ31/12/2039
WONDER COT2004/1624 a99 r1 t18 04767
SDR Fruit Llceuro
4/200925348
8/6/2009 WONDER COT US31/12/2039
ZAI159ISP2011/3132 159 01 isp 00189
DARNAUD, Jean-Pierreeuro
4/201849410
22/5/2018 FR31/12/2048
ZAIPRILEG2000/1888 36 gh 334 00859
Zaiger¦s inc Geneticseuro
5/200618124
17/7/2006 ZAIPRILEG US31/12/2036
ZAIPRINEY2000/1890 118 le 133 00859
Zaiger¦s inc Geneticseuro
6/200720975
8/10/2007 ZAIPRINEY US31/12/2037
ZAIPRIREP2000/1889 195 ld 95 00859
Zaiger¦s inc Geneticseuro
5/200618125
17/7/2006 ZAIPRIREP US31/12/2036
ZAITORDE2003/2019 135 97 cot 00189
DARNAUD, Jean-Pierreeuro
3/200822071
7/4/2008 FR31/12/2038
Especie Prunus armeniaca L. × P. salicina Lindl.
DenominacióNº Exp. Nom comercial Codi / Titular Butlletí
Nº POV
Inici Protecció Fi Referència Obtentor /
HÍBRID
ALBERCOQUERXPRUNERA
SA8A2013/0802 10 p 336 00160/00279
Gie Star Fruits - Sel. Plantas Sevieuro
4/201952692
20/5/2019 FR31/12/2049
Especie Prunus avium (L.) L. × Prunus salicina Lindl.
DenominacióNº Exp. Nom comercial Codi / Titular Butlletí
Nº POV
Inici Protecció Fi Referència Obtentor /
AVIUM X SALICINA
NADIA2008/0697 rullo1974 06222
Cherry Royale Pty Ltd.euro
4/201643717
23/5/2016 AU31/12/2046
Especie Prunus avium L.
DenominacióNº Exp. Nom comercial Codi / Titular Butlletí
Nº POV
Inici Protecció Fi Referència Obtentor /
CIRERER DOLÇ
13N07702010/2856 17 72 cs 07886
MINISTER OF AGRICULTURE Aeuro
6/201541598
21/9/2015 STARDUST CA31/12/2045
13S20092000/0974 staccato 01067
Agricul.Canada Research Stationeuro
1/200718681
20/11/2006 STACCATO CA31/12/2036
AIDA2004/0281 iv-13/20 00695
G.Y.D.K.F.V.euro
2/200719223
19/2/2007 AIDA HU31/12/2037
7/3/2020 Pàgina 46 de 98
DenominacióNº Exp. Nom comercial Codi / Titular Butlletí
Nº POV
Inici Protecció Fi Referència Obtentor /
Prunus avium L.
ANNUS2004/1536 iv-3/41 00695
G.Y.D.K.F.V.euro
2/201128842
7/2/2011 HU31/12/2041
AREKO2013/1400 hamid 06760
Julius Kühn Instituteuro
3/201848936
23/4/2018 DE31/12/2048
AXEL2002/1628 III-16/45 00695
G.Y.D.K.F.V.euro
4/200925363
8/6/2009 ALEX HU31/12/2039
BABELLE2016/0530 babelle 01549
CTIFLeuro
6/201644546
19/9/2016 FR31/12/2046
BALRINE2016/0531 balrine 01549
CTIFLeuro
6/201644547
19/9/2016 FR31/12/2046
BIG STAR2009/0320 dca bo 85.725.007 01869/05679
CRPV /euro
3/201642689
7/3/2016 BIG STAR IT31/12/2046
BIGI SOL1998/1328 mf 20 05289
Vivai Piante Battistini Società Agreuro
6/200516179
12/9/2005 BIGI SOL IT31/12/2035
BLACK STAR2001/1540 DCA BO 85.723.002 01869/01947
CRPV Soc Coop / Univ. Studi Boleuro
3/200719951
16/4/2007 BLACK STAR IT31/12/2037
BLAZE STAR1998/1511 dca bo 85.721006 01869
ALMA MATER STUDIORUM-UNIeuro
6/200516182
12/9/2005 BLAZE STAR IT31/12/2035
CAMBRINA2006/0017 ny 7679 02540
Cornell Research Foundationeuro
6/201130890
10/10/2011 US31/12/2041
CARMEN2004/0282 iii-42/114 00695
G.Y.D.K.F.V.euro
2/200719224
19/2/2007 CARMEN HU31/12/2037
CHRISTIANA2007/2200 hl 13485 04564
Forschungs institut fur Obstbau ueuro
3/201334704
8/4/2013 CZ31/12/2043
EARLY NORVIK2006/0659 hl na 18/12-1 04564
Forschungs institut fur Obstbau ueuro
3/201437361
24/3/2014 EARLY NORVIK CZ31/12/2044
FERDIVA2006/1290 v 3115 00689/03652
INRA - SICA CENTREXeuro
1/200821391
10/12/2007 FERDIVA FR31/12/2037
FERDOUCE2007/2769 v3239 00689
INRA-Institut National de la Recheuro
1/201128601
17/12/2010 FR31/12/2040
FERMINA2005/1851 v3122 00689
INRA-Institut National de la Recheuro
2/200719034
22/1/2007 FERMINA FR31/12/2037
FERTARD2005/1850 v3382 00689
INRA-Institut National de la Recheuro
2/200719033
22/1/2007 FERTARD FR31/12/2037
FERTYILLE2006/1291 v 3476 00689
INRA-Institut National de la Recheuro
1/201128571
17/12/2010 FR31/12/2040
FIRELAM2012/0750 02.14.52ce - asf0607 04628
SARL Agro Selection Fruitseuro
1/201745152
15/12/2016 FR31/12/2046
FOLFER2004/2329 v3387 00689
INRA-Institut National de la Recheuro
3/200924342
23/3/2009 FR31/12/2039
FRISCO2009/0005 sdr-9 04767
SDR Fruit Llceuro
3/201642694
7/3/2016 US31/12/2046
GLENRED2006/2740 44p1238 00279/08287
Sel. Plantas Sevilla SL / STAR Feuro
2/201231436
6/2/2012 GLENRED ES31/12/2042
GRACE STAR2001/1542 DCA BO 84.703.003 01869/01947
CRPV Soc Coop / Univ. Studi Boleuro
5/200720804
24/8/2007 GRACE STAR IT31/12/2037
JUSTYNA2007/1543 justyna 04564
Forschungs institut fur Obstbau ueuro
3/201334702
8/4/2013 CZ31/12/2043
KASANDRA2008/0146 hl 16 166 04564
Forschungs institut fur Obstbau ueuro
4/201335209
6/5/2013 CZ31/12/2043
KORVIK2008/1161 hl-na 18/12 04564
Forschungs institut fur Obstbau ueuro
3/201540488
7/4/2015 CZ31/12/2045
LALA STAR1998/1509 dca bo 85.710.009 01869
ALMA MATER STUDIORUM-UNIeuro
6/200516180
12/9/2005 LALA STAR IT31/12/2035
7/3/2020 Pàgina 47 de 98
DenominacióNº Exp. Nom comercial Codi / Titular Butlletí
Nº POV
Inici Protecció Fi Referència Obtentor /
Prunus avium L.
MARALY1996/0108 00750/00753
Prop. Fruit Varieties -euro
1/200412322
18/12/2003 EARLY RED (PRIME GIANT) US1/1/2034
MARIANT1995/2927 00750
Proprietary Fruit Varieties Ltd.euro
1/200412320
18/12/2003 GIANT RED US1/1/2034
NIMBA2013/2745 sms-290 07117
SMS UNLIMITED LLCeuro
3/201952231
28/3/2019 US31/12/2049
PA1UNIBO2012/1157 dca bo a1a1 05679
Alma Mater Studiorum-Universitàeuro
3/201848925
23/4/2018 SWEET ARYANA IT31/12/2048
PA2UNIBO2012/1158 dca bo a1c27 05679
Alma Mater Studiorum-Universitàeuro
3/201848926
23/4/2018 SWEET LORENZ IT31/12/2048
PA3UNIBO2012/1159 dca bo a1c40 05679
Alma Mater Studiorum-Universitàeuro
3/201848927
23/4/2018 SWEET ARYANA IT31/12/2048
PA4UNIBO2012/1160 dca bo b5d23 05679
Alma Mater Studiorum-Universitàeuro
3/201848928
23/4/2018 SWEET VALINA IT31/12/2048
PA5UNIBO2012/1161 dca bo b5a87 05679
Alma Mater Studiorum-Universitàeuro
3/201848929
23/4/2018 SWEET SARETTA IT31/12/2048
PACIFIC RED2013/2746 sms-291 07117
SMS UNLIMITED LLCeuro
3/201952232
28/3/2019 US31/12/2049
PANARO 12001/1541 DCA BO 84.704.006 01869/01947
CRPV Soc Coop / Univ. Studi Boleuro
3/200719933
16/4/2007 SWEET EARLY IT31/12/2037
PANARO 21998/1510 dca bo 83.705.001 01869
ALMA MATER STUDIORUM-UNIeuro
6/200516181
12/9/2005 PANARO 2 IT31/12/2035
PAULUS2004/1537 iv-6/39 00695
G.Y.D.K.F.V.euro
2/200719225
19/2/2007 HU31/12/2037
PC 706432003/2154 sf 90 006 00787
Washington State Universityeuro
1/200821390
10/12/2007 SELAH* US31/12/2037
PC 714682005/2663 pc7146-8 00787
Washington State Universityeuro
2/201231430
6/2/2012 US31/12/2042
PENNY2001/0823 c73-5 09154
NIAB EMReuro
2/200821768
28/1/2008 PENNY UK31/12/2038
PHLC1996/1446 HL 6 01544
Sempra Praha a.s.euro
6/200516295
10/10/2005 PHL C CZ31/12/2035
RITA2004/0283 iv-5/62 00695
G.Y.D.K.F.V.euro
2/200514661
7/2/2005 RITA HU31/12/2035
ROCKET2010/2211 sms-22 07117
SMS UNLIMITED LLCeuro
4/201849782
18/6/2018 ROCKET US31/12/2048
ROSIE2010/2863 56 99 cz 00189
DARNAUD, Jean-Pierreeuro
3/201642693
7/3/2016 FR31/12/2046
ROSILAM2010/0512 01.31.25ce - asf103 04628
SARL Agro Selection Fruitseuro
2/201539354
26/1/2015 FR31/12/2045
ROYAL BAILEY2010/2860 92 05 cz 00189
DARNAUD, Jean-Pierreeuro
3/201642696
7/3/2016 FR31/12/2046
ROYAL EDIE2010/0023 62 00 cz 00189
DARNAUD, Jean-Pierreeuro
3/201437197
24/3/2014 FR31/12/2044
ROYAL HAZEL2010/2861 87 05 cz 00189
DARNAUD, Jean-Pierreeuro
3/201642697
7/3/2016 FR31/12/2046
ROYAL HELEN2010/0024 63 00 cz 00189
DARNAUD, Jean-Pierreeuro
2/201539538
23/2/2015 FR31/12/2045
ROYAL MARIE2011/3133 106 08 cz 00189
DARNAUD, Jean-Pierreeuro
2/201745307
6/2/2017 FR31/12/2047
RUBILAM2010/0511 01.31.15ce - asf101 04628
SARL Agro Selection Fruitseuro
2/201539353
26/1/2015 FR31/12/2045
SANTINA1999/0193 13 s 25 22 00189
DARNAUD, Jean-Pierreeuro
2/200719028
22/1/2007 SANTINA FR31/12/2037
7/3/2020 Pàgina 48 de 98
DenominacióNº Exp. Nom comercial Codi / Titular Butlletí
Nº POV
Inici Protecció Fi Referència Obtentor /
Prunus avium L.
SKEENA1998/0068 13 s 43 48 00189
DARNAUD, Jean-Pierreeuro
6/200516176
12/9/2005 SKEENA FR31/12/2035
SPC 3422012/2593 23 151 csp 07886
MINISTER OF AGRICULTURE Aeuro
3/201952312
15/4/2019 CA31/12/2049
SPC1032010/2859 23 166 csp 07886
MINISTER OF AGRICULTURE Aeuro
2/201745296
6/2/2017 SENTENNIAL CA31/12/2047
SPC1062010/2858 11w357 07886
MINISTER OF AGRICULTURE Aeuro
3/201642692
7/3/2016 CA31/12/2046
SPC2072010/2857 17 73 cs 07886
MINISTER OF AGRICULTURE Aeuro
3/201642691
7/3/2016 CA31/12/2046
SUMBIGO2001/1907 1440 cs 00189
DARNAUD, Jean-Pierreeuro
3/200719926
16/4/2007 SUMBIGO FR31/12/2037
SUMBOLA1995/1340 15 62 CS 00189
DARNAUD, Jean-Pierreeuro
1/20005708
21/12/1999 SUMBOLA FR31/12/2029
SUMELE1995/1250 14 37 cs 00189
DARNAUD, Jean-Pierreeuro
1/200412025
10/11/2003 SATIN* FR1/1/2034
SUMGITA1995/1339 9cs 00189
DARNAUD, Jean-Pierreeuro116
2/19971654
15/1/1997 CANADA GIANT* FR1/12/2022
SUMLETA1995/1252 17 69 CS 00189
DARNAUD, Jean-Pierreeuro
1/20005705
20/12/1999 SONATA FR31/12/2029
SUMN314CH2005/2691 18 78 csi 00189
DARNAUD, Jean-Pierreeuro
3/201129630
18/4/2011 SABRINA FR31/12/2041
SUMNUE1995/1251 17-65 CS 00189
DARNAUD, Jean-Pierreeuro
1/20005704
20/12/1999 CRISTALINA FR31/12/2029
SUMPACA1995/1337 10 25 cs 00189
DARNAUD, Jean-Pierreeuro116
2/19971653
15/1/1997 CELESTE FR1/12/2022
SUMSTE1995/1334 11-28-CS 00189
DARNAUD, Jean-Pierreeuro
2/19971650
15/1/1997 SAMBA* FR31/12/2027
SUMTARE1995/1336 15 51 cs 00189
DARNAUD, Jean-Pierreeuro116
2/19971652
15/1/1997 SWEETHEART* FR1/12/2022
TAMARA2007/1544 tamara 04564
Forschungs institut fur Obstbau ueuro
3/201334703
8/4/2013 CZ31/12/2043
TECHLOVAN1998/1309 techlovan 01544
Sempra Praha a.s.euro
6/200516177
12/9/2005 TECHLOVAN CZ31/12/2035
VANDA1998/1327 na 18-27 01544
Sempra Praha a.s.euro
6/200516178
12/9/2005 VANDA CZ31/12/2035
VERA2002/1629 III-15/6 00695
G.Y.D.K.F.V.euro
2/200821769
28/1/2008 VERA HU31/12/2038
ZAI89CZ2010/2862 89 05 cz 00189
DARNAUD, Jean-Pierreeuro
3/201642692
7/3/2016 FR31/12/2046
Especie Prunus avium L. x (Prunus canescens L. x Prunus
tormentosa L.)
DenominacióNº Exp. Nom comercial Codi / Titular Butlletí
Nº POV
Inici Protecció Fi Referència Obtentor /
PIKU12001/1462 piku1 03021
Consortium Deutscher Baumschueuro
1/200310246
18/11/2002 DE31/12/2032
Especie Prunus besseyi Bailey x Prunus cerasifera Ehrh.
DenominacióNº Exp. Nom comercial Codi / Titular Butlletí
Nº POV
Inici Protecció Fi Referència Obtentor /
DENSIPAC2011/1062 pac 9801-02 03862
AGROMILLORA CATALANA SLeuro
3/201642959
11/4/2016 ROOTPAC-20 ES31/12/2046
FERLENAIN1995/1409 ferlenain 00691
INRA-Institut National de la Recheuro116
1/19971264
15/10/1996 PLUMINA* FR1/4/2022
7/3/2020 Pàgina 49 de 98
DenominacióNº Exp. Nom comercial Codi / Titular Butlletí
Nº POV
Inici Protecció Fi Referència Obtentor /
Prunus canescens Bois × P. cerasus L.
Especie Prunus canescens Bois × P. cerasus L.
DenominacióNº Exp. Nom comercial Codi / Titular Butlletí
Nº POV
Inici Protecció Fi Referència Obtentor /
GI 148132013/1854 gi 14813 00347
Consortium Deutscher Baumschueuro
2/201642314
25/1/2016 DE31/12/2046
Especie Prunus cerasifera Ehrh
DenominacióNº Exp. Nom comercial Codi / Titular Butlletí
Nº POV
Inici Protecció Fi Referència Obtentor /
PRUNERA MIRABOLÀ
ADARA1995/3027 ciruelo 29AD 00648
Consejo Sup. de Investigacioneseuro
4/20029572
17/6/2002 ADARA ES31/12/2032
GF29802014/1244 gf2980 00689
INRA-Institut National de la Recheuro
2/201539361
26/1/2015 FR31/12/2045
Especie Prunus cerasifera Ehrh x Prunus dulcis (Mill.) D.A. Webb
DenominacióNº Exp. Nom comercial Codi / Titular Butlletí
Nº POV
Inici Protecció Fi Referència Obtentor /
HIBRID PRUNERA X
AMETLLER
REPLANTPAC2009/0230 pac 941 03862
AGROMILLORA CATALANA SLeuro
3/201437716
22/4/2014 ROOTPAC-R ES31/12/2044
Especie Prunus cerasifera Ehrh x Prunus persica (L.) Batsch
DenominacióNº Exp. Nom comercial Codi / Titular Butlletí
Nº POV
Inici Protecció Fi Referència Obtentor /
PRUNERA X PRESSEGUER
KUBAN 862009/1565 kuban 86 03864
Krymsk Breeding Stationeuro
2/201436708
27/1/2014 RU31/12/2044
Especie Prunus cerasifera Ehrh. × P. domestica L.
DenominacióNº Exp. Nom comercial Codi / Titular Butlletí
Nº POV
Inici Protecció Fi Referència Obtentor /
PRUNUS HIBRID_2
DHYPRES 62015/2805 dhypres 6 06685
Michael Neumüllereuro
2/201951045
28/1/2019 DE31/12/2049
Especie Prunus cerasus L.
DenominacióNº Exp. Nom comercial Codi / Titular Butlletí
Nº POV
Inici Protecció Fi Referència Obtentor /
CIRERER ÀCID
EDABRIZ1995/1531 edabriz 00691/00693
INRA - CTIFLeuro116
1/19971265
15/10/1996 TABEL* FR1/11/2021
FERPRIME1998/1843 ferprime 00689
INRA-Institut National de la Recheuro116
1/20005570
6/12/1999 PRIMULAT* FR31/12/2024
GEREMA1998/0318 gerena 00672
Forschungsanstalt Geisenheimeuro
3/19994253
6/4/1999 GEREMA DE31/12/2029
LÖVÖPETRI2010/0426 clone r 06930
RESEARCH AND EXTENSION Ceuro
3/201129643
18/4/2011 HU31/12/2041
SPINELL2014/2153 spinell 06760
Julius Kühn Instituteuro
3/201540438
7/4/2015 DE31/12/2045
TURMALIN2017/0568 coralin 06760
Julius Kühn Instituteuro
3/201848970
23/4/2018 DE31/12/2048
WEIROOT 7202009/0554 weiroot 720 00222
Technische Universitõt Müncheneuro
4/201335512
3/6/143 DE31/12/2043
Especie Prunus cerasus L. × P. × schmittii Rehder
DenominacióNº Exp. Nom comercial Codi / Titular Butlletí
Nº POV
Inici Protecció Fi Referència Obtentor /
PRUNERA X SCHIMITTI
STO32012/2007 sto3 02264
Stoppel, Petereuro
2/201745298
6/2/2017 DE31/12/2047
7/3/2020 Pàgina 50 de 98
DenominacióNº Exp. Nom comercial Codi / Titular Butlletí
Nº POV
Inici Protecció Fi Referència Obtentor /
Prunus cerasus L. x (prunus cerasus L. x Prunus maacki Rupr.)
Especie Prunus cerasus L. x (prunus cerasus L. x Prunus maacki
Rupr.)
DenominacióNº Exp. Nom comercial Codi / Titular Butlletí
Nº POV
Inici Protecció Fi Referència Obtentor /
PRUNERA X MAACKI
LC 522009/1566 lc 52 03864
Krymsk Breeding Stationeuro
2/201436795
10/2/2014 RU31/12/2044
Especie Prunus cerasus L. x Prunus canescens L.
DenominacióNº Exp. Nom comercial Codi / Titular Butlletí
Nº POV
Inici Protecció Fi Referència Obtentor /
GISELA 51995/1073 gisela 5 00347
Consortium Deutscher Baumschueuro116
1/19971268
15/10/1996 GI-SEL-A 5 DE1/11/2021
Especie Prunus domestica L.
DenominacióNº Exp. Nom comercial Codi / Titular Butlletí
Nº POV
Inici Protecció Fi Referència Obtentor /
PRUNERA EUROPEA
AUGUST DELIGHT2011/0853 sel.10/91agri2000 07284
Agri 2000 net SRLeuro
2/201951043
28/1/2019 IT31/12/2049
AVIFEL1995/1530 avifel 00691/00693
INRA - CTIFLeuro116
1/19971267
15/10/1996 TORINEL* FR1/11/2021
BELLAMIRA2002/0184 klon p 34-56-94 00672
Forschungsanstalt Geisenheimeuro
2/200616766
30/1/2006 DE31/12/2036
BLUE MOON2011/0854 sel.8/91agri2000 07284
Agri 2000 net SRLeuro
2/201642548
22/2/2016 IT31/12/2046
CACAKS SPÄTE2005/1680 cacak späte (vi/28/81) 05199
Institut za Istrazivania u Polijopriveuro
1/201026242
7/12/2009 RS31/12/2039
CAPITANA1998/1532 capitana 02410/02411
Ghedini, G - Ghedini, P.A.euro
2/200514646
7/2/2005 IT31/12/2035
COLORA2003/1062 colora 00783
Universitõt Hohenheimeuro
3/200924350
23/3/2009 DE31/12/2039
COUROD1999/1556 courod 02807/00189
Odier, G - Darnaud, JPeuro
2/200514579
21/2/2005 FR31/12/2035
ELENA1995/2736 00783
Universitõt Hohenheimeuro
5/19983126
2/6/1998 DE31/12/2028
FERDOR1995/1410 ferdor 00691
INRA-Institut National de la Recheuro116
1/19971266
15/10/1996 JULIOR* FR1/11/2021
HAGANTA2003/1063 gigant 00783
Universitõt Hohenheimeuro
3/200821933
10/3/2008 DE31/12/2028
HAROMA2005/1330 haroma 00783
Universitõt Hohenheimeuro
2/201026421
25/1/2010 DE31/12/2040
JOJO1999/1807 jojo 00783
Universitõt Hohenheimeuro
4/200413321
17/5/2004 DE31/12/2034
JUNA2012/2340 juna 00680
Hartmann Walter Dr.euro
2/201745541
20/2/2017 DE31/12/2047
KATINKA1995/2729 Horteger 00783
Universitõt Hohenheimeuro116
4/19972210
27/6/1997 DE1/1/2024
PLUMIS2008/2079 hvl 357 06085/06391
BOOMKWEKERIJEN GEBROEDeuro
3/201437715
22/4/2014 NL31/12/2044
PRESENTA1999/0061 presenta 00783
Universitõt Hohenheimeuro
3/200310941
10/4/2003 PRESENTA DE10/4/2033
PRUDOM2002/2098 prudom 00347
Consortium Deutscher Baumschueuro
4/200720098
21/5/2007 DE31/12/2037
SUTTER2000/2082 sutter 00345
The Regents of the University ofeuro
2/200821731
28/1/2008 US31/12/2038
TEGERA1999/0181 tegera 00783
Universitõt Hohenheimeuro
3/200514913
21/3/2005 TEGERA DE31/12/2035
7/3/2020 Pàgina 51 de 98
DenominacióNº Exp. Nom comercial Codi / Titular Butlletí
Nº POV
Inici Protecció Fi Referència Obtentor /
Prunus domestica L.
TIPALA1999/0182 tipala 00783
Universitõt Hohenheimeuro
3/200514914
21/3/2005 TIPALA DE31/12/2035
TOPFIVE2002/0186 p 6-85-95 00672
Forschungsanstalt Geisenheimeuro
3/200617343
24/4/2006 DE31/12/2036
TOPHIT1998/0317 tophit 00672
Forschungsanstalt Geisenheimeuro
4/20029577
17/6/2002 DE31/12/2032
TOPPER1998/0316 topper 00672
Forschungsanstalt Geisenheimeuro
4/20029576
17/6/2002 DE31/12/2032
TULARE2000/2081 tulare giant 00345
The Regents of the University ofeuro
3/200719948
16/4/2007 US31/12/2037
UTE2005/0243 ute 04951/04952
Cox-Coxeuro
4/200924893
4/5/2009 UK31/12/2039
VANDOR2011/0913 v70032 02072
University of Guelph - Business Deuro
2/201642549
22/2/2016 CA31/12/2046
VANETTE2003/1808 v 66071 04407
Agricultural Research Institute ofeuro
2/200924101
23/2/2009 CA31/12/2039
VIOLETTA1997/0269 bpr 1249c 01629
Swedish University Agr. Scienceseuro
3/20028997
18/3/2002 SE31/12/2032
Especie Prunus domestica L. subsp. insititia (L.) C. K. Schneid. (syn.
P. insititia L.)
DenominacióNº Exp. Nom comercial Codi / Titular Butlletí
Nº POV
Inici Protecció Fi Referència Obtentor /
PRUNERA EUROPEA
INSITITIA
NR 87312016/3205 nr.8731 00680
Hartmann Walter Dr.euro
2/201951046
28/1/2019 DE31/12/2049
Especie Prunus domestica x Prunus insititia) x Prunus salicina
DenominacióNº Exp. Nom comercial Codi / Titular Butlletí
Nº POV
Inici Protecció Fi Referència Obtentor /
PRUNUS PORTAEMPELTS
MONREPOS20074707 ES936
CITA ARAGONesp
4-2011002532
6/7/2011 ES31/12/2041
Especie Prunus dulcis (Mill.) D.A. Webb
DenominacióNº Exp. Nom comercial Codi / Titular Butlletí
Nº POV
Inici Protecció Fi Referència Obtentor /
AMETLLER
ALM 212013/2719 alm 21 00189
DARNAUD, Jean-Pierreeuro
4/201849458
22/5/2018 FR31/12/2048
ANTOÑETA19974136 antoñeta 243
C.S.I.C.esp
BOE-69002093
21/3/2003 ANTOÑETA ES21/3/2023
CONSTANTÍ2009/0751 irtamb-a22-120 00370
Institut de Recerca i Tecnologiaeuro
2/201128897
7/2/2011 CONSTANTI ES31/12/2041
DIAMAR2009/0306 g-2-35 90042
Centro de Investigación y Tecnoleuro
4/201233017
18/6/2012 ES31/12/2042
ISABELONA20054615 belona ES930
CITA Aragónesp
1-2011002505
18/1/2011 ISABELONA ES31/12/2041
MARINADA2009/0754 irtamb-a23-57 00370
Institut de Recerca i Tecnologiaeuro
2/201126900
7/2/2011 MARINADA ES31/12/2041
MARTA19953932 ALMUDENA 243
C.S.I.C.esp
BOE-69002091
21/3/2003 ALMUDENA ES21/3/2023
PENTACEBAS CSIC2007/1323 d00-203 00648
Consejo Sup. de Investigacioneseuro
4/201335208
6/5/2013 PENTA ES31/12/2043
SOLETA20054616 ES930
CITA Aragónesp
1-2011002507
18/1/2011 SOLETA ES31/12/2041
TARDONA2007/1322 d00-072 00648
Consejo Sup. de Investigacioneseuro
4/201335207
6/5/2013 TARDONA ES31/12/2043
TARRACO2009/0753 irtamb-a21-169 00370
Institut de Recerca i Tecnologiaeuro
2/201128899
7/2/2011 TARRACO ES31/12/2041
7/3/2020 Pàgina 52 de 98
DenominacióNº Exp. Nom comercial Codi / Titular Butlletí
Nº POV
Inici Protecció Fi Referència Obtentor /
Prunus dulcis (Mill.) D.A. Webb
VAIRO2009/0752 irtamb-a21-323 00370
Institut de Recerca i Tecnologiaeuro
2/201128898
7/2/2011 VAIRO ES31/12/2041
Especie Prunus fructicosa Pall. x Prunus serrulata Lindl. var.
lannesiana
DenominacióNº Exp. Nom comercial Codi / Titular Butlletí
Nº POV
Inici Protecció Fi Referència Obtentor /
VSL 2’2017/1713 vsl 2 03864
Krymsk Breeding Stationeuro
3/201848971
23/4/2018 RU31/12/2048
Especie Prunus incana (PALL.) Batsch x Prunus tomentosa Thunb.
DenominacióNº Exp. Nom comercial Codi / Titular Butlletí
Nº POV
Inici Protecció Fi Referència Obtentor /
VSV 12009/1568 vsv 1 03864
Krymsk Breeding Stationeuro
2/201745342
6/2/2017 RU31/12/2047
Especie Prunus insititia L.
DenominacióNº Exp. Nom comercial Codi / Titular Butlletí
Nº POV
Inici Protecció Fi Referència Obtentor /
PRUNERA
ADESOTO1995/3029 Puebla de Soto AD 101 00648
Consejo Sup. de Investigacioneseuro
4/20029574
17/6/2002 PUEBLA DE SOTO ES31/12/2032
Especie Prunus L.
DenominacióNº Exp. Nom comercial Codi / Titular Butlletí
Nº POV
Inici Protecció Fi Referència Obtentor /
PRUNUS
COMET1996/1078 comet 01470
B.D. Rijnbeek Boomkwererijen B.euro
3/19982706
2/3/1998 NL31/12/2023
GI 20912002/1949 giessen 209/1 03021
Consortium Deutscher Baumschueuro
2/200719222
19/2/2007 DE31/12/2037
GI14811998/0997 gisela 6 03021
Consortium Deutscher Baumschueuro
4/200515835
20/6/2005 DE31/12/2035
MIEKE2015/0195 mieke 08672
JOHANNES JACOBUS VAN DEeuro
4/201849788
18/6/2018 NL31/12/2048
PIKU42001/1206 piku4 00441
Deutsche Saatgutgesellsscaft Mbeuro
5/20029968
12/8/2002 DE31/12/2032
STO12012/0021 sto1 02264
Stoppel, Petereuro
2/201745300
6/2/2017 DE31/12/2047
Especie Prunus L. (P. armeniaca L. × P. cerasifera Ehrh. × P. pumila
L. var. besseyi (L.H. Bailey) Gleason)
DenominacióNº Exp. Nom comercial Codi / Titular Butlletí
Nº POV
Inici Protecció Fi Referència Obtentor /
PRUNUS
APRIMED2013/1996 pacer 00-05 03862
AGROMILLORA CATALANA SLeuro
4/201849457
22/5/2018 ES31/12/2048
Especie Prunus laurocerasus L.
DenominacióNº Exp. Nom comercial Codi / Titular Butlletí
Nº POV
Inici Protecció Fi Referència Obtentor /
LLORER-CIRER
ANBRI1995/1205 anbri 00138
Antigone Plantvermeerdering b.v.euro
3/19982719
2/3/1998 NL31/12/2023
ANI2011/0381 ani 02970
Heco Stekcultures B.V.euro
6/201438986
20/10/2014 NL31/12/2044
ANTONIUS2010/2192 jm 86 02968
Miklósné Józsaeuro
1/201436514
2/12/2013 HU31/12/2043
ARKTIS2013/2709 arktis 04735
JURGEN SCHUTTEeuro
6/201541695
21/9/2015 DE31/12/2045
BENJE GREEN2000/1131 prunus elegant 03081
Scherpereel, Gérardeuro
4/200413662
21/6/2004 BE31/12/2034
7/3/2020 Pàgina 53 de 98
DenominacióNº Exp. Nom comercial Codi / Titular Butlletí
Nº POV
Inici Protecció Fi Referència Obtentor /
Prunus laurocerasus L.
BETTINA2019/1318 gabprun1 09641
GABOR NEMETHeuro
1/202053852
18/11/2019 HU31/12/2049
BOKRALYM2001/0693 bokralym 00026
Boot &Co Boomkwekerijen bveuro
5/200413890
16/8/2004 NL31/12/2029
BOKRAMER2001/0694 bokramer 00026
Boot &Co Boomkwekerijen bveuro
5/200513891
16/8/2004 NL31/12/2029
DARZALO2006/0538 darzalo 00026
Boot &Co Boomkwekerijen bveuro
6/200823627
27/10/2008 NL31/12/2038
GABI2011/0382 gabi 02970
Heco Stekcultures B.V.euro
6/201438987
20/10/2014 NL31/12/2044
GAJO2004/0413 gajo 04578
Boomkwekerijen-Nouws-verheijeeuro
4/200617906
19/6/2006 NL31/12/2036
GORIS112012/0342 goris11 07569
Kees Goriseuro
4/201438079
2/6/2014 NL31/12/2044
GREENTORCH2007/1070 mingreen 03881
Pepinieres Minier SAeuro
1/201026185
16/11/2009 FR31/12/2039
GRPL182013/1979 grpl18 08150
GUIDO ROUWETTEeuro
6/201541693
21/9/2015 NL31/12/2045
GRPL192014/2705 08150
GUIDO ROUWETTEeuro
5/201747252
3/7/2017 NL31/12/2047
HIBANI2008/2323 ruby 06430
Boomkwekerij Huijbregtseuro
1/201128463
8/11/2010 NL31/12/2040
IVORY2007/1950 05992
M.T.S. Custers-Van Dooreneuro
6/200926076
5/10/2009 NL31/12/2039
JM342006/1735 02968
Miklósné Józsaeuro
2/200719157
19/2/2007 HU31/12/2037
JOSA2011/0383 klone 100 02970
Heco Stekcultures B.V.euro
6/201438988
20/10/2014 NL31/12/2044
MARIBLON2003/0265 genolier 04139
Pepinieres de Genoliereuro
4/200617887
19/6/2006 CH31/12/2036
OBELISK2015/1834 steinprun1 03750
BERND STEINEGGEReuro
6/201850146
10/9/2018 DE31/12/2048
PIRANHA2012/1492 piranha 07727
FRANK SCHNUPPEReuro
6/201541686
21/9/2015 DE31/12/2045
RENTAN2012/0530 titan 07590
HUAMING WANGeuro
6/201541685
21/9/2015 NL31/12/2045
VERSTRA2016/1065 elly 02025/09771
A. Straver/euro
5/201953089
15/7/2019 31/12/2049
ZSÓFI2019/1317 gabprun2 09641
GABOR NEMETHeuro
1/202053851
18/11/2019 HU31/12/2049
Especie Prunus lusitanica L.
DenominacióNº Exp. Nom comercial Codi / Titular Butlletí
Nº POV
Inici Protecció Fi Referència Obtentor /
BRENELIA2011/1273 brenelia 07314
Yves Breneliereeuro
6/201438976
20/10/2014 FR31/12/2044
YBRAZO012015/1764 bronze 07314
Yves Breneliereeuro
3/201848974
23/4/2018 FR31/12/2048
Especie Prunus mahaleb L.
DenominacióNº Exp. Nom comercial Codi / Titular Butlletí
Nº POV
Inici Protecció Fi Referència Obtentor /
CIRERER SANTA LLÚCIA
FERCI1995/1407 ferci 00691
INRA-Institut National de la Recheuro116
1/19971269
15/10/1996 PONTALEB* FR1/4/2022
7/3/2020 Pàgina 54 de 98
DenominacióNº Exp. Nom comercial Codi / Titular Butlletí
Nº POV
Inici Protecció Fi Referència Obtentor /
Prunus persica (L.) Batsch
Especie Prunus persica (L.) Batsch
DenominacióNº Exp. Nom comercial Codi / Titular Butlletí
Nº POV
Inici Protecció Fi Referència Obtentor /
PRESSEGUER
"DORABELLE"2009/0269 2 5 20 07 07 06556
AC FRUIT SASeuro
6/201336038
9/9/2013 2 5 20 07 07 FR31/12/2043
"DORAFINE"2009/0270 3 6 05 08 05 06556
AC FRUIT SASeuro
6/201336029
9/9/2013 3 6 05 08 05 FR31/12/2043
"DORANE"2009/2506 24 1 3 06556
AC FRUIT SASeuro
6/201336030
9/9/2013 24 1 3 FR31/12/2043
"FLATDIVA"2012/2709 02.2w.20pbpl - asf11106 04628
SARL Agro Selection Fruitseuro
2/201745525
20/2/2017 FR31/12/2047
0 10 PBS2014/3098 04880
International Plant Selectioneuro
4/201849411
22/5/2018 FR31/12/2048
0322E82NB2012/2704 03.22e.82nb - asf1036 04628
SARL Agro Selection Fruitseuro
2/201745521
20/2/2017 FR31/12/2047
629 03 PJ2014/3096 00189
DARNAUD, Jean-Pierreeuro
2/201848407
19/2/2018 FR31/12/2048
ADELFAR2006/1486 naea-01 05513
Alvaro Liñan Liñaneuro
5/201233278
6/8/2012 ES31/12/2042
AFRICAN SUMMER SUN20004313 summer sun 03945
ARC Infruitec - Nietvoorbijesp
4-2010002489
6/7/2010 ZA31/12/2040
ALBATINE2011/2890 4-1-16-06-09 06556
AC FRUIT SASeuro
4/201541351
22/6/2015 FR31/12/2045
ALBINA2012/2216 t 191-12 pb 04411
PSB Producción Vegetal SLeuro
3/201745889
20/3/2017 ES31/12/2047
ALCATRAZ20125050 flat giant ES993
SMS UNLIMITED LLCesp
1-2017002759
16/1/2017 US31/12/2047
ALICE COL2014/1060 ma 12-01-057 06900
CONSIGLIO PER LA RICERCAeuro
3/201745680
6/3/2017 IT31/12/2047
ALISIO 1020135099 aliso 10 ES998
IMIDA/NovaMedesp
1-2018002809
20/2/2018 ES31/12/2048
ALISIO 1520104933 mrca1 ES965
IMIDAesp
1-2016002716
13/12/2015 MRCA1 ES31/12/2045
ALISIO 2020135100 aliso 20 ES998
IMIDA/NovaMedesp
1-2018002810
20/2/2018 ES31/12/2048
ALITOP2006/1134 iff 990 01758
Istituto Sperimentale per la Fruttieuro
4/201130306
6/6/2011 ALITOP IT31/12/2041
ALLREDAL2005/0901 01.18.44 : asf 0141 04628
SARL Agro Selection Fruitseuro
2/200924111
23/2/2009 REGALSUN 28 FR31/12/2039
ALMA2002/1192 3285 02787
Montanari Domenicoeuro
3/200617334
24/4/2006 ALMA IT31/12/2036
ALMA 22010/1575 740 06648/02787
Luigi Montanari/Domenico Montaeuro
4/201541349
22/6/2015 ALMA 2 IT31/12/2045
ALMALATE20044574 32-3-11-9 ES1016
FRUTARIA COMERCIAL DE FResp
1-2010002470
25/12/2009 ES31/12/2039
ALMAMEBA20024448 almameb ES1016
FRUTARIA COMERCIAL DE FResp
2-2009002404
16/2/2009 ALMAMED ES31/12/2039
ALMAMECE20024453 almamec ES1016
FRUTARIA COMERCIAL DE FResp
2-2009002405
16/2/2009 ALMAMECE ES31/12/2039
ALMAMEDI20024451 almamed ES1016
FRUTARIA COMERCIAL DE FResp
2-2009002406
16/2/2009 ES31/12/2039
ALMAMIEL20064701 ES1016
FRUTARIA COMERCIAL DE FResp
1-2011002525
18/1/2011 ALMAMIEL ES31/12/2040
ALMANEBO20024449 almaneb ES1016
FRUTARIA COMERCIAL DE FResp
2-2009002407
16/2/2009 ALMANEBO ES31/12/2039
7/3/2020 Pàgina 55 de 98
DenominacióNº Exp. Nom comercial Codi / Titular Butlletí
Nº POV
Inici Protecció Fi Referència Obtentor /
Prunus persica (L.) Batsch
ALMANECI20024447 almanec ES1016
FRUTARIA COMERCIAL DE FResp
5-2009002437
22/7/2009 ALMANECI ES31/12/2039
ALMANEFI20024446 almanef ES1016
FRUTARIA COMERCIAL DE FResp
5-2009002438
22/7/2009 ALMANEFI ES31/12/2039
ALMANEGE20024452 almaneg ES1016
FRUTARIA COMERCIAL DE FResp
5-2009002439
22/7/2009 ALMANEGE ES31/12/2039
ALMANOR20034529 334F4821 ES1016
FRUTARIA COMERCIAL DE FResp
1-2010002471
25/12/2009 ES31/12/2039
ALMAPEÑA20044568 ALMIP-1 ES1016
FRUTARIA COMERCIAL DE FResp
5-2009002440
22/7/2009 ES31/12/2039
ALMASEDA20044569 ALMIP-2 ES1016
FRUTARIA COMERCIAL DE FResp
1-2010002472
25/12/2009 ES31/12/2039
ALMAVERO20064700 ES1016
FRUTARIA COMERCIAL DE FResp
2-2013002574
17/1/2013 ES31/12/2043
ALMENAR20034528 almamar ES1016
FRUTARIA COMERCIAL DE FResp
5-2009002441
22/7/2009 ES31/12/2039
ALMIDEZ20044573 301-10-28-1 ES1016
FRUTARIA COMERCIAL DE FResp
4-2042002557
28/6/2012 ES31/12/2042
ALMONTIEL20064702 ES1016
FRUTARIA COMERCIAL DE FResp
1-2014002642
27/12/2013 ALMONTIEL ES31/12/2043
ALMUD20044575 50-10-25-8 ES1016
FRUTARIA COMERCIAL DE FResp
5-2009002443
22/7/2009 ES31/12/2039
ALPINE2002/1202 2b-31-5 03945
ARC Infruitec - Nietvoorbijeuro
3/200924359
23/3/2009 ZA31/12/2039
AM72000/0913 am7 01869
ALMA MATER STUDIORUM-UNIeuro
6/200414080
24/10/2004 IT31/12/2034
AMANDINA2013/3048 t191-1 04411
PSB Producción Vegetal SLeuro
2/201848354
19/2/2018 ES31/12/2048
AMBRA1997/0777 dca-bo85151169 01500
CRPV Soc. Coop. A.R.L. C. R. Preuro
5/20029921
12/8/2002 AMBRA (NECT) IT31/12/2032
AMIGA2000/1502 86 ve 61 05192
Giulio Minguzzieuro
6/200414082
25/10/2004 AMIGA IT31/12/2034
ANTONINA1999/1193 antonina 02684
Bertolami, Antonioeuro
6/200311653
8/9/2003 IT31/12/2033
ANULA 30 012011/3180 p07f001a096 00370/04628
IRTA/SARL Agro Selection Fruitseuro
6/201747408
11/9/2017 ES31/12/2047
APPYMAY20024469 S 9850 AP 00279
Selección Plantas Sevilla SLesp
5-2009002444
22/7/2009 ES31/12/2039
ARAMEX20074762 ES1016
FRUTARIA COMERCIAL DE FResp
2-2013002575
17/1/2013 ES31/12/2043
ARGENTO DI FAENZA1998/0152 ff 86958 05244
Dalmonte Fuido e Vittorio S.S. Seuro
1/200514225
8/11/2004 IT31/12/2034
ARTEMIS2014/2516 k184-48 pj 04411
PSB Producción Vegetal SLeuro
2/201951508
25/2/2019 ES31/12/2049
ASFNBF04712008/0588 03.22.101 nbpl - asf 0471 04628
SARL Agro Selection Fruitseuro
3/201437362
24/3/2014 NECTACAKE 28 FR31/12/2044
ASFNBF07742009/0925 4s.3w53 nbpl - asf 0774 04628
SARL Agro Selection FruitsEURO
2/201334167
18/2/2013 NECTACAKE 25 FR31/12/2043
ASTORIA2010/2742 b80-16 pj 04411
PSB Producción Vegetal SLeuro
3/201643303
25/4/2016 ES31/12/2046
ATINEA2012/2215 272-4 nj 04411
PSB Producción Vegetal SLeuro
3/201745888
20/3/2017 ES31/12/2047
AUGUST GEM2013/3112 54 p 304 08287/00279
Star Fruit / Seleccion Plantas Seveuro
3/201745675
6/3/2017 FR31/12/2047
7/3/2020 Pàgina 56 de 98
DenominacióNº Exp. Nom comercial Codi / Titular Butlletí
Nº POV
Inici Protecció Fi Referència Obtentor /
Prunus persica (L.) Batsch
BALTICA2014/2517 k301-21 nb 04411
PSB Producción Vegetal SLeuro
4/201952698
20/5/2019 ES31/12/2049
BELLAMINE2010/0495 03.10.25pb - asf0453 04628
SARL Agro Selection Fruitseuro
2/201436696
27/1/2014 ASF 04-53 FR31/12/2044
BLANQ 26012013/2984 p01f027a066 04628/00370
AGRO SELECTIONS FRUITS S.euro
2/201951289
11/2/2019 ES31/12/2049
BLANQ 28 012011/3182 p01f005a069 00370/04628
IRTA/SARL Agro Selection Fruitseuro
6/201644391
19/9/2016 ES31/12/2046
BLANQ 30012012/2738 p01f009a069 00370/04628
IRTA/SARL Agro Selection Fruitseuro
5/201849948
16/7/2018 ES31/12/2048
BLANQ 31012012/2737 p01f007a035 00370/04628
IRTA/SARL Agro Selection Fruitseuro
5/201849947
16/7/2018 ES31/12/2048
BLANQ 33 012011/3183 p02f002a035 00370/04628
IRTA/SARL Agro Selection Fruitseuro
3/201746011
3/4/2017 ES31/12/2047
BLANQ 34 012011/3177 p02f002a100 00370/04628
IRTA/SARL Agro Selection Fruitseuro
3/201746009
3/4/2017 ES31/12/2047
BLANVIO 102008/2234 00.47.009-pb 00132
Plantas de Navarra SAeuro
1/201436611
16/12/2013 BLANVIO 10 ES31/12/2043
BONFIRE1997/0703 ark.84186-t3 01752
University of Arkansaseuro
5/20029920
12/8/2002 US31/12/2032
BORDÒ2009/2143 bo 96025004 01869/04704/06419/0
C.R.P.V/Apofruit Italia/Universitàeuro
4/201438205
2/6/2014 BORDÒ IT31/12/2044
BOREAL2014/2530 t333-31 nb 04411
PSB Producción Vegetal SLeuro
2/201951511
25/2/2019 ES31/12/2049
BRADYLA2005/2524 2 p 1052 00160/00279
Gie Star Fruits - Sel. Plantas Sevieuro
2/201026761
22/2/2010 FR31/12/2040
BRAKAY20054594 N 95 25 00279
Selección Plantas Sevilla SLesp
4-2010002491
6/7/2010 BRAKAY ES31/12/2040
BRAPRE2001/0161 sf 94.003 00279/08287
Sel. Plantas Sevilla SL / STAR Feuro
6/200311977
20/10/2003 BRAPRE ES31/12/2033
BRAREG20054596 N9558 00279
Selección Plantas Sevilla SLesp
4-2010002492
6/7/2010 BRAREG ES31/12/2040
BRITTNEY LANE2006/2514 564 99 pj 00189
DARNAUD, Jean-Pierreeuro
4/201130096
23/5/2011 FR31/12/2041
BURNECTFIFTEEN2008/2969 e4.050 10200
WAWONA PACKING COMPANYeuro
3/201642899
21/3/2016 US31/12/2046
BURNECTFOUR2006/2554 c2.092 10200
WAWONA PACKING COMPANYeuro
4/201232660
7/5/2012 US31/12/2042
BURPEACHFIVE2004/2274 b2.098 10200
WAWONA PACKING COMPANYeuro
3/201129119
7/3/2011 US31/12/2041
BURPEACHFOUR2004/2273 b2.034 10200
WAWONA PACKING COMPANYeuro
3/201129118
7/3/2011 US31/12/2041
BURPEACHONE2004/2271 d2.102 03688
The Burchell Nursery inc.euro
3/200924360
23/3/2009 US31/12/2039
BURPEACHSEVEN2006/2556 c12.001 10200
WAWONA PACKING COMPANYeuro
3/201119126
7/3/2011 US31/12/2041
BURPEACHSIX2004/2269 b4.098 10200
WAWONA PACKING COMPANYeuro
3/201129117
7/3/2011 US31/12/2041
BURPEACHTWO2001/2051 a 39 006 10200
WAWONA PACKING COMPANYeuro
4/200720403
18/6/2007 US31/12/2037
C-22920084841 c-229 ES1016
FRUTARIA COMERCIAL DE FResp
1-2017002750
16/1/2017 ES31/12/2047
C-23020084840 c-230 ES1016
FRUTARIA COMERCIAL DE FResp
1-2014002643
27/12/2013 C-230 ES31/12/2043
7/3/2020 Pàgina 57 de 98
DenominacióNº Exp. Nom comercial Codi / Titular Butlletí
Nº POV
Inici Protecció Fi Referència Obtentor /
Prunus persica (L.) Batsch
C-5820084842 c-58 ES1016
FRUTARIA COMERCIAL DE FResp
2-2013002576
17/1/2013 C-58 ES31/12/2043
CAKEAUGUST2011/0563 4s.6e.12nbpl - asf0870 04628
SARL Agro Selection Fruitseuro
2/201539654
23/2/2015 FR31/12/2045
CAKEDELICE2012/0745 03.5e.125nbpl - asf0976 04628
SARL Agro Selection Fruitseuro
2/201745518
20/2/2017 FR31/12/2047
CAKELOVE2011/0562 4s.3e.168nbpl - asf0775 04628
SARL Agro Selection Fruitseuro
2/201539653
23/2/2015 FR31/12/2045
CAKEPEARL2010/0500 4s.3w.18nbpl - asf0678 04628
SARL Agro Selection Fruitseuro
4/201437915
5/5/2014 NECTACAKE* ASF0678 FR31/12/2044
CAKEREDAL2010/0503 4s.5w.135nbpl - asf0778 04628
SARL Agro Selection Fruitseuro
2/201436700
27/1/2014 NECTACAKE* ASF0778 FR31/12/2044
CAKEREINE2010/0504 4s.4e.109nbpl - asf0780 04628
SARL Agro Selection Fruitseuro
2/201436701
27/1/2014 ASF 07-80 FR31/12/2044
CAKEREVE2012/2708 03.21w.39nbpl - asf1072 04628
SARL Agro Selection Fruitseuro
2/201745524
20/2/2017 FR31/12/2047
CAKESEPTEMBER2009/0939 4n.13.01 nbpl - asf 0688 04628
SARL Agro Selection FruitsEURO
2/201334180
18/2/2013 NECTACAKE*35 ASF0688 FR31/12/2043
CALEJOS20074768 02018
Diputación General de Arag¾nesp
3-2013002626
3/8/2013 ES31/12/2043
CALEMIL20074765 02018
Diputación General de Arag¾nesp
3-2013002627
3/8/2013 ES31/12/2043
CALPREBOR20074766 02018
Diputación General de Arag¾nesp
3-2013002628
3/8/2013 ES31/12/2043
CALRICO20074767 02018
Diputación General de Arag¾nesp
3-2013002629
3/8/2013 ES31/12/2043
CARAMBA2013/3057 b426-5 ppb 04411
PSB Producción Vegetal SLeuro
2/201848358
19/2/2018 ES31/12/2048
CARIOCA2010/2754 b 424-16 ppb 04411
PSB Producción Vegetal SLeuro
3/201643311
25/4/2016 ES31/12/2046
CARLA2012/2213 b 428-5 pj 04411
PSB Producción Vegetal SLeuro
3/201745887
20/3/2017 ES31/12/2047
CASABOI1995/0722 se 88205 00279
Selección Plantas Sevilla SLeuro116
3/20017451
9/4/2001 ES1/5/2026
CASASIL1995/0721 se 9003 00279
Selección Plantas Sevilla SLeuro116
3/20017450
9/4/2001 ES1/5/2026
CAUSSOROB20024470 CAS 9774 00279
Selección Plantas Sevilla SLesp
1-2010002474
25/12/2009 ES31/12/2039
CAZIDELI20024472 SD 09124 00279
Selección Plantas Sevilla SLesp
5-2009002446
22/7/2009 ES31/12/2039
CLARISS2014/2513 4052-22 nj 04411
PSB Producción Vegetal SLeuro
2/201951504
25/2/2019 ES31/12/2049
CONQUISE2003/0269 s6200 00689
INRA-Institut National de la Recheuro
6/200516193
12/9/2005 CONQUISE FR31/12/2035
CONVOITISE2007/2770 s6925 00689
INRA-Institut National de la Recheuro
2/201026778
22/2/2010 FR31/12/2040
COUNTRYSWEET2008/2765 297 90 pj 00189
DARNAUD, Jean-Pierreeuro
4/201335219
6/5/2013 COUNTRYSWEET FR31/12/2043
CRIMSON LADY1995/0521 42 p 870 00279/08287
Sel. Plantas Sevilla SL / STAR Feuro116
3/19971871
3/4/1997 CRIMSON LADY ES1/2/2023
CRISPBELLA2010/0493 01.29e.62pj - asf0842 04628
SARL Agro Selection Fruitseuro
2/201436695
27/1/2014 CRISPBELLA FR31/12/2044
CRISPCOTA2012/2705 03.7e.76pj - asf1042 04628
SARL Agro Selection Fruitseuro
2/201745522
20/2/2017 FR31/12/2047
7/3/2020 Pàgina 58 de 98
DenominacióNº Exp. Nom comercial Codi / Titular Butlletí
Nº POV
Inici Protecció Fi Referència Obtentor /
Prunus persica (L.) Batsch
CRISPDELICE SUN2006/0998 03.05.142 pj-asf 0443 04628
SARL Agro Selection Fruitseuro
2/201026769
22/2/2010 TONICSUN 31 FR31/12/2040
CRISPDIVA2012/2706 03.7e.64pj - asf1046 04628
SARL Agro Selection Fruitseuro
2/201745523
20/2/2017 FR31/12/2047
CRISPDREAM2014/3172 03.29e.46.11pj - asf1144 04628
SARL Agro Selection Fruitseuro
3/204951662
11/3/2019 FR31/12/2049
CRISPGOUDE2014/3173 03.29e.54.11pj - asf1142 04628
SARL Agro Selection Fruitseuro
3/204951663
11/3/2019 FR31/12/2049
CRISPLATE2012/0743 01.29e.100pj - asf0846 04628
SARL Agro Selection Fruitseuro
3/201642903
21/3/2016 FR31/12/2046
CRISPONDA2014/3169 03.30w.01.11pj lc - asf1146l 04628
SARL Agro Selection Fruitseuro
3/201951661
11/3/2019 FR31/12/2049
CRISPRIM2010/0492 01.29e.65pj - asf0841 04628
SARL Agro Selection Fruitseuro
2/201436694
27/1/2014 CRISPIM FR31/12/2044
CRISPSOL2014/3166 07.11.380.13pj - asf1343 04628
SARL Agro Selection Fruitseuro
3/201951660
11/3/2019 FR31/12/2049
CRISPSTAR2010/0494 01.29e.79pj - asf0843 04628
SARL Agro Selection Fruitseuro
4/201437913
5/5/2014 CRISPSTAR FR31/12/2044
CRISPSUN2012/0742 4s.12w.49pj - asf0844 04628
SARL Agro Selection Fruitseuro
3/201642723
7/3/2016 FR31/12/2046
CRISPTOLAM2014/3171 03.34w.16.11pj - asf1145l 04628
SARL Agro Selection Fruitseuro
3/201952378
15/4/2019 FR31/12/2049
DIAMOND RAY1995/1406 28 p 514 00279/08287
Sel. Plantas Sevilla SL / STAR Feuro
1/19993898
14/12/1998 DIAMOND RAY ES31/12/2028
DIVADONA2014/2514 5544-54 ppj 04411
PSB Producción Vegetal SLeuro
2/201951506
25/2/2019 ES31/12/2049
DONUTNICE2006/1000 02.07.19 nbpl-asf 0283 04628
SARL Agro Selection Fruitseuro
2/201026771
22/2/2010 NECTACAKE 30 FR31/12/2040
DORAGILE2010/2718 4-6-10-08-06 06556
AC FRUIT SASeuro
4/201438210
2/6/2014 FR31/12/2044
DORAZIE2010/2715 4-8-05-08-06 06556
AC FRUIT SASeuro
4/201438209
2/6/2014 FR31/12/2044
E.C.A. ALFARRAS19933447 521
D.A.R.P.esp
BOE-69002183
21/3/2003 ROIG ESCOLA ALFARRAS ES21/3/2023
ENDOGUST2009/0931 03.24.01 nb - asf 0526 04628
SARL Agro Selection FruitsEURO
2/201334173
18/2/2013 ASF 05-26 FR31/12/2043
FERCLUSE2000/1077 s6026 00689
INRA-Institut National de la Recheuro
1/200310242
18/11/2002 FERCLUSE FR18/11/2032
FERGOLD2000/1076 s5710 00689
INRA-Institut National de la Recheuro
1/200310241
18/11/2002 FERGOLD FR18/11/2032
FERLATE2007/2525 s7040 00689
INRA-Institut National de la Recheuro
2/201231432
6/2/2012 FR31/12/2042
FERLOT2000/1074 s6037 00689
INRA-Institut National de la Recheuro
1/200310239
18/11/2002 FERLOT FR18/11/2032
FIDJI2014/1040 ha133-12 04411
PSB Producción Vegetal SLeuro
2/201951293
11/2/2019 ES31/12/2044
FILOMENA2014/2529 t78-15 pj 04411
PSB Producción Vegetal SLeuro
2/201951510
25/2/2019 ES31/12/2049
FIRST SNOW 82008/2013 zpb7-1 05589/05590
Gravilorenzo SL - A. Lópezeuro
2/201436965
24/2/2014 FIRST SNOW 8 ES31/12/2044
FLARIBA2004/2496 n2-117nj 04411
PSB Producción Vegetal SLeuro
5/201130549
25/7/2011 ES31/12/2041
FLATBEAUTI2010/0508 01.29e.50pbpl - asf0795 04628
SARL Agro Selection Fruitseuro
2/201436704
27/1/2014 REGALCAKE* ASF0795 FR31/12/2044
7/3/2020 Pàgina 59 de 98
DenominacióNº Exp. Nom comercial Codi / Titular Butlletí
Nº POV
Inici Protecció Fi Referència Obtentor /
Prunus persica (L.) Batsch
FLATBELLA2010/0507 01.29e.49pbpl - asf0792 04628
SARL Agro Selection Fruitseuro
2/201436703
27/1/2014 REGALCAKE* ASF0792 FR31/12/2044
FLATCHIEF2011/0566 01.26w.40pbpl - asf0892 04628
SARL Agro Selection Fruitseuro
2/201539657
23/2/2015 FR31/12/2045
FLATEARLY2012/0747 03.20e.89pbpl - asf1091 04628
SARL Agro Selection Fruitseuro
3/201642724
7/3/2016 FR31/12/2046
FLATELSE2014/3160 02.1e.106.11pbpl - asf11100 04628
SARL Agro Selection Fruitseuro
3/201951656
11/3/2019 FR31/12/2049
FLATJULIE2010/0510 01.29e.33pbpl - asf0893 04628
SARL Agro Selection Fruitseuro
2/201436705
27/1/2014 REGALCAKE* ASF0893 FR31/12/2044
FLATLATE CAKE2006/1002 02.07.16 pbpl-asf 0287 04628
SARL Agro Selection Fruitseuro
2/201026773
22/2/2010 REGALCAKE 37 FR31/12/2040
FLATMOON2010/0509 05.01.192pbpl - asf0799 04628
SARL Agro Selection Fruitseuro
2/201539642
23/2/2015 REGALCAKE* ASF0799 FR31/12/2045
FLATOP2011/0565 01.29e.42pbpl - asf0797 04628
SARL Agro Selection Fruitseuro
2/201539656
23/2/2015 FR31/12/2045
FLATPRINCESSE2005/0903 02.03.21 : asf 0385 04628
SARL Agro Selection Fruitseuro
2/200924113
23/2/2009 REGALCAKE* 33 ASF0385 FR31/12/2039
FLATRED CAKE2006/1001 03.12.122 pbpl-asf 0386 04628
SARL Agro Selection Fruitseuro
2/201026772
22/2/2010 REGALCAKE* 32 FR31/12/2040
FLATREINE2009/0935 01.29e.44 pbpl - asf 0796 04628
SARL Agro Selection FruitsEURO
2/201334176
18/2/2013 REGALCAKE*29 AFS0796 FR31/12/2043
FLATSEPTEMBER2008/0591 03.15.22 pbpl - asf 0493 04628
SARL Agro Selection Fruitseuro
3/201437364
24/3/2014 REGALCAKE*35 ASF0493 FR31/12/2044
FLATSTAR2009/0936 01.29e.41 pbpl - asf 0798 04628
SARL Agro Selection FruitsEURO
2/201334177
18/2/2013 ASF 07-98 FR31/12/2043
FLATSUNPI2010/0505 05.01.134pjpl - asf0783 04628
SARL Agro Selection Fruitseuro
2/201436970
24/2/2014 PEACHCAKE* ASF0783 FR31/12/2044
FLATSUNREINE2010/0506 01.29e.25pjpl - asf0881 04628
SARL Agro Selection Fruitseuro
2/201436702
27/1/2014 PEACHCAKE* ASF0881 FR31/12/2044
FLAVANA2004/2497 n2-24nb 04411
PSB Producción Vegetal SLeuro
5/201130550
25/7/2011 ES31/12/2041
FLAVELA2004/2495 n2-36nb 04411
PSB Producción Vegetal SLeuro
5/201130548
25/7/2011 ES31/12/2041
FRESH SNOW2013/2737 18(10) 05589/05590
Gravilorenzo SL - A. Lópezeuro
2/201848129
22/1/2018 ES31/12/2048
FULLREDAL2005/0898 01.19.01 : asf 0246 04628
SARL Agro Selection Fruitseuro
3/200924344
23/3/2009 REGALSUN 31 FR31/12/2039
GARACO2003/1887 nb 81-84 04411
PSB Producción Vegetal SLeuro
3/200924369
23/3/2009 GARACO (R13) ES31/12/2039
GARBAJA2003/1882 nj 32-1 04411
PSB Producción Vegetal SLeuro
4/200924891
4/5/2009 ES31/12/2039
GARCICA2003/1885 nb 12-84 04411
PSB Producción Vegetal SLeuro
3/200924367
23/3/2009 GARCICA (R22) ES31/12/2039
GARCIMA2003/1888 nj 88-2 04411
PSB Producción Vegetal SLeuro
3/200924370
23/3/2009 ES31/12/2039
GARDETA2003/1890 nj 52-84 04411
PSB Producción Vegetal SLeuro
3/200924372
23/3/2009 GARDETA (R28) ES31/12/2039
GAROFA2003/1892 nj 21-64 04411
PSB Producción Vegetal SLeuro
3/200924373
23/3/2009 GAROFA (R8) ES31/12/2039
GARTAIRO2003/1883 nj 82-64 04411
PSB Producción Vegetal SLeuro
3/200924829
20/4/2009 GARTAIRO (R2) ES31/12/2039
GEA2010/0134 geo 3703 06885
Geoplant Vivai SRL Societa Agriceuro
4/201438207
2/6/2014 GEO 3703 IT31/12/2044
7/3/2020 Pàgina 60 de 98
DenominacióNº Exp. Nom comercial Codi / Titular Butlletí
Nº POV
Inici Protecció Fi Referència Obtentor /
Prunus persica (L.) Batsch
GELO 12008/2682 gelo-1 04812/04813
NICOTRA / CONTEeuro
6/200925980
5/10/2009 GHIACCIO* 1 IT31/12/2039
GELO 22008/2683 gelo-2 04812/04813
NICOTRA / CONTEeuro
6/200925981
5/10/2009 GHIACCIO* 2 IT31/12/2039
GELO 32008/2684 gelo-3 04812/04813
NICOTRA / CONTEeuro
6/200925982
5/10/2009 GHIACCIO* 3 IT31/12/2039
GOLDEN HERO2013/2738 4(10) 05589/05590
Gravilorenzo SL - A. Lópezeuro
2/201848130
22/1/2018 ES31/12/2048
GROCIVAC12013/2582 ivia mel ac-0306-09 01157/03862
IVIA - AGROMILLORA IBERIA Seuro
1/201847977
20/12/2017 ES31/12/2047
GROCIVAC22013/2583 ivia mel ac-0305-05 01157/03862
IVIA - AGROMILLORA IBERIA Seuro
1/201847978
20/12/2017 ES31/12/2047
HIT6920145133 netrix 28 ES986
PROSEPLAN SLesp
4-20192904
27/7/2019 ES31/12/2049
HONEY BLAZE2000/1777 544 97n 00189
DARNAUD, Jean-Pierreeuro
2/200616996
27/2/2006 HONEY BLAZE FR31/12/2036
HONEY BLUSH2004/0774 2b-53-13 03945
ARC Infruitec - Nietvoorbijeuro
5/201233276
6/8/2012 ZA31/12/2042
HONEY FIRE2004/2467 688 99 n 00189
DARNAUD, Jean-Pierreeuro
3/201027231
19/4/2010 HONEY FIRE FR31/12/2040
HONEY HAVEN2000/1775 556 97n 00189
DARNAUD, Jean-Pierreeuro
2/200616995
27/2/2006 BIG HAVEN FR31/12/2036
HONEY KIST1998/0669 333.91.n 00189
DARNAUD, Jean-Pierreeuro
1/200412032
10/11/2003 BO 90004011 FR1/1/2034
HONEY ROYALE2002/1788 529 96 n 00189
DARNAUD, Jean-Pierreeuro
4/200720398
18/6/2007 HONEY ROYALE FR31/12/2037
HORIZON2006/0858 horizon 03945
ARC Infruitec - Nietvoorbijeuro
5/201233277
6/8/2012 ZA31/12/2042
IBIZA2014/1044 4094-16 pb 04411
PSB Producción Vegetal SLeuro
2/201951294
11/2/2019 ES31/12/2049
ISFROPLAT-320044549 ufo 3 IT015
Istituto Sperimentale per la Fruttiesp
4-2010002494
6/7/2010 UFO - 3 IT31/12/2040
ISFROPLAT-420044548 ufo 4 IT015
Istituto Sperimentale per la Fruttiesp
4-2010002495
6/7/2010 UFO - 4 IT31/12/2040
IVORY NIGHT2010/2738 48 p 606 00279/08287
Sel. Plantas Sevilla SL / STAR Feuro
3/201437365
24/3/2014 ES31/12/2044
IVORY STAR2008/2771 20 p 1169 00279/08287
Sel. Plantas Sevilla SL / STAR Feuro
2/201231546
20/2/2012 20 P 1169 (IVORY STAR) ES31/12/2042
IVORY SUN2010/2740 14 p 278 00160/00279
Gie Star Fruits - Sel. Plantas Sevieuro
2/201539646
23/2/2015 FR31/12/2045
JULIENICE2005/0900 01.24.14 : asf 0248 04628
SARL Agro Selection Fruitseuro
2/200924110
23/2/2009 REGALSUN 34 FR31/12/2039
JULIEPRETTY2005/0899 02.04.55 : asf 0252 04628
SARL Agro Selection Fruitseuro
2/200924109
23/2/2009 REGALSUN 33 FR31/12/2039
KINOLEA2014/2512 4052-15 04411
PSB Producción Vegetal SLeuro
2/201951503
25/2/2019 ES31/12/2049
LADY GOLD2012/2385 w/sil-5 05589/05590
Gravilorenzo SL - A. Lópezeuro
3/201745893
20/3/2017 ES31/12/2047
LADY LOVE2013/3116 48 p 610 08287/00279
Star Fruit / Seleccion Plantas Seveuro
3/201745679
6/3/2017 FR31/12/2047
LADY NICE2013/3115 7 g 315 08287/00279
Star Fruit / Seleccion Plantas Seveuro
3/201745678
6/3/2017 FR31/12/2047
LADY VELVET2013/3113 15 g 1238 08287/00279
Star Fruit / Seleccion Plantas Seveuro
3/201745676
6/3/2017 FR31/12/2047
7/3/2020 Pàgina 61 de 98
DenominacióNº Exp. Nom comercial Codi / Titular Butlletí
Nº POV
Inici Protecció Fi Referència Obtentor /
Prunus persica (L.) Batsch
LAMINERA20034530 almanat (334F4828) ES1016
FRUTARIA COMERCIAL DE FResp
1-2010002475
25/12/2009 ES31/12/2039
LARCABON20024476 SD 9779 00279
Selección Plantas Sevilla SLesp
5-2009002447
22/7/2009 ES31/12/2039
LARCAPRE20024475 S9612 FG 00279
Selección Plantas Sevilla SLesp
5-2009002448
22/7/2009 ES31/12/2039
LEVANTE 1020104935 maca2 ES965
IMIDAesp
1-2017002752
16/1/2017 MACA2 ES31/12/2047
LEVANTE 2020135101 levante 20 ES998
IMIDA/NovaMedesp
1-2018002813
20/2/2018 ES31/12/2048
LEVANTE 3020104934 maca4 ES965
IMIDAesp
1-2017002751
16/1/2017 MACA4 ES31/12/2047
LEVANTE 4020135102 levante 40 ES998
IMIDA/NovaMedesp
1-2018002814
20/2/2018 ES31/12/2048
LOLA2010/2753 292-8 pj 04411
PSB Producción Vegetal SLeuro
3/201643310
25/4/2016 ES31/12/2046
LORDABRY20024473 S 9781 BR 00279
Selección Plantas Sevilla SLesp
5-2009002449
22/7/2009 ES31/12/2039
LORDADIAM2006/2406 6698s 00279/03299
Sel. Plantas Sevilla SL - S.N.C. Seuro
3/201129125
7/3/2011 ES31/12/2041
LORDADOU20024474 ST 9790 00279
Selección Plantas Sevilla SLesp
5-2009002450
22/7/2009 ES31/12/2039
LUCIANA2006/0021 n47-13 nj 04411
PSB Producción Vegetal SLeuro
3/201129121
7/3/2011 LUCIANA (R48) ES31/12/2041
LUX 29 02’2013/2983 p02f022a134 04628/00370
AGRO SELECTIONS FRUITS S.euro
2/201848353
19/2/2018 ES31/12/2048
LUX 30012013/2985 p03f025a025 04628/00370
AGRO SELECTIONS FRUITS S.euro
2/201951290
11/2/2019 ES31/12/2049
LUX 35 012011/3181 p01f004a069 00370/04628
IRTA/SARL Agro Selection Fruitseuro
3/201746010
3/4/2017 ES31/12/2047
LUX 35022012/2742 p01f008a007 00370/04628
IRTA/SARL Agro Selection Fruitseuro
5/201849951
16/7/2018 ES31/12/2048
MAGNA 29 012011/3179 p01f013a001 00370/04628
IRTA/SARL Agro Selection Fruitseuro
1/201744942
5/12/2016 ES31/12/2046
MAGNA 31 012011/3184 p01f011a002 00370/04628
IRTA/SARL Agro Selection Fruitseuro
6/201644801
17/10/2016 ES31/12/2046
MAGNA 37012012/2741 p02f006a043 00370/04628
IRTA/SARL Agro Selection Fruitseuro
5/201849950
16/7/2018 ES31/12/2048
MAILLARA2000/0352 01283727 02954
Scea Euro Pépinièreseuro
6/200311973
20/10/2003 BIG BANG* FR31/12/2033
MAILLARBIG2002/0587 ep 9215 r 02954
Scea Euro Pépinièreseuro
1/200412113
24/11/2003 BIGSUN FR1/1/2034
MAILLARBINETTE2002/0590 ep 97.51 02954
Scea Euro Pépinièreseuro
1/200412114
24/11/2003 BELBINETTE FR1/1/2034
MAILLARDANCE2004/0752 01.05.05.98 pb 04628
SARL Agro Selection Fruitseuro
3/200821919
10/3/2008 REGAL SNOW* 35 FR31/12/2038
MAILLARDIVA2004/0751 01.05.20.98 pb 04628
SARL Agro Selection Fruitseuro
3/200821918
10/3/2008 REGAL SNOW* 34 FR31/12/2038
MAILLARDUCHESSE2004/0749 01.14.77.01 nb 04628
SARL Agro Selection Fruitseuro
3/200821916
10/3/2008 NECTADELICE* 36 FR31/12/2038
MAILLARFLAT2002/0570 ep 93,06 02954
Scea Euro Pépinièreseuro
1/200412110
24/11/2003 SWEET CAP* FR1/1/2034
MAILLARGOOD2002/0573 ep 9420 r 02954
Scea Euro Pépinièreseuro
1/200412111
24/11/2003 VERYGOOD FR1/1/2034
7/3/2020 Pàgina 62 de 98
DenominacióNº Exp. Nom comercial Codi / Titular Butlletí
Nº POV
Inici Protecció Fi Referència Obtentor /
Prunus persica (L.) Batsch
MAILLARLOVE2004/0750 01.11.92.02 pb 04628
SARL Agro Selection Fruitseuro
3/200821917
10/3/2008 REGAL SNOW* 26 FR31/12/2038
MAILLARMAGIE2002/0589 nb0192497 clone ep 9769 02954
Scea Euro Pépinièreseuro
2/200616775
30/1/2006 MAGIQUE* FR31/12/2036
MAILLARMALINE2002/0571 ep 9655 pb 02954
Scea Euro Pépinièreseuro
2/200616773
30/1/2006 VALENTINE* FR31/12/2036
MAILLARNECTA2002/0572 ep 9748 02954
Scea Euro Pépinièreseuro
5/200618129
17/7/2006 BIG NECTARED FR31/12/2036
MAILLARPLUS2002/0574 ep 91,08 r 02954
Scea Euro Pépinièreseuro
1/200412112
24/12/2003 PLUSPLUS* FR1/1/2034
MAILLARPRINCESSE2004/0747 01.16.73.01 nb 04628
SARL Agro Selection Fruitseuro
3/200821914
10/3/2008 NECTADELICE 28 FR31/12/2038
MAILLARQUEEN2004/0745 01.14.03.01 nb 04628
SARL Agro Selection Fruitseuro
3/200821905
10/3/2008 NECTADELICE 25 FR31/12/2038
MAILLARUBY2002/0575 ep 94.41 nb 02954
Scea Euro Pépinièreseuro
2/200616774
30/1/2006 PRETTY RUBIS FR31/12/2036
MAJESTIC PEARL2007/2568 15 g 222 00279/08287
Sel. Plantas Sevilla SL / STAR Feuro
4/201232806
4/6/2012 ES31/12/2042
MAPERLA2005/0910 02.11.19 : asf 0363 04628
SARL Agro Selection Fruitseuro
2/200924119
23/2/2009 REGAL SNOW* 30 FR31/12/2039
MARFILNECT20094865 ivia-mel 01 01157
IVIA - Institut Valencià d'Investigaesp
5-2017002781
8/9/2017 IVIA-MEL 01 ES31/12/2047
MAY HERO2009/2287 w / sil-42 05589/05590
Gravilorenzo SL - A. Lópezeuro
2/201436966
24/2/2014 MAY HERO ES31/12/2044
MAY PEARL2008/2768 30 p 484 00279/08287
Sel. Plantas Sevilla SL / STAR Feuro
2/201231543
20/2/2012 MAY PEARL ES31/12/2042
MELDOREE2010/2717 8-01-02 06556
AC FRUIT SASeuro
5/201438704
28/7/2014 FR31/12/2044
MESEMBRINE2001/1739 s 6606 00689
INRA-Institut National de la Recheuro
6/200311978
20/10/2003 MESEMBRINE FR31/12/2033
MESSAPIA2002/0724 messapia 03849
Giannoccaro Pietroeuro
6/200414095
25/10/2004 IT31/12/2034
MISTRAL 3020125046 novaplat-30ca ES965
IMIDAesp
1-2018002815
20/2/2018 ES31/12/2048
MOMEE1995/1043 4001 08287
STAR FRUITS DIFFUSION S.A.euro116
3/19971870
3/4/1997 JADE* FR1/2/2023
MONADINE2007/0118 2-3 01045
Monteux Gaillet Reneeuro
4/201232797
21/5/2012 MONADINE FR31/12/2042
MONAFI20054588 1079 ES921
René Monteux-Cailletesp
4-2010002502
12/7/2010 GRENAT* FR31/12/2040
MONALU20024454 149 5 ES920
Star Fruits SNCesp
5-2009002451
22/7/2009 ONYX* FR31/12/2039
MONANGE2013/3040 1-3-02-07-07 01045
Monteux Gaillet Reneeuro
4/201746385
10/5/2017 FR31/12/2047
MONARIGA2007/2725 1 02 02 01045
Monteux Gaillet Reneeuro
1/201231263
19/12/2011 FR31/12/2041
MONASID2007/2565 2 09 02 01045
Monteux Gaillet Reneeuro
3/201129639
18/4/2011 FR31/12/2041
MONATUN2007/2564 2 04 02 01045
Monteux Gaillet Reneeuro
3/201129638
18/4/2011 FR31/12/2041
MONBACH2013/3045 4-14 01045
Monteux Gaillet Reneeuro
4/201438337
16/6/2014 FR31/12/2044
MONBELLO2011/0127 12 04 02 01045
Monteux Gaillet Reneeuro
2/201436971
24/2/2014 FR31/12/2044
7/3/2020 Pàgina 63 de 98
DenominacióNº Exp. Nom comercial Codi / Titular Butlletí
Nº POV
Inici Protecció Fi Referència Obtentor /
Prunus persica (L.) Batsch
MONCANTE2009/0074 23 20 02 01045
Monteux Gaillet Reneeuro
2/201334165
18/2/2013 23 20 02 FR31/12/2043
MONCAV1995/1044 15-83-170 00160
Gie Star Fruitseuro116
2/19971644
15/1/1997 OPALE* FR1/2/2022
MONCHA2013/3053 12-24 01045
Monteux Gaillet Reneeuro
4/201438339
16/6/2014 FR31/12/2044
MONCO20014383 7025 FR900
Monteux-Caillet, Renéesp
5-2009002453
22/7/2009 CORALINE* FR31/12/2039
MONDORÉ2003/2397 161-15 01045
Monteux Gaillet Reneeuro
3/200821921
10/3/2008 DOLOMITE* FR31/12/2038
MONEKAT2016/0529 8-1-10-8-4 01045
Monteux Gaillet Reneeuro
3/201951674
11/3/2019 FR31/12/2049
MONERIN2006/2508 15-10 01045
Monteux Gaillet Reneeuro
3/200821932
10/3/2008 ORINE* FR31/12/2038
MONFLAM2016/0528 8-10-4 01045
Monteux Gaillet Reneeuro
3/201951673
11/3/2019 FR31/12/2049
MONGOT2003/2399 53-15 01045
Monteux Gaillet Reneeuro
3/200821922
10/3/2008 AMAZONITE* FR31/12/2038
MONGROS2002/1424 966 01045
Monteux Gaillet Reneeuro
6/200516191
12/9/2005 GYPSE* FR31/12/2035
MONIRON2008/2743 0 14 7 07 01045
Monteux Gaillet Reneeuro
3/201129642
18/4/2011 MONIRON FR31/12/2041
MONIVO20014386 89.6 FR900
Monteux-Caillet, Renéesp
5-2009002456
22/7/2009 IVOIRE* FR31/12/2039
MONJAUNE20024455 160 3 ES920
Star Fruits SNCesp
5-2009002457
22/7/2009 CORINDON* FR31/12/2039
MONLEB2013/3043 4-8 01045
Monteux Gaillet Reneeuro
4/201438336
16/6/2014 FR31/12/2044
MONLORI2014/3086 8-9-4 01045
Monteux Gaillet Reneeuro
3/201849025
23/4/2018 FR31/12/2048
MONLY2004/2486 4-3-7 01045
Monteux Gaillet Reneeuro
3/200821926
10/3/2008 FR31/12/2038
MONMEIL2007/2724 19 1 2 01045
Monteux Gaillet Reneeuro
2/201128855
7/2/2011 FR31/12/2041
MONNOIR2002/1426 956 01045
Monteux Gaillet Reneeuro
6/200516192
12/9/2005 AZURITE* FR31/12/2035
MONNUDE1995/1041 2201 08287
STAR FRUITS DIFFUSION S.A.euro116
2/19971642
15/1/1997 EMERAUDE* FR1/2/2022
MONPERSI2006/2506 29-'2-02 01045
Monteux Gaillet Reneeuro
2/201026776
22/2/2010 FR31/12/2040
MONPHIR1995/1037 70-97 08287
STAR FRUITS DIFFUSION S.A.euro116
3/19971868
3/4/1997 ZEPHYR* FR1/5/2022
MONRENÉ2007/2561 18 08 02 01045
Monteux Gaillet Reneeuro
2/201128851
7/2/2011 FR31/12/2041
MONRIES2003/1818 075 01045
Monteux Gaillet Reneeuro
3/200617327
24/4/2006 CRISTAL* FR31/12/2036
MONRUN2006/2502 22-01-02 01045
Monteux Gaillet Reneeuro
6/201028211
6/9/2010 SANDINE FR31/12/2040
MONSAN 12003/2398 12-15 01045
Monteux Gaillet Reneeuro
3/200822070
7/4/2008 FR31/12/2038
MONSANDEUX2006/2509 12-85 01045
Monteux Gaillet Reneeuro
2/201026777
22/2/2010 FR31/12/2040
MONSAT2006/2507 238 01045
Monteux Gaillet Reneeuro
3/200821931
10/3/2008 MONSAT FR31/12/2038
7/3/2020 Pàgina 64 de 98
DenominacióNº Exp. Nom comercial Codi / Titular Butlletí
Nº POV
Inici Protecció Fi Referència Obtentor /
Prunus persica (L.) Batsch
MONTALINE2006/2504 426 01045
Monteux Gaillet Reneeuro
2/200924102
23/2/2009 TOURMALINE* FR31/12/2039
MONTARSA2003/1809 047 01045
Monteux Gaillet Reneeuro
3/200617326
24/4/2006 FR31/12/2036
MONTICA2008/2741 17 b14 02 01045
Monteux Gaillet Reneeuro
4/201130327
6/6/2011 MONTICA FR31/12/2041
MONTONNE2005/2521 21-61 01045
Monteux Gaillet Reneeuro
2/201026760
22/2/2010 FR31/12/2040
MONVAL2013/3050 12-87 01045
Monteux Gaillet Reneeuro
4/201438338
16/6/2014 FR31/12/2044
NAJORY2014/3153 5-1-07-09-07 06556
AC FRUIT SASeuro
2/201848408
19/2/2018 FR31/12/2048
NEBRASKA2014/1045 4107-9 nj 04411
PSB Producción Vegetal SLeuro
2/201951502
25/2/2019 ES31/12/2049
NECTA ZEE1995/1317 354 93n 00189
DARNAUD, Jean-Pierreeuro
1/19993889
14/12/1998 FR31/12/2028
NECTABANG2009/0927 4n.05.141 nj - asf 0503 04628
SARL Agro Selection FruitsEURO
2/201334169
18/2/2013 NECTAPOM 23 FR31/12/2043
NECTABELLE2008/0576 4n.12.65 nj - asf 0501 04628
SARL Agro Selection Fruitseuro
2/201231530
20/2/2012 NECTAPOM 22.1 FR31/12/2042
NECTABINGO2012/0740 03.8w.31nj - asf1002 04628
SARL Agro Selection Fruitseuro
3/201642721
7/3/2016 FR31/12/2046
NECTACHIEF2005/0908 01.23.01 : asf 0201 04628
SARL Agro Selection Fruitseuro
2/200924117
23/2/2009 NECTAPOM 26 FR31/12/2039
NECTADELICIOUS2005/0907 01.24.49 : asf 0206 04628
SARL Agro Selection Fruitseuro
2/200924116
23/2/2009 NECTAPOM 31 FR31/12/2039
NECTADIVA2011/0558 4n.03.120nj - asf0619 04628
SARL Agro Selection Fruitseuro
2/201539650
23/2/2015 FR31/12/2045
NECTAFLASH2012/2703 03.30w.109nj - asf1108 04628
SARL Agro Selection Fruitseuro
2/201745520
20/2/2017 FR31/12/2047
NECTAFUN2011/0559 01.29w.11nj - asf0704 04628
SARL Agro Selection Fruitseuro
6/201644389
19/9/2016 FR31/12/2046
NECTAGALA2004/0742 01.07.43.01 nj 04628
SARL Agro Selection Fruitseuro
3/200821908
10/3/2008 NECTAPOM* 32 FR31/12/2038
NECTAJOY2014/3180 02.8w.125.11nj - asf1111l 04628
SARL Agro Selection Fruitseuro
3/201951669
11/3/2019 FR31/12/2049
NECTAJULIE2011/0557 4n.02.95nj - asf0613 04628
SARL Agro Selection Fruitseuro
2/201539649
23/2/2015 FR31/12/2045
NECTAKING2012/2702 4s.10w.44nj - asf0805 04628
SARL Agro Selection Fruitseuro
2/201745519
20/2/2017 FR31/12/2047
NECTALADY2004/0744 01.24.93.02 nj 04628
SARL Agro Selection Fruitseuro
3/200821906
10/3/2008 NECTAPOM 35 FR31/12/2038
NECTAMOUR2010/0479 4n.08.149nj - asf0608 04628
SARL Agro Selection Fruitseuro
2/201539639
23/2/2015 NECTAMOUR FR31/12/2045
NECTANA2014/3179 4n.14w.33.12nj - asf1311 04628
SARL Agro Selection Fruitseuro
3/201951668
11/3/2019 FR31/12/2049
NECTAPI2008/0581 03.22.128 nj - asf 0414 04628
SARL Agro Selection Fruitseuro
2/201231534
20/2/2012 NECTAPI FR31/12/2042
NECTAPINK2004/0741 01.08.60.01 nj 04628
SARL Agro Selection Fruitseuro
3/200821909
10/3/2008 NECTAPOM 30 FR31/12/2038
NECTAPRIMA2004/0738 01.01.02.00 nj 04628
SARL Agro Selection Fruitseuro
3/200821912
10/3/2008 NECTAPOM* 22 FR31/12/2038
NECTARBONDANT2010/0485 01.27w.71nb - asf0732 04628
SARL Agro Selection Fruitseuro
4/201437911
5/5/2014 NECTARBONDANT FR31/12/2044
7/3/2020 Pàgina 65 de 98
DenominacióNº Exp. Nom comercial Codi / Titular Butlletí
Nº POV
Inici Protecció Fi Referència Obtentor /
Prunus persica (L.) Batsch
NECTARBOOM2010/0486 01.29w.19nb - asf0822 04628
SARL Agro Selection Fruitseuro
2/201436692
27/1/2014 NECTARBOOM FR31/12/2044
NECTARCRISP2006/0995 02.07.13 nb-asf 0227 04628
SARL Agro Selection Fruitseuro
2/201026766
22/2/2010 NECTASWEET* 35 FR31/12/2040
NECTARDREAM2010/0484 01.26e.04nb - asf0730 04628
SARL Agro Selection Fruitseuro
2/201436697
24/2/2014 NECTARDREAM FR31/12/2044
NECTARDUCHESSE2011/0561 01.26e.14nb - asf0833 04628
SARL Agro Selection Fruitseuro
2/201539652
23/2/2015 FR31/12/2045
NECTAREARLY2009/0932 4n.12.88 nb - asf 0623 04628
SARL Agro Selection FruitsEURO
1/201539127
3/11/2014 NECTASWEET 22 FR31/12/2044
NECTAREINE2004/0740 01.06.26.99 nj 04628
SARL Agro Selection Fruitseuro
3/200821910
10/3/2008 NECTAPOM 29 FR31/12/2038
NECTARELSE2014/3174 4n.2w.120.12nb - asf1340 04628
SARL Agro Selection Fruitseuro
3/204951664
11/3/2019 FR31/12/2049
NECTAREXQUISE2006/0996 02.10.61 nb-asf 0328 04628
SARL Agro Selection Fruitseuro
2/201026767
22/2/2010 NECTASWEET* 32 FR31/12/2040
NECTARFLORA2009/0933 05.02.109 nb - asf 0624 04628
SARL Agro Selection FruitsEURO
2/201334174
18/2/2013 NECTASWEET 23 FR31/12/2043
NECTARIANE2004/0739 01.07.33.01 nj 04628
SARL Agro Selection Fruitseuro
3/200821911
10/3/2008 NECTAPOM* 28-1 FR31/12/2038
NECTARJEWEL2006/0994 03.12.74 nb-asf 0426 04628
SARL Agro Selection Fruitseuro
2/201026765
22/2/2010 FR31/12/2040
NECTARLAM2010/0491 4s.10w.100nb - asf0832 04628
SARL Agro Selection Fruitseuro
2/201539641
23/2/2015 NECTARLAM (ASF 08-32) FR31/12/2045
NECTARLOVE2010/0483 01.26e.01nb - asf0726 04628
SARL Agro Selection Fruitseuro
4/201437910
5/5/2014 NECTARLOVE FR31/12/2044
NECTARLYS2014/3177 03.32w.02.11nb - asf1128l 04628
SARL Agro Selection Fruitseuro
3/201951666
11/3/2019 FR31/12/2049
NECTARMAGIE2004/0746 02.10.66.02 nb 04628
SARL Agro Selection Fruitseuro
3/200821913
10/3/2008 NECTASWEET 26 FR31/12/2038
NECTARNOVALA2014/3176 4n.11e.23.13nb - asf1323 04628
SARL Agro Selection Fruitseuro
3/201951665
11/3/2019 FR31/12/2049
NECTARNOW2014/3175 07.08.40.12nb - asf1325 04628
SARL Agro Selection Fruitseuro
3/201952379
15/4/2019 FR31/12/2049
NECTARONDA2014/3178 02.05.81.13nj - asf1304 04628
SARL Agro Selection Fruitseuro
3/201951667
11/3/2019 FR31/12/2049
NECTAROYAL2004/0743 01.23.15.02 nj 04628
SARL Agro Selection Fruitseuro
3/200821907
10/3/2008 NECTAPOM 33 FR31/12/2038
NECTARPERF2013/3037 01.26e.35nb - asf0831 04628
SARL Agro Selection Fruitseuro
2/201848406
19/2/2018 FR31/12/2048
NECTARPERLE2004/0748 01.16.107.02 nb 04628
SARL Agro Selection Fruitseuro
3/200821915
10/3/2008 NECTASWEET* 28 FR31/12/2038
NECTARRELIE2012/0741 01.29e.01nb - asf0821 04628
SARL Agro Selection Fruitseuro
3/201642722
7/3/2016 FR31/12/2046
NECTARREVE2008/0582 4n.12.81 nb - asf 0522 04628
SARL Agro Selection Fruitseuro
2/201231535
20/2/2012 NECTASWEET 27 FR31/12/2042
NECTARRUBY2010/0487 01.25e.52nb - asf0828 04628
SARL Agro Selection Fruitseuro
4/201437912
5/5/2014 NECTARRUBY FR31/12/2044
NECTARTIC2010/0489 4s.11e.109nb - asf0830 04628
SARL Agro Selection Fruitseuro
2/201436693
27/1/2014 NECTARIC FR31/12/2044
NECTASIA2011/0560 05.05.05nj - asf0712 04628
SARL Agro Selection Fruitseuro
2/201539651
23/2/2015 FR31/12/2045
NECTASTAR2010/0482 05.10e.115nj - asf0707 04628
SARL Agro Selection Fruitseuro
2/201436691
27/1/2014 NECTASTAR FR31/12/2044
7/3/2020 Pàgina 66 de 98
DenominacióNº Exp. Nom comercial Codi / Titular Butlletí
Nº POV
Inici Protecció Fi Referència Obtentor /
Prunus persica (L.) Batsch
NECTASUNNY2014/3181 03.30e.09.11nj - asf1120 04628
SARL Agro Selection Fruitseuro
3/201951670
11/3/2019 FR31/12/2049
NECTATINTO2010/0481 4n.05.33nj - asf0620 04628
SARL Agro Selection Fruitseuro
2/201539640
23/2/2015 NECTATINTO FR31/12/2045
NECTATOP2008/0578 03.22.87 nj - asf 0515 04628
SARL Agro Selection Fruitseuro
2/201231532
20/2/2012 NECTATOP FR31/12/2042
NECTAVANPI2009/0926 03.22.124 nj - asf 0413 04628
SARL Agro Selection FruitsEURO
2/201334168
18/2/2013 NECTAVANPI FR31/12/2043
NECTAVANTOP2009/0928 05.06.183 nj - asf 0711 04628
SARL Agro Selection FruitsEURO
2/201334170
18/2/2013 NECTAVANTOP FR31/12/2043
NECTAVISTA2008/0577 4n.05.152 nj - asf 0504 04628
SARL Agro Selection Fruitseuro
2/201231531
20/2/2012 NECTAPOM 25 FR31/12/2042
NERID 003972008/2533 00397 05510
Daniele NERIeuro
4/201335363
21/5/2013 NERID 00397 IT31/12/2043
NERID 004082008/2530 00408 05510
Daniele NERIeuro
4/201335360
21/5/2013 NERID 00408 IT31/12/2043
NERID 005222008/2531 00522 05510
Daniele NERIeuro
4/201335361
21/5/2013 NERID 00522 IT31/12/2043
NERID 013482007/1816 01348 05510
Daniele NERIeuro
4/201232801
21/5/2012 IT31/12/2042
NERID 887362006/1451 romagna 3000 05510
Daniele NERIeuro
4/201130307
6/6/2011 IT31/12/2041
NERID 957022007/1817 95702 05510
Daniele NERIeuro
4/201232802
21/5/2012 IT31/12/2042
NERID 975172007/1815 97517 05510
Daniele NERIeuro
4/201232800
21/5/2012 IT31/12/2042
NERID 997412008/2532 99741 05510
Daniele NERIeuro
4/201335362
21/5/2013 NERID 99741 IT31/12/2043
NERID 997432007/1818 99743 05510
Daniele NERIeuro
4/201232803
21/5/2012 ROMAGNA GOLD IT31/12/2042
NERID012062012/0326 romagna sweet 05510
Daniele NERIeuro
3/201952376
15/4/2019 IT31/12/2049
NORACILA2007/0093 n46-9 nj 04411
PSB Producción Vegetal SLeuro
5/201233280
6/8/2012 ES31/12/2042
OCTOBER STAR2001/0797 october star 01474
Vivai Fratelle Zanzi di Carlo Zanzieuro
5/200515859
18/7/2005 OCTOBER STAR IT31/12/2035
ORDIGAN2001/1740 s 6184 00689
INRA-Institut National de la Recheuro
3/200514782
7/3/2005 ORDIGAN FR31/12/2035
ORIANE2001/1741 s 6422 00689
INRA-Institut National de la Recheuro
6/200311980
20/10/2003 ORIANE FR31/12/2033
ORIOLA2001/1742 s 6817 00689
INRA-Institut National de la Recheuro
6/200516189
12/9/2005 ORIOLA FR31/12/2035
ORNELLA2001/1743 s 5848 00689
INRA-Institut National de la Recheuro
6/200516190
12/9/2005 ORNELLA FR31/12/2035
OSIRIS2014/2515 ha555-3 ppj 04411
PSB Producción Vegetal SLeuro
2/201951507
25/2/2019 ES31/12/2049
PABEARLY2016/0518 6-0-10-06-07 06556
AC FRUIT SASeuro
3/2019518553
28/3/2019 FR31/12/2049
PALOMINA2013/0206 350-01 pb 04411
PSB Producción Vegetal SLeuro
3/201848566
19/3/2018 ES31/12/2048
PAMELA2012/2212 b 407-2 pb 04411
PSB Producción Vegetal SLeuro
3/201745886
20/3/2017 ES31/12/2047
PAMPANA2014/2518 k313-26 pj 04411
PSB Producción Vegetal SLeuro
2/201951509
25/2/2019 ES31/12/2049
7/3/2020 Pàgina 67 de 98
DenominacióNº Exp. Nom comercial Codi / Titular Butlletí
Nº POV
Inici Protecció Fi Referència Obtentor /
Prunus persica (L.) Batsch
PASIONATA2014/0856 b 426-25 npb 04411
PSB Producción Vegetal SLeuro
2/201951291
11/2/2019 ES31/12/2049
PATAGONIA2013/3049 t64-36 nj 04411
PSB Producción Vegetal SLeuro
2/201848355
19/2/2018 ES31/12/2048
PEARL TIME2013/3114 48 p 470 08287/00279
Star Fruit / Seleccion Plantas Seveuro
3/201745677
6/3/2017 FR31/12/2047
PIATTAFORONE2011/2547 iff 985 06797
C.R.A. - FRFeuro
2/201436707
27/1/2014 SWEET RING IT31/12/2044
PIATTAFORTWO2011/2546 iff 1180 06797
C.R.A. - FRFeuro
2/201436706
27/1/2014 PINK RING IT31/12/2044
PIT LANE2014/2967 am 12 03049
Minguzzi Angeloeuro
2/201951514
25/2/2019 IT31/12/2049
PIX ZEE1995/1319 343 92p 01753
Pepinières Darnaud s aeuro
1/19993890
14/12/1998 FR31/12/2028
PLABLANEC2001/1667 97.14.065-nb 00132
Plantas de Navarra SAeuro
2/200924126
23/2/2009 VIOWHITE 5 ES31/12/2039
PLACASTAMEL2001/1658 95.15.001-p 00132
Plantas de Navarra SAeuro
2/200924124
23/2/2009 PLAGOLD 10 ES31/12/2039
PLAGOLD 162013/2673 03.51.008 p 00132
Plantas de Navarra SAeuro
2/201848128
22/1/2018 ES31/12/2048
PLAGOLD 172005/2046 99.02.157-p 00132
Plantas de Navarra SAeuro
3/201026947
22/3/2010 PLAGOLD 17 ES31/12/2040
PLAGOLD 212008/2235 97.06.010-p 00132
Plantas de Navarra SAeuro
2/201334068
21/1/2013 PLAGOLD 21 ES31/12/2043
PLAGOLD 222011/0242 00.45.030 p 00132
Plantas de Navarra SAeuro
2/201642619
22/2/2016 ES31/12/2046
PLATIBELLE2007/2850 nº 4 00689/06122
INRA - EARL QUARTIER NEUFeuro
2/201128856
7/2/2011 PLATIBELLE FR31/12/2041
PLATIFIRST2007/2852 nº 6 00689/06122
INRA - EARL QUARTIER NEUFeuro
2/201128858
7/2/2011 PLATIFIRST FR31/12/2041
PLATIFUN2007/2851 nº 5 00689/06122
INRA - EARL QUARTIER NEUFeuro
2/201128857
7/2/2011 PLATIFUN FR31/12/2041
PLATIMED2015/0667 platimed 00689/06122
INRA - EARL QUARTIER NEUFeuro
3/201951671
11/3/2019 FR31/12/2049
PLATIMOON2007/2853 nº 22 00689/06122
INRA - EARL QUARTIER NEUFeuro
3/201334257
4/3/2013 PLATIMOON FR31/12/2043
PLATIPRIM2015/0669 platiprim 00689/06122
INRA - EARL QUARTIER NEUFeuro
3/201951672
11/3/2019 FR31/12/2049
PLAWHITE 102003/1893 97.08.220-pb 00132
Plantas de Navarra SAeuro
3/201026942
22/3/2010 PLAWHITE 10 ES31/12/2040
PLAWHITE 202006/1961 97.08.142-pb 00132
Plantas de Navarra SAeuro
3/201129632
18/4/2011 ES31/12/2041
PLAWHITE 52002/2113 97.08.017-pb 00132
Plantas de Navarra SAeuro
2/200924127
23/2/2009 PLAWHITE 5 ES31/12/2039
PLAZANOMEL2001/1659 97.08.309-p 00132
Plantas de Navarra SAeuro
2/200924125
23/2/2009 PLAGOLD® 5 ES31/12/2039
PRESIVAC 12018/0302 ivia mela ac-0059-08 01157
IVIA - Institut Valencià d'Investigaeuro
1/201950851
17/12/2018 ES31/12/2048
PRIME PEARL2009/2505 9 g 820 00279/08287
Sel. Plantas Sevilla SL / STAR Feuro
2/201334181
18/2/2013 9 G 820 (PRIME PEARL) ES31/12/2043
PRINCESS TIME2011/2889 30 c 222 00160/00279
Gie Star Fruits - Sel. Plantas Sevieuro
2/201539658
23/2/2015 FR31/12/2045
PRO 282013/2731 cp3-631 06772
Viveros Provedo SAeuro
2/201642573
22/2/2016 EXTREME 28 ES31/12/2043
7/3/2020 Pàgina 68 de 98
DenominacióNº Exp. Nom comercial Codi / Titular Butlletí
Nº POV
Inici Protecció Fi Referència Obtentor /
Prunus persica (L.) Batsch
PRO 3142013/2729 cp3-11878 06772
Viveros Provedo SAeuro
2/201539405
26/1/2015 EXTREME 314 ES31/12/2045
PRO 43620114970 PRO436 06772
Viveros Provedo SAesp
1-2018002819
20/2/2018 ES31/12/2048
PRO 4432017/2512 cp3-8264 06772
Viveros Provedo SAeuro
3/201848568
19/3/2018 JALON ES31/12/2048
PRO 4602013/2728 cp3-29558 06772
Viveros Provedo SAeuro
2/201539404
26/1/2015 EXTREME 460 ES31/12/2045
PRO 4862017/2854 cp3-18326 06772
Viveros Provedo SAeuro
4/201849555
22/5/2018 EXTREME 486 ES31/12/2048
PRO 49320114966 PRO493 06772
Viveros Provedo SAesp
1-2018002824
20/2/2018 ES31/12/2048
PRO 50420145169 PRO 504 ES931
Viveros PROVEDO SAesp
1-2019002868
5/2/2019 ES31/12/2049
PRO 5202016/2791 cp5 1752 06772
Viveros Provedo SAeuro
4/201746584
22/5/2017 CINCA ES31/12/2047
PRO 55320114965 PRO553 06772
Viveros Provedo SAesp
1-2018002828
20/2/2018 ES31/12/2048
PRO 5632013/2730 cp5-3385 06772
Viveros Provedo SAeuro
2/201539406
26/1/2015 EXTREME GLOBE ES31/12/2045
PRO 56820114973 PRO568 06772
Viveros Provedo SAesp
1-2018002829
20/2/2018 ES31/12/2048
PRO 5702017/2515 cp4-1000 06772
Viveros Provedo SAeuro
4/201849503
22/5/2018 PRO 570 ES31/12/2048
PRO 6142017/2855 pro 614 06772
Viveros Provedo SAeuro
5/201850044
16/7/2018 EXTREME CANDY ES31/12/2048
PRO 64620125040 pro 646 ES931
Viveros PROVEDO SAesp
1-2017002754
16/1/2017 PLANE SUMMER ES31/12/2047
PRO 792013/2727 cp2-159 06772
Viveros Provedo SAeuro
3/201642910
11/4/2016 EXTREME 79 ES31/12/2046
PRO C 10520084797 CP3-16595 ES931
Viveros PROVEDO SAesp
2-2013002577
17/1/2013 YUSTE ES31/12/2043
PRO C 1072009/1828 cp3-21596 06772
Viveros Provedo SAeuro
3/201334370
4/3/2013 PLANE SUN ES31/12/2043
PRO C 1382009/1810 cp3-677 06772
Viveros Provedo SAeuro
3/201642901
21/3/2016 EXTREME DELIGHT ES31/12/2046
PRO C 152009/1830 cp3-676 06772
Viveros Provedo SAeuro
1/201436613
16/12/2013 FRESH QUEEN ES31/12/2043
PRO C 1512009/1832 cp3-21669 06772
Viveros Provedo SAeuro
2/201436689
27/1/2014 PLANE DELICIOUS ES31/12/2044
PRO C 1652009/1812 cp2-165 06772
Viveros Provedo SAeuro
5/201027852
5/7/2010 EXTREME RED ES31/12/2040
PRO C 18220084796 CP3-6333 ES931
Viveros PROVEDO SAesp
2-2013002585
17/1/2013 LEYRE ES31/12/2043
PRO C 1852009/1829 cp3-21630 06772
Viveros Provedo SAeuro
3/201334372
4/3/2013 PLANE STAR ES31/12/2043
PRO C 2062009/1826 cp3-21585 06772
Viveros Provedo SAeuro
3/201334368
4/3/2013 PLANE GOLD ES31/12/2043
PRO C 2112009/1809 cp3-16938 06772
Viveros Provedo SAeuro
3/201334258
4/3/2013 EXTREME GREAT ES31/12/2043
PRO C 2182009/1814 cp3-20006 06772
Viveros Provedo SAeuro
3/201334259
4/3/2013 EXTREME MOON ES31/12/2043
PRO C 22020084788 CP3-22677 ES931
Viveros PROVEDO SAesp
2-2013002590
17/1/2013 POBLET ES31/12/2043
7/3/2020 Pàgina 69 de 98
DenominacióNº Exp. Nom comercial Codi / Titular Butlletí
Nº POV
Inici Protecció Fi Referència Obtentor /
Prunus persica (L.) Batsch
PRO C 2242009/1822 cp3-23401 06772
Viveros Provedo SAeuro
3/201334364
4/3/2013 FRESH BIG ES31/12/2043
PRO C 23620084789 CP3-22673 ES931
Viveros PROVEDO SAesp
BOE98002676
25/4/2015 VERUELA ES31/12/2044
PRO C 252009/1831 cp3-2207 06772
Viveros Provedo SAeuro
3/201334271
4/3/2013 FRESH RED ES31/12/2043
PRO C 3292009/1817 cp3-2725 06772
Viveros Provedo SAeuro
2/201539403
26/1/2015 EXTREME BEAUTY ES31/12/2045
PRO C 3422009/1821 cp1-342 06772
Viveros Provedo SAeuro
5/201027854
5/7/2010 FRESH WHITE ES31/12/2040
PRO C 6382009/1808 cp1-638 06772
Viveros Provedo SAeuro
5/201027851
5/7/2010 EXTREME JULY ES31/12/2040
PRO C 6552009/1818 cp1-655 06772
Viveros Provedo SAeuro
5/201027853
5/7/2010 EXTREME SWEET ES31/12/2040
PRO C 8420084802 CP3-6230 ES931
Viveros PROVEDO SAesp
2-2013002601
17/1/2013 GUADALUPE ES31/12/2043
PULCHRA2014/2195 bo 02037004 08288/06804/06419/0
NEW PLANT/euro
3/201952408
15/4/2019 IT31/12/2049
PUNTOCOM2013/2530 p.i. 4/3 20 03049
Minguzzi Angeloeuro
3/201952227
28/3/2019 IT31/12/2049
PUNTOIT2013/2529 p.i. rdl ca 66 9 03049
Minguzzi Angeloeuro
2/201951500
25/2/2019 IT31/12/2049
QUEEN PEARL2008/2769 7 g 789 00279/08287
Sel. Plantas Sevilla SL / STAR Feuro
2/201231544
20/2/2012 7 G (QUEEN PEARL) ES31/12/2042
REBUS 0282011/2172 bo 96003028 06802/01869/04704/0
C.R.P.V/Apofruit Italia/Universitàeuro
4/201643720
23/5/2016 IT31/12/2046
REBUS 0382011/2173 bo 96028038 06802/01869/04704/0
C.R.P.V/Apofruit Italia/Universitàeuro
4/201643721
23/5/2016 IT31/12/2046
REBUS 1952011/2174 bo 96028195 06802/01869/04704/0
C.R.P.V/Apofruit Italia/Universitàeuro
4/201643722
23/5/2016 IT31/12/2046
RED STAR1996/1081 01474
Vivai Fratelle Zanzi di Carlo Zanzieuro
4/20017727
21/5/2001 RED STAR IT31/12/2031
RED WINK20155232 ROUGE DEBUT ES1016
FRUTARIA COMERCIAL DE FResp
BOE22002927
22/1/2020 ES31/12/2050
REDPEARL2005/0909 01.07.68 : asf 0106 04628
SARL Agro Selection Fruitseuro
2/200924118
23/2/2009 NECTAREGAL 33 FR31/12/2039
RICH LADY1995/1314 215 86p 00189
DARNAUD, Jean-Pierreeuro116
1/19971277
15/10/1996 RICH LADY FR1/12/2022
ROSABELLE2012/2731 1-2-06-08-07 01045
Monteux Gaillet Reneeuro
3/201642725
7/3/2016 FR31/12/2046
ROSALISE2010/2716 3-5-05-08-05 06556
AC FRUIT SASeuro
5/201438703
28/7/2014 FR31/12/2044
ROZIDU2006/2403 20700za 00279/03299
Sel. Plantas Sevilla SL - S.N.C. Seuro
3/201129122
7/3/2011 ES31/12/2041
RUBY BRIGHT2003/2467 34 p 572 00279/08287
Sel. Plantas Sevilla SL / STAR Feuro
3/200821923
10/3/2008 RUBY BRIGHT ES31/12/2038
SAGITTARIA2007/2202 01758
Istituto Sperimentale per la Fruttieuro
4/201232805
21/5/2012 IT31/12/2042
SAMANTHA2012/2218 ha 555-45 ppb 04411
PSB Producción Vegetal SLeuro
3/201745891
20/3/2017 ES31/12/2047
SEPTEMBER BRIGHT2003/2468 26 p 490 00279/08287
Sel. Plantas Sevilla SL / STAR Feuro
3/200821924
10/3/2008 SEPTEMBER BRIGHT ES31/12/2038
SGNE0012005/2406 sg-ne-3027 05084
Stargrow Cultivar Developement (euro
3/201027242
19/4/2010 ZA31/12/2040
7/3/2020 Pàgina 70 de 98
DenominacióNº Exp. Nom comercial Codi / Titular Butlletí
Nº POV
Inici Protecció Fi Referència Obtentor /
Prunus persica (L.) Batsch
SGNE0022006/2519 sgpr3129 05084
Stargrow Cultivar Developement (euro
4/201130098
23/5/2011 ZA31/12/2041
SIROCO 1020125045 novaflat 10-cb ES965
IMIDAesp
1-2017002757
16/1/2017 ES31/12/2047
SIROCO 2020135104 siroco 20 ES998
IMIDA/NovaMedesp
1-2018002833
20/2/2018 ES31/12/2048
SIROCO 3020135105 siroco 30 ES998
IMIDA/NovaMedesp
1-2018002834
20/2/2018 ES31/12/2048
SIROCO 4020135106 siroco 40 ES998
IMIDA/NovaMedesp
1-2018002835
20/2/2018 ES31/12/2048
SIROCO 4320135107 siroco 43 ES998
IMIDA/NovaMedesp
1-2018002836
20/2/2018 ES31/12/2048
SIROCO 520135103 siroco 5 ES998
IMIDA/NovaMedesp
1-2018002837
20/2/2018 ES31/12/2048
SNOW LADY2008/2770 7 g 143 00279/08287
Sel. Plantas Sevilla SL / STAR Feuro
2/201231545
20/2/2012 7 G 143 ES31/12/2042
STAR PEARL2004/2492 5p1150-sf00.081 00279/08287
Sel. Plantas Sevilla SL / STAR Feuro
3/200821928
10/3/2008 ES31/12/2038
STRIKE2010/2229 e 01 07123
Eleuteri Laura Azienda Agricolaeuro
4/201541350
22/6/2015 STRIKE IT31/12/2045
SUGAR BRAVO 82006/1958 sugar bravo-8 05589/05590
Gravilorenzo SL - A. Lópezeuro
5/201233279
6/8/2012 ES31/12/2042
SUGAR TIME2006/2512 536 98 pj 00189
DARNAUD, Jean-Pierreeuro
4/201130095
23/5/2011 FR31/12/2041
SUN BRIGHT2010/2714 5 p 788 00279/08287
Sel. Plantas Sevilla SL / STAR Feuro
4/201438208
2/6/2014 ES31/12/2044
SUNECTTWENTYONE2008/0076 05485
Sun World International LLCeuro
4/201335655
17/6/2013 US31/12/2043
SUNNEYY2010/0764 17c-28-11 02593
Agricultural Research Councileuro
2/201642395
8/2/2016 AMARELA 1 ZA31/12/2046
SUPECH-FIFTEN2006/2517 supechfiften 05485
Sun World International LLCeuro
3/201129636
18/4/2011 US31/12/2041
SURPRISE2003/0270 s6444 00689
INRA-Institut National de la Recheuro
6/200516194
12/9/2005 SURPRISE FR31/12/2035
SWEET DREAM2008/2761 688 07 pj 00189
DARNAUD, Jean-Pierreeuro
4/201335217
6/5/2013 SWEET DREAM FR31/12/2043
SWEET HENRY2009/2429 614 02 pj 00189
DARNAUD, Jean-Pierreeuro
3/201437750
22/4/2014 SWEET HENRY FR31/12/2044
SWEET JUANA2009/2430 663 05 pj 00189
DARNAUD, Jean-Pierreeuro
3/201540257
7/4/2015 SWEET JUANA FR31/12/2045
SWEET SNOW2014/2473 126 (10) 05589/05590
Gravilorenzo SL - A. Lópezeuro
3/201952377
15/4/2019 ES31/12/2049
SWEETALY
ASF1151L
2014/3162 03.31w.20.11pb lc - asf1151l 04628
SARL Agro Selection Fruitseuro
3/201951658
11/3/2019 FR31/12/2049
SWEETBANG2014/3161 03.2e.129.11pb - asf1154 04628
SARL Agro Selection Fruitseuro
3/201951657
11/3/2019 FR31/12/2049
SWEETBELLA2010/0496 03.28.22pb - asf0556 04628
SARL Agro Selection Fruitseuro
2/201436968
24/2/2014 SWEETBELLA FR31/12/2044
SWEETCHIEF2010/0497 4s.3e.119pb - asf0753 04628
SARL Agro Selection Fruitseuro
2/201436697
27/1/2014 SWEETCHIEF FR31/12/2044
SWEETEMBER2014/3163 03.7e.65.10pb - asf1053 04628
SARL Agro Selection Fruitseuro
3/201951659
11/3/2019 FR31/12/2049
SWEETLOVE2008/0585 03.28.21 pb - asf 0554 04628
SARL Agro Selection Fruitseuro
2/201231538
20/2/2012 TONICSWEET 26 FR31/12/2042
7/3/2020 Pàgina 71 de 98
DenominacióNº Exp. Nom comercial Codi / Titular Butlletí
Nº POV
Inici Protecció Fi Referència Obtentor /
Prunus persica (L.) Batsch
SWEETMOON2008/0586 03.28.16 pb - asf 0557 04628
SARL Agro Selection Fruitseuro
2/201231539
20/2/2012 SWEET MOON FR31/12/2042
SWEETPRIM2008/0584 4n.09.21 pb - asf 0651 04628
SARL Agro Selection Fruitseuro
2/201231537
20/2/2012 SWEET PRIM FR31/12/2042
SWEETREGAL2010/0499 01.23e.08pb - asf0851 04628
SARL Agro Selection Fruitseuro
2/201436698
27/1/2014 SWEETROYAL FR31/12/2044
SWEETREINE2010/0498 4s.13e.117pb - asf0755 04628
SARL Agro Selection Fruitseuro
4/201437914
5/5/2014 SWEETREINE FR31/12/2044
SWEETROSIE2014/3159 03.1e.02.11pbr - asf1155 04628
SARL Agro Selection Fruitseuro
3/201951655
11/3/2019 FR31/12/2049
SWEETSTAR2008/0587 02.09.94 pb - asf 0364 04628
SARL Agro Selection Fruitseuro
2/201231540
20/2/2012 SWEETSTAR FR31/12/2042
TARDERINA20074763 nectaria ES1016
FRUTARIA COMERCIAL DE FResp
1-2014002648
27/12/2013 ES31/12/2043
TERRAM 25022012/2740 p03f005a078 00370/04628
IRTA/SARL Agro Selection Fruitseuro
5/201849949
16/7/2018 ES31/12/2048
TERRAM 29 022013/2986 p01f031a070 04628/00370
AGRO SELECTIONS FRUITS S.euro
3/201848567
19/3/2018 ES31/12/2048
TERRAM 34012013/2982 p03f010a054 04628/00370
AGRO SELECTIONS FRUITS S.euro
4/201952697
20/5/2019 ES31/12/2049
TERRAM 36 012011/3176 p01f004a035 00370/04628
IRTA/SARL Agro Selection Fruitseuro
6/201644390
19/9/2016 ES31/12/2046
TERRAM 37012013/2981 p03f006a011 04628/00370
AGRO SELECTIONS FRUITS S.euro
4/201952696
20/5/2019 ES31/12/2049
TIFANY2010/2743 4050-1 nb 04411
PSB Producción Vegetal SLeuro
3/201643305
25/4/2016 ES31/12/2046
TIO ISIDRO20054614 aluenda 100905
Peñalosa García, J.A.esp
4-2011002536
6/7/2011 ES31/12/2041
UNAC2006/2405 p9942ce 00279/03299
Sel. Plantas Sevilla SL - S.N.C. Seuro
3/201129124
7/3/2011 ES31/12/2041
VIFMB 1 11120145135 MELOX 26 ES986
PROSEPLAN SLesp
1-2019002870
5/2/2019 ES5/12/2049
VIFMB 1 1112015/1706 mb 1 111 08851
VIVEROS PROSEPLAN S.L.euro
2/201950934
14/1/2019 ES31/12/2049
VIFMB 12 7920145137 MELOX 30 ES986
PROSEPLAN SLesp
1-2019002871
5/2/2019 ES5/12/2049
VIFMB 14 13020145136 MELOX 31 ES986
PROSEPLAN SLesp
1-2019002872
5/2/2019 ES5/12/2049
VIFMPB 1 19720135066 guayox30 ES986
PROSEPLAN SLesp
1-2018002838
20/2/2018 ES31/12/2048
VIFMPB 1 25820135068 guayox35 ES986
PROSEPLAN SLesp
1-2018002839
20/2/2018 ES31/12/2048
VIFMPB 1 2820135067 guayox32 ES986
PROSEPLAN SLesp
1-2018002840
20/2/2018 ES31/12/2048
VIFNA 1 12820135064 netix30 ES986
PROSEPLAN SLesp
1-2019002873
5/2/2019 ES31/12/2049
VIFNA 12 752015/2697 netix 25 08851
VIVEROS PROSEPLAN S.L.euro
3/201952238
28/3/2019 ES31/12/2049
VIFNA 18 6020145134 NETIX 30-2 ES986
PROSEPLAN SLesp
1-2019002874
5/2/2019 ES5/12/2049
VIFNB 1 6420145132 REDIX 24 ES986
PROSEPLAN SLesp
1-2019002875
5/2/2019 ES31/12/2049
VIFNB 12 25020135065 redix25 ES986
PROSEPLAN SLesp
1-2018002841
20/2/2018 ES31/12/2048
7/3/2020 Pàgina 72 de 98
DenominacióNº Exp. Nom comercial Codi / Titular Butlletí
Nº POV
Inici Protecció Fi Referència Obtentor /
Prunus persica (L.) Batsch
VIFNB 302015/1705 nb 30 08851
VIVEROS PROSEPLAN S.L.euro
3/201745803
20/3/2017 ES31/12/2047
VINAPRIME2013/3029 5-2-01-07-09 06556
AC FRUIT SASeuro
4/201746384
10/5/2017 FR31/12/2047
VIOWHITE 102003/2152 97.08.128-nb 00132
Plantas de Navarra SAeuro
3/201129628
18/4/2011 VIOWHITE 10 ES31/12/2041
YELLOWSTONE20125049 yellowstone ES993
SMS UNLIMITED LLCesp
1-2017002758
16/1/2017 US31/12/2047
ZAI17PAV2014/3201 17 05 pav 08604
MICHAIL C. TSESMELISeuro
2/201951505
25/2/2019 GR31/12/2049
ZAI27PAV2015/2722 27 08 pav 00189
DARNAUD, Jean-Pierreeuro
3/201952375
15/4/2019 FR31/12/2049
ZAI606PJ2009/2428 606 01 pj 00189
DARNAUD, Jean-Pierreeuro
4/201437908
5/5/2014 ZAI606PJ FR31/12/2044
ZAI624NJ2005/2420 624 98 nj 00189
DARNAUD, Jean-Pierreeuro
3/201027243
19/4/2010 FR31/12/2040
ZAI624PJ2008/2764 624 02 pj 00189
DARNAUD, Jean-Pierreeuro
4/201335218
6/5/2013 ZAI624PJ FR31/12/2043
ZAI659PJ2012/2583 659 05 pj 04880
International Plant Selectioneuro
4/201849460
22/5/2018 FR31/12/2048
ZAI660PB2011/2844 660 05 pb 00189
DARNAUD, Jean-Pierreeuro
4/201643725
23/5/2016 FR31/12/2046
ZAI665NJ2006/2510 665 99 nj 00189
DARNAUD, Jean-Pierreeuro
4/201130093
23/5/2011 HONEY BRIGHT FR31/12/2041
ZAI666PB2009/2432 666 05 pb 00189
DARNAUD, Jean-Pierreeuro
4/201643718
23/5/2016 ZAI666PB FR31/12/2046
ZAI667PBS2012/2584 667 05 pbs 04880
International Plant Selectioneuro
4/201849461
22/5/2018 FR31/12/2048
ZAI668PB2010/2585 668 05 pb 00189
DARNAUD, Jean-Pierreeuro
4/201643719
23/5/2016 FR31/12/2046
ZAI674PB2009/2433 674 05 pb 00189
DARNAUD, Jean-Pierreeuro
4/201437909
5/5/2014 ZAI674PB FR31/12/2044
ZAI682PB2011/2846 682 06 pb 00189
DARNAUD, Jean-Pierreeuro
4/201643727
23/5/2016 FR31/12/2046
ZAI685PB2011/2847 685 06 pb 00189
DARNAUD, Jean-Pierreeuro
4/201643728
23/5/2016 FR31/12/2046
ZAI691NJ2008/2754 691 99 nj 00189
DARNAUD, Jean-Pierreeuro
4/201335212
6/5/2013 ZAI691NJ FR31/12/2043
ZAI696PB2015/2720 696 07 pb 00189
DARNAUD, Jean-Pierreeuro
3/201952373
15/4/2019 FR31/12/2049
ZAI698PBS2012/2585 698 07 pbs 04880
International Plant Selectioneuro
4/201849462
22/5/2018 FR31/12/2048
ZAI712PJ2015/2721 712 08 pj 00189
DARNAUD, Jean-Pierreeuro
3/201952374
15/4/2019 FR31/12/2049
ZAI719PJ2012/2586 719 08 pj 04880
International Plant Selectioneuro
4/201849463
22/5/2018 FR31/12/2048
ZAI726NB2009/2436 726 00 nb 00189
DARNAUD, Jean-Pierreeuro
4/201438206
2/6/2014 ZAI726NB FR31/12/2044
ZAI752NB2005/2424 752 01 nb 00189
DARNAUD, Jean-Pierreeuro
3/201027246
19/4/2010 FR31/12/2040
ZAI770NB2008/2758 770 02 nb 00189
DARNAUD, Jean-Pierreeuro
4/201335214
6/5/2013 ZAI770NB FR31/12/2043
ZAI809NB2009/2437 809 04 nb 00189
DARNAUD, Jean-Pierreeuro
3/201540259
7/4/2015 ZAI809NB FR31/12/2045
7/3/2020 Pàgina 73 de 98
DenominacióNº Exp. Nom comercial Codi / Titular Butlletí
Nº POV
Inici Protecció Fi Referència Obtentor /
Prunus persica (L.) Batsch
ZAI827NJ2009/2435 827 05 nj 00189
DARNAUD, Jean-Pierreeuro
3/201540258
7/4/2015 ZAI827NJ FR31/12/2045
ZAI843NJ2011/2841 843 06 nj 00189
DARNAUD, Jean-Pierreeuro
4/201746695
22/5/2017 FR31/12/2047
ZAI845NJ2011/2842 845 06 nj 00189
DARNAUD, Jean-Pierreeuro
4/201643723
23/5/2016 FR31/12/2046
ZAI858NB2015/2716 858 07 nb 00189
DARNAUD, Jean-Pierreeuro
3/201952370
15/4/2019 FR31/12/2049
ZAI863NJ2015/2717 863 07 nj 00189
DARNAUD, Jean-Pierreeuro
3/201952371
15/4/2019 FR31/12/2049
ZAI867NJ2015/2718 867 08 nj 00189
DARNAUD, Jean-Pierreeuro
3/201952372
15/4/2019 FR31/12/2049
ZAI873NJ2012/2587 873 08 nj 04880
International Plant Selectioneuro
4/201849499
22/5/2018 FR31/12/2048
ZAI877NB2011/2843 877 08 nb 00189
DARNAUD, Jean-Pierreeuro
4/201643724
23/5/2016 FR31/12/2046
ZAIBIOGA1997/1053 337 91 NB 00189
DARNAUD, Jean-Pierreeuro
5/20029922
12/8/2002 QUEEN GEM FR31/12/2032
ZAIFER1995/1239 91 78 p 00189
DARNAUD, Jean-Pierreeuro116
1/19971273
15/10/1996 ROYAL GLORY FR1/11/2021
ZAIFISAN1999/1587 401 94 pb 00189
DARNAUD, Jean-Pierreeuro
6/200516282
10/10/2005 MAURA FR31/12/2035
ZAIGADI2000/1782 375 93p 00189
DARNAUD, Jean-Pierreeuro
5/200618116
17/7/2006 ROYAL JIM FR31/12/2036
ZAIGLE2005/2426 492 96 pb 00189
DARNAUD, Jean-Pierreeuro
3/201027248
19/4/2010 FR31/12/2040
ZAILATI1995/1241 122 81 pb 00189
DARNAUD, Jean-Pierreeuro116
1/19971275
15/10/1996 GLADYS FR1/12/2021
ZAIMAJAL2004/2462 409 94 p 00189
DARNAUD, Jean-Pierreeuro
3/201027230
19/4/2010 ROYAL MAJESTIC* FR31/12/2040
ZAIMUS2004/2469 592 99 p 00189
DARNAUD, Jean-Pierreeuro
3/201027232
19/4/2010 ROYAL SUMMER FR31/12/2040
ZAINOAR1995/1258 260 89 P 00189
DARNAUD, Jean-Pierreeuro
1/19993895
14/12/1998 RUBIRICH FR31/12/2028
ZAINOBE1995/1331 261 89P 00189
DARNAUD, Jean-Pierreeuro
1/19993892
14/12/1998 VISTARICH FR31/12/2028
ZAIPELA1997/1052 353 92 P 00189
DARNAUD, Jean-Pierreeuro
1/20017181
18/12/2000 ROYAL LEE* FR31/12/2030
ZAIPEVI1995/1330 344 92 Pb 01753
Pepinières Darnaud s aeuro
1/19993887
14/12/1998 FR31/12/2028
ZAIRETOP2003/2021 453 95 p 00189
DARNAUD, Jean-Pierreeuro
4/200822309
5/5/2008 ROYAL TIME* FR31/12/2038
ZAIRIALA1995/1333 278 90P 00189
DARNAUD, Jean-Pierreeuro
1/20028394
5/11/2001 EARLY RICH FR5/11/2031
ZAIRUBI1995/1323 320 91 Nb 00189
DARNAUD, Jean-Pierreeuro
1/20028391
5/11/2001 EARLIQUEEN FR31/12/2031
ZAISIRLY2001/1940 541 97 nb 00189
DARNAUD, Jean-Pierreeuro
5/200618122
17/7/2006 ROYALE QUEEN FR31/12/2036
ZAISITO2001/1904 53497 pb 00189
DARNAUD, Jean-Pierreeuro
5/200618118
17/7/2006 PATTY FR31/12/2036
ZAISNO2006/2511 780 03 nb 01753
Pepinières Darnaud s aeuro
4/201130094
23/5/2011 FR31/12/2041
ZAISULA2008/2762 488 96 pj 00189
DARNAUD, Jean-Pierreeuro
3/201231885
19/3/2012 ROYAL PRIDE* FR31/12/2042
7/3/2020 Pàgina 74 de 98
DenominacióNº Exp. Nom comercial Codi / Titular Butlletí
Nº POV
Inici Protecció Fi Referència Obtentor /
Prunus persica (L.) Batsch
ZAISUME1995/1327 275 89 pb 00189
DARNAUD, Jean-Pierreeuro
1/20028393
5/11/2001 SUMMER SWEET* FR1/12/2026
ZAITABO1995/1254 196 84 n 00189
DARNAUD, Jean-Pierreeuro116
1/19971276
15/10/1996 BIG TOP* FR1/11/2021
ZAITOLIO2001/1903 50296 nb 00189
DARNAUD, Jean-Pierreeuro
5/200618117
17/7/2006 QUEEN RED FR31/12/2036
ZAITROBO1998/1227 476 95n/172 le 506 00189
DARNAUD, Jean-Pierreeuro
6/200311645
8/9/2003 FR31/12/2033
ZAIZIZAN2008/2759 373 93 pj 00189
DARNAUD, Jean-Pierreeuro
4/201335215
6/5/2013 ZAIZIZAN FR31/12/2043
ZINCAL 172003/2151 97.08.076-n 00132
Plantas de Navarra SAeuro
3/201026943
22/3/2010 ZINCAL 17 ES31/12/2040
ZINCAL 32010/2294 02.64.004 n 00132
Plantas de Navarra SAeuro
2/201539643
23/2/2015 ZINCAL 3 ES31/12/2045
ZINCAL 302006/1959 00.22.007-n 00132
Plantas de Navarra SAeuro
1/201128572
17/12/2010 ZINCAL 30 ES31/12/2040
ZINCAL 82010/2295 97.14-080 n 00132
Plantas de Navarra SAeuro
2/201539644
23/2/2015 ZINCAL 8 ES31/12/2045
ZINCAL 92010/2296 97.15.024 n 00132
Plantas de Navarra SAeuro
2/201539645
23/2/2015 ZINCAL 9 ES31/12/2045
ZINEARM1996/0027 75EE189 00279
Selección Plantas Sevilla SLeuro
3/20017456
9/4/2001 ES31/12/2031
ZINEBEL1998/0073 n.92.26z 00279
Selección Plantas Sevilla SLeuro
4/200617620
22/5/2006 ES31/12/2036
ZINEBIG1998/0071 n89.18.z 00279
Selección Plantas Sevilla SLeuro
4/200617618
22/5/2006 ES31/12/2036
ZINEDIAM1998/0072 n.84.15z 00279
Selección Plantas Sevilla SLeuro
4/200617619
22/5/2006 ES31/12/2036
ZINEFIRE2006/2404 974na 00279/03299
Sel. Plantas Sevilla SL - S.N.C. Seuro
3/201129123
7/3/2011 ES31/12/2041
ZINEGE1996/0023 14GE100 00279
Selección Plantas Sevilla SLeuro
3/20017452
9/4/2001 ES31/12/2031
ZINEGLO1998/0075 n-91-19z 00279
Selección Plantas Sevilla SLeuro
4/200617622
22/5/2006 ES31/12/2036
ZINEPRE1996/0029 1ILA403 00279
Selección Plantas Sevilla SLeuro
3/20017457
9/4/2001 ES31/12/2026
ZINESUB1998/0074 n.92.30z 00279
Selección Plantas Sevilla SLeuro
4/200617621
22/5/2006 ES31/12/2036
ZINETOP1996/0026 69EE423 00279
Selección Plantas Sevilla SLeuro
3/20017455
9/4/2001 ES31/12/2031
ZIPEJOR1996/0024 60EE419 00279
Selección Plantas Sevilla SLeuro
3/20017453
9/4/2001 ES31/12/2031
ZISEARL1996/0025 62RA286 00279
Selección Plantas Sevilla SLeuro
3/20017454
9/4/2001 ES31/12/2031
ZISECAN1995/0724 37 EB 416 00279
Selección Plantas Sevilla SLeuro
4/19994560
3/5/1999 ES31/12/2029
ZISEMAY1998/0076 p.07.13z 00279
Selección Plantas Sevilla SLeuro
4/19994567
3/5/1999 ES31/12/2029
ZISEPRIL1996/0028 39GA188 00279
Selección Plantas Sevilla SLeuro
1/20005709
5/7/1999 ES31/12/2029
ZISESIL1995/0723 7 GE 30 00279
Selección Plantas Sevilla SLeuro
4/19994559
3/5/1999 ES31/12/2029
ZISILNE1998/0070 n.92.29z 00279
Selección Plantas Sevilla SLeuro
1/200717617
4/12/2006 ES31/12/2036
7/3/2020 Pàgina 75 de 98
DenominacióNº Exp. Nom comercial Codi / Titular Butlletí
Nº POV
Inici Protecció Fi Referència Obtentor /
Prunus persica (L.) Batsch
ZISUNCUA20024477 S4A 1547 00279
Selección Plantas Sevilla SLesp
5-2009002460
22/7/2009 ES31/12/2039
ZUMBA2013/3056 ha 547-14 ppb 04411
PSB Producción Vegetal SLeuro
2/201848357
19/2/2018 ES31/12/2048
Especie Prunus persica x Prunus davidiana
DenominacióNº Exp. Nom comercial Codi / Titular Butlletí
Nº POV
Inici Protecció Fi Referència Obtentor /
AVIMAG1995/1535 avimag 00691/00695
INRA - G.Y.D.K.F.V.euro116
1/19971270
15/10/1996 CADAMAN FR1/11/2021
Especie Prunus persica x Prunus davidiana) x Prunus x
amygdalopersica (weston) Rehder
DenominacióNº Exp. Nom comercial Codi / Titular Butlletí
Nº POV
Inici Protecció Fi Referència Obtentor /
PRUNUS PORTAEMPELTS
GREENPAC2006/2252 pac9904-01 03862
AGROMILLORA CATALANA SLeuro
4/201232795
21/5/2012 ROOTPAC-90 ES31/12/2042
PURPLEPAC2006/2253 pac9904-03 03862
AGROMILLORA CATALANA SLeuro
4/201232796
21/5/2012 ROOTPAC-70 ES31/12/2042
Especie Prunus persica x Prunus domestica
DenominacióNº Exp. Nom comercial Codi / Titular Butlletí
Nº POV
Inici Protecció Fi Referència Obtentor /
FERELEY1995/1536 fereley 00691
INRA-Institut National de la Recheuro116
1/19971271
15/10/1996 JASPI* FR1/11/2021
Especie Prunus pseudocerasus Lindl. × (Prunus canescens Bois ×
Prunus incisa Thunb.)
DenominacióNº Exp. Nom comercial Codi / Titular Butlletí
Nº POV
Inici Protecció Fi Referència Obtentor /
PIKU32001/1463 piku3 03021
Consortium Deutscher Baumschueuro
1/200310247
18/11/2002 DE31/12/2032
Especie Prunus pumila L.
DenominacióNº Exp. Nom comercial Codi / Titular Butlletí
Nº POV
Inici Protecció Fi Referència Obtentor /
PRUNUS
RHENOROOT 21995/3032 - 00672
Forschungsanstalt Geisenheimeuro
3/200310710
10/3/2003 DE10/3/2033
Especie Prunus salicina Lindl.
DenominacióNº Exp. Nom comercial Codi / Titular Butlletí
Nº POV
Inici Protecció Fi Referència Obtentor /
PRUNERA JAPONESA
ANNE GOLD1999/1392 anna 02787
Montanari Domenicoeuro
3/200515154
18/4/2005 ANNE GOLD IT31/12/2035
ARC PR32013/1043 pr 00-37 03945
ARC Infruitec - Nietvoorbijeuro
3/201952267
15/4/2019 ZA31/12/2049
ARC PR42013/1042 pr 000-1 03945
ARC Infruitec - Nietvoorbijeuro
3/201848934
23/4/2018 ZA31/12/2048
AUGUST YUMMY2004/2637 26 p 775 00279/08287
Sel. Plantas Sevilla SL / STAR Feuro
3/200924827
20/4/2009 AUGUST YUMMY ES31/12/2039
BRAGIALLA2003/2465 35 p 1244 00279/08287
Sel. Plantas Sevilla SL / STAR Feuro
5/200823143
7/7/2008 ES31/12/2038
BRAROSSA2003/2466 13 p 598 00279/08287
Sel. Plantas Sevilla SL / STAR Feuro
5/200823144
7/7/2008 ES31/12/2038
CONSTANZA2005/1878 constanza 05236
Godoy & Puyol Agronomos Asocieuro
4/201335358
21/5/2013 CL31/12/2043
CRIMSON GLO2003/2025 87 91 pr 00189
DARNAUD, Jean-Pierreeuro
4/200925353
8/6/2009 FR31/12/2039
7/3/2020 Pàgina 76 de 98
DenominacióNº Exp. Nom comercial Codi / Titular Butlletí
Nº POV
Inici Protecció Fi Referència Obtentor /
Prunus salicina Lindl.
DOFI SANDRA2007/1778 dofi 89030010 05225
Universita degli Studi di Firenzeeuro
4/201232799
21/5/2012 IT31/12/2042
GAIA2003/2391 sel. Sm 01 an 04487
Martelli Salvatoreeuro
5/200823289
21/7/2008 IT31/12/2038
GOLD BALL2010/2558 10 p 701 00279/08287
Sel. Plantas Sevilla SL / STAR Feuro
6/201438912
22/9/2014 ES31/12/2044
GOLDEN PLUMZA1996/1080 GOLDEN PLUMZA 01474
Vivai Fratelle Zanzi di Carlo Zanzieuro
6/200311950
20/10/2003 GOLDEN PLUMZA IT31/12/2033
GRENADINE2010/0590 cas 10 04767
SDR Fruit Llceuro
3/201540660
20/4/2015 GRENADINE US31/12/2045
HIROMI RED2003/2026 127 97 pr 00189
DARNAUD, Jean-Pierreeuro
5/200823140
7/7/2008 FR31/12/2038
HONEY DAWN2011/3135 sg pr 33 18 05084
Stargrow Cultivar Developement (euro
3/201746229
18/4/2017 ZA31/12/2047
HONEY MOON2011/3136 sg pr 51 1 05084
Stargrow Cultivar Developement (euro
3/201848923
23/4/2018 ZA31/12/2048
HONEYSTAR2006/0490 honeystar 05084
Stargrow Cultivar Developement (euro
4/201130088
23/5/2011 ZA31/12/2041
LAMOON2001/0993 lamoon 03494
Ben dor Josepheuro
5/200823146
7/7/2008 IL31/12/2038
MARK2006/1643 h 20-28 05478
BEN-DOR FRUITS & NURSERIEeuro
1/201539138
17/11/2014 IL31/12/2044
PIONEER1997/1042 S 5B-21-17 01757
Ifruiteceuro
6/200311952
20/10/2003 ZA31/12/2033
PLUMSWEET V2009/0564 40 p 60 00279/08287
Sel. Plantas Sevilla SL / STAR Feuro
2/201231437
3/2/2012 ES31/12/2042
PRIMETIME1997/1124 PRIMETIME 01871
Wuhl ericeuro
6/200311954
20/10/2003 US31/12/2033
PRO 51 C2017/2516 cp4-246 06772
Viveros Provedo SAeuro
6/201850143
10/9/2018 ES31/12/2048
PRO 55 C20155251 PRO 55 C ES931
Viveros PROVEDO SAesp
BOE22002914
22/1/2020 ES31/12/2050
READYUMMY2010/2557 21 c 330 00279/08287
Sel. Plantas Sevilla SL / STAR Feuro
3/201334553
18/3/2013 ES31/12/2043
RUBY STAR2012/2514 pr 00-33 03945
ARC Infruitec - Nietvoorbijeuro
3/201746235
18/4/2017 ZA31/12/2047
SAPHIRE1999/0049 17-28-184 01757
Ifruiteceuro
6/200311963
20/10/2003 SAPPHIRE ZA31/12/2033
SEPTEMBER YUMMY2004/2635 26 p 627 00279/08287
Sel. Plantas Sevilla SL / STAR Feuro
3/200924825
20/4/2009 SEPTEMBER YUMMY ES31/12/2039
SERENA2008/0714 serena 05244
Dalmonte Fuido e Vittorio S.S. Seuro
4/201438201
2/6/2014 IT31/12/2044
SHOWTIME1997/1123 SHOWTIME 01871
Wuhl ericeuro
6/200311953
20/10/2003 US31/12/2033
SONGREEN 502011/0243 97.27.002 cv 00132
Plantas de Navarra SAeuro
2/201642547
22/2/2016 ES31/12/2046
SONGRIA 102005/2047 99.26.003-cn 00132
Plantas de Navarra SAeuro
4/201130086
23/5/2011 SONGRIA 10 ES31/12/2041
SONGRIA 152004/1839 99.26.010-cn 00132
Plantas de Navarra SAeuro
4/200925364
8/6/2009 SONGRIA 15 ES31/12/2039
SOUVENIR II1999/0050 6-13-191 01757
Ifruiteceuro
1/200412099
24/11/2003 SOUVENIR II ZA1/1/2034
SUN KISS1999/1853 7a 21 21 03945
ARC Infruitec - Nietvoorbijeuro
1/200717836
4/12/2006 ZA31/12/2036
7/3/2020 Pàgina 77 de 98
DenominacióNº Exp. Nom comercial Codi / Titular Butlletí
Nº POV
Inici Protecció Fi Referència Obtentor /
Prunus salicina Lindl.
SUNDEW1999/1854 7a 38 38 03945
ARC Infruitec - Nietvoorbijeuro
1/200717837
4/12/2006 ZA31/12/2036
SUPLUMTHIRTYEIGHT2012/0270 suplumthirtyeight 05485
Sun World International LLCeuro
3/201643212
25/4/2016 US31/12/2046
SUPLUMTHIRTYFOUR2007/2072 05485
Sun World International LLCeuro
5/201335891
29/7/2013 US31/12/2043
SUPLUMTHIRTYONE2007/2390 05485
Sun World International LLCeuro
3/201232437
23/4/2012 US31/12/2042
SUPLUMTHIRTYSEVEN2008/0988 suplumthirtyseven 05485
Sun World International LLCeuro
3/201437509
7/4/2014 US31/12/2044
SUPLUMTHIRTYSIX2008/2722 suplumthirtysix 05485
Sun World International LLCeuro
5/201335895
29/7/2013 US31/12/2043
SUPLUMTWENTYEIGHT2007/2073 05485
Sun World International LLCeuro
3/201232436
23/4/2012 US31/12/2042
SUPLUMTWENTYFIVE2009/2709 suplumtwentyfive 05485
Sun World International LLCeuro
3/201437196
24/3/2014 US31/12/2044
SUPLUMTWENTYSIX2007/2188 05485
Sun World International LLCeuro
4/201232804
21/5/2012 US31/12/2042
SUPLUMTWENTYTHREE2007/0547 suplumtwentythree 05485
Sun World International LLCeuro
4/201130129
23/5/2011 US31/12/2041
SUPLUMTWENTYTWO2007/0545 suplumtwentytwo 05485
Sun World International LLCeuro
4/201130128
23/5/2011 US31/12/2041
SWEET IRIDIS 12015/0013 p-6 08646
S.A.T. 9413 FRUTARIAeuro
2/201642350
25/1/2016 ES31/12/2046
SWEET IRIDIS 22015/0015 p-7 08646
S.A.T. 9413 FRUTARIAeuro
2/201642351
25/1/2016 ES31/12/2046
SWEET IRIDIS 32015/0014 p-10 08646
S.A.T. 9413 FRUTARIAeuro
2/201642550
22/2/2016 ES31/12/2046
SWEET IRIDIS 420145181 P 103 ES1016
FRUTARIA COMERCIAL DE FResp
1-2019002856
5/2/2019 ES31/12/2049
TC SUN1995/2002 315 42 00795
Zanzi Fruitgroeuro116
3/200515153
18/4/2005 IT31/12/2035
TITINE2010/0591 cas sp1 04767
SDR Fruit Llceuro
4/201541120
8/6/2015 US31/12/2045
ZAI163PR2010/0362 163 01 pr 00189
DARNAUD, Jean-Pierreeuro
3/201437722
22/4/2014 FR31/12/2044
ZAIPUBO1998/0668 32 86 pr 00189
DARNAUD, Jean-Pierreeuro
6/200311959
20/10/2003 MOON GLOBE* FR31/12/2033
Especie Prunus salicina Lindl. x Prunus armeniaca L.
DenominacióNº Exp. Nom comercial Codi / Titular Butlletí
Nº POV
Inici Protecció Fi Referència Obtentor /
SALICINA X ARMENIACA
ZAI93ISC2007/2828 93 00 isc 01753
Pepinières Darnaud s aeuro
4/201438203
2/6/2014 FR31/12/2044
Especie Prunus sp. (portaempelts)
DenominacióNº Exp. Nom comercial Codi / Titular Butlletí
Nº POV
Inici Protecció Fi Referència Obtentor /
PRUNUS PORTAEMPELTS
CORAL ROJO20034519 ES922
Carmelo Bernal Palazonesp
1-2011002528
18/1/2011 ES31/12/2040
Especie Prunus spinosa L.
DenominacióNº Exp. Nom comercial Codi / Titular Butlletí
Nº POV
Inici Protecció Fi Referència Obtentor /
WUR S7662012/1749 ppo-s766 06983
Stichting Dienst Landbouwkundigeuro
2/201745299
6/2/2017 NL31/12/2047
7/3/2020 Pàgina 78 de 98
DenominacióNº Exp. Nom comercial Codi / Titular Butlletí
Nº POV
Inici Protecció Fi Referència Obtentor /
Prunus tomentosa Thunb. Ex. Murr. x Prunus cerasif
Especie Prunus tomentosa Thunb. Ex. Murr. x Prunus cerasif
DenominacióNº Exp. Nom comercial Codi / Titular Butlletí
Nº POV
Inici Protecció Fi Referència Obtentor /
VVA 12002/0762 vva-1 05536
Gennady EREMINeuro
4/200720097
21/5/2007 KRIMSK 1 RU31/12/2037
Especie Prunus x gondouinii (Poit. & Turpin) Rehder (P. Avium (L.) L.
X P. Cerasus L.)
DenominacióNº Exp. Nom comercial Codi / Titular Butlletí
Nº POV
Inici Protecció Fi Referència Obtentor /
PRUNUS HÍBRID_4
JACHIM2017/0569 jachim 06760
Julius Kühn Instituteuro
6/201747682
25/9/2017 DE31/12/2047
STO22012/0022 sto2 02264
Stoppel, Petereuro
2/201745297
6/2/2017 DE31/12/2047
Especie Punica granatum L.
DenominacióNº Exp. Nom comercial Codi / Titular Butlletí
Nº POV
Inici Protecció Fi Referència Obtentor /
MAGRANA
BEAUTY2010/0341 beautygranate 06914
Nir Ben Aharoneuro
6/201438876
8/9/2014 IL31/12/2044
CRUCIAL20135128 d2-26 ES996
IVIA-Cambayas Coop. Valencianesp
1-2018002800
20/2/2018 ES31/12/2048
EMEK2007/2597 emek (1/4) 01306
Agricultural Research Organisatioeuro
6/201438842
8/9/2014 IL31/12/2044
FIRE 1172013/0987 fr117 08028
AGROSENDA INTERNACIONALeuro
4/201849783
18/6/2018 ES31/12/2048
ILIANA2018/1133 h6-81 09927/01157
CAMBAYAS COOPERATIVA VAeuro
4/201952532
6/5/2019 ES31/12/2049
KAMEL2007/2596 kamel (p.g. 134-35) 01306
Agricultural Research Organisatioeuro
6/201438841
8/9/2014 IL31/12/2044
KINGDOM2013/3181 kingdom 08290
VIVEROS CALIPLANT S.L.euro
2/201745302
6/2/2017 ES31/12/2047
MR 1002013/3177 mollar roja 08290
VIVEROS CALIPLANT S.L.euro
2/201745301
6/2/2017 ES31/12/2047
PURPLE QUEEN2013/3179 purple queen 08290
VIVEROS CALIPLANT S.L.euro
4/201849181
7/5/2018 ES31/12/2048
RUGALATE2018/1132 h6-28 09927/01157
CAMBAYAS COOPERATIVA VAeuro
2/201951133
11/2/2019 ES31/12/2049
SCARLET RED2013/1207 sr-015 08028
AGROSENDA INTERNACIONALeuro
4/201449784
18/6/2018 ES31/12/2048
SHANI2007/2598 shani (p.g. 130-31) 01306
Agricultural Research Organisatioeuro
6/201438843
8/9/2014 IL31/12/2044
TASTE M20135127 d1-14 ES996
IVIA-Cambayas Coop. Valencianesp
1-2018002804
20/2/2018 ES31/12/2048
Especie Pyrus × bretschneideri Rehder × P. pyrifolia (Burm. f.) Nakai
DenominacióNº Exp. Nom comercial Codi / Titular Butlletí
Nº POV
Inici Protecció Fi Referència Obtentor /
PERERA HÍBRIDA
PREMP1092012/0841 p205 r130 t109 05582
Prevar Ltdeuro
4/201643519
10/5/2016 NZ31/12/2046
PREMP522014/0225 p202 r137 t052 05582
Prevar Ltdeuro
6/201644528
19/9/2016 NZ31/12/2046
Especie Pyrus communis L.
DenominacióNº Exp. Nom comercial Codi / Titular Butlletí
Nº POV
Inici Protecció Fi Referència Obtentor /
PERERA
AC HARROW BOUNTY2012/2839 hw620 07237
Agriculture and Agri-Food Canadeuro
4/201746301
10/5/2017 CA31/12/2047
7/3/2020 Pàgina 79 de 98
DenominacióNº Exp. Nom comercial Codi / Titular Butlletí
Nº POV
Inici Protecció Fi Referència Obtentor /
Pyrus communis L.
AC HARROW CRISP2001/0043 hw 610 00159
Agriculture & Agri-Food Canadaeuro
2/200310434
20/1/2003 CA31/12/2033
AC HARROW DELICIOUS2001/0042 hw 608 00159
Agriculture & Agri-Food Canadaeuro
2/20028925
18/2/2002 AC HARROW DELICIOUS CA31/12/2032
AC HARROW GOLD2001/0044 hw 616 00159
Agriculture & Agri-Food Canadaeuro
2/200310434
20/1/2003 CA31/12/2033
AIDA2005/0816 isf.fo 80-104-72 01758
Istituto Sperimentale per la Fruttieuro
5/201130553
25/7/2011 IT31/12/2041
ANGELYS1999/1081 angelys 00689
INRA-Institut National de la Recheuro
6/20006785
16/10/2000 ANGELYS FR31/12/2025
BOHÉME2005/0815 isf.fo 80-57-83 01758
Istituto Sperimentale per la Fruttieuro
4/201335229
21/5/2013 IT31/12/2043
BOHEMICA2003/1140 te - 05316 01544
Sempra Praha a.s.euro
3/200821920
10/3/2008 CZ31/12/2038
CARMEN2000/0472 isf-fo 80-18-69 01758
Istituto Sperimentale per la Fruttieuro
4/200617843
6/6/2006 CARMEN IT31/12/2036
CELINA2011/3173 np 6246 07519
Graminor A.S.euro
2/201745356
6/2/2017 NO31/12/2047
CEPUNA2013/0730 16vhvn 00689
INRA-Institut National de la Recheuro
4/201849203
7/5/2018 FR31/12/2048
CH 2012015/1063 acw 3851 07560
AGROSCOPE CHANGINS-WADeuro
4/201849209
7/5/2018 CH31/12/2048
DELFERCO2003/0618 delferco 00368
Pepinieristes et Roseraires Georeuro
5/200516108
17/8/2005 DELFERCO FR31/12/2035
DELSANNE2000/0357 rx 2313 00368
Pepinieristes et Roseraires Georeuro
6/20006784
16/10/2000 DELBARD AUTOMNE FR31/12/2030
DELWINI2000/0356 rx 2313 00368
Pepinieristes et Roseraires Georeuro
6/20006783
16/10/2000 FR31/12/2030
DICOLOR2002/0242 dicolor 03757
SAD S.R.O.euro
2/200617002
27/2/2006 CZ31/12/2036
ELLIOT1999/0576 elliot 00345
The Regents of the University ofeuro
1/20005573
6/12/1999 ELLIOT US31/12/2029
FALSTAFF2012/0409 cra - frf 180 06797
C.R.A. - FRFeuro
6/201747553
11/9/2017 IT31/12/2047
FM1717402005/1175 fm 171740 09031
BAUM- UND ROSENSCHULE Weuro
3/201027237
19/4/2010 DE31/12/2040
FM324A1352005/0760 fm324a135 09031
BAUM- UND ROSENSCHULE Weuro
4/201130084
23/5/2011 DE31/12/2041
FOX 111997/1470 A 28 01946
C A V Centro Attività Vivaisticheeuro
6/200210178
21/10/2002 IT31/12/2032
FOX 161997/1469 B 21 01946
C A V Centro Attività Vivaisticheeuro
6/200210177
21/10/2002 IT31/12/2032
FOX92008/2282 dca-bo e110 05679/06419/06420
Alma Mater - Università degli Stueuro
5/201438536
7/7/2014 IT31/12/2044
FRESQUILLA20074769 100908
Universitat de Lleidaesp
1-2012002545
30/12/2011 FRESQUILLA ES31/12/2041
GEVOREÑA20114995 gevoreña ES984
Leal Moreno, Joséesp
1-2018002843
20/2/2018 ES31/12/2048
HARROW BLISS2003/1624 hw 606 04376
Research Planning and Coordinateuro
5/200925891
24/8/2009 CA31/12/2039
HARROW SWEET1995/1959 00159
Agriculture & Agri-Food Canadaeuro116
1/19971281
15/10/1996 HARROW SWEET CA1/12/2021
HL 3150232005/0793 hl 31/50-23 01544/09031
SEMPRA PRAHA A.S./ BAUM- Ueuro
4/201130085
23/5/2011 CZ31/12/2041
7/3/2020 Pàgina 80 de 98
DenominacióNº Exp. Nom comercial Codi / Titular Butlletí
Nº POV
Inici Protecció Fi Referència Obtentor /
Pyrus communis L.
HW 6232003/1623 hw 623 04376
Research Planning and Coordinateuro
5/200925891
24/8/2009 CA31/12/2039
KRASNIE CONFERENCE2006/1645 05523/05524
Fruithandel / Janssenseuro
5/201335890
29/7/2013 BE31/12/2043
KRISTINA2011/3172 np 3048 07519
Graminor A.S.euro
2/201745355
6/2/2017 NO31/12/2047
NORMA2000/0473 isf-fo 80-79-69 01758
Istituto Sperimentale per la Fruttieuro
4/200617844
6/6/2006 NORMA IT31/12/2036
PE1UNIBO2014/0969 dcabo44 05679
Alma Mater Studiorum-Universitàeuro
4/201952911
17/6/2019 IT31/12/2049
PE2UNIBO2014/0970 dcabo50 05679
Alma Mater Studiorum-Universitàeuro
4/201952912
17/6/2019 IT31/12/2049
PE3UNIBO2014/0971 dcabo27244 05679
Alma Mater Studiorum-Universitàeuro
4/201952913
17/6/2019 IT31/12/2049
PREMP332012/0840 p139 r091 t033 05582
Prevar Ltdeuro
4/201643518
10/5/2016 NZ31/12/2046
PYRED2002/1977 p2853 (dI6) 00689
INRA-Institut National de la Recheuro
3/200719929
16/4/2007 FR31/12/2037
PYRIAM20104908 06533
CEP INNOVATION S.A.R.L.esp
1-2018002844
20/2/2018 FR31/12/2048
PYRODWARF1995/2977 klon py 5-18 00672
Forschungsanstalt Geisenheimeuro
2/19982649
2/2/1998 PYRODWARF DE31/12/2028
PYROPLUS2003/0335 bu 2-33 00672
Forschungsanstalt Geisenheimeuro
2/200616770
30/1/2006 DE31/12/2036
RADANA2003/2497 radana 01544
Sempra Praha a.s.euro
3/200821925
10/3/2008 CZ31/12/2038
RODE DOYENNE VAN
DOORN
2002/0114 rode doyenne du comice broertjes 08417
Goeie Peer B-V.euro
4/200925353
8/6/2009 NL31/12/2039
SAELS2000/0681 rna 0010 03016/03017
Gebroeders Saels - NV GEEFAeuro
4/200413322
17/5/2004 BE31/12/2034
TAYLORS GOLD1996/0631 Taylo's gold 01352/01353
King Turner, M B - King Turner,euro
1/200412028
10/11/2003 TAYLOR'S GOLD NZ1/1/2034
THIMO2003/2389 thimo 09031
BAUM- UND ROSENSCHULE Weuro
3/200821934
10/3/2008 DE31/12/2038
TICO WAES2007/0218 vw05h3 05725
V.O.F. Fruitvalleieuro
6/201130892
10/10/2011 NL31/12/2041
TURANDOT2000/0474 15f-fo 80-15-69 01758
Istituto Sperimentale per la Fruttieuro
4/200617845
6/6/2006 TURANDOT IT31/12/2036
UTA1999/0805 uta 02625
Sächsische Landesanstalt für Laeuro
2/20005802
14/2/2000 DE31/12/2030
VERDI1995/0660 cpo 66006-273 06983
Stichting Dienst Landbouwkundigeuro116
4/19971970
19/5/1997 VERDI NL1/8/2024
Especie Quercus palustris Münchh.
DenominacióNº Exp. Nom comercial Codi / Titular Butlletí
Nº POV
Inici Protecció Fi Referència Obtentor /
QUERCUS PALUSTRIS
WOODSIDE SPLENDOR2012/0872 woodside splendor 04044
Boomkwekerij Gebr. Van den Bereuro
3/201539831
9/3/2015 NL31/12/2045
Especie Ribes nigrum L.
DenominacióNº Exp. Nom comercial Codi / Titular Butlletí
Nº POV
Inici Protecció Fi Referència Obtentor /
CASSIS
BEN AVON2001/0666 scri s26/1/1 07377
James Hutton Instituteeuro
1/200614649
12/12/2005 UK31/12/2030
BEN DORAIN2001/0664 scri s26/1/2 08582
LUCOZADE RIBENA SUNTORYeuro
1/200614647
12/12/2005 UK31/12/2030
7/3/2020 Pàgina 81 de 98
DenominacióNº Exp. Nom comercial Codi / Titular Butlletí
Nº POV
Inici Protecció Fi Referència Obtentor /
Ribes nigrum L.
BEN FINLAY2009/0202 scri 8872-1 07377
James Hutton Instituteeuro
4/201232756
21/5/2012 UK31/12/2042
BEN KLIBRECK2009/1981 scri 8814-2 08582
LUCOZADE RIBENA SUNTORYeuro
5/201335826
8/7/2013 UK31/12/2038
BEN LAWERS2015/0188 jhi 9521-2 08582
LUCOZADE RIBENA SUNTORYeuro
3/201848744
9/4/2018 UK31/12/2043
BEN STARAV2009/1980 scri s18/10/18 08582
LUCOZADE RIBENA SUNTORYeuro
5/201335825
8/7/2013 UK31/12/2038
BEN VANE2006/0752 s13-14-107 08582
LUCOZADE RIBENA SUNTORYeuro
3/201026952
22/3/2010 UK31/12/2040
BIG BEN2008/0249 c2/15/40 07377
James Hutton Instituteeuro
4/201130137
25/5/2011 UK31/12/2041
BLACK PEARL2013/1490 super nova 05221
Vissers International B.V.euro
2/201745406
20/2/2017 NL31/12/2042
CHERSHNEVA1999/0277 chershneva 05369
Lubera AGeuro
6/20029924
21/10/2002 CH31/12/2027
GOFERT2011/0024 pc-1 07220
INSTYTUT OGRODNICTWA (INeuro
1/201231262
19/12/2011 PL31/12/2041
KIROAPA102010/1246 2010/11/535 01804
Plattner Antoneuro
3/201437421
7/4/2014 DE31/12/2044
ORES2006/0084 pc-36 04811
Instytut Sadownictwa i Kwaiciarsteuro
2/200719040
22/1/2007 PL31/12/2032
POLARES2013/1694 pc-7/13 07220
INSTYTUT OGRODNICTWA (INeuro
3/201437036
10/3/2014 PL31/12/2044
POLBEN2018/2524 pc-173 07220
INSTYTUT OGRODNICTWA (INeuro
3/201952185
28/3/2019 PL31/12/2044
RUBEN2006/0083 isk 83 x 80/1 04811
Instytut Sadownictwa i Kwaiciarsteuro
2/200719039
22/1/2007 PL31/12/2032
TIBEN2003/2148 26c/8, pc-78 00702
Institute of Pomologyeuro
6/200414099
25/10/2004 PL31/12/2034
TIHOPE2013/1693 pc-425 07220
INSTYTUT OGRODNICTWA (INeuro
3/201437035
10/3/2014 PL31/12/2044
TINES2006/0082 pc-106 04811
Instytut Sadownictwa i Kwaiciarsteuro
2/200719038
22/1/2007 PL31/12/2032
TISEL2003/2149 30/b1, pc-84 00702
Institute of Pomologyeuro
6/200414100
25/10/2004 PL31/12/2034
Especie Ribes rebrum
DenominacióNº Exp. Nom comercial Codi / Titular Butlletí
Nº POV
Inici Protecció Fi Referència Obtentor /
GROSELLA NEGRA
HARONIA2014/1496 haronia 08464
HANSJORG GMEINEReuro
2/201745235
23/1/2017 DE31/12/2042
Especie Ribes rubrum L. (syn. R. sylvestre (Lam.) Mert. & W. D. J.
Koch)
DenominacióNº Exp. Nom comercial Codi / Titular Butlletí
Nº POV
Inici Protecció Fi Referència Obtentor /
RIBES
LEMAAN2015/1065 lemaan 08808
MARGIE MARIA ANNA SMEETSeuro
4/201849184
7/5/2018 NL31/12/2043
Especie Ribes sanguineum Push.
DenominacióNº Exp. Nom comercial Codi / Titular Butlletí
Nº POV
Inici Protecció Fi Referència Obtentor /
GROSELLA
ANNYS20032014/1057 annys2003 05228
Andre Van Nijnatteneuro
6/201644367
19/9/2016 NL31/12/2041
7/3/2020 Pàgina 82 de 98
DenominacióNº Exp. Nom comercial Codi / Titular Butlletí
Nº POV
Inici Protecció Fi Referència Obtentor /
Ribes sylvestris (Lam.) Mert. & W. Kock
Especie Ribes sylvestris (Lam.) Mert. & W. Kock
DenominacióNº Exp. Nom comercial Codi / Titular Butlletí
Nº POV
Inici Protecció Fi Referència Obtentor /
RIBES
AUGUSTUS1995/2713 Augustus 00719
Meulblok, E.C.euro
3/19971768
3/3/1997 NL31/12/2022
REDPOLL1997/0827 1503/31 09154
NIAB EMReuro
4/19982783
4/5/1998 UK31/12/2023
ROODNEUS1995/2712 Roodneus 00719
Meulblok, E.C.euro
3/19971767
3/3/1997 NL31/12/2022
Especie Ribes uva-crispa L.
DenominacióNº Exp. Nom comercial Codi / Titular Butlletí
Nº POV
Inici Protecció Fi Referència Obtentor /
GROSELLA
IONA2015/1075 jhi 9223-1 07377
James Hutton Instituteeuro
3/201952186
28/3/2019 UK31/12/2044
LAPRIMA2014/2709 10-60-00 00672
Forschungsanstalt Geisenheimeuro
5/201541500
20/7/2015 DE31/12/2045
LEORA2014/2708 9-61-00 00672
Forschungsanstalt Geisenheimeuro
4/201541127
8/6/2015 DE31/12/2045
PAX1995/3011 1815/123 09154
NIAB EMReuro
4/19994561
3/5/1999 UK31/12/2024
RAFZUERA2002/1325 rafzuera 01644
Promo Fruit Ag.euro
2/200616908
27/2/2006 CH31/12/2031
REDEVA2000/0052 nr.11 09356
THOMAS GRAFMULLEReuro
5/20006597
26/7/2000 DE31/12/2025
RELINA2009/0124 97/1 relina 09356
THOMAS GRAFMULLEReuro
5/200925916
24/8/2009 DE31/12/2039
REXROT1998/1032 rexrot 00346
Gevo Pflanzenvertrieb Gmbheuro
2/19994237
15/2/1999 DE31/12/2024
Especie Ribes x nidigrolaria R. et A. Bauer
DenominacióNº Exp. Nom comercial Codi / Titular Butlletí
Nº POV
Inici Protecció Fi Referència Obtentor /
GROSELLA
RIKÖ1995/1341 78 1982 01073
LEGATH, Mariaeuro
4/20029596
17/6/2002 SE31/12/2027
Especie Rubus idaeus L.
DenominacióNº Exp. Nom comercial Codi / Titular Butlletí
Nº POV
Inici Protecció Fi Referència Obtentor /
GERDERA
ADELITA2011/1459 07.09r.50 00132
Plantas de Navarra SAeuro
3/201540339
7/4/2015 ES31/12/2045
ADVABEMAP2014/3264 fr214901 07201/08972
FUELPLANTS B.V./ ALLBERRYeuro
3/201848957
23/4/2018 NL31/12/2043
ADVABEREEN2011/0113 fr211901 07201/07202
Advanced Berry Breeding/De Weeuro
3/201540334
7/4/2015 NL31/12/2045
ADVABERIMAR2011/0114 fr211902 07201/07202
Advanced Berry Breeding/De Weeuro
3/201540335
7/4/2015 NL31/12/2045
ADVABERTWEE2011/0115 fr211903 07201/07202
Advanced Berry Breeding/De Weeuro
3/201540336
7/4/2015 NL31/12/2045
ALPENGOLD2008/0028 01758
Istituto Sperimentale per la Fruttieuro
4/201130133
23/5/2011 IT31/12/2041
AMARANTA2012/0814 amaranta 05972
Sant'Orsola Societa' Cooperativaeuro
3/201643215
25/4/2016 IT31/12/2041
AROMQUEE2007/0844 aromquee 05496
Dr. Barbara Datheeuro
2/200821776
28/1/2008 DE31/12/2033
AUTUMN TREASURE2008/0873 em 6597/46 09154
NIAB EMReuro
4/201232811
4/6/2012 UK31/12/2042
7/3/2020 Pàgina 83 de 98
DenominacióNº Exp. Nom comercial Codi / Titular Butlletí
Nº POV
Inici Protecció Fi Referència Obtentor /
Rubus idaeus L.
BELLA2018/1963 bella 05496
Dr. Barbara Datheeuro
2/201951059
28/1/2019 DE31/12/2049
BOUNTIFUL2014/2788 ps-5112 00743
Plant Sciences Inc.euro
3/201848953
23/4/2018 US31/12/2043
BP12009/0851 bp1 05925
Maria Maddalena GrisentiEURO
3/201437717
22/4/2014 IT31/12/2044
BRILLIANCE2006/0182 ps-1703 00743/01203
Plant Sciences - Berry R&Deuro
4/200924928
4/5/2009 US31/12/2034
CASTION2014/1790 t 01 l6 06808/06480
Aldo Telch/G. Molarieuro
3/201848952
23/4/2018 IT31/12/2043
CHAMBORD2012/1989 ma 1723 00718
Marionnet Jacques Gfaeuro
3/201643220
25/4/2016 FR31/12/2041
DEAUVILLE2012/1990 ma 1724 00718
Marionnet Jacques Gfaeuro
3/201643221
25/4/2016 FR31/12/2041
DIAMOND JUBILEE2014/1282 bmr-v1 05753
Berryworld Plus Ltdeuro
3/201848740
9/4/2018 UK31/12/2043
DOLOMIA PLUS2012/1083 so-1-04-03 05972
Sant'Orsola Societa' Cooperativaeuro
3/201643217
25/4/2016 IT31/12/2041
DRISCOLL CARDINAL2003/0684 cardinal 00659
Driscoll Strawberry Associates Ineuro
3/200719943
16/4/2007 US31/12/2032
DRISCOLL DULCITA2003/0687 dulcita 00659
Driscoll Strawberry Associates Ineuro
3/200719946
16/4/2007 US31/12/2032
DRISCOLL ESTRELLA
(V308.3)
2008/0215 00659
Driscoll Strawberry Associates Ineuro
4/201232809
4/6/2012 US31/12/2042
DRISCOLL MADONNA2008/0211 00659
Driscoll Strawberry Associates Ineuro
4/201232807
4/6/2012 US31/12/2042
DRISCOLL MARAVILLA2003/0685 maravilla 00659
Driscoll Strawberry Associates Ineuro
3/200719944
16/4/2007 US31/12/2032
DRISCOLL PACIFICA
(S846.1)
2008/0216 00659
Driscoll Strawberry Associates Ineuro
4/201232810
4/6/2012 US31/12/2042
DRISCOLL SEVILLANA
(V372.1)
2008/0214 00659
Driscoll Strawberry Associates Ineuro
4/201232808
4/6/2012 US31/12/2042
DRISRASPFIVE2014/1281 z121-1 00659
Driscoll Strawberry Associates Ineuro
5/201849790
2/7/2018 US31/12/2048
DRISRASPONE2008/1095 drisraspone 00659
Driscoll Strawberry Associates Ineuro
3/201334752
8/4/2013 US31/12/2043
DRISRASPSEVEN2013/1600 rb677-1 00659
Driscoll Strawberry Associates Ineuro
2/201745408
20/2/2017 US31/12/2042
DRISRASPSIX2014/1664 z367-2 00659
Driscoll Strawberry Associates Ineuro
3/201848951
23/4/2018 US31/12/2043
DRISRASPTHREE2013/1597 z321-1 00659
Driscoll Strawberry Associates Ineuro
2/201745407
20/2/2017 US31/12/2042
DRISRASPTWO2010/2039 z135-1 00659
Driscoll Strawberry Associates Ineuro
3/201437198
24/3/2014 US31/12/2044
EM 6413/592012/0175 09154
NIAB EMReuro
3/201540345
7/4/2015 UK31/12/2045
EMR 2012012012/0169 em6881/102 09154
NIAB EMReuro
3/201540344
7/4/2015 UK31/12/2045
ENROSADIRA2014/1397 t 51 l6 06480/06808
G. Molari/ Aldo Telcheuro
3/201848949
23/4/2018 IT31/12/2043
ERIKA2007/0473 sel 2002a 01758
Istituto Sperimentale per la Fruttieuro
4/201130127
23/5/2011 IT31/12/2041
7/3/2020 Pàgina 84 de 98
DenominacióNº Exp. Nom comercial Codi / Titular Butlletí
Nº POV
Inici Protecció Fi Referència Obtentor /
Rubus idaeus L.
EVITA2012/0809 erica plus 05972
Sant'Orsola Societa' Cooperativaeuro
3/201643214
25/4/2016 IT31/12/2041
FRUATFRI2008/0296 fruatfri 01644
Promo Fruit Ag.euro
1/201333764
19/11/2012 CH31/12/2042
GLEAM2014/0335 ps-4006 00743/01203
Plant Sciences - Berry R&Deuro
6/201850145
10/9/2018 US31/12/2048
GLEN AMPLE1995/0574 glen ample 07377
James Hutton Instituteeuro
3/19982729
6/4/1998 UK31/12/2023
GLEN CARRON2015/0100 0485k-1 07377
James Hutton Instituteeuro
4/201849479
22/5/2018 UK31/12/2043
GLEN DEE2014/0627 0447c-5 07377
James Hutton Instituteeuro
4/201849182
7/5/2018 UK31/12/2043
GLEN DOLL2006/0314 9053b6 07377
James Hutton Instituteeuro
4/200924929
4/5/2009 UK31/12/2034
GLEN ERICHT2008/0315 99111b2 07377
James Hutton Instituteeuro
4/201130310
6/6/2011 UK31/12/2041
GLEN FYNE2007/0474 9062e-1 07377
James Hutton Instituteeuro
3/201027262
19/4/2010 UK31/12/2040
GLEN MAGNA1995/0578 glen magna 07377
James Hutton Instituteeuro
1/19971533
16/12/1996 UK31/12/2021
GLEN ROCIO2015/1074 9628e-3 07377
James Hutton Instituteeuro
2/201951406
25/2/2019 UK31/12/2049
GRANDEUR2009/0538 pr-2933 00743/01203
Plant Sciences - Berry R&Deuro
5/201335800
29/7/2013 US31/12/2038
HOLYOKE1998/0346 holyoke 01572
Swetbriar Development, Inceuro
3/20029004
18/3/2002 US31/12/2027
ISABEL1997/0004 isabel 01572
Swetbriar Development, Inceuro
1/20005681
20/12/1999 US31/12/2024
JADE2014/1287 bha-e5 05753
Berryworld Plus Ltdeuro
3/201848742
9/4/2018 UK31/12/2043
JOAN J1999/0064 93118/5 01409
Jennings Derek Leonard-Medwayeuro
1/200310236
18/11/2002 UK31/12/2027
LAGORAI PLUS2012/1084 t-44 05972
Sant'Orsola Societa' Cooperativaeuro
3/201643218
25/4/2016 IT31/12/2041
LUPITA2011/1460 07.09r.52 00132
Plantas de Navarra SAeuro
3/201540340
7/4/2015 ES31/12/2045
MA 29202012/1049 ma 2920 00718
Marionnet Jacques Gfaeuro
3/201643216
25/4/2016 FR31/12/2041
MALAHAT1998/0279 bc-85-5-24 07886
MINISTER OF AGRICULTURE Aeuro
3/20028999
18/3/2002 CA31/12/2027
MALLING JUNO2013/2806 em 6544/80 09154
NIAB EMReuro
2/201745409
20/2/2017 UK31/12/2042
MARWE1995/2721 MarwÞ 00719
Meulblok, E.C.euro
3/19971769
3/3/1997 NL31/12/2022
NR72012/1597 znh062 08033
PACIFIC BERRIES LLCeuro
3/201643219
25/4/2016 US31/12/2041
NY ONE2011/1325 ny selection 1 02978
Cornell Universityeuro
3/201540338
7/4/2015 US31/12/2045
NYTWO2015/0140 nytwo 00444
Rústicas del Guadalquivir SLeuro
3/201848965
23/4/2018 ES31/12/2043
OCTAVIA2002/0113 em 6512/50 09154
NIAB EMReuro
3/200514919
21/3/2005 UK31/12/2035
OVATION2015/1881 ps-8916 00743
Plant Sciences Inc.euro
2/201951408
25/2/2019 US31/12/2049
7/3/2020 Pàgina 85 de 98
DenominacióNº Exp. Nom comercial Codi / Titular Butlletí
Nº POV
Inici Protecció Fi Referència Obtentor /
Rubus idaeus L.
PACIFIC DELUXE2012/0057 vpe 9006 07530
Pacific Berry Breeding LLCeuro
2/201745345
6/2/2017 US31/12/2042
PARAGON2015/1880 ps-5519 00743
Plant Sciences Inc.euro
2/201951407
25/2/2019 US31/12/2049
PARIS2012/1992 ma 372 00718
Marionnet Jacques Gfaeuro
3/201643223
25/4/2016 FR31/12/2041
PEARL2014/2771 dkx-12ef 05753
Berryworld Plus Ltdeuro
3/201848743
9/4/2018 UK31/12/2043
POEMAT2016/0669 07544 07220
INSTYTUT OGRODNICTWA (INeuro
2/201745348
6/2/2017 PL31/12/2042
POKUSA2004/1969 p 93454 03704
Sadowniczy Zaklad Doswiadczalneuro
2/200821732
28/1/2008 PL31/12/2038
POLKA2002/0007 p93563 07220
INSTYTUT OGRODNICTWA (INeuro
3/200514918
21/3/2005 PL31/12/2035
POLONEZ2016/0667 03071 07220
INSTYTUT OGRODNICTWA (INeuro
2/201745347
6/2/2017 PL31/12/2042
PORANNA ROSA2004/1970 p 87112 03704
Sadowniczy Zaklad Doswiadczalneuro
2/200821733
28/1/2008 PL31/12/2038
QUALICUM1998/0280 bc-83-16-50 01823
Pacific Agri-Food Research Centreuro
3/20029000
18/3/2002 CA31/12/2027
RADIANCE2009/0537 ps-2430 00743/01203
Plant Sciences - Berry R&Deuro
5/201335799
8/7/2013 US31/12/2038
RADZIEJOWA2015/0045 01162 07220
INSTYTUT OGRODNICTWA (INeuro
3/201643226
25/4/2016 PL31/12/2041
RAFZAQU2000/1707 ab x hq 90-h 01644
Promo Fruit Ag.euro
3/200413008
5/4/2004 CH31/12/2034
RED ANGEL2013/0667 13/10 04056
Redeva Ltd.euro
3/201746238
18/4/2017 UK31/12/2047
REGINA2011/1395 vr01 09173
BERRYPLANT DI GRISENTI MAeuro
2/201539542
23/2/2015 IT31/12/2040
RUBYFALL2007/0644 sel tn-03-52 01758
Istituto Sperimentale per la Fruttieuro
4/201130130
23/5/2011 IT31/12/2041
SAANICH2011/0399 bc 89-34-41 07886
MINISTER OF AGRICULTURE Aeuro
4/201540926
26/5/2015 CA31/12/2045
SAPPHIRE2014/1286 bdb-12vf 05753
Berryworld Plus Ltdeuro
3/201848741
9/4/2018 UK31/12/2043
SATINE2012/1991 ma 371 00718
Marionnet Jacques Gfaeuro
3/201643222
25/4/2016 FR31/12/2041
SOKOLICA2015/0046 02332 07220
INSTYTUT OGRODNICTWA (INeuro
3/201643227
25/4/2016 PL31/12/2041
STREIB 2A2006/1766 streib2a 00258
Hõberli Obst-und Beerenzentrumeuro
2/201026738
22/2/2010 CH31/12/2035
SUGANA2007/1466 sugana 05369
Lubera AGeuro
2/201128847
7/2/2011 CH31/12/2041
SUNGOLD2012/0808 gold delicious 05972
Sant'Orsola Societa' Cooperativaeuro
3/201643213
25/4/2016 IT31/12/2041
TADMOR2003/1068 hr59 00915
The Horticulture & Food Researceuro
3/200821935
10/3/2008 NZ31/12/2033
VAJOLET2009/2161 t 33 05972
Sant'Orsola Societa' Cooperativaeuro
3/201334274
4/3/2013 IT31/12/2043
VERSAILLE2012/1993 ma 481 00718
Marionnet Jacques Gfaeuro
3/201643224
25/4/2016 FR31/12/2041
WAKEFIELD2013/0151 hr40 00915
The Horticulture & Food Researceuro
2/201642313
25/1/2016 NZ31/12/2046
7/3/2020 Pàgina 86 de 98
DenominacióNº Exp. Nom comercial Codi / Titular Butlletí
Nº POV
Inici Protecció Fi Referència Obtentor /
Rubus idaeus L.
WEIRULA1999/1137 wei-rula 02710
Technische Universität Müncheneuro
2/200310423
20/1/2003 DE31/12/2028
Especie Rubus subg. Rubus
DenominacióNº Exp. Nom comercial Codi / Titular Butlletí
Nº POV
Inici Protecció Fi Referència Obtentor /
GERDERA RUBUS
BLACK MAGIC2013/0943 cpc-1vb 05753
Berryworld Plus Ltdeuro
3/201746241
18/4/2017 UK31/12/2047
INCENTIVE2013/2486 hj-6 00743/01203
Plant Sciences - Berry R&Deuro
3/201746246
18/4/2017 US31/12/2047
Especie Rubus subgenus Eubatus Sect. Moriferi & Ursini
DenominacióNº Exp. Nom comercial Codi / Titular Butlletí
Nº POV
Inici Protecció Fi Referència Obtentor /
RUBUS
AMARA2013/3155 hfm-2 08289
HORTIFRUT S.A.euro
2/201951409
25/2/2019 CL31/12/2049
APF 452011/1881 apf-45 01752
University of Arkansaseuro
4/201540830
11/5/2015 US31/12/2045
DRISBLACKFOUR2015/2113 bl449-1 00659
Driscoll Strawberry Associates Ineuro
2/201951411
25/2/2019 US31/12/2049
DRISBLACKSIX2015/2114 bl456-2 00659
Driscoll Strawberry Associates Ineuro
2/201951412
25/2/2019 US31/12/2049
DRISBLACKTWELVE2015/1879 bp571.1 00659
Driscoll Strawberry Associates Ineuro
2/201951410
25/2/2019 US31/12/2049
DRISBLACKTWO2010/0837 bk356.2 00659
Driscoll Strawberry Associates Ineuro
3/201437420
7/4/2014 US31/12/2044
DRISCOLL CARMEL2005/2518 driscoll carmel 00659
Driscoll Strawberry Associates Ineuro
2/200924097
23/2/2009 US31/12/2034
DRISCOLL COWLES2008/0212 bd467.1 00659
Driscoll Strawberry Associates Ineuro
4/201232665
7/5/2012 US31/12/2042
DRISCOLL EUREKA2008/0213 bd477.1 00659
Driscoll Strawberry Associates Ineuro
4/201232666
7/5/2012 US31/12/2042
DRISCOLL THORNLESS
SLEEPING BEAUTY
2008/0217 00659
Driscoll Strawberry Associates Ineuro
4/201232667
7/5/2012 US31/12/2042
KARAKA BLACK1999/1654 8627n8-6 02830
The Horticulture & Food Res. Int.euro
3/200310720
10/3/2003 NZ10/3/2033
KIOWA1999/0278 kiowa 05369
Lubera AGeuro
3/200310715
10/3/2003 CH10/3/2033
LOCH MAREE2006/0313 86506g7 00054
Scottish Crop Research Instituteeuro
3/201334751
8/4/2013 UK31/12/2043
LOCH TAY2002/0844 86510L-2 07377
James Hutton Instituteeuro
2/200616917
27/2/2006 UK31/12/2036
LUB MB2232009/1403 lub mb2/23 05369
Lubera AGeuro
4/201437943
5/5/2014 CH31/12/2044
NATCHEZ2009/1955 natchez 01752
University of Arkansaseuro
5/201335827
29/7/2013 US31/12/2038
OUACHITA2006/2430 ouachita 01752
University of Arkansaseuro
4/201232662
7/5/2012 US31/12/2042
REUBEN2009/2058 0541p3 05646
Hargreaves Plants Ltdeuro
6/201336096
23/9/2013 UK31/12/2043
SLEEPING BEAUTY2005/2517 driscoll sleeping beauty 00659
Driscoll Strawberry Associates Ineuro
2/200924096
23/2/2009 US31/12/2034
VON2016/0365 nc430 03657
NORTH CAROLINA STATE UNIeuro
2/201951413
25/2/2019 US31/12/2049
7/3/2020 Pàgina 87 de 98
DenominacióNº Exp. Nom comercial Codi / Titular Butlletí
Nº POV
Inici Protecció Fi Referència Obtentor /
Sorbus aucuparia L.
Especie Sorbus aucuparia L.
DenominacióNº Exp. Nom comercial Codi / Titular Butlletí
Nº POV
Inici Protecció Fi Referència Obtentor /
SERVERA
FINGERPRINT2010/2646 fingerprint 07168
De Martelaer Boomkwekerij B.V.euro
4/201335854
29/7/2013 BE31/12/2043
FLANROCK2001/0538 autumn spire 03374
Flannery's Nurserieseuro
6/200414075
27/9/2004 IE31/12/2034
Especie Sorbus L.
DenominacióNº Exp. Nom comercial Codi / Titular Butlletí
Nº POV
Inici Protecció Fi Referència Obtentor /
SORBUS
ERIK2013/2488 legend 03700
E-PLANTA EKONOMISK FORENeuro
5/201747336
17/7/2017 SE31/12/2047
Especie Ulmus minor Mill.
DenominacióNº Exp. Nom comercial Codi / Titular Butlletí
Nº POV
Inici Protecció Fi Referència Obtentor /
OM
ADEMUZ2014/1891 Ademuz 08496/08495
U. ANATOMIA FISIOLOGIA Y Geuro
5/201849920
2/7/2018 ES31/12/2048
DEHESA DE AMANIEL2014/1890 Dehesa de Amaniel 08496/08495
U. ANATOMIA FISIOLOGIA Y Geuro
5/201849915
2/7/2018 ES31/12/2048
DEHESA DE LA VILLA2014/1889 Dehesa de la Villa 08496/08495
U. ANATOMIA FISIOLOGIA Y Geuro
5/201849914
2/7/2018 ES31/12/2048
FUENTE UMBRÍA2014/1893 Fuente Umbría 08496/08495
U. ANATOMIA FISIOLOGIA Y Geuro
5/201849921
2/7/2018 ES31/12/2048
MAJADAHONDA2014/1888 Majadahonda 08496/08495
U. ANATOMIA FISIOLOGIA Y Geuro
5/201849913
2/7/2018 ES31/12/2048
RETIRO2014/1892 Retiro 08496/08495
U. ANATOMIA FISIOLOGIA Y Geuro
5/201849916
2/7/2018 ES31/12/2048
TOLEDO2014/1894 Toledo 08496/08495
U. ANATOMIA FISIOLOGIA Y Geuro
4/201746993
6/6/2017 ES31/12/2047
WANOUX2006/0866 762 00689
INRA-Institut National de la Recheuro
3/200924403
23/3/2009 FR31/12/2039
Especie Vaccinium angustifolium Aiton × V. corymbosum L.
DenominacióNº Exp. Nom comercial Codi / Titular Butlletí
Nº POV
Inici Protecció Fi Referència Obtentor /
NABIU
ZF061792013/1686 zf06-179 09324
THE CONARD-PYLE COMPANYeuro
2/201951416
25/2/2019 US31/12/2049
Especie Vaccinium corymbosum L.
DenominacióNº Exp. Nom comercial Codi / Titular Butlletí
Nº POV
Inici Protecció Fi Referència Obtentor /
NABIU
ABUNDANCE2007/0368 abundance 00669
Florida Foundation Seed Produceeuro
3/201437097
22/4/2014 US31/12/2044
ALBA2008/0344 s03-19-02 06181
Royal Berries S.L.euro
2/201436999
24/2/2014 ES31/12/2044
ALTAIR2008/0338 s03-38-04 06181
Royal Berries S.L.euro
3/201334441
18/3/2013 ES31/12/2038
AURORA2005/0223 aurora 04947
The Board of Thustees of Michigeuro
2/200923937
9/2/2009 US31/12/2034
AZULEMA2008/0345 s03-38-01 06181
Royal Berries S.L.euro
3/201334444
18/3/2013 ES31/12/2043
BLUE BAYOU2011/2817 f126 00915
The Horticulture & Food Researceuro
4/201746455
10/5/2017 NZ31/12/2042
BLUE MOON2011/2560 rh 34 00915
The Horticulture & Food Researceuro
4/201746452
10/5/2017 NZ31/12/2042
7/3/2020 Pàgina 88 de 98
DenominacióNº Exp. Nom comercial Codi / Titular Butlletí
Nº POV
Inici Protecció Fi Referència Obtentor /
Vaccinium corymbosum L.
BLUE RIBBON2013/1318 zf05-009 07635
FALL CREEK FARM AND NURSeuro
3/201951757
11/3/2019 US31/12/2044
BLUE SILK2012/1555 zdm035 00915
The Horticulture & Food Researceuro
3/201746230
18/4/2017 NZ31/12/2047
BLUECRISP2004/1337 bluecrisp 00669
Florida Foundation Seed Produceeuro
4/200923931
4/5/2009 US31/12/2034
C00 092013/1986 c00 09 00669/07920
FLORIDA FOUNDATION SEEDeuro
3/201848937
23/4/2018 US31/12/2043
C01 432013/2498 c01 43 07920/00669
/ FLORIDA FOUNDATION SEEeuro
3/201848942
23/4/2018 AU31/12/2043
C95 122013/0092 c95-12 07920/00669
/ FLORIDA FOUNDATION SEEeuro
3/201746236
18/4/2017 AU31/12/2047
C97 3902013/1987 c97 390 00669/07920
FLORIDA FOUNDATION SEEDeuro
3/201848938
23/4/2018 US31/12/2043
C99 422013/0094 C99-42 07920/00669
/ FLORIDA FOUNDATION SEEeuro
3/201746237
18/4/2017 AU31/12/2047
CAMELLIA2007/2299 camellia 04180/04539
U.Georgia Research Foundation Ieuro
2/201436995
24/2/2014 US31/12/2044
CARMEN2008/0339 s01-13-04 06181
Royal Berries S.L.euro
3/201334442
18/3/2013 ES31/12/2038
CELESTE2008/0343 s02-04-01 06181
Royal Berries S.L.euro
3/201334554
18/3/2013 ES31/12/2038
CIPRIA2012/1007 rh48 00915
The Horticulture & Food Researceuro
4/201746459
10/5/2017 NZ31/12/2042
CORONA2008/0346 s02-30-12 06181
Royal Berries S.L.euro
3/201540493
7/4/2015 ES31/12/2045
DOLORES2008/0342 s02-26-03 06181
Royal Berries S.L.euro
3/201540492
7/4/2015 ES31/12/2045
DRAPER2005/0224 draper 04947
The Board of Thustees of Michigeuro
2/200923938
9/2/2009 US31/12/2034
DRISBLUEELEVEN2014/0772 103d 6 00659
Driscoll Strawberry Associates Ineuro
3/201952190
28/3/2019 US31/12/2044
DRISBLUEFIVE2012/2625 111b3 08402/08403/06038
B. Caster /J. K. Izzoeuro
4/201746462
10/5/2017 US31/12/2042
DRISBLUEFOUR2012/2624 146c6 08402/08403/06038
B. Caster /J. K. Izzoeuro
4/201746461
10/5/2017 US31/12/2042
DRISBLUENINE2014/0770 57e710 00659
Driscoll Strawberry Associates Ineuro
3/201952188
28/3/2019 US31/12/2044
DRISBLUEONE2008/1096 drisblueone 00659
Driscoll Strawberry Associates Ineuro
3/201437100
10/3/2014 US31/12/2044
DRISBLUESEVEN2012/2627 92d9 00659
Driscoll Strawberry Associates Ineuro
4/201746464
10/5/2017 US31/12/2042
DRISBLUESIX2012/2626 92d3 08402/08403/06038
B. Caster /J. K. Izzoeuro
4/201746463
10/5/2017 US31/12/2042
DRISBLUETEN2014/0771 66e10 00659
Driscoll Strawberry Associates Ineuro
3/201952189
28/3/2019 US31/12/2044
DRISBLUETHIRTEEN2014/0774 dsa25 00659
Driscoll Strawberry Associates Ineuro
5/201953081
1/7/2019 US31/12/2049
DRISBLUETHREE2008/1098 drisbluethree 00659
Driscoll Strawberry Associates Ineuro
3/201334447
18/3/2013 US31/12/2038
DRISBLUETWELVE2014/0773 129b 1 00659
Driscoll Strawberry Associates Ineuro
3/201952191
28/3/2019 US31/12/2044
DRISBLUETWO2008/1097 drisbluetwo 00659
Driscoll Strawberry Associates Ineuro
3/201334446
18/3/2013 US31/12/2038
7/3/2020 Pàgina 89 de 98
DenominacióNº Exp. Nom comercial Codi / Titular Butlletí
Nº POV
Inici Protecció Fi Referència Obtentor /
Vaccinium corymbosum L.
EMERALD2004/1339 emerald 00669
Florida Foundation Seed Produceeuro
4/200923932
4/5/2009 US31/12/2034
FARTHING2011/0236 F1 00-75 00669
Florida Foundation Seed Produceeuro
4/201540829
11/5/2015 US31/12/2045
HORTBLUE PETITE2005/0518 m7 00915
The Horticulture & Food Researceuro
2/200923936
23/2/2009 NZ31/12/2034
HORTBLUE POPPINS2007/2267 b8-3-10 00915
The Horticulture & Food Researceuro
3/201231850
19/3/2012 NZ31/12/2042
HURON2011/3174 huron msu - 47 04947
The Board of Thustees of Michigeuro
4/201746583
22/5/2017 US31/12/2042
JEWELL2004/1338 jewel 00669
Florida Foundation Seed Produceeuro
2/201539515
9/2/2015 US31/12/2040
LIBERTY2005/0225 liberty 04947
The Board of Thustees of Michigeuro
2/200923937
9/2/2009 US31/12/2034
LUCERO2008/0340 s01-28-01 06181
Royal Berries S.L.euro
2/201436998
24/2/2014 ES31/12/2044
LUCIA2008/0341 s03-60-01 06181
Royal Berries S.L.euro
3/201334443
18/3/2013 ES31/12/2043
MAGNA2008/0347 s03-08-02 06181
Royal Berries S.L.euro
3/201334445
18/3/2013 ES31/12/2038
MILLENNIA2004/1343 millennia 00669
Florida Foundation Seed Produceeuro
4/200923935
4/5/2009 US31/12/2034
PALMETTO2007/2300 palmetto 04180
University of Georgia Research Feuro
2/201436996
24/2/2014 US31/12/2044
PRIMADONNA2007/0371 primadonna 00669
Florida Foundation Seed Produceeuro
3/201231791
19/3/2012 US31/12/2042
REBEL2007/2301 rebel 04180
University of Georgia Research Feuro
3/201334440
18/3/2013 US31/12/2038
ROCIO2007/0366 rocio 06181
Royal Berries S.L.euro
3/201540491
7/4/2015 ES31/12/2045
ROMERO2007/0367 romero 06181
Royal Berries S.L.euro
3/201334439
18/3/2013 ES31/12/2038
ROXY BLUE2012/1006 d100 00915
The Horticulture & Food Researceuro
4/201746458
10/5/2017 NZ31/12/2042
SCINTILLA2011/0235 F1 00-267 00669
Florida Foundation Seed Produceeuro
4/201540828
11/5/2015 US31/12/2045
SEBRING2004/1342 sebring 00669
Florida Foundation Seed Produceeuro
4/200923934
4/5/2009 US31/12/2034
SEVILLA2008/0337 s03-08-04 06181
Royal Berries S.L.euro
2/201436997
24/2/2014 ES31/12/2044
SOUTHERN BELLE2004/1341 sourthern 00669
Florida Foundation Seed Produceeuro
4/200923933
4/5/2009 US31/12/2034
SPRINGHIGH2007/0369 springhigh 00669
Florida Foundation Seed Produceeuro
3/201437098
22/4/2014 US31/12/2044
SPRINGWIDE2007/0370 springwide 00669
Florida Foundation Seed Produceeuro
3/201437099
22/4/2014 US31/12/2044
SUNSET BLUE2011/2816 rh11 00915
The Horticulture & Food Researceuro
4/201746454
10/5/2017 NZ31/12/2042
SUZIBLUE2011/0173 04180
University of Georgia Research Feuro
4/201540785
11/5/2015 US31/12/2045
TH6822014/1855 th-682 04539/04180
UNITED STATES OF AMERICA/euro
3/201952192
28/3/2019 US31/12/2044
ZF060432014/1574 zf06-043 09324
THE CONARD-PYLE COMPANYeuro
2/201951129
11/2/2019 US31/12/2049
7/3/2020 Pàgina 90 de 98
DenominacióNº Exp. Nom comercial Codi / Titular Butlletí
Nº POV
Inici Protecció Fi Referència Obtentor /
Vaccinium corymbosum L.
ZF060792014/1575 zf06-079 09324
THE CONARD-PYLE COMPANYeuro
2/201951130
11/2/2019 US31/12/2049
ZF070702013/1322 zf07-070 07635
FALL CREEK FARM AND NURSeuro
3/201951758
11/3/2019 US31/12/2044
Especie Vaccinium L.
DenominacióNº Exp. Nom comercial Codi / Titular Butlletí
Nº POV
Inici Protecció Fi Referència Obtentor /
NABIU
EB 8 12014/3317 eb 8-1 09465/08845
BISA TRADING PTY LTD./euro
3/201952196
28/3/2019 AU31/12/2044
EB 8 172014/3318 eb 8-17 09465/08845
BISA TRADING PTY LTD./euro
3/201952197
28/3/2019 AU31/12/2044
EB 8 422014/3312 eb 8-42 09465/08845
BISA TRADING PTY LTD./euro
3/201952195
28/3/2019 AU31/12/2044
FL011732012/0351 fl 01-173 00669
Florida Foundation Seed Produceeuro
3/201642962
11/4/2016 US31/12/2041
FL02402012/0355 fl 02-40 00669
Florida Foundation Seed Produceeuro
3/201642966
11/4/2016 US31/12/2041
FL032282014/0349 fl03228 00669
Florida Foundation Seed Produceeuro
3/201952194
28/3/2019 US31/12/2044
FL032912012/0356 fl 03-291 00669
Florida Foundation Seed Produceeuro
3/201642967
11/4/2016 US31/12/2041
FL042352012/0352 fl 04-235 00669
Florida Foundation Seed Produceeuro
3/201642963
11/4/2016 US31/12/2041
FL051072012/0353 fl 05-107 00669
Florida Foundation Seed Produceeuro
3/201642964
11/4/2016 US31/12/2041
FL056272012/0354 fl 05-627 00669
Florida Foundation Seed Produceeuro
3/201642965
11/4/2016 US31/12/2041
FL96432012/0390 fl 96-43 00669
Florida Foundation Seed Produceeuro
3/201642968
11/4/2016 US31/12/2041
FL984232014/0348 fl98423 00669
Florida Foundation Seed Produceeuro
3/201952193
28/3/2019 US31/12/2044
RIDLEY 11112013/2049 opi 08155
MOUNTAIN BLUE ORCHARDSeuro
3/201848940
23/4/2018 AU31/12/2043
RIDLEY 14032013/2047 m08-14-03 08155
MOUNTAIN BLUE ORCHARDSeuro
3/201848939
23/4/2018 AU31/12/2043
RIDLEY 18122014/3595 m07-18-12 08155
MOUNTAIN BLUE ORCHARDSeuro
3/201951760
11/3/2019 AU31/12/2044
ZF080952013/1687 zf08-095 09324/04539
THE CONARD-PYLE COMPANYeuro
4/201849180
7/5/2018 US31/12/2043
Especie Vaccinium L. (V. corymbosum L. × V. darrowi Camp × V.
virgatum Aiton)
DenominacióNº Exp. Nom comercial Codi / Titular Butlletí
Nº POV
Inici Protecció Fi Referència Obtentor /
NABIU
VENTURA2012/0855 ff-89 07635
FALL CREEK FARM AND NURSeuro
2/201745349
6/2/2017 US31/12/2042
Especie Vaccinium simulatum Small
DenominacióNº Exp. Nom comercial Codi / Titular Butlletí
Nº POV
Inici Protecció Fi Referència Obtentor /
NABIU
HORTBLUE DEMURE2005/0517 d104 00915
The Horticulture & Food Researceuro
2/200924095
23/2/2009 NZ31/12/2034
7/3/2020 Pàgina 91 de 98
DenominacióNº Exp. Nom comercial Codi / Titular Butlletí
Nº POV
Inici Protecció Fi Referència Obtentor /
Vaccinium virgatum Aiton
Especie Vaccinium virgatum Aiton
DenominacióNº Exp. Nom comercial Codi / Titular Butlletí
Nº POV
Inici Protecció Fi Referència Obtentor /
NABIU
ALAPAHA2007/2296 alapaha 04180/04539
U.Georgia Research Foundation Ieuro
3/201334753
8/4/2013 US31/12/2038
CENTRA BLUE2010/0475 f130 00915
The Horticulture & Food Researceuro
4/201746450
10/5/2017 NZ31/12/2042
DOLCE BLISS2014/2446 d122 00915
The Horticulture & Food Researceuro
3/201952198
28/3/2019 NZ31/12/2049
OCHLOCKONEE2007/2298 ochlockonee 04180/04539
U.Georgia Research Foundation Ieuro
3/201334755
8/4/2013 US31/12/2038
OVERTIME2013/1321 zfk-218 07635
FALL CREEK FARM AND NURSeuro
1/201950642
3/12/2018 US31/12/2048
SKY BLUE2011/2561 f110 00915
The Horticulture & Food Researceuro
4/201746453
10/5/2017 NZ31/12/2042
T9592014/1576 t-959 04180
University of Georgia Research Feuro
3/201951759
11/3/2019 US31/12/2044
VERNON2007/2297 vernon 04180
University of Georgia Research Feuro
3/201334754
8/4/2013 US31/12/2038
Especie Vaccinium vitis-idaea L.
DenominacióNº Exp. Nom comercial Codi / Titular Butlletí
Nº POV
Inici Protecció Fi Referència Obtentor /
NABIU
LIROME2015/0199 lirome 07050
SIERTEELTKWEKERIJ MAARTeuro
3/201746224
18/4/2017 NL31/12/2047
MELIRO2010/1540 07050
SIERTEELTKWEKERIJ MAARTeuro
2/201539355
26/1/2015 NL31/12/2040
RED CANDY2008/2294 sonkoot30 06616
Van Son & Koot Holding B.V.euro
2/201539352
26/1/2015 NL31/12/2040
Especie Vitis L.
DenominacióNº Exp. Nom comercial Codi / Titular Butlletí
Nº POV
Inici Protecció Fi Referència Obtentor /
VINYA
ACS V 012007/2981 blanc seedless 06135
Luribay Business Inc.euro
4/201335570
3/6/2013 PA31/12/2043
AFRODITA1997/1145 B-4-5 AFRODITA 00795
Zanzi Fruitgroeuro
3/200719931
16/4/2007 IT31/12/2037
ALEGRILLO NEGRO1999/1528 alegrillo negro 02801
Wein und Sektkellereien Jakob Geuro
3/20029014
18/3/2002 DE31/12/2032
AMGRAPONE2006/0363 snflwhitone 03945
ARC Infruitec - Nietvoorbijeuro
5/201027971
26/7/2010 ZA31/12/2040
APULIA2008/1662 apulia 08009
AGRIPROJECT GROUP S.R.L.euro
5/201335812
8/7/2013 IT31/12/2043
AUTUMN KING2007/1899 autumn king (c67-120) 04539
The United States of Americaeuro
4/201335210
6/5/2013 US31/12/2043
AVANTI2006/0812 tii/58 05419
Ulrich Martineuro
1/201333808
19/11/2012 DE31/12/2042
B34 822005/1788 scarlet royal (b34-82) 04539
The United States of Americaeuro
6/201130889
10/10/2011 US31/12/2041
BLAGATWO2009/2710 blagatwo 06859
Sheehan Genetics LLCeuro
5/201438463
7/7/2014 US31/12/2044
BLAGRAONE2006/0416 blagraone 01719
Antonio Muñoz y Cia SAeuro
5/201027972
26/7/2010 ES31/12/2040
CABERNET BLANC2006/1054 vb 91-26-1 05457
Volker Freytageuro
3/200821990
10/3/2008 DE31/12/2038
7/3/2020 Pàgina 92 de 98
DenominacióNº Exp. Nom comercial Codi / Titular Butlletí
Nº POV
Inici Protecció Fi Referència Obtentor /
Vitis L.
CABERNET JURA2006/1052 vb 05-02 05457
Volker Freytageuro
4/201130091
23/5/2011 DE31/12/2041
CABERTIN2006/1055 vb 91-26-17 05457
Volker Freytageuro
3/200821991
10/3/2008 DE31/12/2038
CHRISTINE2004/0165 19/1/558 00363
Wolf Jörgeuro
5/200823287
21/7/2008 DE31/12/2038
CUMDEO BLANC1999/1526 cumdeo blanc 02801
Wein und Sektkellereien Jakob Geuro
3/20029012
18/3/2002 DE31/12/2032
CUMDEO ROUGE1999/1525 cumdeo rouge 02801
Wein und Sektkellereien Jakob Geuro
3/20029011
18/3/2002 DE31/12/2032
DORIA SEEDLESS2000/1225 doria seedless 03102/03103
F. Giordano/R.Papasergioeuro
6/200720977
8/10/2007 IT31/12/2037
GEORG2004/0162 31/01/062 00363
Wolf Jörgeuro
5/200823284
21/7/2008 DE31/12/2038
GERTRUDE2004/0164 19/1/432 00363
Wolf Jörgeuro
5/200823286
21/7/2008 DE31/12/2038
GRAPAES1999/0631 44/50 02580
Grapa Company Limitedeuro
3/200719647
19/3/2007 IL31/12/2037
GRAPECOUS2003/0680 g 5 09077
SPECIAL NEW FRUIT LICENSINeuro
1/201026305
21/12/2009 UK31/12/2039
JAKOB GERHARDT BLANC1999/1527 jakob gerhardt blanc 02801
Wein und Sektkellereien Jakob Geuro
3/20029013
18/3/2002 DE31/12/2032
KATHARINA2004/0166 31/1/265 00363
Wolf Jörgeuro
5/200823288
21/7/2008 DE31/12/2038
MILLENNIUM2006/0813 tii/62 05419
Ulrich Martineuro
2/201128843
7/2/2011 DE31/12/2041
NAVSEL 12010/2645 05/44 09077
SPECIAL NEW FRUIT LICENSINeuro
6/201644364
19/9/2016 UK31/12/2046
NAVSEL 22010/2644 gr2/6 09077
SPECIAL NEW FRUIT LICENSINeuro
6/201644363
19/9/2016 UK31/12/2046
NAVSEL 32010/2643 gr2/9 09077
SPECIAL NEW FRUIT LICENSINeuro
6/201644362
19/9/2016 UK31/12/2046
NAVSEL 52010/2642 05/58 09077
SPECIAL NEW FRUIT LICENSINeuro
6/201644361
19/9/2016 UK31/12/2046
NEGRO AMARO
CANNELLINO
2002/0608 negro amaro precoce n. 03834/02306
CAM DI COMMER, INDUSTRIA,euro
2/200719237
19/2/2007 IT31/12/2037
NEMADEX ALAIN BOUQUET2010/2348 mtp 6146-1-87 00689
INRA-Institut National de la Recheuro
4/201130381
6/6/2011 FR31/12/2041
NERO1995/1466 nero 00363
Wolf Jörgeuro116
3/19971760
3/3/1997 NERO DE1/2/2024
NIKOLETA2002/0383 nikoleta 03791
SPINOS NIKOLAOSeuro
4/201437905
5/5/2014 GR31/12/2044
PAULA1998/1175 paula 02306
Istituto Sperimentale per la Viticoleuro
1/200310234
18/11/2002 IT31/12/2032
PHILIPP2004/0163 31/1/225 00363
Wolf Jörgeuro
5/200823285
21/7/2008 DE31/12/2038
PINOTIN2006/1053 vb 91-26-19 05457
Volker Freytageuro
3/200719939
16/4/2007 DE31/12/2037
PRIME1999/0961 prime 01306
Agricultural Research Organisatioeuro
4/200719942
16/4/2007 PRIME IL31/12/2037
PRINCESS2004/0107 princess (c45-59) 04539
The United States of Americaeuro
5/201335858
29/7/2013 US31/12/2043
RALLI SEEDLESS1998/1747 ralli seedless 02468
G. & I. Ralli & Sons Pty Ltdeuro
3/200719940
16/4/2007 AU31/12/2037
7/3/2020 Pàgina 93 de 98
DenominacióNº Exp. Nom comercial Codi / Titular Butlletí
Nº POV
Inici Protecció Fi Referència Obtentor /
Vitis L.
RATHAY1999/1194 rathay 02732
Höhere Bundeslehranstalt und Bueuro
4/200413613
21/6/2004 RATHAY AT31/12/2034
REBELIA2017/1265 g4 00689
INRA-Institut National de la Recheuro
4/201952535
6/5/2019 FR31/12/2049
RECLIA2017/1266 g3 00689
INRA-Institut National de la Recheuro
4/201952536
6/5/2019 FR31/12/2049
RECYBEL2017/1264 g18 00689
INRA-Institut National de la Recheuro
4/201952534
6/5/2019 FR31/12/2049
REGENT1995/0821 regent 00650
Institut für Rebenzüchtungeuro116
1/19971396
15/10/1996 REGENT DE1/4/2024
ROESLER1999/1195 roesler 02732
Höhere Bundeslehranstalt und Bueuro
4/200413614
21/6/2004 AT31/12/2034
RUBINET2000/0264 r-27 tintet 02932
Hermann Jägereuro
4/200413615
21/6/2004 DE31/12/2034
RUBINIA1998/1172 rubinia 02306
Istituto Sperimentale per la Viticoleuro
1/200310231
18/11/2002 IT31/12/2032
SHEEGENE 102009/2759 9-767 06859
Sheehan Genetics LLCeuro
6/201336064
23/9/2013 US31/12/2043
SHEEGENE 112010/0323 9-605 06859
Sheehan Genetics LLCeuro
5/201438466
7/7/2014 US31/12/2044
SHEEGENE 122010/0324 r9v688 06859
Sheehan Genetics LLCeuro
5/201438467
7/7/2014 US31/12/2044
SHEEGENE 132010/0325 9-794 06859
Sheehan Genetics LLCeuro
5/201438468
7/7/2014 US31/12/2044
SHEEGENE 22010/0322 10-58 06859
Sheehan Genetics LLCeuro
5/201438465
7/7/2014 US31/12/2044
SHEEGENE 262010/2597 gal-4 06859
Sheehan Genetics LLCeuro
2/201642311
25/1/2016 US31/12/2046
SHEEGENE 32009/2755 r10v571 06859
Sheehan Genetics LLCeuro
5/201438464
7/7/2014 US31/12/2044
SHEEGENE 42009/2756 r12v522 06859
Sheehan Genetics LLCeuro
6/201336061
23/9/2013 US31/12/2043
SHEEGENE 62009/2757 r2v468 06859
Sheehan Genetics LLCeuro
6/201336062
23/9/2013 US31/12/2043
SHEEGENE 92009/2758 r10v714 06859
Sheehan Genetics LLCeuro
6/201336063
23/9/2013 US31/12/2043
STEFANIE2006/0542 19/1/518 00363
Wolf Jörgeuro
3/201027258
19/4/2010 DE31/12/2040
SUGRAEIGHTEEN2002/1217 sugraeighteen 05485
Sun World International LLCeuro
1/201026298
21/12/2009 US31/12/2039
SUGRAFOURTEEN2002/1218 sugrafourteen 05485
Sun World International LLCeuro
3/201026757
22/3/2010 US31/12/2040
SUGRANINETEEN2007/0324 05485
Sun World International LLCeuro
3/201232280
10/4/2012 US31/12/2042
SUGRASIXTEEN2000/0369 sugrasixteen 05485
Sun World International LLCeuro
5/201027969
26/7/2010 US31/12/2040
SUGRATHIRTEEN1999/1541 sugrathirteen 05485
Sun World International LLCeuro
6/200721163
22/10/2007 US31/12/2037
SUGRATHIRTYTWO2008/0986 sugrathirtytwo 05485
Sun World International LLCeuro
4/201438357
16/6/2014 US31/12/2044
SUGRATWELVE2000/0753 sugratwelve 05485
Sun World International LLCeuro
5/201027970
26/7/2010 US31/12/2040
SUMMER ROYAL2004/0108 summer royal (b74-99) 04539
The United States of Americaeuro
6/201130887
10/10/2011 US31/12/2041
7/3/2020 Pàgina 94 de 98
DenominacióNº Exp. Nom comercial Codi / Titular Butlletí
Nº POV
Inici Protecció Fi Referència Obtentor /
Vitis L.
SWEET SCARLET2004/0256 a61-16 04539
The United States of Americaeuro
6/201130888
10/10/2011 US31/12/2041
VITROBLACK 12004/0488 vp f50 05277
Vitroplant Italia SRLeuro
6/201028208
6/9/2010 IT31/12/2040
WILDMUSKAT2007/1170 wildmuskat 05884
Weingut Amalienhof Gbreuro
1/200821574
17/12/2007 DE31/12/2037
Especie Vitis vinifera L.
DenominacióNº Exp. Nom comercial Codi / Titular Butlletí
Nº POV
Inici Protecció Fi Referència Obtentor /
VINYA VINIFERA
"SHEEGENE 17"2013/0150 10-418 06859
Sheehan Genetics LLCeuro
4/201746466
10/5/2017 US31/12/2047
ARRAELEVEN2009/1870 arraeleven 06775
ARD LLCeuro
4/201540779
11/5/2015 US31/12/2045
ARRAFIFTEEN2009/1872 arrafifteen 06775
ARD LLCeuro
4/201540781
11/5/2015 US31/12/2045
ARRAFOUR2011/3039 arrafour 06775
ARD LLCeuro
4/201643524
10/5/2016 US31/12/2046
ARRANINETEEN2009/1871 arranineteen 06775
ARD LLCeuro
4/201540780
11/5/2015 US31/12/2045
ARRAONE2011/3037 arrone 06775
ARD LLCeuro
4/201643523
10/5/2016 US31/12/2046
ARRASIXTEEN2011/3041 arrasixteen 06775
ARD LLCeuro
4/201643525
10/5/2016 US31/12/2046
ARRATEN2009/1875 arraten 06775
ARD LLCeuro
4/201540783
11/5/2015 US31/12/2045
ARRATHIRTEEN2009/1874 arrathirteen 06775
ARD LLCeuro
4/201540782
11/5/2015 US31/12/2045
ARRATHIRTY2014/3297 06775
ARD LLCeuro
4/201952663
20/5/2019 US31/12/2049
BEAUGARAY2016/1313 col-bj 1033 09177/00689
SICAREX BEAUJOLAIS S.A.S./euro
1/201745155
15/12/2016 FR31/12/2046
CABERET NOIR2011/2744 vb 91-26-4 05458
Valentin Blattnereuro
6/201747684
25/9/2017 CH31/12/2047
CABERNET EIDOS2015/0367 ud-58.083 03895/08712
Uni: STUDI DI UDINE/ISTITUTOeuro
6/201953452
16/9/2019 IT31/12/2049
CABERNET VOLOS2015/0362 ud-32.078 03895/08712
Uni: STUDI DI UDINE/ISTITUTOeuro
6/201953449
16/9/2019 IT31/12/2049
CALARDIS BLANC2018/1316 gf.1993-22-6 00650
Institut für Rebenzüchtungeuro
1/201950622
19/11/2018 DE31/12/2048
CARA SEEDLESS2012/2787 acs v (1-5) r32b 06135
Luribay Business Inc.euro
4/201746798
6/6/2017 PA31/12/2047
FERRADOU2011/1107 8381 00689
INRA-Institut National de la Recheuro
1/201231264
19/12/2011 FR31/12/2041
FIAMMETTA2010/1412 fiammetta 06354
Stefano Sommaeuro
4/201540822
11/5/2015 IT31/12/2045
FLEURTAI2015/0363 ud-34.111 03895/08712
Uni: STUDI DI UDINE/ISTITUTOeuro
3/201952167
28/3/2019 IT31/12/2049
FLOREAL2017/2245 inracol-2007g 00689
INRA-Institut National de la Recheuro
3/201848972
23/4/2018 FR31/12/2043
GAMINOT2016/1314 col-bj 1094 09177/00689
SICAREX BEAUJOLAIS S.A.S./euro
1/201745156
15/12/2016 FR31/12/2046
GRANITA2016/1315 col-bj 1252 09177/00689
SICAREX BEAUJOLAIS S.A.S./euro
1/201745157
15/12/2016 FR31/12/2046
IASMA ECO 12012/2342 iasma eco 1 07626
FONDAZIONE EDMUND MACHeuro
3/201746231
18/4/2017 IT31/12/2047
7/3/2020 Pàgina 95 de 98
DenominacióNº Exp. Nom comercial Codi / Titular Butlletí
Nº POV
Inici Protecció Fi Referència Obtentor /
Vitis vinifera L.
IASMA ECO 22012/2343 iasma eco 2 07626
FONDAZIONE EDMUND MACHeuro
3/201746232
18/4/2017 IT31/12/2047
IASMA ECO 32012/2344 iasma eco 3 07626
FONDAZIONE EDMUND MACHeuro
3/201746233
18/4/2017 IT31/12/2047
IASMA ECO 42012/2345 iasma eco 4 07626
FONDAZIONE EDMUND MACHeuro
3/201746234
18/4/2017 IT31/12/2047
IFG 68 1752012/0203 ifg 068 175 08292
INTERNATIONAL FRUIT GENETeuro
4/201643801
6/6/2016 US31/12/2046
IFG FOUR2013/3202 ifg 01163-041-164 08292
INTERNATIONAL FRUIT GENETeuro
4/201849459
22/5/2018 US31/12/2048
IFG NINE2012/0202 ifg 067 219 08292
INTERNATIONAL FRUIT GENETeuro
4/201643800
6/6/2016 US31/12/2046
IFG ONE2009/1408 ifg 031 077 08292
INTERNATIONAL FRUIT GENETeuro
4/201540777
11/5/2015 US31/12/2045
IFG SEVEN2013/3201 ifg 03097-048-221 08292
INTERNATIONAL FRUIT GENETeuro
5/201849954
16/7/2018 US31/12/2048
IFG TWO2009/1409 ifg 104 253 08292
INTERNATIONAL FRUIT GENETeuro
4/201540778
11/5/2015 US31/12/2045
INIAGRAPONE2014/3108 5.56-inia 08596
INSTITUTO DE INVESTIGACIOeuro
3/201952269
15/4/2019 CL31/12/2049
ITUMEIGHT2013/0780 06-222-1 07999
INVESTIGACION Y TECNOLOGIeuro
4/201746476
10/5/2017 ES31/12/2047
ITUMELEVEN2013/0784 01-144-7 07999
INVESTIGACION Y TECNOLOGIeuro
4/201746479
10/5/2017 ES31/12/2047
ITUMFIVE2013/0773 03-434-17 07999
INVESTIGACION Y TECNOLOGIeuro
4/201746473
10/5/2017 ES31/12/2047
ITUMFOUR2013/0768 03-543-10 07999
INVESTIGACION Y TECNOLOGIeuro
4/201746472
10/5/2017 ES31/12/2047
ITUMFOURTEEN2015/2929 08-195-14 07159
SNFL Mediterraneo SLeuro
3/201952272
15/4/2019 ES31/12/2049
ITUMNINE2013/0781 05-332-21 07999
INVESTIGACION Y TECNOLOGIeuro
4/201746477
10/5/2017 ES31/12/2047
ITUMONE2013/0761 06-91-33 07999
INVESTIGACION Y TECNOLOGIeuro
4/201746469
10/5/2017 ES31/12/2047
ITUMSEVEN2013/0775 03-364-14 07999
INVESTIGACION Y TECNOLOGIeuro
4/201746475
10/5/2017 ES31/12/2047
ITUMSIX2013/0774 07-362-1 07999
INVESTIGACION Y TECNOLOGIeuro
4/201746474
10/5/2017 ES31/12/2047
ITUMTEN2013/0783 04-791-1 07999
INVESTIGACION Y TECNOLOGIeuro
4/201746478
10/5/2017 ES31/12/2047
ITUMTHIRTEEN2015/2928 08-339-31 07159
SNFL Mediterraneo SLeuro
3/201952271
15/4/2019 ES31/12/2049
ITUMTHREE2013/0766 05-78-18 07999
INVESTIGACION Y TECNOLOGIeuro
4/201746471
10/5/2017 ES31/12/2047
ITUMTWELVE2013/0785 06-166-7 07999
INVESTIGACION Y TECNOLOGIeuro
4/201746480
10/5/2017 ES31/12/2047
ITUMTWO2013/0764 07-341-1 07999
INVESTIGACION Y TECNOLOGIeuro
4/201746470
10/5/2017 ES31/12/2047
LUISA2010/1736 luisa seedless 06354
Stefano Sommaeuro
4/201540823
11/5/2015 IT31/12/2045
M13012011/2763 m13-01 02090
COMMONWEALTH SCIENTIFICeuro
3/201952230
28/3/2019 AU31/12/2049
MARA SEEDLESS2012/2788 acs v (26-30) r25r 06135
Luribay Business Inc.euro
4/201746799
6/6/2017 PA31/12/2047
7/3/2020 Pàgina 96 de 98
DenominacióNº Exp. Nom comercial Codi / Titular Butlletí
Nº POV
Inici Protecció Fi Referència Obtentor /
Vitis vinifera L.
MARQUETTE2011/3150 mn1211 01528
Regents of the University of Minneuro
3/201848924
23/4/2018 US31/12/2048
MERLOT KANTHUS2015/0365 ud-31.122 03895/08712
Uni: STUDI DI UDINE/ISTITUTOeuro
6/201953450
16/9/2019 IT31/12/2049
MERLOT KHORUS2015/0360 ud-31.125 03895/08712
Uni: STUDI DI UDINE/ISTITUTOeuro
6/201953448
16/9/2019 IT31/12/2049
MÉSZIKADAR2012/0093 mészi kadarka 07541
PÁL MESZÁROSeuro
2/201334095
21/1/2013 HU31/12/2043
PICARLAT2016/1316 col-bj 892 09177/00689
SICAREX BEAUJOLAIS S.A.S./euro
1/201745158
15/12/2016 FR31/12/2046
PINOT REGINA2017/2729 04-7-29/3 09676
UNIVERSITY OF PECSeuro
2/201951132
11/2/2019 HU31/12/2049
SAUVIGNAC2014/0347 vb cal. 6-04 05458
Valentin Blattnereuro
6/201850207
24/9/2018 CH31/12/2048
SAUVIGNON KRETOS2015/0368 ud-76.026 03895/08712
Uni: STUDI DI UDINE/ISTITUTOeuro
6/201953453
16/9/2019 IT31/12/2049
SAUVIGNON NEPIS2015/0366 ud-55.098 03895/08712
Uni: STUDI DI UDINE/ISTITUTOeuro
6/201953451
16/9/2019 IT31/12/2049
SAUVIGNON RYTOS2015/0359 ud-55.100 03895/08712
Uni: STUDI DI UDINE/ISTITUTOeuro
6/201953447
16/9/2019 IT31/12/2049
SHEEGENE 162013/0211 4-519 06859
Sheehan Genetics LLCeuro
4/201746468
10/5/2017 US31/12/2047
SHEEGENE 182013/0210 10-462 06859
Sheehan Genetics LLCeuro
4/201746467
10/5/2017 US31/12/2047
SHEEGENE 202010/2596 9-704 06859
Sheehan Genetics LLCeuro
4/201540925
26/5/2015 US31/12/2045
SHEEGENE 212011/1611 10-552 06859
Sheehan Genetics LLCeuro
3/201540341
7/4/2015 US31/12/2045
SHEEGENE 252015/1720 10-182 06859
Sheehan Genetics LLCeuro
3/201952270
15/4/2019 US31/12/2049
SHEEGENE 52011/3063 9-608 06859
Sheehan Genetics LLCeuro
4/201746456
10/5/2017 US31/12/2047
SHEEGENE 82013/0356 2-38 06859
Sheehan Genetics LLCeuro
4/201849178
7/5/2018 US31/12/2048
SORELI2015/0361 ud-34.113 03895/08712
Uni: STUDI DI UDINE/ISTITUTOeuro
3/201952165
28/3/2019 IT31/12/2049
SUGRAFORTY2014/2976 sugraforty 05485
Sun World International LLCeuro
3/201952162
28/3/2019 US31/12/2049
SUGRAFORTYONE2013/1800 sugrafortyone 05485
Sun World International LLCeuro
4/201849787
18/6/2018 US31/12/2048
SUGRATHIRTYEIGHT2013/1799 sugrathirtyeight 05485
Sun World International LLCeuro
4/201849786
18/6/2018 US31/12/2048
SUGRATHIRTYFIVE2011/0174 sugrathirtyfive 05485
Sun World International LLCeuro
4/201540786
11/5/2015 US31/12/2045
SUGRATHIRTYFOUR2014/2975 sugrathirtyfour 05485
Sun World International LLCeuro
4/201952695
20/5/2019 US31/12/2049
SUGRATHIRTYSIX2013/1798 sugrathirtysix 05485
Sun World International LLCeuro
4/201849785
18/6/2018 US31/12/2048
TAWNY SEEDLESS2014/3009 08578
LOMBARDI GENETICS (PTY) LTeuro
3/201952268
15/4/2019 ZA31/12/2049
VOLTIS2017/2246 inracol-2011g 00689
INRA-Institut National de la Recheuro
3/201848973
23/4/2018 FR31/12/2043
7/3/2020 Pàgina 97 de 98
DenominacióNº Exp. Nom comercial Codi / Titular Butlletí
Nº POV
Inici Protecció Fi Referència Obtentor /
Vitis vinifera L.
Nº Exp.: Número d'expedient
Nº POV = Número de títol de protecció
Inici Protecció Fi = Data de concessió de la protecció i data fi de la protecció
Codi / Titular = Codi identificador utilitzat al butlletí oficial i nom del titular
Butlletí = Número del butlletí oficial de la OCVV o del butlletí de la OEVV
Classe de títol de protecció: euro = sistema comunitari de protecció de varietats vegetals - OCVV; esp = sistema
espanyol de protecció de varietats vegetals - OEVV
CLAUS:
7/3/2020 Pàgina 98 de 98

Llistat proteccions_TOV_2020_1

  • 1.
    Varietats d'espècies de fruiters que disposende Protecció d'Obtenció Vegetal (Actualitzat amb el butlletí de l'OCVV 1/2020 de 15/2/2020) Aquest llistat només inclou les varietats de fruiters de les quals s'ha publicat la concessió de la protecció d'acord amb el Reglament europeu 2100/94 o la llei espanyola 3/2000. D'acord amb l'article 95 del reglament comunitari 2100/94 i l'article 18 de la llei 3/2000, les sol·licituds de varietats publicades en els butlletins, disposen de la protecció provisional que cubreix el període que va des de la publicació al butlletí fins la seva protecció. Font: OCVV: Oficina Comunitària de Varietats Vegetals (www.cpvo.europa.eu) OEVV: Oficina Espanyola de Varietats Vegetals (www.mapa.gob.es) Llistat de Proteccions 2020_1 (Informació actualitzada amb el BOE núm 22 de 22/1/2020) In memoriam Antonio Tabaco Calero Sevillano, afincado en Catalunya, añoraba su tierra andaluza. Avís legal: Aquest document està subjecte a una llicència Reconeixement-NoComercial 4.0 Internacional (CC BY-NC 4.0) de Creative Commons. Se'n permet la reproducció, distribució, comunicació pública i la generació d'obres derivades que estiguin subjectes a la mateixa llicència. Carles Folch i Castell, 2003-2020 [cfolchcastell@gmail.com] http://creativecommons.org/licenses/by-nc/4.0/deed.ca 16 agost 1932 / 1 gener 2020 Felicitats CPVO - 25 anys!! Destacats - Concedits 12 títols, 4 a Europa i 8 a España. - Sol·licitats 68 títols a Europa, entre ells 12 presseguers, 11 pomeres, 4 populus, 2 cítrics, 2 llúpols i un ametller obtingut per Paco Vargas (Mas Bové - IRTA). - Retirades 37 sol·licituds de varietats d'olivera a Europa. 7/3/2020 Pàgina 1 de 98
  • 2.
    Nous TÍTOLS Baixa TÍTOLS Nªde Títols per grup de espècies Esp botTip. exp. Nº TítolDenominació Data FiNom Comercial Fragaria × ananassa Duchesne ex Rozier euro 53849BG63016 31/12/2044 Prunus laurocerasus L.euro 53852BETTINA 31/12/2049 Prunus laurocerasus L.euro 53851ZSÓFI 31/12/2049 Esp botTip. exp. Nº TítolDenominació Data CancelNom Comercial Actinidia kolomikta (Maxim. & Rupr.) Maeuro 45294VITAKOLA 23/11/2019 Citrus reticulata blancoesp 002640ALBOREA 30/1/2020 Prunus armeniaca L.euro 27234FLODEA 26/11/2019 Prunus armeniaca L.euro 24106RAVILONG 14/12/2019 Prunus armeniaca L.euro 24105RAVIVAL 14/12/2019 Prunus persica (L.) Batscheuro 12668ELISE 14/12/2019ELISE Prunus persica (L.) Batscheuro 43306LEA 26/11/2019 Prunus persica (L.) Batscheuro 51501LEONIDA 26/11/2019 Prunus persica (L.) Batscheuro 43308MAYA 26/11/2019 Prunus persica (L.) Batschesp 002455MONID 30/1/2020 Prunus persica (L.) Batschesp 002458MONOF 30/1/2020 Prunus persica (L.) Batschesp 002782MONSICO 30/1/2020 Prunus persica (L.) Batscheuro 42720PLATICIA 12/12/2019 Prunus persica (L.) Batscheuro 39648PLATINUM 12/12/2019 Prunus persica (L.) Batschesp 002678PRO 110 30/1/2020PLATERINA 110 Prunus persica (L.) Batschesp 002756PRO 126 30/1/2020PLATERINA 126 Prunus persica (L.) Batschesp 002816PRO 222 30/1/2020 Prunus persica (L.) Batschesp 002817PRO 264 30/1/2020 Prunus persica (L.) Batschesp 002680PRO 33 30/1/2020EXTREME 33 Prunus persica (L.) Batschesp 002818PRO 346 30/1/2020 Prunus persica (L.) Batschesp 002821PRO 464 30/1/2020 Prunus persica (L.) Batschesp 002822PRO 465 30/1/2020 Prunus persica (L.) Batschesp 002717PRO 511 30/1/2020VICO Prunus persica (L.) Batschesp 002825PRO 513 30/1/2020 Prunus persica (L.) Batschesp 002826PRO 514 30/1/2020 Prunus persica (L.) Batschesp 002827PRO 523 30/1/2020 Prunus persica (L.) Batschesp 002869PRO 597 30/1/2020 Prunus persica (L.) Batschesp 002683PRO 6 30/1/2020EXTREME 6 Prunus persica (L.) Batschesp 002831PRO 606 30/1/2020 Prunus persica (L.) Batscheuro 36612PRO C 1 15/12/2019EARLY FRESH Prunus persica (L.) Batschesp 002584PRO C 17 30/1/2020SILOS Prunus persica (L.) Batschesp 002599PRO C 67 30/1/2020YUSO Prunus salicina Lindl. x Prunus armeniaeuro 20974DAPPLE DANDY 2/12/2019 Prunus salicina Lindl. x Prunus armeniaeuro 11951ZAITERKI 2/12/2019 Ribes nigrum L.euro 24351ZUSHA 4/11/2019 Vitis L.euro 19648HOBREVT 24/12/2019 7/3/2020 Pàgina 2 de 98
  • 3.
    1 1 911 18 21 51 61 99 111 144 240 292 325 958 0 200 400 600 800 1000 1200 O rnam entals Fruiters Bananer Fruits secsO rnam ental PyrusForestals Altres Cítrics Vitis Petits fruits M alus Fragaria Prunus 7/3/2020 Pàgina 3 de 98
  • 4.
    DenominacióNº Exp. Nomcomercial Codi / Titular Butlletí Nº POV Inici Protecció Fi Referència Obtentor / Actinidia chinensis Planch. Especie Actinidia chinensis Planch. DenominacióNº Exp. Nom comercial Codi / Titular Butlletí Nº POV Inici Protecció Fi Referència Obtentor / KIWI BRUCE2009/0385 bruce 05401 Zespri Group Limitedeuro 4/201335511 3/6/2013 NZ31/12/2043 DONG HONG2013/2067 oriental red 08158 WUHAN BOTANICAL GARDEN,euro 4/201952688 20/5/2019 CN31/12/2049 HFR 182012/2809 hfr 18 07304 Deyang Professional Academy ofeuro 4/201746465 10/5/2017 CN31/12/2047 JINYAN2013/2066 jinyan 08158 WUHAN BOTANICAL GARDEN,euro 4/201952694 20/5/2019 CN31/12/2049 MINKIGOLD2009/1301 jaune femelle 03881 Pepinieres Minier SAeuro 4/201643521 10/5/2016 FR31/12/2046 MOSHAN NO.42014/1289 moshan no.4 08158 WUHAN BOTANICAL GARDEN,euro 4/201952689 20/5/2019 CN31/12/2049 Y3562013/1140 y356 08892 Y356 INTERNATIONAL LIMITEDeuro 4/201952687 20/5/2019 NZ31/12/2049 Z5Z62013/1593 kingkuiwi 08102 INSTITUTE OF FRUIT AND TEAeuro 4/201952530 3/6/2019 CN31/12/2049 ZESH0042010/0377 16-01-03h. 02 05401 Zespri Group Limitedeuro 3/201437725 22/4/2014 NZ31/12/2044 ZESY0022010/0375 13-15-14g. 02 05401 Zespri Group Limitedeuro 3/201437723 22/4/2014 NZ31/12/2044 ZESY0032010/0376 51-17-29b. 97 05401 Zespri Group Limitedeuro 3/201437724 22/4/2014 NZ31/12/2044 ZUVA2015/1002 a 125.93 03895 Università degli Studi di Udineeuro 4/201952690 20/5/2019 IT31/12/2049 Especie Actinidia deliciosa (A. Chev.) C. F. Liang & A. R. Ferguson DenominacióNº Exp. Nom comercial Codi / Titular Butlletí Nº POV Inici Protecció Fi Referència Obtentor / KIWI DELICIOSA AGRINTESA S 1 FERRON2014/1324 agr fr sel.1 08453 AGRINTESA SOC. COOP. AGRIeuro 4/201952531 6/5/2019 IT31/12/2049 MERIS2011/0756 meris 07271 Scandola Giacinto e Campostrinieuro 4/201746451 10/5/2017 IT31/12/2047 RENACT2009/1290 renact 05643 Jean Renaulteuro 4/201643520 10/5/2016 FR31/12/2046 TUSCIA2011/2380 40nmg 05289 Vivai Piante Battistini Società Agreuro 4/201643522 10/5/2016 IT31/12/2046 Especie Actinidia Lindl. DenominacióNº Exp. Nom comercial Codi / Titular Butlletí Nº POV Inici Protecció Fi Referència Obtentor / KIWI BELEN2002/0864 134.16 03895 Università degli Studi di Udineeuro 5/200823148 7/7/2008 IT31/12/2038 BOERICA2002/1852 hs 03940 Azienda Agricola Bovo Angelo dieuro 3/200924819 20/4/2009 IT31/12/2039 BOVERLIG 022002/1158 hb 03940 Azienda Agricola Bovo Angelo dieuro 2/201026756 22/2/2010 IT31/12/2040 CHUHONG2008/1739 chuhong 06361 Changsha Truwind Fruit Co Ltdeuro 4/201541347 22/6/2015 CN31/12/2045 CONVI2003/1433 green star 04333 CO.N.VI. Di Spada Renato e Sereuro 4/200924923 4/5/2009 IT31/12/2038 HORT16A1998/0642 hort16a 05401 Zespri Group Limitedeuro 1/200310226 18/11/2002 NZ31/12/2027 7/3/2020 Pàgina 4 de 98
  • 5.
    DenominacióNº Exp. Nomcomercial Codi / Titular Butlletí Nº POV Inici Protecció Fi Referència Obtentor / Actinidia Lindl. HORTGEM RUA2005/0277 e416 00915 The Horticulture & Food Researceuro 4/200924925 4/5/2009 NZ31/12/2039 HORTGEM TAHI2003/0366 k2d4 00915 The Horticulture & Food Researceuro 4/201130080 23/5/2011 NZ30/12/2041 HORTGEM TORU2005/0276 c3c3 00915 The Horticulture & Food Researceuro 4/201130083 23/5/2011 NZ31/12/2041 HORTGEM WHA2005/0278 k2e5 00915 The Horticulture & Food Researceuro 4/200924926 4/5/2009 NZ31/12/2039 JINTAO2001/1735 C6 03636 Wuhan Institute of Botanyeuro 5/200823147 7/7/2008 CN31/12/2038 RS12006/1997 red sun 1 05602 Sun Rising Development (Agriculteuro 4/201746694 22/5/2017 CN31/12/2047 S6002008/2286 s600 06004 Donald Skeltoneuro 4/201643983 6/6/2016 NL31/12/2046 SKELTON A192007/2086 skelton a19 09548 ENZAFRUIT NEW ZEALAND INeuro 4/201643979 6/6/2016 NZ31/12/2046 SORELI2008/1319 ac 171.76 03895 Università degli Studi di UdineEURO 4/201232814 4/6/2012 IT31/12/2042 SUMMER 33732001/0159 03297 Dal Pane Vivai di Maurizio dal Paeuro 2/200616914 27/2/2006 IT31/12/2036 T 19102003/2524 tsechelidis 05670 Farmaplant SPeuro 5/200823290 21/7/2008 GR31/12/2038 TOMUA1998/0641 00915 The Horticulture & Food Researceuro 6/200311644 8/9/2003 NZ31/12/2028 W452008/2284 w45 06004 Donald Skeltoneuro 4/201643981 6/6/2016 NL31/12/2046 Y3682008/2285 y368 06004 Donald Skeltoneuro 4/201643982 6/6/2016 NL31/12/2046 Z4872008/2283 z487 06004 Donald Skeltoneuro 4/201643980 6/6/2016 NL31/12/2046 Especie Citrus clementina hort. Ex Tan. X Citrus sinensis (L.) Osbeck DenominacióNº Exp. Nom comercial Codi / Titular Butlletí Nº POV Inici Protecció Fi Referència Obtentor / MANDARINER EARLY SICILY2012/0556 c 1867 06900 CONSIGLIO PER LA RICERCAeuro 6/201747813 9/10/2017 IT31/12/2047 SWEET SICILY2012/0557 e 522 06900 CONSIGLIO PER LA RICERCAeuro 6/201747814 9/10/2017 IT31/12/2047 Especie Citrus clementina Hort. ex Tanaka DenominacióNº Exp. Nom comercial Codi / Titular Butlletí Nº POV Inici Protecció Fi Referència Obtentor / MANDARINA CLEMENTINA BASOL2010/0731 basol 06953 CANTERA LA TORRETA S.A.U.euro 3/201129617 18/4/2011 BASOL ES31/12/2041 BEATRIZ DE ANNA19953907 beatriz ESMFAB M. Fabra / IVIA / INIAesp BOE-69002168 21/3/2003 BEATRIZ DE ANNA ES21/3/2023 CLEMENALBA20054617 clementina la plana ES932 Agricola BAGU SAesp 2-2013002570 17/1/2013 ES31/12/2043 CLEMENAUREA20104936 avasa pri-60 ES973 AVASA/Inmobiliaria Castaliaesp 002778 8/9/2017 ES31/12/2047 CLEMENBERTA20104937 BERTA ES1020 SANCHO LANAU, S.L.esp 1-2018002808 20/2/2018 ES31/12/2048 CLEMENCALIG20104932 avasa pri59 ES972 AVASA/José Vicente Anglès Borresp 002779 8/9/2017 ES31/12/2047 CLEMENCAR20064694 ES971 AVASA/Manuel y Vivente Ramonesp BOE98002664 25/4/2015 ES31/12/2044 7/3/2020 Pàgina 5 de 98
  • 6.
    DenominacióNº Exp. Nomcomercial Codi / Titular Butlletí Nº POV Inici Protecció Fi Referència Obtentor / Citrus clementina Hort. ex Tanaka CLEMENCLARA2010/2266 iccsa 01/10 07129 Investigación Citícola Castellón Seuro 4/201848662 7/5/2018 CLEMENCLARA ES31/12/2048 CLEMENLATE2011/2175 clemenlate 07406 Evarcit SLeuro 6/201232984 22/10/2012 ES31/12/2042 CLEMENPONS2000/1110 clemenpons 03076 Juan PONS BOLTAeuro 5/20017987 6/8/2001 CLEMENPONS ES31/12/2031 CLEMENRUBÍ2005/1035 avasa pri-23 02360 Agrupación de Viveristas de Agrieuro 2/200821770 28/1/2008 CLEMENRUBI ES31/12/2038 CLEMENSOON2009/0980 clemensoon 07042 ANECOOP S. Coop.euro 3/201027268 19/4/2010 PRENULES ES31/12/2040 CLEMENVAL20054601 avasa pri-40 ES904 A.V.A.S.A.esp 4-2012002555 28/6/2012 CLEMENVAL ES31/12/2042 CLEMENVERD20064692 01157 IVIA - Institut Valencià d'Investigaesp BOE98002665 25/4/2015 ES31/12/2044 CULTIFORT2004/1447 cultifort 04719 Sendra Rocher, Rafaeleuro 2/200924079 23/2/2009 CULTIFORT ES31/12/2039 LORETINA1998/1361 02360 Agrupación de Viveristas de Agrieuro 1/20005647 20/12/1999 LORETINA ES31/12/2029 NERO2013/0760 230c08neroaz 01157 IVIA - Institut Valencià d'Investigaeuro 1/201539141 17/11/2014 ES31/12/2044 NEUFINA2014/3106 ivia man 19571 01157 IVIA - Institut Valencià d'Investigaeuro 6/201644351 19/9/2016 ES31/12/2046 NULESSIN20014330 01157 IVIA - Institut Valencià d'Investigaesp 4-2010002487 6/7/2010 ES31/12/2040 OROGRÓS2013/0892 avasa pri-26 02360 Agrupación de Viveristas de Agrieuro 6/201336431 21/10/2013 ES31/12/2043 Especie Citrus clementina hort. ex Tanaka × Poncirus trifoliata (L.) Raf. DenominacióNº Exp. Nom comercial Codi / Titular Butlletí Nº POV Inici Protecció Fi Referència Obtentor / MANDARINA HIB. FORNER ALCAIDE V 172018/1688 230117 01157 IVIA - Institut Valencià d'Investigaeuro 6/201953742 7/10/2019 ES31/12/2049 Especie Citrus deliciosa Ten. DenominacióNº Exp. Nom comercial Codi / Titular Butlletí Nº POV Inici Protecció Fi Referència Obtentor / MANDARINA MGJ142015/2184 mg14 08908/08909 PEPE NARANJAS GEA S.L. - J.euro 2/201950987 28/1/2019 ES31/12/2049 MGJ1420114978 vx40 ES1004 Pepe Naranjas Gea, SL - Jacintoesp 1-2019002862 5/2/2019 ES31/12/2049 Especie Citrus L. DenominacióNº Exp. Nom comercial Codi / Titular Butlletí Nº POV Inici Protecció Fi Referència Obtentor / MANDARINA ALBOREA2019/0173 ivia tri 4 01157 IVIA - Institut Valencià d'Investigaeuro 6/201953392 2/9/2019 ES31/12/2049 ARCCIT15192010/2843 b24 02593 Agricultural Research Councileuro 6/201644800 17/10/2016 ZA31/12/2046 ARCCIT16142010/1650 b17 02593 Agricultural Research Councileuro 5/201541568 20/7/2015 ZA31/12/2045 BELABELA2007/2262 genbel-1 06023 Frutas Beltrán SLeuro 4/201643984 6/6/2016 ES6/6/2046 DENOU20084827 ivia-man-d19 01157 IVIA - Institut Valencià d'Investigaesp 1-2017002747 16/1/2017 ES31/12/2047 FORNER ALCAIDE 233420114957 01157 IVIA - Institut Valencià d'Investigaesp 4-20192906 27/7/2019 ES31/12/2049 7/3/2020 Pàgina 6 de 98
  • 7.
    DenominacióNº Exp. Nomcomercial Codi / Titular Butlletí Nº POV Inici Protecció Fi Referència Obtentor / Citrus L. MATIZ20074747 IVIA-TRI5 01157 IVIA - Institut Valencià d'Investigaesp 1-2017002745 16/1/2017 ES31/12/2047 OMET20074749 IVIA-TRI7 01157 IVIA - Institut Valencià d'Investigaesp 1-2017002746 16/1/2017 ES31/12/2047 SPRING SUNSHINE2007/2057 moria 01306 Agricultural Research Organisatioeuro 4/201643482 10/5/2016 IL31/12/2046 Especie Citrus latipes (Swingle) Tanaka X Poncirus trifoliata (L.) Raf. DenominacióNº Exp. Nom comercial Codi / Titular Butlletí Nº POV Inici Protecció Fi Referència Obtentor / MANDARINER F6 P122012/0558 f6 p12 06900 CONSIGLIO PER LA RICERCAeuro 1/201847924 27/11/2017 IT31/12/2047 Especie Citrus limon (L.) Burm. f. DenominacióNº Exp. Nom comercial Codi / Titular Butlletí Nº POV Inici Protecció Fi Referència Obtentor / LLIMONER 3X972013/2584 code 3x97 08231 Craig Robert Presslereuro 2/201951288 11/2/2019 AU31/12/2049 CHAPARRO1999/0864 chaparro 02637/01826/02638 Cons. Medio Ambiente Murcia - Ieuro 3/200821950 10/3/2008 CHAPARRO ES31/12/2038 LIDER DE CALLOSA20024401 ES914 J. Bautista Pérez Sellesesp 1-2014002638 27/12/2013 ES31/12/2043 MILENIO FORTE2016/1988 2706 09232 FRANCISCO FORTE SALVADOeuro 6/201747635 25/9/2017 ES31/12/2047 Especie Citrus paradisi Macfad DenominacióNº Exp. Nom comercial Codi / Titular Butlletí Nº POV Inici Protecció Fi Referència Obtentor / POMELO JR132012/1063 jr13 07096 Citrogold (PTY) LTD.euro 2/201950985 28/1/2019 ZA31/12/2049 Especie Citrus reticulata blanco DenominacióNº Exp. Nom comercial Codi / Titular Butlletí Nº POV Inici Protecció Fi Referència Obtentor / MANDARINA HÍBRIDA ALEJANDRINA20104909 ES989 Vicente Llop Mezquitaesp 1-2019002863 5/2/2019 ES31/12/2049 ALKANTARA2004/0075 c 2191 04531/04532/04533 Reforgiato-Russo-Recuperoeuro 4/201232941 18/6/2012 IT31/12/2042 ALTEA20135108 ivia tri-705 01157 IVIA - Institut Valencià d'Investigaesp BOE22002925 22/1/2020 ES31/12/2050 ALVARIÑA2006/2579 alvariña 05669 Alvaro Sanchis Sisterneseuro 6/201336207 23/9/2013 ES31/12/2043 BARNFIELD LATE NAVEL1997/0274 BARNFIELD LATE NAVEL 01631 W.M & D. Barnfield Pty Ltdeuro 6/200720996 8/10/2007 BARNFIELD LATE NAVEL AU31/12/2037 CORAL20074748 IVIA-TRI6 01157 IVIA - Institut Valencià d'Investigaesp 1-2016002710 13/12/2015 ES31/12/2045 EUREKA SL2006/0458 eureka seedless lemon 02496 The Agricultural Research Councieuro 2/201539503 9/2/2015 GOLDEN SEEDLESS ZA31/12/2045 FLORINA2010/0819 maha 208 05575 CIRADeuro 2/201848375 19/2/2018 FR31/12/2048 G 62015/0349 g-6 08707 DAVID GILMORE GOLDUPeuro 2/201951295 11/2/2019 AU31/12/2049 GARBI2008/1610 ivia tri 1 01157 IVIA - Institut Valencià d'Investigaeuro 1/201333911 17/12/2012 ES31/12/2042 LEMOX2004/0073 c 3869 04531/04532/04533 Reforgiato-Russo-Recuperoeuro 5/201130547 25/7/2011 IT31/12/2041 MANDALATE2004/0074 d 8811 04531/04532/04533 Reforgiato-Russo-Recuperoeuro 4/201232940 18/6/2012 IT31/12/2042 7/3/2020 Pàgina 7 de 98
  • 8.
    DenominacióNº Exp. Nomcomercial Codi / Titular Butlletí Nº POV Inici Protecció Fi Referència Obtentor / Citrus reticulata blanco MANDANOVA SL1999/0031 nova.s.l. 02360 Agrupación de Viveristas de Agrieuro 2/201539502 9/2/2015 NOVA SL ES31/12/2045 MANDARED2004/0072 c 1732 04531/04532/04533 Reforgiato-Russo-Recuperoeuro 4/201232939 18/6/2012 IT31/12/2042 MILANA20135073 ivia man rad2 01157 IVIA - Institut Valencià d'Investigaesp 1-2016002711 16/12/2015 ES31/12/2045 MONCALINA20094879 ivia man rad1 01157 IVIA - Institut Valencià d'Investigaesp BOE98002666 25/4/2015 ES31/12/2044 MURTA2010/1330 mur 15 06996 Maria Consuelo Ferrer Terceroeuro 1/201539177 17/11/2014 ES31/12/2044 ORRI2004/1076 orri 01306 Agricultural Research Organisatioeuro 5/201335889 29/7/2013 IL31/12/2043 QUEEN2006/0947 t-507 05449 Angel Teresa Hermanos SAeuro 1/201333910 17/12/2012 ES31/12/2042 SAFOR2008/1611 ivia tri 2 01157 IVIA - Institut Valencià d'Investigaeuro 1/201333912 17/12/2012 ES31/12/2042 SANDO2000/0491 sando 08262 Alcanar Verd, Cítrics i Vivers, S.Leuro 5/200925890 24/8/2009 ES31/12/2039 TANG GOLD2011/1544 uc-2005-760-1 00345 The Regents of the University ofeuro 6/201438924 24/10/2014 US31/12/2044 TANIA 4320074716 avasa pri43 ES934 IVIA / AVASAesp BOE98002667 25/4/2015 ES31/12/2044 TANIA 4420084810 avasa pri-44 ES934 IVIA / AVASAesp BOE98002668 25/4/2015 ES31/12/2044 TANIA 4620084776 avasa-pri 46 ES934 IVIA / AVASAesp BOE98002669 25/4/2015 ES31/12/2044 TANIA 4720084777 avasa-pri 47 ES934 IVIA / AVASAesp BOE98002670 25/4/2015 ES31/12/2044 TANIA 4820084778 avasa-pri 48 ES974 AVASA/IVIAesp BOE98002671 25/4/2015 ES31/12/2044 TANIA 4920084779 avasa-pri 49 ES934 IVIA / AVASAesp BOE98002672 25/4/2015 ES31/12/2044 TANIA 5720104938 avasa pri-57 ES974 AVASA/IVIAesp 1-2017002748 16/1/2017 ES31/12/2047 TDE22003/1086 tde2 00345 The Regents of the University ofeuro 6/201028205 6/9/2010 SHASTA GOLD US31/12/2040 TDE32003/1087 tde3 00345 The Regents of the University ofeuro 6/201028206 6/9/2010 TAHOE GOLD US31/12/2040 TDE42003/1088 tde4 00345 The Regents of the University ofeuro 6/201028207 6/9/2010 YOSEMITE GOLD US31/12/2040 VERA20145168 ivia tri 707 E1000 IVIa-LNL-PAG-JCI-JJR-JPL-COCesp BOE22002926 22/1/2020 ES31/1/2050 Especie Citrus reticulata Blanco × C.paradisi Macfad. DenominacióNº Exp. Nom comercial Codi / Titular Butlletí Nº POV Inici Protecció Fi Referència Obtentor / MANDARINA GREGAL20135110 ivia tri-750 01157 IVIA - Institut Valencià d'Investigaesp 4-20192910 27/7/2019 ES31/12/2049 LLEBEIG20135111 ivia tri-751 01157 IVIA - Institut Valencià d'Investigaesp 4-20192909 27/7/2019 ES31/12/2049 Especie Citrus reticulata Blanco × C.sinensis (L.) Osb. DenominacióNº Exp. Nom comercial Codi / Titular Butlletí Nº POV Inici Protecció Fi Referència Obtentor / MANDARINA TANGOR MERBEINGOLD 23362013/2950 merbeingold 2336 02090 COMMONWEALTH SCIENTIFICeuro 4/201952784 3/6/2019 AU31/12/2049 7/3/2020 Pàgina 8 de 98
  • 9.
    DenominacióNº Exp. Nomcomercial Codi / Titular Butlletí Nº POV Inici Protecció Fi Referència Obtentor / Citrus reticulata Blanco × C.sinensis (L.) Osb. MERBEINGOLD 23502013/2948 merbeingold 2350 02090 COMMONWEALTH SCIENTIFICeuro 4/201952783 3/6/2019 AU31/12/2049 MURINA20064655 ES934 IVIA / AVASAesp BOE98002673 25/4/2015 MURINA ES31/12/2044 Especie Citrus sinensis (L.) Osbeck DenominacióNº Exp. Nom comercial Codi / Titular Butlletí Nº POV Inici Protecció Fi Referència Obtentor / TARONGER DOLÇ BARBERINA19994268 04882 Vicente BARBER PEREZesp 5-2009002461 22/7/2009 BARBERINA ES22/7/2029 BENNY20074752 ES943 CITROGOLDesp BOE98002684 25/4/2015 ZA31/12/2044 CAMBRIA2005/0876 cambria 05084 Stargrow Cultivar Developement (euro 3/201334256 22/4/2013 ZA31/12/2043 CHISLETT SUMMER NAVEL1998/1360 CHISLETT SUMMER NAVEL 02362 Chislett Gregoryeuro 6/200720976 8/10/2007 CHISLETT SUMMER NAVEL AU31/12/2037 GLEN ORA LATE2010/2120 za20063542 07096 Citrogold (PTY) LTD.euro 1/201539139 17/11/2014 ZA31/12/2044 M72008/2490 m 7 07757 CHISLETT DEVELOPMENTS PTeuro 5/201335894 29/7/2013 AU31/12/2043 POWELL SUMMER NAVEL1998/1359 powell summer navel 02360 Agrupación de Viveristas de Agrieuro 1/200820998 17/12/2007 POWEL SUMMER NAVEL ES31/12/2037 RICALATE1995/2568 00699/01157 INIA - IVIAeuro116 3/19971848 10/3/1997 RICALATE ES1/4/2022 RUBY VALENCIA2010/2117 ruby valencia 07096 Citrogold (PTY) LTD.euro 1/201642014 23/11/2015 ZA31/12/2045 SUNSMOOTH EARLY NAVEL2012/1583 sunsmooth 07735 THE STEPHEN LANG FAMILY Teuro 6/201747815 9/10/2017 AU31/12/2047 WITKRANS2011/1608 witkrans 07096 Citrogold (PTY) LTD.euro 1/201539140 17/11/2014 ZA31/12/2044 Especie Citrus sp. (híbrids diversos) DenominacióNº Exp. Nom comercial Codi / Titular Butlletí Nº POV Inici Protecció Fi Referència Obtentor / HÍBRIDS DIVERSOS FORNER ALCAIDE 131999/0865 030113 01826/01157 INIA - IVIAeuro 1/200718679 20/11/2006 FORNER-ALCAIDE 13 ES31/12/2036 FORNER ALCAIDE 231320094893 forner alcaide 2313 01157 IVIA - Institut Valencià d'Investigaesp 1-2017002763 16/1/2017 FORNER ALCAIDE 2313 ES31/12/2047 FORNER ALCAIDE 23220114959 01157 IVIA - Institut Valencià d'Investigaesp 1-2019002876 5/2/2019 ES31/12/2049 FORNER ALCAIDE 232420094892 forner alcaide 2324 01157 IVIA - Institut Valencià d'Investigaesp 1-2019002877 5/2/2019 FORNER ALCAIDE 2324 ES31/12/2049 FORNER ALCAIDE 23320114958 01157 IVIA - Institut Valencià d'Investigaesp 1-2019002878 5/2/2019 ES31/12/2049 FORNER ALCAIDE 234420114956 01157 IVIA - Institut Valencià d'Investigaesp 1-2018002842 20/2/2018 ES31/12/2048 FORNER ALCAIDE 2620114954 01157 IVIA - Institut Valencià d'Investigaesp 1-2019002893 5/2/2019 ES31/12/2049 FORNER ALCAIDE 2720114960 01157 IVIA - Institut Valencià d'Investigaesp 1-2019002879 5/2/2019 ES31/12/2049 FORNER ALCAIDE 312007/1207 030131 01157 IVIA - Institut Valencià d'Investigaeuro 6/201336208 23/9/2013 ES31/12/2043 FORNER ALCAIDE 4181997/0512 02418 00699/01157 INIA - IVIAeuro 3/200719646 19/3/2007 FORNER-ALCAIDE 418 ES31/12/2037 FORNER ALCAIDE 4220084811 01157 IVIA - Institut Valencià d'Investigaesp 1-2016002721 13/12/2015 ES31/12/2045 7/3/2020 Pàgina 9 de 98
  • 10.
    DenominacióNº Exp. Nomcomercial Codi / Titular Butlletí Nº POV Inici Protecció Fi Referència Obtentor / Citrus sp. (híbrids diversos) FORNER ALCAIDE 51996/0767 03015 00699/01157 INIA - IVIAeuro 5/200515858 18/7/2005 FORNER ALCAIDE 5 ES31/12/2035 FORNER ALCAIDE 511520104942 fornar alcaide 5115 01157 IVIA - Institut Valencià d'Investigaesp 1-2019002880 5/2/2019 ES31/12/2049 FORNER ALCAIDE 512820114955 01157 IVIA - Institut Valencià d'Investigaesp 1-2019002881 5/2/2019 ES31/12/2049 FORNER ALCAIDE 5171999/0866 05017 01826/01157 INIA - IVIAeuro 1/200718680 20/11/2006 FORNER-ALCAIDE 517 ES31/12/2036 FORNER ALCAIDE 720104941 fornar alcaide 7 01157 IVIA - Institut Valencià d'Investigaesp 1-2019002882 5/2/2019 ES31/12/2049 FORNER ALCAIDE V1720104943 fornar alcaide v17 01157 IVIA - Institut Valencià d'Investigaesp 002784 8/9/2017 ES31/12/2047 FORNER ALCAIDE V9420094895 forner alcaide v94 01157 IVIA - Institut Valencià d'Investigaesp 1-2019002883 5/2/2019 FORNER ALCAIDE V94 ES31/12/2049 GOLD NUGGET2001/1347 11d518 00345 The Regents of the University ofeuro 5/200925888 24/8/2009 GOLD NUGGET US31/12/2039 NADORCOTT1995/0726 nadorcott 01662 SARL Nador Cott Protectioneuro116 6/200414111 4/10/2004 NADORCOTT FR31/12/2029 TACLE2001/0156 A-146 03296 Istituto Sperimentale per l'Agrumieuro 2/200719035 22/1/2007 IT31/12/2037 Especie Citrus unshiou (Mak) Mark DenominacióNº Exp. Nom comercial Codi / Titular Butlletí Nº POV Inici Protecció Fi Referència Obtentor / MANDARINA SATSUMA SERAFINES20114961 ivia-man sat 1 01157 IVIA - Institut Valencià d'Investigaesp 1-2017002749 16/1/2017 ES31/12/2047 Especie Corylus avellana L. DenominacióNº Exp. Nom comercial Codi / Titular Butlletí Nº POV Inici Protecció Fi Referència Obtentor / AVELLANER JM 2512015/0613 jm 251 07039 BRONISLAW SZMITeuro 4/201849481 22/5/2018 PL31/12/2048 RED BARON2005/2603 red baron 05286 Ludger Josteuro 4/200822218 5/5/2008 DE31/12/2038 RED MAJESTIC1999/1103 02586 New Variety BVeuro 6/20018210 10/9/2001 RED MAJESTIC NL31/12/2026 TONDA FRANCESCANA2013/2394 f6p200 08198 UNIVERSITA DEGLI STUDI DI Peuro 3/201952157 28/3/2019 IT31/12/2049 Especie Cydonia oblonga Mill DenominacióNº Exp. Nom comercial Codi / Titular Butlletí Nº POV Inici Protecció Fi Referència Obtentor / CODONYER CYDORA ROBUSTA2003/0334 qe 13-38-89 00672 Forschungsanstalt Geisenheimeuro 2/200616769 30/1/2006 DE31/12/2036 ELINE2004/0587 fleuren-1 10224 HAN FLEUREN HOLDING B.V.euro 2/200924093 23/2/2009 NL31/12/2039 EMH2002/0700 qr 193-16 09154 NIAB EMReuro 4/200720100 21/5/2007 EMH UK31/12/2037 Especie Diospyros kaki L.f. DenominacióNº Exp. Nom comercial Codi / Titular Butlletí Nº POV Inici Protecció Fi Referència Obtentor / KAKI PRIMERENC20114979 primerenc ES978 Coop. Agrícola Sant Bernatesp 1-2019002853 5/2/2019 PRIMARENC ES31/12/2049 7/3/2020 Pàgina 10 de 98
  • 11.
    DenominacióNº Exp. Nomcomercial Codi / Titular Butlletí Nº POV Inici Protecció Fi Referència Obtentor / Ficus carica L. Especie Ficus carica L. DenominacióNº Exp. Nom comercial Codi / Titular Butlletí Nº POV Inici Protecció Fi Referència Obtentor / FIGUERA VIOLETTA1997/0888 01804 Plattner Antoneuro 1/200412325 24/11/2003 DE1/1/2028 Especie Fragaria × ananassa Duchesne ex Rozier DenominacióNº Exp. Nom comercial Codi / Titular Butlletí Nº POV Inici Protecció Fi Referència Obtentor / MADUIXOT "TRIUMPH"2012/2803 pe-3221 00743/01203 Plant Sciences - Berry R&Deuro 3/201643031 11/4/2016 US31/12/2041 "VICTORY"2011/2352 bg-4315 03131 Berry Genetics Inc. Nelson Steveeuro 2/201436658 27/1/2014 US31/12/2039 A13 0720175329 SHYRA WB ES1018 MASIÁ CISCAR, S.A.esp BOE22002915 22/1/2020 ES31/12/2045 A13 262017/2057 a13-26 09595 MASIÁ CISCAR S.A.euro 6/201953646 7/10/2019 ES31/12/2045 A14 152018/2323 a14-15 09595 MASIÁ CISCAR S.A.euro BOE22002916 22/1/2020 ES31/12/2045 ALBION2004/1482 cn220 00345 The Regents of the University ofeuro 4/200720099 21/5/2007 ALBION US31/12/2032 ALICE2000/0098 em 726 09154 NIAB EMReuro 2/200310574 10/2/2003 ALICE BIGI UK31/12/2028 ALLEGRO2015/2430 ff 1602 05442 Fresh Foreward Holding B.V.euro 2/201950976 14/1/2019 NL31/12/2044 ALTESS2013/0898 07-96-04 09076 FLEVO BERRY HOLDING B.V.euro 3/201746239 18/4/2017 NL31/12/2042 AMANDINE2012/1035 da 47 03794 Darbonne Pepiniere SASeuro 2/201539519 9/2/2015 FR31/12/2040 AMIGA2006/2675 amiga (2-269) 02558/05116/01157/0 Viveros California SLeuro 1/200923764 17/12/2008 ES31/12/2033 ANTEA2005/2560 mle9-34 00127 Consorzio Italiano Vivaistieuro 3/200924363 23/3/2009 IT31/12/2034 ANTILLA FNM2008/1551 a3-10-8 05117 Fresas Nuevos Materialeseuro 2/201026579 25/1/2010 ES31/12/2035 APRICA2014/3624 z6x1-30 00127 Consorzio Italiano Vivaistieuro 3/201848963 23/4/2018 IT31/12/2043 ARABELLA2014/0229 pe-6.2036 00743/01203 Plant Sciences - Berry R&Deuro 2201745313 6/2/2017 US31/12/2042 AROMAS1997/1294 cn 209 00345 The Regents of the University ofeuro 5/20006451 3/7/2000 US31/12/2025 AROSA2001/1474 B1E9-27 00127 Consorzio Italiano Vivaistieuro 2/200514559 24/1/2005 IT31/12/2030 AVA2001/0152 asf 22:07 03292 Angus Soft Fruit East Seaton Fareuro 4/200413335 17/5/2004 UK31/12/2034 AVAROSA2012/1249 asf 126 03292/03293 Angus Soft Fruit - Giyo Internatioeuro 3/201540672 20/4/2015 UK31/12/2040 AYA 12015/2935 1008 06485 Efraim Yosefeuro 2/201951390 25/2/2019 IL31/12/2044 BARAK2012/1876 946 01306 Agricultural Research Organisatioeuro 3/201643028 11/4/2016 IL31/12/2041 BBB PO 012010/0820 witte aardbei 07706 BEEKERS BERRIES BREEDINGeuro 3/201334276 4/3/2013 NL31/12/2038 BENICIA2010/2162 c225 00345 The Regents of the University ofeuro 2/201436913 24/2/2014 US31/12/2039 7/3/2020 Pàgina 11 de 98
  • 12.
    DenominacióNº Exp. Nomcomercial Codi / Titular Butlletí Nº POV Inici Protecció Fi Referència Obtentor / Fragaria × ananassa Duchesne ex Rozier BG630162015/2227 bg-6.3016 03131 Berry Genetics Inc. Nelson Steveeuro 1/202053849 18/11/2019 US31/12/2044 BG630242014/2448 bg-6.3024 03131 Berry Genetics Inc. Nelson Steveeuro 4/201849476 22/5/2018 US31/12/2043 BRAVURA2015/2404 08-06-10 09076 FLEVO BERRY HOLDING B.V.euro 3/201952177 28/3/2019 NL31/12/2044 BRILLA2013/3137 04.256.32 06900/08288 CRA / New Plantseuro 3/201746247 18/4/2017 IT31/12/2042 CALINDA2013/1418 s2007-806 05442 Fresh Foreward Holding B.V.euro 3/201643036 11/4/2016 NL31/12/2041 CAMARILLO2002/0747 camarillo 00659 Driscoll Strawberry Associates Ineuro 3/200514771 7/3/2005 US31/12/2030 CAMINO REAL2002/1566 c213 00345 The Regents of the University ofeuro 3/200514781 7/3/2005 US31/12/2030 CANDELA20175307 candela ES1022 INNOFRU, S.Lesp BOE22002917 22/1/2020 ES31/12/2045 CANDISS2006/1088 cf 2559 08515 Invenioeuro 5/200925897 24/8/2009 FR31/12/2039 CANDY FNM20135078 a7-32-10 ES924 Fresas Nuevos Materialesesp 1-2017002736 16/1/2017 ES31/12/2042 CAPRI2011/0360 y3s7-80 00127 Consorzio Italiano Vivaistieuro 3/201437428 7/4/2014 IT31/12/2039 CAPRISS2007/1549 cf 3058 08515 Invenioeuro 4/201027831 5/7/2010 FR31/12/2035 CARMEL DANDI2014/1906 line 1608 08497 AGREXCO CARMEL AGRICULTeuro 2/201745320 6/2/2017 IL31/12/2042 CARMEL ORLY2007/2766 orly 08497 AGREXCO CARMEL AGRICULTeuro 2/201231409 23/1/2012 IL31/12/2037 CHARLENE2014/1878 ee-10-14 07031 Nova Siri Genetics SNC di Tufareuro 2/201745318 6/2/2017 IT31/12/2042 CHARLOTTE2001/0815 cf2419 08515 Invenioeuro 4/200413354 17/5/2004 FR31/12/2034 CIFLORETTE1996/1054 CF 864 08515 Invenioeuro 1/19993896 14/12/1998 FR31/12/2023 CIGALINE1996/1055 CF 323 08515 Invenioeuro 5/19972242 10/7/1997 FR31/12/2022 CIJOSEE1997/1529 c.f. 1584 08515 Invenioeuro 1/20028486 3/12/2001 FR31/12/2026 CIR1042013/1481 cf4402 08515 Invenioeuro 3/201746242 18/4/2017 FR31/12/2042 CIR1072012/1269 cf4387 08515 Invenioeuro 3/201540673 20/4/2015 FR31/12/2040 CIR1292015/1129 cf6986 08515 Invenioeuro 5/201849973 16/7/2018 FR31/12/2043 CIRAFINE1997/1533 cf 1590 08515 Invenioeuro 4/20017733 21/5/2001 FR31/12/2026 CIRANO1997/1530 c.f. 758 08515 Invenioeuro 1/20028487 3/12/2001 FR31/12/2026 CIREINE1996/1053 CF 116 08515 Invenioeuro 5/19972241 10/7/1997 FR31/12/2022 CIVL352001/1475 J9L3-35 00127 Consorzio Italiano Vivaistieuro 4/200413365 17/5/2004 IT31/12/2034 CLERY2002/1586 a20-17 00127 Consorzio Italiano Vivaistieuro 2/200616743 31/1/2006 IT31/12/2031 7/3/2020 Pàgina 12 de 98
  • 13.
    DenominacióNº Exp. Nomcomercial Codi / Titular Butlletí Nº POV Inici Protecció Fi Referència Obtentor / Fragaria × ananassa Duchesne ex Rozier CORDELIA2010/0183 kgem054 05421 KG Growers Ltdeuro 3/201334841 22/4/2013 UK31/12/2038 CRISTAL2007/1257 00.44.194 00132 Plantas de Navarra SAeuro 3/201027263 19/4/2010 ES31/12/2035 CRISTINA2011/1274 an01,211,51 07315 Università Politecnica delle Marceuro 3/201540663 20/4/2015 IT31/12/2040 CUPID2010/2290 em 1395 09154 NIAB EMReuro 3/201437423 7/4/2014 UK31/12/2039 DAHLI2015/2401 10-50-01 09076 FLEVO BERRY HOLDING B.V.euro 4/201952654 20/5/2019 NL31/12/2044 DAROYAL2005/1287 da 35 03794 Darbonne Pepiniere SASeuro 2/200616910 27/2/2006 FR31/12/2031 DARSELECT1996/0247 da 20 03794 Darbonne Pepiniere SASeuro 3/19971763 3/3/1997 FR31/12/2022 DELUXE2012/1502 da 46 03794 Darbonne Pepiniere SASeuro 2/201539520 9/2/2015 FR31/12/2040 DELY2011/0363 z6t2-16 00127 Consorzio Italiano Vivaistieuro 3/201437430 7/4/2014 IT31/12/2039 DIAMANTE1997/1295 cn 210 00345 The Regents of the University ofeuro 5/20006452 3/7/2000 US31/12/2025 DIPRED2012/1736 p1s0--6 00127 Consorzio Italiano Vivaistieuro 3/201642970 11/4/2016 IT31/12/2041 DISSTRAWEIGHT2008/2680 163m88 00659 Driscoll Strawberry Associates Ineuro 2/201231412 23/1/2012 US31/12/2037 DISSTRAWELEVEN2008/2983 280m164 00659 Driscoll Strawberry Associates Ineuro 2/201231415 23/1/2012 US31/12/2037 DISSTRAWNINE2008/2943 273m171 00659 Driscoll Strawberry Associates Ineuro 2/201231413 23/1/2012 US31/12/2037 DISSTRAWSEVEN2008/2679 71/94 00659 Driscoll Strawberry Associates Ineuro 2/201231411 23/1/2012 US31/12/2037 DISSTRAWSIX2008/2678 48/391 00659 Driscoll Strawberry Associates Ineuro 2/201231410 23/1/2012 US31/12/2037 DISSTRAWTEN2008/2944 273M224 00659 Driscoll Strawberry Associates Ineuro 2/201231414 23/1/2012 US31/12/2037 DONNA2006/1482 da 43 03794 Darbonne Pepiniere SASeuro 2/200821790 28/1/2008 FR31/12/2033 DPI RUBYGEM2007/2686 99-194 06097/06099 The State of Queensland - Horticeuro 1/201128595 17/12/2010 AU31/12/2035 DREAM2012/1503 da 50 03794 Darbonne Pepiniere SASeuro 2/201539521 9/2/2015 FR31/12/2040 DRISCOLL ATLANTIS2005/1507 00659 Driscoll Strawberry Associates Ineuro 1/200923754 17/12/2008 US31/12/2033 DRISCOLL BONAIRE2006/0223 driscoll bonaire 00659 Driscoll Strawberry Associates Ineuro 1/200923756 17/12/2008 US31/12/2033 DRISCOLL EL DORADO2005/1643 driscoll el dorado 00659 Driscoll Strawberry Associates Ineuro 1/200821582 17/12/2007 US31/12/2032 DRISCOLL JUBILEE2003/1954 driscoll jubilee 00659 Driscoll Strawberry Associates Ineuro 2/200616739 30/1/2006 US31/12/2031 DRISCOLL LANAI2005/0386 driscoll lanai 00659 Driscoll Strawberry Associates Ineuro 1/200821581 17/12/2007 US31/12/2032 DRISCOLL OJAI2006/0224 driscoill ojai 00659 Driscoll Strawberry Associates Ineuro 1/200923757 17/12/2008 US31/12/2033 DRISCOLL OSCEOLA2005/1508 00659 Driscoll Strawberry Associates Ineuro 4/200822302 5/5/2008 US31/12/2033 7/3/2020 Pàgina 13 de 98
  • 14.
    DenominacióNº Exp. Nomcomercial Codi / Titular Butlletí Nº POV Inici Protecció Fi Referència Obtentor / Fragaria × ananassa Duchesne ex Rozier DRISCOLL SAN JUAN2001/0447 driscoll's san juan 00659 Driscoll Strawberry Associates Ineuro 4/200413344 17/5/2004 US31/12/2034 DRISCOLL SANIBEL2005/1506 00659 Driscoll Strawberry Associates Ineuro 1/200923753 17/12/2008 US31/12/2033 DRISSTRAWEIGHTEEN2011/2255 30n365 00659 Driscoll Strawberry Associates Ineuro 1/201436525 2/12/2013 US31/12/2038 DRISSTRAWFIFTEEN2010/0836 284m225 00659 Driscoll Strawberry Associates Ineuro 3/201334279 4/3/2013 US31/12/2038 DRISSTRAWFIVE2007/2685 drisstrawfive 00659 Driscoll Strawberry Associates Ineuro 4/20113'131 23/5/2011 US31/12/2036 DRISSTRAWFORTY2014/0312 153r127 00659 Driscoll Strawberry Associates Ineuro 2/201745315 6/2/2017 US31/12/2042 DRISSTRAWFORTYFIVE2015/1220 tuk 156-057 00659 Driscoll Strawberry Associates Ineuro 4/201849482 22/5/2018 US31/12/2043 DRISSTRAWFORTYFOUR2014/3495 144s112 00659 Driscoll Strawberry Associates Ineuro 2/201745321 6/2/2017 US31/12/2042 DRISSTRAWFORTYNINE2015/2119 137t279 00659 Driscoll Strawberry Associates Ineuro 2/201950879 14/1/2019 US31/12/2044 DRISSTRAWFORTYONE2014/0311 56r151 00659 Driscoll Strawberry Associates Ineuro 2/201745314 6/2/2017 US31/12/2042 DRISSTRAWFORTYSIX2015/1517 tuk 157-029 00659 Driscoll Strawberry Associates Ineuro 3/201848969 23/4/2018 US31/12/2043 DRISSTRAWFORTYTHREE2014/3497 113s167 00659 Driscoll Strawberry Associates Ineuro 4/201849478 22/5/2018 US31/12/2043 DRISSTRAWFORTYTWO2014/3496 819r118 00659 Driscoll Strawberry Associates Ineuro 3/201848958 23/4/2018 US31/12/2043 DRISSTRAWFOUR2007/2344 00659 Driscoll Strawberry Associates Ineuro 2/201026564 25/1/2010 US31/12/2035 DRISSTRAWFOURTEEN2010/0835 112n245 00659 Driscoll Strawberry Associates Ineuro 3/201334278 4/3/2013 US31/12/2038 DRISSTRAWNINETEEN2011/2256 17m60 00659 Driscoll Strawberry Associates Ineuro 1/201436526 2/12/2013 US31/12/2038 DRISSTRAWONE2006/2106 drisstrawone 00659 Driscoll Strawberry Associates Ineuro 2/201026539 25/1/2010 US31/12/2035 DRISSTRAWSEVENTEEN2010/1767 574p119 00659 Driscoll Strawberry Associates Ineuro 1/201436520 2/12/2013 US31/12/2038 DRISSTRAWSIXTEEN2010/1142 148m006 00659 Driscoll Strawberry Associates Ineuro 3/201334280 4/3/2013 US31/12/2038 DRISSTRAWTHIRTEEN2009/2134 84n278 00659 Driscoll Strawberry Associates Ineuro 2/201231416 23/1/2012 US31/12/2037 DRISSTRAWTHIRTYEIGHT2013/1547 dege 178 00659 Driscoll Strawberry Associates Ineuro 3/201643038 11/4/2016 US31/12/2041 DRISSTRAWTHIRTYFIVE2013/1545 kgem 0723-003 00659 Driscoll Strawberry Associates Ineuro 4/201643530 10/5/2016 US31/12/2041 DRISSTRAWTHIRTYFOUR2012/2620 tes 124-001 00659 Driscoll Strawberry Associates Ineuro 3/201643030 11/4/2016 US31/12/2041 DRISSTRAWTHIRTYNINE2013/1546 kgeme 676-001 00659 Driscoll Strawberry Associates Ineuro 4/201643531 10/5/2016 US31/12/2041 DRISSTRAWTHIRTYONE2012/1885 550r 12 00659 Driscoll Strawberry Associates Ineuro 3/201643029 11/4/2016 US31/12/2041 DRISSTRAWTHIRTYSEVEN2014/0313 74p207 00659 Driscoll Strawberry Associates Ineuro 2/201745316 6/2/2017 US31/12/2042 DRISSTRAWTHIRTYSIX2014/0314 54s204 00659 Driscoll Strawberry Associates Ineuro 2/201745317 6/2/2017 US31/12/2042 7/3/2020 Pàgina 14 de 98
  • 15.
    DenominacióNº Exp. Nomcomercial Codi / Titular Butlletí Nº POV Inici Protecció Fi Referència Obtentor / Fragaria × ananassa Duchesne ex Rozier DRISSTRAWTHIRTYTWO2012/1853 quk 214-001 00659 Driscoll Strawberry Associates Ineuro 3/201539826 9/3/2015 US31/12/2040 DRISSTRAWTHITY2012/1580 bgp 100-002 00659 Driscoll Strawberry Associates Ineuro 2/201539551 23/2/2015 US31/12/2040 DRISSTRAWTHREE2007/1949 00659 Driscoll Strawberry Associates Ineuro 2/201026558 25/1/2010 US31/12/2035 DRISSTRAWTWELVE2010/0834 68n201 00659 Driscoll Strawberry Associates Ineuro 3/201334277 4/3/2013 US31/12/2038 DRISSTRAWTWENTY2011/2257 84n235 00659 Driscoll Strawberry Associates Ineuro 1/201436527 2/12/2013 US31/12/2038 DRISSTRAWTWENTYEIGHT2012/1578 123o191 00659 Driscoll Strawberry Associates Ineuro 2/201539550 23/2/2015 US31/12/2040 DRISSTRAWTWENTYONE2011/2258 510q89 00659 Driscoll Strawberry Associates Ineuro 1/201436528 2/12/2013 US31/12/2038 DRISSTRAWTWO2007/0104 00659 Driscoll Strawberry Associates Ineuro 2/201026540 23/1/2010 US31/12/2035 DURBAN2007/0217 d 371 00984 ABZ Aardbeien uit Zaad B.V.euro 1/200923766 17/12/2008 NL31/12/2033 E2006-2042001/1163 05442 Fresh Foreward Holding B.V.euro 3/201437434 7/4/2014 NL31/12/2039 ELAN1999/1320 w78 00984 ABZ Aardbeien uit Zaad B.V.euro 1/20028499 3/12/2001 NL31/12/2026 ELEGANCE2008/3006 em1276 09154 NIAB EMReuro 4/201232670 7/5/2012 UK31/12/2037 ELIANNY2006/1761 05554/05322/05323 L. Pieter/G. Theodorus/J. Gerardeuro 3/201026962 22/3/2010 NL31/12/2035 EMR 2862005/0270 emr 286 09154 NIAB EMReuro 3/200821938 10/3/2008 UK31/12/2023 EMR 4702014/0131 emr 470 09154 NIAB EMReuro 4/201746482 10/5/2017 UK31/12/2042 EVA2004/2176 vr 97.64.5 06797/01869 CRA - FRFeuro 4/200720066 21/5/2007 IT31/12/2032 EVEREST1996/1492 93c123 00331 Edward Vinson Ltd.euro 1/20005650 20/12/1999 UK31/12/2024 EVES DELIGHT2008/0369 04cf21 00331 Edward Vinson Ltd.euro 4/201130139 23/5/2011 UK31/12/2036 EVIE 22001/1918 98 n 105 00331 Edward Vinson Ltd.euro 3/200514770 7/3/2005 UK31/12/2030 FAITH2013/0897 07-57-18 09076 FLEVO BERRY HOLDING B.V.euro 3/201643033 11/4/2016 NL31/12/2041 FAVORI2011/1346 04-75-01 09076 FLEVO BERRY HOLDING B.V.euro 3/201437436 7/4/2014 NL31/12/2039 FD 15042016/1229 ff 1504 05442 Fresh Foreward Holding B.V.euro 3/201952181 28/3/2019 NL31/12/2044 FD 16042016/1226 ff 1604 05442 Fresh Foreward Holding B.V.euro 3/201952180 28/3/2019 NL31/12/2044 FELICITA2011/1345 06-24-05 09076 FLEVO BERRY HOLDING B.V.euro 3/201437435 7/4/2014 NL31/12/2039 FERNANDO2015/1656 c040804v 08847 VISSERS AMERICA B.V.euro 2/201951385 25/2/2019 NL31/12/2044 FIGARO2002/1283 0101 05442 Fresh Foreward Holding B.V.euro 2/200616742 30/1/2006 NL31/12/2031 FINESSE2009/0629 emr 346 09154 NIAB EMReuro 3/201334833 22/4/2013 UK31/12/2038 7/3/2020 Pàgina 15 de 98
  • 16.
    DenominacióNº Exp. Nomcomercial Codi / Titular Butlletí Nº POV Inici Protecció Fi Referència Obtentor / Fragaria × ananassa Duchesne ex Rozier FL 05-1072013/1194 fl 05-107 00669 Florida Foundation Seed Produceeuro 4/201643529 10/5/2016 US31/12/2041 FL 09 1272013/2264 fl 09-127 00669 Florida Foundation Seed Produceeuro 5/201644143 11/7/2016 US31/12/2041 FLAIR2007/1367 03-08-01 09076 FLEVO BERRY HOLDING B.V.euro 3/201026955 22/3/2010 NL31/12/2035 FLAMENCO2001/1699 emr154 09154 NIAB EMReuro 3/200514769 7/3/2005 UK31/12/2030 FLAMINIA2015/1840 civs109 00127 Consorzio Italiano Vivaistieuro 3/201848745 9/4/2018 IT31/12/2043 FLAVIA2015/1841 civs940 00127 Consorzio Italiano Vivaistieuro 3/201848746 9/4/2018 IT31/12/2043 FLEFRA012015/2406 09-90s-05 09076 FLEVO BERRY HOLDING B.V.euro 3/201952179 28/3/2019 NL31/12/2044 FLEURETTE2013/0896 06-07-05 09076 FLEVO BERRY HOLDING B.V.euro 3/201643032 11/4/2016 NL31/12/2041 FLORENCE1998/0278 em 372 09154 NIAB EMReuro 3/20017386 5/3/2001 UK31/12/2026 FLORIANTE2007/1366 02-102-06 09076 FLEVO BERRY HOLDING B.V.euro 5/201130561 25/7/2011 NL31/12/2041 FLORIDA ELYANA2008/1253 fl 00-51 00669 Florida Foundation Seed Produceeuro 1/201128651 17/12/2010 US31/12/2035 FLORIDA FESTIVAL2002/1187 95-41 00669 Florida Foundation Seed Produceeuro 3/200514775 7/3/2005 US31/12/2030 FLORIN2005/1337 99a35 09076 FLEVO BERRY HOLDING B.V.euro 3/200821947 10/3/2008 NL31/12/2023 FLORIN FLORENTINA2011/1344 06-95-06 09076 FLEVO BERRY HOLDING B.V.euro 3/201540665 20/4/2015 NL31/12/2040 FRENELLA2008/3005 em1308 09154 NIAB EMReuro 4/201232669 7/5/2012 UK31/12/2037 FRISAN2011/0157 j 234 00984 ABZ Aardbeien uit Zaad B.V.euro 3/201437425 7/4/2014 NL31/12/2039 FRONTERAS2014/3084 c235 00345 The Regents of the University ofeuro 4/201849477 22/5/2018 US31/12/2043 FRUGODI2006/1190 01644 Promo Fruit Ag.euro 2/201026536 25/1/2010 CH31/12/2035 FUENTEPINA2009/0750 fuentepina (1823-1) 01155/01157/05116/0 Ortega Alcalá, Mª Victoria/IVIA/IFeuro 2/201026586 25/1/2010 ES31/12/2035 FURORE2013/2225 07-75-10 09076 FLEVO BERRY HOLDING B.V.euro 3/201848941 23/4/2018 NL31/12/2043 GALEXIA2003/0090 cal giant 5 01391 New West Fruit Corporationeuro 2/200616736 30/1/2006 US31/12/2031 GARDA2012/1671 vr 02.312.02 06797/07766/07767/0 CRA - FRF/ISF della Provincia dieuro 2/201539567 23/2/2015 IT31/12/2040 GASANA2009/2386 g 130 00984 ABZ Aardbeien uit Zaad B.V.euro 3/201334838 22/4/2013 NL31/12/2038 GH 752013/0939 gh 75 00331 Edward Vinson Ltd.euro 3/201643035 11/4/2016 UK31/12/2041 GLADIS2013/1998 gladis 08152 FRAISI PLANTS S.A.R.L.euro 3/201746245 18/4/2017 FR31/12/2042 GOLAN2009/2148 g 393 00984 ABZ Aardbeien uit Zaad B.V.euro 3/201334835 22/4/2013 NL31/12/2038 GRANDAROSA2013/1695 t-03021-12 07220 INSTYTUT OGRODNICTWA (INeuro 2/201539554 23/2/2015 PL31/12/2040 7/3/2020 Pàgina 16 de 98
  • 17.
    DenominacióNº Exp. Nomcomercial Codi / Titular Butlletí Nº POV Inici Protecció Fi Referència Obtentor / Fragaria × ananassa Duchesne ex Rozier GRENADA2014/3082 c232 00345 The Regents of the University ofeuro 3/201848954 23/4/2018 US31/12/2043 GUSTINE2009/1523 gustine 08152 FRAISI PLANTS S.A.R.L.euro 3/201334834 22/4/2013 FR31/12/2038 HADAS1997/0643 hadas 01007 Ministry of Agriculture Agriculturaleuro 5/20006445 3/7/2000 IL31/12/2025 HADEMAR2015/2405 10-17-02 09076 FLEVO BERRY HOLDING B.V.euro 3/201952178 28/3/2019 NL31/12/2044 HALEY2015/0372 33k46 07134 Lassen Canyon Nursery Inc.euro 4/201849480 22/5/2018 US31/12/2043 HANSAWHIT2013/1478 hansasnow 08087 HANSABRED GMBH & CO. KGeuro 3/201643037 11/4/2016 DE31/12/2041 HERUT2005/0452 herut 01306 Agricultural Research Organisatioeuro 1/200821583 17/12/2007 IL31/12/2032 HOBDOEL1999/1817 hobdoel 00258 Hõberli Obst-und Beerenzentrumeuro 2/200310425 20/1/2003 CH31/12/2028 HOBOTTRECE1999/1816 hobottrece 00258 Hõberli Obst-und Beerenzentrumeuro 2/200310424 20/1/2003 CH31/12/2028 HOBTHURMARDU2003/0136 hobthurmardu 00258 Hõberli Obst-und Beerenzentrumeuro 2/200616752 30/1/2006 CH31/12/2031 HOBTHURMARSEI2003/0140 hobthurmarsei 00258 Hõberli Obst-und Beerenzentrumeuro 2/200616756 30/1/2006 CH31/12/2031 HOBTHURMARTRE2003/0137 hobthurmartre 00258 Hõberli Obst-und Beerenzentrumeuro 2/200616753 30/1/2006 CH31/12/2031 HONOR2001/1342 bg-633 03131 Berry Genetics Inc. Nelson Steveeuro 4/200413364 17/5/2004 HONOR US31/12/2034 IRMA2003/1828 vr 95.42.03 06797/01869 CRA - FRFeuro 2/200616762 30/1/2006 IT31/12/2031 ISLAY 22015/1136 asf 099 03292 Angus Soft Fruit East Seaton Fareuro 3/201848968 23/4/2018 UK31/12/2043 JANISS2014/1489 cf6821 08515 Invenioeuro 4/201746800 6/6/2017 FR31/12/2042 JIVE2001/1162 e2006-203 05442 Fresh Foreward Holding B.V.euro 3/201437433 7/4/2014 NL31/12/2039 JOLY2011/0362 z6t2-3 00127 Consorzio Italiano Vivaistieuro 3/201437429 7/4/2014 IT31/12/2039 JONICA2013/2784 04.72.21 06900/06944 CRA /AZIENDA PIRACCINI SECeuro 2/201745308 6/2/2017 IT31/12/2042 JUDIBELL2005/0269 em 965 09154 NIAB EMReuro 3/200821937 10/3/2008 UK31/12/2023 KAMILA2009/0625 u9v2-10 00127 Consorzio Italiano Vivaistieuro 2/201231419 23/1/2012 IT31/12/2037 KIMBERLY1996/0776 93/94 01400 Konings Planteuro 4/19994566 3/5/1999 NL31/12/2024 KONIA2007/2453 konia 04362 Putfarken Jocheneuro 4/201849556 4/6/2018 DE31/12/2043 LAETITIA2013/1942 t1v7-8 00127 Consorzio Italiano Vivaistieuro 3/201746244 18/4/2017 IT31/12/2042 LEVAN2014/0267 l 13 00984 ABZ Aardbeien uit Zaad B.V.euro 3/201746250 18/4/2017 NL31/12/2042 LIA2006/0362 96.62.10 06797/01869 CRA - FRFeuro 1/200923762 17/12/2008 IT31/12/2033 LIBERTY2011/2351 bg-4315 03131 Berry Genetics Inc. Nelson Steveeuro 1/201436529 2/12/2013 US31/12/2038 7/3/2020 Pàgina 17 de 98
  • 18.
    DenominacióNº Exp. Nomcomercial Codi / Titular Butlletí Nº POV Inici Protecció Fi Referència Obtentor / Fragaria × ananassa Duchesne ex Rozier LIMALEXIA2014/3591 l15101 00192 ASPARAGUS BEHEER B.V.euro 3/201848962 23/4/2018 NL31/12/2043 LIMVALNERA2016/0854 l16302 00192 ASPARAGUS BEHEER B.V.euro 3/201951745 11/3/2019 NL31/12/2044 LIZA2014/0269 l 338 00984 ABZ Aardbeien uit Zaad B.V.euro 3/201746251 18/4/2017 NL31/12/2042 LOUIE2015/0370 42j4 07134 Lassen Canyon Nursery Inc.euro 4/201849659 18/6/2018 US31/12/2043 LOURDESA2016/2052 imagina 2 09243 IMAGINA FRUTAS S.L.euro 3/201952182 28/3/2019 ES31/12/2044 LUCY2009/0073 em931 09154 NIAB EMReuro 4/201232752 21/5/2012 UK31/12/2037 LUMOTAR2015/0418 05013233 08723 NATURAL RESOURCES INSTITeuro 3/201848967 23/4/2018 FI31/12/2043 MA 482006/0405 ma 48 00718 Marionnet Jacques Gfaeuro 5/200925896 24/8/2009 FR31/12/2039 MA 947312005/1031 ma 94731 00718 Marionnet Jacques Gfaeuro 2/200616777 30/1/2006 FR31/12/2031 MAGNUS2015/2407 10-81-17 09076 FLEVO BERRY HOLDING B.V.euro 2/201951388 25/2/2019 NL31/12/2044 MAJESTIC2014/1094 civ446 00127 Consorzio Italiano Vivaistieuro 3/201746253 18/4/2017 IT31/12/2042 MALLING CENTENARY NARY 2012/1246 em 1764 09154 NIAB EMReuro 3/201540671 20/4/2015 UK31/12/2040 MALLING GLOW2014/1159 em 1677 09154 NIAB EMReuro 3/201848647 23/4/2018 UK31/12/2043 MALLING SILK2013/2099 em 1669 09154 NIAB EMReuro 4/201746481 10/5/2017 UK31/12/2042 MALLING SUNRISE2014/1160 em 1552 09154 NIAB EMReuro 4/201746485 10/5/2017 UK31/12/2042 MALWINA2006/0617 ps.01-s4 02264 Stoppel, Petereuro 3/200924376 23/3/2009 DE31/12/2034 MARGHERITA2012/1378 ad 09 006 07031 Nova Siri Genetics SNC di Tufareuro 2/201539549 23/2/2015 IT31/12/2040 MARIONNET 972013/2609 marionnet 97 08237 MARIONNET S.C.E.A.euro 3/201643041 11/4/2016 FR31/12/2041 MARIONNET 992013/2608 marionnet 99 08237 MARIONNET S.C.E.A.euro 3/201643040 11/4/2016 FR31/12/2041 MARISOL2012/1377 ad 08 069 07031 Nova Siri Genetics SNC di Tufareuro 2/201539548 23/2/2015 IT31/12/2040 MARTINA20175306 martina ES1022 INNOFRU, S.Lesp BOE22002918 22/1/2020 ES31/12/2045 MATIS2003/0122 ma31 00718 Marionnet Jacques Gfaeuro 2/200616918 27/2/2006 FR31/12/2031 MELISSA2014/1879 488xf-11-03 07031 Nova Siri Genetics SNC di Tufareuro 2/201745319 6/2/2017 IT31/12/2042 MERCED2013/3259 c229 00345 The Regents of the University ofeuro 2/201745309 6/2/2017 US31/12/2042 MERLAN2008/1805 f 125 00984 ABZ Aardbeien uit Zaad B.V.euro 4/201130148 23/5/2011 NL31/12/2036 MIEZE NOVA2006/1244 mieze nova 05496 Dr. Barbara Datheeuro 2/200719042 22/1/2007 DE31/12/2032 MOJAVE2010/2163 c227 00345 The Regents of the University ofeuro 1/201436521 2/12/2013 US31/12/2038 7/3/2020 Pàgina 18 de 98
  • 19.
    DenominacióNº Exp. Nomcomercial Codi / Titular Butlletí Nº POV Inici Protecció Fi Referència Obtentor / Fragaria × ananassa Duchesne ex Rozier MONTANA2014/2477 m 306 00984 ABZ Aardbeien uit Zaad B.V.euro 5/201849967 6/7/2018 NL31/12/2043 MONTEREY2008/1506 cn222 00345 The Regents of the University ofeuro 1/201128655 17/12/2010 US31/12/2035 MURANO2012/1731 y3s7-1 00127 Consorzio Italiano Vivaistieuro 3/201642969 11/4/2016 IT31/12/2041 NABILA2011/0357 w6y1-10 00127 Consorzio Italiano Vivaistieuro 2/201436657 27/1/2014 IT31/12/2039 NANDI2015/1842 civn27 00127 Consorzio Italiano Vivaistieuro 2/201951386 25/2/2019 IT31/12/2044 NAZARET20175327 ES1031 IFAPA-INIA-FNM-NTF-FVesp 1-2018002799 20/2/2018 ES31/12/2043 NERINA2008/0737 smpg 90/4/1 08798 IPRONA AGeuro 2/201128873 7/2/2011 IT31/12/2026 NF 1372010/0149 nf 137 02237 New Fruits S.A.S. di Raggi Giordeuro 3/201334840 22/4/2013 IT31/12/2038 NF102R2013/0028 nf102r 02237 New Fruits S.A.S. di Raggi Giordeuro 4/201643527 10/5/2016 IT31/12/2041 NF1492014/3526 08642 NEW FRUITS S.A.S. DI BERNAeuro 3/201848959 23/4/2018 IT31/12/2043 NF2052001/0138 new-f.205 02237 New Fruits S.A.S. di Raggi Giordeuro 2/200514557 24/1/2005 IT31/12/2030 NF3112002/1936 nf311 02237 New Fruits S.A.S. di Raggi Giordeuro 2/200616744 30/1/2006 IT31/12/2031 NF4212006/1373 nf421 02237 New Fruits S.A.S. di Raggi Giordeuro 1/200923759 17/12/2008 IT31/12/2033 NF6332014/3527 nf63.3 08642 NEW FRUITS S.A.S. DI BERNAeuro 3/201848960 23/4/2018 IT31/12/2043 NF6382014/3528 nf63.8 08642 NEW FRUITS S.A.S. DI BERNAeuro 3/201848961 23/4/2018 IT31/12/2043 NIEVA FNM2013/2248 a9-84n-2 05117 Fresas Nuevos Materialeseuro 2/201642317 25/1/2016 ES31/12/2041 NOBEL2016/2905 gn 1196.15 07519 Graminor A.S.euro 4/201746801 6/6/2017 NO31/12/2042 NSG 11172016/1694 488xp-11-17 07031 Nova Siri Genetics SNC di Tufareuro 2/201950882 14/1/2019 IT31/12/2044 OPERA2014/0200 e2006-185 05442 Fresh Foreward Holding B.V.euro 3/201848946 23/4/2018 NL31/12/2043 OSIRIS2013/1482 cf6781 08515 Invenioeuro 4/201643613 23/5/2016 FR31/12/2041 P0611032015/1653 p061103v 08847 VISSERS AMERICA B.V.euro 2/201951383 25/2/2019 NL31/12/2044 P0611052015/1654 p061105k 08847 VISSERS AMERICA B.V.euro 2/201951384 25/2/2019 NL31/12/2044 PALFRES FNM20155222 A8-30-2 ES924 Fresas Nuevos Materialesesp 1-2019002857 5/2/2019 ES31/12/2044 PALOMAR2007/1465 c221 00345 The Regents of the University ofeuro 2/201026557 25/1/2010 US31/12/2035 PELES2015/2934 759 06485 Efraim Yosefeuro 2/201951389 25/2/2019 IL31/12/2044 PETALUMA2014/3083 c231 00345 The Regents of the University ofeuro 3/201848955 23/4/2018 US31/12/2043 PINK EXTARA2012/0973 99j1 09076 FLEVO BERRY HOLDING B.V.euro 3/201540670 20/4/2015 NL31/12/2040 7/3/2020 Pàgina 19 de 98
  • 20.
    DenominacióNº Exp. Nomcomercial Codi / Titular Butlletí Nº POV Inici Protecció Fi Referència Obtentor / Fragaria × ananassa Duchesne ex Rozier PINK ROSA2013/1696 t-04052-06 07220 INSTYTUT OGRODNICTWA (INeuro 2/201642546 22/2/2016 PL31/12/2041 PIRCINQUE2010/0648 04.228.5 06797/06944 CRA - AZIENDA PIRACCINI SEeuro 4/201335654 17/6/2013 IT31/12/2038 PLANASA 02322014/0534 02.13.214 00132 Plantas de Navarra SAeuro 5/201747337 17/7/2017 ES31/12/2042 PLARED 09492015/2490 09.24.04 00132 Plantas de Navarra SAeuro 3/201951744 11/3/2019 ES31/12/2044 PLARED 09552016/1836 09.24.197 00132 Plantas de Navarra SAeuro 3/201951746 11/3/2019 ES31/12/2044 PORTOLA2008/1505 cn224 00345 The Regents of the University ofeuro 1/201128654 17/12/2010 US31/12/2035 PREMIER2008/2152 pe-1209 00743/01203 Plant Sciences - Berry R&Deuro 1/201128676 17/12/2010 US31/12/2035 PRIMORIS FNM2008/1552 a3-54-1 05117 Fresas Nuevos Materialeseuro 2/201026580 25/1/2010 ES31/12/2035 PRIZE2014/0226 pe-3.211 00743/01203 Plant Sciences - Berry R&Deuro 2/201745310 6/2/2017 US31/12/2042 PS92712010/1332 ps-9271 00743/01203 Plant Sciences - Berry R&Deuro 3/201334281 4/3/2013 US31/12/2038 QUEEN ELISA2003/1550 94.568.2 06797/01869 CRA - FRFeuro 2/200616761 30/1/2006 IT31/12/2031 RABIDA FNM2013/2247 a8-16-2 05117 Fresas Nuevos Materialeseuro 2/201642316 25/1/2016 ES31/12/2041 RED CLEO2016/2105 955 09254 TOTAL WORLDFRESHeuro 2/201951393 25/2/2019 UK31/12/2044 RED RIO2016/2104 770 09254 TOTAL WORLDFRESHeuro 2/201950883 14/1/2019 UK31/12/2044 RINA1999/0872 VI 01-98 05221 Vissers International B.V.euro 5/20029930 12/8/2002 NL31/12/2027 RITMO2015/2429 ff 1503 05442 Fresh Foreward Holding B.V.euro 3/201951423 28/3/2019 NL31/12/2044 ROCIERA FNM2015/1915 a10-48-3 05117 Fresas Nuevos Materialeseuro 3/201746254 18/4/2017 ES31/12/2042 ROMINA2011/1275 an99,78,51 07315 Università Politecnica delle Marceuro 3/201540664 20/4/2015 IT31/12/2040 ROTEMI2008/2801 rotemi 06485 Efraim Yosefeuro 2/201231417 23/1/2012 IL31/12/2037 RUBIA2003/1573 rubia 04362 Putfarken Jocheneuro 3/200413032 5/4/2004 DE31/12/2034 RUBIS DES JARDINS2009/1204 cf 3453 08515 Invenioeuro 6/201233540 8/10/2012 FR31/12/2037 RUBY ANN2014/2478 m 389 00984 ABZ Aardbeien uit Zaad B.V.euro 5/201849791 2/7/2018 NL31/12/2043 RUMBA2007/1279 ff 0601 05442 Fresh Foreward Holding B.V.euro 3/201129531 18/4/2011 NL31/12/2036 SABRINA2009/1037 03.40.181 00132 Plantas de Navarra SAEURO 6/201130939 19/9/2011 ES31/12/2036 SABROSA2001/1516 97.10.030 00132 Plantas de Navarra SAeuro 5/200413795 19/7/2004 ES31/12/2029 SAFARI2013/1375 06.44h.216 00132 Plantas de Navarra SAeuro 3/201643225 25/4/2016 ES31/12/2041 SAGA2017/1251 gn 1189.3 07519 Graminor A.S.euro 1/201847946 11/12/2017 NO31/12/2042 7/3/2020 Pàgina 20 de 98
  • 21.
    DenominacióNº Exp. Nomcomercial Codi / Titular Butlletí Nº POV Inici Protecció Fi Referència Obtentor / Fragaria × ananassa Duchesne ex Rozier SAHARA2012/1505 06.43h.79 00132 Plantas de Navarra SAeuro 2/201539523 9/2/2015 ES31/12/2040 SAINT PIERRE2001/0155 sj89264-6 07886 MINISTER OF AGRICULTURE Aeuro 4/200413338 17/5/2004 CA31/12/2034 SALSA2001/1214 pri 9803 05442 Fresh Foreward Holding B.V.euro 5/200516102 17/8/2005 NL31/12/2030 SAN ANDREAS2008/1504 cn223 00345 The Regents of the University ofeuro 1/201128653 17/12/2010 US31/12/2035 SAN MIGUEL1997/0626 san miguel 00659 Driscoll Strawberry Associates Ineuro 2/20028874 18/2/2002 US31/12/2027 SARITO20145173 Fontanilla ES1002 INIA-IFAPA-FNM-NTF-FVesp 1-2017002737 16/1/2017 ES31/12/2042 SASHA2008/0029 em 1159 09154 NIAB EMReuro 3/201129533 18/4/2011 UK31/12/2036 SCARLET2015/0371 17j34 07134 Lassen Canyon Nursery Inc.euro 3/201848966 23/4/2018 US31/12/2043 SG1342014/0963 sg.13.4 08421 Franco Zentieuro 3/201746252 18/4/2017 IT31/12/2042 SHAKED2008/2802 shaked 06485 Efraim Yosefeuro 2/201231418 23/1/2012 IL31/12/2037 SIABELLE1998/1326 89.x1.25.2 03925 ATYS SAeuro 1/20017188 18/12/2000 FR31/12/2025 SIBILLA2014/3625 y6z6-39 00127 Consorzio Italiano Vivaistieuro 3/201848964 23/4/2018 IT31/12/2043 SIRIS2010/1411 aa 07 488 07031 Nova Siri Genetics SNC di Tufareuro 3/201334843 22/4/2013 IT31/12/2038 SONATA2001/1215 pri 9802 05442 Fresh Foreward Holding B.V.euro 3/200514768 7/3/2005 NL31/12/2030 SONSATION2015/2402 08-73-05 09076 FLEVO BERRY HOLDING B.V.euro 2/201951387 25/2/2019 NL31/12/2044 SOPHIE1998/0277 em 341 00010 Horticultural Research Internationeuro 3/20017385 5/3/2001 GB31/12/2026 SPLENDOR2005/0799 bg-959 03131 Berry Genetics Inc. Nelson Steveeuro 1/200821584 17/12/2007 US31/12/2032 SSL 932013/0940 ssl 93 00331 Edward Vinson Ltd.euro 3/201746242 18/4/2017 UK31/12/2042 SUSSETTE2013/0899 06-19-02 09076 FLEVO BERRY HOLDING B.V.euro 3/201643034 11/4/2016 NL31/12/2041 SUZANA2001/0153 853 03844/04056 Gyo International Inc.- Redeva Lteuro 4/200413336 17/5/2004 OS31/12/2029 SWEET ANN2010/2286 16f29 07133/07134 Jimmy Haig / Lassen Canyon Nureuro 4/201335520 3/6/2013 US31/12/2038 SWEET EVE2008/0368 04aa22 00331 Edward Vinson Ltd.euro 4/201130138 23/5/2011 UK31/12/2036 SWEETHEART2010/0912 em 1148 09154 NIAB EMReuro 3/201334842 22/4/2013 UK31/12/2038 SWV252015/2550 swv25 00331 Edward Vinson Ltd.euro 2/201950880 14/1/2019 UK31/12/2044 SYMPHONY1995/1348 symphony 07377 James Hutton Instituteeuro 2/19971713 17/2/1997 UK31/12/2022 TARDA1996/0428 9401 05221 Vissers International B.V.euro 4/19994564 3/5/1999 NL31/12/2024 TECLA2009/1203 00.92.4 06797/01869 CRA - FRFeuro 4/201232754 21/5/2012 IT31/12/2037 7/3/2020 Pàgina 21 de 98
  • 22.
    DenominacióNº Exp. Nomcomercial Codi / Titular Butlletí Nº POV Inici Protecció Fi Referència Obtentor / Fragaria × ananassa Duchesne ex Rozier TETHIS1995/0365 tethis 01160 Vissers Aardbeiplanten B.V.euro 4/19994558 3/5/1999 NL31/12/2024 THULANA1999/0461 thulana 00258 Hõberli Obst-und Beerenzentrumeuro 2/20028895 18/2/2002 HONOR CH31/12/2027 TOSCANA2011/0156 h 231 00984 ABZ Aardbeien uit Zaad B.V.euro 3/201437424 7/4/2014 NL31/12/2039 TRINI20175305 alma ES1022 INNOFRU, S.Lesp BOE22002919 22/1/2020 ES31/12/2045 TRISTAN2009/2419 g 193 00984 ABZ Aardbeien uit Zaad B.V.euro 3/201334839 22/4/2013 NL31/12/2038 VALERY1999/0987 94/492 01400 Konings Planteuro 3/20029008 18/3/2002 NL31/12/2027 VALOR2008/1795 pe-1207 00743/01203 Plant Sciences - Berry R&Deuro 1/201128663 17/12/2010 US31/12/2035 VENTANA2002/1565 c216 00345 The Regents of the University ofeuro 3/200514780 7/3/2005 US31/12/2030 VIBRANT2010/1429 em 1119 09154 NIAB EMReuro 3/201437422 7/4/2014 UK31/12/2039 VIKTORIANA2008/0874 em 1125 09154 NIAB EMReuro 3/201129537 18/4/2011 UK31/12/2036 VIVA PATRICIA2008/2790 s05vs38 00331 Edward Vinson Ltd.euro 2/201231368 23/1/2012 UK31/12/2037 VIVALDI2001/1161 e2005-075 05442 Fresh Foreward Holding B.V.euro 3/201540662 20/4/2015 NL31/12/2040 VIVARA2012/1729 y3z6-5 00127 Consorzio Italiano Vivaistieuro 4/201643802 6/6/2016 IT31/12/2041 VOLTAMIR2008/2105 73 01306 Agricultural Research Organisatioeuro 1/201128670 17/12/2010 IL31/12/2035 WENDY2011/0398 k98-6 07886 MINISTER OF AGRICULTURE Aeuro 3/201437431 7/4/2014 CA31/12/2039 XIMA2001/0011 vi 02-99 05221 Vissers International B.V.euro 4/200413334 17/5/2004 NL31/12/2029 YAMASKA2001/0154 SJ89700/1 07886 MINISTER OF AGRICULTURE Aeuro 4/200413337 17/5/2004 CA31/12/2029 ZANTA1996/0427 9402 05221 Vissers International B.V.euro 4/19994672 21/6/1999 NL31/12/2024 Especie Fragaria iinumae Makino × F. vesca L. DenominacióNº Exp. Nom comercial Codi / Titular Butlletí Nº POV Inici Protecció Fi Referència Obtentor / MADUIXA HIB. FONTAINE2014/1495 hansafont (p-130300) 08087 HANSABRED GMBH & CO. KGeuro 3/201848950 23/4/2018 DE31/12/2043 Especie Fragaria vesca L. DenominacióNº Exp. Nom comercial Codi / Titular Butlletí Nº POV Inici Protecció Fi Referència Obtentor / MADUIXETA CORALP2014/0172 ct1 08326 PHILIP JAMES CORBETTeuro 4/201746483 10/5/2017 UK31/12/2042 Especie Fragaria x ananassa Duch. DenominacióNº Exp. Nom comercial Codi / Titular Butlletí Nº POV Inici Protecció Fi Referència Obtentor / MADUIXOT BUDDY2011/2458 emr428 09154 NIAB EMReuro 3/201540666 20/4/2015 UK31/12/2040 DRISSTRAWFORTYSEVEN2016/0551 92t69 00659 Driscoll Strawberry Associates Ineuro 2/201950881 14/1/2019 US31/12/2044 7/3/2020 Pàgina 22 de 98
  • 23.
    DenominacióNº Exp. Nomcomercial Codi / Titular Butlletí Nº POV Inici Protecció Fi Referència Obtentor / Fragaria x ananassa Duch. DRISSTRAWTWENTYFIVE2011/2934 51q235 00659 Driscoll Strawberry Associates Ineuro 2/201539545 23/2/2015 US31/12/2040 DRISSTRAWTWENTYFOUR2011/2933 10q98 00659 Driscoll Strawberry Associates Ineuro 2/201539544 23/2/2015 US31/12/2040 DRISSTRAWTWENTYSEVEN2011/2936 46q227 00659 Driscoll Strawberry Associates Ineuro 2/201539547 23/2/2015 US31/12/2040 DRISSTRAWTWENTYSIX2011/2935 53q19 00659 Driscoll Strawberry Associates Ineuro 2/201539546 23/2/2015 US31/12/2040 DRISSTRAWTWENTYTH2011/2932 5q64 00659 Driscoll Strawberry Associates Ineuro 2/201539543 23/2/2015 US31/12/2040 F622011/2459 f62 09154 NIAB EMReuro 3/201540667 20/4/2015 UK31/12/2040 RENAISSANCE2016/1235 renaissance 08087 HANSABRED GMBH & CO. KGeuro 2/201951391 25/2/2019 DE31/12/2044 TMSTR14PNK2016/1273 vpst14/1 03166 BRANDED GARDEN PRODUCTeuro 2/201951392 25/2/2019 UK31/12/2044 VERITY2011/2742 06hn43 00331 Edward Vinson Ltd.euro 3/201540668 20/4/2015 UK31/12/2040 Especie Fragaria x Potentilla DenominacióNº Exp. Nom comercial Codi / Titular Butlletí Nº POV Inici Protecció Fi Referència Obtentor / MADUIXA SAMBA1995/2732 Prisma I 00256 Prisma Stauden & Jungpflanzeneuro 6/19983428 7/9/1998 DE31/12/2023 Especie Humulus lupulus L. DenominacióNº Exp. Nom comercial Codi / Titular Butlletí Nº POV Inici Protecció Fi Referència Obtentor / LLÚPOL ADHA042006/1858 ad24-002 05571 American Dwarf Hop Associationeuro 3/201129404 4/4/2011 US31/12/2041 ADMIRAL1996/0036 RH40 06316 WYE HOPS LIMITEDeuro 1/19971436 16/12/2006 UK31/12/2021 APOLLO2007/0305 apollo 05731 S.S. Steiner Inceuro 2/201231322 23/1/2012 US31/12/2042 ARAMIS2011/0863 p05-9 07285 Comptoir Agricole d'Achat et deeuro 3/201539876 23/3/2015 FR31/12/2045 ARIANA2015/3039 2010/072/020 04498 Gesellschaft fur Hopfenforschungeuro 4/201952578 6/5/2019 DE31/12/2049 BARBE ROUGE2016/0081 p09-2 07285 Comptoir Agricole d'Achat et deeuro 4/201952581 6/5/2019 FR31/12/2049 BOADICEA2004/0987 or423 06316 WYE HOPS LIMITEDeuro 5/200823382 25/8/2008 UK31/12/2038 BOUCLIER2012/1632 p08-6 07285 Comptoir Agricole d'Achat et deeuro 4/201643555 10/5/2016 FR31/12/2046 BRAVO2007/0304 bravo 05731 S.S. Steiner Inceuro 2/201231321 23/1/2012 US31/12/2042 BROKAT2015/3094 ur1 09018 BRAUEREI C. & A. VELTINS GMeuro 3/201951931 28/3/2019 DE31/12/2049 CALLISTA2015/3040 2010/008/033 04498 Gesellschaft fur Hopfenforschungeuro 4/201952579 6/5/2019 DE31/12/2049 COLUMBUS1998/1576 9/17 03368 Joh. Barth & Sohn Gmbh & Co. Keuro 6/200311647 8/9/2003 DE31/12/2028 DANA2013/1583 279/112 06942 SLOVENIAN INSTITUTE OF HOeuro 3/201746201 3/4/2017 SI31/12/2047 FIRST GOLD1996/0040 S4 06316 WYE HOPS LIMITEDeuro 1/19971440 16/12/1996 UK31/12/2021 7/3/2020 Pàgina 23 de 98
  • 24.
    DenominacióNº Exp. Nomcomercial Codi / Titular Butlletí Nº POV Inici Protecció Fi Referència Obtentor / Humulus lupulus L. HALLERTAU BLANC2012/1059 2007/019/008 04498 Gesellschaft fur Hopfenforschungeuro 4/201643552 10/5/2016 DE31/12/2046 HERKULES2003/2434 95/94/816 05548 Hopfenverwertungsgenossenchafeuro 3/200617203 27/3/2006 DE31/12/2036 HU ZH APA 12005/2387 2003/040/733 04498 Gesellschaft fur Hopfenforschungeuro 4/200822525 19/5/2008 DE31/12/2033 HUELL MELON2012/1060 2009/002/706 04498 Gesellschaft fur Hopfenforschungeuro 4/201643553 10/5/2016 DE31/12/2046 MANDARINA BAVARIA2011/3145 2007/018/013 04498 Gesellschaft fur Hopfenforschungeuro 3/201539877 23/3/2015 DE31/12/2045 MISTRAL2016/0076 gs 26 07285 Comptoir Agricole d'Achat et deeuro 4/201952580 6/5/2019 FR31/12/2049 PILGRIM2001/0826 P38 06316 WYE HOPS LIMITEDeuro 2/200615371 27/2/2006 UK31/12/2036 PILOT2001/0825 s24 06316 WYE HOPS LIMITEDeuro 2/200615370 27/2/2006 UK31/12/2036 PIONEER1996/0038 W10 06316 WYE HOPS LIMITEDeuro 1/19971438 16/12/1996 UK31/12/2021 POLARIS2010/2873 2000/109/728 04498 Gesellschaft fur Hopfenforschungeuro 3/201437544 22/4/2014 DE31/12/2044 RELAX2008/0127 97/25/7 05053 Martin BAUER GMBH & CO KGeuro 3/201129407 4/4/2011 DE31/12/2041 SOVEREIGN2006/1106 50/95/33 06316 WYE HOPS LIMITEDeuro 3/201026966 22/3/2010 UK31/12/2035 STYRIAN CARDINAL2016/0481 30/96 06942 SLOVENIAN INSTITUTE OF HOeuro 4/201952583 6/5/2019 SI31/12/2049 STYRIAN EUREKA2013/1896 285/70 06942 SLOVENIAN INSTITUTE OF HOeuro 3/201746202 3/4/2017 SI31/12/2047 STYRIAN GOLD2010/0605 31/299 06942 SLOVENIAN INSTITUTE OF HOeuro 3/201437543 22/4/2014 SI31/12/2044 STYRIAN WOLF2016/0480 74/134 06942 SLOVENIAN INSTITUTE OF HOeuro 4/201952582 6/5/2019 SI31/12/2049 SUPGALENA2007/0303 super galena 05731 S.S. Steiner Inceuro 2/201231320 23/1/2012 US31/12/2042 TRISKEL2012/1631 p09-18 07285 Comptoir Agricole d'Achat et deeuro 4/201643554 10/5/2016 FR31/12/2046 VGXP012006/0417 vgxp01 05352/05353/05354 P Gamacge-B Gamache-S Gamaeuro 3/201129404 4/4/2011 US31/12/2041 Especie Juglans L. (forestal) DenominacióNº Exp. Nom comercial Codi / Titular Butlletí Nº POV Inici Protecció Fi Referència Obtentor / NOGUERA PER FUSTA NAT 11 BN20054604 eurowalnut a-11 E1001 Bosques Naturales SAesp 1-2016002718 13/12/2015 ES31/12/2045 NAT 3 BN20054605 eurowalnut a-03 E1001 Bosques Naturales SAesp 1-2017002761 16/1/2017 ES31/12/2047 NAT 7 BN20054607 eurowalnut b-07 E1001 Bosques Naturales SAesp 002783 8/9/2017 ES31/12/2047 NAT 8 BN20034496 eurowalnut 8 E1001 Bosques Naturales SAesp 1-2017002760 6/1/2017 ES31/12/2047 NAT 9 BN20054606 eurowalnut c-09 E1001 Bosques Naturales SAesp 1-2016002719 13/12/2015 ES31/12/2045 7/3/2020 Pàgina 24 de 98
  • 25.
    DenominacióNº Exp. Nomcomercial Codi / Titular Butlletí Nº POV Inici Protecció Fi Referència Obtentor / Juglans nigra L. Especie Juglans nigra L. DenominacióNº Exp. Nom comercial Codi / Titular Butlletí Nº POV Inici Protecció Fi Referència Obtentor / NOGUERA NEGRA BEINEKE 12003/0938 beineke 1 04233 American Forestry Technologies Ieuro 3/201334887 22/4/2013 US31/12/2043 BEINEKE 72003/0943 beineke 7 04233 American Forestry Technologies Ieuro 4/201438053 19/5/2014 US31/12/2044 Especie Malus × purpurea (A. Barbier) Rehder × M. transitoria (Batalin) C. K. Schneid. DenominacióNº Exp. Nom comercial Codi / Titular Butlletí Nº POV Inici Protecció Fi Referència Obtentor / POMERA ORNAMENTAL JFSKW52013/0858 jfs-kw5 07480 J. FRANK SCHMIDT & SON CO.euro 3/201643228 25/4/2016 US31/12/2046 Especie Malus domestica Borkh. DenominacióNº Exp. Nom comercial Codi / Titular Butlletí Nº POV Inici Protecció Fi Referència Obtentor / POMERA "LB17906"2013/0355 lb17906 07948 LAND- UND FORSTWIRTSCHAeuro 2/201951076 28/1/2019 IT31/12/2049 1400 KE2002/0286 1400 ke 03768 Feno SRLeuro 4/200720092 21/5/2007 IT31/12/2037 8S60232010/0112 8s6023 05973 Agriculture et Agroalimentaire Caeuro 6/201438868 8/9/2014 CA31/12/2044 ADMIRAL2008/2981 ueb 3824/1 00700 Institut Für Experimentelle Botanieuro 2/201231550 20/2/2012 CZ31/12/2042 AHRISTA1997/1488 ahrista 01950 Artus Group Marketinggesellschaeuro 3/19994257 6/4/1999 DE31/12/2029 ALLEGRO2017/0263 ueb 3802/6 00700 Institut Für Experimentelle Botanieuro 5/201747325 17/7/2017 CZ31/12/2047 ALMAGOLD2008/2498 golden 39 01758 Istituto Sperimentale per la Fruttieuro 4/201438355 16/6/2014 IT31/12/2044 AMBRO2000/1636 ambro 03073 Stichting Vermeerderingstuineneuro 4/20017809 11/6/2001 NL31/12/2031 AMBROSIA2001/0705 ambrosia 03420/03421 Mennell, S - Mennell, Weuro 4/200413616 21/6/2004 AMBROSIA CA31/12/2034 ANNAGLO1998/1093 annglo 02275 The Wislang Family Trusteuro 6/200311961 20/10/2003 SÉLECTA - ANNAGLO NZ31/12/2033 ARIANE2003/0273 x6407 00689 INRA-Institut National de la Recheuro 3/200413108 19/4/2004 ARIANE FR31/12/2034 ARIWA1999/0704 ariwa 02600 Eidg. Forschunganstalt für Obs-euro 3/20017498 9/4/2001 CH31/12/2031 ASFARI2012/0099 r2/25/56 04627 Better3Fruit NVeuro 3/201642777 7/3/2016 BE31/12/2046 AW 1062010/1888 aw 106 07079 Land Rheinland-Pfalzeuro 6/201130893 10/10/2011 DE31/12/2041 AZTEC2001/0014 aztec 03269 Austin Orchards Ltd David Austineuro 6/200720814 8/10/2007 ZHEN* NZ31/12/2037 AZUFU2000/1745 azu-fu 03017 NV GEEFAeuro 4/200720382 18/6/2007 BE31/12/2037 B3F442009/2503 22 / 4 / 53 04627 Better3Fruit NVeuro 3/201437720 22/4/2014 BE31/12/2044 B3F452009/2504 22 / 3 / 290 04627 Better3Fruit NVeuro 3/201437721 22/4/2014 BE31/12/2044 BAIGENT1995/1097 RIMA 00640 Brookfield New Zealand Limitedeuro 5/20017951 6/8/2001 BROOKFIELD* GALA NZ31/12/2031 7/3/2020 Pàgina 25 de 98
  • 26.
    DenominacióNº Exp. Nomcomercial Codi / Titular Butlletí Nº POV Inici Protecció Fi Referència Obtentor / Malus domestica Borkh. BARBY2017/2709 ueb 3838/3 00700 Institut Für Experimentelle Botanieuro 2/201951498 25/2/2019 CZ31/12/2049 BAY 34842009/1111 bay 3484 06685 Michael NeumüllerEURO 3/201437194 24/3/2014 DE31/12/2044 BEL-EL1995/2098 00298 Jomobel N. V. - Morren-de Costeeuro116 1/19971541 16/12/1996 RED ELSWOUT BE1/1/2022 BELGICA2000/1677 belgica 03184 Moors Jeaneuro 3/200412892 22/3/2004 BE31/12/2034 BELLIDA1995/0664 bellida 06983 Stichting Dienst Landbouwkundigeuro 6/1996605 2/8/1996 NL1/9/2026 BERLEIS2009/0580 berleis 06605 Mathias Markleuro 2/201026590 25/1/2010 DE31/12/2040 BIELAAR1995/0536 bielaar 02002 Van Laar H.J.M.euro116 5/1996418 2/8/1996 NL1/12/2021 BIGIGALAPRIM2002/1571 bigigalaprim 06828 Top Plant Vivai Societa Agricolaeuro 4/200720350 18/6/2007 EARLY RED GALA IT31/12/2037 BONITA2016/1931 ueb i-406/1 00700 Institut Für Experimentelle Botanieuro 2/201745354 6/2/2017 CZ31/12/2047 BRAECEST1998/1659 br 13/11-7 02452 Earl des Sources (Cestier Henri eeuro 2/20028883 18/2/2002 BRAESUN* FR31/12/2032 BRINA1999/0867 brina 01758 Istituto Sperimentale per la Fruttieuro 4/200413611 21/6/2004 IT31/12/2034 BRUGGERS FESTIVALE2000/1304 bruggers festivale 03119 Brugger, Alfredeuro 2/200616735 30/1/2006 DE31/12/2036 CACTUS2006/2164 ueb 3137/1 00700 Institut Für Experimentelle Botanieuro 4/201130092 23/5/2011 CZ31/12/2041 CATARINA2002/0208 epagri 402 03483 Epagrieuro 5/200823136 7/7/2008 BR31/12/2038 CAUDLE1996/0053 00880 Caudle apple inceuro 6/20006786 16/10/2000 CAMEO US31/12/2030 CAUFLIGHT2005/2054 noue 0001 00303 SNC Elariseuro 5/201130554 25/7/2011 CAUFLIGHT FR31/12/2041 CAURED1999/1298 noue 9987 00303 SNC Elariseuro 6/200516183 12/9/2005 FR31/12/2035 CH 1012012/0243 galiwa 07560 AGROSCOPE CHANGINS-WADeuro 2/201539518 9/2/2015 CH31/12/2045 CHRISTMAS PIPPIN2010/1572 fpm/rowm5 02278 Frank P Matthews Ltdeuro 4/201541123 8/6/2015 UK31/12/2045 CIV3232012/0805 b8a3-323 00127 Consorzio Italiano Vivaistieuro 2/201745350 6/2/2017 ISAAQ IT31/12/2047 CIVG1982005/0312 g-198 00127 Consorzio Italiano Vivaistieuro 5/200823149 7/7/2008 MODI IT31/12/2038 CIVINI2000/1892 vni-185 00127 Consorzio Italiano Vivaistieuro 6/200516186 12/9/2005 IT31/12/2035 CIVNIRED S2009/0687 mu-bz 00127 Consorzio Italiano Vivaistieuro 4/201541119 8/6/2015 IT31/12/2045 COLLINA2001/1711 collina 03634 V.O.F. VANDEWALLeuro 5/200618136 17/7/2006 NL31/12/2036 COOP 332008/0610 coop 33 00751 Purdue Research Foundationeuro 1/201333813 19/11/2012 PIXIE CRUCH US31/12/2042 COOP 381995/2901 coop38 00751 Purdue Research Foundationeuro 5/20017952 6/8/2001 GOLDRUSH* US31/12/2031 COOP 392005/0057 coop 39 00751 Purdue Research Foundationeuro 6/200823533 13/10/2008 CRIMSON CRISP* US31/12/2038 7/3/2020 Pàgina 26 de 98
  • 27.
    DenominacióNº Exp. Nomcomercial Codi / Titular Butlletí Nº POV Inici Protecció Fi Referència Obtentor / Malus domestica Borkh. COOP431999/0129 coop-43 00751 Purdue Research Foundationeuro 3/200413110 19/4/2004 JULIET US31/12/2034 COX LA VERA1996/0641 Cox la vera 07091 Erven P.G. Vroemeneuro 1/20005557 20/12/1999 NL31/12/2029 COXCOLUMNARIA2010/0060 coxcolumnaria 05496 Dr. Barbara Datheeuro 2/201231438 6/2/2012 DE31/12/2042 COXDWARF2008/2791 coxdwarf 05496 Dr. Barbara Datheeuro 2/201128890 7/2/2011 DE31/12/2041 COXYBELLE2018/3170 ag 90 02643 CENTRE DE RECHERCHES AGeuro 4/201952917 17/6/2019 BE31/12/2049 CR BRISSET2016/0550 cr brisset 08649 BRISSET G.F.A.euro 4/201849211 7/5/2018 FR31/12/2048 CRIPPS PINK1995/1039 Cripps Pink 00655 Department of Agriculture Westweuro116 2/19971640 15/1/1997 PINK LADY AU1/8/2022 CRIPPS RED1995/1040 cripps red 00655 Department of Agriculture Westweuro 6/19983425 7/9/1998 SUNDOWNER AU31/12/2023 CRISTIA2001/0909 epagri 406 03483 Epagrieuro 3/201129115 7/3/2011 BR31/12/2041 DALICLASS2008/1255 hy47-3 00303 SNC Elariseuro 1/201333814 19/11/2012 FR31/12/2042 DALILIGHT2007/1244 hy45-6 00303 SNC Elariseuro 1/201333810 19/11/2012 FR31/12/2042 DALINBEL1998/1844 dalinbel 00689/00303 INRA / SNC Elariseuro 6/200210186 21/10/2002 DALINBEL FR31/12/2032 DALINETTE2002/1306 dl 13 00319/00689 SNC ELARIS / INRAeuro 4/200617838 6/6/2006 DALINETTE FR31/12/2036 DALINSWEET2004/2327 dl48 00689/00303 INRA / SNC Elariseuro 4/200925349 8/6/2009 DALINSWEET FR31/12/2039 DALIRÈNE2005/1944 s13-3 00303 SNC Elariseuro 3/201027238 19/4/2010 FR31/12/2040 DALIRYAN2004/2493 jo50.1 00303 SNC Elariseuro 2/200719030 22/1/2007 DALIRYAN FR31/12/2037 DALITRON2003/1805 hy46.3 00303 SNC Elariseuro 5/200823138 7/7/2008 DALITRON FR31/12/2038 DECOSTA1995/0987 decosta 00954/00955 Swillen, G - Verbeek, Jeuro116 1/19971540 16/12/1996 DECOSTA BE1/1/2022 DELBLUSH1995/1986 delblush(PX3436) 00368 Pepinieristes et Roseraires Georeuro116 6/19981641 15/1/1997 DELBLUSH FR1/1/2022 DELCORED2016/2906 delcored 00368 Pepinieristes et Roseraires Georeuro 4/201747068 6/6/2017 FR31/12/2047 DELCORF DIANA2002/1963 diana 04050 Tijssen Johannes G.P.euro 4/200720095 21/5/2007 NL31/12/2037 DELCOROS2002/0108 delcoro 00368 Pepinieristes et Roseraires Georeuro 5/200618128 17/7/2006 DELCOROS FR31/12/2036 DELCOTI1999/1742 delcoti (c 43) 00368 Pepinieristes et Roseraires Georeuro 6/200311971 20/10/2003 FR31/12/2033 DELFLOGA2007/0851 delfloga 00368 Pepinieristes et Roseraires Georeuro 3/201026948 22/3/2010 FR31/12/2040 DELFLOKI2003/2213 delfloki 00368 Pepinieristes et Roseraires Georeuro 5/200413783 19/7/2004 DELFLOKI FR31/12/2034 DELICIA2002/1818 délice 04036/04037 C Roduit - S Roduiteuro 4/200720400 18/6/2007 ES31/12/2037 DEVIL GALA2012/2511 zg 1998 01474 Vivai Fratelle Zanzi di Carlo Zanzieuro 4/201952909 17/6/2019 IT31/12/2049 7/3/2020 Pàgina 27 de 98
  • 28.
    DenominacióNº Exp. Nomcomercial Codi / Titular Butlletí Nº POV Inici Protecció Fi Referència Obtentor / Malus domestica Borkh. DORIANE2003/0272 x6690 00689 INRA-Institut National de la Recheuro 2/200616780 30/1/2006 DORIANE FR31/12/2036 DOUCE DE L'AVENT2010/0435 douce de l'avent 00689/06934 INRA / IFPCeuro 3/201437726 22/4/2014 FR31/12/2044 EARLY JONAGOLD2008/1794 jonagold schreurs 00727 Nicolai JO & CO NVeuro 6/201335206 21/10/2013 BE31/12/2043 ELISE1995/0662 elise 06983 Stichting Dienst Landbouwkundigeuro116 6/1996419 2/8/1996 NL1/9/2021 ELLA2003/1756 crimson kiwi 04394 Thompson Michaeleuro 3/200719930 16/4/2007 NZ31/12/2037 ELSHARD2001/1086 mutant oostveen 03514 Maattschap Oostveeneuro 1/200923654 10/11/2008 NL31/12/2038 ELSHOF1995/1668 elshof 06983 Stichting Dienst Landbouwkundigeuro116 5/1996421 2/8/1996 ELSHOF NL1/9/2021 ELSTAR BOEREKAMP1997/0441 elstar boerekamp 01671/09553 P. H.H. BOEREKAMP/J. M.W. Beuro 1/200412324 18/12/2003 NL1/1/2034 ELSTAR VAN DER ZALM2004/1366 elstar-mutant 08036 VOGELAAR-VREDEHOF VASTeuro 5/200925889 24/8/2009 SANSA NL31/12/2039 EVESSE2009/0981 evesse (fpm/h3698) 02278 Frank P Matthews LtdEURO 5/201438689 28/7/2014 UK31/12/2044 EXCEL1996/0199 00298 Jomobel N. V. - Morren-de Costeeuro 5/20006594 26/7/2000 BE31/12/2030 FEM 12012/0736 fem 99.41.29 07625/07626 CONSORZIO INNOVAZIONE FReuro 4/201643816 6/6/2016 IT31/12/2046 FEM 82012/0738 fem 99.34.165 07625/07626 CONSORZIO INNOVAZIONE FReuro 4/201643817 6/6/2016 IT31/12/2046 FENGAPI2015/1527 fengapi 03209 Gaec le Petit Pepinieristeeuro 4/201952779 20/5/2019 FR31/12/2049 FIERO2001/0571 fiero 03385 Snyder L.L.C.euro 5/200618126 17/7/2006 SEPTEMBER WONDER* US31/12/2036 FINESSE2010/2696 jg.b 2903 08431 BOEREKAMP FINESSE B.V.euro 3/201540333 7/4/2015 NL31/12/2045 FPMPAX2014/3204 ’little pax’ (little pax) 08605 ST. CECILIA’S ABBEYeuro 3/201951724 11/3/2019 UK31/12/2049 FREDRIK2003/0874 k:0957 04227 Fakulteten för Jordbruk Landskapeuro 3/200924821 20/4/2009 SE31/12/2039 FRÉQUINETTE2010/0434 fréquinette 00689/06934 INRA / IFPCeuro 3/201540329 7/4/2015 FR31/12/2045 FRESCO2002/0536 87031-047 06983 Stichting Dienst Landbouwkundigeuro 4/200822295 5/5/2008 NL31/12/2038 FRIDA2003/0873 k:1007 04227 Fakulteten för Jordbruk Landskapeuro 3/200924820 20/4/2009 SE31/12/2039 FRUBAUR2013/3237 frubaur 01644 Promo Fruit Ag.euro 2/201848402 19/2/2018 CH31/12/2048 FUCIV512013/2586 fuciv51 00127 Consorzio Italiano Vivaistieuro 4/201952910 17/6/2019 IT31/12/2049 FUJI FRUBAX2005/0199 fuji frubax 04945 KIKU SRL-GMBHeuro 6/201438840 8/9/2014 FUJI KIKU IT31/12/2044 FUJION2011/1876 lh-59 00127 Consorzio Italiano Vivaistieuro 4/201643814 6/6/2016 IT31/12/2046 GAIA2011/1879 b8a3-384 00127 Consorzio Italiano Vivaistieuro 4/201541125 8/6/2015 IT31/12/2045 GALA SCHNITZER1999/0033 schniga 04178 SCHNIGA S.R.L.euro 6/201850559 15/10/2018 GALA SCHNITZER IT31/12/2048 7/3/2020 Pàgina 28 de 98
  • 29.
    DenominacióNº Exp. Nomcomercial Codi / Titular Butlletí Nº POV Inici Protecció Fi Referència Obtentor / Malus domestica Borkh. GALAVAL2006/2472 gala richard 00303 SNC Elariseuro 5/201130560 25/7/2011 FR31/12/2041 GALIFO2013/2263 galifo 05528 GIE I.F.O.euro 4/201849204 7/5/2018 FR31/12/2048 GALMAC2003/1834 galmac 04312 Station Federale RACeuro 5/200516114 17/8/2005 GALMAC CH31/12/2035 GERLINDE1997/1487 gerlinde 01950 Artus Group Marketinggesellschaeuro 3/19994256 6/4/1999 DE31/12/2029 GOLD PINK1998/1512 dca 81.425.014 01869 ALMA MATER STUDIORUM-UNIeuro 6/200210184 21/10/2002 GOLDCHIEF IT31/12/2032 GOLDEN 18952009/0956 18958 06661 Johann HuberEURO 4/201643799 6/6/2016 IT31/12/2046 GOLDEN ORANGE1998/0878 golden orange 01758 Istituto Sperimentale per la Fruttieuro 6/200210182 21/10/2002 GOLDEN ORANGE IT31/12/2032 GOLDEN PARADIS20054595 MSV-019 100908 Universitat de Lleidaesp 4-2010002488 6/7/2010 GOLDEN PARADIS ES31/12/2040 GOLDLANE2005/1157 ueb 3812/2 04595 Henri Fleuren B.V.euro 3/201026968 22/3/2010 NL31/12/2040 GOLDOR2006/0642 hy32.1 00303 SNC Elariseuro 4/200720103 21/5/2007 FR31/12/2037 GRADIROSE2004/2210 rgb5.100 07413 Neath Investements Limitedeuro 4/200925392 8/6/2009 GI31/12/2039 GRADISCA2015/1175 rgb3.165 04855/04854 O i A GRARDeuro 4/201952916 17/6/2019 FR31/12/2049 GRADIYEL2004/2211 rgb2.66 07413 Neath Investements Limitedeuro 4/200925393 8/6/2009 GI31/12/2039 GUSTO2014/0515 gusto 06778 Paul Spornbergereuro 2/201745353 6/2/2017 IT31/12/2047 HARMENSZ2006/2051 vrds0401 08032 PEREMA SARLeuro 6/201130891 10/10/2011 LU31/12/2041 HELIODOR2003/1163 ueb 3264/1 04283 Institute of Experimental Botanyeuro 6/200823532 13/10/2008 CZ31/12/2038 HESZTIA2012/1533 mr-10 07730 BUDAPESTI CORVINUS EGYETeuro 2/201334100 4/2/2013 HU31/12/2043 HIDALA1995/1478 Hidala 00685 Hill John and Sueeuro116 3/19971771 3/3/1997 HILLWELL NZ1/4/2022 HIROFU2000/1746 hiro-fu 03017 NV GEEFAeuro 5/200618168 17/7/2006 BE31/12/2036 HONEYCRISP1996/1289 mn 1711 01528 Regents of the University of Minneuro 4/20017797 11/6/2001 HONEYCRISP US31/12/2031 HOWELL TC32014/2181 tc 3 08524 HOWELL FRUIT ADVANTAGESeuro 4/201849207 7/5/2018 US31/12/2048 IMARA2012/0100 21/5/215 04627 Better3Fruit NVeuro 3/201642778 7/3/2016 BE31/12/2046 INA COX1999/1857 ina cox 06795 Olaf Ehlerseuro 1/20018427 5/11/2001 DE31/12/2031 INITIAL1999/0745 initial 00689 INRA-Institut National de la Recheuro 3/20017652 23/4/2001 INITIAL FR31/12/2031 INOLOV2014/1145 inolov 00689/06122 INRA - EARL QUARTIER NEUFeuro 4/201746304 10/5/2017 MANDY FR31/12/2047 INORED2011/0606 inored 07253/00689 Novardi SARL / INRAeuro 3/201540661 20/4/2015 STORY FR31/12/2045 JEROMINE1997/0057 NOUE 9123 00303 SNC Elariseuro 5/20006599 26/7/2000 JEROMINE FR31/12/2030 7/3/2020 Pàgina 29 de 98
  • 30.
    DenominacióNº Exp. Nomcomercial Codi / Titular Butlletí Nº POV Inici Protecció Fi Referència Obtentor / Malus domestica Borkh. JM71998/0399 jm7 02050 National Institute of Fruit Tree Scieuro 6/200516279 10/10/2005 JP31/12/2035 JOGLO2007/1404 br 26-7 05916 Joburn Aurora (NZ) Ltdeuro 1/201333812 19/11/2012 NZ31/12/2042 JOKO2011/2656 amd-55-29-21 07468 PURE HORTICULTURAL RESEeuro 6/201233578 8/10/2012 LV31/12/2042 JONAGOLD-BOEREKAMP1995/0395 jonagold-boerekamp 00100 Boerekamp & Bokkemseuro116 1/19982578 20/11/1997 NL1/3/2023 JONAGORED SUPRA1996/0200 00298 Jomobel N. V. - Morren-de Costeeuro 5/20006593 26/7/2000 BE31/12/2030 KARNEVAL2010/1213 ueb 3741/1 00700 Institut Für Experimentelle Botanieuro 3/201129620 18/4/2011 CZ31/12/2041 KERAMERE2012/0552 keramere 06934/00689 IFPC / INRAeuro 3/201540346 7/4/2015 FR31/12/2045 KIZURI2014/3424 33/1/77 04627 Better3Fruit NVeuro 3/201951726 11/3/2019 BE31/12/2049 LA FLAMBOYANTE2003/0963 flamba 04240 Station Federale de Recherche eeuro 5/200516110 17/8/2005 CH31/12/2035 LADINA2014/0115 acw14959 07560 AGROSCOPE CHANGINS-WADeuro 2/201745412 6/2/2017 CH31/12/2047 LAFAYETTE2010/2774 fn3505-526 00751 Purdue Research Foundationeuro 4/201438455 16/6/2014 US31/12/2044 LAMBADA2017/2542 ueb 4181/1 00700 Institut Für Experimentelle Botanieuro 4/201849213 7/5/2018 CZ31/12/2048 LAST MINUTE1995/1099 p22 00765/01055 Shrama - Willemseuro116 1/19971300 15/10/1996 NL1/11/2021 LESPIN2016/0601 lespin 00689 INRA-Institut National de la Recheuro 3/201952338 15/4/2019 FR31/12/2049 LIGOLINA2011/0023 xix-133-d1 07220 INSTYTUT OGRODNICTWA (INeuro 2/201231389 23/1/2012 PL31/12/2042 LILAC2017/2544 ueb 4272/3 00700 Institut Für Experimentelle Botanieuro 2/201951496 25/2/2019 CZ31/12/2049 LIZZY1995/1098 p16 00303 SNC Elariseuro116 1/19971299 15/10/1996 FR1/11/2023 LOCHBUIE RED BRAEBURN1995/2080 turners red 00227 Fipia New Zealand Ltdeuro116 1/200412026 10/11/2003 BRAEBURN LOCHBUIE NZ1/1/2034 LOUTERWATER GRANNY SMITH 2004/0286 louterwater granny smith 04559 Louterwater Landgoedeuro 3/200924822 20/4/2009 ZA31/12/2039 LUCY2016/2400 ueb i-181/3 00700 Institut Für Experimentelle Botanieuro 3/201745802 20/3/2017 CZ31/12/2047 LUMAGA2013/2375 lumaga 08194 Fruture GMBHeuro 2/201951279 11/2/2019 DE31/12/2049 LUNA2003/1436 ueb 3375/2 00700 Institut Für Experimentelle Botanieuro 3/200822063 7/4/2008 LUNA CZ31/12/2038 LUREFRESH2009/1272 lub a26/05 05369 Lubera AGeuro 5/201438462 7/7/2014 CH31/12/2044 LUREGUST2013/2374 luregust 08194 Fruture GMBHeuro 2/201951278 11/2/2019 DE31/12/2049 LUREPREC2009/1271 lub a09/05 05369 Lubera AGeuro 5/201438461 7/7/2014 CH31/12/2044 LURESWEET2013/2376 luresweet 08194 Fruture GMBHeuro 2/201848401 19/2/2018 DE31/12/2048 MAGENTA2017/2545 ueb 4272/1 00700 Institut Für Experimentelle Botanieuro 2/2019514967 25/2/2019 CZ31/12/2049 7/3/2020 Pàgina 30 de 98
  • 31.
    DenominacióNº Exp. Nomcomercial Codi / Titular Butlletí Nº POV Inici Protecció Fi Referència Obtentor / Malus domestica Borkh. MAJESTY2012/0807 yx4 00127 Consorzio Italiano Vivaistieuro 2/201745351 6/2/2017 IT31/12/2047 MAKALI2014/3423 20/32/200 04627 Better3Fruit NVeuro 3/201951725 11/3/2019 BE31/12/2049 MARIBELLE2007/0526 riky 2000 08032 PEREMA SARLeuro 3/201129530 18/4/2011 LU31/12/2041 MARIELLA2016/2900 acw 6375 07560 AGROSCOPE CHANGINS-WADeuro 4/201747067 6/6/2017 CH31/12/2047 MARIRI RED1995/2150 MR1 00227 Fipia New Zealand Ltdeuro 4/20017796 11/6/2001 APORO* (EVE) NZ31/12/2031 MC 382009/0354 mc 38 04945 KIKU SRL-GMBHeuro 3/201334832 22/4/2013 IT31/12/2043 MC DONALD APPLE2006/0452 mc donald apple 05364 MIKE ARGOeuro 3/201027257 19/4/2010 MC DONALD GALA US31/12/2040 MERKUR2010/2688 ueb 3531/3 00700 Institut Für Experimentelle Botanieuro 2/201231549 20/2/2012 CZ31/12/2042 MILWA2002/1811 faw 5878 02600 Eidg. Forschunganstalt für Obs-euro 2/200616779 30/1/2006 MILWA CH31/12/2036 MINNEISKA2009/0820 mn 1914 01528 Regents of the University of Minneuro 4/201438454 16/6/2014 US31/12/2044 MINNEWASHTA2001/1152 mn 1824 01528 Regents of the University of Minneuro 2/200617001 27/2/2006 US31/12/2036 MONALISA2016/1040 monalisa 03483 Epagrieuro 3/201952340 15/4/2019 BR31/12/2049 MOONLIGHT FL 3727 42005/1156 ueb 3727/4 04595 Henri Fleuren B.V.euro 2/201026759 22/2/2010 NL31/12/2040 MORED2009/0473 red toro 04639 Cultura Jean Moors Bvbaeuro 4/201438308 16/6/2014 BE31/12/2044 MOUNTAIN COVE1995/1212 00309 Adams County Nursery Inceuro116 2/19971639 15/1/1997 GINGER GOLD US1/11/2023 NC12010/0592 06940 John RolandBreacheuro 3/201540330 7/4/2015 UK31/12/2045 NC22013/2626 nc2 06940 John RolandBreacheuro 4/201746302 10/5/2017 UK31/12/2047 NC32015/0335 nc3 06940 John RolandBreacheuro 4/201849208 7/5/2018 UK31/12/2048 NEVSON1999/0702 PB 135 02103 Nevis fruit companyeuro 6/200413610 27/9/2004 NZ31/12/2034 NICOGREEN2000/1222 greenstar 04627 Better3Fruit NVeuro 4/200413323 21/6/2004 BE31/12/2034 NICOTER2001/0757 nicoter 04627 Better3Fruit NVeuro 4/200515369 10/5/2005 BE31/12/2035 NUBIA2017/2712 ueb 3494/2 00700 Institut Für Experimentelle Botanieuro 2/201951499 25/2/2019 CZ31/12/2049 ORION2005/0309 ueb 2718/1 04283 Institute of Experimental Botanyeuro 2/200616764 30/1/2006 CZ31/12/2036 P672012/1107 nr 528 07220 INSTYTUT OGRODNICTWA (INeuro 3/201540350 7/4/2015 PL31/12/2045 PIA ALMA2017/1295 pia 26 06760 Julius Kühn Instituteuro 4/201849212 7/5/2018 DE31/12/2048 PIDI2004/0326 hl 75-26-18 04564 Forschungs institut fur Obstbau ueuro 2/200616757 30/1/2006 CZ31/12/2036 PINOVA1995/1072 pinova 02625 Sächsische Landesanstalt für Laeuro116 1/19971298 15/10/1996 CORAIL* DE1/10/2022 7/3/2020 Pàgina 31 de 98
  • 32.
    DenominacióNº Exp. Nomcomercial Codi / Titular Butlletí Nº POV Inici Protecció Fi Referència Obtentor / Malus domestica Borkh. PIRELLA1997/0973 pirella 06760 Julius Kühn Instituteuro 4/19983127 2/6/1998 DE31/12/2028 PLFOG992009/1142 pink belle 06690/06691 Terry Fogliani/Dianne Foglianieuro 1/201436492 18/11/2013 AU31/12/2043 PLUMAC2014/0013 kotabaru 03989/09155 Plunkett Geoffrey/euro 5/201849918 2/7/2018 NZ31/12/2048 POMFORYOU2003/0332 ak 52-38-95 00672 Forschungsanstalt Geisenheimeuro 2/200616768 30/1/2006 DE31/12/2036 POMPINK2002/0182 ak 49-191-95 00672 Forschungsanstalt Geisenheimeuro 2/200514654 7/2/2005 DE31/12/2035 PREMA1472014/0218 a022 r24 t147 05582 Prevar Ltdeuro 4/201746303 10/5/2017 NZ31/12/2047 PREMA1532012/1590 a022 r14 t153 05582 Prevar Ltdeuro 3/201540352 7/4/2015 NZ31/12/2045 PREMA172011/0025 a160 r02 t017 05582 Prevar Ltdeuro 3/201437727 22/4/2014 NZ31/12/2044 PREMA2802007/1280 a020 r04 t280 05582 Prevar Ltdeuro 2/201333811 18/2/2013 NZ31/12/2043 PREMA342016/1088 a180 r23 t034 05582 Prevar Ltdeuro 1/201744937 21/11/2016 NZ31/12/2046 PREMA962011/1499 a115 r02 t096 05582 Prevar Ltdeuro 4/201541124 8/6/2015 NZ31/12/2045 PRIMIERA1998/1513 pri 2750-1 co-op42) 01869 ALMA MATER STUDIORUM-UNIeuro 6/200210185 21/10/2002 IT31/12/2032 R2012016/1039 r201 05528 GIE I.F.O.euro 3/201952339 15/4/2019 FR31/12/2049 RAFZUBEX1997/0340 RAFZUBEX 01644 Promo Fruit Ag.euro 4/20029320 6/5/2002 RUBINETTE* ROSSO CH31/12/2032 RAJKA1998/0304 ueb2269/10 00700 Institut Für Experimentelle Botanieuro 2/20028880 18/2/2002 CZ31/12/2032 RAXINA 1220014337 rf8912 ES903 Principado de Asturias - Con. Agresp 1-2019002864 5/2/2019 ES31/12/2049 RAXINA 1620014338 rf8916 ES903 Principado de Asturias - Con. Agresp 1-2019002865 5/2/2019 ES31/12/2049 RAXINA 3020014339 rf8930 ES903 Principado de Asturias - Con. Agresp 1-2019002866 5/2/2019 ES31/12/2049 RAXINA 820014336 rf8908 ES903 Principado de Asturias - Con. Agresp 1-2019002867 5/2/2019 ES31/12/2049 REA GOLD2017/1294 rea 4 06760 Julius Kühn Instituteuro 2/201951281 11/2/2019 DE31/12/2049 REA JUICE2017/0788 rea juice 06760 Julius Kühn Instituteuro 6/201747663 25/9/2017 DE31/12/2047 REBELLA2002/0259 rebella 01848 Bundesanstalt für Züchtungsforsceuro 6/200210198 21/10/2002 DE31/12/2032 RECOLOR2010/2638 recolor 06760 Julius Kühn Instituteuro 30384 6/6/2011 DE31/12/2041 RED FALSTAFF1998/1108 red falstaff 00051 Plant Breeding International Cameuro 3/19994251 6/4/1999 UK31/12/2029 RED IDARED1996/0895 tf 806 02644 Inter Plant Patent Marketing Inc.euro 3/200610227 27/3/2006 RED IDARED CA31/12/2036 RED JONAPRINCE1995/0393 p1 01708 Wilton Weert BVeuro 1/20005555 6/12/1999 NL31/12/2029 RED TOPAZ2001/0082 topaz v 03276 Malus Bunda Gesellschaft zur Föeuro 2/200617000 27/2/2006 DE31/12/2036 7/3/2020 Pàgina 32 de 98
  • 33.
    DenominacióNº Exp. Nomcomercial Codi / Titular Butlletí Nº POV Inici Protecció Fi Referència Obtentor / Malus domestica Borkh. REDKAN2003/0262 redkan 03209 Gaec le Petit Pepinieristeeuro 3/200822061 21/4/2008 FR31/12/2038 REDLANE2005/1160 ueb 3290/1 04595 Henri Fleuren B.V.euro 3/201026965 22/3/2010 NL31/12/2040 REDSPRING2011/1828 ueb 3810/1 00700 Institut Für Experimentelle Botanieuro 2/201334099 4/2/2013 CZ31/12/2043 REDSTAR1998/0568 els 16 arb4 00303 SNC Elariseuro 6/200210180 21/10/2002 REDSTAR FR31/12/2032 REGALSTAR2012/2710 03.3e.194pom - asf0810 04628 SARL Agro Selection Fruitseuro 4/201746300 10/5/2017 FR31/12/2047 REGALYOU2012/0751 03.29e.43pom - asf 0720 04628 SARL Agro Selection Fruitseuro 4/201643516 10/5/2016 FR31/12/2046 REKARDA2010/2639 rekarda 06760 Julius Kühn Instituteuro 4/201130385 6/6/2011 DE31/12/2041 RESI1998/1852 resi 01848 Bundesanstalt für Züchtungsforsceuro 4/19994696 21/6/1999 DE31/12/2029 RGLORS2008/0297 06172 Sicieta Agricola Mazzonieuro 5/201335893 29/7/2013 IT31/12/2043 RHAPSODIE2005/0752 ueb 3451/2 00346 Gevo Pflanzenvertrieb Gmbheuro 2/200924082 23/2/2009 DE31/12/2039 RM-12014/1857 rm-1 09014 RED MOON GMBHeuro 4/201952914 17/6/2019 IT31/12/2049 RNA 03042008/0818 rna 0304 03017 NV GEEFAeuro 4/201335205 6/5/2013 BE31/12/2043 RNA98422002/1430 rna9842 03017/03983 NV GEEFA - Nodop Clauseuro 4/200720093 21/5/2007 BE31/12/2037 ROELSTAR1997/1334 e.r. 97-0034 01918 Roelse Weuro 1/200412031 10/11/2003 NL1/1/2034 ROHO 36152001/1441 08044 HOFMANN SORTENSCHUTZ Geuro 3/200617112 27/3/2006 DE31/12/2036 ROMANCE2008/2980 ueb 2856/1 00700 Institut Für Experimentelle Botanieuro 4/201438114 19/5/2014 CZ31/12/2044 RONDO2005/0753 ueb 3449/1 00346 Gevo Pflanzenvertrieb Gmbheuro 2/200924083 23/2/2009 DE31/12/2039 ROSY GLOW2000/1727 rosy glow 10491 GRAHAM’S FACTREE PTY LTDeuro 5/200618127 17/7/2006 ROSY GLOW AU31/12/2036 ROUGELE2016/0448 venob 09073 VERNOGE S.A.R.L.euro 4/201849210 7/5/2018 FR31/12/2048 ROYAL BRAEBURN1998/1082 royal braeburn 02270 The François Family Trusteuro 6/200311960 21/10/2003 ROYAL BRAEBURN NZ31/12/2033 ROZELA2007/2201 ueb 3322/5 00700 Institut Für Experimentelle Botanieuro 4/200822308 5/5/2008 CZ31/12/2038 RUBELIT2016/2395 ueb i-20/1 00700 Institut Für Experimentelle Botanieuro 3/201745798 20/3/2017 CZ31/12/2047 RUBINOLA1995/2928 RUBINOLA 00700 Institut Für Experimentelle Botanieuro 3/20005824 6/3/2000 CZ31/12/2030 RUBINSTEP1999/1871 rubinstep 03051 RESEARCH AND BREEDING INeuro 3/200514915 21/3/2005 CZ31/12/2035 RUCLA2008/1712 hl 251 04564 Forschungs institut fur Obstbau ueuro 2/200924091 23/2/2009 CZ31/12/2039 RUMBA2017/2543 ueb 4305/4 00700 Institut Für Experimentelle Botanieuro 4/201449214 7/5/2018 CZ31/12/2048 SAIRELINE2013/0731 x5253 00689/06934 INRA / IFPCeuro 4/201643517 10/5/2016 FR31/12/2046 7/3/2020 Pàgina 33 de 98
  • 34.
    DenominacióNº Exp. Nomcomercial Codi / Titular Butlletí Nº POV Inici Protecció Fi Referència Obtentor / Malus domestica Borkh. SANDER2016/3292 sander 09366/09365 S. NOWAKOWSKI/A. NOWAKOeuro 4/201747069 6/6/2017 PL31/12/2047 SANTANA1996/0435 cpo 78038-9 06983 Stichting Dienst Landbouwkundigeuro 6/19963745 2/8/1996 NL31/12/2028 SCIEARLY1997/0604 GS 494 00915 The Horticulture & Food Researceuro 4/20017798 11/6/2001 NZ31/12/2031 SCIFRESH2001/0330 A20R2T273 02830 The Horticulture & Food Res. Int.euro 6/200516188 12/9/2005 JAZZ NZ31/12/2035 SCILATE2007/0546 a022r29t022 00915 The Horticulture & Food Researceuro 1/201333809 19/11/2012 NZ31/12/2042 SCIRED1996/0772 gs 58 00915 The Horticulture & Food Researceuro 5/20006605 26/7/2000 NZ31/12/2030 SCIROS1996/0117 gs2085 00915 The Horticulture & Food Researceuro 5/20006607 26/7/2000 NZ31/12/2025 SEKZIE2008/0512 lady in red 07043 Sunglo Varieties Ltd.euro 4/201541348 22/6/2015 NZ31/12/2045 SHALIMAR2008/2982 ueb 3374/2 00700 Institut Für Experimentelle Botanieuro 4/200925472 22/6/2009 CZ31/12/2039 SIMMONS1999/0999 simmons 02670 International Plant Management Ieuro 1/200412034 10/11/2003 BUCKEYE* GALA US1/1/2034 SINFONIA2012/2804 yx-2 00127 Consorzio Italiano Vivaistieuro 2/201745352 6/2/2017 IT31/12/2047 SIRIUS2005/0311 ueb 3177/1 00700 Institut Für Experimentelle Botanieuro 5/200720805 24/8/2007 CZ31/12/2037 SJCA38R6A742014/2345 sjca38r6a74 07886 MINISTER OF AGRICULTURE Aeuro 4/201952781 20/5/2019 CA31/12/2049 SMERALDA2011/1880 a7b9-119 00127 Consorzio Italiano Vivaistieuro 6/201644847 17/10/2016 IT31/12/2046 SOLARIS2008/0476 ueb 3369/4 00700 Institut Für Experimentelle Botanieuro 3/201334437 18/3/2013 CZ31/12/2043 SONATE2005/0751 ueb 3467/1 00346 Gevo Pflanzenvertrieb Gmbheuro 2/200924081 23/2/2009 DE31/12/2039 SOPRANO2016/1391 soprano 00303/00689 SNC Elaris / Florida Foundationeuro 5/201953082 1/7/2019 FR31/12/2049 SQ 1332008/0690 pri 1990-045-133 06983 Stichting Dienst Landbouwkundigeuro 4/201438356 16/6/2014 NL31/12/2044 SQ 1592009/1220 pri 1990-022-159 06983 Stichting Dienst Landbouwkundigeuro 3/201437718 22/4/2014 NL31/12/2044 SUMMERFREE1998/0880 summerfree 01758 Istituto Sperimentale per la Fruttieuro 6/200210183 21/10/2002 IT21/10/2032 SWEET STONE2012/2510 zg 2002 01474 Vivai Fratelle Zanzi di Carlo Zanzieuro 4/201747073 19/6/2017 IT31/12/2047 TOPAZ1995/1206 topas 00700 Institut Für Experimentelle Botanieuro 4/19982777 4/5/1998 TOPAZ CZ31/12/2028 TRAMIN2015/1325 tramin 03209 Gaec le Petit Pepinieristeeuro 2/201951280 11/2/2019 FR31/12/2049 TRELADINE2012/0553 treladine 06934/00689 IFPC / INRAeuro 3/201540347 7/4/2015 FR31/12/2045 TUNDA2005/2292 21/2/252 04627 Better3Fruit NVeuro 3/201027240 19/4/2010 BE31/12/2040 UEB 1122016/2397 ueb i-11/2 00700 Institut Für Experimentelle Botanieuro 3/201745799 20/3/2017 CZ31/12/2047 UEB 18512016/2399 ueb i-185/1 00700 Institut Für Experimentelle Botanieuro 3/201745801 20/3/2017 CZ31/12/2047 7/3/2020 Pàgina 34 de 98
  • 35.
    DenominacióNº Exp. Nomcomercial Codi / Titular Butlletí Nº POV Inici Protecció Fi Referència Obtentor / Malus domestica Borkh. UEB 326422005/0310 ueb 3264/2 00700 Institut Für Experimentelle Botanieuro 2/200616749 30/1/2006 OPAL CZ31/12/2036 UEB 3366 12009/0012 ueb-3366/1 04595 Henri Fleuren B.V.euro 2/201436794 10/2/2014 NL31/12/2044 UEB 4812016/2398 ueb i-48/1 00700 Institut Für Experimentelle Botanieuro 3/201745800 20/3/2017 CZ31/12/2047 UEB 65812016/2396 ueb i-658/1 00700 Institut Für Experimentelle Botanieuro 2/201848317 5/2/2018 CZ31/12/2048 UEB260022005/0750 mars (ueb 2600/2) 00346 Gevo Pflanzenvertrieb Gmbheuro 2/200924080 23/2/2009 DE31/12/2039 VALTOD2005/0626 valtod 04945 KIKU SRL-GMBHeuro 6/201233400 10/9/2012 REDCAP IT31/12/2042 VERDERO2009/1701 decosta-mutant 00267/06235/06757/0 Hendrick Josef de Coster -euro 3/201437719 22/4/2014 BE31/12/2044 VERMUEL2008/0716 mutant zweeren 06234/06235 WILLEM FREDERIK ZWEEREN/euro 4/201437906 5/5/2014 NL31/12/2044 WA 22014/1979 wsu 2 08504 WASHINGTON SATE UNIVERSIeuro 5/201849923 2/7/2018 US31/12/2048 WESTERN DAWN2008/1590 23/74 03971 State of Western Australiaeuro 4/201438358 16/6/2014 AU31/12/2044 WILTONS STAR2002/1542 aw 2001 07661 PRINCE INTERNATIONAL S.A.Reuro 6/200618578 23/10/2006 LU31/12/2036 WUR372011/0193 pri 1993-018-037 06983 Stichting Dienst Landbouwkundigeuro 3/201540337 7/4/2015 NL31/12/2045 X95892015/0857 x9589 06221 Benoit Escande Edition SARLeuro 4/201952915 17/6/2019 FR31/12/2049 XELEVEN2014/1858 x9596 09014 RED MOON GMBHeuro 4/201849409 7/5/2018 IT31/12/2048 ZARI2005/2293 1/1/174 04627 Better3Fruit NVeuro 3/201027241 19/4/2010 BE31/12/2040 ZONGA2005/2291 7/5/251 04627 Better3Fruit NVeuro 3/201027239 19/4/2010 BE31/12/2040 Especie Malus Mill. DenominacióNº Exp. Nom comercial Codi / Titular Butlletí Nº POV Inici Protecció Fi Referència Obtentor / POMERA CIVP212013/3139 pj-p21 00127 Consorzio Italiano Vivaistieuro 3/201951723 11/3/2019 IT31/12/2049 G 112003/1135 786r5-011 02540 Cornell Research Foundationeuro 4/200720406 18/6/2007 US31/12/2037 G 2022007/2592 g.202 02540/08093 Cornell Research/USDAeuro 5/201335892 29/7/2013 US31/12/2043 G 412009/0903 g.41 02540/06085 Cornell Research - Boomkwekerijeuro 6/201438869 8/9/2014 US31/12/2044 G.9352010/1835 g.935 02540/06085 Cornell Research - Boomkwekerijeuro 6/201541597 21/9/2015 US31/12/2045 M 1162005/2055 ar4 86-1-25 09154 NIAB EMReuro 5/201130555 25/7/2011 UK31/12/2041 PI 801995/2090 01706/00758 P. Demol - SNC Elariseuro 1/19971292 15/10/1996 SUPPORTER 4 FR31/12/2026 PURE 12011/2731 pure 1 07468 PURE HORTICULTURAL RESEeuro 6/201233541 8/10/2012 LV31/12/2042 ROSALIE2011/1829 ueb 3459/1 00700 Institut Für Experimentelle Botanieuro 4/201335515 3/6/2013 CZ31/12/2043 TOTEM2001/0824 sa572-2 04662/00011 East Mallin Researh /euro 1/20028484 19/11/2001 UK31/12/2031 7/3/2020 Pàgina 35 de 98
  • 36.
    DenominacióNº Exp. Nomcomercial Codi / Titular Butlletí Nº POV Inici Protecció Fi Referència Obtentor / Malus sieboldii (Regel) Rehd. Especie Malus sieboldii (Regel) Rehd. DenominacióNº Exp. Nom comercial Codi / Titular Butlletí Nº POV Inici Protecció Fi Referència Obtentor / POMERA ORNAMENTAL AROS2014/1866 malus224krj 08494 ARNE R. JENSENS PLANTESKeuro 4/201746773 6/6/2017 DK31/12/2047 FREJA1998/1204 freja 02322 OLE BONSDORFeuro 6/20018176 10/9/2001 DK31/12/2026 Especie Malus toringo (Siebold) de Vriese DenominacióNº Exp. Nom comercial Codi / Titular Butlletí Nº POV Inici Protecció Fi Referència Obtentor / POMERA ORNAMENTAL EP MALMA2015/1938 maskerad 03700 E-PLANTA EKONOMISK FORENeuro 3/201848578 19/3/2018 SE31/12/2048 Especie Mangifera indica L. DenominacióNº Exp. Nom comercial Codi / Titular Butlletí Nº POV Inici Protecció Fi Referència Obtentor / AGAM2011/0665 110/49 01306 Agricultural Research Organisatioeuro 6/201438871 8/9/2014 IL31/12/2044 KING DAVID2017/1513 bd-88/31 01306 Agricultural Research Organisatioeuro 2/201951048 28/1/2019 IL31/12/2049 MIRYAM HAIM2009/1525 miryam haim 06729 Samuel Vashdieuro 6/201438870 8/9/2014 IL31/12/2044 NOA2011/0666 109/136 01306 Agricultural Research Organisatioeuro 6/201438872 8/9/2014 IL31/12/2044 OMER2011/0667 34/83 01306 Agricultural Research Organisatioeuro 6/201438873 8/9/2014 IL31/12/2044 ORLI2012/1890 105/142 01306 Agricultural Research Organisatioeuro 6/201438874 8/9/2014 IL31/12/2044 R10 82015/0348 r10/8 08706 Kenneth Raynereuro 2/201642353 25/1/2016 AU31/12/2046 RA 172015/0347 ra/17 08706 Kenneth Raynereuro 2/201642352 25/1/2016 AU31/12/2046 SHELLY2006/0660 shelly (14/63) 04679/01306 Plants Production/ Agricultural Reuro 6/200721160 22/10/2007 IL31/12/2037 TALI2012/1891 40/45 01306 Agricultural Research Organisatioeuro 6/201438875 8/9/2014 IL31/12/2044 TANGO2017/1512 bd-3/79 01306 Agricultural Research Organisatioeuro 2/201951047 28/1/2019 IL31/12/2049 Especie Musa acuminata Colla DenominacióNº Exp. Nom comercial Codi / Titular Butlletí Nº POV Inici Protecció Fi Referència Obtentor / BANANER ADI2009/0344 rm22/44-1 06578 Rahan Meristem (1998) Ltd.euro 6/201438913 22/9/2014 IL31/12/2044 FLHORBAN 9242011/1787 flhorban 924 03112 CIRADeuro 4/201952565 6/5/2019 FR31/12/2049 FLHORBAN 9252011/1788 flhorban 925 03112 CIRADeuro 4/201952566 6/5/2019 FR31/12/2049 FLHORBAN9162002/0537 flhor916 03112 CIRADeuro 5/200413753 19/7/2004 FR31/12/2034 FLHORBAN9172002/0538 03112 CIRADeuro 5/200413754 19/7/2004 FR31/12/2034 FLHORBAN9182002/0539 03112 CIRADeuro 5/200413755 19/7/2004 FR31/12/2034 FLHORBAN9192002/0540 03112 CIRADeuro 5/200413756 19/7/2004 FR31/12/2034 7/3/2020 Pàgina 36 de 98
  • 37.
    DenominacióNº Exp. Nomcomercial Codi / Titular Butlletí Nº POV Inici Protecció Fi Referència Obtentor / Musa acuminata Colla FLHORBAN9202002/0541 03112 CIRADeuro 5/200413757 19/7/2004 FR31/12/2034 FLHORBAN9212002/0542 03112 CIRADeuro 5/200413758 19/7/2004 FR31/12/2034 Especie Olea europaea L. DenominacióNº Exp. Nom comercial Codi / Titular Butlletí Nº POV Inici Protecció Fi Referència Obtentor / OLIVERA ASKAL2010/0360 askal 01306 Agricultural Research Organisatioeuro 3/201642690 7/3/2016 IL31/12/2046 BITSYOAC2012/1585 oac 22 03862 AGROMILLORA CATALANA SLeuro 3/201952158 28/3/2019 ES31/12/2049 SIKITITA2007/1040 uc-8-7 05851/05854 Univ. Córdoba - IFAPAeuro 3/200924380 23/3/2009 CHIQUITITA ES31/12/2039 TALAYOTICA20084839 talayotica ES940 Lorenzo Mestre Mayolesp BOE98002685 25/4/2015 ES31/12/2044 VAS ONE2008/0715 ita-01-08 06230 Vivai Attilo Sonnoli SASeuro 2/201539504 9/2/2015 VAS ONE IT31/12/2045 VILAFRANCA DE BONANY20074739 bonany ES940 Lorenzo Mestre Mayolesp 1-2017002762 16/1/2017 ES31/12/2047 Especie Paulownia elongata S. Y. Hu DenominacióNº Exp. Nom comercial Codi / Titular Butlletí Nº POV Inici Protecció Fi Referència Obtentor / PAULOWNIA COTEVISA 12007/1678 cotevisa 1 09134 INVERSIONES DE CAPITAL 200euro 3/201231619 5/3/2012 ES31/12/2042 Especie Paulownia elongata S. Y. Hu x Paulownia fortunei (Seem.) Hemsl. DenominacióNº Exp. Nom comercial Codi / Titular Butlletí Nº POV Inici Protecció Fi Referència Obtentor / PAULOWNIA "PHOENIX ONE"2012/2516 phoenix ntp-1 08783 WEGROW GMBHeuro 3/201539980 23/3/2015 DE31/12/2045 COTEVISA 22007/1679 cotevisa 2 09134 INVERSIONES DE CAPITAL 200euro 3/201231620 5/3/2012 ES31/12/2042 Especie Paulownia fortunei (Seem.) Hemsl. x Paulownia tomentosa (Thunb.) Steud. DenominacióNº Exp. Nom comercial Codi / Titular Butlletí Nº POV Inici Protecció Fi Referència Obtentor / PAULOWNIA WALLACHIA2013/1097 cfi 08172 LUCIE SMIDOVAeuro 3/201642852 21/3/2016 IE31/12/2046 Especie Persea americana DenominacióNº Exp. Nom comercial Codi / Titular Butlletí Nº POV Inici Protecció Fi Referència Obtentor / ALVOCAT MENDEZ NO 12005/0925 05097 CARLOS MENDEZ VEGAeuro 1/201642015 23/11/2015 MX31/12/2045 STEDDOM2012/1978 pp24 00345 The Regents of the University ofeuro 3/201952160 28/3/2019 US31/12/2049 UC 32952003/0803 3-29-5 00345 The Regents of the University ofeuro 6/201953393 2/9/2019 US31/12/2049 UZI2012/1977 pp14 00345 The Regents of the University ofeuro 3/201952159 28/3/2019 US31/12/2049 ZENTMYER2012/1979 pp4 00345 The Regents of the University ofeuro 3/201952161 28/3/2019 US31/12/2049 7/3/2020 Pàgina 37 de 98
  • 38.
    DenominacióNº Exp. Nomcomercial Codi / Titular Butlletí Nº POV Inici Protecció Fi Referència Obtentor / Pinus L. Especie Pinus L. DenominacióNº Exp. Nom comercial Codi / Titular Butlletí Nº POV Inici Protecció Fi Referència Obtentor / PI GAELLE BREGEON1995/2421 N.V.T. 06148/06149/06150 Gaelle, Aurelie, Pierrick Bregeoneuro 1/19971231 15/10/1996 CH15/10/2026 HÉLENE BREGEON1999/0871 gru pi9901 06148/06149/06150 Gaelle, Aurelie, Pierrick Bregeoneuro 3/200310976 28/4/2003 CH28/4/2033 MARIE BREGEON2000/0471 marie bregeon 06148/06149/06150 Gaelle, Aurelie, Pierrick Bregeoneuro 6/20017859 8/10/2001 CH31/12/2031 PIERRICK BREGEON1995/1094 06148/06149/06150 Gaelle, Aurelie, Pierrick Bregeoneuro116 1/19971230 15/10/1996 CH1/9/2022 Especie Pinus nigra Arnold DenominacióNº Exp. Nom comercial Codi / Titular Butlletí Nº POV Inici Protecció Fi Referència Obtentor / PI NEGRE ARON2017/2366 aron 09641 GABOR NEMETHeuro 6/201850089 10/9/2018 HU31/12/2048 JOLEP 22014/3285 08438 BOOMKWEKERIJ JOHN DE LEeuro 5/201953078 1/7/2019 NL31/12/2049 Especie Populus × woobstii (R. I. Schröd. ex Regel) Dode DenominacióNº Exp. Nom comercial Codi / Titular Butlletí Nº POV Inici Protecció Fi Referència Obtentor / POLLANCRE AUCE2014/2267 p0114 07979 LATVIAN STATE FOREST RESeuro 6/201850250 1/10/2018 LV31/12/2048 Especie Populus deltoides W. Bartam. ex Marshall DenominacióNº Exp. Nom comercial Codi / Titular Butlletí Nº POV Inici Protecció Fi Referència Obtentor / POLLANCRE DELGAS2011/0492 gis-d1717 00689/05783/07244 INRA/euro 3/201334574 18/3/2013 FR31/12/2043 DELLINOIS2011/0491 gis-d1248 00689/05783/07244 INRA/euro 3/201334573 18/3/2013 FR31/12/2043 DELVIGNAC2011/0490 gis-d1226 00689/05783/07244 INRA/euro 3/201334572 18/3/2013 FR31/12/2043 OGLIO2009/0246 pe 66019 01979 Instituto di Sperimentazzione pereuro 4/201129841 10/5/2011 IT31/12/2041 PURPLE TOWER2008/2911 purple tower 03740 Kromhout B.V.euro 3/201232002 19/3/2012 NL31/12/2042 SAN LORENZO2010/2255 npu 07126 José Lorenzo García Férrizeuro 4/201335514 3/6/2013 ES31/12/2043 Especie Populus L. DenominacióNº Exp. Nom comercial Codi / Titular Butlletí Nº POV Inici Protecció Fi Referència Obtentor / POLLANCRE "VIGOR"2013/0513 6005 06564 E.U.R.L. 3C2Aeuro 3/201540682 20/4/2015 FR31/12/2045 A4A2002/1097 a4a 03141/03933/03934/0 Alasia, C/euro 3/200515077 18/4/2005 IT31/12/2035 AF22005/2687 af2 03141/03142/03144 Alasia, C/ Alasia, G/euro 4/200822655 19/5/2008 IT31/12/2038 AF82008/0138 03141/03142/03144 Alasia, C/ Alasia, G/euro 4/201027376 10/5/2010 IT31/12/2040 ALBELO2006/1911 4247 00745 Poloni Louiseuro 3/200924761 20/4/2009 FR31/12/2039 BAKAN2005/0035 ibw/9 00665 Eigen Vermogen - Institut voor Beuro 4/200720213 4/6/2007 BE31/12/2037 7/3/2020 Pàgina 38 de 98
  • 39.
    DenominacióNº Exp. Nomcomercial Codi / Titular Butlletí Nº POV Inici Protecció Fi Referència Obtentor / Populus L. BALDO2007/0422 cas 85-036 01979 Instituto di Sperimentazzione pereuro 4/200925211 18/5/2009 IT31/12/2039 BELLEBEEK2014/0324 inbo/2014/2 00665 Eigen Vermogen - Institut voor Beuro 6/201644785 17/10/2016 BE31/12/2046 BRENTA2001/0687 ita-101 01979 Instituto di Sperimentazzione pereuro 4/200413688 21/6/2004 IT31/12/2034 DANO2009/0274 528 06564 E.U.R.L. 3C2Aeuro 3/201129310 21/3/2011 FR31/12/2041 DEGROSSO2006/1910 3261 00745 Poloni Louiseuro 3/200924760 20/4/2009 FR31/12/2039 DENDER2014/0323 inbo/2014/1 00665 Eigen Vermogen - Institut voor Beuro 6/201644784 17/10/2016 BE31/12/2046 GARO2009/0272 508 06564 E.U.R.L. 3C2Aeuro 3/201129308 21/3/2011 FR31/12/2041 GRIMMINGE1999/1768 i.b.w./4 00665 Eigen Vermogen - Institut voor Beuro 3/20029262 15/4/2002 BE31/12/2032 HAZENDANS1995/3038 hazendans 00665 Eigen Vermogen - Institut voor Beuro 3/19982731 6/4/1998 BE31/12/2028 HEES1995/1589 00745 Poloni Louiseuro116 1/19971295 15/10/1996 FR1/11/2021 HOOGVORST1995/3037 hoogvorst 00665 Eigen Vermogen - Institut voor Beuro 3/19994289 6/4/1999 BE31/12/2024 KOSTER1995/1587 00745 Poloni Louiseuro116 1/19971293 15/10/1996 FR1/11/2021 LENA1998/1454 r89 01979 Instituto di Sperimentazzione pereuro 4/20017866 25/6/2001 IT31/12/2031 LUDO2009/0273 518 06564 E.U.R.L. 3C2Aeuro 3/201129309 21/3/2011 FR31/12/2041 MARKE2014/0325 inbo/2014/3 00665 Eigen Vermogen - Institut voor Beuro 6/201644786 17/10/2016 BE31/12/2046 MELLA2001/0688 ita-146 01979 Instituto di Sperimentazzione pereuro 4/200413689 21/6/2004 IT31/12/2034 MUUR1999/1769 i.b.w./5 00665 Eigen Vermogen - Institut voor Beuro 3/20029263 15/4/2002 BE31/12/2032 OUDENBERG1999/1770 i.b.w./6 00665 Eigen Vermogen - Institut voor Beuro 3/20029264 15/4/2002 BE31/12/2032 POLARGO2006/1912 6187 00745 Poloni Louiseuro 3/200924762 20/4/2009 FR31/12/2039 RONA2009/0275 538 06564 E.U.R.L. 3C2Aeuro 3/201129311 21/3/2011 FR31/12/2041 SANOSOL2006/1913 10653 00745 Poloni Louiseuro 3/200924763 20/4/2009 FR31/12/2039 SKADO2005/0036 ibw/10 00665 Eigen Vermogen - Institut voor Beuro 4/200720215 4/6/2007 BE31/12/2037 SOLIGO2001/0690 80-017 01979 Instituto di Sperimentazzione pereuro 4/200413691 21/6/2004 IT31/12/2034 TARO2001/0691 82-017 01979 Instituto di Sperimentazzione pereuro 4/200413692 21/6/2004 IT31/12/2034 VESTEN1999/1771 i.b.w./7 00665 Eigen Vermogen - Institut voor Beuro 3/20029265 15/4/2002 BE31/12/2032 Especie Populus x canadensis Moench (P. deltoides × P. nigra) DenominacióNº Exp. Nom comercial Codi / Titular Butlletí Nº POV Inici Protecció Fi Referència Obtentor / POLLANCRE "AGORA"2013/0462 605 06564 E.U.R.L. 3C2Aeuro 3/201540710 20/4/2015 FR31/12/2045 7/3/2020 Pàgina 39 de 98
  • 40.
    DenominacióNº Exp. Nomcomercial Codi / Titular Butlletí Nº POV Inici Protecció Fi Referència Obtentor / Populus x canadensis Moench (P. deltoides × P. nigra) "KELAOS"2013/0515 810 06564 E.U.R.L. 3C2Aeuro 3/201540216 7/4/2015 FR31/12/2045 "NIKOS"2013/0475 804 06564 E.U.R.L. 3C2Aeuro 3/201540214 7/4/2015 FR31/12/2045 "PALORN"2013/0465 610 06564 E.U.R.L. 3C2Aeuro 3/201540711 20/4/2015 FR31/12/2045 "QUANTA"2013/0516 706 06564 E.U.R.L. 3C2Aeuro 3/201540717 20/4/2015 FR31/12/2045 "SPRINT"2013/0478 803 06564 E.U.R.L. 3C2Aeuro 3/201540712 20/4/2015 FR31/12/2045 "TREPOLE"2013/0514 811 06564 E.U.R.L. 3C2Aeuro 3/201540716 20/4/2015 FR31/12/2045 "TURBO"2013/0476 808 06564 E.U.R.L. 3C2Aeuro 3/201540215 7/4/2015 FR31/12/2045 AF162013/0901 af16 03144/03140/03141 F. Alasia/O. Peretti/OMAR ALASIeuro 5/201644175 11/7/2016 IT31/12/2046 AF182013/0902 af18 03144/03140/03141 F. Alasia/O. Peretti/OMAR ALASIeuro 5/201644176 11/7/2016 IT31/12/2046 ALERAMO2012/0361 83.141.020 01979 Instituto di Sperimentazzione pereuro 5/201438492 7/7/2014 IT31/12/2044 DIVA2012/0360 83.002.031 01979 Instituto di Sperimentazzione pereuro 5/201438690 28/7/2014 IT31/12/2044 MOLETO2013/0495 83.190.012 06900 CONSIGLIO PER LA RICERCAeuro 3/201540714 20/4/2015 IT31/12/2045 MOMBELLO2013/0496 84.048.032 06900 CONSIGLIO PER LA RICERCAeuro 3/201540715 20/4/2015 IT31/12/2045 MONCALVO2013/0494 83.024.017 06900 CONSIGLIO PER LA RICERCAeuro 3/201540713 20/4/2015 IT31/12/2045 ORION2007/0423 83.148.041 01979 Instituto di Sperimentazzione pereuro 4/200925212 18/5/2009 IT31/12/2039 SENNA2014/0346 83.002.011 06900 CONSIGLIO PER LA RICERCAeuro 5/201644177 11/7/2016 IT31/12/2046 TUCANO2012/0362 84.260.003 01979 Instituto di Sperimentazzione pereuro 5/201438493 7/7/2014 IT31/12/2044 Especie Prunus × schmittii Rehder DenominacióNº Exp. Nom comercial Codi / Titular Butlletí Nº POV Inici Protecció Fi Referència Obtentor / GI 318172013/1855 gi 31817 00347 Consortium Deutscher Baumschueuro 2/201642315 25/1/2016 DE31/12/2046 Especie Prunus amigdalus x Prunus persica DenominacióNº Exp. Nom comercial Codi / Titular Butlletí Nº POV Inici Protecció Fi Referència Obtentor / HÍBRID PRESSXAMET ADARCIAS19933565 519 C.S.I.C.Tabesp BOE-69002094 21/3/2003 ADARCIAS ES21/3/2023 CARMELO20024398 ES922 Carmelo Bernal Palazonesp 1-2011002510 18/1/2011 ES31/12/2041 CORNERSTONE2014/1013 677rs 10200 WAWONA PACKING COMPANYeuro 4/201849162 7/5/2018 US31/12/2048 FELINEM2000/0793 felinem 02018/01826 DGA - INIAeuro 6/200516366 24/10/2005 FELINEM (GXN - 22) ES31/12/2035 GARNEM1998/0249 garnem 01826/02018 INIA - DGAeuro 6/200516363 24/10/2005 GARNEM ES31/12/2035 MONEGRO1998/0248 monegro 01826/02018 INIA - DGAeuro 6/200516362 24/10/2005 MONEGRO (GXN-9) ES31/12/2035 7/3/2020 Pàgina 40 de 98
  • 41.
    DenominacióNº Exp. Nomcomercial Codi / Titular Butlletí Nº POV Inici Protecció Fi Referència Obtentor / Prunus amigdalus x Prunus persica NANOPAC2008/0618 pac 0009-01 03862 AGROMILLORA CATALANA SLeuro 4/201438202 2/6/2014 ROOTPAC-40 ES31/12/2044 Especie Prunus armeniaca L. DenominacióNº Exp. Nom comercial Codi / Titular Butlletí Nº POV Inici Protecció Fi Referència Obtentor / ALBERCOQUER AL1192016/1670 al 1/1 9 03049 Minguzzi Angeloeuro 3/201952266 15/4/2019 IT31/12/2049 ALBALUZ2008/2078 alba luz 06204 Carmelo Bernal Palazóneuro 4/201232949 18/6/2012 ES31/12/2042 ALBASOL2008/0548 alba 06204 Carmelo Bernal Palazóneuro 4/201232943 18/6/2012 ES31/12/2042 ALMABAR20034526 1312431 ES1016 FRUTARIA COMERCIAL DE FResp 4-2012002550 28/6/2012 ES31/12/2042 ALMADULCE20074761 durabar ES1016 FRUTARIA COMERCIAL DE FResp 4-2012002551 28/6/2012 ES31/12/2042 ALMATER20034525 15108 ES1016 FRUTARIA COMERCIAL DE FResp BOE-23002503 18/1/2011 ALMATER ES31/12/2041 ANEGAT2011/0443 anegat 00689 INRA-Institut National de la Recheuro 1/201539320 18/12/2014 ANEGAT FR31/12/2044 APRIBANG2008/0593 03.16.01 ab - asf 0405(A99 R2 T39) 04628 SARL Agro Selection Fruitseuro 4/201232945 18/6/2012 FR31/12/2042 APRINEW2012/0748 02.11.19ab - asf0916 04628 SARL Agro Selection Fruitseuro 2/201642312 25/1/2016 APRINEW FR31/12/2046 APRIQUEEN2008/0592 03.16.41 ab - asf 0404 04628 SARL Agro Selection Fruitseuro 4/201232944 18/6/2012 FR31/12/2042 APRIREVE2013/3065 02.12.120ab - asf0905 04628 SARL Agro Selection Fruitseuro 3/201848945 23/4/2018 APRIREVE FR31/12/2048 APRIROME2008/0594 02.01.121 ab - asf 0406 04628 SARL Agro Selection Fruitseuro 4/201232946 18/6/2012 FR31/12/2042 APRISWEET2008/0595 03.16.43 ab - asf 0409 04628 SARL Agro Selection Fruitseuro 4/201232947 18/6/2012 FR31/12/2042 ASFCOT02012011/0567 01.20.44ab - asf0201 04628 SARL Agro Selection Fruitseuro 1/201539322 18/12/2014 REGALCOT - ASF0201 FR31/12/2044 AVICLO2007/2767 a3950 00689 INRA-Institut National de la Recheuro 2/200924107 23/2/2009 BERGEVAL* FR31/12/2039 AVIRINE1998/1842 avirine 00689 INRA-Institut National de la Recheuro 5/200311478 7/7/2003 BERGAROUGE FR31/12/2033 BAYOTO1995/0920 00787 Washington State Universityeuro 6/19994881 20/9/1999 FLAVOR COT* US31/12/2029 BO 886171022009/2144 bo 88617102 01869/04704/06419/0 C.R.P.V/Apofruit Italia/Universitàeuro 3/201437195 24/3/2014 IT31/12/2044 BO 906100102003/0301 bo 90.610.010 04148/01869 DIPRT COLTURE ARBOREE/C.euro 3/200822062 7/4/2008 BORA IT31/12/2038 CANDIDE2007/2768 a4025 00689 INRA-Institut National de la Recheuro 2/200924108 23/2/2009 FR31/12/2039 CHARISMA2006/0859 charisma 03945 ARC Infruitec - Nietvoorbijeuro 4/201130089 23/5/2011 ZA31/12/2041 CHEYENNE2013/3044 l21-18 04411 PSB Producción Vegetal SLeuro 3/201848943 23/4/2018 ES31/12/2048 CLARINA2007/1099 clarina 00346 Gevo Pflanzenvertrieb Gmbheuro 3/201231871 19/3/2012 DE31/12/2042 COLORADO2007/2979 435-15 04411 PSB Producción Vegetal SLeuro 3/201334433 18/3/2013 ES31/12/2043 CONGAT2011/0445 congat 00689 INRA-Institut National de la Recheuro 1/201539321 18/12/2014 CONGAT FR31/12/2044 7/3/2020 Pàgina 41 de 98
  • 42.
    DenominacióNº Exp. Nomcomercial Codi / Titular Butlletí Nº POV Inici Protecció Fi Referència Obtentor / Prunus armeniaca L. COTPY1997/0229 22763 N¦2 06221 Benoit Escande Edition SARLeuro 3/200413109 19/4/2004 PINKCOT* FR31/12/2034 COULOUMINE2004/0003 ep 00.01 ab. 02954 Scea Euro Pépinièreseuro 5/200720570 6/8/2007 ORANGE RUBIS* FR31/12/2037 CSIC CEBAS MIRLOBLANCO2009/2019 z-1001-8-14 00648 Consejo Sup. de Investigacioneseuro 3/201437419 7/4/2014 ES31/12/2044 CSIC CEBAS VALORANGE2009/1036 Z-503-2 00648 Consejo Sup. de InvestigacionesEURO 3/201437418 7/4/2014 ES31/12/2044 CSIC MIRLO ANARANJADO2010/1309 z1001-7-58 03543/04292/05903/0 José Egea /David Ruiz /Pedro Maeuro 4/201541122 8/6/2015 ES31/12/2045 CSIC MIRLO ROJO2010/1308 z1001-6-11 03543/07016/04292/0 José Egea/Antonio Molina/Davideuro 4/201541121 8/6/2015 ES31/12/2045 DAMA ROSA20094891 01157 IVIA - Institut Valencià d'Investigaesp 1-2016002690 12/12/2015 DAMA ROSA ES31/12/2045 DAMA TARONJA20094890 01157 IVIA - Institut Valencià d'Investigaesp 1-2014002631 27/12/2013 DAMA TARONJA ES31/12/2043 DELICOT2013/0372 hyb 3-5 05615 Marie-Laure Eteve-Lambertineuro 3/201848932 23/4/2018 DELICE COT FR31/12/2048 DIGAT2011/0446 digat 00689 INRA-Institut National de la Recheuro 2/201436914 24/2/2014 FR31/12/2044 DORADA2003/1216 z102-11 00648 Consejo Sup. de Investigacioneseuro 3/200822064 7/4/2008 ES31/12/2038 EA 50122012/2454 ea 5012 06221 Benoit Escande Edition SARLeuro 3/201745673 6/3/2017 FR31/12/2047 EA 50162008/2803 ea 5016 06221 Benoit Escande Edition SARLeuro 3/201334434 18/3/2013 TSUNAMI FR31/12/2043 EA 50342012/2453 ea 5034 06221 Benoit Escande Edition SARLeuro 3/201745672 6/3/2017 FR31/12/2047 EA 50402012/2456 ea 5040 06221 Benoit Escande Edition SARLeuro 3/201745674 6/3/2017 FR31/12/2047 EA3126TH2004/1448 ea 3126 th 06221 Benoit Escande Edition SARLeuro 4/200925354 8/6/2009 SPRING BLUSH* FR31/12/2039 EA40062004/1449 ea 4006 06221 Benoit Escande Edition SARLeuro 4/200925355 8/6/2009 BIG RED* FR31/12/2039 ELGAT2015/0664 elgat 00689 INRA-Institut National de la Recheuro 2/201951044 28/1/2019 FR31/12/2049 FARALIA2004/2455 1285 04880 International Plant Selectioneuro 4/200925360 8/6/2009 CARMINGO - FARALIA FR31/12/2039 FARBALY2004/2454 2437 04880 International Plant Selectioneuro 4/200925359 8/6/2009 CARMINGO - FARBALY FR31/12/2039 FARBELA2012/2590 m 16 3 04881 Marie-France Boiseuro 2/201951366 25/2/2019 FARBELA FR31/12/2049 FARCLO2004/2453 2226 04880 International Plant Selectioneuro 4/200925358 8/6/2009 CARMINGO - FARCLO FR31/12/2039 FARDAO2004/2452 2381 04880 International Plant Selectioneuro 4/200925357 8/6/2009 CARMINGO - FARDAO FR31/12/2039 FARELY2005/2697 1916 04880 International Plant Selectioneuro 3/201027254 19/4/2010 CARMINGO - FARELY FR31/12/2040 FARFIA2005/2698 2388 04880 International Plant Selectioneuro 3/201027255 19/4/2010 CARMINGO - FARFIA FR31/12/2040 FARLIS2008/2826 s617 04880 International Plant Selectioneuro 3/201232268 10/4/2012 FR31/12/2042 FARTOLI2008/2986 s 6 65 04880 International Plant Selectioneuro 3/201437082 10/3/2014 FARTOLI FR31/12/2044 7/3/2020 Pàgina 42 de 98
  • 43.
    DenominacióNº Exp. Nomcomercial Codi / Titular Butlletí Nº POV Inici Protecció Fi Referència Obtentor / Prunus armeniaca L. FLAMENGO2012/2226 s 175-15 04411 PSB Producción Vegetal SLeuro 2/201745403 20/2/2017 ES31/12/2047 FLASH COT2013/0373 94-1-121 07117 SMS UNLIMITED LLCeuro 3/201848933 23/4/2018 FLASH COT US31/12/2048 FLONECA2004/2503 a15-9 04411 PSB Producción Vegetal SLeuro 3/201027233 19/4/2010 ES31/12/2040 FLOPRIA2004/2505 a35-109 04411 PSB Producción Vegetal SLeuro 4/200925367 8/6/2009 FLOPRIA ES31/12/2039 FRISSON2006/1285 a 2821 00689 INRA-Institut National de la Recheuro 2/200924103 23/2/2009 FR31/12/2039 FUEGO2012/2230 p 52-106 04411 PSB Producción Vegetal SLeuro 2/201745405 20/2/2017 ES31/12/2047 GILGAT2012/0550 gilgat 00689 INRA-Institut National de la Recheuro 3/201643027 11/4/2016 GILGAT FR31/12/2046 HARVAL1995/0515 HW 437 00159 Agriculture & Agri-Food Canadaeuro116 6/19983721 5/10/1998 HARVAL CA1/11/2023 HILDE2007/1098 hilde 00346 Gevo Pflanzenvertrieb Gmbheuro 3/201231870 19/3/2012 DE31/12/2042 HURGAT2014/3241 00689/06533 INRA / CEP INNOVATION S.A.R.euro 1/201745153 15/12/2016 FR31/12/2046 ILONA2013/1089 j21-107 02847 Rutgers the State Universityeuro 1/201745165 15/12/2016 US31/12/2046 IPS161012012/2591 m 16 101 04881 Marie-France Boiseuro 2/201951367 25/2/2019 FR31/12/2049 IPS161212012/2592 m 16 121 04881 Marie-France Boiseuro 2/201951368 25/2/2019 FR31/12/2049 IPS22502006/2648 2250 04880 International Plant Selectioneuro 4/201130123 23/5/2011 FR31/12/2041 IPS3362007/2825 s336 04880 International Plant Selectioneuro 3/201232267 10/4/2012 FR31/12/2042 IPS5762006/2641 s576 04880 International Plant Selectioneuro 4/201130121 23/5/2011 FR31/12/2041 IPS612006/2642 s61 04880 International Plant Selectioneuro 3/201232262 10/4/2012 FR31/12/2042 IPS6492006/2646 s649 04880 International Plant Selectioneuro 3/201232263 10/4/2012 FR31/12/2042 IPS6602006/2647 s660 04880 International Plant Selectioneuro 3/201232264 10/4/2012 FR31/12/2042 IPS682006/2643 s68 04880 International Plant Selectioneuro 4/201130122 23/5/2011 FR31/12/2041 IZIAGAT2014/3242 00689/06533 INRA / CEP INNOVATION S.A.R.euro 1/201745154 15/12/2016 FR31/12/2046 KALAO2014/2508 2135-114 04411 PSB Producción Vegetal SLeuro 2/201951370 25/2/2019 ES31/12/2049 KIOTO1999/1644 a 3163 06221 Benoit Escande Edition SARLeuro 4/200617602 22/5/2006 KIOTO FR31/12/2036 KOOLGAT2014/1240 koolgat 00689/03652 INRA - SICA CENTREXeuro 3/201848948 23/4/2018 FR31/12/2048 KURESIA2001/1671 kuresia 00346 Gevo Pflanzenvertrieb Gmbheuro 3/200719934 16/4/2007 KURESIA DE31/12/2037 LADY COT2006/2070 hyb-3-3b 05615 Marie-Laure Eteve-Lambertineuro 3/201129635 18/4/2011 LADY COT FR31/12/2041 LIDO2012/2222 2147-25 04411 PSB Producción Vegetal SLeuro 2/201745400 20/2/2017 ES31/12/2047 7/3/2020 Pàgina 43 de 98
  • 44.
    DenominacióNº Exp. Nomcomercial Codi / Titular Butlletí Nº POV Inici Protecció Fi Referència Obtentor / Prunus armeniaca L. LILLY COT2002/1585 apr 08-7 04767 SDR Fruit Llceuro 4/200720102 21/5/2007 LILLY COT US31/12/2037 LUCA2012/2220 s 117-7 04411 PSB Producción Vegetal SLeuro 2/201745398 20/2/2017 ES31/12/2047 LUNAFULL2007/1639 luna 05942 Mario Gualandieuro 4/201232798 21/5/2012 IT31/12/2042 LUXARED2014/3147 7-1-09-06-09 06556 AC FRUIT SASeuro 3/201848956 23/4/2018 FR31/12/2048 M 17 290 IPS2014/3093 08595 NEWCOT S.A.S.euro 2/201951377 25/2/2019 FR31/12/2049 M 27 157 IPS2014/3094 08595 NEWCOT S.A.S.euro 2/201951378 25/2/2019 FR31/12/2049 MADISON2007/2980 403-5 04411 PSB Producción Vegetal SLeuro 3/201232269 10/4/2012 ES31/12/2042 MAGIC COT2004/1623 a99 r2 t39 04767 SDR Fruit Llceuro 4/200925347 8/6/2009 MAGIC COT US31/12/2039 MAMBO2009/0180 458-1 04411 PSB Producción Vegetal SLeuro 3/201437192 24/3/2014 ES31/12/2044 MEDAGA2005/2693 01 04880 International Plant Selectioneuro 3/201027250 19/4/2010 MEDAGA FR31/12/2040 MEDALIS2010/2864 1 7 80 04880 International Plant Selectioneuro 2/201539541 23/2/2015 MEDALIS FR31/12/2045 MEDIABEL2008/2985 2 10 103 04880 International Plant Selectioneuro 3/201334435 18/3/2013 MEDIABEL FR31/12/2043 MEDIVA2012/2588 m 3 210 04881 Marie-France Boiseuro 3/201848930 23/4/2018 FR31/12/2048 MEMPHIS2013/3047 2141-82 04411 PSB Producción Vegetal SLeuro 3/201848944 23/4/2018 ES31/12/2048 MIKADO2014/2511 l8-4 04411 PSB Producción Vegetal SLeuro 2/201951372 25/2/2019 ES31/12/2049 MILORD2010/2755 2084-26 04411 PSB Producción Vegetal SLeuro 2/201539540 23/2/2015 MILORD ES31/12/2045 MINO2007/1100 mino 00346 Gevo Pflanzenvertrieb Gmbheuro 3/201231872 19/3/2012 DE31/12/2042 MOGADOR2007/0091 445-2 04411 PSB Producción Vegetal SLeuro 3/201334432 18/3/2013 ES31/12/2043 MOIXENT20084813 01157 IVIA - Institut Valencià d'Investigaesp 3-2013002606 6/7/2013 ES31/12/2043 MONABRI2007/2976 nr 1 2006 01045 Monteux Gaillet Reneeuro 2/201231431 6/2/2012 MONABRI FR31/12/2042 MONGRAND2008/1503 hg nr 1 01045 Monteux Gaillet Reneeuro 2/201334164 1/2/2013 MONGRAND FR31/12/2043 MONTIER2007/2977 nr 2 2006 01045 Monteux Gaillet Reneeuro 2/201334163 18/2/2013 MONTIER FR31/12/2043 MURCIANA2003/1217 z504-5 00648 Consejo Sup. de Investigacioneseuro 3/200822065 7/4/2008 ES31/12/2038 OSCAR2012/2224 2141-1 04411 PSB Producción Vegetal SLeuro 2/201745401 20/2/2017 ES31/12/2047 PACHA2012/2225 s 250-21 04411 PSB Producción Vegetal SLeuro 2/201745402 20/2/2017 ES31/12/2047 PEPS 70162014/1665 peps 7016 06221 Benoit Escande Edition SARLeuro 2/201951369 25/2/2019 FR31/12/2049 PERLE COT2002/1584 apr 38-4 04767 SDR Fruit Llceuro 4/200720101 21/5/2007 PERLE COT US31/12/2037 7/3/2020 Pàgina 44 de 98
  • 45.
    DenominacióNº Exp. Nomcomercial Codi / Titular Butlletí Nº POV Inici Protecció Fi Referència Obtentor / Prunus armeniaca L. PIEVE2009/1346 bo 89608015 06419 Universita degli Studi di Milanoeuro 3/201437360 24/3/2014 IT31/12/2044 PRICIA2011/3134 m 17 227 04880 International Plant Selectioneuro 3/20162961 11/4/2016 PRICIA FR31/12/2046 PRIMARINA2005/2694 041 04880 International Plant Selectioneuro 3/201027251 19/4/2010 PRIMARINA FR31/12/2040 PRIMARIS2005/2695 1314 04880 International Plant Selectioneuro 3/201027252 19/4/2010 PRIMARIS FR31/12/2040 PRIMIDI2014/3089 s 3 6 ips 08595 NEWCOT S.A.S.euro 2/201951373 25/2/2019 FR31/12/2049 PRIMIUS2008/2987 s 2 76 04880 International Plant Selectioneuro 3/201334436 18/3/2013 PRIMIUS FR31/12/2043 RAMBO2012/2221 s 77-2 04411 PSB Producción Vegetal SLeuro 2/201745399 20/2/2017 ES31/12/2047 REVLAR2000/1947 ruoge 2000 03237/08287 / STAR FRUITS DIFFUSION S.Aeuro 5/200311479 7/7/2003 TARDIROUGE* FR31/12/2033 ROBADA1995/0725 ROBADA 00280 The United States of America/R.euro 6/200210209 21/10/2002 ROBADA US21/10/2032 ROJO PASION2001/1288 z505-4 00648 Consejo Sup. de Investigacioneseuro 3/200719932 16/4/2007 ROJO PASION ES31/12/2037 RUBILIS2014/3091 m 20 456 ips 08595 NEWCOT S.A.S.euro 2/201951375 25/2/2019 FR31/12/2049 RUBISSIA2014/3092 M 21 1 ips 08595 NEWCOT S.A.S.euro 2/201951376 25/2/2019 FR31/12/2049 RUBISSIMO2006/2649 e140 04880 International Plant Selectioneuro 4/201131124 23/5/2011 FR31/12/2041 RUBYNA2014/3090 m 28 201 ips 08595 NEWCOT S.A.S.euro 2/201951374 25/2/2019 FR31/12/2049 RUTBHART1995/0259 nja53 00111 The State University of New Jerseuro116 5/1996463 2/8/1996 EARLY BLUSH* US1/1/2024 S 5 89 IPS2014/3095 08595 NEWCOT S.A.S.euro 2/201951379 25/2/2019 FR31/12/2049 SEFORA2010/0427 ot1 06931 STATION D’EXPERIMENTATIOeuro 2/201436796 10/2/2014 FR31/12/2044 SELECT 982006/2069 98-7-145 04767 SDR Fruit Llceuro 3/201129634 18/4/2011 US31/12/2041 SHAMADE2010/0011 a3902 00689 INRA-Institut National de la Recheuro 3/201334283 4/3/2013 FR31/12/2043 SHERPA2010/2749 2084-14 04411 PSB Producción Vegetal SLeuro 2/201539539 23/2/2015 SHERPA ES31/12/2045 SOLEDANE2001/1745 a 3948 00689/03652 INRA - SICA CENTREXeuro 1/200412330 18/12/2003 SOLEDANE FR1/1/2034 SUAPRIEIGHT2003/1061 suaprieight 05485 Sun World International LLCeuro 2/201026758 22/2/2010 US31/12/2040 SUAPRININE2006/2518 suaprinine 05485 Sun World International LLCeuro 3/201129637 18/4/2011 US31/12/2041 SUAPRISEVEN2005/0519 90a-010 05485 Sun World International LLCeuro 3/201027235 19/4/2010 US31/12/2040 SUNNY COT2006/2068 97-3-203 04767 SDR Fruit Llceuro 3/201129633 18/4/2011 SUNNY COT US31/12/2041 SWIGOLD2012/2170 reg 4111 04586 De Regibus Christianeuro 2/201745233 23/1/2017 SWIGOLD CH31/12/2047 SWILATE2012/2171 reg 3527 04586 De Regibus Christianeuro 2/201745234 23/1/2017 CH31/12/2047 7/3/2020 Pàgina 45 de 98
  • 46.
    DenominacióNº Exp. Nomcomercial Codi / Titular Butlletí Nº POV Inici Protecció Fi Referència Obtentor / Prunus armeniaca L. SWIRED2012/2169 reg 3220 04586 De Regibus Christianeuro 2/201745232 23/1/2017 SWIRED CH31/12/2047 SYLRED1998/1352 a 22515 06221 Benoit Escande Edition SARLeuro 4/200617601 22/5/2006 SYLRED FR31/12/2036 TIBOR2014/2510 2140-30 04411 PSB Producción Vegetal SLeuro 2/201951371 25/2/2019 ES31/12/2049 TORRAVIUN2009/0094 a3926 00689/03652 INRA - SICA CENTREXeuro 2/201026779 22/2/2010 FR31/12/2040 TOTEM2012/2229 l 21-133 04411 PSB Producción Vegetal SLeuro 2/201745404 20/2/2017 ES31/12/2047 TOYACO1995/0923 pa 7005-8 00787 Washington State Universityeuro116 1/19971296 15/10/1996 TOM COT* US1/11/2021 TOYESI1995/0922 pa7221-1 00787 Washington State Universityeuro116 1/19971297 15/10/1996 GOLDSTRIKE* US1/11/2021 TOYIBA1995/0924 PA 7201-1 00787 Washington State Universityeuro116 5/20006602 26/7/2000 GOLDBAR* US1/8/2025 TOYUDA1995/0919 pa 63/55 00787 Washington State Universityeuro 6/19994880 20/9/1999 SWEET COT* US31/12/2029 VERTIGE2006/1286 a 3845 00689/03652 INRA - SICA CENTREXeuro 2/200924104 23/2/2009 VERTIGE FR31/12/2039 VULCAN2002/0986 riwaka 5/67 00915 The Horticulture & Food Researceuro 3/200822060 7/4/2008 RIWAKA 5/67 NZ31/12/2039 WONDER COT2004/1624 a99 r1 t18 04767 SDR Fruit Llceuro 4/200925348 8/6/2009 WONDER COT US31/12/2039 ZAI159ISP2011/3132 159 01 isp 00189 DARNAUD, Jean-Pierreeuro 4/201849410 22/5/2018 FR31/12/2048 ZAIPRILEG2000/1888 36 gh 334 00859 Zaiger¦s inc Geneticseuro 5/200618124 17/7/2006 ZAIPRILEG US31/12/2036 ZAIPRINEY2000/1890 118 le 133 00859 Zaiger¦s inc Geneticseuro 6/200720975 8/10/2007 ZAIPRINEY US31/12/2037 ZAIPRIREP2000/1889 195 ld 95 00859 Zaiger¦s inc Geneticseuro 5/200618125 17/7/2006 ZAIPRIREP US31/12/2036 ZAITORDE2003/2019 135 97 cot 00189 DARNAUD, Jean-Pierreeuro 3/200822071 7/4/2008 FR31/12/2038 Especie Prunus armeniaca L. × P. salicina Lindl. DenominacióNº Exp. Nom comercial Codi / Titular Butlletí Nº POV Inici Protecció Fi Referència Obtentor / HÍBRID ALBERCOQUERXPRUNERA SA8A2013/0802 10 p 336 00160/00279 Gie Star Fruits - Sel. Plantas Sevieuro 4/201952692 20/5/2019 FR31/12/2049 Especie Prunus avium (L.) L. × Prunus salicina Lindl. DenominacióNº Exp. Nom comercial Codi / Titular Butlletí Nº POV Inici Protecció Fi Referència Obtentor / AVIUM X SALICINA NADIA2008/0697 rullo1974 06222 Cherry Royale Pty Ltd.euro 4/201643717 23/5/2016 AU31/12/2046 Especie Prunus avium L. DenominacióNº Exp. Nom comercial Codi / Titular Butlletí Nº POV Inici Protecció Fi Referència Obtentor / CIRERER DOLÇ 13N07702010/2856 17 72 cs 07886 MINISTER OF AGRICULTURE Aeuro 6/201541598 21/9/2015 STARDUST CA31/12/2045 13S20092000/0974 staccato 01067 Agricul.Canada Research Stationeuro 1/200718681 20/11/2006 STACCATO CA31/12/2036 AIDA2004/0281 iv-13/20 00695 G.Y.D.K.F.V.euro 2/200719223 19/2/2007 AIDA HU31/12/2037 7/3/2020 Pàgina 46 de 98
  • 47.
    DenominacióNº Exp. Nomcomercial Codi / Titular Butlletí Nº POV Inici Protecció Fi Referència Obtentor / Prunus avium L. ANNUS2004/1536 iv-3/41 00695 G.Y.D.K.F.V.euro 2/201128842 7/2/2011 HU31/12/2041 AREKO2013/1400 hamid 06760 Julius Kühn Instituteuro 3/201848936 23/4/2018 DE31/12/2048 AXEL2002/1628 III-16/45 00695 G.Y.D.K.F.V.euro 4/200925363 8/6/2009 ALEX HU31/12/2039 BABELLE2016/0530 babelle 01549 CTIFLeuro 6/201644546 19/9/2016 FR31/12/2046 BALRINE2016/0531 balrine 01549 CTIFLeuro 6/201644547 19/9/2016 FR31/12/2046 BIG STAR2009/0320 dca bo 85.725.007 01869/05679 CRPV /euro 3/201642689 7/3/2016 BIG STAR IT31/12/2046 BIGI SOL1998/1328 mf 20 05289 Vivai Piante Battistini Società Agreuro 6/200516179 12/9/2005 BIGI SOL IT31/12/2035 BLACK STAR2001/1540 DCA BO 85.723.002 01869/01947 CRPV Soc Coop / Univ. Studi Boleuro 3/200719951 16/4/2007 BLACK STAR IT31/12/2037 BLAZE STAR1998/1511 dca bo 85.721006 01869 ALMA MATER STUDIORUM-UNIeuro 6/200516182 12/9/2005 BLAZE STAR IT31/12/2035 CAMBRINA2006/0017 ny 7679 02540 Cornell Research Foundationeuro 6/201130890 10/10/2011 US31/12/2041 CARMEN2004/0282 iii-42/114 00695 G.Y.D.K.F.V.euro 2/200719224 19/2/2007 CARMEN HU31/12/2037 CHRISTIANA2007/2200 hl 13485 04564 Forschungs institut fur Obstbau ueuro 3/201334704 8/4/2013 CZ31/12/2043 EARLY NORVIK2006/0659 hl na 18/12-1 04564 Forschungs institut fur Obstbau ueuro 3/201437361 24/3/2014 EARLY NORVIK CZ31/12/2044 FERDIVA2006/1290 v 3115 00689/03652 INRA - SICA CENTREXeuro 1/200821391 10/12/2007 FERDIVA FR31/12/2037 FERDOUCE2007/2769 v3239 00689 INRA-Institut National de la Recheuro 1/201128601 17/12/2010 FR31/12/2040 FERMINA2005/1851 v3122 00689 INRA-Institut National de la Recheuro 2/200719034 22/1/2007 FERMINA FR31/12/2037 FERTARD2005/1850 v3382 00689 INRA-Institut National de la Recheuro 2/200719033 22/1/2007 FERTARD FR31/12/2037 FERTYILLE2006/1291 v 3476 00689 INRA-Institut National de la Recheuro 1/201128571 17/12/2010 FR31/12/2040 FIRELAM2012/0750 02.14.52ce - asf0607 04628 SARL Agro Selection Fruitseuro 1/201745152 15/12/2016 FR31/12/2046 FOLFER2004/2329 v3387 00689 INRA-Institut National de la Recheuro 3/200924342 23/3/2009 FR31/12/2039 FRISCO2009/0005 sdr-9 04767 SDR Fruit Llceuro 3/201642694 7/3/2016 US31/12/2046 GLENRED2006/2740 44p1238 00279/08287 Sel. Plantas Sevilla SL / STAR Feuro 2/201231436 6/2/2012 GLENRED ES31/12/2042 GRACE STAR2001/1542 DCA BO 84.703.003 01869/01947 CRPV Soc Coop / Univ. Studi Boleuro 5/200720804 24/8/2007 GRACE STAR IT31/12/2037 JUSTYNA2007/1543 justyna 04564 Forschungs institut fur Obstbau ueuro 3/201334702 8/4/2013 CZ31/12/2043 KASANDRA2008/0146 hl 16 166 04564 Forschungs institut fur Obstbau ueuro 4/201335209 6/5/2013 CZ31/12/2043 KORVIK2008/1161 hl-na 18/12 04564 Forschungs institut fur Obstbau ueuro 3/201540488 7/4/2015 CZ31/12/2045 LALA STAR1998/1509 dca bo 85.710.009 01869 ALMA MATER STUDIORUM-UNIeuro 6/200516180 12/9/2005 LALA STAR IT31/12/2035 7/3/2020 Pàgina 47 de 98
  • 48.
    DenominacióNº Exp. Nomcomercial Codi / Titular Butlletí Nº POV Inici Protecció Fi Referència Obtentor / Prunus avium L. MARALY1996/0108 00750/00753 Prop. Fruit Varieties -euro 1/200412322 18/12/2003 EARLY RED (PRIME GIANT) US1/1/2034 MARIANT1995/2927 00750 Proprietary Fruit Varieties Ltd.euro 1/200412320 18/12/2003 GIANT RED US1/1/2034 NIMBA2013/2745 sms-290 07117 SMS UNLIMITED LLCeuro 3/201952231 28/3/2019 US31/12/2049 PA1UNIBO2012/1157 dca bo a1a1 05679 Alma Mater Studiorum-Universitàeuro 3/201848925 23/4/2018 SWEET ARYANA IT31/12/2048 PA2UNIBO2012/1158 dca bo a1c27 05679 Alma Mater Studiorum-Universitàeuro 3/201848926 23/4/2018 SWEET LORENZ IT31/12/2048 PA3UNIBO2012/1159 dca bo a1c40 05679 Alma Mater Studiorum-Universitàeuro 3/201848927 23/4/2018 SWEET ARYANA IT31/12/2048 PA4UNIBO2012/1160 dca bo b5d23 05679 Alma Mater Studiorum-Universitàeuro 3/201848928 23/4/2018 SWEET VALINA IT31/12/2048 PA5UNIBO2012/1161 dca bo b5a87 05679 Alma Mater Studiorum-Universitàeuro 3/201848929 23/4/2018 SWEET SARETTA IT31/12/2048 PACIFIC RED2013/2746 sms-291 07117 SMS UNLIMITED LLCeuro 3/201952232 28/3/2019 US31/12/2049 PANARO 12001/1541 DCA BO 84.704.006 01869/01947 CRPV Soc Coop / Univ. Studi Boleuro 3/200719933 16/4/2007 SWEET EARLY IT31/12/2037 PANARO 21998/1510 dca bo 83.705.001 01869 ALMA MATER STUDIORUM-UNIeuro 6/200516181 12/9/2005 PANARO 2 IT31/12/2035 PAULUS2004/1537 iv-6/39 00695 G.Y.D.K.F.V.euro 2/200719225 19/2/2007 HU31/12/2037 PC 706432003/2154 sf 90 006 00787 Washington State Universityeuro 1/200821390 10/12/2007 SELAH* US31/12/2037 PC 714682005/2663 pc7146-8 00787 Washington State Universityeuro 2/201231430 6/2/2012 US31/12/2042 PENNY2001/0823 c73-5 09154 NIAB EMReuro 2/200821768 28/1/2008 PENNY UK31/12/2038 PHLC1996/1446 HL 6 01544 Sempra Praha a.s.euro 6/200516295 10/10/2005 PHL C CZ31/12/2035 RITA2004/0283 iv-5/62 00695 G.Y.D.K.F.V.euro 2/200514661 7/2/2005 RITA HU31/12/2035 ROCKET2010/2211 sms-22 07117 SMS UNLIMITED LLCeuro 4/201849782 18/6/2018 ROCKET US31/12/2048 ROSIE2010/2863 56 99 cz 00189 DARNAUD, Jean-Pierreeuro 3/201642693 7/3/2016 FR31/12/2046 ROSILAM2010/0512 01.31.25ce - asf103 04628 SARL Agro Selection Fruitseuro 2/201539354 26/1/2015 FR31/12/2045 ROYAL BAILEY2010/2860 92 05 cz 00189 DARNAUD, Jean-Pierreeuro 3/201642696 7/3/2016 FR31/12/2046 ROYAL EDIE2010/0023 62 00 cz 00189 DARNAUD, Jean-Pierreeuro 3/201437197 24/3/2014 FR31/12/2044 ROYAL HAZEL2010/2861 87 05 cz 00189 DARNAUD, Jean-Pierreeuro 3/201642697 7/3/2016 FR31/12/2046 ROYAL HELEN2010/0024 63 00 cz 00189 DARNAUD, Jean-Pierreeuro 2/201539538 23/2/2015 FR31/12/2045 ROYAL MARIE2011/3133 106 08 cz 00189 DARNAUD, Jean-Pierreeuro 2/201745307 6/2/2017 FR31/12/2047 RUBILAM2010/0511 01.31.15ce - asf101 04628 SARL Agro Selection Fruitseuro 2/201539353 26/1/2015 FR31/12/2045 SANTINA1999/0193 13 s 25 22 00189 DARNAUD, Jean-Pierreeuro 2/200719028 22/1/2007 SANTINA FR31/12/2037 7/3/2020 Pàgina 48 de 98
  • 49.
    DenominacióNº Exp. Nomcomercial Codi / Titular Butlletí Nº POV Inici Protecció Fi Referència Obtentor / Prunus avium L. SKEENA1998/0068 13 s 43 48 00189 DARNAUD, Jean-Pierreeuro 6/200516176 12/9/2005 SKEENA FR31/12/2035 SPC 3422012/2593 23 151 csp 07886 MINISTER OF AGRICULTURE Aeuro 3/201952312 15/4/2019 CA31/12/2049 SPC1032010/2859 23 166 csp 07886 MINISTER OF AGRICULTURE Aeuro 2/201745296 6/2/2017 SENTENNIAL CA31/12/2047 SPC1062010/2858 11w357 07886 MINISTER OF AGRICULTURE Aeuro 3/201642692 7/3/2016 CA31/12/2046 SPC2072010/2857 17 73 cs 07886 MINISTER OF AGRICULTURE Aeuro 3/201642691 7/3/2016 CA31/12/2046 SUMBIGO2001/1907 1440 cs 00189 DARNAUD, Jean-Pierreeuro 3/200719926 16/4/2007 SUMBIGO FR31/12/2037 SUMBOLA1995/1340 15 62 CS 00189 DARNAUD, Jean-Pierreeuro 1/20005708 21/12/1999 SUMBOLA FR31/12/2029 SUMELE1995/1250 14 37 cs 00189 DARNAUD, Jean-Pierreeuro 1/200412025 10/11/2003 SATIN* FR1/1/2034 SUMGITA1995/1339 9cs 00189 DARNAUD, Jean-Pierreeuro116 2/19971654 15/1/1997 CANADA GIANT* FR1/12/2022 SUMLETA1995/1252 17 69 CS 00189 DARNAUD, Jean-Pierreeuro 1/20005705 20/12/1999 SONATA FR31/12/2029 SUMN314CH2005/2691 18 78 csi 00189 DARNAUD, Jean-Pierreeuro 3/201129630 18/4/2011 SABRINA FR31/12/2041 SUMNUE1995/1251 17-65 CS 00189 DARNAUD, Jean-Pierreeuro 1/20005704 20/12/1999 CRISTALINA FR31/12/2029 SUMPACA1995/1337 10 25 cs 00189 DARNAUD, Jean-Pierreeuro116 2/19971653 15/1/1997 CELESTE FR1/12/2022 SUMSTE1995/1334 11-28-CS 00189 DARNAUD, Jean-Pierreeuro 2/19971650 15/1/1997 SAMBA* FR31/12/2027 SUMTARE1995/1336 15 51 cs 00189 DARNAUD, Jean-Pierreeuro116 2/19971652 15/1/1997 SWEETHEART* FR1/12/2022 TAMARA2007/1544 tamara 04564 Forschungs institut fur Obstbau ueuro 3/201334703 8/4/2013 CZ31/12/2043 TECHLOVAN1998/1309 techlovan 01544 Sempra Praha a.s.euro 6/200516177 12/9/2005 TECHLOVAN CZ31/12/2035 VANDA1998/1327 na 18-27 01544 Sempra Praha a.s.euro 6/200516178 12/9/2005 VANDA CZ31/12/2035 VERA2002/1629 III-15/6 00695 G.Y.D.K.F.V.euro 2/200821769 28/1/2008 VERA HU31/12/2038 ZAI89CZ2010/2862 89 05 cz 00189 DARNAUD, Jean-Pierreeuro 3/201642692 7/3/2016 FR31/12/2046 Especie Prunus avium L. x (Prunus canescens L. x Prunus tormentosa L.) DenominacióNº Exp. Nom comercial Codi / Titular Butlletí Nº POV Inici Protecció Fi Referència Obtentor / PIKU12001/1462 piku1 03021 Consortium Deutscher Baumschueuro 1/200310246 18/11/2002 DE31/12/2032 Especie Prunus besseyi Bailey x Prunus cerasifera Ehrh. DenominacióNº Exp. Nom comercial Codi / Titular Butlletí Nº POV Inici Protecció Fi Referència Obtentor / DENSIPAC2011/1062 pac 9801-02 03862 AGROMILLORA CATALANA SLeuro 3/201642959 11/4/2016 ROOTPAC-20 ES31/12/2046 FERLENAIN1995/1409 ferlenain 00691 INRA-Institut National de la Recheuro116 1/19971264 15/10/1996 PLUMINA* FR1/4/2022 7/3/2020 Pàgina 49 de 98
  • 50.
    DenominacióNº Exp. Nomcomercial Codi / Titular Butlletí Nº POV Inici Protecció Fi Referència Obtentor / Prunus canescens Bois × P. cerasus L. Especie Prunus canescens Bois × P. cerasus L. DenominacióNº Exp. Nom comercial Codi / Titular Butlletí Nº POV Inici Protecció Fi Referència Obtentor / GI 148132013/1854 gi 14813 00347 Consortium Deutscher Baumschueuro 2/201642314 25/1/2016 DE31/12/2046 Especie Prunus cerasifera Ehrh DenominacióNº Exp. Nom comercial Codi / Titular Butlletí Nº POV Inici Protecció Fi Referència Obtentor / PRUNERA MIRABOLÀ ADARA1995/3027 ciruelo 29AD 00648 Consejo Sup. de Investigacioneseuro 4/20029572 17/6/2002 ADARA ES31/12/2032 GF29802014/1244 gf2980 00689 INRA-Institut National de la Recheuro 2/201539361 26/1/2015 FR31/12/2045 Especie Prunus cerasifera Ehrh x Prunus dulcis (Mill.) D.A. Webb DenominacióNº Exp. Nom comercial Codi / Titular Butlletí Nº POV Inici Protecció Fi Referència Obtentor / HIBRID PRUNERA X AMETLLER REPLANTPAC2009/0230 pac 941 03862 AGROMILLORA CATALANA SLeuro 3/201437716 22/4/2014 ROOTPAC-R ES31/12/2044 Especie Prunus cerasifera Ehrh x Prunus persica (L.) Batsch DenominacióNº Exp. Nom comercial Codi / Titular Butlletí Nº POV Inici Protecció Fi Referència Obtentor / PRUNERA X PRESSEGUER KUBAN 862009/1565 kuban 86 03864 Krymsk Breeding Stationeuro 2/201436708 27/1/2014 RU31/12/2044 Especie Prunus cerasifera Ehrh. × P. domestica L. DenominacióNº Exp. Nom comercial Codi / Titular Butlletí Nº POV Inici Protecció Fi Referència Obtentor / PRUNUS HIBRID_2 DHYPRES 62015/2805 dhypres 6 06685 Michael Neumüllereuro 2/201951045 28/1/2019 DE31/12/2049 Especie Prunus cerasus L. DenominacióNº Exp. Nom comercial Codi / Titular Butlletí Nº POV Inici Protecció Fi Referència Obtentor / CIRERER ÀCID EDABRIZ1995/1531 edabriz 00691/00693 INRA - CTIFLeuro116 1/19971265 15/10/1996 TABEL* FR1/11/2021 FERPRIME1998/1843 ferprime 00689 INRA-Institut National de la Recheuro116 1/20005570 6/12/1999 PRIMULAT* FR31/12/2024 GEREMA1998/0318 gerena 00672 Forschungsanstalt Geisenheimeuro 3/19994253 6/4/1999 GEREMA DE31/12/2029 LÖVÖPETRI2010/0426 clone r 06930 RESEARCH AND EXTENSION Ceuro 3/201129643 18/4/2011 HU31/12/2041 SPINELL2014/2153 spinell 06760 Julius Kühn Instituteuro 3/201540438 7/4/2015 DE31/12/2045 TURMALIN2017/0568 coralin 06760 Julius Kühn Instituteuro 3/201848970 23/4/2018 DE31/12/2048 WEIROOT 7202009/0554 weiroot 720 00222 Technische Universitõt Müncheneuro 4/201335512 3/6/143 DE31/12/2043 Especie Prunus cerasus L. × P. × schmittii Rehder DenominacióNº Exp. Nom comercial Codi / Titular Butlletí Nº POV Inici Protecció Fi Referència Obtentor / PRUNERA X SCHIMITTI STO32012/2007 sto3 02264 Stoppel, Petereuro 2/201745298 6/2/2017 DE31/12/2047 7/3/2020 Pàgina 50 de 98
  • 51.
    DenominacióNº Exp. Nomcomercial Codi / Titular Butlletí Nº POV Inici Protecció Fi Referència Obtentor / Prunus cerasus L. x (prunus cerasus L. x Prunus maacki Rupr.) Especie Prunus cerasus L. x (prunus cerasus L. x Prunus maacki Rupr.) DenominacióNº Exp. Nom comercial Codi / Titular Butlletí Nº POV Inici Protecció Fi Referència Obtentor / PRUNERA X MAACKI LC 522009/1566 lc 52 03864 Krymsk Breeding Stationeuro 2/201436795 10/2/2014 RU31/12/2044 Especie Prunus cerasus L. x Prunus canescens L. DenominacióNº Exp. Nom comercial Codi / Titular Butlletí Nº POV Inici Protecció Fi Referència Obtentor / GISELA 51995/1073 gisela 5 00347 Consortium Deutscher Baumschueuro116 1/19971268 15/10/1996 GI-SEL-A 5 DE1/11/2021 Especie Prunus domestica L. DenominacióNº Exp. Nom comercial Codi / Titular Butlletí Nº POV Inici Protecció Fi Referència Obtentor / PRUNERA EUROPEA AUGUST DELIGHT2011/0853 sel.10/91agri2000 07284 Agri 2000 net SRLeuro 2/201951043 28/1/2019 IT31/12/2049 AVIFEL1995/1530 avifel 00691/00693 INRA - CTIFLeuro116 1/19971267 15/10/1996 TORINEL* FR1/11/2021 BELLAMIRA2002/0184 klon p 34-56-94 00672 Forschungsanstalt Geisenheimeuro 2/200616766 30/1/2006 DE31/12/2036 BLUE MOON2011/0854 sel.8/91agri2000 07284 Agri 2000 net SRLeuro 2/201642548 22/2/2016 IT31/12/2046 CACAKS SPÄTE2005/1680 cacak späte (vi/28/81) 05199 Institut za Istrazivania u Polijopriveuro 1/201026242 7/12/2009 RS31/12/2039 CAPITANA1998/1532 capitana 02410/02411 Ghedini, G - Ghedini, P.A.euro 2/200514646 7/2/2005 IT31/12/2035 COLORA2003/1062 colora 00783 Universitõt Hohenheimeuro 3/200924350 23/3/2009 DE31/12/2039 COUROD1999/1556 courod 02807/00189 Odier, G - Darnaud, JPeuro 2/200514579 21/2/2005 FR31/12/2035 ELENA1995/2736 00783 Universitõt Hohenheimeuro 5/19983126 2/6/1998 DE31/12/2028 FERDOR1995/1410 ferdor 00691 INRA-Institut National de la Recheuro116 1/19971266 15/10/1996 JULIOR* FR1/11/2021 HAGANTA2003/1063 gigant 00783 Universitõt Hohenheimeuro 3/200821933 10/3/2008 DE31/12/2028 HAROMA2005/1330 haroma 00783 Universitõt Hohenheimeuro 2/201026421 25/1/2010 DE31/12/2040 JOJO1999/1807 jojo 00783 Universitõt Hohenheimeuro 4/200413321 17/5/2004 DE31/12/2034 JUNA2012/2340 juna 00680 Hartmann Walter Dr.euro 2/201745541 20/2/2017 DE31/12/2047 KATINKA1995/2729 Horteger 00783 Universitõt Hohenheimeuro116 4/19972210 27/6/1997 DE1/1/2024 PLUMIS2008/2079 hvl 357 06085/06391 BOOMKWEKERIJEN GEBROEDeuro 3/201437715 22/4/2014 NL31/12/2044 PRESENTA1999/0061 presenta 00783 Universitõt Hohenheimeuro 3/200310941 10/4/2003 PRESENTA DE10/4/2033 PRUDOM2002/2098 prudom 00347 Consortium Deutscher Baumschueuro 4/200720098 21/5/2007 DE31/12/2037 SUTTER2000/2082 sutter 00345 The Regents of the University ofeuro 2/200821731 28/1/2008 US31/12/2038 TEGERA1999/0181 tegera 00783 Universitõt Hohenheimeuro 3/200514913 21/3/2005 TEGERA DE31/12/2035 7/3/2020 Pàgina 51 de 98
  • 52.
    DenominacióNº Exp. Nomcomercial Codi / Titular Butlletí Nº POV Inici Protecció Fi Referència Obtentor / Prunus domestica L. TIPALA1999/0182 tipala 00783 Universitõt Hohenheimeuro 3/200514914 21/3/2005 TIPALA DE31/12/2035 TOPFIVE2002/0186 p 6-85-95 00672 Forschungsanstalt Geisenheimeuro 3/200617343 24/4/2006 DE31/12/2036 TOPHIT1998/0317 tophit 00672 Forschungsanstalt Geisenheimeuro 4/20029577 17/6/2002 DE31/12/2032 TOPPER1998/0316 topper 00672 Forschungsanstalt Geisenheimeuro 4/20029576 17/6/2002 DE31/12/2032 TULARE2000/2081 tulare giant 00345 The Regents of the University ofeuro 3/200719948 16/4/2007 US31/12/2037 UTE2005/0243 ute 04951/04952 Cox-Coxeuro 4/200924893 4/5/2009 UK31/12/2039 VANDOR2011/0913 v70032 02072 University of Guelph - Business Deuro 2/201642549 22/2/2016 CA31/12/2046 VANETTE2003/1808 v 66071 04407 Agricultural Research Institute ofeuro 2/200924101 23/2/2009 CA31/12/2039 VIOLETTA1997/0269 bpr 1249c 01629 Swedish University Agr. Scienceseuro 3/20028997 18/3/2002 SE31/12/2032 Especie Prunus domestica L. subsp. insititia (L.) C. K. Schneid. (syn. P. insititia L.) DenominacióNº Exp. Nom comercial Codi / Titular Butlletí Nº POV Inici Protecció Fi Referència Obtentor / PRUNERA EUROPEA INSITITIA NR 87312016/3205 nr.8731 00680 Hartmann Walter Dr.euro 2/201951046 28/1/2019 DE31/12/2049 Especie Prunus domestica x Prunus insititia) x Prunus salicina DenominacióNº Exp. Nom comercial Codi / Titular Butlletí Nº POV Inici Protecció Fi Referència Obtentor / PRUNUS PORTAEMPELTS MONREPOS20074707 ES936 CITA ARAGONesp 4-2011002532 6/7/2011 ES31/12/2041 Especie Prunus dulcis (Mill.) D.A. Webb DenominacióNº Exp. Nom comercial Codi / Titular Butlletí Nº POV Inici Protecció Fi Referència Obtentor / AMETLLER ALM 212013/2719 alm 21 00189 DARNAUD, Jean-Pierreeuro 4/201849458 22/5/2018 FR31/12/2048 ANTOÑETA19974136 antoñeta 243 C.S.I.C.esp BOE-69002093 21/3/2003 ANTOÑETA ES21/3/2023 CONSTANTÍ2009/0751 irtamb-a22-120 00370 Institut de Recerca i Tecnologiaeuro 2/201128897 7/2/2011 CONSTANTI ES31/12/2041 DIAMAR2009/0306 g-2-35 90042 Centro de Investigación y Tecnoleuro 4/201233017 18/6/2012 ES31/12/2042 ISABELONA20054615 belona ES930 CITA Aragónesp 1-2011002505 18/1/2011 ISABELONA ES31/12/2041 MARINADA2009/0754 irtamb-a23-57 00370 Institut de Recerca i Tecnologiaeuro 2/201126900 7/2/2011 MARINADA ES31/12/2041 MARTA19953932 ALMUDENA 243 C.S.I.C.esp BOE-69002091 21/3/2003 ALMUDENA ES21/3/2023 PENTACEBAS CSIC2007/1323 d00-203 00648 Consejo Sup. de Investigacioneseuro 4/201335208 6/5/2013 PENTA ES31/12/2043 SOLETA20054616 ES930 CITA Aragónesp 1-2011002507 18/1/2011 SOLETA ES31/12/2041 TARDONA2007/1322 d00-072 00648 Consejo Sup. de Investigacioneseuro 4/201335207 6/5/2013 TARDONA ES31/12/2043 TARRACO2009/0753 irtamb-a21-169 00370 Institut de Recerca i Tecnologiaeuro 2/201128899 7/2/2011 TARRACO ES31/12/2041 7/3/2020 Pàgina 52 de 98
  • 53.
    DenominacióNº Exp. Nomcomercial Codi / Titular Butlletí Nº POV Inici Protecció Fi Referència Obtentor / Prunus dulcis (Mill.) D.A. Webb VAIRO2009/0752 irtamb-a21-323 00370 Institut de Recerca i Tecnologiaeuro 2/201128898 7/2/2011 VAIRO ES31/12/2041 Especie Prunus fructicosa Pall. x Prunus serrulata Lindl. var. lannesiana DenominacióNº Exp. Nom comercial Codi / Titular Butlletí Nº POV Inici Protecció Fi Referència Obtentor / VSL 2’2017/1713 vsl 2 03864 Krymsk Breeding Stationeuro 3/201848971 23/4/2018 RU31/12/2048 Especie Prunus incana (PALL.) Batsch x Prunus tomentosa Thunb. DenominacióNº Exp. Nom comercial Codi / Titular Butlletí Nº POV Inici Protecció Fi Referència Obtentor / VSV 12009/1568 vsv 1 03864 Krymsk Breeding Stationeuro 2/201745342 6/2/2017 RU31/12/2047 Especie Prunus insititia L. DenominacióNº Exp. Nom comercial Codi / Titular Butlletí Nº POV Inici Protecció Fi Referència Obtentor / PRUNERA ADESOTO1995/3029 Puebla de Soto AD 101 00648 Consejo Sup. de Investigacioneseuro 4/20029574 17/6/2002 PUEBLA DE SOTO ES31/12/2032 Especie Prunus L. DenominacióNº Exp. Nom comercial Codi / Titular Butlletí Nº POV Inici Protecció Fi Referència Obtentor / PRUNUS COMET1996/1078 comet 01470 B.D. Rijnbeek Boomkwererijen B.euro 3/19982706 2/3/1998 NL31/12/2023 GI 20912002/1949 giessen 209/1 03021 Consortium Deutscher Baumschueuro 2/200719222 19/2/2007 DE31/12/2037 GI14811998/0997 gisela 6 03021 Consortium Deutscher Baumschueuro 4/200515835 20/6/2005 DE31/12/2035 MIEKE2015/0195 mieke 08672 JOHANNES JACOBUS VAN DEeuro 4/201849788 18/6/2018 NL31/12/2048 PIKU42001/1206 piku4 00441 Deutsche Saatgutgesellsscaft Mbeuro 5/20029968 12/8/2002 DE31/12/2032 STO12012/0021 sto1 02264 Stoppel, Petereuro 2/201745300 6/2/2017 DE31/12/2047 Especie Prunus L. (P. armeniaca L. × P. cerasifera Ehrh. × P. pumila L. var. besseyi (L.H. Bailey) Gleason) DenominacióNº Exp. Nom comercial Codi / Titular Butlletí Nº POV Inici Protecció Fi Referència Obtentor / PRUNUS APRIMED2013/1996 pacer 00-05 03862 AGROMILLORA CATALANA SLeuro 4/201849457 22/5/2018 ES31/12/2048 Especie Prunus laurocerasus L. DenominacióNº Exp. Nom comercial Codi / Titular Butlletí Nº POV Inici Protecció Fi Referència Obtentor / LLORER-CIRER ANBRI1995/1205 anbri 00138 Antigone Plantvermeerdering b.v.euro 3/19982719 2/3/1998 NL31/12/2023 ANI2011/0381 ani 02970 Heco Stekcultures B.V.euro 6/201438986 20/10/2014 NL31/12/2044 ANTONIUS2010/2192 jm 86 02968 Miklósné Józsaeuro 1/201436514 2/12/2013 HU31/12/2043 ARKTIS2013/2709 arktis 04735 JURGEN SCHUTTEeuro 6/201541695 21/9/2015 DE31/12/2045 BENJE GREEN2000/1131 prunus elegant 03081 Scherpereel, Gérardeuro 4/200413662 21/6/2004 BE31/12/2034 7/3/2020 Pàgina 53 de 98
  • 54.
    DenominacióNº Exp. Nomcomercial Codi / Titular Butlletí Nº POV Inici Protecció Fi Referència Obtentor / Prunus laurocerasus L. BETTINA2019/1318 gabprun1 09641 GABOR NEMETHeuro 1/202053852 18/11/2019 HU31/12/2049 BOKRALYM2001/0693 bokralym 00026 Boot &Co Boomkwekerijen bveuro 5/200413890 16/8/2004 NL31/12/2029 BOKRAMER2001/0694 bokramer 00026 Boot &Co Boomkwekerijen bveuro 5/200513891 16/8/2004 NL31/12/2029 DARZALO2006/0538 darzalo 00026 Boot &Co Boomkwekerijen bveuro 6/200823627 27/10/2008 NL31/12/2038 GABI2011/0382 gabi 02970 Heco Stekcultures B.V.euro 6/201438987 20/10/2014 NL31/12/2044 GAJO2004/0413 gajo 04578 Boomkwekerijen-Nouws-verheijeeuro 4/200617906 19/6/2006 NL31/12/2036 GORIS112012/0342 goris11 07569 Kees Goriseuro 4/201438079 2/6/2014 NL31/12/2044 GREENTORCH2007/1070 mingreen 03881 Pepinieres Minier SAeuro 1/201026185 16/11/2009 FR31/12/2039 GRPL182013/1979 grpl18 08150 GUIDO ROUWETTEeuro 6/201541693 21/9/2015 NL31/12/2045 GRPL192014/2705 08150 GUIDO ROUWETTEeuro 5/201747252 3/7/2017 NL31/12/2047 HIBANI2008/2323 ruby 06430 Boomkwekerij Huijbregtseuro 1/201128463 8/11/2010 NL31/12/2040 IVORY2007/1950 05992 M.T.S. Custers-Van Dooreneuro 6/200926076 5/10/2009 NL31/12/2039 JM342006/1735 02968 Miklósné Józsaeuro 2/200719157 19/2/2007 HU31/12/2037 JOSA2011/0383 klone 100 02970 Heco Stekcultures B.V.euro 6/201438988 20/10/2014 NL31/12/2044 MARIBLON2003/0265 genolier 04139 Pepinieres de Genoliereuro 4/200617887 19/6/2006 CH31/12/2036 OBELISK2015/1834 steinprun1 03750 BERND STEINEGGEReuro 6/201850146 10/9/2018 DE31/12/2048 PIRANHA2012/1492 piranha 07727 FRANK SCHNUPPEReuro 6/201541686 21/9/2015 DE31/12/2045 RENTAN2012/0530 titan 07590 HUAMING WANGeuro 6/201541685 21/9/2015 NL31/12/2045 VERSTRA2016/1065 elly 02025/09771 A. Straver/euro 5/201953089 15/7/2019 31/12/2049 ZSÓFI2019/1317 gabprun2 09641 GABOR NEMETHeuro 1/202053851 18/11/2019 HU31/12/2049 Especie Prunus lusitanica L. DenominacióNº Exp. Nom comercial Codi / Titular Butlletí Nº POV Inici Protecció Fi Referència Obtentor / BRENELIA2011/1273 brenelia 07314 Yves Breneliereeuro 6/201438976 20/10/2014 FR31/12/2044 YBRAZO012015/1764 bronze 07314 Yves Breneliereeuro 3/201848974 23/4/2018 FR31/12/2048 Especie Prunus mahaleb L. DenominacióNº Exp. Nom comercial Codi / Titular Butlletí Nº POV Inici Protecció Fi Referència Obtentor / CIRERER SANTA LLÚCIA FERCI1995/1407 ferci 00691 INRA-Institut National de la Recheuro116 1/19971269 15/10/1996 PONTALEB* FR1/4/2022 7/3/2020 Pàgina 54 de 98
  • 55.
    DenominacióNº Exp. Nomcomercial Codi / Titular Butlletí Nº POV Inici Protecció Fi Referència Obtentor / Prunus persica (L.) Batsch Especie Prunus persica (L.) Batsch DenominacióNº Exp. Nom comercial Codi / Titular Butlletí Nº POV Inici Protecció Fi Referència Obtentor / PRESSEGUER "DORABELLE"2009/0269 2 5 20 07 07 06556 AC FRUIT SASeuro 6/201336038 9/9/2013 2 5 20 07 07 FR31/12/2043 "DORAFINE"2009/0270 3 6 05 08 05 06556 AC FRUIT SASeuro 6/201336029 9/9/2013 3 6 05 08 05 FR31/12/2043 "DORANE"2009/2506 24 1 3 06556 AC FRUIT SASeuro 6/201336030 9/9/2013 24 1 3 FR31/12/2043 "FLATDIVA"2012/2709 02.2w.20pbpl - asf11106 04628 SARL Agro Selection Fruitseuro 2/201745525 20/2/2017 FR31/12/2047 0 10 PBS2014/3098 04880 International Plant Selectioneuro 4/201849411 22/5/2018 FR31/12/2048 0322E82NB2012/2704 03.22e.82nb - asf1036 04628 SARL Agro Selection Fruitseuro 2/201745521 20/2/2017 FR31/12/2047 629 03 PJ2014/3096 00189 DARNAUD, Jean-Pierreeuro 2/201848407 19/2/2018 FR31/12/2048 ADELFAR2006/1486 naea-01 05513 Alvaro Liñan Liñaneuro 5/201233278 6/8/2012 ES31/12/2042 AFRICAN SUMMER SUN20004313 summer sun 03945 ARC Infruitec - Nietvoorbijesp 4-2010002489 6/7/2010 ZA31/12/2040 ALBATINE2011/2890 4-1-16-06-09 06556 AC FRUIT SASeuro 4/201541351 22/6/2015 FR31/12/2045 ALBINA2012/2216 t 191-12 pb 04411 PSB Producción Vegetal SLeuro 3/201745889 20/3/2017 ES31/12/2047 ALCATRAZ20125050 flat giant ES993 SMS UNLIMITED LLCesp 1-2017002759 16/1/2017 US31/12/2047 ALICE COL2014/1060 ma 12-01-057 06900 CONSIGLIO PER LA RICERCAeuro 3/201745680 6/3/2017 IT31/12/2047 ALISIO 1020135099 aliso 10 ES998 IMIDA/NovaMedesp 1-2018002809 20/2/2018 ES31/12/2048 ALISIO 1520104933 mrca1 ES965 IMIDAesp 1-2016002716 13/12/2015 MRCA1 ES31/12/2045 ALISIO 2020135100 aliso 20 ES998 IMIDA/NovaMedesp 1-2018002810 20/2/2018 ES31/12/2048 ALITOP2006/1134 iff 990 01758 Istituto Sperimentale per la Fruttieuro 4/201130306 6/6/2011 ALITOP IT31/12/2041 ALLREDAL2005/0901 01.18.44 : asf 0141 04628 SARL Agro Selection Fruitseuro 2/200924111 23/2/2009 REGALSUN 28 FR31/12/2039 ALMA2002/1192 3285 02787 Montanari Domenicoeuro 3/200617334 24/4/2006 ALMA IT31/12/2036 ALMA 22010/1575 740 06648/02787 Luigi Montanari/Domenico Montaeuro 4/201541349 22/6/2015 ALMA 2 IT31/12/2045 ALMALATE20044574 32-3-11-9 ES1016 FRUTARIA COMERCIAL DE FResp 1-2010002470 25/12/2009 ES31/12/2039 ALMAMEBA20024448 almameb ES1016 FRUTARIA COMERCIAL DE FResp 2-2009002404 16/2/2009 ALMAMED ES31/12/2039 ALMAMECE20024453 almamec ES1016 FRUTARIA COMERCIAL DE FResp 2-2009002405 16/2/2009 ALMAMECE ES31/12/2039 ALMAMEDI20024451 almamed ES1016 FRUTARIA COMERCIAL DE FResp 2-2009002406 16/2/2009 ES31/12/2039 ALMAMIEL20064701 ES1016 FRUTARIA COMERCIAL DE FResp 1-2011002525 18/1/2011 ALMAMIEL ES31/12/2040 ALMANEBO20024449 almaneb ES1016 FRUTARIA COMERCIAL DE FResp 2-2009002407 16/2/2009 ALMANEBO ES31/12/2039 7/3/2020 Pàgina 55 de 98
  • 56.
    DenominacióNº Exp. Nomcomercial Codi / Titular Butlletí Nº POV Inici Protecció Fi Referència Obtentor / Prunus persica (L.) Batsch ALMANECI20024447 almanec ES1016 FRUTARIA COMERCIAL DE FResp 5-2009002437 22/7/2009 ALMANECI ES31/12/2039 ALMANEFI20024446 almanef ES1016 FRUTARIA COMERCIAL DE FResp 5-2009002438 22/7/2009 ALMANEFI ES31/12/2039 ALMANEGE20024452 almaneg ES1016 FRUTARIA COMERCIAL DE FResp 5-2009002439 22/7/2009 ALMANEGE ES31/12/2039 ALMANOR20034529 334F4821 ES1016 FRUTARIA COMERCIAL DE FResp 1-2010002471 25/12/2009 ES31/12/2039 ALMAPEÑA20044568 ALMIP-1 ES1016 FRUTARIA COMERCIAL DE FResp 5-2009002440 22/7/2009 ES31/12/2039 ALMASEDA20044569 ALMIP-2 ES1016 FRUTARIA COMERCIAL DE FResp 1-2010002472 25/12/2009 ES31/12/2039 ALMAVERO20064700 ES1016 FRUTARIA COMERCIAL DE FResp 2-2013002574 17/1/2013 ES31/12/2043 ALMENAR20034528 almamar ES1016 FRUTARIA COMERCIAL DE FResp 5-2009002441 22/7/2009 ES31/12/2039 ALMIDEZ20044573 301-10-28-1 ES1016 FRUTARIA COMERCIAL DE FResp 4-2042002557 28/6/2012 ES31/12/2042 ALMONTIEL20064702 ES1016 FRUTARIA COMERCIAL DE FResp 1-2014002642 27/12/2013 ALMONTIEL ES31/12/2043 ALMUD20044575 50-10-25-8 ES1016 FRUTARIA COMERCIAL DE FResp 5-2009002443 22/7/2009 ES31/12/2039 ALPINE2002/1202 2b-31-5 03945 ARC Infruitec - Nietvoorbijeuro 3/200924359 23/3/2009 ZA31/12/2039 AM72000/0913 am7 01869 ALMA MATER STUDIORUM-UNIeuro 6/200414080 24/10/2004 IT31/12/2034 AMANDINA2013/3048 t191-1 04411 PSB Producción Vegetal SLeuro 2/201848354 19/2/2018 ES31/12/2048 AMBRA1997/0777 dca-bo85151169 01500 CRPV Soc. Coop. A.R.L. C. R. Preuro 5/20029921 12/8/2002 AMBRA (NECT) IT31/12/2032 AMIGA2000/1502 86 ve 61 05192 Giulio Minguzzieuro 6/200414082 25/10/2004 AMIGA IT31/12/2034 ANTONINA1999/1193 antonina 02684 Bertolami, Antonioeuro 6/200311653 8/9/2003 IT31/12/2033 ANULA 30 012011/3180 p07f001a096 00370/04628 IRTA/SARL Agro Selection Fruitseuro 6/201747408 11/9/2017 ES31/12/2047 APPYMAY20024469 S 9850 AP 00279 Selección Plantas Sevilla SLesp 5-2009002444 22/7/2009 ES31/12/2039 ARAMEX20074762 ES1016 FRUTARIA COMERCIAL DE FResp 2-2013002575 17/1/2013 ES31/12/2043 ARGENTO DI FAENZA1998/0152 ff 86958 05244 Dalmonte Fuido e Vittorio S.S. Seuro 1/200514225 8/11/2004 IT31/12/2034 ARTEMIS2014/2516 k184-48 pj 04411 PSB Producción Vegetal SLeuro 2/201951508 25/2/2019 ES31/12/2049 ASFNBF04712008/0588 03.22.101 nbpl - asf 0471 04628 SARL Agro Selection Fruitseuro 3/201437362 24/3/2014 NECTACAKE 28 FR31/12/2044 ASFNBF07742009/0925 4s.3w53 nbpl - asf 0774 04628 SARL Agro Selection FruitsEURO 2/201334167 18/2/2013 NECTACAKE 25 FR31/12/2043 ASTORIA2010/2742 b80-16 pj 04411 PSB Producción Vegetal SLeuro 3/201643303 25/4/2016 ES31/12/2046 ATINEA2012/2215 272-4 nj 04411 PSB Producción Vegetal SLeuro 3/201745888 20/3/2017 ES31/12/2047 AUGUST GEM2013/3112 54 p 304 08287/00279 Star Fruit / Seleccion Plantas Seveuro 3/201745675 6/3/2017 FR31/12/2047 7/3/2020 Pàgina 56 de 98
  • 57.
    DenominacióNº Exp. Nomcomercial Codi / Titular Butlletí Nº POV Inici Protecció Fi Referència Obtentor / Prunus persica (L.) Batsch BALTICA2014/2517 k301-21 nb 04411 PSB Producción Vegetal SLeuro 4/201952698 20/5/2019 ES31/12/2049 BELLAMINE2010/0495 03.10.25pb - asf0453 04628 SARL Agro Selection Fruitseuro 2/201436696 27/1/2014 ASF 04-53 FR31/12/2044 BLANQ 26012013/2984 p01f027a066 04628/00370 AGRO SELECTIONS FRUITS S.euro 2/201951289 11/2/2019 ES31/12/2049 BLANQ 28 012011/3182 p01f005a069 00370/04628 IRTA/SARL Agro Selection Fruitseuro 6/201644391 19/9/2016 ES31/12/2046 BLANQ 30012012/2738 p01f009a069 00370/04628 IRTA/SARL Agro Selection Fruitseuro 5/201849948 16/7/2018 ES31/12/2048 BLANQ 31012012/2737 p01f007a035 00370/04628 IRTA/SARL Agro Selection Fruitseuro 5/201849947 16/7/2018 ES31/12/2048 BLANQ 33 012011/3183 p02f002a035 00370/04628 IRTA/SARL Agro Selection Fruitseuro 3/201746011 3/4/2017 ES31/12/2047 BLANQ 34 012011/3177 p02f002a100 00370/04628 IRTA/SARL Agro Selection Fruitseuro 3/201746009 3/4/2017 ES31/12/2047 BLANVIO 102008/2234 00.47.009-pb 00132 Plantas de Navarra SAeuro 1/201436611 16/12/2013 BLANVIO 10 ES31/12/2043 BONFIRE1997/0703 ark.84186-t3 01752 University of Arkansaseuro 5/20029920 12/8/2002 US31/12/2032 BORDÒ2009/2143 bo 96025004 01869/04704/06419/0 C.R.P.V/Apofruit Italia/Universitàeuro 4/201438205 2/6/2014 BORDÒ IT31/12/2044 BOREAL2014/2530 t333-31 nb 04411 PSB Producción Vegetal SLeuro 2/201951511 25/2/2019 ES31/12/2049 BRADYLA2005/2524 2 p 1052 00160/00279 Gie Star Fruits - Sel. Plantas Sevieuro 2/201026761 22/2/2010 FR31/12/2040 BRAKAY20054594 N 95 25 00279 Selección Plantas Sevilla SLesp 4-2010002491 6/7/2010 BRAKAY ES31/12/2040 BRAPRE2001/0161 sf 94.003 00279/08287 Sel. Plantas Sevilla SL / STAR Feuro 6/200311977 20/10/2003 BRAPRE ES31/12/2033 BRAREG20054596 N9558 00279 Selección Plantas Sevilla SLesp 4-2010002492 6/7/2010 BRAREG ES31/12/2040 BRITTNEY LANE2006/2514 564 99 pj 00189 DARNAUD, Jean-Pierreeuro 4/201130096 23/5/2011 FR31/12/2041 BURNECTFIFTEEN2008/2969 e4.050 10200 WAWONA PACKING COMPANYeuro 3/201642899 21/3/2016 US31/12/2046 BURNECTFOUR2006/2554 c2.092 10200 WAWONA PACKING COMPANYeuro 4/201232660 7/5/2012 US31/12/2042 BURPEACHFIVE2004/2274 b2.098 10200 WAWONA PACKING COMPANYeuro 3/201129119 7/3/2011 US31/12/2041 BURPEACHFOUR2004/2273 b2.034 10200 WAWONA PACKING COMPANYeuro 3/201129118 7/3/2011 US31/12/2041 BURPEACHONE2004/2271 d2.102 03688 The Burchell Nursery inc.euro 3/200924360 23/3/2009 US31/12/2039 BURPEACHSEVEN2006/2556 c12.001 10200 WAWONA PACKING COMPANYeuro 3/201119126 7/3/2011 US31/12/2041 BURPEACHSIX2004/2269 b4.098 10200 WAWONA PACKING COMPANYeuro 3/201129117 7/3/2011 US31/12/2041 BURPEACHTWO2001/2051 a 39 006 10200 WAWONA PACKING COMPANYeuro 4/200720403 18/6/2007 US31/12/2037 C-22920084841 c-229 ES1016 FRUTARIA COMERCIAL DE FResp 1-2017002750 16/1/2017 ES31/12/2047 C-23020084840 c-230 ES1016 FRUTARIA COMERCIAL DE FResp 1-2014002643 27/12/2013 C-230 ES31/12/2043 7/3/2020 Pàgina 57 de 98
  • 58.
    DenominacióNº Exp. Nomcomercial Codi / Titular Butlletí Nº POV Inici Protecció Fi Referència Obtentor / Prunus persica (L.) Batsch C-5820084842 c-58 ES1016 FRUTARIA COMERCIAL DE FResp 2-2013002576 17/1/2013 C-58 ES31/12/2043 CAKEAUGUST2011/0563 4s.6e.12nbpl - asf0870 04628 SARL Agro Selection Fruitseuro 2/201539654 23/2/2015 FR31/12/2045 CAKEDELICE2012/0745 03.5e.125nbpl - asf0976 04628 SARL Agro Selection Fruitseuro 2/201745518 20/2/2017 FR31/12/2047 CAKELOVE2011/0562 4s.3e.168nbpl - asf0775 04628 SARL Agro Selection Fruitseuro 2/201539653 23/2/2015 FR31/12/2045 CAKEPEARL2010/0500 4s.3w.18nbpl - asf0678 04628 SARL Agro Selection Fruitseuro 4/201437915 5/5/2014 NECTACAKE* ASF0678 FR31/12/2044 CAKEREDAL2010/0503 4s.5w.135nbpl - asf0778 04628 SARL Agro Selection Fruitseuro 2/201436700 27/1/2014 NECTACAKE* ASF0778 FR31/12/2044 CAKEREINE2010/0504 4s.4e.109nbpl - asf0780 04628 SARL Agro Selection Fruitseuro 2/201436701 27/1/2014 ASF 07-80 FR31/12/2044 CAKEREVE2012/2708 03.21w.39nbpl - asf1072 04628 SARL Agro Selection Fruitseuro 2/201745524 20/2/2017 FR31/12/2047 CAKESEPTEMBER2009/0939 4n.13.01 nbpl - asf 0688 04628 SARL Agro Selection FruitsEURO 2/201334180 18/2/2013 NECTACAKE*35 ASF0688 FR31/12/2043 CALEJOS20074768 02018 Diputación General de Arag¾nesp 3-2013002626 3/8/2013 ES31/12/2043 CALEMIL20074765 02018 Diputación General de Arag¾nesp 3-2013002627 3/8/2013 ES31/12/2043 CALPREBOR20074766 02018 Diputación General de Arag¾nesp 3-2013002628 3/8/2013 ES31/12/2043 CALRICO20074767 02018 Diputación General de Arag¾nesp 3-2013002629 3/8/2013 ES31/12/2043 CARAMBA2013/3057 b426-5 ppb 04411 PSB Producción Vegetal SLeuro 2/201848358 19/2/2018 ES31/12/2048 CARIOCA2010/2754 b 424-16 ppb 04411 PSB Producción Vegetal SLeuro 3/201643311 25/4/2016 ES31/12/2046 CARLA2012/2213 b 428-5 pj 04411 PSB Producción Vegetal SLeuro 3/201745887 20/3/2017 ES31/12/2047 CASABOI1995/0722 se 88205 00279 Selección Plantas Sevilla SLeuro116 3/20017451 9/4/2001 ES1/5/2026 CASASIL1995/0721 se 9003 00279 Selección Plantas Sevilla SLeuro116 3/20017450 9/4/2001 ES1/5/2026 CAUSSOROB20024470 CAS 9774 00279 Selección Plantas Sevilla SLesp 1-2010002474 25/12/2009 ES31/12/2039 CAZIDELI20024472 SD 09124 00279 Selección Plantas Sevilla SLesp 5-2009002446 22/7/2009 ES31/12/2039 CLARISS2014/2513 4052-22 nj 04411 PSB Producción Vegetal SLeuro 2/201951504 25/2/2019 ES31/12/2049 CONQUISE2003/0269 s6200 00689 INRA-Institut National de la Recheuro 6/200516193 12/9/2005 CONQUISE FR31/12/2035 CONVOITISE2007/2770 s6925 00689 INRA-Institut National de la Recheuro 2/201026778 22/2/2010 FR31/12/2040 COUNTRYSWEET2008/2765 297 90 pj 00189 DARNAUD, Jean-Pierreeuro 4/201335219 6/5/2013 COUNTRYSWEET FR31/12/2043 CRIMSON LADY1995/0521 42 p 870 00279/08287 Sel. Plantas Sevilla SL / STAR Feuro116 3/19971871 3/4/1997 CRIMSON LADY ES1/2/2023 CRISPBELLA2010/0493 01.29e.62pj - asf0842 04628 SARL Agro Selection Fruitseuro 2/201436695 27/1/2014 CRISPBELLA FR31/12/2044 CRISPCOTA2012/2705 03.7e.76pj - asf1042 04628 SARL Agro Selection Fruitseuro 2/201745522 20/2/2017 FR31/12/2047 7/3/2020 Pàgina 58 de 98
  • 59.
    DenominacióNº Exp. Nomcomercial Codi / Titular Butlletí Nº POV Inici Protecció Fi Referència Obtentor / Prunus persica (L.) Batsch CRISPDELICE SUN2006/0998 03.05.142 pj-asf 0443 04628 SARL Agro Selection Fruitseuro 2/201026769 22/2/2010 TONICSUN 31 FR31/12/2040 CRISPDIVA2012/2706 03.7e.64pj - asf1046 04628 SARL Agro Selection Fruitseuro 2/201745523 20/2/2017 FR31/12/2047 CRISPDREAM2014/3172 03.29e.46.11pj - asf1144 04628 SARL Agro Selection Fruitseuro 3/204951662 11/3/2019 FR31/12/2049 CRISPGOUDE2014/3173 03.29e.54.11pj - asf1142 04628 SARL Agro Selection Fruitseuro 3/204951663 11/3/2019 FR31/12/2049 CRISPLATE2012/0743 01.29e.100pj - asf0846 04628 SARL Agro Selection Fruitseuro 3/201642903 21/3/2016 FR31/12/2046 CRISPONDA2014/3169 03.30w.01.11pj lc - asf1146l 04628 SARL Agro Selection Fruitseuro 3/201951661 11/3/2019 FR31/12/2049 CRISPRIM2010/0492 01.29e.65pj - asf0841 04628 SARL Agro Selection Fruitseuro 2/201436694 27/1/2014 CRISPIM FR31/12/2044 CRISPSOL2014/3166 07.11.380.13pj - asf1343 04628 SARL Agro Selection Fruitseuro 3/201951660 11/3/2019 FR31/12/2049 CRISPSTAR2010/0494 01.29e.79pj - asf0843 04628 SARL Agro Selection Fruitseuro 4/201437913 5/5/2014 CRISPSTAR FR31/12/2044 CRISPSUN2012/0742 4s.12w.49pj - asf0844 04628 SARL Agro Selection Fruitseuro 3/201642723 7/3/2016 FR31/12/2046 CRISPTOLAM2014/3171 03.34w.16.11pj - asf1145l 04628 SARL Agro Selection Fruitseuro 3/201952378 15/4/2019 FR31/12/2049 DIAMOND RAY1995/1406 28 p 514 00279/08287 Sel. Plantas Sevilla SL / STAR Feuro 1/19993898 14/12/1998 DIAMOND RAY ES31/12/2028 DIVADONA2014/2514 5544-54 ppj 04411 PSB Producción Vegetal SLeuro 2/201951506 25/2/2019 ES31/12/2049 DONUTNICE2006/1000 02.07.19 nbpl-asf 0283 04628 SARL Agro Selection Fruitseuro 2/201026771 22/2/2010 NECTACAKE 30 FR31/12/2040 DORAGILE2010/2718 4-6-10-08-06 06556 AC FRUIT SASeuro 4/201438210 2/6/2014 FR31/12/2044 DORAZIE2010/2715 4-8-05-08-06 06556 AC FRUIT SASeuro 4/201438209 2/6/2014 FR31/12/2044 E.C.A. ALFARRAS19933447 521 D.A.R.P.esp BOE-69002183 21/3/2003 ROIG ESCOLA ALFARRAS ES21/3/2023 ENDOGUST2009/0931 03.24.01 nb - asf 0526 04628 SARL Agro Selection FruitsEURO 2/201334173 18/2/2013 ASF 05-26 FR31/12/2043 FERCLUSE2000/1077 s6026 00689 INRA-Institut National de la Recheuro 1/200310242 18/11/2002 FERCLUSE FR18/11/2032 FERGOLD2000/1076 s5710 00689 INRA-Institut National de la Recheuro 1/200310241 18/11/2002 FERGOLD FR18/11/2032 FERLATE2007/2525 s7040 00689 INRA-Institut National de la Recheuro 2/201231432 6/2/2012 FR31/12/2042 FERLOT2000/1074 s6037 00689 INRA-Institut National de la Recheuro 1/200310239 18/11/2002 FERLOT FR18/11/2032 FIDJI2014/1040 ha133-12 04411 PSB Producción Vegetal SLeuro 2/201951293 11/2/2019 ES31/12/2044 FILOMENA2014/2529 t78-15 pj 04411 PSB Producción Vegetal SLeuro 2/201951510 25/2/2019 ES31/12/2049 FIRST SNOW 82008/2013 zpb7-1 05589/05590 Gravilorenzo SL - A. Lópezeuro 2/201436965 24/2/2014 FIRST SNOW 8 ES31/12/2044 FLARIBA2004/2496 n2-117nj 04411 PSB Producción Vegetal SLeuro 5/201130549 25/7/2011 ES31/12/2041 FLATBEAUTI2010/0508 01.29e.50pbpl - asf0795 04628 SARL Agro Selection Fruitseuro 2/201436704 27/1/2014 REGALCAKE* ASF0795 FR31/12/2044 7/3/2020 Pàgina 59 de 98
  • 60.
    DenominacióNº Exp. Nomcomercial Codi / Titular Butlletí Nº POV Inici Protecció Fi Referència Obtentor / Prunus persica (L.) Batsch FLATBELLA2010/0507 01.29e.49pbpl - asf0792 04628 SARL Agro Selection Fruitseuro 2/201436703 27/1/2014 REGALCAKE* ASF0792 FR31/12/2044 FLATCHIEF2011/0566 01.26w.40pbpl - asf0892 04628 SARL Agro Selection Fruitseuro 2/201539657 23/2/2015 FR31/12/2045 FLATEARLY2012/0747 03.20e.89pbpl - asf1091 04628 SARL Agro Selection Fruitseuro 3/201642724 7/3/2016 FR31/12/2046 FLATELSE2014/3160 02.1e.106.11pbpl - asf11100 04628 SARL Agro Selection Fruitseuro 3/201951656 11/3/2019 FR31/12/2049 FLATJULIE2010/0510 01.29e.33pbpl - asf0893 04628 SARL Agro Selection Fruitseuro 2/201436705 27/1/2014 REGALCAKE* ASF0893 FR31/12/2044 FLATLATE CAKE2006/1002 02.07.16 pbpl-asf 0287 04628 SARL Agro Selection Fruitseuro 2/201026773 22/2/2010 REGALCAKE 37 FR31/12/2040 FLATMOON2010/0509 05.01.192pbpl - asf0799 04628 SARL Agro Selection Fruitseuro 2/201539642 23/2/2015 REGALCAKE* ASF0799 FR31/12/2045 FLATOP2011/0565 01.29e.42pbpl - asf0797 04628 SARL Agro Selection Fruitseuro 2/201539656 23/2/2015 FR31/12/2045 FLATPRINCESSE2005/0903 02.03.21 : asf 0385 04628 SARL Agro Selection Fruitseuro 2/200924113 23/2/2009 REGALCAKE* 33 ASF0385 FR31/12/2039 FLATRED CAKE2006/1001 03.12.122 pbpl-asf 0386 04628 SARL Agro Selection Fruitseuro 2/201026772 22/2/2010 REGALCAKE* 32 FR31/12/2040 FLATREINE2009/0935 01.29e.44 pbpl - asf 0796 04628 SARL Agro Selection FruitsEURO 2/201334176 18/2/2013 REGALCAKE*29 AFS0796 FR31/12/2043 FLATSEPTEMBER2008/0591 03.15.22 pbpl - asf 0493 04628 SARL Agro Selection Fruitseuro 3/201437364 24/3/2014 REGALCAKE*35 ASF0493 FR31/12/2044 FLATSTAR2009/0936 01.29e.41 pbpl - asf 0798 04628 SARL Agro Selection FruitsEURO 2/201334177 18/2/2013 ASF 07-98 FR31/12/2043 FLATSUNPI2010/0505 05.01.134pjpl - asf0783 04628 SARL Agro Selection Fruitseuro 2/201436970 24/2/2014 PEACHCAKE* ASF0783 FR31/12/2044 FLATSUNREINE2010/0506 01.29e.25pjpl - asf0881 04628 SARL Agro Selection Fruitseuro 2/201436702 27/1/2014 PEACHCAKE* ASF0881 FR31/12/2044 FLAVANA2004/2497 n2-24nb 04411 PSB Producción Vegetal SLeuro 5/201130550 25/7/2011 ES31/12/2041 FLAVELA2004/2495 n2-36nb 04411 PSB Producción Vegetal SLeuro 5/201130548 25/7/2011 ES31/12/2041 FRESH SNOW2013/2737 18(10) 05589/05590 Gravilorenzo SL - A. Lópezeuro 2/201848129 22/1/2018 ES31/12/2048 FULLREDAL2005/0898 01.19.01 : asf 0246 04628 SARL Agro Selection Fruitseuro 3/200924344 23/3/2009 REGALSUN 31 FR31/12/2039 GARACO2003/1887 nb 81-84 04411 PSB Producción Vegetal SLeuro 3/200924369 23/3/2009 GARACO (R13) ES31/12/2039 GARBAJA2003/1882 nj 32-1 04411 PSB Producción Vegetal SLeuro 4/200924891 4/5/2009 ES31/12/2039 GARCICA2003/1885 nb 12-84 04411 PSB Producción Vegetal SLeuro 3/200924367 23/3/2009 GARCICA (R22) ES31/12/2039 GARCIMA2003/1888 nj 88-2 04411 PSB Producción Vegetal SLeuro 3/200924370 23/3/2009 ES31/12/2039 GARDETA2003/1890 nj 52-84 04411 PSB Producción Vegetal SLeuro 3/200924372 23/3/2009 GARDETA (R28) ES31/12/2039 GAROFA2003/1892 nj 21-64 04411 PSB Producción Vegetal SLeuro 3/200924373 23/3/2009 GAROFA (R8) ES31/12/2039 GARTAIRO2003/1883 nj 82-64 04411 PSB Producción Vegetal SLeuro 3/200924829 20/4/2009 GARTAIRO (R2) ES31/12/2039 GEA2010/0134 geo 3703 06885 Geoplant Vivai SRL Societa Agriceuro 4/201438207 2/6/2014 GEO 3703 IT31/12/2044 7/3/2020 Pàgina 60 de 98
  • 61.
    DenominacióNº Exp. Nomcomercial Codi / Titular Butlletí Nº POV Inici Protecció Fi Referència Obtentor / Prunus persica (L.) Batsch GELO 12008/2682 gelo-1 04812/04813 NICOTRA / CONTEeuro 6/200925980 5/10/2009 GHIACCIO* 1 IT31/12/2039 GELO 22008/2683 gelo-2 04812/04813 NICOTRA / CONTEeuro 6/200925981 5/10/2009 GHIACCIO* 2 IT31/12/2039 GELO 32008/2684 gelo-3 04812/04813 NICOTRA / CONTEeuro 6/200925982 5/10/2009 GHIACCIO* 3 IT31/12/2039 GOLDEN HERO2013/2738 4(10) 05589/05590 Gravilorenzo SL - A. Lópezeuro 2/201848130 22/1/2018 ES31/12/2048 GROCIVAC12013/2582 ivia mel ac-0306-09 01157/03862 IVIA - AGROMILLORA IBERIA Seuro 1/201847977 20/12/2017 ES31/12/2047 GROCIVAC22013/2583 ivia mel ac-0305-05 01157/03862 IVIA - AGROMILLORA IBERIA Seuro 1/201847978 20/12/2017 ES31/12/2047 HIT6920145133 netrix 28 ES986 PROSEPLAN SLesp 4-20192904 27/7/2019 ES31/12/2049 HONEY BLAZE2000/1777 544 97n 00189 DARNAUD, Jean-Pierreeuro 2/200616996 27/2/2006 HONEY BLAZE FR31/12/2036 HONEY BLUSH2004/0774 2b-53-13 03945 ARC Infruitec - Nietvoorbijeuro 5/201233276 6/8/2012 ZA31/12/2042 HONEY FIRE2004/2467 688 99 n 00189 DARNAUD, Jean-Pierreeuro 3/201027231 19/4/2010 HONEY FIRE FR31/12/2040 HONEY HAVEN2000/1775 556 97n 00189 DARNAUD, Jean-Pierreeuro 2/200616995 27/2/2006 BIG HAVEN FR31/12/2036 HONEY KIST1998/0669 333.91.n 00189 DARNAUD, Jean-Pierreeuro 1/200412032 10/11/2003 BO 90004011 FR1/1/2034 HONEY ROYALE2002/1788 529 96 n 00189 DARNAUD, Jean-Pierreeuro 4/200720398 18/6/2007 HONEY ROYALE FR31/12/2037 HORIZON2006/0858 horizon 03945 ARC Infruitec - Nietvoorbijeuro 5/201233277 6/8/2012 ZA31/12/2042 IBIZA2014/1044 4094-16 pb 04411 PSB Producción Vegetal SLeuro 2/201951294 11/2/2019 ES31/12/2049 ISFROPLAT-320044549 ufo 3 IT015 Istituto Sperimentale per la Fruttiesp 4-2010002494 6/7/2010 UFO - 3 IT31/12/2040 ISFROPLAT-420044548 ufo 4 IT015 Istituto Sperimentale per la Fruttiesp 4-2010002495 6/7/2010 UFO - 4 IT31/12/2040 IVORY NIGHT2010/2738 48 p 606 00279/08287 Sel. Plantas Sevilla SL / STAR Feuro 3/201437365 24/3/2014 ES31/12/2044 IVORY STAR2008/2771 20 p 1169 00279/08287 Sel. Plantas Sevilla SL / STAR Feuro 2/201231546 20/2/2012 20 P 1169 (IVORY STAR) ES31/12/2042 IVORY SUN2010/2740 14 p 278 00160/00279 Gie Star Fruits - Sel. Plantas Sevieuro 2/201539646 23/2/2015 FR31/12/2045 JULIENICE2005/0900 01.24.14 : asf 0248 04628 SARL Agro Selection Fruitseuro 2/200924110 23/2/2009 REGALSUN 34 FR31/12/2039 JULIEPRETTY2005/0899 02.04.55 : asf 0252 04628 SARL Agro Selection Fruitseuro 2/200924109 23/2/2009 REGALSUN 33 FR31/12/2039 KINOLEA2014/2512 4052-15 04411 PSB Producción Vegetal SLeuro 2/201951503 25/2/2019 ES31/12/2049 LADY GOLD2012/2385 w/sil-5 05589/05590 Gravilorenzo SL - A. Lópezeuro 3/201745893 20/3/2017 ES31/12/2047 LADY LOVE2013/3116 48 p 610 08287/00279 Star Fruit / Seleccion Plantas Seveuro 3/201745679 6/3/2017 FR31/12/2047 LADY NICE2013/3115 7 g 315 08287/00279 Star Fruit / Seleccion Plantas Seveuro 3/201745678 6/3/2017 FR31/12/2047 LADY VELVET2013/3113 15 g 1238 08287/00279 Star Fruit / Seleccion Plantas Seveuro 3/201745676 6/3/2017 FR31/12/2047 7/3/2020 Pàgina 61 de 98
  • 62.
    DenominacióNº Exp. Nomcomercial Codi / Titular Butlletí Nº POV Inici Protecció Fi Referència Obtentor / Prunus persica (L.) Batsch LAMINERA20034530 almanat (334F4828) ES1016 FRUTARIA COMERCIAL DE FResp 1-2010002475 25/12/2009 ES31/12/2039 LARCABON20024476 SD 9779 00279 Selección Plantas Sevilla SLesp 5-2009002447 22/7/2009 ES31/12/2039 LARCAPRE20024475 S9612 FG 00279 Selección Plantas Sevilla SLesp 5-2009002448 22/7/2009 ES31/12/2039 LEVANTE 1020104935 maca2 ES965 IMIDAesp 1-2017002752 16/1/2017 MACA2 ES31/12/2047 LEVANTE 2020135101 levante 20 ES998 IMIDA/NovaMedesp 1-2018002813 20/2/2018 ES31/12/2048 LEVANTE 3020104934 maca4 ES965 IMIDAesp 1-2017002751 16/1/2017 MACA4 ES31/12/2047 LEVANTE 4020135102 levante 40 ES998 IMIDA/NovaMedesp 1-2018002814 20/2/2018 ES31/12/2048 LOLA2010/2753 292-8 pj 04411 PSB Producción Vegetal SLeuro 3/201643310 25/4/2016 ES31/12/2046 LORDABRY20024473 S 9781 BR 00279 Selección Plantas Sevilla SLesp 5-2009002449 22/7/2009 ES31/12/2039 LORDADIAM2006/2406 6698s 00279/03299 Sel. Plantas Sevilla SL - S.N.C. Seuro 3/201129125 7/3/2011 ES31/12/2041 LORDADOU20024474 ST 9790 00279 Selección Plantas Sevilla SLesp 5-2009002450 22/7/2009 ES31/12/2039 LUCIANA2006/0021 n47-13 nj 04411 PSB Producción Vegetal SLeuro 3/201129121 7/3/2011 LUCIANA (R48) ES31/12/2041 LUX 29 02’2013/2983 p02f022a134 04628/00370 AGRO SELECTIONS FRUITS S.euro 2/201848353 19/2/2018 ES31/12/2048 LUX 30012013/2985 p03f025a025 04628/00370 AGRO SELECTIONS FRUITS S.euro 2/201951290 11/2/2019 ES31/12/2049 LUX 35 012011/3181 p01f004a069 00370/04628 IRTA/SARL Agro Selection Fruitseuro 3/201746010 3/4/2017 ES31/12/2047 LUX 35022012/2742 p01f008a007 00370/04628 IRTA/SARL Agro Selection Fruitseuro 5/201849951 16/7/2018 ES31/12/2048 MAGNA 29 012011/3179 p01f013a001 00370/04628 IRTA/SARL Agro Selection Fruitseuro 1/201744942 5/12/2016 ES31/12/2046 MAGNA 31 012011/3184 p01f011a002 00370/04628 IRTA/SARL Agro Selection Fruitseuro 6/201644801 17/10/2016 ES31/12/2046 MAGNA 37012012/2741 p02f006a043 00370/04628 IRTA/SARL Agro Selection Fruitseuro 5/201849950 16/7/2018 ES31/12/2048 MAILLARA2000/0352 01283727 02954 Scea Euro Pépinièreseuro 6/200311973 20/10/2003 BIG BANG* FR31/12/2033 MAILLARBIG2002/0587 ep 9215 r 02954 Scea Euro Pépinièreseuro 1/200412113 24/11/2003 BIGSUN FR1/1/2034 MAILLARBINETTE2002/0590 ep 97.51 02954 Scea Euro Pépinièreseuro 1/200412114 24/11/2003 BELBINETTE FR1/1/2034 MAILLARDANCE2004/0752 01.05.05.98 pb 04628 SARL Agro Selection Fruitseuro 3/200821919 10/3/2008 REGAL SNOW* 35 FR31/12/2038 MAILLARDIVA2004/0751 01.05.20.98 pb 04628 SARL Agro Selection Fruitseuro 3/200821918 10/3/2008 REGAL SNOW* 34 FR31/12/2038 MAILLARDUCHESSE2004/0749 01.14.77.01 nb 04628 SARL Agro Selection Fruitseuro 3/200821916 10/3/2008 NECTADELICE* 36 FR31/12/2038 MAILLARFLAT2002/0570 ep 93,06 02954 Scea Euro Pépinièreseuro 1/200412110 24/11/2003 SWEET CAP* FR1/1/2034 MAILLARGOOD2002/0573 ep 9420 r 02954 Scea Euro Pépinièreseuro 1/200412111 24/11/2003 VERYGOOD FR1/1/2034 7/3/2020 Pàgina 62 de 98
  • 63.
    DenominacióNº Exp. Nomcomercial Codi / Titular Butlletí Nº POV Inici Protecció Fi Referència Obtentor / Prunus persica (L.) Batsch MAILLARLOVE2004/0750 01.11.92.02 pb 04628 SARL Agro Selection Fruitseuro 3/200821917 10/3/2008 REGAL SNOW* 26 FR31/12/2038 MAILLARMAGIE2002/0589 nb0192497 clone ep 9769 02954 Scea Euro Pépinièreseuro 2/200616775 30/1/2006 MAGIQUE* FR31/12/2036 MAILLARMALINE2002/0571 ep 9655 pb 02954 Scea Euro Pépinièreseuro 2/200616773 30/1/2006 VALENTINE* FR31/12/2036 MAILLARNECTA2002/0572 ep 9748 02954 Scea Euro Pépinièreseuro 5/200618129 17/7/2006 BIG NECTARED FR31/12/2036 MAILLARPLUS2002/0574 ep 91,08 r 02954 Scea Euro Pépinièreseuro 1/200412112 24/12/2003 PLUSPLUS* FR1/1/2034 MAILLARPRINCESSE2004/0747 01.16.73.01 nb 04628 SARL Agro Selection Fruitseuro 3/200821914 10/3/2008 NECTADELICE 28 FR31/12/2038 MAILLARQUEEN2004/0745 01.14.03.01 nb 04628 SARL Agro Selection Fruitseuro 3/200821905 10/3/2008 NECTADELICE 25 FR31/12/2038 MAILLARUBY2002/0575 ep 94.41 nb 02954 Scea Euro Pépinièreseuro 2/200616774 30/1/2006 PRETTY RUBIS FR31/12/2036 MAJESTIC PEARL2007/2568 15 g 222 00279/08287 Sel. Plantas Sevilla SL / STAR Feuro 4/201232806 4/6/2012 ES31/12/2042 MAPERLA2005/0910 02.11.19 : asf 0363 04628 SARL Agro Selection Fruitseuro 2/200924119 23/2/2009 REGAL SNOW* 30 FR31/12/2039 MARFILNECT20094865 ivia-mel 01 01157 IVIA - Institut Valencià d'Investigaesp 5-2017002781 8/9/2017 IVIA-MEL 01 ES31/12/2047 MAY HERO2009/2287 w / sil-42 05589/05590 Gravilorenzo SL - A. Lópezeuro 2/201436966 24/2/2014 MAY HERO ES31/12/2044 MAY PEARL2008/2768 30 p 484 00279/08287 Sel. Plantas Sevilla SL / STAR Feuro 2/201231543 20/2/2012 MAY PEARL ES31/12/2042 MELDOREE2010/2717 8-01-02 06556 AC FRUIT SASeuro 5/201438704 28/7/2014 FR31/12/2044 MESEMBRINE2001/1739 s 6606 00689 INRA-Institut National de la Recheuro 6/200311978 20/10/2003 MESEMBRINE FR31/12/2033 MESSAPIA2002/0724 messapia 03849 Giannoccaro Pietroeuro 6/200414095 25/10/2004 IT31/12/2034 MISTRAL 3020125046 novaplat-30ca ES965 IMIDAesp 1-2018002815 20/2/2018 ES31/12/2048 MOMEE1995/1043 4001 08287 STAR FRUITS DIFFUSION S.A.euro116 3/19971870 3/4/1997 JADE* FR1/2/2023 MONADINE2007/0118 2-3 01045 Monteux Gaillet Reneeuro 4/201232797 21/5/2012 MONADINE FR31/12/2042 MONAFI20054588 1079 ES921 René Monteux-Cailletesp 4-2010002502 12/7/2010 GRENAT* FR31/12/2040 MONALU20024454 149 5 ES920 Star Fruits SNCesp 5-2009002451 22/7/2009 ONYX* FR31/12/2039 MONANGE2013/3040 1-3-02-07-07 01045 Monteux Gaillet Reneeuro 4/201746385 10/5/2017 FR31/12/2047 MONARIGA2007/2725 1 02 02 01045 Monteux Gaillet Reneeuro 1/201231263 19/12/2011 FR31/12/2041 MONASID2007/2565 2 09 02 01045 Monteux Gaillet Reneeuro 3/201129639 18/4/2011 FR31/12/2041 MONATUN2007/2564 2 04 02 01045 Monteux Gaillet Reneeuro 3/201129638 18/4/2011 FR31/12/2041 MONBACH2013/3045 4-14 01045 Monteux Gaillet Reneeuro 4/201438337 16/6/2014 FR31/12/2044 MONBELLO2011/0127 12 04 02 01045 Monteux Gaillet Reneeuro 2/201436971 24/2/2014 FR31/12/2044 7/3/2020 Pàgina 63 de 98
  • 64.
    DenominacióNº Exp. Nomcomercial Codi / Titular Butlletí Nº POV Inici Protecció Fi Referència Obtentor / Prunus persica (L.) Batsch MONCANTE2009/0074 23 20 02 01045 Monteux Gaillet Reneeuro 2/201334165 18/2/2013 23 20 02 FR31/12/2043 MONCAV1995/1044 15-83-170 00160 Gie Star Fruitseuro116 2/19971644 15/1/1997 OPALE* FR1/2/2022 MONCHA2013/3053 12-24 01045 Monteux Gaillet Reneeuro 4/201438339 16/6/2014 FR31/12/2044 MONCO20014383 7025 FR900 Monteux-Caillet, Renéesp 5-2009002453 22/7/2009 CORALINE* FR31/12/2039 MONDORÉ2003/2397 161-15 01045 Monteux Gaillet Reneeuro 3/200821921 10/3/2008 DOLOMITE* FR31/12/2038 MONEKAT2016/0529 8-1-10-8-4 01045 Monteux Gaillet Reneeuro 3/201951674 11/3/2019 FR31/12/2049 MONERIN2006/2508 15-10 01045 Monteux Gaillet Reneeuro 3/200821932 10/3/2008 ORINE* FR31/12/2038 MONFLAM2016/0528 8-10-4 01045 Monteux Gaillet Reneeuro 3/201951673 11/3/2019 FR31/12/2049 MONGOT2003/2399 53-15 01045 Monteux Gaillet Reneeuro 3/200821922 10/3/2008 AMAZONITE* FR31/12/2038 MONGROS2002/1424 966 01045 Monteux Gaillet Reneeuro 6/200516191 12/9/2005 GYPSE* FR31/12/2035 MONIRON2008/2743 0 14 7 07 01045 Monteux Gaillet Reneeuro 3/201129642 18/4/2011 MONIRON FR31/12/2041 MONIVO20014386 89.6 FR900 Monteux-Caillet, Renéesp 5-2009002456 22/7/2009 IVOIRE* FR31/12/2039 MONJAUNE20024455 160 3 ES920 Star Fruits SNCesp 5-2009002457 22/7/2009 CORINDON* FR31/12/2039 MONLEB2013/3043 4-8 01045 Monteux Gaillet Reneeuro 4/201438336 16/6/2014 FR31/12/2044 MONLORI2014/3086 8-9-4 01045 Monteux Gaillet Reneeuro 3/201849025 23/4/2018 FR31/12/2048 MONLY2004/2486 4-3-7 01045 Monteux Gaillet Reneeuro 3/200821926 10/3/2008 FR31/12/2038 MONMEIL2007/2724 19 1 2 01045 Monteux Gaillet Reneeuro 2/201128855 7/2/2011 FR31/12/2041 MONNOIR2002/1426 956 01045 Monteux Gaillet Reneeuro 6/200516192 12/9/2005 AZURITE* FR31/12/2035 MONNUDE1995/1041 2201 08287 STAR FRUITS DIFFUSION S.A.euro116 2/19971642 15/1/1997 EMERAUDE* FR1/2/2022 MONPERSI2006/2506 29-'2-02 01045 Monteux Gaillet Reneeuro 2/201026776 22/2/2010 FR31/12/2040 MONPHIR1995/1037 70-97 08287 STAR FRUITS DIFFUSION S.A.euro116 3/19971868 3/4/1997 ZEPHYR* FR1/5/2022 MONRENÉ2007/2561 18 08 02 01045 Monteux Gaillet Reneeuro 2/201128851 7/2/2011 FR31/12/2041 MONRIES2003/1818 075 01045 Monteux Gaillet Reneeuro 3/200617327 24/4/2006 CRISTAL* FR31/12/2036 MONRUN2006/2502 22-01-02 01045 Monteux Gaillet Reneeuro 6/201028211 6/9/2010 SANDINE FR31/12/2040 MONSAN 12003/2398 12-15 01045 Monteux Gaillet Reneeuro 3/200822070 7/4/2008 FR31/12/2038 MONSANDEUX2006/2509 12-85 01045 Monteux Gaillet Reneeuro 2/201026777 22/2/2010 FR31/12/2040 MONSAT2006/2507 238 01045 Monteux Gaillet Reneeuro 3/200821931 10/3/2008 MONSAT FR31/12/2038 7/3/2020 Pàgina 64 de 98
  • 65.
    DenominacióNº Exp. Nomcomercial Codi / Titular Butlletí Nº POV Inici Protecció Fi Referència Obtentor / Prunus persica (L.) Batsch MONTALINE2006/2504 426 01045 Monteux Gaillet Reneeuro 2/200924102 23/2/2009 TOURMALINE* FR31/12/2039 MONTARSA2003/1809 047 01045 Monteux Gaillet Reneeuro 3/200617326 24/4/2006 FR31/12/2036 MONTICA2008/2741 17 b14 02 01045 Monteux Gaillet Reneeuro 4/201130327 6/6/2011 MONTICA FR31/12/2041 MONTONNE2005/2521 21-61 01045 Monteux Gaillet Reneeuro 2/201026760 22/2/2010 FR31/12/2040 MONVAL2013/3050 12-87 01045 Monteux Gaillet Reneeuro 4/201438338 16/6/2014 FR31/12/2044 NAJORY2014/3153 5-1-07-09-07 06556 AC FRUIT SASeuro 2/201848408 19/2/2018 FR31/12/2048 NEBRASKA2014/1045 4107-9 nj 04411 PSB Producción Vegetal SLeuro 2/201951502 25/2/2019 ES31/12/2049 NECTA ZEE1995/1317 354 93n 00189 DARNAUD, Jean-Pierreeuro 1/19993889 14/12/1998 FR31/12/2028 NECTABANG2009/0927 4n.05.141 nj - asf 0503 04628 SARL Agro Selection FruitsEURO 2/201334169 18/2/2013 NECTAPOM 23 FR31/12/2043 NECTABELLE2008/0576 4n.12.65 nj - asf 0501 04628 SARL Agro Selection Fruitseuro 2/201231530 20/2/2012 NECTAPOM 22.1 FR31/12/2042 NECTABINGO2012/0740 03.8w.31nj - asf1002 04628 SARL Agro Selection Fruitseuro 3/201642721 7/3/2016 FR31/12/2046 NECTACHIEF2005/0908 01.23.01 : asf 0201 04628 SARL Agro Selection Fruitseuro 2/200924117 23/2/2009 NECTAPOM 26 FR31/12/2039 NECTADELICIOUS2005/0907 01.24.49 : asf 0206 04628 SARL Agro Selection Fruitseuro 2/200924116 23/2/2009 NECTAPOM 31 FR31/12/2039 NECTADIVA2011/0558 4n.03.120nj - asf0619 04628 SARL Agro Selection Fruitseuro 2/201539650 23/2/2015 FR31/12/2045 NECTAFLASH2012/2703 03.30w.109nj - asf1108 04628 SARL Agro Selection Fruitseuro 2/201745520 20/2/2017 FR31/12/2047 NECTAFUN2011/0559 01.29w.11nj - asf0704 04628 SARL Agro Selection Fruitseuro 6/201644389 19/9/2016 FR31/12/2046 NECTAGALA2004/0742 01.07.43.01 nj 04628 SARL Agro Selection Fruitseuro 3/200821908 10/3/2008 NECTAPOM* 32 FR31/12/2038 NECTAJOY2014/3180 02.8w.125.11nj - asf1111l 04628 SARL Agro Selection Fruitseuro 3/201951669 11/3/2019 FR31/12/2049 NECTAJULIE2011/0557 4n.02.95nj - asf0613 04628 SARL Agro Selection Fruitseuro 2/201539649 23/2/2015 FR31/12/2045 NECTAKING2012/2702 4s.10w.44nj - asf0805 04628 SARL Agro Selection Fruitseuro 2/201745519 20/2/2017 FR31/12/2047 NECTALADY2004/0744 01.24.93.02 nj 04628 SARL Agro Selection Fruitseuro 3/200821906 10/3/2008 NECTAPOM 35 FR31/12/2038 NECTAMOUR2010/0479 4n.08.149nj - asf0608 04628 SARL Agro Selection Fruitseuro 2/201539639 23/2/2015 NECTAMOUR FR31/12/2045 NECTANA2014/3179 4n.14w.33.12nj - asf1311 04628 SARL Agro Selection Fruitseuro 3/201951668 11/3/2019 FR31/12/2049 NECTAPI2008/0581 03.22.128 nj - asf 0414 04628 SARL Agro Selection Fruitseuro 2/201231534 20/2/2012 NECTAPI FR31/12/2042 NECTAPINK2004/0741 01.08.60.01 nj 04628 SARL Agro Selection Fruitseuro 3/200821909 10/3/2008 NECTAPOM 30 FR31/12/2038 NECTAPRIMA2004/0738 01.01.02.00 nj 04628 SARL Agro Selection Fruitseuro 3/200821912 10/3/2008 NECTAPOM* 22 FR31/12/2038 NECTARBONDANT2010/0485 01.27w.71nb - asf0732 04628 SARL Agro Selection Fruitseuro 4/201437911 5/5/2014 NECTARBONDANT FR31/12/2044 7/3/2020 Pàgina 65 de 98
  • 66.
    DenominacióNº Exp. Nomcomercial Codi / Titular Butlletí Nº POV Inici Protecció Fi Referència Obtentor / Prunus persica (L.) Batsch NECTARBOOM2010/0486 01.29w.19nb - asf0822 04628 SARL Agro Selection Fruitseuro 2/201436692 27/1/2014 NECTARBOOM FR31/12/2044 NECTARCRISP2006/0995 02.07.13 nb-asf 0227 04628 SARL Agro Selection Fruitseuro 2/201026766 22/2/2010 NECTASWEET* 35 FR31/12/2040 NECTARDREAM2010/0484 01.26e.04nb - asf0730 04628 SARL Agro Selection Fruitseuro 2/201436697 24/2/2014 NECTARDREAM FR31/12/2044 NECTARDUCHESSE2011/0561 01.26e.14nb - asf0833 04628 SARL Agro Selection Fruitseuro 2/201539652 23/2/2015 FR31/12/2045 NECTAREARLY2009/0932 4n.12.88 nb - asf 0623 04628 SARL Agro Selection FruitsEURO 1/201539127 3/11/2014 NECTASWEET 22 FR31/12/2044 NECTAREINE2004/0740 01.06.26.99 nj 04628 SARL Agro Selection Fruitseuro 3/200821910 10/3/2008 NECTAPOM 29 FR31/12/2038 NECTARELSE2014/3174 4n.2w.120.12nb - asf1340 04628 SARL Agro Selection Fruitseuro 3/204951664 11/3/2019 FR31/12/2049 NECTAREXQUISE2006/0996 02.10.61 nb-asf 0328 04628 SARL Agro Selection Fruitseuro 2/201026767 22/2/2010 NECTASWEET* 32 FR31/12/2040 NECTARFLORA2009/0933 05.02.109 nb - asf 0624 04628 SARL Agro Selection FruitsEURO 2/201334174 18/2/2013 NECTASWEET 23 FR31/12/2043 NECTARIANE2004/0739 01.07.33.01 nj 04628 SARL Agro Selection Fruitseuro 3/200821911 10/3/2008 NECTAPOM* 28-1 FR31/12/2038 NECTARJEWEL2006/0994 03.12.74 nb-asf 0426 04628 SARL Agro Selection Fruitseuro 2/201026765 22/2/2010 FR31/12/2040 NECTARLAM2010/0491 4s.10w.100nb - asf0832 04628 SARL Agro Selection Fruitseuro 2/201539641 23/2/2015 NECTARLAM (ASF 08-32) FR31/12/2045 NECTARLOVE2010/0483 01.26e.01nb - asf0726 04628 SARL Agro Selection Fruitseuro 4/201437910 5/5/2014 NECTARLOVE FR31/12/2044 NECTARLYS2014/3177 03.32w.02.11nb - asf1128l 04628 SARL Agro Selection Fruitseuro 3/201951666 11/3/2019 FR31/12/2049 NECTARMAGIE2004/0746 02.10.66.02 nb 04628 SARL Agro Selection Fruitseuro 3/200821913 10/3/2008 NECTASWEET 26 FR31/12/2038 NECTARNOVALA2014/3176 4n.11e.23.13nb - asf1323 04628 SARL Agro Selection Fruitseuro 3/201951665 11/3/2019 FR31/12/2049 NECTARNOW2014/3175 07.08.40.12nb - asf1325 04628 SARL Agro Selection Fruitseuro 3/201952379 15/4/2019 FR31/12/2049 NECTARONDA2014/3178 02.05.81.13nj - asf1304 04628 SARL Agro Selection Fruitseuro 3/201951667 11/3/2019 FR31/12/2049 NECTAROYAL2004/0743 01.23.15.02 nj 04628 SARL Agro Selection Fruitseuro 3/200821907 10/3/2008 NECTAPOM 33 FR31/12/2038 NECTARPERF2013/3037 01.26e.35nb - asf0831 04628 SARL Agro Selection Fruitseuro 2/201848406 19/2/2018 FR31/12/2048 NECTARPERLE2004/0748 01.16.107.02 nb 04628 SARL Agro Selection Fruitseuro 3/200821915 10/3/2008 NECTASWEET* 28 FR31/12/2038 NECTARRELIE2012/0741 01.29e.01nb - asf0821 04628 SARL Agro Selection Fruitseuro 3/201642722 7/3/2016 FR31/12/2046 NECTARREVE2008/0582 4n.12.81 nb - asf 0522 04628 SARL Agro Selection Fruitseuro 2/201231535 20/2/2012 NECTASWEET 27 FR31/12/2042 NECTARRUBY2010/0487 01.25e.52nb - asf0828 04628 SARL Agro Selection Fruitseuro 4/201437912 5/5/2014 NECTARRUBY FR31/12/2044 NECTARTIC2010/0489 4s.11e.109nb - asf0830 04628 SARL Agro Selection Fruitseuro 2/201436693 27/1/2014 NECTARIC FR31/12/2044 NECTASIA2011/0560 05.05.05nj - asf0712 04628 SARL Agro Selection Fruitseuro 2/201539651 23/2/2015 FR31/12/2045 NECTASTAR2010/0482 05.10e.115nj - asf0707 04628 SARL Agro Selection Fruitseuro 2/201436691 27/1/2014 NECTASTAR FR31/12/2044 7/3/2020 Pàgina 66 de 98
  • 67.
    DenominacióNº Exp. Nomcomercial Codi / Titular Butlletí Nº POV Inici Protecció Fi Referència Obtentor / Prunus persica (L.) Batsch NECTASUNNY2014/3181 03.30e.09.11nj - asf1120 04628 SARL Agro Selection Fruitseuro 3/201951670 11/3/2019 FR31/12/2049 NECTATINTO2010/0481 4n.05.33nj - asf0620 04628 SARL Agro Selection Fruitseuro 2/201539640 23/2/2015 NECTATINTO FR31/12/2045 NECTATOP2008/0578 03.22.87 nj - asf 0515 04628 SARL Agro Selection Fruitseuro 2/201231532 20/2/2012 NECTATOP FR31/12/2042 NECTAVANPI2009/0926 03.22.124 nj - asf 0413 04628 SARL Agro Selection FruitsEURO 2/201334168 18/2/2013 NECTAVANPI FR31/12/2043 NECTAVANTOP2009/0928 05.06.183 nj - asf 0711 04628 SARL Agro Selection FruitsEURO 2/201334170 18/2/2013 NECTAVANTOP FR31/12/2043 NECTAVISTA2008/0577 4n.05.152 nj - asf 0504 04628 SARL Agro Selection Fruitseuro 2/201231531 20/2/2012 NECTAPOM 25 FR31/12/2042 NERID 003972008/2533 00397 05510 Daniele NERIeuro 4/201335363 21/5/2013 NERID 00397 IT31/12/2043 NERID 004082008/2530 00408 05510 Daniele NERIeuro 4/201335360 21/5/2013 NERID 00408 IT31/12/2043 NERID 005222008/2531 00522 05510 Daniele NERIeuro 4/201335361 21/5/2013 NERID 00522 IT31/12/2043 NERID 013482007/1816 01348 05510 Daniele NERIeuro 4/201232801 21/5/2012 IT31/12/2042 NERID 887362006/1451 romagna 3000 05510 Daniele NERIeuro 4/201130307 6/6/2011 IT31/12/2041 NERID 957022007/1817 95702 05510 Daniele NERIeuro 4/201232802 21/5/2012 IT31/12/2042 NERID 975172007/1815 97517 05510 Daniele NERIeuro 4/201232800 21/5/2012 IT31/12/2042 NERID 997412008/2532 99741 05510 Daniele NERIeuro 4/201335362 21/5/2013 NERID 99741 IT31/12/2043 NERID 997432007/1818 99743 05510 Daniele NERIeuro 4/201232803 21/5/2012 ROMAGNA GOLD IT31/12/2042 NERID012062012/0326 romagna sweet 05510 Daniele NERIeuro 3/201952376 15/4/2019 IT31/12/2049 NORACILA2007/0093 n46-9 nj 04411 PSB Producción Vegetal SLeuro 5/201233280 6/8/2012 ES31/12/2042 OCTOBER STAR2001/0797 october star 01474 Vivai Fratelle Zanzi di Carlo Zanzieuro 5/200515859 18/7/2005 OCTOBER STAR IT31/12/2035 ORDIGAN2001/1740 s 6184 00689 INRA-Institut National de la Recheuro 3/200514782 7/3/2005 ORDIGAN FR31/12/2035 ORIANE2001/1741 s 6422 00689 INRA-Institut National de la Recheuro 6/200311980 20/10/2003 ORIANE FR31/12/2033 ORIOLA2001/1742 s 6817 00689 INRA-Institut National de la Recheuro 6/200516189 12/9/2005 ORIOLA FR31/12/2035 ORNELLA2001/1743 s 5848 00689 INRA-Institut National de la Recheuro 6/200516190 12/9/2005 ORNELLA FR31/12/2035 OSIRIS2014/2515 ha555-3 ppj 04411 PSB Producción Vegetal SLeuro 2/201951507 25/2/2019 ES31/12/2049 PABEARLY2016/0518 6-0-10-06-07 06556 AC FRUIT SASeuro 3/2019518553 28/3/2019 FR31/12/2049 PALOMINA2013/0206 350-01 pb 04411 PSB Producción Vegetal SLeuro 3/201848566 19/3/2018 ES31/12/2048 PAMELA2012/2212 b 407-2 pb 04411 PSB Producción Vegetal SLeuro 3/201745886 20/3/2017 ES31/12/2047 PAMPANA2014/2518 k313-26 pj 04411 PSB Producción Vegetal SLeuro 2/201951509 25/2/2019 ES31/12/2049 7/3/2020 Pàgina 67 de 98
  • 68.
    DenominacióNº Exp. Nomcomercial Codi / Titular Butlletí Nº POV Inici Protecció Fi Referència Obtentor / Prunus persica (L.) Batsch PASIONATA2014/0856 b 426-25 npb 04411 PSB Producción Vegetal SLeuro 2/201951291 11/2/2019 ES31/12/2049 PATAGONIA2013/3049 t64-36 nj 04411 PSB Producción Vegetal SLeuro 2/201848355 19/2/2018 ES31/12/2048 PEARL TIME2013/3114 48 p 470 08287/00279 Star Fruit / Seleccion Plantas Seveuro 3/201745677 6/3/2017 FR31/12/2047 PIATTAFORONE2011/2547 iff 985 06797 C.R.A. - FRFeuro 2/201436707 27/1/2014 SWEET RING IT31/12/2044 PIATTAFORTWO2011/2546 iff 1180 06797 C.R.A. - FRFeuro 2/201436706 27/1/2014 PINK RING IT31/12/2044 PIT LANE2014/2967 am 12 03049 Minguzzi Angeloeuro 2/201951514 25/2/2019 IT31/12/2049 PIX ZEE1995/1319 343 92p 01753 Pepinières Darnaud s aeuro 1/19993890 14/12/1998 FR31/12/2028 PLABLANEC2001/1667 97.14.065-nb 00132 Plantas de Navarra SAeuro 2/200924126 23/2/2009 VIOWHITE 5 ES31/12/2039 PLACASTAMEL2001/1658 95.15.001-p 00132 Plantas de Navarra SAeuro 2/200924124 23/2/2009 PLAGOLD 10 ES31/12/2039 PLAGOLD 162013/2673 03.51.008 p 00132 Plantas de Navarra SAeuro 2/201848128 22/1/2018 ES31/12/2048 PLAGOLD 172005/2046 99.02.157-p 00132 Plantas de Navarra SAeuro 3/201026947 22/3/2010 PLAGOLD 17 ES31/12/2040 PLAGOLD 212008/2235 97.06.010-p 00132 Plantas de Navarra SAeuro 2/201334068 21/1/2013 PLAGOLD 21 ES31/12/2043 PLAGOLD 222011/0242 00.45.030 p 00132 Plantas de Navarra SAeuro 2/201642619 22/2/2016 ES31/12/2046 PLATIBELLE2007/2850 nº 4 00689/06122 INRA - EARL QUARTIER NEUFeuro 2/201128856 7/2/2011 PLATIBELLE FR31/12/2041 PLATIFIRST2007/2852 nº 6 00689/06122 INRA - EARL QUARTIER NEUFeuro 2/201128858 7/2/2011 PLATIFIRST FR31/12/2041 PLATIFUN2007/2851 nº 5 00689/06122 INRA - EARL QUARTIER NEUFeuro 2/201128857 7/2/2011 PLATIFUN FR31/12/2041 PLATIMED2015/0667 platimed 00689/06122 INRA - EARL QUARTIER NEUFeuro 3/201951671 11/3/2019 FR31/12/2049 PLATIMOON2007/2853 nº 22 00689/06122 INRA - EARL QUARTIER NEUFeuro 3/201334257 4/3/2013 PLATIMOON FR31/12/2043 PLATIPRIM2015/0669 platiprim 00689/06122 INRA - EARL QUARTIER NEUFeuro 3/201951672 11/3/2019 FR31/12/2049 PLAWHITE 102003/1893 97.08.220-pb 00132 Plantas de Navarra SAeuro 3/201026942 22/3/2010 PLAWHITE 10 ES31/12/2040 PLAWHITE 202006/1961 97.08.142-pb 00132 Plantas de Navarra SAeuro 3/201129632 18/4/2011 ES31/12/2041 PLAWHITE 52002/2113 97.08.017-pb 00132 Plantas de Navarra SAeuro 2/200924127 23/2/2009 PLAWHITE 5 ES31/12/2039 PLAZANOMEL2001/1659 97.08.309-p 00132 Plantas de Navarra SAeuro 2/200924125 23/2/2009 PLAGOLD® 5 ES31/12/2039 PRESIVAC 12018/0302 ivia mela ac-0059-08 01157 IVIA - Institut Valencià d'Investigaeuro 1/201950851 17/12/2018 ES31/12/2048 PRIME PEARL2009/2505 9 g 820 00279/08287 Sel. Plantas Sevilla SL / STAR Feuro 2/201334181 18/2/2013 9 G 820 (PRIME PEARL) ES31/12/2043 PRINCESS TIME2011/2889 30 c 222 00160/00279 Gie Star Fruits - Sel. Plantas Sevieuro 2/201539658 23/2/2015 FR31/12/2045 PRO 282013/2731 cp3-631 06772 Viveros Provedo SAeuro 2/201642573 22/2/2016 EXTREME 28 ES31/12/2043 7/3/2020 Pàgina 68 de 98
  • 69.
    DenominacióNº Exp. Nomcomercial Codi / Titular Butlletí Nº POV Inici Protecció Fi Referència Obtentor / Prunus persica (L.) Batsch PRO 3142013/2729 cp3-11878 06772 Viveros Provedo SAeuro 2/201539405 26/1/2015 EXTREME 314 ES31/12/2045 PRO 43620114970 PRO436 06772 Viveros Provedo SAesp 1-2018002819 20/2/2018 ES31/12/2048 PRO 4432017/2512 cp3-8264 06772 Viveros Provedo SAeuro 3/201848568 19/3/2018 JALON ES31/12/2048 PRO 4602013/2728 cp3-29558 06772 Viveros Provedo SAeuro 2/201539404 26/1/2015 EXTREME 460 ES31/12/2045 PRO 4862017/2854 cp3-18326 06772 Viveros Provedo SAeuro 4/201849555 22/5/2018 EXTREME 486 ES31/12/2048 PRO 49320114966 PRO493 06772 Viveros Provedo SAesp 1-2018002824 20/2/2018 ES31/12/2048 PRO 50420145169 PRO 504 ES931 Viveros PROVEDO SAesp 1-2019002868 5/2/2019 ES31/12/2049 PRO 5202016/2791 cp5 1752 06772 Viveros Provedo SAeuro 4/201746584 22/5/2017 CINCA ES31/12/2047 PRO 55320114965 PRO553 06772 Viveros Provedo SAesp 1-2018002828 20/2/2018 ES31/12/2048 PRO 5632013/2730 cp5-3385 06772 Viveros Provedo SAeuro 2/201539406 26/1/2015 EXTREME GLOBE ES31/12/2045 PRO 56820114973 PRO568 06772 Viveros Provedo SAesp 1-2018002829 20/2/2018 ES31/12/2048 PRO 5702017/2515 cp4-1000 06772 Viveros Provedo SAeuro 4/201849503 22/5/2018 PRO 570 ES31/12/2048 PRO 6142017/2855 pro 614 06772 Viveros Provedo SAeuro 5/201850044 16/7/2018 EXTREME CANDY ES31/12/2048 PRO 64620125040 pro 646 ES931 Viveros PROVEDO SAesp 1-2017002754 16/1/2017 PLANE SUMMER ES31/12/2047 PRO 792013/2727 cp2-159 06772 Viveros Provedo SAeuro 3/201642910 11/4/2016 EXTREME 79 ES31/12/2046 PRO C 10520084797 CP3-16595 ES931 Viveros PROVEDO SAesp 2-2013002577 17/1/2013 YUSTE ES31/12/2043 PRO C 1072009/1828 cp3-21596 06772 Viveros Provedo SAeuro 3/201334370 4/3/2013 PLANE SUN ES31/12/2043 PRO C 1382009/1810 cp3-677 06772 Viveros Provedo SAeuro 3/201642901 21/3/2016 EXTREME DELIGHT ES31/12/2046 PRO C 152009/1830 cp3-676 06772 Viveros Provedo SAeuro 1/201436613 16/12/2013 FRESH QUEEN ES31/12/2043 PRO C 1512009/1832 cp3-21669 06772 Viveros Provedo SAeuro 2/201436689 27/1/2014 PLANE DELICIOUS ES31/12/2044 PRO C 1652009/1812 cp2-165 06772 Viveros Provedo SAeuro 5/201027852 5/7/2010 EXTREME RED ES31/12/2040 PRO C 18220084796 CP3-6333 ES931 Viveros PROVEDO SAesp 2-2013002585 17/1/2013 LEYRE ES31/12/2043 PRO C 1852009/1829 cp3-21630 06772 Viveros Provedo SAeuro 3/201334372 4/3/2013 PLANE STAR ES31/12/2043 PRO C 2062009/1826 cp3-21585 06772 Viveros Provedo SAeuro 3/201334368 4/3/2013 PLANE GOLD ES31/12/2043 PRO C 2112009/1809 cp3-16938 06772 Viveros Provedo SAeuro 3/201334258 4/3/2013 EXTREME GREAT ES31/12/2043 PRO C 2182009/1814 cp3-20006 06772 Viveros Provedo SAeuro 3/201334259 4/3/2013 EXTREME MOON ES31/12/2043 PRO C 22020084788 CP3-22677 ES931 Viveros PROVEDO SAesp 2-2013002590 17/1/2013 POBLET ES31/12/2043 7/3/2020 Pàgina 69 de 98
  • 70.
    DenominacióNº Exp. Nomcomercial Codi / Titular Butlletí Nº POV Inici Protecció Fi Referència Obtentor / Prunus persica (L.) Batsch PRO C 2242009/1822 cp3-23401 06772 Viveros Provedo SAeuro 3/201334364 4/3/2013 FRESH BIG ES31/12/2043 PRO C 23620084789 CP3-22673 ES931 Viveros PROVEDO SAesp BOE98002676 25/4/2015 VERUELA ES31/12/2044 PRO C 252009/1831 cp3-2207 06772 Viveros Provedo SAeuro 3/201334271 4/3/2013 FRESH RED ES31/12/2043 PRO C 3292009/1817 cp3-2725 06772 Viveros Provedo SAeuro 2/201539403 26/1/2015 EXTREME BEAUTY ES31/12/2045 PRO C 3422009/1821 cp1-342 06772 Viveros Provedo SAeuro 5/201027854 5/7/2010 FRESH WHITE ES31/12/2040 PRO C 6382009/1808 cp1-638 06772 Viveros Provedo SAeuro 5/201027851 5/7/2010 EXTREME JULY ES31/12/2040 PRO C 6552009/1818 cp1-655 06772 Viveros Provedo SAeuro 5/201027853 5/7/2010 EXTREME SWEET ES31/12/2040 PRO C 8420084802 CP3-6230 ES931 Viveros PROVEDO SAesp 2-2013002601 17/1/2013 GUADALUPE ES31/12/2043 PULCHRA2014/2195 bo 02037004 08288/06804/06419/0 NEW PLANT/euro 3/201952408 15/4/2019 IT31/12/2049 PUNTOCOM2013/2530 p.i. 4/3 20 03049 Minguzzi Angeloeuro 3/201952227 28/3/2019 IT31/12/2049 PUNTOIT2013/2529 p.i. rdl ca 66 9 03049 Minguzzi Angeloeuro 2/201951500 25/2/2019 IT31/12/2049 QUEEN PEARL2008/2769 7 g 789 00279/08287 Sel. Plantas Sevilla SL / STAR Feuro 2/201231544 20/2/2012 7 G (QUEEN PEARL) ES31/12/2042 REBUS 0282011/2172 bo 96003028 06802/01869/04704/0 C.R.P.V/Apofruit Italia/Universitàeuro 4/201643720 23/5/2016 IT31/12/2046 REBUS 0382011/2173 bo 96028038 06802/01869/04704/0 C.R.P.V/Apofruit Italia/Universitàeuro 4/201643721 23/5/2016 IT31/12/2046 REBUS 1952011/2174 bo 96028195 06802/01869/04704/0 C.R.P.V/Apofruit Italia/Universitàeuro 4/201643722 23/5/2016 IT31/12/2046 RED STAR1996/1081 01474 Vivai Fratelle Zanzi di Carlo Zanzieuro 4/20017727 21/5/2001 RED STAR IT31/12/2031 RED WINK20155232 ROUGE DEBUT ES1016 FRUTARIA COMERCIAL DE FResp BOE22002927 22/1/2020 ES31/12/2050 REDPEARL2005/0909 01.07.68 : asf 0106 04628 SARL Agro Selection Fruitseuro 2/200924118 23/2/2009 NECTAREGAL 33 FR31/12/2039 RICH LADY1995/1314 215 86p 00189 DARNAUD, Jean-Pierreeuro116 1/19971277 15/10/1996 RICH LADY FR1/12/2022 ROSABELLE2012/2731 1-2-06-08-07 01045 Monteux Gaillet Reneeuro 3/201642725 7/3/2016 FR31/12/2046 ROSALISE2010/2716 3-5-05-08-05 06556 AC FRUIT SASeuro 5/201438703 28/7/2014 FR31/12/2044 ROZIDU2006/2403 20700za 00279/03299 Sel. Plantas Sevilla SL - S.N.C. Seuro 3/201129122 7/3/2011 ES31/12/2041 RUBY BRIGHT2003/2467 34 p 572 00279/08287 Sel. Plantas Sevilla SL / STAR Feuro 3/200821923 10/3/2008 RUBY BRIGHT ES31/12/2038 SAGITTARIA2007/2202 01758 Istituto Sperimentale per la Fruttieuro 4/201232805 21/5/2012 IT31/12/2042 SAMANTHA2012/2218 ha 555-45 ppb 04411 PSB Producción Vegetal SLeuro 3/201745891 20/3/2017 ES31/12/2047 SEPTEMBER BRIGHT2003/2468 26 p 490 00279/08287 Sel. Plantas Sevilla SL / STAR Feuro 3/200821924 10/3/2008 SEPTEMBER BRIGHT ES31/12/2038 SGNE0012005/2406 sg-ne-3027 05084 Stargrow Cultivar Developement (euro 3/201027242 19/4/2010 ZA31/12/2040 7/3/2020 Pàgina 70 de 98
  • 71.
    DenominacióNº Exp. Nomcomercial Codi / Titular Butlletí Nº POV Inici Protecció Fi Referència Obtentor / Prunus persica (L.) Batsch SGNE0022006/2519 sgpr3129 05084 Stargrow Cultivar Developement (euro 4/201130098 23/5/2011 ZA31/12/2041 SIROCO 1020125045 novaflat 10-cb ES965 IMIDAesp 1-2017002757 16/1/2017 ES31/12/2047 SIROCO 2020135104 siroco 20 ES998 IMIDA/NovaMedesp 1-2018002833 20/2/2018 ES31/12/2048 SIROCO 3020135105 siroco 30 ES998 IMIDA/NovaMedesp 1-2018002834 20/2/2018 ES31/12/2048 SIROCO 4020135106 siroco 40 ES998 IMIDA/NovaMedesp 1-2018002835 20/2/2018 ES31/12/2048 SIROCO 4320135107 siroco 43 ES998 IMIDA/NovaMedesp 1-2018002836 20/2/2018 ES31/12/2048 SIROCO 520135103 siroco 5 ES998 IMIDA/NovaMedesp 1-2018002837 20/2/2018 ES31/12/2048 SNOW LADY2008/2770 7 g 143 00279/08287 Sel. Plantas Sevilla SL / STAR Feuro 2/201231545 20/2/2012 7 G 143 ES31/12/2042 STAR PEARL2004/2492 5p1150-sf00.081 00279/08287 Sel. Plantas Sevilla SL / STAR Feuro 3/200821928 10/3/2008 ES31/12/2038 STRIKE2010/2229 e 01 07123 Eleuteri Laura Azienda Agricolaeuro 4/201541350 22/6/2015 STRIKE IT31/12/2045 SUGAR BRAVO 82006/1958 sugar bravo-8 05589/05590 Gravilorenzo SL - A. Lópezeuro 5/201233279 6/8/2012 ES31/12/2042 SUGAR TIME2006/2512 536 98 pj 00189 DARNAUD, Jean-Pierreeuro 4/201130095 23/5/2011 FR31/12/2041 SUN BRIGHT2010/2714 5 p 788 00279/08287 Sel. Plantas Sevilla SL / STAR Feuro 4/201438208 2/6/2014 ES31/12/2044 SUNECTTWENTYONE2008/0076 05485 Sun World International LLCeuro 4/201335655 17/6/2013 US31/12/2043 SUNNEYY2010/0764 17c-28-11 02593 Agricultural Research Councileuro 2/201642395 8/2/2016 AMARELA 1 ZA31/12/2046 SUPECH-FIFTEN2006/2517 supechfiften 05485 Sun World International LLCeuro 3/201129636 18/4/2011 US31/12/2041 SURPRISE2003/0270 s6444 00689 INRA-Institut National de la Recheuro 6/200516194 12/9/2005 SURPRISE FR31/12/2035 SWEET DREAM2008/2761 688 07 pj 00189 DARNAUD, Jean-Pierreeuro 4/201335217 6/5/2013 SWEET DREAM FR31/12/2043 SWEET HENRY2009/2429 614 02 pj 00189 DARNAUD, Jean-Pierreeuro 3/201437750 22/4/2014 SWEET HENRY FR31/12/2044 SWEET JUANA2009/2430 663 05 pj 00189 DARNAUD, Jean-Pierreeuro 3/201540257 7/4/2015 SWEET JUANA FR31/12/2045 SWEET SNOW2014/2473 126 (10) 05589/05590 Gravilorenzo SL - A. Lópezeuro 3/201952377 15/4/2019 ES31/12/2049 SWEETALY ASF1151L 2014/3162 03.31w.20.11pb lc - asf1151l 04628 SARL Agro Selection Fruitseuro 3/201951658 11/3/2019 FR31/12/2049 SWEETBANG2014/3161 03.2e.129.11pb - asf1154 04628 SARL Agro Selection Fruitseuro 3/201951657 11/3/2019 FR31/12/2049 SWEETBELLA2010/0496 03.28.22pb - asf0556 04628 SARL Agro Selection Fruitseuro 2/201436968 24/2/2014 SWEETBELLA FR31/12/2044 SWEETCHIEF2010/0497 4s.3e.119pb - asf0753 04628 SARL Agro Selection Fruitseuro 2/201436697 27/1/2014 SWEETCHIEF FR31/12/2044 SWEETEMBER2014/3163 03.7e.65.10pb - asf1053 04628 SARL Agro Selection Fruitseuro 3/201951659 11/3/2019 FR31/12/2049 SWEETLOVE2008/0585 03.28.21 pb - asf 0554 04628 SARL Agro Selection Fruitseuro 2/201231538 20/2/2012 TONICSWEET 26 FR31/12/2042 7/3/2020 Pàgina 71 de 98
  • 72.
    DenominacióNº Exp. Nomcomercial Codi / Titular Butlletí Nº POV Inici Protecció Fi Referència Obtentor / Prunus persica (L.) Batsch SWEETMOON2008/0586 03.28.16 pb - asf 0557 04628 SARL Agro Selection Fruitseuro 2/201231539 20/2/2012 SWEET MOON FR31/12/2042 SWEETPRIM2008/0584 4n.09.21 pb - asf 0651 04628 SARL Agro Selection Fruitseuro 2/201231537 20/2/2012 SWEET PRIM FR31/12/2042 SWEETREGAL2010/0499 01.23e.08pb - asf0851 04628 SARL Agro Selection Fruitseuro 2/201436698 27/1/2014 SWEETROYAL FR31/12/2044 SWEETREINE2010/0498 4s.13e.117pb - asf0755 04628 SARL Agro Selection Fruitseuro 4/201437914 5/5/2014 SWEETREINE FR31/12/2044 SWEETROSIE2014/3159 03.1e.02.11pbr - asf1155 04628 SARL Agro Selection Fruitseuro 3/201951655 11/3/2019 FR31/12/2049 SWEETSTAR2008/0587 02.09.94 pb - asf 0364 04628 SARL Agro Selection Fruitseuro 2/201231540 20/2/2012 SWEETSTAR FR31/12/2042 TARDERINA20074763 nectaria ES1016 FRUTARIA COMERCIAL DE FResp 1-2014002648 27/12/2013 ES31/12/2043 TERRAM 25022012/2740 p03f005a078 00370/04628 IRTA/SARL Agro Selection Fruitseuro 5/201849949 16/7/2018 ES31/12/2048 TERRAM 29 022013/2986 p01f031a070 04628/00370 AGRO SELECTIONS FRUITS S.euro 3/201848567 19/3/2018 ES31/12/2048 TERRAM 34012013/2982 p03f010a054 04628/00370 AGRO SELECTIONS FRUITS S.euro 4/201952697 20/5/2019 ES31/12/2049 TERRAM 36 012011/3176 p01f004a035 00370/04628 IRTA/SARL Agro Selection Fruitseuro 6/201644390 19/9/2016 ES31/12/2046 TERRAM 37012013/2981 p03f006a011 04628/00370 AGRO SELECTIONS FRUITS S.euro 4/201952696 20/5/2019 ES31/12/2049 TIFANY2010/2743 4050-1 nb 04411 PSB Producción Vegetal SLeuro 3/201643305 25/4/2016 ES31/12/2046 TIO ISIDRO20054614 aluenda 100905 Peñalosa García, J.A.esp 4-2011002536 6/7/2011 ES31/12/2041 UNAC2006/2405 p9942ce 00279/03299 Sel. Plantas Sevilla SL - S.N.C. Seuro 3/201129124 7/3/2011 ES31/12/2041 VIFMB 1 11120145135 MELOX 26 ES986 PROSEPLAN SLesp 1-2019002870 5/2/2019 ES5/12/2049 VIFMB 1 1112015/1706 mb 1 111 08851 VIVEROS PROSEPLAN S.L.euro 2/201950934 14/1/2019 ES31/12/2049 VIFMB 12 7920145137 MELOX 30 ES986 PROSEPLAN SLesp 1-2019002871 5/2/2019 ES5/12/2049 VIFMB 14 13020145136 MELOX 31 ES986 PROSEPLAN SLesp 1-2019002872 5/2/2019 ES5/12/2049 VIFMPB 1 19720135066 guayox30 ES986 PROSEPLAN SLesp 1-2018002838 20/2/2018 ES31/12/2048 VIFMPB 1 25820135068 guayox35 ES986 PROSEPLAN SLesp 1-2018002839 20/2/2018 ES31/12/2048 VIFMPB 1 2820135067 guayox32 ES986 PROSEPLAN SLesp 1-2018002840 20/2/2018 ES31/12/2048 VIFNA 1 12820135064 netix30 ES986 PROSEPLAN SLesp 1-2019002873 5/2/2019 ES31/12/2049 VIFNA 12 752015/2697 netix 25 08851 VIVEROS PROSEPLAN S.L.euro 3/201952238 28/3/2019 ES31/12/2049 VIFNA 18 6020145134 NETIX 30-2 ES986 PROSEPLAN SLesp 1-2019002874 5/2/2019 ES5/12/2049 VIFNB 1 6420145132 REDIX 24 ES986 PROSEPLAN SLesp 1-2019002875 5/2/2019 ES31/12/2049 VIFNB 12 25020135065 redix25 ES986 PROSEPLAN SLesp 1-2018002841 20/2/2018 ES31/12/2048 7/3/2020 Pàgina 72 de 98
  • 73.
    DenominacióNº Exp. Nomcomercial Codi / Titular Butlletí Nº POV Inici Protecció Fi Referència Obtentor / Prunus persica (L.) Batsch VIFNB 302015/1705 nb 30 08851 VIVEROS PROSEPLAN S.L.euro 3/201745803 20/3/2017 ES31/12/2047 VINAPRIME2013/3029 5-2-01-07-09 06556 AC FRUIT SASeuro 4/201746384 10/5/2017 FR31/12/2047 VIOWHITE 102003/2152 97.08.128-nb 00132 Plantas de Navarra SAeuro 3/201129628 18/4/2011 VIOWHITE 10 ES31/12/2041 YELLOWSTONE20125049 yellowstone ES993 SMS UNLIMITED LLCesp 1-2017002758 16/1/2017 US31/12/2047 ZAI17PAV2014/3201 17 05 pav 08604 MICHAIL C. TSESMELISeuro 2/201951505 25/2/2019 GR31/12/2049 ZAI27PAV2015/2722 27 08 pav 00189 DARNAUD, Jean-Pierreeuro 3/201952375 15/4/2019 FR31/12/2049 ZAI606PJ2009/2428 606 01 pj 00189 DARNAUD, Jean-Pierreeuro 4/201437908 5/5/2014 ZAI606PJ FR31/12/2044 ZAI624NJ2005/2420 624 98 nj 00189 DARNAUD, Jean-Pierreeuro 3/201027243 19/4/2010 FR31/12/2040 ZAI624PJ2008/2764 624 02 pj 00189 DARNAUD, Jean-Pierreeuro 4/201335218 6/5/2013 ZAI624PJ FR31/12/2043 ZAI659PJ2012/2583 659 05 pj 04880 International Plant Selectioneuro 4/201849460 22/5/2018 FR31/12/2048 ZAI660PB2011/2844 660 05 pb 00189 DARNAUD, Jean-Pierreeuro 4/201643725 23/5/2016 FR31/12/2046 ZAI665NJ2006/2510 665 99 nj 00189 DARNAUD, Jean-Pierreeuro 4/201130093 23/5/2011 HONEY BRIGHT FR31/12/2041 ZAI666PB2009/2432 666 05 pb 00189 DARNAUD, Jean-Pierreeuro 4/201643718 23/5/2016 ZAI666PB FR31/12/2046 ZAI667PBS2012/2584 667 05 pbs 04880 International Plant Selectioneuro 4/201849461 22/5/2018 FR31/12/2048 ZAI668PB2010/2585 668 05 pb 00189 DARNAUD, Jean-Pierreeuro 4/201643719 23/5/2016 FR31/12/2046 ZAI674PB2009/2433 674 05 pb 00189 DARNAUD, Jean-Pierreeuro 4/201437909 5/5/2014 ZAI674PB FR31/12/2044 ZAI682PB2011/2846 682 06 pb 00189 DARNAUD, Jean-Pierreeuro 4/201643727 23/5/2016 FR31/12/2046 ZAI685PB2011/2847 685 06 pb 00189 DARNAUD, Jean-Pierreeuro 4/201643728 23/5/2016 FR31/12/2046 ZAI691NJ2008/2754 691 99 nj 00189 DARNAUD, Jean-Pierreeuro 4/201335212 6/5/2013 ZAI691NJ FR31/12/2043 ZAI696PB2015/2720 696 07 pb 00189 DARNAUD, Jean-Pierreeuro 3/201952373 15/4/2019 FR31/12/2049 ZAI698PBS2012/2585 698 07 pbs 04880 International Plant Selectioneuro 4/201849462 22/5/2018 FR31/12/2048 ZAI712PJ2015/2721 712 08 pj 00189 DARNAUD, Jean-Pierreeuro 3/201952374 15/4/2019 FR31/12/2049 ZAI719PJ2012/2586 719 08 pj 04880 International Plant Selectioneuro 4/201849463 22/5/2018 FR31/12/2048 ZAI726NB2009/2436 726 00 nb 00189 DARNAUD, Jean-Pierreeuro 4/201438206 2/6/2014 ZAI726NB FR31/12/2044 ZAI752NB2005/2424 752 01 nb 00189 DARNAUD, Jean-Pierreeuro 3/201027246 19/4/2010 FR31/12/2040 ZAI770NB2008/2758 770 02 nb 00189 DARNAUD, Jean-Pierreeuro 4/201335214 6/5/2013 ZAI770NB FR31/12/2043 ZAI809NB2009/2437 809 04 nb 00189 DARNAUD, Jean-Pierreeuro 3/201540259 7/4/2015 ZAI809NB FR31/12/2045 7/3/2020 Pàgina 73 de 98
  • 74.
    DenominacióNº Exp. Nomcomercial Codi / Titular Butlletí Nº POV Inici Protecció Fi Referència Obtentor / Prunus persica (L.) Batsch ZAI827NJ2009/2435 827 05 nj 00189 DARNAUD, Jean-Pierreeuro 3/201540258 7/4/2015 ZAI827NJ FR31/12/2045 ZAI843NJ2011/2841 843 06 nj 00189 DARNAUD, Jean-Pierreeuro 4/201746695 22/5/2017 FR31/12/2047 ZAI845NJ2011/2842 845 06 nj 00189 DARNAUD, Jean-Pierreeuro 4/201643723 23/5/2016 FR31/12/2046 ZAI858NB2015/2716 858 07 nb 00189 DARNAUD, Jean-Pierreeuro 3/201952370 15/4/2019 FR31/12/2049 ZAI863NJ2015/2717 863 07 nj 00189 DARNAUD, Jean-Pierreeuro 3/201952371 15/4/2019 FR31/12/2049 ZAI867NJ2015/2718 867 08 nj 00189 DARNAUD, Jean-Pierreeuro 3/201952372 15/4/2019 FR31/12/2049 ZAI873NJ2012/2587 873 08 nj 04880 International Plant Selectioneuro 4/201849499 22/5/2018 FR31/12/2048 ZAI877NB2011/2843 877 08 nb 00189 DARNAUD, Jean-Pierreeuro 4/201643724 23/5/2016 FR31/12/2046 ZAIBIOGA1997/1053 337 91 NB 00189 DARNAUD, Jean-Pierreeuro 5/20029922 12/8/2002 QUEEN GEM FR31/12/2032 ZAIFER1995/1239 91 78 p 00189 DARNAUD, Jean-Pierreeuro116 1/19971273 15/10/1996 ROYAL GLORY FR1/11/2021 ZAIFISAN1999/1587 401 94 pb 00189 DARNAUD, Jean-Pierreeuro 6/200516282 10/10/2005 MAURA FR31/12/2035 ZAIGADI2000/1782 375 93p 00189 DARNAUD, Jean-Pierreeuro 5/200618116 17/7/2006 ROYAL JIM FR31/12/2036 ZAIGLE2005/2426 492 96 pb 00189 DARNAUD, Jean-Pierreeuro 3/201027248 19/4/2010 FR31/12/2040 ZAILATI1995/1241 122 81 pb 00189 DARNAUD, Jean-Pierreeuro116 1/19971275 15/10/1996 GLADYS FR1/12/2021 ZAIMAJAL2004/2462 409 94 p 00189 DARNAUD, Jean-Pierreeuro 3/201027230 19/4/2010 ROYAL MAJESTIC* FR31/12/2040 ZAIMUS2004/2469 592 99 p 00189 DARNAUD, Jean-Pierreeuro 3/201027232 19/4/2010 ROYAL SUMMER FR31/12/2040 ZAINOAR1995/1258 260 89 P 00189 DARNAUD, Jean-Pierreeuro 1/19993895 14/12/1998 RUBIRICH FR31/12/2028 ZAINOBE1995/1331 261 89P 00189 DARNAUD, Jean-Pierreeuro 1/19993892 14/12/1998 VISTARICH FR31/12/2028 ZAIPELA1997/1052 353 92 P 00189 DARNAUD, Jean-Pierreeuro 1/20017181 18/12/2000 ROYAL LEE* FR31/12/2030 ZAIPEVI1995/1330 344 92 Pb 01753 Pepinières Darnaud s aeuro 1/19993887 14/12/1998 FR31/12/2028 ZAIRETOP2003/2021 453 95 p 00189 DARNAUD, Jean-Pierreeuro 4/200822309 5/5/2008 ROYAL TIME* FR31/12/2038 ZAIRIALA1995/1333 278 90P 00189 DARNAUD, Jean-Pierreeuro 1/20028394 5/11/2001 EARLY RICH FR5/11/2031 ZAIRUBI1995/1323 320 91 Nb 00189 DARNAUD, Jean-Pierreeuro 1/20028391 5/11/2001 EARLIQUEEN FR31/12/2031 ZAISIRLY2001/1940 541 97 nb 00189 DARNAUD, Jean-Pierreeuro 5/200618122 17/7/2006 ROYALE QUEEN FR31/12/2036 ZAISITO2001/1904 53497 pb 00189 DARNAUD, Jean-Pierreeuro 5/200618118 17/7/2006 PATTY FR31/12/2036 ZAISNO2006/2511 780 03 nb 01753 Pepinières Darnaud s aeuro 4/201130094 23/5/2011 FR31/12/2041 ZAISULA2008/2762 488 96 pj 00189 DARNAUD, Jean-Pierreeuro 3/201231885 19/3/2012 ROYAL PRIDE* FR31/12/2042 7/3/2020 Pàgina 74 de 98
  • 75.
    DenominacióNº Exp. Nomcomercial Codi / Titular Butlletí Nº POV Inici Protecció Fi Referència Obtentor / Prunus persica (L.) Batsch ZAISUME1995/1327 275 89 pb 00189 DARNAUD, Jean-Pierreeuro 1/20028393 5/11/2001 SUMMER SWEET* FR1/12/2026 ZAITABO1995/1254 196 84 n 00189 DARNAUD, Jean-Pierreeuro116 1/19971276 15/10/1996 BIG TOP* FR1/11/2021 ZAITOLIO2001/1903 50296 nb 00189 DARNAUD, Jean-Pierreeuro 5/200618117 17/7/2006 QUEEN RED FR31/12/2036 ZAITROBO1998/1227 476 95n/172 le 506 00189 DARNAUD, Jean-Pierreeuro 6/200311645 8/9/2003 FR31/12/2033 ZAIZIZAN2008/2759 373 93 pj 00189 DARNAUD, Jean-Pierreeuro 4/201335215 6/5/2013 ZAIZIZAN FR31/12/2043 ZINCAL 172003/2151 97.08.076-n 00132 Plantas de Navarra SAeuro 3/201026943 22/3/2010 ZINCAL 17 ES31/12/2040 ZINCAL 32010/2294 02.64.004 n 00132 Plantas de Navarra SAeuro 2/201539643 23/2/2015 ZINCAL 3 ES31/12/2045 ZINCAL 302006/1959 00.22.007-n 00132 Plantas de Navarra SAeuro 1/201128572 17/12/2010 ZINCAL 30 ES31/12/2040 ZINCAL 82010/2295 97.14-080 n 00132 Plantas de Navarra SAeuro 2/201539644 23/2/2015 ZINCAL 8 ES31/12/2045 ZINCAL 92010/2296 97.15.024 n 00132 Plantas de Navarra SAeuro 2/201539645 23/2/2015 ZINCAL 9 ES31/12/2045 ZINEARM1996/0027 75EE189 00279 Selección Plantas Sevilla SLeuro 3/20017456 9/4/2001 ES31/12/2031 ZINEBEL1998/0073 n.92.26z 00279 Selección Plantas Sevilla SLeuro 4/200617620 22/5/2006 ES31/12/2036 ZINEBIG1998/0071 n89.18.z 00279 Selección Plantas Sevilla SLeuro 4/200617618 22/5/2006 ES31/12/2036 ZINEDIAM1998/0072 n.84.15z 00279 Selección Plantas Sevilla SLeuro 4/200617619 22/5/2006 ES31/12/2036 ZINEFIRE2006/2404 974na 00279/03299 Sel. Plantas Sevilla SL - S.N.C. Seuro 3/201129123 7/3/2011 ES31/12/2041 ZINEGE1996/0023 14GE100 00279 Selección Plantas Sevilla SLeuro 3/20017452 9/4/2001 ES31/12/2031 ZINEGLO1998/0075 n-91-19z 00279 Selección Plantas Sevilla SLeuro 4/200617622 22/5/2006 ES31/12/2036 ZINEPRE1996/0029 1ILA403 00279 Selección Plantas Sevilla SLeuro 3/20017457 9/4/2001 ES31/12/2026 ZINESUB1998/0074 n.92.30z 00279 Selección Plantas Sevilla SLeuro 4/200617621 22/5/2006 ES31/12/2036 ZINETOP1996/0026 69EE423 00279 Selección Plantas Sevilla SLeuro 3/20017455 9/4/2001 ES31/12/2031 ZIPEJOR1996/0024 60EE419 00279 Selección Plantas Sevilla SLeuro 3/20017453 9/4/2001 ES31/12/2031 ZISEARL1996/0025 62RA286 00279 Selección Plantas Sevilla SLeuro 3/20017454 9/4/2001 ES31/12/2031 ZISECAN1995/0724 37 EB 416 00279 Selección Plantas Sevilla SLeuro 4/19994560 3/5/1999 ES31/12/2029 ZISEMAY1998/0076 p.07.13z 00279 Selección Plantas Sevilla SLeuro 4/19994567 3/5/1999 ES31/12/2029 ZISEPRIL1996/0028 39GA188 00279 Selección Plantas Sevilla SLeuro 1/20005709 5/7/1999 ES31/12/2029 ZISESIL1995/0723 7 GE 30 00279 Selección Plantas Sevilla SLeuro 4/19994559 3/5/1999 ES31/12/2029 ZISILNE1998/0070 n.92.29z 00279 Selección Plantas Sevilla SLeuro 1/200717617 4/12/2006 ES31/12/2036 7/3/2020 Pàgina 75 de 98
  • 76.
    DenominacióNº Exp. Nomcomercial Codi / Titular Butlletí Nº POV Inici Protecció Fi Referència Obtentor / Prunus persica (L.) Batsch ZISUNCUA20024477 S4A 1547 00279 Selección Plantas Sevilla SLesp 5-2009002460 22/7/2009 ES31/12/2039 ZUMBA2013/3056 ha 547-14 ppb 04411 PSB Producción Vegetal SLeuro 2/201848357 19/2/2018 ES31/12/2048 Especie Prunus persica x Prunus davidiana DenominacióNº Exp. Nom comercial Codi / Titular Butlletí Nº POV Inici Protecció Fi Referència Obtentor / AVIMAG1995/1535 avimag 00691/00695 INRA - G.Y.D.K.F.V.euro116 1/19971270 15/10/1996 CADAMAN FR1/11/2021 Especie Prunus persica x Prunus davidiana) x Prunus x amygdalopersica (weston) Rehder DenominacióNº Exp. Nom comercial Codi / Titular Butlletí Nº POV Inici Protecció Fi Referència Obtentor / PRUNUS PORTAEMPELTS GREENPAC2006/2252 pac9904-01 03862 AGROMILLORA CATALANA SLeuro 4/201232795 21/5/2012 ROOTPAC-90 ES31/12/2042 PURPLEPAC2006/2253 pac9904-03 03862 AGROMILLORA CATALANA SLeuro 4/201232796 21/5/2012 ROOTPAC-70 ES31/12/2042 Especie Prunus persica x Prunus domestica DenominacióNº Exp. Nom comercial Codi / Titular Butlletí Nº POV Inici Protecció Fi Referència Obtentor / FERELEY1995/1536 fereley 00691 INRA-Institut National de la Recheuro116 1/19971271 15/10/1996 JASPI* FR1/11/2021 Especie Prunus pseudocerasus Lindl. × (Prunus canescens Bois × Prunus incisa Thunb.) DenominacióNº Exp. Nom comercial Codi / Titular Butlletí Nº POV Inici Protecció Fi Referència Obtentor / PIKU32001/1463 piku3 03021 Consortium Deutscher Baumschueuro 1/200310247 18/11/2002 DE31/12/2032 Especie Prunus pumila L. DenominacióNº Exp. Nom comercial Codi / Titular Butlletí Nº POV Inici Protecció Fi Referència Obtentor / PRUNUS RHENOROOT 21995/3032 - 00672 Forschungsanstalt Geisenheimeuro 3/200310710 10/3/2003 DE10/3/2033 Especie Prunus salicina Lindl. DenominacióNº Exp. Nom comercial Codi / Titular Butlletí Nº POV Inici Protecció Fi Referència Obtentor / PRUNERA JAPONESA ANNE GOLD1999/1392 anna 02787 Montanari Domenicoeuro 3/200515154 18/4/2005 ANNE GOLD IT31/12/2035 ARC PR32013/1043 pr 00-37 03945 ARC Infruitec - Nietvoorbijeuro 3/201952267 15/4/2019 ZA31/12/2049 ARC PR42013/1042 pr 000-1 03945 ARC Infruitec - Nietvoorbijeuro 3/201848934 23/4/2018 ZA31/12/2048 AUGUST YUMMY2004/2637 26 p 775 00279/08287 Sel. Plantas Sevilla SL / STAR Feuro 3/200924827 20/4/2009 AUGUST YUMMY ES31/12/2039 BRAGIALLA2003/2465 35 p 1244 00279/08287 Sel. Plantas Sevilla SL / STAR Feuro 5/200823143 7/7/2008 ES31/12/2038 BRAROSSA2003/2466 13 p 598 00279/08287 Sel. Plantas Sevilla SL / STAR Feuro 5/200823144 7/7/2008 ES31/12/2038 CONSTANZA2005/1878 constanza 05236 Godoy & Puyol Agronomos Asocieuro 4/201335358 21/5/2013 CL31/12/2043 CRIMSON GLO2003/2025 87 91 pr 00189 DARNAUD, Jean-Pierreeuro 4/200925353 8/6/2009 FR31/12/2039 7/3/2020 Pàgina 76 de 98
  • 77.
    DenominacióNº Exp. Nomcomercial Codi / Titular Butlletí Nº POV Inici Protecció Fi Referència Obtentor / Prunus salicina Lindl. DOFI SANDRA2007/1778 dofi 89030010 05225 Universita degli Studi di Firenzeeuro 4/201232799 21/5/2012 IT31/12/2042 GAIA2003/2391 sel. Sm 01 an 04487 Martelli Salvatoreeuro 5/200823289 21/7/2008 IT31/12/2038 GOLD BALL2010/2558 10 p 701 00279/08287 Sel. Plantas Sevilla SL / STAR Feuro 6/201438912 22/9/2014 ES31/12/2044 GOLDEN PLUMZA1996/1080 GOLDEN PLUMZA 01474 Vivai Fratelle Zanzi di Carlo Zanzieuro 6/200311950 20/10/2003 GOLDEN PLUMZA IT31/12/2033 GRENADINE2010/0590 cas 10 04767 SDR Fruit Llceuro 3/201540660 20/4/2015 GRENADINE US31/12/2045 HIROMI RED2003/2026 127 97 pr 00189 DARNAUD, Jean-Pierreeuro 5/200823140 7/7/2008 FR31/12/2038 HONEY DAWN2011/3135 sg pr 33 18 05084 Stargrow Cultivar Developement (euro 3/201746229 18/4/2017 ZA31/12/2047 HONEY MOON2011/3136 sg pr 51 1 05084 Stargrow Cultivar Developement (euro 3/201848923 23/4/2018 ZA31/12/2048 HONEYSTAR2006/0490 honeystar 05084 Stargrow Cultivar Developement (euro 4/201130088 23/5/2011 ZA31/12/2041 LAMOON2001/0993 lamoon 03494 Ben dor Josepheuro 5/200823146 7/7/2008 IL31/12/2038 MARK2006/1643 h 20-28 05478 BEN-DOR FRUITS & NURSERIEeuro 1/201539138 17/11/2014 IL31/12/2044 PIONEER1997/1042 S 5B-21-17 01757 Ifruiteceuro 6/200311952 20/10/2003 ZA31/12/2033 PLUMSWEET V2009/0564 40 p 60 00279/08287 Sel. Plantas Sevilla SL / STAR Feuro 2/201231437 3/2/2012 ES31/12/2042 PRIMETIME1997/1124 PRIMETIME 01871 Wuhl ericeuro 6/200311954 20/10/2003 US31/12/2033 PRO 51 C2017/2516 cp4-246 06772 Viveros Provedo SAeuro 6/201850143 10/9/2018 ES31/12/2048 PRO 55 C20155251 PRO 55 C ES931 Viveros PROVEDO SAesp BOE22002914 22/1/2020 ES31/12/2050 READYUMMY2010/2557 21 c 330 00279/08287 Sel. Plantas Sevilla SL / STAR Feuro 3/201334553 18/3/2013 ES31/12/2043 RUBY STAR2012/2514 pr 00-33 03945 ARC Infruitec - Nietvoorbijeuro 3/201746235 18/4/2017 ZA31/12/2047 SAPHIRE1999/0049 17-28-184 01757 Ifruiteceuro 6/200311963 20/10/2003 SAPPHIRE ZA31/12/2033 SEPTEMBER YUMMY2004/2635 26 p 627 00279/08287 Sel. Plantas Sevilla SL / STAR Feuro 3/200924825 20/4/2009 SEPTEMBER YUMMY ES31/12/2039 SERENA2008/0714 serena 05244 Dalmonte Fuido e Vittorio S.S. Seuro 4/201438201 2/6/2014 IT31/12/2044 SHOWTIME1997/1123 SHOWTIME 01871 Wuhl ericeuro 6/200311953 20/10/2003 US31/12/2033 SONGREEN 502011/0243 97.27.002 cv 00132 Plantas de Navarra SAeuro 2/201642547 22/2/2016 ES31/12/2046 SONGRIA 102005/2047 99.26.003-cn 00132 Plantas de Navarra SAeuro 4/201130086 23/5/2011 SONGRIA 10 ES31/12/2041 SONGRIA 152004/1839 99.26.010-cn 00132 Plantas de Navarra SAeuro 4/200925364 8/6/2009 SONGRIA 15 ES31/12/2039 SOUVENIR II1999/0050 6-13-191 01757 Ifruiteceuro 1/200412099 24/11/2003 SOUVENIR II ZA1/1/2034 SUN KISS1999/1853 7a 21 21 03945 ARC Infruitec - Nietvoorbijeuro 1/200717836 4/12/2006 ZA31/12/2036 7/3/2020 Pàgina 77 de 98
  • 78.
    DenominacióNº Exp. Nomcomercial Codi / Titular Butlletí Nº POV Inici Protecció Fi Referència Obtentor / Prunus salicina Lindl. SUNDEW1999/1854 7a 38 38 03945 ARC Infruitec - Nietvoorbijeuro 1/200717837 4/12/2006 ZA31/12/2036 SUPLUMTHIRTYEIGHT2012/0270 suplumthirtyeight 05485 Sun World International LLCeuro 3/201643212 25/4/2016 US31/12/2046 SUPLUMTHIRTYFOUR2007/2072 05485 Sun World International LLCeuro 5/201335891 29/7/2013 US31/12/2043 SUPLUMTHIRTYONE2007/2390 05485 Sun World International LLCeuro 3/201232437 23/4/2012 US31/12/2042 SUPLUMTHIRTYSEVEN2008/0988 suplumthirtyseven 05485 Sun World International LLCeuro 3/201437509 7/4/2014 US31/12/2044 SUPLUMTHIRTYSIX2008/2722 suplumthirtysix 05485 Sun World International LLCeuro 5/201335895 29/7/2013 US31/12/2043 SUPLUMTWENTYEIGHT2007/2073 05485 Sun World International LLCeuro 3/201232436 23/4/2012 US31/12/2042 SUPLUMTWENTYFIVE2009/2709 suplumtwentyfive 05485 Sun World International LLCeuro 3/201437196 24/3/2014 US31/12/2044 SUPLUMTWENTYSIX2007/2188 05485 Sun World International LLCeuro 4/201232804 21/5/2012 US31/12/2042 SUPLUMTWENTYTHREE2007/0547 suplumtwentythree 05485 Sun World International LLCeuro 4/201130129 23/5/2011 US31/12/2041 SUPLUMTWENTYTWO2007/0545 suplumtwentytwo 05485 Sun World International LLCeuro 4/201130128 23/5/2011 US31/12/2041 SWEET IRIDIS 12015/0013 p-6 08646 S.A.T. 9413 FRUTARIAeuro 2/201642350 25/1/2016 ES31/12/2046 SWEET IRIDIS 22015/0015 p-7 08646 S.A.T. 9413 FRUTARIAeuro 2/201642351 25/1/2016 ES31/12/2046 SWEET IRIDIS 32015/0014 p-10 08646 S.A.T. 9413 FRUTARIAeuro 2/201642550 22/2/2016 ES31/12/2046 SWEET IRIDIS 420145181 P 103 ES1016 FRUTARIA COMERCIAL DE FResp 1-2019002856 5/2/2019 ES31/12/2049 TC SUN1995/2002 315 42 00795 Zanzi Fruitgroeuro116 3/200515153 18/4/2005 IT31/12/2035 TITINE2010/0591 cas sp1 04767 SDR Fruit Llceuro 4/201541120 8/6/2015 US31/12/2045 ZAI163PR2010/0362 163 01 pr 00189 DARNAUD, Jean-Pierreeuro 3/201437722 22/4/2014 FR31/12/2044 ZAIPUBO1998/0668 32 86 pr 00189 DARNAUD, Jean-Pierreeuro 6/200311959 20/10/2003 MOON GLOBE* FR31/12/2033 Especie Prunus salicina Lindl. x Prunus armeniaca L. DenominacióNº Exp. Nom comercial Codi / Titular Butlletí Nº POV Inici Protecció Fi Referència Obtentor / SALICINA X ARMENIACA ZAI93ISC2007/2828 93 00 isc 01753 Pepinières Darnaud s aeuro 4/201438203 2/6/2014 FR31/12/2044 Especie Prunus sp. (portaempelts) DenominacióNº Exp. Nom comercial Codi / Titular Butlletí Nº POV Inici Protecció Fi Referència Obtentor / PRUNUS PORTAEMPELTS CORAL ROJO20034519 ES922 Carmelo Bernal Palazonesp 1-2011002528 18/1/2011 ES31/12/2040 Especie Prunus spinosa L. DenominacióNº Exp. Nom comercial Codi / Titular Butlletí Nº POV Inici Protecció Fi Referència Obtentor / WUR S7662012/1749 ppo-s766 06983 Stichting Dienst Landbouwkundigeuro 2/201745299 6/2/2017 NL31/12/2047 7/3/2020 Pàgina 78 de 98
  • 79.
    DenominacióNº Exp. Nomcomercial Codi / Titular Butlletí Nº POV Inici Protecció Fi Referència Obtentor / Prunus tomentosa Thunb. Ex. Murr. x Prunus cerasif Especie Prunus tomentosa Thunb. Ex. Murr. x Prunus cerasif DenominacióNº Exp. Nom comercial Codi / Titular Butlletí Nº POV Inici Protecció Fi Referència Obtentor / VVA 12002/0762 vva-1 05536 Gennady EREMINeuro 4/200720097 21/5/2007 KRIMSK 1 RU31/12/2037 Especie Prunus x gondouinii (Poit. & Turpin) Rehder (P. Avium (L.) L. X P. Cerasus L.) DenominacióNº Exp. Nom comercial Codi / Titular Butlletí Nº POV Inici Protecció Fi Referència Obtentor / PRUNUS HÍBRID_4 JACHIM2017/0569 jachim 06760 Julius Kühn Instituteuro 6/201747682 25/9/2017 DE31/12/2047 STO22012/0022 sto2 02264 Stoppel, Petereuro 2/201745297 6/2/2017 DE31/12/2047 Especie Punica granatum L. DenominacióNº Exp. Nom comercial Codi / Titular Butlletí Nº POV Inici Protecció Fi Referència Obtentor / MAGRANA BEAUTY2010/0341 beautygranate 06914 Nir Ben Aharoneuro 6/201438876 8/9/2014 IL31/12/2044 CRUCIAL20135128 d2-26 ES996 IVIA-Cambayas Coop. Valencianesp 1-2018002800 20/2/2018 ES31/12/2048 EMEK2007/2597 emek (1/4) 01306 Agricultural Research Organisatioeuro 6/201438842 8/9/2014 IL31/12/2044 FIRE 1172013/0987 fr117 08028 AGROSENDA INTERNACIONALeuro 4/201849783 18/6/2018 ES31/12/2048 ILIANA2018/1133 h6-81 09927/01157 CAMBAYAS COOPERATIVA VAeuro 4/201952532 6/5/2019 ES31/12/2049 KAMEL2007/2596 kamel (p.g. 134-35) 01306 Agricultural Research Organisatioeuro 6/201438841 8/9/2014 IL31/12/2044 KINGDOM2013/3181 kingdom 08290 VIVEROS CALIPLANT S.L.euro 2/201745302 6/2/2017 ES31/12/2047 MR 1002013/3177 mollar roja 08290 VIVEROS CALIPLANT S.L.euro 2/201745301 6/2/2017 ES31/12/2047 PURPLE QUEEN2013/3179 purple queen 08290 VIVEROS CALIPLANT S.L.euro 4/201849181 7/5/2018 ES31/12/2048 RUGALATE2018/1132 h6-28 09927/01157 CAMBAYAS COOPERATIVA VAeuro 2/201951133 11/2/2019 ES31/12/2049 SCARLET RED2013/1207 sr-015 08028 AGROSENDA INTERNACIONALeuro 4/201449784 18/6/2018 ES31/12/2048 SHANI2007/2598 shani (p.g. 130-31) 01306 Agricultural Research Organisatioeuro 6/201438843 8/9/2014 IL31/12/2044 TASTE M20135127 d1-14 ES996 IVIA-Cambayas Coop. Valencianesp 1-2018002804 20/2/2018 ES31/12/2048 Especie Pyrus × bretschneideri Rehder × P. pyrifolia (Burm. f.) Nakai DenominacióNº Exp. Nom comercial Codi / Titular Butlletí Nº POV Inici Protecció Fi Referència Obtentor / PERERA HÍBRIDA PREMP1092012/0841 p205 r130 t109 05582 Prevar Ltdeuro 4/201643519 10/5/2016 NZ31/12/2046 PREMP522014/0225 p202 r137 t052 05582 Prevar Ltdeuro 6/201644528 19/9/2016 NZ31/12/2046 Especie Pyrus communis L. DenominacióNº Exp. Nom comercial Codi / Titular Butlletí Nº POV Inici Protecció Fi Referència Obtentor / PERERA AC HARROW BOUNTY2012/2839 hw620 07237 Agriculture and Agri-Food Canadeuro 4/201746301 10/5/2017 CA31/12/2047 7/3/2020 Pàgina 79 de 98
  • 80.
    DenominacióNº Exp. Nomcomercial Codi / Titular Butlletí Nº POV Inici Protecció Fi Referència Obtentor / Pyrus communis L. AC HARROW CRISP2001/0043 hw 610 00159 Agriculture & Agri-Food Canadaeuro 2/200310434 20/1/2003 CA31/12/2033 AC HARROW DELICIOUS2001/0042 hw 608 00159 Agriculture & Agri-Food Canadaeuro 2/20028925 18/2/2002 AC HARROW DELICIOUS CA31/12/2032 AC HARROW GOLD2001/0044 hw 616 00159 Agriculture & Agri-Food Canadaeuro 2/200310434 20/1/2003 CA31/12/2033 AIDA2005/0816 isf.fo 80-104-72 01758 Istituto Sperimentale per la Fruttieuro 5/201130553 25/7/2011 IT31/12/2041 ANGELYS1999/1081 angelys 00689 INRA-Institut National de la Recheuro 6/20006785 16/10/2000 ANGELYS FR31/12/2025 BOHÉME2005/0815 isf.fo 80-57-83 01758 Istituto Sperimentale per la Fruttieuro 4/201335229 21/5/2013 IT31/12/2043 BOHEMICA2003/1140 te - 05316 01544 Sempra Praha a.s.euro 3/200821920 10/3/2008 CZ31/12/2038 CARMEN2000/0472 isf-fo 80-18-69 01758 Istituto Sperimentale per la Fruttieuro 4/200617843 6/6/2006 CARMEN IT31/12/2036 CELINA2011/3173 np 6246 07519 Graminor A.S.euro 2/201745356 6/2/2017 NO31/12/2047 CEPUNA2013/0730 16vhvn 00689 INRA-Institut National de la Recheuro 4/201849203 7/5/2018 FR31/12/2048 CH 2012015/1063 acw 3851 07560 AGROSCOPE CHANGINS-WADeuro 4/201849209 7/5/2018 CH31/12/2048 DELFERCO2003/0618 delferco 00368 Pepinieristes et Roseraires Georeuro 5/200516108 17/8/2005 DELFERCO FR31/12/2035 DELSANNE2000/0357 rx 2313 00368 Pepinieristes et Roseraires Georeuro 6/20006784 16/10/2000 DELBARD AUTOMNE FR31/12/2030 DELWINI2000/0356 rx 2313 00368 Pepinieristes et Roseraires Georeuro 6/20006783 16/10/2000 FR31/12/2030 DICOLOR2002/0242 dicolor 03757 SAD S.R.O.euro 2/200617002 27/2/2006 CZ31/12/2036 ELLIOT1999/0576 elliot 00345 The Regents of the University ofeuro 1/20005573 6/12/1999 ELLIOT US31/12/2029 FALSTAFF2012/0409 cra - frf 180 06797 C.R.A. - FRFeuro 6/201747553 11/9/2017 IT31/12/2047 FM1717402005/1175 fm 171740 09031 BAUM- UND ROSENSCHULE Weuro 3/201027237 19/4/2010 DE31/12/2040 FM324A1352005/0760 fm324a135 09031 BAUM- UND ROSENSCHULE Weuro 4/201130084 23/5/2011 DE31/12/2041 FOX 111997/1470 A 28 01946 C A V Centro Attività Vivaisticheeuro 6/200210178 21/10/2002 IT31/12/2032 FOX 161997/1469 B 21 01946 C A V Centro Attività Vivaisticheeuro 6/200210177 21/10/2002 IT31/12/2032 FOX92008/2282 dca-bo e110 05679/06419/06420 Alma Mater - Università degli Stueuro 5/201438536 7/7/2014 IT31/12/2044 FRESQUILLA20074769 100908 Universitat de Lleidaesp 1-2012002545 30/12/2011 FRESQUILLA ES31/12/2041 GEVOREÑA20114995 gevoreña ES984 Leal Moreno, Joséesp 1-2018002843 20/2/2018 ES31/12/2048 HARROW BLISS2003/1624 hw 606 04376 Research Planning and Coordinateuro 5/200925891 24/8/2009 CA31/12/2039 HARROW SWEET1995/1959 00159 Agriculture & Agri-Food Canadaeuro116 1/19971281 15/10/1996 HARROW SWEET CA1/12/2021 HL 3150232005/0793 hl 31/50-23 01544/09031 SEMPRA PRAHA A.S./ BAUM- Ueuro 4/201130085 23/5/2011 CZ31/12/2041 7/3/2020 Pàgina 80 de 98
  • 81.
    DenominacióNº Exp. Nomcomercial Codi / Titular Butlletí Nº POV Inici Protecció Fi Referència Obtentor / Pyrus communis L. HW 6232003/1623 hw 623 04376 Research Planning and Coordinateuro 5/200925891 24/8/2009 CA31/12/2039 KRASNIE CONFERENCE2006/1645 05523/05524 Fruithandel / Janssenseuro 5/201335890 29/7/2013 BE31/12/2043 KRISTINA2011/3172 np 3048 07519 Graminor A.S.euro 2/201745355 6/2/2017 NO31/12/2047 NORMA2000/0473 isf-fo 80-79-69 01758 Istituto Sperimentale per la Fruttieuro 4/200617844 6/6/2006 NORMA IT31/12/2036 PE1UNIBO2014/0969 dcabo44 05679 Alma Mater Studiorum-Universitàeuro 4/201952911 17/6/2019 IT31/12/2049 PE2UNIBO2014/0970 dcabo50 05679 Alma Mater Studiorum-Universitàeuro 4/201952912 17/6/2019 IT31/12/2049 PE3UNIBO2014/0971 dcabo27244 05679 Alma Mater Studiorum-Universitàeuro 4/201952913 17/6/2019 IT31/12/2049 PREMP332012/0840 p139 r091 t033 05582 Prevar Ltdeuro 4/201643518 10/5/2016 NZ31/12/2046 PYRED2002/1977 p2853 (dI6) 00689 INRA-Institut National de la Recheuro 3/200719929 16/4/2007 FR31/12/2037 PYRIAM20104908 06533 CEP INNOVATION S.A.R.L.esp 1-2018002844 20/2/2018 FR31/12/2048 PYRODWARF1995/2977 klon py 5-18 00672 Forschungsanstalt Geisenheimeuro 2/19982649 2/2/1998 PYRODWARF DE31/12/2028 PYROPLUS2003/0335 bu 2-33 00672 Forschungsanstalt Geisenheimeuro 2/200616770 30/1/2006 DE31/12/2036 RADANA2003/2497 radana 01544 Sempra Praha a.s.euro 3/200821925 10/3/2008 CZ31/12/2038 RODE DOYENNE VAN DOORN 2002/0114 rode doyenne du comice broertjes 08417 Goeie Peer B-V.euro 4/200925353 8/6/2009 NL31/12/2039 SAELS2000/0681 rna 0010 03016/03017 Gebroeders Saels - NV GEEFAeuro 4/200413322 17/5/2004 BE31/12/2034 TAYLORS GOLD1996/0631 Taylo's gold 01352/01353 King Turner, M B - King Turner,euro 1/200412028 10/11/2003 TAYLOR'S GOLD NZ1/1/2034 THIMO2003/2389 thimo 09031 BAUM- UND ROSENSCHULE Weuro 3/200821934 10/3/2008 DE31/12/2038 TICO WAES2007/0218 vw05h3 05725 V.O.F. Fruitvalleieuro 6/201130892 10/10/2011 NL31/12/2041 TURANDOT2000/0474 15f-fo 80-15-69 01758 Istituto Sperimentale per la Fruttieuro 4/200617845 6/6/2006 TURANDOT IT31/12/2036 UTA1999/0805 uta 02625 Sächsische Landesanstalt für Laeuro 2/20005802 14/2/2000 DE31/12/2030 VERDI1995/0660 cpo 66006-273 06983 Stichting Dienst Landbouwkundigeuro116 4/19971970 19/5/1997 VERDI NL1/8/2024 Especie Quercus palustris Münchh. DenominacióNº Exp. Nom comercial Codi / Titular Butlletí Nº POV Inici Protecció Fi Referència Obtentor / QUERCUS PALUSTRIS WOODSIDE SPLENDOR2012/0872 woodside splendor 04044 Boomkwekerij Gebr. Van den Bereuro 3/201539831 9/3/2015 NL31/12/2045 Especie Ribes nigrum L. DenominacióNº Exp. Nom comercial Codi / Titular Butlletí Nº POV Inici Protecció Fi Referència Obtentor / CASSIS BEN AVON2001/0666 scri s26/1/1 07377 James Hutton Instituteeuro 1/200614649 12/12/2005 UK31/12/2030 BEN DORAIN2001/0664 scri s26/1/2 08582 LUCOZADE RIBENA SUNTORYeuro 1/200614647 12/12/2005 UK31/12/2030 7/3/2020 Pàgina 81 de 98
  • 82.
    DenominacióNº Exp. Nomcomercial Codi / Titular Butlletí Nº POV Inici Protecció Fi Referència Obtentor / Ribes nigrum L. BEN FINLAY2009/0202 scri 8872-1 07377 James Hutton Instituteeuro 4/201232756 21/5/2012 UK31/12/2042 BEN KLIBRECK2009/1981 scri 8814-2 08582 LUCOZADE RIBENA SUNTORYeuro 5/201335826 8/7/2013 UK31/12/2038 BEN LAWERS2015/0188 jhi 9521-2 08582 LUCOZADE RIBENA SUNTORYeuro 3/201848744 9/4/2018 UK31/12/2043 BEN STARAV2009/1980 scri s18/10/18 08582 LUCOZADE RIBENA SUNTORYeuro 5/201335825 8/7/2013 UK31/12/2038 BEN VANE2006/0752 s13-14-107 08582 LUCOZADE RIBENA SUNTORYeuro 3/201026952 22/3/2010 UK31/12/2040 BIG BEN2008/0249 c2/15/40 07377 James Hutton Instituteeuro 4/201130137 25/5/2011 UK31/12/2041 BLACK PEARL2013/1490 super nova 05221 Vissers International B.V.euro 2/201745406 20/2/2017 NL31/12/2042 CHERSHNEVA1999/0277 chershneva 05369 Lubera AGeuro 6/20029924 21/10/2002 CH31/12/2027 GOFERT2011/0024 pc-1 07220 INSTYTUT OGRODNICTWA (INeuro 1/201231262 19/12/2011 PL31/12/2041 KIROAPA102010/1246 2010/11/535 01804 Plattner Antoneuro 3/201437421 7/4/2014 DE31/12/2044 ORES2006/0084 pc-36 04811 Instytut Sadownictwa i Kwaiciarsteuro 2/200719040 22/1/2007 PL31/12/2032 POLARES2013/1694 pc-7/13 07220 INSTYTUT OGRODNICTWA (INeuro 3/201437036 10/3/2014 PL31/12/2044 POLBEN2018/2524 pc-173 07220 INSTYTUT OGRODNICTWA (INeuro 3/201952185 28/3/2019 PL31/12/2044 RUBEN2006/0083 isk 83 x 80/1 04811 Instytut Sadownictwa i Kwaiciarsteuro 2/200719039 22/1/2007 PL31/12/2032 TIBEN2003/2148 26c/8, pc-78 00702 Institute of Pomologyeuro 6/200414099 25/10/2004 PL31/12/2034 TIHOPE2013/1693 pc-425 07220 INSTYTUT OGRODNICTWA (INeuro 3/201437035 10/3/2014 PL31/12/2044 TINES2006/0082 pc-106 04811 Instytut Sadownictwa i Kwaiciarsteuro 2/200719038 22/1/2007 PL31/12/2032 TISEL2003/2149 30/b1, pc-84 00702 Institute of Pomologyeuro 6/200414100 25/10/2004 PL31/12/2034 Especie Ribes rebrum DenominacióNº Exp. Nom comercial Codi / Titular Butlletí Nº POV Inici Protecció Fi Referència Obtentor / GROSELLA NEGRA HARONIA2014/1496 haronia 08464 HANSJORG GMEINEReuro 2/201745235 23/1/2017 DE31/12/2042 Especie Ribes rubrum L. (syn. R. sylvestre (Lam.) Mert. & W. D. J. Koch) DenominacióNº Exp. Nom comercial Codi / Titular Butlletí Nº POV Inici Protecció Fi Referència Obtentor / RIBES LEMAAN2015/1065 lemaan 08808 MARGIE MARIA ANNA SMEETSeuro 4/201849184 7/5/2018 NL31/12/2043 Especie Ribes sanguineum Push. DenominacióNº Exp. Nom comercial Codi / Titular Butlletí Nº POV Inici Protecció Fi Referència Obtentor / GROSELLA ANNYS20032014/1057 annys2003 05228 Andre Van Nijnatteneuro 6/201644367 19/9/2016 NL31/12/2041 7/3/2020 Pàgina 82 de 98
  • 83.
    DenominacióNº Exp. Nomcomercial Codi / Titular Butlletí Nº POV Inici Protecció Fi Referència Obtentor / Ribes sylvestris (Lam.) Mert. & W. Kock Especie Ribes sylvestris (Lam.) Mert. & W. Kock DenominacióNº Exp. Nom comercial Codi / Titular Butlletí Nº POV Inici Protecció Fi Referència Obtentor / RIBES AUGUSTUS1995/2713 Augustus 00719 Meulblok, E.C.euro 3/19971768 3/3/1997 NL31/12/2022 REDPOLL1997/0827 1503/31 09154 NIAB EMReuro 4/19982783 4/5/1998 UK31/12/2023 ROODNEUS1995/2712 Roodneus 00719 Meulblok, E.C.euro 3/19971767 3/3/1997 NL31/12/2022 Especie Ribes uva-crispa L. DenominacióNº Exp. Nom comercial Codi / Titular Butlletí Nº POV Inici Protecció Fi Referència Obtentor / GROSELLA IONA2015/1075 jhi 9223-1 07377 James Hutton Instituteeuro 3/201952186 28/3/2019 UK31/12/2044 LAPRIMA2014/2709 10-60-00 00672 Forschungsanstalt Geisenheimeuro 5/201541500 20/7/2015 DE31/12/2045 LEORA2014/2708 9-61-00 00672 Forschungsanstalt Geisenheimeuro 4/201541127 8/6/2015 DE31/12/2045 PAX1995/3011 1815/123 09154 NIAB EMReuro 4/19994561 3/5/1999 UK31/12/2024 RAFZUERA2002/1325 rafzuera 01644 Promo Fruit Ag.euro 2/200616908 27/2/2006 CH31/12/2031 REDEVA2000/0052 nr.11 09356 THOMAS GRAFMULLEReuro 5/20006597 26/7/2000 DE31/12/2025 RELINA2009/0124 97/1 relina 09356 THOMAS GRAFMULLEReuro 5/200925916 24/8/2009 DE31/12/2039 REXROT1998/1032 rexrot 00346 Gevo Pflanzenvertrieb Gmbheuro 2/19994237 15/2/1999 DE31/12/2024 Especie Ribes x nidigrolaria R. et A. Bauer DenominacióNº Exp. Nom comercial Codi / Titular Butlletí Nº POV Inici Protecció Fi Referència Obtentor / GROSELLA RIKÖ1995/1341 78 1982 01073 LEGATH, Mariaeuro 4/20029596 17/6/2002 SE31/12/2027 Especie Rubus idaeus L. DenominacióNº Exp. Nom comercial Codi / Titular Butlletí Nº POV Inici Protecció Fi Referència Obtentor / GERDERA ADELITA2011/1459 07.09r.50 00132 Plantas de Navarra SAeuro 3/201540339 7/4/2015 ES31/12/2045 ADVABEMAP2014/3264 fr214901 07201/08972 FUELPLANTS B.V./ ALLBERRYeuro 3/201848957 23/4/2018 NL31/12/2043 ADVABEREEN2011/0113 fr211901 07201/07202 Advanced Berry Breeding/De Weeuro 3/201540334 7/4/2015 NL31/12/2045 ADVABERIMAR2011/0114 fr211902 07201/07202 Advanced Berry Breeding/De Weeuro 3/201540335 7/4/2015 NL31/12/2045 ADVABERTWEE2011/0115 fr211903 07201/07202 Advanced Berry Breeding/De Weeuro 3/201540336 7/4/2015 NL31/12/2045 ALPENGOLD2008/0028 01758 Istituto Sperimentale per la Fruttieuro 4/201130133 23/5/2011 IT31/12/2041 AMARANTA2012/0814 amaranta 05972 Sant'Orsola Societa' Cooperativaeuro 3/201643215 25/4/2016 IT31/12/2041 AROMQUEE2007/0844 aromquee 05496 Dr. Barbara Datheeuro 2/200821776 28/1/2008 DE31/12/2033 AUTUMN TREASURE2008/0873 em 6597/46 09154 NIAB EMReuro 4/201232811 4/6/2012 UK31/12/2042 7/3/2020 Pàgina 83 de 98
  • 84.
    DenominacióNº Exp. Nomcomercial Codi / Titular Butlletí Nº POV Inici Protecció Fi Referència Obtentor / Rubus idaeus L. BELLA2018/1963 bella 05496 Dr. Barbara Datheeuro 2/201951059 28/1/2019 DE31/12/2049 BOUNTIFUL2014/2788 ps-5112 00743 Plant Sciences Inc.euro 3/201848953 23/4/2018 US31/12/2043 BP12009/0851 bp1 05925 Maria Maddalena GrisentiEURO 3/201437717 22/4/2014 IT31/12/2044 BRILLIANCE2006/0182 ps-1703 00743/01203 Plant Sciences - Berry R&Deuro 4/200924928 4/5/2009 US31/12/2034 CASTION2014/1790 t 01 l6 06808/06480 Aldo Telch/G. Molarieuro 3/201848952 23/4/2018 IT31/12/2043 CHAMBORD2012/1989 ma 1723 00718 Marionnet Jacques Gfaeuro 3/201643220 25/4/2016 FR31/12/2041 DEAUVILLE2012/1990 ma 1724 00718 Marionnet Jacques Gfaeuro 3/201643221 25/4/2016 FR31/12/2041 DIAMOND JUBILEE2014/1282 bmr-v1 05753 Berryworld Plus Ltdeuro 3/201848740 9/4/2018 UK31/12/2043 DOLOMIA PLUS2012/1083 so-1-04-03 05972 Sant'Orsola Societa' Cooperativaeuro 3/201643217 25/4/2016 IT31/12/2041 DRISCOLL CARDINAL2003/0684 cardinal 00659 Driscoll Strawberry Associates Ineuro 3/200719943 16/4/2007 US31/12/2032 DRISCOLL DULCITA2003/0687 dulcita 00659 Driscoll Strawberry Associates Ineuro 3/200719946 16/4/2007 US31/12/2032 DRISCOLL ESTRELLA (V308.3) 2008/0215 00659 Driscoll Strawberry Associates Ineuro 4/201232809 4/6/2012 US31/12/2042 DRISCOLL MADONNA2008/0211 00659 Driscoll Strawberry Associates Ineuro 4/201232807 4/6/2012 US31/12/2042 DRISCOLL MARAVILLA2003/0685 maravilla 00659 Driscoll Strawberry Associates Ineuro 3/200719944 16/4/2007 US31/12/2032 DRISCOLL PACIFICA (S846.1) 2008/0216 00659 Driscoll Strawberry Associates Ineuro 4/201232810 4/6/2012 US31/12/2042 DRISCOLL SEVILLANA (V372.1) 2008/0214 00659 Driscoll Strawberry Associates Ineuro 4/201232808 4/6/2012 US31/12/2042 DRISRASPFIVE2014/1281 z121-1 00659 Driscoll Strawberry Associates Ineuro 5/201849790 2/7/2018 US31/12/2048 DRISRASPONE2008/1095 drisraspone 00659 Driscoll Strawberry Associates Ineuro 3/201334752 8/4/2013 US31/12/2043 DRISRASPSEVEN2013/1600 rb677-1 00659 Driscoll Strawberry Associates Ineuro 2/201745408 20/2/2017 US31/12/2042 DRISRASPSIX2014/1664 z367-2 00659 Driscoll Strawberry Associates Ineuro 3/201848951 23/4/2018 US31/12/2043 DRISRASPTHREE2013/1597 z321-1 00659 Driscoll Strawberry Associates Ineuro 2/201745407 20/2/2017 US31/12/2042 DRISRASPTWO2010/2039 z135-1 00659 Driscoll Strawberry Associates Ineuro 3/201437198 24/3/2014 US31/12/2044 EM 6413/592012/0175 09154 NIAB EMReuro 3/201540345 7/4/2015 UK31/12/2045 EMR 2012012012/0169 em6881/102 09154 NIAB EMReuro 3/201540344 7/4/2015 UK31/12/2045 ENROSADIRA2014/1397 t 51 l6 06480/06808 G. Molari/ Aldo Telcheuro 3/201848949 23/4/2018 IT31/12/2043 ERIKA2007/0473 sel 2002a 01758 Istituto Sperimentale per la Fruttieuro 4/201130127 23/5/2011 IT31/12/2041 7/3/2020 Pàgina 84 de 98
  • 85.
    DenominacióNº Exp. Nomcomercial Codi / Titular Butlletí Nº POV Inici Protecció Fi Referència Obtentor / Rubus idaeus L. EVITA2012/0809 erica plus 05972 Sant'Orsola Societa' Cooperativaeuro 3/201643214 25/4/2016 IT31/12/2041 FRUATFRI2008/0296 fruatfri 01644 Promo Fruit Ag.euro 1/201333764 19/11/2012 CH31/12/2042 GLEAM2014/0335 ps-4006 00743/01203 Plant Sciences - Berry R&Deuro 6/201850145 10/9/2018 US31/12/2048 GLEN AMPLE1995/0574 glen ample 07377 James Hutton Instituteeuro 3/19982729 6/4/1998 UK31/12/2023 GLEN CARRON2015/0100 0485k-1 07377 James Hutton Instituteeuro 4/201849479 22/5/2018 UK31/12/2043 GLEN DEE2014/0627 0447c-5 07377 James Hutton Instituteeuro 4/201849182 7/5/2018 UK31/12/2043 GLEN DOLL2006/0314 9053b6 07377 James Hutton Instituteeuro 4/200924929 4/5/2009 UK31/12/2034 GLEN ERICHT2008/0315 99111b2 07377 James Hutton Instituteeuro 4/201130310 6/6/2011 UK31/12/2041 GLEN FYNE2007/0474 9062e-1 07377 James Hutton Instituteeuro 3/201027262 19/4/2010 UK31/12/2040 GLEN MAGNA1995/0578 glen magna 07377 James Hutton Instituteeuro 1/19971533 16/12/1996 UK31/12/2021 GLEN ROCIO2015/1074 9628e-3 07377 James Hutton Instituteeuro 2/201951406 25/2/2019 UK31/12/2049 GRANDEUR2009/0538 pr-2933 00743/01203 Plant Sciences - Berry R&Deuro 5/201335800 29/7/2013 US31/12/2038 HOLYOKE1998/0346 holyoke 01572 Swetbriar Development, Inceuro 3/20029004 18/3/2002 US31/12/2027 ISABEL1997/0004 isabel 01572 Swetbriar Development, Inceuro 1/20005681 20/12/1999 US31/12/2024 JADE2014/1287 bha-e5 05753 Berryworld Plus Ltdeuro 3/201848742 9/4/2018 UK31/12/2043 JOAN J1999/0064 93118/5 01409 Jennings Derek Leonard-Medwayeuro 1/200310236 18/11/2002 UK31/12/2027 LAGORAI PLUS2012/1084 t-44 05972 Sant'Orsola Societa' Cooperativaeuro 3/201643218 25/4/2016 IT31/12/2041 LUPITA2011/1460 07.09r.52 00132 Plantas de Navarra SAeuro 3/201540340 7/4/2015 ES31/12/2045 MA 29202012/1049 ma 2920 00718 Marionnet Jacques Gfaeuro 3/201643216 25/4/2016 FR31/12/2041 MALAHAT1998/0279 bc-85-5-24 07886 MINISTER OF AGRICULTURE Aeuro 3/20028999 18/3/2002 CA31/12/2027 MALLING JUNO2013/2806 em 6544/80 09154 NIAB EMReuro 2/201745409 20/2/2017 UK31/12/2042 MARWE1995/2721 MarwÞ 00719 Meulblok, E.C.euro 3/19971769 3/3/1997 NL31/12/2022 NR72012/1597 znh062 08033 PACIFIC BERRIES LLCeuro 3/201643219 25/4/2016 US31/12/2041 NY ONE2011/1325 ny selection 1 02978 Cornell Universityeuro 3/201540338 7/4/2015 US31/12/2045 NYTWO2015/0140 nytwo 00444 Rústicas del Guadalquivir SLeuro 3/201848965 23/4/2018 ES31/12/2043 OCTAVIA2002/0113 em 6512/50 09154 NIAB EMReuro 3/200514919 21/3/2005 UK31/12/2035 OVATION2015/1881 ps-8916 00743 Plant Sciences Inc.euro 2/201951408 25/2/2019 US31/12/2049 7/3/2020 Pàgina 85 de 98
  • 86.
    DenominacióNº Exp. Nomcomercial Codi / Titular Butlletí Nº POV Inici Protecció Fi Referència Obtentor / Rubus idaeus L. PACIFIC DELUXE2012/0057 vpe 9006 07530 Pacific Berry Breeding LLCeuro 2/201745345 6/2/2017 US31/12/2042 PARAGON2015/1880 ps-5519 00743 Plant Sciences Inc.euro 2/201951407 25/2/2019 US31/12/2049 PARIS2012/1992 ma 372 00718 Marionnet Jacques Gfaeuro 3/201643223 25/4/2016 FR31/12/2041 PEARL2014/2771 dkx-12ef 05753 Berryworld Plus Ltdeuro 3/201848743 9/4/2018 UK31/12/2043 POEMAT2016/0669 07544 07220 INSTYTUT OGRODNICTWA (INeuro 2/201745348 6/2/2017 PL31/12/2042 POKUSA2004/1969 p 93454 03704 Sadowniczy Zaklad Doswiadczalneuro 2/200821732 28/1/2008 PL31/12/2038 POLKA2002/0007 p93563 07220 INSTYTUT OGRODNICTWA (INeuro 3/200514918 21/3/2005 PL31/12/2035 POLONEZ2016/0667 03071 07220 INSTYTUT OGRODNICTWA (INeuro 2/201745347 6/2/2017 PL31/12/2042 PORANNA ROSA2004/1970 p 87112 03704 Sadowniczy Zaklad Doswiadczalneuro 2/200821733 28/1/2008 PL31/12/2038 QUALICUM1998/0280 bc-83-16-50 01823 Pacific Agri-Food Research Centreuro 3/20029000 18/3/2002 CA31/12/2027 RADIANCE2009/0537 ps-2430 00743/01203 Plant Sciences - Berry R&Deuro 5/201335799 8/7/2013 US31/12/2038 RADZIEJOWA2015/0045 01162 07220 INSTYTUT OGRODNICTWA (INeuro 3/201643226 25/4/2016 PL31/12/2041 RAFZAQU2000/1707 ab x hq 90-h 01644 Promo Fruit Ag.euro 3/200413008 5/4/2004 CH31/12/2034 RED ANGEL2013/0667 13/10 04056 Redeva Ltd.euro 3/201746238 18/4/2017 UK31/12/2047 REGINA2011/1395 vr01 09173 BERRYPLANT DI GRISENTI MAeuro 2/201539542 23/2/2015 IT31/12/2040 RUBYFALL2007/0644 sel tn-03-52 01758 Istituto Sperimentale per la Fruttieuro 4/201130130 23/5/2011 IT31/12/2041 SAANICH2011/0399 bc 89-34-41 07886 MINISTER OF AGRICULTURE Aeuro 4/201540926 26/5/2015 CA31/12/2045 SAPPHIRE2014/1286 bdb-12vf 05753 Berryworld Plus Ltdeuro 3/201848741 9/4/2018 UK31/12/2043 SATINE2012/1991 ma 371 00718 Marionnet Jacques Gfaeuro 3/201643222 25/4/2016 FR31/12/2041 SOKOLICA2015/0046 02332 07220 INSTYTUT OGRODNICTWA (INeuro 3/201643227 25/4/2016 PL31/12/2041 STREIB 2A2006/1766 streib2a 00258 Hõberli Obst-und Beerenzentrumeuro 2/201026738 22/2/2010 CH31/12/2035 SUGANA2007/1466 sugana 05369 Lubera AGeuro 2/201128847 7/2/2011 CH31/12/2041 SUNGOLD2012/0808 gold delicious 05972 Sant'Orsola Societa' Cooperativaeuro 3/201643213 25/4/2016 IT31/12/2041 TADMOR2003/1068 hr59 00915 The Horticulture & Food Researceuro 3/200821935 10/3/2008 NZ31/12/2033 VAJOLET2009/2161 t 33 05972 Sant'Orsola Societa' Cooperativaeuro 3/201334274 4/3/2013 IT31/12/2043 VERSAILLE2012/1993 ma 481 00718 Marionnet Jacques Gfaeuro 3/201643224 25/4/2016 FR31/12/2041 WAKEFIELD2013/0151 hr40 00915 The Horticulture & Food Researceuro 2/201642313 25/1/2016 NZ31/12/2046 7/3/2020 Pàgina 86 de 98
  • 87.
    DenominacióNº Exp. Nomcomercial Codi / Titular Butlletí Nº POV Inici Protecció Fi Referència Obtentor / Rubus idaeus L. WEIRULA1999/1137 wei-rula 02710 Technische Universität Müncheneuro 2/200310423 20/1/2003 DE31/12/2028 Especie Rubus subg. Rubus DenominacióNº Exp. Nom comercial Codi / Titular Butlletí Nº POV Inici Protecció Fi Referència Obtentor / GERDERA RUBUS BLACK MAGIC2013/0943 cpc-1vb 05753 Berryworld Plus Ltdeuro 3/201746241 18/4/2017 UK31/12/2047 INCENTIVE2013/2486 hj-6 00743/01203 Plant Sciences - Berry R&Deuro 3/201746246 18/4/2017 US31/12/2047 Especie Rubus subgenus Eubatus Sect. Moriferi & Ursini DenominacióNº Exp. Nom comercial Codi / Titular Butlletí Nº POV Inici Protecció Fi Referència Obtentor / RUBUS AMARA2013/3155 hfm-2 08289 HORTIFRUT S.A.euro 2/201951409 25/2/2019 CL31/12/2049 APF 452011/1881 apf-45 01752 University of Arkansaseuro 4/201540830 11/5/2015 US31/12/2045 DRISBLACKFOUR2015/2113 bl449-1 00659 Driscoll Strawberry Associates Ineuro 2/201951411 25/2/2019 US31/12/2049 DRISBLACKSIX2015/2114 bl456-2 00659 Driscoll Strawberry Associates Ineuro 2/201951412 25/2/2019 US31/12/2049 DRISBLACKTWELVE2015/1879 bp571.1 00659 Driscoll Strawberry Associates Ineuro 2/201951410 25/2/2019 US31/12/2049 DRISBLACKTWO2010/0837 bk356.2 00659 Driscoll Strawberry Associates Ineuro 3/201437420 7/4/2014 US31/12/2044 DRISCOLL CARMEL2005/2518 driscoll carmel 00659 Driscoll Strawberry Associates Ineuro 2/200924097 23/2/2009 US31/12/2034 DRISCOLL COWLES2008/0212 bd467.1 00659 Driscoll Strawberry Associates Ineuro 4/201232665 7/5/2012 US31/12/2042 DRISCOLL EUREKA2008/0213 bd477.1 00659 Driscoll Strawberry Associates Ineuro 4/201232666 7/5/2012 US31/12/2042 DRISCOLL THORNLESS SLEEPING BEAUTY 2008/0217 00659 Driscoll Strawberry Associates Ineuro 4/201232667 7/5/2012 US31/12/2042 KARAKA BLACK1999/1654 8627n8-6 02830 The Horticulture & Food Res. Int.euro 3/200310720 10/3/2003 NZ10/3/2033 KIOWA1999/0278 kiowa 05369 Lubera AGeuro 3/200310715 10/3/2003 CH10/3/2033 LOCH MAREE2006/0313 86506g7 00054 Scottish Crop Research Instituteeuro 3/201334751 8/4/2013 UK31/12/2043 LOCH TAY2002/0844 86510L-2 07377 James Hutton Instituteeuro 2/200616917 27/2/2006 UK31/12/2036 LUB MB2232009/1403 lub mb2/23 05369 Lubera AGeuro 4/201437943 5/5/2014 CH31/12/2044 NATCHEZ2009/1955 natchez 01752 University of Arkansaseuro 5/201335827 29/7/2013 US31/12/2038 OUACHITA2006/2430 ouachita 01752 University of Arkansaseuro 4/201232662 7/5/2012 US31/12/2042 REUBEN2009/2058 0541p3 05646 Hargreaves Plants Ltdeuro 6/201336096 23/9/2013 UK31/12/2043 SLEEPING BEAUTY2005/2517 driscoll sleeping beauty 00659 Driscoll Strawberry Associates Ineuro 2/200924096 23/2/2009 US31/12/2034 VON2016/0365 nc430 03657 NORTH CAROLINA STATE UNIeuro 2/201951413 25/2/2019 US31/12/2049 7/3/2020 Pàgina 87 de 98
  • 88.
    DenominacióNº Exp. Nomcomercial Codi / Titular Butlletí Nº POV Inici Protecció Fi Referència Obtentor / Sorbus aucuparia L. Especie Sorbus aucuparia L. DenominacióNº Exp. Nom comercial Codi / Titular Butlletí Nº POV Inici Protecció Fi Referència Obtentor / SERVERA FINGERPRINT2010/2646 fingerprint 07168 De Martelaer Boomkwekerij B.V.euro 4/201335854 29/7/2013 BE31/12/2043 FLANROCK2001/0538 autumn spire 03374 Flannery's Nurserieseuro 6/200414075 27/9/2004 IE31/12/2034 Especie Sorbus L. DenominacióNº Exp. Nom comercial Codi / Titular Butlletí Nº POV Inici Protecció Fi Referència Obtentor / SORBUS ERIK2013/2488 legend 03700 E-PLANTA EKONOMISK FORENeuro 5/201747336 17/7/2017 SE31/12/2047 Especie Ulmus minor Mill. DenominacióNº Exp. Nom comercial Codi / Titular Butlletí Nº POV Inici Protecció Fi Referència Obtentor / OM ADEMUZ2014/1891 Ademuz 08496/08495 U. ANATOMIA FISIOLOGIA Y Geuro 5/201849920 2/7/2018 ES31/12/2048 DEHESA DE AMANIEL2014/1890 Dehesa de Amaniel 08496/08495 U. ANATOMIA FISIOLOGIA Y Geuro 5/201849915 2/7/2018 ES31/12/2048 DEHESA DE LA VILLA2014/1889 Dehesa de la Villa 08496/08495 U. ANATOMIA FISIOLOGIA Y Geuro 5/201849914 2/7/2018 ES31/12/2048 FUENTE UMBRÍA2014/1893 Fuente Umbría 08496/08495 U. ANATOMIA FISIOLOGIA Y Geuro 5/201849921 2/7/2018 ES31/12/2048 MAJADAHONDA2014/1888 Majadahonda 08496/08495 U. ANATOMIA FISIOLOGIA Y Geuro 5/201849913 2/7/2018 ES31/12/2048 RETIRO2014/1892 Retiro 08496/08495 U. ANATOMIA FISIOLOGIA Y Geuro 5/201849916 2/7/2018 ES31/12/2048 TOLEDO2014/1894 Toledo 08496/08495 U. ANATOMIA FISIOLOGIA Y Geuro 4/201746993 6/6/2017 ES31/12/2047 WANOUX2006/0866 762 00689 INRA-Institut National de la Recheuro 3/200924403 23/3/2009 FR31/12/2039 Especie Vaccinium angustifolium Aiton × V. corymbosum L. DenominacióNº Exp. Nom comercial Codi / Titular Butlletí Nº POV Inici Protecció Fi Referència Obtentor / NABIU ZF061792013/1686 zf06-179 09324 THE CONARD-PYLE COMPANYeuro 2/201951416 25/2/2019 US31/12/2049 Especie Vaccinium corymbosum L. DenominacióNº Exp. Nom comercial Codi / Titular Butlletí Nº POV Inici Protecció Fi Referència Obtentor / NABIU ABUNDANCE2007/0368 abundance 00669 Florida Foundation Seed Produceeuro 3/201437097 22/4/2014 US31/12/2044 ALBA2008/0344 s03-19-02 06181 Royal Berries S.L.euro 2/201436999 24/2/2014 ES31/12/2044 ALTAIR2008/0338 s03-38-04 06181 Royal Berries S.L.euro 3/201334441 18/3/2013 ES31/12/2038 AURORA2005/0223 aurora 04947 The Board of Thustees of Michigeuro 2/200923937 9/2/2009 US31/12/2034 AZULEMA2008/0345 s03-38-01 06181 Royal Berries S.L.euro 3/201334444 18/3/2013 ES31/12/2043 BLUE BAYOU2011/2817 f126 00915 The Horticulture & Food Researceuro 4/201746455 10/5/2017 NZ31/12/2042 BLUE MOON2011/2560 rh 34 00915 The Horticulture & Food Researceuro 4/201746452 10/5/2017 NZ31/12/2042 7/3/2020 Pàgina 88 de 98
  • 89.
    DenominacióNº Exp. Nomcomercial Codi / Titular Butlletí Nº POV Inici Protecció Fi Referència Obtentor / Vaccinium corymbosum L. BLUE RIBBON2013/1318 zf05-009 07635 FALL CREEK FARM AND NURSeuro 3/201951757 11/3/2019 US31/12/2044 BLUE SILK2012/1555 zdm035 00915 The Horticulture & Food Researceuro 3/201746230 18/4/2017 NZ31/12/2047 BLUECRISP2004/1337 bluecrisp 00669 Florida Foundation Seed Produceeuro 4/200923931 4/5/2009 US31/12/2034 C00 092013/1986 c00 09 00669/07920 FLORIDA FOUNDATION SEEDeuro 3/201848937 23/4/2018 US31/12/2043 C01 432013/2498 c01 43 07920/00669 / FLORIDA FOUNDATION SEEeuro 3/201848942 23/4/2018 AU31/12/2043 C95 122013/0092 c95-12 07920/00669 / FLORIDA FOUNDATION SEEeuro 3/201746236 18/4/2017 AU31/12/2047 C97 3902013/1987 c97 390 00669/07920 FLORIDA FOUNDATION SEEDeuro 3/201848938 23/4/2018 US31/12/2043 C99 422013/0094 C99-42 07920/00669 / FLORIDA FOUNDATION SEEeuro 3/201746237 18/4/2017 AU31/12/2047 CAMELLIA2007/2299 camellia 04180/04539 U.Georgia Research Foundation Ieuro 2/201436995 24/2/2014 US31/12/2044 CARMEN2008/0339 s01-13-04 06181 Royal Berries S.L.euro 3/201334442 18/3/2013 ES31/12/2038 CELESTE2008/0343 s02-04-01 06181 Royal Berries S.L.euro 3/201334554 18/3/2013 ES31/12/2038 CIPRIA2012/1007 rh48 00915 The Horticulture & Food Researceuro 4/201746459 10/5/2017 NZ31/12/2042 CORONA2008/0346 s02-30-12 06181 Royal Berries S.L.euro 3/201540493 7/4/2015 ES31/12/2045 DOLORES2008/0342 s02-26-03 06181 Royal Berries S.L.euro 3/201540492 7/4/2015 ES31/12/2045 DRAPER2005/0224 draper 04947 The Board of Thustees of Michigeuro 2/200923938 9/2/2009 US31/12/2034 DRISBLUEELEVEN2014/0772 103d 6 00659 Driscoll Strawberry Associates Ineuro 3/201952190 28/3/2019 US31/12/2044 DRISBLUEFIVE2012/2625 111b3 08402/08403/06038 B. Caster /J. K. Izzoeuro 4/201746462 10/5/2017 US31/12/2042 DRISBLUEFOUR2012/2624 146c6 08402/08403/06038 B. Caster /J. K. Izzoeuro 4/201746461 10/5/2017 US31/12/2042 DRISBLUENINE2014/0770 57e710 00659 Driscoll Strawberry Associates Ineuro 3/201952188 28/3/2019 US31/12/2044 DRISBLUEONE2008/1096 drisblueone 00659 Driscoll Strawberry Associates Ineuro 3/201437100 10/3/2014 US31/12/2044 DRISBLUESEVEN2012/2627 92d9 00659 Driscoll Strawberry Associates Ineuro 4/201746464 10/5/2017 US31/12/2042 DRISBLUESIX2012/2626 92d3 08402/08403/06038 B. Caster /J. K. Izzoeuro 4/201746463 10/5/2017 US31/12/2042 DRISBLUETEN2014/0771 66e10 00659 Driscoll Strawberry Associates Ineuro 3/201952189 28/3/2019 US31/12/2044 DRISBLUETHIRTEEN2014/0774 dsa25 00659 Driscoll Strawberry Associates Ineuro 5/201953081 1/7/2019 US31/12/2049 DRISBLUETHREE2008/1098 drisbluethree 00659 Driscoll Strawberry Associates Ineuro 3/201334447 18/3/2013 US31/12/2038 DRISBLUETWELVE2014/0773 129b 1 00659 Driscoll Strawberry Associates Ineuro 3/201952191 28/3/2019 US31/12/2044 DRISBLUETWO2008/1097 drisbluetwo 00659 Driscoll Strawberry Associates Ineuro 3/201334446 18/3/2013 US31/12/2038 7/3/2020 Pàgina 89 de 98
  • 90.
    DenominacióNº Exp. Nomcomercial Codi / Titular Butlletí Nº POV Inici Protecció Fi Referència Obtentor / Vaccinium corymbosum L. EMERALD2004/1339 emerald 00669 Florida Foundation Seed Produceeuro 4/200923932 4/5/2009 US31/12/2034 FARTHING2011/0236 F1 00-75 00669 Florida Foundation Seed Produceeuro 4/201540829 11/5/2015 US31/12/2045 HORTBLUE PETITE2005/0518 m7 00915 The Horticulture & Food Researceuro 2/200923936 23/2/2009 NZ31/12/2034 HORTBLUE POPPINS2007/2267 b8-3-10 00915 The Horticulture & Food Researceuro 3/201231850 19/3/2012 NZ31/12/2042 HURON2011/3174 huron msu - 47 04947 The Board of Thustees of Michigeuro 4/201746583 22/5/2017 US31/12/2042 JEWELL2004/1338 jewel 00669 Florida Foundation Seed Produceeuro 2/201539515 9/2/2015 US31/12/2040 LIBERTY2005/0225 liberty 04947 The Board of Thustees of Michigeuro 2/200923937 9/2/2009 US31/12/2034 LUCERO2008/0340 s01-28-01 06181 Royal Berries S.L.euro 2/201436998 24/2/2014 ES31/12/2044 LUCIA2008/0341 s03-60-01 06181 Royal Berries S.L.euro 3/201334443 18/3/2013 ES31/12/2043 MAGNA2008/0347 s03-08-02 06181 Royal Berries S.L.euro 3/201334445 18/3/2013 ES31/12/2038 MILLENNIA2004/1343 millennia 00669 Florida Foundation Seed Produceeuro 4/200923935 4/5/2009 US31/12/2034 PALMETTO2007/2300 palmetto 04180 University of Georgia Research Feuro 2/201436996 24/2/2014 US31/12/2044 PRIMADONNA2007/0371 primadonna 00669 Florida Foundation Seed Produceeuro 3/201231791 19/3/2012 US31/12/2042 REBEL2007/2301 rebel 04180 University of Georgia Research Feuro 3/201334440 18/3/2013 US31/12/2038 ROCIO2007/0366 rocio 06181 Royal Berries S.L.euro 3/201540491 7/4/2015 ES31/12/2045 ROMERO2007/0367 romero 06181 Royal Berries S.L.euro 3/201334439 18/3/2013 ES31/12/2038 ROXY BLUE2012/1006 d100 00915 The Horticulture & Food Researceuro 4/201746458 10/5/2017 NZ31/12/2042 SCINTILLA2011/0235 F1 00-267 00669 Florida Foundation Seed Produceeuro 4/201540828 11/5/2015 US31/12/2045 SEBRING2004/1342 sebring 00669 Florida Foundation Seed Produceeuro 4/200923934 4/5/2009 US31/12/2034 SEVILLA2008/0337 s03-08-04 06181 Royal Berries S.L.euro 2/201436997 24/2/2014 ES31/12/2044 SOUTHERN BELLE2004/1341 sourthern 00669 Florida Foundation Seed Produceeuro 4/200923933 4/5/2009 US31/12/2034 SPRINGHIGH2007/0369 springhigh 00669 Florida Foundation Seed Produceeuro 3/201437098 22/4/2014 US31/12/2044 SPRINGWIDE2007/0370 springwide 00669 Florida Foundation Seed Produceeuro 3/201437099 22/4/2014 US31/12/2044 SUNSET BLUE2011/2816 rh11 00915 The Horticulture & Food Researceuro 4/201746454 10/5/2017 NZ31/12/2042 SUZIBLUE2011/0173 04180 University of Georgia Research Feuro 4/201540785 11/5/2015 US31/12/2045 TH6822014/1855 th-682 04539/04180 UNITED STATES OF AMERICA/euro 3/201952192 28/3/2019 US31/12/2044 ZF060432014/1574 zf06-043 09324 THE CONARD-PYLE COMPANYeuro 2/201951129 11/2/2019 US31/12/2049 7/3/2020 Pàgina 90 de 98
  • 91.
    DenominacióNº Exp. Nomcomercial Codi / Titular Butlletí Nº POV Inici Protecció Fi Referència Obtentor / Vaccinium corymbosum L. ZF060792014/1575 zf06-079 09324 THE CONARD-PYLE COMPANYeuro 2/201951130 11/2/2019 US31/12/2049 ZF070702013/1322 zf07-070 07635 FALL CREEK FARM AND NURSeuro 3/201951758 11/3/2019 US31/12/2044 Especie Vaccinium L. DenominacióNº Exp. Nom comercial Codi / Titular Butlletí Nº POV Inici Protecció Fi Referència Obtentor / NABIU EB 8 12014/3317 eb 8-1 09465/08845 BISA TRADING PTY LTD./euro 3/201952196 28/3/2019 AU31/12/2044 EB 8 172014/3318 eb 8-17 09465/08845 BISA TRADING PTY LTD./euro 3/201952197 28/3/2019 AU31/12/2044 EB 8 422014/3312 eb 8-42 09465/08845 BISA TRADING PTY LTD./euro 3/201952195 28/3/2019 AU31/12/2044 FL011732012/0351 fl 01-173 00669 Florida Foundation Seed Produceeuro 3/201642962 11/4/2016 US31/12/2041 FL02402012/0355 fl 02-40 00669 Florida Foundation Seed Produceeuro 3/201642966 11/4/2016 US31/12/2041 FL032282014/0349 fl03228 00669 Florida Foundation Seed Produceeuro 3/201952194 28/3/2019 US31/12/2044 FL032912012/0356 fl 03-291 00669 Florida Foundation Seed Produceeuro 3/201642967 11/4/2016 US31/12/2041 FL042352012/0352 fl 04-235 00669 Florida Foundation Seed Produceeuro 3/201642963 11/4/2016 US31/12/2041 FL051072012/0353 fl 05-107 00669 Florida Foundation Seed Produceeuro 3/201642964 11/4/2016 US31/12/2041 FL056272012/0354 fl 05-627 00669 Florida Foundation Seed Produceeuro 3/201642965 11/4/2016 US31/12/2041 FL96432012/0390 fl 96-43 00669 Florida Foundation Seed Produceeuro 3/201642968 11/4/2016 US31/12/2041 FL984232014/0348 fl98423 00669 Florida Foundation Seed Produceeuro 3/201952193 28/3/2019 US31/12/2044 RIDLEY 11112013/2049 opi 08155 MOUNTAIN BLUE ORCHARDSeuro 3/201848940 23/4/2018 AU31/12/2043 RIDLEY 14032013/2047 m08-14-03 08155 MOUNTAIN BLUE ORCHARDSeuro 3/201848939 23/4/2018 AU31/12/2043 RIDLEY 18122014/3595 m07-18-12 08155 MOUNTAIN BLUE ORCHARDSeuro 3/201951760 11/3/2019 AU31/12/2044 ZF080952013/1687 zf08-095 09324/04539 THE CONARD-PYLE COMPANYeuro 4/201849180 7/5/2018 US31/12/2043 Especie Vaccinium L. (V. corymbosum L. × V. darrowi Camp × V. virgatum Aiton) DenominacióNº Exp. Nom comercial Codi / Titular Butlletí Nº POV Inici Protecció Fi Referència Obtentor / NABIU VENTURA2012/0855 ff-89 07635 FALL CREEK FARM AND NURSeuro 2/201745349 6/2/2017 US31/12/2042 Especie Vaccinium simulatum Small DenominacióNº Exp. Nom comercial Codi / Titular Butlletí Nº POV Inici Protecció Fi Referència Obtentor / NABIU HORTBLUE DEMURE2005/0517 d104 00915 The Horticulture & Food Researceuro 2/200924095 23/2/2009 NZ31/12/2034 7/3/2020 Pàgina 91 de 98
  • 92.
    DenominacióNº Exp. Nomcomercial Codi / Titular Butlletí Nº POV Inici Protecció Fi Referència Obtentor / Vaccinium virgatum Aiton Especie Vaccinium virgatum Aiton DenominacióNº Exp. Nom comercial Codi / Titular Butlletí Nº POV Inici Protecció Fi Referència Obtentor / NABIU ALAPAHA2007/2296 alapaha 04180/04539 U.Georgia Research Foundation Ieuro 3/201334753 8/4/2013 US31/12/2038 CENTRA BLUE2010/0475 f130 00915 The Horticulture & Food Researceuro 4/201746450 10/5/2017 NZ31/12/2042 DOLCE BLISS2014/2446 d122 00915 The Horticulture & Food Researceuro 3/201952198 28/3/2019 NZ31/12/2049 OCHLOCKONEE2007/2298 ochlockonee 04180/04539 U.Georgia Research Foundation Ieuro 3/201334755 8/4/2013 US31/12/2038 OVERTIME2013/1321 zfk-218 07635 FALL CREEK FARM AND NURSeuro 1/201950642 3/12/2018 US31/12/2048 SKY BLUE2011/2561 f110 00915 The Horticulture & Food Researceuro 4/201746453 10/5/2017 NZ31/12/2042 T9592014/1576 t-959 04180 University of Georgia Research Feuro 3/201951759 11/3/2019 US31/12/2044 VERNON2007/2297 vernon 04180 University of Georgia Research Feuro 3/201334754 8/4/2013 US31/12/2038 Especie Vaccinium vitis-idaea L. DenominacióNº Exp. Nom comercial Codi / Titular Butlletí Nº POV Inici Protecció Fi Referència Obtentor / NABIU LIROME2015/0199 lirome 07050 SIERTEELTKWEKERIJ MAARTeuro 3/201746224 18/4/2017 NL31/12/2047 MELIRO2010/1540 07050 SIERTEELTKWEKERIJ MAARTeuro 2/201539355 26/1/2015 NL31/12/2040 RED CANDY2008/2294 sonkoot30 06616 Van Son & Koot Holding B.V.euro 2/201539352 26/1/2015 NL31/12/2040 Especie Vitis L. DenominacióNº Exp. Nom comercial Codi / Titular Butlletí Nº POV Inici Protecció Fi Referència Obtentor / VINYA ACS V 012007/2981 blanc seedless 06135 Luribay Business Inc.euro 4/201335570 3/6/2013 PA31/12/2043 AFRODITA1997/1145 B-4-5 AFRODITA 00795 Zanzi Fruitgroeuro 3/200719931 16/4/2007 IT31/12/2037 ALEGRILLO NEGRO1999/1528 alegrillo negro 02801 Wein und Sektkellereien Jakob Geuro 3/20029014 18/3/2002 DE31/12/2032 AMGRAPONE2006/0363 snflwhitone 03945 ARC Infruitec - Nietvoorbijeuro 5/201027971 26/7/2010 ZA31/12/2040 APULIA2008/1662 apulia 08009 AGRIPROJECT GROUP S.R.L.euro 5/201335812 8/7/2013 IT31/12/2043 AUTUMN KING2007/1899 autumn king (c67-120) 04539 The United States of Americaeuro 4/201335210 6/5/2013 US31/12/2043 AVANTI2006/0812 tii/58 05419 Ulrich Martineuro 1/201333808 19/11/2012 DE31/12/2042 B34 822005/1788 scarlet royal (b34-82) 04539 The United States of Americaeuro 6/201130889 10/10/2011 US31/12/2041 BLAGATWO2009/2710 blagatwo 06859 Sheehan Genetics LLCeuro 5/201438463 7/7/2014 US31/12/2044 BLAGRAONE2006/0416 blagraone 01719 Antonio Muñoz y Cia SAeuro 5/201027972 26/7/2010 ES31/12/2040 CABERNET BLANC2006/1054 vb 91-26-1 05457 Volker Freytageuro 3/200821990 10/3/2008 DE31/12/2038 7/3/2020 Pàgina 92 de 98
  • 93.
    DenominacióNº Exp. Nomcomercial Codi / Titular Butlletí Nº POV Inici Protecció Fi Referència Obtentor / Vitis L. CABERNET JURA2006/1052 vb 05-02 05457 Volker Freytageuro 4/201130091 23/5/2011 DE31/12/2041 CABERTIN2006/1055 vb 91-26-17 05457 Volker Freytageuro 3/200821991 10/3/2008 DE31/12/2038 CHRISTINE2004/0165 19/1/558 00363 Wolf Jörgeuro 5/200823287 21/7/2008 DE31/12/2038 CUMDEO BLANC1999/1526 cumdeo blanc 02801 Wein und Sektkellereien Jakob Geuro 3/20029012 18/3/2002 DE31/12/2032 CUMDEO ROUGE1999/1525 cumdeo rouge 02801 Wein und Sektkellereien Jakob Geuro 3/20029011 18/3/2002 DE31/12/2032 DORIA SEEDLESS2000/1225 doria seedless 03102/03103 F. Giordano/R.Papasergioeuro 6/200720977 8/10/2007 IT31/12/2037 GEORG2004/0162 31/01/062 00363 Wolf Jörgeuro 5/200823284 21/7/2008 DE31/12/2038 GERTRUDE2004/0164 19/1/432 00363 Wolf Jörgeuro 5/200823286 21/7/2008 DE31/12/2038 GRAPAES1999/0631 44/50 02580 Grapa Company Limitedeuro 3/200719647 19/3/2007 IL31/12/2037 GRAPECOUS2003/0680 g 5 09077 SPECIAL NEW FRUIT LICENSINeuro 1/201026305 21/12/2009 UK31/12/2039 JAKOB GERHARDT BLANC1999/1527 jakob gerhardt blanc 02801 Wein und Sektkellereien Jakob Geuro 3/20029013 18/3/2002 DE31/12/2032 KATHARINA2004/0166 31/1/265 00363 Wolf Jörgeuro 5/200823288 21/7/2008 DE31/12/2038 MILLENNIUM2006/0813 tii/62 05419 Ulrich Martineuro 2/201128843 7/2/2011 DE31/12/2041 NAVSEL 12010/2645 05/44 09077 SPECIAL NEW FRUIT LICENSINeuro 6/201644364 19/9/2016 UK31/12/2046 NAVSEL 22010/2644 gr2/6 09077 SPECIAL NEW FRUIT LICENSINeuro 6/201644363 19/9/2016 UK31/12/2046 NAVSEL 32010/2643 gr2/9 09077 SPECIAL NEW FRUIT LICENSINeuro 6/201644362 19/9/2016 UK31/12/2046 NAVSEL 52010/2642 05/58 09077 SPECIAL NEW FRUIT LICENSINeuro 6/201644361 19/9/2016 UK31/12/2046 NEGRO AMARO CANNELLINO 2002/0608 negro amaro precoce n. 03834/02306 CAM DI COMMER, INDUSTRIA,euro 2/200719237 19/2/2007 IT31/12/2037 NEMADEX ALAIN BOUQUET2010/2348 mtp 6146-1-87 00689 INRA-Institut National de la Recheuro 4/201130381 6/6/2011 FR31/12/2041 NERO1995/1466 nero 00363 Wolf Jörgeuro116 3/19971760 3/3/1997 NERO DE1/2/2024 NIKOLETA2002/0383 nikoleta 03791 SPINOS NIKOLAOSeuro 4/201437905 5/5/2014 GR31/12/2044 PAULA1998/1175 paula 02306 Istituto Sperimentale per la Viticoleuro 1/200310234 18/11/2002 IT31/12/2032 PHILIPP2004/0163 31/1/225 00363 Wolf Jörgeuro 5/200823285 21/7/2008 DE31/12/2038 PINOTIN2006/1053 vb 91-26-19 05457 Volker Freytageuro 3/200719939 16/4/2007 DE31/12/2037 PRIME1999/0961 prime 01306 Agricultural Research Organisatioeuro 4/200719942 16/4/2007 PRIME IL31/12/2037 PRINCESS2004/0107 princess (c45-59) 04539 The United States of Americaeuro 5/201335858 29/7/2013 US31/12/2043 RALLI SEEDLESS1998/1747 ralli seedless 02468 G. & I. Ralli & Sons Pty Ltdeuro 3/200719940 16/4/2007 AU31/12/2037 7/3/2020 Pàgina 93 de 98
  • 94.
    DenominacióNº Exp. Nomcomercial Codi / Titular Butlletí Nº POV Inici Protecció Fi Referència Obtentor / Vitis L. RATHAY1999/1194 rathay 02732 Höhere Bundeslehranstalt und Bueuro 4/200413613 21/6/2004 RATHAY AT31/12/2034 REBELIA2017/1265 g4 00689 INRA-Institut National de la Recheuro 4/201952535 6/5/2019 FR31/12/2049 RECLIA2017/1266 g3 00689 INRA-Institut National de la Recheuro 4/201952536 6/5/2019 FR31/12/2049 RECYBEL2017/1264 g18 00689 INRA-Institut National de la Recheuro 4/201952534 6/5/2019 FR31/12/2049 REGENT1995/0821 regent 00650 Institut für Rebenzüchtungeuro116 1/19971396 15/10/1996 REGENT DE1/4/2024 ROESLER1999/1195 roesler 02732 Höhere Bundeslehranstalt und Bueuro 4/200413614 21/6/2004 AT31/12/2034 RUBINET2000/0264 r-27 tintet 02932 Hermann Jägereuro 4/200413615 21/6/2004 DE31/12/2034 RUBINIA1998/1172 rubinia 02306 Istituto Sperimentale per la Viticoleuro 1/200310231 18/11/2002 IT31/12/2032 SHEEGENE 102009/2759 9-767 06859 Sheehan Genetics LLCeuro 6/201336064 23/9/2013 US31/12/2043 SHEEGENE 112010/0323 9-605 06859 Sheehan Genetics LLCeuro 5/201438466 7/7/2014 US31/12/2044 SHEEGENE 122010/0324 r9v688 06859 Sheehan Genetics LLCeuro 5/201438467 7/7/2014 US31/12/2044 SHEEGENE 132010/0325 9-794 06859 Sheehan Genetics LLCeuro 5/201438468 7/7/2014 US31/12/2044 SHEEGENE 22010/0322 10-58 06859 Sheehan Genetics LLCeuro 5/201438465 7/7/2014 US31/12/2044 SHEEGENE 262010/2597 gal-4 06859 Sheehan Genetics LLCeuro 2/201642311 25/1/2016 US31/12/2046 SHEEGENE 32009/2755 r10v571 06859 Sheehan Genetics LLCeuro 5/201438464 7/7/2014 US31/12/2044 SHEEGENE 42009/2756 r12v522 06859 Sheehan Genetics LLCeuro 6/201336061 23/9/2013 US31/12/2043 SHEEGENE 62009/2757 r2v468 06859 Sheehan Genetics LLCeuro 6/201336062 23/9/2013 US31/12/2043 SHEEGENE 92009/2758 r10v714 06859 Sheehan Genetics LLCeuro 6/201336063 23/9/2013 US31/12/2043 STEFANIE2006/0542 19/1/518 00363 Wolf Jörgeuro 3/201027258 19/4/2010 DE31/12/2040 SUGRAEIGHTEEN2002/1217 sugraeighteen 05485 Sun World International LLCeuro 1/201026298 21/12/2009 US31/12/2039 SUGRAFOURTEEN2002/1218 sugrafourteen 05485 Sun World International LLCeuro 3/201026757 22/3/2010 US31/12/2040 SUGRANINETEEN2007/0324 05485 Sun World International LLCeuro 3/201232280 10/4/2012 US31/12/2042 SUGRASIXTEEN2000/0369 sugrasixteen 05485 Sun World International LLCeuro 5/201027969 26/7/2010 US31/12/2040 SUGRATHIRTEEN1999/1541 sugrathirteen 05485 Sun World International LLCeuro 6/200721163 22/10/2007 US31/12/2037 SUGRATHIRTYTWO2008/0986 sugrathirtytwo 05485 Sun World International LLCeuro 4/201438357 16/6/2014 US31/12/2044 SUGRATWELVE2000/0753 sugratwelve 05485 Sun World International LLCeuro 5/201027970 26/7/2010 US31/12/2040 SUMMER ROYAL2004/0108 summer royal (b74-99) 04539 The United States of Americaeuro 6/201130887 10/10/2011 US31/12/2041 7/3/2020 Pàgina 94 de 98
  • 95.
    DenominacióNº Exp. Nomcomercial Codi / Titular Butlletí Nº POV Inici Protecció Fi Referència Obtentor / Vitis L. SWEET SCARLET2004/0256 a61-16 04539 The United States of Americaeuro 6/201130888 10/10/2011 US31/12/2041 VITROBLACK 12004/0488 vp f50 05277 Vitroplant Italia SRLeuro 6/201028208 6/9/2010 IT31/12/2040 WILDMUSKAT2007/1170 wildmuskat 05884 Weingut Amalienhof Gbreuro 1/200821574 17/12/2007 DE31/12/2037 Especie Vitis vinifera L. DenominacióNº Exp. Nom comercial Codi / Titular Butlletí Nº POV Inici Protecció Fi Referència Obtentor / VINYA VINIFERA "SHEEGENE 17"2013/0150 10-418 06859 Sheehan Genetics LLCeuro 4/201746466 10/5/2017 US31/12/2047 ARRAELEVEN2009/1870 arraeleven 06775 ARD LLCeuro 4/201540779 11/5/2015 US31/12/2045 ARRAFIFTEEN2009/1872 arrafifteen 06775 ARD LLCeuro 4/201540781 11/5/2015 US31/12/2045 ARRAFOUR2011/3039 arrafour 06775 ARD LLCeuro 4/201643524 10/5/2016 US31/12/2046 ARRANINETEEN2009/1871 arranineteen 06775 ARD LLCeuro 4/201540780 11/5/2015 US31/12/2045 ARRAONE2011/3037 arrone 06775 ARD LLCeuro 4/201643523 10/5/2016 US31/12/2046 ARRASIXTEEN2011/3041 arrasixteen 06775 ARD LLCeuro 4/201643525 10/5/2016 US31/12/2046 ARRATEN2009/1875 arraten 06775 ARD LLCeuro 4/201540783 11/5/2015 US31/12/2045 ARRATHIRTEEN2009/1874 arrathirteen 06775 ARD LLCeuro 4/201540782 11/5/2015 US31/12/2045 ARRATHIRTY2014/3297 06775 ARD LLCeuro 4/201952663 20/5/2019 US31/12/2049 BEAUGARAY2016/1313 col-bj 1033 09177/00689 SICAREX BEAUJOLAIS S.A.S./euro 1/201745155 15/12/2016 FR31/12/2046 CABERET NOIR2011/2744 vb 91-26-4 05458 Valentin Blattnereuro 6/201747684 25/9/2017 CH31/12/2047 CABERNET EIDOS2015/0367 ud-58.083 03895/08712 Uni: STUDI DI UDINE/ISTITUTOeuro 6/201953452 16/9/2019 IT31/12/2049 CABERNET VOLOS2015/0362 ud-32.078 03895/08712 Uni: STUDI DI UDINE/ISTITUTOeuro 6/201953449 16/9/2019 IT31/12/2049 CALARDIS BLANC2018/1316 gf.1993-22-6 00650 Institut für Rebenzüchtungeuro 1/201950622 19/11/2018 DE31/12/2048 CARA SEEDLESS2012/2787 acs v (1-5) r32b 06135 Luribay Business Inc.euro 4/201746798 6/6/2017 PA31/12/2047 FERRADOU2011/1107 8381 00689 INRA-Institut National de la Recheuro 1/201231264 19/12/2011 FR31/12/2041 FIAMMETTA2010/1412 fiammetta 06354 Stefano Sommaeuro 4/201540822 11/5/2015 IT31/12/2045 FLEURTAI2015/0363 ud-34.111 03895/08712 Uni: STUDI DI UDINE/ISTITUTOeuro 3/201952167 28/3/2019 IT31/12/2049 FLOREAL2017/2245 inracol-2007g 00689 INRA-Institut National de la Recheuro 3/201848972 23/4/2018 FR31/12/2043 GAMINOT2016/1314 col-bj 1094 09177/00689 SICAREX BEAUJOLAIS S.A.S./euro 1/201745156 15/12/2016 FR31/12/2046 GRANITA2016/1315 col-bj 1252 09177/00689 SICAREX BEAUJOLAIS S.A.S./euro 1/201745157 15/12/2016 FR31/12/2046 IASMA ECO 12012/2342 iasma eco 1 07626 FONDAZIONE EDMUND MACHeuro 3/201746231 18/4/2017 IT31/12/2047 7/3/2020 Pàgina 95 de 98
  • 96.
    DenominacióNº Exp. Nomcomercial Codi / Titular Butlletí Nº POV Inici Protecció Fi Referència Obtentor / Vitis vinifera L. IASMA ECO 22012/2343 iasma eco 2 07626 FONDAZIONE EDMUND MACHeuro 3/201746232 18/4/2017 IT31/12/2047 IASMA ECO 32012/2344 iasma eco 3 07626 FONDAZIONE EDMUND MACHeuro 3/201746233 18/4/2017 IT31/12/2047 IASMA ECO 42012/2345 iasma eco 4 07626 FONDAZIONE EDMUND MACHeuro 3/201746234 18/4/2017 IT31/12/2047 IFG 68 1752012/0203 ifg 068 175 08292 INTERNATIONAL FRUIT GENETeuro 4/201643801 6/6/2016 US31/12/2046 IFG FOUR2013/3202 ifg 01163-041-164 08292 INTERNATIONAL FRUIT GENETeuro 4/201849459 22/5/2018 US31/12/2048 IFG NINE2012/0202 ifg 067 219 08292 INTERNATIONAL FRUIT GENETeuro 4/201643800 6/6/2016 US31/12/2046 IFG ONE2009/1408 ifg 031 077 08292 INTERNATIONAL FRUIT GENETeuro 4/201540777 11/5/2015 US31/12/2045 IFG SEVEN2013/3201 ifg 03097-048-221 08292 INTERNATIONAL FRUIT GENETeuro 5/201849954 16/7/2018 US31/12/2048 IFG TWO2009/1409 ifg 104 253 08292 INTERNATIONAL FRUIT GENETeuro 4/201540778 11/5/2015 US31/12/2045 INIAGRAPONE2014/3108 5.56-inia 08596 INSTITUTO DE INVESTIGACIOeuro 3/201952269 15/4/2019 CL31/12/2049 ITUMEIGHT2013/0780 06-222-1 07999 INVESTIGACION Y TECNOLOGIeuro 4/201746476 10/5/2017 ES31/12/2047 ITUMELEVEN2013/0784 01-144-7 07999 INVESTIGACION Y TECNOLOGIeuro 4/201746479 10/5/2017 ES31/12/2047 ITUMFIVE2013/0773 03-434-17 07999 INVESTIGACION Y TECNOLOGIeuro 4/201746473 10/5/2017 ES31/12/2047 ITUMFOUR2013/0768 03-543-10 07999 INVESTIGACION Y TECNOLOGIeuro 4/201746472 10/5/2017 ES31/12/2047 ITUMFOURTEEN2015/2929 08-195-14 07159 SNFL Mediterraneo SLeuro 3/201952272 15/4/2019 ES31/12/2049 ITUMNINE2013/0781 05-332-21 07999 INVESTIGACION Y TECNOLOGIeuro 4/201746477 10/5/2017 ES31/12/2047 ITUMONE2013/0761 06-91-33 07999 INVESTIGACION Y TECNOLOGIeuro 4/201746469 10/5/2017 ES31/12/2047 ITUMSEVEN2013/0775 03-364-14 07999 INVESTIGACION Y TECNOLOGIeuro 4/201746475 10/5/2017 ES31/12/2047 ITUMSIX2013/0774 07-362-1 07999 INVESTIGACION Y TECNOLOGIeuro 4/201746474 10/5/2017 ES31/12/2047 ITUMTEN2013/0783 04-791-1 07999 INVESTIGACION Y TECNOLOGIeuro 4/201746478 10/5/2017 ES31/12/2047 ITUMTHIRTEEN2015/2928 08-339-31 07159 SNFL Mediterraneo SLeuro 3/201952271 15/4/2019 ES31/12/2049 ITUMTHREE2013/0766 05-78-18 07999 INVESTIGACION Y TECNOLOGIeuro 4/201746471 10/5/2017 ES31/12/2047 ITUMTWELVE2013/0785 06-166-7 07999 INVESTIGACION Y TECNOLOGIeuro 4/201746480 10/5/2017 ES31/12/2047 ITUMTWO2013/0764 07-341-1 07999 INVESTIGACION Y TECNOLOGIeuro 4/201746470 10/5/2017 ES31/12/2047 LUISA2010/1736 luisa seedless 06354 Stefano Sommaeuro 4/201540823 11/5/2015 IT31/12/2045 M13012011/2763 m13-01 02090 COMMONWEALTH SCIENTIFICeuro 3/201952230 28/3/2019 AU31/12/2049 MARA SEEDLESS2012/2788 acs v (26-30) r25r 06135 Luribay Business Inc.euro 4/201746799 6/6/2017 PA31/12/2047 7/3/2020 Pàgina 96 de 98
  • 97.
    DenominacióNº Exp. Nomcomercial Codi / Titular Butlletí Nº POV Inici Protecció Fi Referència Obtentor / Vitis vinifera L. MARQUETTE2011/3150 mn1211 01528 Regents of the University of Minneuro 3/201848924 23/4/2018 US31/12/2048 MERLOT KANTHUS2015/0365 ud-31.122 03895/08712 Uni: STUDI DI UDINE/ISTITUTOeuro 6/201953450 16/9/2019 IT31/12/2049 MERLOT KHORUS2015/0360 ud-31.125 03895/08712 Uni: STUDI DI UDINE/ISTITUTOeuro 6/201953448 16/9/2019 IT31/12/2049 MÉSZIKADAR2012/0093 mészi kadarka 07541 PÁL MESZÁROSeuro 2/201334095 21/1/2013 HU31/12/2043 PICARLAT2016/1316 col-bj 892 09177/00689 SICAREX BEAUJOLAIS S.A.S./euro 1/201745158 15/12/2016 FR31/12/2046 PINOT REGINA2017/2729 04-7-29/3 09676 UNIVERSITY OF PECSeuro 2/201951132 11/2/2019 HU31/12/2049 SAUVIGNAC2014/0347 vb cal. 6-04 05458 Valentin Blattnereuro 6/201850207 24/9/2018 CH31/12/2048 SAUVIGNON KRETOS2015/0368 ud-76.026 03895/08712 Uni: STUDI DI UDINE/ISTITUTOeuro 6/201953453 16/9/2019 IT31/12/2049 SAUVIGNON NEPIS2015/0366 ud-55.098 03895/08712 Uni: STUDI DI UDINE/ISTITUTOeuro 6/201953451 16/9/2019 IT31/12/2049 SAUVIGNON RYTOS2015/0359 ud-55.100 03895/08712 Uni: STUDI DI UDINE/ISTITUTOeuro 6/201953447 16/9/2019 IT31/12/2049 SHEEGENE 162013/0211 4-519 06859 Sheehan Genetics LLCeuro 4/201746468 10/5/2017 US31/12/2047 SHEEGENE 182013/0210 10-462 06859 Sheehan Genetics LLCeuro 4/201746467 10/5/2017 US31/12/2047 SHEEGENE 202010/2596 9-704 06859 Sheehan Genetics LLCeuro 4/201540925 26/5/2015 US31/12/2045 SHEEGENE 212011/1611 10-552 06859 Sheehan Genetics LLCeuro 3/201540341 7/4/2015 US31/12/2045 SHEEGENE 252015/1720 10-182 06859 Sheehan Genetics LLCeuro 3/201952270 15/4/2019 US31/12/2049 SHEEGENE 52011/3063 9-608 06859 Sheehan Genetics LLCeuro 4/201746456 10/5/2017 US31/12/2047 SHEEGENE 82013/0356 2-38 06859 Sheehan Genetics LLCeuro 4/201849178 7/5/2018 US31/12/2048 SORELI2015/0361 ud-34.113 03895/08712 Uni: STUDI DI UDINE/ISTITUTOeuro 3/201952165 28/3/2019 IT31/12/2049 SUGRAFORTY2014/2976 sugraforty 05485 Sun World International LLCeuro 3/201952162 28/3/2019 US31/12/2049 SUGRAFORTYONE2013/1800 sugrafortyone 05485 Sun World International LLCeuro 4/201849787 18/6/2018 US31/12/2048 SUGRATHIRTYEIGHT2013/1799 sugrathirtyeight 05485 Sun World International LLCeuro 4/201849786 18/6/2018 US31/12/2048 SUGRATHIRTYFIVE2011/0174 sugrathirtyfive 05485 Sun World International LLCeuro 4/201540786 11/5/2015 US31/12/2045 SUGRATHIRTYFOUR2014/2975 sugrathirtyfour 05485 Sun World International LLCeuro 4/201952695 20/5/2019 US31/12/2049 SUGRATHIRTYSIX2013/1798 sugrathirtysix 05485 Sun World International LLCeuro 4/201849785 18/6/2018 US31/12/2048 TAWNY SEEDLESS2014/3009 08578 LOMBARDI GENETICS (PTY) LTeuro 3/201952268 15/4/2019 ZA31/12/2049 VOLTIS2017/2246 inracol-2011g 00689 INRA-Institut National de la Recheuro 3/201848973 23/4/2018 FR31/12/2043 7/3/2020 Pàgina 97 de 98
  • 98.
    DenominacióNº Exp. Nomcomercial Codi / Titular Butlletí Nº POV Inici Protecció Fi Referència Obtentor / Vitis vinifera L. Nº Exp.: Número d'expedient Nº POV = Número de títol de protecció Inici Protecció Fi = Data de concessió de la protecció i data fi de la protecció Codi / Titular = Codi identificador utilitzat al butlletí oficial i nom del titular Butlletí = Número del butlletí oficial de la OCVV o del butlletí de la OEVV Classe de títol de protecció: euro = sistema comunitari de protecció de varietats vegetals - OCVV; esp = sistema espanyol de protecció de varietats vegetals - OEVV CLAUS: 7/3/2020 Pàgina 98 de 98